ĐẠI HỌC QUỐC GIA
ĐẠI HỌC BÁCH KHOA TP.HCM

BÀI CÁO BÁO BÀI TẬP LỚN
CHI TIẾT MÁY

GVHD :
THẦY BÙI TRỌNG HIẾU
LỚP :
CK11CD01
NHÓM : 7
ĐỀ
4
PHƯƠNG ÁN: 8.
TP.HCM tháng 12 năm 2013

1
Danh sách thành viển và công việc của từng thành viên:
Thành viên
Trương Anh Quốc
Khanh
Huỳnh Hữu Thuận
Ngô Văn Tuấn
Trần Văn Đức
Phan Quốc Hòa

Mssv
21101571

Công việc
Phân chia công việc, mô phỏng hoạt

21103491

động hộp giảm tốc. kiểm tra, tổng kết
Tính toán thiết kê lựa chọn đọng cơ

21103992

điện, thiết kế hệ thốn đai dẹt
Tính toán thiết kế hệ thống bánh răng

21100887
21101289

côn
Tính toán thiết kế hai trục
Tính toán thiết kế lựa chọn ổ lăn

2
Mục lục
Trang
1.
2.
3.
4.
5.

Tính toán chọn động cơ điện
Tính toán thiết kế hệ thống đai dẹt
Thiết kế bộ truyền bánh răng côn
Thiết kế hai trục trong hộp giảm tốc
Tính toán lựa chọn hai cặp ổ bi

4
7
10
14
31

PHẦN 1: Chọn động cơ điện, phân phối tỉ số truyền
3
I. TÍNH TOÁN CHỌN ĐỘNG CƠ ĐIỆN.
1. Hiệu suất truyền động:
Ta có : η = η ñη brη knηo2l
Tra bảng 2.3 [1], ta chọn được các hiệu suất sau:
η ñ = 0,95 : Hiệu suất bộ truyền đai dẹt.
η br = 0,95 : Hiệu suất của bộ truyền bánh răng nón.
η kn = 1 : Hiệu suất của khớp nối trục đàn hồi.
η ol = 0,995 : Hiệu suất của một cặp ổ lăn.
Nên : η = ηñηbrηknηo2l = 0,95 × 0,95 × 1× 0,9952 = 0,89
 Vậy, hiệu suất truyền động là: η = 0,893
2. Công suất tính toán:
 Trường hợp tải trọng thay đổi thì: Pt = Ptđ (Công suất tương đương)
• “Công suất tương đương” được xác định bởi công thức:
2

2

2

2

 T1 
 T2 
T 
 0,7T 
 ÷ t1 +  ÷ t2
 ÷ 48 + 
÷ 15
Ptđ =
kW = Pt
T 
T 
T 
 T 
Pm
=4
= 3,749
t1 + t2
48 + 15
Trong đó: Tm = T
T1 = T; T2 = 0,7T; t1 = 48s và t2 = 15s
 Vậy, công suất tính toán là: Pt = 3,749 kW
3. Công suất cần thiết trên trục động cơ:
 Công suất cần thiết trên trục động cơ điện được xác định bởi:
P 3,749
Pct = t =
= 4,198 kW
η 0,893
 Vậy, công suất cần thiết trên trục động cơ là: Pct = 4,198 kW
4. Xác định số vòng quay sơ bộ của động cơ:
 Số vòng quay trên trục thùng trộn : n = 80 vòng/ phút
Tỉ số truyền toàn bộ của hệ thống dẫn động: ut = uñ ubr = 4 × 4 = 16
Trong đó, ta chọn:
uđ = 4 và ubr = 4
 Vậy, số vòng quay sơ bộ của động cơ điện là: nsb =16 × 80 = 1280 vòng/phút.
5. Chọn động cơ điện:
Ở đây, ta chọn động cơ thõa mãn điều kiện sau:
4
 P ≥ 4,198 kW
P ≥ P
 ñc
 ñc
ct
, tức là ta phải tìm động cơ thỏa mãn 

 nñb ≈ nsb
 nñb = 1280 vg / ph


Tra bảng ,ta chọn được động cơ sau:
Công
Kiểu động
Vận tốc
suất
cơ
quay, vg/ph
kW
4A112M4Y3
5,5
1425
II. PHÂN PHỐI TỈ SỐ TRUYỀN.
1. Tỉ số truyền chung của hệ thống dẫn động:
n
1425
ut = ñc =
= 17,813
nlv
80
Trong đó:
nđc = 1425 vòng/phút; nlv = 80 vòng/phút.
Chọn ubr = 4.
 Tỉ số truyền của bộ truyền đai thang:
u 17,813
uñ = t =
= 4,453
ubr
4
Trong đó:
ut = 17,813; ubr = 4.
III. LẬP BẢNG ĐẶC TÍNH.
1. Tính toán công suất trên các trục:
P
4
PI = max = = 4 kW
I
η kn 1
P=
I

PI
4
I
=
= 4,232 kW
ηbrηo l 0,95 × 0,995

P =
dc

P
4,232
I
=
= 4,477 kW
ηdηo l 0,95 × 0,995

2. Tính toán số vòng quay các trục:
 Số vòng quay của trục I được xác định bởi:
5
nI =

nñc 1425
=
= 320,009 vòng/phút
uñ 4,453

 Số vòng quay của trục II được xác định bởi:
n
320,009
nII = I =
= 80 vòng/phút
ubr
4
 Vậy:
- Số vòng quay trục I là: nI = 320,009 vòng/phút.
- Số vòng quay trục II là: nII = 80 vòng/phút.
3. Tính toán moment xoắn trên các trục:
 Moment xoắn trên trục động cơ:
P
4,477
Tñc = 9,55.106 ñc = 9,55.106
= 30003,754 Nmm
nñc
1425
Trong đó:
Pđc = 4,477 kW; nđc = 1425 vòng/phút.
 Moment xoắn trên trục I:
P
4,232
TI = 9,55.106 I = 9,55.106
= 126295,198 Nmm
nI
320,009
Trong đó:
PI = 4,232 kW; nI = 320,009 vòng/phút.
 Moment xoắn trên trục II:
P
4
TII = 9,55.106 II = 9,55.106
= 477500 Nmm
nII
80
Trong đó:
PII = 4 kW; nII = 80 vòng/phút.
4. Bảng đặc tính:
Thông số/Trục
Động cơ
Trục I
Trục II
Công suất (kW)
4,477
4,232
4
Tỉ số truyền
4,453
4
30003,75 126295,19
Moment xoắn (Nmm)
4
8
477500
Số vòng quay (vòng/phút)
1425
320,009
80

PHẦN 2: Thiết kế bộ truyền đai dẹt
6
I. THÔNG SỐ KĨ THUẬT THIẾT KẾ BỘ TRUYỀN ĐAI DẸT.
1. Công suất bộ truyền:
P = 4,477 kW.
2. Số vòng quay bánh dẫn: n1 = nđc = 1425 vòng/phút.
3. Tỉ số truyền:
uđ = 4,453.
4. Moment xoắn:
T1 = 30003,754 Nmm.
II. THIẾT KẾ BỘ TRUYỀN ĐAI DẸT.
1. Chọn dạng đai: vải cao su
2. Tính đường kính bánh đai nhỏ d1:
d1 = (1100 ÷ 1300) 3

P
4, 477
1
= (1100 ÷ 1300) 3
= 161,1 ÷ 190, 4
n1
1425

Theo tiêu chuẩn, ta chọn d1 = 180 mm.
3. Vận tốc đai:
π d 1n1 π × 180 × 1425
v1 =
=
= 13,43 m/s
60000
60000
4. Giả sử ta chọn hệ số trượt tương đối ξ = 0,02 . Đường kính bánh đai lớn:
d 2 = ud 1 ( 1 − ξ ) = 4,453 × 180 × ( 1 − 0,02) = 785,5 mm
Theo tiêu chuẩn ta chọn d2 = 800 mm.
d2
800
=
= 4,54
Tỷ số truyền thực tế: u =
d 1 ( 1 − ξ ) 180 × ( 1 − 0,02)
Sai lệch so với giá trị chọn trước 1,95%
5. Khoảng cách trục nhỏ nhất xác định theo công thức:
15000 ≥ a ≥ 2( d 1 + d 2 ) = 2 × (180 + 800) = 1960

15000 ≥ a ≥ 1960 mm
Ta có thể chọn sơ bộ a = 1960mm.
6. Chiều dài tính toán của đai:
L = 2a +

π ( d 2 + d1 )
2

(d
+

− d1 )
2

π ( 180 + 800)

4a

2

( 800 − 180)
+

2

= 5507,63mm
2
4 × 1960
Chọn theo tiêu chuẩn L = 5600 mm = 5,6m.
7. Số vòng chạy của đai trong một giây:
v 13,43
i= =
= 2,398 s-1 ; vì [i] = 10s-1, do đó điều kiện được thỏa.
L
5,6
8. Góc ôm bánh đai nhỏ:
= 2 × 1960 +

7
α1 = 180o − 57

d 2 − d1
800 − 180
= 180o − 57
= 161,97o = 2,83 rad.
a
1960
d1
≥ 25
δ

9. Chọn chiều dày đai δ = 6mm thoả

10. Các hệ số sử dụng:
- Hệ số xét đến ảnh hưởng góc ôm đai:
Cα = 1 − 0,003 180o − α1 = 1 − 0,003(180o − 161,97o ) = 0,9459

(

)

- Hệ số xét đến ảnh hưởng vận tốc:
Cv = 1 − c v 0,01v 2 − 1 = 1 − 0,04 0,01× 13,432 − 1 = 0,9679

(

-

)

(

)

Co = 1

- Hệ số xét đến ảnh hưởng chế độ làm việc và sự thay đổi tải trọng (làm việc
hai ca) : Cr = 0,6
Tra bảng 4.7 trang 147 với
Nên ta có:
b≥

d1 180
=
= 30 => chọn [σ t ]o = 2,17 MPa
δ
6

1000 P
1000 × 4, 477
1
=
= 46, 6 mm
δ v[σ t ] 6 ×13, 43 × 2,17 × 0,9459 × 0,9679 × 0, 6 ×1

Chọn theo tiêu chuẩn b=50 mm
11. Theo bảng 4.5, chọn chiều rộng bánh đai : B= 63mm
12. Lực căng đai ban đầu:
F = σ o bδ = 1,8 × 50 × 6 = 540 N
o
 161,97 o 
α1 
= 3 × 540 × sin 
÷ = 1600 N
÷
2 
 2



Lực tác dụng lên trục: Fr = 3Fo sin 

13.Lực vòng có ích:
1000P 1000 × 4,477
1
=
= 333,36 N
v1
13,43
14.Từ điều kiện để không xảy ra trượt trơn
F e fα + 1
F ≥ t fα
o
2 e −1
từ đây suy ra:
1 2F + F
1
2 × 540 + 333,36
t
f = ln o
=
ln
= 0,23
α 2F − F 2,82 2 × 540 − 333,36
o
t
F=
t

15.Ứng suất lớn nhất trong dây đai:
8
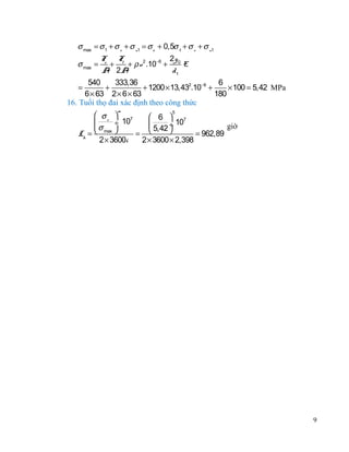
σ max = σ 1 + σ v + σ u1 = σ o + 0,5σ t + σ v + σ u1
F F
2y
σ max = o + t + ρ v 2 .10−6 + 0 E
A 2A
d1
540
333,36
6
=
+
+ 1200 × 13,432.10−6 +
× 100 = 5,42 MPa
6 × 63 2 × 6 × 63
180
16. Tuổi thọ đai xác định theo công thức
m

5
 σr 
 6  7
7

÷ 10
 5,42 ÷ 10
giờ
σ max 

Lh = 
= 
= 962,89
2 × 3600i
2 × 3600 × 2,398

9
Phần 2: Tính toán thiết kế hệ thống bánh răng côn
Dữ liệu đầu vào: ubr=4
T=126295.198 Nmm
n=320vg/ph
Vì bộ truyền bánh răng ở đây là bộ truyền kín (hộp giảm tốc) được bôi trơn
tốt nên
dạng hỏng chủ yếu là tróc rỗ bề mặt răng. Do đó, ta tiến hành tính toán thiết
kế theo
ứng suất tiếp xúc
1. Chọn vật liệu cho bánh dẫn và bánh bị dẫn.
Chọn thép 40Cr được tôi cải thiện.
Theo bảng 6.13 độ rắn của thép 40Cr là HB 180 ÷ 350
Để bộ truyền bán răng có khả năng chạy mòn tốt thì độ rắn của bánh dẫn H1
và bánh bị dẫn H2 phải theo quan hệ: H1 ≥ H2 + (10 ÷ 15) HB
Do đó, đối với bánh dẫn chọn độ rắn trung bình HB1 = 250, đối với bánh bị
dẫn chọn độ rắn trung bình HB2 = 228.

2. Số chu kì làm việc cơ sở
NHO1 = 30HB2,4 = 30.2502,4 = 1,71.107 chu kì
NHO2 = 30HB2,4 = 30.2282,4 = 1,37.107 chu kì
3. Số chu kì cơ sở
NFO=NFO1=NFO2=5.106 chu kì
4. Số chu kì làm việc tương đương

NHE1 = 60c.[

)3.ni.ti]

= 60.1.320.
10
Trong đó t1=

.Lh = 0,67Lh;

t2=0,24Lh

Lh= Kng.24.Kn.365.L=24.300.5=12000 (giờ)
Từ đây suy ra:
NHE1=60.1.320.(13.0,76 + 0.73.0,24).12000=19,41.107 chu kì
Suy ra
NHE2 =

=

= 4,85.107 chu kì

Tương tự ta có
NFE1 = 60.1.320.(16.0,76 + 0,76.0,24).12000 = 18,16.107 chu kì
NFE2 =

=

= 4,54.107 chu kì

Vì: NHE1 > NHO1; NHE2 > NHO2; NFE1 > NF01; NFE2 > NFO2 cho nên:
KHL1 = KHL2 = KFL1= KFL2 =1
5. Theo bảng 6.13, giới hạn mỏi tiếp xúc và uốn của bánh rang được xác định
như sau:
= 2HB + 70 và

= 1,8.HB suy ra:



= 2.250 + 70 = 570 MPa



= 2.228 + 70 = 526 MPa



= 1,8.250 = 450 MPa



= 1,8.228 = 410,4 MPa

6. Ứng suất tiếp xúc cho phép:
11
=

.KHL

Khi tôi cải thiện SH=1,1; do đó:
=

.KHL1=

.1 = 466,4 MPa

=

.KHL2 =

.1 = 430,4 MPa

=>> ứng suất tiếp xúc cho phép tính toán:

=

= 430,4MPa

7. Ứng suất uốn cho phép:
=

.KFL chọn SF theo bảng 6.13 ta có SF=1,75

=>>

=

.KFL1 =

=

= 257 MPa

.KFL2 =

= 234,5 MPa

8. Chọn hệ số chiều rộng vành răng
Theo bảng 6.15 ta chọn ѱbe= 0,285 Ta có

=

= 0,74

Theo bảng 6.18, trục được lắp trên ổ đũa côn, chọn sơ bộ hệ số tải trọng tính
=1,613
Giá trị

có thể xác định gần đúng theo công thức:

=1+(

1).1,5 = 1 + (1.613 1).1,5 = 1,92

9. Tính toán sơ bộ đường kính vòng chia ngoài de1
de1=

= 95.

118mm

Với de1 = 118 và u = 4 ta tra bảng 6.19 ta chọn z1p=18
Do H1, H2 350HB nên ta có Z1 = 1,6.z1p= 1,6.18= 28,8 => chọn Z1 = 29
Khi đó Z2 = Z1.u = 29.4= 116
Môđun vòng chia ngoài: me =

=

= 4.06 chọn me = 4mm

10.Các thông số chủ yếu của bánh răng
12
+ Góc côn chia:
= acrtag

= arctag

= 140 và

= 90- = 90-14=760

+ Đường kính vòng chia ngoài:
de1 = me.Z1 = 4.29 = 116mm, de2 = me.Z2 = 4.116 = 464mm
+ Chiều dài côn ngoài:
Re = 0,5me.

=

= 239,14mm

+ Chiều dài côn trung bình:
Rm = Re .(1– 0,5ѱbe )= 239,14(1– 0,5.0,285) = 205,06mm
+ Môđun vòng trung bình:
mm= me.(1-0,5 ) = 4.(1-0,5.0,285) = 3,43mm
+ Đường kính vòng chia trung bình:
dm1 = mm.Z1 = 3,43.29 = 99,47mm, dm2 = mm.Z2 = 3,43.130 = 445,9mm
+ Chiều rộng vành răng:
b = ѱbe.Re = 0,285.266,39 = 75,92mm
11.Cấp chính xác bộ truyền
Vận tốc vòng theo đường kính trung bình: v =

=

= 1,67m/s

 chọn cấp chính xác bằng 8
Theo bảng 6.17 ta có hệ số tải trọng động KHv=KFv = 1,08
12.Kiểm nghiệm ứng suất tiếp:
Ứng suất tiếp xúc được xác định theo công thức:
= ZH.ZM.
Trong đó:
ZH - hệ số kể đến hình dạng bề mặt tiếp xúc, ZH = 1,76 khi = 20o
ZM - hệ số kể đến cơ tính vật liệu của các bánh rang ăn khớp, ZM = 275 MPa1/2

13
- hệ số kể đến sự trùng khớp của răng,
= 0,96
KH -hệ số tải trong tính KH =

=

nếu ta lấy

= 1,2 thì

.KHv = 1,613.1,08 = 1,742

Từ các thông số trên ta có:
= 275.1,76.0,96.

= 382,26 MPa

Ứng suất tiếp xúc cho phép:
=

.

ZR - hệ số ảnh hưởng của độ nhám bề mặt khi Ra = 1,25 – 2,5 m thì ZR =
0,95
Zv - hệ số ảnh hưởng vận tốc vòng khi HB
thì Zv= 0,85v0,1 =
0,85.1,670,1 = 0,895
Kl - hệ số xét đến ảnh hưởng của điều kiện bôi trơn thong thưởng chọn Kl = 1
- hệ số ảnh hưởng của kích thước răng:
=

= 1,02

Suy ra
=

.

=

= 399,33 MPa

= 382,26 MPa <
= 399,33 MPa
Vậy bộ truyền thỏa mãn điều kiện bên tiếp xúc.

14
Phần 3 : THIẾT KẾ HAI TRỤC TRONG TRONG HỘP GIẢM
TỐC
Phác thảo sơ bộ kết cấu trục :

1.

Thiết kế trục 1 trong hộp giảm tốc :

15
F
r

F
r1

I
F1
t

F
a1

1

a. Phân tích lực tác dụng lên hệ :
-

Lực tác dụng lên bộ truyền đai : Fr =1600 N

-

Lực tác dụng lên bánh răng côn 1 :

+ Ft1 = 2536,8 N
+ Fr1 = 895,89 N
+ Fa1 = 223.37 N
b. Chọn vật liệu làm trục là thép C45 có [σ] = 785 ( Mpa ) . chọn ứng suất

xoắn cho phép [τ] = 20 ( MPa ) .

c. Đường kính sơ bộ của trục :

16
d1 ≥

chọn d1 = 32 mm theo tiêu chuẩn ( Trang 342 tài liệu [1] ) tại v ị trí l ắp

bánh đai đầu trục bên trái , và chọn các kích thước khác như sau :

Ta có : l = e + u –
1

17
d. Thu gọn về dầm sức bền , tính các phản lực gối đỡ và biểu đồ moment :

18
z
x

Fr
A1

Ry
C

RBy
RBx

B1

Rx
C

y

r1
M F
a1

F
a1
C
1 Mt 1

D1
F1
t

e. Tính các phản lực gồi đỡ :
+ Tính Rcy :

+ Tính R :
By

19
+ Tính Rcx :

+ Tính

i.

=0

Biểu đồ momen uốn của trục :
Biểu đồ Mx :

Ta có momen uốn Mx tại các tiết diện A , B , C , D :
M =0.
Ax

20
M = Fr*f = 1600*90 = 144000 (Nmm).
Bx

M = M = F * d /2 = 223,37*99,47/2 = 11109,306 (Nmm)
Dx

a1

a1

m1

M =M – Fr*( l – e ) = 11109,306 – 895,89 *(180,817 – 90 ) = Cx

a1

1

70252,736 (Nmm)

M
x

70252.736 N m
m

A1

D
1

B1
C
1

11
1 09.306 N m
m
1
44000 N m
m

21
ii.

Biểu đồ My :
Momen uốn My tại các tiết diện :
M =0.
Ay

M = 0.
By

M =
Cy

M
y
230384.566 Nm
m

A1

B1

C
1

D1

22
iii.

Biểu đồ momen xoắn T :

23
T
1
26295.1 N m
98 m

A1

B1

C
1

D
1

f. Xác định chính xác đường kính tại các tiết diện bằng moment tương
đương :
Chọn sơ bộ [σ] = 70 ( MPa ).
Momen tương đương tại các tiết diện :

24
-

A:

-

B:

-

C:

25
-

D:



Đường kính tại A1 :

Chọn dA1 = 28 ( mm )

Đường kính tại B1 :



Đường kính tại C1 :

Như vậy chọn dB1 = dC1 = 35 (mm).

Đường kính tại D1 :

26
Chọn dD1 = 28 (mm) .
Các đường kính được chọn đều nhỏ hơn 50 (mm) nên việc chọn [σ] = 70 (MPa)
là hợp lý .
Phác thảo lại trục :

C
1

D
1
28
Ø

B1
Ø35

Ø28

A1

2. Thiết kế trục 2 trong hộp giảm tốc :

II

F
a2

F
r2

F2
t

A2

C
2
B2

D
2
F
r

2
a. Phân tích lực tác dụng lên hệ :
- Lực tác dụng lên bánh răng :
Ft2 = Ft1 = 2536,8 ( N )
Fa2 = Fr1 = 895,89 (N )
27
Fr2 = Fr1 = 223,37 (N )
- Lực tác dụng lên khớp nối :
+ Chọn khớp nối trục đàn hồi : Với T2 = 477500 (Nmm)  ta chọn nối
trục đàn hồi theo bảng 9.10a tài liệu [2] khớp có các thông số sau :
d = 56 ( mm ) ; D = 170 (mm) ; dm = 95 ( mm) ; d1 = 90 (mm) ; D0
=130 ( mm ) .
Lực khớp nối tác dụng nên trục : Fr = ( 0,2-0,3 ) 2T/D0
= ( 0,2-0,3 )*2*477500/130 =
2203,846 (N )

b. Chọn vật liệu làm trục là thép C45 có [σ] = 785 ( Mpa ) . chọn ứng suất

xoắn cho phép [τ] = 15 ( MPa ) .

c. Tính toán đường kính sơ bộ của trục :

Dựa vào bảng 10.2 tài liệu [1] ta chọn kết cấu trục như sau :

28
Ø 60

Ø55

l/ 2

l1
l=250

f =90

Tính toán khoảng cách giữa các điểm theo :
l2 = ( 1- 1,5 )d2 = (1- 1,5 )* 60 = 60-90 ( mm )
Chọn l2 = 80 (mm)
X =10 (mm)
W = 60 (mm )
 l = 2 *( l2 + 2x + W/2 ) = 2* ( 80 + 2*10 +60/2 ) =260 (mm) .
 l1 = l/2 + x +

260/2 + 10 + ½ * 75,92*cos 230 = 174,942

(mm) .
chọn f =90 (mm) .
d. Thu gọn về dầm sức bền , tính phản lực gối đỡ và biểu đồ momen :

R
Ay
R
Ax

F
r2
M2
t
F2
t

A2

M
a2
F
a2
B2

Rx
C

Ry
C
F
r
C
2
29

D
2
- Thu gọn về dầm sức bền :
- Tính phản lực tại các gối đỡ :
+ Tính Rcy :

- Biểu đồ momen :
+ Biểu đồ Mx :
Giá trị Mx tại các tiết diện :
MAx = 0 ; MBx = - RAy*AB = -758,15*174,942 = - 132632,277 ( Nmm ).
MCx = 0. MDx = 0 .
30
1
32632.277 N m
m

M
x

A2

B2

C
2

D
2

+ Biểu đồ My :
Giá trị My tại các tiết diện :
MAy = 0 .
MBy = RAx*AB = 1592,774*174,942 = 278643,069 ( Nmm ) .
MCy = Fr*CD = 2203,846*90 = 198346,14 ( Nmm ).
MDy = 0.

M
y
A2

B2

C
2

D
2

1
98346.1 N m
4 m
278643.609 N m
m

+ Biểu đồ momen xoắn : T
T2 = 477500 ( Nmm ) .

31
477500 N m
m

T

A2

B2

C
2

D
2

e. Xác định chính xác đường kính trục theo momen tương tương :

Trong đó :

Chọn sơ bộ [σ] = 70 ( MPa ).

Tính toán momen tương đương tại các tiết diện :
+ Tại A :

+ Tại B :
32
+ Tại C :

+ Tại D:

Đường kính trục tại các tiết diện theo momen tương đượng và ứng
suất cho phép :

 Chọn đường kính tại các tiết diện :
dA2 = dC2 =45 (mm ) .
33
dB2 = 50 ( mm ).
dD2 = 45 (mm ) .
- Chọn then cho trục 1 : ( Tra bảng 5.2 trang 104 tài liệu [3] )
+ Tại D1 ( ∅ 28 mm) : b * h = 8 * 7 . Với chiều sâu rãnh trên trục : 4
mm.
+ TẠi A1 ( ∅ 28 mm) : b * h = 8 * 7 Với chiều sâu rãnh trên trục : 4
mm.
- Chọn then cho trục 2 : ( Tra bảng 5.2 trang 104 tài liệu [3] ) .
+ Tại B2 ( ∅ 50 mm) : b * h = 16 * 10 . Với chiều sâu rãnh trên trục : 5
mm .

+ Tại D2 (∅ 45 mm) : b * h = 14 * 9 . Với chiều sâu rãnh trên trục : 5
mm .
Với b và h lần lượt là chiều rộng và chiều cao danh nghĩa của then .
 Kết cấu trục khi chế tạo :

34
B2

D
2

Ø45

C
2
Ø50

Ø
45

A2

3. Kiểm nghiệm trục theo hệ số an toàn :
- Trục 1 : kiểm nghiệm tại các tiết diện A1 , C1 , D1 .
- Trục 2 : kiểm nghiệm tại các tiết diện A2, C2
Công thức kiểm nghiệm :

Trong đó :
s là hệ số an toàn tính toán
[s] hệ số an toàn cho phép . Lấy [s] = 1,5 .

s , s hệ số an toàn chỉ xét cho ứng suất uốn và ứng suất xoắn
σ

τ

- Xác định s , s theo công thức :
σ

τ

35
• Trong đó :
- σ = 0,45 * σb = 0,45 * 785 = 353,25 ( MPa ).
-1

- τ-1 = 0,23 * σ = 0,23 * 785 = 180,55 ( MPa ) .
b

- Biên độ và giá trị trung bình của ứng suất :
+ Do trục quay nên ứng suất uốn thay đổi theo chu kỳ đối xứng :
σ =σ
a

max

= M/W ; σ = 0 ( trên tất cả các tiết diện ) .
m

36
( M và W lần lượt là momen xoắn và momen cản xoắn ) .
a. Trục 1 :
 Tại A1 :

 Tại C1 :

37
 Tại D1 :

b. Trục 2
 Tại B2 :

 Tại C2 :

 Tại D2 :

+ Ứng suất tiếp thay đổi theo chu kỳ mạch động khi trục quay một chiều :

Với :
T1 = 126295,198 ( Nmm ) - trục 1
T2 =47500 ( Nmm ) - trục 2
W0 là momen cản xoắn. Tính toán theo công thức trong bảng trang 359 tài liệu
1.
38
→ Ứng suất tiếp
 Tại A1 :

 Tại C1

 Tại D1

 Tại B2

 Tại C2
39
 Tại D2

Tổng kết biên độ và giá trị trung bình của ứng suất tại các tiết diện :
σa MPa

σm MPa

τm = τ MPa

A1

0

0

15.86

C1

56.177

0

7.364

D1

6.084

0

15.86

B2

28.97

0

10.415

C2

21.766

0

13.1

D2

0

0

14.34

Tiết diện

a

40
- Hệ số ψ , ψ hệ số xét đến ảnh hưởng của ứng suất trung bình đến độ
σ

τ

bền mỏi và phụ thuộc vào cơ tính vật liệu ( Tra bảng tran 359 tài liệu
[1] với thép Cacbon trung bình ta được : ψ = 0,1 , ψ = 0.05 .
σ

τ

- Hệ số kích thước tra theo bảng 10.3 tài liệu [1] ta được :

+ Tại A1 và D1 :

Tra theo thép Cacbon kích thước d = 28 mm ∈

(20-30) mm
+ Tại B2 :

Tra theo thép Cacbon kích thước d = 50 mm ∈ (40-50)

mm
+ Tại D2 :

Tra theo thép Cacbon kích thước d = 45 mm ∈ (40-50)

mm.
- Hệ số tăng bền bề mặt với kiểu tăng bền là thấm cacbon thì β = 1,5
Tra bảng 10.4 tài liệu [1] .

41
- Hệ số K , K xét đến sự ảnh hưởng của tập trung ứng suất đến độ bền
σ

τ

mỏi tra bảng 10.8 - trục có rãnh then . Tại Các tiết diện :
+ Tại A1 , B1 , D2 , và B2 : :

Nội suy theo bảng 10.8 tài liệu [1] .
với σb =785 MPa .

-

Trị số

đối với tiết diện trục tại C1 và C2 ta chọn kiểu lắp

trung gian có độ dôi giữa trụ và ổ bi . Theo bảng 7.11 tài liệu [2] ta có
thể xác định :
+ Tại C1 :

2,41;

=1,84.

+ Tại C2 :

= 2,41 ;

=1,84

Đường kính nhỏ hơn 50 mm, σb =785 MPa .
Dựa vào các công thức kiểm nghiệm ta tổng kết được bảng số liệu sau :

42
Với σ-1 =353,25 MPa , τ-1 = 180,55 MPa

Tiết
diện

d
mm

s

A1

28

2.23

2.1

1.487

C1

35

2.41

1.84

D1

28

2.23

B2

50

C2
D2

s

s

1.4

--

7.85

7.85

1.61

1.227

3.9

19.1

3.82

2.1

1.487

1.4

39

7.85

7.6

2.42

2.398

1.613

1.6

7.56

10.5

6.13

45

2.41

1.84

1.61

1.227

10.08

10.756 7.35

45

2.42

2.398

1.613

1.6

--

7.618

σ

τ

7.618

43
→Theo bảng trên ta thấy các tiết diện đều thỏa điều kiện bền .theo hệ số an toàn.

Phần 4. Tính toán lựa chọn ổ lăn
 Thiết kế cặp ổ lăn trên trục 1:
z
x

F
r

Ry
C

RBy

A1

R
Bx

B1

Rx
C

M
a1

C
1

F
a1
Mt 1

y

F
r1
D
1

F1
t

+ Theo tính toán ở bài tập lớn số 4 ta có các số liệu:
RBy = 4430.6 N
RBx = 2559.8 N
RCy = 3276.5 N
RCx = 5096.6 N
+ Lực dọc trục : Fa1 = 223.4 N
Ta có:
FrB =

=

FrC =

=

- Vì FrC > FrB

= 5116.9 N

= 6058.9 N

nên ta chọn ổ lăn C để tính.

Fr = 6058.9 N
Fa = 223.4 N
- Vì Fa = 223.4 N < 0.3 Fr = 1817.7 N
nên ta tính theo công thức của ổ đỡ: Q = (X.V.Fr + Y.Fa) . Kd.Kt
trong đó: V = 1 (vì vòng trong quay)
X=1,Y=0
(vì Fa / (V.Fr) = 0.037 < e )
44
- Chọn Kd = 1 (vì làm việc hai ca tải trọng va đập nhẹ)
- Chọn Kt = 1 (vì nhiệt độ làm việc dưới 100 0C)
Ta tính được : Q = 6058.9 N
Khả năng tải động của ổ Cd = Q
= 46.8 kN
(vì tốc độ quay của trục 1 là 320.009 vòng/phút nên L = 460.8 triệu vòng)
Chọn [C] =48.5 kN > Cd = 46.8 kN
đường kính vòng trong của ổ lăn là d = 35 mm
nên ta chọn hai ổ lăn có ký hiệu là: 307 để lắp trên trục 1
 Thiết kế cặp ổ lăn trên trục 2:

F
r2

R
Ay

M
a2

M2
t

R
Ax

F2
t

F
a2
B2

A2

Rx
C

Ry
C
F
r

D
2

C
2

Theo tính toán ở bài tập lớn số 4 ta có các số liệu:
RAy = 695.2 N
RAx = 1592.8N
RCy = 981.5 N
RCx = 1259.8 N
Lực dọc trục : Fa2 = 895.9 N
Ta có: FrA =

=

FrC =

=

= 1737.9 N

= 1579 N

Ta chọn ổ đũa côn để lắp, ta có
lực dọc trục phụ do lực hướng tâm gây ra tại A là:
SA = 0.83(1.5tan )Fr = 459.9 N (chọn =120)
Lực dọc trục phụ do Lực hướng tâm gây ra tại C là:
là SC = 0.83(1.5tan )Fr = 417.9 N (chọn =120)
TH1 : tính toán ổ lăn tại A:
Fr = 1737.9 N

Fa = 895.9 N
45
Ta có:

= - Fa + Sc = -478 < SA nên ta chọn :
= SA = 459.9 N

ta tính theo công thức của ổ đỡ chặn: Q = (X.V.Fr + Y.
X = 0.4 , Y = 1.88 (tra bảng 11.3: ổ đũa côn)
V = 1 (vòng trong quay) , Fr = 1737.9 N
Chọn Kd = 1 (vì làm việc hai ca tải trọng va đập nhẹ)
Chọn Kt = 1 (vì nhiệt độ làm việc dưới 100 0C)
Ta tính được: QA = 1559.8 N
TH2: tính toán ổ lăn tại C:
Fr = 1579 N
Ta có:

) . Kd.Kt

Fa = 895.9 N

= + F a + SA

= 1355.8 N

ta tính theo công thức của ổ đỡ chặn: Q = (X.V.Fr + Y.
X = 0.4 , Y = 1.88 (tra bảng 11.3: ổ đũa côn)
V = 1 (vòng trong quay) , Fr = 1579 N
Chọn Kd = 1 (vì làm việc hai ca tải trọng va đập nhẹ)
Chọn Kt = 1 (vì nhiệt độ làm việc dưới 100 0C)
Ta tính được QC = 3180.5 N
Vì QC > QA nên ta chọn ổ lăn tại C để tính

) . Kd.Kt

Khả năng tải động của ổ Cd = Q
= 15.48 kN
(vì tốc độ quay của trục 1 là 80 vòng/phút nên L = 115.2 triệu vòng)
Chọn [C] =16.5 kN > Cd = 15.48 kN
Đường kính trong của ổ lăn là: 45 mm
Và ta chọn ổ đũa côn nên nên ta chọn hai ổ lăn có ký hiệu là: 7109 để lắp
trên trục 2

46
Tài liệu tham khảo.
- Cơ Sở Thiết Kế Máy
- Thiết Kế Chi tiết Máy Công Dụng Chung
- Vẽ Kỹ Thuật Cơ Khí

Thầy : Nguyễn Hữu Lộc .
Thầy : Trần Thiên Phúc .
Thầy : Lê Khánh Điền .

47

Btl chi tiết máy

  • 1.
    ĐẠI HỌC QUỐCGIA ĐẠI HỌC BÁCH KHOA TP.HCM BÀI CÁO BÁO BÀI TẬP LỚN CHI TIẾT MÁY GVHD : THẦY BÙI TRỌNG HIẾU LỚP : CK11CD01 NHÓM : 7 ĐỀ 4 PHƯƠNG ÁN: 8. TP.HCM tháng 12 năm 2013 1
  • 2.
    Danh sách thànhviển và công việc của từng thành viên: Thành viên Trương Anh Quốc Khanh Huỳnh Hữu Thuận Ngô Văn Tuấn Trần Văn Đức Phan Quốc Hòa Mssv 21101571 Công việc Phân chia công việc, mô phỏng hoạt 21103491 động hộp giảm tốc. kiểm tra, tổng kết Tính toán thiết kê lựa chọn đọng cơ 21103992 điện, thiết kế hệ thốn đai dẹt Tính toán thiết kế hệ thống bánh răng 21100887 21101289 côn Tính toán thiết kế hai trục Tính toán thiết kế lựa chọn ổ lăn 2
  • 3.
    Mục lục Trang 1. 2. 3. 4. 5. Tính toánchọn động cơ điện Tính toán thiết kế hệ thống đai dẹt Thiết kế bộ truyền bánh răng côn Thiết kế hai trục trong hộp giảm tốc Tính toán lựa chọn hai cặp ổ bi 4 7 10 14 31 PHẦN 1: Chọn động cơ điện, phân phối tỉ số truyền 3
  • 4.
    I. TÍNH TOÁNCHỌN ĐỘNG CƠ ĐIỆN. 1. Hiệu suất truyền động: Ta có : η = η ñη brη knηo2l Tra bảng 2.3 [1], ta chọn được các hiệu suất sau: η ñ = 0,95 : Hiệu suất bộ truyền đai dẹt. η br = 0,95 : Hiệu suất của bộ truyền bánh răng nón. η kn = 1 : Hiệu suất của khớp nối trục đàn hồi. η ol = 0,995 : Hiệu suất của một cặp ổ lăn. Nên : η = ηñηbrηknηo2l = 0,95 × 0,95 × 1× 0,9952 = 0,89  Vậy, hiệu suất truyền động là: η = 0,893 2. Công suất tính toán:  Trường hợp tải trọng thay đổi thì: Pt = Ptđ (Công suất tương đương) • “Công suất tương đương” được xác định bởi công thức: 2 2 2 2  T1   T2  T   0,7T   ÷ t1 +  ÷ t2  ÷ 48 +  ÷ 15 Ptđ = kW = Pt T  T  T   T  Pm =4 = 3,749 t1 + t2 48 + 15 Trong đó: Tm = T T1 = T; T2 = 0,7T; t1 = 48s và t2 = 15s  Vậy, công suất tính toán là: Pt = 3,749 kW 3. Công suất cần thiết trên trục động cơ:  Công suất cần thiết trên trục động cơ điện được xác định bởi: P 3,749 Pct = t = = 4,198 kW η 0,893  Vậy, công suất cần thiết trên trục động cơ là: Pct = 4,198 kW 4. Xác định số vòng quay sơ bộ của động cơ:  Số vòng quay trên trục thùng trộn : n = 80 vòng/ phút Tỉ số truyền toàn bộ của hệ thống dẫn động: ut = uñ ubr = 4 × 4 = 16 Trong đó, ta chọn: uđ = 4 và ubr = 4  Vậy, số vòng quay sơ bộ của động cơ điện là: nsb =16 × 80 = 1280 vòng/phút. 5. Chọn động cơ điện: Ở đây, ta chọn động cơ thõa mãn điều kiện sau: 4
  • 5.
     P ≥4,198 kW P ≥ P  ñc  ñc ct , tức là ta phải tìm động cơ thỏa mãn    nñb ≈ nsb  nñb = 1280 vg / ph   Tra bảng ,ta chọn được động cơ sau: Công Kiểu động Vận tốc suất cơ quay, vg/ph kW 4A112M4Y3 5,5 1425 II. PHÂN PHỐI TỈ SỐ TRUYỀN. 1. Tỉ số truyền chung của hệ thống dẫn động: n 1425 ut = ñc = = 17,813 nlv 80 Trong đó: nđc = 1425 vòng/phút; nlv = 80 vòng/phút. Chọn ubr = 4.  Tỉ số truyền của bộ truyền đai thang: u 17,813 uñ = t = = 4,453 ubr 4 Trong đó: ut = 17,813; ubr = 4. III. LẬP BẢNG ĐẶC TÍNH. 1. Tính toán công suất trên các trục: P 4 PI = max = = 4 kW I η kn 1 P= I PI 4 I = = 4,232 kW ηbrηo l 0,95 × 0,995 P = dc P 4,232 I = = 4,477 kW ηdηo l 0,95 × 0,995 2. Tính toán số vòng quay các trục:  Số vòng quay của trục I được xác định bởi: 5
  • 6.
    nI = nñc 1425 = =320,009 vòng/phút uñ 4,453  Số vòng quay của trục II được xác định bởi: n 320,009 nII = I = = 80 vòng/phút ubr 4  Vậy: - Số vòng quay trục I là: nI = 320,009 vòng/phút. - Số vòng quay trục II là: nII = 80 vòng/phút. 3. Tính toán moment xoắn trên các trục:  Moment xoắn trên trục động cơ: P 4,477 Tñc = 9,55.106 ñc = 9,55.106 = 30003,754 Nmm nñc 1425 Trong đó: Pđc = 4,477 kW; nđc = 1425 vòng/phút.  Moment xoắn trên trục I: P 4,232 TI = 9,55.106 I = 9,55.106 = 126295,198 Nmm nI 320,009 Trong đó: PI = 4,232 kW; nI = 320,009 vòng/phút.  Moment xoắn trên trục II: P 4 TII = 9,55.106 II = 9,55.106 = 477500 Nmm nII 80 Trong đó: PII = 4 kW; nII = 80 vòng/phút. 4. Bảng đặc tính: Thông số/Trục Động cơ Trục I Trục II Công suất (kW) 4,477 4,232 4 Tỉ số truyền 4,453 4 30003,75 126295,19 Moment xoắn (Nmm) 4 8 477500 Số vòng quay (vòng/phút) 1425 320,009 80 PHẦN 2: Thiết kế bộ truyền đai dẹt 6
  • 7.
    I. THÔNG SỐKĨ THUẬT THIẾT KẾ BỘ TRUYỀN ĐAI DẸT. 1. Công suất bộ truyền: P = 4,477 kW. 2. Số vòng quay bánh dẫn: n1 = nđc = 1425 vòng/phút. 3. Tỉ số truyền: uđ = 4,453. 4. Moment xoắn: T1 = 30003,754 Nmm. II. THIẾT KẾ BỘ TRUYỀN ĐAI DẸT. 1. Chọn dạng đai: vải cao su 2. Tính đường kính bánh đai nhỏ d1: d1 = (1100 ÷ 1300) 3 P 4, 477 1 = (1100 ÷ 1300) 3 = 161,1 ÷ 190, 4 n1 1425 Theo tiêu chuẩn, ta chọn d1 = 180 mm. 3. Vận tốc đai: π d 1n1 π × 180 × 1425 v1 = = = 13,43 m/s 60000 60000 4. Giả sử ta chọn hệ số trượt tương đối ξ = 0,02 . Đường kính bánh đai lớn: d 2 = ud 1 ( 1 − ξ ) = 4,453 × 180 × ( 1 − 0,02) = 785,5 mm Theo tiêu chuẩn ta chọn d2 = 800 mm. d2 800 = = 4,54 Tỷ số truyền thực tế: u = d 1 ( 1 − ξ ) 180 × ( 1 − 0,02) Sai lệch so với giá trị chọn trước 1,95% 5. Khoảng cách trục nhỏ nhất xác định theo công thức: 15000 ≥ a ≥ 2( d 1 + d 2 ) = 2 × (180 + 800) = 1960 15000 ≥ a ≥ 1960 mm Ta có thể chọn sơ bộ a = 1960mm. 6. Chiều dài tính toán của đai: L = 2a + π ( d 2 + d1 ) 2 (d + − d1 ) 2 π ( 180 + 800) 4a 2 ( 800 − 180) + 2 = 5507,63mm 2 4 × 1960 Chọn theo tiêu chuẩn L = 5600 mm = 5,6m. 7. Số vòng chạy của đai trong một giây: v 13,43 i= = = 2,398 s-1 ; vì [i] = 10s-1, do đó điều kiện được thỏa. L 5,6 8. Góc ôm bánh đai nhỏ: = 2 × 1960 + 7
  • 8.
    α1 = 180o− 57 d 2 − d1 800 − 180 = 180o − 57 = 161,97o = 2,83 rad. a 1960 d1 ≥ 25 δ 9. Chọn chiều dày đai δ = 6mm thoả 10. Các hệ số sử dụng: - Hệ số xét đến ảnh hưởng góc ôm đai: Cα = 1 − 0,003 180o − α1 = 1 − 0,003(180o − 161,97o ) = 0,9459 ( ) - Hệ số xét đến ảnh hưởng vận tốc: Cv = 1 − c v 0,01v 2 − 1 = 1 − 0,04 0,01× 13,432 − 1 = 0,9679 ( - ) ( ) Co = 1 - Hệ số xét đến ảnh hưởng chế độ làm việc và sự thay đổi tải trọng (làm việc hai ca) : Cr = 0,6 Tra bảng 4.7 trang 147 với Nên ta có: b≥ d1 180 = = 30 => chọn [σ t ]o = 2,17 MPa δ 6 1000 P 1000 × 4, 477 1 = = 46, 6 mm δ v[σ t ] 6 ×13, 43 × 2,17 × 0,9459 × 0,9679 × 0, 6 ×1 Chọn theo tiêu chuẩn b=50 mm 11. Theo bảng 4.5, chọn chiều rộng bánh đai : B= 63mm 12. Lực căng đai ban đầu: F = σ o bδ = 1,8 × 50 × 6 = 540 N o  161,97 o  α1  = 3 × 540 × sin  ÷ = 1600 N ÷ 2   2   Lực tác dụng lên trục: Fr = 3Fo sin  13.Lực vòng có ích: 1000P 1000 × 4,477 1 = = 333,36 N v1 13,43 14.Từ điều kiện để không xảy ra trượt trơn F e fα + 1 F ≥ t fα o 2 e −1 từ đây suy ra: 1 2F + F 1 2 × 540 + 333,36 t f = ln o = ln = 0,23 α 2F − F 2,82 2 × 540 − 333,36 o t F= t 15.Ứng suất lớn nhất trong dây đai: 8
  • 9.
    σ max =σ 1 + σ v + σ u1 = σ o + 0,5σ t + σ v + σ u1 F F 2y σ max = o + t + ρ v 2 .10−6 + 0 E A 2A d1 540 333,36 6 = + + 1200 × 13,432.10−6 + × 100 = 5,42 MPa 6 × 63 2 × 6 × 63 180 16. Tuổi thọ đai xác định theo công thức m 5  σr   6  7 7  ÷ 10  5,42 ÷ 10 giờ σ max   Lh =  =  = 962,89 2 × 3600i 2 × 3600 × 2,398 9
  • 10.
    Phần 2: Tínhtoán thiết kế hệ thống bánh răng côn Dữ liệu đầu vào: ubr=4 T=126295.198 Nmm n=320vg/ph Vì bộ truyền bánh răng ở đây là bộ truyền kín (hộp giảm tốc) được bôi trơn tốt nên dạng hỏng chủ yếu là tróc rỗ bề mặt răng. Do đó, ta tiến hành tính toán thiết kế theo ứng suất tiếp xúc 1. Chọn vật liệu cho bánh dẫn và bánh bị dẫn. Chọn thép 40Cr được tôi cải thiện. Theo bảng 6.13 độ rắn của thép 40Cr là HB 180 ÷ 350 Để bộ truyền bán răng có khả năng chạy mòn tốt thì độ rắn của bánh dẫn H1 và bánh bị dẫn H2 phải theo quan hệ: H1 ≥ H2 + (10 ÷ 15) HB Do đó, đối với bánh dẫn chọn độ rắn trung bình HB1 = 250, đối với bánh bị dẫn chọn độ rắn trung bình HB2 = 228. 2. Số chu kì làm việc cơ sở NHO1 = 30HB2,4 = 30.2502,4 = 1,71.107 chu kì NHO2 = 30HB2,4 = 30.2282,4 = 1,37.107 chu kì 3. Số chu kì cơ sở NFO=NFO1=NFO2=5.106 chu kì 4. Số chu kì làm việc tương đương NHE1 = 60c.[ )3.ni.ti] = 60.1.320. 10
  • 11.
    Trong đó t1= .Lh= 0,67Lh; t2=0,24Lh Lh= Kng.24.Kn.365.L=24.300.5=12000 (giờ) Từ đây suy ra: NHE1=60.1.320.(13.0,76 + 0.73.0,24).12000=19,41.107 chu kì Suy ra NHE2 = = = 4,85.107 chu kì Tương tự ta có NFE1 = 60.1.320.(16.0,76 + 0,76.0,24).12000 = 18,16.107 chu kì NFE2 = = = 4,54.107 chu kì Vì: NHE1 > NHO1; NHE2 > NHO2; NFE1 > NF01; NFE2 > NFO2 cho nên: KHL1 = KHL2 = KFL1= KFL2 =1 5. Theo bảng 6.13, giới hạn mỏi tiếp xúc và uốn của bánh rang được xác định như sau: = 2HB + 70 và = 1,8.HB suy ra:  = 2.250 + 70 = 570 MPa  = 2.228 + 70 = 526 MPa  = 1,8.250 = 450 MPa  = 1,8.228 = 410,4 MPa 6. Ứng suất tiếp xúc cho phép: 11
  • 12.
    = .KHL Khi tôi cảithiện SH=1,1; do đó: = .KHL1= .1 = 466,4 MPa = .KHL2 = .1 = 430,4 MPa =>> ứng suất tiếp xúc cho phép tính toán: = = 430,4MPa 7. Ứng suất uốn cho phép: = .KFL chọn SF theo bảng 6.13 ta có SF=1,75 =>> = .KFL1 = = = 257 MPa .KFL2 = = 234,5 MPa 8. Chọn hệ số chiều rộng vành răng Theo bảng 6.15 ta chọn ѱbe= 0,285 Ta có = = 0,74 Theo bảng 6.18, trục được lắp trên ổ đũa côn, chọn sơ bộ hệ số tải trọng tính =1,613 Giá trị có thể xác định gần đúng theo công thức: =1+( 1).1,5 = 1 + (1.613 1).1,5 = 1,92 9. Tính toán sơ bộ đường kính vòng chia ngoài de1 de1= = 95. 118mm Với de1 = 118 và u = 4 ta tra bảng 6.19 ta chọn z1p=18 Do H1, H2 350HB nên ta có Z1 = 1,6.z1p= 1,6.18= 28,8 => chọn Z1 = 29 Khi đó Z2 = Z1.u = 29.4= 116 Môđun vòng chia ngoài: me = = = 4.06 chọn me = 4mm 10.Các thông số chủ yếu của bánh răng 12
  • 13.
    + Góc cônchia: = acrtag = arctag = 140 và = 90- = 90-14=760 + Đường kính vòng chia ngoài: de1 = me.Z1 = 4.29 = 116mm, de2 = me.Z2 = 4.116 = 464mm + Chiều dài côn ngoài: Re = 0,5me. = = 239,14mm + Chiều dài côn trung bình: Rm = Re .(1– 0,5ѱbe )= 239,14(1– 0,5.0,285) = 205,06mm + Môđun vòng trung bình: mm= me.(1-0,5 ) = 4.(1-0,5.0,285) = 3,43mm + Đường kính vòng chia trung bình: dm1 = mm.Z1 = 3,43.29 = 99,47mm, dm2 = mm.Z2 = 3,43.130 = 445,9mm + Chiều rộng vành răng: b = ѱbe.Re = 0,285.266,39 = 75,92mm 11.Cấp chính xác bộ truyền Vận tốc vòng theo đường kính trung bình: v = = = 1,67m/s  chọn cấp chính xác bằng 8 Theo bảng 6.17 ta có hệ số tải trọng động KHv=KFv = 1,08 12.Kiểm nghiệm ứng suất tiếp: Ứng suất tiếp xúc được xác định theo công thức: = ZH.ZM. Trong đó: ZH - hệ số kể đến hình dạng bề mặt tiếp xúc, ZH = 1,76 khi = 20o ZM - hệ số kể đến cơ tính vật liệu của các bánh rang ăn khớp, ZM = 275 MPa1/2 13
  • 14.
    - hệ sốkể đến sự trùng khớp của răng, = 0,96 KH -hệ số tải trong tính KH = = nếu ta lấy = 1,2 thì .KHv = 1,613.1,08 = 1,742 Từ các thông số trên ta có: = 275.1,76.0,96. = 382,26 MPa Ứng suất tiếp xúc cho phép: = . ZR - hệ số ảnh hưởng của độ nhám bề mặt khi Ra = 1,25 – 2,5 m thì ZR = 0,95 Zv - hệ số ảnh hưởng vận tốc vòng khi HB thì Zv= 0,85v0,1 = 0,85.1,670,1 = 0,895 Kl - hệ số xét đến ảnh hưởng của điều kiện bôi trơn thong thưởng chọn Kl = 1 - hệ số ảnh hưởng của kích thước răng: = = 1,02 Suy ra = . = = 399,33 MPa = 382,26 MPa < = 399,33 MPa Vậy bộ truyền thỏa mãn điều kiện bên tiếp xúc. 14
  • 15.
    Phần 3 :THIẾT KẾ HAI TRỤC TRONG TRONG HỘP GIẢM TỐC Phác thảo sơ bộ kết cấu trục : 1. Thiết kế trục 1 trong hộp giảm tốc : 15
  • 16.
    F r F r1 I F1 t F a1 1 a. Phân tíchlực tác dụng lên hệ : - Lực tác dụng lên bộ truyền đai : Fr =1600 N - Lực tác dụng lên bánh răng côn 1 : + Ft1 = 2536,8 N + Fr1 = 895,89 N + Fa1 = 223.37 N b. Chọn vật liệu làm trục là thép C45 có [σ] = 785 ( Mpa ) . chọn ứng suất xoắn cho phép [τ] = 20 ( MPa ) . c. Đường kính sơ bộ của trục : 16
  • 17.
    d1 ≥ chọn d1= 32 mm theo tiêu chuẩn ( Trang 342 tài liệu [1] ) tại v ị trí l ắp bánh đai đầu trục bên trái , và chọn các kích thước khác như sau : Ta có : l = e + u – 1 17
  • 18.
    d. Thu gọnvề dầm sức bền , tính các phản lực gối đỡ và biểu đồ moment : 18
  • 19.
    z x Fr A1 Ry C RBy RBx B1 Rx C y r1 M F a1 F a1 C 1 Mt1 D1 F1 t e. Tính các phản lực gồi đỡ : + Tính Rcy : + Tính R : By 19
  • 20.
    + Tính Rcx: + Tính i. =0 Biểu đồ momen uốn của trục : Biểu đồ Mx : Ta có momen uốn Mx tại các tiết diện A , B , C , D : M =0. Ax 20
  • 21.
    M = Fr*f= 1600*90 = 144000 (Nmm). Bx M = M = F * d /2 = 223,37*99,47/2 = 11109,306 (Nmm) Dx a1 a1 m1 M =M – Fr*( l – e ) = 11109,306 – 895,89 *(180,817 – 90 ) = Cx a1 1 70252,736 (Nmm) M x 70252.736 N m m A1 D 1 B1 C 1 11 1 09.306 N m m 1 44000 N m m 21
  • 22.
    ii. Biểu đồ My: Momen uốn My tại các tiết diện : M =0. Ay M = 0. By M = Cy M y 230384.566 Nm m A1 B1 C 1 D1 22
  • 23.
  • 24.
    T 1 26295.1 N m 98m A1 B1 C 1 D 1 f. Xác định chính xác đường kính tại các tiết diện bằng moment tương đương : Chọn sơ bộ [σ] = 70 ( MPa ). Momen tương đương tại các tiết diện : 24
  • 25.
  • 26.
    - D:  Đường kính tạiA1 : Chọn dA1 = 28 ( mm )  Đường kính tại B1 :  Đường kính tại C1 : Như vậy chọn dB1 = dC1 = 35 (mm).  Đường kính tại D1 : 26
  • 27.
    Chọn dD1 =28 (mm) . Các đường kính được chọn đều nhỏ hơn 50 (mm) nên việc chọn [σ] = 70 (MPa) là hợp lý . Phác thảo lại trục : C 1 D 1 28 Ø B1 Ø35 Ø28 A1 2. Thiết kế trục 2 trong hộp giảm tốc : II F a2 F r2 F2 t A2 C 2 B2 D 2 F r 2 a. Phân tích lực tác dụng lên hệ : - Lực tác dụng lên bánh răng : Ft2 = Ft1 = 2536,8 ( N ) Fa2 = Fr1 = 895,89 (N ) 27
  • 28.
    Fr2 = Fr1= 223,37 (N ) - Lực tác dụng lên khớp nối : + Chọn khớp nối trục đàn hồi : Với T2 = 477500 (Nmm)  ta chọn nối trục đàn hồi theo bảng 9.10a tài liệu [2] khớp có các thông số sau : d = 56 ( mm ) ; D = 170 (mm) ; dm = 95 ( mm) ; d1 = 90 (mm) ; D0 =130 ( mm ) . Lực khớp nối tác dụng nên trục : Fr = ( 0,2-0,3 ) 2T/D0 = ( 0,2-0,3 )*2*477500/130 = 2203,846 (N ) b. Chọn vật liệu làm trục là thép C45 có [σ] = 785 ( Mpa ) . chọn ứng suất xoắn cho phép [τ] = 15 ( MPa ) . c. Tính toán đường kính sơ bộ của trục : Dựa vào bảng 10.2 tài liệu [1] ta chọn kết cấu trục như sau : 28
  • 29.
    Ø 60 Ø55 l/ 2 l1 l=250 f=90 Tính toán khoảng cách giữa các điểm theo : l2 = ( 1- 1,5 )d2 = (1- 1,5 )* 60 = 60-90 ( mm ) Chọn l2 = 80 (mm) X =10 (mm) W = 60 (mm )  l = 2 *( l2 + 2x + W/2 ) = 2* ( 80 + 2*10 +60/2 ) =260 (mm) .  l1 = l/2 + x + 260/2 + 10 + ½ * 75,92*cos 230 = 174,942 (mm) . chọn f =90 (mm) . d. Thu gọn về dầm sức bền , tính phản lực gối đỡ và biểu đồ momen : R Ay R Ax F r2 M2 t F2 t A2 M a2 F a2 B2 Rx C Ry C F r C 2 29 D 2
  • 30.
    - Thu gọnvề dầm sức bền : - Tính phản lực tại các gối đỡ : + Tính Rcy : - Biểu đồ momen : + Biểu đồ Mx : Giá trị Mx tại các tiết diện : MAx = 0 ; MBx = - RAy*AB = -758,15*174,942 = - 132632,277 ( Nmm ). MCx = 0. MDx = 0 . 30
  • 31.
    1 32632.277 N m m M x A2 B2 C 2 D 2 +Biểu đồ My : Giá trị My tại các tiết diện : MAy = 0 . MBy = RAx*AB = 1592,774*174,942 = 278643,069 ( Nmm ) . MCy = Fr*CD = 2203,846*90 = 198346,14 ( Nmm ). MDy = 0. M y A2 B2 C 2 D 2 1 98346.1 N m 4 m 278643.609 N m m + Biểu đồ momen xoắn : T T2 = 477500 ( Nmm ) . 31
  • 32.
    477500 N m m T A2 B2 C 2 D 2 e.Xác định chính xác đường kính trục theo momen tương tương : Trong đó : Chọn sơ bộ [σ] = 70 ( MPa ). Tính toán momen tương đương tại các tiết diện : + Tại A : + Tại B : 32
  • 33.
    + Tại C: + Tại D: Đường kính trục tại các tiết diện theo momen tương đượng và ứng suất cho phép :  Chọn đường kính tại các tiết diện : dA2 = dC2 =45 (mm ) . 33
  • 34.
    dB2 = 50( mm ). dD2 = 45 (mm ) . - Chọn then cho trục 1 : ( Tra bảng 5.2 trang 104 tài liệu [3] ) + Tại D1 ( ∅ 28 mm) : b * h = 8 * 7 . Với chiều sâu rãnh trên trục : 4 mm. + TẠi A1 ( ∅ 28 mm) : b * h = 8 * 7 Với chiều sâu rãnh trên trục : 4 mm. - Chọn then cho trục 2 : ( Tra bảng 5.2 trang 104 tài liệu [3] ) . + Tại B2 ( ∅ 50 mm) : b * h = 16 * 10 . Với chiều sâu rãnh trên trục : 5 mm . + Tại D2 (∅ 45 mm) : b * h = 14 * 9 . Với chiều sâu rãnh trên trục : 5 mm . Với b và h lần lượt là chiều rộng và chiều cao danh nghĩa của then .  Kết cấu trục khi chế tạo : 34
  • 35.
    B2 D 2 Ø45 C 2 Ø50 Ø 45 A2 3. Kiểm nghiệmtrục theo hệ số an toàn : - Trục 1 : kiểm nghiệm tại các tiết diện A1 , C1 , D1 . - Trục 2 : kiểm nghiệm tại các tiết diện A2, C2 Công thức kiểm nghiệm : Trong đó : s là hệ số an toàn tính toán [s] hệ số an toàn cho phép . Lấy [s] = 1,5 . s , s hệ số an toàn chỉ xét cho ứng suất uốn và ứng suất xoắn σ τ - Xác định s , s theo công thức : σ τ 35
  • 36.
    • Trong đó: - σ = 0,45 * σb = 0,45 * 785 = 353,25 ( MPa ). -1 - τ-1 = 0,23 * σ = 0,23 * 785 = 180,55 ( MPa ) . b - Biên độ và giá trị trung bình của ứng suất : + Do trục quay nên ứng suất uốn thay đổi theo chu kỳ đối xứng : σ =σ a max = M/W ; σ = 0 ( trên tất cả các tiết diện ) . m 36
  • 37.
    ( M vàW lần lượt là momen xoắn và momen cản xoắn ) . a. Trục 1 :  Tại A1 :  Tại C1 : 37
  • 38.
     Tại D1: b. Trục 2  Tại B2 :  Tại C2 :  Tại D2 : + Ứng suất tiếp thay đổi theo chu kỳ mạch động khi trục quay một chiều : Với : T1 = 126295,198 ( Nmm ) - trục 1 T2 =47500 ( Nmm ) - trục 2 W0 là momen cản xoắn. Tính toán theo công thức trong bảng trang 359 tài liệu 1. 38
  • 39.
    → Ứng suấttiếp  Tại A1 :  Tại C1  Tại D1  Tại B2  Tại C2 39
  • 40.
     Tại D2 Tổngkết biên độ và giá trị trung bình của ứng suất tại các tiết diện : σa MPa σm MPa τm = τ MPa A1 0 0 15.86 C1 56.177 0 7.364 D1 6.084 0 15.86 B2 28.97 0 10.415 C2 21.766 0 13.1 D2 0 0 14.34 Tiết diện a 40
  • 41.
    - Hệ sốψ , ψ hệ số xét đến ảnh hưởng của ứng suất trung bình đến độ σ τ bền mỏi và phụ thuộc vào cơ tính vật liệu ( Tra bảng tran 359 tài liệu [1] với thép Cacbon trung bình ta được : ψ = 0,1 , ψ = 0.05 . σ τ - Hệ số kích thước tra theo bảng 10.3 tài liệu [1] ta được : + Tại A1 và D1 : Tra theo thép Cacbon kích thước d = 28 mm ∈ (20-30) mm + Tại B2 : Tra theo thép Cacbon kích thước d = 50 mm ∈ (40-50) mm + Tại D2 : Tra theo thép Cacbon kích thước d = 45 mm ∈ (40-50) mm. - Hệ số tăng bền bề mặt với kiểu tăng bền là thấm cacbon thì β = 1,5 Tra bảng 10.4 tài liệu [1] . 41
  • 42.
    - Hệ sốK , K xét đến sự ảnh hưởng của tập trung ứng suất đến độ bền σ τ mỏi tra bảng 10.8 - trục có rãnh then . Tại Các tiết diện : + Tại A1 , B1 , D2 , và B2 : : Nội suy theo bảng 10.8 tài liệu [1] . với σb =785 MPa . - Trị số đối với tiết diện trục tại C1 và C2 ta chọn kiểu lắp trung gian có độ dôi giữa trụ và ổ bi . Theo bảng 7.11 tài liệu [2] ta có thể xác định : + Tại C1 : 2,41; =1,84. + Tại C2 : = 2,41 ; =1,84 Đường kính nhỏ hơn 50 mm, σb =785 MPa . Dựa vào các công thức kiểm nghiệm ta tổng kết được bảng số liệu sau : 42
  • 43.
    Với σ-1 =353,25MPa , τ-1 = 180,55 MPa Tiết diện d mm s A1 28 2.23 2.1 1.487 C1 35 2.41 1.84 D1 28 2.23 B2 50 C2 D2 s s 1.4 -- 7.85 7.85 1.61 1.227 3.9 19.1 3.82 2.1 1.487 1.4 39 7.85 7.6 2.42 2.398 1.613 1.6 7.56 10.5 6.13 45 2.41 1.84 1.61 1.227 10.08 10.756 7.35 45 2.42 2.398 1.613 1.6 -- 7.618 σ τ 7.618 43
  • 44.
    →Theo bảng trênta thấy các tiết diện đều thỏa điều kiện bền .theo hệ số an toàn. Phần 4. Tính toán lựa chọn ổ lăn  Thiết kế cặp ổ lăn trên trục 1: z x F r Ry C RBy A1 R Bx B1 Rx C M a1 C 1 F a1 Mt 1 y F r1 D 1 F1 t + Theo tính toán ở bài tập lớn số 4 ta có các số liệu: RBy = 4430.6 N RBx = 2559.8 N RCy = 3276.5 N RCx = 5096.6 N + Lực dọc trục : Fa1 = 223.4 N Ta có: FrB = = FrC = = - Vì FrC > FrB = 5116.9 N = 6058.9 N nên ta chọn ổ lăn C để tính. Fr = 6058.9 N Fa = 223.4 N - Vì Fa = 223.4 N < 0.3 Fr = 1817.7 N nên ta tính theo công thức của ổ đỡ: Q = (X.V.Fr + Y.Fa) . Kd.Kt trong đó: V = 1 (vì vòng trong quay) X=1,Y=0 (vì Fa / (V.Fr) = 0.037 < e ) 44
  • 45.
    - Chọn Kd= 1 (vì làm việc hai ca tải trọng va đập nhẹ) - Chọn Kt = 1 (vì nhiệt độ làm việc dưới 100 0C) Ta tính được : Q = 6058.9 N Khả năng tải động của ổ Cd = Q = 46.8 kN (vì tốc độ quay của trục 1 là 320.009 vòng/phút nên L = 460.8 triệu vòng) Chọn [C] =48.5 kN > Cd = 46.8 kN đường kính vòng trong của ổ lăn là d = 35 mm nên ta chọn hai ổ lăn có ký hiệu là: 307 để lắp trên trục 1  Thiết kế cặp ổ lăn trên trục 2: F r2 R Ay M a2 M2 t R Ax F2 t F a2 B2 A2 Rx C Ry C F r D 2 C 2 Theo tính toán ở bài tập lớn số 4 ta có các số liệu: RAy = 695.2 N RAx = 1592.8N RCy = 981.5 N RCx = 1259.8 N Lực dọc trục : Fa2 = 895.9 N Ta có: FrA = = FrC = = = 1737.9 N = 1579 N Ta chọn ổ đũa côn để lắp, ta có lực dọc trục phụ do lực hướng tâm gây ra tại A là: SA = 0.83(1.5tan )Fr = 459.9 N (chọn =120) Lực dọc trục phụ do Lực hướng tâm gây ra tại C là: là SC = 0.83(1.5tan )Fr = 417.9 N (chọn =120) TH1 : tính toán ổ lăn tại A: Fr = 1737.9 N Fa = 895.9 N 45
  • 46.
    Ta có: = -Fa + Sc = -478 < SA nên ta chọn : = SA = 459.9 N ta tính theo công thức của ổ đỡ chặn: Q = (X.V.Fr + Y. X = 0.4 , Y = 1.88 (tra bảng 11.3: ổ đũa côn) V = 1 (vòng trong quay) , Fr = 1737.9 N Chọn Kd = 1 (vì làm việc hai ca tải trọng va đập nhẹ) Chọn Kt = 1 (vì nhiệt độ làm việc dưới 100 0C) Ta tính được: QA = 1559.8 N TH2: tính toán ổ lăn tại C: Fr = 1579 N Ta có: ) . Kd.Kt Fa = 895.9 N = + F a + SA = 1355.8 N ta tính theo công thức của ổ đỡ chặn: Q = (X.V.Fr + Y. X = 0.4 , Y = 1.88 (tra bảng 11.3: ổ đũa côn) V = 1 (vòng trong quay) , Fr = 1579 N Chọn Kd = 1 (vì làm việc hai ca tải trọng va đập nhẹ) Chọn Kt = 1 (vì nhiệt độ làm việc dưới 100 0C) Ta tính được QC = 3180.5 N Vì QC > QA nên ta chọn ổ lăn tại C để tính ) . Kd.Kt Khả năng tải động của ổ Cd = Q = 15.48 kN (vì tốc độ quay của trục 1 là 80 vòng/phút nên L = 115.2 triệu vòng) Chọn [C] =16.5 kN > Cd = 15.48 kN Đường kính trong của ổ lăn là: 45 mm Và ta chọn ổ đũa côn nên nên ta chọn hai ổ lăn có ký hiệu là: 7109 để lắp trên trục 2 46
  • 47.
    Tài liệu thamkhảo. - Cơ Sở Thiết Kế Máy - Thiết Kế Chi tiết Máy Công Dụng Chung - Vẽ Kỹ Thuật Cơ Khí Thầy : Nguyễn Hữu Lộc . Thầy : Trần Thiên Phúc . Thầy : Lê Khánh Điền . 47