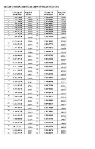
LISTA DE SELECCIONADOS BECA DE MEDIA MATRICULA FEUACH 2012

        CEDULA DE      PUNTAJE           CEDULA DE      PUNTAJE
        IDENTIDAD       TOTAL            IDENTIDAD       TOTAL
   1.   17.693.734-3     35372   51.     12.749.013-9        25884
   2.   13.232.758-0     34800   52.     17.116.153-3        25813
   3.   15.277.894-5     33200   53.     17.670.283-4        25794
   4.   17.848.323-4     32682   54.     16.906.496-2        25649
   5.   22.720.819-8     32300   55.     13.347.736-5        25555
   6.   12.029.370-2     32000   56.     13.320.121-1        25550
   7.   17.780.267-0     31725   57.     17.692.822-0        25535
   8.   15.988.111-3     31520   58.     17.693.106-k        25489
   9.   17.168.974-0     31230   59.     16.840.676-2        25473
   10                            60.
        17.804.547-4                     17.602.635-9
   .                     31000                               25465
   11                            61.
   .    27.720.811-2     30800           17.237.858-7        25385
   12                            62.
        16.593.913-1                     18.285.177-9
   .                     30775                               25353
   13                            63.
        17.481.366-3                     17.116.081-2
   .                     30466                               25309
   14                            64.
        17.552.013-9                     17.280.627-9
   .                     30430                               25258
   15                            65.
        16.564.430-1                     18.374.778-9
   .                     29415                               25241
   16                            66.
        16.271.271-3                     17.213.146-8
   .                     28632                               25237
   17                            67.
        18.134.247-1                     17.928.420-0
   .                     28500                               25200
   18                            68.
        14.527.143-1                     14.163.700-2
   .                     28236                               25155
   19                            69.
        18.173.257-1                     18.590.603-5
   .                     28006                               25109
   20                            70.
        16.872.403-9                     17.176.648-6
   .                     27593                               25080
   21                            71.
        18.027.198-8                     17.067.330-1
   .                     27550                               25075
   22                            72.
        18.059.181-8                     17.590.420-4
   .                     27477                               25071
   23                            73.
        17.299.570-5                     18.147.713-k
   .                     27401                               25061
   24                            74.
        16.806.387-3                     17.657.660-k
   .                     27331                               25056
   25                            75.
        13.396.059-7                     15.552.507-k
   .                     27115                               25051
   26                            76.
        17.550.119-3                     17.781.927-1
   .                     26900                               25018
   27                            77.
        17.296.770-1                     17.692.843-3
   .                     26639                               24942
   28                            78.
        17.563.166-6                     17.377.831-7
   .                     26578                               24917
   29                            79.
        17.066.860-k                     16.271.680-8
   .                     26561                               24894
   30                            80.
        18.386.922-1                     17.817.645-5
   .                     26523                               24870
   31                            81.
        16.929.391-0                     17.549.628-9
   .                     26522                               24866
   32                            82.
        16.584.500-5                     16.246.014-5
   .                     26500                               24854
   33                            83.
        18.698.012-3                     18.028.271-8
   .                     26438                               24830
   34                            84.
         18.173.185                      17.963.362-0
   .                     26433                               24809
   35                            85.
        17.258.243-k                     17.561.587-3
   .                     26427                               24804
   36   17.066.786-7     26317   86.     16.583.855-6        24801
37                            87.
        16.872.353-9                   18.554.560-1
   .                     26313                          24792
   38                            88.
        18.427.872-3                   18.208.183-3
   .                     26307                          24740
   39                            89.
        17.257.076-3                   15.552.834-6
   .                     26200                          24737
   40                            90.
        16.795.222-4                   18.164.964-k
   .                     26185                          24734
   41                            91.
        16.564.378-k                   17.357.834-2
   .                     26179                          24703
   42                            92.
        18.367.922-8                   17.745.959-3
   .                     26176                          24703
   43                            93.
        18.207.316-4                   18.133.865-2
   .                     26103                          24685
   44                            94.
        17.864.710-5                   17.512.077-7
   .                     26034                          24667
   45                            95.
        17.537,736-0                   18.239.259-6
   .                     26004                          24583
   46                            96.
        18.134.332-k                   17.319.897-3
   .                     25980                          24582
   47                            97.
        16.612.571-5                   17.197.819-k
   .                     25954                          24549
   48                            98.
                                       17.606.379-3
   .    17.198.568-4     25933                          24500
   49                            99.
        17.742.827-2                   17.299.302-8
   .                     25894                          24470
   50                             10
        17.864.395-9                   16.938573-4
   .                     25885   0.                     24469

                                                      ALFONSO BARRIA GONZÁLEZ
                                                            TRABAJADOR SOCIAL
                                                                   13.319.257-3
VALDIVIA 19 DE MARZO DE 2012

Beca media matrícula feuach 2012

  • 1.
    LISTA DE SELECCIONADOSBECA DE MEDIA MATRICULA FEUACH 2012 CEDULA DE PUNTAJE CEDULA DE PUNTAJE IDENTIDAD TOTAL IDENTIDAD TOTAL 1. 17.693.734-3 35372 51. 12.749.013-9 25884 2. 13.232.758-0 34800 52. 17.116.153-3 25813 3. 15.277.894-5 33200 53. 17.670.283-4 25794 4. 17.848.323-4 32682 54. 16.906.496-2 25649 5. 22.720.819-8 32300 55. 13.347.736-5 25555 6. 12.029.370-2 32000 56. 13.320.121-1 25550 7. 17.780.267-0 31725 57. 17.692.822-0 25535 8. 15.988.111-3 31520 58. 17.693.106-k 25489 9. 17.168.974-0 31230 59. 16.840.676-2 25473 10 60. 17.804.547-4 17.602.635-9 . 31000 25465 11 61. . 27.720.811-2 30800 17.237.858-7 25385 12 62. 16.593.913-1 18.285.177-9 . 30775 25353 13 63. 17.481.366-3 17.116.081-2 . 30466 25309 14 64. 17.552.013-9 17.280.627-9 . 30430 25258 15 65. 16.564.430-1 18.374.778-9 . 29415 25241 16 66. 16.271.271-3 17.213.146-8 . 28632 25237 17 67. 18.134.247-1 17.928.420-0 . 28500 25200 18 68. 14.527.143-1 14.163.700-2 . 28236 25155 19 69. 18.173.257-1 18.590.603-5 . 28006 25109 20 70. 16.872.403-9 17.176.648-6 . 27593 25080 21 71. 18.027.198-8 17.067.330-1 . 27550 25075 22 72. 18.059.181-8 17.590.420-4 . 27477 25071 23 73. 17.299.570-5 18.147.713-k . 27401 25061 24 74. 16.806.387-3 17.657.660-k . 27331 25056 25 75. 13.396.059-7 15.552.507-k . 27115 25051 26 76. 17.550.119-3 17.781.927-1 . 26900 25018 27 77. 17.296.770-1 17.692.843-3 . 26639 24942 28 78. 17.563.166-6 17.377.831-7 . 26578 24917 29 79. 17.066.860-k 16.271.680-8 . 26561 24894 30 80. 18.386.922-1 17.817.645-5 . 26523 24870 31 81. 16.929.391-0 17.549.628-9 . 26522 24866 32 82. 16.584.500-5 16.246.014-5 . 26500 24854 33 83. 18.698.012-3 18.028.271-8 . 26438 24830 34 84. 18.173.185 17.963.362-0 . 26433 24809 35 85. 17.258.243-k 17.561.587-3 . 26427 24804 36 17.066.786-7 26317 86. 16.583.855-6 24801
  • 2.
    37 87. 16.872.353-9 18.554.560-1 . 26313 24792 38 88. 18.427.872-3 18.208.183-3 . 26307 24740 39 89. 17.257.076-3 15.552.834-6 . 26200 24737 40 90. 16.795.222-4 18.164.964-k . 26185 24734 41 91. 16.564.378-k 17.357.834-2 . 26179 24703 42 92. 18.367.922-8 17.745.959-3 . 26176 24703 43 93. 18.207.316-4 18.133.865-2 . 26103 24685 44 94. 17.864.710-5 17.512.077-7 . 26034 24667 45 95. 17.537,736-0 18.239.259-6 . 26004 24583 46 96. 18.134.332-k 17.319.897-3 . 25980 24582 47 97. 16.612.571-5 17.197.819-k . 25954 24549 48 98. 17.606.379-3 . 17.198.568-4 25933 24500 49 99. 17.742.827-2 17.299.302-8 . 25894 24470 50 10 17.864.395-9 16.938573-4 . 25885 0. 24469 ALFONSO BARRIA GONZÁLEZ TRABAJADOR SOCIAL 13.319.257-3 VALDIVIA 19 DE MARZO DE 2012