UNIT I DC & AC Circuits
DC Circuits: Electrical circuit elements (R, L and C), Ohm’s Law and its
limitations, KCL & KVL, series, parallel, series-parallel circuits, Super Position
theorem, Simple numerical problems.
AC Circuits: A.C. Fundamentals: Equation of AC Voltage and current, waveform,
time period, frequency, amplitude, phase, phase difference, average value, RMS
value, form factor, peak factor, Voltage and current relationship with phasor
diagrams in R, L, and C circuits, Concept of Impedance, Active power, reactive
power and apparent power, Concept of power factor (Simple Numerical problems).
Equipment Safety Measures: Working principle of Fuse and Miniature circuit
breaker (MCB), merits and demerits. Personal safety measures: Electric Shock,
Earthing phenomenon, Safety Precautions to avoid shock.
DC Circuits
Electrical Quantities
Sources
• Voltage source:
▪ Energy source whose V is independent of I
▪ V is independent of RL
▪ Source determines V and Load determines I
• Current source:
▪ Energy source which delivers constant I
▪ Independent of V
▪ Source determines I and load determines V
Sources
6
• Source transformation:
• Combination of sources:
Components
• Resistance - R - Ohms()
• Inductance - L - Henrys (H)
• Capacitance - C - Farads (F)
• Energy received:
▪ Dissipated as heat (R)
▪ Stored in it as:
▪ Magnetic field (L)
▪ Electric field (C)
7
Resistance
• Ohms Law:
• Energy:
• Geometric:
▪ where  = resistivity
• Series Combination: equal currents
• Parallel Combination: equal voltages
11
I
R
V *
=
t
R
I
W *
*
2
=
A
L
R

=
n
eq R
R
R
R
R ...
3
2
1 +
+
+
=
n
eq R
R
R
R
R
1
....
1
1
1
1
3
2
1
+
+
+
=
Series Combination
Parallel Combination
Inductance (L)
16
• Stores energy in magnetic field
• Influences only I is changed
• Property of opposing change in current
• If I remains constant, V = 0
• I cannot change instantaneously
• Energy:
• Geometric:
▪ where  = 0r = permeability and 0= 4x10-7 H/m
dt
di
L
V =
2
2
1
LI
W =
l
A
N
L
2

=
Capacitance (C)
21
• Stores energy in electric field
• Influences only when V is changed across its
terminals
•
• No I flows through a capacitor, if V remains
constant
• V across capacitor cannot change instantaneously
• Energy :
• Geometric:
▪ where  = 0r = permittivity and 0 = 8.85x10-12 F/m
dt
dv
C
I =
2
2
1
CV
W =
d
A
C

=
• Ohm’s Law states that the amount of current in a circuit is
proportional to the voltage across the circuit and inversely
proportional to the resistance in that circuit
• Voltage = Current x Resistance
• The Limitations are:
1. Temperature conditions need to be constant
2. Not valid in unilateral elements (diode)
3. Not valid in Nonlinear elements (Opamp)
Ohm’s Law
Kirchhoff’s Current law
23
• Kirchhoff’s current law (KCL):
▪ Algebraic sum of currents meeting at node is 0
▪ Currents entering = Currents leaving
0
1
=

=
n
i
i
I
Kirchhoff’s Voltage law
24
• Kirchhoff’s voltage law (KVL):
▪ Algebraic sum of voltages across a loop is 0
▪ Sources voltages = Loads voltages
0
1
=

=
n
i
i
V
Resistors in Series
• In series circuit resistors
are connected in chain
manner.
• Current flowing through
the given resistors is
always equal.
• Voltage is differ from
individual resistors
• Req = R1+R2+R3…Rn
Important Points:
Voltage Division Rule
A series circuit acts as a voltage divider as it
divides the total supply voltage into different
voltages across the circuit elements. Figure2
shows a voltage divider circuit in which the total
supply voltage V has been divided into
voltages V1 and V2 across two
resistances R1 and R2. Although, the current
through both resistances is same, i.e., I.
Problem
Resistors in parallel
• In parallel circuit heads
are connected together
and tails are connected
together.
• Current in parallel circuit
differ from individual
resistors.
• Voltage resistor is same
for all resistor.
•
n
eq R
R
R
R
R
1
....
1
1
1
1
3
2
1
+
+
+
=
Important Points:
Current Division Rule
Problem
Series - Parallel
Problems of Series – Parallel Resistor
Draw the equivalent circuits for the below circuits and find
out the total current drawn from the supply.
• Determine the current (I3) flowing through
the 3Ω resistor in the below circuit.
Problems of Series – Parallel Resistor
Draw the equivalent circuits for the below circuits and find
out the total current drawn and current flowing through each
resistorfrom the supply.
Problems
Super Position theorem
• The superposition theorem states that a circuit with
multiple power sources can be analyzed by evaluating
only one power source at a time. Then, the component
voltages and currents are added algebraically to
determine the circuit response with all power sources
in effect.
• Step 1: Replace all of the power sources except one.
Replace voltage sources with a short circuit (wire) and
current sources with an open circuit (break).
• Step 2: Calculate the voltages and currents due to each
individual source.
Super Position theorem Cont..
• Step 3: Repeat steps 1 and 2 for each power supply.
• Step 4: Superimpose the individual voltages and
currents. Algebraically add the component voltages
and currents; paying particular attention to the
direction of the voltage drops and current flows.
Limitations:
• The superposition theorem is limited to use with linear,
bilateral circuits.
• The superposition theorem can be applied to DC, AC,
and combined AC/DC circuits.
• The superposition theorem cannot be used to add
power.
Problem
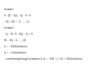
Find the Currents in R1 , R2 and R3 using Super position theorem ?
Step 1
Step 2
Step 3
Step 3
Step 4

basic electrical engineering for students

  • 1.
    UNIT I DC& AC Circuits DC Circuits: Electrical circuit elements (R, L and C), Ohm’s Law and its limitations, KCL & KVL, series, parallel, series-parallel circuits, Super Position theorem, Simple numerical problems. AC Circuits: A.C. Fundamentals: Equation of AC Voltage and current, waveform, time period, frequency, amplitude, phase, phase difference, average value, RMS value, form factor, peak factor, Voltage and current relationship with phasor diagrams in R, L, and C circuits, Concept of Impedance, Active power, reactive power and apparent power, Concept of power factor (Simple Numerical problems). Equipment Safety Measures: Working principle of Fuse and Miniature circuit breaker (MCB), merits and demerits. Personal safety measures: Electric Shock, Earthing phenomenon, Safety Precautions to avoid shock.
  • 2.
  • 3.
  • 5.
    Sources • Voltage source: ▪Energy source whose V is independent of I ▪ V is independent of RL ▪ Source determines V and Load determines I • Current source: ▪ Energy source which delivers constant I ▪ Independent of V ▪ Source determines I and load determines V
  • 6.
  • 7.
    Components • Resistance -R - Ohms() • Inductance - L - Henrys (H) • Capacitance - C - Farads (F) • Energy received: ▪ Dissipated as heat (R) ▪ Stored in it as: ▪ Magnetic field (L) ▪ Electric field (C) 7
  • 11.
    Resistance • Ohms Law: •Energy: • Geometric: ▪ where  = resistivity • Series Combination: equal currents • Parallel Combination: equal voltages 11 I R V * = t R I W * * 2 = A L R  = n eq R R R R R ... 3 2 1 + + + = n eq R R R R R 1 .... 1 1 1 1 3 2 1 + + + = Series Combination Parallel Combination
  • 16.
    Inductance (L) 16 • Storesenergy in magnetic field • Influences only I is changed • Property of opposing change in current • If I remains constant, V = 0 • I cannot change instantaneously • Energy: • Geometric: ▪ where  = 0r = permeability and 0= 4x10-7 H/m dt di L V = 2 2 1 LI W = l A N L 2  =
  • 21.
    Capacitance (C) 21 • Storesenergy in electric field • Influences only when V is changed across its terminals • • No I flows through a capacitor, if V remains constant • V across capacitor cannot change instantaneously • Energy : • Geometric: ▪ where  = 0r = permittivity and 0 = 8.85x10-12 F/m dt dv C I = 2 2 1 CV W = d A C  =
  • 22.
    • Ohm’s Lawstates that the amount of current in a circuit is proportional to the voltage across the circuit and inversely proportional to the resistance in that circuit • Voltage = Current x Resistance • The Limitations are: 1. Temperature conditions need to be constant 2. Not valid in unilateral elements (diode) 3. Not valid in Nonlinear elements (Opamp) Ohm’s Law
  • 23.
    Kirchhoff’s Current law 23 •Kirchhoff’s current law (KCL): ▪ Algebraic sum of currents meeting at node is 0 ▪ Currents entering = Currents leaving 0 1 =  = n i i I
  • 24.
    Kirchhoff’s Voltage law 24 •Kirchhoff’s voltage law (KVL): ▪ Algebraic sum of voltages across a loop is 0 ▪ Sources voltages = Loads voltages 0 1 =  = n i i V
  • 25.
    Resistors in Series •In series circuit resistors are connected in chain manner. • Current flowing through the given resistors is always equal. • Voltage is differ from individual resistors • Req = R1+R2+R3…Rn
  • 28.
  • 29.
    Voltage Division Rule Aseries circuit acts as a voltage divider as it divides the total supply voltage into different voltages across the circuit elements. Figure2 shows a voltage divider circuit in which the total supply voltage V has been divided into voltages V1 and V2 across two resistances R1 and R2. Although, the current through both resistances is same, i.e., I.
  • 32.
  • 33.
    Resistors in parallel •In parallel circuit heads are connected together and tails are connected together. • Current in parallel circuit differ from individual resistors. • Voltage resistor is same for all resistor. • n eq R R R R R 1 .... 1 1 1 1 3 2 1 + + + =
  • 37.
  • 38.
  • 41.
  • 42.
  • 46.
    Problems of Series– Parallel Resistor
  • 47.
    Draw the equivalentcircuits for the below circuits and find out the total current drawn from the supply.
  • 48.
    • Determine thecurrent (I3) flowing through the 3Ω resistor in the below circuit.
  • 49.
    Problems of Series– Parallel Resistor Draw the equivalent circuits for the below circuits and find out the total current drawn and current flowing through each resistorfrom the supply.
  • 52.
  • 66.
    Super Position theorem •The superposition theorem states that a circuit with multiple power sources can be analyzed by evaluating only one power source at a time. Then, the component voltages and currents are added algebraically to determine the circuit response with all power sources in effect. • Step 1: Replace all of the power sources except one. Replace voltage sources with a short circuit (wire) and current sources with an open circuit (break). • Step 2: Calculate the voltages and currents due to each individual source.
  • 67.
    Super Position theoremCont.. • Step 3: Repeat steps 1 and 2 for each power supply. • Step 4: Superimpose the individual voltages and currents. Algebraically add the component voltages and currents; paying particular attention to the direction of the voltage drops and current flows. Limitations: • The superposition theorem is limited to use with linear, bilateral circuits. • The superposition theorem can be applied to DC, AC, and combined AC/DC circuits. • The superposition theorem cannot be used to add power.
  • 68.
    Problem Find the Currentsin R1 , R2 and R3 using Super position theorem ?
  • 69.
  • 70.
  • 71.
  • 72.
  • 73.