Frame Model Data

          RAM Frame v14.04.06.00
          DataBase: EcoPlaza                                                         04/16/12 15:58:29

STORY DATA:
   Level Story Label            Layout Type                    Height
                                                                    ft
     2       2nd                2nd                             15.00
     1       1st                1st                             20.00

FRAME MEMBERS
Frame #0:
Level: 2nd

     Steel Column:
#              X           Y         Z     RigMaj    RigMin    Fixity    Fy    Section
               ft          ft        ft         in        in      xyt    ksi
11       115.000     120.000    35.000        3.94      8.95     FFF     50    HSS12X12X3/16
         115.000     120.000    20.000        6.10      3.94     FFF
12       115.000      80.000    35.000        0.00     11.80     FFF     50    HSS12X12X3/16
         115.000      80.000    20.000       11.85      3.94     FFF
13       115.000       0.000    35.000        4.93     11.80     FFF     50    HSS12X12X3/16
         115.000       0.000    20.000       11.85      0.00     FFF
14       230.000       0.000    35.000        6.85     11.85     FFF     50    HSS12X12X1/4
         230.000       0.000    20.000        3.94      3.94     FFF
15       230.000     120.000    35.000        6.85     11.80     FFF     50    HSS12X12X3/16
         230.000     120.000    20.000        3.94      3.94     FFF
16       115.000      96.000    35.000        0.00      8.95     FFF     50    HSS12X12X3/16
         115.000      96.000    20.000        0.00      3.94     FFF
18       115.000      50.000    35.000        0.00     11.80     FFF     50    HSS12X12X1/4
         115.000      50.000    20.000        0.00      0.00     FFF
19       115.000      30.000    35.000        0.00     11.80     FFF     50    HSS12X12X1/4
         115.000      30.000    20.000        0.00      0.00     FFF
21       140.000       0.000    35.000        4.93      0.00     FFF     50    HSS12X12X3/16
         140.000       0.000    20.000        7.95      0.00     FFF
22       160.000       0.000    35.000        6.85      0.00     FFF     50    HSS12X12X5/16
         160.000       0.000    20.000        7.85      0.00     FFF
23       133.000     120.000    35.000        5.95      0.00     FFF     50    HSS12X12X3/16
         133.000     120.000    20.000        7.95      0.00     FFF
25       160.000     120.000    35.000        6.85      0.00     FFF     50    HSS12X12X1/4
         160.000     120.000    20.000        7.95      0.00     FFF
26       230.000      30.000    35.000        0.00     11.85     FFF     50    HSS12X12X1/4
         230.000      30.000    20.000        0.00      3.94     FFF
27       230.000      50.000    35.000        0.00     11.95     FFF     50    HSS12X12X1/4
         230.000      50.000    20.000        0.00      3.94     FFF
28       230.000      80.000    35.000        0.00     11.95     FFF     50    HSS12X12X1/4
         230.000      80.000    20.000        0.00      3.94     FFF
29       230.000      96.000    35.000        0.00     11.80     FFF     50    HSS12X12X1/4
         230.000      96.000    20.000        0.00      3.94     FFF
Frame Model Data

          RAM Frame v14.04.06.00                                                                   Page 2/7
          DataBase: EcoPlaza                                                              04/16/12 15:58:29
#             X           Y           Z     RigMaj    RigMin    Fixity      Fy       Section
35      195.000     120.000      35.000        6.85      0.00     FFF       50       HSS12X12X3/16
        195.000     120.000      20.000        3.94      0.00     FFF
36      195.000       0.000      35.000        6.85      0.00     FFF       50       HSS12X12X3/16
        195.000       0.000      20.000        3.94      0.00     FFF

     Steel Beam / Horiz Brace:
#              X          Y           Z    RigEnd      Fixity        Fy    Section               T-O
               ft         ft          ft        in        xyt        ksi
14       115.000    120.000      35.000       6.00       FFF         50    W8X10                 ---
         133.000    120.000      35.000       6.00       FFF
15       115.000     96.000      35.000       6.00       FFF         50    W18X40                ---
         115.000    120.000      35.000       6.00       FFF
16       115.000     80.000      35.000       6.00       FFF         50    W16X26                ---
         115.000     96.000      35.000       6.00       FFF
17       115.000     50.000      35.000       6.00       FFF         50    W24X55                ---
         115.000     80.000      35.000       6.00       FFF
18       115.000     30.000      35.000       6.00       FFF         50    W16X31                ---
         115.000     50.000      35.000       6.00       FFF
19       115.000      0.000      35.000       6.00       FFF         50    W24X55                ---
         115.000     30.000      35.000       6.00       FFF
20       115.000      0.000      35.000       6.00       FFF         50    W10X12                ---
         140.000      0.000      35.000       6.00       FFF
21       140.000      0.000      35.000       6.00       FFF         50    W8X10                 ---
         160.000      0.000      35.000       6.00       FFF
22       133.000    120.000      35.000       6.00       FFF         50    W12X14                ---
         160.000    120.000      35.000       6.00       FFF
25       230.000     80.000      35.000       6.00       FFF         50    W16X31                ---
         230.000     96.000      35.000       6.00       FFF
26       230.000     50.000      35.000       6.00       FFF         50    W24X76                ---
         230.000     80.000      35.000       6.00       FFF
27       230.000     30.000      35.000       6.00       FFF         50    W21X44                ---
         230.000     50.000      35.000       6.00       FFF
28       230.000      0.000      35.000       6.00       FFF         50    W24X68                ---
         230.000     30.000      35.000       6.00       FFF
34       160.000    120.000      35.000       6.00       FFF         50    W14X22                ---
         195.000    120.000      35.000       6.00       FFF
35       195.000    120.000      35.000       6.00       FFF         50    W14X22                ---
         230.000    120.000      35.000       6.00       FFF
36       160.000      0.000      35.000       6.00       FFF         50    W14X22                ---
         195.000      0.000      35.000       6.00       FFF
37       195.000      0.000      35.000       6.00       FFF         50    W14X22                ---
         230.000      0.000      35.000       6.00       FFF
76       230.000     96.000      35.000       6.00       FFF         50    W24X55                ---
         230.000    120.000      35.000       6.00       FFF
Frame Model Data

             RAM Frame v14.04.06.00                                                           Page 3/7
             DataBase: EcoPlaza                                                      04/16/12 15:58:29

Level: 1st

     Steel Column:
#               X          Y          Z     RigMaj    RigMin    Fixity   Fy    Section
                ft         ft         ft         in        in      xyt   ksi
5        230.000       0.000     20.000        3.94      3.94     FFF    50    HSS12X12X3/16
         230.000       0.000      0.000        0.00      0.00     FFF
6        230.000     120.000     20.000        3.94      3.94     FFF    50    HSS12X12X3/16
         230.000     120.000      0.000        0.00      0.00     FFF
7        160.000       0.000     20.000        7.85      0.00     FFF    50    HSS12X12X3/16
         160.000       0.000      0.000        0.00      0.00     FFF
10       160.000     120.000     20.000        7.95      0.00     FFF    50    HSS12X12X3/16
         160.000     120.000      0.000        0.00      0.00     FFF
13       140.000       0.000     20.000        7.95      0.00     FFF    50    HSS12X12X3/16
         140.000       0.000      0.000        0.00      0.00     FFF
14       133.000     120.000     20.000        7.95      0.00     FFF    50    HSS12X12X3/16
         133.000     120.000      0.000        0.00      0.00     FFF
18       115.000     120.000     20.000        6.10      3.94     FFF    50    HSS12X12X3/16
         115.000     120.000      0.000        0.00      0.00     FFF
20       115.000      96.000     20.000        0.00      3.94     FFF    50    HSS12X12X3/16
         115.000      96.000      0.000        0.00      0.00     FFF
21       115.000      80.000     20.000       11.85      3.94     FFF    50    HSS12X12X1/4
         115.000      80.000      0.000        0.00      0.00     FFF
23         85.000      0.000     20.000       11.85      0.00     FFF    50    HSS12X12X3/16
           85.000      0.000      0.000        0.00      0.00     FFF
24         60.000      0.000     20.000       11.80      0.00     FFF    50    HSS12X12X3/16
           60.000      0.000      0.000        0.00      0.00     FFF
30         35.000      0.000     20.000       11.80      0.00     FFF    50    HSS12X12X3/16
           35.000      0.000      0.000        0.00      0.00     FFF
32         25.000      0.000     20.000       11.80      0.00     FFF    50    HSS12X12X3/16
           25.000      0.000      0.000        0.00      0.00     FFF
34          0.000     80.000     20.000       11.80      3.94     FFF    50    HSS12X12X3/16
            0.000     80.000      0.000        0.00      0.00     FFF
36          0.000     50.000     20.000        0.00      3.94     FFF    50    HSS12X12X1/4
            0.000     50.000      0.000        0.00      0.00     FFF
37          0.000      0.000     20.000       11.80      3.94     FFF    50    HSS12X12X3/16
            0.000      0.000      0.000        0.00      0.00     FFF
40       115.000       0.000     20.000       11.85      0.00     FFF    50    HSS12X12X1/4
         115.000       0.000      0.000        0.00      0.00     FFF
49         60.000     80.000     20.000       11.80      0.00     FFF    50    HSS12X12X3/16
           60.000     80.000      0.000        0.00      0.00     FFF
50         85.000     80.000     20.000       11.85      0.00     FFF    50    HSS12X12X3/16
           85.000     80.000      0.000        0.00      0.00     FFF
51         35.000     80.000     20.000       11.80      0.00     FFF    50    HSS12X12X3/16
           35.000     80.000      0.000        0.00      0.00     FFF
52          0.000     30.000     20.000        0.00      3.94     FFF    50    HSS12X12X1/4
Frame Model Data

          RAM Frame v14.04.06.00                                                                    Page 4/7
          DataBase: EcoPlaza                                                               04/16/12 15:58:29
#             X           Y           Z     RigMaj    RigMin    Fixity      Fy       Section
          0.000      30.000       0.000        0.00      0.00     FFF
53       25.000      80.000      20.000       11.80      0.00     FFF       50       HSS12X12X3/16
         25.000      80.000       0.000        0.00      0.00     FFF
61      195.000     120.000      20.000        3.94      0.00     FFF       50       HSS12X12X3/16
        195.000     120.000       0.000        0.00      0.00     FFF
62      195.000       0.000      20.000        3.94      0.00     FFF       50       HSS12X12X3/16
        195.000       0.000       0.000        0.00      0.00     FFF
64      230.000      96.000      20.000        0.00      3.94     FFF       50       HSS12X12X1/4
        230.000      96.000       0.000        0.00      0.00     FFF
65      230.000      80.000      20.000        0.00      3.94     FFF       50       HSS12X12X3/16
        230.000      80.000       0.000        0.00      0.00     FFF
66      230.000      50.000      20.000        0.00      3.94     FFF       50       HSS12X12X3/16
        230.000      50.000       0.000        0.00      0.00     FFF
67      230.000      30.000      20.000        0.00      3.94     FFF       50       HSS12X12X1/4
        230.000      30.000       0.000        0.00      0.00     FFF

     Steel Beam / Horiz Brace:
#               X         Y           Z    RigEnd      Fixity        Fy    Section                T-O
                ft        ft          ft        in        xyt        ksi
1           0.000     0.000      20.000       6.00       FFF         50    W24X55                 ---
           25.000     0.000      20.000       6.00       FFF
2          25.000     0.000      20.000       6.00       FFF         50    W12X19                 ---
           35.000     0.000      20.000       6.00       FFF
3          35.000     0.000      20.000       6.00       FFF         50    W24X55                 ---
           60.000     0.000      20.000       6.00       FFF
4          60.000     0.000      20.000       6.00       FFF         50    W24X55                 ---
           85.000     0.000      20.000       6.00       FFF
6        140.000      0.000      20.000       6.00       FFF         50    W16X26                 ---
         160.000      0.000      20.000       6.00       FFF
10       133.000    120.000      20.000       6.00       FFF         50    W16X31                 ---
         160.000    120.000      20.000       6.00       FFF
11       115.000    120.000      20.000       6.00       FFF         50    W12X19                 ---
         133.000    120.000      20.000       6.00       FFF
14       115.000     80.000      20.000       6.00       FFF         50    W8X10                  ---
         115.000     96.000      20.000       6.00       FFF
48         85.000     0.000      20.000       6.00       FFF         50    W24X68                 ---
         115.000      0.000      20.000       6.00       FFF
49       115.000      0.000      20.000       6.00       FFF         50    W16X31                 ---
         140.000      0.000      20.000       6.00       FFF
78          0.000     0.000      20.000       6.00       FFF         50    W8X10                  ---
            0.000    30.000      20.000       6.00       FFF
79          0.000    30.000      20.000       6.00       FFF         50    W8X10                  ---
            0.000    50.000      20.000       6.00       FFF
80          0.000    80.000      20.000       6.00       FFF         50    W24X55                 ---
           25.000    80.000      20.000       6.00       FFF
Frame Model Data

            RAM Frame v14.04.06.00                                                         Page 5/7
            DataBase: EcoPlaza                                                    04/16/12 15:58:29
#                X         Y          Z   RigEnd        Fixity   Fy   Section             T-O
81          25.000    80.000     20.000      6.00         FFF    50   W12X19              ---
            35.000    80.000     20.000      6.00         FFF
82          35.000    80.000     20.000      6.00         FFF    50   W24X55              ---
            60.000    80.000     20.000      6.00         FFF
83          60.000    80.000     20.000      6.00         FFF    50   W24X55              ---
            85.000    80.000     20.000      6.00         FFF
84          85.000    80.000     20.000      6.00         FFF    50   W24X68              ---
           115.000    80.000     20.000      6.00         FFF
85           0.000    50.000     20.000      6.00         FFF    50   W8X10               ---
             0.000    80.000     20.000      6.00         FFF
97         115.000    96.000     20.000      6.00         FFF    50   W8X10               ---
           115.000   120.000     20.000      6.00         FFF
98         160.000   120.000     20.000      6.00         FFF    50   W8X10               ---
           195.000   120.000     20.000      6.00         FFF
99         195.000   120.000     20.000      6.00         FFF    50   W8X10               ---
           230.000   120.000     20.000      6.00         FFF
100        160.000     0.000     20.000      6.00         FFF    50   W8X10               ---
           195.000     0.000     20.000      6.00         FFF
101        195.000     0.000     20.000      6.00         FFF    50   W8X10               ---
           230.000     0.000     20.000      6.00         FFF
102        230.000    96.000     20.000      6.00         FFF    50   W8X10               ---
           230.000   120.000     20.000      6.00         FFF
103        230.000    80.000     20.000      6.00         FFF    50   W8X10               ---
           230.000    96.000     20.000      6.00         FFF
104        230.000    50.000     20.000      6.00         FFF    50   W8X10               ---
           230.000    80.000     20.000      6.00         FFF
105        230.000    30.000     20.000      6.00         FFF    50   W8X10               ---
           230.000    50.000     20.000      6.00         FFF
106        230.000     0.000     20.000      6.00         FFF    50   W8X10               ---
           230.000    30.000     20.000      6.00         FFF

NODES:
  #                  X          Y         Z    Fdtn                     Diaphr
                     ft         ft        ft                     (Diaph.# - Story Name)
      1        115.000      0.000    35.000         N                    1 - 2nd
      2        115.000     30.000    35.000         N                    1 - 2nd
      3        115.000     50.000    35.000         N                    1 - 2nd
      4        115.000     80.000    35.000         N                    1 - 2nd
      5        115.000     96.000    35.000         N                    1 - 2nd
      6        115.000    120.000    35.000         N                    1 - 2nd
      7        133.000    120.000    35.000         N                    1 - 2nd
      8        140.000      0.000    35.000         N                    1 - 2nd
      9        160.000      0.000    35.000         N                    1 - 2nd
      10       160.000    120.000    35.000         N                    1 - 2nd
      11       195.000      0.000    35.000         N                    1 - 2nd
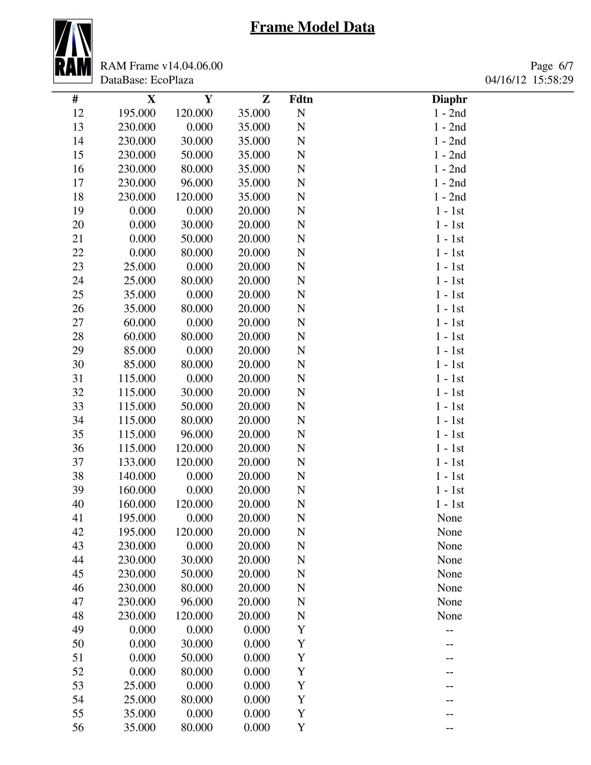
Frame Model Data

     RAM Frame v14.04.06.00                                           Page 6/7
     DataBase: EcoPlaza                                      04/16/12 15:58:29
#             X         Y          Z   Fdtn        Diaphr
12      195.000   120.000     35.000    N          1 - 2nd
13      230.000     0.000     35.000    N          1 - 2nd
14      230.000    30.000     35.000    N          1 - 2nd
15      230.000    50.000     35.000    N          1 - 2nd
16      230.000    80.000     35.000    N          1 - 2nd
17      230.000    96.000     35.000    N          1 - 2nd
18      230.000   120.000     35.000    N          1 - 2nd
19        0.000     0.000     20.000    N          1 - 1st
20        0.000    30.000     20.000    N          1 - 1st
21        0.000    50.000     20.000    N          1 - 1st
22        0.000    80.000     20.000    N          1 - 1st
23       25.000     0.000     20.000    N          1 - 1st
24       25.000    80.000     20.000    N          1 - 1st
25       35.000     0.000     20.000    N          1 - 1st
26       35.000    80.000     20.000    N          1 - 1st
27       60.000     0.000     20.000    N          1 - 1st
28       60.000    80.000     20.000    N          1 - 1st
29       85.000     0.000     20.000    N          1 - 1st
30       85.000    80.000     20.000    N          1 - 1st
31      115.000     0.000     20.000    N          1 - 1st
32      115.000    30.000     20.000    N          1 - 1st
33      115.000    50.000     20.000    N          1 - 1st
34      115.000    80.000     20.000    N          1 - 1st
35      115.000    96.000     20.000    N          1 - 1st
36      115.000   120.000     20.000    N          1 - 1st
37      133.000   120.000     20.000    N          1 - 1st
38      140.000     0.000     20.000    N          1 - 1st
39      160.000     0.000     20.000    N          1 - 1st
40      160.000   120.000     20.000    N          1 - 1st
41      195.000     0.000     20.000    N           None
42      195.000   120.000     20.000    N           None
43      230.000     0.000     20.000    N           None
44      230.000    30.000     20.000    N           None
45      230.000    50.000     20.000    N           None
46      230.000    80.000     20.000    N           None
47      230.000    96.000     20.000    N           None
48      230.000   120.000     20.000    N           None
49        0.000     0.000      0.000    Y             --
50        0.000    30.000      0.000    Y             --
51        0.000    50.000      0.000    Y             --
52        0.000    80.000      0.000    Y             --
53       25.000     0.000      0.000    Y             --
54       25.000    80.000      0.000    Y             --
55       35.000     0.000      0.000    Y             --
56       35.000    80.000      0.000    Y             --
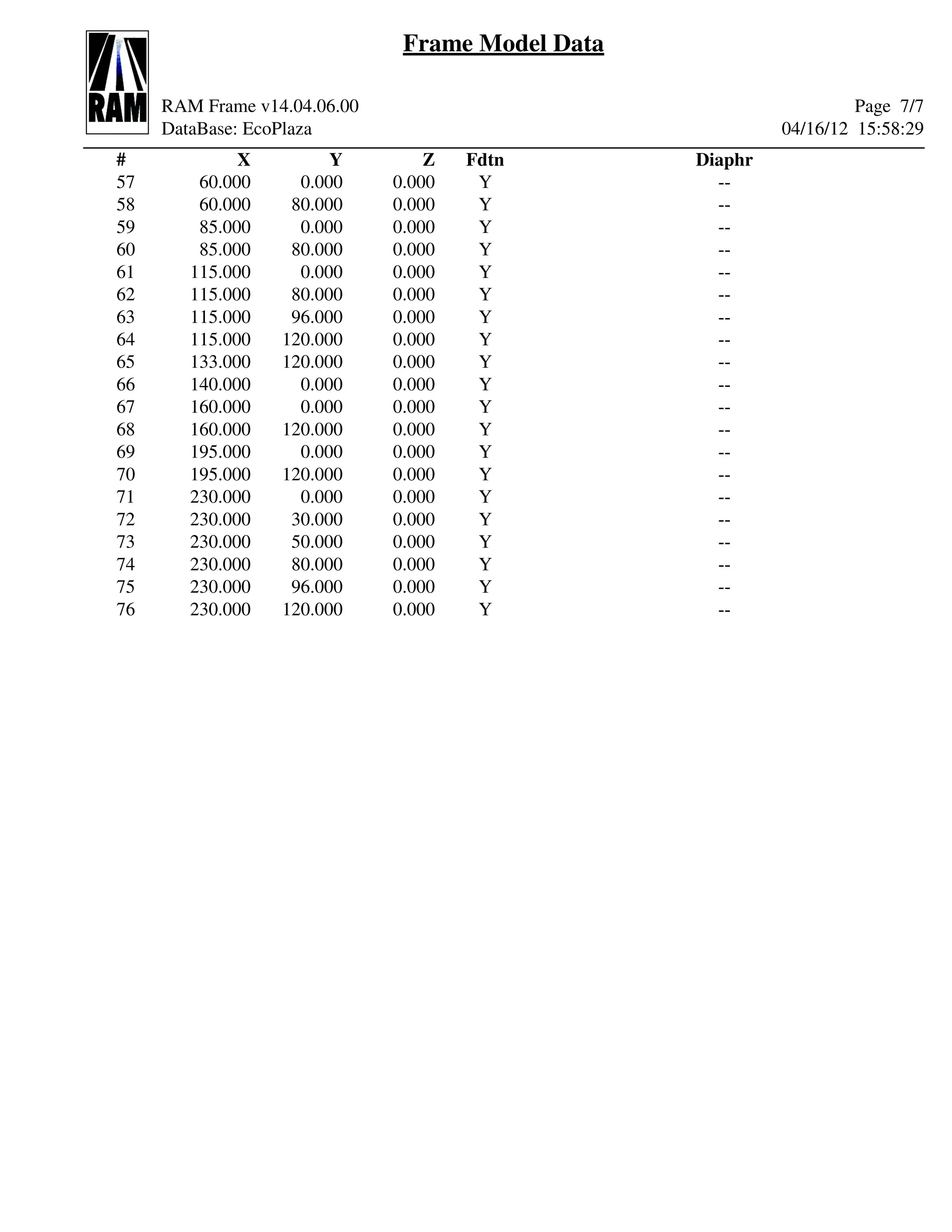
Frame Model Data

     RAM Frame v14.04.06.00                                         Page 7/7
     DataBase: EcoPlaza                                    04/16/12 15:58:29
#             X         Y         Z   Fdtn        Diaphr
57       60.000     0.000     0.000    Y            --
58       60.000    80.000     0.000    Y            --
59       85.000     0.000     0.000    Y            --
60       85.000    80.000     0.000    Y            --
61      115.000     0.000     0.000    Y            --
62      115.000    80.000     0.000    Y            --
63      115.000    96.000     0.000    Y            --
64      115.000   120.000     0.000    Y            --
65      133.000   120.000     0.000    Y            --
66      140.000     0.000     0.000    Y            --
67      160.000     0.000     0.000    Y            --
68      160.000   120.000     0.000    Y            --
69      195.000     0.000     0.000    Y            --
70      195.000   120.000     0.000    Y            --
71      230.000     0.000     0.000    Y            --
72      230.000    30.000     0.000    Y            --
73      230.000    50.000     0.000    Y            --
74      230.000    80.000     0.000    Y            --
75      230.000    96.000     0.000    Y            --
76      230.000   120.000     0.000    Y            --

Beam and column list

  • 1.
    Frame Model Data RAM Frame v14.04.06.00 DataBase: EcoPlaza 04/16/12 15:58:29 STORY DATA: Level Story Label Layout Type Height ft 2 2nd 2nd 15.00 1 1st 1st 20.00 FRAME MEMBERS Frame #0: Level: 2nd Steel Column: # X Y Z RigMaj RigMin Fixity Fy Section ft ft ft in in xyt ksi 11 115.000 120.000 35.000 3.94 8.95 FFF 50 HSS12X12X3/16 115.000 120.000 20.000 6.10 3.94 FFF 12 115.000 80.000 35.000 0.00 11.80 FFF 50 HSS12X12X3/16 115.000 80.000 20.000 11.85 3.94 FFF 13 115.000 0.000 35.000 4.93 11.80 FFF 50 HSS12X12X3/16 115.000 0.000 20.000 11.85 0.00 FFF 14 230.000 0.000 35.000 6.85 11.85 FFF 50 HSS12X12X1/4 230.000 0.000 20.000 3.94 3.94 FFF 15 230.000 120.000 35.000 6.85 11.80 FFF 50 HSS12X12X3/16 230.000 120.000 20.000 3.94 3.94 FFF 16 115.000 96.000 35.000 0.00 8.95 FFF 50 HSS12X12X3/16 115.000 96.000 20.000 0.00 3.94 FFF 18 115.000 50.000 35.000 0.00 11.80 FFF 50 HSS12X12X1/4 115.000 50.000 20.000 0.00 0.00 FFF 19 115.000 30.000 35.000 0.00 11.80 FFF 50 HSS12X12X1/4 115.000 30.000 20.000 0.00 0.00 FFF 21 140.000 0.000 35.000 4.93 0.00 FFF 50 HSS12X12X3/16 140.000 0.000 20.000 7.95 0.00 FFF 22 160.000 0.000 35.000 6.85 0.00 FFF 50 HSS12X12X5/16 160.000 0.000 20.000 7.85 0.00 FFF 23 133.000 120.000 35.000 5.95 0.00 FFF 50 HSS12X12X3/16 133.000 120.000 20.000 7.95 0.00 FFF 25 160.000 120.000 35.000 6.85 0.00 FFF 50 HSS12X12X1/4 160.000 120.000 20.000 7.95 0.00 FFF 26 230.000 30.000 35.000 0.00 11.85 FFF 50 HSS12X12X1/4 230.000 30.000 20.000 0.00 3.94 FFF 27 230.000 50.000 35.000 0.00 11.95 FFF 50 HSS12X12X1/4 230.000 50.000 20.000 0.00 3.94 FFF 28 230.000 80.000 35.000 0.00 11.95 FFF 50 HSS12X12X1/4 230.000 80.000 20.000 0.00 3.94 FFF 29 230.000 96.000 35.000 0.00 11.80 FFF 50 HSS12X12X1/4 230.000 96.000 20.000 0.00 3.94 FFF
  • 2.
    Frame Model Data RAM Frame v14.04.06.00 Page 2/7 DataBase: EcoPlaza 04/16/12 15:58:29 # X Y Z RigMaj RigMin Fixity Fy Section 35 195.000 120.000 35.000 6.85 0.00 FFF 50 HSS12X12X3/16 195.000 120.000 20.000 3.94 0.00 FFF 36 195.000 0.000 35.000 6.85 0.00 FFF 50 HSS12X12X3/16 195.000 0.000 20.000 3.94 0.00 FFF Steel Beam / Horiz Brace: # X Y Z RigEnd Fixity Fy Section T-O ft ft ft in xyt ksi 14 115.000 120.000 35.000 6.00 FFF 50 W8X10 --- 133.000 120.000 35.000 6.00 FFF 15 115.000 96.000 35.000 6.00 FFF 50 W18X40 --- 115.000 120.000 35.000 6.00 FFF 16 115.000 80.000 35.000 6.00 FFF 50 W16X26 --- 115.000 96.000 35.000 6.00 FFF 17 115.000 50.000 35.000 6.00 FFF 50 W24X55 --- 115.000 80.000 35.000 6.00 FFF 18 115.000 30.000 35.000 6.00 FFF 50 W16X31 --- 115.000 50.000 35.000 6.00 FFF 19 115.000 0.000 35.000 6.00 FFF 50 W24X55 --- 115.000 30.000 35.000 6.00 FFF 20 115.000 0.000 35.000 6.00 FFF 50 W10X12 --- 140.000 0.000 35.000 6.00 FFF 21 140.000 0.000 35.000 6.00 FFF 50 W8X10 --- 160.000 0.000 35.000 6.00 FFF 22 133.000 120.000 35.000 6.00 FFF 50 W12X14 --- 160.000 120.000 35.000 6.00 FFF 25 230.000 80.000 35.000 6.00 FFF 50 W16X31 --- 230.000 96.000 35.000 6.00 FFF 26 230.000 50.000 35.000 6.00 FFF 50 W24X76 --- 230.000 80.000 35.000 6.00 FFF 27 230.000 30.000 35.000 6.00 FFF 50 W21X44 --- 230.000 50.000 35.000 6.00 FFF 28 230.000 0.000 35.000 6.00 FFF 50 W24X68 --- 230.000 30.000 35.000 6.00 FFF 34 160.000 120.000 35.000 6.00 FFF 50 W14X22 --- 195.000 120.000 35.000 6.00 FFF 35 195.000 120.000 35.000 6.00 FFF 50 W14X22 --- 230.000 120.000 35.000 6.00 FFF 36 160.000 0.000 35.000 6.00 FFF 50 W14X22 --- 195.000 0.000 35.000 6.00 FFF 37 195.000 0.000 35.000 6.00 FFF 50 W14X22 --- 230.000 0.000 35.000 6.00 FFF 76 230.000 96.000 35.000 6.00 FFF 50 W24X55 --- 230.000 120.000 35.000 6.00 FFF
  • 3.
    Frame Model Data RAM Frame v14.04.06.00 Page 3/7 DataBase: EcoPlaza 04/16/12 15:58:29 Level: 1st Steel Column: # X Y Z RigMaj RigMin Fixity Fy Section ft ft ft in in xyt ksi 5 230.000 0.000 20.000 3.94 3.94 FFF 50 HSS12X12X3/16 230.000 0.000 0.000 0.00 0.00 FFF 6 230.000 120.000 20.000 3.94 3.94 FFF 50 HSS12X12X3/16 230.000 120.000 0.000 0.00 0.00 FFF 7 160.000 0.000 20.000 7.85 0.00 FFF 50 HSS12X12X3/16 160.000 0.000 0.000 0.00 0.00 FFF 10 160.000 120.000 20.000 7.95 0.00 FFF 50 HSS12X12X3/16 160.000 120.000 0.000 0.00 0.00 FFF 13 140.000 0.000 20.000 7.95 0.00 FFF 50 HSS12X12X3/16 140.000 0.000 0.000 0.00 0.00 FFF 14 133.000 120.000 20.000 7.95 0.00 FFF 50 HSS12X12X3/16 133.000 120.000 0.000 0.00 0.00 FFF 18 115.000 120.000 20.000 6.10 3.94 FFF 50 HSS12X12X3/16 115.000 120.000 0.000 0.00 0.00 FFF 20 115.000 96.000 20.000 0.00 3.94 FFF 50 HSS12X12X3/16 115.000 96.000 0.000 0.00 0.00 FFF 21 115.000 80.000 20.000 11.85 3.94 FFF 50 HSS12X12X1/4 115.000 80.000 0.000 0.00 0.00 FFF 23 85.000 0.000 20.000 11.85 0.00 FFF 50 HSS12X12X3/16 85.000 0.000 0.000 0.00 0.00 FFF 24 60.000 0.000 20.000 11.80 0.00 FFF 50 HSS12X12X3/16 60.000 0.000 0.000 0.00 0.00 FFF 30 35.000 0.000 20.000 11.80 0.00 FFF 50 HSS12X12X3/16 35.000 0.000 0.000 0.00 0.00 FFF 32 25.000 0.000 20.000 11.80 0.00 FFF 50 HSS12X12X3/16 25.000 0.000 0.000 0.00 0.00 FFF 34 0.000 80.000 20.000 11.80 3.94 FFF 50 HSS12X12X3/16 0.000 80.000 0.000 0.00 0.00 FFF 36 0.000 50.000 20.000 0.00 3.94 FFF 50 HSS12X12X1/4 0.000 50.000 0.000 0.00 0.00 FFF 37 0.000 0.000 20.000 11.80 3.94 FFF 50 HSS12X12X3/16 0.000 0.000 0.000 0.00 0.00 FFF 40 115.000 0.000 20.000 11.85 0.00 FFF 50 HSS12X12X1/4 115.000 0.000 0.000 0.00 0.00 FFF 49 60.000 80.000 20.000 11.80 0.00 FFF 50 HSS12X12X3/16 60.000 80.000 0.000 0.00 0.00 FFF 50 85.000 80.000 20.000 11.85 0.00 FFF 50 HSS12X12X3/16 85.000 80.000 0.000 0.00 0.00 FFF 51 35.000 80.000 20.000 11.80 0.00 FFF 50 HSS12X12X3/16 35.000 80.000 0.000 0.00 0.00 FFF 52 0.000 30.000 20.000 0.00 3.94 FFF 50 HSS12X12X1/4
  • 4.
    Frame Model Data RAM Frame v14.04.06.00 Page 4/7 DataBase: EcoPlaza 04/16/12 15:58:29 # X Y Z RigMaj RigMin Fixity Fy Section 0.000 30.000 0.000 0.00 0.00 FFF 53 25.000 80.000 20.000 11.80 0.00 FFF 50 HSS12X12X3/16 25.000 80.000 0.000 0.00 0.00 FFF 61 195.000 120.000 20.000 3.94 0.00 FFF 50 HSS12X12X3/16 195.000 120.000 0.000 0.00 0.00 FFF 62 195.000 0.000 20.000 3.94 0.00 FFF 50 HSS12X12X3/16 195.000 0.000 0.000 0.00 0.00 FFF 64 230.000 96.000 20.000 0.00 3.94 FFF 50 HSS12X12X1/4 230.000 96.000 0.000 0.00 0.00 FFF 65 230.000 80.000 20.000 0.00 3.94 FFF 50 HSS12X12X3/16 230.000 80.000 0.000 0.00 0.00 FFF 66 230.000 50.000 20.000 0.00 3.94 FFF 50 HSS12X12X3/16 230.000 50.000 0.000 0.00 0.00 FFF 67 230.000 30.000 20.000 0.00 3.94 FFF 50 HSS12X12X1/4 230.000 30.000 0.000 0.00 0.00 FFF Steel Beam / Horiz Brace: # X Y Z RigEnd Fixity Fy Section T-O ft ft ft in xyt ksi 1 0.000 0.000 20.000 6.00 FFF 50 W24X55 --- 25.000 0.000 20.000 6.00 FFF 2 25.000 0.000 20.000 6.00 FFF 50 W12X19 --- 35.000 0.000 20.000 6.00 FFF 3 35.000 0.000 20.000 6.00 FFF 50 W24X55 --- 60.000 0.000 20.000 6.00 FFF 4 60.000 0.000 20.000 6.00 FFF 50 W24X55 --- 85.000 0.000 20.000 6.00 FFF 6 140.000 0.000 20.000 6.00 FFF 50 W16X26 --- 160.000 0.000 20.000 6.00 FFF 10 133.000 120.000 20.000 6.00 FFF 50 W16X31 --- 160.000 120.000 20.000 6.00 FFF 11 115.000 120.000 20.000 6.00 FFF 50 W12X19 --- 133.000 120.000 20.000 6.00 FFF 14 115.000 80.000 20.000 6.00 FFF 50 W8X10 --- 115.000 96.000 20.000 6.00 FFF 48 85.000 0.000 20.000 6.00 FFF 50 W24X68 --- 115.000 0.000 20.000 6.00 FFF 49 115.000 0.000 20.000 6.00 FFF 50 W16X31 --- 140.000 0.000 20.000 6.00 FFF 78 0.000 0.000 20.000 6.00 FFF 50 W8X10 --- 0.000 30.000 20.000 6.00 FFF 79 0.000 30.000 20.000 6.00 FFF 50 W8X10 --- 0.000 50.000 20.000 6.00 FFF 80 0.000 80.000 20.000 6.00 FFF 50 W24X55 --- 25.000 80.000 20.000 6.00 FFF
  • 5.
    Frame Model Data RAM Frame v14.04.06.00 Page 5/7 DataBase: EcoPlaza 04/16/12 15:58:29 # X Y Z RigEnd Fixity Fy Section T-O 81 25.000 80.000 20.000 6.00 FFF 50 W12X19 --- 35.000 80.000 20.000 6.00 FFF 82 35.000 80.000 20.000 6.00 FFF 50 W24X55 --- 60.000 80.000 20.000 6.00 FFF 83 60.000 80.000 20.000 6.00 FFF 50 W24X55 --- 85.000 80.000 20.000 6.00 FFF 84 85.000 80.000 20.000 6.00 FFF 50 W24X68 --- 115.000 80.000 20.000 6.00 FFF 85 0.000 50.000 20.000 6.00 FFF 50 W8X10 --- 0.000 80.000 20.000 6.00 FFF 97 115.000 96.000 20.000 6.00 FFF 50 W8X10 --- 115.000 120.000 20.000 6.00 FFF 98 160.000 120.000 20.000 6.00 FFF 50 W8X10 --- 195.000 120.000 20.000 6.00 FFF 99 195.000 120.000 20.000 6.00 FFF 50 W8X10 --- 230.000 120.000 20.000 6.00 FFF 100 160.000 0.000 20.000 6.00 FFF 50 W8X10 --- 195.000 0.000 20.000 6.00 FFF 101 195.000 0.000 20.000 6.00 FFF 50 W8X10 --- 230.000 0.000 20.000 6.00 FFF 102 230.000 96.000 20.000 6.00 FFF 50 W8X10 --- 230.000 120.000 20.000 6.00 FFF 103 230.000 80.000 20.000 6.00 FFF 50 W8X10 --- 230.000 96.000 20.000 6.00 FFF 104 230.000 50.000 20.000 6.00 FFF 50 W8X10 --- 230.000 80.000 20.000 6.00 FFF 105 230.000 30.000 20.000 6.00 FFF 50 W8X10 --- 230.000 50.000 20.000 6.00 FFF 106 230.000 0.000 20.000 6.00 FFF 50 W8X10 --- 230.000 30.000 20.000 6.00 FFF NODES: # X Y Z Fdtn Diaphr ft ft ft (Diaph.# - Story Name) 1 115.000 0.000 35.000 N 1 - 2nd 2 115.000 30.000 35.000 N 1 - 2nd 3 115.000 50.000 35.000 N 1 - 2nd 4 115.000 80.000 35.000 N 1 - 2nd 5 115.000 96.000 35.000 N 1 - 2nd 6 115.000 120.000 35.000 N 1 - 2nd 7 133.000 120.000 35.000 N 1 - 2nd 8 140.000 0.000 35.000 N 1 - 2nd 9 160.000 0.000 35.000 N 1 - 2nd 10 160.000 120.000 35.000 N 1 - 2nd 11 195.000 0.000 35.000 N 1 - 2nd
  • 6.
    Frame Model Data RAM Frame v14.04.06.00 Page 6/7 DataBase: EcoPlaza 04/16/12 15:58:29 # X Y Z Fdtn Diaphr 12 195.000 120.000 35.000 N 1 - 2nd 13 230.000 0.000 35.000 N 1 - 2nd 14 230.000 30.000 35.000 N 1 - 2nd 15 230.000 50.000 35.000 N 1 - 2nd 16 230.000 80.000 35.000 N 1 - 2nd 17 230.000 96.000 35.000 N 1 - 2nd 18 230.000 120.000 35.000 N 1 - 2nd 19 0.000 0.000 20.000 N 1 - 1st 20 0.000 30.000 20.000 N 1 - 1st 21 0.000 50.000 20.000 N 1 - 1st 22 0.000 80.000 20.000 N 1 - 1st 23 25.000 0.000 20.000 N 1 - 1st 24 25.000 80.000 20.000 N 1 - 1st 25 35.000 0.000 20.000 N 1 - 1st 26 35.000 80.000 20.000 N 1 - 1st 27 60.000 0.000 20.000 N 1 - 1st 28 60.000 80.000 20.000 N 1 - 1st 29 85.000 0.000 20.000 N 1 - 1st 30 85.000 80.000 20.000 N 1 - 1st 31 115.000 0.000 20.000 N 1 - 1st 32 115.000 30.000 20.000 N 1 - 1st 33 115.000 50.000 20.000 N 1 - 1st 34 115.000 80.000 20.000 N 1 - 1st 35 115.000 96.000 20.000 N 1 - 1st 36 115.000 120.000 20.000 N 1 - 1st 37 133.000 120.000 20.000 N 1 - 1st 38 140.000 0.000 20.000 N 1 - 1st 39 160.000 0.000 20.000 N 1 - 1st 40 160.000 120.000 20.000 N 1 - 1st 41 195.000 0.000 20.000 N None 42 195.000 120.000 20.000 N None 43 230.000 0.000 20.000 N None 44 230.000 30.000 20.000 N None 45 230.000 50.000 20.000 N None 46 230.000 80.000 20.000 N None 47 230.000 96.000 20.000 N None 48 230.000 120.000 20.000 N None 49 0.000 0.000 0.000 Y -- 50 0.000 30.000 0.000 Y -- 51 0.000 50.000 0.000 Y -- 52 0.000 80.000 0.000 Y -- 53 25.000 0.000 0.000 Y -- 54 25.000 80.000 0.000 Y -- 55 35.000 0.000 0.000 Y -- 56 35.000 80.000 0.000 Y --
  • 7.
    Frame Model Data RAM Frame v14.04.06.00 Page 7/7 DataBase: EcoPlaza 04/16/12 15:58:29 # X Y Z Fdtn Diaphr 57 60.000 0.000 0.000 Y -- 58 60.000 80.000 0.000 Y -- 59 85.000 0.000 0.000 Y -- 60 85.000 80.000 0.000 Y -- 61 115.000 0.000 0.000 Y -- 62 115.000 80.000 0.000 Y -- 63 115.000 96.000 0.000 Y -- 64 115.000 120.000 0.000 Y -- 65 133.000 120.000 0.000 Y -- 66 140.000 0.000 0.000 Y -- 67 160.000 0.000 0.000 Y -- 68 160.000 120.000 0.000 Y -- 69 195.000 0.000 0.000 Y -- 70 195.000 120.000 0.000 Y -- 71 230.000 0.000 0.000 Y -- 72 230.000 30.000 0.000 Y -- 73 230.000 50.000 0.000 Y -- 74 230.000 80.000 0.000 Y -- 75 230.000 96.000 0.000 Y -- 76 230.000 120.000 0.000 Y --