Name: Ross Wilson

                                                                                            Date: 2/8/13



                                                Analysis



                                                Table 1

                        Anti-A Serum         Anti-B Serum        Anti-Rh Serum           Blood Type
Slide 1- Mrs. Smith     Agglutination      Non-Agglutination      Agglutination              A
 Slide 2- Mr. Jones   Non-Agglutination      Agglutination      Non-Agglutination             B
Slide 3- Mr. Green      Agglutination        Agglutination        Agglutination              AB
Slide 4- Ms. Brown    Non-Agglutination    Non-Agglutination    Non-Agglutination            O




1) Choose one of the following patients:
   a) Mr. Smith, Mr. Jones, Mr. Green, Ms. Brown= Mr. Smith
   b) Using the information shown in Figure 1 on Blood type and the data recorded in Table 1, What
       agglutinogens are present on the patient’s RBC’s? A blood type
   c) What ABO agglutinin(s) is/are found in the patient’s Plasma? A agglutinin
   d) What is the patient’s blood type? Blood Type A
   e) If this patient needed a transfusion, what blood type(s) could this patient safely receive? Blood A
       or Blood O only because of their blood
   f) What blood type(s) could safely receive this patient’s blood?Blood A types could because they
       have the same type of blood as the patient
2) Below is the information representing the blood type analysis of a new patient (patient X). From the
   information obtained, fill out the medical technologist report.
   A: Agglutination               Medical technologist’s report
   B: No Agglutination                   ABO Type: Blood A
   Rh: Agglutination                     Rh Type: Agglutination




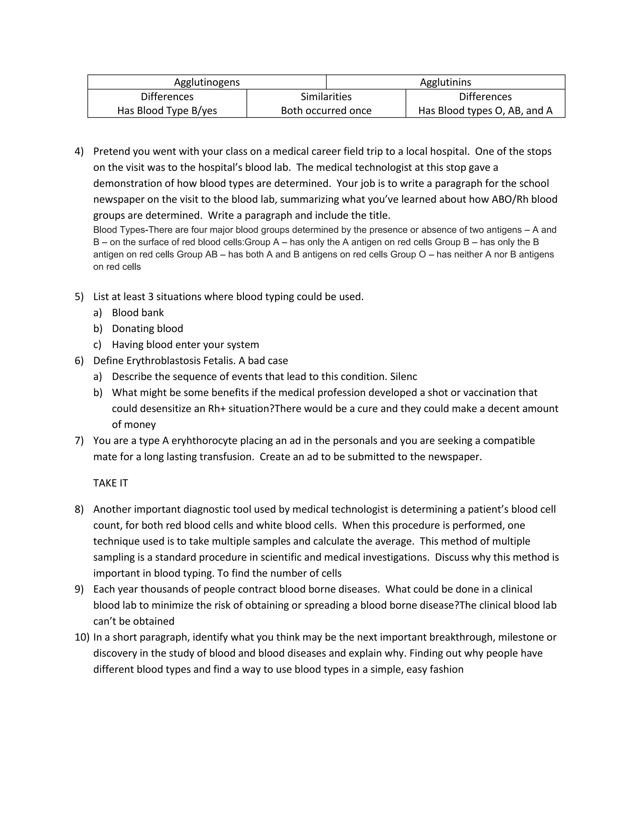
3) Compare and Contrast agglutinogens and agglutinins. In the diagram show at least 2 similarities and
   2 differences.
Agglutinogens                                              Agglutinins
              Differences                           Similarities                        Differences
         Has Blood Type B/yes                   Both occurred once              Has Blood types O, AB, and A


4) Pretend you went with your class on a medical career field trip to a local hospital. One of the stops
   on the visit was to the hospital’s blood lab. The medical technologist at this stop gave a
   demonstration of how blood types are determined. Your job is to write a paragraph for the school
   newspaper on the visit to the blood lab, summarizing what you’ve learned about how ABO/Rh blood
   groups are determined. Write a paragraph and include the title.
    Blood Types-There are four major blood groups determined by the presence or absence of two antigens – A and
    B – on the surface of red blood cells:Group A – has only the A antigen on red cells Group B – has only the B
    antigen on red cells Group AB – has both A and B antigens on red cells Group O – has neither A nor B antigens
    on red cells


5) List at least 3 situations where blood typing could be used.
   a) Blood bank
   b) Donating blood
   c) Having blood enter your system
6) Define Erythroblastosis Fetalis. A bad case
   a) Describe the sequence of events that lead to this condition. Silenc
   b) What might be some benefits if the medical profession developed a shot or vaccination that
        could desensitize an Rh+ situation?There would be a cure and they could make a decent amount
        of money
7) You are a type A eryhthorocyte placing an ad in the personals and you are seeking a compatible
   mate for a long lasting transfusion. Create an ad to be submitted to the newspaper.

    TAKE IT

8) Another important diagnostic tool used by medical technologist is determining a patient’s blood cell
    count, for both red blood cells and white blood cells. When this procedure is performed, one
    technique used is to take multiple samples and calculate the average. This method of multiple
    sampling is a standard procedure in scientific and medical investigations. Discuss why this method is
    important in blood typing. To find the number of cells
9) Each year thousands of people contract blood borne diseases. What could be done in a clinical
    blood lab to minimize the risk of obtaining or spreading a blood borne disease?The clinical blood lab
    can’t be obtained
10) In a short paragraph, identify what you think may be the next important breakthrough, milestone or
    discovery in the study of blood and blood diseases and explain why. Finding out why people have
    different blood types and find a way to use blood types in a simple, easy fashion

Blood typing analysis lab

  • 1.
    Name: Ross Wilson Date: 2/8/13 Analysis Table 1 Anti-A Serum Anti-B Serum Anti-Rh Serum Blood Type Slide 1- Mrs. Smith Agglutination Non-Agglutination Agglutination A Slide 2- Mr. Jones Non-Agglutination Agglutination Non-Agglutination B Slide 3- Mr. Green Agglutination Agglutination Agglutination AB Slide 4- Ms. Brown Non-Agglutination Non-Agglutination Non-Agglutination O 1) Choose one of the following patients: a) Mr. Smith, Mr. Jones, Mr. Green, Ms. Brown= Mr. Smith b) Using the information shown in Figure 1 on Blood type and the data recorded in Table 1, What agglutinogens are present on the patient’s RBC’s? A blood type c) What ABO agglutinin(s) is/are found in the patient’s Plasma? A agglutinin d) What is the patient’s blood type? Blood Type A e) If this patient needed a transfusion, what blood type(s) could this patient safely receive? Blood A or Blood O only because of their blood f) What blood type(s) could safely receive this patient’s blood?Blood A types could because they have the same type of blood as the patient 2) Below is the information representing the blood type analysis of a new patient (patient X). From the information obtained, fill out the medical technologist report. A: Agglutination Medical technologist’s report B: No Agglutination ABO Type: Blood A Rh: Agglutination Rh Type: Agglutination 3) Compare and Contrast agglutinogens and agglutinins. In the diagram show at least 2 similarities and 2 differences.
  • 2.
    Agglutinogens Agglutinins Differences Similarities Differences Has Blood Type B/yes Both occurred once Has Blood types O, AB, and A 4) Pretend you went with your class on a medical career field trip to a local hospital. One of the stops on the visit was to the hospital’s blood lab. The medical technologist at this stop gave a demonstration of how blood types are determined. Your job is to write a paragraph for the school newspaper on the visit to the blood lab, summarizing what you’ve learned about how ABO/Rh blood groups are determined. Write a paragraph and include the title. Blood Types-There are four major blood groups determined by the presence or absence of two antigens – A and B – on the surface of red blood cells:Group A – has only the A antigen on red cells Group B – has only the B antigen on red cells Group AB – has both A and B antigens on red cells Group O – has neither A nor B antigens on red cells 5) List at least 3 situations where blood typing could be used. a) Blood bank b) Donating blood c) Having blood enter your system 6) Define Erythroblastosis Fetalis. A bad case a) Describe the sequence of events that lead to this condition. Silenc b) What might be some benefits if the medical profession developed a shot or vaccination that could desensitize an Rh+ situation?There would be a cure and they could make a decent amount of money 7) You are a type A eryhthorocyte placing an ad in the personals and you are seeking a compatible mate for a long lasting transfusion. Create an ad to be submitted to the newspaper. TAKE IT 8) Another important diagnostic tool used by medical technologist is determining a patient’s blood cell count, for both red blood cells and white blood cells. When this procedure is performed, one technique used is to take multiple samples and calculate the average. This method of multiple sampling is a standard procedure in scientific and medical investigations. Discuss why this method is important in blood typing. To find the number of cells 9) Each year thousands of people contract blood borne diseases. What could be done in a clinical blood lab to minimize the risk of obtaining or spreading a blood borne disease?The clinical blood lab can’t be obtained 10) In a short paragraph, identify what you think may be the next important breakthrough, milestone or discovery in the study of blood and blood diseases and explain why. Finding out why people have different blood types and find a way to use blood types in a simple, easy fashion