Automation Using Tivoli NetView OS/390 V1R3
and System Automation OS/390 V1R3

Holger Stamme, Ling Xiao Gao, Marcio Guimaraes, Clive Kennedy, Jason Wyer




                   International Technical Support Organization

                              www.redbooks.ibm.com




                                                                            SG24-5515-00
SG24-5515-00

International Technical Support Organization

Automation Using Tivoli NetView OS/390 V1R3
and System Automation OS/390 V1R3


March 2000
Take Note!
  Before using this information and the product it supports, be sure to read the general information in
  Appendix D, “Special notices” on page 245.




First Edition (March 2000)

This edition applies to Tivoli NetView for OS/390 V1R3 and System Automation for OS/390 V1R3 for
use with the OS/390.

This document created or updated on March 14, 2000.

Comments may be addressed to:
IBM Corporation, International Technical Support Organization
Dept. OSJB Building 003 Internal Zip 2834
11400 Burnet Road
Austin, Texas 78758-3493

When you send information to IBM, you grant IBM a non-exclusive right to use or distribute the
information in any way it believes appropriate without incurring any obligation to you.

© Copyright International Business Machines Corporation 2000. All rights reserved.
Note to U.S Government Users – Documentation related to restricted rights – Use, duplication or disclosure is
subject to restrictions set forth in GSA ADP Schedule Contract with IBM Corp.
Contents

                  Preface . . . . . . . . . . . . . . . . . . . . . . . . . . . . . . . . . . . . . . . . . . . . . . . . . . . .ix
                  The team that wrote this redbook . . . . . . . . . . . . . . . . . . . . . . . . . . . . . . . . . . . . ix
                  Comments welcome . . . . . . . . . . . . . . . . . . . . . . . . . . . . . . . . . . . . . . . . . . . . . . xi

                  Chapter 1. Introduction to Tivoli NetView for OS/390 V1R3 .                                        .   .   ..   .   .   .   .   .1
                  1.1 At a glance . . . . . . . . . . . . . . . . . . . . . . . . . . . . . . . . . . . . .          .   .   ..   .   .   .   .   .1
                  1.2 Overview . . . . . . . . . . . . . . . . . . . . . . . . . . . . . . . . . . . . . .           .   .   ..   .   .   .   .   .1
                  1.3 Description . . . . . . . . . . . . . . . . . . . . . . . . . . . . . . . . . . . . .          .   .   ..   .   .   .   .   .3
                     1.3.1 IP management . . . . . . . . . . . . . . . . . . . . . . . . . . . . .                   .   .   ..   .   .   .   .   .3
                     1.3.2 Graphical console. . . . . . . . . . . . . . . . . . . . . . . . . . . .                  .   .   ..   .   .   .   .   .5
                     1.3.3 Automation features . . . . . . . . . . . . . . . . . . . . . . . . . .                   .   .   ..   .   .   .   .   .6
                     1.3.4 Other customer satisfaction enhancements . . . . . . . .                                  .   .   ..   .   .   .   .   .7
                     1.3.5 Product positioning in the market . . . . . . . . . . . . . . . .                         .   .   ..   .   .   .   .   .9

                  Chapter 2. Benefits of using System Automation for OS/390 . . .                                                 .   .   .   . 11
                  2.1 Why automate? . . . . . . . . . . . . . . . . . . . . . . . . . . . . . . . . . . . . .                     .   .   .   . 11
                  2.2 Proactive management of OS/390 subsystem tasks . . . . . . . . . .                                          .   .   .   . 12
                  2.3 Monitoring and recovery capabilities of OS/390 subsystems . . .                                             .   .   .   . 12
                  2.4 Automation features of System Automation for OS/390 V1R3 . .                                                .   .   .   . 13
                     2.4.1 New Interface - Single system image support . . . . . . . . . . .                                      .   .   .   . 13
                     2.4.2 Better managing your applications . . . . . . . . . . . . . . . . . . .                                .   .   .   . 13
                     2.4.3 Simultaneously updating policy databases for applications .                                            .   .   .   . 14
                     2.4.4 Notifying the Tivoli Enterprise Console . . . . . . . . . . . . . . . .                                .   .   .   . 14
                     2.4.5 Other enhancements . . . . . . . . . . . . . . . . . . . . . . . . . . . . .                           .   .   .   . 14

                  Chapter 3. The ITSO automation project environment .                                  ..   .   .   .   .   ..   .   .   .   . 17
                  3.1 Types of communication. . . . . . . . . . . . . . . . . . . . . . .               ..   .   .   .   .   ..   .   .   .   . 19
                     3.1.1 Communication using a LU 6.2 session . . . . . . .                           ..   .   .   .   .   ..   .   .   .   . 19
                     3.1.2 Communication using a LUC session . . . . . . . . .                          ..   .   .   .   .   ..   .   .   .   . 20
                     3.1.3 Communication using an OST-NNT session . . . .                               ..   .   .   .   .   ..   .   .   .   . 20
                  3.2 Resource Object Data Manager (RODM) . . . . . . . . . .                           ..   .   .   .   .   ..   .   .   .   . 20
                     3.2.1 RODM object oriented structure . . . . . . . . . . . . .                     ..   .   .   .   .   ..   .   .   .   . 21
                  3.3 Graphic Monitor Facility Host Subsystem (GMFHS) . .                               ..   .   .   .   .   ..   .   .   .   . 21
                  3.4 Status Display Facility (SDF) . . . . . . . . . . . . . . . . . . .               ..   .   .   .   .   ..   .   .   .   . 22

                  Chapter 4. Customization of Tivoli NetView OS/390. .                                ...........                         .   . 25
                  4.1 Planning the Tivoli NetView for OS/390 environment                              ...........                         .   . 26
                  4.2 Defining the Tivoli NetView for OS/390 environment                              ...........                         .   . 27
                     4.2.1 Recommended library structure in multi-system                              environment .                       .   . 27
                     4.2.2 OS/390 subsystem extensions . . . . . . . . . . . . .                      ...........                         .   . 31
                     4.2.3 Usage of OS/390 system symbolics . . . . . . . . .                         ...........                         .   . 32



© Copyright IBM Corp. 2000                                                                                                                        iii
4.3 Network management environment . . . . . . . . . . . . . . . . . . . . . . . .                 .   . 33
                   4.3.1 Creation of common networking NetView libraries . . . . . . . . .                         .   . 34
                   4.3.2 Setting up the base components NetView for OS/390. . . . . . .                            .   . 36
                   4.3.3 Setting up the Resource Object Data Manager . . . . . . . . . . . .                       .   . 36
                   4.3.4 Setting up the Graphic Monitor Facility Host Subsystem . . . . .                          .   . 37
                   4.3.5 Setting up the Automated Operation Network feature . . . . . . .                          .   . 37
                   4.3.6 Creation of local (domain specific) NetView libraries . . . . . . .                       .   . 37
                4.4 Automation environment. . . . . . . . . . . . . . . . . . . . . . . . . . . . . . . . .        .   . 39
                   4.4.1 Creation of common automation NetView libraries . . . . . . . . .                         .   . 40
                   4.4.2 Setting up the base NetView for OS/390. . . . . . . . . . . . . . . . .                   .   . 47
                   4.4.3 Setting up the Resource Object Data Manager . . . . . . . . . . . .                       .   . 47
                   4.4.4 Customizing RODM load jobs in the automation environment .                                .   . 49
                   4.4.5 Setting up the Graphic Monitor Facility Host Subsystem . . . . .                          .   . 49
                   4.4.6 Creation of local (domain specific) NetView libraries . . . . . . .                       .   . 50

                Chapter 5. Customization of System Automation for OS/390 . . . . . . . 53
                5.1 Base System Automation customization . . . . . . . . . . . . . . . . . . . . . . . 53
                   5.1.1 Preparation and set up jobs for System Automation . . . . . . . . . . 53
                   5.1.2 Preparing the OS/390 system environment and library . . . . . . . . 55
                   5.1.3 Creating System Automation policy database dialog panels . . . . 56
                5.2 Usage of system symbolics and System Automation synonyms . . . . . 59
                5.3 Defining all systems and objects to System Automation . . . . . . . . . . . 60
                   5.3.1 Starting the System Automation policy database dialog . . . . . . . 61
                   5.3.2 Creating a new System Automation policy database. . . . . . . . . . 62
                   5.3.3 Entering all systems and objects . . . . . . . . . . . . . . . . . . . . . . . . 64
                   5.3.4 Building SA Automation Control File (ACF) . . . . . . . . . . . . . . . . . . . . 98
                   5.3.5 Build RODM loader input file . . . . . . . . . . . . . . . . . . . . . . . . . . . . . . 101
                5.4 Defining dependencies and start-up behavior . . . . . . . . . . . . . . . . . . 103
                   5.4.1 Define dependencies . . . . . . . . . . . . . . . . . . . . . . . . . . . . . . . . 103
                   5.4.2 Define start-up behavior . . . . . . . . . . . . . . . . . . . . . . . . . . . . . . 106
                5.5 Customizing the Status Display Facility (SDF) . . . . . . . . . . . . . . . . . 108
                   5.5.1 Customizing the panel member AOFPNLS . . . . . . . . . . . . . . . . 108
                   5.5.2 Customizing the status member AOFTREE . . . . . . . . . . . . . . . 110
                   5.5.3 Defining SDF gateways . . . . . . . . . . . . . . . . . . . . . . . . . . . . . . 111
                   5.5.4 Starting the SDF monitor . . . . . . . . . . . . . . . . . . . . . . . . . . . . . 111

                Chapter 6. Installation of the NetView Management Console . . .                            .   .   . 115
                6.1 Prerequisites for NetView Management Console Version 1.3 . . .                         .   .   . 117
                6.2 Setting up the NMC Server . . . . . . . . . . . . . . . . . . . . . . . . . . . . .    .   .   . 117
                   6.2.1 Installing NMC Server to run as a Windows NT service . . .                        .   .   . 117
                   6.2.2 Setting up NMC Topology Server for Systems Automation .                           .   .   . 123
                   6.2.3 Starting the NMC Topology Server using TCP/IP . . . . . . . .                     .   .   . 127
                   6.2.4 Uninstalling the NMC Topology Server . . . . . . . . . . . . . . . .              .   .   . 128



iv   Automation Using Tivoli NetView OS/390 V1R3 and System Automation OS/390 V1R3
6.2.5 Hints and tips for the NMC Topology Server . . . . . . . . . . . . . .                           . 129
6.3 Setting up the NMC client workstation . . . . . . . . . . . . . . . . . . . . . .                     . 131
   6.3.1 Installing the NMC Topology Console . . . . . . . . . . . . . . . . . . .                        . 131
   6.3.2 Starting the NMC Console using a TCP/IP connection . . . . . .                                   . 133
   6.3.3 Uninstalling the Tivoli NMC Topology Console . . . . . . . . . . . .                             . 134
   6.3.4 Hints and tips for the NMC Topology Console . . . . . . . . . . . .                              . 135
   6.3.5 Issuing SA OS/390 commands using the NMC . . . . . . . . . . . .                                 . 135
6.4 Setting up the Web interface to Tivoli NetView OS/390 . . . . . . . . .                               . 140
6.5 Setting up the NetView 3270 Management Console . . . . . . . . . . . .                                . 142
   6.5.1 Software requirements . . . . . . . . . . . . . . . . . . . . . . . . . . . . . .                . 142
   6.5.2 Selecting the correct files . . . . . . . . . . . . . . . . . . . . . . . . . . . .              . 143
   6.5.3 Available documentation and technical information. . . . . . . . .                               . 144
   6.5.4 Setting up the host (mainframe) environment . . . . . . . . . . . . .                            . 144
   6.5.5 Installing NetView 3270 Console on Windows 95, 98, and NT                                        . 146
   6.5.6 Uninstalling the NetView 3270 Console . . . . . . . . . . . . . . . . .                          . 150
   6.5.7 Replicating the NetView 3270 Console . . . . . . . . . . . . . . . . . .                         . 151
   6.5.8 Operating notes, hints, and tips . . . . . . . . . . . . . . . . . . . . . . .                   . 152

Chapter 7. Maintenance of Tivoli NetView and System Automation                                            . 155
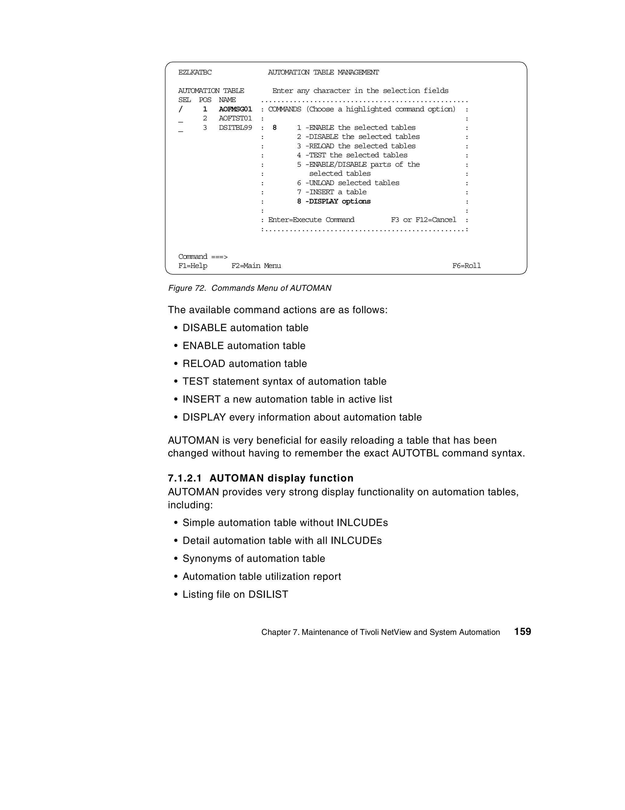
7.1 Automation table maintenance using AUTOMAN . . . . . . . . . . . . . .                                . 155
   7.1.1 Enabling the AUTOMAN function for the Automation NetView                                         . 155
   7.1.2 Using AUTOMAN command . . . . . . . . . . . . . . . . . . . . . . . . . .                        . 156
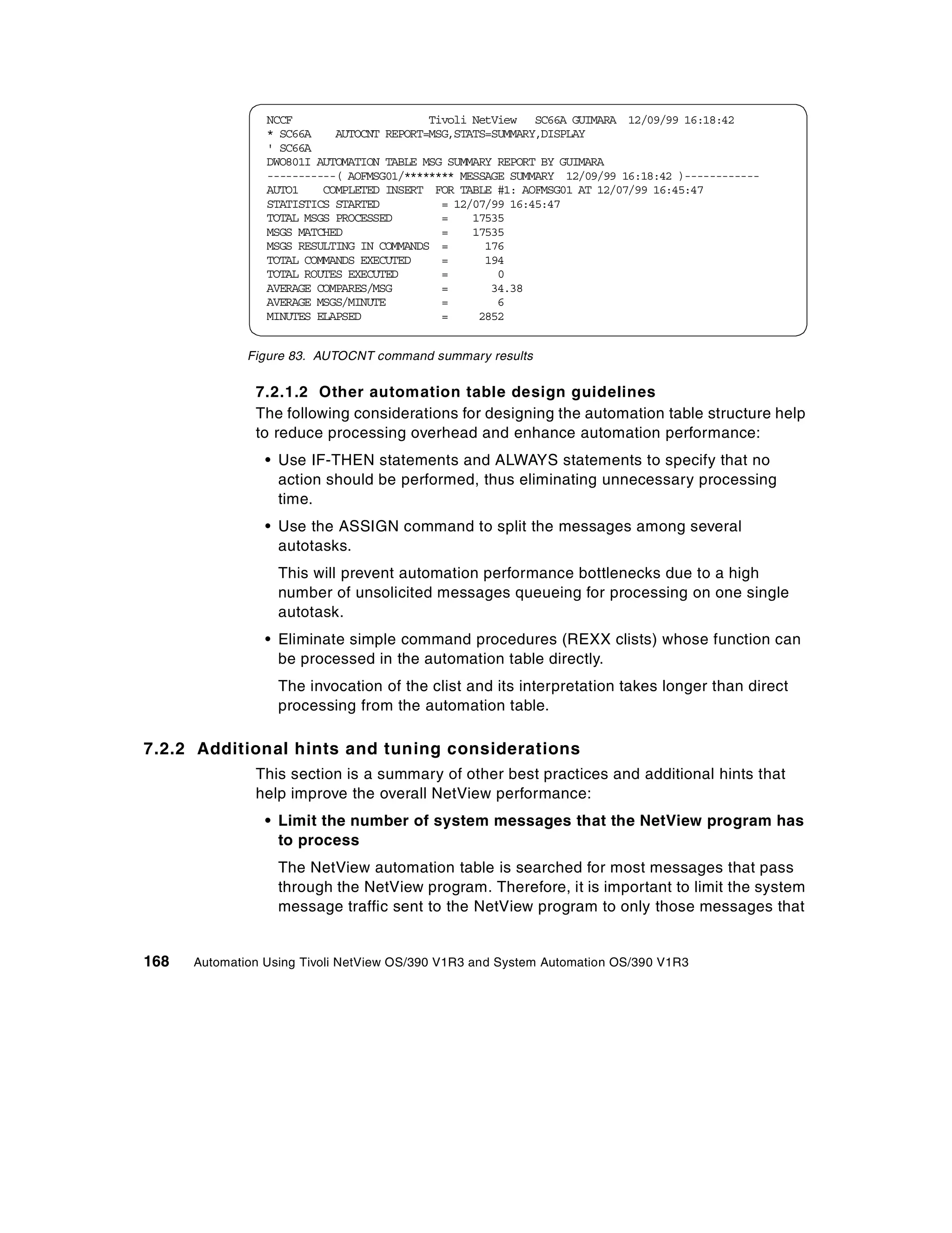
7.2 Netview and automation table optimization for performance . . . . . .                                 . 166
   7.2.1 NetView automation table . . . . . . . . . . . . . . . . . . . . . . . . . . . .                 . 166
   7.2.2 Additional hints and tuning considerations . . . . . . . . . . . . . . .                         . 168
7.3 Maintenance of the System Automation policy data base . . . . . . . .                                 . 170
   7.3.1 Design a hierarchical structure . . . . . . . . . . . . . . . . . . . . . . . .                  . 170
   7.3.2 Using ADD/REMOVE commands . . . . . . . . . . . . . . . . . . . . . .                            . 171
   7.3.3 RACF considerations . . . . . . . . . . . . . . . . . . . . . . . . . . . . . . .                . 171
   7.3.4 System Automation migration . . . . . . . . . . . . . . . . . . . . . . . . .                    . 172
   7.3.5 Building for ACF and RODM . . . . . . . . . . . . . . . . . . . . . . . . . .                    . 172
   7.3.6 Policy report . . . . . . . . . . . . . . . . . . . . . . . . . . . . . . . . . . . . . .        . 173
   7.3.7 ACFPLOAD . . . . . . . . . . . . . . . . . . . . . . . . . . . . . . . . . . . . . .             . 173

Chapter 8. Base automation features . . . . . . . . . . . . . . . . . . .                .   ..   .   .   . 175
8.1 New automation table features of NetView for OS/390 V1R3                             .   ..   .   .   . 175
   8.1.1 Multi-line message support . . . . . . . . . . . . . . . . . . . . . .          .   ..   .   .   . 175
   8.1.2 IF-THEN condition item substrings . . . . . . . . . . . . . . . .               .   ..   .   .   . 176
   8.1.3 Greater-than and less-than operator support . . . . . . . .                     .   ..   .   .   . 177
   8.1.4 Numeric comparison and current time support . . . . . . .                       .   ..   .   .   . 177
   8.1.5 Variable value function support. . . . . . . . . . . . . . . . . . .            .   ..   .   .   . 177
   8.1.6 Message reformatting . . . . . . . . . . . . . . . . . . . . . . . . . .        .   ..   .   .   . 178
   8.1.7 Automation table tracing . . . . . . . . . . . . . . . . . . . . . . . .        .   ..   .   .   . 179



                                                                                                              v
8.1.8 The AUTOMATED function .                     ..................               .   .   .   .   .   .   .   .   . 180
                8.2 System Automation framework . .                   ..................               .   .   .   .   .   .   .   .   . 180
                   8.2.1 Automating subsystems . . .                  ..................               .   .   .   .   .   .   .   .   . 181
                   8.2.2 Automating messages . . . .                  ..................               .   .   .   .   .   .   .   .   . 193
                8.3 System Automation and NetView                     base automation rules            .   .   .   .   .   .   .   .   . 197

                Chapter 9. Automation example scenarios . . . . . . . . . . . . . . . . . . .                                      .   . 199
                9.1 NetView SMTP mail gateway support . . . . . . . . . . . . . . . . . . . . . .                                  .   . 199
                   9.1.1 NetView provided samples . . . . . . . . . . . . . . . . . . . . . . . . . .                              .   . 199
                   9.1.2 Required customization . . . . . . . . . . . . . . . . . . . . . . . . . . . .                            .   . 200
                   9.1.3 Sending SMTP e-mail with EZLEMAIL . . . . . . . . . . . . . . . . .                                       .   . 201
                   9.1.4 Sending SMTP e-mail from AON Inform policies. . . . . . . . . .                                           .   . 202
                   9.1.5 Sending SMTP e-mail from user-written clists. . . . . . . . . . . .                                       .   . 203
                9.2 System Automation in a multi-system focal point environment . . .                                              .   . 204
                   9.2.1 Defining Automation Network process . . . . . . . . . . . . . . . . .                                     .   . 205
                9.3 Using NetView AON inform policies by System Automation . . . . .                                               .   . 214
                   9.3.1 Installation of AON inform policy in the Automation NetView.                                              .   . 214
                   9.3.2 Inform policy customizing . . . . . . . . . . . . . . . . . . . . . . . . . . .                           .   . 215
                   9.3.3 Calling the Inform policy . . . . . . . . . . . . . . . . . . . . . . . . . . . .                         .   . 217
                   9.3.4 Calling AON Inform policy from System Automation . . . . . . .                                            .   . 218
                9.4 Brief comparison of NMC and SDF Consoles . . . . . . . . . . . . . . . .                                       .   . 224
                9.5 Example NMC screens of the ITSO project scenario . . . . . . . . . .                                           .   . 225

                Appendix A. NetView 1.3 toleration for System Automation 1.3 . . . . 231

                Appendix B. System Automation V1R3 members and jobs . . . . . . . . 233
                B.1 Other System Automation jobs and definitions . . . . . . . . . . . . . . . . . . . . 234
                   B.1.1 Automation NetView start-up procedure . . . . . . . . . . . . . . . . . . . . . 235
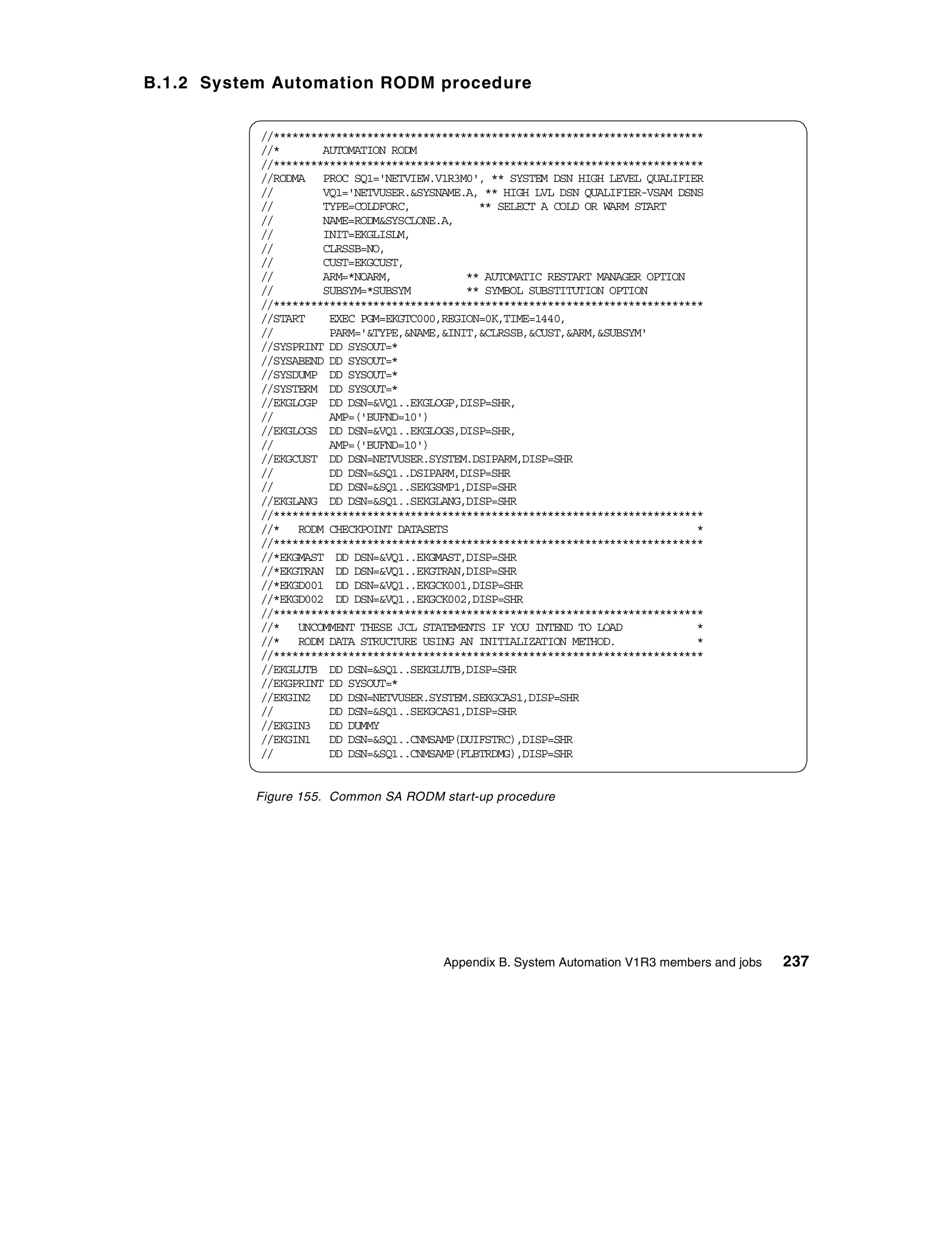
                   B.1.2 System Automation RODM procedure . . . . . . . . . . . . . . . . . . . . . . 237
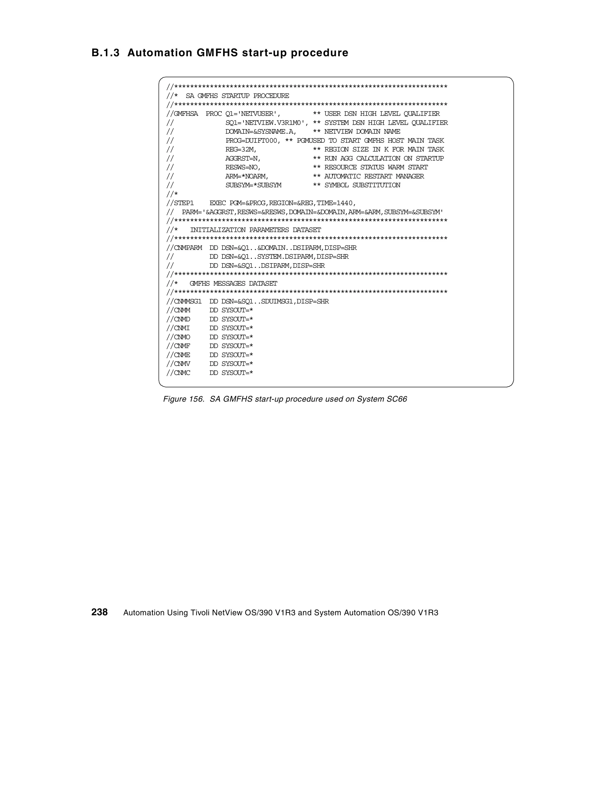
                   B.1.3 Automation GMFHS start-up procedure . . . . . . . . . . . . . . . . . . . . . 238
                   B.1.4 SA RODM data model load job. . . . . . . . . . . . . . . . . . . . . . . . . . . . 239

                Appendix C. One RODM/GMFHS focal point configuration. . . . . . . . . 241

                Appendix D. Special notices . . . . . . . . . . . . . . . . . . . . . . . . . . . . . . . . . . 245

                Appendix E. Related publications . . . . . . . . . . . . . . . . . . . . . . . . . . . . . . 249
                E.1 IBM Redbooks . . . . . . . . . . . . . . . . . . . . . . . . . . . . . . . . . . . . . . . . . . . . 249
                E.2 IBM Redbooks collections. . . . . . . . . . . . . . . . . . . . . . . . . . . . . . . . . . . . 249
                E.3 Other resources . . . . . . . . . . . . . . . . . . . . . . . . . . . . . . . . . . . . . . . . . . . 249
                E.4 Referenced Web sites. . . . . . . . . . . . . . . . . . . . . . . . . . . . . . . . . . . . . . . 250

                How to get ITSO redbooks . . . . . . . . . . . . . . . . . . . . . . . . . . . . . . . . . . 251
                IBM Redbook fax order form . . . . . . . . . . . . . . . . . . . . . . . . . . . . . . . . . . . . . 252



vi   Automation Using Tivoli NetView OS/390 V1R3 and System Automation OS/390 V1R3
Glossary . . . . . . . . . . . . . . . . . . . . . . . . . . . . . . . . . . . . . . . . . . . . . . . . 253

Abbreviations and acronyms . . . . . . . . . . . . . . . . . . . . . . . . . . . . . . . . 257

Index . . . . . . . . . . . . . . . . . . . . . . . . . . . . . . . . . . . . . . . . . . . . . . . . . . . 259

IBM Redbooks review . . . . . . . . . . . . . . . . . . . . . . . . . . . . . . . . . . . . . . 265




                                                                                                            vii
viii   Automation Using Tivoli NetView OS/390 V1R3 and System Automation OS/390 V1R3
Preface

                  The objective of this redbook is to provide an easy to use and understand
                  automation guide for large organizations. The major focus of this redbook is
                  on how to efficiently set up and customize Tivoli NetView for OS/390 and
                  Systems Automation for OS/390 in a multi-systems enterprise environment.

                  In addition to this, this redbook provides best practices and tips for
                  maintenance issues of the Tivoli NetView and System Automation
                  environment. This will include the AUTOMAN feature for maintenance of
                  multiple automation tables, basic tuning considerations to improve general
                  NetView and automation table performance, as well as an optimized structure
                  of the System Automation policy database.

                  To help system administrators and operators establish and leverage their
                  automation environment, this redbook provides further information on basic
                  automation features, such as the System Automation framework, and some
                  automation scenarios using the new NetView AON inform policy feature.
                  Examples include an automation scenario of the ITSO project environment,
                  as well as integration aspects of System Automation using the new NetView
                  AON inform policy features, such as notifications via pager support or
                  escalations by sending e-mails using the SMTP gateway support.

                  The steps outlined in this redbook are based on, and supported by, examples
                  derived from the actual installation, set up, and customization of Tivoli
                  NetView for OS/390 and System Automation for OS/390 at the ITSO.


The team that wrote this redbook
                  This redbook was produced by a team of specialists from around the world
                  working at the International Technical Support Organization, Austin Center.

                  Holger Stamme is a Certified IT Architect at the ITSO, Austin Center, who
                  has more than 10 years of working experience in consulting, designing, and
                  implementing Systems Management solutions within IBM. Before joining the
                  ITSO in 1999, he was leading the architectural and design phases of large
                  customer projects in the finance and insurance industry in Germany.

                  Ling Xiao Gao is a Advisory IT Specialist in China. He has seven years of
                  experience in MVS and OS/390 fields. His areas of expertise include NetView
                  for OS/390 and System Automation.




© Copyright IBM Corp. 2000                                                                      ix
Marcio Guimaraes is an Advisory IT Specialist in Brazil. He has eight years
                of experience in the IT field, of which the last five years have been in
                developing, designing, and supporting the System Management area. His
                areas of expertise include Tivoli NetView for OS/390 and System Automation
                for OS/390.

                Clive Kennedy is a Network Automation Specialist with AT&T Global
                Networks in the UK. He has over 20 years experience in Systems and
                Network Management in large MVS installations and over 12 years
                experience using NetView OS/390 for Systems and Network Automation.

                Jason Wyer is an IT Consultant working for PricewaterhouseCoopers in the
                USA. He has three years of experience in the Systems Administration field.
                He holds a BS from the University of Connecticut along with being an A+
                Certified Technician and Microsoft Certified Professional. His areas of
                expertise include Microsoft Windows environments.

                Thanks to the following people for their invaluable contributions to this project:

                Adam Barry
                Tivoli Systems Raleigh, Network Management Applications Development

                Denny Beary
                IBM Gaithersburg, S/390 Systems Management Technology Support

                Budi Darmawan
                International Technical Support Organization, Austin Center

                Gary Forghetti
                Tivoli Systems Raleigh, Tivoli Product Introduction

                Roland Haibl
                IBM Boeblingen, System Automation for OS/390 Information Development

                Robert Haimowitz
                International Technical Support Organization, Raleigh Center

                Stephan Hartig
                IBM Boeblingen, System Automation for OS/390 Information Development

                Joseph Macera
                IBM Los Angeles, Tivoli Migration Team

                Wade Miller
                Tivoli Systems Raleigh, NetView Performance Group



x   Automation Using Tivoli NetView OS/390 V1R3 and System Automation OS/390 V1R3
Paul Quigley
          Tivoli Systems Raleigh, Network Management Applications Development

          Phil Riedel
          Tivoli Systems Raleigh, Network Management Applications Development

          Joachim Schmalzried
          IBM Boeblingen, System Automation for OS/390 Information Development

          Aimee Tattersall
          Tivoli Systems Raleigh, NetView for OS/390 Technical Evangelist


Comments welcome
          Your comments are important to us!

          We want our redbooks to be as helpful as possible. Please send us your
          comments about this or other redbooks in one of the following ways:
           • Fax the evaluation form found in “IBM Redbooks review” on page 265 to
             the fax number shown on the form.
           • Use the online evaluation form found at http://www.redbooks.ibm.com/
           • Send your comments in an Internet note to redbook@us.ibm.com




                                                                                     xi
xii   Automation Using Tivoli NetView OS/390 V1R3 and System Automation OS/390 V1R3
Chapter 1. Introduction to Tivoli NetView for OS/390 V1R3

                  This chapter provides a brief overview of the functions in Tivoli NetView for
                  OS/390 V1R3, which is extracted from the Request for Announcement (RFA).
                  In addition, some information about the configuration used during the
                  residency will be provided.

                  A complete list of all the hardware and software requirements for each Tivoli
                  NetView for OS/390 V1R3 function is provided in the announcement letter
                  and also in the Tivoli NetView for OS/390 V1R3 Planning Guide, GC31-8226.


1.1 At a glance
                  Tivoli NetView for OS/390 V1R3 targets enterprise control of the e-business
                  complexity. Building on the already rich functionality of Tivoli NetView for
                  OS/390, V1R3 provides enhancements in the following areas:
                    • It is possible to issue any TCP/IP, SNMP, or UNIX command from Tivoli
                      NetView for OS/390 either through a user-friendly panel interface or in
                      Clists that are written to extend the functions NetView provides.
                    • SNMP services include a MIB compiler/loader and a MIB browser
                      launched from the NMC. There is also a robust 3270 interface for issuing
                      SNMP requests, such as GET/SET/etc. MIB polling and thresholds also
                      aid in monitoring and automation.
                    • Graphical Network Management now includes IP agents available for:
                       - Tivoli NetView on Sun Solaris or Windows NT
                       - HP OpenView on Sun Solaris or HP-UX
                       - Tivoli NetView on AIX
                    • Tivoli NetView for OS/390 now provides the ability to convert SNMP traps
                      to SNA alerts and SNA alerts to SNMP traps.
                    • Web interfaces for third-party Web applications can be launched.
                    • The timer and automation capabilities are further enhanced.


1.2 Overview
                  Tivoli NetView for OS/390 addresses the challenges of network and systems
                  management by focusing on operator productivity through the use of
                  graphical displays and embedded automation capability. Tivoli NetView for




© Copyright IBM Corp. 2000                                                                       1
OS/390 continues its leadership in SNA management and strongly addresses
                the management of mixed network architecture environments.

                Tivoli NetView for OS/390 V1R3 focuses on management of IP networks and
                SNMP-based devices, management of IP clients accessing mainframe
                applications, and integration with third-party network and element
                management vendors.

                TCP/IP management can be accomplished through the use of native OS/390
                TCP/IP management or in cooperation with management applications on
                distributed platforms. This includes IP agents available for Tivoli NetView on
                AIX, Sun Solaris, or Windows NT, and HP OpenView on Sun Solaris or
                HP-UX.

                An SNMP stack and MIB services (MIB compiler/loader, MIB browser)
                improve the management of TCP/IP resources and sessions. In addition,
                NetView can receive and process any SNMP V1 trap.

                Full function SNMP command support from the NMC, 3270 panels, or
                command procedures, support for logical groupings of MIB variables, remote
                Ping support, MIB polling, and thresholds aid in resource monitoring and
                automation. Not all functions are available from both the NMC and 3270
                interfaces.

                Any socket can now be monitored for availability. If the socket is down, then
                automation can attempt to restart its associated application, job, or task.

                TN3270 session management now includes support for the remote TN3270
                server feature on both Cisco and IBM routers plus support for connections
                with any TCP socket.

                Tivoli NetView for OS/390 provides the ability to launch a Web interface for
                any vendor application from the NetView Management Console (NMC).

                NMC improvements include view cycling, view and resource security, and
                other ease-of-use enhancements. In addition, there are enhancements that
                integrate the NMC and NetView 3270 Management Console into a single
                console.

                Tivoli NetView's robust timer and automation table capabilities are expanded
                to assist in automation table management, and a new CHRON command with
                calendering support.

                Tivoli NetView for OS/390 now adapts dynamically to daylight savings time
                and other system time changes without requiring a recycle.


2   Automation Using Tivoli NetView OS/390 V1R3 and System Automation OS/390 V1R3
1.3 Description
            Building on the already rich functionality of Tivoli NetView for OS/390, the
            V1R3 provides the additional enhancements, which are discussed in the
            following sections.

1.3.1 IP management
            Tivoli NetView for OS/390 V1R3 provides the operator with the ability to
            monitor and control the enterprise-wide, multi-protocol network from a single
            console. This includes the ability to view and manage the protocol-based
            network topologies, network devices, and the interrelationships between
            them.
             • Graphical Network Management now includes IP agents available on
               Tivoli NetView for Sun Solaris, Tivoli NetView for Windows NT, HP
               OpenView for Sun Solaris, and HP OpenView for HP-UX. The agents
               enable collection of IP topology and status discovered by the distributed
               SNMP-based network managers and forwarded to Tivoli NetView for
               OS/390 on a TCP/IP session. This enables management of IP networks
               from one central location. There is also a TCP/IP connection between the
               agent on Tivoli NetView for AIX and Tivoli NetView for OS/390 as well as
               an LU6.2 connection.
             • For topology updates and status changes, Tivoli NetView for OS/390 now
               has the ability to receive SNMP traps about IP resources and convert them
               to SNA alerts and status updates.
             • Conversion of SNA alerts into SNMP traps allows OS/390 captured alerts
               to be forwarded to distributed SNMP management applications.
             • A sample IP Layer 3 discovery engine that runs natively on OS/390
               minimizes the need to define resources to be managed.
             • Topology correlation has been enhanced to generate enterprise specific
               views more easily. Critical resources can now be automatically linked to a
               hierarchy of topology resources, such as "Room 12, Warehouse 2, Hong
               Kong, Manufacturing." If business views are not found, they will be
               created. Topology correlation is now easier to invoke through integration
               with BuildViews and Visual BuildViews.
             • Continuing to build on end-to-end network management, NetView for
               OS/390 provides the ability to launch a Web interface for any vendor
               application from the NetView Management Console. Use of this function
               includes CiscoWorks Blue and IBM Nways Manager Element Manager.
               This allows operators to manage the enterprise from one control console




                                         Chapter 1. Introduction to Tivoli NetView for OS/390 V1R3   3
and seamlessly work with other management tools without changing
                   management consoles.
                 • From the NMC, you can retrieve inventory data for IBM and Cisco network
                   interconnect devices from the Tivoli Inventory database. The Tivoli
                   Inventory database is populated by Tivoli Manager for CiscoWorks 2000
                   and Tivoli Manager for IBM NWAYS.
                 • An NMC-based MIB Browser functions as a client of MIB services and
                   SNMP services on OS/390. The MIB services provide a MIB
                   compiler/loader function, which allows Tivoli NetView for OS/390 to
                   support any vendor specific MIB described using the standard ASN.1
                   format. SNMP services provide an SNMP stack facility. Full SNMP command
                   support is provided from NMC command pull-downs.
                 • The Tivoli Management Region (TMR) agent is enhanced to collect
                   topology and monitors for critical Tivoli Management Agents (TMAs).
                 • The ATM topology agent supports new alerts for status updates.
                 • Operators can now issue SNMP GET, GETNEXT, SET, and WALK commands from
                   Tivoli NetView for OS/390 in addition to PING, TRACERTE, IPSTAT, and NETSTAT.
                   In general, it is possible to issue any IP, SNMP, or UNIX command. These
                   commands can also be used in REXX clists and other automation
                   routines.
                 • It is possible to define which MIB variables to check at specified intervals
                   and take action if a threshold is exceeded. User exits are available for MIB
                   polling and MIB thresholding to provide the capability to do more extensive
                   analysis or automation.
                 • Extending previous support for managing TN3270 and FTP sessions, any
                   socket connection can now be monitored for availability. Operators can
                   display session status for any socket connection, including TN3270
                   sockets, FTP, SMTP, telnet, and Web browser. If the socket is down,
                   automation can attempt to restart its associated application, job, or task.
                 • If you are running OS/390 V2R6, or later, and have it properly configured
                   to support multiple TN3270 sockets, then Session Management can also
                   be configured to support multiple sockets for TN3270 connections.
                 • Sessions being displayed by Session Management can be filtered. For
                   example, operators can set filters to see only TN3270 sessions from
                   subnet 146.48.*.* to applications starting with CICS.
                 • IP session management has been extended to include sessions between
                   IP clients and SNA mainframe applications connected through TN3270
                   servers. Servers supported include IBM 2210 and 2216 and Cisco's
                   Channel Interface Processors (CIP) and Channel Port Adapters (CPAs).


4   Automation Using Tivoli NetView OS/390 V1R3 and System Automation OS/390 V1R3
• Tivoli NetView for OS/390 has predefined MIB group definitions to collect
              SNMP data that is most meaningful to the operators. Additionally, it is
              possible to define your own groups to present MIB data best suited for the
              specific SNMP environment.

1.3.2 Graphical console
           The NetView Management Console (NMC) now has equivalent functionality
           to NGMF plus several additional customer-requested capabilities. In addition,
           there are enhancements that integrate the NMC and NetView 3270
           Management Console (formerly known as the 3270 Java (TM) Client) into a
           single console. These enhancements include:
            • View cycling
            • Resource session data from session monitor (including configuration data)
            • Launching Web interface for vendor applications, such as CiscoWorks
              Blue and IBM Nways Manager Element Manager
            • Sending messages to a specific console or broadcast to all consoles
            • View and resource security
            • Non-SNA command line (now called Service Point Command Line)
            • Visual NETCONV status (to more clearly see when NETCONV is down)
            • Single sign on for NMC and NetView 3270 Management Console
            • The ability to create a note associated with a flag (user status)
            • Operator ID and timestamp stored whenever a flag is changed
            • Console log freeze and thaw to prevent scrolling while you are trying to
              read a message
            • Additional hot key support, such as ctrl-H for help, ctrl-L for locate
              resource, and ctrl-F for find
            • New menu item to quickly suspend/unsuspend resources from
              aggregation
            • Closing a view and/all descendent views
            • Selection of multiple resources (including selecting objects in a specified
              region of the view)
            • Customized dynamic views displayed on a business tree structure
            • Finding objects in a view




                                          Chapter 1. Introduction to Tivoli NetView for OS/390 V1R3   5
• The ability to write a client application to send a command to Tivoli
                   NetView for OS/390 and receive a correlated response back for
                   subsequent processing
                 • Built-in Java runtime environment eliminating the need for a separate
                   installation and configuration of the Java Development Kit
                 • Productivity kit
                     - The ability to write console-based Java applications
                     - The ability to extend console operation using plug-ins
                     - Advanced customization guide
                     - Self-standing demonstration mode of the NMC (server not required)

1.3.3 Automation features
                The automation enhancements include additional functions and usability in
                the automation table, timers, and TCP/IP. These enhancements include:
                 • Support of greater-than and less-than in the automation table
                 • Triggering of information in multiple lines of MLWTOs in the automation
                   table
                 • The ability to use PIPE EDIT functionality in automation table conditions
                   and actions
                 • A tool for managing multiple automation tables (AUTOMAN)
                 • Support allowing operators to send e-mail directly from Tivoli NetView for
                   OS/390 via a panel interface using SMTP
                 • Greatly enhanced timer support through a new CHRON command which
                   provides capabilities such as:
                     - The ability to define enterprise-unique dates of importance, such as
                       holidays, vacations, and payroll days, using a customizable calendar
                       that can be dynamically reloaded.
                     - Very flexible specification of dates and times for timer execution
                       including days of the week or days of the month; for example, you can
                       specify that a certain command is to be executed at 10:00 every
                       Monday that is not a holiday.
                     - The ability to specify repeated timers that automatically compensate for
                       daylight savings time or other system time changes.
                 • An enhanced panel interface (TIMER) for viewing and creating
                   timer-driven commands, including support for the CHRON command




6   Automation Using Tivoli NetView OS/390 V1R3 and System Automation OS/390 V1R3
1.3.4 Other customer satisfaction enhancements
           Further customer satisfaction enhancements include:
            • Dynamic timer adjustment to allow Tivoli NetView for OS/390 to remain up
              and running through daylight savings time changes or other system time
              changes.
            • The ability to dynamically define Tivoli NetView for OS/390 commands,
              removing one of the final reasons to recycle Tivoli NetView for OS/390.
              This enhancement provides truly 24x7 operation of Tivoli NetView for
              OS/390 since planned outages are no longer necessary except for
              application of maintenance between releases.
            • The use of system symbolics for all components of Tivoli NetView for
              OS/390 allows easier configuration of multiple instances of Tivoli NetView
              for OS/390 throughout your enterprise and reduces maintenance efforts in
              a multi-system OS/390 environment.
            • Visual BLDVIEWS support to provide an easy-to-use graphical interface to
              create views and modify resource information.
            • A new NetView SOCKET command to facilitate communication with other
              TCP/IP applications and devices from automation procedures or the
              NetView command line.
            • The ability for an operator to log on with an active autotask of the same
              name or take over a task logged on elsewhere. In addition, the RMTCMD
              command can take over tasks already logged on or make use of tasks
              being used for other purposes.
            • Conversion of initial clist to use REXX and pipes.
            • Support for personal operator data sets to allow for operator
              customizations, including the ability to save and restore personalized PF
              key settings.
            • The ability to use up to eight characters for the command prefix used to
              issue Tivoli NetView for OS/390 commands from an MVS console.
            • Support for Tivoli Software Distribution file packs to distribute and install
              workstation components where Tivoli Software Distribution is deployed,
              thus, making software install easier on distributed platforms connecting to
              Tivoli NetView for OS/390.
            • The ability to view session monitor configuration data from the NMC or
              from a Web browser.
            • Customizable Title Line on the Command Facility screen.
            • Many improvements to the NetView Pipe command.



                                        Chapter 1. Introduction to Tivoli NetView for OS/390 V1R3   7
• Upgrading of MEMSTORE and IDLEOFF from samples to supported Tivoli
                   NetView for OS/390 commands.
                 • BROWSE NETLOG support for the HDRMTYPE field.
                 • Enhanced ability to locate network node (NN) servers in APPN
                   environments and run commands remotely at these network nodes.
                 • Security enhancements include:
                     - Enhanced security for DB2 access.
                     - Disk read security for %INCLUDE members.
                     - Security for VTAM commands prefixed with 'MVS'.
                     - Checking an operator's READSEC or WRITESEC authorization before
                       reading from or writing to a data set member when EXECIO is done in
                       a NetView command list.
                     - More granularity in submitting jobs via NetView's SUBMIT command.
                 • Resource monitor enhancements to help determine which task is queuing
                   too many messages and to provide more flexibility in logging usage
                   statistics in SMF.
                 • Several customer requested enhancements to the NetView 3270
                   Management Console (previously known as the 3270 Java client), such as
                   remappable colors and keyboard, an editable session list, and an option to
                   hide the PF keys palette.
                 • Access to Tivoli NetView for OS/390 using a standard Web browser
                   includes these enhancements:
                     - An operator sending a LOGOFF command to NetView from a Web
                       browser can be prompted for their operator ID and password the next
                       time they send a command to NetView from the browser. Previously,
                       the operator had to close the browser.
                     - Set an idle time limit for Web-connected operator tasks, after which the
                       operator will be prompted again for an ID and password.
                     - The ability to specify which operators are authorized to access NetView
                       from a Web browser.
                     - The ability to differentiate commands entered through Web access
                       from commands entered through traditional NetView tasks.
                     - Support for frames and support for JavaScript (.js) as a valid file type.




8   Automation Using Tivoli NetView OS/390 V1R3 and System Automation OS/390 V1R3
1.3.5 Product positioning in the market
            Tivoli NetView for OS/390 Version 1 Release 3 is an integral part of the Tivoli
            environment that provides a comprehensive set of tools for maintaining
            complex, multi-vendor, multi-platform networks and systems from a single
            point of control.

            With its open application programming interfaces (APIs), Tivoli NetView for
            OS/390 can be an integration point for other S/390 vendors to the Tivoli
            distributed environment.

            Tivoli NetView for OS/390 is a program for managing networks and systems
            through a strong set of automation features and graphical console displays. It
            reduces manual resource definition and complex automation set-up through
            production-ready automation and extends centralized management into
            multiple, non-SNA network environments. Tivoli NetView for OS/390 can be
            used in a large enterprise organization as a centralized manager, a mid-level
            manager, or just as a S/390 management endpoint.

                  Note

             Tivoli NetView for OS/390 Version 1 Release 3 is the last release that will
             support the OS/2-based NetView Graphical Monitor Facility (NGMF).
             Subsequent to Release 3, only the NetView Management Console (NMC)
             will be supported for graphical topology and status display.

             This information is being provided for customer awareness and is based on
             IBM best technical judgement at this time. IBM makes no guarantee that
             this information will not change based on future business decisions.




                                         Chapter 1. Introduction to Tivoli NetView for OS/390 V1R3   9
10   Automation Using Tivoli NetView OS/390 V1R3 and System Automation OS/390 V1R3
Chapter 2. Benefits of using System Automation for OS/390

                  This chapter describes why it is essential to use System Automation for
                  OS/390. An effective and proactive management of OS/390 subsystem
                  components or applications includes functions, such as monitoring, recovery
                  capabilities, and ease of use.


2.1 Why automate?
                  The need to simplify operations increases as you add hardware and software
                  products to your data center, data centers to your network, and personnel to
                  your data-processing staff. By simplifying your operations, System
                  Automation can help you meet required service levels, contain costs, make
                  efficient use of your operation staff, and remove repetitive tasks from being
                  reliant on human frailties.

                  System Automation offers system-wide benefits by simplifying your operating
                  environment. You can reduce the amount of manual intervention required to
                  manage operating systems, subsystems, application programs, and many
                  other products.

                  This is particularly important in a multiple system, especially for a Parallel
                  Sysplex environment. However, the job of managing these multiple images or
                  systems is not a simple task.

                  There are opportunities during the operation in multiple system or Parallel
                  Sysplex environments where, despite the best efforts of software developers
                  and testers, human intervention is required. The phrase “to err is human” has
                  never been more true than in computer operations.

                  Given that the enterprise wide environment is complex, and that human
                  errors can occur, the use of an automation tool that responds in a consistent
                  way to a particular event can help in delivering on the promise of continuous
                  operations.

                  One of the questions surrounding automation is: “Just what do I automate?”
                  In this book, we look at some of the issues surrounding set up, customization,
                  and automation examples in a multiple system environment.

                  A similar, but more specific to the Parallel Sysplex environment focusing, is
                  the ITSO redbook, Parallel Sysplex Automation: Using System Automation for
                  OS/390, SG24-5442, published in September of 1999.




© Copyright IBM Corp. 2000                                                                    11
2.2 Proactive management of OS/390 subsystem tasks
                The purpose of the proactive management features of System Automation is
                addressing the automation of repetitive tasks that operators currently
                perform. Today, the operators usually respond in a particular way to a
                message, or perform a task in accordance to the standard operating
                procedures. Coding automation routines to replace these tasks is relatively
                straight forward since the triggers for the actions, and the actions themselves,
                are well known.

                Another approach is to collect a number of days of SYSLOG data and to use
                a program, such as the MVS SYSLOG Message Analysis Program, which can
                be downloaded from URL http://www.s390.ibm.com/sa, to see what
                message triggers are being issued and base your automation (and message
                suppression) on the output of the tool.

                In this book, you will find information, hints, and tips to start up and control a
                multiple system OS/390 environment and how to build a hierarchy of your
                connected OS/390 systems and subsystem components.


2.3 Monitoring and recovery capabilities of OS/390 subsystems
                Next to the proactive management are the monitoring and recovery
                capabilities of System Automation for OS/390. It addresses the automation of
                events based on what is currently happening in your OS/390 systems.

                Typically, automation routines address both of these areas. But of the two, the
                monitoring and recovery capabilities of unsolicited events are by far more
                complex to resolve. This is due to the fact that it is not precisely known what
                to automate without having experienced relevant problems.

                When developing automation routines to handle error conditions, the triggers
                are not always as obvious. One way around this is to experience the problem
                first, then, based on what happened, code routines to automate the handling
                of that condition. This works as long as you are happy to experience every
                problem or error condition at least once. One other approach is to dive into all
                the message manuals and try and look for likely messages to automate.

                This book will provide some information, hints, and tips on unsolicited events
                in a multiple system OS/390 environment and how to monitor and recover
                from these critical situations.

                In addition, it will be shown how to notify or escalate in situations where
                successful recovery is not possible.


12   Automation Using Tivoli NetView OS/390 V1R3 and System Automation OS/390 V1R3
2.4 Automation features of System Automation for OS/390 V1R3
            This section provides a brief overview of the new System Automation V1R3
            features.

            The following major enhancements are new to SA OS/390 V1R3:
             • New interface - Single system image
             • Managing your applications with triggers, events, and service periods
             • Simultaneously updating policy databases for applications

2.4.1 New Interface - Single system image support
            System Automation for OS/390 V1R3 comprises full sysplex and single
            system image support. Now, systems in the sysplex need not be automated
            separately, but one system in the sysplex acts as a single point of control
            where the operator can specify the resources and their automation of the
            entire sysplex environment. Using the System Display Feature (SDF) on the
            System Automation focal point and System Automation instances on each of
            the systems in the sysplex environment, it is possible to display the status
            and workloads of resources as well as control and manage them. The support
            of single system image helps to optimize operating tasks and improves
            productivity.

2.4.2 Better managing your applications
            Optimizing the availability of applications when they are needed is an
            important issue in data processing. System Automation enables the user to
            define the availability of resources to meet a company's specific needs with
            the following set of functions:
             • Service periods are user specified time intervals, during which an
               application should be active.
             • Events are part of a trigger condition. If the event of a trigger condition
               has occurred, the startup or shutdown of an application is performed. If
               there is a service period also connected to the trigger, then it will check
               the service window to determine whether a shutdown or start-up should be
               performed.
             • Triggers, in combination with events, and optionally with service periods,
               allows control over the startup and shutdown of resources. For example,
               the shutdown of application A automatically triggers the start-up of
               application B.




                                      Chapter 2. Benefits of using System Automation for OS/390   13
2.4.3 Simultaneously updating policy databases for applications
                The customization dialogs are enhanced to allow for multi-user access to the
                policy database for applications. To improve the ease-of-use for updates of
                the policy database for applications, changes can now be done in parallel by
                various automation administrators.

2.4.4 Notifying the Tivoli Enterprise Console
                System Automation for OS/390 V1R3 now includes integration with the Tivoli
                Management Environment. Events reported by System Automation, as well
                as events reported in a distributed environment, are received at, and handled
                from, a single point of control. Therefore, System Automation notifies the
                Tivoli Enterprise Console (TEC) in situations when System Automation issues
                messages and alerts indicating critical situations. These messages and alerts
                are forwarded to the TEC event server by the Event Automation Server
                (EAS).

2.4.5 Other enhancements
                The following enhancements were further introduced by System Automation
                for OS/390 V1R3:
                 • Workload Manager (WLM) resource name support
                   By introducing this ability, the interface to the operating system OS/390
                   has been improved. SA OS/390 now passes status information about the
                   resources to the operating system's Workload Manager.
                 • AOCQRES command
                   With this command you can examine where, in a sysplex environment, a
                   resource is located and return information about this resource. Optionally,
                   it also supplies up-to-date status information about resources.
                 • Partial ACF load
                   The new ACFPLOAD command allows small changes in the automation
                   configuration without having to reload the entire ACF file and without
                   interrupting automation.
                 • Line mode output
                   A number of commands have been enhanced with a new parameter
                   (OUTMODE=LINE) to allow for specifying output mode. All NetView based
                   commands are now able to be piped for further processing. The operator
                   dialog NetView panels have been enhanced to support displays of up to
                   43 lines per panel.
                 • SHUTSYS command


14   Automation Using Tivoli NetView OS/390 V1R3 and System Automation OS/390 V1R3
The default of the SHUTSYS command is now set to VERIFY=NO for
 unattended processing.
• Overall performance
 The overall performance has been improved by restructuring tasks, which
 accelerates the start-up and the shutdown of subsystems.
 In the System Automation customization dialog it is now possible to define
 a set of auto operators to handle subsystem automation.




                        Chapter 2. Benefits of using System Automation for OS/390   15
16   Automation Using Tivoli NetView OS/390 V1R3 and System Automation OS/390 V1R3
Chapter 3. The ITSO automation project environment

                  The following sections will provide a brief description of some basic concepts
                  that are commonly used when working with focal points and graphical
                  enterprise features. Further detailed information about these topics are
                  provided within the Tivoli Netview for OS/390 and System Automation for
                  OS/390 technical documentations.

                  System Automation for OS/390 allows control of the customization,
                  monitoring, and management functions of multiple systems or images in the
                  enterprise (each running System Automation instances), using a single,
                  centrally located OS/390 system. This controlling OS/390 system is called the
                  focal point system. The managed systems in the environment are called
                  target systems. All connected systems communicate between each other
                  through Tivoli NetView for OS/390 using specific Netview data transport
                  mechanisms.

                  Figure 1 on page 18 shows a high-level diagram of the environment used
                  during the project at the ITSO. The environment consisted of three systems,
                  each of them running OS/390 V2R7, Tivoli NetView for OS/390 V1R3, and
                  System Automation for OS/390 V1R3.

                  The system SC66 is the designated focal point system, while the other two
                  systems, SC42 and SC69, are target systems.


                         Note
                   Within this ITSO project, it was decided to set up the environment
                   consisting of the three systems, SC66, SC42, and SC69, without any
                   system resource (storage/workload) limitations. Assuming the networking
                   and automation objects within the enterprise should be managed by their
                   own RODM, it was decided to run separate RODM/GMFHS applications for
                   the networking and the automation environment on the focal point system.

                   For a limited system resource (storage/workload) approach on the focal
                   point system, when managing a reasonable number of networking and
                   System Automation objects, a configuration with only one RODM/GMFHS
                   on the focal point system for both environments can be chosen. Refer to
                   Appendix C, “One RODM/GMFHS focal point configuration” on page 241,
                   for a customization checklist.




© Copyright IBM Corp. 2000                                                                    17
Figure 1. ITSO project environment




18     Automation Using Tivoli NetView OS/390 V1R3 and System Automation OS/390 V1R3
3.1 Types of communication
           Since its earliest releases, Tivoli Netview for OS/390 provides three different
           data transport mechanisms that support the centralized operations from a
           focal point system. The transport mechanisms are:
            • Communication using a LU 6.2 session
            • Communication using a LUC session
            • Communication using an OST-NNT session
            • Communication using TCP/IP

           These communications are used to transfer data between Tivoli NetView
           programs that reside in different domains or systems. The LU 6.2
           communication is also used to transfer data between Tivoli NetView and
           non-NetView products, such as the AS/400 and its applications. When
           centralizing operations between different Tivoli NetView domains, one or
           more of these communication types are used.

           In addition, new to Tivoli NetView for OS/390 V1R3 is the support to convert
           SNMP traps to SNA NVMT alerts and vice versa, which uses the TCP/IP
           communication.

3.1.1 Communication using a LU 6.2 session
           Tivoli NetView supports two LU 6.2 session types, which use different
           versions of the SNA LU 6.2 protocol:
           1. The Management Services (MS) transport is for low-volume transmissions
              that require high reliability, such as sending alerts.
           2. The high-performance option of the MS transport is for large-volume
              transmissions that require optimized network performance.

           Tivoli NetView’s LU 6.2 session communications are based on the
           MULTIPLE_DOMAIN_SUPPORT function set described in the SNA
           Management Services Reference, SC30-3346. This LU 6.2 session
           transports are used by Management Services (MS) applications to send and
           receive data.

                 Note

            The NetView DSI6DST task must be active to use the LU 6.2 session
            transports.




                                           Chapter 3. The ITSO automation project environment   19
3.1.2 Communication using a LUC session
                Unlike the communication using a LU 6.2 session, the LUC session transport
                supports communication only between NetView programs. The LUC tasks in
                the Tivoli NetView domain must be active to use this transport mechanism. In
                addition to using the NV-UNIQ/LUC alert forwarding, the DSICRTR task must
                be active.

3.1.3 Communication using an OST-NNT session
                Like the communication using the LUC session, the OST-NNT session
                transport supports communication only between NetView programs. To
                establish an OST-NNT session between Tivoli NetView domains, the NetView
                command START DOMAIN is used. In this way, a central NetView domain can
                communicate with a target NetView domain.


3.2 Resource Object Data Manager (RODM)
                The Tivoli NetView for OS/390 uses RODM to store topology and status
                information for resources that are to be managed by automation programs
                (for example, System Automation for OS/390) or to be displayed by the
                NetView Management Console (NMC). The interface between RODM and the
                distributed NetView Management Console server component is the NetView
                Graphic Monitor Facility Host Subsystem (GMFHS), which is further
                explained in the next section.

                RODM provides a high-speed data cache, an application program interface
                (API), and services that enable the management of system and network
                resources. It stores topology data, status information, execution information,
                and other details about resources or classes of resources in an object
                oriented data structure. Objects in RODM represent resources in the system
                or in the network environment. The data cache is located entirely in the
                memory of the host processor and is designed for applications that need to
                access, interpret, and alter large amounts of rapidly changing data in a short
                period of time. RODM provides an open interface to enable management
                applications to use the data for automation as well as allow multiple
                applications to access the data simultaneously.

                It is a single source for all topology and status information that Tivoli
                NetView’s automation facilities support. The contained information in RODM
                is updated dynamically, which is most important to all automation facilities of
                Tivoli NetView for OS/390.




20   Automation Using Tivoli NetView OS/390 V1R3 and System Automation OS/390 V1R3
Based on any change in your system or network configuration as reported
            through a NetView alert, for example, if a subsystem goes off-line, RODM
            dynamically updates the object information and triggers as required
            automation procedures.

            To ensure fast response time, RODM operates in memory. It supports
            sophisticated systems and network process control applications that need to
            access, interpret, and respond to rapidly changing configuration and status
            data.

3.2.1 RODM object oriented structure
            In order to operate RODM, it is necessary to load one or more physical data
            model structures of the managed environments into RODMs memory storage.
            These data model structures consists of the following elements:
             • Object: Any resource or link that is required to be managed would be
               represented in the data model as an object. Link objects represent the
               connection between two resource objects.
             • Class: The class defines the characteristics that are common to all
               objects that belong to that class. Its purpose is to define a particular type
               of object.
             • Field: The attributes or fields of an object contain the specific information
               about a resource that you want to manage.
             • Methods: The actions that can be performed against that object would be
               defined as methods to that class of objects.


3.3 Graphic Monitor Facility Host Subsystem (GMFHS)
            GMFHS manages the configuration, topology, and status updates from
            RODM to the distributed NetView Management Console (NMC) application. It
            resides in its own address space at the host and communicates to NetView
            through the Program-to-Program Interface (PPI). The PPI serves as a
            transport facility for commands, views, and status information passing
            between GMFHS and the NetView program at the focal point host. The
            information is routed over TCP/IP or LU 6.2 communication sessions between
            the NetView program at the host and the NetView Management Console
            (NMC) Topology Server at the distributed side, which is, in return,
            communicating to connected NMC Topology clients via TCP/IP protocol.




                                            Chapter 3. The ITSO automation project environment   21
Note
                 GMFHS is required only in the system defined as the Focal Point System or
                 Backup Focal Point System. It is not required to be active in target systems



3.4 Status Display Facility (SDF)
                The Status Display Facility (SDF) is a System Automation system resource
                monitoring feature that does, unlike the NetView Management Console, not
                require RODM or GMFHS to display the status of various resources of the
                automation focal point and target OS/390 systems. SDF is a non-graphical,
                3270 session based, control panel that uses different colored and highlighted
                text strings to inform the subsystem resource states. The resource types
                displayed by SDF include:
                 • Applications and subsystems
                 • WTORs
                 • Gateways

                           Note
                 A Gateway is a group of one NetView-NetView task session and its two
                 automated operator tasks, which allows communication of messages,
                 commands, and responses between the two NetView systems.


                SDF is also able to show spool problems and assist requests from OS/390
                subcomponents. SDF consists of a hierarchy of dynamically updated panels
                showing color-coded status conditions. SDF is set up during the
                customization of System Automation for OS/390. The screen shown in Figure
                2 on page 23 is an actual sample of the ITSO focal point system SC66.




22   Automation Using Tivoli NetView OS/390 V1R3 and System Automation OS/390 V1R3
Figure 2. SDF sample screen of focal point system SC66




                                    Chapter 3. The ITSO automation project environment   23
24   Automation Using Tivoli NetView OS/390 V1R3 and System Automation OS/390 V1R3
Chapter 4. Customization of Tivoli NetView OS/390

                  This chapter details the customization process of Tivoli NetView for OS/390
                  V1R3. The main emphasis will be a generic and fast setup approach using
                  system symbolics in the NetView common libraries. No changes should ever
                  be made to the NetView install libraries, ensuring modifications are not
                  deleted when applying NetView for OS/390 PTFs. The customizations will
                  enable system programmers to roll out several NetViews on multiple systems
                  with minimal additional customization efforts.

                  At the highest level, the installation of NetView in a multiple system
                  environment breaks down into five large steps, which are shown in Table 1.
                  Table 1. High-level NetView installation process in a multi-system environment

                    #   Step                            Description

                    1   Plan the environment            Obtain details of the environment and what
                                                        features are to be installed:
                                                        - Number of enterprise Focal Point NetViews
                                                        - Number of procedural NetViews
                                                        - What NetView features will be running
                                                        - Where these NetView will features be running

                                                        Document the findings.
                    2   Define the environment          Decide on naming conventions for the planned
                                                        environment. Clarify existing system symbolics
                                                        being used and consider any new symbolics
                                                        that may be required or useful.
                    3   Full featured test install of   Install a full featured copy of NetView on a test
                        Tivoli NetView for OS/390       system. This will validate findings previously
                                                        obtained and will help with the creation of the
                                                        common/local library structure.
                    4   Creation of common              Create and populate the common libraries
                        libraries                       (which is in effect an install in itself) and create
                                                        a task list for the local (domain specific)
                                                        installations.
                                                        See Section 4.3.6.1, “Local install process for
                                                        the networking NetView domains” on page 38,
                                                        for an example of a local install task list.
                    5   Creation of local (domain       Follow the task list for each local (domain
                        specific) libraries             specific) NetView installation and create and
                                                        populate the domain specific libraries.



© Copyright IBM Corp. 2000                                                                                25
Note
                 Refer to Tivoli NetView for OS/390 Installation and Administration Guide,
                 SC31-8236, for full details of the NetView installation process.



4.1 Planning the Tivoli NetView for OS/390 environment
                The details of the project environment are outlined in Chapter 3, “The ITSO
                automation project environment” on page 17. It is planned to have one focal
                point system and two target systems.

                In terms of NetView, this means on the Focal Point system, one Focal Point
                NetView for each of the automation and the network environments. For each
                of the target systems, it also requires one NetView for each of the two
                environments. The total number of NetViews for the planned environment of
                three systems is six.

                The two Focal Point NetViews are planned to run as full featured enterprise
                NetViews, whereas all other NetViews on the target systems are planned to
                run only as procedural NetViews.

                In this ITSO environment, all of the six NetViews will be connected to their
                individual Resource Object Data Manager (RODM) to store and manage the
                individual network and system resources.


                              Note
                Within this ITSO project it was decided to setup the environment without
                any system resource (storage/workload) limitation. Assuming the
                networking and automation objects within the enterprise should be
                managed by their own RODM, it was chosen to run separate
                RODM/GMFHS applications for the networking and the automation
                environment on the focal point system SC66.

                For a limited system resource (storage/workload) approach on the focal
                point system, when managing not too many networking and System
                Automation objects, a configuration with only one RODM/GMFHS on the
                focal point system for both environment could be chosen. For a
                customization checklist, refer to Appendix C, “One RODM/GMFHS focal
                point configuration” on page 241.




26   Automation Using Tivoli NetView OS/390 V1R3 and System Automation OS/390 V1R3
For the target systems, it is noted that it is not always required to implement
            RODM instances (see Note box).

                  Note
             A RODM instance on the networking target environment is only required if
             network resources are to be managed on that particular target system.

             A RODM instance on the automation target environment is only required if
             using the System Automation enterprise monitoring functions.


            Only the Focal Point NetViews will have the graphical interface to the NetView
            Management Console topology servers, which will be provided by two
            instances of the Graphical Monitor Facility Host Subsystem (GMFHS).

            Therefore, in addition to six NetViews to be installed and customized, there
            will be also six RODM and two GMFHS installations in the ITSO environment.


4.2 Defining the Tivoli NetView for OS/390 environment
            To reduce the effort and time required to roll out an implementation of Tivoli
            NetView for OS/390 across multiple systems, a common library structure is
            strongly recommended. Within the common libraries are those NetView
            members that require no local customization for any particular system or
            domain.

            The use of common libraries exploits the concept of the OS/390 system and
            user defined symbolics, as explained further in Section 4.2.3, “Usage of
            OS/390 system symbolics” on page 32.

4.2.1 Recommended library structure in multi-system environment
            Figure 3 on page 28 will explain the recommended concept and library
            structure for Tivoli NetView for OS/390 in a multi system environment.




                                             Chapter 4. Customization of Tivoli NetView OS/390   27
Figure 3. Recommended NetView library structure in a multi-systems environment

                Given the recommendation for the NetView library structure, the following
                tables will specify the explicit naming conventions for the NetView install
                libraries, common network and automation libraries, and all domain specific
                libraries.
                Table 2. Tier 1: Tivoli NetView install libraries

                 Install library dataset names               Content

                 NETVIEW.V1R3M0.DSIPARM                      Supplied DSIPARM members



28   Automation Using Tivoli NetView OS/390 V1R3 and System Automation OS/390 V1R3
Install library dataset names           Content

 NETVIEW.V1R3M0.CNMCLST                  Supplied CLIST members

 NETVIEW.V1R3M0.CNMPNL1                  Supplied PANEL members

 ...                                     ...

It is strongly recommended to never modify the level of product install
libraries. If modifications are necessary to effect all instances of NetView,
then copy the required shipped members to next library level (NetView
common libraries) and modify them on this library level.

If the modifications are effective only for some NetView domains, the required
members need to be copied to, and afterwards modified in, the NetView
domain specific libraries.
Table 3. Tier 2: Tivoli NetView common libraries for the Network environment

 Common library dataset names                        Content

 NETVUSER.NETWORK.DSIPARM                            Modified DSIPARM members

 NETVUSER.NETWORK.DSIPARM.ENTERP                     Modified DSIPARM members,
                                                     specifically for Network Focal Points

 NETVUSER.NETWORK.DSIPARM.AON                        Modified DSIPARM members,
                                                     specifically for AON

 NETVUSER.NETWORK.CNMCLST                            Modified CLIST members

 NETVUSER.NETWORK.CNMCLST.ENTERP                     Modified CLIST members, specifically
                                                     for Network Focal Points

 NETVUSER.NETWORK.CNMPNL1                            Modified PANEL members

Modifications to this library level effect all instances of NetViews in the
Network environment.


Table 4. Tier 2: Tivoli NetView common libraries for the Automation environment

 Common library dataset names                      Content

 NETVUSER.SYSTEM.DSIPARM                           Modified DSIPARM members

 NETVUSER.SYSTEM.DSIPARM.ENTERP                    Modified DSIPARM members,
                                                   specifically for Automation Focal Points

 NETVUSER.SYSTEM.DSIPARM.ACF                       Modified DSIPARM members,
                                                   specifically for System Automation



                                       Chapter 4. Customization of Tivoli NetView OS/390   29
Common library dataset names                        Content

                 NETVUSER.SYSTEM.CNMCLST                             Modified CLIST members

                 NETVUSER.SYSTEM.CNMCLST.ENTERP                      Modified CLIST members, specifically
                                                                     for Automation Focal Points

                 NETVUSER.SYSTEM.CNMPNL1                             Modified PANEL members

                Modifications to this library level effect all instances of NetViews in the
                Automation environment.

                If modifications are necessary to effect only some NetView domains, then
                copy the required members from the NetView common libraries (or NetView
                install libraries) to the next library level (NetView domain specific libraries)
                and modify them on this library level.
                Table 5. Tier 3: Tivoli NetView domain specific libraries

                 Common library dataset names                        Content

                 NETVUSER.<domain name>.DSIPARM                      Modified DSIPARM members

                 NETVUSER.<domain name>.CNMCLST                      Modified CLIST members

                 NETVUSER.<domain name>.CNMPNL1                      Modified PANEL members

                 where <domain name>                                 Denotes the specific NetView domain
                                                                     name, for example, SC66N or SC66A

                As a common rule, it is recommended to specify a numeric system identifier,
                as well as an indicator of the specific environment, into the NetView domain
                name. In this project, the following naming convention for the NetView domain
                names were chosen:
                 • Character 1, 2 - System string ‘SC’
                 • Character 3, 4 - Numeric system identifier, for example, 66 or 42
                 • Character 5 - Environment identifier, for example, ‘N’ or ‘A’

                The library structure of datasets within any single implementation of Tivoli
                NetView for OS/390 will then be:
                    a. NetView install libraries
                    b. NetView common (global) libraries
                    c. NetView domain specific (local) libraries

                However, the concatenation order of these library dataset names in the
                NetView for OS/390 start-up procedure is reverse because existent members


30   Automation Using Tivoli NetView OS/390 V1R3 and System Automation OS/390 V1R3
of the domain specific libraries should be loaded first instead of members of
           common or install libraries. The concatenation order is thus:
              a. NetView domain specific (local) libraries
              b. NetView common (global) libraries
              c. NetView install libraries

           The following example shows the DSIPARM concatenation in a procedural
           Network NetView for OS/390:
              //DSIPARM   DD   DSN=&Q1..&DOMAIN..DSIPARM,DISP=SHR
              //          DD   DSN=&Q1..NETWORK.DSIPARM.AON,DISP=SHR
              //          DD   DSN=&Q1..NETWORK.DSIPARM,DISP=SHR
              //          DD   DSN=&SQ1..DSIPARM,DISP=SHR

           And, in addition, the example of the DSIPARM concatenation of an enterprise
           Network NetView for OS/390:
              //DSIPARM   DD   DSN=&Q1..&DOMAIN..DSIPARM,DISP=SHR
              //          DD   DSN=&Q1..NETWORK.DSIPARM.AON,DISP=SHR
              //          DD   DSN=&Q1..NETWORK.DSIPARM.ENTERP,DISP=SHR
              //          DD   DSN=&Q1..NETWORK.DSIPARM,DISP=SHR
              //          DD   DSN=&SQ1..DSIPARM,DISP=SHR


4.2.2 OS/390 subsystem extensions
           Since the ITSO project addresses two different environments, the networking
           and the automation NetView environment, it was decided to not only
           differentiate the library structures, but to extend, in addition, the OS/390
           subsystem definitions for NetView and RODM (GMFHS is not a subsystem).
           This can, for example, be achieved by editing the OS/390 system definition
           member IEFSSNxx (SYS1.PARMLIB) and adding the following statements:
              SUBSYS   SUBNAME(NETC)
              SUBSYS   SUBNAME(NETV)
              SUBSYS   SUBNAME(EKGN)
              SUBSYS   SUBNAME(EKGA)

           These subsystem extensions created in this ITSO project lead to the following
           subsystem and start-up procedure naming conventions for NetView and
           RODM (for GMFHS, just start-up procedure names):
            • Networking environment:
               - Subsystem names:
                  • RODM: EKGN
                  • NetView: NETC



                                             Chapter 4. Customization of Tivoli NetView OS/390   31
- Start-up procedure names:
                         • RODM: EKGNss
                         • NetView: NETCssN
                         • GMFHS: GMFHSssN
                           where <ss> reflects the system identifier.
                 • Automation environment:
                     - Subsystem names:
                         • RODM: EKGA
                         • NetView: NETV
                     - Start-up procedure names:
                         • RODM: EKGAss
                         • NetView: NETVssA
                         • GMFHS: GMFHSssA
                           where <ss> reflects the system identifier.

4.2.3 Usage of OS/390 system symbolics
                Tivoli NetView for OS/390 has supported the use of MVS system and user
                defined symbolics since V1R1, and each release has extended this
                functionality.

                The use of these symbolics can simplify the installation and maintenance
                effort required in a sysplex-wide implementation of Tivoli NetView for OS/390.

                        Note
                 MVS V5R2M0 or higher is required for system and user defined symbolic
                 support.

                The symbolics used in this project are listed in Table 6.
                Table 6. System symbolics used in this project

                 SYMBOLIC             COMMENTS

                 &SYSNAME.            Name of the system - On the systems in this project, this was “SC”
                                      followed by the clone ID (see below).

                 &SYSCLONE.           On the project systems, a two-character numeric field used to
                                      identify the clone ID.




32   Automation Using Tivoli NetView OS/390 V1R3 and System Automation OS/390 V1R3
For example, on system SC66, the values coded in the IEASYMxx member of
           PARMLIB would be :
              SYSNAME(SC66)
              SYSCLONE(&SYSNAME(3:2))

           To determine current symbols on one system, issue the following MVS
           command from the TSO system log (SDSF) or from the NetView NCCF
           interface (with prefixed command string ‘MVS‘):
              D SYMBOLS

           An example of the use of this technique is in the NetView start-up procedure,
           where the symbolic &SYSNAME. was used to generate the NetView domain
           name :
              //       DOMAIN=&SYSNAME.N,      ** NETVIEW DOMAIN NAME

           This enabled the usage of common JCL across systems running the same
           NetView configuration (that is, procedural or enterprise).

                Note
            The &DOMAIN. symbolic generated in this way can be used in the various
            NetView configuration members and will be automatically resolved to its
            correct value. It was found that &DOMAIN. was, in fact, the most commonly
            used symbolic and was the most useful in setting up the common libraries.



4.3 Network management environment
           For the networking environment, the results of step 1 and step 2, the process
           of planning and defining the networking NetView environment, were as
           follows:
            • System SC66 running an enterprise NetView with base AON installed.
              This acted as the AON focal point for all three systems. It also ran RODM
              and GMFHS linked to an NMC server.
            • System SC42 running a procedural NetView with base AON installed.
            • System SC69 running a procedural NetView with base AON installed.

           The NetView domain name in each case was the system name suffixed with
           ‘N’, for example, SC66N.




                                            Chapter 4. Customization of Tivoli NetView OS/390   33
4.3.1 Creation of common networking NetView libraries
                After completing step 3, the full featured test install of Tivoli NetView for
                OS/390, the next sections will describe step 4, the process of
                creation/modification of common networking libraries.

                According to the recommended naming convention for the NetView library
                structure, the following common libraries were created:
                    - DSIPARM:
                        • NETVUSER.NETWORK.DSIPARM
                        • NETVUSER.NETWORK.DSIPARM.AON
                        • NETVUSER.NETWORK.DSIPARM.ENTERP
                    - DSIPRF:
                        • NETVUSER.NETWORK.DSIPRF
                    - VTAMLST:
                        • NETVUSER.NETWORK.VTAMLST
                    - CLIST:
                        • NETVUSER.NETWORK.CNMCLST
                        • NETVUSER.NETWORK.CNMCLST.ENTERP
                    - PANELS:
                        • NETVUSER.NETWORK.CNMPNL1
                        • NETVUSER.NETWORK. SEZLPNLU
                    - Where the .AON suffixed library contains common modified AON
                      members, and the .ENTERP suffixed libraries contain modified
                      members specific to enterprise versions of NetView.

                The creation process of the common networking libraries involves working
                through the NetView install procedures and the full featured test install of
                NetView and populating the common libraries with exploitation of system
                symbolics to avoid the need for local customization as far as possible.

                Using this approach, it was found that very little customization on the local
                (domain specific) library level was required to establish the network
                management environment. These local customizations are further described
                in Section 4.3.6, “Creation of local (domain specific) NetView libraries” on
                page 37.




34   Automation Using Tivoli NetView OS/390 V1R3 and System Automation OS/390 V1R3
All other networking customizations could be achieved by modifying the
common networking library level, as described below.

4.3.1.1 Common networking DSIPARM library
The following table lists the modified members in the common networking
DSIPARM library.
Table 7. Modified members in NETVUSER.NETWORK.DSIPARM

 MEMBER         COMMENTS

 DSIDMNB        TASK MOD=CNMCSSIR,TSKID=&DOMAIN.SIR, etc.
                TASK MOD=DSIZDST,TSKID=&DOMAIN.LUC,MEM=DSILUCTD,
                etc.
                TASK MOD=CNMTARCA,TSKID=&DOMAIN.VMT,PRI=5,INIT=N
                TASK MOD=CNMTGBRW,TSKID=&DOMAIN.BRW,PRI=5,INIT=N

 DSIDMNK        NCCFID DOMAINID=&DOMAIN.,DMNPSW=&DOMAIN., etc.

 DSITBL01       SYN %NV_DOMAIN% = '''&DOMAIN.''';

 DSIVPARM       VPDINIT
                ACBNAME=VPDACB,PASSWORD=&DOMAIN.,VPDREQ=001

 DUIFPMEM       SC = &DOMAIN.

 DUIGINIT       RODMNAME=RODM&SYSCLONE.N
                DOMAIN=&DOMAIN.

 FLBSYSD        RODMNAME="RODM&SYSCLONE.N"
                APPLNAME="&SYSNAME.NSNA"
                APPLPASS="&SYSNAME.N"

 FLBSYSDA       APPLPASS="&SYSNAME.N"


4.3.1.2 Common networking DSIPARM library (specific AON)
The following table lists the modified members in the common networking
DSIPARM library specifically for AON.
Table 8. Modified members in NETVUSER.NETWORK.DSIPARM.AON

 MEMBER         COMMENTS

 EZLCFG01       AUTOOPS     GATOPER,ID=GAT&DOMAIN.




                                Chapter 4. Customization of Tivoli NetView OS/390   35
4.3.1.3 Common networking DSIPARM library (Enterprise feature)
                The following table lists the modified members in the common networking
                DSIPARM library specifically for the Focal Point NetView (Enterprise feature).
                Table 9. Modified members in NETVUSER.NETWORK.DSIPARM.ENTERP

                 MEMBER           COMMENTS

                 DSIDMNB          TASK   MOD=CNMCSSIR,TSKID=&DOMAIN.SIR,PRI=5,INIT=N
                                  TASK   MOD=DSIZDST,TSKID=&DOMAIN.LUC,MEM=DSILUCTD,
                                  etc.
                                  TASK   MOD=CNMTARCA,TSKID=&DOMAIN.VMT,PRI=5,INIT=N
                                  TASK   MOD=CNMTGBRW,TSKID=&DOMAIN.BRW,PRI=5,INIT=N


                4.3.1.4 Common networking CLIST library (Enterprise feature)
                The following table lists the modified members in the common networking
                CLIST library specifically for the Focal Point NetView (Enterprise feature).
                Table 10. Modified members in NETVUSER.NETWORK.CNMCLST.ENTERP

                 MEMBER           COMMENTS

                 CNME1034         DUIFHPRC = 'GMFHS'||SUBSYM('&SYSCLONE.')||'N'
                                  EKGHPRC = 'EKGN'||SUBSYM('&SYSCLONE.')


4.3.2 Setting up the base components NetView for OS/390
                After completing step 4, the process of creation of common networking
                libraries, the following sections describe the process of setting up the base
                components of NetView for OS/390, the Resource Object Data Manager
                (RODM), and the Graphic Monitor Facility Host Subsystem (GMFHS).

                To simplify the local process, it was first created a local install library
                (NETVUSER.LOCAL.INSTALL). This was shipped (as
                NETVUSER.&domain..INSTALL) to each domain and the local installation
                tasks run from there. A specimen install process and task list is shown in
                Section 4.3.6.1, “Local install process for the networking NetView domains”
                on page 38.

4.3.3 Setting up the Resource Object Data Manager
                Using system symbolics and the common library structure, all of the
                initialization members were included in the common libraries, and no local
                customization was required to start an instance of RODM on any system.




36   Automation Using Tivoli NetView OS/390 V1R3 and System Automation OS/390 V1R3
4.3.4 Setting up the Graphic Monitor Facility Host Subsystem
            As mentioned in Section 4.1, “Planning the Tivoli NetView for OS/390
            environment” on page 26, it was planned to only run two GMFHS instances
            on the focal point system. However, using system symbolics and common
            library structure, almost all of the initialization members were included in the
            common libraries, and just one local customization was required to start
            GMFHS on any enterprise networking system.

            The only local GMFHS customization required was to change the port
            address in the member DUIFPMEM within the local DSIPARM library to avoid
            conflicts, as it was decided in the project to run both the networking and
            automation graphical focal points in the same LPAR (SC66).


                  Note

             The services file on the NMC server also has to be updated to use the
             same port address. See Tivoli NetView for OS/390: NetView Management
             Console User’s Guide, SC31-8665, Section 1.3.6.3.


4.3.5 Setting up the Automated Operation Network feature
            The initial install of the base Automated Operation Network (AON) code was
            included in the common networking library structure and initial setup. Only a
            few local customizations were maintained since the exploitation of AON
            functionality was not the focus of this ITSO project.

            The local customization work for AON was performed as second part of the
            local (domain specific) install process described in the next section.

4.3.6 Creation of local (domain specific) NetView libraries
            Step 5, the process of creation/modification of local (domain specific)
            NetView libraries, is the last step to get the networking NetView environment
            up and running. Using a combination of system, user symbolics, and common
            libraries significantly reduced the amount of local (domain specific) tailoring.

            In the ITSO project, the only local (domain specific) modification required to
            establish the basic network environment was:
             • Focal Point NetView SC66N:
               Member DUIFPMEM in the local (domain specific) DSIPARM library.

            The following local (domain specific) modifications were performed for AON:
             • Focal Point NetView SC66N:


                                              Chapter 4. Customization of Tivoli NetView OS/390   37
Members EZLCFG01 and EZLTREE in the local (domain specific)
                   DSIPARM library.
                 • Procedural NetViews SC42N and SC69N:
                   Member EZLTREE in local (domain specific) DSIPARM library.
                 • All NetViews SC66N, SC42N and SC69N:
                   Update of all DDF panels and control files in the local (domain specific)
                   AON panel library SEZLPNLU with the correct Domain ID.

                4.3.6.1 Local install process for the networking NetView domains
                The created local install library (NETVUSER.&domain..INSTALL) was used to
                run the local install process. Table 11 shows the steps needed to perform the
                specific install.

                The TASK column cross references to the relevant section in the product
                documentation Tivoli NetView for OS/390, Installation and Administration
                Guide, SC31-8236.
                Table 11. Local networking NetView install process

                 TASK                                 COMMENTS

                 2.1.9 - Allocate all PDS             CNMSJ002

                 2.1.10 - Change domain and SA        CNMSJ000 JCL and control cards
                 numbers

                 2.1.15 - Allocate VSAM clusters      CNMSJ004 - Change domain in JCL

                 2.1.16 - Load VSAM files             CNMSJ005 - Change VSAM high-level qualifier

                 2.1.17 - Assemble VTAM tables        CNMSJ006 - Change high-level qualifier and add
                                                      domain - may not be required if shared VTAMLIB

                 2.4.3 - 2.4.6 - Create procedures    Specimen procedures in LOCAL.INSTALL
                                                      Copy to PROCLIB and update as required

                 3.3.2.7 STATMON preprocessor         May not be required




38   Automation Using Tivoli NetView OS/390 V1R3 and System Automation OS/390 V1R3
4.3.6.2 Local install process for AON
           The TASK column in Table 12 cross references the relevant section in the
           product documentation Tivoli NetView for OS/390, Installation and
           Administration Guide, SC31-8236.
           Table 12. Local AON install process

            TASK                                 COMMENTS

            2.2.2 - Copy AON members to          EZLSJ100 - First allocate the local (domain specific)
            local (domain specific) AON          AON library SEZLPNLU. Then run the step in
            panel library SEZLPNLU               EZLJS100 that copies the named members into the
                                                 local AON library SEZLPNLU. The AON members for
                                                 the libraries DSIPRF and DSIPARM are already in
                                                 the NetView common libraries.

            2.2.3 - Change domain ID             Run against local SEZLPNLU only.

            2.2.4 - Allocate datasets            EZLSJ005, if required.

            2.2.5 - Allocate RACF datasets       EZLJS006, if required.

            2.2.6 - Allocate VSAM files          EZLJS008.

            3.9.2 - Tailor DDF                   As required.

            3.9.5 - Tailor Gateways and FP       As required.



4.4 Automation environment
           For the automation environment running System Automation, the results of
           step 1 and step 2, the process of planning and defining the automation
           NetView environment, were as follows:
            • System SC66 running an enterprise NetView with System Automation
              installed. This system acted as the automation focal point for all three
              systems. It also ran RODM and GMFHS linked to an NMC server.
            • System SC42 running a procedural NetView with System Automation
              installed.
            • System SC69 running a procedural NetView with System Automation
              installed.

           The NetView domain name in each case was the system name suffixed with
           ‘A’, for example, SC66A.




                                                  Chapter 4. Customization of Tivoli NetView OS/390   39
4.4.1 Creation of common automation NetView libraries
                The creation of the common automation NetView libraries used to run the
                System Automation features follow the same pattern already described in the
                network environment section.

                According to the recommended naming convention for the NetView library
                structure, the following common libraries were created:
                    - DSIPARM:
                        • NETVUSER.SYSTEM.DSIPARM
                        • NETVUSER.SYSTEM.DSIPARM.ENTERP
                    - DSIPRF:
                        • NETVUSER.SYSTEM.DSIPRF
                    - VTAMLST:
                        • NETVUSER.SYSTEM.VTAMLST
                    - CLIST:
                        • NETVUSER.SYSTEM.CNMCLST
                        • NETVUSER.SYSTEM.CNMCLST.ENTERP
                    - PANELS:
                        • NETVUSER.SYSTEM.CNMPNL1

                The creation process of the common automation libraries involves working
                through the NetView install procedures and populating the common libraries
                with exploitation of system symbolics to avoid the need for local
                customization as far as possible.

                Using this approach, it was found that very little customization on the local
                (domain specific) library level was required to establish the system
                automation environment. These local customizations are further described in
                Section 4.4.6, “Creation of local (domain specific) NetView libraries” on page
                50.

                All other automation customizations could be achieved by modifying the
                common automation library level as described in the following sections.

                4.4.1.1 Common automation DSIPARM library
                Table 13 on page 41 lists the modified members in the common automation
                DSIPARM library compared to the NetView install DSIPARM library. These




40   Automation Using Tivoli NetView OS/390 V1R3 and System Automation OS/390 V1R3
modifications represent global changes to run System Automation in the
NetView automation environment.
Table 13. Modified members in NETVUSER.SYSTEM.DSIPARM

 MEMBER         COMMENTS

 AOFMSGSY       Changed the following statements:
                SYN %AOFDOM% = '''&DOMAIN.'''
                SYN %AOFSYS% = '''&SYSNAME.'''
                SYN %AOFLOADERJOB% = '''AOFLOAD'''
                SYN %AOFOPGATOPER% = 'GAT&DOMAIN.'
                SYN %AOFSIRTASK% = '''&DOMAIN.SIR'''

 AOFMSG00       Comment out the reference to clist CNME1035

 AOFMSG01       Comment out %INCLUDE AOFMSGPM
                Comment out %INCLUDE AOFMSGPA
                Comment out %INCLUDE AOFMSGST
                Comment out %INCLUDE AOFMSGOP

 AOFRINIT       Change DEFAOF PPIRCVR=NETQTSK
                Comment out DEFAOF PPIRCVR=PPICMDID

 BNJMBDST       Change DSTINIT FUNCT=VSAM

 DSICMD         Include %INCLUDE AOFCMD
                Comment out %INCLUDE DSICMDT

 DSICNM         Uncomment O SECSTAT
                Comment out O MONIT

 DSICRTTD       Include DEFFOCPT PRIMARY=SC66ALUC,TYPE=ALERT
                Include DEFFOCPT PRIMARY=SC66ALUC,TYPE=STATUS

 DSIDMN         Comment out %INCLUDE DSIDMNT
                Include %INCLUDE AOFDMN




                                 Chapter 4. Customization of Tivoli NetView OS/390   41
MEMBER           COMMENTS

                 DSIDMNB          Comment out TASK MOD=CNMCSSIR,TSKID=CNMCSSIR,
                                  PRI=5,INIT=N
                                  Include TASK MOD=CNMCSSIR,TSKID=&SYSNAME.ASIR,
                                  PRI=5,INIT=N

                                  Change the following statements:
                                  TASK MOD=DSIZDST,TSKID=&DOMAIN.LUC,MEM=DSILUCTD,
                                  PRI=7,INIT=N
                                  TASK MOD=CNMTARCA,TSKID=&DOMAIN.VMT,PRI=5,INIT=N
                                  TASK MOD=CNMTGBRW,TSKID=&DOMAIN.BRW,PRI=5,INIT=N

                                  Include TASK MOD=CNMCALRT,TSKID=NETCALRT, PRI=6,INIT=Y
                                  Comment out TASK MOD=CNMCALRT,TSKID=CNMCALRT,
                                  PRI=6,INIT=Y

                                  Include TASK MOD=DSIZDST,TSKID=CNMTAMEL,MEM=DUIISC,
                                  PRI=5,INIT=N
                                  Comment out TASK MOD=DSIZDST,TSKID=CNMTAMEL,
                                  MEM=DUIISFP,PRI=5,INIT=N

                 DSIDMNK          Include NCCFID DOMAINID=&DOMAIN,DMNPSW=&DOMAIN.,
                                  DROP=YES,SUPPCHAR=?
                                  Comment out NCCFID DOMAINID=CNM01, DMNPSW=CNM01,
                                  DROP=YES, SUPPCHAR=?

                                  Include NCCFIC IC=CNME1034 AOFMSG00
                                  Comment out NCCFIC IC=CNME1034 DSITBL01

                                  Include VTAMCP USE=NO
                                  Comment out VTAMCP USE=YES

                                  Include SC66A RRD
                                  Include SC42A RRD
                                  Include SC69A RRD

                 DSIOPF           Comment out %INCLUDE DSIOPFT
                                  Include %INCLUDE AOFOPF

                 DSIOPFU          Include the following operators:
                                  GATSC66A, GATSC69A, GATSC42A

                Additional comments on the above listing of modifications are as follows:
                 • AOFMSGSY
                   Change the synonym statements using the system symbolics available.
                 • AOFMSG00



42   Automation Using Tivoli NetView OS/390 V1R3 and System Automation OS/390 V1R3
The clist CNME1035 is no longer used in this NetView release. The
 NetView initialization steps are now concentrated in the new clist
 CNME1034, which is coded in REXX and uses PIPEs.
• AOFMSG01
 The members AOFMSGST and AOFMSGOP will only be used in the
 enterprise automation environment (focal point).
• BNJMBDST
 Change FUNCT=VSAM will ensure that NPDA will come up as secondary
 on the Automation NetView environment.
• DSICMD
 The DSICMDT member will only be used in the enterprise automation
 environment. DSICMD should be copied and modified (uncomment
 DSICMDT statement) in the enterprise specific DSIPARM.
• DSICNM
 Changes will set STATMON as secondary on System Automation NetView.
• DSICRTTD
 The project environment used the LUC transport method to forward alerts
 to the specified focal point task.
• DSIDMN
 The DSIDMNT member will only be used in the enterprise automation
 environment. DSIDMN should be copied and modified (uncomment
 DSIDMNT statement) in the enterprise specific DSIPARM.
• DSIDMNB
 The TSKID value for the task CNMCALRT needs to be different than the
 one specified for networking NetView.
 The TSKID value for the LUC task, the VMT task and the BRW task need
 to be different than the ones specified for the networking NetView.
 Specifying a different initialization member for the task CNMTAMEL is
 necessary to allow resource status forwarding from the status collectors to
 the status focal point.
• DSIDMNK
 Change VTAMCP to USE=NO to set up the automation NetView to be the
 secondary (non networking) NetView.
 Change NCCFIC IC=CNME1034 AOFMSG00 to reflect the specific
 System Automation message table AOFMSG00.



                              Chapter 4. Customization of Tivoli NetView OS/390   43
• DSIOPF
                   The DSIOPFT member will only be used in the enterprise automation
                   environment. DSIOPT should be copied and modified (uncomment
                   DSIOPFT statement) in the enterprise specific DSIPARM.

                4.4.1.2 Common automation DSIPARM library (Enterprise feature)
                Table 14 lists the modified members in the common automation DSIPARM
                library specifically for the Focal Point NetView (Enterprise feature) compared
                to the NetView install DSIPARM library. These modifications represent global
                changes to run System Automation in the NetView automation focal point
                environment.
                Table 14. Modified members in NETVUSER.SYSTEM.DSIPARM.ENTERP

                 MEMBER           COMMENTS

                 AOFMSG01         Only copy to enterprise DSIPARM library as reference. No changes.

                 DSICMD           Include statement %INCLUDE AOFCMD

                 DSICRTTD         Only copy to enterprise DSIPARM library as reference. No changes.

                 DSIDMN           Include statement %INCLUDE AOFDMN

                 DSIDMNB          Comment out TASK MOD=CNMCSSIR,TSKID=CNMCSSIR,
                                  PRI=5,INIT=N
                                  Include TASK MOD=CNMCSSIR,TSKID=&SYSNAME.ASIR,
                                  PRI=5,INIT=N

                                  Change the following statements:
                                  TASK MOD=DSIZDST,TSKID=&DOMAIN.LUC,MEM=DSILUCTD,
                                  PRI=7,INIT=N
                                  TASK MOD=CNMTARCA,TSKID=&DOMAIN.VMT,PRI=5,INIT=N
                                  TASK MOD=CNMTGBRW,TSKID=&DOMAIN.BRW,PRI=5,INIT=N

                                  Include TASK MOD=CNMCALRT,TSKID=NETCALRT, PRI=6,INIT=Y
                                  Comment out TASK MOD=CNMCALRT,TSKID=CNMCALRT,
                                  PRI=6,INIT=Y

                                  Do not change MOD=DSIZDST,TSKID=CNMTAMEL,MEM=DUIISFP,
                                  PRI=5,INIT=N

                 DSIOPF           Include statement %INCLUDE AOFOPF

                Additional comments on the above listing of modifications are as follows:
                 • AOFMSG01




44   Automation Using Tivoli NetView OS/390 V1R3 and System Automation OS/390 V1R3
It is not necessary change anything in this member. Copy only to
   enterprise DSIPARM library to override its reference in the common
   DSIPARM library.
 • DSICRTTD
   It is not necessary to change anything in this member. Copy only to
   enterprise DSIPARM library to override its reference in the common
   DSIPARM library.
 • DSIDMNB
   The TSKID value for the task CNMCALRT needs to be different than the
   one specified for networking NetView.
   The TSKID value for the LUC task, the VMT task, and the BRW task need
   to be different than the ones specified for the networking NetView.
   For the task CNMTAMEL, keep the focal point initialization member
   DUIISFP.

4.4.1.3 Common automation CLIST library
Table 15 lists the modified members in the common automation CLIST library
compared to the NetView install CLIST library.
Table 15. Modified members in NETVUSER.SYSTEM.CNMCLST

 MEMBER         COMMENTS

 CNME1034       Comment out DUIFNAM = 'GMFHS'||SUBSYM('&SYSCLONE.')||'N'
                Comment out DUIFHPRC = 'GMFHS'||SUBSYM('&SYSCLONE.')||'N'
                Comment out 'GLOBALV PUTC DUIFHNAM DUIFHPRC'

                Comment out EKGHNAM = 'EKGN'||SUBSYM('&SYSCLONE.')
                Comment out EKGHPRC = 'EKGN'||SUBSYM('&SYSCLONE.')
                Comment out 'GLOBALV PUTC EKGHNAM EKGHPRC'

 CNME1015       Comment out SLIST3.2 = ‘AUTOTASK FLBTOPO’
                Comment out SNUM= 2
                Include SNUM = 1

                Comment out SLIST3.8 = ‘AUTOTASK FLBTOPO’
                Comment out SLIST.0 = 8
                Include SLIST.0 = 7

Additional comments on the above listing of modifications are as follows:
 • CNME1034
   An alias for the automation GMFHS job name and procedure name used
   with CNME2101 is not needed in the procedural automation environment.



                                Chapter 4. Customization of Tivoli NetView OS/390   45
An alias for the automation RODM job name and procedure name used
                   with CNME1098 is not needed in the procedural automation environment.
                 • CNME1015
                   The Automation NetView does not need to monitor the SNA Topology
                   events and, therefore, does not need to start the SNA Topology features.
                   Comment out entries for the task, FLBTOPO, in this clist.

                4.4.1.4 Common automation CLIST library (Enterprise feature)
                Table 16 lists the modified members in the common automation CLIST library
                specifically for the Focal Point NetView (Enterprise feature) compared to the
                NetView install CLIST library.
                Table 16. Modified members in NETVUSER.SYSTEM.CNMCLST

                 MEMBER           COMMENTS

                 CNME1034         Include DUIFHNAM = 'GMFHS'||SUBSYM('&SYSCLONE.')||'A'
                                  Include DUIFHPRC = 'GMFHS'||SUBSYM('&SYSCLONE.')||'A'
                                  Include 'GLOBALV PUTC DUIFHNAM DUIFHPRC'

                                  Include EKGHNAM = 'EKGA'||SUBSYM('&SYSCLONE.')
                                  Include EKGHPRC = 'EKGA'||SUBSYM('&SYSCLONE.')
                                  Include 'GLOBALV PUTC EKGHNAM EKGHPRC'

                Additional comments on the above listing of modifications are as follows:
                 • CNME1034
                   Specify an alias for the automation GMFHS job name and procedure
                   name used with CNME2101 in the enterprise automation environment.
                   Specify an alias for the automation RODM job name and procedure name
                   used with CNME1098 in the enterprise automation environment.

                        Note
                     Please be aware that within this project the string ‘EKGA’, as well as the
                     string ‘EKGN’, was specified as a subsystem identification to OS/390.




46   Automation Using Tivoli NetView OS/390 V1R3 and System Automation OS/390 V1R3
4.4.1.5 Common automation VTAMLST library
            Table 17 lists the modified or added members in the common automation
            VTAMLST library.
            Table 17. Modified/added members in NETVUSER.SYSTEM.VTAMLST

             MEMBER          COMMENTS

             A01APPLS or     Comment out &SYSNAME.NPPT APPL AUTH=(NVPACE,PPO),
             NETVAPPL        PRTCT=&SYSNAME.N,EAS=1,
                             Include &SYSNAME.NPPT APPL AUTH=(NVPACE,SPO),
                             PRTCT=&SYSNAME.N,EAS=1,

            Additional comments on the above listing of modifications are as follows:
             • NETVAPPL or A01APPLS
               If necessary, create a new VTAM APPL deck or update an existing
               NetView application member to apply changes to the PPT statement to
               specify the secondary program operator (SPO) interface.

            The following sections will describe the steps necessary to customize the
            base NetView to be used with System Automation and cloning support.

4.4.2 Setting up the base NetView for OS/390
            After completing step 4, the process of creating common automation libraries,
            the following sections go on to describe the process of setting up the base
            components of NetView for OS/390, the Resource Object Data Manager
            (RODM), and the Graphical Monitor Facility Host Subsystem (GMFHS).

            Again, to simplify the local process, the first step was to create a local install
            library (NETVUSER.LOCAL.INSTALL). This was shipped (as
            NETVUSER.&domain..INSTALL) to each domain, and the local installation
            tasks run from there. A specimen install process and task list is shown in
            Section 4.4.6.1, “Local install process for the automation NetView domains”
            on page 50.

4.4.3 Setting up the Resource Object Data Manager
            In the automation environment (running System Automation), RODM must be
            active on all systems. Since some of the SA RODM definition members,
            AOFRODM and AOFSFMAP, as well as the member DSIQTSKI, do not
            support system symbolics, it was necessary to copy the System Automation




                                              Chapter 4. Customization of Tivoli NetView OS/390   47
members shown in Table 18 to the local (domain-specific) libraries and
                change them afterwards:
                Table 18. Modified members in NETVUSER.&domain..DSIPARM

                 MEMBER           COMMENTS

                 AOFRODM          Define the correct RODMNAME and RODMUSER

                 AOFSFMAP         Define the correct RODMNAME

                 DSIQTSKI         Comment out CMDRCVR ID=DSIQTSKI
                                  Include CMDRCVR ID=NETQTSK

                                  Include REP <rodm name>,CONN=Y,AO=Y,T=12,ID=NETQTSK

                                  Comment out REP RODM01,CONN=N,AO=N,T=12,
                                  CMD=STARTCNM
                                  Comment out REP RODM02,CONN=N,AO=N,T=20,ID=NETOP1
                                  Comment out REP RODM03,CONN=N,AO=Y,T=30
                                  Comment out REP RODM04,CONN=N,AO=N,T=30
                                  Comment out REP RODM05,CONN=N,AO=N,T=19
                                  Comment out REP RODM06,CONN=N,AO=N,T=30

                Additional comments on the above listing of modifications are as follows:
                 • AOFRODM
                   This member defines the RODMNAME and the RODMUSER used by
                   System Automation for bulk updates to RODM.
                 • AOFSFMAP
                   This member contains user defined mapping tables of System Automation
                   status information to RODM specific status information.
                 • DSIQTSKI
                   This is the initialization member of the NetView task to communicate with
                   RODM. In the System Automation environment, the CMDRCVR statement
                   should be customized to reflect a different receiver ID than the network
                   environment. The REP statement should, accordingly, be changed to
                   include this receiver ID definition and the RODM name related to this local
                   (domain specific) system. Figure 4 shows an example:


                  CMDRCVR ID=NETQTSK
                  REP EKGA42,CONN=Y,AO=Y,T=12,ID=NETQTSK

                Figure 4. DSIQTSKI member of the local DSIPARM library for System SC42




48   Automation Using Tivoli NetView OS/390 V1R3 and System Automation OS/390 V1R3
The ID must be defined to RODM. If the ID is not specified correctly, then
               NetView assumes the receiver ID is DSIQTSK. This initialization member
               should only be customized in either the networking or the automation
               environment.

4.4.4 Customizing RODM load jobs in the automation environment
            The jobs used to load the RODM data model structures should be changed to
            include only the data model structures used to monitor the System
            Automation objects.

            An example job for the project system SC66 is listed for reference purposes
            in Appendix B, “System Automation V1R3 members and jobs” on page 233.

4.4.5 Setting up the Graphic Monitor Facility Host Subsystem
            GMFHS is only required on the focal point system, and no local (domain
            specific) customization is required to start an instance of GMFHS on any
            enterprise system.

            Copy and modify only the following members in the common automation
            DSIPARM library (NETVUSER.SYSTEM.DSIPARM.ENTERP), specifically for
            the Focal Point automation NetView (Enterprise feature):
             • DUIFPMEM
               This is the definition member for the CNMTAMEL task that defines a
               resource status manager and allows it to function as a status focal point.
               Add the following statements to the DUIFPMEM and modify them
               accordingly to use TCP/IP to communicate with programmable
               workstations:
                  USETCPIP=YES
                  TCPANAME=<tcpaname on OS/390>
                  PORT=<TCPIP port number of NMC server listening>
               Define the status collectors that will be connected to the status focal point.
               Synchronization will be attempted with these status collectors when the
               resource status manager is initialized. These keywords are optional but
               are highly recommended for quick synchronization. The following is a
               project example:
                  &ENTERP.   SC   =   SC66A
                  &ENTERP.   SC   =   SC69A
                  &ENTERP.   SC   =   SC42A
                  &PROCED.   SC   =   &SYSCLONE.A
             • DUIGINIT



                                                    Chapter 4. Customization of Tivoli NetView OS/390   49
Modify the following two statements to reflect correct initialization of
                   GMFHS:
                       RODMNAME=<RODM name of focal point system>
                       DOMAIN=<NV domain name of focal point system>


4.4.6 Creation of local (domain specific) NetView libraries
                Step 5, the process of creation/modification of local (domain specific)
                NetView libraries, is the next step in getting the (System) Automation NetView
                environment up and running. Using a combination of system and user
                symbolics, and common libraries, significantly reduced the amount of local
                (domain specific) tailoring.

                The only local (domain specific) modifications required to establish the basic
                (System) Automation environment were:
                 • Focal Point and all target systems:
                     - SDF members AOFTREE, AOFPNLS and other SDF members
                       referring to AOFTREE and AOFPNLS.
                     - Members AOFRODM, AOFSMAP and DSIQTSKI that were already
                       described in Section 4.4.3, “Setting up the Resource Object Data
                       Manager” on page 47.

                4.4.6.1 Local install process for the automation NetView domains
                The created local install library (NETVUSER.&domain..INSTALL) was used to
                run the local install process. The table below shows the steps needed to
                perform the specific install.

                The TASK column cross references to the relevant section in product
                documentation, Tivoli NetView for OS/390, Installation and Administration
                Guide, SC31-8236.
                Table 19. Local Automation NetView install process

                 TASK                                 COMMENTS

                 2.1.9 - Allocate PDS                 CNMSJ002

                 2.1.10 - Change domain and SA        CNMSJ000 JCL and control cards
                 numbers

                 2.1.11 Loading members of            CNMSJ003 JCL
                 partioned data sets

                 2.1.15 - Allocate VSAM clusters      CNMSJ004 - Change domain in JCL

                 2.1.16 - Load VSAM files             CNMSJ005 - Change VSAM high-level qualifier



50   Automation Using Tivoli NetView OS/390 V1R3 and System Automation OS/390 V1R3
TASK                                COMMENTS

 2.1.17 - Assemble VTAM tables       CNMSJ006 - Change high-level and add domain.
                                     May not be required if shared VTAMLIB.

 2.4.3 - 2.4.6 - Create procedures   Specimen procedures in LOCAL.INSTALL
                                     Copy to PROCLIB and update as required.

 3.3.2.7 STATMON preprocessor        May not be required.

4.4.6.2 Local install process specifically for SA
The TASK column cross references to the relevant section in the product
documentation, Tivoli NetView for OS/390, Installation and Administration
Guide, SC31-8236. Also refer as well to the System Automation for OS/390
V1R3 Customization, GC28-1566.
Table 20. Local SA install process

 TASK                                COMMENTS

 2.2.2 - Copy SA members             DSIPRF and DSIPARM members will already be in
                                     the common libraries

 2.1.1.2 Allocate data sets          INGESYSA - Change qualifiers and volumes
 common to systems

 2.1.1.3 Allocate Data Sets for      INGEDLGA
 Dialogs

 3.9.2 - Tailor SDF                  As required

 3.9.5 - Tailor Gateways and FP      As required




                                     Chapter 4. Customization of Tivoli NetView OS/390   51
52   Automation Using Tivoli NetView OS/390 V1R3 and System Automation OS/390 V1R3
Chapter 5. Customization of System Automation for OS/390

                  This chapter contains an optimized setup and customization of System
                  Automation (SA) OS/390 V1R3, to avoid unnecessary definitions and provide
                  faster system start-up. It further used addresses the setup of System
                  Automation policies, a policy data base, and provides information and
                  recommendations for cloning and resource/class support.


5.1 Base System Automation customization
                  Since System Automation is an application based on NetView, an available
                  automation NetView environment, as described in Section 4.4, “Automation
                  environment” on page 39, must be set up for System Automation. In addition
                  to the automation NetView customization, it is required to customize and run
                  some base System Automation setup jobs before going into detailed System
                  Automation customization process. The following sections will detail and work
                  through the System Automation preparation and setup process.
                  1. Preparation and setup jobs for System Automation
                  2. Modification to the OS/390 system library
                  3. Creation of a System Automation policy database dialog

                  The creation of System Automation policy database dialog tools is a
                  necessary step to define what to automate and how automation should be
                  performed.

5.1.1 Preparation and set up jobs for System Automation
                  The System Automation for OS/390 product is shipped independently from
                  the OS/390 packages. The typical System Automation high-level qualifier of
                  its datasets after SMP/E installation is ING. System Automation provides a lot
                  of sample definitions as references, including system parameters, startup
                  procedures, and sample clists in the sample datasets.

                  System Automation preparations begin, therefore, with modification and
                  execution of sample jobs from the SA library, ING.SINGSAMP.

                  5.1.1.1 Allocating VSAM datasets using INGESYSA
                  The member, INGESYSA, can be used to allocate System Automation
                  datasets required for both focal point systems and target systems. Adapt the
                  following statements in member INGESYSA and submit the job to create the
                  required VSAM datasets:



© Copyright IBM Corp. 2000                                                                    53
• Automation status file
                 • Gateway password verification file
                 • HCD trace file
                 • Local volume name
                   Change all occurrences of INGVOL to the corresponding local volume
                   name.
                 • Mid-level qualifier for datasets
                   In the ITSO environment, the mid-level qualifier, USER.&domain., was
                   used where the dataset names, for example on the focal point system
                   SC66 ING.USER.SC66A.xxxx, match with the System Automation start-up
                   procedure.

                5.1.1.2 Allocating datasets using INGEDLGA
                The member INGEDLGA is used to allocate System Automation datasets
                required only for the focal point system. It allocates datasets for the System
                Automation I/O operation and the SA policy customization dialog. Modify the
                following statements in member INGEDLGA and submit the job to create the
                required datasets:
                 • Mid-level qualifier for datasets
                   In the ITSO environment, it was set to be SC66A, as this was the
                   designated focal point system. Therefore, all datasets allocated by this job
                   began with ING.SC66A.xxxx. As an example, the SA policy dialog ISPF
                   output table was set to be ING.SC66A.AOFTABL.
                 • OPTION statement
                   Change the OPTION statement to reflect the correct volume name and
                   device type.

                5.1.1.3 Creating System Automation start-up procedures
                The members, INGESSI and INGESO, are used as System Automation
                (Automation NetView) sample start-up procedures. Since the subsystem
                name for the NetView automation environment is defined to ‘NETV’, as
                described in Section 4.2.2, “OS/390 subsystem extensions” on page 31, the
                two members, INGESSI and INGESO, were copied into the appropriate
                OS/390 procedure library (SYS1.PROCLIB) and renamed as NETVssSI and
                NETVssA, where <ss> denotes the specific system identifier.

                Modify the members, NETVssSI and NETVssA, to reflect specific common
                and local (domain specific) library dataset names.




54   Automation Using Tivoli NetView OS/390 V1R3 and System Automation OS/390 V1R3
Modify the DSIPARM library concatenation in the Automation NetView
            start-up procedure, NETVssA, by adding the dataset name of the System
            Automation DSIPARM input (&SQ2..SINGNPRM) as in the following example:
               //DSIPARM DD      DSN=&Q1..&DOMAIN..DSIPARM,DISP=SHR
               //        DD      DSN=&SQ2..SINGNPRM,DISP=SHR
               //        DD      DSN=&SQ1..DSIPARM,DISP=SHR

            5.1.1.4 Preparing load job for System Automation RODM
            In contrast to the networking environment, the RODM load procedure for the
            System Automation environment needs to load the RODM structure and
            instances during different steps of the job.

            The sample load job, INGELOAD, provided in the library, ING.SINGSAMP,
            can be copied to the system procedure library (SYS1.PROCLIB) and modified
            to reflect the following changes:
               //EKGIN1 DD DSN=NETVUSER.POLICYDB(LOADSTR0),DISP=SHR
               //AOFIN3 DD DSN=NETVUSER.POLICYDB,DISP=SHR

            The library, NETVUSER.POLICYDB, is the designated output library of the
            System Automation RODM building function to contain the managed RODM
            objects.

            Modify the RODMNAME statement to reflect the appropriate RODM on the
            specific system.

5.1.2 Preparing the OS/390 system environment and library
            When the previous customizations are completed, the OS/390 system
            environment and the procedure library need to be modified for System
            Automation effectiveness.

            Modify the library, SYS1.PARMLIB, as follows:
            1. Modify PROGxx to include the following datasets as APF authorized
               libraries:
                  ING.SINGMOD1
                  ING.SINGMOD2
                  ING.SINGMOD3
            2. Modify LNKLSTxx to include the following link library:
                  ING.SINGMOD2
            3. Modify LPALSTxx to include the following library:
                  ING.SINGMOD3




                                       Chapter 5. Customization of System Automation for OS/390   55
4. Modify SCHEDxx to include the following statements:
                      PPT    PGMNAME(DSIMNT) NOSWAP
                      PPT    PGMNAME(CNMINIT) NOSWAP NOCANCEL
                      PPT    PGMNAME(BNJLINTX) NOSWAP
                5. Modify/Check IEFSSNxx to include the additional subsystem names. The
                   following subsystem strings were used for the automation environment
                   within the ITSO project:
                      NETV /* for Netview PPI and netview address space */
                      EKGA /* for RODM prefix */

                Restart, step by step, (IPL) the OS/390 system with CLPA on completion of all
                the above procedures. CPLA is still required when migrating from ESCON
                Manager to System Automation V1R3.

                If not migrating from ESCON Manager to SA V1R3, and the IPL of the
                OS/390 system is not possible for a longer time frame, all the above modified
                parameters can be made effective dynamically by using the following OS/390
                commands:
                      SETPROG APF,FORMAT,FORMAT=DYNAMIC
                      SETPROG APF,ADD,DSNAME=ING.SINGMOD1
                      SETPROG APF,ADD,DSNAME=ING.SINGMOD2
                      SETPROG APF,ADD,DSNAME=ING.SINGMOD3
                      SETPROG LNK,ADD,DSNAME=ING.SINGMOD2,NAME=LINKITSO
                      SETPROG LPA,ADD,DSNAME=ING.SINGMOD3,MODNAME=(*),MASK(*)
                      SETSSI ADD,SUBNAME=NETV
                      SETSSI ADD,SUBNAME=EKGA

                The System Automation address spaces are now ready to be started on the
                OS/390 system.

5.1.3 Creating System Automation policy database dialog panels
                The System Automation policy database contains all automation policies and
                interfaces with the System Automation engine. A dialog tool should be
                developed first, which will be used to create the System Automation policy
                database. The following section shows the procedure for setting up a dialog
                tool.

                5.1.3.1 Set up a CLIST procedure
                To set up the dialogs, first update the TSO logon procedure and set the
                CLIST member in the SYSPROC library, which is allocated by the TSO logon
                procedure. A detailed description in System Automation for OS/390 V1R3
                Customization, GC28-1566, explains how to create a System Automation



56   Automation Using Tivoli NetView OS/390 V1R3 and System Automation OS/390 V1R3
policy dialog in the TSO logon procedure. A CLIST may also be used to
create a procedure for the System Automation policy dialog.

After OS/390 ServerPac basic installation, the dataset ‘CPAC.CMDPROC’ by
default will be the system CLIST or REXX library.

Create a new member by copying the existent ISPPDF member and add the
System Automation datasets to related ALLOCATE statements. The
modifications in the newly-created member might be similar to the following
example:
   ***************************** Top of Data ******************************
    PROC 0 PANEL()
    ALLOC FI(SYSPROC) SHR DA( +
                             'ING.SINGIREX'                              +
                            'DGO.V5R1M0.SDGOEXEC'                        +
                             'CPAC.CMDPROC'                              +
                            'OS261270.SCPPCENU'
    ALLOC FI(ISPLLIB) SHR DA( +
                            'DGO.V5R1M0.SDGOLOAD'                        +
                             'ING.SINGIMOD'                              +
                            'DSN510.SDSNLOAD'                            +
                            'DSN510.RUNLIB.LOAD'                         +
                             'SYS1.DGTLLIB'
    ALLOC FI(ISPPLIB) SHR DA( +
                            'DSN510.SDSNSPFP'                            +
                             'ING.SINGIPNL'                              +
                             'DSN510.SDSNPFPE'
   ALLOC FI(ISPMLIB) SHR DA( +
                            'DSN510.SDSNSPFM'                            +
                            'ING.SINGIMSG'                               +
                            'QMF330.DSQMLIBE'
   ALLOC FI(ISPTLIB) SHR DA( +
                            '&DSNAME'                                    +
                            'ING.SINGITBL'                               +
                            'ING.USER.SC66A.AOFTABL'                     +
                            'SYS1.SERBT'
   ALLOC FI(ISPSLIB) SHR DA( +
                            'QMF330.DSQSLIBE'                            +
                            'ING.SINGISKL'                               +
                            'SYS1.SBLSKEL0'
   ALLOC FI(AOFTABL) SHR DA('ING.USER.SC66A.AOFTABL')
   ALLOC FI(AOFIPDB) SHR DA('ING.SINGIPDB')
   ALLOC FI(IHVCONF) SHR DA('ING.USER.SC66A.IHVCONF')




                         Chapter 5. Customization of System Automation for OS/390   57
Note
                     Part of the System Automation datasets allocated are for reference use
                     only.


                5.1.3.2 Update ISPF panel
                After modifying the TSO logon procedure, update the master ISPF panel to
                include the System Automation dialog function. Therefore, modify the
                ISP@MSTR member in ISPF panel library to include the following
                statements:
                1. INIT section
                       $SA @SA            @- System Automation dialog for ITSO TI3110
                2. PROC section
                       SA,’CMD(%INGDLG SELECT(ADMIN) ALLOCATE(NO))’

                After completing modifications to the TSO logon procedure and the ISPF
                panel, the next time you log on to TSO and enter into the new TSO logon
                procedure, the new TSO/ISPF master menu will appear as demonstrated in
                Figure 5.


                   Master Application Menu - SC66
                   Opt =>                                                                 Sc => PAGE

                                                                                  USERID - GAO
                   Enter SESSION MANAGER Mode ===> NO       (YES or NO)           TIME - 12:07

                     SA   SA        -   System Automation dialog for ITSO TI3110
                     CN   CONS      -   Console Display and Search Facility
                     CP   CPSM      -   CICSPlex SM 1.4 *NEW with CICS TS 1.3*
                     EJ   EJES      -   A JES3 Spooler Interface - (E)JES (Phoenix Software)
                     HC   HCD       -   Hardware Configuration Definition
                     IH   IHV       -   ESCON Manager
                     IP   IPCS      -   Interactive Problem Control Facility
                     IS   ISMF      -   Interactive Storage Management Facility
                     LR   LOGREC    -   Interactive LOGR (CF) LOGREC Viewer
                     OL   OPERLOG   -   Interactive OPERLOG (Syslog) Browser
                     OP   OPC       -   Operations Planning and Control / ESA
                     P    PDF       -   ISPF/Program Development Facility
                     R    RACF      -   Resource Access Control Facility
                     SD   SDSF      -   System Display and Search Facility
                     SJ   J3SD      -   System Display and Search Facility (JES3)

                  F1=HELP      F2=SPLIT        F3=END       F4=RETURN      F5=RFIND    F6=RCHANGE
                  F7=UP        F8=DOWN         F9=SWAP     F10=LEFT       F11=RIGHT   F12=RETRIEVE


                Figure 5. Master TSO/ISPF panel.




58   Automation Using Tivoli NetView OS/390 V1R3 and System Automation OS/390 V1R3
5.2 Usage of system symbolics and System Automation synonyms
           In the ITSO project environment, the three systems, SC66, SC42, and SC69,
           were the OS/390 system objects. There are several common policies and
           characteristics among these systems, which prove the benefits of using
           symbolics and simplify system definitions and maintenance.

           As for system symbolics, Table 21 lists the symbolics used during this ITSO
           project.
           Table 21. System symbolics used in the ITSO project

            SYMBOLIC                          COMMENTS

            &SYSNAME.                         System name, for example, SC66, SC42 or SC69.

            &SYSCLONE.                        System identifier. It is defined as the last 2 digits of
                                              SYSNAME, for example, 66,42, or 69.

           In addition to these system symbolics, NetView clone synonyms and System
           Automation message automation table synonyms help to decrease duplicated
           policy and object definitions. Some NetView clone synonyms were used
           based on system symbolics. Some System Automation synonyms were used,
           as well, for message automation table references.

           A summary of the different synonyms used for the Automation NetView and
           System Automation is shown in Table 22 and Table 23.

           The first table lists the most important NetView clone synonym used in this
           ITSO project. Using &DOMAIN., instead the hard-coded NetView domain
           name, enables usage of the member, AOFMSGSY, in a shared DSIPARM
           library.
           Table 22. NetView clone synonym used in the ITSO project

            SYNONYM NAME                      COMMENTS

            &DOMAIN.                          NetView domain name, for example, SC66A, SC42A,
                                              or SC69A. This synonym is defined in the start-up
                                              procedure of the specific NetView.




                                         Chapter 5. Customization of System Automation for OS/390        59
Table 23 on page 60 lists the System Automation message automation table
                synonyms used in this ITSO project.
                Table 23. SA message automation table synonyms used in the ITSO project

                 SYNONYM NAME                      COMMENTS

                 &AOFDOM.                          NetView domain name, for example, SC66A for focal
                                                   point system. SC42A and SC69A are for target
                                                   systems. This synonym is defined in the SA member
                                                   AOFMSGSY.

                 &AOFSYS.                          System name, for example, SC66 for focal point
                                                   system. SC42 and SC69 are for target systems. This
                                                   synonym is defined in the SA member AOFMSGSY.

                 &AOFVTAMJOB.                      VTAM job name defined in the SA member
                                                   AOFMSGSY.

                 &AOFLOADERJOB.                    RODM loader job name defined in the SA member
                                                   AOFMSGSY.



5.3 Defining all systems and objects to System Automation
                This section describes the definition of all systems and the focal point
                structure and their dependencies. The following steps describe how to enter
                the necessary systems, their descriptions, and attributes:
                1. Starting the System Automation policy database dialog
                2. Creating a new System Automation policy database
                3. Entering all systems and objects
                4. Building the SA Automation control file (ACF)
                5. Building the RODM load statements

                It is important to notice that the System Automation policy database for the
                entire enterprise should be filled with all the object information that System
                Automation uses. This ensures the best overall control and maintenance if
                everything is defined using the System Automation customization dialog.

                Therefore, a thoughtful planning for creation of the object hierarchy and how
                to group the resources will have a great impact on how powerful the System
                Automation for OS/390 graphic interface will be.

                The chart in Figure 6 exemplifies the hierarchy for the various System
                Automation objects used in this ITSO project. It was decided to group the
                systems by geographical region and the type of applications.


60   Automation Using Tivoli NetView OS/390 V1R3 and System Automation OS/390 V1R3
Figure 6. ITSO Enterprise hierarchy in the System Automation Policy DB


5.3.1 Starting the System Automation policy database dialog
            To start the System Automation policy database dialog panel shown in Figure
            7, either:
             • Select SA from TSO/ISPF master panel as shown in Figure 5 on page 58




                                           Chapter 5. Customization of System Automation for OS/390   61
or
                 • Enter the following TSO command from the ISPF command line panel:
                         INGDLG SELECT(ADMIN) ALLOCATE(NO)



                                               SA OS/390 PolicyDB Selection        Select an entry
                     Command ===> ________________________________________________ SCROLL===> PAGE

                     Action     PolicyDB Name        Enterprise Name/Data Set Name
                     ******************************* Bottom of data *******************************




                      F1=HELP     F2=SPLIT     F3=END       F4=RETURN    F5=RFIND     F6=RCHANGE
                      F7=UP       F8=DOWN      F9=SWAP     F10=LEFT     F11=RIGHT    F12=RETRIEVE

                Figure 7. System Automation PolicyDB Entrance panel


5.3.2 Creating a new System Automation policy database
                The following steps are used to create a new System Automation policy
                database:
                      a. Issue the NEW command on the ISPF panel command line.

                On the ISPF panel that appears, enter the following fields and continue with
                PF8 to the next screen:
                      b. PolicyDB Name: <choose a unique name>
                      c. Enterprise name: <choose a unique name>
                      d. Data Set name: <for example, NETVUSER.SA.POLICYDB>
                      e. Model PolicyDB Name: <for example, *SYSPLEX>

                Figure 8 on page 63 shows the ITSO project definitions. To use the model of a
                single or other PolicyDB, enter ‘?’ on the Model PolicyDB name, which
                prompts the user for additional choices in selecting the Model PolicyDB type.




62   Automation Using Tivoli NetView OS/390 V1R3 and System Automation OS/390 V1R3
SA OS/390 Create a New Policy Database
   Command ===>

   To define a new policy database, specify the following information:
      PolicyDB Name. . . . . . ITSO_ENTERPRISE
      Enterprise Name. . . . . ITSO_ENTERPRISE
      Data Set Name. . . . . . 'NETVUSER.SA.POLICYDB'
                                                                      More:        +
      Managed storage. . . . . NO          YES      NO
      Management class . . . .             Blank for default management class      *
      Storage class. . . . . .             Blank for default storage class         *
        Volume serial. . . . .             Blank for authorized default volume
      Data class . . . . . . .             Blank for default data class            *
        Space units. . . . . . CYLINDERS CYLS TRKS BLKS KB MB
        Primary quantity . . . 1           1 to 999 - In above units
        Secondary quantity . . 1           0 to 999 - In above units
        Directory blocks . . . 50          1 to 999 or blank - Required for PDS
        Record format. . . . : FB
        Record length. . . . : 80
        Block size . . . . . . 3120
        Data Set Name type . . PDS         LIBRARY PDS                             *
        Device Type. . . . . . SYSDA

      * Used only if Managed storage = YES

   Specify one of the existing policy databases to serve as the model
   for the policy database that is being created:
      Model PolicyDB name. . . *SYSPLEX             PolicyDB name or "?"
                                                    for list of names

    F1=HELP       F2=SPLIT     F3=END       F4=RETURN     F5=RFIND     F6=RCHANGE
    F7=UP         F8=DOWN      F9=SWAP     F10=LEFT      F11=RIGHT    F12=RETRIEVE

Figure 8. Creating Sysplex PolicyDB for the ITSO Environment

   When all data entry is completed, press PF3 to start the generation process
   of the System Automation policy database with default policy and object
   definitions according to the specified model PolicyDB.

   Figure 9 on page 64 shows all automated resources and resource policy
   objects that are generated. Select any resource definition on the left side, or
   any resource policy on the right side, by their item label.




                                 Chapter 5. Customization of System Automation for OS/390   63
SA OS/390 Entry Type Selection      PolicyDB created
                Command ===>

                PolicyDB Name : ITSO_ENTERPRISE
                Enterprise Name : ITSO_ENTERPRISE

                  Enterprise Resource Definitions          Resource Policy Definitions
                                                                                      More:     +
                  1   Enterprise            (   ENT   )    30 Timers                ( TMR )
                  2   Group                 (   GRP   )    31 Timeout Settings      ( TMO )
                  3   SubGroup              (   SBG   )    32 Tape Attendance       ( TPA )
                  4   System                (   SYS   )    33 MVS Component         ( MVC )
                  5   ApplicationGroup      (   APG   )    34 MVSCOMP Defaults      ( MDF )
                  6   Application     (*)   (   APL   )    35 System Defaults       ( SDF )
                  7   VolumeGroup           (   VLG   )    36 Application Defaults ( ADF )
                  8   Volume                (   VOL   )    37 Auto Operators        ( AOP )
                  9   OperatorView          (   OPV   )    38 Auto Msg Classes      ( AMC )
                 10   Processor             (   PRO   )    39 Network               ( NTW )
                 11   Communications Path   (   CMP   )    40 NNT Sessions          ( NNT )
                                                           41 Resident CLISTs       ( RES )
                 F1=HELP       F2=SPLIT      F3=END        F4=RETURN    F5=RFIND     F6=RCHANGE
                 F7=UP         F8=DOWN       F9=SWAP      F10=LEFT     F11=RIGHT    F12=RETRIEVE

             Figure 9. System Automation Entry Type Selection panel

                This base System Automation policy database dialog screen allows you to
                create and enter all resource objects and their specific policy rules.

5.3.3 Entering all systems and objects
                The following examples will show how to enter the necessary information
                about the ITSO project environment into the System Automation policy
                database. It is recommended to enter the data in the following sequence:
                 • 6 - Application
                 • 5 - ApplicationGroup
                 • 4 - System
                 • 3 - SubGroup
                 • 2 - Group

                5.3.3.1 Creating applications
                In System Automation terms, an application is either an OS/390 subsystem,
                started task, application, batch job, or non-OS/390 resource that runs on a
                system in the OS/390 enterprise environment.

                The application definitions for automation include:
                 • Application name



64   Automation Using Tivoli NetView OS/390 V1R3 and System Automation OS/390 V1R3
• Object type (class or instance)
 • Application mode (online or batch)
 • Application type (STANDARD, JES2, or JES3)
 • The name of procedure that runs the job
 • Service warning and alert thresholds
 • Automation definition and policy

From the System Automation main menu, as shown in Figure 9 on page 64,
select Option 6 or APL. An application dialog will be displayed as shown in
Figure 10.


                                SA OS/390 Entry Selection         Row 1 to 13 of 26
  Command ===>                                                      SCROLL===> PAGE

  Entry Type : Application              PolicyDB Name : ITSO_ENTERPRISE
                                        Enterprise Name : ITSO_ENTERPRISE

  Action       Entry Name             C Short Description
               *SYSTEM                  Special system job
               APPC                     APPC/MVS automation policy
               ASCH                     ASCH automation policy
               DEFAULTS                 Application default policy
               GMFHS                    Graphical Monitoring Facility definition
               INGERMFB                 RMF batch enquirer definition
               INGESO                   Automation NetView definition
               INGESSI                  NetView subsystem interface
               IO_HEARTBEAT_TASK        I/O exception monitoring heartbeat
               IO_MON_EVENTPROC         I/O exception monitoring event analyzer
               IO_MON_MSGPROC           I/O monitoring message processing task
               IO_MON_QUERYPROC         I/O exception monitoring query task
               IO_OPERATIONS            I/O Operations functions main component
   F1=HELP       F2=SPLIT     F3=END      F4=RETURN    F5=RFIND     F6=RCHANGE
   F7=UP         F8=DOWN      F9=SWAP    F10=LEFT     F11=RIGHT    F12=RETRIEVE

Figure 10. Application Entry Selection panel

There are two types of applications to select:
 • Class
   The application class is designed for applications that inherit a common
   policy. If there are multiple applications owning generic policies, a class
   can be created for these types of applications to allow for easy definitions
   of application instances. Using application classes will minimize the
   maintenance workload when updating or changing something in the
   System Automation policy database.
 • Instance



                               Chapter 5. Customization of System Automation for OS/390   65
The application instance definition is used when the application will be
                   managed by OS/390. The policy items omitted for an application instance
                   will be inherited from the application class associated with this type of
                   application instance. A policy item specified for an instance will override
                   any application class specification.

                In the ITSO project environment, there are two NetView subsystems on each
                system, one for network environment, and another for system automation
                environment. Both NetViews have the common start-up, WTOR messages,
                and shutdown policy. Therefore, a class application called NETVIEW_CLASS
                was defined for both NetViews, allowing them to share one CLASS for those
                policies common to both.

                Since start-up, WTOR messages, and shutdown policies are defined in the
                CLASS, there is no need to define them when defining the NetView instances
                for AON and System Automation.

                The next section will detail how to create a CLASS in the policy database,
                and how to apply class to an instance application. On the SA application
                selection panel, enter the NEW command on the command line to go to the
                panel that is shown in Figure 11.


                                               SA OS/390 Define New Entry
                  Command ===>

                  To define a new entry, specify the following information:
                     Type. . . . . . . . . . Application
                     Application Name. . . . NETVIEW_CLASS
                     Subsystem Name. . . . . NETVIEW_CL
                  ------------------------------------------------------------------------------
                                                                                     More:     +
                     Object Type . . . . . . CLASS      CLASS     INSTANCE

                     Application Type . . . STANDARD        STANDARD JES2     JES3
                                                            (These values cannot be changed after)
                                                            (the application has been created )
                     INFOBridge Resource . .
                     Application Mode. . . . BATCH      BATCH     ONLINE
                     Clone Job Name. . . . . NO         YES       NO
                     Job Name. . . . . . . .
                     Scheduling Subsystem. .            MSTR, JES Subsystem or blank
                  ------------------------------------------------------------------------------
                   F1=HELP      F2=SPLIT     F3=END       F4=RETURN    F5=RFIND     F6=RCHANGE
                   F7=UP        F8=DOWN      F9=SWAP     F10=LEFT     F11=RIGHT    F12=RETRIEVE


                Figure 11. Define Application Entry panel

                On the Object Type field, choose CLASS to define this class application.




66   Automation Using Tivoli NetView OS/390 V1R3 and System Automation OS/390 V1R3
Note
     It is important to notice that, in the class application definition, the Job
     Name field should be left empty, or it will be valid for all application
     instances of this applications class.

    Press PF3 to quit to application selection panel as shown in Figure 12 on
    page 67.

    The following steps will define Automation Info, Messages, and Shutdown
    policy items. These items will be inherited by the applications instances
    associated to this application class.


                               SA OS/390 Policy Selection         Row 1 to 13 of 15
  Command ===>                                                      SCROLL===> CSR

  Entry Type : Application            PolicyDB Name : ITSO_ENTERPRISE
  Entry Name : NETVIEW_CLASS          Enterprise Name : ITSO_ENTERPRISE

  Action      Policy Name           Policy Description
              DESCRIPTION           Enter description
              LINK TO INSTANCES     Link class to instances
              APPLICATION INFO      Enter and display Application information
              INFO BRIDGE           Enter INFO Bridge resource name
              RMF                   Enter RMF objectives and reporting criteria
              AUTOMATION INFO       Define Application automation information
              AUTOMATION FLAGS      Define Application automation flags
              MESSAGES              Define Application messages
              SHUTDOWN              Define shutdown procedures
              THRESHOLDS            Define error thresholds
              RESTART               Define commands executed at restart
              MINOR RESOURCES       Define Application sub-component flags
              SYSTEM ASSOCIATION    Define primary and secondary associations
              TRIGGER               Select Application trigger

Figure 12. SA OS/390 Application Policy Selection panel

    The following options can be customized in an application class.
       Application Info: Enter or modify application mode (batch or online) and
       the MVS application or job name by using the replication capability to
       generate the application name.
       Automation Info: This policy item is used to define the application to
       System Automation automation and will be used to define job type, system
       name, Parent, start option, and restart option.
       Automation Flags: Automation flags allow the user to enable and disable
       automation and can also enable or disable automation for specific
       automation phases.


                                   Chapter 5. Customization of System Automation for OS/390   67
Messages: This policy item allows the user to specify automated actions,
                   such as the issuing of a command or reply, to be taken in response to a
                   message issued by the application.
                   Shutdown: Specifies normal shutdown commands for any application
                   using System Automation.
                   Thresholds: Error threshold definitions for applications to define how
                   many abend errors may occur before a message is logged, or a restart
                   process is stopped.
                   Minor Resources: This policy is used to define minor resources for an
                   application.
                   System Association: This policy item is used to define the primary and
                   secondary system for the application.
                   Trigger: Each application may be linked to one or more trigger(s) that
                   control the start-up or shutdown.

                Creating automation Info for an application class
                Select Automation Info from the panel, which is shown in Figure 12, and the
                Application Automation Definition panel will be displayed as shown in Figure
                13 on page 69. Enter the JobType and the additional definitions that might be
                necessary for this application class. Keep in mind that this is a class definition
                that will be valid for other application instances.

                The following fields are contained in this automation info Panel:
                 • Job type
                   Can be set to MVS, NOMVS, or TRANSIENT. As a standard MVS start
                   procedure, use MVS for this class definition.
                 • Startup
                   This field specifies how the application will be started.
                 • Edit startup
                   Select YES if using extra parameters. For this example, it will be keep the
                   default.
                 • Restart option
                   This field defines the circumstances under which the application should be
                   restarted. In this example, it will be used ALWAYS.




68   Automation Using Tivoli NetView OS/390 V1R3 and System Automation OS/390 V1R3
SA OS/390 Application Automation Definition        Top of data
 Command ===>

 Entry Type : Application             PolicyDB Name : ITSO_ENTERPRISE
 Entry Name : NETVIEW_CLASS           Enterprise Name : ITSO_ENTERPRISE

 Subsystem : NETVIEW_CL
 Description : Netview Defaults

 Job Name            :
                                                                      More:        +
 JobType . . . . . . MVS           (MVS NONMVS TRANSIENT)
 Transient Rerun . .               Transient Jobtype can be rerun (YES or NO)
 Command Prefix . .                Console command character(s)

 Sysname . . . . . . SC66          JES Sysname


Figure 13. Automation Info for Class Application

   Creating shutdown policy for an application class
   Select Shutdown from the panel, which is shown in Figure 12 on page 67,
   and the Subsystem Shutdown Processing panel will be displayed as shown in
   Figure 14 on page 70.

   The following panels define the shutdown commands for the example
   application class NetView for OS/390. There are four levels of shutdown
   commands that may be used:
   1. INIT
       Enter commands and/or replies to be executed before a shutdown is
       actually initiated, for example, sending warning information to users.
   2. NORM
       Enter the commands and replies that perform a normal shutdown of the
       subsystem.
   3. IMMED
       Enter the commands that perform an immediate shutdown of the
       subsystem.
   4. FORCE
       Enter the commands and replies that perform a forced stop of the
       subsystem (class) without any delay.

   The following panels illustrate examples for the NetView application class.
   First, Figure 14 on page 70 shows the Subsystem Shutdown Processing
   panel, followed by one Shutdown Reply Processing panel for the normal


                                   Chapter 5. Customization of System Automation for OS/390   69
shutdown reply sequence, and one Shutdown Command Processing panel for
                the immediate shutdown commands.

                Using the commands CMD or REP at the Actions column of the specific
                shutdown procedure will enter the appropriate data entry panel.


                                         SA OS/390 Subsystem Shutdown Processing
                  Command ===>

                  Entry Type : Application                 PolicyDB Name : ITSO_ENTERPRISE
                  Entry Name : NETVIEW_CLASS               Enterprise Name : ITSO_ENTERPRISE

                  Subsystem : NETVIEW_CL
                  Description : Netview Defaults

                  To specify automated commands or replies when shutting down this subsystem,
                  enter the appropriate action for the particular shutdown type.

                  Actions: CMD = Command     REP = Reply

                  Action         Type          Description                              CMD REPLY

                                 INIT    Executed   when   shutdown initiated
                   REP           NORM    Executed   when   normal shutdown invoked          2
                                 IMMED   Executed   when   immediate shutdown invoked
                                 FORCE   Executed   when   force shutdown invoked


                Figure 14. SA 0S/390 Application Subsystem Shutdown Processing panel

                When entering the Shutdown Reply Processing panel, enter the Pass and
                Reply Text fields with the commands that will be issued in a normal shutdown
                procedure as shown in Figure 15 on page 71.




70   Automation Using Tivoli NetView OS/390 V1R3 and System Automation OS/390 V1R3
SA OS/390 Shutdown Reply Processing      Row 1 to 5 of 22
 Command ===>                                                     SCROLL===> CSR

 Entry Type : Application            PolicyDB Name : ITSO_ENTERPRISE
 Entry Name : NETVIEW_CLASS          Enterprise Name : ITSO_ENTERPRISE


 Subsystem:     NETVIEW_CL
 Shutdown Type: NORM

 Enter the replies to be issued when the selected shutdown type is invoked
 for this subsystem.

 Pass Retry                           Reply Text
      Count
  1   _____     CLOSE IMMED____________________________________________
  2   _____     CLOSE IMMED____________________________________________



Figure 15. SA OS/390 Application Shutdown Reply Processing panel

When entering the Shutdown Command Processing panel, use the common
System Automation symbolic &SUBSJOB to substitute the subsystem name.
This variable will be resolved to the specific subsystem name when
application instances are generated.


                       SA OS/390 Shutdown Command Processing     Row 1 to 6 of 23
 Command ===>                                                     SCROLL===> CSR

 Entry Type : Application            PolicyDB Name : ITSO_ENTERPRISE
 Entry Name : NETVIEW_CLASS          Enterprise Name : ITSO_ENTERPRISE

 Subsystem:     NETVIEW_CL
 Shutdown Type: IMMED

 Enter commands to be executed when the selected shutdown type is invoked
 for this subsystem.

 Pass Automated                Command Text
       Function
  1               MVS P &SUBSJOB
  2               MVS C &SUBSJOB
  3               MVS FORCE &SUBSJOB,ARM



Figure 16. SA OS/390 Application Shutdown Command Processing panel

Automation Flags
System Automation sets the Automation Flags to default values, which should
be kept to enable automation and ensure best performance. The following
step is only necessary if Automation Flags for specific resources are to be


                              Chapter 5. Customization of System Automation for OS/390   71
changed from their default settings. If the main Automation Flag is set to NO,
                it disables the effect of the remaining Automation Flags.

                The following Automation Flags for the application class can be specified:
                 • Automation
                 • Recovery
                 • Start
                 • Shutdown
                 • Initstart
                 • Restart

                To check the Automation Flags, select the menu item Automation Flags on
                the main Application Policy Selection panel as shown in Figure 12 on page
                67, and it displays the Flag Automation Specification panel illustrated in
                Figure 17.


                                      SA OS/390 Flag Automation Specification
                 Command ===>

                 Entry Type : Application              PolicyDB Name : ITSO_ENTERPRISE
                 Entry Name : NETVIEW_CLASS            Enterprise Name : ITSO_ENTERPRISE

                 Resource: NETVIEW_CL
                 Enter level of automation desired.

                 Automation Flags: Y = Yes     N = No E = Exits
                 Assist Flags:     D = Display L = Log N = None

                 Actions    Flag           Auto        Assist
                           Automation .    _____       _____
                           Recovery . .    _____       _____
                           Start. . . .    _____       _____
                           ShutDown . .    _____       _____
                           Initstart. .    _____       _____
                           Restart. . .    _____       _____
                 Enter or Display times   to disable   automation . . NO      Yes   No


                Figure 17. SA OS/390 Flag Automation Specification panel

                In the ITSO environment, the Automation and Recovery flags were kept to the
                default value of blank. The System Automation menu may also be used to
                manually define and display automation flags in the System Automation
                NetView.




72   Automation Using Tivoli NetView OS/390 V1R3 and System Automation OS/390 V1R3
Using link to application instances
After completing the application class definitions for start-up, shutdown, and
automation and recovery flags, link this application class to the appropriate
application instances that will inherit these application class policy definitions.

This newly created application class, NETVIEW_CLASS, was linked to the
application instances of the networking and automation NetView.

If these application instances have already been defined, select the option
Link To Instance on the main Application Policy Selection panel as shown in
Figure 12 on page 67. The following panel (Figure 18) is a sample screen of
the ITSO application instances linked to their application classes.


  SA OS/390 Link Class to Instances     Row 10 to 16 of 23
  Command ===>                                                       SCROLL===> PAGE

  Entry Type : Application             PolicyDB Name : ITSO_ENTERPRISE
  Entry Name : NETVIEW_CLASS           Enterprise Name : ITSO_ENTERPRISE

  Action       Status            Entry Name
               SELECTED          NETWORK_NETVIEW
                                 Currently linked to.    . NETVIEW_CLASS
                                 NETWORK_NETVIEW_SSI
                                 Currently linked to.    . GENERIC_CLASS
                                 NETWORK_RODM
                                 Currently linked to.    . RODM_CLASS
                                 PROCESSOR_OPERATIONS
                                 Currently linked to.    .
                                 SAOS390_GMFHS
                                 Currently linked to.    . GMFHS_CLASS
               SELECTED          SAOS390_NETVIEW

Figure 18. Link Application Class to NetView instances

An application instance is a subsystem, started task, or application that can
operate on OS/390. An application instance is created practically by using the
same procedure as for application classes with the exception of the keyword
INSTANCE instead of CLASS as shown in Figure 11 on page 66.

As a practical example within the ITSO project, the application instance
SAOS390_NETVIEW was chosen to be automated. This application instance
will inherit the policy features defined in the application class
NETVIEW_CLASS. The following illustrates the ease of an application
instance creation using application class association.

Issue the command, NEW SAOS390_NETVIEW, on the command line of the Entry
Selection panel for applications as shown in Figure 19 on page 74.




                               Chapter 5. Customization of System Automation for OS/390   73
SA OS/390 Entry Selection        Row 10 to 22 of 29
                 Command ===> NEW SAOS390_NETVIEW                                SCROLL===> CSR

                 Entry Type : Application             PolicyDB Name : ITSO_ENTERPRISE
                                                      Enterprise Name : ITSO_ENTERPRISE

                 Action       Entry Name              C Short Description
                              LLA                       LLA automation policy
                              NETVIEW_CLASS           * Netview Defaults
                              NETVSA                    Automation NetView definition
                              NETWORK_GMFHS             Network GMFHS
                              NETWORK_NETVIEW           Network Netview
                              NETWORK_NETVIEW_SSI       Network Netview Interface
                              NETWORK_RODM              Network RODM
                              PROCESSOR_OPERATIONS      Processor Operations functions
                              RODM_CLASS              * RODM Defaults
                              SAOS390_GMFHS             System Automation GMFHS
                              SAOS390_NETVIEW_SSI       System Automation Netview Interface
                              SAOS390_RODM              RODM automation policy


                Figure 19. SA OS/390 Application Entry Selection panel

                On the Define New Entry panel for applications, the following values and
                symbols were entered in our scenario:
                1. Subsystem Name: NETVSA
                2. Clone Job Name (Instance): YES
                3. Job Name: NETV&AOCCLONE.A

                Using this clone variable will allow that this definition can be shared for all the
                systems that will run the System Automation Netview. To use this variable it is
                necessary to change the field Clone Job Name for the instance to YES.

                In the ITSO environment, the System Automation NetView Job Names were
                NETV66A, NETV69A, and NETV42A, and the &AOCCLONE. variable was set
                to contain the two digit of the OS/390 system identifier.




74   Automation Using Tivoli NetView OS/390 V1R3 and System Automation OS/390 V1R3
SA OS/390 Define New Entry
  Command ===>

  To define a new entry, specify the following information:
     Type. . . . . . . . . . Application
     Application Name. . . . OS390_NETVIEW
     Subsystem Name. . . . . NETVSA
  ------------------------------------------------------------------------------
                                                                     More:     +
     Object Type . . . . . . INSTANCE CLASS       INSTANCE

     Application Type . . . STANDARD       STANDARD JES2     JES3
                                           (These values cannot be changed after)
                                           (the application has been created )
     INFOBridge Resource . .
     Application Mode. . . . BATCH      BATCH     ONLINE
     Clone Job Name. . . . . YES        YES       NO
     Job Name. . . . . . . . NETV&AOCCLONE.A
     Scheduling Subsystem. .            MSTR, JES Subsystem or blank
  ------------------------------------------------------------------------------

Figure 20. SA OS/390 define new entry panel for applications

End defining the new application instance with PF3 and select the
Automation Info option to define the parent subsystem.


                              SA OS/390 Policy Selection         Row 1 to 13 of 17
 Command ===>                                                      SCROLL===> CSR

 Entry Type : Application              PolicyDB Name : ITSO_ENTERPRISE
 Entry Name : SAOS390_NETVIEW          Enterprise Name : ITSO_ENTERPRISE

 Action       Policy Name           Policy Description
              DESCRIPTION           Enter description
              LINK TO CLASS         Link instance to class
              APPLICATION INFO      Enter and display Application information
              INFO BRIDGE           Enter INFO Bridge resource name
              RMF                   Enter RMF objectives and reporting criteria
 S            AUTOMATION INFO       Define Application automation information
              AUTOMATION FLAGS      Define Application automation flags
              MESSAGES              Define Application messages
              SHUTDOWN              Define shutdown procedures
              THRESHOLDS            Define error thresholds
              RESTART               Define commands executed at restart
              MINOR RESOURCES       Define Application sub-component flags
              SYSTEM ASSOCIATION    Define primary and secondary associations


Figure 21. SA OS/390 Policy Selection panel for applications

Enter the System Automation SSI subsystem name, SSISA, in the Application
Automation Definition panel as the Parent subsystem and return with PF3.




                               Chapter 5. Customization of System Automation for OS/390   75
SA OS/390 Application Automation Definition
                 Command ===>

                 Entry Type : Application             PolicyDB Name : ITSO_ENTERPRISE
                 Entry Name : SAOS390_NETVIEW         Enterprise Name : ITSO_ENTERPRISE

                 Subsystem : NETVSA
                 Description : System Automation Netview

                 Job Name              : NETVSA&AOCCLONE.
                                                                                      More:       +
                 JobType . . . . . .               (MVS NONMVS TRANSIENT)
                 Transient Rerun . .               Transient Jobtype can be rerun (YES or NO)
                 Command Prefix . .                Console command character(s)

                 Sysname . . . . . .               JES Sysname
                 Parent(s) . . . . . SSISA
                                                   Enter one or more parents (above)

                 Start on IPL . . . .              Started after IPL      (YES NO NONE blank)


                Figure 22. SA OS/390 Application Automation Definition panel

                The last step is to link this application instance to the application class
                previously defined. Select the Link To Class option on the Policy Selection
                panel for the application and select the appropriate application class.


                                           SA OS/390 Link Instance to Class          Row 1 to 4 of 4
                 Command ===>                                                        SCROLL===> CSR

                 Entry Type : Application             PolicyDB Name : ITSO_ENTERPRISE
                 Entry Name : SAOS390_NETVIEW         Enterprise Name : ITSO_ENTERPRISE

                 Action       Status          Entry Name
                                              GENERIC_CLASS
                                              GMFHS_CLASS
                             SELECTED         NETVIEW_CLASS
                                              RODM_CLASS
                 ******************************* Bottom of data ********************************




                Figure 23. SA OS/390 Application Link Instance to Class panel

                The definition process for the System Automation NetView is completed. All
                the others definitions will be inherited from the application class
                NETVIEW_CLASS.

                The same application instance definition process has to be executed to define
                the networking NetViews to the System Automation policy database.



76   Automation Using Tivoli NetView OS/390 V1R3 and System Automation OS/390 V1R3
5.3.3.2 Creating an application group
An application group is a set of applications to which a name is assigned.
There are two types of application groups:
1. System application groups
   Set of applications that reside on only one OS/390 system image.
2. Sysplex application groups
   Set of applications that reside on multiple OS/390 system images within a
   sysplex configuration.

When defining an application group as a sysplex application group, specify
the sysplex group name to which it belongs. A sysplex application group can
be associated with only one sysplex group.

           Note
 A sysplex application group can not be associated with a system group.


From the main System Automation Entry Type Selection panel, as shown in
Figure 9 on page 64, select 5 or APG for ApplicationGroup. The Entry
Selection panel for application groups displayed in Figure 24 will appear.


                             SA OS/390 Entry Selection            Row 1 to 6 of
Command ===> NEW                                                  SCROLL===> PAG

Entry Type : ApplicationGroup       PolicyDB Name : ITSO_ENTERPRISE
                                    Enterprise Name : ITSO_ENTERPRISE

Action      Entry Name             C Short Description
            APPLL_GROUP_01            Application group 01
            DEFAULTS                  ApplicationGroup default policy
            OPERATIONS                Operations components
            SAG_APPL                  Real APG to mirror the Sysplex APG
            SYSPLEX_APPLGROUP         Sysplex application group
            SYSTEM                    Special system ApplicationGroup
******************************* Bottom of data ******************************


Figure 24. SA OS/390 Application Group Entry Selection panel

Default application groups are available, but in the ITSO project scenario, it
was decided to create one generic system application group for each of the
three systems, regardless of its function as focal point or target system. In
addition to these generic system application groups, one specific system
application group for the focal point system was created.




                              Chapter 5. Customization of System Automation for OS/390   77
The following system application groups were defined in the sample ITSO
                System Automation policy database:
                 • Network
                 • Operations
                 • SA_OS390
                 • SC42_Generic
                 • SC66_Generic
                 • SC69_Generic

                Entering the NEW command in the command line of the Entry Selection panel
                for application groups brings up the Define New Entry panel for application
                groups as shown in Figure 25.


                                              SA OS/390 Define New Entry
                Command ===>

                To define a new entry, specify the following information:
                  Type . . . . . . . . . . ApplicationGroup
                  Name . . . . . . . . . . OPERATIONS

                   Application Group Type . SYSTEM        SYSTEM   SYSPLEX

                ------------------------------------------------------------------------------
                                                                                  More:     +

                   Short Description. . . .
                   Extended Description . .
                                        . .
                                        . .
                                        . .
                                        . .


                Figure 25. SA OS/390 Application Group Define New Entry panel

                Since the set of applications for each particular application group resides on
                the same OS/390 system in the ITSO environment, select SYSTEM on the
                Application Group Type field and name the individual application group using
                the Name field. Complete the operation by pressing PF3. It appears the
                Policy Selection panel for application groups as shown in Figure 26 on page
                79.




78   Automation Using Tivoli NetView OS/390 V1R3 and System Automation OS/390 V1R3
Note
    If the applications of the particular application group reside on the multiple
    OS/390 systems within the sysplex configuration, use SYSPLEX in the
    Application Group Type field.


                              SA OS/390 Policy Selection             Row 1 to 9 of 9
  Command ===>                                                       SCROLL===> PAGE

  Entry Type : ApplicationGroup        PolicyDB Name : ITSO_ENTERPRISE
  Entry Name : OPERATIONS              Enterprise Name : ITSO_ENTERPRISE

  Action      Policy Name          Policy Description
              DESCRIPTION          Enter description
              APPLGROUP INFO       Display ApplicationGroup information
  S           APPLICATIONS         Select Applications for ApplicationGroup
              -------------------- ---------------------------------------------
              WHERE USED           List Systems linked to this entry
              USED IN VIEWS        List OperatorViews linked to this entry
              COPY                 Copy data from existing entry
              -------------------- ---------------------------------------------
              PROPAGATION THRESH Define thresholds for propagation of status
  ******************************* Bottom of data ********************************



Figure 26. SA OS/390 Application Group Policy Selection panel

  Select the option Applications, and the Applications for ApplicationGroup
  panel is displayed as shown in Figure 27 on page 80.

  Add or remove applications from the selection screen. APPC, ASCH, JES2,
  LLA, TCPIP, VLF, TSO, and VTAM were added into the system application
  group OPERATIONS. Other applications may be selected in other application
  groups.




                                  Chapter 5. Customization of System Automation for OS/390   79
SA OS/390 Applications for Applica Row 1 to 13 of 25
                 Command ===>                                                     SCROLL===> PAGE

                 Entry Type : ApplicationGroup        PolicyDB Name : ITSO_ENTERPRISE
                 Entry Name : OPERATIONS              Enterprise Name : ITSO_ENTERPRISE

                 Action       Status           Application
                                               *SYSTEM
                             SELECTED          APPC
                             SELECTED          ASCH
                                               GMFHS
                                               IO_OPERATIONS
                             SELECTED          JES2
                             SELECTED          LLA
                                               SAOS390_GMFHS
                                               SAOS390_NETVIEW
                                               SAOS390_NETVIEW_SSI
                                               SAOS390_RODM
                                               SAOS390_RODM_DM
                             SELECTED          TCPIP
                                               TEST
                                               TESTJOB1
                             SELECTED          TSO
                             SELECTED          VLF
                             SELECTED          VTAM
                 ******************************* Bottom of data ********************************

                Figure 27. SA OS/390 Applications for Application Group panel


                5.3.3.3 Creating a system
                A system is any host system in the System Automation enterprise, and its
                definition includes:
                 • Description of the system, including physical location
                 • Type of Operating System
                 • Processor operations information
                 • Details of which IBM automation products are operating on the system
                 • Member application groups
                 • NetView and OS/390-related information
                 • Automation policy for the system

                From the main System Automation Entry Type Selection panel, as shown in
                Figure 9 on page 64, select 4 or SYS for System. The Entry Selection panel
                for systems, displayed in Figure 28 on page 81, will appear.




80   Automation Using Tivoli NetView OS/390 V1R3 and System Automation OS/390 V1R3
SA OS/390 Entry Selection            Row 1 to 6 of 6
Command ===> NEW                                                  SCROLL===> PAGE

Entry Type : System                 PolicyDB Name : ITSO_ENTERPRISE
                                    Enterprise Name : ITSO_ENTERPRISE

Action      Entry Name             C Short Description
            DEFAULTS                  System default policy
            SAMPLE_SYSTEM_01          Main focal point system definition
            SAMPLE_SYSTEM_02          Backup focal point system
            SAMPLE_SYSTEM_03          Target system 1
            SAMPLE_SYSTEM_04          Target system 2
            SAMPLE_SYSTEM_05          Sample Coupling Facility
******************************* Bottom of data *******************************

Figure 28. SA OS/390 System Entry Selection panel

As a sysplex policy database model, five system image objects have already
been created. The system, SAMPLE_SYSTEM_01, is the system object of
the main focal point system, and the others are backup focal point or target
systems. This is a sample sysplex architecture.

In the ITSO project, three system objects were created for the System
Automation environment. System SC66 will act as the focal point system, and
the systems SC42 and SC69 are the target systems.

To create new system entries, enter the NEW command on the command line
of the Entry Selection panel. The Define New Entry panel, as shown in Figure
29 on page 82, will appear.




                              Chapter 5. Customization of System Automation for OS/390   81
SA OS/390 Define New Entry              Top of data
                     Command ===>

                     To define a new entry, specify the following information:
                        Type. . . . . . . . . . System
                        Name. . . . . . . . . . SC66
                                                                                       More:    +
                        Operating system. . . . MVS       MVS VM TPF VSE CF SNMP

                     For MVS systems, you must specify at least the following information:
                        MVS SYSNAME . . . . . . SC66       MVS system name
                        Sys-Ops NetView Domain. SC66A      Name of the NetView domain
                                                           under which SA OS/390 Sys-Ops
                                                           functions run

                     For non-MVS systems, you must specify at least the following information
                     if Enterprise Monitoring is to be used:
                        Unique 5-character ID .            Unique ID, different from any
                                                           existing NetView domain name

                     For SNMP systems, you must specify the following information:
                        TCP/IP address. . . . .                  TCP/IP address of the
                                                                 system, in dotted notation

                     Define system clone information (MVS systems only):
                        Clone Id. . . . . . . . 66             &AOCCLONE.
                        Clone Id 1. . . . . . . SC66           &AOCCLONE1.
                        Clone Id 2. . . . . . . SC66A          &AOCCLONE2.
                        Clone Id 3. . . . . . .                &AOCCLONE3.
                        Clone Id 4. . . . . . .                &AOCCLONE4.
                        Clone Id 5. . . . . . .                &AOCCLONE5.
                        Clone Id 6. . . . . . .                &AOCCLONE6.
                        Clone Id 7. . . . . . .                &AOCCLONE7.
                        Clone Id 8. . . . . . .                &AOCCLONE8.
                        Clone Id 9. . . . . . .                &AOCCLONE9.

                     Enter the following NetView and Enterprise Monitoring information:
                        Sys-Ops NetView Network
                          Name. . . . . . . . .            Network name for System Operations
                                                           NetView domain (MVS systems only)
                        INFOBridge Resource . .            System name as known to INFOBridge
                        System use. . . . . . . FOCALPOINT FOCALPOINT TARGET

                     The following fields are for Heartbeat processing (MVS systems only):
                        SA OS/390 or AOC/MVS
                          Version and Release . SA13       SA13 (for SA OS/390 Rel.3),
                                                           SV01 (for SA OS/390 Rel.2) or
                                                           V1R4 (for AOC/MVS Rel.4)
                        Heartbeat Interval. . . 5          1 - 60 (minutes)
                        Missing Heartbeat Delay 30         1 - 3600 (seconds)

                     The following field is for Processor Operations functions:
                        ProcOps name. . . . . . SC66       Processor Operations name
                                                           (non-SNMP systems only)


                   Figure 29. SA OS/390 Define New System Entry panel




82   Automation Using Tivoli NetView OS/390 V1R3 and System Automation OS/390 V1R3
This example screen shows the definitions for the automation focal point
system:
 • SC66 as the System Object name
 • SC66A as System Automation NetView domain name

System Automation clone symbolics must be defined in system objects to
support the cloned application. Therefore, three clone symbolics were
defined for each of the systems within the sysplex environment. In the
example for the automation focal point system:
1. Clone Id: 66
1. Clone Id 1: SC66
1. Clone Id 2: SC66A

Continue with PF8 to the second system definition and enter the ProcOps
Name, which specifies the name of the system as known to processor
operation functions. For the automation focal point system, the ProcOps
Name, SC66, was used.

When all system definitions are completed, continue with PF3 to enter the
Policy Selection panel for system SC66 as shown in Figure 30 on page 84.
The following list specifies the policy items for a system object:

System Info: Specifies operating system type and system name for this
system object.

Application Groups: Specifies application groups, which are related to this
system object.

NetView: Specifies NetView-related details for this system object.

Automation: Specifies automation products (RMF, OPC, SDSF) used with
this system.

Automation Console: Defines the MVS route codes and MCSFLAGS for this
system. WTO messages are sent to the Automation Console.

Automation Setup: Specifies details about the system environment for
automation.

Automation Timer: Displays a list of defined automation timer sets, thus,
allowing the user to choose which set is to be associated with this system.




                          Chapter 5. Customization of System Automation for OS/390   83
Auto Operators: Display a list of defined auto operators sets, thus, allowing
                the user to choose which set is to be associated with the system.

                Notify Operators: Specifies human NetView operators who receive a System
                Automation notification message.

                Processor Operations: Specifies information needed by System Automation
                processor operations.


                                             SA OS/390 Policy Selection           System created
                  Command ===>                                                   SCROLL===> PAGE

                  Entry Type : System                 PolicyDB Name : ITSO_ENTERPRISE
                  Entry Name : SC66                   Enterprise Name : ITSO_ENTERPRISE

                  Action      Policy Name          Policy Description
                              DESCRIPTION          Enter description
                              LOCATION             Enter System location
                  S           SYSTEM INFO          Enter and display system information
                              INFO BRIDGE          Enter INFO Bridge resource name
                              APPLICATION GROUPS Select ApplicationGroups for System
                              VOLUME GROUPS        Select VolumeGroups for System
                              NETVIEW              Enter NetView-related information
                              AUTOMATION           Enter automation-related installed products
                              AUTOMATION CONSOLE Enter MVS route codes for notifications
                              AUTOMATION SETUP     Define system environment for automation
                              MINOR RESOURCES      Define sub-component flags
                              AUTOMATION TIMERS    Select Timers for System
                              NNT SESSIONS         Select NNT Sessions for System
                   F1=HELP      F2=SPLIT     F3=END       F4=RETURN    F5=RFIND     F6=RCHANGE
                   F7=UP        F8=DOWN      F9=SWAP     F10=LEFT     F11=RIGHT    F12=RETRIEVE


                Figure 30. SA OS/390 System Policy Selection panel

                System Info
                Select the SYSTEM INFO function to enter the System Information panel as
                shown in Figure 31 on page 85.




84   Automation Using Tivoli NetView OS/390 V1R3 and System Automation OS/390 V1R3
SA OS/390 System Information
 Command ===>

 Entry Type : System                        PolicyDB Name : ITSO_ENTERPRISE
 Entry Name : SC66                          Enterprise Name : ITSO_ENTERPRISE
                                                                            More:     +
 Update the following information:
    Operating system . . . . . MVS               MVS VM TPF VSE CF SNMP

 Update the following MVS SYSNAME information (MVS systems only):
    MVS SYSNAME. . . . . . . . SC66       MVS system name

 Enter or   update   the   following   system clone information (MVS systems only):
    Clone   Id . .   . .   . . . . .   66             &AOCCLONE.
    Clone   Id 1 .   . .   . . . . .   SC66           &AOCCLONE1.
    Clone   Id 2 .   . .   . . . . .   SC66A          &AOCCLONE2.
    Clone   Id 3 .   . .   . . . . .                  &AOCCLONE3.
    Clone   Id 4 .   . .   . . . . .                  &AOCCLONE4.
    Clone   Id 5 .   . .   . . . . .                  &AOCCLONE5.
    Clone   Id 6 .   . .   . . . . .                  &AOCCLONE6.

Figure 31. SA OS/390 System Information panel (1/2)

Within the System Information panel, it is possible to define additional clone
symbolics as already previously done at the System Definition panel. If
System Automation is used to automate an application that runs on more
than one OS/390 system in the sysplex environment, up to 10 Clone IDs can
be defined for each system. These Clone ID values are automatically
appended to the job name of a replicated application.

Again, in the ITSO environment, there were three clone symbolics defined for
each of the systems. For example, the following definitions were used for
SC66:
   AOCCLONE = 66
   AOCCLONE1 = SC66
   AOCCLONE2 = SC66A

Having defined these Clone IDs, all applications defined with the policy
setting CLONE=YES are set to be cloned at load time of the Automation
Control File (ACF).

Continue with PF8 for the second System Information panel.




                                   Chapter 5. Customization of System Automation for OS/390   85
SA OS/390 System Information
                  Command ===>

                  Entry Type : System                  PolicyDB Name : ITSO_ENTERPRISE
                  Entry Name : SC66                    Enterprise Name : ITSO_ENTERPRISE
                                                                                       More:   - +
                       Version and Release. . .   SA13       SA13 (for SA OS/390 Rel.3),
                                                             SV01 (for SA OS/390 Rel.2) or
                                                             V1R4 (for AOC/MVS Rel.4)
                     Heartbeat Interval . . . .   5          1 - 60 (minutes)
                     Missing Heartbeat Delay. .   30         1 - 3600 (seconds)
                     System use . . . . . . . .   FOCALPOINT FOCALPOINT TARGET

                  Update the following Enterprise Monitoring information for non-MVS systems:
                     Unique 5-character ID. . .            Unique ID, different from any
                                                           existing NetView domain name

                  Enter or update the following target system information for
                  Processor Operations functions (non-SNMP systems only):
                     ProcOps name . . . . . . . SC66       Processor Operations name
                   F1=HELP      F2=SPLIT     F3=END       F4=RETURN    F5=RFIND     F6=RCHANGE
                   F7=UP        F8=DOWN      F9=SWAP     F10=LEFT     F11=RIGHT    F12=RETRIEVE

                Figure 32. SA OS/390 System Information panel (2/2)

                The second System Information panel provides the following options to be
                set:
                 • Heartbeat interval
                   Specifies the time interval after which the SA system operations function
                   sends a generic alert from this system to the automation focal point
                   system. This parameter is used to verify the status forwarding path on the
                   multiple systems within the sysplex environment. The default value is five
                   minutes.
                 • Missing heartbeat delay
                   Specifies the time that the automation focal point system will wait after a
                   heartbeat was expected. If this time expires without receiving the
                   heartbeat, the automation focal point system will begin the missing
                   heartbeat process for the target system. The default value is 30 seconds.
                 • System use
                   Specifies whether this system functions as focal point or target system.
                   In the ITSO environment, the system object, SC66, is the automation focal
                   point system, and the system objects, SC42 and SC69, are target
                   systems.




86   Automation Using Tivoli NetView OS/390 V1R3 and System Automation OS/390 V1R3
These system information settings are allowed to be tailored based according
to individual environment requirements.

Application Groups
Select the Application Groups option on the main System Selection panel,
which is shown in Figure 31 on page 85, to enter the following Application
Groups Selection panel.


                  SA OS/390 ApplicationGroups for Systems           Row 1 to 8 of 8
  Command ===>                                                      SCROLL===> PAGE

  Entry Type : System                  PolicyDB Name : ITSO_ENTERPRISE
  Entry Name : SC66                    Enterprise Name : ITSO_ENTERPRISE

  Action      Status            ApplicationGroup
              SELECTED          DBDC
              SELECTED          NETWORK
              SELECTED          OPERATIONS
              SELECTED          SA_OS390
                                SC42_GENERIC
              SELECTED          SC66_GENERIC
                                SC69_GENERIC
              SELECTED          SYSTEM
  ******************************* Bottom of data *******************************




   F1=HELP       F2=SPLIT    F3=END        F4=RETURN     F5=RFIND      F6=RCHANGE
   F7=UP         F8=DOWN     F9=SWAP      F10=LEFT      F11=RIGHT     F12=RETRIEVE

Figure 33. SA OS/390 ApplicationGroups for Systems panel

This Application Groups Selection panel allows specifying the required
Application Groups, as defined in Section 5.3.3.2, “Creating an application
group” on page 77, for the particular system.

NetView
Select the NetView option on the main System Selection panel, which is
shown in Figure 31 on page 85, to enter the following NetView Information
panel.




                              Chapter 5. Customization of System Automation for OS/390   87
SA OS/390 NetView Information
                 Command ===>

                 Entry Type : System                    PolicyDB Name : ITSO_ENTERPRISE
                 Entry Name : SC66                      Enterprise Name : ITSO_ENTERPRISE

                 You can specify the following NetView-related information about
                 this system.

                    Sys-Ops NetView Domain.. SC66A        Name of the NetView domain
                                                          under which SA OS/390 System Operations
                                                          functions run
                    Sys-Ops NetView Network
                      Name. . . . . . . . .               Network name for System Operations
                                                          NetView domain

                    Network NetView Domain.               Name of the NetView domain
                                                          under which network automation runs


                  F1=HELP       F2=SPLIT      F3=END        F4=RETURN    F5=RFIND     F6=RCHANGE
                  F7=UP         F8=DOWN       F9=SWAP      F10=LEFT     F11=RIGHT    F12=RETRIEVE

                Figure 34. SA OS/390 NetView Information for Systems panel

                This NetView Information panel allows specifying the required System
                Automation NetView domain name. In the ITSO environment, the field
                Sys-Ops NetView Domain for system SC66 was set to SC66A.

                Automation Console
                Select the Automation Console option on the main System Selection panel,
                which is shown in Figure 31 on page 85, to enter the following Console
                Definition panel illustrated in Figure 35 on page 89.

                The automation console defines how the Write To Operator (WTO) messages
                issued by System Automation should look. The logical MVS Console IDs can
                be identified by issuing the MVS command D C on the SDSF Log screen.




88   Automation Using Tivoli NetView OS/390 V1R3 and System Automation OS/390 V1R3
SA OS/390 Environment Definition: CONSOLE (Route Codes)
  Command ===>

  Entry Type : System                   PolicyDB Name : ITSO_ENTERPRISE
  Entry Name : SC66                     Enterprise Name : ITSO_ENTERPRISE

  Enter information and select S the route codes for SA OS/390 notifications.
  Console ID ==> 01

  A Code     Definition
                                                                          More:
     All Display ALL messages
  S 1 Master console action
      2 Master console information
      3 Tape pool
      4 Direct access pool
      5 Tape library
      6 Disk library
      7 Unit record pool
      8 Teleprocessing control
   F1=HELP      F2=SPLIT     F3=END          F4=RETURN     F5=RFIND     F6=RCHANGE
   F7=UP        F8=DOWN      F9=SWAP        F10=LEFT      F11=RIGHT    F12=RETRIEVE

Figure 35. SA OS/390 Automation Console Definition panel (1/2)

The default logical MVS Console ID is 01, which was used within the ITSO
environment. Select any route codes by selecting S on the list for Master
console action and press Enter.


                   SA OS/390 Environment Definition: CONSOLE (MCSFLAGS)
   Command ===>

   Entry Type : System                  PolicyDB Name : ITSO_ENTERPRISE
   Entry Name : SC66                    Enterprise Name : ITSO_ENTERPRISE


   Select S the appropriate MCSFLAGS.

   A  Flag        Definition
     Number
   S   1 Send message conditionally to console
       2 Send message unconditionally to console
       3 Immediate command response (RESP)
   S   4 Reply to a WTOR (REPLY)
   S   5 Broadcast to all active consoles (BRDCST)
       6 Queue for hard copy only (HDRCPY)


Figure 36. SA OS/390 Automation Console Definition panel (2/2)

The MCSFLAGS panel will be displayed for further specifications. The chosen
settings in the ITSO environment shown in Figure 36 are:



                                Chapter 5. Customization of System Automation for OS/390   89
1. Send messages conditionally to console
                2. Reply to a WTOR
                3. Broadcast to all active consoles

                Automation Timer
                Automation Timers are sets of scheduled timers that run commands or
                automation procedures at scheduled times. Create a new set of timers based
                on specific needs.

                For creation of new timer settings, enter option 30 or TMR on the System
                Automation main entry selection panel illustrated in Figure 9 on page 64.
                Refer to the System Automation for OS/390 V1R3 Customization,
                GC28-1566, for a detailed description.

                Select the Automation Timers option on the main System Selection panel,
                which is shown in Figure 31 on page 85, to enter the Timers for Systems
                panel shown below.


                                           SA OS/390 Timers for System            Row 1 to 2 of 2
                 Command ===>                                                     SCROLL===> PAGE

                 Entry Type : System                  PolicyDB Name : ITSO_ENTERPRISE
                 Entry Name : SC66                    Enterprise Name : ITSO_ENTERPRISE

                 Action      Status            Timers
                                               SAMPLE_SHUTDOWN
                             SELECTED          SCHEDULED_AUTOMATION
                 ******************************* Bottom of data *******************************




                  F1=HELP       F2=SPLIT    F3=END        F4=RETURN    F5=RFIND      F6=RCHANGE
                  F7=UP         F8=DOWN     F9=SWAP      F10=LEFT     F11=RIGHT     F12=RETRIEVE

                Figure 37. SA OS/390 Timer for Systems panel

                On this selection panel, select SCHEDULED_AUTOMATION.

                MVS Component
                The MVS Component selection allows the user to apply automation to various
                OS/390 datasets, resources, and facilities. After defining a new MVS
                component, or using defaults, associate them with the specific system object.

                For creation of new MVS components, enter option 33 or MVS on the System
                Automation main entry selection panel illustrated in Figure 9 on page 64.




90   Automation Using Tivoli NetView OS/390 V1R3 and System Automation OS/390 V1R3
Refer to the System Automation for OS/390 V1R3 Customization,
GC28-1566, for a detailed description.

Select the MVS Component option on the main System Selection panel,
which is shown in Figure 31 on page 85, to enter the MVS Component for
Systems panel.


                            SA OS/390 MVS Component for System     Row 1 to 1 of 1
  Command ===>                                                     SCROLL===> PAGE

  Entry Type : System                  PolicyDB Name : ITSO_ENTERPRISE
  Entry Name : SC66                    Enterprise Name : ITSO_ENTERPRISE

  Action      Status            MVS Component
              SELECTED          MVS_COMPONENT
  ******************************* Bottom of data ********************************




   F1=HELP       F2=SPLIT    F3=END        F4=RETURN    F5=RFIND      F6=RCHANGE
   F7=UP         F8=DOWN     F9=SWAP      F10=LEFT     F11=RIGHT     F12=RETRIEVE

Figure 38. SA OS/390 MVS Component for Systems panel

For the ITSO environment, the default MVS_COMPONENT was selected.

Network
When multiple OS/390 systems are integrated and require consolidated
operations at one focal point system, use the focal point services to monitor
and control the systems. The Network policy object enables you to:
 • Define paths for sending messages, commands, or responses
 • Define primary and backup focal point systems
 • Define Gateway sessions connecting systems
 • Define user Terminal Access Facility (TAF)
 • Define user NNT sessions

For creation of the new Network policy objects, enter option 39 or NTW on the
System Automation main entry selection panel illustrated in Figure 9 on page
64. Refer to the System Automation for OS/390 V1R3 Customization,
GC28-1566, for a detailed description.

Select the Network option on the main System Selection panel, which is
shown in Figure 31 on page 85, to enter the following Network for Systems
panel.



                             Chapter 5. Customization of System Automation for OS/390   91
SA OS/390 Network for System           Row 1 to 2 of 2
                  Command ===>                                                     SCROLL===> PAGE

                  Entry Type : System                  PolicyDB Name : ITSO_ENTERPRISE
                  Entry Name : SC66                    Enterprise Name : ITSO_ENTERPRISE

                  Action      Status            Network
                              SELECTED          FOCAL_NETWORK
                                                TARGET_NETWORK
                  ******************************* Bottom of data *******************************




                   F1=HELP       F2=SPLIT    F3=END        F4=RETURN    F5=RFIND      F6=RCHANGE
                   F7=UP         F8=DOWN     F9=SWAP      F10=LEFT     F11=RIGHT     F12=RETRIEVE

                Figure 39. SA OS/390 Network for Systems panel

                For the ITSO environment, the Network policy objects FOCAL_NETWORK
                and TARGET_NETWORK have been created. For this particular focal point
                system SC66, select the FOCAL_NETWORK option, and for the target
                systems SC42 and SC69, select the option TARGET_NETWORK.

                Auto Operators
                Automation operators are automated operator tasks that can respond to
                messages from the operating system, applications, and the network
                environment without requiring a human interaction. This is necessary for
                system automation.

                Automation operators are assigned specific messages on which to react.
                During automated operations, the messages are routed to the appropriate
                operator by using the ASSIGN command.

                Create a new set of automation operators, or use the provided default set of
                automation operators, and link to the particular system object.

                Select the Auto Operator option on the main System Selection panel, which
                is shown in Figure 30 on page 84, to enter the following Auto Operators for
                Systems panel.




92   Automation Using Tivoli NetView OS/390 V1R3 and System Automation OS/390 V1R3
SA OS/390 Auto Operators for System Row 1 to 6 of 6
  Command ===>                                                  SCROLL===> PAGE

  Entry Type : System                  PolicyDB Name : ITSO_ENTERPRISE
  Entry Name : SC66                    Enterprise Name : ITSO_ENTERPRISE

  Action      Status            Auto Operators
                                BACKUP_OPERS
              SELECTED          BASE_AUTOOPS
                                BASE_AUTOOPS_IO
              SELECTED          FOCAL_OPERS
                                TARGET1_OPERS
                                TARGET2_OPERS
  ******************************* Bottom of data *******************************




   F1=HELP       F2=SPLIT    F3=END        F4=RETURN     F5=RFIND     F6=RCHANGE
   F7=UP         F8=DOWN     F9=SWAP      F10=LEFT      F11=RIGHT    F12=RETRIEVE

Figure 40. SA OS/390 Auto Operator for Systems panel

In the ITSO environment, the Auto Operators BASE_AUTOOPS and
FOCAL_OPERS were selected for the focal point system SC66. Select the
appropriate Auto Operators options on other system objects as needed.

Notify Operators
The Notify Operators option specifies which message types should be
highlighted (held) on specific operator screens. The options are:
 • Which operator should receive highlighted (held) notifications
 • What kind of messages are to be highlighted (held) for the operator:
     - Information
     - Eventual action
     - Immediate decision
     - System wait
     - Immediate action

Select the Notify Operators option on the main System Selection panel,
which is shown in Figure 30 on page 84, to enter the following Operator
Notification panel.




                              Chapter 5. Customization of System Automation for OS/390   93
SA OS/390 Operator Notification         Row 1 to 3 of 21
                  Command ===>                                                       SCROLL===> PAGE

                  Entry Type : System                   PolicyDB Name : ITSO_ENTERPRISE
                  Entry Name : SC66                     Enterprise Name : ITSO_ENTERPRISE

                  Enter operator information and select message type(s) to be held on screen.

                  Action : S = Select for message class assignment             Notify: Yes or No
                  Messages: S = Select messages to be held

                  A Operator        Operator             Notify   ---------- Messages ------------
                       ID          Description                    Information
                                                                      Eventual Action
                                                                          Immediate Decision
                                                                              System Wait
                                                                                  Immediate Action
                  S ITSO1                                 YES     S S S S S


                   F1=HELP       F2=SPLIT     F3=END        F4=RETURN    F5=RFIND      F6=RCHANGE
                   F7=UP         F8=DOWN      F9=SWAP      F10=LEFT     F11=RIGHT     F12=RETRIEVE

                Figure 41. SA OS/390 Operator Notification for Systems panel

                Assuming the NetView operator, ITSO1, is the responsible operator, specify
                the Notify option for ITSO1 to YES and select the appropriate message type
                to be highlighted (held) with S in the specific message column.

                After completion of this Operator Notification panel, the user will be prompted
                to specify a Message Class option. Set the response to ALL console
                automation messages.

                5.3.3.4 Creating a subgroup
                A subgroup is an intermediary grouping of systems within a larger group.
                Define a subgroup to a system object by selecting a member system and
                assigning the name of the subgroup. Subgroups do not need to be defined,
                but it may be useful in large enterprise environments.

                Assuming the ITSO’s focal point system is located in Dallas, and target
                systems are located in Austin, then two geographical subgroups are going to
                be created: One subgroup for the focal point system and one subgroup for the
                target systems.

                For creation of new subgroup objects, enter option 3 or SBG on the System
                Automation main entry selection panel, illustrated in Figure 9 on page 64, to
                enter the following SubGroup policy panel.




94   Automation Using Tivoli NetView OS/390 V1R3 and System Automation OS/390 V1R3
SA OS/390 Entry Selection               Row 1 to 2 of 2
Command ===> NEW DALLAS_MVS                                           SCROLL===> PAGE

Entry Type : SubGroup                  PolicyDB Name : ITSO_ENTERPRISE
                                       Enterprise Name : ITSO_ENTERPRISE

Action      Entry Name             C Short Description
            AUSTIN_MVS                Austin MVS Images Geographic SubGroup
            DEFAULTS                  SubGroup default policy
******************************* Bottom of data ********************************



 F1=HELP         F2=SPLIT    F3=END        F4=RETURN      F5=RFIND      F6=RCHANGE
 F7=UP           F8=DOWN     F9=SWAP      F10=LEFT       F11=RIGHT     F12=RETRIEVE

Figure 42. SA OS/390 SubGroup Selection panel

Creating a new Subgroup
Enter the NEW DALLAS_MVS command to create a subgroup named
DALLAS_MVS. A SubGroup Policy Selection panel for the new subgroup is
displayed as illustrated in Figure 43.


                              SA OS/390 Policy Selection             Row 1 to 10 of 10
  Command ===>                                                         SCROLL===> PAGE

  Entry Type : SubGroup                 PolicyDB Name : ITSO_ENTERPRISE
  Entry Name : DALLAS_MVS               Enterprise Name : ITSO_ENTERPRISE

  Action      Policy Name          Policy Description
              DESCRIPTION          Enter description
              SUBGROUP INFO        Display Subgroup information
              LOCATION             Enter SubGroup location
  S           SYSTEMS              Select Systems for SubGroup
              -------------------- ---------------------------------------------
              WHERE USED           List Groups linked to this entry
              USED IN VIEWS        List OperatorViews linked to this entry
              COPY                 Copy data from an existing entry
              -------------------- ---------------------------------------------
              PROPAGATION THRESH Define thresholds for propagation of status
  ******************************* Bottom of data *******************************


   F1=HELP        F2=SPLIT    F3=END         F4=RETURN     F5=RFIND       F6=RCHANGE
   F7=UP          F8=DOWN     F9=SWAP       F10=LEFT      F11=RIGHT      F12=RETRIEVE

Figure 43. SA OS/390 SubGroup Policy Selection panel

As the focal point location, DALLAS_MVS must include the designated focal
point system SC66. Select the SYSTEMS option and enter the appropriate
systems to the specific subgroup as shown in Figure 44 on page 96.



                              Chapter 5. Customization of System Automation for OS/390   95
SA OS/390 Systems for SubGroup         Row 1 to 3 of 3
                Command ===>                                                     SCROLL===> PAGE

                Entry Type : SubGroup                PolicyDB Name : ITSO_ENTERPRISE
                Entry Name : DALLAS_MVS              Enterprise Name : ITSO_ENTERPRISE

                Action      Status            System
                                              SC42
                S                             SC66
                                              SC69
                ******************************* Bottom of data *******************************



                 F1=HELP       F2=SPLIT    F3=END        F4=RETURN    F5=RFIND     F6=RCHANGE
                 F7=UP         F8=DOWN     F9=SWAP      F10=LEFT     F11=RIGHT    F12=RETRIEVE

                Figure 44. SA OS/390 SubGroup Systems Selection panel

                When the subgroup has been created, it needs to be linked to the sysplex
                group.

                5.3.3.5 Creating a group
                A group is the largest subdivision of a System Automation enterprise
                environment. It is a set of systems, and/or subgroups, that can be associated
                with one another for the purpose of monitoring with the System Automation
                graphic interface or for System Automation processor operation functions.

                An System Automation enterprise may consist of many groups, each
                consisting of one or more systems and subgroups. Define a group by
                selecting the member systems and subgroups and assigning a name to the
                group.

                The status of a group depends on the status of the systems and applications
                it is comprised of.

                For creation of new group objects, enter option 2 or GRP on the System
                Automation main entry selection panel, illustrated in Figure 9 on page 64, to
                enter the following Group Entry Selection panel.




96   Automation Using Tivoli NetView OS/390 V1R3 and System Automation OS/390 V1R3
SA OS/390 Entry Selection                  Row 1 to 3 of 3
Command ===> NEW USSOUTH_SINGLE                                        SCROLL===> PAGE

Entry Type : Group                        PolicyDB Name : ITSO_ENTERPRISE
                                          Enterprise Name : ITSO_ENTERPRISE

Action      Entry Name             C Short Description
            DEFAULTS                  Group default policy
            USNORTH_SINGLE            USNORTH Group of Single MVS Images
            USNORTH_SYSPLEX_001       USNORTH Group of Sysplex MVS Images
******************************* Bottom of data *******************************



 F1=HELP        F2=SPLIT        F3=END        F4=RETURN     F5=RFIND     F6=RCHANGE
 F7=UP          F8=DOWN         F9=SWAP      F10=LEFT      F11=RIGHT    F12=RETRIEVE

Figure 45. SA OS/390 Group Entry Selection panel

Enter the NEW USSOUTH_SINGLE command to create a new group named
USSOUTH_SINGLE. A Group Definition Entry panel for the new group is
displayed as illustrated in Figure 46.


                                SA OS/390 Define New Entry
 Command ===>

 To define a new entry, specify the following information:
    Type. . . . . . . . . . Group
    Name. . . . . . . . . . USSOUTH_SINGLE

    Group Type . . . . . . . STANDARD          STANDARD SYSPLEX

    ProcOps Commands . . . . NO                Group is valid for Processor
                                               Operations commands (YES/NO)

    Short Description . .   .
    Extended Description.   .
                        .   .
                        .   .
                        .   .
                        .   .


  F1=HELP       F2=SPLIT        F3=END         F4=RETURN    F5=RFIND      F6=RCHANGE
  F7=UP         F8=DOWN         F9=SWAP       F10=LEFT     F11=RIGHT     F12=RETRIEVE

Figure 46. SA OS/390 Define New Group Entry panel

For the ITSO environment, the following three groups were created:
 • USNORTH_SYSPLEX_001
   Defined as a sysplex group type


                                 Chapter 5. Customization of System Automation for OS/390   97
• USNORTH_SINGLE
                   Defined as a standard group type
                 • USSOUTH_SINGLE
                   Defined as a standard group type

                After creation of all three groups, the following Group Entry Selection panel,
                shown in Figure 47, shows the complete list of all defined System Automation
                groups.


                                            SA OS/390 Entry Selection            Row 1 to 4 of 4
                Command ===>                                                     SCROLL===> PAGE

                Entry Type : Group                 PolicyDB Name : ITSO_ENTERPRISE
                                                   Enterprise Name : ITSO_ENTERPRISE

                Action      Entry Name             C Short Description
                            DEFAULTS                  Group default policy
                            USNORTH_SINGLE            USNORTH Group of Single MVS Images
                            USNORTH_SYSPLEX_001       USNORTH Group of Sysplex MVS Images
                            USSOUTH_SINGLE
                ******************************* Bottom of data ********************************


                Figure 47. SA OS/390 System Automation Groups for ITSO project


5.3.4 Building SA Automation Control File (ACF)
                After all customizations have been completed, it is necessary to build the
                automation policy objects from the data entered into the System Automation
                policy database. In the following sections, the RODM loader input file and
                Automation Control File (ACF) will be built. A set of automation control file
                fragments is also used to add them into System Automation start-up
                procedure.

                Only some the System Automation customization dialog can be used to
                complete this task of building the object files. The following System
                Automation dialog panels allow to perform these functions:
                   1. PolicyDB Selection panel
                   2. Entry Type Selection panel
                   3. Entry Selection panel

                5.3.3.6 Build from the PolicyDB Selection panel
                Using the PolicyDB Selection panel provides the option to build all enterprise
                System Automation policy objects or a part of policy objects. To enter the



98   Automation Using Tivoli NetView OS/390 V1R3 and System Automation OS/390 V1R3
Build Functions Menu panel, shown in Figure 48 on page 99, enter the BUILD
command on the command line. If several SA policy databases are defined,
the BUILD command must be followed by the specific SA policy database
name.

The following Build Functions Menu will appear when entering the command:
   BUILD ITSO_ENTERPRISE



                          SA OS/390 Build Functions Menu
Command ===> 4

  1   ALL                       -   Build   all files
  2   RODM                      -   Build   RODM loader input files
  3   Proc-Ops                  -   Build   Processor Control File
  4   ACF                       -   Build   automation control file
  5   NetView/VTAM              -   Build   NetView and VTAM information
  6   PS/2 Profiles             -   Build   PS/2 profile information
      PS/2 profile data set.   .


Figure 48. SA OS/390 Build Functions Menu panel

From this Build Functions Menu, it is possible to build every SA automation
object file. For this example, building the SA automation control file, select the
4 - ACF option to enter the specific BUILDF Parameters panel as illustrated in
Figure 49.




                                    Chapter 5. Customization of System Automation for OS/390   99
SA OS/390 BUILDF Parameters
              Command ===>

              PolicyDB Name : ITSO_ENTERPRISE
              Enterprise Name : ITSO_ENTERPRISE
                                                                                 More:     +
              Specify   information about
                                        the BUILD request:
                Build   Output Dataset. .
                                        'NETVUSER.SYSTEM.ACF1'
                Build   Mode. . . . . . .
                                        ONLINE       ONLINE     BATCH
                Build   Type. . . . . . .
                                        ALL          MODIFIED ALL
              Specify   information about
                                        the entry(s) that are to be processed:
                Entry   Type. . . . . . .
                                        APL          Enter three character entry type
                                                     or * to process all entry types
                                                     or ? to display list of entry types
                Entry Name. . . . . . . GMFHS                 Enter entry name
                                                     or * to process all entries
                                                     or ? to display list of entry names
                Re-build ACF. . . . . . YES          YES        NO
                Flag ICL's. . . . . . . YES          YES        NO
              Specify JOB statement to be used for BATCH builds:
               F1=HELP      F2=SPLIT     F3=END       F4=RETURN    F5=RFIND     F6=RCHANGE
               F7=UP        F8=DOWN      F9=SWAP     F10=LEFT     F11=RIGHT    F12=RETRIEVE

             Figure 49. SA OS/390 ACF BUILDF Parameters panel

               The BUILDF Parameters panel provides several choices for the specific build
               method and entry ranges. The following selection fields are to be determined
               based on the automation environment:
                 • Build Mode
                   Select ONLINE for foreground, or BATCH for background job processing.
                 • Build Type
                   Select MODIFIED for only those entries that have been changed since last
                   build request, or ALL for all eligible entries that will be processed.
                 • Entry Type
                   * For all entry types, or specify a specific entry type (for example, APL).
                 • Entry Name
                   * For all entries, or specify a specific entry name (for example, GMFHS).

               5.3.3.7 Build from the Entry Type Selection panel
               To enter the Build Functions Menu panel, shown in Figure 48 on page 99,
               from the SA OS/390 Entry Type Selection panel, enter the BUILD command
               on the command line.

               For immediate invocation of the ACF BUILDF Parameters panels, use the
               BUILDF command on the command line. It is necessary to specify, as a


100   Automation Using Tivoli NetView OS/390 V1R3 and System Automation OS/390 V1R3
parameter to the BUILDF command, the three letter identifier for the policy
            object that is to be build. For example, enter:
                BUILDF SYS

            to build all defined system objects defined to the SA policy database.

            5.3.3.8 Build from the Entry Selection panel
            When entering any Entry Selection panel, for example, for applications or
            systems, it is possible to enter the BUILDF Parameters panel for that
            particular object by selecting the action keyword F in front of the individual
            object.

            For example, when selecting 6 - APL (Applications) from the Entry Type
            Selection panel to enter the Entry Selection panel for applications as shown
            in Figure 53 on page 105, it is possible to start the BUILD process for JES2
            by typing F in front of JES2 and pressing ENTER.


                                         SA OS/390 Entry Selection         Row 1 to 13 of 29
            Command ===>                                                     SCROLL===> PAGE

            Entry Type : Application            PolicyDB Name : ITSO_ENTERPRISE
                                                Enterprise Name : ITSO_ENTERPRISE

            Action      Entry Name              C Short Description
                        *SYSTEM                   Special system job
                        APPC                      APPC/MVS automation policy
                        ASCH                      ASCH automation policy
                        DEFAULTS                  Application default policy
                        GENERIC_CLASS           * Generic MVS Tasks Definition
                        GMFHS                     Graphical Monitoring Facility definition
                        GMFHS_CLASS             * GMFHS Defaults
                        IO_OPERATIONS             I/O Operations functions main component
            F           JES2                      JES2 policy definition
                        LLA                       LLA automation policy
                        NETVIEW_CLASS           * Netview Defaults
                        NETVSA                    Automation NetView definition
                        NETWORK_GMFHS             Network GMFHS


           Figure 50. SA OS/390 Entry Selection panel


5.3.5 Build RODM loader input file
            To enter the Build Functions Menu panel, shown in Figure 51, enter one of the
            previously described methods. As an example, enter the Entry Type Selection
            panel for the appropriate SA policy database (ITSO_ENTERPRISE) and
            issue the BUILD command on the command line.




                                         Chapter 5. Customization of System Automation for OS/390   101
SA OS/390 Build Functions Menu
               Command ===> 2

                 1   ALL                       -   Build   all files
                 2   RODM                      -   Build   RODM loader input files
                 3   Proc-Ops                  -   Build   Processor Control File
                 4   ACF                       -   Build   automation control file
                 5   NetView/VTAM              -   Build   NetView and VTAM information
                 6   PS/2 Profiles             -   Build   PS/2 profile information
                     PS/2 profile data set.   .


             Figure 51. SA OS/390 Build Functions Menu panel

               Select the 2 - RODM option from Build Functions Menu, and the RODM Load
               Function panel will be displayed as illustrated in Figure 52 on page 102.


                                                   SA OS/390 Build Menu
               Command ===>

                 1 BUILDR                - Build RODM loader input files
                   Enterprise . . . . . . ITSO_ENTERPRISE
                   Output data set. . . . 'NETVUSER.SYSTEM.LOADRODM'
                 2 SUBMIT                - Submit job to process BUILD output
                                           through RODM loader

                 B BROWSE                     - Browse output data set         All the "LOADxxxx"
                 E EDIT                       - Edit output data set           members are output



              Figure 52. SA OS/390 RODM Build panel

               On this RODM Build Menu, it is possible to specify the output dataset for the
               RODM Build function. This dataset name should match the input dataset
               name specified in the RODM start-up procedure and RODM load job
               INGELOAD of the automation environment.

               The RODM load job INGELOAD is designed for SA functionality. It is
               necessary to customize this job accordingly before submitting it.

               The following RODM policy object members will be created after the RODM
               build function is called. Some important members and their functions are
               described as follows:
                 • LOADINS0
                     This file contains the instance definitions for all systems. The instance
                     loader file defines all instances of both the System Automation and the
                     NetView GMFHS classes.


102   Automation Using Tivoli NetView OS/390 V1R3 and System Automation OS/390 V1R3
• LOADSTR0
              This structure loader file contains the class definitions for System
              Automation for OS/390 object classes.
            • LOADxxxx
              These files contain instance definitions for the one particular target system
              only.
            • AOFACFMP
              This member contains an indication as to how the system is used as a
              focal point or target system.


5.4 Defining dependencies and start-up behavior
           The applications on OS/390 are composed of resources distributed over
           different system images, especially in a sysplex environment, where the
           workload could be beyond the capacity of a single system. Management for
           those separated and distributed applications over several systems becomes
           critical within a sysplex environment.

           System Automation is able to automate complex relationships among
           different applications and control their operations within the given systems.
           One of the key automation controls in System Automation for OS/390 is the
           hierarchy concept of a parent/child relationship. It is possible to define a
           subsystem on one system as to be the parent or child of a subsystem of
           another system in the sysplex environment. Once this relationship is
           established, System Automation will not start one child subsystem unless all
           parent subsystems are started and active. Only if the parent subsystems
           have the status UP or ENDED, will System Automation try to start all of the
           defined children subsystems (assuming that their automation flags are set to
           allow automated operation).

           Likewise, when stopping a subsystem, System Automation will use the
           parent/child relationship to determine which subsystem is to shutdown and in
           which sequence the shutdown process has to take place.

5.4.1 Define dependencies
           Within System Automation for OS/390, it is required to define separate
           dependencies for starting and stopping applications or subsystems.

           The parent field at the Application Policy Entry panel allows to specify which
           applications or subsystems need to be available before the given application



                                    Chapter 5. Customization of System Automation for OS/390   103
can be started. Specify only those applications or subsystems upon which the
               given application has an immediate dependency.

               For any automated application, the System Automation engine can capture its
               related messages and set the application status to UP when its start-up
               process is successfully completed. Once the specific application or
               subsystem status is UP, System Automation continues to start the dependent
               children applications.

               For this purpose, it is necessary to maintain the SA automation table
               AOFMSG01 or create and include the new (self coded) automation table
               member for migration purposes. Within AOFMSG01, all key messages for the
               automated applications need to be defined and maintained according to the
               specific automation requirements. For example, the message, IST020I,
               indicates that the VTAM initialization process is complete, and System
               Automation can set the status for VTAM to UP when it captures this message.
               After VTAM is set to status UP, System Automation will start up defined
               children subsystems of VTAM, such as TSO, TCPIP, and so on.

               The AOFMSG01 is the master automation table that includes several other
               automation tables specific for applications defined to System Automation.
               The included automation table members consist of start-up, shutdown, or
               reply messages for the particular application.

               The automation table, AOFMSG01, as it is shipped by default with System
               Automation, already contains most of the OS/390 subsystems or applications.
               If a fragment for a new application is to be added, include a new automation
               table member with its basic messages for its start-up and shutdown
               completion defined into AOFMSG01.

               The automation table, AOFMSG01, takes over automation from DSITBL01 or
               AOFMSG00 after the Automation Control File (ACF) is loaded.

               The policy to define dependencies depends on your system environment and
               automation requirements. The application dependency is defined when
               maintaining the Application Policy definitions.

               For example, when defining the TCPIP application as shown in Figure 53, it is
               necessary to define its parent subsystem VTAM.




104   Automation Using Tivoli NetView OS/390 V1R3 and System Automation OS/390 V1R3
SA OS/390 Application Automation Definition
  Command ===>

  Entry Type : Application            PolicyDB Name : NEW1
  Entry Name : TCPIP                  Enterprise Name : ITSO_ENTERPRISE

  Subsystem : TCPIP
  Description :

  Job Name            : TCPIPMVS
                                                                      More:        +
  JobType . . . . . . MVS          (MVS NONMVS TRANSIENT)
  Transient Rerun . .              Transient Jobtype can be rerun (YES or NO)
  Command Prefix . .               Console command character(s)

  Sysname . . . . . . SC66         JES Sysname
  Parent(s) . . . . . VTAM
                                   Enter one or more parents (above)

  Start on IPL . . . .             Started after IPL      (YES NO NONE blank)
   F1=HELP      F2=SPLIT      F3=END       F4=RETURN     F5=RFIND     F6=RCHANGE
   F7=UP        F8=DOWN       F9=SWAP     F10=LEFT      F11=RIGHT    F12=RETRIEVE

Figure 53. SA OS/390 Application Automation Definition panel

A subsystem or application may have one or more parents and can also have
one or more children. This relationship completely depends on the start-up
logic and sequence required for the individual OS/390 environment. For the
given example of the subsystem, VTAM, the subsystems TCPIP and TSO are
only allowed to start after successful completion of VTAM initialization.

             Note
 Be careful to avoid creating loop dependencies for applications when
 defining applications within a sysplex environment.


In the ITSO environment, dependencies were defined among all automated
applications for the focal point system SC66 and the target systems SC42
and SC69.

To obtain the dependency relationship among the automated applications,
use the System Automation DISPTREE command. The dependency tree, as
shown in Figure 54, demonstrate the relationship on the focal point system
SC66.




                             Chapter 5. Customization of System Automation for OS/390   105
AOFKTREE                 SA OS/390 - Command Dialogs       Line 1     of 19
                  Domain ID = SC66A        -------- DISPTREE ----------      Date = 12/11/99
                  Operator ID = GAO                                          Time = 12:29:50

                   Subsystem ==>               System ==>

                    SC66          --+
                           DEFAULTS    --+
                                SUBSYSTEM --+
                                     VLF        --+
                                          LLA        --+
                                              SSISA
                                               +-- NETVSA
                                                    +-- JES2
                                                    |    +-- VTAM
                                                    |         +-- SSIAON
                                                    |         |    +-- NETVAON
                                                    |         |         +-- RODMAON
                                                    |         |              +-- GMFHSAON
                                                    |         +-- TCPIP
                                                    |         +-- APPC
                                                    |         |    +-- ASCH
                                                    |         +-- TSO
                                                    +-- RODMSA
                                                         +-- GMFHSSA


                  Command ===>
                   PF1=Help    PF2=End      PF3=Return      PF4=Focus     PF5=Info        PF6=Roll
                   PF7=Back                 PF9=Refresh                   PF11=Right PF12=Retrieve

               Figure 54. SA OS/390 Application Dependencies for Focal Point System SC66


5.4.2 Define start-up behavior
               All applications automated by System Automation may have different start-up
               behavior. Use different start-up policies to automate the particular
               applications. For example, define Start on IPL, Start on Recycle, or a specific
               Startup Policy as illustrated in Figure 55 on page 107.




106   Automation Using Tivoli NetView OS/390 V1R3 and System Automation OS/390 V1R3
SA OS/390 Application Automation Definition
  Command ===>

  Entry Type : Application            PolicyDB Name : NEW1
  Entry Name : TCPIP                  Enterprise Name : ITSO_ENTERPRISE

  Subsystem : TCPIP
  Description :

  Job Name           : TCPIPMVS
                                                                        More:    - +

  Sysname . . . . . . SC66         JES Sysname
  Parent(s) . . . . . VTAM
                                   Enter one or more parents (above)

  Start on IPL . . . .           Started after IPL     (YES NO NONE blank)
  Start on Recycle . .           Started after recycle (YES NO NONE blank)
  Startup . . . . . . MVSSTART Startup control (MVSSTART PARENT CUSTOMER)
    Edit startup . . . NO        Edit startup parameters (YES NO)
   F1=HELP      F2=SPLIT    F3=END       F4=RETURN    F5=RFIND     F6=RCHANGE
   F7=UP        F8=DOWN     F9=SWAP     F10=LEFT     F11=RIGHT    F12=RETRIEVE

Figure 55. SA OS/390 Define Start Behavior for TCPIP

Considering system dependencies for automated applications, several
choices are available to start applications. In the given example of the
application TCPIP, select whether TCPIP is to start at system IPL and/or after
recycle by System Automation. In addition, specify start-up criteria using the
Startup field. Options for this field are:
 • MVSSTART
   Indicates this application uses the MVS START command. For example,
   the MVS S <jobname> command is issued for this application subsystem. For
   editing additional start-up parameters, set the Edit startup field to YES, for
   example, to add the command string, ‘ ,SUB=MSTR’.
 • CUSTOMER
   Indicates this application is to be started by a customized MVS command.
   Create the start-up parameters by setting the Edit startup field to YES and
   enter the appropriate start-up command, for example, ’=STA DB2’.
 • PARENT
   Indicates this application is directly started by its parent, and does not
   need the start-up command.

In the ITSO environment, the application TCPIP has the parent VTAM, but is
started using the MVS START command; so, the keyword, MVSSTART, is
selected.


                             Chapter 5. Customization of System Automation for OS/390   107
5.5 Customizing the Status Display Facility (SDF)
               The Status Display Facility, a function of System Automation, is used to
               monitor system resources on the focal point system as well as on other
               targets systems. The SDF reads and captures resource objects from System
               Automation policy database and monitors such resources on the Automation
               NetView. The defined resources and their status information are represented
               by different colors.

               To use SDF for monitoring resources, it is necessary at first to define the SDF
               panel and structure tree. After the System Automation policy database is
               established, the user can work with the subsystem resources from the
               System Automation policy database.

               During the initialization process of System Automation for OS/390, the
               AOFTDDF task loads SDF definition members for the panel format, panel
               flow, and its tree structure. Change the following members for SDF in the
               NetView DSIPARM library to have them reflect the specific system
               automation items.

               The member AOFINIT defines parameters common to all SDF panels and
               basic initialization specifications, such as screen size, default function keys,
               and the initial screen displayed when a SDF session is started.

               The member AOFTREE includes the SDF status tree, and the member
               AOFPNLS includes the panel tree for SDF.

5.5.1 Customizing the panel member AOFPNLS
               The member AOFPNLS defines SDF status panels using specific panel
               definition statements. Panels can either be loaded automatically when SDF
               starts, or dynamically loaded using the SDF PANEL command. For panels to
               be loaded automatically, add an %INCLUDE statement, specifying the
               particular panel definition member, to the main panel definition member
               AOFPNLS in the NetView DSIPARM library.

               For the ITSO environment, with its focal point system and the two target
               systems, the following %INCLUDE statements were added to the main SDF
               panel member AOFPNLS:
                 •%INCLUDE(AOFPSYST)
                 •%INCLUDE(AOFPSC66)
                 •%INCLUDE(AOFPSC69)
                 •%INCLUDE(AOFPSC42)



108   Automation Using Tivoli NetView OS/390 V1R3 and System Automation OS/390 V1R3
The panel AOFPSYST represents the SDF main panel, while the other
 included members represent each of the system objects.

 The following example SDF panel member, AOFPSYST, shown in Figure 56,
 represents the main panel definitions for the ITSO environment. It specifies
 the entry panel that is displayed when issuing the SDF command in the
 Automation NetView environment.


  P(SYSTEM,24,80)
  TF(01,02,10,WHITE,NORMAL)
  TT(SYSTEM)
  TF(01,23,58,WHITE,NORMAL)
  TT(SA OS/390 - SUPPORT SYSTEMS)
  TF(03,05,10,T,U)
  TT(System)
  SF(SC66,05,05,10,N,,SC66)
  ST(SC66)
  SF(SC69,07,05,10,N,,SC69)
  ST(SC69)
  SF(SC42,09,05,10,N,,SC42)
  ST(SC42)
  TF(03,14,24,T,U)
  TT(Subsystems)
  SF(SC66.APPLIC,05,14,24,N,,SC66,Q1)
  SF(SC69.APPLIC,07,14,24,N,,SC69,Q1)
  SF(SC42.APPLIC,09,14,24,N,,SC42,Q1)
  TF(03,27,34,T,U)
  TT(WTORs)
  SF(SC66.WTOR,05,27,34,N,,SC66,1)
  SF(SC69.WTOR,07,27,34,N,,SC69,1)
  SF(SC42.WTOR,09,27,34,N,,SC42,1)
  TF(03,37,45,T,U)
  TT(Gateways)
  SF(SC66.GATEWAY,05,37,45,N,,SC66,1)
  SF(SC69.GATEWAY,07,37,45,N,,SC69,1)
  SF(SC42.GATEWAY,09,37,45,N,,SC42,1)
  TF(03,48,58,T,U)
  TT(Spool)
  SF(SC66.SPOOL,05,48,58,N,,SC66,1)
  SF(SC69.SPOOL,07,48,58,N,,SC69,1)
  SF(SC42.SPOOL,09,48,58,N,,SC42,1)
  TF(03,61,69,T,U)
  TT(MVS Comps)
  SF(SC66.MVSCOMP,05,61,69,N,,SC66,1)
  SF(SC69.MVSCOMP,07,61,69,N,,SC69,1)
  SF(SC42.MVSCOMP,09,61,69,N,,SC42,1)
  TF(24,01,47,T,NORMAL)
  TT(1=HELP 2=DETAIL 3=RETURN 6=ROLL    8=NEXT SCR)
  TF(24,48,79,T,NORMAL)
  TT( 10=LEFT 11=RIGHT 12=TOP)
  EP


Figure 56. SDF Main panel member AOFPSYST




                            Chapter 5. Customization of System Automation for OS/390   109
The following objects were part of the ITSO System Automation environment
               and defined to the SDF:
                 • System
                 • Subsystem
                 • WTORS
                 • Gateways
                 • Spool
                 • MVS Comps

5.5.2 Customizing the status member AOFTREE
               The System Display Facility uses a tree structure to set up the hierarchy of
               the monitored resources displayed on the SDF status panels. A SDF tree
               structure starts with the system name that is defined in the SA policy
               database as the root node, and it has the level number 1.

               Tree structure subordinate levels to the root node are the monitored
               resources. The level numbers of these resources reflect their dependency on
               each other. The member, AOFTREE, in the ITSO environment, includes the
               following members:
                 •%INCLUDE(AOFTSC66)
                 •%INCLUDE(AOFTSC42)
                 •%INCLUDE(AOFTSC69)

               According to the definitions of ITSO System Automation policy database, the
               symbolic &AOCCLONE1. is the root node name for each system. A generic
               set of applications were selected as automated objects so that each system
               has the same resource types for SDF monitoring.

               The following list represents the resource hierarchy of the focal point member,
               AOFTSC66:
                   1 SC66
                     2 SYSTEM
                       3 APPLIC
                         4 SUBSYS
                     2 WTOR
                     2 SPOOL
                     2 GATEWAY
                     2 MVSCOMP




110   Automation Using Tivoli NetView OS/390 V1R3 and System Automation OS/390 V1R3
5.5.3 Defining SDF gateways
            To monitor the resources on the multiple systems within a sysplex
            environment, it is necessary to define gateway policies to the System
            Automation policy database in order to forward automation information
            between target systems and the focal point system.

            In the ITSO environment, a gateway for each system was defined. The
            gateway name was specified to GAT&AOCCLONE2. to take advantage of
            SA’s clone symbolics representing the particular NetView domain name, for
            example, SC66A for the focal point system SC66.

5.5.4 Starting the SDF monitor
            Since the NetView data service task AOFTDDF supports the SDF feature,
            ensure the autotask AOFTDDF is up and running before starting SDF. In
            order to start the autotask, AOFTDDF, issue the following NetView command:
               START TASK=AOFTDDF

            To start the SDF environment, issue the NetView SDF command. The
            example screen displayed in Figure 57 represents the SDF main panel of the
            ITSO environment.




           Figure 57. SDF Main panel of the ITSO environment




                                        Chapter 5. Customization of System Automation for OS/390   111
The SDF main panel shows three lines representing the system objects
               (SC66, SC69, and SC42). Each system row is divided into subsystems,
               WTORs, gateways, spool, and MVS components.

               For detailed information about one system, place the cursor on its row and
               press PF2. The screen shown in Figure 58 demonstrates the information
               available for the focal point system SC66.




             Figure 58. Detail information about the Focal Point System SC66

               This displays all subsystems as defined in the System Automation policy
               database, the OS/390 spool, and gateways to other systems. All monitored
               resources are currently active, which is represented by the green color.

               Further information about specific monitored resources can be obtained by
               placing the cursor on the particular object and pressing PF2.

               The following g screen illustrated in Figure 59 on page 113 details the
               information for the spool object JES2.




112   Automation Using Tivoli NetView OS/390 V1R3 and System Automation OS/390 V1R3
Figure 59. Detail information about the Spool Object JES2

 It provides information for JES2 of its spool utilization status.




                               Chapter 5. Customization of System Automation for OS/390   113
114   Automation Using Tivoli NetView OS/390 V1R3 and System Automation OS/390 V1R3
Chapter 6. Installation of the NetView Management Console

                  This chapter describes the installation and setup of the NetView Management
                  Console (NMC) server and client workstation. It details the necessary steps
                  to connect to Tivoli NetView for OS/390 and between the NMC server and
                  client workstations.

                  In addition to NMC, the functionality allowing the user to access and issue
                  commands to NetView from the Web along with the setup and basic usage of
                  the NetView 3270 Management Console will be covered.

                  The following files shown in Table 24 were used as main references to assist
                  in the setup and customization of the various procedures included in this
                  chapter and may be helpful in future trouble shooting if the need arises.
                  Table 24. Main reference files to consult

                    File Name                                 Description

                    egvread1.me                               NMC Topology Console from Tivoli
                                                              NetView CD readmeenu

                    egvread2.me                               NMC Topology Server from Tivoli NetView
                                                              CD readmeenu

                    flbread1.me                               NetView 3270 Management Console from
                                                              Tivoli Netview CD readmeenu

                    Redbook: An Introduction to Tivoli        Chpt 6 - “MVS TCP/IP Support”
                    NetView for OS/390 V1R2, SG24-5224        Chpt 9 - “NetView Management Console”
                                                              Chpt 14 - “NetView 3270 Java Client”
                                                              Chpt 15 - “Web Access to NetView/390”

                    Redbook: Parallel Sysplex Automation:     Chpt 6 - “Using the Graphical Interface to
                    Using System Automation for OS/390,       Manage SA on OS/390”
                    SG24-5442

                    nmcpdf.zip                                IBM Web site: Systems Automation
                                                              homepage, download section using SA for
                                                              OS/390

                  These references have been obtained as of December, 1999. Access at any
                  time to the most up to date references to any of the Tivoli NetView for OS/390
                  or System Automation for OS/390 related topics may be obtained via the Web
                  at the following URL addresses:
                      http://www.tivoli.com/nv390
                      http://www.s390.ibm.com/sa




© Copyright IBM Corp. 2000                                                                           115
The diagram shown in Figure 60 summarizes the following topics covered by
               this chapter:
                 • NMC Server setup
                 • NMC Client setup
                 • Web access to NetView OS/390
                 • NetView 3270 Management Console (Java)




               Figure 60. Addressed topics about the NMC, Web access, and Java console




116   Automation Using Tivoli NetView OS/390 V1R3 and System Automation OS/390 V1R3
6.1 Prerequisites for NetView Management Console Version 1.3
            For a detailed description of all software and hardware requirements, refer to
            the Readme file available on the Tivoli NetView for OS/390 CD distribution
            media (/readme/enu/egvread2.html) or the latest Readme file available
            directly on the Tivoli NetView for OS/390 Web support page
            (http://www.tivoli.com/nv390).


6.2 Setting up the NMC Server
            This section contains information about the NetView Management Console
            Topology Server Version 1.3.0. The server interacts with Tivoli NetView for
            OS/390 to obtain and display network and system views of your enterprise
            environment. These views are displayed by the Java-based Tivoli NetView
            Management Console Topology Console.

                     Note
             The following detailed sections on installation and customization of the
             NMC Topology Server describes only the platform Windows NT. The NMC
             Topology Server is also available on the platforms AIX and OS/2.

            The section is divided into the following categories:
            1. Installing NMC Topology Server to run as a Windows NT service
                - Software installation
                - Environment setup
            2. Setting up NMC Topology Server for Systems Automation
                - Installing NMC for System Automation for OS/390
                - Issuing SA OS/390 commands using the NMC
            3. Starting the NMC Topology Server using TCP/IP
                - Enabling TCP/IP for NetView on OS/390
                - Starting the Topology Server
            4. Uninstalling the NMC Topology Server
            5. Hints and tips for the NMC Topology Server

6.2.1 Installing NMC Server to run as a Windows NT service
            This section will explain, in detail, the install process and the setup procedure
            for the NMC Topology server, which is, in general, the content of the provided


                                     Chapter 6. Installation of the NetView Management Console   117
Readme file EGVREAD2.ME on the NMC installation CD along with several
               situations derived from the actual install at the ITSO environment.

               6.2.1.1 Selecting the correct files
                  To install the NMC Topology Server on Windows NT, the correct files to
                  install are located in the Tivoli NetView for OS/390 CD distribution media
                  under the directory WIN32 for the Windows NT NMC Topology Server.
                  The English version of NMC Topology Console will be in ENU (or /ENU),
                  and the Japanese version will be in JPN (or /JPN).
                   The following file is distributed as part of the NetView Management
                   Console Server:
                    - This package, DUINMCSW.EXE, contains the NMC Topology Server in
                      a self-extracting unzip file for Windows NT.


                        Note
                    To install the NMC Topology Server on OS/2 or AIX from the NetView
                    host (mainframe) or CD via the Tivoli Software Installation Service, refer
                    to the EGVREAD5.ME file located under /usr/lpp/netview/install on your
                    OS/390 Unix System Services if Tivoli NetView for OS/390 FMID
                    JPZ8454 is installed, or under README/ENU on the Tivoli NetView for
                    OS/390 CD.

               6.2.1.2 Software installation
               To install the NMC Topology Server for the networking environment on
               Windows NT, follow these steps:
               1. To install the NMC Topology Server from CD:
                    - Insert the Tivoli NetView for OS/390 CD distribution media into the CD
                      drive of the workstation.
                    - Find the correct drive and directory that the NetView Management
                      Console Server for Windows resides on. The directory is win32enu or
                      win32jpn, and the file name is DUINMCSW.EXE. Running this file
                      from the CD will start the unpacking process.
                   ---OR---
               1. To install the NMC Topology Server by HTTP download:
                    - With any Web browser, go to the following URL:
                      http://www.tivoli.com/nv390/downloads
                    - Download the Windows version of the NetView Management Console
                      Server into a temporary directory as DUINMCSW.EXE.


118   Automation Using Tivoli NetView OS/390 V1R3 and System Automation OS/390 V1R3
---OR---
1. To install the NMC Topology Server via a download from mainframe DASD:
     - Use either a receive from an emulator session or ftp to do a binary
       download of member duinmcsw from the SEGVPS21 target library into
       a temporary directory as DUINMCSW.EXE.
2. Running the DUINMCSW.EXE file will unpack the files and invoke the
   installshield setup application. To perform the install, follow these steps
   after starting DUINMCSW.EXE from the command line or by double
   clicking on the file icon.
3. The following dialog will ask the user to "Select Yes to continue with the
   installation”, on “Select No to exit the installation process". If No is
   selected, the process ends here. Select Yes to continue to the next step.




Figure 61. Installation Wizard Startup window

4. Displayed next will be a welcome dialog titled "NMC Topology Server -
   Welcome". Selecting the Next button will display a "NMC Topology Server
   - Installation Directory" dialog where the user selects the directory into
   which the installation files are unpacked. The default directory is
   x:TEMPNMCServer, where x: is the drive on which windows is installed.
   Selecting the Finish button will unpack the files and start the installation
   process. The user is then prompted to create the output directory if it does
   not already exist.
5. The following dialog named "Welcome" is the beginning of the NetView
   Management Console Server setup program. Selecting Next will display


                             Chapter 6. Installation of the NetView Management Console   119
the next "Information" dialog, which contains the read.me file for the user
                   to review.
               6. Selecting the Next button from the "Information" dialog will display the
                  "Choose Destination Location" dialog. The drive may be changed, but
                  changing the path information is NOT recommended. The path is a
                  standard used by Tivoli, and unpredictable results in the program can
                  occur if this is modified.

                         Note
                    If the Tivoli Framework is installed on the workstation, make sure to
                    install the NMC Server onto the same drive as the Tivoli Framework.
                    This is because the setup_env.cmd file installed by the Tivoli Framework
                    will be used to set the %BINDIR% environment variable, which is
                    needed for the NMC Server to start correctly.

               7. Selecting the Next button will display the "Setup Type" dialog. The default
                  selection will have the Typical radio button already selected. This will
                  install all of the files available for the server and is the recommended
                  selection.
                    - Choosing the Compact radio button will install all of the binaries except
                      for the tools files.
                    - Choosing the Custom button, a "Select Components" dialog is
                      displayed. Use the check boxes to manually select the components
                      desired. The choices are "Program Files" or "Tools Files".
               8. Selecting the Next button will display the "Start Copying Files" dialog.
                  This shows the setup type that has been selected for the NetView
                  Management Console Server and the path it will be installed into.
               9. Selecting the Next button will cause the binaries to be installed.
               10.When the binaries are installed, a "Setup Complete" dialog will be
                  displayed. Click on Finish to end the installation process.

               6.2.1.3 Information on copy problems with setup_env.cmd
               By default installation, a file, SETUP_ENV.CMD, is copied to the
               %WINDIR%system32driversetcTivoli directory and updated for the NMC
               Server to start. However, if, for example, the Tivoli Framework has been
               installed on the system, the copy and update of SETUP_ENV.CMD might be
               unsuccessful. If it fails, several warning messages, prior to the display of the
               "Setup Complete" dialog, will indicate this problem.




120   Automation Using Tivoli NetView OS/390 V1R3 and System Automation OS/390 V1R3
The first message will inform the user "Could not copy the setup_env.cmd file
to the (drive:)Winntsystem32driversetcTivoli directory”. Subsequent
messages will describe reasons for the failure and instruct the user to copy it
manually and update it.

It is necessary to check and update the following two variables within the
SETUP_ENV.CMD file:
 • BINDIR
   Specifies the directory of the server binaries, which is, in most cases, one
   of the following directories, depending on what directory structure is used:
    - (drive:)Tivolibinw32-ix86
    - (drive:)usrlocalTivolibinw32-ix86
    - (drive:)usrTivolibinw32-ix86
 • INTERP
   Specifies the platform-dependent last directory string, which is for
   Windows NT on Intel-based processors W32-IX86.

A possible combination of both variables, for example, could be:
 • set BINDIR=C:Tivolibinw32-ix86
 • set INTERP=w32-ix86

6.2.1.4 Windows NT user rights for NMC execution
The user rights on for the NetView Management Console Server to run on
Windows NT must be defined if this has not already been done. The following
user rights need to be added to the userid under which the NetView
Management Console Server will be executed:
   Act as part of the operating system.

The following steps will add the appropriate user rights under Windows NT:
1. Log on to Windows NT with Administrator authority.
2. Select Start->Programs->Administrative Tools->User Manager or
   Start->Programs->Administrative Tools->User Manager for Domains
   for NT Server machines.
3. Select Policies->User Rights.
4. Check the Show Advanced User Rights check box.
5. Scroll through the "Right:" selection list and choose the Act as part of the
   operating system right.



                         Chapter 6. Installation of the NetView Management Console   121
6. The "Grant To:" display area will list all the groups and users currently
                  granted this right. If the target userid is already listed, go to step 11,
                  otherwise, continue.
               7. Click on Add.
               8. Click on Show Users.
               9. Select the target userid (the one under which the NetView Management
                  Console Server will be executed) and click on Add.
               10.Click on OK.
               11.Log off from Windows NT and log on to Windows NT again using the
                  target userid so that the rights can take effect.

               6.2.1.5 Add NMC Server as Windows NT service
               To define the NMC Server as an Windows NT service, follow these steps:
               1. On the NMC Server machine, open a command window
               2. Change to the following NT directory, %BINDIR%TDSserverbin, where
                  the variable %BINDIR% could be (drive:)usrlocalTivolibinw32-ix86,
                  (drive:)localTivolibinw32-ix86, or (drive:)Tivolibinw32-ix86
               3. Issue the following command to install the NMC Server as a Windows NT
                  service:
                      service account_name password
                   where account_name represents an account name in the form
                   “DomainNameUserid”, and password represents the corresponding
                   password for the specified account.
                   If the account belongs only known and specified on the local workstation,
                   then specify “.Userid”.
               4. The NMC Server will be installed as two NT services:
                    - NMC topology communications server
                    - NMC topology server
                   The illustration in Figure 62 shows the successful registration example
                   within the ITSO environment.




122   Automation Using Tivoli NetView OS/390 V1R3 and System Automation OS/390 V1R3
C:TivolinmcTDSserverbin>service .NMCAdm testpw
 Tivoli environment variables configured.
 BINDIR..... c:tivolinmc

 C:TivolinmcTDSserverbin>ihsxsrv install manual .NMCAdm testpw c:tivolinmcTDSserverbin
 IHS5977I: Topology communications server service installed successfully
 IHS5977I: Topology server service installed successfully
 C:TivolinmcTDSserverbin>


Figure 62. NMC Server Registration as NT service

                      The NT service startup option will be set, by default, to manual. To change
                      the NT service startup option to automatic, go to the Start->Settings->
                      Control Panel and double-click on the Services icon. Select the NMC
                      services and change the startup option to automatic.

                  6.2.1.6 Remove NMC Server as Windows NT service
                  To remove the NMC Server as a Windows NT service, follow these steps:
                  1. On the NMC Server machine, open a command window.
                  2. Change to the following NT directory, %BINDIR%TDSserverbin, where
                     the variable %BINDIR% could be (drive:)usrlocalTivolibinw32-ix86,
                     (drive:)localTivolibinw32-ix86, or (drive:)Tivolibinw32-ix86
                  3. Issue the following command to remove the NMC Server as a Windows NT
                     service:
                         ihsxsrv delete
                      The illustration in Figure 63 shows the successful registration remove
                      example within the ITSO environment.


                  C:TivolinmcTDSserverbin>ihsxsrv delete
                  IHS5975I: Topology server service deleted successfully.
                  IHS5975I: Topology communications server service deleted successfully.

                  Figure 63. NMC Server Registration removal as NT service


6.2.2 Setting up NMC Topology Server for Systems Automation
                  This section provides information on how to exploit the NetView Management
                  Console to issue processor operations commands and system operations
                  commands for selected systems, subsystems, or application groups.

                  System Automation for OS/390 adds a selection of predefined processor
                  operations commands and system operations commands to the NetView




                                               Chapter 6. Installation of the NetView Management Console   123
Management Console, thus, enabling the use of the NetView Management
               Console as a front-end interface for managing the OS/390 host environment.

               The sets of available commands are provided in these corresponding
               response files.
               Table 25. System Automation response files for NMC exploitation

                 Response File Name                            Description

                 README                                        The README directory with installation
                                                               and user information

                 ING_NMCCHLP_HELPFILES                         Subdirectory including the online help files
                                                               for the system operations commands

                 ING_NMCS_DDF                                  Subdirectory including data definition files
                                                               for the provided system operations
                                                               commands

                 ISQ_NMCCCHLP_HELPFILES                        Subdirectory including the online help files
                                                               for the provided processor operations
                                                               commands

                 ISQ_NMCS_DDF                                  Subdirectory including data definition files
                                                               for the provided processor operations
                                                               commands

                 ING_NMCS_CMD.RSP                              Response file for system operations
                                                               commands

                 ISQ_NMCS_CMD.RSP                              Response file for processor operations
                                                               commands


                          Related Topics:
                    If you want to add or remove commands to or from the delivered sets, you
                   can use the provided Command Profile Editor (CPE) from the NMC. For
                   detailed information on how to use this editor, refer to the Tivoli NetView for
                   OS/390 NetView Management Console User's Guide, SC31-8665.


               6.2.2.1 Installing NMC enhancements for System Automation
               After applying the PTF UW90546, install the System Automation for OS/390
               NMC enhancement. This will enable the user to issue the most important
               System Automation for OS/390 processor operations and system operations
               commands from all NMC workstations.




124   Automation Using Tivoli NetView OS/390 V1R3 and System Automation OS/390 V1R3
Note
 The installation, as described in this section, is performed on the NMC
 Server only. Restart the individual NMC clients to take advantage of this
 enhancement.


After performing the steps described in the remainder of this section, it is now
possible to use the System Automation for OS/390 NMC exploitation as
described in the readme documentation of the packed file INGNMCZP, “How
to Issue System Automation for OS/390 Commands Using the NetView
Management Console”.

Applying the above PTF will provide two packed files for the NetView
Management Console Server:
 • ING.SINGPWS1(INGNMCZP)
   Packed file for Windows NT or OS/2 workstations. Download this file with
   the extension ZIP and unpack it using common tools, such as WINZIP or
   PKZIP.
 • ING.SINGPWS1(INGNMCTZ)
   Packed file for Unix workstations. Download this file with extension the
   TAR.Z and unpack or uncompress it using common tools, such as
   uncompress and tar.

The content of each packed file is divided into support files for system
operations commands and for processor operations commands. Each
support file structure contains NMC response files for system operations
commands and for processor operations commands. The response files
include the definitions and profiles for the following NMC extensions:
 • ING_SO_OPER SystemOperation Operator
 • ING_PO_OPER ProcessorOperation Operator
 • ING_SA_OPER SystemAutomation Operator
   ING_SA_OPER includes a definition for both the system operations and
   the processor operations commands

Furthermore, there are two subdirectories for the related data definition files,
two subdirectories with the online help in HTML format, as well as a
PostScript file to print the documentation.

With this separation of system operations and processor operations
commands, the user may install either the system operations commands or



                         Chapter 6. Installation of the NetView Management Console   125
the processor operations commands, or both, depending on specific
               requirements.

               The installation has to be done manually, as there is no common installation
               tool for the several supported platforms. This requires the user be familiar
               with the common commands of the workstation operating system.

               To perform the installation of the System Automation for OS/390 NMC
               enhancements on Windows NT, follow these steps:
               1. Download the appropriate packed file in binary format to the NMC Server.
               2. Unpack the file into a temporary directory of the NMC Server using an
                  appropriate tool for the NMC Server operating system.
               3. Copy the required help files for Windows NT from
                  tmpINGNMCEXING_NMCCCHLP_HELPFILES and/or
                  tmpINGNMCEXISQ_NMCCCHLP_HELPFILES to the
                  %BINDIR%TDSserverdbcurrenthelp directory
               4. Copy the required data definition files for Windows NT from
                  tmpINGNMCEXING_NMCS_DDF and/or
                  tmpINGNMCEXISQ_NMCS_DDF to the
                  %BINDIR%TDSserverconfigddf directory
               5. Copy the required response files for Windows NT from INGNMCEX to the
                  %BINDIR%TDSserversample directory
               6. Verify the following:
                   a. To operate the NMC Server, the user must be logged on to NetView via
                      a 3270 host session.
                   b. The NetView userid must have NGMF or NMC administrator rights.
                   c. The NMC Server must be started and active.
                   d. The connection to the NMC Server must be established by issuing the
                      NETCONV command on the NetView console.
               7. Start the Command Profile Editor Batch Utility (CPEBATCH) by either
                  double clicking on the CPE.CMD file in the %BINDIR%TDSserverbin or
                  issue one of the following commands for Windows NT:
                    - %BINDIR%TDSserversample CPEBATCH ING_NMCS_CMD.RSP and/or
                    - %BINDIR%TDSserversampleCPEBATCH ISQ_NMCS_CMD.RSP
                   Both commands have to be issued followed by the -i and -g parameters.




126   Automation Using Tivoli NetView OS/390 V1R3 and System Automation OS/390 V1R3
Note

               For information on how to use this batch utility or the list of the various
               parameters, refer to Chapter 6 of the ITSO redbook Parallel Sysplex
               Automation: Using System Automation for OS/390, SG24-5442.

           8. Start the CPE online utility, logon with a valid userid and password, and
              apply the new profiles to the individual operators. Profiles can also be
              edited from the CPE utility. For example, right clicking on object within the
              NMC interface displays the context menu with commands that can be
              issued to the object. To add or delete commands, edit the specific profile
              and either select an existing command or create a new command.
              This step loads the provided NMC enhancements into the NMC database.
              It is important to save the changes before leaving the CPEBATCH utility,
              which is not prompted, by default, to the user.

                   Note
               The CPE online utility is only available for Intel based platforms. For
               other platforms, edit the files with a text editor.

           9. On the individual NMC Clients, restart the NetView Management Console
              to reflect the NMC enhancements to the NMC Server database.

                   Note
               For further information about the delivered commands refer to the online
               help or the System Automation for OS/390 V1R3 Technical Reference,
               GC28-1593.


6.2.3 Starting the NMC Topology Server using TCP/IP
           If using the NMC Server program icon instead of Windows NT services, the
           following screen messages will be displayed after normal start-up of the NMC
           topology communication server:
              Tivoli NetView Management Console 1.3.0.0
              Topology Communication Server
              5697-B82 (C) Copyright Tivoli Systems, an IBM Company 1997, 1999.
              All Rights Reserved.
              US Government Users Restricted Rights - Use, duplication or
              disclosure restricted by GSA ADP Schedule Contract with IBM Corp.
              Portions copyright (c) 1992 by Free Software Foundation, Inc. All rights
              reserved.



                                    Chapter 6. Installation of the NetView Management Console   127
---------------------------------------------------------------------
                   IHS0248I: Topology communications server 1.3.0.0 is initialized.
                   IHS0252I: Issue the 'tserver stop' command to end this process.
                   IHS0208E: The SNA communications server APPC subsystem is not loaded

               For the NMC topology server, the following screen messages indicate a
               successful start-up of the NMC topology server:
                   Tivoli NetView Management Console 1.3.0.0
                   Topology Server
                   5697-B82 (C) Copyright Tivoli Systems, an IBM Company 1997, 1999.
                   All Rights Reserved.
                   US Government Users Restricted Rights - Use, duplication or
                   disclosure restricted by GSA ADP Schedule Contract with IBM Corp.
                   Portions copyright (c) 1992 by Free Software Foundation, Inc. All rights
                   reserved.
                   ---------------------------------------------------------------------
                   IHS2150I: Topology server 1.3.0.0 starting.
                   IHS2200I: Topology server 1.3.0.0 is initialized.
                   IHS0252I: Issue the 'tserver stop' command to end this process.

               System messages during NMC server operations will be displayed in the log
               file ihsmessage.log located in the directory:
                   %BINDIR%TDSSERVERLOG

               If the NMC topology server and NMC topology communications server start
               successfully, it is possible to connect to Tivoli NetView for OS/390 using the
               NetView NETCONV command.

               For connecting NetView for OS/390 to the specific NMC server, issue the
               following command on the NCCF command line, or preferred by an autotask
               at NetView start-up:
                   NETCONV ACTION=START IP=<IPAddr NMC Server>


                        Note
                 Issuing the NETCONV command by EXCMD <autotask> NETCONV... will
                 execute NETCONV from an autotask and will assure that connectivity between
                 NetView and the NMC topology server will continue even if the operator
                 logs off.


6.2.4 Uninstalling the NMC Topology Server
               To uninstall the NMC topology server on Windows NT, the following steps
               need to be executed:


128   Automation Using Tivoli NetView OS/390 V1R3 and System Automation OS/390 V1R3
1. Select Start -> Control Panel to open the control panel options for
               Windows NT.
            2. Select the Add/Remove Programs icon in the control panel.
            3. Select NetView Management Console Server in the list of programs
               available under the Install/Uninstall tab, and press the Add/Remove
               button.
            4. The user will be prompted to see if they desire to completely remove the
               NetView Management Console Server and all its components. Selecting
               Yes will remove it. Selecting No will leave the program on the computer.
            5. Selecting Yes will result in a "Remove Programs From Your Computer"
               dialog, which shows the status of the uninstall. A message saying
               "Uninstall Successfully Completed" will be displayed when the uninstall is
               done. Click OK to finish.

6.2.5 Hints and tips for the NMC Topology Server
            This section is intended to help with common problems in getting the NMC
            server up and running. Before starting the NMC server and connecting to
            NetView for OS/390, make sure that all of the necessary setup steps have
            been performed.

            NMC Server installation on systems running the Tivoli Framework

            If the Tivoli Framework is installed on the same workstation as the intended
            install of the NetView Management Console Server, install the NetView
            Management Console Server into the same drive and binary path as the
            Framework. This is required because both products use the environment
            variables BINDIR and INTERP.

            It would cause one or both products to fail if different drives and directories
            are used, and BINDIR is just set to reflect the binary path of one of the
            products.

            If there is no Tivoli Framework installed on the same workstation, the NMC
            Topology Server installation process will define the BINDIR and INTERP
            environment variables and correctly create any necessary command or shell
            that may be needed.

            If the server does not start and the setup_env.cmd is not found

            If the setup_env.cmd file is not found, the following message is displayed,
            "rc(5902) setup_env.cmd not found", and no updates are placed into
            ihsmessage.log in this situation.



                                     Chapter 6. Installation of the NetView Management Console   129
To resolve this, it may be necessary to reinstall the server. First, try to copy
               the setup_env.cmd file from the /BIN directory to its correct place. This would
               typically be the directory %WINDIR%system32driversetcTivoli for Windows
               NT. Then, edit the file to ensure that the correct information is in place for the
               %BINDIR% environment variable as per the above section.

               If the setup_env file is found, but the bindir is not set

               If the setup_env.cmd file is found, but the %BINDIR% variable is not set, the
               following messages are issued, and neither of the DOS or AIX command
               windows will come up. Also, note that no updates are placed into
               ihsmessage.log. The messages are:
                   "Tivoli environment variables configured."
                   "The system cannot find the path specified."

               To resolve this problem, make sure the path of the %BINDIR% environment
               variable is correct.

               In Windows NT the NMC topology server starts, but then closes

               If the user right "Act as part of the operating system" is not set correctly to
               the appropriate userid, the NMC topology communication server will start, but
               the NMC topology server will start and immediately end.

               A error message "IHS2133I: The server must be run under a userid that has
               'Act as part of the operating system' user right. The server is ending." is
               placed in the log file ihsmessage.log.

               To resolve this problem, set the appropriate user rights under Windows NT to
               the correct userid.

               Cannot start the NT services of NMC Server at start-up

               Ensure that the used userid to execute the automatic NT service start-up and
               Windows NT machine or domain name are not the same.

               For example, logging locally on to a workstation with the machine name
               NMCSRV, and the same userid, NMCSRV, is used, an error will occur at
               Windows NT startup indicating that the userid is not recognized as a valid
               userid, and the services will not start even though that same userid has
               administrative privileges allowing them to start the NMC topology server or
               NMC communications server manually from the NT Services.

               To resolve this problem, change the userid or machine name to be different.



130   Automation Using Tivoli NetView OS/390 V1R3 and System Automation OS/390 V1R3
6.3 Setting up the NMC client workstation
            This section contains information about the NetView Management Console
            also known as the NMC Topology Console. It is a Java-based client
            application and is in cooperation with the NMC topology server application
            providing network and systems views of the enterprise.

            This section is divided into the following:
            1. Installing the NMC Topology Console for Windows NT
            2. Starting the NMC Console using a TCP/IP connection
            3. Uninstalling the NMC Topology Console
            4. Hints and tips for the NMC Topology Console

6.3.1 Installing the NMC Topology Console
            This section will explain, in detail, the install process and the setup procedure
            for the NMC Topology Console, which is, in general, the content of the
            provided Readme file EGVREAD1.ME on the NMC installation CD along with
            several situations derived from the actual install at the ITSO environment.

            To install the NMC Topology Console on Windows 95, 98, or NT, use the
            following steps:
            1. To install the NMC Topology Console from CD:
               a. Insert the Tivoli NetView for OS/390 CD distribution media into the CD
                  drive of the workstation.
               b. Find the correct drive and directory that the NMC Topology Console for
                  Windows resides on. The directory is win32enu or win32jpn, and the
                  file name is DUINMCCW.EXE. Running this file from the CD will start
                  the unpacking process.
                                    ---- or ----
            1. To install the NMC Topology Console by HTTP download:
               a. With any web browser, go to the following URL:
                  http://www.tivoli.com/nv390/downloads
               b. Download the Windows version of the NMC Topology Console into a
                  temporary directory as DUINMCCW.EXE.
                                    ---- or ----
            1. To install the NMC Topology Console via a download from mainframe
               DASD:



                                      Chapter 6. Installation of the NetView Management Console   131
a. To install the NMC Topology Console from your NetView host
                      (mainframe), please read the EGVREAD5.ME file located under
                      /usr/lpp/netview/install on your OS/390 Unix System Services if the
                      optional Tivoli NetView for OS/390 FMID JPZ8454 has been installed.
                      This install is done using the Tivoli Software Installation Service
                      software.
               2. Running the DUINMCCW.EXE file will unpack the files and invoke the
                  Installshield setup application.
               3. To perform the install, follow these steps after entering DUINMCCW from
                  the command line.
                   a. The following dialog will be displayed asking the user to "Select Yes to
                      continue with the installation. Select No to exit the installation process".
                      If No is selected, the process ends here. If Yes is selected, the
                      following actions will occur:




                 Figure 64. Install wizard for NMC Client installation

                   b. A Welcome dialog titled "NetView Management Console Topology
                      Console 1.3.0.0 - Welcome" will be displayed as shown above.
                      Selecting the Next button will display a "NetView Management Console
                      Topology Console 1.3.0.0 - Installation Directory" dialog on which the
                      user selects the directory into which the installation files are unpacked.
                      The default directory is x:TEMPNMCClient, where x: is the drive on
                      which Windows is installed. Selecting the Finish button will unpack the
                      files and start the installation process. The user will be prompted to
                      create the output directory if it does not already exist.



132   Automation Using Tivoli NetView OS/390 V1R3 and System Automation OS/390 V1R3
c. The following dialog named "Welcome" is the beginning of the NMC
                 Topology Console setup program. Selecting Next will display the next
                 "Information" dialog which contains the read.me file that is available for
                 review.
              d. Selecting the Next button from the "Information" dialog will display the
                 "Choose Destination Location" dialog. The drive may be changed but it
                 is not recommended that the path information be modified.
                 The path is a standard used by Tivoli, and by the statement within the
                 original Readme file, unpredictable results in the program can occur if it
                 is changed.
              e. Selecting the Next button will display the "Setup Type" dialog. The
                 default selection will have the "Typical" radio button already selected.
                 This will install the files available for the NMC Topology Console, but
                 not the "NMC Productivity Kit". This option is equivalent to the Compact
                 option. The Compact radio button may also be selected. This will install
                 all of the binaries except for the "NMC Productivity Kit".
                 If the Custom button is selected, a "Select Components" dialog is
                 displayed. Use the check boxes to manually select the components
                 desired. The choices are NMC Program Files and NMC Productivity
                 Kit. The NMC Program Files are all the files that enable the
                 functionality of the NMC Topology Console. The NMC Productivity Kit
                 consists of an NMC Topology Console Demo and example Java
                 applications and plug-ins.
              f. Selecting the Next button will display to the "Start Copying Files"
                 dialog. This shows the setup type selected for the NMC Topology
                 Console and the path it will be installed into.
              g. Selecting the Next button will start to install the binaries.
              h. When the binaries are installed, a "Setup Complete" dialog will be
                 displayed.
                 Unlike previous the NMC Version 1.2, there is no need to update the
                 PATH and CLASSPATH environment variables to define Java.

6.3.2 Starting the NMC Console using a TCP/IP connection
           Use the following steps to start the NetView Management Console:
           1. Make sure that the NMC Server is started and connected to the NetView
              host.
           2. To use the desktop icon to start the NMC Topology Console in
              Windows95/98/NT, double-click on the NMC Topology Console icon on



                                    Chapter 6. Installation of the NetView Management Console   133
the Windows 95/98/NT desktop or in the programs group under the Start
                   button. This will display the following NetView Sign On dialog box.




               Figure 65. NMC Sign On dialog box

               3. Sign on to the NMC Server and NetView by entering a valid RACF userid
                  and password. In the field labeled Host Machine, enter the IP address or
                  IP host name of the NMC topology server.
               4. Click OK to complete the logon process.

6.3.3 Uninstalling the Tivoli NMC Topology Console
               To uninstall the NetView Management Console on Windows, the following
               steps need to be executed:
               1. Select the Start -> Control Panel to open the control panel options for
                  Windows NT.
               2. Select the Add/Remove Programs icon in the control panel.
               3. Select the NetView Management Console Topology Console 1.3.0.0 in
                  the list of programs available under the Install/Uninstall tab and press the
                  Add/Remove button.



134   Automation Using Tivoli NetView OS/390 V1R3 and System Automation OS/390 V1R3
4. The user will be prompted to see if they desire to completely remove the
               NMC Topology Console and all its components. Selecting Yes will remove
               it. Selecting No will leave the program on the computer.
            5. Selecting Yes will result in a Remove Programs From Your Computer
               dialog, which shows the status of the uninstall. A message saying
               Uninstall Successfully Completed will be displayed when the uninstall is
               done. Click OK to finish.

6.3.4 Hints and tips for the NMC Topology Console
            The most common problem encountered with the NMC Topology Console in
            past releases was not having Java set up correctly. By shipping Java as part
            of the NMC Topology Console binaries, the majority of Java-related problems
            have been eliminated.

            Another problem is a partial download of NMC files from the NMC Server.
            This is caused when communications drop as NMC is being downloaded from
            the server it is connected to. The problem will usually manifest itself as a
            hang once NMC is started. This is because only part of the .jar file that
            contains most of the NMC function was downloaded. This is easy to detect by
            comparing the size of the ihseuc.jar file in the TDSclientlib directory of NMC
            with that of the ihseuc.jar file in the TDSserverdbcurrentlib directory on the
            server. They should be the same size.

            To resolve this, you must uninstall NMC and also delete all the directories and
            files starting from TDS. After successful uninstall, reinstall the NMC code
            and then connect to the server again.

6.3.5 Issuing SA OS/390 commands using the NMC
            The NMC may be used to monitor and control large portions of the enterprise.
            For a description of the benefits of the NMC and how to use it, refer to the
            Tivoli NetView for OS/390 NetView Management Console User's Guide,
            SC31-8665. System Automation for OS/390 exploits these benefits to let the
            user issue predefined system operations and processor operations
            commands from context menus. This feature is embedded into the standard
            use of the NetView Management Console.

            This section gives a short introduction on how to find the System Automation
            for OS/390 related context menus and how to issue the commands.

            The mechanism on how to provide information for graphical monitoring via the
            NetView Management Console can briefly be described with the following
            steps:



                                      Chapter 6. Installation of the NetView Management Console   135
1. Define the automated resources, for example, Application Groups or
                  Systems, using the System Automation for OS/390 customization dialog
                  described in Section 5.3, “Defining all systems and objects to System
                  Automation” on page 60.
               2. Group the automated resources into logical Operator View using the SA
                  OS/390 customization dialog as described in Section 5.3.3, “Entering all
                  systems and objects” on page 64.
               3. Use the BUILD function of the System Automation for OS/390
                  customization dialog to build the RODM load files from the object
                  information in the stored in the SA OS/390 policy database.
               4. When the created RODM load files are loaded to RODM, the NetView
                  Management Console retrieves the information through GMFHS from
                  RODM and displays the defined OperatorView on its graphical interface.

               In order to start the NetView Management Console, follow these steps:
               1. Make sure that the NMC Server is started and connected to the NetView
                  host using the NETCONV ACTION=START IP=<ipaddress> command on the
                  NetView NCCF interface, where <ipaddress> represents the real IP
                  address of the NMC Server.
               2. On the workstation, start the NetView Management Console application.
                  From the NetView Sign On panel, shown in Figure 66, log on to NetView
                  using the correct RACF user ID and password.




136   Automation Using Tivoli NetView OS/390 V1R3 and System Automation OS/390 V1R3
Figure 66. NetView Sign On dialog

3. The Tivoli NetView for OS/390 Management Console is displayed. Expand
   the SA_OS/390 selection under Networking Views to get a selection of
   operator views as defined in the customization dialog.




                           Chapter 6. Installation of the NetView Management Console   137
Figure 67. NMC Console View of the Focal Point System SC66

               4. Select one of the view objects, as in this example, the focal point system
                  SC66, to the display the contained objects and their status information.
                   Use the Resource Properties selection of an object context menu for
                   detailed object information. Depending on the type of objects displayed in
                   the target view, the corresponding context menus for this object type may
                   vary:
                    - For aggregate objects, such as Operator Views, Groups, Application
                      Groups, and Volume Groups, the context menu displays processor
                      operations commands only. For example, it is possible to issue a
                      processor operations START command to an aggregate object, which
                      will start processor operations on the real objects belonging to this
                      aggregate object.
                      To start a processor operations command on a single system object
                      from this aggregate view, navigate to that specific system object.




138   Automation Using Tivoli NetView OS/390 V1R3 and System Automation OS/390 V1R3
- For real objects like Applications and Systems, the context menu
       displays processor operations commands and system operations
       commands (assuming both NMC enhancements are installed).
       The screen shown in Figure 68 illustrates the SA OS/390 context menu
       for a real object, the focal point system SC66.




Figure 68. NMC Context Menu of the Focal Point System SC66

5. By selecting one of the applicable commands, a corresponding dialog box
   may be displayed to specify additional parameter for the specific
   command. An example is illustrated in Figure 69 of the dialog box for the
   DISPSTAT command. At the bottom of this dialog box, the appropriate
   command syntax is displayed.

         Note
     NetView for OS/390 allows a maximum length of 255 characters per
     command. If the parameter specifications exceed this limit, a message
     will be displayed that the command cannot be executed.




                           Chapter 6. Installation of the NetView Management Console   139
Figure 69. NMC dialog box for additional command parameter

               6. When finished, press the Send or Send and close button to submit the
                  command to NetView OS/390. The command output is displayed in the
                  NMC Response Log. View the NMC Response Log by selecting the Tear
                  Away Log item from the Options menu.


6.4 Setting up the Web interface to Tivoli NetView OS/390
               The same installation process is used for setting up the Web interface for
               NetView V1R3 as for NetView V1R2. For documentation on this process, refer
               to the Tivoli redbook An Introduction to Tivoli NetView for OS/390 V1R2,
               SG24-5224.

               This reference covers the setup of, and logging on to, a Web browser to issue
               commands to NetView, as well as examples of the responses from those
               commands. In general, commands that output messages can be issued.



140   Automation Using Tivoli NetView OS/390 V1R3 and System Automation OS/390 V1R3
Fullscreen commands are generally not supported, although the common
BROWSE is supported. You can browse members of concatenated datasets
as well as the Netview log.

        Note

 The most up-to-date references to any of the Tivoli NetView for OS/390
 related information may be obtained from the Web at:
 http://www.tivoli.com/nv390


6.4.0.1 Enabling NetView OS/390 Web access
Ensure that the following NetView DSIPARM members are customized during
NetView setup to enable Web access and TCP/IP connectivity. For a detailed
description on how to customize NetView for OS/390, see Section 4.3,
“Network management environment” on page 33 and Section 4.4,
“Automation environment” on page 39.
 • DSIDMNB - DSIWBTSK task definition:
      ***************************************************************
      * NOTE: THE FOLLOWING TASK STATEMENT IS NECESSARY FOR *
      * NETVIEW WEB SERVER. *
      ***************************************************************
      TASK MOD=DSIZDST,TSKID=DSIWBTSK,MEM=DSIWBMEM,PRI=5,INIT=Y
 • DSIWBMEM - Task parameters for DSIWBMEM:
      DSTINIT FUNCT=OTHER,XITDI=DSIWBINT
      TCPANAME = T11ATCP
      SOCKETS = 100
      PORT = 9998
   It is important to specify a unique port in the DSIWBMEM member.
   NetView V1R3 for OS/390 is shipped with a default port of 80. If other Web
   servers are running, port 80 is allocated to them, and another port has to
   be allocated for the NetView Web server.

     Note
    If there is a problem with the TCP/IP definitions, a BNH1671 message is
    returned with an error code of 48.




                        Chapter 6. Installation of the NetView Management Console   141
6.5 Setting up the NetView 3270 Management Console
               This section contains information on the system requirements, setup, and
               operation of the NetView 3270 Management Console. The following topics
               will be covered:
               1. Software requirements
                   a. Mainframe component
                   b. Workstation component
               2. Selecting the correct files
               3. Available documentation and technical information
               4. Setting up the Host (Mainframe) environment
                   a. Setting up DSITCPCF
                   b. Setting up DSITCPRF
                   c. DSIDMNK sample member
                   d. Required host environment
               5. Installing NetView 3270 Console on Windows 95, 98, and NT
               6. Uninstalling the NetView 3270 Console on Windows 95, 98, and NT
               7. Replicating the NetView 3270 Console across multiple machines
               8. Operating notes, hints, and tips

6.5.1 Software requirements
               The NetView 3270 Management Console has two components:
                    - Mainframe component
                    - Workstation component

               6.5.1.1 Mainframe components
               The mainframe component provides the host connection and has the
               following requirements:
                    - OS/390 Version 1 Release 3 (5645-001) or OS/390 Version 2 Release
                      4 (5647-A01) or higher.
                    - TCP/IP Version 3 Release 2 or OS/390 Version 2 Release 5 for TCP/IP
                      communication between the host and its clients.
                    - NetView for OS/390 Version 1 Release 3 installed for the specific
                      NetView support for the NetView 3270 Management Console.



142   Automation Using Tivoli NetView OS/390 V1R3 and System Automation OS/390 V1R3
6.5.1.2 Workstation component
             The supported client environments are OS/2, Windows NT, Windows 95 and
             98, AIX, Solaris, and HP-UX. This section will describe the installation for
             Windows only. Additional specifics for the different client platforms are:
              • OS2:
                The NetView Java Client requires OS/2 Version 4.0 or higher as well as
                OS/2 TCP/IP Version 2.0 with UN64092 or a later version. The NetView
                Java Client must be installed in an HPFS partition.
              • Windows 95, 98, and NT:
                The NetView Java Client requires Windows 95, 98, or NT 4.0 with TCP/IP
                support installed.
              • AIX:
                The NetView Java Client requires IBM AIX Version 4.2.0 or higher.

                       Note
                 The previous NetView release, V1R2, required that a Java Development
                 Kit (JDK) be downloaded and defined. Since NetView release V1R3, the
                 Java support is integrated into the binaries so that there is no need to
                 obtain Java support separately.


6.5.2 Selecting the correct files
             To install the NetView 3270 Management Console on Windows 9x and NT
             from the NetView host (mainframe) or CD via the Tivoli Software Installation
             Service, please read the EGVREAD5.ME file located under
             /usr/lpp/netview/install on the OS/390 Unix System Services, if Tivoli NetView
             for OS/390 FMID JPZ8454 has been installed, or under README/ENU on the
             Tivoli NetView for OS/390 CD.

             To install the NetView 3270 Management Console on Windows 9x and NT,
             using methods other than the Tivoli Software Installation Service, continue
             with the following instructions.

             The correct files to install are located in the Tivoli NetView for OS/390 CD
             distribution media under the directory WIN32 for the Windows 95, 98, and NT
             NetView 3270 Management Console. The actual files will be in a subdirectory
             specific to the appropriate language support. The English version of NetView
             3270 Management Console will be in ENU (or /ENU).




                                     Chapter 6. Installation of the NetView Management Console   143
The following file is distributed as part of the NetView 3270 Management
               Console:
                 • FLB4WIN.EXE - This package contains the NetView 3270 Management
                   Console in a self-extracting unzip file for Windows 95, 98, and NT, which is
                   found on the CD and the Web.

6.5.3 Available documentation and technical information
               Information is available in HTML format, which you can view using a Web
               browser. Within the HELP subdirectory of the IBMFLB directory, there are:
                 • FLBHLP.HTM - Contains help information for the NetView 3270
                   Management Console. This file is the top of the help HTML tree and is
                   installed with the program files.
                 • FLBDPD.HTM - Contains problem determination information and is
                   installed with the program files.

6.5.4 Setting up the host (mainframe) environment
                 • Ensure that TCP/IP 3.2 for MVS or OS/390 V2R5 or higher with TCP/IP is
                   installed and operational on the OS/390 host.
                 • Ensure that the following DSIPARM and DSIPRF members have been
                   created:
                    - DSITCPCF - Task parameters for DSITCPIP in DSIPARM
                    - DSITCPRF - TCP/IP logon encryption profiles in DSIPRF
                    - DSIDMNK - TCP/IP logon encryption profiles in DSIPRF

               After creating the DSIPARM and DSIPRF members, NetView 3270
               Management Console access is enabled when NetView is started.

               6.5.4.1 Setting up DSITCPCF
               Add the following definitions to member DSITCPCF in DSIPRF:
                    - TCPANAME specifies the name of the TCP/IP address space
                      (TCPIP32 procedure). For example:
                                       TCPANAME=TCP32
                    - PORT defines the port on TCP32 on which NetView waits for
                      connection requests. The port is also used by the NetView 3270
                      Management Console to specify the NetView that will receive a
                      connection request. Valid values are 1-65535. The default is 9999. For
                      example:
                                       PORT=9999


144   Automation Using Tivoli NetView OS/390 V1R3 and System Automation OS/390 V1R3
- SOCKETS defines how many users can log on to NetView using
      TCP/IP. TCP/IP reserves a minimum of 50 sockets; so, numbers less
      than 50 are not used. Valid values are 50-1000. The default is 50. For
      example:
                      SOCKETS=50
    - TIMEOUT defines how many seconds elapse before a request times
      out. The default value is 3,600. For example:
                      TIMEOUT=60
    - DIAGNOSE creates additional debugging messages in the log. Specify
      NO unless otherwise instructed by the Tivoli Support Center for
      problem diagnosis. For example:
                      DIAGNOSE=NO

6.5.4.2 Setting up DSITCPRF
Member DSITCPRF in DSIPRF defines encryption keys for each operator.
The operator ID is followed by a colon and any number of blanks. The first
non-blank field is the encryption key for the data flowing from the NetView
3270 Management Console to NetView (command flow). The second
non-blank field is the encryption key from NetView to the NetView 3270
Management Console. The length of the keys can be in the range of 1-8
characters. Using an 8-character key is recommended. Use the same keys to
define the NetView 3270 Management Console. It does not send the keys on
any session. Place DSITCPRF in a secure (DSIPRF DD) library.

If both keys are "default", in lowercase, NetView uses a default encryption
key. The default key is the same for any session but is not a published value.
The default key provides encryption protection. Do not use "default" for only
one of the encryption keys because NetView interprets this as a definition
error.

If both keys are "disabled", in lowercase, encryption is not used. Specify
"disabled" for debugging session problems in low-risk networks. Do not use
"disabled" for only one of the encryption keys because NetView interprets this
as a definition error.

Define a NetView operator ID the same as existing IDs. As a security benefit,
only operators defined in this file can log on to NetView using a NetView 3270
Management Console. For example, if DSITCPRF only contains the following
statement, a logon attempt from a NetView 3270 Management Console using
OPERX results in the message, "DSI029I: INVALID LOGON ATTEMPT
FROM TERMINAL terminal, ERROR IN THE 'n' FIELD":



                        Chapter 6. Installation of the NetView Management Console   145
OPER1: default default

               The following statement enables a NetView 3270 Management Console to log
               on as OPERX with no encryption:
                                    OPERX: disabled disabled

               Encryption keys can be mixed case. Choose random, printable, non-blank
               characters, such as:
                                    OPER4: a1s2d3f4 lpmonibu

               Specify the keyword ANY_OTHER to define a single set of keys that is used
               by operators who are not defined in the DSITCPRF member. For example, to
               set up universal access with a single statement, specify:
                                    ANY_OTHER: default default

               6.5.4.3 DSIDMNK sample member
               Member DSIDMNK in DSIPARM should include the following task definition:
                   TASK TSKID=DSITCPIP,MEM=DSITCPCF,MOD=DSITCPIP,PRI=6

               6.5.4.4 Required host environment
               The following conditions must exist at the host environment to enable the
               NetView 3270 Management Console:
               1. The host TCP/IP must be started each time the system is IPLed. To start
                  TCP/IP after you IPL the system, issue an MVS command similar to:
                      S TCPIP32.TCP32
                   For further information, refer to the OS/390 TCP/IP OpenEdition User’s
                   Guide, GC31-8305. The start-up profile is in TCP32.PROFILE.TCPIP.
               2. NetView for OS/390 and the DSITCPIP optional task must be running. The
                  following command can be used to start the optional task:
                      START TASK=DSITCPIP
                      START TASK=DSITCPIP,MOD=DSITCPIP,MEM=DSITCPCF,PRI=6

               The second form is used if the TASK statement is not in the DSIDMN
               member(s) and if the operator has security authorization for the START
               command keywords used above.

6.5.5 Installing NetView 3270 Console on Windows 95, 98, and NT
               This section will explain, in detail, the install process and the setup procedure
               for the NetView 3270 Management Console, which is, in general, the content
               of the provided Readme file FLBREAD1.ME on the NMC installation CD,


146   Automation Using Tivoli NetView OS/390 V1R3 and System Automation OS/390 V1R3
along with several situations derived from the actual install at the ITSO
environment.

To install the NetView 3270 Management Console on Windows 95, 98, or NT,
follow these steps:

1.To install the NetView 3270 Management Console from CD:
   a. Insert the Tivoli NetView for OS/390 CD distribution media into the CD
      drive of your workstation.
   b. Find the correct drive and directory that the NetView 3270
      Management Console for Windows resides on. The directory is
      win32enu or win32jpn and the file name is FLB4WIN.EXE. Running
      this file from the CD will start the unpacking process.

---- Or ----
1. To install the NetView 3270 Management Console by HTTP download:
   a. With any Web browser, go to the following URL:
       http://www.tivoli.com/nv390/downloads
   b. Download the Windows version of the NetView 3270 Management
      Console into a temporary directory as FLB4WIN.EXE.

---- Or ----
1. To install the NetView 3270 Management Console via a download from
   mainframe DASD:
   a. To install the NetView 3270 Management console from the NetView
      host (mainframe), please read the EGVREAD5.ME file located under
      /usr/lpp/netview/install on your OS/390 Unix System Services if the
      optional Tivoli NetView for OS/390 FMID JPZ8454 has been installed.
      This install is done using the Tivoli Software Installation Service
      software.
2. Select the directory that will be the root directory for the console program
   directory tree as the current directory. For example, if directory E: is the
   current directory, the NetView 3270 Management Console program will
   expand into a directory structure with the directory tree of
   E:usrlocalTivolibingeneric_unixTDSibmflb. This can be on a LAN
   drive so that many users share a common copy of the program. Individual
   settings files are created later in the installation on local disks for each
   user.
3. Unpack the files by running the FLB4WIN.EXE self-extracting EXE file. It
   will prompt the user for the directory to unpack the files into with the



                         Chapter 6. Installation of the NetView Management Console   147
default being x:TEMPNMC3270, where x: is the system drive, and invoke
                   the Installshield setup wizard. Erase the FLB4WIN.EXE file when satisfied
                   that the installation has been successful. This file is not used by the rest of
                   the installation process or the NetView 3270 Management Console
                   program.
               4. FLB4WIN.EXE will automatically invoke the Installshield program, which
                  will install all of the files for the NetView 3270 Management Console and
                  create a desktop entry to configure NetView 3270 Management Console
                  .bat files. Simply follow the dialogs presented by the Installshield program
                  (SETUP.EXE) to perform the install, click on the desktop icon, and select
                  Configure the NetView 3270 Management Console. This will bring up
                  the console installation screen shown in Figure 70.




               Figure 70. NetView 3270 Console setup screen

               5. The FLBINST.BAT command file will ask for information, which must be
                  entered in order to successfully connect NetView 3270 Management
                  Console to NetView OS/390. Explaining information is provided to guide in
                  the entering of information. The following list is a brief summary:
                   a. A unique name, such as an operator ID, that will be used as the batch
                      file name. The batch file, for example, oper1.bat, is created in the data
                      directory you specify for the settings files.



148   Automation Using Tivoli NetView OS/390 V1R3 and System Automation OS/390 V1R3
b. The IP host name for the mainframe TCP/IP stack.
c. The IP port number for the mainframe TCP/IP stack.

     Note
 To find the IP port number and IP host name being used by the
 mainframe TCP/IP stack, log on to NetView and type the following
 command:
    LIST DSITCPIP
 This will produce a response similar to the following:
    TYPE: OPT TASKID: DSITCPIP TASKNAME: DSITCPIP STATUS: ACTIVE
    MEMBER: DSITCPCF
    HOSTNAME=tcphost HOSTID=1.2.3.4 PORT=9999
    LOADMOD: DSITCPIP
    Task Serial: 14
    END OF STATUS DISPLAY

d. The inbound and outbound encryption keys for the session.
e. The directory path for the user settings data and batch command files,
   for example, E:MYDATA.
   Special Cases:
   1. If the path specified is already being used by your other sessions,
      the settings are shared among all sessions.
   2. To separate settings for some of the sessions, use a separate
      directory for each case.
   3. The installation process will create the data directories if they do not
      already exist.
   4. Since the batch files created in this directory contain encryption
      keys, ensure security protection of the disk, directory, and files.
      Typically, a local directory, not one on the LAN accessed by others,
      should be used.
f. The size of the display area should be equivalent to a 3270 screen.
   Possible values are (rows x characters):
    • 0 for 24x80
    • 1 for 32x80
    • 2 for 43x80
    • 3 for 32x132




                      Chapter 6. Installation of the NetView Management Console   149
6. To set up program shortcuts for the 3270 Management Console:
                   a. Create a shortcut of FLBINST.BAT on the desktop using drag and drop
                      from a view of its containing folder. For example, if installing to E:, the
                      path and file is:
                      E:usrlocalTivolibingeneric_unixTDSibmflbflbinst.bat.
                   b. Create a shortcut for the oper1.bat on the desktop using drag and drop
                      from a view of its containing folder. For example, if the data directory is
                      E:MYDATA, and the name is oper1, the path and file is:
                      E:MYDATAoper1.bat.
                   c. To start the NetView 3270 Management Console or installation
                      program, click on the shortcut.
               7. To start the NetView 3270 Management Console from a DOS command
                  window:
                   a. Select the data directory as the current directory, for example
                          CD E:MYDATA.
                   b. Type the filename of the batch file and press Enter. For example:
                          OPER1.BAT


                          Note
                    To re-create the files in the data directory, rerun the installation
                    procedure to re-create missing directories or files in the data directory.



6.5.6 Uninstalling the NetView 3270 Console
               These uninstall procedures assume that new and unique names for the
               directories to store the NetView 3270 Management Console program and the
               (separate) data file directory structure have been selected. Avoid deleting the
               directories that are shared with other people or which have other data in
               them. Check the contents of the directories carefully. If in doubt, back up the
               system first. Removing all of the files will typically free less than 20 MB of disk
               space.

               To uninstall the NetView 3270 Console on Windows the following steps need
               to be executed:
               1. Select the Start -> Control Panel to open the control panel options for
                  Windows NT.
               2. Select the Add/Remove Programs icon in the control panel.




150   Automation Using Tivoli NetView OS/390 V1R3 and System Automation OS/390 V1R3
3. Select the NetView 3270 Management Console in the list of programs
               available under the Install/Uninstall tab and press the Add/Remove
               button.
            4. The user will be prompted to see if they desire to completely remove the
               NetView 3270 Management Console and all its components. Selecting
               Yes will remove it. Selecting No will leave the program on the computer.
            5. Selecting Yes will result in a Remove Programs From Your Computer
               dialog, which shows the status of the uninstall. A message saying
               "Uninstall Successfully Completed" will be displayed when the uninstall is
               done. Click OK to finish.

6.5.7 Replicating the NetView 3270 Console
            A NetView 3270 Management Console can be set up on one machine and
            then duplicated across multiple machines. This involves running the setup
            program and customizing the NetView 3270 Management Console and then
            copying setup files created during the process to other machines. The
            following files need to be copied:
            1. Batch or shell files created by the setup process (NT and Unix)
               After running the TaskGuide setup wizard, which allows the user to specify
               setup parameters, such as IP host name, IP port, encryption keys, and
               terminal type, a batch or shell file is created with a name supplied during
               the setup process. This file can be copied to another machine with the
               console program installed and then executed, thus eliminating the need for
               running the setup wizard on the target machine.
               Note that the setup wizard asks for the name of a data directory on the
               local machine where data files will be stored. This local directory should
               also be created on the target machine.
               To duplicate the NetView 3270 Console on multiple machines, copy the
               IBMFLB folder containing the NetView 3270 files from the following path
               from the source workstation machine to the same path on the target
               workstation:
                  (drive):usrlocaltivolibingeneric_unixTDSibmflb
               The batch file created on the source workstation (for example,
               OPER1.bat) can then be copied to the target workstation.
               Modify the copied batch file to ensure the path points to the IBMFLB folder
               on the target workstation, as in the example below, and that the IP host
               name, IP port, and encryption keys are set to their correct values,
               respectively. The following example illustrates how such a batch file looks:




                                     Chapter 6. Installation of the NetView Management Console   151
@REM NetView 3270 Management Console BAT file
 @SETLOCAL
 @C:
 @CD usrlocalTivolibingeneric_unixTDSibmflb
 @SET JAVAPATH=......w32-ix86Tdsjava
 @%JAVAPATH%binjre -mx48M -ms16M -classpath .;.jarstivflb13.jar;%JAVAPATH%librt.jar; ...
   ... %JAVAPATH%libi18n.jarsrc.ibmflb.FLB_NVClient 9999 tcphost.host.com ...
   ... BUFR NODIAG DEFAULT DEFAULT C:MYDATA 3
 @ENDLOCAL



                        Note
                   It is important to ensure that the values in the batch file are identical in
                   case and character to those in the DSITCPRF member. For example, if the
                   member defines the values as “default default”, and they are set to
                   “DEFAULT DEFAULT” in the batch file, the console will start but will
                   produce unreadable text on the screen.

                 2. Configuration file
                    The data directory specified for the NetView 3270 Management Console
                    contains a file called FLB_CONFIGURATION. This file maintains a list of
                    full-screen sessions available to the console program along with font,
                    color, key remapping, and session option information for each full-screen
                    session. This file should be copied to the data directory of the target
                    machine. It is a binary file and does not contain editable information. Its
                    contents created and modified by the NetView 3270 Management Console
                    program.

6.5.8 Operating notes, hints, and tips
                 The following provides operating hints and tips:
                  • When switching screens, click on the screen area containing the input
                    area before typing in data, or press Enter.
                  • On some platforms, click on the tab areas to refresh the screen if icons are
                    not redrawn.
                  • If experiencing slow response time while running multiple, full-screen
                    applications, try running the applications in either one or fewer, full-screen
                    sessions. If possible, run multiple applications in one session. Use the
                    NetView ROLL command to switch between them.
                  • If the environment runs with the LOGONPW command enabled, it is still
                    required that you log on to the NetView 3270 Management Console.




152    Automation Using Tivoli NetView OS/390 V1R3 and System Automation OS/390 V1R3
• When installing the NetView 3270 Management Console in a UNIX
  environment, close your terminal window after installing the client and
  then open another terminal window to run the client.
• Environment space errors in Windows 95 and 98. It might be possible that
  the batch files used to set up and launch the NetView 3270 Management
  Console may require additional environment space. This can be adjusted
  via the memory properties setting for MSDOS windows or through the
  shortcut icons.
• Screen corruption on scrollable panels. Panels with scrollbars may show
  screen corruption when moving the scrollbar. Manipulating the scrollbars
  for a few seconds will clear up this condition.
• Out of memory errors on Windows 95. Opening a large number of
  full-screen sessions (typically, greater than 15) on Windows 95 may cause
  out of memory errors. Increasing the amount of memory on the machine
  may help this problem.




                       Chapter 6. Installation of the NetView Management Console   153
154   Automation Using Tivoli NetView OS/390 V1R3 and System Automation OS/390 V1R3
Chapter 7. Maintenance of Tivoli NetView and System Automation

                  This chapter contains directions and tips for an optimized maintenance of the
                  automation features of Tivoli NetView and System Automation, which will
                  include the AUTOMAN maintenance panels and performance issues for the
                  automation table structure.


7.1 Automation table maintenance using AUTOMAN
                  One of the various functions AON provides are the AUTOMAN maintenance
                  panels for servicing a single or multiple NetView automation tables. The
                  following section describes how the AUTOMAN function can be enabled in the
                  System Automation NetView and introduces the AUTOMAN functionality.

                  The AUTOMAN maintenance panels and the AON inform policy functions,
                  further described in Section 9.3, “Using NetView AON inform policies by
                  System Automation” on page 214, can be implemented on a System
                  Automation NetView without having to install any other AON code or
                  functions.

7.1.1 Enabling the AUTOMAN function for the Automation NetView
                  To enable the AUTOMAN function for the automation environment, the
                  Automation NetView start-up procedure and three members of the DSIPARM
                  library have to be modified to include the necessary AON library datasets and
                  commands.

                  7.1.1.1 Modifying the Automation NetView start-up procedure
                  The following changes to the Automation NetView start-up procedure need to
                  be performed in order to use AUTOMAN:
                  1. STEPLIB:
                      Add NETVIEW.V1R3M0.SZELLINK to the STEPLIB concatenation so that
                      AUTOMAN modules can be called in the Automation environment.
                             //STEPLIB   DD   DSN=&SQ2..SINGMOD1,DISP=SHR
                             //          DD   DSN=&SQ1..CNMLINK,DISP=SHR
                             //          DD   DSN=NETVIEW.V1R3M0.SEZLLINK,DISP=SHR
                             //          DD   DSN=&SQ1..SEKGMOD1,DISP=SHR
                  2. DSICLD:
                      Add NETVIEW.V1R3M0.SEZLCLST to CLIST library so that operators can
                      execute AUTOMAN commands from NCCF panel of the Automation
                      Netview environment.



© Copyright IBM Corp. 2000                                                                 155
//DSICLD     DD    DSN=&Q1..&DOMAIN..CNMCLST,DISP=SH
                      //           DD    DSN=&SQ2..SINGNREX,DISP=SHR
                      //           DD    DSN=&SQ1..CNMCLST,DISP=SHR
                      //           DD    DSN=NETVIEW.V1R3M0.SEZLCLST,DISP=SHR
               3. DSIPNL1:
                   Add NETVIEW.V1R3M0.SEZLPNLU to PANEL library, so all AUTOMAN
                   panels can be displayed when the AUTMAN command is issued in the
                   Automation NetView environment.
                      //CNMPNL1    DD    DSN=&SQ2..SINGNPNL,DISP=SHR
                      //           DD    DSN=&SQ1..CNMPNL1,DISP=SHR
                      //           DD    DSN=NETVIEW.V1R3M0.SEZLPNLU,DISP=SHR
                      //           DD    DSN=&SQ1..SEKGPNL1,DISP=SHR

               7.1.1.2 Update the Automation DSIPARM library
               Copy the member DSICMDM from the NetView install library,
               NETVIEW.V1R3M0.DSIPARM, to the common automation NetView DSIPARM
               library NETVIEW.SYSTEM.DSIPARM, and modify the member DSICMDM by
               uncommenting the statement %INCLUDE EZLCMDI.

               After this modification, restart the Automation NetView, and the AUTOMAN
               functions are enabled and available within the Automation NetView.


                      Note
                 Several AON functions such as INFORM, AUTOMAN, TIMER, SMTP email
                 and TCP/IP commands can be run without other AON automation functions
                 being active. The above steps will enable all of these functions.

                 The AON TIMER functions and the SA/390 TIMER functions cannot run
                 simultaneously in the same operating system environment. The default is the
                 AON TIMER function.

                 Refer to Tivoli NetView for OS/390 Automated Operations Network Users
                 Guide, GC31-866, for further details.

                 For further detailed compatibility information and the latest System Automation
                 APAR for NetView V1R3 toleration refer to Chapter A, “NetView 1.3 toleration
                 for System Automation 1.3” on page 231.


7.1.2 Using AUTOMAN command
               An automation table is made up of many included members. The automation
               table management (AUTOMAN) enables manipulation of individual or multiple



156   Automation Using Tivoli NetView OS/390 V1R3 and System Automation OS/390 V1R3
automation tables through a full-screen panel interface, also enabling
changes to selected tables or changes that have an affect on all automation
tables.

The AUTOMAN command manages loading of tables, displays BEGIN/END
structures, and helps in several other useful ways, but it does not assist in
creating automation table statements. Using AUTOMAN is a convenient way
to perform actions against the automation tables without having to remember
the AUTOTBL command syntax. The AUTOMAN panels may look similar to
AON, but are easily accessible from the NetView NCCF interface.

For some of the AUTOMAN functions, there are LISTING members produced
within the DSILIST dataset. These LISTING files may also be created with
native AUTOTBL commands, but it is not necessary to remember a stack of
parameters. Using AUTOMAN, this information, and all the parameters, is
included.

The AUTOMAN command integrates AUTOTBL, AUTOCNT, and other
NetView AON functions, which makes it a panel-driven tool of ease and
convenience.

The key functions AUTOMAN provides include:
 • Display function
 • Insert Function
 • Enable/Disable function
 • Reload/Unload function

From the NetView NCCF interface, simply enter the AUTOMAN command. It
will start the main menu of the AUTOMAN tool as shown in Figure 71 on page
158.




                      Chapter 7. Maintenance of Tivoli NetView and System Automation   157
EZLK8500             AUTOMATION TABLE MANAGEMENT

                  AUTOMATION TABLE       Enter any character in the selection fields
                  SEL POS NAME       STATUS MARKERS            TASK     DATE      TIME
                  _     1 AOFMSG01   ENABLED                   AUTO1    12/07/99 16:45:47
                  _     2 AOFTST01   ENABLED                   GAO      12/09/99 12:21:39
                  _     3 DSITBL99   ENABLED                   GAO      12/09/99 12:22:01




                  Command ===>
                  F1=Help      F2=Main Menu F3=Return     F4=Commands F5=Refresh F6=Roll
                  F7=Backward F8=Forward    F9=Responses F10=Global Commands     F12=Cancel

               Figure 71. Automation Management Tool AUTOMAN

               AUTOMAN initially displays all loaded tables in their correct order. Each table
               on the panel is able to be addressed and edited by moving the cursor.

               On the main menu of AUTOMAN, the predefined PF keys displayed at the
               bottom of the panel are used for the desired functions. Select an automation
               table to work with and press PF4 for commands to that automation table, or
               select PF10 to act on all automation tables to make global changes.

               In the ITSO project example, the automation table, AOFMSG01, is selected,
               and by pressing PF4, the specific command menu is displayed as shown in
               Figure 72.




158   Automation Using Tivoli NetView OS/390 V1R3 and System Automation OS/390 V1R3
EZLKATBC             AUTOMATION TABLE MANAGEMENT

  AUTOMATION TABLE      Enter any character in the selection fields
  SEL POS NAME       ...................................................
  /     1 AOFMSG01   : COMMANDS (Choose a highlighted command option) :
  _     2 AOFTST01   :                                                 :
  _     3 DSITBL99   : 8      1 -ENABLE the selected tables            :
                     :        2 -DISABLE the selected tables           :
                     :        3 -RELOAD the selected tables            :
                     :        4 -TEST the selected tables              :
                     :        5 -ENABLE/DISABLE parts of the           :
                     :           selected tables                       :
                     :        6 -UNLOAD selected tables                :
                     :        7 -INSERT a table                        :
                     :        8 -DISPLAY options                       :
                     :                                                 :
                     : Enter=Execute Command         F3 or F12=Cancel :
                     :.................................................:


  Command ===>
  F1=Help      F2=Main Menu                                            F6=Roll

Figure 72. Commands Menu of AUTOMAN

The available command actions are as follows:
 • DISABLE automation table
 • ENABLE automation table
 • RELOAD automation table
 • TEST statement syntax of automation table
 • INSERT a new automation table in active list
 • DISPLAY every information about automation table

AUTOMAN is very beneficial for easily reloading a table that has been
changed without having to remember the exact AUTOTBL command syntax.

7.1.2.1 AUTOMAN display function
AUTOMAN provides very strong display functionality on automation tables,
including:
 • Simple automation table without INLCUDEs
 • Detail automation table with all INLCUDEs
 • Synonyms of automation table
 • Automation table utilization report
 • Listing file on DSILIST


                      Chapter 7. Maintenance of Tivoli NetView and System Automation   159
To display information about automation table AOFMSG01, select the
               DISPLAY option by entering 8 from commands menu. This option will display
               the following DISPLAY menu as shown in Figure 73.


                  EZLKATLD             AUTOMATION TABLE MANAGEMENT

                  AUTOMATION TABLE       Enter any character in the selection fields
                  SEL POS NAME        ...................................................
                  /     1 AOFMSG01 : COMMANDS (Choose a highlighted command option) :
                  _     2 AOFTST01 :                                                    :
                  _     3 DSITBL99 : 8         1 -ENABLE the selected tables            :
                            .............................................................
                            : DISPLAY OPTIONS (select option and press ENTER)           :
                            :                                                           :
                            : 3 1 - Browse table with includes       8 - Browse listing :
                            :     2 - Browse table without includes                     :
                            :     3 - Display INCLUDE structure                         :
                            :     4 - Display synonyms                                  :
                            :     5 - Display labels/blocks/groups                      :
                            :     6 - Display disabled statements                       :
                            :     7 - Display AUTOCNT statistics                        :
                            :...........................................................:


                  Command ===>
                  F1=Help      F2=Main Menu   F3=Return                             F6=Roll
                                                                                   F12=Cancel

               Figure 73. AUTOMAN display menu for INCLUDE structure

               Using AUTOMANs DISPLAY function, any information about the automation
               table can be selected and browsed.

               For example, to review the INCLUDE structure of AOFMSG01, select 3 from
               DISPLAY menu, and the INCLUDE structure list of AOFMSG01 will be
               displayed as shown in Figure 74 on page 161.




160   Automation Using Tivoli NetView OS/390 V1R3 and System Automation OS/390 V1R3
CNMKWIND OUTPUT FROM %INCLUDE STRUCTURE DISPLAY              LINE 0 OF 22
  *------------------------------- Top of Data --------------------------------*
  AOFMSG01 PRIMARY TABLE
     AOFMSGSY
     AOFMSGGW
     AOFMSGST
     AOFMSGTS
     AOFMSGMS
     AOFMSGHI
     AOFMSGBL
     AOFMIO
     AOFMNETV
     AOFMSGGN
     AOFMVTAM
     AOFMAPPC
     AOFMMVS
     AOFMJES2
     AOFMJES3
     AOFMTSO
 TO SEE YOUR KEY SETTINGS, ENTER 'DISPFK'
  CMD==>

Figure 74. %INCLUDE structure for automation table AOFMSG01

In addition to automation table structure information, the ability to collect
utilization or statistics information about automation tables by using the
AUTOCNT function is included in the AUTOMAN commend menu.

In the ITSO example, to display the automation table utilization of
AOFMSG01, option 7 from the DISPLAY menu was selected.


  EZLKATLD             AUTOMATION TABLE MANAGEMENT

  AUTOMATION TABLE       Enter any character in the selection fields
  SEL POS NAME        ...................................................
  /     1 AOFMSG01 : COMMANDS (Choose a highlighted command option) :
  _     2 AOFTST01 :                                                    :
  _     3 DSITBL99 : 8         1 -ENABLE the selected tables            :
            .............................................................
            : DISPLAY OPTIONS (select option and press ENTER)           :
            :                                                           :
            : 7 1 - Browse table with includes       8 - Browse listing :
            :     2 - Browse table without includes                     :
            :     3 - Display INCLUDE structure                         :
            :     4 - Display synonyms                                  :
            :     5 - Display labels/blocks/groups                      :
            :     6 - Display disabled statements                       :
            :     7 - Display AUTOCNT statistics                        :
            :...........................................................:

  Command ===>

Figure 75. Display menu for AUTOCNT



                      Chapter 7. Maintenance of Tivoli NetView and System Automation   161
The AUTOCNT statistics report panel is displayed in Figure 76.


                  CNMKWIND OUTPUT FROM AUTOCNT STATISTICS                      LINE 0 OF 374
                  *------------------------------- Top of Data --------------------------------*
                  DWO800I AUTOMATION TABLE MSG DETAIL REPORT BY GAO
                  -----------( AOFMSG01/AOFMS292 MESSAGE DETAILS 12/03/99 00:00:20 )------------
                  GAO      COMPLETED INSERT FOR TABLE #1: AOFMSG01 AT 12/02/99 23:41:14
                                                                              |-- PERCENTAGES --|
                  STMT L SEQUENCE NUMBER/ MEMBER    COMPARE    MATCH E C A D MATCH/ COMP/ MATCH/
                  NUMB I LABEL NAME       NAME      COUNT      COUNT C I I I COMP TOTAL TOTAL
                  -------------------------------------------------------------------------------
                  MEMB                    AOFMSG01
                  MEMB                    AOFMSGSY
                  0051 S 00087000         AOFMSG01      110      110 0 X X 100.0 100.0 100.0
                  0052 S 00105000         AOFMSG01      110        0 0          0.0 100.0 0.0
                  0053 S 00113000         AOFMSG01        0        0 0          -.-    0.0 0.0
                  0054 S 00121000         AOFMSG01        0        0 0          -.-    0.0 0.0
                  0055 S 00129000         AOFMSG01        0        0 0          -.-    0.0 0.0
                  0056 S 00137000         AOFMSG01        0        0 0          -.-    0.0 0.0
                  0057 S 00145000         AOFMSG01        0        0 0          -.-    0.0 0.0
                  MEMB                    AOFMSGGW
                  0059 S 00037630         AOFMSGGW      110        0 0          0.0 100.0 0.0
                  0060 S 00041590         AOFMSGGW      110        0 0          0.0 100.0 0.0
                  0061 S 00051490         AOFMSGGW      110       95 0         86.4 100.0 86.4
                  TO SEE YOUR KEY SETTINGS, ENTER 'DISPFK'
                  CMD==>

               Figure 76. AUTOCNT statistics report of AOFMSG01

               The AUTOCNT report will be described in more detail in Section 7.2, “Netview
               and automation table optimization for performance” on page 166.

               More information about automation tables may be obtained by selecting other
               items from the DISPLAY menu of AUTOMAN.

               7.1.2.2 AUTOMAN Insert Function
               An automation table is easily inserted into the list of active automation tables
               and is put in the correct position by using the AUTOMAN menu.

               The following example shows how to insert the new automation table,
               AOFTST02, into AUTOMANs active tables list. Continue to select the main
               automation table, AOFMSG01, and choose option 7 from the commands
               menu as shown in Figure 77 on page 163.




162   Automation Using Tivoli NetView OS/390 V1R3 and System Automation OS/390 V1R3
EZLKATBC                    AUTOMATION TABLE MANAGEMENT

  AUTOMATION TABLE          Enter any character in the selection fields
  SEL POS NAME           ...................................................
  /     1 AOFMSG01       : COMMANDS (Choose a highlighted command option) :
  _     2 AOFTST01       :                                                 :
  _     3 DSITBL99       : 7      1 -ENABLE the selected tables            :
                         :        2 -DISABLE the selected tables           :
                         :        3 -RELOAD the selected tables            :
                         :        4 -TEST the selected tables              :
                         :        5 -ENABLE/DISABLE parts of the           :
                         :           selected tables                       :
                         :        6 -UNLOAD selected tables                :
                         :        7 -INSERT a table                        :
                         :        8 -DISPLAY options                       :
                         :                                                 :
                         : Enter=Execute Command         F3 or F12=Cancel :
                         :.................................................:


  Command ===>
  F1=Help      F2=Main Menu                                                   F6=Roll
                                                                             F12=Cancel

Figure 77. Command menu for INSERT of an automation table

The INSERT function is called, and the following Table Insert panel is
displayed.


  EZLKATBI                    AUTOMATION TABLE MANAGEMENT

   AUTOMATION TABLE INSERT PANEL (Press Enter to process INSERT request)

    Preceding Table        Focus Table AT= 1      Next Table
    ---------------------- ---------------------- ----------------------
    N/A                    AOFMSG01               AOFTST01

    SELECT INSERT OR TEST OPTION

    2 1    -   AT(DEFAULT)          Table Name    AOFTST02 (Required)
       2   -   AFTER                Listing Name AUTOM876 Default listing name
       3   -   BEFORE                                      (names can be reused,
       4   -   REPLACE                                      but cannot be in use
       5   -   FIRST                                        by another table)
       6   -   LAST                 SELECT A MARKER OPTION
    OR
       7   - AUTOTBL TEST                Enter your own marker



  Command ===>
  F1=Help F3=Return                                                           F6=Roll
                                                                             F12=Cancel

Figure 78. Table Insert panel for an automation table



                             Chapter 7. Maintenance of Tivoli NetView and System Automation   163
The exact automation table position can be controlled by key parameter as
               shown in Figure 78 on page 163. Several options to determine where the new
               automation table is to be inserted are available. In this example, the AFTER
               option 2 is chosen, and the new AOFTST02 will be inserted after AOFMSG01
               and before AOFTST01.

               In addition, it would be possible to test the new automation table and its
               results of insertion by selecting the AUTOTBL TEST option 7.

               After the new automation table, AOFTST02, is inserted into the active
               automation table list, this list in displayed to the user as demonstrated in
               Figure 79.


                  EZLK8500             AUTOMATION TABLE MANAGEMENT

                  AUTOMATION TABLE       Enter any character in the selection fields
                  SEL POS NAME       STATUS MARKERS            TASK     DATE      TIME
                  _     1 AOFMSG01   ENABLED                   AUTO1    12/07/99 16:45:47
                  _     2 AOFTST02   ENABLED                   GAO      12/09/99 12:27:44
                  _     3 AOFTST01   ENABLED                   GAO      12/09/99 12:21:39
                  _     4 DSITBL99   ENABLED                   GAO      12/09/99 12:22:01




                  Command ===>
                  F1=Help      F2=Main Menu F3=Return     F4=Commands F5=Refresh F6=Roll
                  F7=Backward F8=Forward    F9=Responses F10=Global Commands     F12=Cancel

               Figure 79. Updated automation table list of AUTOMAN


               7.1.2.3 AUTOMAN Enable/Disable function
               The AUTOMAN function of enabling or disabling is not limited to the
               automation table as a whole member but, instead, can operate on various
               range levels of the automation table. Based on its structure, AUTOMAN can
               perform Enable/Disable action on statements, blocks, labels, groups, or entire
               automation tables.

               As an example, the following scenario details the Enable/Disable function for
               only a part of the AOFMSG01 automation table. By selecting the specific
               automation table, AOFMSG01, and option 5 from the commands menu, as
               shown in Figure 80 on page 165, the automation table statement selection
               panel will be displayed as illustrated in Figure 81 on page 165.




164   Automation Using Tivoli NetView OS/390 V1R3 and System Automation OS/390 V1R3
EZLKATBC               AUTOMATION TABLE MANAGEMENT

  AUTOMATION TABLE        Enter any character in the selection fields
  SEL POS NAME         ...................................................
  /     1 AOFMSG01     : COMMANDS (Choose a highlighted command option) :
  _     2 AOFTST02     :                                                 :
  _     3 AOFTST01     : 5      1 -ENABLE the selected tables            :
  _     4 DSITBL99     :        2 -DISABLE the selected tables           :
                       :        3 -RELOAD the selected tables            :
                       :        4 -TEST the selected tables              :
                       :        5 -ENABLE/DISABLE parts of the           :
                       :           selected tables                       :
                       :        6 -UNLOAD selected tables                :
                       :        7 -INSERT a table                        :
                       :        8 -DISPLAY options                       :
                       :                                                 :
                       : Enter=Execute Command         F3 or F12=Cancel :
                       :.................................................:


  Command ===>
  F1=Help      F2=Main Menu                                             F6=Roll
                                                                       F12=Cancel

Figure 80. Commands menu for Enable/Disable function

AUTOMAN defines various function keys for every range, for example, group,
block and statement as displayed in Figure 81.


 EZLKENDI               AUTOMATION TABLE MANAGEMENT                     More: - +

  AUTOMATION TABLE (Place cursor on statement and select action)
  MEMBER LVL STATEMENT
  AOFMSG01 001 ALWAYS SYSLOG(N) NETLOG(Y) DISPLAY(Y) CONTINUE(Y);
  AOFMSG01 001 IF MCSFLAG(6) = '1' THEN BEGIN;
  AOFMSG01 002 IF SYSID¬='SC66' & MSGID = 'AOF' . THEN DISPLAY(N) NETLOG(N);
  AOFMSG01 002 IF TASK='PPT' & MSGID = 'AOF' . THEN DISPLAY(N) NETLOG(N);
  AOFMSG01 002 IF ATTENDED='1' & DISTAUTO='0' & AUTOTASK='1' THEN DISPLAY(N)
  AOFMSG01 002 NETLOG(N);
  AOFMSG01 002 IF MSGID = 'AOF' . & IFRAUSDR ¬= 'SC66ASIR' THEN DISPLAY(Y)
  AOFMSG01 002 NETLOG(N);
  AOFMSG01 002 IF IFRAUSDR¬='SC66ASIR' THEN DISPLAY(Y) NETLOG(Y);
  AOFMSG01 002 END;
  ******** 001 START OF AOFMSGGW
  AOFMSGGW 001 IF MSGID = 'GWREQ' THEN DISPLAY(Y) NETLOG(N) SYSLOG(N);
  AOFMSGGW 001 IF MSGID = 'ROUTE' THEN DISPLAY(Y) NETLOG(Y) SYSLOG(N);
 Command ===>
  F1=Help                F2=Main Menu      F3=Return         F4=Enable
  F5=Display Group/Block F6=Roll           F7=Backward       F8=Forward
  F9=Disable Stmt/Member F10=Disable Block F11=Disable Group F12=Results

Figure 81. Enable/Disable Selection panel




                       Chapter 7. Maintenance of Tivoli NetView and System Automation   165
Select the appropriate group, block, or statement within the automation table,
               and press the specific function key to enable or disable the selected area.

               For example, to disable a statement, place the cursor onto the prefix of that
               statement and press PF9, which will change the color of that statement. The
               following message will be displayed indicating that the action has completed
               successfully:
                   EZL919I ALL ACTIONS SUCCESSFULLY COMPLETED



7.2 Netview and automation table optimization for performance
               This section provides basic tuning considerations to improve general NetView
               and automation table performance. Basics rules and hints will be given to
               help the NetView program and its network and automation environment
               achieve a certain performance level in areas, such as response time,
               resource utilization, and data throughput.

7.2.1 NetView automation table
               Since the NetView automation table is searched sequentially from top to
               bottom, a thoughtful automation table design and structure will provide a
               substantial performance improvement.

               Automation of system and network messages and MSUs is accomplished
               with automation table statements, such as IF-THEN, BEGIN-END, ALWAYS,
               SYN, and %INCLUDE within the NetView automation table, which is activated
               by the AUTOTBL command. Messages and MSUs are passed through the
               active NetView automation table structure to sequentially search one or more
               of the above automation table statements that indicate actions to be
               performed for that individual message or MSU.

               The following sections describe basics guidelines for a reliable automation
               table design and structure.

               7.2.1.1 BEGIN/END statements
               BEGIN/END statements provide a logical segmentation of the automation
               table, reducing the number of automation statements that must be scanned.
               Automation tables should be designed so that each message prefix (such as
               DSI), each MSU major vector (such as major vector X'0000'), and specific
               subvectors have BEGIN/END sections.

               If BEGIN/END sections are dedicated to the specific message and MSU
               classes, the number of statements that must be scanned is by far smaller



166   Automation Using Tivoli NetView OS/390 V1R3 and System Automation OS/390 V1R3
than all IF-THEN and ALWAYS statements to be scanned. If each message
class has its own unique BEGIN/END section, placing ALWAYS statements
as the last ones in a section prevents the automation table from being
scanned further if no automation table match was found. The following screen
in Figure 82 is a simple example of IF-THEN, BEGIN/END, ALWAYS usage:


 IF MSGID = 'AOFDATA:'
    THEN
      BEGIN;

        IF ATF('DSICGLOB AOF.RPC.0DEBUG') = 'Y'
        THEN
          DISPLAY(Y) NETLOG(Y);

        ALWAYS DISPLAY(Y) NETLOG(N);

      END;



Figure 82. Example of using BEGIN/END and IF statements

Another design criteria of building the automation table structure is the
frequency of use of specific statements or blocks. Order the BEGIN/END
sections according to their frequency of use to eliminate frequently appearing
messages to pass long lists of statements before final matches occur.

      Note
 The less criteria statements to be scanned before a match occurs, the
 better the overall performance of the system and its automation.

For example, if a large number of VTAM messages are received, a
BEGIN/END section to handle IST messages should be at or near the top of
the automation table to decrease the number of statements that must be
evaluated before the correct BEGIN/END section is found.

      Note
 Use the AUTOCNT command to determine the usage of automation table
 statements and find out what statements are more frequently used than
 others. Refer to the Tivoli Netview for OS/390 Tuning Guide, SC31-8240,
 for further information about the AUTOCNT command.

The following screen in Figure 83 on page 168 illustrates the summary output
result of the AUTOCNT command.




                      Chapter 7. Maintenance of Tivoli NetView and System Automation   167
NCCF                      Tivoli NetView SC66A GUIMARA 12/09/99 16:18:42
                 * SC66A    AUTOCNT REPORT=MSG,STATS=SUMMARY,DISPLAY
                 ' SC66A
                 DWO801I AUTOMATION TABLE MSG SUMMARY REPORT BY GUIMARA
                 -----------( AOFMSG01/******** MESSAGE SUMMARY 12/09/99 16:18:42 )------------
                 AUTO1    COMPLETED INSERT FOR TABLE #1: AOFMSG01 AT 12/07/99 16:45:47
                 STATISTICS STARTED          = 12/07/99 16:45:47
                 TOTAL MSGS PROCESSED        =    17535
                 MSGS MATCHED                =    17535
                 MSGS RESULTING IN COMMANDS =       176
                 TOTAL COMMANDS EXECUTED     =      194
                 TOTAL ROUTES EXECUTED       =        0
                 AVERAGE COMPARES/MSG        =       34.38
                 AVERAGE MSGS/MINUTE         =        6
                 MINUTES ELAPSED             =     2852


              Figure 83. AUTOCNT command summary results


               7.2.1.2 Other automation table design guidelines
               The following considerations for designing the automation table structure help
               to reduce processing overhead and enhance automation performance:
                 • Use IF-THEN statements and ALWAYS statements to specify that no
                   action should be performed, thus eliminating unnecessary processing
                   time.
                 • Use the ASSIGN command to split the messages among several
                   autotasks.
                   This will prevent automation performance bottlenecks due to a high
                   number of unsolicited messages queueing for processing on one single
                   autotask.
                 • Eliminate simple command procedures (REXX clists) whose function can
                   be processed in the automation table directly.
                   The invocation of the clist and its interpretation takes longer than direct
                   processing from the automation table.

7.2.2 Additional hints and tuning considerations
               This section is a summary of other best practices and additional hints that
               help improve the overall NetView performance:
                 • Limit the number of system messages that the NetView program has
                   to process
                   The NetView automation table is searched for most messages that pass
                   through the NetView program. Therefore, it is important to limit the system
                   message traffic sent to the NetView program to only those messages that


168   Automation Using Tivoli NetView OS/390 V1R3 and System Automation OS/390 V1R3
should be considered for automation or to those that are needed for
  display purposes.
  On OS/390 systems, the MPFLSTxx member of SYS1.PARMLIB identifies
  whether a message is eligible for automation processing. Specify
  AUTO(YES) or AUTO(NO) to identify whether a message is eligible for
  automation processing.
 • Optimize the VSAM CISIZE’ and DSIZVLSR (LSR/DFR) buffer settings.
  Use the VSAMPOOL command to check the buffer usage, and:
    - Save main storage by removing buffers that were never used.
    - Reduce the number/size of infrequently used buffers.
    - For index buffers that are frequently used, the number of buffer finds
      (BFRFND) should be at least 10-20 times the number of buffers reads
      (BUFRDS).
      It may be necessary to increase the number of buffers to achieve this
      ratio.
    - For data buffers that are frequently used, the number of buffer finds
      should be greater than the number of buffer reads.
 • Use the improved MEMSTORE command to ensure that frequently used
   clists are loaded in storage for faster access and reduced disk I/O.
  The MEMSTORE command should be run periodically from the same
  task, preferably an autotask. The MEMSTORE command obtains a list of
  members that have been read very often from disk and loads these
  members into storage specified by the command.
  If necessary, members with low disk I/O, but previously being loaded into
  storage by this task, will be unloaded.
 • Use the IDLEOFF command to examines operator idle times and stop
   them after a defined period of time. Idle time is defined as the time since
   new input was provided by the task owner.

Figure 84 on page 170 shows how to use the MEMSTORE and IDLEOFF
commands in the NetView initialization clist CNME1034.

 Note

 To start automatically the MEMSTORE and IDLEOFF features, uncomment
 these statements in the CNME1034 NetView initialization clist.




                    Chapter 7. Maintenance of Tivoli NetView and System Automation   169
/* If you wish to run MEMSTORE to keep high-use PDS members in
                   storage instead of on disk, modify and uncomment the following
                   lines. For more information enter HELP MEMSTORE and/or refer to
                   to the commentary in CNME1054.                                     */
                /* 'PIPE CC AUTOTASK OPID=memstask | CONS'                    */
                /* 'OVERRIDE MAXIO=0,TASK=memstask'                           */
                   'EVERY 00:02:00 ROUTE=AUTO1 EVERYCON=YES MEMSTORE 5% 5'

                /* If you wish to run IDLEOFF to log off idle operators, modify and
                   uncomment the following line. For more information enter
                   HELP IDLEOFF and/or refer to the commentary in CNME1057.           */
                   'IDLEOFF INIT AUTO1 60 10'

              Figure 84. MEMSTORE and IDLEOFF statements in the CNME1034 Clist



7.3 Maintenance of the System Automation policy data base
               The System Automation policy database is created and built with the dialog
               tool described in Section 5.3, “Defining all systems and objects to System
               Automation” on page 60 and in Chapter 6. An optimized structure of the
               System Automation policy database is recommended because the System
               Automation workload depends on the structure of its policy database and
               usage of its advanced features.

               The following sections provide some considerations, derived from the
               experiences of the ITSO automation project, about how to use and optimize
               the System Automation policy database. The topics are as follows:
                 • Design a hierarchical structure for the SA policy database
                 • Use ADD/REMOVE commands to reload/unload the SA policy database
                 • RACF considerations
                 • Migrate policies from previous AOC
                 • Build ACF and RODM
                 • Produce an SA policy database report
                 • Use ACFPLOAD command

7.3.1 Design a hierarchical structure
               Before the creation of the System Automation policy database, design the
               database structure first. Divide the applications into different groups
               according to their characteristics and functions. Have applications with
               common policies share a generic application class. By using the class
               support, redundant definitions are eliminated, and changes to the SA policy
               database are substantially easier.


170   Automation Using Tivoli NetView OS/390 V1R3 and System Automation OS/390 V1R3
For example, automate TSO and TCPIP with a generic class, since TSO and
           TCPIP have very similar common policies, including the unique parent
           application VTAM, start-up, and shutdown behaviors. Define this generic
           application class with all the common policies, and associate this application
           class to TSO and TCPIP.

           In a sysplex policy database, the usage of clone names and symbolics is very
           important for the applications to be able to run on the multiple systems within
           the sysplex environment.

           A thoughtfully designed and optimized System Automation policy database
           will tremendously reduce the overall maintenance effort.

7.3.2 Using ADD/REMOVE commands
           The ADD command is used to add a policy database from a given dataset,
           which was previously removed. The ADD functions works like adding a new
           catalog entry to the System Automation policy database list without actually
           creating a new policy database.

           The REMOVE command is used for removing a policy database from System
           Automation policy list, such as issuing an UNCATALOG command to that
           existing policy database. The dataset of the removed policy database is not
           actually deleted.

           After a policy database has been created and applied on the system, it may
           be removed from the policy database list, in the case that changes are
           necessary. Submit the MVS IEBCOPY function to back up the policy
           database. When the required policy database changes are completed, it may
           be added back to the policy database list.

           On a sysplex environment, System Automation administrators on the target
           systems or focal point system sometimes need to review or change policy
           database settings to improve automation performance. Sharing one policy
           database is, for example, possible by using the ADD command for this
           particular policy database.

7.3.3 RACF considerations
           In general, the System Automation policy database is only used by its
           administrators. The RACF facility is used to protect the policy database, and
           to define this database as a RACF class resource.

           Use the ADDSD command to add the policy database as a RACF class:
              ADDSD <dsname> UACC(NONE) AUDIT(ALL(READ))



                               Chapter 7. Maintenance of Tivoli NetView and System Automation   171
where <dsname> represents the policy dataset name.

               Use the PERMIT command to grant userids to alter the policy database:
                   PERMIT <dsname> ID(<userid>) ACCESS(ALTER)

               where <dsname> represents the policy dataset name and <userid> the System
               Automation administrator.

7.3.4 System Automation migration
               A migration function is provided by the System Automation policy dialog to
               migrate from earlier release to current release. The following functions are
               available for System Automation V1R3:
                 • Add an existing AOC/MVS or SA OS/390 automation control file to the
                   policy database
                 • Transform the format of existing AOC/MVS enterprise policy databases
                 • Add existing TSCF configuration

               Use the System Automation MIGRATE command or the action menu
               MIGRATE to initiate a migration.

               For detailed information on how to migrate, refer to System Automation for
               OS/390 V1R3 Customization, GC28-1566.

7.3.5 Building for ACF and RODM
               After the Automation NetView start-up, the current Automation Control File
               (ACF) and RODM policy data will be managed and controlled by NetView and
               RODM. During the online access of NetView and RODM to this policy
               information, the user is limited in the use and the update of this policy
               database.

               It is recommended that different datasets are used for the policy database
               and ACF, RODM datasets. When building a policy database, the user is
               prompted by the function, Build Output Dataset. It is advised to use another
               dataset name at this point so that the policy database may be operated and
               updated without any limitation.

               For detailed information on how to build the ACF and the RODM load
               statements, refer to the manual System Automation for OS/390 V1R3
               Customization, GC28-1566.




172   Automation Using Tivoli NetView OS/390 V1R3 and System Automation OS/390 V1R3
7.3.6 Policy report
            System Automation provides report functions to its administrator to print a
            description for the automation policy. By using the REPORT command or the
            REPORT menu action, the report will be produced.

            Use the GML or Bookmaster function to read or print the report.

7.3.7 ACFPLOAD
            The ACFPLOAD command allows changes to be made to the automation
            configuration policy without reloading the entire ACF or interrupting the
            automation processing.

            For ACFPLOAD command usage, the user needs to know the specific
            member name of the configuration data to be loaded. This can be done from
            the NetView command interface, NCCF, by browsing the AOFACFMP member
            to determine the current configuration file. With ACFPLOAD, local
            modifications can be accomplished without the need to recycle the entire
            ACF.




                               Chapter 7. Maintenance of Tivoli NetView and System Automation   173
174   Automation Using Tivoli NetView OS/390 V1R3 and System Automation OS/390 V1R3
Chapter 8. Base automation features

                  This chapter explains the basic automation features of both products, Tivoli
                  NetView and System Automation. It describes base automation rules for
                  System Automation to better understand and use its automation, as well as
                  the existent and new automation capabilities of Tivoli NetView for OS/390.


8.1 New automation table features of NetView for OS/390 V1R3
                  The following enhancements have been made to the automation table
                  functionality in NetView for OS/390:
                    • Support for multi-line messages
                    • Most IF-THEN condition items can now use substrings
                    • Support of greater-than and less-than operators
                    • Support of numeric comparisons
                    • Support of current date (format mm/dd/yy) and current time (format
                      hh:mm:ss) values as condition items
                    • Values of variables can be used at various places on the IF side of the
                      automation table statement (VALUE() function)
                    • An EDIT action has been added to enable messages and MSUs to be
                      parsed and reformatted
                    • A TRACE action has been added to trace the processing of a message or
                      MSU through the automation table
                    • The AUTOMATED function has been added to test the status of the
                      handling of a message or MSU

                  Examples of these are given below.

                         Note
                    Refer to the Tivoli NetView for OS/390 Automation Guide, SC31-8225, for
                    full details of automation table statement syntax.


8.1.1 Multi-line message support
                  The multi-line message support uses the ACQUIRE automation table
                  condition item, which makes use of the PIPE EDIT stage syntax and function
                  to extract AIFR data.




© Copyright IBM Corp. 2000                                                                      175
An example is shown in Figure 85:


                 *
                 * THIS RESPONSE TO MVS D A,NPM SHOWS IT NEEDS STARTING
                 *
                 *IEE115I 16.38.52 1999.347 ACTIVITY 908
                 * JOBS     M/S    TS USERS    SYSAS    INITS ACTIVE/MAX VTAM       OAS
                 *00007    00050    00003      00030    00055    00003/00050       00026
                 *NPM NOT FOUND
                 *
                 IF MSGID='IEE115I' &
                  ACQUIRE('LINENUM 4 WORD 2.2') = 'NOT FOUND' &
                  ACQUIRE('LINENUM 4 WORD 1') = 'NPM' THEN
                  EXEC(CMD('MVS S NPM'));


               Figure 85. Example of multi-line message processing


8.1.2 IF-THEN condition item substrings
               The IF-THEN condition item substrings allow a length to be specified on the
               compare item instead of having to code a period (.) to terminate the length of
               the compare.

               An example is given in Figure 86.


                 *
                 * Example of substrings in TOKEN
                 *
                 * Output from DIS command if invalid resource is specified :
                 * EG. DIS BILL
                 * IST453I ID        PARAMETER VALUE USIBMSC.BILL      NOT VALID
                 *
                 IF MSGID='IST453I' &
                    TOKEN(5 3 3) = 'IBM' &
                    TOKEN(5 1 7) = NETWORK &
                    TOKEN(5 9) = RES THEN
                    EXEC(CMD('MSG ALL RESOURCE 'NETWORK'.'RES' IS INVALID')
                    ROUTE(ONE *));
                 *

               Figure 86. Automation table IF-THEN substrings

               Issuing the command
                   DIS BILL

               will result in the output shown in Figure 87 on page 177.




176   Automation Using Tivoli NetView OS/390 V1R3 and System Automation OS/390 V1R3
NCCF                      Tivoli NetView SC69N NETOP1 12/14/99 14:50:28
              C SC69N    DISPLAY NET,ID=BILL,SCOPE=ALL
                SC69N    IST453I ID        PARAMETER VALUE USIBMSC.BILL      NOT VALID
              - SC69N    DSI001I MESSAGE SENT TO ALL
              M SC69N    DSI039I MSG FROM NETOP1 : RESOURCE USIBMSC.BILL IS INVALID
              -------------------------------------------------------------------------------

            Figure 87. Output from DIS command exploiting IF-THEN substrings


8.1.3 Greater-than and less-than operator support
            It is now possible to specify comparison ranges using the ‘>=’ and ‘<=’
            operators. Figure 88 shows greater-than and less-than operators used to
            determine the daily work shift hours.


             *
             * Example of greater and less than numeric comparison and current time
             *
             *
             IF MSGID='DSI123I' THEN
               BEGIN;
                 IF CURRTIME(1 2) >= '08' &
                 IF CURRTIME(1 2) <= '17' THEN
                    EXEC(CMD('DAYSHFTC'));
                 ALWAYS
                    EXEC(CMD('OFFSHFTC'));
               END;
             *


            Figure 88. Example of greater-than and less-than operator support


8.1.4 Numeric comparison and current time support
            As demonstrated in Figure 88, it is now possible to perform direct numeric
            comparison and use the current date (CURRDATE) and current time
            (CURRTIME) functions.

8.1.5 Variable value function support
            The new VALUE() function enables variables to be used on the IF side of the
            automation table statement included in the ATF DSICGLOB function. This
            provides flexibility and an opportunity to significantly reduce the number and
            complexity of automation table statements.

            Figure 89 on page 178 demonstrates the new VALUE() function.




                                                               Chapter 8. Base automation features   177
*
                 * Example of variable usage
                 *
                 IF MSGID='IST453I' &
                    TOKEN(5 6 2) = NETSUFF &
                    TOKEN(5 1 7) = 'USIBM'VALUE(NETSUFF) &
                    TOKEN(5 1 7) = NTWK &
                    TOKEN(5 9) = RES &
                    ATF('DSICGLOB MYVAR.'VALUE(NTWK)'.'VALUE(RES)'.ADD.TEXT') = 'YES'
                    THEN
                    EDIT('COPY * /REISSUE DIS COMMAND SPECIFYING A VALID RESOURCE');
                 *

               Figure 89. Example of variable value function support

               In this example, the global variable
                   MYVAR.USIBMSC.FRED.ADD.TEXT

               was set to the value
                   YES

               On issuing the command
                   DIS FRED

               the following output is displayed (Figure 90) showing that the condition in the
               automation table was all true and that the COPY command was issued.


                  NCCF                      Tivoli NetView SC69N NETOP1 12/14/99 15:43:09
                  C SC69N    DISPLAY NET,ID=FRED,SCOPE=ALL
                    SC69N
                  IST453I ID        PARAMETER VALUE USIBMSC.FRED      NOT VALID
                  REISSUE DIS COMMAND SPECIFYING A VALID RESOURCE
                  -------------------------------------------------------------------------------

               Figure 90. Output from DIS command exploiting automation table variables


8.1.6 Message reformatting
               The EDIT action (PIPE EDIT functionality) has been added to make changes
               to an AIFR while it is in the automation table. With EDIT, messages and
               MSUs can be parsed and reformatted. The altered AIFR will continue through
               the automation table.

               Figure 91 through Figure 93 show how a message would be displayed before
               EDIT processing, the automation table statements to reformat it, and how it
               would appear after EDIT processing.




178   Automation Using Tivoli NetView OS/390 V1R3 and System Automation OS/390 V1R3
* SC69N      REFRESH OPERS
             - SC69N      DSI213I ACCESS TO 'REFRESH' IS NOT AUTHORIZED

            Figure 91. Output from REFRESH OPERS command before EDIT action



             *
             * Example of EDIT action
             *
             IF MSGID='DSI213I' THEN
                EDIT('COPY * /CALL USER SUPPORT AT 91-123456/');
             *

            Figure 92. Automation table EDIT action statements



             * SC69N    REFRESH OPERS
             - SC69N
             DSI213I ACCESS TO 'REFRESH' IS NOT AUTHORIZED
             CALL USER SUPPORT AT 91-123456


            Figure 93. Output from REFRESH OPERS command after EDIT action


8.1.7 Automation table tracing
            The TRACE action allows the tracing of a message, or MSU processing, as it
            goes through the automation table. Detailed trace information is displayed on
            the console by the BNH370I for each automation table statement that is
            processed.

                   Note
             The BNH370I message is issued to the console. Logic can be included in
             the automation table to direct it to the NetView log if desired. Do not specify
             a TRACE action for BNH370I, as this will cause a loop.


            An example of an automation table TRACE statement and the console output is
            shown in Figure 94 and Figure 95 on page 180.


             *
             * Example of automation table tracing
             *
             IF MSGID='DSI820I' THEN TRACE('DSI820trace');
             *

            Figure 94. Automation table TRACE statement



                                                                 Chapter 8. Base automation features   179
BNH370I FAIL   MSGID   DSITBL01 DSITBL01 01440002
                 DSI820Trace
                 BNH370I FAIL   AND     DSITBL01 DSITBL01 01440002
                 DSI820Trace
                 BNH370I FAIL   MSGID   DSITBL01 DSITBL01 01570002
                 DSI820Trace
                 BNH370I FAIL   AND     DSITBL01 DSITBL01 01570002
                 DSI820Trace

               Figure 95. TRACE statement output


8.1.8 The AUTOMATED function
               The AUTOMATED function sets or checks an indicator for a message or alert
               that shows whether it has already been automated. This is useful to prevent
               statements that make only a minor change from indicating that the message
               or alert has already been automated, or it could be used at the end of the
               automation table to act on messages and alerts that have not otherwise been
               automated. Figure 96 demonstrates the AUTOMATED function.


                 * AUTOMATED function examples:
                 *
                 * This sets the AUTOMATED indicator to N (NO)
                 *
                 IF MSGID='IST' . THEN
                    SYSLOG(Y) NETLOG(Y) AUTOMATED(N) CONTINUE(Y);
                 *
                 * This checks the AUTOMATED indicator
                 *
                 * If a VTAM message has already been automated turn it BLUE,
                 * Unautomated messages turn YELLOW
                 *
                 IF MSGID='IST' . THEN
                    BEGIN;
                       IF AUTOMATED = '1' THEN
                          COLOR(BLU);
                       ALWAYS COLOR(YEL);
                    END;
                 *

               Figure 96. Examples of AUTOMATED function



8.2 System Automation framework
               The following sections detail some major automation functions that were
               summarized in Section 2.2, “Proactive management of OS/390 subsystem
               tasks” on page 12 and Section 2.3, “Monitoring and recovery capabilities of
               OS/390 subsystems” on page 12.




180   Automation Using Tivoli NetView OS/390 V1R3 and System Automation OS/390 V1R3
8.2.1 Automating subsystems
           As an example, some routine procedures of automating subsystems using the
           new the System Automation functions Events and Triggers will be described.

                     Note
            Refer to System Automation for OS/390 V1R3M0 Customization,
            GC28-1566, for further information about triggers, service periods, and
            events.


           8.2.1.1 Sequential start-up of focal point subsystems
           The following example details the subsequent start-up logic of the RODM and
           GMFHS on the networking focal point system. It implies the following rules:
           1. The NETWORK_RODM job is always cold-started.
           2. The NETWORK_RODM_DM job is a transient job that loads the data
              models into RODM.
           3. The NETWORK_GMFHS job will not start until the RODM data model
              structures are loaded successfully into RODM.

           To define the subsequent logic and rules for these three start-up actions, it is
           necessary to define appropriate messages in the NETWORK_RODM
           subsystem that will be used as a trigger to start the NETWORK_RODM_DM
           job when the RODM subsystem is started successfully.

           Enter the System Automation policy database dialog, as shown in Figure 97
           on page 182, and select the 6 - Application option.




                                                       Chapter 8. Base automation features   181
SA OS/390 Entry Entry Selection
                                            SA OS/390 Type Type Selection
                 Command ===> 6
                      Command ===> 6

                 PolicyDB Name Name : ITSO_ENTERPRISE
                      PolicyDB : ITSO_ENTERPRISE
                 Enterprise Name : ITSO_ENTERPRISE
                      Enterprise Name : ITSO_ENTERPRISE

                   Enterprise Resource Definitions
                        Enterprise Resource Definitions Resource Policy Definitions
                                                             Resource Policy Definitions
                                                                                   More: More:+   +
                   1 Enterprise
                        1 Enterprise       ( ENT ( ENT ) 30 Timers
                                                  )          30 Timers           ( TMR ( TMR )
                                                                                        )
                   2 Group Group
                        2                  ( GRP ( GRP ) 31 Timeout Settings
                                                  )          31 Timeout Settings TMO ( TMO )
                                                                                 (      )
                   3 SubGroup
                        3 SubGroup         ( SBG ( SBG ) 32 Tape Attendance
                                                  )          32 Tape Attendance ( TPA ( TPA )
                                                                                        )
                   4 System
                        4 System           ( SYS ( SYS ) 33 MVS Component
                                                  )          33 MVS Component ( MVC ( MVC )
                                                                                        )
                   5 ApplicationGroup
                        5 ApplicationGroup APG ( APG ) 34 MVSCOMP Defaults
                                           (      )          34 MVSCOMP Defaults MDF ( MDF )
                                                                                 (      )
                   6 Application
                        6 Application (*) ( APL ( APL ) 35 System Defaults
                                           (*) )             35 System Defaults ( SDF ( SDF )
                                                                                        )
                   7 VolumeGroup
                        7 VolumeGroup      ( VLG ( VLG ) 36 Application Defaults ( ADF ( ADF )
                                                  )          36 Application Defaults )
                   8 Volume
                        8 Volume           ( VOL ( VOL ) 37 Auto Operators
                                                  )          37 Auto Operators ( AOP ( AOP )
                                                                                        )
                   9 OperatorView
                        9 OperatorView     ( OPV ( OPV ) 38 Auto Msg Classes
                                                  )          38 Auto Msg Classes AMC ( AMC )
                                                                                 (      )
                  10 Processor
                       10 Processor        ( PRO ( PRO ) 39 Network
                                                  )          39 Network          ( NTW ( NTW )
                                                                                        )
                  11 Communications Path Path ( CMP ) 40 NNT Sessions
                       11 Communications ( CMP )             40 NNT Sessions     ( NNT ( NNT )
                                                                                        )
                                                         41 Resident CLISTs
                                                             41 Resident CLISTs ( RES ( RES )
                                                                                        )

               Figure 97. SA OS/390 Entry Type Selection panel

               In the Application Entry Selection panel, select the desired application, which,
               in this example, is NETWORK_RODM as shown in Figure 98.


                                              SA OS/390 Entry Selection      Row 11 to 22 of 28
                  Command ===>                                                  SCROLL===> CSR

                  Entry Type : Application           PolicyDB Name : ITSO_ENTERPRISE
                                                     Enterprise Name : ITSO_ENTERPRISE

                  Action      Entry Name             C Short Description
                              NETVIEW_CLASS          * NetView Defaults
                              NETVSA                   Automation NetView definition
                              NETVSSI                  NetView subsystem interface
                              NETWORK_GMFHS            Network GMFHS
                              NETWORK_NETVIEW          Network NetView
                              NETWORK_NETVIEW_SSI      Network NetView Interface
                  S           NETWORK_RODM             Network RODM
                              PROCESSOR_OPERATIONS     Processor Operations functions
                              RODM_CLASS             * RODM Defaults
                              SAOS390_GMFHS            System Automation GMFHS
                              SAOS390_NETVIEW          System Automation NetView
                              SAOS390_NETVIEW_SSI      System Automation NetView Interface

               Figure 98. SA OS/390 Application Entry Selection panel

               This selection will bring up the Application Policy Selection panel for
               NETWORK_RODM as illustrated in Figure 99 on page 183.




182   Automation Using Tivoli NetView OS/390 V1R3 and System Automation OS/390 V1R3
SA OS/390 Policy Selection          Row 1 to 12 of 17
    Command ===>                                                       SCROLL===> CSR

    Entry Type : Application               PolicyDB Name : ITSO_ENTERPRISE
    Entry Name : NETWORK_RODM              Enterprise Name : ITSO_ENTERPRISE

    Action        Policy Name            Policy Description
                  DESCRIPTION            Enter description
                  LINK TO CLASS          Link instance to class
                  APPLICATION INFO       Enter and display Application information
                  INFO BRIDGE            Enter INFO Bridge resource name
                  RMF                    Enter RMF objectives and reporting criteria
                  AUTOMATION INFO        Define Application automation information
                  AUTOMATION FLAGS       Define Application automation flags
    S             MESSAGES               Define Application messages
                  SHUTDOWN               Define shutdown procedures
                  THRESHOLDS             Define error thresholds
                  RESTART                Define commands executed at restart
                  MINOR RESOURCES        Define Application sub-component flags

 Figure 99. SA OS/390 Application Policy Selection panel

Select the MESSAGES option and press Enter to create a new message
command. On the specific Message Processing panel, show in Figure 100,
enter the Action keyword, CMD, and the Message ID, ACTIVE.


                                SA OS/390 Message Processing          Row 1 to 6 of 22
   Command ===>                                                        SCROLL===> CSR

   Entry Type : Application               PolicyDB Name : ITSO_ENTERPRISE
   Entry Name : NETWORK_RODM              Enterprise Name : ITSO_ENTERPRISE

   Resource: RODMAON

   Enter messages issued by this resource that will result in automated actions.
   Actions: CMD = Command REP = Reply CODE = CODE

   Action     Message ID             Description                       Cmd Rep Code

   CMD        ACTIVE


 Figure 100. SA OS/390 Application Message Processing panel

For the subsequent start-up of the NETWORK_RODM_DM application every
time the NETWORK_RODM is restarted and identified as to be ACTIVE, it is
required that you specify the appropriate System Automation action as shown
in Figure 101 on page 184.




                                                   Chapter 8. Base automation features   183
SA OS/390 CMD Processing         Row 1 to 3 of 20
                    Command ===>                                                  SCROLL===> CSR

                    Entry Type : Application          PolicyDB Name : ITSO_ENTERPRISE
                    Entry Name : NETWORK_RODM         Enterprise Name : ITSO_ENTERPRISE

                    Resource: RODMAON
                    Message ID: ACTIVE

                    Enter commands to be executed when resource issues the selected message.

                    Pass or Automated
                    Selection Function
                                   Command Text

                                    SETSTATE NETWORK_RODM_DM,RESTART




                 Figure 101. SA OS/390 Application Command Processing panel

               This step finishes the dependency definition between the start-up of
               NETWORK_RODM and NETWORK_RODM_DM. The same definition steps
               have to be processed for the dependency of NETWORK_RODM_DM and the
               start of NETWORK_GMFHS.

               After all definition steps have been processed, it is required to rebuild the
               System Automation control file (ACF file) and recycle the NetView control file
               to have these changes become effective.

               8.2.1.2 Sequential shutdown of focal point subsystems
               The following example details the subsequent shutdown logic of the
               Automation NetView. It implies the following rules:
               1. The subsystem SAOS390_NETVIEW has the dependency to start and
                  stop after the subsystem interface SAOS390_NETVIEW_SSI.
               2. If all subsystems in the system environment are to be terminated, the
                  SHUTSYS ALL command is being issued. The termination of the
                  subsystem, SAOS390_NETVIEW, has to be delayed until all other
                  applications, including SAOS390_NETVIEW_SSI, have successfully
                  terminated.

               To define the subsequent logic and rules for these shutdown actions it is
               necessary to define an appropriate event and trigger for the
               SAOS390_NETVIEW_SSI subsystem that will be used to shutdown the
               SAOS390_NETVIEW application.




184   Automation Using Tivoli NetView OS/390 V1R3 and System Automation OS/390 V1R3
Enter the System Automation policy database dialog and select the EVT or 44
(Events) option as shown in Figure 102 on page 185.


                                 SA OS/390 Entry Type Selection
     Command ===> 44

     PolicyDB Name : ITSO_ENTERPRISE
     Enterprise Name : ITSO_ENTERPRISE

       Enterprise Resource Definitions              Resource Policy Definitions
                                                                               More:     - +
       8   Volume                (   VOL   )        37 Auto Operators        ( AOP )
       9   OperatorView          (   OPV   )        38 Auto Msg Classes      ( AMC )
      10   Processor             (   PRO   )        39 Network               ( NTW )
      11   Communications Path   (   CMP   )        40 NNT Sessions          ( NNT )
                                                    41 Resident CLISTs       ( RES )
      (*) Multi-User-Capable                        42 Status Details        ( SCR )
                                                    43 Communications Task ( CMT )
                                                    44 Events                ( EVT )
                                                    45 Service periods       ( SVP )
                                                    46 Triggers              ( TRG )
                                                    98 Includes              ( ICL )

 Figure 102. SA OS/390 Entry Type Selection Main panel

In the Event Entry Selection panel, create a new event by entering the NEW
command in the command line as shown in Figure 103.


                                     SA OS/390 Entry Selection              Row 1 to 1 of 1
     Command ===> NEW                                                       SCROLL===> CSR

     Entry Type : Event                        PolicyDB Name : ITSO_ENTERPRISE
                                               Enterprise Name : ITSO_ENTERPRISE

     Action      Entry Name             C Short Description
                 JES_DOWN                  JES2 is DOWN
     ******************************* Bottom of data ********************************


 Figure 103. SA OS/390 Event Entry Selection panel

Define the new event by entering the name, SSI_DOWN, and a short
description of its content as shown in Figure 104 on page 186.




                                                       Chapter 8. Base automation features     185
SA OS/390 Define New Entry
                    Command ===>

                    To define a new entry, specify the following information:
                       Type. . . . . . . . . . Event
                       Name. . . . . . . . . . SSI_DOWN

                       Unset Condition . . . . NONE     DOWN NONE START UP

                       Short Description . .   . SA OS390 NetView SSI is DOWN
                       Extended Description.   .
                                           .   .
                                           .   .
                                           .   .
                                           .   .




                 Figure 104. SA OS/390 Define New Event Entry panel

               Having defined this new event, it is required to define the corresponding
               trigger that is driven by the new event. This trigger will then initiate the
               shutdown of the SAOS390_NETVIEW application.

               Return to the System Automation policy database dialog and select the TRG
               or 46 (Triggers) option as shown in Figure 105.


                                               SA OS/390 Entry Type Selection
                    Command ===> 46

                    PolicyDB Name : ITSO_ENTERPRISE
                    Enterprise Name : ITSO_ENTERPRISE

                      Enterprise Resource Definitions        Resource Policy Definitions
                                                                                        More:   - +
                      9 OperatorView        ( OPV )          38 Auto Msg Classes      ( AMC )
                     10 Processor           ( PRO )          39 Network               ( NTW )
                     11 Communications Path ( CMP )          40 NNT Sessions          ( NNT )
                                                             41 Resident CLISTs       ( RES )
                     (*) Multi-User-Capable                  42 Status Details        ( SCR )
                                                             43 Communications Task ( CMT )
                                                             44 Events                ( EVT )
                                                             45 Service periods       ( SVP )
                                                             46 Triggers              ( TRG )
                                                             98 Includes              ( ICL )
                                                             99 User E-T Pairs        ( UET )


                 Figure 105. SA OS/390 Entry Type Selection Main panel

               In the Trigger Entry Selection panel, create a new trigger by entering the
               NEW command in the command line as shown in Figure 106 on page 187.



186   Automation Using Tivoli NetView OS/390 V1R3 and System Automation OS/390 V1R3
SA OS/390 Entry Selection             Entry deleted
    Command ===> NEW                                                 SCROLL===> CSR

    Entry Type : Trigger                PolicyDB Name : ITSO_ENTERPRISE
                                        Enterprise Name : ITSO_ENTERPRISE

    Action      Entry Name             C Short Description
    ******************************* Bottom of data ********************************



 Figure 106. SA OS/390 Trigger Entry Selection panel

Define the new trigger by entering the name, SHUT_NV, and a short
description of its content as shown in Figure 107.


                                SA OS/390 Define New Entry
    Command ===>

    To define a new entry, specify the following information:
       Type. . . . . . . . . . Trigger
       Name. . . . . . . . . . SHUT_NV

       Short Description . .   . Shut down SA OS/390 NetView
       Extended Description.   .
                           .   .
                           .   .
                           .   .
                           .   .




 Figure 107. SA/OS390 Trigger New Entry Definition panel

Having defined the new trigger, it is required to define the condition that will
drive this new trigger.

Select the CONDITION option as shown in Figure 108 on page 188, and
continue with the trigger settings.




                                                 Chapter 8. Base automation features   187
SA OS/390 Policy Selection          Trigger created
                    Command ===>                                                    SCROLL===> CSR

                    Entry Type : Trigger                 PolicyDB Name : ITSO_ENTERPRISE
                    Entry Name : SHUT_NV                 Enterprise Name : ITSO_ENTERPRISE

                    Action      Policy Name          Policy Description
                                DESCRIPTION          Enter description
                    S           CONDITION            Define the trigger condition
                                -------------------- ---------------------------------------------
                                WHERE USED           List Applications using this entry
                                COPY                 Copy data from existing entry
                    ******************************* Bottom of data ********************************


                 Figure 108. SA OS/390 Trigger Policy Selection panel

               From the Trigger Selection panel, shown in Figure 109, select one of the
               SHUTDOWN conditions available.


                                               SA OS/390 Trigger Conditions      Row 11 to 20 of 21
                    Command ===>                                                    SCROLL===> CSR

                    Entry Type : Trigger                 PolicyDB Name : ITSO_ENTERPRISE
                    Entry Name : SHUT_NV                 Enterprise Name : ITSO_ENTERPRISE

                    Note: You have to define the service period before you can use it in a
                          STARTUP/SHUTDOWN condition.

                    Action      Condition        Names
                                STARTUP 10
                    S           SHUTDOWN 1
                                SHUTDOWN 2
                                SHUTDOWN 3
                                SHUTDOWN 4
                                SHUTDOWN 5
                                SHUTDOWN 6
                                SHUTDOWN 7
                                SHUTDOWN 8
                                SHUTDOWN 9


                 Figure 109. SA OS390 Trigger Conditions panel

               The next step is to associate the SHUTDOWN trigger condition with the
               appropriate event that will drive this trigger.




188   Automation Using Tivoli NetView OS/390 V1R3 and System Automation OS/390 V1R3
SA OS/390 SHUTDOWN Condition for Trigger     Row 1 to 2 of 2
     Command ===>                                                      SCROLL===> CSR

     Entry Type : Trigger                PolicyDB Name : ITSO_ENTERPRISE
     Entry Name : SHUT_NV                Enterprise Name : ITSO_ENTERPRISE

     Description. . . .

     Service Period . . NO      YES NO

     Action      Status     Event          Short Description
                            JES_DOWN       JES2 is DOWN
     S                      SSI_DOWN       SA OS390 NetView SSI is DOWN
     ******************************* Bottom of data ********************************


 Figure 110. SA OS/390 Shutdown Condition for Trigger panel

On the SHUTDOWN Condition for Trigger panel in Figure 110 on page 189,
select the previously defined event, SSI_DOWN.

The next step is to associate the SHUTDOWN trigger to an application,
which, in this example, will be the Automation NetView SAOS390_NETVIEW.

Return to the SA OS/390 Entry Selection Main panel and select APL or 6
(Applications) to enter the Application Selection panel as shown in Figure
111.


                                  SA OS/390 Entry Selection          Row 9 to 21 of 26
     Command ===>                                                      SCROLL===> CSR

     Entry Type : Application            PolicyDB Name : ITSO_ENTERPRISE
                                         Enterprise Name : ITSO_ENTERPRISE

     Action      Entry Name              C Short Description
                 JES2                      JES2 policy definition
                 LLA                       LLA automation policy
                 NETVIEW_CLASS           * NetView Defaults
                 NETWORK_GMFHS             Network GMFHS
                 NETWORK_NETVIEW           Network NetView
                 NETWORK_NETVIEW_SSI       Network NetView Interface
                 NETWORK_RODM              Network RODM
                 PROCESSOR_OPERATIONS      Processor Operations functions
                 RODM_CLASS              * RODM Defaults
                 SAOS390_GMFHS             System Automation GMFHS
     S           SAOS390_NETVIEW           System Automation NetView
                 SAOS390_NETVIEW_SSI       System Automation NetView Interface
                 SAOS390_RODM              RODM automation policy

  Figure 111. SA OS/390 Application Selection panel




                                                  Chapter 8. Base automation features    189
From the Application Selection panel, select the SAOS390_NETVIEW
               application and enter the TRIGGER option as demonstrated in Figure 112.


                                                 SA OS/390 Policy Selection        Row 3 to 15 of 17
                    Command ===>                                                     SCROLL===> CSR

                    Entry Type : Application             PolicyDB Name : ITSO_ENTERPRISE
                    Entry Name : SAOS390_NETVIEW         Enterprise Name : ITSO_ENTERPRISE

                    Action       Policy Name            Policy Description
                                 APPLICATION INFO       Enter and display Application information
                                 INFO BRIDGE            Enter INFO Bridge resource name
                                 RMF                    Enter RMF objectives and reporting criteria
                                 AUTOMATION INFO        Define Application automation information
                                 AUTOMATION FLAGS       Define Application automation flags
                                 MESSAGES               Define Application messages
                                 SHUTDOWN               Define shutdown procedures
                                 THRESHOLDS             Define error thresholds
                                 RESTART                Define commands executed at restart
                                 MINOR RESOURCES        Define Application sub-component flags
                                 SYSTEM ASSOCIATION     Define primary and secondary associations
                    S            TRIGGER                Select Application trigger
                                 --------------------   ---------------------------------------------

                 Figure 112. SA OS/390 Application Policy Selection panel

               The appropriate trigger to select is SHUT_NV as illustrated in Figure 113


                                               SA OS/390 Trigger for Application     Row 1 to 1 of 1
                    Command ===>                                                     SCROLL===> CSR

                    Entry Type : Application             PolicyDB Name : ITSO_ENTERPRISE
                    Entry Name : SAOS390_NETVIEW         Enterprise Name : ITSO_ENTERPRISE

                    Action      Status            Trigger
                    S                             SHUT_NV
                    ******************************* Bottom of data ********************************


                 Figure 113. SA OS/390 Trigger for Application panel

               These steps complete the definition of the SAOS390_NETVIEW application
               and the SHUT_NV trigger.

               The last steps of this example will be to associate the termination of the
               SAOS390_NETVIEW_SSI subsystem with the SSI_DOWN event. This
               association will set this event every time the NetView subsystem interface is
               set to the AUTODOWN status for termination.




190   Automation Using Tivoli NetView OS/390 V1R3 and System Automation OS/390 V1R3
To apply the association of the SSI_DOWN event to the
SAOS390_NETVIEW_SSI application, enter the Application Selection panel
as shown in Figure 114.


                                  SA OS/390 Entry Selection         Row 9 to 21 of 26
    Command ===>                                                      SCROLL===> CSR

    Entry Type : Application             PolicyDB Name : ITSO_ENTERPRISE
                                         Enterprise Name : ITSO_ENTERPRISE

    Action      Entry Name               C Short Description
                JES2                       JES2 policy definition
                LLA                        LLA automation policy
                NETVIEW_CLASS            * NetView Defaults
                NETWORK_GMFHS              Network GMFHS
                NETWORK_NETVIEW            Network NetView
                NETWORK_NETVIEW_SSI        Network NetView Interface
                NETWORK_RODM               Network RODM
                PROCESSOR_OPERATIONS       Processor Operations functions
                RODM_CLASS               * RODM Defaults
                SAOS390_GMFHS              System Automation GMFHS
                SAOS390_NETVIEW            System Automation NetView
    S           SAOS390_NETVIEW_SSI        System Automation NetView Interface
                SAOS390_RODM               RODM automation policy

 Figure 114. SA OS/390 Application Entry Selection panel

Select SAOS390_NETVIEW_SSI to enter the Application Policy Selection
panel as displayed in Figure 115.


                                 SA OS/390 Policy Selection         Row 1 to 13 of 17
    Command ===>                                                      SCROLL===> CSR

    Entry Type : Application             PolicyDB Name : ITSO_ENTERPRISE
    Entry Name : SAOS390_NETVIEW_SSI     Enterprise Name : ITSO_ENTERPRISE

    Action         Policy Name          Policy Description
                   DESCRIPTION          Enter description
                   LINK TO CLASS        Link instance to class
                   APPLICATION INFO     Enter and display Application information
                   INFO BRIDGE          Enter INFO Bridge resource name
                   RMF                  Enter RMF objectives and reporting criteria
                   AUTOMATION INFO      Define Application automation information
                   AUTOMATION FLAGS     Define Application automation flags
    S              MESSAGES             Define Application messages
                   SHUTDOWN             Define shutdown procedures
                   THRESHOLDS           Define error thresholds
    S              RESTART              Define commands executed at restart
                   MINOR RESOURCES      Define Application sub-component flags
                   SYSTEM ASSOCIATION   Define primary and secondary associations

  Figure 115. SA OS/390 Policy Selection panel




                                                  Chapter 8. Base automation features   191
In order to set or reset the SSI_DOWN event, first, select the MESSAGES
               option to create a new definition to set the event, and then select the
               RESTART option to reset this event when the subsystem is restarted.

               First, on the Message Processing panel, as shown in Figure 116, enter the
               Action keyword, CMD, and the Message ID keyword, AUTODOWN.


                                              SA OS/390 Message Processing          Row 1 to 7 of 20
                    Command ===>                                                     SCROLL===> CSR

                    Entry Type : Application           PolicyDB Name : ITSO_ENTERPRISE
                    Entry Name : SAOS390_NETVIEW_SSI   Enterprise Name : ITSO_ENTERPRISE

                    Resource: SSISA

                    Enter messages issued by this resource that will result in automated actions.
                    Actions: CMD = Command REP = Reply CODE = CODE

                    Action     Message ID       Description                           Cmd Rep Code

                    CMD        AUTODOWN

                 Figure 116. SA OS/390 Application Message Processing panel

               The next step, shown in Figure 117, defines the command
                   SETEVENT ID=SSI_DOWN,FUNCTION=SET,SCOPE=TARGET

               that will set the SSI_DOWN event every time the SAOS390_NETVIEW_SSI
               application reaches the AUTODOWN status. This event, SSI_DOWN, will kick
               off the SHUT_NV trigger which was previously defined, that will be
               responsible shutdown the SAOS390_NETVIEW application.


                                                SA OS/390 CMD Processing            Row 1 to 3 of 20
                    Command ===>                                                     SCROLL===> CSR

                    Entry Type : Application           PolicyDB Name : ITSO_ENTERPRISE
                    Entry Name : SAOS390_NETVIEW_SSI   Enterprise Name : ITSO_ENTERPRISE

                    Resource: SSISA
                    Message ID: AUTODOWN

                    Enter commands to be executed when resource issues the selected message.

                    Pass or Automated
                    Selection Function
                                    Command Text
                    _________ ________
                                    SETEVENT ID=SSI_DOWN,FUNCTIN=SET,SCOPE=TARGET


                 Figure 117. SA OS/390 Application Command Processing panel



192   Automation Using Tivoli NetView OS/390 V1R3 and System Automation OS/390 V1R3
Now, return to the Application Policy Selection panel, as displayed in Figure
           115 on page 191, and enter the RESTART option to enter the Restart
           Processing panel shown in Figure 118.


                                          SA OS/390 RESTART Processing          Row 1 to 6 of 20
               Command ===>                                                      SCROLL===> CSR

               Entry Type : Application            PolicyDB Name : ITSO_ENTERPRISE
               Entry Name : SAOS390_NETVIEW_SSI    Enterprise Name : ITSO_ENTERPRISE

               Subsystem : SSISA
               Description : System Automation NetView Interface

               Enter commands to be executed when NetView is started or
               recycled with this subsystem already active.

               Automated                        Command Text
                Function
                            SETEVENT ID=SSI_DOWN,FUNCTION=UNSET,SCOPE=TARGET



             Figure 118. SA OS/390 Application Restart Processing panel

           In the Restart Processing panel, enter the command text
              SETEVENT ID=SSI_DOWN,FUNCTION=UNSET,SCOPE=TARGET

           that will reset the SSI_DOWN event every time the SAOS390_NETVIEW_SSI
           application is successfully restarted.

8.2.2 Automating messages
           This section describes how to add a message that has not been previously
           automated to the automated operations environment and will give some
           examples of situations that can be automated using the System Automation
           facilities.

                Note
            To automate a message using the System Automation framework, this
            message needs to be issued by an application previously defined to SA
            OS/390.


           The routine actions that a system operator performs when a particular
           message is generated can be automated by the NetView automation table
           and the System Automation. With automation enabled, the automation focal
           point system responds quickly and accurately to messages from any active
           target systems.


                                                            Chapter 8. Base automation features    193
8.2.2.1 Automating the response to the message
               The first step is to define the type of response that will be performed when
               messages appear. This can be to issue a reply, a command, or define a
               match code to be tested in the message.

               To get one application class, NETVIEW_CLASS, defined for both the
               Automation and Network NetView, it is necessary to define a identification
               code in all issued messages to identify the corresponding application
               associated to this class. If matches occur, an action keyword will be returned
               to the invoking automation system.

                      Note
                 For detailed information about System Automation class definitions refer to
                 Chapter 5, “Customization of System Automation for OS/390” on page 53.


               Defining this message in an application class ensures that this automation
               definition will be inherited by all the application instances associated with this
               application class.

               From the System Automation Main Entry Selection panel, select the APL or 6
               (Application) option to enter the Application Selection panel.

               Select the application class, NETVIEW_CLASS, and the Application Policy
               Selection panel for NETVIEW_CLASS will be shown as in Figure 119 on page
               195.




194   Automation Using Tivoli NetView OS/390 V1R3 and System Automation OS/390 V1R3
SA OS/390 Policy Selection        Row 1 to 13 of 15
 Command ===>                                                     SCROLL===> CSR

 Entry Type : Application            PolicyDB Name : ITSO_ENTERPRISE
 Entry Name : NETVIEW_CLASS          Enterprise Name : ITSO_ENTERPRISE

 Action       Policy Name          Policy Description
              DESCRIPTION          Enter description
              LINK TO INSTANCES    Link class to instances
              APPLICATION INFO     Enter and display Application information
              INFO BRIDGE          Enter INFO Bridge resource name
              RMF                  Enter RMF objectives and reporting criteria
              AUTOMATION INFO      Define Application automation information
              AUTOMATION FLAGS     Define Application automation flags
 S            MESSAGES             Define Application messages
              SHUTDOWN             Define shutdown procedures
              THRESHOLDS           Define error thresholds
              RESTART              Define commands executed at restart
              MINOR RESOURCES      Define Application sub-component flags
              TRIGGER              Select Application trigger


Figure 119. SA OS/390 Policy Selection panel

From the Application Policy Selection panel, select the MESSAGES option to
specify message types for this application class.

On the Message Processing panel, displayed in Figure 120, specify the
Action keyword, CODE, the Message ID keyword, WTORS, and a short
description of the action the response performs.


                            SA OS/390 Message Processing         Row 1 to 7 of 21
 Command ===>                                                     SCROLL===> CSR

 Entry Type : Application            PolicyDB Name : ITSO_ENTERPRISE
 Entry Name : NETVIEW_CLASS          Enterprise Name : ITSO_ENTERPRISE

 Resource: NETVIEW_CL

 Enter messages issued by this resource that will result in automated actions.
 Actions: CMD = Command REP = Reply CODE = CODE

 Action      Message ID        Description                          Cmd Rep Code

 CODE        WTORS              WTOR Classification                             3


Figure 120. SA OS/390 Application Message Processing panel

The following panel defines how messages DSI802A and DSI803A (NetView
replies) will be handled when they are received from the subsystems
associated with this class.



                                                 Chapter 8. Base automation features   195
When the DSI802A message appears with any code, a value of NORMAL PRI
               is returned to the calling automation procedure. In addition, this message will
               be displayed like a normal status message, for example, in the SDF panels.

               Any other replies issued for these subsystems will be displayed in the SDF
               panels as an unusual message.


                                              SA OS/390 Code Processing          Row 1 to 6 of 23
                 Command ===>                                                     SCROLL===> CSR

                 Entry Type : Application           PolicyDB Name : ITSO_ENTERPRISE
                 Entry Name : NETVIEW_CLASS         Enterprise Name : ITSO_ENTERPRISE

                 Resource: NETVIEW_CL
                 Message ID: WTORS

                 Enter the value to be passed to the calling CLIST when this resource
                 issues the selected message and the following codes are contained in
                 the message.

                     Code 1         Code 2           Code 3               Value Returned
                     DSI802A        *                                     NORMAL PRI
                     DSI803A        *                                     UNUSUAL PRI
                     *                                                    UNUSUAL SEC


               Figure 121. SA OS/390 Application Message Code Processing panel

               After these definitions, verify the message processing facility (MPF) table to
               assure that the default for this message is AUTO(YES). If required, add a
               message processing facility list entry specifying the message ID and the
               AUTO(YES) parameter value.

               When definitions to add message response and automation operator
               information to the automation policy database are completed, return to the SA
               OS/390 Application Selection panel and enter the action command F
               (BUILDF) in the action column in front of the application that has been edited.
               This will initiate a rebuild for the application definitions.

               System Automation for OS/390 builds the new automation definitions for the
               application, and after completion of this application rebuild, the System
               Automation customization dialog can be exited.

               The System Automation for OS/390 build function will place the new
               automation definitions in the data set defined in the BUILDF Parameters
               panel.




196   Automation Using Tivoli NetView OS/390 V1R3 and System Automation OS/390 V1R3
Copy the new automation definitions into the common Automation NetView
           DSIPARM library specified in the Automation NetView start-up procedure and
           reload the NetView Control File.

           Refer to System Automation for OS/390 V1R3M0 Customization, GC28-1566,
           for detailed information on how to add messages to the automation.


8.3 System Automation and NetView base automation rules
           This section describes some guidelines for effectively propagating and
           maintaining an automation environment.

           The first step toward automating the entire data-processing enterprise is to
           ensure that there is as much local automation as possible on each NetView
           system.

           Therefore, if a single-system automation is developed on one system or a few
           test systems, propagate that automation onto all of the NetView systems.
           Copy the automation routines and tailor the routines to the new systems. For
           this process, it is important to automate all of the systems consistently to
           keep maintenance efforts as simple as possible.

                 Note
            This notice is a reminder that the CNME1035 clist is no longer used by
            Tivoli NetView for OS/390 V1R3 as the initial NetView PPT start-up clist.
            Please check for any self-written customizations and move appropriate
            modifications to the new NetView PPT start-up CNME1034 clist.


           The main guidelines for keeping the automation environment reliable and
           simple are as follows:
            • Automate close to the source
              In a multi-system environment, automate as many tasks as possible on the
              distributed systems and forward only those events that cannot be handled
              at the distributed systems to the focal point system.
              At the distributed system, if the function of the operating system facility
              (the message processing facility - MPF) enables the goals for the system
              to be met without using the automation table, use the appropriate
              operating system function. Otherwise, use NetView and System
              Automation facilities.
            • Define autotasks consistently



                                                      Chapter 8. Base automation features   197
Operator definitions for autotasks in DSIOPF or an SAF product, profiles,
                   and operator passwords should be consistent across systems. Consistent
                   definitions reduce the effort required to make changes among systems.
                 • Develop generic automation command procedures
                   To minimize the work required for development, maintenance, and
                   synchronization of automation procedures for multiple systems, write
                   generic procedures to function the same in all applicable systems. These
                   procedures should also function on the focal point system when the
                   system is not performing focal point functions.
                   To simplify migration, use global variables for system and resource names
                   rather than hard-coded resource names in command procedures.
                   By keeping the definition setup for the global variable in only a few
                   procedures, it is then possible to migrate the same set of automated
                   procedures to multiple systems and customize only a few procedures on
                   each system.
                 • Automation table usage
                   For individual automation it is advised to never code statements directly in
                   main automation table members, and either concatenate a new
                   automation table member or use %INCLUDE in the existing automation
                   table structure to allow easier release migration as well as LPAR to LPAR
                   migration.
                 • Log intrasystem automation
                   Intrasystem automation that occurs in each system should be logged in
                   the local automation log. Messages and alerts that are forwarded to a
                   focal point should be logged at both the distributed system and the focal
                   point.
                   It is a good practice to have all procedures driven by automation
                   identifiable, for example, by name, within the log. The sample set for
                   automation has each command list write a message to the log that is
                   preceded by a less-than sign (<). A quick glance at the log enables the
                   operator to know whether automation has performed some action. These
                   indicators provide an audit trail for automation and can also assist in
                   problem determination in the event of an automation failure.




198   Automation Using Tivoli NetView OS/390 V1R3 and System Automation OS/390 V1R3
Chapter 9. Automation example scenarios

                  This chapter shows automation scenarios of Tivoli NetView for OS/390 and
                  System Automation for OS/390. Examples will be automation and recovery
                  tasks of OS/390 subsystems.


9.1 NetView SMTP mail gateway support
                  NetView V1R3 supports SMTP e-mail with the following prerequisites:
                    • MVS TCP/IP V3R2 or above.
                    • SMTP is running in the same LPAR where NetView is running.

                  E-mail can be sent using the SMTP gateway:
                    • Based upon the AON Inform policy
                    • From the NetView command line
                    • From user-written REXX clists
                      E-mails using the SMTP gateway can actually be performed from
                      user-written code without having to implement the AON Inform policy.

                         Note
                    There are no facilities for NetView to receive e-mail.



                         Note
                   If you plan to use SMTP for sending e-mails from a NetView operator
                   console, SMTP must be active, and the EZLJSMTP sample must be
                   installed and customized. EZLJSMTP provides sample JCL used to issue
                   SMTP commands and must be customized to specify your SMTP address
                   space name. The sample EZLJSMTP should be copied from the CNMSAMP
                   data set into your NetView DSIPARM library.


9.1.1 NetView provided samples
                  The following samples are provided with NetView V1R3:
                    • EZLEMAIL - A full screen REXX clist used to create and send e-mail.




© Copyright IBM Corp. 2000                                                                   199
The clist reads operator entered text, builds SMTP e-mail commands, puts
                   the complete data stream in a PIPE safe, and calls the provided clist
                   module, EZLESSMT, to send the e-mail.
                 • EZLKMAIL - A full screen panel used by EZLEMAIL.
                 • EZLESSMT - A REXX clist that builds and submits a job to send the
                   e-mail.
                 • EZLJSMTP - Sample JCL job that sends the e-mail.
                   This job needs to be customized for the SMTP job name (Figure 122).
                 • EZLESMTP - A REXX clist that sends e-mail based on the Inform policy.
                   This sample clist allows one line e-mails to be sent.

9.1.2 Required customization
               The only customization needed to send SMTP e-mail (provided the
               prerequisites have been met) using the samples provided, is to copy the
               sample JCL member, EZLJSMTP, into the NetView DSIPARM library, and
               then provide the correct SMTP address space name in the SYSOUT field on
               the SYSUT2 DD statement. An example is shown in Figure 122 on page 200:


               //EZLJSMTP JOB (999,AUS),'NVSMTP',CLASS=A,MSGCLASS=X,MSGLEVEL=(1,1),
               //          REGION=0M,TIME=1440
               //***************************************************************
               //*                                                             *
               //* Licensed Materials - Property of Tivoli Systems             *
               //* 5697-B82 (C) Copyright Tivoli Systems 1999                  *
               //* All rights reserved.                                        *
               //*                                                             *
               //* DISTRIBUTED AS MEMBER: EZLJSMTP                             *
               //* DESCRIPTION: Sample JCL to allow E-mail to be issued via *
               //*               SMTP. This code will be read by command lists*
               //*               in NetView which will insert the commands to *
               //*               be passed to SMTP.                            *
               //***************************************************************
               //IEBGENER EXEC PGM=IEBGENER
               //SYSIN DD DUMMY
               //SYSUT1 DD *
               /*
               //***************************************************************
               //* Change smtp below to the SMTP address space name.           *
               //* Change B to the desired SYSOUT class                        *
               //***************************************************************
               //SYSUT2 DD SYSOUT=(B,SMTP),
               // DCB=(LRECL=80,BLKSIZE=80,RECFM=F,DSORG=PS)
               //SYSOUT DD SYSOUT=A
               //SYSPRINT DD SYSOUT=A

               Figure 122. Sample JCL Job EZLJSMTP




200   Automation Using Tivoli NetView OS/390 V1R3 and System Automation OS/390 V1R3
9.1.3 Sending SMTP e-mail with EZLEMAIL
           To send a simple e-mail from a NetView full screen session, enter the
           following command
               EZLEMAIL

           on the NetView NCCF interface. A skeleton email form will be displayed,
           which is then completed as shown in Figure 123:




           Figure 123. Skeleton e-mail

           After the e-mail text is complete, pressing PF9 or PF5 will submit an
           EZLJSMTP batch job to send the e-mail.

           The e-mail, for example, received in Lotus Notes, will appear as illustrated in
           Figure 124.




                                                  Chapter 9. Automation example scenarios   201
Figure 124. E-mail received in Lotus Notes


9.1.4 Sending SMTP e-mail from AON Inform policies
               To send e-mail from AON Inform policy, using the SMTP mail gateway,
               requires the correct definition in the AON Inform policy. It provides the
               following features:
                 • Message support for one line messages.
                 • Default message.
                 • Message can be changed in the Inform policy.

                      Note
                 SMTP can only send e-mail. It does not provide pager support.

               The AON Inform policy requires little customization to send SMTP e-mail. An
               example of a customized AON Inform policy item is shown in Figure 125 on
               page 203.




202   Automation Using Tivoli NetView OS/390 V1R3 and System Automation OS/390 V1R3
*                                                                        *
                 * POLICY for CHIEF                                                       *
                 *                                                                        *
                 * The Chief is available weekdays 9 - 5                                  *
                 *                                                                        *
                 INFORM CHIEF;
                 CONTACT ONCALLDAY=WEEKDAY,
                         ONCALLTIME=09:00 TO 17:00,
                         SP=DUMMY,
                         CONNECTION=EMAIL,
                         ROUTE=CLINTONB@US.IBM.COM,
                         INTERFACE=EZLESMTP,
                         NAME=BILL CLINTON;
                 *                                                                        *

            Figure 125. AON Inform policy item customized for SMTP e-mail


9.1.5 Sending SMTP e-mail from user-written clists
            Users can create their own REXX clists to send SMTP e-mail. The clist will
            need to call the provided clist module, EZLESSMT. The following restrictions
            apply:
             • User code must build a PIPE safe containing the SMTP e-mail commands
               and then call the provided clist module, EZLESSMT.
             • User code must pass EZLESSMT 2 PIPE safes:
                  - A safe containing the e-mail commands.
                  - A safe that will contain messages generated in response to EZLESSMT
                    processing and batch job submission.

            The clist module EZLESSMT provides the following return codes:
             •   0 - Successful completion.
             •   7 - Variable has no value (AON internal clist error).
             •   8 - Invalid syntax (AON internal clist error).
             •   12 - No e-mail commands in passed PIPE safe.

            An example of a REXX clist using the provided clist module EZLESSMT is
            shown in Figure 126.




                                                           Chapter 9. Automation example scenarios   203
/*                        REXX                                          */
                 /* ------------------------------------------------------------------   */
                 /*                                                                      */
                 /* REXX TO SEND AN EMAIL USING EZLESSMT                                 */
                 /*                                                                      */
                 /* ARGS PASSED :                                                        */
                 /*               EMADDR - THE EMAIL ADDRESS                             */
                 /*                                                                      */
                 /* ------------------------------------------------------------------   */
                 Trace r
                 ARG emaddr

                 mail.1 = "Hello SMTP"
                 mail.2 = "Mail from: <"opid()"@"cursys()">"
                 mail.3 = "Rcpt to:<"emaddr">"
                 mail.4 = "Data"
                 mail.5 = "Date:     "date('n')" "time()
                 mail.6 = "From:     "opid()" - NetView Domain "domain()" - "cursys()
                 mail.7 = "To:       "emaddr
                 mail.8 = "Subject: Email using EZLESSMT"
                 mail.9 = "This email was sent from NetView V1R3 using the SMTP email"
                 mail.10 = "gateway. It called EZLESSMT - a supplied sample REXX exec"
                 mail.11 = "."
                 mail.12 = "QUIT"
                 mail.0 = 12

                 'PIPE STEM MAIL. | SAFE MAILSAFE'

                 'EZLESSMT MAILSAFE RTRNSAFE'

                 r_code = rc
                 If r_code = 0
                    then text= 'EMAIL sent ok'
                    else text= 'EMAIL failed with rc = 'r_code

                 'PIPE LIT /'text'/ | CONS'

                 Exit



               Figure 126. Example REXX using EZLESSMT



9.2 System Automation in a multi-system focal point environment
               SDF can be configured so that multiple systems in an automation
               environment can forward their resource status information to the SDF on the
               focal point system. In a multi-system environment, the following must be
               defined:
                 • The tree structure for each system must be defined in the AOFTREE
                   member of NetView DSIPARM on the focal point system SDF. The root
                   name must be unique for each system tree structure.



204   Automation Using Tivoli NetView OS/390 V1R3 and System Automation OS/390 V1R3
• The focal point root name must match the SYSNAME value defined in the
              automation policy. This value is specified in the customization dialog.

                 Note
            The SYSNAME for each system under System Automation for OS/390
            control must be the same as the system name under which the system was
            IPLed.

            • For a target system SDF status update to occur on a focal point SDF,
              System Automation for OS/390 focal point services must already be
              implemented.

           Because each root name must be unique in a multi system environment, any
           status component on any system defined to the focal point SDF can be
           uniquely addressed by prefixing the status component with the root
           component name:
              ROOT_COMPONENT.STATUS_COMPONENT

           For example:
              SC66.JES2

           Similarly, any SDF status descriptors forwarded from the target system to the
           focal point SDF are prefixed with the root name of the target system by
           System Automation for OS/390 routines.

           To define message forwarding paths between different systems, the following
           features should be defined in System Automation:
            • Primary focal point
            • Backup focal-point (if required)
            • Target systems
            • Gateway sessions (between connected systems)

           In addition to these definitions, it is necessary to modify some definitions in
           the DSIOPF and DSIDMN members in the DSIPARM library.

9.2.1 Defining Automation Network process
           The message forwarding paths between the connected systems must be
           defined, and some modifications have to be performed to the definitions in the
           DSIOPF and DSIDMN members in the NetView DSIPARM library.




                                                   Chapter 9. Automation example scenarios   205
The following steps will describe the process to customize the focal point
               services in the System Automation process. For further information, refer to
               Chapter 9, "Automating Networks" of System Automation for OS/390 V1R3
               Customization, GC28-1566.

               The first step is to define the outbound gateway autotasks that will be
               responsible in establishing and maintaining all connections to other systems.
               It is their function to send messages, commands, and responses to one or
               more systems.

               9.2.1.1 Defining the outbound gateway autotasks
               From the System Automation Entry Type Selection, shown in Figure 127 on
               page 206, select the AOP or 37 (Auto Operators) option to enter the Auto
               Operator Entry Selection panel displayed in Figure 128 on page 207.


                                             SA OS/390 Entry Type Selection
                 Command ===> 37

                 PolicyDB Name : ITSO_ENTERPRISE
                 Enterprise Name : ITSO_ENTERPRISE

                   Enterprise Resource Definitions         Resource Policy Definitions
                                                                                      More:   +
                   1   Enterprise            (   ENT   )   30 Timers                ( TMR )
                   2   Group                 (   GRP   )   31 Timeout Settings      ( TMO )
                   3   SubGroup              (   SBG   )   32 Tape Attendance       ( TPA )
                   4   System                (   SYS   )   33 MVS Component         ( MVC )
                   5   ApplicationGroup      (   APG   )   34 MVSCOMP Defaults      ( MDF )
                   6   Application     (*)   (   APL   )   35 System Defaults       ( SDF )
                   7   VolumeGroup           (   VLG   )   36 Application Defaults ( ADF )
                   8   Volume                (   VOL   )   37 Auto Operators        ( AOP )
                   9   OperatorView          (   OPV   )   38 Auto Msg Classes      ( AMC )
                  10   Processor             (   PRO   )   39 Network               ( NTW )
                  11   Communications Path   (   CMP   )   40 NNT Sessions          ( NNT )
                                                           41 Resident CLISTs       ( RES )

               Figure 127. SA OS/390 Entry Type Selection Main panel

               Select, one after another, the focal system and the target systems’ auto
               operators that will be used in the automation environment.




206   Automation Using Tivoli NetView OS/390 V1R3 and System Automation OS/390 V1R3
SA OS/390 Entry Selection                Row 6 from 17
   Command ===>                                                         SCROLL===> CSR

   Entry Type : Auto Operators            PolicyDB Name : ITSO_ENTERPRISE
                                          Enterprise Name : ITSO_ENTERPRISE

   Action      Entry Name             C Short Description
               BACKUP_OPERS              Backup FP specific auto opers
               BASE_AUTOOPS              Default automation operators
               BASE_AUTOOPS_IO           Automation operators with I/O monitoring
   S           FOCAL_OPERS               Focal point specific auto operators
   S           TARGET1_OPERS             Target1 specific auto opers
   S           TARGET2_OPERS             Target2 specific auto opers
   ******************************* Bottom of data ********************************




    F7=UP         F8=DOWN       F9=SWAP      F10=LEFT      F11=RIGHT      F12=RETRIEVE

Figure 128. SA OS/390 Auto Operators Entry Selection panel

 First, start with the focal point system and select the FOCAL_OPERS option
 to enter the Auto Operator Policy Selection panel as shown in Figure 129.


                              SA OS/390 Policy Selection               Row 1 to 5 of 5
  Command ===>                                                         SCROLL===> CSR

  Entry Type : Auto Operators         PolicyDB Name : ITSO_ENTERPRISE
  Entry Name : FOCAL_OPERS            Enterprise Name : ITSO_ENTERPRISE

  Action      Policy Name          Policy Description
              DESCRIPTION          Enter description
   S          OPERATORS            Define automation operators
              -------------------- ---------------------------------------------
              WHERE USED           List Systems linked to this entry
              COPY                 Copy data from an existing entry
  ******************************* Bottom of data ********************************


Figure 129. SA OS/390 Auto Operators Policy Selection panel

 From the Auto Operators Policy Selection panel, select the OPERATORS
 option to display the Automation Operator Definitions panel shown in Figure
 130.




                                                 Chapter 9. Automation example scenarios   207
Automation Operator Definitions     Row 1 to 10 of 21
                 Command ===>                                                   SCROLL===> CSR

                 Entry Type : Auto Operators        PolicyDB Name : ITSO_ENTERPRISE
                 Entry Name : FOCAL_OPERS           Enterprise Name : ITSO_ENTERPRISE

                 Actions: S = Select M = Move B = Before A = After I = Insert

                           Automated
                 Action    Function Messages for this Operator (* notation ok)
                 S         GATOPER




               Figure 130. SA OS/390 Auto Operators Automation Operator Definitions panel

               If GATOPER has not previously been defined, type the automation operator
               name, GATOPER, in the Automated Function field. It is not necessary to
               specify any messages for GATOPER. The Automation Operator NetView
               Userids panel is displayed automatically as illustrated in Figure 131.

               If GATOPER has previously been defined, then select it by entering an S in
               the ACTION column.


                                        Automation Operator NetView Userids
                 Command ===>

                 Entry Type : Auto Operators        PolicyDB Name : ITSO_ENTERPRISE
                 Entry Name : FOCAL_OPERS           Enterprise Name : ITSO_ENTERPRISE

                 Automated Function: GATOPER
                 Messages assigned:

                 Enter automation operators and NetView operator(s) to receive messages.

                 Automation Operators                    NetView Operators
                   Primary ==> GATSC66A                             ==>
                   Backup ==>                                       ==>
                                                                    ==>
                                                                    ==>
                                                                    ==>
                                                                    ==>


               Figure 131. SA OS/390 Automation Operator NetView Userids panel

               In the Automation Operator NetView Userids panel, enter the value for the
               autotask, which is in the ITSO project environment, the name GATSC66A, to
               define the outbound gateway autotask for system SC66.


208   Automation Using Tivoli NetView OS/390 V1R3 and System Automation OS/390 V1R3
To define the target outbound gateways’ autotasks, repeat the previous steps
for all of the target systems.

9.2.1.2 Defining gateway sessions with other systems
From the System Automation Entry Type Selection shown in Figure 132,
select the NTW or 39 (Network) option to enter the Network Entry Selection
panel displayed in Figure 133 on page 210.


                             SA OS/390 Entry Type Selection
 Command ===> 39

 PolicyDB Name : ITSO_ENTERPRISE
 Enterprise Name : ITSO_ENTERPRISE

   Enterprise Resource Definitions         Resource Policy Definitions
                                                                      More:       +
   1   Enterprise            (   ENT   )   30 Timers                ( TMR )
   2   Group                 (   GRP   )   31 Timeout Settings      ( TMO )
   3   SubGroup              (   SBG   )   32 Tape Attendance       ( TPA )
   4   System                (   SYS   )   33 MVS Component         ( MVC )
   5   ApplicationGroup      (   APG   )   34 MVSCOMP Defaults      ( MDF )
   6   Application     (*)   (   APL   )   35 System Defaults       ( SDF )
   7   VolumeGroup           (   VLG   )   36 Application Defaults ( ADF )
   8   Volume                (   VOL   )   37 Auto Operators        ( AOP )
   9   OperatorView          (   OPV   )   38 Auto Msg Classes      ( AMC )
  10   Processor             (   PRO   )   39 Network               ( NTW )
  11   Communications Path   (   CMP   )   40 NNT Sessions          ( NNT )
                                           41 Resident CLISTs       ( RES )


Figure 132. SA OS/390 Entry Type Selection Main panel

The following steps will also be necessary for each of the target system after
definitions for the focal point system are completed.

From the Network Entry Selection panel, select the FOCAL_NETWORK
option to enter the Network Policy Selection panel.

On this Network Policy Selection panel, select the FORWARD option to
display the Notification Forwarding panel shown in Figure 134 on page 210.




                                              Chapter 9. Automation example scenarios   209
SA OS/390 Entry Selection        Row 1 to 2 of 2
                 Command ===>                                                  SCROLL===> CSR

                 Entry Type : Network               PolicyDB Name : ITSO_ENTERPRISE
                                                    Enterprise Name : ITSO_ENTERPRISE

                 Action      Entry Name             C Short Description
                 s           FOCAL_NETWORK             Focal point network structure
                             TARGET_NETWORK            Target network structure
                 ******************************* Bottom of data ********************************




               Figure 133. SA OS/390 Network Entry Selection panel



                                         SA OS/390 Notification Forwarding
                 Command ===>

                 Entry Type : Network               PolicyDB Name : ITSO_ENTERPRISE
                 Entry Name : FOCAL_NETWORK         Enterprise Name : ITSO_ENTERPRISE

                 Enter the NetView domains for automation notification forwarding.

                 Primary Domain ==> SC66A      Current Domain ID
                 Backup Domain ==>             Backup Domain ID




               Figure 134. SA OS/390 Notification Forwarding panel

               Define the focal point domain and backup focal point domain.

               In the ITSO environment, only a primary focal point system was defined;
               however, it is recommended to define both primary focal point and backup
               focal point. The backup will be always used when the primary focal point
               becomes unavailable.

               This step is optional for the focal point definition because System Automation
               for OS/390 considers the current system as the primary focal point and
               displays messages without forwarding them. This will occur if the forward
               focal point is not defined in the automation policy for the system, or the
               system specified in a forward focal point definition is the current system.

               After completion of this step, continue to define the gateway sessions
               between the systems.




210   Automation Using Tivoli NetView OS/390 V1R3 and System Automation OS/390 V1R3
Return to the Network Policy Selection panel, shown in Figure 135, and
select the GATEWAY option.


                              SA OS/390 Policy Selection          Row 1 to 9 of 9
 Command ===>                                                     SCROLL===> CSR

 Entry Type : Network                PolicyDB Name : ITSO_ENTERPRISE
 Entry Name : FOCAL_NETWORK          Enterprise Name : ITSO_ENTERPRISE

 Action      Policy Name          Policy Description
             DESCRIPTION          Enter description
             ADJACENT NETVIEW     Define adjacent NetView
             FORWARD              Define forward focal point
             FULL SESSIONS        Define TAF sessions (Applications)
 S           GATEWAY              Define gateways
             SAF ENVIRONMENT      Define System Authorization Facility (SAF)
             -------------------- ---------------------------------------------
             WHERE USED           List Systems linked to this entry
             COPY                 Copy data from an existing entry
 ******************************* Bottom of data ********************************




Figure 135. SA OS/390 Network Policy Selection panel

The GATEWAY option will display the Gateway Definition panel illustrated in
Figure 136.


                            SA OS/390 GATEWAY Definitions        Row 1 to 9 of 22
 Command ===>                                                     SCROLL===> CSR

 Entry Type : Network                PolicyDB Name : ITSO_ENTERPRISE
 Entry Name : FOCAL_NETWORK          Enterprise Name : ITSO_ENTERPRISE

 Enter the following information for each NetView domain that commands or
 responses are forwarded to. Use RACFNNT as the password if SA OS/390 is
 to retrieve the password from RACF.

  Domain Password     Logmode           Description
  SC42A GATEWAY                   Gateway to target SC42
  SC69A GATEWAY                   Gateway to target SC69




Figure 136. SA OS/390 Network Gateway Definitions panel

On the Gateway Definition panel for the focal point and the backup focal point
systems, enter the target domains to which the gateways sessions will be
established.




                                             Chapter 9. Automation example scenarios   211
On the Gateway Definition panel for the target systems, enter the focal point
               domain and backup focal point domain.

               Put either a password for the gateway operator or the value, RACFNNT, in the
               password field. If RACFNNT is entered, it will enable the use of the SA
               OS/390 password facility (see Section 9.2.1.3, “Considerations for the SA
               password protection feature” on page 213). In the ITSO project, the
               password, GATEWAY, was chosen.

               After completion of this step, continue to define where the focal point and
               target definitions will be used.

               Return to the Network Policy Selection panel, shown in Figure 137, and
               select the WHERE USED option.


                                              SA OS/390 Policy Selection        Row 1 to 9 of 9
                 Command ===>                                                   SCROLL===> CSR

                 Entry Type : Network                PolicyDB Name : ITSO_ENTERPRISE
                 Entry Name : FOCAL_NETWORK          Enterprise Name : ITSO_ENTERPRISE

                 Action      Policy Name          Policy Description
                             DESCRIPTION          Enter description
                             ADJACENT NETVIEW     Define adjacent NetView
                             FORWARD              Define forward focal point
                             FULL SESSIONS        Define TAF sessions (Applications)
                             GATEWAY              Define gateways
                             SAF ENVIRONMENT      Define System Authorization Facility (SAF)
                             -------------------- ---------------------------------------------
                  S          WHERE USED           List Systems linked to this entry
                             COPY                 Copy data from an existing entry
                 ******************************* Bottom of data ********************************



               Figure 137. SA OS/390 Network Policy Selection panel

               The following Where Used panel will be displayed for selection of the
               particular focal point system. In this example, SC66 is selected.




212   Automation Using Tivoli NetView OS/390 V1R3 and System Automation OS/390 V1R3
SA OS/390 Where Used             Row 1 to 3 of 3
 Command ===>                                                   SCROLL===> CSR

 Entry Type : Network              PolicyDB Name : ITSO_ENTERPRISE
 Entry Name : FOCAL_NETWORK        Enterprise Name : ITSO_ENTERPRISE

 Action      Status            Entry Name                  Entry Type
                               SC42                        SYS
             SELECTED          SC66                        SYS
                               SC69                        SYS
 ******************************* Bottom of data ********************************




Figure 138. SA OS/390 Network Where Used panel

After completion of these definition steps for the focal point, backup focal
point, and all target systems, rebuild the SA Automation Control File (ACF)
and modify the DSIOPF and DSIDMN members to include the correct
gateway userids (autotasks) and RRD definitions.

Refer the Appendix B, “System Automation V1R3 members and jobs” on page
233 for further information about the statements changed in these members.

The last step is to recycle the NetView applications to reflect the new
definitions and establish the gateways’ sessions.

9.2.1.3 Considerations for the SA password protection feature
The System Automation password protection is an optional feature that allows
System Automation to use a Security Authorization Facility (SAF) program,
such as RACF or a functionally equivalent product, to manage gateway
operator IDs and passwords. This feature is intended for systems that
establish gateway sessions with two or more systems.

System Automation password protection feature involves the System
Automation password data set and the SAF program. The System Automation
password data set contains only gateway operator ID and password entries.
The SAF program manages all user IDs and their passwords, including
gateway operator IDs and their passwords.

Consider the following issues if planning to install the System Automation
password protection feature:
 • For an automation environment to use the System Automation password
   protection feature, all systems in the automation environment must install
   this feature.



                                           Chapter 9. Automation example scenarios   213
• A SAF program must be installed on all systems in the automation
                   environment that are using the System Automation password protection
                   feature.
                 • The number of gateway sessions each system in the automation
                   environment establishes with other systems.
                 • Decide whether each system in the automation environment will have its
                   own SAF product data set, or whether several systems will share one
                   password data set.
                   Refer to System Automation for OS/390 V1R3 Customization, GC28-1566,
                   for more information about shared SAF data sets.

               For a detailed description of how to define the System Automation password
               protection feature, refer to Appendix 1.1.3 “Installing the SA/MVS Password
               Protection Feature” in System Automation for OS/390 V1R3 Planning and
               Installation, GC28-1549.


9.3 Using NetView AON inform policies by System Automation
               This section introduces the AON Inform policy, and describes how it can be
               implemented in a System Automation NetView.

               The AON Inform policy, provides a simple way to perform automatic event
               notification and escalation. It can be easily customized to support SMTP
               e-mail or other paging/e-mail gateways.

               Samples are supplied within AON to support pager and e-mail communication
               via the service point Netfinity for OS/2. Refer to the Netfinity for OS/2 product
               documentation for setting up the required service point communication to
               Tivoli NetView for OS/390.

               As an example, the SMTP e-mail support is detailed in Section 9.1, “NetView
               SMTP mail gateway support” on page 199. For an example of interfacing
               other e-mail software, see the ITSO redbook An Introduction to Tivoli NetView
               for OS/390 V1R2, SG24-5224.

               Inform processing can be implemented on a System Automation NetView
               without having to install any other AON code or functions.

9.3.1 Installation of AON inform policy in the Automation NetView
               To install AON Inform policy support, the following is required:




214   Automation Using Tivoli NetView OS/390 V1R3 and System Automation OS/390 V1R3
1. In the Automation NetView start-up procedure, check that the following
               dataset concatenations are uncommented:
                 -STEPLIB:
                      //         DD   DSN=&SQ1..SEZLLINK,DISP=SHR
                 -DSICLD:
                      //         DD   DSN=&SQ1..SEZLCLST,DISP=SHR
                 -CNMPNL1:
                      //         DD   DSN=&Q1..&DOMAIN..SEZLPNLU,DISP=SHR
                      //         DD   DSN=&SQ1..SEZLPNLU,DISP=SHR
            2. Check that the following INCLUDE statement is uncommented in the
               DSICMDM member of DSIPARM library:
                  %INCLUDE EZLCMDI

                  Note

             Several AON functions, such as INFORM, AUTOMAN, TIMER, SMTP e-mail,
             and TCP/IP commands, can be run without other AON automation
             functions being active. The above steps will enable all of these functions.

             The AON TIMER functions and the SA/390 TIMER functions cannot run
             simultaneously in the same operating system environment. The default is the
             AON TIMER function.

             Refer to the Tivoli NetView for OS/390 Automated Operations Network
             Users Guide, GC31-8661, for further details.

             For further detailed compatibility information and the latest System Automation
             APAR for NetView V1R3 toleration refer to Appendix A, “NetView 1.3 toleration
             for System Automation 1.3” on page 231.


9.3.2 Inform policy customizing
            The Inform policy is used to define who should be and how they should be
            contacted, when critical situations arise. Logically, the Inform policy is divided
            into individual contacts and groups of contacts. This enables different people
            to be contacted for an event, depending on the time that event happens,
            without having to work this out before the call to the Inform policy.

            A sample Inform policy, EZLINSMP, is provided. The Inform policy contains
            the following statements:
             • SETUP



                                                     Chapter 9. Automation example scenarios   215
Defines connection types and enables logging.
                 • INFORM
                   Gives a label to an inform policy that consists of a contact or list of
                   contacts.
                 • CONTACT
                   Defines the criteria used to determine who is contacted and how.
                 • GROUP
                   Specifies a list of policies that form a logical group.

               Refer to Chapter 4 in the Tivoli NetView for OS/390 Administration Reference,
               SC31-8222, for further coding and parameter details for the Inform policy
               statements.

               An example of AON Inform policy statements is shown in Figure 139 on page
               217.




216   Automation Using Tivoli NetView OS/390 V1R3 and System Automation OS/390 V1R3
* Add a setup statement, to define other connection types and           *
              * enable logging. Specify log member name INFLOG, by default EZLIFLOG   *
              * would be used.                                                        *
              *                                                                       *
              SETUP CONNECTIONS=FAX,LOG=YES,MEMBER=INFLOG;
              *                                                                       *
              GROUP NITEOPS,LIST=PERSONC;
              GROUP WEEKENDS,LIST=PERSONC,PERSOND;
              *
              *                                                                       *
              * POLICY for PERSONC                                                    *
              *                                                                       *
              * PersonC is available every evening by EMAIL and additionally by       *
              * Pager on the weekends.                                                *
              *                                                                       *
              INFORM PERSONC,SP=SP000002;
              CONTACT ONCALLDAY=*,
                      ONCALLTIME=16:00 TO 24:00,
                      CONNECTION=EMAIL,
                      INTERFACE=EZLESMTP,
                      ROUTE=IBPERSC@VNET.IBM.COM,
                      NAME=C. PERSON;
              CONTACT ONCALLDAY=WEEKEND,ONCALLTIME=16:00 TO 24:00,
                      CONNECTION=ALPHAPAGE,ROUTE=6127555,NAME=C. PERSON,
                      INTERFACE=EZLENETF,TAPACCESS=918007596366;
              *                                                                       *
              * POLICY for PERSOND                                                    *
              *                                                                       *
              * PersonD is always available on Weekends by Pager.                     *
              *                                                                       *
              INFORM PERSOND,SP=SP000002;
              CONTACT ONCALLDAY=WEEKEND,
                      CONNECTION=ALPHAPAGE,
                      INTERFACE=EZLENETF,
                      TAPACCESS=9-1-800-555-5555,
                      ROUTE=1231111,
                      NAME=D. PERSON;

            Figure 139. Example of AON Inform policy statements


9.3.3 Calling the Inform policy
            After the Inform policy has been customized, it needs to be loaded into
            NetView before it can be accessed. The following two ways show how to load
            and activate the Inform policy:
            1. From a networking NetView (running AON), it can be loaded at AON
               control file load by modifying the ENVIRON SETUP parameter in the AON
               control file EZLCFG01 to include the statement
                      INFORMPM=EZLINSMP
                      (where EZLINSMP is the Inform policy member name)
            2. From any NetView (running AON or SA), by issuing the following command
               at the NetView NCCF interface:


                                                        Chapter 9. Automation example scenarios   217
INFORMTB EZLINSMP
                          (where EZLINSMP is the Inform policy member name)

                       Note
                 In a System Automation NetView, the AON control file will not be loaded, so
                 method 2 must be used. This command could be issued from an
                 AUTOTASK at System Automation control file load.

               The actual Inform policy is called by issuing the following INFORM command:
                       INFORM Policy_name Message

               where
                    - Policy_name: Either an Inform policy name or Inform group name
                    - Message: The message to be sent

               The command can be issued from a NetView NCCF screen, a REXX clist, or
               called from the AON and System Automation control files.

9.3.4 Calling AON Inform policy from System Automation
               The following example shows the System Automation configuration and
               Inform policy member definitions to perform automatic notification.

               9.3.4.1 Example scenario
               A DB2 subsystem, DB2AMSTR, is defined to System Automation. The
               System Automation definition includes a call to the Inform policy if
               DB2AMSTR goes to BROKEN status.

               The Inform policy member contains Inform policy statements to do the
               following notifications:
                 • If DB2AMSTR goes to BROKEN status between 9:00 A.M. and 5:00 P.M.,
                   Monday to Friday, the following receivers are to be notified:
                    - The duty systems programmer via pager
                    - The help desk via e-mail and pager
                    - The Customer Service Manager via pager
                 • If DB2AMSTR goes to BROKEN status outside of the regular working
                   hours, the following receivers are to be notified:
                    - The duty systems programmer via pager
                    - The help desk via e-mail



218   Automation Using Tivoli NetView OS/390 V1R3 and System Automation OS/390 V1R3
- The Customer Service Manager via email

9.3.4.2 Definition and implementation process
To implement the above scenario, the following steps need to be performed:
   a. Add the correct definitions to the System Automation control file and
      rebuild it.
   b. Reload the automation control file (ACF) within the System Automation
      NetView.
   c. Add the correct definitions to the Inform policy member.
   d. Load the Inform policy member into the System Automation NetView.

9.3.4.3 System Automation definitions
DB2AMSTR is defined to the System Automation policy database as a
regular application running on system SC42. To trigger the automatic inform
processing, some additional definitions have to be performed in order to call
the Inform policy when DB2AMSTR goes to BROKEN status. This is achieved
by using the System Automation facility to trigger commands on status
change.

For detailed information, refer to Chapter 10, “How Automation Routines Can
Be Triggered” in System Automation for OS/390 Customization, GC28-1566.

For this example using Inform policies, return to the System Automation Entry
Type Selection panel and select option APL or 6 (Application). On the
Application Entry Type Selection panel, select the defined application,
DB2AMSTR, to enter the Application Policy Selection panel as shown in
Figure 140 on page 220.




                                      Chapter 9. Automation example scenarios   219
SA OS/390 Policy Selection      Row 1 to 14 of 17
                 Command ===>                                                  SCROLL===> CSR

                 Entry Type : Application           PolicyDB Name : POLICY_DB
                 Entry Name : DB2AMSTR              Enterprise Name : ITSO_ENTERPRISE

                 Action      Policy Name          Policy Description
                             DESCRIPTION          Enter description
                             LINK TO CLASS        Link instance to class
                             APPLICATION INFO     Enter and display Application information
                             INFO BRIDGE          Enter INFO Bridge resource name
                             RMF                  Enter RMF objectives and reporting criteria
                             AUTOMATION INFO      Define Application automation information
                             AUTOMATION FLAGS     Define Application automation flags
                 S           MESSAGES             Define Application messages
                             SHUTDOWN             Define shutdown procedures
                             THRESHOLDS           Define error thresholds
                             RESTART              Define commands executed at restart
                             MINOR RESOURCES      Define Application sub-component flags


               Figure 140. Selecting the MESSAGES option

               Select the MESSAGES option to define specific message handling for
               DB2AMSTR. The Message Policy panel will be displayed as illustrated in
               Figure 141.


                                             SA OS/390 Message Processing      Row 1 to 8 of 21
                  Command ===>                                                  SCROLL===> CSR

                  Entry Type : Application           PolicyDB Name : POLICY_DB
                  Entry Name : DB2AMSTR              Enterprise Name : ITSO_ENTERPRISE

                  Resource: DB2AMSTR

                  Enter messages issued by this resource that will result in automated actions.
                  Actions: CMD = Command REP = Reply CODE = CODE

                  Action     Message ID         Description                       Cmd Rep Code

                  CMD        BROKEN             Invoke callout




               Figure 141. Calling a command from BROKEN status

               In the Message Policy panel, enter the Action keyword CMD, the Message ID
               keyword BROKEN, and a short description.




220   Automation Using Tivoli NetView OS/390 V1R3 and System Automation OS/390 V1R3
SA OS/390 CMD Processing           Row 1 to 4 of 21
  Command ===>                                                   SCROLL===> CSR

  Entry Type : Application          PolicyDB Name : POLICY_DB
  Entry Name : DB2AMSTR             Enterprise Name : ITSO_ENTERPRISE

  Resource: DB2AMSTR
  Message ID: BROKEN

  Enter commands to be executed when resource issues the selected message.

  Pass or Automated
  Selection Function
                 Command Text
  1              INFORM DB2PROB DB2AMSTR IS BROKEN



Figure 142. Coding the INFORM command

In the following CMD Processing panel, shown in Figure 142, enter the
INFORM command and the specific parameter that need to be passed to the
Inform policy for this example.

After completion of this definition to the System Automation policy database,
rebuild the automation control file (ACF) and reload it in the Automation
NetView.

9.3.4.4 Inform policy definitions
For the example of Inform policy notifications when DB2AMSTR goes to
status BROKEN, the following Inform policy INFORM/CONTACT definitions
for the DB2 systems programmers have to be performed as shown in Figure
143 on page 222.




                                           Chapter 9. Automation example scenarios   221
*                                                                       *
                 * POLICY for DB2SP (DB2 Systems Programmers)                            *
                 *                                                                       *
                 * The inform policy for DB2SP indicates that there are 2 separate       *
                 * contacts depending on the day/time.                                   *
                 *                                                                       *
                 * The prime time contact is John Smith who is on pager# 0123456789      *
                 * The out of hours contact is Fred Bloggs who is on pager# 9876543210   *
                 *                                                                       *
                 INFORM DB2SP,SP=SP000002;
                 CONTACT ONCALLDAY=WEEKDAY,
                         ONCALLTIME=09:00 to 17:00,
                         CONNECTION=ALPHAPAGE,
                         INTERFACE=EZLENETF,
                         TAPACCESS=9-1-800-555-5555,
                         ROUTE=0123456789,
                         NAME=JOHN SMITH;
                 CONTACT ONCALLDAY=WEEKDAY,
                         ONCALLTIME=17:00 to 24:00,
                         CONNECTION=ALPHAPAGE,
                         INTERFACE=EZLENETF,
                         TAPACCESS=9-1-800-555-5555,
                         ROUTE=9876543210,
                         NAME=FRED BLOGGS;
                 CONTACT ONCALLDAY=WEEKDAY,
                         ONCALLTIME=00:01 to 09:00,
                         CONNECTION=ALPHAPAGE,
                         INTERFACE=EZLENETF,
                         TAPACCESS=9-1-800-555-5555,
                         ROUTE=9876543210,
                         NAME=FRED BLOGGS;
                 CONTACT ONCALLDAY=WEEKEND,
                         CONNECTION=ALPHAPAGE,
                         INTERFACE=EZLENETF,
                         TAPACCESS=9-1-800-555-5555,
                         ROUTE=9876543210,
                         NAME=FRED BLOGGS;

               Figure 143. INFORM/CONTACT definitions for DB2 Systems Programmers

               As second action, the following Inform policy INFORM/CONTACT definitions
               for the Help Desk have to be performed as shown in Figure 144 on page 223.




222   Automation Using Tivoli NetView OS/390 V1R3 and System Automation OS/390 V1R3
* POLICY for HDESK (Help Desk)                                       *
 * HDESK is available during the prime time via pager# 1122334455 and *
 * email, and out of hours via email only.                            *
 *                                                                    *
 INFORM HDESK,SP=SP000002;
 CONTACT ONCALLDAY=WEEKDAY,
         ONCALLTIME=09:00 to 17:00,
         CONNECTION=ALPHAPAGE,
         INTERFACE=EZLENETF,
         TAPACCESS=9-1-800-555-5555,
         ROUTE=1122334455,
         NAME=HELP DESK;
 CONTACT ONCALLDAY=*,
         CONNECTION=EMAIL,
         INTERFACE=EZLESMTP,
         ROUTE=HDESK@SOMEWHERE.COM,
         NAME=HELP DESK;
 *                                                                    *

Figure 144. INFORM/CONTACT definitions for Help Desk

As third action, the Inform policy INFORM/CONTACT definitions for the
Customer Service Manager have to be performed as shown in Figure 145:

 * POLICY for CSMGR (Customer Service Manager)                          *
 * CSMGR is available in prime time via pager# 66778899, and out of     *
 * hours via email.                                                     *
 *                                                                      *
 INFORM CSMGR,SP=SP000002;
 CONTACT ONCALLDAY=WEEKDAY,
         ONCALLTIME=09:00 to 17:00,
         CONNECTION=ALPHAPAGE,
         INTERFACE=EZLENETF,
         TAPACCESS=9-1-800-555-5555,
         ROUTE=66778899,
         NAME=CS MANAGER;
 CONTACT ONCALLDAY=WEEKDAY,
         ONCALLTIME=17:00 to 24:00,
         CONNECTION=EMAIL,
         INTERFACE=EZLESMTP,
         ROUTE=CSMGR@VNET.IBM.COM,
         NAME=CS MANAGER;
 CONTACT ONCALLDAY=WEEKDAY,
         ONCALLTIME=00:01 to 09:00,
         CONNECTION=EMAIL,
         INTERFACE=EZLESMTP,
         ROUTE=CSMGR@VNET.IBM.COM,
         NAME=CS MANAGER;
 CONTACT ONCALLDAY=WEEKEND,
         CONNECTION=EMAIL,
         INTERFACE=EZLESMTP,
         ROUTE=CSMGR@VNET.IBM.COM,
         NAME=CS MANAGER;


Figure 145. INFORM/CONTACT definitions for Customer Service Manager




                                           Chapter 9. Automation example scenarios   223
The last action is to specify the Inform policy GROUP definition, which
               logically groups the contacts to the group DB2PROB:


                 *                                                                    *
                 * DB2PROB is the group of people to be informed of DB2 problems.     *
                 *                                                                    *
                 GROUP DB2PROB,LIST=DB2SP,HDESK,CSMGR;
                 *                                                                    *


               Figure 146. Inform policy group definition



                      Note
                 Grouping simplifies the need to duplicate CONTACT entries under more
                 than one INFORM group.

               When all of the above definitions have been performed, load the Inform policy
               member into the System Automation NetView using the NetView command
                          INFORMTB <Inform policy member>

               where <Inform policy member> represents the customized Inform policy
               member for this example.

               9.3.4.5 System Automation processing
               If the application DB2AMSTR goes to status BROKEN, System Automation
               will execute the INFORM command to call the Inform policy.

               The Inform policy will ensure that a notification will automatically be sent to
               the correct people. The text of the notification in e-mail and on the pager will
               be:
                   “DB2AMSTR IS BROKEN”


9.4 Brief comparison of NMC and SDF Consoles
               The NetView Management Console (NMC) graphically displays the resources
               that represent a network, a portion of a network, a system application, a
               subsystem, or a group of networks and/or subsystems at various levels of
               detail. These graphical views show the network and system resource objects,
               which are managed by the Networking (AON) or Automation (SA) NetView.
               When monitoring a network or system, resource status changes are reflected
               dynamically in the graphical views.




224   Automation Using Tivoli NetView OS/390 V1R3 and System Automation OS/390 V1R3
The Status Display Facility (SDF) is a System Automation function residing
           within the Automation NetView, that is used to monitor system resources on
           the current system as well as on other target systems in 3270 session
           screens. The resources are monitored by noting different colors to reflect
           their current status. When monitoring system resources, resource status
           changes are updated dynamically in the SDF 3270 screens.

           Comparing the SDF with the NMC implementation, SDF is easy and quicker
           to setup and maintain. SDF does not need RODM or GMFHS to provide its
           resource information, just the base Automation (SA) NetView. It only provides
           information about system resources managed by the Automation (SA)
           NetViews.

           On the other hand does the NMC provide by far more powerful display and
           command functions, including online status refresh for all managed network
           and system objects, as well as Network and System Automation command
           support directly from NMC topology console.


9.5 Example NMC screens of the ITSO project scenario
           The following section will show some NMC screen shots and examples
           derived from the actual ITSO project implementation to monitor system
           resources.

           As mentioned in Chapter 5.3, “Defining all systems and objects to System
           Automation” on page 60, the System Automation policy database for the
           entire enterprise should contain all the object information that System
           Automation uses to produce the RODM objects (RODM load file). These
           objects represent the displayed graphical objects in the NMC views for
           System Automation.

           A thoughtful planning for creation of the object hierarchy and how to group the
           resources will have a great impact on how powerful the System Automation
           for OS/390 graphic interface will be.

           The chart in Figure 147 exemplifies again the monitoring hierarchy for the
           various System Automation objects used in this ITSO project. It was decided
           to group the systems by geographical region and type of applications.




                                                  Chapter 9. Automation example scenarios   225
Figure 147. Example of ITSO Enterprise Monitoring Hierarchy

               The following collection of screen shots from Figure 148 to Figure 153 on
               page 229 demonstrate how the actual NMC System Automation views look
               like. The background pictures were added for demonstration purpose.




226   Automation Using Tivoli NetView OS/390 V1R3 and System Automation OS/390 V1R3
Figure 148. NMC System Automation ITSO Enterprise object




Figure 149. NMC System Automation group objects



                                           Chapter 9. Automation example scenarios   227
Figure 150. NMC System Automation subgroup objects




               Figure 151. NMC System Automation system object



228   Automation Using Tivoli NetView OS/390 V1R3 and System Automation OS/390 V1R3
Figure 152. NMC System Automation application group objects




Figure 153. NMC System Automation application screen example



                                            Chapter 9. Automation example scenarios   229
230   Automation Using Tivoli NetView OS/390 V1R3 and System Automation OS/390 V1R3
Appendix A. NetView 1.3 toleration for System Automation 1.3

                  Since Tivoli NetView for OS/390, NetView AON and System Automation have
                  common usage of several commands and synonyms. A System Automation
                  for OS/390 APAR, OW42022, will be available by end of January 2000 to
                  allow better coexistence of System Automation for OS/390 V1R3 running on
                  Tivoli NetView for OS/390 V1R3. The addressed items are:
                    • Toleration of command CHRON
                      CHRON timers set by operators:
                       - Display and delete function allowed
                       - Edit function rejected
                    • AOFCMD - Synonyms
                      SETTIMER:
                      Deletion of the two undocumented SA synonyms
                       - TIMER
                       - TIMERS
                      due to the compatibility problem with the TIMER command of Tivoli
                      NetView V1R3.
                    • EXIST
                      DOC / ++HOLD ACTION:
                      Manually remove or remark ( /* ... */ ) invocation of the EXIST function
                      when using Tivoli NetView V1R3. Otherwise, a duplicate invocation will
                      occur, and a warning message will be displayed.
                    • AON
                      Is per default activated in Tivoli NetView V1R3.
                      DOC / ++HOLD ACTION:
                      Make sure AON is disabled, and everything, except the command
                      EZLCMDI, which still has to be included in DSICMD, is removed or
                      remarked (/*...*/). The EZLCMDI command is now part of Tivoli NetView
                      for OS/390 V1R3 and no longer part of AON, even though its module
                      name still begins with EZL.
                    • NetView CLIST CNME1035
                      Invoked by initial msg load AOFMSG00 by earlier versions of Tivoli
                      NetView for OS/390. Since it is in Tivoli NetView OS/390 V1R3 integrated




© Copyright IBM Corp. 2000                                                                   231
into the NetView Clist, CNME1034, the following changes need to be
                   done.
                   DOC / ++HOLD ACTION:
                   Remove or remark ( /* ... */ ) the invocation of CNME1035 in member
                   AOFMSG00.


                      Note
                 This notice is a reminder that the clist, CNME1035, is no longer used by
                 Tivoli NetView for OS/390 V1R3 as the initial NetView PPT startup clist.
                 Please check for any self-written customizations and move appropriate
                 modifications to the new NetView PPT start-up clist CNME1034.




232   Automation Using Tivoli NetView OS/390 V1R3 and System Automation OS/390 V1R3
Appendix B. System Automation V1R3 members and jobs

                  The following tables Table 26 and Table 27 on page 234 specify the defined
                  applications, application groups, and classes within the ITSO project.
                  Table 26. Applications defined in the ITSO Enterprise policy database

                    APPLICATION                        APPLICATION GROUP

                    ASCH                               OPERATIONS

                    APPC                               OPERATIONS

                    IO_OPERATIONS                      OPERATIONS

                    JES2                               OPERATIONS

                    LLA                                OPERATIONS

                    NETWORK_GMFHS                      NETWORK

                    NETWORK_NETVIEW                    NETWORK

                    NETWORK_NETVIEW_SSI                NETWORK

                    NETWORK_RODM                       NETWORK

                    PROCESSOR_OPERATIONS               OPERATIONS

                    SAOS390_GMFHS                      SC66_GENERIC

                    SAOS390_NETVIEW                    SA_OS390

                    SAOS390_NETVIEW_SSI                SA_OS390

                    SAOS390_RODM                       SA_OS390

                    SAOS390_RODM_DM                    SA_OS390

                    TSO                                OPERATIONS

                    VLF                                OPERATIONS

                    VTAM                               NETWORK

                    TSO                                OPERATIONS




© Copyright IBM Corp. 2000                                                                233
Table 27. Classes defined in the ITSO Enterprise policy database

                 CLASS                              APPLICATIONS RELATED

                 GENERIC_CLASS                      This is a generic class application. It should be used
                                                    with generic and local applications that will share
                                                    the same definitions like shutdown commands,
                                                    restart thresholds and others.

                 GMFHS_CLASS                        SAOS390_GMFHS and NETWORK_GMFHS

                 NETVIEW_CLASS                      SAOS390_NETVIEW and NETWORK_NETVIEW

                 RODM_CLASS                         SAOS390_RODM and NETWORK_RODM



B.1 Other System Automation jobs and definitions
               The following sections contain the actual sample procedures/jobs of the ITSO
               project.




234   Automation Using Tivoli NetView OS/390 V1R3 and System Automation OS/390 V1R3
B.1.1 Automation NetView start-up procedure
            //AOFAPPL PROC Q1='NETVUSER', ** USER DSN HIGH LEVEL QUALIFIER
            //        DOMAIN=SC&SYSCLONE.A, ** NETVIEW DOMAIN NAME
            //        DOMAINPW='',          ** NETVIEW DOMAIN PASSWORD
            //        PROG=DSIMNT,          ** PGM FOR AUTOMATION NETVIEW
            //        SQ1=NETVIEW.V1R3M0, ** SYSTEM DSN HIGH LEVEL QUALIFIER
            //        SQ2=ING,              ** SYSOPS DSN HIGH LEVEL QUALIFIER
            //        VQ1=NETVUSER,         ** HIGH LVL DSN QUALIFIER-VSAM DSNS
            //        VQ2=ING.USER,         ** SYSOPS HIGH LVL DSN QUALIFIER-VSAM
            //        SOUTA='*',            ** DEFAULT PRINTED OUTPUT CLASS
            //        REG=4096,             ** REGION SIZE(IN K) FOR MAIN TASK
            //        BFSZ=24,              ** BUFFER SIZE(IN K)
            //        SLSZ=200,             **
            //        ARM='*NOARM',         ** NETVIEW AUTOMATIC RESTART (ARM) USAGE
            //        SUBSYM=''             ** NETVIEW SYMBOLIC SUBSTITUTION SWITCH
            //**********************************************************************
            //AOFAPPL EXEC PGM=&PROG,TIME=1440,
            //         REGION=&REG.K,
            //         PARM=(&BFSZ.K,&SLSZ,'&DOMAIN','&DOMAINPW','&ARM','&SUBSYM'),
            //         DPRTY=(13,13)
            //DSICLD DD DSN=&Q1..&DOMAIN..CNMCLST,DISP=SHR
            //         DD DSN=&Q1..SYSTEM.CNMCLST,DISP=SHR
            //         DD DSN=&SQ2..SINGNREX,DISP=SHR
            //         DD DSN=&SQ1..CNMCLST,DISP=SHR
            //         DD DSN=&SQ1..CNMSAMP,DISP=SHR
            //         DD DSN=&SQ1..SEZLCLST,DISP=SHR
            //         DD DSN=&SQ1..SEKGSMP1,DISP=SHR
            //DSIOPEN DD DSN=&Q1..&DOMAIN..SDSIOPEN,DISP=SHR
            //         DD DSN=&Q1..SYSTEM.SDSIOPEN,DISP=SHR
            //         DD DSN=&Q1..&DOMAIN..SDSIOPEN,DISP=SHR
            //         DD DSN=&SQ1..SDSIOPEN,DISP=SHR
            //DSIPARM DD DSN=&Q1..&DOMAIN..DSIPARM,DISP=SHR
            //         DD DSN=&Q1..SYSTEM.ACF,DISP=SHR
            //         DD DSN=&Q1..SYSTEM.DSIPARM.ENTERP,DISP=SHR
            //         DD DSN=&Q1..SYSTEM.DSIPARM,DISP=SHR
            //         DD DSN=&SQ2..SINGNPRM,DISP=SHR
            //         DD DSN=&SQ1..DSIPARM,DISP=SHR
            //DSILIST DD DSN=&Q1..&DOMAIN..DSILIST,DISP=SHR
            //DSIVTAM DD DSN=&Q1..&DOMAIN..VTAMLST,DISP=SHR
            //*        DD DSN=SYS1.VTAMLST,DISP=SHR
            //DSIPRF DD DSN=&Q1..&DOMAIN..DSIPRF,DISP=SHR
            //         DD DSN=&Q1..SYSTEM.DSIPRF,DISP=SHR
            //         DD DSN=&SQ2..SINGNPRF,DISP=SHR
            //         DD DSN=&SQ1..DSIPRF,DISP=SHR
            //DSIMSG DD DSN=&SQ2..SINGNMSG,DISP=SHR
            //         DD DSN=&SQ1..SDSIMSG1,DISP=SHR
            //BNJPNL1 DD DSN=&SQ1..BNJPNL1,DISP=SHR
            //BNJPNL2 DD DSN=&SQ1..BNJPNL2,DISP=SHR
            //CNMPNL1 DD DSN=&SQ2..SINGNPNL,DISP=SHR
            //         DD DSN=&SQ1..CNMPNL1,DISP=SHR
            //         DD DSN=&SQ1..SEZLPNLU,DISP=SHR
            //         DD DSN=&SQ1..SEKGPNL1,DISP=SHR




                                         Appendix B. System Automation V1R3 members and jobs   235
//*******************************************************************
                //* SYSOPS AUTOMATION STATUS FILE
                //*******************************************************************
                //AOFSTAT DD DSN=&VQ2..&DOMAIN..STATS,DISP=SHR
                //*******************************************************************
                //* SYSOPS SAF PASSWORD DATASET FOR GATEWAY OPERATORS
                //*******************************************************************
                //*AOFPSWD DD DSN=&VQ2..&DOMAIN..PASSWORD,DISP=SHR,AMP=AMORG
                //*******************************************************************
                //* NETVIEW LOG DATASETS
                //*******************************************************************
                //DSILOGP DD DSN=&VQ1..&DOMAIN..DSILOGP,
                //         DISP=SHR,AMP='AMORG,BUFNI=10,BUFND=5'
                //DSILOGS DD DSN=&VQ1..&DOMAIN..DSILOGS,
                //         DISP=SHR,AMP='AMORG,BUFNI=10,BUFND=5'
                //*******************************************************************
                //* TRACE LOG DATASETS
                //*******************************************************************
                //DSITRCP DD DSN=&VQ1..&DOMAIN..DSITRCP,
                //         DISP=SHR,AMP=AMORG
                //DSITRCS DD DSN=&VQ1..&DOMAIN..DSITRCS,
                //         DISP=SHR,AMP=AMORG
                //*******************************************************************
                //* SESSION MONITOR VSAM DATA BASES
                //*******************************************************************
                //AAUVSPL DD DSN=&VQ1..&DOMAIN..AAUVSPL,DISP=SHR,AMP='AMORG'
                //AAUVSSL DD DSN=&VQ1..&DOMAIN..AAUVSSL,DISP=SHR,AMP='AMORG'
                //********************************************************************
                //* HARDWARE MONITOR VSAM DATA BASES
                //********************************************************************
                //BNJLGPR DD DSN=&VQ1..&DOMAIN..BNJLGPR,DISP=SHR,AMP=AMORG
                //BNJLGSE DD DSN=&VQ1..&DOMAIN..BNJLGSE,DISP=SHR,AMP=AMORG
                //********************************************************************
                //* 4700 SUPPORT FACILITY VSAM DATA BASES
                //********************************************************************
                //BNJ36PR DD DSN=&VQ1..&DOMAIN..BNJ36PR,DISP=SHR,AMP=AMORG
                //BNJ36SE DD DSN=&VQ1..&DOMAIN..BNJ36SE,DISP=SHR,AMP=AMORG
                //********************************************************************
                //* CENTRAL SITE CONTROL FACILITY VSAM DATA BASE
                //********************************************************************
                //DSIKPNL DD DSN=&VQ1..&DOMAIN..DSIKPNL,DISP=SHR,AMP=AMORG
                //********************************************************************
                //* SAVE/RESTORE FACILITY VSAM DATA BASE
                //********************************************************************
                //DSISVRT DD DSN=&VQ1..&DOMAIN..DSISVRT,DISP=SHR,AMP=AMORG
                //********************************************************************
                //CNMMSGF DD DUMMY
                //CNMCMDF DD DUMMY
                //SYSPRINT DD SYSOUT=&SOUTA


               Figure 154. Common SA OS/390 start-up procedure




236   Automation Using Tivoli NetView OS/390 V1R3 and System Automation OS/390 V1R3
B.1.2 System Automation RODM procedure


           //*********************************************************************
           //*       AUTOMATION RODM
           //*********************************************************************
           //RODMA PROC SQ1='NETVIEW.V1R3M0', ** SYSTEM DSN HIGH LEVEL QUALIFIER
           //        VQ1='NETVUSER.&SYSNAME.A, ** HIGH LVL DSN QUALIFIER-VSAM DSNS
           //        TYPE=COLDFORC,           ** SELECT A COLD OR WARM START
           //        NAME=RODM&SYSCLONE.A,
           //        INIT=EKGLISLM,
           //        CLRSSB=NO,
           //        CUST=EKGCUST,
           //        ARM=*NOARM,            ** AUTOMATIC RESTART MANAGER OPTION
           //        SUBSYM=*SUBSYM         ** SYMBOL SUBSTITUTION OPTION
           //*********************************************************************
           //START    EXEC PGM=EKGTC000,REGION=0K,TIME=1440,
           //         PARM='&TYPE,&NAME,&INIT,&CLRSSB,&CUST,&ARM,&SUBSYM'
           //SYSPRINT DD SYSOUT=*
           //SYSABEND DD SYSOUT=*
           //SYSDUMP DD SYSOUT=*
           //SYSTERM DD SYSOUT=*
           //EKGLOGP DD DSN=&VQ1..EKGLOGP,DISP=SHR,
           //         AMP=('BUFND=10')
           //EKGLOGS DD DSN=&VQ1..EKGLOGS,DISP=SHR,
           //         AMP=('BUFND=10')
           //EKGCUST DD DSN=NETVUSER.SYSTEM.DSIPARM,DISP=SHR
           //         DD DSN=&SQ1..DSIPARM,DISP=SHR
           //         DD DSN=&SQ1..SEKGSMP1,DISP=SHR
           //EKGLANG DD DSN=&SQ1..SEKGLANG,DISP=SHR
           //*********************************************************************
           //* RODM CHECKPOINT DATASETS                                          *
           //*********************************************************************
           //*EKGMAST DD DSN=&VQ1..EKGMAST,DISP=SHR
           //*EKGTRAN DD DSN=&VQ1..EKGTRAN,DISP=SHR
           //*EKGD001 DD DSN=&VQ1..EKGCK001,DISP=SHR
           //*EKGD002 DD DSN=&VQ1..EKGCK002,DISP=SHR
           //*********************************************************************
           //* UNCOMMENT THESE JCL STATEMENTS IF YOU INTEND TO LOAD              *
           //* RODM DATA STRUCTURE USING AN INITIALIZATION METHOD.               *
           //*********************************************************************
           //EKGLUTB DD DSN=&SQ1..SEKGLUTB,DISP=SHR
           //EKGPRINT DD SYSOUT=*
           //EKGIN2 DD DSN=NETVUSER.SYSTEM.SEKGCAS1,DISP=SHR
           //         DD DSN=&SQ1..SEKGCAS1,DISP=SHR
           //EKGIN3 DD DUMMY
           //EKGIN1 DD DSN=&SQ1..CNMSAMP(DUIFSTRC),DISP=SHR
           //         DD DSN=&SQ1..CNMSAMP(FLBTRDMG),DISP=SHR


          Figure 155. Common SA RODM start-up procedure




                                        Appendix B. System Automation V1R3 members and jobs   237
B.1.3 Automation GMFHS start-up procedure


                //*********************************************************************
                //* SA GMFHS STARTUP PROCEDURE
                //*********************************************************************
                //GMFHSA PROC Q1='NETVUSER',         ** USER DSN HIGH LEVEL QUALIFIER
                //             SQ1='NETVIEW.V3R1M0', ** SYSTEM DSN HIGH LEVEL QUALIFIER
                //             DOMAIN=&SYSNAME.A,    ** NETVIEW DOMAIN NAME
                //             PROG=DUIFT000, ** PGMUSED TO START GMFHS HOST MAIN TASK
                //             REG=32M,              ** REGION SIZE IN K FOR MAIN TASK
                //             AGGRST=N,             ** RUN AGG CALCULATION ON STARTUP
                //             RESWS=NO,             ** RESOURCE STATUS WARM START
                //             ARM=*NOARM,           ** AUTOMATIC RESTART MANAGER
                //             SUBSYM=*SUBSYM        ** SYMBOL SUBSTITUTION
                //*
                //STEP1    EXEC PGM=&PROG,REGION=&REG,TIME=1440,
                // PARM='&AGGRST,RESWS=&RESWS,DOMAIN=&DOMAIN,ARM=&ARM,SUBSYM=&SUBSYM'
                //*********************************************************************
                //* INITIALIZATION PARAMETERS DATASET
                //*********************************************************************
                //CNMPARM DD DSN=&Q1..&DOMAIN..DSIPARM,DISP=SHR
                //         DD DSN=&Q1..SYSTEM.DSIPARM,DISP=SHR
                //         DD DSN=&SQ1..DSIPARM,DISP=SHR
                //*********************************************************************
                //* GMFHS MESSAGES DATASET
                //*********************************************************************
                //CNMMSG1 DD DSN=&SQ1..SDUIMSG1,DISP=SHR
                //CNMM     DD SYSOUT=*
                //CNMD     DD SYSOUT=*
                //CNMI     DD SYSOUT=*
                //CNMO     DD SYSOUT=*
                //CNMF     DD SYSOUT=*
                //CNME     DD SYSOUT=*
                //CNMV     DD SYSOUT=*
                //CNMC     DD SYSOUT=*


               Figure 156. SA GMFHS start-up procedure used on System SC66




238   Automation Using Tivoli NetView OS/390 V1R3 and System Automation OS/390 V1R3
B.1.4 SA RODM data model load job


           //INGELOAD JOB (999,AUS),'NVINSTALL',CLASS=A,MSGCLASS=X,
           //         MSGLEVEL=(1,1),REGION=0M,TIME=1440,NOTIFY=&SYSUID
           //*******************************************************************/
           //* STEP TO PROCESS CLASS STRUCTURE DEFINITIONS                     */
           //*******************************************************************/
           //INGSTRLD EXEC PGM=EKGLOTLM,
           //         PARM=('OPERATION=LOAD',
           //         'NAME=EKGA66',
           //         'LOAD=STRUCTURE',
           //         'SEVERITY=WARNING',
           //         'LISTLEVEL=ALLSYNTAX')
           //EKGLANG DD DSN=NETVIEW.V3R1M0.SEKGLANG,DISP=SHR
           //EKGLUTB DD DSN=NETVIEW.V3R1M0.SEKGLUTB,DISP=SHR
           //EKGPRINT DD SYSOUT=*
           //EKGIN1 DD DSN=NETVUSER.SYSTEM.LOADRODM(LOADSTR0),DISP=SHR
           //EKGIN2 DD DSN=NETVUSER.SYSTEM.LOADRODM,DISP=SHR
           //*EKGIN3 DD DUMMY
           //SYSPRINT DD SYSOUT=*
           //PLIDUMP DD SYSOUT=*
           //SYSUDUMP DD SYSOUT=*
           //*******************************************************************/
           //* STEP TO DELETE ALL GMFHS OBJECTS OF THE PREVIOUSLY LOADED       */
           //* ENTERPRISE DATA MODEL                                           */
           //*******************************************************************/
           //CLEANUP EXEC PGM=AOFECLN,
           //         PARM=('EKGA66,,')
           //*
           //STEPLIB DD DSN=ING.SINGIMOD,DISP=SHR
           //SYSPRINT DD SYSOUT=*
           //*******************************************************************/
           //* STEP TO PROCESS INSTANCE DEFINITIONS                            */
           //*******************************************************************/
           //INGINSLD EXEC PGM=IKJEFT01,DYNAMNBR=30,REGION=4096K
           //SYSEXEC DD DSN=ING.SINGIREX,DISP=SHR
           //SYSTSPRT DD SYSOUT=*
           //SYSPRINT DD SYSOUT=*
           //EKGLANG DD DSN=NETVIEW.V3R1M0.SEKGLANG,DISP=SHR
           //EKGLUTB DD DSN=NETVIEW.V3R1M0.SEKGLUTB,DISP=SHR
           //EKGPRINT DD SYSOUT=*
           //EKGIN1 DD DUMMY
           //EKGIN2 DD DUMMY
           //AOFIN3 DD DSN=NETVUSER.SYSTEM.LOADRODM(LOADZ994),DISP=SHR
           //*EKGIN3 DD ALLOCATED AND FREED BY AOFRILOD
           //PLIDUMP DD SYSOUT=*
           //SYSUDUMP DD SYSOUT=*
           //SYSTSIN DD *
            %AOFRILOD OPERATION=LOAD,+
                      NAME=EKGA66,+
                      LOAD=INSTANCE,+
                      SEVERITY=WARNING,+
                      LISTLEVEL=ALLSYNTAX


           Figure 157. SA RODM data model load job used on System SC66




                                        Appendix B. System Automation V1R3 members and jobs   239
240   Automation Using Tivoli NetView OS/390 V1R3 and System Automation OS/390 V1R3
Appendix C. One RODM/GMFHS focal point configuration

                  The following section provides a check list of customization tasks that are
                  necessary to perform to have two NetViews on one logical partition (LPAR)
                  connected to only one RODM/GMFHS application pair. This check list is to
                  perform in addition to the regular tasks involved to customize the networking
                  and System Automation NetViews on the focal point system.

                  For further details refer to the following documentations:
                    • System Automation for OS/390 V1R3 Planning and Installation,
                      GC28-1549
                    • Tivoli NetView for OS/390 V1R3 Installation and Administration Guide,
                      SC31-8236

                             Note
                    Prior to perform the check list tasks below, ensure to perform the System
                    Automation work steps to load the one (networking) RODM application with
                    the data model for all System Automation objects.

                  Table 28. Check list of tasks to enable one RODM/GMFHS configuration

                    Networking NetView                         System Automation NetView

                    RODM

                    Update EKGINMTB to include EKGSPPI
                    Build LOADER files

                    (See Appendix “Loading EKGSPPI into
                    RODM” in System Automation OS/390
                    V1R3 Planning and Installation,
                    GC28-1549)

                    Automation Table

                    Modify the member AOFMSGSY to              No modifications specifically for graphics
                    enable the statement
                    %INCLUDE AOFMSG03

                    Add the RODM and NetView domain
                    name

                    NPDA




© Copyright IBM Corp. 2000                                                                              241
Networking NetView                        System Automation NetView

                 Be sure filters are set to pass alerts    NPDA is not required. However, it is
                 (See Chapter “Customize NetView Alert     possible to include the same VSAM in the
                 Information” in System Automation         Automation NetView procedure as it is
                 OS/390 V1R3 Planning and Installation,    done in the Networking NetView
                 GC28-1549)                                procedure.
                                                           (See Appendix “Running Two Graphical
                                                           NetView Releases on the Same System” in
                                                           Tivoli NetView OS/390 V1R3 Installation
                                                           and Administration Guide, SC31-8236)
                                                           especially:
                                                           BNJMBDST -- BNJDSERV initialization
                                                           member:
                                                           Change FUNCT=BOTH to FUNCT=VSAM

                 Tasks (DSIDMN)

                                                           Modify DSIPARM member DSIDMNB to:
                                                           MOD=CNMCALRT,TSKID=AOFALRT,
                                                           PRI=6,INIT=Y

                                                           Check member AOFDMN to ensure the init
                                                           member of task AOFRDST has not
                                                           changed from the default
                                                           (MEM=AOFRINIT)

                                                           Modify the init member AOFRINIT to reflect
                                                           the same PPI receiver task as in DSIQTSKI
                                                           DEFAOF PPIRCVR=AOFQTSK

                 Modify the init member DSIQTSKI of task   Modify the init member DSIQTSKI of task
                 DSIQTSK to reflect a different PPI        DSIQTSK to reflect the same PPI receiver
                 receiver task (for example):              task as in AOFRINIT:
                 CMDRCVR ID=AONQTSK                        CMDRCVR ID=AOFQTSK

                                                           Include a statement for the focal point
                                                           RODM:
                                                           REP RODM=<RODM name of networking
                                                           focal point system, e.g. EKGN66>,
                                                           CONN=Y,AO=Y,ID=<Name of CMDRCVR
                                                           ID task, e.g. AOFQTSK>

                                                           Modify the init member DSI6INIT of task
                                                           DSI6DST to reflect the correct networking
                                                           focal point NetView:
                                                           DEFFOCPT TYPE=ALERT,
                                                           PRIMARY=<NetId>.<Networking NetView
                                                           Domain-Name, e.g. USIBMSC.SC66N>




242   Automation Using Tivoli NetView OS/390 V1R3 and System Automation OS/390 V1R3
Networking NetView                       System Automation NetView

Commands (DSICMD)

Modify the member DSICMD to enable
the statement
%INCLUDE AOFCMDST

Additional members to check

                                         Ensure the clist AOFRODIN and the init
                                         member AOFRODM reflect the correct
                                         RODM userid and networking focal point
                                         RODM name
                                         (Don’t forget security !)

                                         Modify the member AOFSFMAP to reflect a
                                         correct autotask name (e.g. AUTO1) and
                                         the networking focal point RODM name
                                         (e.g. EKGN66)



RODM name of focal point system          RODM name of focal point system

Must be specified in member:             Must be specified in member:
AOFMSGSY                                 AOFRODM
                                         AOFSFMAP
                                         DSIQTSKI (REP statement)




                           Appendix C. One RODM/GMFHS focal point configuration   243
244   Automation Using Tivoli NetView OS/390 V1R3 and System Automation OS/390 V1R3
Appendix D. Special notices

                  This publication is intended to help OS/390 customers, business partners and
                  specialists to setup and customize Tivoli NetView for OS/390 and System
                  Automation for OS/390 in their enterprise environment. The information in this
                  publication is not intended as the specification of any programming interfaces
                  that are provided by Tivoli NetView for OS/390 and System Automation for
                  OS/390. See the PUBLICATIONS section of the IBM Programming
                  Announcement for Tivoli NetView for OS/390 and System Automation for
                  OS/390 for more information about what publications are considered to be
                  product documentation.

                  References in this publication to IBM products, programs or services do not
                  imply that IBM intends to make these available in all countries in which IBM
                  operates. Any reference to an IBM product, program, or service is not
                  intended to state or imply that only IBM's product, program, or service may be
                  used. Any functionally equivalent program that does not infringe any of IBM's
                  intellectual property rights may be used instead of the IBM product, program
                  or service.

                  Information in this book was developed in conjunction with use of the
                  equipment specified, and is limited in application to those specific hardware
                  and software products and levels.

                  IBM may have patents or pending patent applications covering subject matter
                  in this document. The furnishing of this document does not give you any
                  license to these patents. You can send license inquiries, in writing, to the IBM
                  Director of Licensing, IBM Corporation, North Castle Drive, Armonk, NY
                  10504-1785.

                  Licensees of this program who wish to have information about it for the
                  purpose of enabling: (i) the exchange of information between independently
                  created programs and other programs (including this one) and (ii) the mutual
                  use of the information which has been exchanged, should contact IBM
                  Corporation, Dept. 600A, Mail Drop 1329, Somers, NY 10589 USA.

                  Such information may be available, subject to appropriate terms and
                  conditions, including in some cases, payment of a fee.

                  The information contained in this document has not been submitted to any
                  formal IBM test and is distributed AS IS. The use of this information or the
                  implementation of any of these techniques is a customer responsibility and
                  depends on the customer's ability to evaluate and integrate them into the
                  customer's operational environment. While each item may have been


© Copyright IBM Corp. 2000                                                                    245
reviewed by IBM for accuracy in a specific situation, there is no guarantee
               that the same or similar results will be obtained elsewhere. Customers
               attempting to adapt these techniques to their own environments do so at their
               own risk.

               Any pointers in this publication to external Web sites are provided for
               convenience only and do not in any manner serve as an endorsement of
               these Web sites.

               This document contains examples of data and reports used in daily business
               operations. To illustrate them as completely as possible, the examples
               contain the names of individuals, companies, brands, and products. All of
               these names are fictitious and any similarity to the names and addresses
               used by an actual business enterprise is entirely coincidental.

               The following terms are trademarks of the International Business Machines
               Corporation in the United States and/or other countries:
               AIX                                        CICS
               DB2                                        DFSMS
               IBM                                        IMS
               MVS                                        NetView
               NWAYS                                      OpenEdition
               OS/2                                       OS/390
               RACF                                       REXX
               S/390                                      System/370
               System/390                                 System Automation
               Tivoli                                     TSO

               The following terms are trademarks of other companies:

               Tivoli, Manage. Anything. Anywhere.,The Power To Manage., Anything.
               Anywhere.,TME, NetView, Cross-Site, Tivoli Ready, Tivoli Certified, Planet
               Tivoli, and Tivoli Enterprise are trademarks or registered trademarks of Tivoli
               Systems Inc., an IBM company, in the United States, other countries, or both.
               In Denmark, Tivoli is a trademark licensed from Kjøbenhavns Sommer - Tivoli
               A/S.

               C-bus is a trademark of Corollary, Inc. in the United States and/or other
               countries.

               Java and all Java-based trademarks and logos are trademarks or registered
               trademarks of Sun Microsystems, Inc. in the United States and/or other
               countries.

               Microsoft, Windows, Windows NT, and the Windows logo are trademarks of


246   Automation Using Tivoli NetView OS/390 V1R3 and System Automation OS/390 V1R3
Microsoft Corporation in the United States and/or other countries.

PC Direct is a trademark of Ziff Communications Company in the United
States and/or other countries and is used by IBM Corporation under license.

ActionMedia, LANDesk, MMX, Pentium and ProShare are trademarks of Intel
Corporation in the United States and/or other countries.

UNIX is a registered trademark in the United States and other countries
licensed exclusively through The Open Group.

SET, SET Secure Electronic Transaction, and the SET Logo are trademarks
owned by SET Secure Electronic Transaction LLC.

Other company, product, and service names may be trademarks or service
marks of others.




                                                 Appendix D. Special notices   247
248   Automation Using Tivoli NetView OS/390 V1R3 and System Automation OS/390 V1R3
Appendix E. Related publications

                  The publications listed in this section are considered particularly suitable for a
                  more detailed discussion of the topics covered in this redbook.


E.1 IBM Redbooks
                  For information on ordering these publications see “How to get ITSO
                  redbooks” on page 251.
                    • Integrated Centralized Automated/Advanced Operation, SG24-2599
                      (Available online)
                    • An Introduction to TME 10 NetView for OS/390, SG24-4922 (Available
                      online)
                    • An Introduction to Tivoli NetView for OS/390 V1R2, SG24-5224
                    • Parallel Sysplex Automation: Using System Automation for OS/390,
                      SG24-5442


E.2 IBM Redbooks collections
                  Redbooks are also available on the following CD-ROMs. Click the CD-ROMs
                  button at http://www.redbooks.ibm.com/ for information about all the CD-ROMs
                  offered, updates and formats.
                  CD-ROM Title                                                      Collection Kit
                                                                                    Number
                  System/390 Redbooks Collection                                    SK2T-2177
                  Networking and Systems Management Redbooks Collection             SK2T-6022
                  Transaction Processing and Data Management Redbooks Collection    SK2T-8038
                  Lotus Redbooks Collection                                         SK2T-8039
                  Tivoli Redbooks Collection                                        SK2T-8044
                  AS/400 Redbooks Collection                                        SK2T-2849
                  Netfinity Hardware and Software Redbooks Collection               SK2T-8046
                  RS/6000 Redbooks Collection (BkMgr)                               SK2T-8040
                  RS/6000 Redbooks Collection (PDF Format)                          SK2T-8043
                  Application Development Redbooks Collection                       SK2T-8037
                  IBM Enterprise Storage and Systems Management Solutions           SK3T-3694



E.3 Other resources
                  These publications are also relevant as further information sources:



© Copyright IBM Corp. 2000                                                                      249
• Tivoli NetView for OS/390 AON Customization Guide, SC31-8662
                 • Tivoli NetView for OS/390 Automated Operations Network Users Guide,
                   GC31-8661
                 • Tivoli NetView for OS/390 Automation Guide, SC31-8225
                 • Tivoli NetView for OS/390 Customization Guide, SC31-8228
                 • Tivoli NetView for OS/390 Messages and Codes, SC31-8237
                 • Tivoli NetView for OS/390 Installation and Administration Guide,
                   SC31-8236
                 • Tivoli NetView for OS/390 Administration Reference, SC31-8222
                 • Tivoli NetView for OS/390 NetView Management Console User’s Guide,
                   GC31-8665
                 • Tivoli NetView for OS/390 V1R3 Planning Guide, GC31-8226
                 • Tivoli Netview for OS/390 Tuning Guide, SC31-8240
                 • System Automation for OS/390 V1R3 Planning and Installation,
                   GC28-1549
                 • System Automation for OS/390 V1R3 Customization, GC28-1566
                 • System Automation for OS/390 V1R3 Operations, GC28-1550
                 • System Automation for OS/390 V1R3 Messages and Codes, GC28-1569
                 • System Automation for OS/390 V1R3 Technical Reference, GC28-1593
                 • SNA Management Services Reference, SC30-3346
                 • OS/390 TCP/IP OpenEdition User’s Guide, GC31-8305


E.4 Referenced Web sites
               These Web sites are also relevant as further information sources:
                 • http://www.s390.ibm.com/sa
                 • http://www.tivoli.com/nv390




250   Automation Using Tivoli NetView OS/390 V1R3 and System Automation OS/390 V1R3
How to get ITSO redbooks

This section explains how both customers and IBM employees can find out about ITSO redbooks,
redpieces, and CD-ROMs. A form for ordering books and CD-ROMs by fax or e-mail is also provided.
 • Redbooks Web Site http://www.redbooks.ibm.com/
   Search for, view, download, or order hardcopy/CD-ROM redbooks from the redbooks Web site. Also
   read redpieces and download additional materials (code samples or diskette/CD-ROM images) from
   this redbooks site.
   Redpieces are redbooks in progress; not all redbooks become redpieces and sometimes just a few
   chapters will be published this way. The intent is to get the information out much quicker than the
   formal publishing process allows.
 • E-mail Orders
   Send orders by e-mail including information from the redbooks fax order form to:
                                      e-mail address
   In United States                   usib6fpl@ibmmail.com
   Outside North America              Contact information is in the “How to Order” section at this site:
                                      http://www.elink.ibmlink.ibm.com/pbl/pbl
 • Telephone Orders
   United States (toll free)          1-800-879-2755
   Canada (toll free)                 1-800-IBM-4YOU
   Outside North America              Country coordinator phone number is in the “How to Order”
                                      section at this site:
                                      http://www.elink.ibmlink.ibm.com/pbl/pbl
 • Fax Orders
   United States (toll free)          1-800-445-9269
   Canada                             1-403-267-4455
   Outside North America              Fax phone number is in the “How to Order” section at this site:
                                      http://www.elink.ibmlink.ibm.com/pbl/pbl

This information was current at the time of publication, but is continually subject to change. The latest
information may be found at the redbooks Web site.


    IBM Intranet for Employees
 IBM employees may register for information on workshops, residencies, and redbooks by accessing
 the IBM Intranet Web site at http://w3.itso.ibm.com/ and clicking the ITSO Mailing List button.
 Look in the Materials repository for workshops, presentations, papers, and Web pages developed
 and written by the ITSO technical professionals; click the Additional Materials button. Employees may
 access MyNews at http://w3.ibm.com/ for redbook, residency, and workshop announcements.




© Copyright IBM Corp. 2000                                                                            251
IBM Redbook fax order form

Please send me the following:
Title                                                     Order Number                    Quantity




First name                               Last name


Company


Address


City                                     Postal code                Country


Telephone number                         Telefax number             VAT number


   Invoice to customer number


   Credit card number



Credit card expiration date              Card issued to             Signature

We accept American Express, Diners, Eurocard, Master Card, and Visa. Payment by credit card not
available in all countries. Signature mandatory for credit card payment.




252       Automation Using Tivoli NetView OS/390 V1R3 and System Automation OS/390 V1R3
Glossary

AIX operating system. IBM implementation of          monitored resources against configured
the UNIX operating system. The RS/6000               thresholds, and runs automated responses.
system, among others, runs the AIX operating         Extended Architecture (XA). An extension to
system.                                              System/370 architecture that takes advantage
Browse.                                              of continuing high performance enhancements
(1) To look at records in a file.                    to computer system hardware.
(2) In the NetView Graphic Monitor Facility, to      Graphical User Interface (GUI). A type of
open a view that cannot receive status changes       computer interface consisting of a visual
from Tivoli NetView for OS/390. This contrasts       metaphor of a real-world scene, often of a
with monitor.                                        desktop. Within that scene are icons,
Central Processing Unit (CPU). The part of a         representing actual objects, that the user can
computer that includes the circuits that control     access and manipulate with a pointing device.
the interpretation and execution of instructions.    Contrast with command line interface.
A CPU is the circuitry and storage that executes     Hypertext Markup Language (HTML). A
instructions. Traditionally, the complete            markup language that is specified by an SGML
processing unit was often regarded as the CPU;       document type definition (DTD) and is
whereas, today the CPU is often a microchip. In      understood by all Web servers.
either case, the centrality of a processor or
processing unit depends on the configuration of      Hypertext Transfer Protocol (HTTP). In the
the system or network in which it is used.           Internet suite of protocols, the protocol that is
                                                     used to transfer and display hypertext
Command Line Interface (CLI). A type of              documents.
computer interface in which the input command
is a string of text characters. Contrast with        Internet Protocol (IP). In the Internet suite of
graphical user interface.                            protocols, a connectionless protocol that routes
                                                     data through a network or interconnected
DB2. An IBM relational database management           networks and acts as an intermediary between
system that is available as a licensed program       the higher protocol layers and the physical
on several operating systems. Programmers            network.
and users of DB2 can create, access, modify,
and delete data in relational tables using a         Java. An object-oriented programming
variety of interfaces.                               language for portable interpretive code that
                                                     supports interaction among remote objects.
Direct Access Storage Device (DASD). A               Java was developed and specified by Sun
mass storage medium on which a computer              Microsystems, Incorporated.
stores data. Contrast with random access
memory.                                              Monitor.
                                                     (1) A device that observes and records selected
Distributed Monitoring. See Tivoli Distributed       activities within a data processing system for
Monitor.                                             analysis. Possible uses are to indicate
Distributed Monitoring Engine. In a Tivoli           significant departure from the norm or to
environment, the client software that is installed   determine levels of utilization of particular
on each managed node, gateway, and endpoint          functional units.
that is being monitored by Tivoli Distributed        (2) Software or hardware that observes,
Monitoring. The Distributed Monitoring engine        supervises, controls, or verifies operations of a
monitors resources, compares data from               system.
                                                     (3) The function required to initiate the



© Copyright IBM Corp. 2000                                                                          253
transmission of a token on the ring and to provide     the resources, and associate rules for governing
soft-error recovery in case of lost tokens,            the resources. The policy region contains
circulating frames, or other difficulties. The         resource types and the list of resources to be
capability is present in all ring stations.            managed. A policy region is represented on the
(4) Software that monitors specific applications or    Tivoli desktop by an icon that resembles a capitol
the systems on which the applications rely.            building (dome icon). When a Tivoli Management
Monitors typically monitor information, such as        Region (TMR) is created, a policy region with the
available disk space or application errors, and        same name is also created. In this case, the TMR
compares the information to defined thresholds.        has only one policy region. However, in most
When thresholds are exceeded, either system or         cases, a Tivoli administrator creates other policy
network administrators can be notified or an           regions and subregions to represent the
automated response can be performed.                   organization of the TMR. A TMR addresses the
(5) In the NetView Graphic Monitor Facility, to        physical connectivity of resources, whereas, a
open a view that can receive status changes from       policy region addresses the logical organization
Tivoli NetView for OS/390. Problem                     of resources.
determination and correction can be performed
                                                       Policy Subregion. In a Tivoli environment, a
directly from the view. Contrast with browse.
                                                       policy region created or residing in another policy
MVS. Multiple Virtual Storage. Implies MVS/390,        region. When a policy subregion is created, it
MVS/XA, MVS/ESA, and the MVS element of the            initially uses the resource and policy properties of
OS/390 operating system.                               the parent policy region. The Tivoli administrator
                                                       can later change or customize these properties to
NetView. See Tivoli NetView and Tivoli NetView
                                                       reflect the specific needs and differences of the
for OS/390.
                                                       subregion.
Open Database Connectivity (ODBC). A
                                                       Profile.
standard application programming interface (API)
                                                       (1) Data that describes the significant
for accessing data in both relational and
                                                       characteristics of a user, a group of users, or one
non-relational database management systems.
                                                       or more computer resources.
Using this API, database applications can
                                                       (2) In a Tivoli environment, a container for
access data stored in database management
                                                       application-specific information about a particular
systems on a variety of computers even if each
                                                       type of resource. A Tivoli application specifies the
database management system uses a different
                                                       template for its profiles; the template includes
data storage format and programming interface.
                                                       information about the resources that can be
ODBC is based on the call level interface (CLI)
                                                       managed by that Tivoli application.
specification of the X/Open SQL Access Group
and was developed by Digital Equipment                 A profile is created in the context of a profile
Corporation (DEC), Lotus, Microsoft, and               manager; the profile manager links a profile to
Sybase. Contrast with Java Database                    the Tivoli resource (for example, a managed
Connectivity.                                          node) that uses the information contained in the
                                                       profile. A profile does not have any direct
Policy. In a Tivoli environment, a set of rules that
                                                       subscribers.
are applied to managed resources. A specific rule
in a policy is referred to as a policy method.         Random Access Memory (RAM). A temporary
                                                       storage location in which the central processing
Policy Region. In a Tivoli environment, a group
                                                       unit (CPU) stores and executes its processes.
of managed resources that share one or more
                                                       Contrast with direct access storage device.
common policies. Tivoli administrators use policy
regions to model the management and                    Scripting Language. The programming
organizational structure of a network computing        language in which a script is written.
environment. The administrators can group
similar resources, define access to and control


254     Automation Using Tivoli NetView OS/390 V1R3 and System Automation OS/390 V1R3
Script Stub. A place holder for a particular shell     necessary corrective actions, and informs system
script. For example, the Tivoli Module Builder         administrators of potential problems. Tivoli
generates a script stub (using a skeleton file) if a   Distributed Monitoring consists of a group of
developer does not provide the script for              monitors that are installed on each managed
implementing a particular task or monitor when         node that is to be monitored. It resolves some
defining the task or monitor. The script stub then     events on its own and may send others to the
displays a message that the script executed            Tivoli Enterprise Console.
successfully and displays any variables that were
                                                       Tivoli Developer’s Toolkit. A Tivoli tool that
passed to the script.
                                                       enables developers to describe the management
SMS. See Storage Management Subsystem.                 characteristics of an application or business
                                                       system and that generates the application
Software Distribution. See Tivoli Software
                                                       description files and application management
Distribution.
                                                       packages that the Tivoli management software
SQL. A programming language that is used to            uses to manage applications and business
define and manipulate data in a relational             systems.
database.
                                                       Tivoli Enterprise Console (TEC). A Tivoli
Structured Programming Facility (SPF). An              product that collects, processes, and
IBM product that is a full-screen editor.              automatically initiates corrective actions for
Structured Query Language. See SQL.                    system, application, network, and database
                                                       events. It is the central control point for events
System Management Facility (SMF). A                    from all sources. The Tivoli Enterprise Console
standard feature of OS/390 that collects and           provides a centralized, global view of the network
records a variety of system and job-related            computing environment. It uses distributed event
information.                                           monitors to collect information, a central event
Storage Management Subsystem (SMS). A                  server to process information, and distributed
DFSMS/MVS facility that is used to automate and        event consoles to present information to system
centralize the management of storage. Using            administrators.
SMS, a storage administrator describes data            Tivoli Environment. The Tivoli applications,
allocation characteristics, performance and            based upon the Tivoli Management Framework,
availability goals, backup and retention               that are installed at a specific customer location
requirements, and storage requirements to the          and that address network computing
system.                                                management issues across many platforms. In a
TCP. See Transmission Control Protocol.                Tivoli environment, a system administrator can
                                                       distribute software, manage user configurations,
TCP/IP. See Transmission Control                       change access privileges, automate operations,
Protocol/Internet Protocol.                            monitor resources, and schedule jobs.
Time Sharing Option (TSO). An option of the            Tivoli Management Framework. The base
MVS operating system that provides interactive         software that is required to run the applications in
time sharing from remote terminals.                    the Tivoli product suite. This software
Tivoli Client. A client of a Tivoli server. See TMR    infrastructure enables the integration of systems
client and TMR server.                                 management applications from Tivoli Systems
                                                       Inc. and the Tivoli Partners. The Tivoli
Tivoli Desktop. In a Tivoli environment, the           Management Framework includes the following:
desktop that system administrators use to
manage their network computing environment.            -Object request broker (oserv)
                                                       -Distributed object database
Tivoli Distributed Monitoring. A Tivoli product        -Basic administration functions
that monitors system resources, initiates any          -Basic application services


                                                                                                       255
-Basic desktop services, such as the graphical        TMR client maintains a local object database.
user interface                                        See Tivoli client and Tivoli server.
In a Tivoli environment, the Tivoli Management        TMR Server. A Tivoli server for a specific Tivoli
Framework is installed on every client and server;    Management Region (TMR). See Tivoli client and
however, the TMR server is the only server that       TMR client.
holds the full object database.
                                                      TSD. See Tivoli Service Desk.
Tivoli Management Region (TMR). In a Tivoli
                                                      Transmission Control Protocol (TCP). A
environment, a Tivoli server and the set of clients
                                                      communications protocol used in the Internet and
that it serves. An organization can have more
                                                      in any network that follows the Internet
than one TMR. A TMR addresses the physical
                                                      Engineering Task Force (IETF) standards for
connectivity of resources; whereas, a policy
                                                      internetwork protocol. TCP provides a reliable
region addresses the logical organization of
                                                      host-to-host protocol between hosts in
resources.
                                                      packet-switched communications networks and in
Tivoli Service Desk. A Tivoli product that is an      interconnected systems of such networks. It uses
integrated set of tools including Tivoli Assets       the Internet Protocol (IP) as the underlying
Management, Tivoli Change Management and              protocol.
Tivoli Problem Management. The information
                                                      Transmission Control Protocol/Internet
about the enterprise IT services and support is
                                                      Protocol (TCP/IP). A set of communications
maintained in a relational data base that can be
                                                      protocols that support peer-to-peer connectivity
accessed via users in a 3-tier environment. It
                                                      functions for both local and wide area networks.
provides a structure that supports the gathering,
organizing, locating, and reporting of information    UNIX. An operating system developed by Bell
related to problem, change, and asset                 Laboratories that features multi-programming in a
management.                                           multi-user environment. The UNIX operating
                                                      system was originally developed for use on
Tivoli Service Desk for OS/390. A Tivoli product
                                                      minicomputers but has been adapted for
that is an integrated set of tools, services, and
                                                      mainframes and microcomputers. The AIX
interfaces for automating and customizing a
                                                      operating system is IBM implementation of the
organization's IT service and support operation in
                                                      UNIX operating system.
an OS/390 environment. It provides a structure
that supports the gathering, organizing, locating,
and reporting of information related to problem,
change, and asset management.
Tivoli Software Distribution. A Tivoli product
that automates software distribution to clients and
servers in a network computing environment. An
organization can use this product to install and
update applications and software in a
coordinated, consistent manner across a
network. Tivoli Software Distribution creates file
packages and distributes them to predefined
subscribers.
TMR. See Tivoli Management Region.
TMR Client. In a Tivoli environment, any
computer, except the TMR server, on which the
Tivoli Management Framework is installed. The
oserv daemon runs on the TMR client, and the


256     Automation Using Tivoli NetView OS/390 V1R3 and System Automation OS/390 V1R3
Abbreviations and acronyms

ACF                          Automation Control File    IBM       International Business
                                                                  Machines
AIX                          AIX Operating System
                                                        IP        Internet Protocol
AOC                          Automated Operation
                             Control                    IPC       Inter-Process
                                                                  Communication
AON                          Automated Operation
                             Network                    IPL       Initial Program Load

API                          Application Program        ITSO      International Technical
                             Interface                            Support Organization

APPC                         Application Peer-to-Per    JDK       Java Development Kit
                             Communication              JES       Job Entry System
CLI                          Command Line               JFF       Just for Fun
                             Interface
                                                        JRE       Java Runtime
CLIST                        Command List                         Environment
CPE                          Command Profile            MIB       Management
                             Editor                               Information Block
CPU                          Central Processing Unit    MIF       Management
DASD                         Direct Access Storage                Information Format
                             Device                     MPF       Message Processing
DNS                          Domain Name Services                 Facility

E/AS                         Event/Automation           MVS/ESA   Multiple Virtual
                             Server                               Storage/Extended
                                                                  Storage Architecture
FTP                          File Transfer Protocol
                                                        MVS/XA    Multiple Virtual
GMFHS                        Graphic Monitor Facility             Storage/Extended
                             Host Subsystem                       Architecture
GUI                          Graphical User             NGMF      NetView Graphic
                             Interface                            Monitor Facility
HCD                          Host Configuration         NMC       NetView Management
                             Definition                           Console
HLL/API                      High Level Language        NLS       National Language
                             Application Program                  Support
                             Interface
                                                        NNT       NetView-NetView Task
HPFS                         High Performance File
                             System                     NTFS      NT File System

HTML                         Hypertext Markup           OS/390    Operation System/390
                             Language                   OST       Operator Station Task
HTTP                         Hypertext Transfer         PPI       Program-Program
                             Protocol                             Interface



© Copyright IBM Corp. 2000                                                             257
RACF                     Resource Access                WLM                     Workload Manager
                         Control Facility
                                                        WTOR                    Write To Operator
RDBMS                    Relational Data Base
                         Management Systems
REXX                     Name of an Interpreted
                         Command List
                         Language
RFA                      Request for
                         Announcement
RODM                     Resource Object Data
                         Manager
SA                       System Automation
SAF                      Security Authorization
                         Facility
SDF                      System Display Facility
SMS                      Storage Management
                         Subsystem.
SMTP                     Simple Mail Transport
                         Protocol
SNA                      System Network
                         Architecture
SNMP                     Simple Network
                         Management Protocol
SYSLOG                   System Log
TCP/IP                   Transmission Control
                         Protocol/Internet
                         Protocol
T/EC                     Tivoli/Enterprise
                         Console
TMA                      Tivoli Management
                         Agent
TME                      Tivoli Management
                         Environment
TMR                      Tivoli Management
                         Region
TN3270                   Telnet 3270
TSO                      Time Sharing Option
VTAM                     Virtual Transaction
                         Access Method




258      Automation Using Tivoli NetView OS/390 V1R3 and System Automation OS/390 V1R3
Index
                                            Automated Operation Network 37
                                            Automation Console 88
A                                           Automation Control File 104
A01APPLS 47
                                            Automation control file 60
ACF 60, 98, 104, 172, 184, 213
                                            Automation Flags 72
ACFPLOAD 14, 170, 173
                                            Automation policy database 60
ACQUIRE 175
                                            Automation table 155
ADDSD 171
                                            Automation Table Management tool 157
aggregate objects 138
                                            Automation Timer 90
AIFR 175
                                            AUTOTBL 157 , 166
AIX 253
                                            Available Documentation and Technical Information
Alert Forwarding 19
                                            144
ALWAYS 168
AOC/MVS 172
AOCCLONE 74                                 B
AOCCLONE1 110                               BASE_AUTOOPS 93
AOCQRES 14                                  Batch or shell files 151
AOFACFMP 173                                BEGIN/END 157, 166
AOFINIT 108                                 BINDIR 120, 121, 129, 130
AOFMSG00 41, 42, 104                        BNH370I 179
AOFMSG01 41, 43, 44, 104, 158, 164          BNJMBDST 41, 43
AOFMSGSY 41, 42, 60
AOFPNLS 50, 108
AOFPSYST 109
                                            C
                                            Cannot start the NT services 130
AOFRINIT 41
                                            child 103
AOFRODM 48, 50
                                            CHRON 2, 6
AOFSFMAP 48
                                            CLASS 66
AOFSMAP 50
                                            CLPA 56
AOFTDDF 108, 111
                                            CNME1015 45 , 46
AOFTREE 50, 108
                                            CNME1034 36 , 45, 46
AOFTSC42 110
                                            Command line interface 253
AOFTSC66 110
                                            Command Profile Editor 124, 126
AOFTSC69 110
                                            Common automation CLIST library 45
AOFTST02 162
                                            Common automation CLIST library (Enterprise fea-
AON 37, 66
                                            ture) 46
AON Inform policy 199, 202, 214, 217, 218
                                            Common automation DSIPARM library 40
APL 65
                                            Common automation DSIPARM library (Enterprise
APPC 79
                                            feature) 44
Application 64
                                            common automation NetView libraries 40
ApplicationGroup 64
                                            Common automation VTAMLST library 47
APPN 8
                                            common networking NetView libraries 34
ASCH 79
                                            CPE online utility 127
ASSIGN 92
                                            CPEBATCH 126, 127
ATF DSICGLOB 177
                                            CURRDATE 177
Auto Operators 92
                                            current date 175, 177
AUTOCNT 157, 162
                                            current time 175, 177
AUTOMAN 6, 156, 157, 159, 161, 215
                                            CURRTIME 177
AUTOMATED function 175, 180



© Copyright IBM Corp. 2000                                                               259
CUSTOMER 107                                        duinmccw.exe 131, 132
customization 53                                    duinmcsw.exe 118, 119
Customizing RODM load jobs 49
                                                    E
D                                                   EDIT 178
DALLAS_MVS 95                                       EDIT action 175, 178
DB2 8, 253                                          egvread1.me 115
DDF 38                                              egvread2.me 115
default directory 119                               EGVREAD5.ME 118, 132, 143, 147
default encryption key 145                          Enable 157, 164
default por 141                                     Enable/Disable 164
Define a NetView operator ID 145                    Enabling TCP/IP for NetView 141
depedency relationship 105                          encryption is not used 145
dependencies 103                                    encryption key 145
dependency 104                                      enhancement 126
DIAGNOSE 145                                        Environment setup 121, 122, 123
dialog 53                                           Environment space errors 153
Disable 157, 164                                    Events 13
disabling 164                                       events 181
Display 157                                         EXECIO 8
DISPTREE 105                                        EZLCFG01 35, 37, 38
Distributred Monitoring 253                         EZLTREE 37, 38
domain specific 37, 50
DSI6DST task 19
DSICGLOB 177
                                                    F
                                                    FLB4WIN.EXE 147
DSICMD 41, 43, 44
                                                    flb4win.exe 144, 147
DSICNM 41, 43
                                                    FLBDPD.HTM 144
DSICRTR task 20
                                                    FLBHLP.HTM 144
DSICRTTD 41, 43, 44, 45
                                                    flbinst.bat 148, 150
DSIDMN 41, 43, 44
                                                    flbread1.me 115
DSIDMNB 35, 36, 42, 43, 44, 45, 141
                                                    FLBSYSD 35
DSIDMNK 35, 42, 43, 144
                                                    FLBSYSDA 35
DSIDMNK Sample member 146
                                                    Focal Point 37
DSILIST 157, 159
                                                    focal point system 105
DSIOPF 42, 44
                                                    FOCAL_NETWORK 92
DSIOPFU 42
                                                    FOCAL_OPERS 93
DSIPARM 37, 108
                                                    FORCE 69
DSIPARM and DSIPRF members 144
                                                    FTP 4
DSIPARM members 141
DSIQTSKI 48, 50
DSITBL01 35, 104                                    G
DSITCPCF 144                                        GAT&AOCCLONE2 111
DSITCPIP 146                                        Gateway 91, 112
DSITCPRF 144                                        gateway 22
DSIVPARM 35                                         Gateway Sessions 209
DSIWBMEM 141                                        GATOPER 208
DUIFPMEM 35, 37, 49                                 GMFHS 21, 37
DUIGINIT 35, 49                                     Graphical user interface 253



260    Automation Using Tivoli NetView OS/390 V1R3 and System Automation OS/390 V1R3
Greater-than 175                                     IP 253
greater-than 177                                     IP Management 3
Group 64                                             IPL 107
                                                     IPSTAT 4
                                                     ISQ_NMCCCHLP_HELPFILES 124
H                                                    ISQ_NMCS_CMD.RSP 124
HDRMTYPE 8
                                                     ISQ_NMCS_DDF 124
Heartbeat 86
                                                     Issuing SA OS/390 commands 135
Heartbeat Interval 86
Hints and Tips for the Tivoli NMC Topology Console
135                                                  J
Hints and Tips for the Tivoli NMC Topology Server    JAVA 253
117, 129                                             Java Development Kit 143
host TCP/IP 146                                      Java interface 115
How to Issue SA OS/390 Commands Using the Net-       Java set up 135
View Management Console 125                          JDK 143
HTTP 253                                             JES2 65, 112, 113
                                                     JES3 65
I
ibmflb folder 151                                    K
IDLEOFF 8, 169                                       keyword "ANY_OTHER" 146
IEASYMxx 33
IF-THEN 168
IF-THEN condition item 175, 176
                                                     L
                                                     less-than 175, 177
ihsmessage.log 128, 129, 130
                                                     Link to Instances 73
IMMED 69
                                                     LLA 79
inbound and outbound encryption keys 149
                                                     local (domain specific) NetView libraries 37, 50
ING.SINGPWS1(INGNMCTZ)
                                                     Local install process for the networking NetView do-
       125
                                                     mains 38
ING.SINGPWS1(INGNMCZP)
                                                     LPAR 37
       125
                                                     LU 6.2 session 19
ING_NMCCHLP_HELPFILES 124
                                                     LUC session 19
ING_NMCS_CMD.RSP 124
ING_NMCS_DDF 124
INGDLG 62                                            M
INGELOAD 55                                          Mainframe Component 142
INGNMCTZ 125                                         MCSFLAGS 89
INGNMCZP 125                                         MEMSTORE 8, 169
INIT 69                                              Message 194
Insert 157                                           Message Class 94
Installing NetView 3270 Console on Windows 95,       MIB 2, 4
98, and NT 146                                       MIGRATE 172
Installing NMC for SA OS/390 124                     Missing Heartbeat Delay 86
Installing NMC Topology Server 117                   MLWTO 6
Installing the NMC Topology Console for Windows      MPF table 196
NT 131                                               multi system focal point 204
INTERP 121, 129                                      multi-line messages 175
ints and Tips for the Tivoli NMC Topology Console    MVS Component 90
131                                                  MVS_COMPONENT 91



                                                                                                    261
MVSSTART 107                                         P
                                                     PARENT 107
                                                     parent 103
N                                                    partial download of NMC from the server 135
NETCONV 5
NETLOG 8                                             performance 166
NETSTAT 4                                            PERMIT 172
NETVAPPL 47                                          PING 4
NETVIEW 76                                           PIPE EDIT 6
NetView 3270 Management Console 115, 142,            policy database 53
143                                                  policyDB 170
NetView Management Console 115                       PORT 144
NetView ROLL command 152                             problem with the TCP/IP definitions 141
NetView Sign On panel 136                            Procedural 38
NETVIEW_CLASS 66, 76                                 Processor operations 80
NETVSA42 74                                          processor operations 139
NETVSA66 74                                          processor operations start command 138
NETVSA69 74                                          ProcessorOperation Operator 125
network node 8                                       ProcOps 83
NEW 66                                               PTF UW90546 124
NMC 1, 2, 4, 5, 6, 7, 9, 20, 33, 37, 39, 115, 224,
225                                                  R
NMC communications server 122                        README 124
NMC server 115, 122                                  READSEC 8
NMC Topology Console setup program 133               real objects 139
NMC Topology Server 118                              refresh the screen 152
NMC topology server starts, but then closes 130      relationship 105
NMC-Log 140                                          Reload 157
nmcpdf.zip 115                                       Replicating the NetView 3270 Console Across Mul-
NNT 91                                               tiple Machines 151
Norm 69                                              REPORT 173
Notify 94                                            Report 173
Notify Operators 93                                  Required Host Environment 146
nstalling the Tivoli NMC Topology Console 131        response files 125
NT service 122, 123                                  RMTCMD 7
NTW 91, 94, 96                                       RODM 20, 172
numeric 177                                          RODMNAME 55
Numeric comparison 177                               RRD 213
numeric comparison 177                               Running the duinmcsw.exe 119
Numeric comparisons 175

                                                     S
O                                                    SA OS/390 172
oper1.bat 150                                        SA_OS390 78
operator ID 145                                      SAF 213
OperatorView 136                                     SAMPLE_SYSTEM_01 81
OST-NNT session 19                                   SAOS390_NETVIEW 73
Out of memory errors 153                             SC42 112
OUTMODE 14                                           SC42_Generic 78
                                                     SC66 81, 112



262     Automation Using Tivoli NetView OS/390 V1R3 and System Automation OS/390 V1R3
SC66_Generic 78                                          an MS-DOS prompt
SC69 112                                                        150
SC69_Generic 78                                          start the NetView Management Console 136
SCHEDULED_AUTOMATION 90, 91                              Starting the NMC Console 131
Screen corruption 153                                    Starting the NMC Console using a TCP/IP connec-
SDF 13, 22, 108, 109, 204, 224, 225                      tion 133
SDFPANEL 108                                             Starting the Tivoli NMC Topology Server 117, 127
Selecting the correct files 143                          Startup 155
Server intallation on system running Tivoli Frame-       Status Display Facilit 108
work 129                                                 Status Display Facility 108
ServerPac 57                                             step 33, 39
service 122, 123                                         step 1 33, 39
Service periods 13                                       step 2 33, 39
Service Point Command Line 5                             step 3 34
Session Management 4                                     step 4 34
session management 4                                     step 5 37, 50
Setting up DSITCPCF 144                                  SubGroup 64, 94, 96
Setting up DSITCPRF 145                                  SUBMIT 8
Setting up NMC Topology Server 117                       SUBSJOB 71
Setting up the base NetView for OS/390 47                switching screens 152
Setting up the Graphic Monitor Facility Host Sub-        Synonym 59
system 49                                                SYSCLONE 32
Setting up the Host (Mainframe) Environment 144          SYSLOG 12
Setting up the NetView 3270 Management Console           SYSNAME 32
142                                                      sysplex 59
Setting up the NMC client workstation 131                System 64
Setting up the Resource Object Data Manager 47           system and user defined symbolic 27, 32
Setting up the Web interface to Tivoli NetView           System Automation 66
OS/390 140                                               SYSTEM INFO 84, 87, 90, 91, 92, 93
setup 53                                                 system operations 139
setup_env file is found, but the bindir is not set 130   system operations commands 139
SETUP_ENV.CMD 120, 121                                   system requirements 142
setup_env.cmd 120, 129                                   System use 86
setup_env.cmd is not found 129                           SystemAutomation Operator 125
SEZLPNLU 38                                              SystemOperation Operator 125
SHUTSYS 14
slow response time 152
SMF 8
                                                         T
                                                         TAF 91
SMTP 4, 6, 156, 199, 202, 214, 215
                                                         TARGET_NETWORK 92
SMTP email 199, 200, 201, 202
                                                         TCP 256
SNMP 1, 2, 3, 4, 5
                                                         TCP/IP 256
SOCKET 7
                                                         TCPANAME 144
socket 2, 4
                                                         TCPIP 79, 105
SOCKETS 145
                                                         TEC 255
Software Distribution 255
                                                         telnet 4
Software installation 118, 120
                                                         Terminal Access Facility 91
Software requirements 142
                                                         TIMEOUT 145
SQL 255
                                                         TIMER 6
start the NetView 3270 Management Console from



                                                                                                     263
Timer 90
Tivoli Developer’s Toolkit 255
Tivoli Enterprise Console 255
Tivoli Framework 120
Tivoli Service Desk 256
Tivoli Service Desk for OS/390 256
Tivoli Software Distribution 256
TME 10 NetView for OS/390 Management Console
137
TMR 90, 91, 94, 96
TN3270 2, 4
TopologyServer version 1.3.0 117
TRACE action 175, 179
TRACERTE 4
TRANSIENT 68
traps 3
Triggers 13
triggers 181
TSO 79, 105


U
Uninstalling the NetView 3270 Console on Windows
95, 98, and NT 150
Uninstalling the Tivoli NMC Topology Console 131,
134
Uninstalling the Tivoli NMC Topology Server 117,
128
UNIX 256
Unload 157
user rights 121
UW90546 124


V
VALUE() function 175, 177
Values of variables 175
Variable value function 177
VLF 79
VSAMPOOL 169
VTAM 79, 105


W
Web 115
WINDIR 120
Windows NT service 117
Workstation Component 143
WRITESEC 8
WTOR 66



264    Automation Using Tivoli NetView OS/390 V1R3 and System Automation OS/390 V1R3
IBM Redbooks review
Your feedback is valued by the Redbook authors. In particular we are interested in situations where a
Redbook "made the difference" in a task or problem you encountered. Using one of the following
methods, please review the Redbook, addressing value, subject matter, structure, depth and
quality as appropriate.
 • Use the online Contact us review redbook form found at http://www.redbooks.ibm.com/
 • Fax this form to: USA International Access Code + 1 914 432 8264
 • Send your comments in an Internet note to redbook@us.ibm.com



 Document Number                     SG24-5515-00
 Redbook Title                       Automation Using Tivoli NetView OS/390 V1R3 and System
                                     Automation OS/390 V1R3

 Review




 What other subjects would you
 like to see IBM Redbooks
 address?


 Please rate your overall            O Very Good     O Good      O Average      O Poor
 satisfaction:

 Please identify yourself as         O Customer     O Business Partner       O Solution Developer
 belonging to one of the             O IBM, Lotus or Tivoli Employee
 following groups:                   O None of the above

 Your email address:
 The data you provide here may
 be used to provide you with         O Please do not use the information collected here for future
 information from IBM or our         marketing or promotional contacts or other communications beyond
 business partners about our         the scope of this transaction.
 products, services or activities.

 Questions about IBM’s privacy       The following link explains how we protect your personal information.
 policy?                             http://www.ibm.com/privacy/yourprivacy/




© Copyright IBM Corp. 2000                                                                             265
Automation Using Tivoli NetView OS/390 V1R3 and System Automation OS/390 V1R3   SG24-5515-00
Printed in the U.S.A.




                                                                                          ®
SG24-5515-00

Automation using tivoli net view os 390 v1r3 and system automation os-390 v1r3 sg245515

  • 1.
    Automation Using TivoliNetView OS/390 V1R3 and System Automation OS/390 V1R3 Holger Stamme, Ling Xiao Gao, Marcio Guimaraes, Clive Kennedy, Jason Wyer International Technical Support Organization www.redbooks.ibm.com SG24-5515-00
  • 3.
    SG24-5515-00 International Technical SupportOrganization Automation Using Tivoli NetView OS/390 V1R3 and System Automation OS/390 V1R3 March 2000
  • 4.
    Take Note! Before using this information and the product it supports, be sure to read the general information in Appendix D, “Special notices” on page 245. First Edition (March 2000) This edition applies to Tivoli NetView for OS/390 V1R3 and System Automation for OS/390 V1R3 for use with the OS/390. This document created or updated on March 14, 2000. Comments may be addressed to: IBM Corporation, International Technical Support Organization Dept. OSJB Building 003 Internal Zip 2834 11400 Burnet Road Austin, Texas 78758-3493 When you send information to IBM, you grant IBM a non-exclusive right to use or distribute the information in any way it believes appropriate without incurring any obligation to you. © Copyright International Business Machines Corporation 2000. All rights reserved. Note to U.S Government Users – Documentation related to restricted rights – Use, duplication or disclosure is subject to restrictions set forth in GSA ADP Schedule Contract with IBM Corp.
  • 5.
    Contents Preface . . . . . . . . . . . . . . . . . . . . . . . . . . . . . . . . . . . . . . . . . . . . . . . . . . . .ix The team that wrote this redbook . . . . . . . . . . . . . . . . . . . . . . . . . . . . . . . . . . . . ix Comments welcome . . . . . . . . . . . . . . . . . . . . . . . . . . . . . . . . . . . . . . . . . . . . . . xi Chapter 1. Introduction to Tivoli NetView for OS/390 V1R3 . . . .. . . . . .1 1.1 At a glance . . . . . . . . . . . . . . . . . . . . . . . . . . . . . . . . . . . . . . . .. . . . . .1 1.2 Overview . . . . . . . . . . . . . . . . . . . . . . . . . . . . . . . . . . . . . . . . .. . . . . .1 1.3 Description . . . . . . . . . . . . . . . . . . . . . . . . . . . . . . . . . . . . . . . .. . . . . .3 1.3.1 IP management . . . . . . . . . . . . . . . . . . . . . . . . . . . . . . . .. . . . . .3 1.3.2 Graphical console. . . . . . . . . . . . . . . . . . . . . . . . . . . . . . .. . . . . .5 1.3.3 Automation features . . . . . . . . . . . . . . . . . . . . . . . . . . . . .. . . . . .6 1.3.4 Other customer satisfaction enhancements . . . . . . . . . . .. . . . . .7 1.3.5 Product positioning in the market . . . . . . . . . . . . . . . . . . .. . . . . .9 Chapter 2. Benefits of using System Automation for OS/390 . . . . . . . 11 2.1 Why automate? . . . . . . . . . . . . . . . . . . . . . . . . . . . . . . . . . . . . . . . . . 11 2.2 Proactive management of OS/390 subsystem tasks . . . . . . . . . . . . . . 12 2.3 Monitoring and recovery capabilities of OS/390 subsystems . . . . . . . 12 2.4 Automation features of System Automation for OS/390 V1R3 . . . . . . 13 2.4.1 New Interface - Single system image support . . . . . . . . . . . . . . . 13 2.4.2 Better managing your applications . . . . . . . . . . . . . . . . . . . . . . . 13 2.4.3 Simultaneously updating policy databases for applications . . . . . 14 2.4.4 Notifying the Tivoli Enterprise Console . . . . . . . . . . . . . . . . . . . . 14 2.4.5 Other enhancements . . . . . . . . . . . . . . . . . . . . . . . . . . . . . . . . . 14 Chapter 3. The ITSO automation project environment . .. . . . . .. . . . . 17 3.1 Types of communication. . . . . . . . . . . . . . . . . . . . . . . .. . . . . .. . . . . 19 3.1.1 Communication using a LU 6.2 session . . . . . . . .. . . . . .. . . . . 19 3.1.2 Communication using a LUC session . . . . . . . . . .. . . . . .. . . . . 20 3.1.3 Communication using an OST-NNT session . . . . .. . . . . .. . . . . 20 3.2 Resource Object Data Manager (RODM) . . . . . . . . . . .. . . . . .. . . . . 20 3.2.1 RODM object oriented structure . . . . . . . . . . . . . .. . . . . .. . . . . 21 3.3 Graphic Monitor Facility Host Subsystem (GMFHS) . . .. . . . . .. . . . . 21 3.4 Status Display Facility (SDF) . . . . . . . . . . . . . . . . . . . .. . . . . .. . . . . 22 Chapter 4. Customization of Tivoli NetView OS/390. . ........... . . 25 4.1 Planning the Tivoli NetView for OS/390 environment ........... . . 26 4.2 Defining the Tivoli NetView for OS/390 environment ........... . . 27 4.2.1 Recommended library structure in multi-system environment . . . 27 4.2.2 OS/390 subsystem extensions . . . . . . . . . . . . . ........... . . 31 4.2.3 Usage of OS/390 system symbolics . . . . . . . . . ........... . . 32 © Copyright IBM Corp. 2000 iii
  • 6.
    4.3 Network managementenvironment . . . . . . . . . . . . . . . . . . . . . . . . . . 33 4.3.1 Creation of common networking NetView libraries . . . . . . . . . . . 34 4.3.2 Setting up the base components NetView for OS/390. . . . . . . . . 36 4.3.3 Setting up the Resource Object Data Manager . . . . . . . . . . . . . . 36 4.3.4 Setting up the Graphic Monitor Facility Host Subsystem . . . . . . . 37 4.3.5 Setting up the Automated Operation Network feature . . . . . . . . . 37 4.3.6 Creation of local (domain specific) NetView libraries . . . . . . . . . 37 4.4 Automation environment. . . . . . . . . . . . . . . . . . . . . . . . . . . . . . . . . . . 39 4.4.1 Creation of common automation NetView libraries . . . . . . . . . . . 40 4.4.2 Setting up the base NetView for OS/390. . . . . . . . . . . . . . . . . . . 47 4.4.3 Setting up the Resource Object Data Manager . . . . . . . . . . . . . . 47 4.4.4 Customizing RODM load jobs in the automation environment . . . 49 4.4.5 Setting up the Graphic Monitor Facility Host Subsystem . . . . . . . 49 4.4.6 Creation of local (domain specific) NetView libraries . . . . . . . . . 50 Chapter 5. Customization of System Automation for OS/390 . . . . . . . 53 5.1 Base System Automation customization . . . . . . . . . . . . . . . . . . . . . . . 53 5.1.1 Preparation and set up jobs for System Automation . . . . . . . . . . 53 5.1.2 Preparing the OS/390 system environment and library . . . . . . . . 55 5.1.3 Creating System Automation policy database dialog panels . . . . 56 5.2 Usage of system symbolics and System Automation synonyms . . . . . 59 5.3 Defining all systems and objects to System Automation . . . . . . . . . . . 60 5.3.1 Starting the System Automation policy database dialog . . . . . . . 61 5.3.2 Creating a new System Automation policy database. . . . . . . . . . 62 5.3.3 Entering all systems and objects . . . . . . . . . . . . . . . . . . . . . . . . 64 5.3.4 Building SA Automation Control File (ACF) . . . . . . . . . . . . . . . . . . . . 98 5.3.5 Build RODM loader input file . . . . . . . . . . . . . . . . . . . . . . . . . . . . . . 101 5.4 Defining dependencies and start-up behavior . . . . . . . . . . . . . . . . . . 103 5.4.1 Define dependencies . . . . . . . . . . . . . . . . . . . . . . . . . . . . . . . . 103 5.4.2 Define start-up behavior . . . . . . . . . . . . . . . . . . . . . . . . . . . . . . 106 5.5 Customizing the Status Display Facility (SDF) . . . . . . . . . . . . . . . . . 108 5.5.1 Customizing the panel member AOFPNLS . . . . . . . . . . . . . . . . 108 5.5.2 Customizing the status member AOFTREE . . . . . . . . . . . . . . . 110 5.5.3 Defining SDF gateways . . . . . . . . . . . . . . . . . . . . . . . . . . . . . . 111 5.5.4 Starting the SDF monitor . . . . . . . . . . . . . . . . . . . . . . . . . . . . . 111 Chapter 6. Installation of the NetView Management Console . . . . . . 115 6.1 Prerequisites for NetView Management Console Version 1.3 . . . . . . 117 6.2 Setting up the NMC Server . . . . . . . . . . . . . . . . . . . . . . . . . . . . . . . . 117 6.2.1 Installing NMC Server to run as a Windows NT service . . . . . . 117 6.2.2 Setting up NMC Topology Server for Systems Automation . . . . 123 6.2.3 Starting the NMC Topology Server using TCP/IP . . . . . . . . . . . 127 6.2.4 Uninstalling the NMC Topology Server . . . . . . . . . . . . . . . . . . . 128 iv Automation Using Tivoli NetView OS/390 V1R3 and System Automation OS/390 V1R3
  • 7.
    6.2.5 Hints andtips for the NMC Topology Server . . . . . . . . . . . . . . . 129 6.3 Setting up the NMC client workstation . . . . . . . . . . . . . . . . . . . . . . . 131 6.3.1 Installing the NMC Topology Console . . . . . . . . . . . . . . . . . . . . 131 6.3.2 Starting the NMC Console using a TCP/IP connection . . . . . . . 133 6.3.3 Uninstalling the Tivoli NMC Topology Console . . . . . . . . . . . . . 134 6.3.4 Hints and tips for the NMC Topology Console . . . . . . . . . . . . . 135 6.3.5 Issuing SA OS/390 commands using the NMC . . . . . . . . . . . . . 135 6.4 Setting up the Web interface to Tivoli NetView OS/390 . . . . . . . . . . 140 6.5 Setting up the NetView 3270 Management Console . . . . . . . . . . . . . 142 6.5.1 Software requirements . . . . . . . . . . . . . . . . . . . . . . . . . . . . . . . 142 6.5.2 Selecting the correct files . . . . . . . . . . . . . . . . . . . . . . . . . . . . . 143 6.5.3 Available documentation and technical information. . . . . . . . . . 144 6.5.4 Setting up the host (mainframe) environment . . . . . . . . . . . . . . 144 6.5.5 Installing NetView 3270 Console on Windows 95, 98, and NT . 146 6.5.6 Uninstalling the NetView 3270 Console . . . . . . . . . . . . . . . . . . 150 6.5.7 Replicating the NetView 3270 Console . . . . . . . . . . . . . . . . . . . 151 6.5.8 Operating notes, hints, and tips . . . . . . . . . . . . . . . . . . . . . . . . 152 Chapter 7. Maintenance of Tivoli NetView and System Automation . 155 7.1 Automation table maintenance using AUTOMAN . . . . . . . . . . . . . . . 155 7.1.1 Enabling the AUTOMAN function for the Automation NetView . 155 7.1.2 Using AUTOMAN command . . . . . . . . . . . . . . . . . . . . . . . . . . . 156 7.2 Netview and automation table optimization for performance . . . . . . . 166 7.2.1 NetView automation table . . . . . . . . . . . . . . . . . . . . . . . . . . . . . 166 7.2.2 Additional hints and tuning considerations . . . . . . . . . . . . . . . . 168 7.3 Maintenance of the System Automation policy data base . . . . . . . . . 170 7.3.1 Design a hierarchical structure . . . . . . . . . . . . . . . . . . . . . . . . . 170 7.3.2 Using ADD/REMOVE commands . . . . . . . . . . . . . . . . . . . . . . . 171 7.3.3 RACF considerations . . . . . . . . . . . . . . . . . . . . . . . . . . . . . . . . 171 7.3.4 System Automation migration . . . . . . . . . . . . . . . . . . . . . . . . . . 172 7.3.5 Building for ACF and RODM . . . . . . . . . . . . . . . . . . . . . . . . . . . 172 7.3.6 Policy report . . . . . . . . . . . . . . . . . . . . . . . . . . . . . . . . . . . . . . . 173 7.3.7 ACFPLOAD . . . . . . . . . . . . . . . . . . . . . . . . . . . . . . . . . . . . . . . 173 Chapter 8. Base automation features . . . . . . . . . . . . . . . . . . . . .. . . . 175 8.1 New automation table features of NetView for OS/390 V1R3 . .. . . . 175 8.1.1 Multi-line message support . . . . . . . . . . . . . . . . . . . . . . . .. . . . 175 8.1.2 IF-THEN condition item substrings . . . . . . . . . . . . . . . . . .. . . . 176 8.1.3 Greater-than and less-than operator support . . . . . . . . . .. . . . 177 8.1.4 Numeric comparison and current time support . . . . . . . . .. . . . 177 8.1.5 Variable value function support. . . . . . . . . . . . . . . . . . . . .. . . . 177 8.1.6 Message reformatting . . . . . . . . . . . . . . . . . . . . . . . . . . . .. . . . 178 8.1.7 Automation table tracing . . . . . . . . . . . . . . . . . . . . . . . . . .. . . . 179 v
  • 8.
    8.1.8 The AUTOMATEDfunction . .................. . . . . . . . . . 180 8.2 System Automation framework . . .................. . . . . . . . . . 180 8.2.1 Automating subsystems . . . .................. . . . . . . . . . 181 8.2.2 Automating messages . . . . .................. . . . . . . . . . 193 8.3 System Automation and NetView base automation rules . . . . . . . . . 197 Chapter 9. Automation example scenarios . . . . . . . . . . . . . . . . . . . . . 199 9.1 NetView SMTP mail gateway support . . . . . . . . . . . . . . . . . . . . . . . . 199 9.1.1 NetView provided samples . . . . . . . . . . . . . . . . . . . . . . . . . . . . 199 9.1.2 Required customization . . . . . . . . . . . . . . . . . . . . . . . . . . . . . . 200 9.1.3 Sending SMTP e-mail with EZLEMAIL . . . . . . . . . . . . . . . . . . . 201 9.1.4 Sending SMTP e-mail from AON Inform policies. . . . . . . . . . . . 202 9.1.5 Sending SMTP e-mail from user-written clists. . . . . . . . . . . . . . 203 9.2 System Automation in a multi-system focal point environment . . . . . 204 9.2.1 Defining Automation Network process . . . . . . . . . . . . . . . . . . . 205 9.3 Using NetView AON inform policies by System Automation . . . . . . . 214 9.3.1 Installation of AON inform policy in the Automation NetView. . . 214 9.3.2 Inform policy customizing . . . . . . . . . . . . . . . . . . . . . . . . . . . . . 215 9.3.3 Calling the Inform policy . . . . . . . . . . . . . . . . . . . . . . . . . . . . . . 217 9.3.4 Calling AON Inform policy from System Automation . . . . . . . . . 218 9.4 Brief comparison of NMC and SDF Consoles . . . . . . . . . . . . . . . . . . 224 9.5 Example NMC screens of the ITSO project scenario . . . . . . . . . . . . 225 Appendix A. NetView 1.3 toleration for System Automation 1.3 . . . . 231 Appendix B. System Automation V1R3 members and jobs . . . . . . . . 233 B.1 Other System Automation jobs and definitions . . . . . . . . . . . . . . . . . . . . 234 B.1.1 Automation NetView start-up procedure . . . . . . . . . . . . . . . . . . . . . 235 B.1.2 System Automation RODM procedure . . . . . . . . . . . . . . . . . . . . . . 237 B.1.3 Automation GMFHS start-up procedure . . . . . . . . . . . . . . . . . . . . . 238 B.1.4 SA RODM data model load job. . . . . . . . . . . . . . . . . . . . . . . . . . . . 239 Appendix C. One RODM/GMFHS focal point configuration. . . . . . . . . 241 Appendix D. Special notices . . . . . . . . . . . . . . . . . . . . . . . . . . . . . . . . . . 245 Appendix E. Related publications . . . . . . . . . . . . . . . . . . . . . . . . . . . . . . 249 E.1 IBM Redbooks . . . . . . . . . . . . . . . . . . . . . . . . . . . . . . . . . . . . . . . . . . . . 249 E.2 IBM Redbooks collections. . . . . . . . . . . . . . . . . . . . . . . . . . . . . . . . . . . . 249 E.3 Other resources . . . . . . . . . . . . . . . . . . . . . . . . . . . . . . . . . . . . . . . . . . . 249 E.4 Referenced Web sites. . . . . . . . . . . . . . . . . . . . . . . . . . . . . . . . . . . . . . . 250 How to get ITSO redbooks . . . . . . . . . . . . . . . . . . . . . . . . . . . . . . . . . . 251 IBM Redbook fax order form . . . . . . . . . . . . . . . . . . . . . . . . . . . . . . . . . . . . . 252 vi Automation Using Tivoli NetView OS/390 V1R3 and System Automation OS/390 V1R3
  • 9.
    Glossary . .. . . . . . . . . . . . . . . . . . . . . . . . . . . . . . . . . . . . . . . . . . . . . . 253 Abbreviations and acronyms . . . . . . . . . . . . . . . . . . . . . . . . . . . . . . . . 257 Index . . . . . . . . . . . . . . . . . . . . . . . . . . . . . . . . . . . . . . . . . . . . . . . . . . . 259 IBM Redbooks review . . . . . . . . . . . . . . . . . . . . . . . . . . . . . . . . . . . . . . 265 vii
  • 10.
    viii Automation Using Tivoli NetView OS/390 V1R3 and System Automation OS/390 V1R3
  • 11.
    Preface The objective of this redbook is to provide an easy to use and understand automation guide for large organizations. The major focus of this redbook is on how to efficiently set up and customize Tivoli NetView for OS/390 and Systems Automation for OS/390 in a multi-systems enterprise environment. In addition to this, this redbook provides best practices and tips for maintenance issues of the Tivoli NetView and System Automation environment. This will include the AUTOMAN feature for maintenance of multiple automation tables, basic tuning considerations to improve general NetView and automation table performance, as well as an optimized structure of the System Automation policy database. To help system administrators and operators establish and leverage their automation environment, this redbook provides further information on basic automation features, such as the System Automation framework, and some automation scenarios using the new NetView AON inform policy feature. Examples include an automation scenario of the ITSO project environment, as well as integration aspects of System Automation using the new NetView AON inform policy features, such as notifications via pager support or escalations by sending e-mails using the SMTP gateway support. The steps outlined in this redbook are based on, and supported by, examples derived from the actual installation, set up, and customization of Tivoli NetView for OS/390 and System Automation for OS/390 at the ITSO. The team that wrote this redbook This redbook was produced by a team of specialists from around the world working at the International Technical Support Organization, Austin Center. Holger Stamme is a Certified IT Architect at the ITSO, Austin Center, who has more than 10 years of working experience in consulting, designing, and implementing Systems Management solutions within IBM. Before joining the ITSO in 1999, he was leading the architectural and design phases of large customer projects in the finance and insurance industry in Germany. Ling Xiao Gao is a Advisory IT Specialist in China. He has seven years of experience in MVS and OS/390 fields. His areas of expertise include NetView for OS/390 and System Automation. © Copyright IBM Corp. 2000 ix
  • 12.
    Marcio Guimaraes isan Advisory IT Specialist in Brazil. He has eight years of experience in the IT field, of which the last five years have been in developing, designing, and supporting the System Management area. His areas of expertise include Tivoli NetView for OS/390 and System Automation for OS/390. Clive Kennedy is a Network Automation Specialist with AT&T Global Networks in the UK. He has over 20 years experience in Systems and Network Management in large MVS installations and over 12 years experience using NetView OS/390 for Systems and Network Automation. Jason Wyer is an IT Consultant working for PricewaterhouseCoopers in the USA. He has three years of experience in the Systems Administration field. He holds a BS from the University of Connecticut along with being an A+ Certified Technician and Microsoft Certified Professional. His areas of expertise include Microsoft Windows environments. Thanks to the following people for their invaluable contributions to this project: Adam Barry Tivoli Systems Raleigh, Network Management Applications Development Denny Beary IBM Gaithersburg, S/390 Systems Management Technology Support Budi Darmawan International Technical Support Organization, Austin Center Gary Forghetti Tivoli Systems Raleigh, Tivoli Product Introduction Roland Haibl IBM Boeblingen, System Automation for OS/390 Information Development Robert Haimowitz International Technical Support Organization, Raleigh Center Stephan Hartig IBM Boeblingen, System Automation for OS/390 Information Development Joseph Macera IBM Los Angeles, Tivoli Migration Team Wade Miller Tivoli Systems Raleigh, NetView Performance Group x Automation Using Tivoli NetView OS/390 V1R3 and System Automation OS/390 V1R3
  • 13.
    Paul Quigley Tivoli Systems Raleigh, Network Management Applications Development Phil Riedel Tivoli Systems Raleigh, Network Management Applications Development Joachim Schmalzried IBM Boeblingen, System Automation for OS/390 Information Development Aimee Tattersall Tivoli Systems Raleigh, NetView for OS/390 Technical Evangelist Comments welcome Your comments are important to us! We want our redbooks to be as helpful as possible. Please send us your comments about this or other redbooks in one of the following ways: • Fax the evaluation form found in “IBM Redbooks review” on page 265 to the fax number shown on the form. • Use the online evaluation form found at http://www.redbooks.ibm.com/ • Send your comments in an Internet note to redbook@us.ibm.com xi
  • 14.
    xii Automation Using Tivoli NetView OS/390 V1R3 and System Automation OS/390 V1R3
  • 15.
    Chapter 1. Introductionto Tivoli NetView for OS/390 V1R3 This chapter provides a brief overview of the functions in Tivoli NetView for OS/390 V1R3, which is extracted from the Request for Announcement (RFA). In addition, some information about the configuration used during the residency will be provided. A complete list of all the hardware and software requirements for each Tivoli NetView for OS/390 V1R3 function is provided in the announcement letter and also in the Tivoli NetView for OS/390 V1R3 Planning Guide, GC31-8226. 1.1 At a glance Tivoli NetView for OS/390 V1R3 targets enterprise control of the e-business complexity. Building on the already rich functionality of Tivoli NetView for OS/390, V1R3 provides enhancements in the following areas: • It is possible to issue any TCP/IP, SNMP, or UNIX command from Tivoli NetView for OS/390 either through a user-friendly panel interface or in Clists that are written to extend the functions NetView provides. • SNMP services include a MIB compiler/loader and a MIB browser launched from the NMC. There is also a robust 3270 interface for issuing SNMP requests, such as GET/SET/etc. MIB polling and thresholds also aid in monitoring and automation. • Graphical Network Management now includes IP agents available for: - Tivoli NetView on Sun Solaris or Windows NT - HP OpenView on Sun Solaris or HP-UX - Tivoli NetView on AIX • Tivoli NetView for OS/390 now provides the ability to convert SNMP traps to SNA alerts and SNA alerts to SNMP traps. • Web interfaces for third-party Web applications can be launched. • The timer and automation capabilities are further enhanced. 1.2 Overview Tivoli NetView for OS/390 addresses the challenges of network and systems management by focusing on operator productivity through the use of graphical displays and embedded automation capability. Tivoli NetView for © Copyright IBM Corp. 2000 1
  • 16.
    OS/390 continues itsleadership in SNA management and strongly addresses the management of mixed network architecture environments. Tivoli NetView for OS/390 V1R3 focuses on management of IP networks and SNMP-based devices, management of IP clients accessing mainframe applications, and integration with third-party network and element management vendors. TCP/IP management can be accomplished through the use of native OS/390 TCP/IP management or in cooperation with management applications on distributed platforms. This includes IP agents available for Tivoli NetView on AIX, Sun Solaris, or Windows NT, and HP OpenView on Sun Solaris or HP-UX. An SNMP stack and MIB services (MIB compiler/loader, MIB browser) improve the management of TCP/IP resources and sessions. In addition, NetView can receive and process any SNMP V1 trap. Full function SNMP command support from the NMC, 3270 panels, or command procedures, support for logical groupings of MIB variables, remote Ping support, MIB polling, and thresholds aid in resource monitoring and automation. Not all functions are available from both the NMC and 3270 interfaces. Any socket can now be monitored for availability. If the socket is down, then automation can attempt to restart its associated application, job, or task. TN3270 session management now includes support for the remote TN3270 server feature on both Cisco and IBM routers plus support for connections with any TCP socket. Tivoli NetView for OS/390 provides the ability to launch a Web interface for any vendor application from the NetView Management Console (NMC). NMC improvements include view cycling, view and resource security, and other ease-of-use enhancements. In addition, there are enhancements that integrate the NMC and NetView 3270 Management Console into a single console. Tivoli NetView's robust timer and automation table capabilities are expanded to assist in automation table management, and a new CHRON command with calendering support. Tivoli NetView for OS/390 now adapts dynamically to daylight savings time and other system time changes without requiring a recycle. 2 Automation Using Tivoli NetView OS/390 V1R3 and System Automation OS/390 V1R3
  • 17.
    1.3 Description Building on the already rich functionality of Tivoli NetView for OS/390, the V1R3 provides the additional enhancements, which are discussed in the following sections. 1.3.1 IP management Tivoli NetView for OS/390 V1R3 provides the operator with the ability to monitor and control the enterprise-wide, multi-protocol network from a single console. This includes the ability to view and manage the protocol-based network topologies, network devices, and the interrelationships between them. • Graphical Network Management now includes IP agents available on Tivoli NetView for Sun Solaris, Tivoli NetView for Windows NT, HP OpenView for Sun Solaris, and HP OpenView for HP-UX. The agents enable collection of IP topology and status discovered by the distributed SNMP-based network managers and forwarded to Tivoli NetView for OS/390 on a TCP/IP session. This enables management of IP networks from one central location. There is also a TCP/IP connection between the agent on Tivoli NetView for AIX and Tivoli NetView for OS/390 as well as an LU6.2 connection. • For topology updates and status changes, Tivoli NetView for OS/390 now has the ability to receive SNMP traps about IP resources and convert them to SNA alerts and status updates. • Conversion of SNA alerts into SNMP traps allows OS/390 captured alerts to be forwarded to distributed SNMP management applications. • A sample IP Layer 3 discovery engine that runs natively on OS/390 minimizes the need to define resources to be managed. • Topology correlation has been enhanced to generate enterprise specific views more easily. Critical resources can now be automatically linked to a hierarchy of topology resources, such as "Room 12, Warehouse 2, Hong Kong, Manufacturing." If business views are not found, they will be created. Topology correlation is now easier to invoke through integration with BuildViews and Visual BuildViews. • Continuing to build on end-to-end network management, NetView for OS/390 provides the ability to launch a Web interface for any vendor application from the NetView Management Console. Use of this function includes CiscoWorks Blue and IBM Nways Manager Element Manager. This allows operators to manage the enterprise from one control console Chapter 1. Introduction to Tivoli NetView for OS/390 V1R3 3
  • 18.
    and seamlessly workwith other management tools without changing management consoles. • From the NMC, you can retrieve inventory data for IBM and Cisco network interconnect devices from the Tivoli Inventory database. The Tivoli Inventory database is populated by Tivoli Manager for CiscoWorks 2000 and Tivoli Manager for IBM NWAYS. • An NMC-based MIB Browser functions as a client of MIB services and SNMP services on OS/390. The MIB services provide a MIB compiler/loader function, which allows Tivoli NetView for OS/390 to support any vendor specific MIB described using the standard ASN.1 format. SNMP services provide an SNMP stack facility. Full SNMP command support is provided from NMC command pull-downs. • The Tivoli Management Region (TMR) agent is enhanced to collect topology and monitors for critical Tivoli Management Agents (TMAs). • The ATM topology agent supports new alerts for status updates. • Operators can now issue SNMP GET, GETNEXT, SET, and WALK commands from Tivoli NetView for OS/390 in addition to PING, TRACERTE, IPSTAT, and NETSTAT. In general, it is possible to issue any IP, SNMP, or UNIX command. These commands can also be used in REXX clists and other automation routines. • It is possible to define which MIB variables to check at specified intervals and take action if a threshold is exceeded. User exits are available for MIB polling and MIB thresholding to provide the capability to do more extensive analysis or automation. • Extending previous support for managing TN3270 and FTP sessions, any socket connection can now be monitored for availability. Operators can display session status for any socket connection, including TN3270 sockets, FTP, SMTP, telnet, and Web browser. If the socket is down, automation can attempt to restart its associated application, job, or task. • If you are running OS/390 V2R6, or later, and have it properly configured to support multiple TN3270 sockets, then Session Management can also be configured to support multiple sockets for TN3270 connections. • Sessions being displayed by Session Management can be filtered. For example, operators can set filters to see only TN3270 sessions from subnet 146.48.*.* to applications starting with CICS. • IP session management has been extended to include sessions between IP clients and SNA mainframe applications connected through TN3270 servers. Servers supported include IBM 2210 and 2216 and Cisco's Channel Interface Processors (CIP) and Channel Port Adapters (CPAs). 4 Automation Using Tivoli NetView OS/390 V1R3 and System Automation OS/390 V1R3
  • 19.
    • Tivoli NetViewfor OS/390 has predefined MIB group definitions to collect SNMP data that is most meaningful to the operators. Additionally, it is possible to define your own groups to present MIB data best suited for the specific SNMP environment. 1.3.2 Graphical console The NetView Management Console (NMC) now has equivalent functionality to NGMF plus several additional customer-requested capabilities. In addition, there are enhancements that integrate the NMC and NetView 3270 Management Console (formerly known as the 3270 Java (TM) Client) into a single console. These enhancements include: • View cycling • Resource session data from session monitor (including configuration data) • Launching Web interface for vendor applications, such as CiscoWorks Blue and IBM Nways Manager Element Manager • Sending messages to a specific console or broadcast to all consoles • View and resource security • Non-SNA command line (now called Service Point Command Line) • Visual NETCONV status (to more clearly see when NETCONV is down) • Single sign on for NMC and NetView 3270 Management Console • The ability to create a note associated with a flag (user status) • Operator ID and timestamp stored whenever a flag is changed • Console log freeze and thaw to prevent scrolling while you are trying to read a message • Additional hot key support, such as ctrl-H for help, ctrl-L for locate resource, and ctrl-F for find • New menu item to quickly suspend/unsuspend resources from aggregation • Closing a view and/all descendent views • Selection of multiple resources (including selecting objects in a specified region of the view) • Customized dynamic views displayed on a business tree structure • Finding objects in a view Chapter 1. Introduction to Tivoli NetView for OS/390 V1R3 5
  • 20.
    • The abilityto write a client application to send a command to Tivoli NetView for OS/390 and receive a correlated response back for subsequent processing • Built-in Java runtime environment eliminating the need for a separate installation and configuration of the Java Development Kit • Productivity kit - The ability to write console-based Java applications - The ability to extend console operation using plug-ins - Advanced customization guide - Self-standing demonstration mode of the NMC (server not required) 1.3.3 Automation features The automation enhancements include additional functions and usability in the automation table, timers, and TCP/IP. These enhancements include: • Support of greater-than and less-than in the automation table • Triggering of information in multiple lines of MLWTOs in the automation table • The ability to use PIPE EDIT functionality in automation table conditions and actions • A tool for managing multiple automation tables (AUTOMAN) • Support allowing operators to send e-mail directly from Tivoli NetView for OS/390 via a panel interface using SMTP • Greatly enhanced timer support through a new CHRON command which provides capabilities such as: - The ability to define enterprise-unique dates of importance, such as holidays, vacations, and payroll days, using a customizable calendar that can be dynamically reloaded. - Very flexible specification of dates and times for timer execution including days of the week or days of the month; for example, you can specify that a certain command is to be executed at 10:00 every Monday that is not a holiday. - The ability to specify repeated timers that automatically compensate for daylight savings time or other system time changes. • An enhanced panel interface (TIMER) for viewing and creating timer-driven commands, including support for the CHRON command 6 Automation Using Tivoli NetView OS/390 V1R3 and System Automation OS/390 V1R3
  • 21.
    1.3.4 Other customersatisfaction enhancements Further customer satisfaction enhancements include: • Dynamic timer adjustment to allow Tivoli NetView for OS/390 to remain up and running through daylight savings time changes or other system time changes. • The ability to dynamically define Tivoli NetView for OS/390 commands, removing one of the final reasons to recycle Tivoli NetView for OS/390. This enhancement provides truly 24x7 operation of Tivoli NetView for OS/390 since planned outages are no longer necessary except for application of maintenance between releases. • The use of system symbolics for all components of Tivoli NetView for OS/390 allows easier configuration of multiple instances of Tivoli NetView for OS/390 throughout your enterprise and reduces maintenance efforts in a multi-system OS/390 environment. • Visual BLDVIEWS support to provide an easy-to-use graphical interface to create views and modify resource information. • A new NetView SOCKET command to facilitate communication with other TCP/IP applications and devices from automation procedures or the NetView command line. • The ability for an operator to log on with an active autotask of the same name or take over a task logged on elsewhere. In addition, the RMTCMD command can take over tasks already logged on or make use of tasks being used for other purposes. • Conversion of initial clist to use REXX and pipes. • Support for personal operator data sets to allow for operator customizations, including the ability to save and restore personalized PF key settings. • The ability to use up to eight characters for the command prefix used to issue Tivoli NetView for OS/390 commands from an MVS console. • Support for Tivoli Software Distribution file packs to distribute and install workstation components where Tivoli Software Distribution is deployed, thus, making software install easier on distributed platforms connecting to Tivoli NetView for OS/390. • The ability to view session monitor configuration data from the NMC or from a Web browser. • Customizable Title Line on the Command Facility screen. • Many improvements to the NetView Pipe command. Chapter 1. Introduction to Tivoli NetView for OS/390 V1R3 7
  • 22.
    • Upgrading ofMEMSTORE and IDLEOFF from samples to supported Tivoli NetView for OS/390 commands. • BROWSE NETLOG support for the HDRMTYPE field. • Enhanced ability to locate network node (NN) servers in APPN environments and run commands remotely at these network nodes. • Security enhancements include: - Enhanced security for DB2 access. - Disk read security for %INCLUDE members. - Security for VTAM commands prefixed with 'MVS'. - Checking an operator's READSEC or WRITESEC authorization before reading from or writing to a data set member when EXECIO is done in a NetView command list. - More granularity in submitting jobs via NetView's SUBMIT command. • Resource monitor enhancements to help determine which task is queuing too many messages and to provide more flexibility in logging usage statistics in SMF. • Several customer requested enhancements to the NetView 3270 Management Console (previously known as the 3270 Java client), such as remappable colors and keyboard, an editable session list, and an option to hide the PF keys palette. • Access to Tivoli NetView for OS/390 using a standard Web browser includes these enhancements: - An operator sending a LOGOFF command to NetView from a Web browser can be prompted for their operator ID and password the next time they send a command to NetView from the browser. Previously, the operator had to close the browser. - Set an idle time limit for Web-connected operator tasks, after which the operator will be prompted again for an ID and password. - The ability to specify which operators are authorized to access NetView from a Web browser. - The ability to differentiate commands entered through Web access from commands entered through traditional NetView tasks. - Support for frames and support for JavaScript (.js) as a valid file type. 8 Automation Using Tivoli NetView OS/390 V1R3 and System Automation OS/390 V1R3
  • 23.
    1.3.5 Product positioningin the market Tivoli NetView for OS/390 Version 1 Release 3 is an integral part of the Tivoli environment that provides a comprehensive set of tools for maintaining complex, multi-vendor, multi-platform networks and systems from a single point of control. With its open application programming interfaces (APIs), Tivoli NetView for OS/390 can be an integration point for other S/390 vendors to the Tivoli distributed environment. Tivoli NetView for OS/390 is a program for managing networks and systems through a strong set of automation features and graphical console displays. It reduces manual resource definition and complex automation set-up through production-ready automation and extends centralized management into multiple, non-SNA network environments. Tivoli NetView for OS/390 can be used in a large enterprise organization as a centralized manager, a mid-level manager, or just as a S/390 management endpoint. Note Tivoli NetView for OS/390 Version 1 Release 3 is the last release that will support the OS/2-based NetView Graphical Monitor Facility (NGMF). Subsequent to Release 3, only the NetView Management Console (NMC) will be supported for graphical topology and status display. This information is being provided for customer awareness and is based on IBM best technical judgement at this time. IBM makes no guarantee that this information will not change based on future business decisions. Chapter 1. Introduction to Tivoli NetView for OS/390 V1R3 9
  • 24.
    10 Automation Using Tivoli NetView OS/390 V1R3 and System Automation OS/390 V1R3
  • 25.
    Chapter 2. Benefitsof using System Automation for OS/390 This chapter describes why it is essential to use System Automation for OS/390. An effective and proactive management of OS/390 subsystem components or applications includes functions, such as monitoring, recovery capabilities, and ease of use. 2.1 Why automate? The need to simplify operations increases as you add hardware and software products to your data center, data centers to your network, and personnel to your data-processing staff. By simplifying your operations, System Automation can help you meet required service levels, contain costs, make efficient use of your operation staff, and remove repetitive tasks from being reliant on human frailties. System Automation offers system-wide benefits by simplifying your operating environment. You can reduce the amount of manual intervention required to manage operating systems, subsystems, application programs, and many other products. This is particularly important in a multiple system, especially for a Parallel Sysplex environment. However, the job of managing these multiple images or systems is not a simple task. There are opportunities during the operation in multiple system or Parallel Sysplex environments where, despite the best efforts of software developers and testers, human intervention is required. The phrase “to err is human” has never been more true than in computer operations. Given that the enterprise wide environment is complex, and that human errors can occur, the use of an automation tool that responds in a consistent way to a particular event can help in delivering on the promise of continuous operations. One of the questions surrounding automation is: “Just what do I automate?” In this book, we look at some of the issues surrounding set up, customization, and automation examples in a multiple system environment. A similar, but more specific to the Parallel Sysplex environment focusing, is the ITSO redbook, Parallel Sysplex Automation: Using System Automation for OS/390, SG24-5442, published in September of 1999. © Copyright IBM Corp. 2000 11
  • 26.
    2.2 Proactive managementof OS/390 subsystem tasks The purpose of the proactive management features of System Automation is addressing the automation of repetitive tasks that operators currently perform. Today, the operators usually respond in a particular way to a message, or perform a task in accordance to the standard operating procedures. Coding automation routines to replace these tasks is relatively straight forward since the triggers for the actions, and the actions themselves, are well known. Another approach is to collect a number of days of SYSLOG data and to use a program, such as the MVS SYSLOG Message Analysis Program, which can be downloaded from URL http://www.s390.ibm.com/sa, to see what message triggers are being issued and base your automation (and message suppression) on the output of the tool. In this book, you will find information, hints, and tips to start up and control a multiple system OS/390 environment and how to build a hierarchy of your connected OS/390 systems and subsystem components. 2.3 Monitoring and recovery capabilities of OS/390 subsystems Next to the proactive management are the monitoring and recovery capabilities of System Automation for OS/390. It addresses the automation of events based on what is currently happening in your OS/390 systems. Typically, automation routines address both of these areas. But of the two, the monitoring and recovery capabilities of unsolicited events are by far more complex to resolve. This is due to the fact that it is not precisely known what to automate without having experienced relevant problems. When developing automation routines to handle error conditions, the triggers are not always as obvious. One way around this is to experience the problem first, then, based on what happened, code routines to automate the handling of that condition. This works as long as you are happy to experience every problem or error condition at least once. One other approach is to dive into all the message manuals and try and look for likely messages to automate. This book will provide some information, hints, and tips on unsolicited events in a multiple system OS/390 environment and how to monitor and recover from these critical situations. In addition, it will be shown how to notify or escalate in situations where successful recovery is not possible. 12 Automation Using Tivoli NetView OS/390 V1R3 and System Automation OS/390 V1R3
  • 27.
    2.4 Automation featuresof System Automation for OS/390 V1R3 This section provides a brief overview of the new System Automation V1R3 features. The following major enhancements are new to SA OS/390 V1R3: • New interface - Single system image • Managing your applications with triggers, events, and service periods • Simultaneously updating policy databases for applications 2.4.1 New Interface - Single system image support System Automation for OS/390 V1R3 comprises full sysplex and single system image support. Now, systems in the sysplex need not be automated separately, but one system in the sysplex acts as a single point of control where the operator can specify the resources and their automation of the entire sysplex environment. Using the System Display Feature (SDF) on the System Automation focal point and System Automation instances on each of the systems in the sysplex environment, it is possible to display the status and workloads of resources as well as control and manage them. The support of single system image helps to optimize operating tasks and improves productivity. 2.4.2 Better managing your applications Optimizing the availability of applications when they are needed is an important issue in data processing. System Automation enables the user to define the availability of resources to meet a company's specific needs with the following set of functions: • Service periods are user specified time intervals, during which an application should be active. • Events are part of a trigger condition. If the event of a trigger condition has occurred, the startup or shutdown of an application is performed. If there is a service period also connected to the trigger, then it will check the service window to determine whether a shutdown or start-up should be performed. • Triggers, in combination with events, and optionally with service periods, allows control over the startup and shutdown of resources. For example, the shutdown of application A automatically triggers the start-up of application B. Chapter 2. Benefits of using System Automation for OS/390 13
  • 28.
    2.4.3 Simultaneously updatingpolicy databases for applications The customization dialogs are enhanced to allow for multi-user access to the policy database for applications. To improve the ease-of-use for updates of the policy database for applications, changes can now be done in parallel by various automation administrators. 2.4.4 Notifying the Tivoli Enterprise Console System Automation for OS/390 V1R3 now includes integration with the Tivoli Management Environment. Events reported by System Automation, as well as events reported in a distributed environment, are received at, and handled from, a single point of control. Therefore, System Automation notifies the Tivoli Enterprise Console (TEC) in situations when System Automation issues messages and alerts indicating critical situations. These messages and alerts are forwarded to the TEC event server by the Event Automation Server (EAS). 2.4.5 Other enhancements The following enhancements were further introduced by System Automation for OS/390 V1R3: • Workload Manager (WLM) resource name support By introducing this ability, the interface to the operating system OS/390 has been improved. SA OS/390 now passes status information about the resources to the operating system's Workload Manager. • AOCQRES command With this command you can examine where, in a sysplex environment, a resource is located and return information about this resource. Optionally, it also supplies up-to-date status information about resources. • Partial ACF load The new ACFPLOAD command allows small changes in the automation configuration without having to reload the entire ACF file and without interrupting automation. • Line mode output A number of commands have been enhanced with a new parameter (OUTMODE=LINE) to allow for specifying output mode. All NetView based commands are now able to be piped for further processing. The operator dialog NetView panels have been enhanced to support displays of up to 43 lines per panel. • SHUTSYS command 14 Automation Using Tivoli NetView OS/390 V1R3 and System Automation OS/390 V1R3
  • 29.
    The default ofthe SHUTSYS command is now set to VERIFY=NO for unattended processing. • Overall performance The overall performance has been improved by restructuring tasks, which accelerates the start-up and the shutdown of subsystems. In the System Automation customization dialog it is now possible to define a set of auto operators to handle subsystem automation. Chapter 2. Benefits of using System Automation for OS/390 15
  • 30.
    16 Automation Using Tivoli NetView OS/390 V1R3 and System Automation OS/390 V1R3
  • 31.
    Chapter 3. TheITSO automation project environment The following sections will provide a brief description of some basic concepts that are commonly used when working with focal points and graphical enterprise features. Further detailed information about these topics are provided within the Tivoli Netview for OS/390 and System Automation for OS/390 technical documentations. System Automation for OS/390 allows control of the customization, monitoring, and management functions of multiple systems or images in the enterprise (each running System Automation instances), using a single, centrally located OS/390 system. This controlling OS/390 system is called the focal point system. The managed systems in the environment are called target systems. All connected systems communicate between each other through Tivoli NetView for OS/390 using specific Netview data transport mechanisms. Figure 1 on page 18 shows a high-level diagram of the environment used during the project at the ITSO. The environment consisted of three systems, each of them running OS/390 V2R7, Tivoli NetView for OS/390 V1R3, and System Automation for OS/390 V1R3. The system SC66 is the designated focal point system, while the other two systems, SC42 and SC69, are target systems. Note Within this ITSO project, it was decided to set up the environment consisting of the three systems, SC66, SC42, and SC69, without any system resource (storage/workload) limitations. Assuming the networking and automation objects within the enterprise should be managed by their own RODM, it was decided to run separate RODM/GMFHS applications for the networking and the automation environment on the focal point system. For a limited system resource (storage/workload) approach on the focal point system, when managing a reasonable number of networking and System Automation objects, a configuration with only one RODM/GMFHS on the focal point system for both environments can be chosen. Refer to Appendix C, “One RODM/GMFHS focal point configuration” on page 241, for a customization checklist. © Copyright IBM Corp. 2000 17
  • 32.
    Figure 1. ITSOproject environment 18 Automation Using Tivoli NetView OS/390 V1R3 and System Automation OS/390 V1R3
  • 33.
    3.1 Types ofcommunication Since its earliest releases, Tivoli Netview for OS/390 provides three different data transport mechanisms that support the centralized operations from a focal point system. The transport mechanisms are: • Communication using a LU 6.2 session • Communication using a LUC session • Communication using an OST-NNT session • Communication using TCP/IP These communications are used to transfer data between Tivoli NetView programs that reside in different domains or systems. The LU 6.2 communication is also used to transfer data between Tivoli NetView and non-NetView products, such as the AS/400 and its applications. When centralizing operations between different Tivoli NetView domains, one or more of these communication types are used. In addition, new to Tivoli NetView for OS/390 V1R3 is the support to convert SNMP traps to SNA NVMT alerts and vice versa, which uses the TCP/IP communication. 3.1.1 Communication using a LU 6.2 session Tivoli NetView supports two LU 6.2 session types, which use different versions of the SNA LU 6.2 protocol: 1. The Management Services (MS) transport is for low-volume transmissions that require high reliability, such as sending alerts. 2. The high-performance option of the MS transport is for large-volume transmissions that require optimized network performance. Tivoli NetView’s LU 6.2 session communications are based on the MULTIPLE_DOMAIN_SUPPORT function set described in the SNA Management Services Reference, SC30-3346. This LU 6.2 session transports are used by Management Services (MS) applications to send and receive data. Note The NetView DSI6DST task must be active to use the LU 6.2 session transports. Chapter 3. The ITSO automation project environment 19
  • 34.
    3.1.2 Communication usinga LUC session Unlike the communication using a LU 6.2 session, the LUC session transport supports communication only between NetView programs. The LUC tasks in the Tivoli NetView domain must be active to use this transport mechanism. In addition to using the NV-UNIQ/LUC alert forwarding, the DSICRTR task must be active. 3.1.3 Communication using an OST-NNT session Like the communication using the LUC session, the OST-NNT session transport supports communication only between NetView programs. To establish an OST-NNT session between Tivoli NetView domains, the NetView command START DOMAIN is used. In this way, a central NetView domain can communicate with a target NetView domain. 3.2 Resource Object Data Manager (RODM) The Tivoli NetView for OS/390 uses RODM to store topology and status information for resources that are to be managed by automation programs (for example, System Automation for OS/390) or to be displayed by the NetView Management Console (NMC). The interface between RODM and the distributed NetView Management Console server component is the NetView Graphic Monitor Facility Host Subsystem (GMFHS), which is further explained in the next section. RODM provides a high-speed data cache, an application program interface (API), and services that enable the management of system and network resources. It stores topology data, status information, execution information, and other details about resources or classes of resources in an object oriented data structure. Objects in RODM represent resources in the system or in the network environment. The data cache is located entirely in the memory of the host processor and is designed for applications that need to access, interpret, and alter large amounts of rapidly changing data in a short period of time. RODM provides an open interface to enable management applications to use the data for automation as well as allow multiple applications to access the data simultaneously. It is a single source for all topology and status information that Tivoli NetView’s automation facilities support. The contained information in RODM is updated dynamically, which is most important to all automation facilities of Tivoli NetView for OS/390. 20 Automation Using Tivoli NetView OS/390 V1R3 and System Automation OS/390 V1R3
  • 35.
    Based on anychange in your system or network configuration as reported through a NetView alert, for example, if a subsystem goes off-line, RODM dynamically updates the object information and triggers as required automation procedures. To ensure fast response time, RODM operates in memory. It supports sophisticated systems and network process control applications that need to access, interpret, and respond to rapidly changing configuration and status data. 3.2.1 RODM object oriented structure In order to operate RODM, it is necessary to load one or more physical data model structures of the managed environments into RODMs memory storage. These data model structures consists of the following elements: • Object: Any resource or link that is required to be managed would be represented in the data model as an object. Link objects represent the connection between two resource objects. • Class: The class defines the characteristics that are common to all objects that belong to that class. Its purpose is to define a particular type of object. • Field: The attributes or fields of an object contain the specific information about a resource that you want to manage. • Methods: The actions that can be performed against that object would be defined as methods to that class of objects. 3.3 Graphic Monitor Facility Host Subsystem (GMFHS) GMFHS manages the configuration, topology, and status updates from RODM to the distributed NetView Management Console (NMC) application. It resides in its own address space at the host and communicates to NetView through the Program-to-Program Interface (PPI). The PPI serves as a transport facility for commands, views, and status information passing between GMFHS and the NetView program at the focal point host. The information is routed over TCP/IP or LU 6.2 communication sessions between the NetView program at the host and the NetView Management Console (NMC) Topology Server at the distributed side, which is, in return, communicating to connected NMC Topology clients via TCP/IP protocol. Chapter 3. The ITSO automation project environment 21
  • 36.
    Note GMFHS is required only in the system defined as the Focal Point System or Backup Focal Point System. It is not required to be active in target systems 3.4 Status Display Facility (SDF) The Status Display Facility (SDF) is a System Automation system resource monitoring feature that does, unlike the NetView Management Console, not require RODM or GMFHS to display the status of various resources of the automation focal point and target OS/390 systems. SDF is a non-graphical, 3270 session based, control panel that uses different colored and highlighted text strings to inform the subsystem resource states. The resource types displayed by SDF include: • Applications and subsystems • WTORs • Gateways Note A Gateway is a group of one NetView-NetView task session and its two automated operator tasks, which allows communication of messages, commands, and responses between the two NetView systems. SDF is also able to show spool problems and assist requests from OS/390 subcomponents. SDF consists of a hierarchy of dynamically updated panels showing color-coded status conditions. SDF is set up during the customization of System Automation for OS/390. The screen shown in Figure 2 on page 23 is an actual sample of the ITSO focal point system SC66. 22 Automation Using Tivoli NetView OS/390 V1R3 and System Automation OS/390 V1R3
  • 37.
    Figure 2. SDFsample screen of focal point system SC66 Chapter 3. The ITSO automation project environment 23
  • 38.
    24 Automation Using Tivoli NetView OS/390 V1R3 and System Automation OS/390 V1R3
  • 39.
    Chapter 4. Customizationof Tivoli NetView OS/390 This chapter details the customization process of Tivoli NetView for OS/390 V1R3. The main emphasis will be a generic and fast setup approach using system symbolics in the NetView common libraries. No changes should ever be made to the NetView install libraries, ensuring modifications are not deleted when applying NetView for OS/390 PTFs. The customizations will enable system programmers to roll out several NetViews on multiple systems with minimal additional customization efforts. At the highest level, the installation of NetView in a multiple system environment breaks down into five large steps, which are shown in Table 1. Table 1. High-level NetView installation process in a multi-system environment # Step Description 1 Plan the environment Obtain details of the environment and what features are to be installed: - Number of enterprise Focal Point NetViews - Number of procedural NetViews - What NetView features will be running - Where these NetView will features be running Document the findings. 2 Define the environment Decide on naming conventions for the planned environment. Clarify existing system symbolics being used and consider any new symbolics that may be required or useful. 3 Full featured test install of Install a full featured copy of NetView on a test Tivoli NetView for OS/390 system. This will validate findings previously obtained and will help with the creation of the common/local library structure. 4 Creation of common Create and populate the common libraries libraries (which is in effect an install in itself) and create a task list for the local (domain specific) installations. See Section 4.3.6.1, “Local install process for the networking NetView domains” on page 38, for an example of a local install task list. 5 Creation of local (domain Follow the task list for each local (domain specific) libraries specific) NetView installation and create and populate the domain specific libraries. © Copyright IBM Corp. 2000 25
  • 40.
    Note Refer to Tivoli NetView for OS/390 Installation and Administration Guide, SC31-8236, for full details of the NetView installation process. 4.1 Planning the Tivoli NetView for OS/390 environment The details of the project environment are outlined in Chapter 3, “The ITSO automation project environment” on page 17. It is planned to have one focal point system and two target systems. In terms of NetView, this means on the Focal Point system, one Focal Point NetView for each of the automation and the network environments. For each of the target systems, it also requires one NetView for each of the two environments. The total number of NetViews for the planned environment of three systems is six. The two Focal Point NetViews are planned to run as full featured enterprise NetViews, whereas all other NetViews on the target systems are planned to run only as procedural NetViews. In this ITSO environment, all of the six NetViews will be connected to their individual Resource Object Data Manager (RODM) to store and manage the individual network and system resources. Note Within this ITSO project it was decided to setup the environment without any system resource (storage/workload) limitation. Assuming the networking and automation objects within the enterprise should be managed by their own RODM, it was chosen to run separate RODM/GMFHS applications for the networking and the automation environment on the focal point system SC66. For a limited system resource (storage/workload) approach on the focal point system, when managing not too many networking and System Automation objects, a configuration with only one RODM/GMFHS on the focal point system for both environment could be chosen. For a customization checklist, refer to Appendix C, “One RODM/GMFHS focal point configuration” on page 241. 26 Automation Using Tivoli NetView OS/390 V1R3 and System Automation OS/390 V1R3
  • 41.
    For the targetsystems, it is noted that it is not always required to implement RODM instances (see Note box). Note A RODM instance on the networking target environment is only required if network resources are to be managed on that particular target system. A RODM instance on the automation target environment is only required if using the System Automation enterprise monitoring functions. Only the Focal Point NetViews will have the graphical interface to the NetView Management Console topology servers, which will be provided by two instances of the Graphical Monitor Facility Host Subsystem (GMFHS). Therefore, in addition to six NetViews to be installed and customized, there will be also six RODM and two GMFHS installations in the ITSO environment. 4.2 Defining the Tivoli NetView for OS/390 environment To reduce the effort and time required to roll out an implementation of Tivoli NetView for OS/390 across multiple systems, a common library structure is strongly recommended. Within the common libraries are those NetView members that require no local customization for any particular system or domain. The use of common libraries exploits the concept of the OS/390 system and user defined symbolics, as explained further in Section 4.2.3, “Usage of OS/390 system symbolics” on page 32. 4.2.1 Recommended library structure in multi-system environment Figure 3 on page 28 will explain the recommended concept and library structure for Tivoli NetView for OS/390 in a multi system environment. Chapter 4. Customization of Tivoli NetView OS/390 27
  • 42.
    Figure 3. RecommendedNetView library structure in a multi-systems environment Given the recommendation for the NetView library structure, the following tables will specify the explicit naming conventions for the NetView install libraries, common network and automation libraries, and all domain specific libraries. Table 2. Tier 1: Tivoli NetView install libraries Install library dataset names Content NETVIEW.V1R3M0.DSIPARM Supplied DSIPARM members 28 Automation Using Tivoli NetView OS/390 V1R3 and System Automation OS/390 V1R3
  • 43.
    Install library datasetnames Content NETVIEW.V1R3M0.CNMCLST Supplied CLIST members NETVIEW.V1R3M0.CNMPNL1 Supplied PANEL members ... ... It is strongly recommended to never modify the level of product install libraries. If modifications are necessary to effect all instances of NetView, then copy the required shipped members to next library level (NetView common libraries) and modify them on this library level. If the modifications are effective only for some NetView domains, the required members need to be copied to, and afterwards modified in, the NetView domain specific libraries. Table 3. Tier 2: Tivoli NetView common libraries for the Network environment Common library dataset names Content NETVUSER.NETWORK.DSIPARM Modified DSIPARM members NETVUSER.NETWORK.DSIPARM.ENTERP Modified DSIPARM members, specifically for Network Focal Points NETVUSER.NETWORK.DSIPARM.AON Modified DSIPARM members, specifically for AON NETVUSER.NETWORK.CNMCLST Modified CLIST members NETVUSER.NETWORK.CNMCLST.ENTERP Modified CLIST members, specifically for Network Focal Points NETVUSER.NETWORK.CNMPNL1 Modified PANEL members Modifications to this library level effect all instances of NetViews in the Network environment. Table 4. Tier 2: Tivoli NetView common libraries for the Automation environment Common library dataset names Content NETVUSER.SYSTEM.DSIPARM Modified DSIPARM members NETVUSER.SYSTEM.DSIPARM.ENTERP Modified DSIPARM members, specifically for Automation Focal Points NETVUSER.SYSTEM.DSIPARM.ACF Modified DSIPARM members, specifically for System Automation Chapter 4. Customization of Tivoli NetView OS/390 29
  • 44.
    Common library datasetnames Content NETVUSER.SYSTEM.CNMCLST Modified CLIST members NETVUSER.SYSTEM.CNMCLST.ENTERP Modified CLIST members, specifically for Automation Focal Points NETVUSER.SYSTEM.CNMPNL1 Modified PANEL members Modifications to this library level effect all instances of NetViews in the Automation environment. If modifications are necessary to effect only some NetView domains, then copy the required members from the NetView common libraries (or NetView install libraries) to the next library level (NetView domain specific libraries) and modify them on this library level. Table 5. Tier 3: Tivoli NetView domain specific libraries Common library dataset names Content NETVUSER.<domain name>.DSIPARM Modified DSIPARM members NETVUSER.<domain name>.CNMCLST Modified CLIST members NETVUSER.<domain name>.CNMPNL1 Modified PANEL members where <domain name> Denotes the specific NetView domain name, for example, SC66N or SC66A As a common rule, it is recommended to specify a numeric system identifier, as well as an indicator of the specific environment, into the NetView domain name. In this project, the following naming convention for the NetView domain names were chosen: • Character 1, 2 - System string ‘SC’ • Character 3, 4 - Numeric system identifier, for example, 66 or 42 • Character 5 - Environment identifier, for example, ‘N’ or ‘A’ The library structure of datasets within any single implementation of Tivoli NetView for OS/390 will then be: a. NetView install libraries b. NetView common (global) libraries c. NetView domain specific (local) libraries However, the concatenation order of these library dataset names in the NetView for OS/390 start-up procedure is reverse because existent members 30 Automation Using Tivoli NetView OS/390 V1R3 and System Automation OS/390 V1R3
  • 45.
    of the domainspecific libraries should be loaded first instead of members of common or install libraries. The concatenation order is thus: a. NetView domain specific (local) libraries b. NetView common (global) libraries c. NetView install libraries The following example shows the DSIPARM concatenation in a procedural Network NetView for OS/390: //DSIPARM DD DSN=&Q1..&DOMAIN..DSIPARM,DISP=SHR // DD DSN=&Q1..NETWORK.DSIPARM.AON,DISP=SHR // DD DSN=&Q1..NETWORK.DSIPARM,DISP=SHR // DD DSN=&SQ1..DSIPARM,DISP=SHR And, in addition, the example of the DSIPARM concatenation of an enterprise Network NetView for OS/390: //DSIPARM DD DSN=&Q1..&DOMAIN..DSIPARM,DISP=SHR // DD DSN=&Q1..NETWORK.DSIPARM.AON,DISP=SHR // DD DSN=&Q1..NETWORK.DSIPARM.ENTERP,DISP=SHR // DD DSN=&Q1..NETWORK.DSIPARM,DISP=SHR // DD DSN=&SQ1..DSIPARM,DISP=SHR 4.2.2 OS/390 subsystem extensions Since the ITSO project addresses two different environments, the networking and the automation NetView environment, it was decided to not only differentiate the library structures, but to extend, in addition, the OS/390 subsystem definitions for NetView and RODM (GMFHS is not a subsystem). This can, for example, be achieved by editing the OS/390 system definition member IEFSSNxx (SYS1.PARMLIB) and adding the following statements: SUBSYS SUBNAME(NETC) SUBSYS SUBNAME(NETV) SUBSYS SUBNAME(EKGN) SUBSYS SUBNAME(EKGA) These subsystem extensions created in this ITSO project lead to the following subsystem and start-up procedure naming conventions for NetView and RODM (for GMFHS, just start-up procedure names): • Networking environment: - Subsystem names: • RODM: EKGN • NetView: NETC Chapter 4. Customization of Tivoli NetView OS/390 31
  • 46.
    - Start-up procedurenames: • RODM: EKGNss • NetView: NETCssN • GMFHS: GMFHSssN where <ss> reflects the system identifier. • Automation environment: - Subsystem names: • RODM: EKGA • NetView: NETV - Start-up procedure names: • RODM: EKGAss • NetView: NETVssA • GMFHS: GMFHSssA where <ss> reflects the system identifier. 4.2.3 Usage of OS/390 system symbolics Tivoli NetView for OS/390 has supported the use of MVS system and user defined symbolics since V1R1, and each release has extended this functionality. The use of these symbolics can simplify the installation and maintenance effort required in a sysplex-wide implementation of Tivoli NetView for OS/390. Note MVS V5R2M0 or higher is required for system and user defined symbolic support. The symbolics used in this project are listed in Table 6. Table 6. System symbolics used in this project SYMBOLIC COMMENTS &SYSNAME. Name of the system - On the systems in this project, this was “SC” followed by the clone ID (see below). &SYSCLONE. On the project systems, a two-character numeric field used to identify the clone ID. 32 Automation Using Tivoli NetView OS/390 V1R3 and System Automation OS/390 V1R3
  • 47.
    For example, onsystem SC66, the values coded in the IEASYMxx member of PARMLIB would be : SYSNAME(SC66) SYSCLONE(&SYSNAME(3:2)) To determine current symbols on one system, issue the following MVS command from the TSO system log (SDSF) or from the NetView NCCF interface (with prefixed command string ‘MVS‘): D SYMBOLS An example of the use of this technique is in the NetView start-up procedure, where the symbolic &SYSNAME. was used to generate the NetView domain name : // DOMAIN=&SYSNAME.N, ** NETVIEW DOMAIN NAME This enabled the usage of common JCL across systems running the same NetView configuration (that is, procedural or enterprise). Note The &DOMAIN. symbolic generated in this way can be used in the various NetView configuration members and will be automatically resolved to its correct value. It was found that &DOMAIN. was, in fact, the most commonly used symbolic and was the most useful in setting up the common libraries. 4.3 Network management environment For the networking environment, the results of step 1 and step 2, the process of planning and defining the networking NetView environment, were as follows: • System SC66 running an enterprise NetView with base AON installed. This acted as the AON focal point for all three systems. It also ran RODM and GMFHS linked to an NMC server. • System SC42 running a procedural NetView with base AON installed. • System SC69 running a procedural NetView with base AON installed. The NetView domain name in each case was the system name suffixed with ‘N’, for example, SC66N. Chapter 4. Customization of Tivoli NetView OS/390 33
  • 48.
    4.3.1 Creation ofcommon networking NetView libraries After completing step 3, the full featured test install of Tivoli NetView for OS/390, the next sections will describe step 4, the process of creation/modification of common networking libraries. According to the recommended naming convention for the NetView library structure, the following common libraries were created: - DSIPARM: • NETVUSER.NETWORK.DSIPARM • NETVUSER.NETWORK.DSIPARM.AON • NETVUSER.NETWORK.DSIPARM.ENTERP - DSIPRF: • NETVUSER.NETWORK.DSIPRF - VTAMLST: • NETVUSER.NETWORK.VTAMLST - CLIST: • NETVUSER.NETWORK.CNMCLST • NETVUSER.NETWORK.CNMCLST.ENTERP - PANELS: • NETVUSER.NETWORK.CNMPNL1 • NETVUSER.NETWORK. SEZLPNLU - Where the .AON suffixed library contains common modified AON members, and the .ENTERP suffixed libraries contain modified members specific to enterprise versions of NetView. The creation process of the common networking libraries involves working through the NetView install procedures and the full featured test install of NetView and populating the common libraries with exploitation of system symbolics to avoid the need for local customization as far as possible. Using this approach, it was found that very little customization on the local (domain specific) library level was required to establish the network management environment. These local customizations are further described in Section 4.3.6, “Creation of local (domain specific) NetView libraries” on page 37. 34 Automation Using Tivoli NetView OS/390 V1R3 and System Automation OS/390 V1R3
  • 49.
    All other networkingcustomizations could be achieved by modifying the common networking library level, as described below. 4.3.1.1 Common networking DSIPARM library The following table lists the modified members in the common networking DSIPARM library. Table 7. Modified members in NETVUSER.NETWORK.DSIPARM MEMBER COMMENTS DSIDMNB TASK MOD=CNMCSSIR,TSKID=&DOMAIN.SIR, etc. TASK MOD=DSIZDST,TSKID=&DOMAIN.LUC,MEM=DSILUCTD, etc. TASK MOD=CNMTARCA,TSKID=&DOMAIN.VMT,PRI=5,INIT=N TASK MOD=CNMTGBRW,TSKID=&DOMAIN.BRW,PRI=5,INIT=N DSIDMNK NCCFID DOMAINID=&DOMAIN.,DMNPSW=&DOMAIN., etc. DSITBL01 SYN %NV_DOMAIN% = '''&DOMAIN.'''; DSIVPARM VPDINIT ACBNAME=VPDACB,PASSWORD=&DOMAIN.,VPDREQ=001 DUIFPMEM SC = &DOMAIN. DUIGINIT RODMNAME=RODM&SYSCLONE.N DOMAIN=&DOMAIN. FLBSYSD RODMNAME="RODM&SYSCLONE.N" APPLNAME="&SYSNAME.NSNA" APPLPASS="&SYSNAME.N" FLBSYSDA APPLPASS="&SYSNAME.N" 4.3.1.2 Common networking DSIPARM library (specific AON) The following table lists the modified members in the common networking DSIPARM library specifically for AON. Table 8. Modified members in NETVUSER.NETWORK.DSIPARM.AON MEMBER COMMENTS EZLCFG01 AUTOOPS GATOPER,ID=GAT&DOMAIN. Chapter 4. Customization of Tivoli NetView OS/390 35
  • 50.
    4.3.1.3 Common networkingDSIPARM library (Enterprise feature) The following table lists the modified members in the common networking DSIPARM library specifically for the Focal Point NetView (Enterprise feature). Table 9. Modified members in NETVUSER.NETWORK.DSIPARM.ENTERP MEMBER COMMENTS DSIDMNB TASK MOD=CNMCSSIR,TSKID=&DOMAIN.SIR,PRI=5,INIT=N TASK MOD=DSIZDST,TSKID=&DOMAIN.LUC,MEM=DSILUCTD, etc. TASK MOD=CNMTARCA,TSKID=&DOMAIN.VMT,PRI=5,INIT=N TASK MOD=CNMTGBRW,TSKID=&DOMAIN.BRW,PRI=5,INIT=N 4.3.1.4 Common networking CLIST library (Enterprise feature) The following table lists the modified members in the common networking CLIST library specifically for the Focal Point NetView (Enterprise feature). Table 10. Modified members in NETVUSER.NETWORK.CNMCLST.ENTERP MEMBER COMMENTS CNME1034 DUIFHPRC = 'GMFHS'||SUBSYM('&SYSCLONE.')||'N' EKGHPRC = 'EKGN'||SUBSYM('&SYSCLONE.') 4.3.2 Setting up the base components NetView for OS/390 After completing step 4, the process of creation of common networking libraries, the following sections describe the process of setting up the base components of NetView for OS/390, the Resource Object Data Manager (RODM), and the Graphic Monitor Facility Host Subsystem (GMFHS). To simplify the local process, it was first created a local install library (NETVUSER.LOCAL.INSTALL). This was shipped (as NETVUSER.&domain..INSTALL) to each domain and the local installation tasks run from there. A specimen install process and task list is shown in Section 4.3.6.1, “Local install process for the networking NetView domains” on page 38. 4.3.3 Setting up the Resource Object Data Manager Using system symbolics and the common library structure, all of the initialization members were included in the common libraries, and no local customization was required to start an instance of RODM on any system. 36 Automation Using Tivoli NetView OS/390 V1R3 and System Automation OS/390 V1R3
  • 51.
    4.3.4 Setting upthe Graphic Monitor Facility Host Subsystem As mentioned in Section 4.1, “Planning the Tivoli NetView for OS/390 environment” on page 26, it was planned to only run two GMFHS instances on the focal point system. However, using system symbolics and common library structure, almost all of the initialization members were included in the common libraries, and just one local customization was required to start GMFHS on any enterprise networking system. The only local GMFHS customization required was to change the port address in the member DUIFPMEM within the local DSIPARM library to avoid conflicts, as it was decided in the project to run both the networking and automation graphical focal points in the same LPAR (SC66). Note The services file on the NMC server also has to be updated to use the same port address. See Tivoli NetView for OS/390: NetView Management Console User’s Guide, SC31-8665, Section 1.3.6.3. 4.3.5 Setting up the Automated Operation Network feature The initial install of the base Automated Operation Network (AON) code was included in the common networking library structure and initial setup. Only a few local customizations were maintained since the exploitation of AON functionality was not the focus of this ITSO project. The local customization work for AON was performed as second part of the local (domain specific) install process described in the next section. 4.3.6 Creation of local (domain specific) NetView libraries Step 5, the process of creation/modification of local (domain specific) NetView libraries, is the last step to get the networking NetView environment up and running. Using a combination of system, user symbolics, and common libraries significantly reduced the amount of local (domain specific) tailoring. In the ITSO project, the only local (domain specific) modification required to establish the basic network environment was: • Focal Point NetView SC66N: Member DUIFPMEM in the local (domain specific) DSIPARM library. The following local (domain specific) modifications were performed for AON: • Focal Point NetView SC66N: Chapter 4. Customization of Tivoli NetView OS/390 37
  • 52.
    Members EZLCFG01 andEZLTREE in the local (domain specific) DSIPARM library. • Procedural NetViews SC42N and SC69N: Member EZLTREE in local (domain specific) DSIPARM library. • All NetViews SC66N, SC42N and SC69N: Update of all DDF panels and control files in the local (domain specific) AON panel library SEZLPNLU with the correct Domain ID. 4.3.6.1 Local install process for the networking NetView domains The created local install library (NETVUSER.&domain..INSTALL) was used to run the local install process. Table 11 shows the steps needed to perform the specific install. The TASK column cross references to the relevant section in the product documentation Tivoli NetView for OS/390, Installation and Administration Guide, SC31-8236. Table 11. Local networking NetView install process TASK COMMENTS 2.1.9 - Allocate all PDS CNMSJ002 2.1.10 - Change domain and SA CNMSJ000 JCL and control cards numbers 2.1.15 - Allocate VSAM clusters CNMSJ004 - Change domain in JCL 2.1.16 - Load VSAM files CNMSJ005 - Change VSAM high-level qualifier 2.1.17 - Assemble VTAM tables CNMSJ006 - Change high-level qualifier and add domain - may not be required if shared VTAMLIB 2.4.3 - 2.4.6 - Create procedures Specimen procedures in LOCAL.INSTALL Copy to PROCLIB and update as required 3.3.2.7 STATMON preprocessor May not be required 38 Automation Using Tivoli NetView OS/390 V1R3 and System Automation OS/390 V1R3
  • 53.
    4.3.6.2 Local installprocess for AON The TASK column in Table 12 cross references the relevant section in the product documentation Tivoli NetView for OS/390, Installation and Administration Guide, SC31-8236. Table 12. Local AON install process TASK COMMENTS 2.2.2 - Copy AON members to EZLSJ100 - First allocate the local (domain specific) local (domain specific) AON AON library SEZLPNLU. Then run the step in panel library SEZLPNLU EZLJS100 that copies the named members into the local AON library SEZLPNLU. The AON members for the libraries DSIPRF and DSIPARM are already in the NetView common libraries. 2.2.3 - Change domain ID Run against local SEZLPNLU only. 2.2.4 - Allocate datasets EZLSJ005, if required. 2.2.5 - Allocate RACF datasets EZLJS006, if required. 2.2.6 - Allocate VSAM files EZLJS008. 3.9.2 - Tailor DDF As required. 3.9.5 - Tailor Gateways and FP As required. 4.4 Automation environment For the automation environment running System Automation, the results of step 1 and step 2, the process of planning and defining the automation NetView environment, were as follows: • System SC66 running an enterprise NetView with System Automation installed. This system acted as the automation focal point for all three systems. It also ran RODM and GMFHS linked to an NMC server. • System SC42 running a procedural NetView with System Automation installed. • System SC69 running a procedural NetView with System Automation installed. The NetView domain name in each case was the system name suffixed with ‘A’, for example, SC66A. Chapter 4. Customization of Tivoli NetView OS/390 39
  • 54.
    4.4.1 Creation ofcommon automation NetView libraries The creation of the common automation NetView libraries used to run the System Automation features follow the same pattern already described in the network environment section. According to the recommended naming convention for the NetView library structure, the following common libraries were created: - DSIPARM: • NETVUSER.SYSTEM.DSIPARM • NETVUSER.SYSTEM.DSIPARM.ENTERP - DSIPRF: • NETVUSER.SYSTEM.DSIPRF - VTAMLST: • NETVUSER.SYSTEM.VTAMLST - CLIST: • NETVUSER.SYSTEM.CNMCLST • NETVUSER.SYSTEM.CNMCLST.ENTERP - PANELS: • NETVUSER.SYSTEM.CNMPNL1 The creation process of the common automation libraries involves working through the NetView install procedures and populating the common libraries with exploitation of system symbolics to avoid the need for local customization as far as possible. Using this approach, it was found that very little customization on the local (domain specific) library level was required to establish the system automation environment. These local customizations are further described in Section 4.4.6, “Creation of local (domain specific) NetView libraries” on page 50. All other automation customizations could be achieved by modifying the common automation library level as described in the following sections. 4.4.1.1 Common automation DSIPARM library Table 13 on page 41 lists the modified members in the common automation DSIPARM library compared to the NetView install DSIPARM library. These 40 Automation Using Tivoli NetView OS/390 V1R3 and System Automation OS/390 V1R3
  • 55.
    modifications represent globalchanges to run System Automation in the NetView automation environment. Table 13. Modified members in NETVUSER.SYSTEM.DSIPARM MEMBER COMMENTS AOFMSGSY Changed the following statements: SYN %AOFDOM% = '''&DOMAIN.''' SYN %AOFSYS% = '''&SYSNAME.''' SYN %AOFLOADERJOB% = '''AOFLOAD''' SYN %AOFOPGATOPER% = 'GAT&DOMAIN.' SYN %AOFSIRTASK% = '''&DOMAIN.SIR''' AOFMSG00 Comment out the reference to clist CNME1035 AOFMSG01 Comment out %INCLUDE AOFMSGPM Comment out %INCLUDE AOFMSGPA Comment out %INCLUDE AOFMSGST Comment out %INCLUDE AOFMSGOP AOFRINIT Change DEFAOF PPIRCVR=NETQTSK Comment out DEFAOF PPIRCVR=PPICMDID BNJMBDST Change DSTINIT FUNCT=VSAM DSICMD Include %INCLUDE AOFCMD Comment out %INCLUDE DSICMDT DSICNM Uncomment O SECSTAT Comment out O MONIT DSICRTTD Include DEFFOCPT PRIMARY=SC66ALUC,TYPE=ALERT Include DEFFOCPT PRIMARY=SC66ALUC,TYPE=STATUS DSIDMN Comment out %INCLUDE DSIDMNT Include %INCLUDE AOFDMN Chapter 4. Customization of Tivoli NetView OS/390 41
  • 56.
    MEMBER COMMENTS DSIDMNB Comment out TASK MOD=CNMCSSIR,TSKID=CNMCSSIR, PRI=5,INIT=N Include TASK MOD=CNMCSSIR,TSKID=&SYSNAME.ASIR, PRI=5,INIT=N Change the following statements: TASK MOD=DSIZDST,TSKID=&DOMAIN.LUC,MEM=DSILUCTD, PRI=7,INIT=N TASK MOD=CNMTARCA,TSKID=&DOMAIN.VMT,PRI=5,INIT=N TASK MOD=CNMTGBRW,TSKID=&DOMAIN.BRW,PRI=5,INIT=N Include TASK MOD=CNMCALRT,TSKID=NETCALRT, PRI=6,INIT=Y Comment out TASK MOD=CNMCALRT,TSKID=CNMCALRT, PRI=6,INIT=Y Include TASK MOD=DSIZDST,TSKID=CNMTAMEL,MEM=DUIISC, PRI=5,INIT=N Comment out TASK MOD=DSIZDST,TSKID=CNMTAMEL, MEM=DUIISFP,PRI=5,INIT=N DSIDMNK Include NCCFID DOMAINID=&DOMAIN,DMNPSW=&DOMAIN., DROP=YES,SUPPCHAR=? Comment out NCCFID DOMAINID=CNM01, DMNPSW=CNM01, DROP=YES, SUPPCHAR=? Include NCCFIC IC=CNME1034 AOFMSG00 Comment out NCCFIC IC=CNME1034 DSITBL01 Include VTAMCP USE=NO Comment out VTAMCP USE=YES Include SC66A RRD Include SC42A RRD Include SC69A RRD DSIOPF Comment out %INCLUDE DSIOPFT Include %INCLUDE AOFOPF DSIOPFU Include the following operators: GATSC66A, GATSC69A, GATSC42A Additional comments on the above listing of modifications are as follows: • AOFMSGSY Change the synonym statements using the system symbolics available. • AOFMSG00 42 Automation Using Tivoli NetView OS/390 V1R3 and System Automation OS/390 V1R3
  • 57.
    The clist CNME1035is no longer used in this NetView release. The NetView initialization steps are now concentrated in the new clist CNME1034, which is coded in REXX and uses PIPEs. • AOFMSG01 The members AOFMSGST and AOFMSGOP will only be used in the enterprise automation environment (focal point). • BNJMBDST Change FUNCT=VSAM will ensure that NPDA will come up as secondary on the Automation NetView environment. • DSICMD The DSICMDT member will only be used in the enterprise automation environment. DSICMD should be copied and modified (uncomment DSICMDT statement) in the enterprise specific DSIPARM. • DSICNM Changes will set STATMON as secondary on System Automation NetView. • DSICRTTD The project environment used the LUC transport method to forward alerts to the specified focal point task. • DSIDMN The DSIDMNT member will only be used in the enterprise automation environment. DSIDMN should be copied and modified (uncomment DSIDMNT statement) in the enterprise specific DSIPARM. • DSIDMNB The TSKID value for the task CNMCALRT needs to be different than the one specified for networking NetView. The TSKID value for the LUC task, the VMT task and the BRW task need to be different than the ones specified for the networking NetView. Specifying a different initialization member for the task CNMTAMEL is necessary to allow resource status forwarding from the status collectors to the status focal point. • DSIDMNK Change VTAMCP to USE=NO to set up the automation NetView to be the secondary (non networking) NetView. Change NCCFIC IC=CNME1034 AOFMSG00 to reflect the specific System Automation message table AOFMSG00. Chapter 4. Customization of Tivoli NetView OS/390 43
  • 58.
    • DSIOPF The DSIOPFT member will only be used in the enterprise automation environment. DSIOPT should be copied and modified (uncomment DSIOPFT statement) in the enterprise specific DSIPARM. 4.4.1.2 Common automation DSIPARM library (Enterprise feature) Table 14 lists the modified members in the common automation DSIPARM library specifically for the Focal Point NetView (Enterprise feature) compared to the NetView install DSIPARM library. These modifications represent global changes to run System Automation in the NetView automation focal point environment. Table 14. Modified members in NETVUSER.SYSTEM.DSIPARM.ENTERP MEMBER COMMENTS AOFMSG01 Only copy to enterprise DSIPARM library as reference. No changes. DSICMD Include statement %INCLUDE AOFCMD DSICRTTD Only copy to enterprise DSIPARM library as reference. No changes. DSIDMN Include statement %INCLUDE AOFDMN DSIDMNB Comment out TASK MOD=CNMCSSIR,TSKID=CNMCSSIR, PRI=5,INIT=N Include TASK MOD=CNMCSSIR,TSKID=&SYSNAME.ASIR, PRI=5,INIT=N Change the following statements: TASK MOD=DSIZDST,TSKID=&DOMAIN.LUC,MEM=DSILUCTD, PRI=7,INIT=N TASK MOD=CNMTARCA,TSKID=&DOMAIN.VMT,PRI=5,INIT=N TASK MOD=CNMTGBRW,TSKID=&DOMAIN.BRW,PRI=5,INIT=N Include TASK MOD=CNMCALRT,TSKID=NETCALRT, PRI=6,INIT=Y Comment out TASK MOD=CNMCALRT,TSKID=CNMCALRT, PRI=6,INIT=Y Do not change MOD=DSIZDST,TSKID=CNMTAMEL,MEM=DUIISFP, PRI=5,INIT=N DSIOPF Include statement %INCLUDE AOFOPF Additional comments on the above listing of modifications are as follows: • AOFMSG01 44 Automation Using Tivoli NetView OS/390 V1R3 and System Automation OS/390 V1R3
  • 59.
    It is notnecessary change anything in this member. Copy only to enterprise DSIPARM library to override its reference in the common DSIPARM library. • DSICRTTD It is not necessary to change anything in this member. Copy only to enterprise DSIPARM library to override its reference in the common DSIPARM library. • DSIDMNB The TSKID value for the task CNMCALRT needs to be different than the one specified for networking NetView. The TSKID value for the LUC task, the VMT task, and the BRW task need to be different than the ones specified for the networking NetView. For the task CNMTAMEL, keep the focal point initialization member DUIISFP. 4.4.1.3 Common automation CLIST library Table 15 lists the modified members in the common automation CLIST library compared to the NetView install CLIST library. Table 15. Modified members in NETVUSER.SYSTEM.CNMCLST MEMBER COMMENTS CNME1034 Comment out DUIFNAM = 'GMFHS'||SUBSYM('&SYSCLONE.')||'N' Comment out DUIFHPRC = 'GMFHS'||SUBSYM('&SYSCLONE.')||'N' Comment out 'GLOBALV PUTC DUIFHNAM DUIFHPRC' Comment out EKGHNAM = 'EKGN'||SUBSYM('&SYSCLONE.') Comment out EKGHPRC = 'EKGN'||SUBSYM('&SYSCLONE.') Comment out 'GLOBALV PUTC EKGHNAM EKGHPRC' CNME1015 Comment out SLIST3.2 = ‘AUTOTASK FLBTOPO’ Comment out SNUM= 2 Include SNUM = 1 Comment out SLIST3.8 = ‘AUTOTASK FLBTOPO’ Comment out SLIST.0 = 8 Include SLIST.0 = 7 Additional comments on the above listing of modifications are as follows: • CNME1034 An alias for the automation GMFHS job name and procedure name used with CNME2101 is not needed in the procedural automation environment. Chapter 4. Customization of Tivoli NetView OS/390 45
  • 60.
    An alias forthe automation RODM job name and procedure name used with CNME1098 is not needed in the procedural automation environment. • CNME1015 The Automation NetView does not need to monitor the SNA Topology events and, therefore, does not need to start the SNA Topology features. Comment out entries for the task, FLBTOPO, in this clist. 4.4.1.4 Common automation CLIST library (Enterprise feature) Table 16 lists the modified members in the common automation CLIST library specifically for the Focal Point NetView (Enterprise feature) compared to the NetView install CLIST library. Table 16. Modified members in NETVUSER.SYSTEM.CNMCLST MEMBER COMMENTS CNME1034 Include DUIFHNAM = 'GMFHS'||SUBSYM('&SYSCLONE.')||'A' Include DUIFHPRC = 'GMFHS'||SUBSYM('&SYSCLONE.')||'A' Include 'GLOBALV PUTC DUIFHNAM DUIFHPRC' Include EKGHNAM = 'EKGA'||SUBSYM('&SYSCLONE.') Include EKGHPRC = 'EKGA'||SUBSYM('&SYSCLONE.') Include 'GLOBALV PUTC EKGHNAM EKGHPRC' Additional comments on the above listing of modifications are as follows: • CNME1034 Specify an alias for the automation GMFHS job name and procedure name used with CNME2101 in the enterprise automation environment. Specify an alias for the automation RODM job name and procedure name used with CNME1098 in the enterprise automation environment. Note Please be aware that within this project the string ‘EKGA’, as well as the string ‘EKGN’, was specified as a subsystem identification to OS/390. 46 Automation Using Tivoli NetView OS/390 V1R3 and System Automation OS/390 V1R3
  • 61.
    4.4.1.5 Common automationVTAMLST library Table 17 lists the modified or added members in the common automation VTAMLST library. Table 17. Modified/added members in NETVUSER.SYSTEM.VTAMLST MEMBER COMMENTS A01APPLS or Comment out &SYSNAME.NPPT APPL AUTH=(NVPACE,PPO), NETVAPPL PRTCT=&SYSNAME.N,EAS=1, Include &SYSNAME.NPPT APPL AUTH=(NVPACE,SPO), PRTCT=&SYSNAME.N,EAS=1, Additional comments on the above listing of modifications are as follows: • NETVAPPL or A01APPLS If necessary, create a new VTAM APPL deck or update an existing NetView application member to apply changes to the PPT statement to specify the secondary program operator (SPO) interface. The following sections will describe the steps necessary to customize the base NetView to be used with System Automation and cloning support. 4.4.2 Setting up the base NetView for OS/390 After completing step 4, the process of creating common automation libraries, the following sections go on to describe the process of setting up the base components of NetView for OS/390, the Resource Object Data Manager (RODM), and the Graphical Monitor Facility Host Subsystem (GMFHS). Again, to simplify the local process, the first step was to create a local install library (NETVUSER.LOCAL.INSTALL). This was shipped (as NETVUSER.&domain..INSTALL) to each domain, and the local installation tasks run from there. A specimen install process and task list is shown in Section 4.4.6.1, “Local install process for the automation NetView domains” on page 50. 4.4.3 Setting up the Resource Object Data Manager In the automation environment (running System Automation), RODM must be active on all systems. Since some of the SA RODM definition members, AOFRODM and AOFSFMAP, as well as the member DSIQTSKI, do not support system symbolics, it was necessary to copy the System Automation Chapter 4. Customization of Tivoli NetView OS/390 47
  • 62.
    members shown inTable 18 to the local (domain-specific) libraries and change them afterwards: Table 18. Modified members in NETVUSER.&domain..DSIPARM MEMBER COMMENTS AOFRODM Define the correct RODMNAME and RODMUSER AOFSFMAP Define the correct RODMNAME DSIQTSKI Comment out CMDRCVR ID=DSIQTSKI Include CMDRCVR ID=NETQTSK Include REP <rodm name>,CONN=Y,AO=Y,T=12,ID=NETQTSK Comment out REP RODM01,CONN=N,AO=N,T=12, CMD=STARTCNM Comment out REP RODM02,CONN=N,AO=N,T=20,ID=NETOP1 Comment out REP RODM03,CONN=N,AO=Y,T=30 Comment out REP RODM04,CONN=N,AO=N,T=30 Comment out REP RODM05,CONN=N,AO=N,T=19 Comment out REP RODM06,CONN=N,AO=N,T=30 Additional comments on the above listing of modifications are as follows: • AOFRODM This member defines the RODMNAME and the RODMUSER used by System Automation for bulk updates to RODM. • AOFSFMAP This member contains user defined mapping tables of System Automation status information to RODM specific status information. • DSIQTSKI This is the initialization member of the NetView task to communicate with RODM. In the System Automation environment, the CMDRCVR statement should be customized to reflect a different receiver ID than the network environment. The REP statement should, accordingly, be changed to include this receiver ID definition and the RODM name related to this local (domain specific) system. Figure 4 shows an example: CMDRCVR ID=NETQTSK REP EKGA42,CONN=Y,AO=Y,T=12,ID=NETQTSK Figure 4. DSIQTSKI member of the local DSIPARM library for System SC42 48 Automation Using Tivoli NetView OS/390 V1R3 and System Automation OS/390 V1R3
  • 63.
    The ID mustbe defined to RODM. If the ID is not specified correctly, then NetView assumes the receiver ID is DSIQTSK. This initialization member should only be customized in either the networking or the automation environment. 4.4.4 Customizing RODM load jobs in the automation environment The jobs used to load the RODM data model structures should be changed to include only the data model structures used to monitor the System Automation objects. An example job for the project system SC66 is listed for reference purposes in Appendix B, “System Automation V1R3 members and jobs” on page 233. 4.4.5 Setting up the Graphic Monitor Facility Host Subsystem GMFHS is only required on the focal point system, and no local (domain specific) customization is required to start an instance of GMFHS on any enterprise system. Copy and modify only the following members in the common automation DSIPARM library (NETVUSER.SYSTEM.DSIPARM.ENTERP), specifically for the Focal Point automation NetView (Enterprise feature): • DUIFPMEM This is the definition member for the CNMTAMEL task that defines a resource status manager and allows it to function as a status focal point. Add the following statements to the DUIFPMEM and modify them accordingly to use TCP/IP to communicate with programmable workstations: USETCPIP=YES TCPANAME=<tcpaname on OS/390> PORT=<TCPIP port number of NMC server listening> Define the status collectors that will be connected to the status focal point. Synchronization will be attempted with these status collectors when the resource status manager is initialized. These keywords are optional but are highly recommended for quick synchronization. The following is a project example: &ENTERP. SC = SC66A &ENTERP. SC = SC69A &ENTERP. SC = SC42A &PROCED. SC = &SYSCLONE.A • DUIGINIT Chapter 4. Customization of Tivoli NetView OS/390 49
  • 64.
    Modify the followingtwo statements to reflect correct initialization of GMFHS: RODMNAME=<RODM name of focal point system> DOMAIN=<NV domain name of focal point system> 4.4.6 Creation of local (domain specific) NetView libraries Step 5, the process of creation/modification of local (domain specific) NetView libraries, is the next step in getting the (System) Automation NetView environment up and running. Using a combination of system and user symbolics, and common libraries, significantly reduced the amount of local (domain specific) tailoring. The only local (domain specific) modifications required to establish the basic (System) Automation environment were: • Focal Point and all target systems: - SDF members AOFTREE, AOFPNLS and other SDF members referring to AOFTREE and AOFPNLS. - Members AOFRODM, AOFSMAP and DSIQTSKI that were already described in Section 4.4.3, “Setting up the Resource Object Data Manager” on page 47. 4.4.6.1 Local install process for the automation NetView domains The created local install library (NETVUSER.&domain..INSTALL) was used to run the local install process. The table below shows the steps needed to perform the specific install. The TASK column cross references to the relevant section in product documentation, Tivoli NetView for OS/390, Installation and Administration Guide, SC31-8236. Table 19. Local Automation NetView install process TASK COMMENTS 2.1.9 - Allocate PDS CNMSJ002 2.1.10 - Change domain and SA CNMSJ000 JCL and control cards numbers 2.1.11 Loading members of CNMSJ003 JCL partioned data sets 2.1.15 - Allocate VSAM clusters CNMSJ004 - Change domain in JCL 2.1.16 - Load VSAM files CNMSJ005 - Change VSAM high-level qualifier 50 Automation Using Tivoli NetView OS/390 V1R3 and System Automation OS/390 V1R3
  • 65.
    TASK COMMENTS 2.1.17 - Assemble VTAM tables CNMSJ006 - Change high-level and add domain. May not be required if shared VTAMLIB. 2.4.3 - 2.4.6 - Create procedures Specimen procedures in LOCAL.INSTALL Copy to PROCLIB and update as required. 3.3.2.7 STATMON preprocessor May not be required. 4.4.6.2 Local install process specifically for SA The TASK column cross references to the relevant section in the product documentation, Tivoli NetView for OS/390, Installation and Administration Guide, SC31-8236. Also refer as well to the System Automation for OS/390 V1R3 Customization, GC28-1566. Table 20. Local SA install process TASK COMMENTS 2.2.2 - Copy SA members DSIPRF and DSIPARM members will already be in the common libraries 2.1.1.2 Allocate data sets INGESYSA - Change qualifiers and volumes common to systems 2.1.1.3 Allocate Data Sets for INGEDLGA Dialogs 3.9.2 - Tailor SDF As required 3.9.5 - Tailor Gateways and FP As required Chapter 4. Customization of Tivoli NetView OS/390 51
  • 66.
    52 Automation Using Tivoli NetView OS/390 V1R3 and System Automation OS/390 V1R3
  • 67.
    Chapter 5. Customizationof System Automation for OS/390 This chapter contains an optimized setup and customization of System Automation (SA) OS/390 V1R3, to avoid unnecessary definitions and provide faster system start-up. It further used addresses the setup of System Automation policies, a policy data base, and provides information and recommendations for cloning and resource/class support. 5.1 Base System Automation customization Since System Automation is an application based on NetView, an available automation NetView environment, as described in Section 4.4, “Automation environment” on page 39, must be set up for System Automation. In addition to the automation NetView customization, it is required to customize and run some base System Automation setup jobs before going into detailed System Automation customization process. The following sections will detail and work through the System Automation preparation and setup process. 1. Preparation and setup jobs for System Automation 2. Modification to the OS/390 system library 3. Creation of a System Automation policy database dialog The creation of System Automation policy database dialog tools is a necessary step to define what to automate and how automation should be performed. 5.1.1 Preparation and set up jobs for System Automation The System Automation for OS/390 product is shipped independently from the OS/390 packages. The typical System Automation high-level qualifier of its datasets after SMP/E installation is ING. System Automation provides a lot of sample definitions as references, including system parameters, startup procedures, and sample clists in the sample datasets. System Automation preparations begin, therefore, with modification and execution of sample jobs from the SA library, ING.SINGSAMP. 5.1.1.1 Allocating VSAM datasets using INGESYSA The member, INGESYSA, can be used to allocate System Automation datasets required for both focal point systems and target systems. Adapt the following statements in member INGESYSA and submit the job to create the required VSAM datasets: © Copyright IBM Corp. 2000 53
  • 68.
    • Automation statusfile • Gateway password verification file • HCD trace file • Local volume name Change all occurrences of INGVOL to the corresponding local volume name. • Mid-level qualifier for datasets In the ITSO environment, the mid-level qualifier, USER.&domain., was used where the dataset names, for example on the focal point system SC66 ING.USER.SC66A.xxxx, match with the System Automation start-up procedure. 5.1.1.2 Allocating datasets using INGEDLGA The member INGEDLGA is used to allocate System Automation datasets required only for the focal point system. It allocates datasets for the System Automation I/O operation and the SA policy customization dialog. Modify the following statements in member INGEDLGA and submit the job to create the required datasets: • Mid-level qualifier for datasets In the ITSO environment, it was set to be SC66A, as this was the designated focal point system. Therefore, all datasets allocated by this job began with ING.SC66A.xxxx. As an example, the SA policy dialog ISPF output table was set to be ING.SC66A.AOFTABL. • OPTION statement Change the OPTION statement to reflect the correct volume name and device type. 5.1.1.3 Creating System Automation start-up procedures The members, INGESSI and INGESO, are used as System Automation (Automation NetView) sample start-up procedures. Since the subsystem name for the NetView automation environment is defined to ‘NETV’, as described in Section 4.2.2, “OS/390 subsystem extensions” on page 31, the two members, INGESSI and INGESO, were copied into the appropriate OS/390 procedure library (SYS1.PROCLIB) and renamed as NETVssSI and NETVssA, where <ss> denotes the specific system identifier. Modify the members, NETVssSI and NETVssA, to reflect specific common and local (domain specific) library dataset names. 54 Automation Using Tivoli NetView OS/390 V1R3 and System Automation OS/390 V1R3
  • 69.
    Modify the DSIPARMlibrary concatenation in the Automation NetView start-up procedure, NETVssA, by adding the dataset name of the System Automation DSIPARM input (&SQ2..SINGNPRM) as in the following example: //DSIPARM DD DSN=&Q1..&DOMAIN..DSIPARM,DISP=SHR // DD DSN=&SQ2..SINGNPRM,DISP=SHR // DD DSN=&SQ1..DSIPARM,DISP=SHR 5.1.1.4 Preparing load job for System Automation RODM In contrast to the networking environment, the RODM load procedure for the System Automation environment needs to load the RODM structure and instances during different steps of the job. The sample load job, INGELOAD, provided in the library, ING.SINGSAMP, can be copied to the system procedure library (SYS1.PROCLIB) and modified to reflect the following changes: //EKGIN1 DD DSN=NETVUSER.POLICYDB(LOADSTR0),DISP=SHR //AOFIN3 DD DSN=NETVUSER.POLICYDB,DISP=SHR The library, NETVUSER.POLICYDB, is the designated output library of the System Automation RODM building function to contain the managed RODM objects. Modify the RODMNAME statement to reflect the appropriate RODM on the specific system. 5.1.2 Preparing the OS/390 system environment and library When the previous customizations are completed, the OS/390 system environment and the procedure library need to be modified for System Automation effectiveness. Modify the library, SYS1.PARMLIB, as follows: 1. Modify PROGxx to include the following datasets as APF authorized libraries: ING.SINGMOD1 ING.SINGMOD2 ING.SINGMOD3 2. Modify LNKLSTxx to include the following link library: ING.SINGMOD2 3. Modify LPALSTxx to include the following library: ING.SINGMOD3 Chapter 5. Customization of System Automation for OS/390 55
  • 70.
    4. Modify SCHEDxxto include the following statements: PPT PGMNAME(DSIMNT) NOSWAP PPT PGMNAME(CNMINIT) NOSWAP NOCANCEL PPT PGMNAME(BNJLINTX) NOSWAP 5. Modify/Check IEFSSNxx to include the additional subsystem names. The following subsystem strings were used for the automation environment within the ITSO project: NETV /* for Netview PPI and netview address space */ EKGA /* for RODM prefix */ Restart, step by step, (IPL) the OS/390 system with CLPA on completion of all the above procedures. CPLA is still required when migrating from ESCON Manager to System Automation V1R3. If not migrating from ESCON Manager to SA V1R3, and the IPL of the OS/390 system is not possible for a longer time frame, all the above modified parameters can be made effective dynamically by using the following OS/390 commands: SETPROG APF,FORMAT,FORMAT=DYNAMIC SETPROG APF,ADD,DSNAME=ING.SINGMOD1 SETPROG APF,ADD,DSNAME=ING.SINGMOD2 SETPROG APF,ADD,DSNAME=ING.SINGMOD3 SETPROG LNK,ADD,DSNAME=ING.SINGMOD2,NAME=LINKITSO SETPROG LPA,ADD,DSNAME=ING.SINGMOD3,MODNAME=(*),MASK(*) SETSSI ADD,SUBNAME=NETV SETSSI ADD,SUBNAME=EKGA The System Automation address spaces are now ready to be started on the OS/390 system. 5.1.3 Creating System Automation policy database dialog panels The System Automation policy database contains all automation policies and interfaces with the System Automation engine. A dialog tool should be developed first, which will be used to create the System Automation policy database. The following section shows the procedure for setting up a dialog tool. 5.1.3.1 Set up a CLIST procedure To set up the dialogs, first update the TSO logon procedure and set the CLIST member in the SYSPROC library, which is allocated by the TSO logon procedure. A detailed description in System Automation for OS/390 V1R3 Customization, GC28-1566, explains how to create a System Automation 56 Automation Using Tivoli NetView OS/390 V1R3 and System Automation OS/390 V1R3
  • 71.
    policy dialog inthe TSO logon procedure. A CLIST may also be used to create a procedure for the System Automation policy dialog. After OS/390 ServerPac basic installation, the dataset ‘CPAC.CMDPROC’ by default will be the system CLIST or REXX library. Create a new member by copying the existent ISPPDF member and add the System Automation datasets to related ALLOCATE statements. The modifications in the newly-created member might be similar to the following example: ***************************** Top of Data ****************************** PROC 0 PANEL() ALLOC FI(SYSPROC) SHR DA( + 'ING.SINGIREX' + 'DGO.V5R1M0.SDGOEXEC' + 'CPAC.CMDPROC' + 'OS261270.SCPPCENU' ALLOC FI(ISPLLIB) SHR DA( + 'DGO.V5R1M0.SDGOLOAD' + 'ING.SINGIMOD' + 'DSN510.SDSNLOAD' + 'DSN510.RUNLIB.LOAD' + 'SYS1.DGTLLIB' ALLOC FI(ISPPLIB) SHR DA( + 'DSN510.SDSNSPFP' + 'ING.SINGIPNL' + 'DSN510.SDSNPFPE' ALLOC FI(ISPMLIB) SHR DA( + 'DSN510.SDSNSPFM' + 'ING.SINGIMSG' + 'QMF330.DSQMLIBE' ALLOC FI(ISPTLIB) SHR DA( + '&DSNAME' + 'ING.SINGITBL' + 'ING.USER.SC66A.AOFTABL' + 'SYS1.SERBT' ALLOC FI(ISPSLIB) SHR DA( + 'QMF330.DSQSLIBE' + 'ING.SINGISKL' + 'SYS1.SBLSKEL0' ALLOC FI(AOFTABL) SHR DA('ING.USER.SC66A.AOFTABL') ALLOC FI(AOFIPDB) SHR DA('ING.SINGIPDB') ALLOC FI(IHVCONF) SHR DA('ING.USER.SC66A.IHVCONF') Chapter 5. Customization of System Automation for OS/390 57
  • 72.
    Note Part of the System Automation datasets allocated are for reference use only. 5.1.3.2 Update ISPF panel After modifying the TSO logon procedure, update the master ISPF panel to include the System Automation dialog function. Therefore, modify the ISP@MSTR member in ISPF panel library to include the following statements: 1. INIT section $SA @SA @- System Automation dialog for ITSO TI3110 2. PROC section SA,’CMD(%INGDLG SELECT(ADMIN) ALLOCATE(NO))’ After completing modifications to the TSO logon procedure and the ISPF panel, the next time you log on to TSO and enter into the new TSO logon procedure, the new TSO/ISPF master menu will appear as demonstrated in Figure 5. Master Application Menu - SC66 Opt => Sc => PAGE USERID - GAO Enter SESSION MANAGER Mode ===> NO (YES or NO) TIME - 12:07 SA SA - System Automation dialog for ITSO TI3110 CN CONS - Console Display and Search Facility CP CPSM - CICSPlex SM 1.4 *NEW with CICS TS 1.3* EJ EJES - A JES3 Spooler Interface - (E)JES (Phoenix Software) HC HCD - Hardware Configuration Definition IH IHV - ESCON Manager IP IPCS - Interactive Problem Control Facility IS ISMF - Interactive Storage Management Facility LR LOGREC - Interactive LOGR (CF) LOGREC Viewer OL OPERLOG - Interactive OPERLOG (Syslog) Browser OP OPC - Operations Planning and Control / ESA P PDF - ISPF/Program Development Facility R RACF - Resource Access Control Facility SD SDSF - System Display and Search Facility SJ J3SD - System Display and Search Facility (JES3) F1=HELP F2=SPLIT F3=END F4=RETURN F5=RFIND F6=RCHANGE F7=UP F8=DOWN F9=SWAP F10=LEFT F11=RIGHT F12=RETRIEVE Figure 5. Master TSO/ISPF panel. 58 Automation Using Tivoli NetView OS/390 V1R3 and System Automation OS/390 V1R3
  • 73.
    5.2 Usage ofsystem symbolics and System Automation synonyms In the ITSO project environment, the three systems, SC66, SC42, and SC69, were the OS/390 system objects. There are several common policies and characteristics among these systems, which prove the benefits of using symbolics and simplify system definitions and maintenance. As for system symbolics, Table 21 lists the symbolics used during this ITSO project. Table 21. System symbolics used in the ITSO project SYMBOLIC COMMENTS &SYSNAME. System name, for example, SC66, SC42 or SC69. &SYSCLONE. System identifier. It is defined as the last 2 digits of SYSNAME, for example, 66,42, or 69. In addition to these system symbolics, NetView clone synonyms and System Automation message automation table synonyms help to decrease duplicated policy and object definitions. Some NetView clone synonyms were used based on system symbolics. Some System Automation synonyms were used, as well, for message automation table references. A summary of the different synonyms used for the Automation NetView and System Automation is shown in Table 22 and Table 23. The first table lists the most important NetView clone synonym used in this ITSO project. Using &DOMAIN., instead the hard-coded NetView domain name, enables usage of the member, AOFMSGSY, in a shared DSIPARM library. Table 22. NetView clone synonym used in the ITSO project SYNONYM NAME COMMENTS &DOMAIN. NetView domain name, for example, SC66A, SC42A, or SC69A. This synonym is defined in the start-up procedure of the specific NetView. Chapter 5. Customization of System Automation for OS/390 59
  • 74.
    Table 23 onpage 60 lists the System Automation message automation table synonyms used in this ITSO project. Table 23. SA message automation table synonyms used in the ITSO project SYNONYM NAME COMMENTS &AOFDOM. NetView domain name, for example, SC66A for focal point system. SC42A and SC69A are for target systems. This synonym is defined in the SA member AOFMSGSY. &AOFSYS. System name, for example, SC66 for focal point system. SC42 and SC69 are for target systems. This synonym is defined in the SA member AOFMSGSY. &AOFVTAMJOB. VTAM job name defined in the SA member AOFMSGSY. &AOFLOADERJOB. RODM loader job name defined in the SA member AOFMSGSY. 5.3 Defining all systems and objects to System Automation This section describes the definition of all systems and the focal point structure and their dependencies. The following steps describe how to enter the necessary systems, their descriptions, and attributes: 1. Starting the System Automation policy database dialog 2. Creating a new System Automation policy database 3. Entering all systems and objects 4. Building the SA Automation control file (ACF) 5. Building the RODM load statements It is important to notice that the System Automation policy database for the entire enterprise should be filled with all the object information that System Automation uses. This ensures the best overall control and maintenance if everything is defined using the System Automation customization dialog. Therefore, a thoughtful planning for creation of the object hierarchy and how to group the resources will have a great impact on how powerful the System Automation for OS/390 graphic interface will be. The chart in Figure 6 exemplifies the hierarchy for the various System Automation objects used in this ITSO project. It was decided to group the systems by geographical region and the type of applications. 60 Automation Using Tivoli NetView OS/390 V1R3 and System Automation OS/390 V1R3
  • 75.
    Figure 6. ITSOEnterprise hierarchy in the System Automation Policy DB 5.3.1 Starting the System Automation policy database dialog To start the System Automation policy database dialog panel shown in Figure 7, either: • Select SA from TSO/ISPF master panel as shown in Figure 5 on page 58 Chapter 5. Customization of System Automation for OS/390 61
  • 76.
    or • Enter the following TSO command from the ISPF command line panel: INGDLG SELECT(ADMIN) ALLOCATE(NO) SA OS/390 PolicyDB Selection Select an entry Command ===> ________________________________________________ SCROLL===> PAGE Action PolicyDB Name Enterprise Name/Data Set Name ******************************* Bottom of data ******************************* F1=HELP F2=SPLIT F3=END F4=RETURN F5=RFIND F6=RCHANGE F7=UP F8=DOWN F9=SWAP F10=LEFT F11=RIGHT F12=RETRIEVE Figure 7. System Automation PolicyDB Entrance panel 5.3.2 Creating a new System Automation policy database The following steps are used to create a new System Automation policy database: a. Issue the NEW command on the ISPF panel command line. On the ISPF panel that appears, enter the following fields and continue with PF8 to the next screen: b. PolicyDB Name: <choose a unique name> c. Enterprise name: <choose a unique name> d. Data Set name: <for example, NETVUSER.SA.POLICYDB> e. Model PolicyDB Name: <for example, *SYSPLEX> Figure 8 on page 63 shows the ITSO project definitions. To use the model of a single or other PolicyDB, enter ‘?’ on the Model PolicyDB name, which prompts the user for additional choices in selecting the Model PolicyDB type. 62 Automation Using Tivoli NetView OS/390 V1R3 and System Automation OS/390 V1R3
  • 77.
    SA OS/390 Createa New Policy Database Command ===> To define a new policy database, specify the following information: PolicyDB Name. . . . . . ITSO_ENTERPRISE Enterprise Name. . . . . ITSO_ENTERPRISE Data Set Name. . . . . . 'NETVUSER.SA.POLICYDB' More: + Managed storage. . . . . NO YES NO Management class . . . . Blank for default management class * Storage class. . . . . . Blank for default storage class * Volume serial. . . . . Blank for authorized default volume Data class . . . . . . . Blank for default data class * Space units. . . . . . CYLINDERS CYLS TRKS BLKS KB MB Primary quantity . . . 1 1 to 999 - In above units Secondary quantity . . 1 0 to 999 - In above units Directory blocks . . . 50 1 to 999 or blank - Required for PDS Record format. . . . : FB Record length. . . . : 80 Block size . . . . . . 3120 Data Set Name type . . PDS LIBRARY PDS * Device Type. . . . . . SYSDA * Used only if Managed storage = YES Specify one of the existing policy databases to serve as the model for the policy database that is being created: Model PolicyDB name. . . *SYSPLEX PolicyDB name or "?" for list of names F1=HELP F2=SPLIT F3=END F4=RETURN F5=RFIND F6=RCHANGE F7=UP F8=DOWN F9=SWAP F10=LEFT F11=RIGHT F12=RETRIEVE Figure 8. Creating Sysplex PolicyDB for the ITSO Environment When all data entry is completed, press PF3 to start the generation process of the System Automation policy database with default policy and object definitions according to the specified model PolicyDB. Figure 9 on page 64 shows all automated resources and resource policy objects that are generated. Select any resource definition on the left side, or any resource policy on the right side, by their item label. Chapter 5. Customization of System Automation for OS/390 63
  • 78.
    SA OS/390 EntryType Selection PolicyDB created Command ===> PolicyDB Name : ITSO_ENTERPRISE Enterprise Name : ITSO_ENTERPRISE Enterprise Resource Definitions Resource Policy Definitions More: + 1 Enterprise ( ENT ) 30 Timers ( TMR ) 2 Group ( GRP ) 31 Timeout Settings ( TMO ) 3 SubGroup ( SBG ) 32 Tape Attendance ( TPA ) 4 System ( SYS ) 33 MVS Component ( MVC ) 5 ApplicationGroup ( APG ) 34 MVSCOMP Defaults ( MDF ) 6 Application (*) ( APL ) 35 System Defaults ( SDF ) 7 VolumeGroup ( VLG ) 36 Application Defaults ( ADF ) 8 Volume ( VOL ) 37 Auto Operators ( AOP ) 9 OperatorView ( OPV ) 38 Auto Msg Classes ( AMC ) 10 Processor ( PRO ) 39 Network ( NTW ) 11 Communications Path ( CMP ) 40 NNT Sessions ( NNT ) 41 Resident CLISTs ( RES ) F1=HELP F2=SPLIT F3=END F4=RETURN F5=RFIND F6=RCHANGE F7=UP F8=DOWN F9=SWAP F10=LEFT F11=RIGHT F12=RETRIEVE Figure 9. System Automation Entry Type Selection panel This base System Automation policy database dialog screen allows you to create and enter all resource objects and their specific policy rules. 5.3.3 Entering all systems and objects The following examples will show how to enter the necessary information about the ITSO project environment into the System Automation policy database. It is recommended to enter the data in the following sequence: • 6 - Application • 5 - ApplicationGroup • 4 - System • 3 - SubGroup • 2 - Group 5.3.3.1 Creating applications In System Automation terms, an application is either an OS/390 subsystem, started task, application, batch job, or non-OS/390 resource that runs on a system in the OS/390 enterprise environment. The application definitions for automation include: • Application name 64 Automation Using Tivoli NetView OS/390 V1R3 and System Automation OS/390 V1R3
  • 79.
    • Object type(class or instance) • Application mode (online or batch) • Application type (STANDARD, JES2, or JES3) • The name of procedure that runs the job • Service warning and alert thresholds • Automation definition and policy From the System Automation main menu, as shown in Figure 9 on page 64, select Option 6 or APL. An application dialog will be displayed as shown in Figure 10. SA OS/390 Entry Selection Row 1 to 13 of 26 Command ===> SCROLL===> PAGE Entry Type : Application PolicyDB Name : ITSO_ENTERPRISE Enterprise Name : ITSO_ENTERPRISE Action Entry Name C Short Description *SYSTEM Special system job APPC APPC/MVS automation policy ASCH ASCH automation policy DEFAULTS Application default policy GMFHS Graphical Monitoring Facility definition INGERMFB RMF batch enquirer definition INGESO Automation NetView definition INGESSI NetView subsystem interface IO_HEARTBEAT_TASK I/O exception monitoring heartbeat IO_MON_EVENTPROC I/O exception monitoring event analyzer IO_MON_MSGPROC I/O monitoring message processing task IO_MON_QUERYPROC I/O exception monitoring query task IO_OPERATIONS I/O Operations functions main component F1=HELP F2=SPLIT F3=END F4=RETURN F5=RFIND F6=RCHANGE F7=UP F8=DOWN F9=SWAP F10=LEFT F11=RIGHT F12=RETRIEVE Figure 10. Application Entry Selection panel There are two types of applications to select: • Class The application class is designed for applications that inherit a common policy. If there are multiple applications owning generic policies, a class can be created for these types of applications to allow for easy definitions of application instances. Using application classes will minimize the maintenance workload when updating or changing something in the System Automation policy database. • Instance Chapter 5. Customization of System Automation for OS/390 65
  • 80.
    The application instancedefinition is used when the application will be managed by OS/390. The policy items omitted for an application instance will be inherited from the application class associated with this type of application instance. A policy item specified for an instance will override any application class specification. In the ITSO project environment, there are two NetView subsystems on each system, one for network environment, and another for system automation environment. Both NetViews have the common start-up, WTOR messages, and shutdown policy. Therefore, a class application called NETVIEW_CLASS was defined for both NetViews, allowing them to share one CLASS for those policies common to both. Since start-up, WTOR messages, and shutdown policies are defined in the CLASS, there is no need to define them when defining the NetView instances for AON and System Automation. The next section will detail how to create a CLASS in the policy database, and how to apply class to an instance application. On the SA application selection panel, enter the NEW command on the command line to go to the panel that is shown in Figure 11. SA OS/390 Define New Entry Command ===> To define a new entry, specify the following information: Type. . . . . . . . . . Application Application Name. . . . NETVIEW_CLASS Subsystem Name. . . . . NETVIEW_CL ------------------------------------------------------------------------------ More: + Object Type . . . . . . CLASS CLASS INSTANCE Application Type . . . STANDARD STANDARD JES2 JES3 (These values cannot be changed after) (the application has been created ) INFOBridge Resource . . Application Mode. . . . BATCH BATCH ONLINE Clone Job Name. . . . . NO YES NO Job Name. . . . . . . . Scheduling Subsystem. . MSTR, JES Subsystem or blank ------------------------------------------------------------------------------ F1=HELP F2=SPLIT F3=END F4=RETURN F5=RFIND F6=RCHANGE F7=UP F8=DOWN F9=SWAP F10=LEFT F11=RIGHT F12=RETRIEVE Figure 11. Define Application Entry panel On the Object Type field, choose CLASS to define this class application. 66 Automation Using Tivoli NetView OS/390 V1R3 and System Automation OS/390 V1R3
  • 81.
    Note It is important to notice that, in the class application definition, the Job Name field should be left empty, or it will be valid for all application instances of this applications class. Press PF3 to quit to application selection panel as shown in Figure 12 on page 67. The following steps will define Automation Info, Messages, and Shutdown policy items. These items will be inherited by the applications instances associated to this application class. SA OS/390 Policy Selection Row 1 to 13 of 15 Command ===> SCROLL===> CSR Entry Type : Application PolicyDB Name : ITSO_ENTERPRISE Entry Name : NETVIEW_CLASS Enterprise Name : ITSO_ENTERPRISE Action Policy Name Policy Description DESCRIPTION Enter description LINK TO INSTANCES Link class to instances APPLICATION INFO Enter and display Application information INFO BRIDGE Enter INFO Bridge resource name RMF Enter RMF objectives and reporting criteria AUTOMATION INFO Define Application automation information AUTOMATION FLAGS Define Application automation flags MESSAGES Define Application messages SHUTDOWN Define shutdown procedures THRESHOLDS Define error thresholds RESTART Define commands executed at restart MINOR RESOURCES Define Application sub-component flags SYSTEM ASSOCIATION Define primary and secondary associations TRIGGER Select Application trigger Figure 12. SA OS/390 Application Policy Selection panel The following options can be customized in an application class. Application Info: Enter or modify application mode (batch or online) and the MVS application or job name by using the replication capability to generate the application name. Automation Info: This policy item is used to define the application to System Automation automation and will be used to define job type, system name, Parent, start option, and restart option. Automation Flags: Automation flags allow the user to enable and disable automation and can also enable or disable automation for specific automation phases. Chapter 5. Customization of System Automation for OS/390 67
  • 82.
    Messages: This policyitem allows the user to specify automated actions, such as the issuing of a command or reply, to be taken in response to a message issued by the application. Shutdown: Specifies normal shutdown commands for any application using System Automation. Thresholds: Error threshold definitions for applications to define how many abend errors may occur before a message is logged, or a restart process is stopped. Minor Resources: This policy is used to define minor resources for an application. System Association: This policy item is used to define the primary and secondary system for the application. Trigger: Each application may be linked to one or more trigger(s) that control the start-up or shutdown. Creating automation Info for an application class Select Automation Info from the panel, which is shown in Figure 12, and the Application Automation Definition panel will be displayed as shown in Figure 13 on page 69. Enter the JobType and the additional definitions that might be necessary for this application class. Keep in mind that this is a class definition that will be valid for other application instances. The following fields are contained in this automation info Panel: • Job type Can be set to MVS, NOMVS, or TRANSIENT. As a standard MVS start procedure, use MVS for this class definition. • Startup This field specifies how the application will be started. • Edit startup Select YES if using extra parameters. For this example, it will be keep the default. • Restart option This field defines the circumstances under which the application should be restarted. In this example, it will be used ALWAYS. 68 Automation Using Tivoli NetView OS/390 V1R3 and System Automation OS/390 V1R3
  • 83.
    SA OS/390 ApplicationAutomation Definition Top of data Command ===> Entry Type : Application PolicyDB Name : ITSO_ENTERPRISE Entry Name : NETVIEW_CLASS Enterprise Name : ITSO_ENTERPRISE Subsystem : NETVIEW_CL Description : Netview Defaults Job Name : More: + JobType . . . . . . MVS (MVS NONMVS TRANSIENT) Transient Rerun . . Transient Jobtype can be rerun (YES or NO) Command Prefix . . Console command character(s) Sysname . . . . . . SC66 JES Sysname Figure 13. Automation Info for Class Application Creating shutdown policy for an application class Select Shutdown from the panel, which is shown in Figure 12 on page 67, and the Subsystem Shutdown Processing panel will be displayed as shown in Figure 14 on page 70. The following panels define the shutdown commands for the example application class NetView for OS/390. There are four levels of shutdown commands that may be used: 1. INIT Enter commands and/or replies to be executed before a shutdown is actually initiated, for example, sending warning information to users. 2. NORM Enter the commands and replies that perform a normal shutdown of the subsystem. 3. IMMED Enter the commands that perform an immediate shutdown of the subsystem. 4. FORCE Enter the commands and replies that perform a forced stop of the subsystem (class) without any delay. The following panels illustrate examples for the NetView application class. First, Figure 14 on page 70 shows the Subsystem Shutdown Processing panel, followed by one Shutdown Reply Processing panel for the normal Chapter 5. Customization of System Automation for OS/390 69
  • 84.
    shutdown reply sequence,and one Shutdown Command Processing panel for the immediate shutdown commands. Using the commands CMD or REP at the Actions column of the specific shutdown procedure will enter the appropriate data entry panel. SA OS/390 Subsystem Shutdown Processing Command ===> Entry Type : Application PolicyDB Name : ITSO_ENTERPRISE Entry Name : NETVIEW_CLASS Enterprise Name : ITSO_ENTERPRISE Subsystem : NETVIEW_CL Description : Netview Defaults To specify automated commands or replies when shutting down this subsystem, enter the appropriate action for the particular shutdown type. Actions: CMD = Command REP = Reply Action Type Description CMD REPLY INIT Executed when shutdown initiated REP NORM Executed when normal shutdown invoked 2 IMMED Executed when immediate shutdown invoked FORCE Executed when force shutdown invoked Figure 14. SA 0S/390 Application Subsystem Shutdown Processing panel When entering the Shutdown Reply Processing panel, enter the Pass and Reply Text fields with the commands that will be issued in a normal shutdown procedure as shown in Figure 15 on page 71. 70 Automation Using Tivoli NetView OS/390 V1R3 and System Automation OS/390 V1R3
  • 85.
    SA OS/390 ShutdownReply Processing Row 1 to 5 of 22 Command ===> SCROLL===> CSR Entry Type : Application PolicyDB Name : ITSO_ENTERPRISE Entry Name : NETVIEW_CLASS Enterprise Name : ITSO_ENTERPRISE Subsystem: NETVIEW_CL Shutdown Type: NORM Enter the replies to be issued when the selected shutdown type is invoked for this subsystem. Pass Retry Reply Text Count 1 _____ CLOSE IMMED____________________________________________ 2 _____ CLOSE IMMED____________________________________________ Figure 15. SA OS/390 Application Shutdown Reply Processing panel When entering the Shutdown Command Processing panel, use the common System Automation symbolic &SUBSJOB to substitute the subsystem name. This variable will be resolved to the specific subsystem name when application instances are generated. SA OS/390 Shutdown Command Processing Row 1 to 6 of 23 Command ===> SCROLL===> CSR Entry Type : Application PolicyDB Name : ITSO_ENTERPRISE Entry Name : NETVIEW_CLASS Enterprise Name : ITSO_ENTERPRISE Subsystem: NETVIEW_CL Shutdown Type: IMMED Enter commands to be executed when the selected shutdown type is invoked for this subsystem. Pass Automated Command Text Function 1 MVS P &SUBSJOB 2 MVS C &SUBSJOB 3 MVS FORCE &SUBSJOB,ARM Figure 16. SA OS/390 Application Shutdown Command Processing panel Automation Flags System Automation sets the Automation Flags to default values, which should be kept to enable automation and ensure best performance. The following step is only necessary if Automation Flags for specific resources are to be Chapter 5. Customization of System Automation for OS/390 71
  • 86.
    changed from theirdefault settings. If the main Automation Flag is set to NO, it disables the effect of the remaining Automation Flags. The following Automation Flags for the application class can be specified: • Automation • Recovery • Start • Shutdown • Initstart • Restart To check the Automation Flags, select the menu item Automation Flags on the main Application Policy Selection panel as shown in Figure 12 on page 67, and it displays the Flag Automation Specification panel illustrated in Figure 17. SA OS/390 Flag Automation Specification Command ===> Entry Type : Application PolicyDB Name : ITSO_ENTERPRISE Entry Name : NETVIEW_CLASS Enterprise Name : ITSO_ENTERPRISE Resource: NETVIEW_CL Enter level of automation desired. Automation Flags: Y = Yes N = No E = Exits Assist Flags: D = Display L = Log N = None Actions Flag Auto Assist Automation . _____ _____ Recovery . . _____ _____ Start. . . . _____ _____ ShutDown . . _____ _____ Initstart. . _____ _____ Restart. . . _____ _____ Enter or Display times to disable automation . . NO Yes No Figure 17. SA OS/390 Flag Automation Specification panel In the ITSO environment, the Automation and Recovery flags were kept to the default value of blank. The System Automation menu may also be used to manually define and display automation flags in the System Automation NetView. 72 Automation Using Tivoli NetView OS/390 V1R3 and System Automation OS/390 V1R3
  • 87.
    Using link toapplication instances After completing the application class definitions for start-up, shutdown, and automation and recovery flags, link this application class to the appropriate application instances that will inherit these application class policy definitions. This newly created application class, NETVIEW_CLASS, was linked to the application instances of the networking and automation NetView. If these application instances have already been defined, select the option Link To Instance on the main Application Policy Selection panel as shown in Figure 12 on page 67. The following panel (Figure 18) is a sample screen of the ITSO application instances linked to their application classes. SA OS/390 Link Class to Instances Row 10 to 16 of 23 Command ===> SCROLL===> PAGE Entry Type : Application PolicyDB Name : ITSO_ENTERPRISE Entry Name : NETVIEW_CLASS Enterprise Name : ITSO_ENTERPRISE Action Status Entry Name SELECTED NETWORK_NETVIEW Currently linked to. . NETVIEW_CLASS NETWORK_NETVIEW_SSI Currently linked to. . GENERIC_CLASS NETWORK_RODM Currently linked to. . RODM_CLASS PROCESSOR_OPERATIONS Currently linked to. . SAOS390_GMFHS Currently linked to. . GMFHS_CLASS SELECTED SAOS390_NETVIEW Figure 18. Link Application Class to NetView instances An application instance is a subsystem, started task, or application that can operate on OS/390. An application instance is created practically by using the same procedure as for application classes with the exception of the keyword INSTANCE instead of CLASS as shown in Figure 11 on page 66. As a practical example within the ITSO project, the application instance SAOS390_NETVIEW was chosen to be automated. This application instance will inherit the policy features defined in the application class NETVIEW_CLASS. The following illustrates the ease of an application instance creation using application class association. Issue the command, NEW SAOS390_NETVIEW, on the command line of the Entry Selection panel for applications as shown in Figure 19 on page 74. Chapter 5. Customization of System Automation for OS/390 73
  • 88.
    SA OS/390 EntrySelection Row 10 to 22 of 29 Command ===> NEW SAOS390_NETVIEW SCROLL===> CSR Entry Type : Application PolicyDB Name : ITSO_ENTERPRISE Enterprise Name : ITSO_ENTERPRISE Action Entry Name C Short Description LLA LLA automation policy NETVIEW_CLASS * Netview Defaults NETVSA Automation NetView definition NETWORK_GMFHS Network GMFHS NETWORK_NETVIEW Network Netview NETWORK_NETVIEW_SSI Network Netview Interface NETWORK_RODM Network RODM PROCESSOR_OPERATIONS Processor Operations functions RODM_CLASS * RODM Defaults SAOS390_GMFHS System Automation GMFHS SAOS390_NETVIEW_SSI System Automation Netview Interface SAOS390_RODM RODM automation policy Figure 19. SA OS/390 Application Entry Selection panel On the Define New Entry panel for applications, the following values and symbols were entered in our scenario: 1. Subsystem Name: NETVSA 2. Clone Job Name (Instance): YES 3. Job Name: NETV&AOCCLONE.A Using this clone variable will allow that this definition can be shared for all the systems that will run the System Automation Netview. To use this variable it is necessary to change the field Clone Job Name for the instance to YES. In the ITSO environment, the System Automation NetView Job Names were NETV66A, NETV69A, and NETV42A, and the &AOCCLONE. variable was set to contain the two digit of the OS/390 system identifier. 74 Automation Using Tivoli NetView OS/390 V1R3 and System Automation OS/390 V1R3
  • 89.
    SA OS/390 DefineNew Entry Command ===> To define a new entry, specify the following information: Type. . . . . . . . . . Application Application Name. . . . OS390_NETVIEW Subsystem Name. . . . . NETVSA ------------------------------------------------------------------------------ More: + Object Type . . . . . . INSTANCE CLASS INSTANCE Application Type . . . STANDARD STANDARD JES2 JES3 (These values cannot be changed after) (the application has been created ) INFOBridge Resource . . Application Mode. . . . BATCH BATCH ONLINE Clone Job Name. . . . . YES YES NO Job Name. . . . . . . . NETV&AOCCLONE.A Scheduling Subsystem. . MSTR, JES Subsystem or blank ------------------------------------------------------------------------------ Figure 20. SA OS/390 define new entry panel for applications End defining the new application instance with PF3 and select the Automation Info option to define the parent subsystem. SA OS/390 Policy Selection Row 1 to 13 of 17 Command ===> SCROLL===> CSR Entry Type : Application PolicyDB Name : ITSO_ENTERPRISE Entry Name : SAOS390_NETVIEW Enterprise Name : ITSO_ENTERPRISE Action Policy Name Policy Description DESCRIPTION Enter description LINK TO CLASS Link instance to class APPLICATION INFO Enter and display Application information INFO BRIDGE Enter INFO Bridge resource name RMF Enter RMF objectives and reporting criteria S AUTOMATION INFO Define Application automation information AUTOMATION FLAGS Define Application automation flags MESSAGES Define Application messages SHUTDOWN Define shutdown procedures THRESHOLDS Define error thresholds RESTART Define commands executed at restart MINOR RESOURCES Define Application sub-component flags SYSTEM ASSOCIATION Define primary and secondary associations Figure 21. SA OS/390 Policy Selection panel for applications Enter the System Automation SSI subsystem name, SSISA, in the Application Automation Definition panel as the Parent subsystem and return with PF3. Chapter 5. Customization of System Automation for OS/390 75
  • 90.
    SA OS/390 ApplicationAutomation Definition Command ===> Entry Type : Application PolicyDB Name : ITSO_ENTERPRISE Entry Name : SAOS390_NETVIEW Enterprise Name : ITSO_ENTERPRISE Subsystem : NETVSA Description : System Automation Netview Job Name : NETVSA&AOCCLONE. More: + JobType . . . . . . (MVS NONMVS TRANSIENT) Transient Rerun . . Transient Jobtype can be rerun (YES or NO) Command Prefix . . Console command character(s) Sysname . . . . . . JES Sysname Parent(s) . . . . . SSISA Enter one or more parents (above) Start on IPL . . . . Started after IPL (YES NO NONE blank) Figure 22. SA OS/390 Application Automation Definition panel The last step is to link this application instance to the application class previously defined. Select the Link To Class option on the Policy Selection panel for the application and select the appropriate application class. SA OS/390 Link Instance to Class Row 1 to 4 of 4 Command ===> SCROLL===> CSR Entry Type : Application PolicyDB Name : ITSO_ENTERPRISE Entry Name : SAOS390_NETVIEW Enterprise Name : ITSO_ENTERPRISE Action Status Entry Name GENERIC_CLASS GMFHS_CLASS SELECTED NETVIEW_CLASS RODM_CLASS ******************************* Bottom of data ******************************** Figure 23. SA OS/390 Application Link Instance to Class panel The definition process for the System Automation NetView is completed. All the others definitions will be inherited from the application class NETVIEW_CLASS. The same application instance definition process has to be executed to define the networking NetViews to the System Automation policy database. 76 Automation Using Tivoli NetView OS/390 V1R3 and System Automation OS/390 V1R3
  • 91.
    5.3.3.2 Creating anapplication group An application group is a set of applications to which a name is assigned. There are two types of application groups: 1. System application groups Set of applications that reside on only one OS/390 system image. 2. Sysplex application groups Set of applications that reside on multiple OS/390 system images within a sysplex configuration. When defining an application group as a sysplex application group, specify the sysplex group name to which it belongs. A sysplex application group can be associated with only one sysplex group. Note A sysplex application group can not be associated with a system group. From the main System Automation Entry Type Selection panel, as shown in Figure 9 on page 64, select 5 or APG for ApplicationGroup. The Entry Selection panel for application groups displayed in Figure 24 will appear. SA OS/390 Entry Selection Row 1 to 6 of Command ===> NEW SCROLL===> PAG Entry Type : ApplicationGroup PolicyDB Name : ITSO_ENTERPRISE Enterprise Name : ITSO_ENTERPRISE Action Entry Name C Short Description APPLL_GROUP_01 Application group 01 DEFAULTS ApplicationGroup default policy OPERATIONS Operations components SAG_APPL Real APG to mirror the Sysplex APG SYSPLEX_APPLGROUP Sysplex application group SYSTEM Special system ApplicationGroup ******************************* Bottom of data ****************************** Figure 24. SA OS/390 Application Group Entry Selection panel Default application groups are available, but in the ITSO project scenario, it was decided to create one generic system application group for each of the three systems, regardless of its function as focal point or target system. In addition to these generic system application groups, one specific system application group for the focal point system was created. Chapter 5. Customization of System Automation for OS/390 77
  • 92.
    The following systemapplication groups were defined in the sample ITSO System Automation policy database: • Network • Operations • SA_OS390 • SC42_Generic • SC66_Generic • SC69_Generic Entering the NEW command in the command line of the Entry Selection panel for application groups brings up the Define New Entry panel for application groups as shown in Figure 25. SA OS/390 Define New Entry Command ===> To define a new entry, specify the following information: Type . . . . . . . . . . ApplicationGroup Name . . . . . . . . . . OPERATIONS Application Group Type . SYSTEM SYSTEM SYSPLEX ------------------------------------------------------------------------------ More: + Short Description. . . . Extended Description . . . . . . . . . . Figure 25. SA OS/390 Application Group Define New Entry panel Since the set of applications for each particular application group resides on the same OS/390 system in the ITSO environment, select SYSTEM on the Application Group Type field and name the individual application group using the Name field. Complete the operation by pressing PF3. It appears the Policy Selection panel for application groups as shown in Figure 26 on page 79. 78 Automation Using Tivoli NetView OS/390 V1R3 and System Automation OS/390 V1R3
  • 93.
    Note If the applications of the particular application group reside on the multiple OS/390 systems within the sysplex configuration, use SYSPLEX in the Application Group Type field. SA OS/390 Policy Selection Row 1 to 9 of 9 Command ===> SCROLL===> PAGE Entry Type : ApplicationGroup PolicyDB Name : ITSO_ENTERPRISE Entry Name : OPERATIONS Enterprise Name : ITSO_ENTERPRISE Action Policy Name Policy Description DESCRIPTION Enter description APPLGROUP INFO Display ApplicationGroup information S APPLICATIONS Select Applications for ApplicationGroup -------------------- --------------------------------------------- WHERE USED List Systems linked to this entry USED IN VIEWS List OperatorViews linked to this entry COPY Copy data from existing entry -------------------- --------------------------------------------- PROPAGATION THRESH Define thresholds for propagation of status ******************************* Bottom of data ******************************** Figure 26. SA OS/390 Application Group Policy Selection panel Select the option Applications, and the Applications for ApplicationGroup panel is displayed as shown in Figure 27 on page 80. Add or remove applications from the selection screen. APPC, ASCH, JES2, LLA, TCPIP, VLF, TSO, and VTAM were added into the system application group OPERATIONS. Other applications may be selected in other application groups. Chapter 5. Customization of System Automation for OS/390 79
  • 94.
    SA OS/390 Applicationsfor Applica Row 1 to 13 of 25 Command ===> SCROLL===> PAGE Entry Type : ApplicationGroup PolicyDB Name : ITSO_ENTERPRISE Entry Name : OPERATIONS Enterprise Name : ITSO_ENTERPRISE Action Status Application *SYSTEM SELECTED APPC SELECTED ASCH GMFHS IO_OPERATIONS SELECTED JES2 SELECTED LLA SAOS390_GMFHS SAOS390_NETVIEW SAOS390_NETVIEW_SSI SAOS390_RODM SAOS390_RODM_DM SELECTED TCPIP TEST TESTJOB1 SELECTED TSO SELECTED VLF SELECTED VTAM ******************************* Bottom of data ******************************** Figure 27. SA OS/390 Applications for Application Group panel 5.3.3.3 Creating a system A system is any host system in the System Automation enterprise, and its definition includes: • Description of the system, including physical location • Type of Operating System • Processor operations information • Details of which IBM automation products are operating on the system • Member application groups • NetView and OS/390-related information • Automation policy for the system From the main System Automation Entry Type Selection panel, as shown in Figure 9 on page 64, select 4 or SYS for System. The Entry Selection panel for systems, displayed in Figure 28 on page 81, will appear. 80 Automation Using Tivoli NetView OS/390 V1R3 and System Automation OS/390 V1R3
  • 95.
    SA OS/390 EntrySelection Row 1 to 6 of 6 Command ===> NEW SCROLL===> PAGE Entry Type : System PolicyDB Name : ITSO_ENTERPRISE Enterprise Name : ITSO_ENTERPRISE Action Entry Name C Short Description DEFAULTS System default policy SAMPLE_SYSTEM_01 Main focal point system definition SAMPLE_SYSTEM_02 Backup focal point system SAMPLE_SYSTEM_03 Target system 1 SAMPLE_SYSTEM_04 Target system 2 SAMPLE_SYSTEM_05 Sample Coupling Facility ******************************* Bottom of data ******************************* Figure 28. SA OS/390 System Entry Selection panel As a sysplex policy database model, five system image objects have already been created. The system, SAMPLE_SYSTEM_01, is the system object of the main focal point system, and the others are backup focal point or target systems. This is a sample sysplex architecture. In the ITSO project, three system objects were created for the System Automation environment. System SC66 will act as the focal point system, and the systems SC42 and SC69 are the target systems. To create new system entries, enter the NEW command on the command line of the Entry Selection panel. The Define New Entry panel, as shown in Figure 29 on page 82, will appear. Chapter 5. Customization of System Automation for OS/390 81
  • 96.
    SA OS/390 DefineNew Entry Top of data Command ===> To define a new entry, specify the following information: Type. . . . . . . . . . System Name. . . . . . . . . . SC66 More: + Operating system. . . . MVS MVS VM TPF VSE CF SNMP For MVS systems, you must specify at least the following information: MVS SYSNAME . . . . . . SC66 MVS system name Sys-Ops NetView Domain. SC66A Name of the NetView domain under which SA OS/390 Sys-Ops functions run For non-MVS systems, you must specify at least the following information if Enterprise Monitoring is to be used: Unique 5-character ID . Unique ID, different from any existing NetView domain name For SNMP systems, you must specify the following information: TCP/IP address. . . . . TCP/IP address of the system, in dotted notation Define system clone information (MVS systems only): Clone Id. . . . . . . . 66 &AOCCLONE. Clone Id 1. . . . . . . SC66 &AOCCLONE1. Clone Id 2. . . . . . . SC66A &AOCCLONE2. Clone Id 3. . . . . . . &AOCCLONE3. Clone Id 4. . . . . . . &AOCCLONE4. Clone Id 5. . . . . . . &AOCCLONE5. Clone Id 6. . . . . . . &AOCCLONE6. Clone Id 7. . . . . . . &AOCCLONE7. Clone Id 8. . . . . . . &AOCCLONE8. Clone Id 9. . . . . . . &AOCCLONE9. Enter the following NetView and Enterprise Monitoring information: Sys-Ops NetView Network Name. . . . . . . . . Network name for System Operations NetView domain (MVS systems only) INFOBridge Resource . . System name as known to INFOBridge System use. . . . . . . FOCALPOINT FOCALPOINT TARGET The following fields are for Heartbeat processing (MVS systems only): SA OS/390 or AOC/MVS Version and Release . SA13 SA13 (for SA OS/390 Rel.3), SV01 (for SA OS/390 Rel.2) or V1R4 (for AOC/MVS Rel.4) Heartbeat Interval. . . 5 1 - 60 (minutes) Missing Heartbeat Delay 30 1 - 3600 (seconds) The following field is for Processor Operations functions: ProcOps name. . . . . . SC66 Processor Operations name (non-SNMP systems only) Figure 29. SA OS/390 Define New System Entry panel 82 Automation Using Tivoli NetView OS/390 V1R3 and System Automation OS/390 V1R3
  • 97.
    This example screenshows the definitions for the automation focal point system: • SC66 as the System Object name • SC66A as System Automation NetView domain name System Automation clone symbolics must be defined in system objects to support the cloned application. Therefore, three clone symbolics were defined for each of the systems within the sysplex environment. In the example for the automation focal point system: 1. Clone Id: 66 1. Clone Id 1: SC66 1. Clone Id 2: SC66A Continue with PF8 to the second system definition and enter the ProcOps Name, which specifies the name of the system as known to processor operation functions. For the automation focal point system, the ProcOps Name, SC66, was used. When all system definitions are completed, continue with PF3 to enter the Policy Selection panel for system SC66 as shown in Figure 30 on page 84. The following list specifies the policy items for a system object: System Info: Specifies operating system type and system name for this system object. Application Groups: Specifies application groups, which are related to this system object. NetView: Specifies NetView-related details for this system object. Automation: Specifies automation products (RMF, OPC, SDSF) used with this system. Automation Console: Defines the MVS route codes and MCSFLAGS for this system. WTO messages are sent to the Automation Console. Automation Setup: Specifies details about the system environment for automation. Automation Timer: Displays a list of defined automation timer sets, thus, allowing the user to choose which set is to be associated with this system. Chapter 5. Customization of System Automation for OS/390 83
  • 98.
    Auto Operators: Displaya list of defined auto operators sets, thus, allowing the user to choose which set is to be associated with the system. Notify Operators: Specifies human NetView operators who receive a System Automation notification message. Processor Operations: Specifies information needed by System Automation processor operations. SA OS/390 Policy Selection System created Command ===> SCROLL===> PAGE Entry Type : System PolicyDB Name : ITSO_ENTERPRISE Entry Name : SC66 Enterprise Name : ITSO_ENTERPRISE Action Policy Name Policy Description DESCRIPTION Enter description LOCATION Enter System location S SYSTEM INFO Enter and display system information INFO BRIDGE Enter INFO Bridge resource name APPLICATION GROUPS Select ApplicationGroups for System VOLUME GROUPS Select VolumeGroups for System NETVIEW Enter NetView-related information AUTOMATION Enter automation-related installed products AUTOMATION CONSOLE Enter MVS route codes for notifications AUTOMATION SETUP Define system environment for automation MINOR RESOURCES Define sub-component flags AUTOMATION TIMERS Select Timers for System NNT SESSIONS Select NNT Sessions for System F1=HELP F2=SPLIT F3=END F4=RETURN F5=RFIND F6=RCHANGE F7=UP F8=DOWN F9=SWAP F10=LEFT F11=RIGHT F12=RETRIEVE Figure 30. SA OS/390 System Policy Selection panel System Info Select the SYSTEM INFO function to enter the System Information panel as shown in Figure 31 on page 85. 84 Automation Using Tivoli NetView OS/390 V1R3 and System Automation OS/390 V1R3
  • 99.
    SA OS/390 SystemInformation Command ===> Entry Type : System PolicyDB Name : ITSO_ENTERPRISE Entry Name : SC66 Enterprise Name : ITSO_ENTERPRISE More: + Update the following information: Operating system . . . . . MVS MVS VM TPF VSE CF SNMP Update the following MVS SYSNAME information (MVS systems only): MVS SYSNAME. . . . . . . . SC66 MVS system name Enter or update the following system clone information (MVS systems only): Clone Id . . . . . . . . . 66 &AOCCLONE. Clone Id 1 . . . . . . . . SC66 &AOCCLONE1. Clone Id 2 . . . . . . . . SC66A &AOCCLONE2. Clone Id 3 . . . . . . . . &AOCCLONE3. Clone Id 4 . . . . . . . . &AOCCLONE4. Clone Id 5 . . . . . . . . &AOCCLONE5. Clone Id 6 . . . . . . . . &AOCCLONE6. Figure 31. SA OS/390 System Information panel (1/2) Within the System Information panel, it is possible to define additional clone symbolics as already previously done at the System Definition panel. If System Automation is used to automate an application that runs on more than one OS/390 system in the sysplex environment, up to 10 Clone IDs can be defined for each system. These Clone ID values are automatically appended to the job name of a replicated application. Again, in the ITSO environment, there were three clone symbolics defined for each of the systems. For example, the following definitions were used for SC66: AOCCLONE = 66 AOCCLONE1 = SC66 AOCCLONE2 = SC66A Having defined these Clone IDs, all applications defined with the policy setting CLONE=YES are set to be cloned at load time of the Automation Control File (ACF). Continue with PF8 for the second System Information panel. Chapter 5. Customization of System Automation for OS/390 85
  • 100.
    SA OS/390 SystemInformation Command ===> Entry Type : System PolicyDB Name : ITSO_ENTERPRISE Entry Name : SC66 Enterprise Name : ITSO_ENTERPRISE More: - + Version and Release. . . SA13 SA13 (for SA OS/390 Rel.3), SV01 (for SA OS/390 Rel.2) or V1R4 (for AOC/MVS Rel.4) Heartbeat Interval . . . . 5 1 - 60 (minutes) Missing Heartbeat Delay. . 30 1 - 3600 (seconds) System use . . . . . . . . FOCALPOINT FOCALPOINT TARGET Update the following Enterprise Monitoring information for non-MVS systems: Unique 5-character ID. . . Unique ID, different from any existing NetView domain name Enter or update the following target system information for Processor Operations functions (non-SNMP systems only): ProcOps name . . . . . . . SC66 Processor Operations name F1=HELP F2=SPLIT F3=END F4=RETURN F5=RFIND F6=RCHANGE F7=UP F8=DOWN F9=SWAP F10=LEFT F11=RIGHT F12=RETRIEVE Figure 32. SA OS/390 System Information panel (2/2) The second System Information panel provides the following options to be set: • Heartbeat interval Specifies the time interval after which the SA system operations function sends a generic alert from this system to the automation focal point system. This parameter is used to verify the status forwarding path on the multiple systems within the sysplex environment. The default value is five minutes. • Missing heartbeat delay Specifies the time that the automation focal point system will wait after a heartbeat was expected. If this time expires without receiving the heartbeat, the automation focal point system will begin the missing heartbeat process for the target system. The default value is 30 seconds. • System use Specifies whether this system functions as focal point or target system. In the ITSO environment, the system object, SC66, is the automation focal point system, and the system objects, SC42 and SC69, are target systems. 86 Automation Using Tivoli NetView OS/390 V1R3 and System Automation OS/390 V1R3
  • 101.
    These system informationsettings are allowed to be tailored based according to individual environment requirements. Application Groups Select the Application Groups option on the main System Selection panel, which is shown in Figure 31 on page 85, to enter the following Application Groups Selection panel. SA OS/390 ApplicationGroups for Systems Row 1 to 8 of 8 Command ===> SCROLL===> PAGE Entry Type : System PolicyDB Name : ITSO_ENTERPRISE Entry Name : SC66 Enterprise Name : ITSO_ENTERPRISE Action Status ApplicationGroup SELECTED DBDC SELECTED NETWORK SELECTED OPERATIONS SELECTED SA_OS390 SC42_GENERIC SELECTED SC66_GENERIC SC69_GENERIC SELECTED SYSTEM ******************************* Bottom of data ******************************* F1=HELP F2=SPLIT F3=END F4=RETURN F5=RFIND F6=RCHANGE F7=UP F8=DOWN F9=SWAP F10=LEFT F11=RIGHT F12=RETRIEVE Figure 33. SA OS/390 ApplicationGroups for Systems panel This Application Groups Selection panel allows specifying the required Application Groups, as defined in Section 5.3.3.2, “Creating an application group” on page 77, for the particular system. NetView Select the NetView option on the main System Selection panel, which is shown in Figure 31 on page 85, to enter the following NetView Information panel. Chapter 5. Customization of System Automation for OS/390 87
  • 102.
    SA OS/390 NetViewInformation Command ===> Entry Type : System PolicyDB Name : ITSO_ENTERPRISE Entry Name : SC66 Enterprise Name : ITSO_ENTERPRISE You can specify the following NetView-related information about this system. Sys-Ops NetView Domain.. SC66A Name of the NetView domain under which SA OS/390 System Operations functions run Sys-Ops NetView Network Name. . . . . . . . . Network name for System Operations NetView domain Network NetView Domain. Name of the NetView domain under which network automation runs F1=HELP F2=SPLIT F3=END F4=RETURN F5=RFIND F6=RCHANGE F7=UP F8=DOWN F9=SWAP F10=LEFT F11=RIGHT F12=RETRIEVE Figure 34. SA OS/390 NetView Information for Systems panel This NetView Information panel allows specifying the required System Automation NetView domain name. In the ITSO environment, the field Sys-Ops NetView Domain for system SC66 was set to SC66A. Automation Console Select the Automation Console option on the main System Selection panel, which is shown in Figure 31 on page 85, to enter the following Console Definition panel illustrated in Figure 35 on page 89. The automation console defines how the Write To Operator (WTO) messages issued by System Automation should look. The logical MVS Console IDs can be identified by issuing the MVS command D C on the SDSF Log screen. 88 Automation Using Tivoli NetView OS/390 V1R3 and System Automation OS/390 V1R3
  • 103.
    SA OS/390 EnvironmentDefinition: CONSOLE (Route Codes) Command ===> Entry Type : System PolicyDB Name : ITSO_ENTERPRISE Entry Name : SC66 Enterprise Name : ITSO_ENTERPRISE Enter information and select S the route codes for SA OS/390 notifications. Console ID ==> 01 A Code Definition More: All Display ALL messages S 1 Master console action 2 Master console information 3 Tape pool 4 Direct access pool 5 Tape library 6 Disk library 7 Unit record pool 8 Teleprocessing control F1=HELP F2=SPLIT F3=END F4=RETURN F5=RFIND F6=RCHANGE F7=UP F8=DOWN F9=SWAP F10=LEFT F11=RIGHT F12=RETRIEVE Figure 35. SA OS/390 Automation Console Definition panel (1/2) The default logical MVS Console ID is 01, which was used within the ITSO environment. Select any route codes by selecting S on the list for Master console action and press Enter. SA OS/390 Environment Definition: CONSOLE (MCSFLAGS) Command ===> Entry Type : System PolicyDB Name : ITSO_ENTERPRISE Entry Name : SC66 Enterprise Name : ITSO_ENTERPRISE Select S the appropriate MCSFLAGS. A Flag Definition Number S 1 Send message conditionally to console 2 Send message unconditionally to console 3 Immediate command response (RESP) S 4 Reply to a WTOR (REPLY) S 5 Broadcast to all active consoles (BRDCST) 6 Queue for hard copy only (HDRCPY) Figure 36. SA OS/390 Automation Console Definition panel (2/2) The MCSFLAGS panel will be displayed for further specifications. The chosen settings in the ITSO environment shown in Figure 36 are: Chapter 5. Customization of System Automation for OS/390 89
  • 104.
    1. Send messagesconditionally to console 2. Reply to a WTOR 3. Broadcast to all active consoles Automation Timer Automation Timers are sets of scheduled timers that run commands or automation procedures at scheduled times. Create a new set of timers based on specific needs. For creation of new timer settings, enter option 30 or TMR on the System Automation main entry selection panel illustrated in Figure 9 on page 64. Refer to the System Automation for OS/390 V1R3 Customization, GC28-1566, for a detailed description. Select the Automation Timers option on the main System Selection panel, which is shown in Figure 31 on page 85, to enter the Timers for Systems panel shown below. SA OS/390 Timers for System Row 1 to 2 of 2 Command ===> SCROLL===> PAGE Entry Type : System PolicyDB Name : ITSO_ENTERPRISE Entry Name : SC66 Enterprise Name : ITSO_ENTERPRISE Action Status Timers SAMPLE_SHUTDOWN SELECTED SCHEDULED_AUTOMATION ******************************* Bottom of data ******************************* F1=HELP F2=SPLIT F3=END F4=RETURN F5=RFIND F6=RCHANGE F7=UP F8=DOWN F9=SWAP F10=LEFT F11=RIGHT F12=RETRIEVE Figure 37. SA OS/390 Timer for Systems panel On this selection panel, select SCHEDULED_AUTOMATION. MVS Component The MVS Component selection allows the user to apply automation to various OS/390 datasets, resources, and facilities. After defining a new MVS component, or using defaults, associate them with the specific system object. For creation of new MVS components, enter option 33 or MVS on the System Automation main entry selection panel illustrated in Figure 9 on page 64. 90 Automation Using Tivoli NetView OS/390 V1R3 and System Automation OS/390 V1R3
  • 105.
    Refer to theSystem Automation for OS/390 V1R3 Customization, GC28-1566, for a detailed description. Select the MVS Component option on the main System Selection panel, which is shown in Figure 31 on page 85, to enter the MVS Component for Systems panel. SA OS/390 MVS Component for System Row 1 to 1 of 1 Command ===> SCROLL===> PAGE Entry Type : System PolicyDB Name : ITSO_ENTERPRISE Entry Name : SC66 Enterprise Name : ITSO_ENTERPRISE Action Status MVS Component SELECTED MVS_COMPONENT ******************************* Bottom of data ******************************** F1=HELP F2=SPLIT F3=END F4=RETURN F5=RFIND F6=RCHANGE F7=UP F8=DOWN F9=SWAP F10=LEFT F11=RIGHT F12=RETRIEVE Figure 38. SA OS/390 MVS Component for Systems panel For the ITSO environment, the default MVS_COMPONENT was selected. Network When multiple OS/390 systems are integrated and require consolidated operations at one focal point system, use the focal point services to monitor and control the systems. The Network policy object enables you to: • Define paths for sending messages, commands, or responses • Define primary and backup focal point systems • Define Gateway sessions connecting systems • Define user Terminal Access Facility (TAF) • Define user NNT sessions For creation of the new Network policy objects, enter option 39 or NTW on the System Automation main entry selection panel illustrated in Figure 9 on page 64. Refer to the System Automation for OS/390 V1R3 Customization, GC28-1566, for a detailed description. Select the Network option on the main System Selection panel, which is shown in Figure 31 on page 85, to enter the following Network for Systems panel. Chapter 5. Customization of System Automation for OS/390 91
  • 106.
    SA OS/390 Networkfor System Row 1 to 2 of 2 Command ===> SCROLL===> PAGE Entry Type : System PolicyDB Name : ITSO_ENTERPRISE Entry Name : SC66 Enterprise Name : ITSO_ENTERPRISE Action Status Network SELECTED FOCAL_NETWORK TARGET_NETWORK ******************************* Bottom of data ******************************* F1=HELP F2=SPLIT F3=END F4=RETURN F5=RFIND F6=RCHANGE F7=UP F8=DOWN F9=SWAP F10=LEFT F11=RIGHT F12=RETRIEVE Figure 39. SA OS/390 Network for Systems panel For the ITSO environment, the Network policy objects FOCAL_NETWORK and TARGET_NETWORK have been created. For this particular focal point system SC66, select the FOCAL_NETWORK option, and for the target systems SC42 and SC69, select the option TARGET_NETWORK. Auto Operators Automation operators are automated operator tasks that can respond to messages from the operating system, applications, and the network environment without requiring a human interaction. This is necessary for system automation. Automation operators are assigned specific messages on which to react. During automated operations, the messages are routed to the appropriate operator by using the ASSIGN command. Create a new set of automation operators, or use the provided default set of automation operators, and link to the particular system object. Select the Auto Operator option on the main System Selection panel, which is shown in Figure 30 on page 84, to enter the following Auto Operators for Systems panel. 92 Automation Using Tivoli NetView OS/390 V1R3 and System Automation OS/390 V1R3
  • 107.
    SA OS/390 AutoOperators for System Row 1 to 6 of 6 Command ===> SCROLL===> PAGE Entry Type : System PolicyDB Name : ITSO_ENTERPRISE Entry Name : SC66 Enterprise Name : ITSO_ENTERPRISE Action Status Auto Operators BACKUP_OPERS SELECTED BASE_AUTOOPS BASE_AUTOOPS_IO SELECTED FOCAL_OPERS TARGET1_OPERS TARGET2_OPERS ******************************* Bottom of data ******************************* F1=HELP F2=SPLIT F3=END F4=RETURN F5=RFIND F6=RCHANGE F7=UP F8=DOWN F9=SWAP F10=LEFT F11=RIGHT F12=RETRIEVE Figure 40. SA OS/390 Auto Operator for Systems panel In the ITSO environment, the Auto Operators BASE_AUTOOPS and FOCAL_OPERS were selected for the focal point system SC66. Select the appropriate Auto Operators options on other system objects as needed. Notify Operators The Notify Operators option specifies which message types should be highlighted (held) on specific operator screens. The options are: • Which operator should receive highlighted (held) notifications • What kind of messages are to be highlighted (held) for the operator: - Information - Eventual action - Immediate decision - System wait - Immediate action Select the Notify Operators option on the main System Selection panel, which is shown in Figure 30 on page 84, to enter the following Operator Notification panel. Chapter 5. Customization of System Automation for OS/390 93
  • 108.
    SA OS/390 OperatorNotification Row 1 to 3 of 21 Command ===> SCROLL===> PAGE Entry Type : System PolicyDB Name : ITSO_ENTERPRISE Entry Name : SC66 Enterprise Name : ITSO_ENTERPRISE Enter operator information and select message type(s) to be held on screen. Action : S = Select for message class assignment Notify: Yes or No Messages: S = Select messages to be held A Operator Operator Notify ---------- Messages ------------ ID Description Information Eventual Action Immediate Decision System Wait Immediate Action S ITSO1 YES S S S S S F1=HELP F2=SPLIT F3=END F4=RETURN F5=RFIND F6=RCHANGE F7=UP F8=DOWN F9=SWAP F10=LEFT F11=RIGHT F12=RETRIEVE Figure 41. SA OS/390 Operator Notification for Systems panel Assuming the NetView operator, ITSO1, is the responsible operator, specify the Notify option for ITSO1 to YES and select the appropriate message type to be highlighted (held) with S in the specific message column. After completion of this Operator Notification panel, the user will be prompted to specify a Message Class option. Set the response to ALL console automation messages. 5.3.3.4 Creating a subgroup A subgroup is an intermediary grouping of systems within a larger group. Define a subgroup to a system object by selecting a member system and assigning the name of the subgroup. Subgroups do not need to be defined, but it may be useful in large enterprise environments. Assuming the ITSO’s focal point system is located in Dallas, and target systems are located in Austin, then two geographical subgroups are going to be created: One subgroup for the focal point system and one subgroup for the target systems. For creation of new subgroup objects, enter option 3 or SBG on the System Automation main entry selection panel, illustrated in Figure 9 on page 64, to enter the following SubGroup policy panel. 94 Automation Using Tivoli NetView OS/390 V1R3 and System Automation OS/390 V1R3
  • 109.
    SA OS/390 EntrySelection Row 1 to 2 of 2 Command ===> NEW DALLAS_MVS SCROLL===> PAGE Entry Type : SubGroup PolicyDB Name : ITSO_ENTERPRISE Enterprise Name : ITSO_ENTERPRISE Action Entry Name C Short Description AUSTIN_MVS Austin MVS Images Geographic SubGroup DEFAULTS SubGroup default policy ******************************* Bottom of data ******************************** F1=HELP F2=SPLIT F3=END F4=RETURN F5=RFIND F6=RCHANGE F7=UP F8=DOWN F9=SWAP F10=LEFT F11=RIGHT F12=RETRIEVE Figure 42. SA OS/390 SubGroup Selection panel Creating a new Subgroup Enter the NEW DALLAS_MVS command to create a subgroup named DALLAS_MVS. A SubGroup Policy Selection panel for the new subgroup is displayed as illustrated in Figure 43. SA OS/390 Policy Selection Row 1 to 10 of 10 Command ===> SCROLL===> PAGE Entry Type : SubGroup PolicyDB Name : ITSO_ENTERPRISE Entry Name : DALLAS_MVS Enterprise Name : ITSO_ENTERPRISE Action Policy Name Policy Description DESCRIPTION Enter description SUBGROUP INFO Display Subgroup information LOCATION Enter SubGroup location S SYSTEMS Select Systems for SubGroup -------------------- --------------------------------------------- WHERE USED List Groups linked to this entry USED IN VIEWS List OperatorViews linked to this entry COPY Copy data from an existing entry -------------------- --------------------------------------------- PROPAGATION THRESH Define thresholds for propagation of status ******************************* Bottom of data ******************************* F1=HELP F2=SPLIT F3=END F4=RETURN F5=RFIND F6=RCHANGE F7=UP F8=DOWN F9=SWAP F10=LEFT F11=RIGHT F12=RETRIEVE Figure 43. SA OS/390 SubGroup Policy Selection panel As the focal point location, DALLAS_MVS must include the designated focal point system SC66. Select the SYSTEMS option and enter the appropriate systems to the specific subgroup as shown in Figure 44 on page 96. Chapter 5. Customization of System Automation for OS/390 95
  • 110.
    SA OS/390 Systemsfor SubGroup Row 1 to 3 of 3 Command ===> SCROLL===> PAGE Entry Type : SubGroup PolicyDB Name : ITSO_ENTERPRISE Entry Name : DALLAS_MVS Enterprise Name : ITSO_ENTERPRISE Action Status System SC42 S SC66 SC69 ******************************* Bottom of data ******************************* F1=HELP F2=SPLIT F3=END F4=RETURN F5=RFIND F6=RCHANGE F7=UP F8=DOWN F9=SWAP F10=LEFT F11=RIGHT F12=RETRIEVE Figure 44. SA OS/390 SubGroup Systems Selection panel When the subgroup has been created, it needs to be linked to the sysplex group. 5.3.3.5 Creating a group A group is the largest subdivision of a System Automation enterprise environment. It is a set of systems, and/or subgroups, that can be associated with one another for the purpose of monitoring with the System Automation graphic interface or for System Automation processor operation functions. An System Automation enterprise may consist of many groups, each consisting of one or more systems and subgroups. Define a group by selecting the member systems and subgroups and assigning a name to the group. The status of a group depends on the status of the systems and applications it is comprised of. For creation of new group objects, enter option 2 or GRP on the System Automation main entry selection panel, illustrated in Figure 9 on page 64, to enter the following Group Entry Selection panel. 96 Automation Using Tivoli NetView OS/390 V1R3 and System Automation OS/390 V1R3
  • 111.
    SA OS/390 EntrySelection Row 1 to 3 of 3 Command ===> NEW USSOUTH_SINGLE SCROLL===> PAGE Entry Type : Group PolicyDB Name : ITSO_ENTERPRISE Enterprise Name : ITSO_ENTERPRISE Action Entry Name C Short Description DEFAULTS Group default policy USNORTH_SINGLE USNORTH Group of Single MVS Images USNORTH_SYSPLEX_001 USNORTH Group of Sysplex MVS Images ******************************* Bottom of data ******************************* F1=HELP F2=SPLIT F3=END F4=RETURN F5=RFIND F6=RCHANGE F7=UP F8=DOWN F9=SWAP F10=LEFT F11=RIGHT F12=RETRIEVE Figure 45. SA OS/390 Group Entry Selection panel Enter the NEW USSOUTH_SINGLE command to create a new group named USSOUTH_SINGLE. A Group Definition Entry panel for the new group is displayed as illustrated in Figure 46. SA OS/390 Define New Entry Command ===> To define a new entry, specify the following information: Type. . . . . . . . . . Group Name. . . . . . . . . . USSOUTH_SINGLE Group Type . . . . . . . STANDARD STANDARD SYSPLEX ProcOps Commands . . . . NO Group is valid for Processor Operations commands (YES/NO) Short Description . . . Extended Description. . . . . . . . . . F1=HELP F2=SPLIT F3=END F4=RETURN F5=RFIND F6=RCHANGE F7=UP F8=DOWN F9=SWAP F10=LEFT F11=RIGHT F12=RETRIEVE Figure 46. SA OS/390 Define New Group Entry panel For the ITSO environment, the following three groups were created: • USNORTH_SYSPLEX_001 Defined as a sysplex group type Chapter 5. Customization of System Automation for OS/390 97
  • 112.
    • USNORTH_SINGLE Defined as a standard group type • USSOUTH_SINGLE Defined as a standard group type After creation of all three groups, the following Group Entry Selection panel, shown in Figure 47, shows the complete list of all defined System Automation groups. SA OS/390 Entry Selection Row 1 to 4 of 4 Command ===> SCROLL===> PAGE Entry Type : Group PolicyDB Name : ITSO_ENTERPRISE Enterprise Name : ITSO_ENTERPRISE Action Entry Name C Short Description DEFAULTS Group default policy USNORTH_SINGLE USNORTH Group of Single MVS Images USNORTH_SYSPLEX_001 USNORTH Group of Sysplex MVS Images USSOUTH_SINGLE ******************************* Bottom of data ******************************** Figure 47. SA OS/390 System Automation Groups for ITSO project 5.3.4 Building SA Automation Control File (ACF) After all customizations have been completed, it is necessary to build the automation policy objects from the data entered into the System Automation policy database. In the following sections, the RODM loader input file and Automation Control File (ACF) will be built. A set of automation control file fragments is also used to add them into System Automation start-up procedure. Only some the System Automation customization dialog can be used to complete this task of building the object files. The following System Automation dialog panels allow to perform these functions: 1. PolicyDB Selection panel 2. Entry Type Selection panel 3. Entry Selection panel 5.3.3.6 Build from the PolicyDB Selection panel Using the PolicyDB Selection panel provides the option to build all enterprise System Automation policy objects or a part of policy objects. To enter the 98 Automation Using Tivoli NetView OS/390 V1R3 and System Automation OS/390 V1R3
  • 113.
    Build Functions Menupanel, shown in Figure 48 on page 99, enter the BUILD command on the command line. If several SA policy databases are defined, the BUILD command must be followed by the specific SA policy database name. The following Build Functions Menu will appear when entering the command: BUILD ITSO_ENTERPRISE SA OS/390 Build Functions Menu Command ===> 4 1 ALL - Build all files 2 RODM - Build RODM loader input files 3 Proc-Ops - Build Processor Control File 4 ACF - Build automation control file 5 NetView/VTAM - Build NetView and VTAM information 6 PS/2 Profiles - Build PS/2 profile information PS/2 profile data set. . Figure 48. SA OS/390 Build Functions Menu panel From this Build Functions Menu, it is possible to build every SA automation object file. For this example, building the SA automation control file, select the 4 - ACF option to enter the specific BUILDF Parameters panel as illustrated in Figure 49. Chapter 5. Customization of System Automation for OS/390 99
  • 114.
    SA OS/390 BUILDFParameters Command ===> PolicyDB Name : ITSO_ENTERPRISE Enterprise Name : ITSO_ENTERPRISE More: + Specify information about the BUILD request: Build Output Dataset. . 'NETVUSER.SYSTEM.ACF1' Build Mode. . . . . . . ONLINE ONLINE BATCH Build Type. . . . . . . ALL MODIFIED ALL Specify information about the entry(s) that are to be processed: Entry Type. . . . . . . APL Enter three character entry type or * to process all entry types or ? to display list of entry types Entry Name. . . . . . . GMFHS Enter entry name or * to process all entries or ? to display list of entry names Re-build ACF. . . . . . YES YES NO Flag ICL's. . . . . . . YES YES NO Specify JOB statement to be used for BATCH builds: F1=HELP F2=SPLIT F3=END F4=RETURN F5=RFIND F6=RCHANGE F7=UP F8=DOWN F9=SWAP F10=LEFT F11=RIGHT F12=RETRIEVE Figure 49. SA OS/390 ACF BUILDF Parameters panel The BUILDF Parameters panel provides several choices for the specific build method and entry ranges. The following selection fields are to be determined based on the automation environment: • Build Mode Select ONLINE for foreground, or BATCH for background job processing. • Build Type Select MODIFIED for only those entries that have been changed since last build request, or ALL for all eligible entries that will be processed. • Entry Type * For all entry types, or specify a specific entry type (for example, APL). • Entry Name * For all entries, or specify a specific entry name (for example, GMFHS). 5.3.3.7 Build from the Entry Type Selection panel To enter the Build Functions Menu panel, shown in Figure 48 on page 99, from the SA OS/390 Entry Type Selection panel, enter the BUILD command on the command line. For immediate invocation of the ACF BUILDF Parameters panels, use the BUILDF command on the command line. It is necessary to specify, as a 100 Automation Using Tivoli NetView OS/390 V1R3 and System Automation OS/390 V1R3
  • 115.
    parameter to theBUILDF command, the three letter identifier for the policy object that is to be build. For example, enter: BUILDF SYS to build all defined system objects defined to the SA policy database. 5.3.3.8 Build from the Entry Selection panel When entering any Entry Selection panel, for example, for applications or systems, it is possible to enter the BUILDF Parameters panel for that particular object by selecting the action keyword F in front of the individual object. For example, when selecting 6 - APL (Applications) from the Entry Type Selection panel to enter the Entry Selection panel for applications as shown in Figure 53 on page 105, it is possible to start the BUILD process for JES2 by typing F in front of JES2 and pressing ENTER. SA OS/390 Entry Selection Row 1 to 13 of 29 Command ===> SCROLL===> PAGE Entry Type : Application PolicyDB Name : ITSO_ENTERPRISE Enterprise Name : ITSO_ENTERPRISE Action Entry Name C Short Description *SYSTEM Special system job APPC APPC/MVS automation policy ASCH ASCH automation policy DEFAULTS Application default policy GENERIC_CLASS * Generic MVS Tasks Definition GMFHS Graphical Monitoring Facility definition GMFHS_CLASS * GMFHS Defaults IO_OPERATIONS I/O Operations functions main component F JES2 JES2 policy definition LLA LLA automation policy NETVIEW_CLASS * Netview Defaults NETVSA Automation NetView definition NETWORK_GMFHS Network GMFHS Figure 50. SA OS/390 Entry Selection panel 5.3.5 Build RODM loader input file To enter the Build Functions Menu panel, shown in Figure 51, enter one of the previously described methods. As an example, enter the Entry Type Selection panel for the appropriate SA policy database (ITSO_ENTERPRISE) and issue the BUILD command on the command line. Chapter 5. Customization of System Automation for OS/390 101
  • 116.
    SA OS/390 BuildFunctions Menu Command ===> 2 1 ALL - Build all files 2 RODM - Build RODM loader input files 3 Proc-Ops - Build Processor Control File 4 ACF - Build automation control file 5 NetView/VTAM - Build NetView and VTAM information 6 PS/2 Profiles - Build PS/2 profile information PS/2 profile data set. . Figure 51. SA OS/390 Build Functions Menu panel Select the 2 - RODM option from Build Functions Menu, and the RODM Load Function panel will be displayed as illustrated in Figure 52 on page 102. SA OS/390 Build Menu Command ===> 1 BUILDR - Build RODM loader input files Enterprise . . . . . . ITSO_ENTERPRISE Output data set. . . . 'NETVUSER.SYSTEM.LOADRODM' 2 SUBMIT - Submit job to process BUILD output through RODM loader B BROWSE - Browse output data set All the "LOADxxxx" E EDIT - Edit output data set members are output Figure 52. SA OS/390 RODM Build panel On this RODM Build Menu, it is possible to specify the output dataset for the RODM Build function. This dataset name should match the input dataset name specified in the RODM start-up procedure and RODM load job INGELOAD of the automation environment. The RODM load job INGELOAD is designed for SA functionality. It is necessary to customize this job accordingly before submitting it. The following RODM policy object members will be created after the RODM build function is called. Some important members and their functions are described as follows: • LOADINS0 This file contains the instance definitions for all systems. The instance loader file defines all instances of both the System Automation and the NetView GMFHS classes. 102 Automation Using Tivoli NetView OS/390 V1R3 and System Automation OS/390 V1R3
  • 117.
    • LOADSTR0 This structure loader file contains the class definitions for System Automation for OS/390 object classes. • LOADxxxx These files contain instance definitions for the one particular target system only. • AOFACFMP This member contains an indication as to how the system is used as a focal point or target system. 5.4 Defining dependencies and start-up behavior The applications on OS/390 are composed of resources distributed over different system images, especially in a sysplex environment, where the workload could be beyond the capacity of a single system. Management for those separated and distributed applications over several systems becomes critical within a sysplex environment. System Automation is able to automate complex relationships among different applications and control their operations within the given systems. One of the key automation controls in System Automation for OS/390 is the hierarchy concept of a parent/child relationship. It is possible to define a subsystem on one system as to be the parent or child of a subsystem of another system in the sysplex environment. Once this relationship is established, System Automation will not start one child subsystem unless all parent subsystems are started and active. Only if the parent subsystems have the status UP or ENDED, will System Automation try to start all of the defined children subsystems (assuming that their automation flags are set to allow automated operation). Likewise, when stopping a subsystem, System Automation will use the parent/child relationship to determine which subsystem is to shutdown and in which sequence the shutdown process has to take place. 5.4.1 Define dependencies Within System Automation for OS/390, it is required to define separate dependencies for starting and stopping applications or subsystems. The parent field at the Application Policy Entry panel allows to specify which applications or subsystems need to be available before the given application Chapter 5. Customization of System Automation for OS/390 103
  • 118.
    can be started.Specify only those applications or subsystems upon which the given application has an immediate dependency. For any automated application, the System Automation engine can capture its related messages and set the application status to UP when its start-up process is successfully completed. Once the specific application or subsystem status is UP, System Automation continues to start the dependent children applications. For this purpose, it is necessary to maintain the SA automation table AOFMSG01 or create and include the new (self coded) automation table member for migration purposes. Within AOFMSG01, all key messages for the automated applications need to be defined and maintained according to the specific automation requirements. For example, the message, IST020I, indicates that the VTAM initialization process is complete, and System Automation can set the status for VTAM to UP when it captures this message. After VTAM is set to status UP, System Automation will start up defined children subsystems of VTAM, such as TSO, TCPIP, and so on. The AOFMSG01 is the master automation table that includes several other automation tables specific for applications defined to System Automation. The included automation table members consist of start-up, shutdown, or reply messages for the particular application. The automation table, AOFMSG01, as it is shipped by default with System Automation, already contains most of the OS/390 subsystems or applications. If a fragment for a new application is to be added, include a new automation table member with its basic messages for its start-up and shutdown completion defined into AOFMSG01. The automation table, AOFMSG01, takes over automation from DSITBL01 or AOFMSG00 after the Automation Control File (ACF) is loaded. The policy to define dependencies depends on your system environment and automation requirements. The application dependency is defined when maintaining the Application Policy definitions. For example, when defining the TCPIP application as shown in Figure 53, it is necessary to define its parent subsystem VTAM. 104 Automation Using Tivoli NetView OS/390 V1R3 and System Automation OS/390 V1R3
  • 119.
    SA OS/390 ApplicationAutomation Definition Command ===> Entry Type : Application PolicyDB Name : NEW1 Entry Name : TCPIP Enterprise Name : ITSO_ENTERPRISE Subsystem : TCPIP Description : Job Name : TCPIPMVS More: + JobType . . . . . . MVS (MVS NONMVS TRANSIENT) Transient Rerun . . Transient Jobtype can be rerun (YES or NO) Command Prefix . . Console command character(s) Sysname . . . . . . SC66 JES Sysname Parent(s) . . . . . VTAM Enter one or more parents (above) Start on IPL . . . . Started after IPL (YES NO NONE blank) F1=HELP F2=SPLIT F3=END F4=RETURN F5=RFIND F6=RCHANGE F7=UP F8=DOWN F9=SWAP F10=LEFT F11=RIGHT F12=RETRIEVE Figure 53. SA OS/390 Application Automation Definition panel A subsystem or application may have one or more parents and can also have one or more children. This relationship completely depends on the start-up logic and sequence required for the individual OS/390 environment. For the given example of the subsystem, VTAM, the subsystems TCPIP and TSO are only allowed to start after successful completion of VTAM initialization. Note Be careful to avoid creating loop dependencies for applications when defining applications within a sysplex environment. In the ITSO environment, dependencies were defined among all automated applications for the focal point system SC66 and the target systems SC42 and SC69. To obtain the dependency relationship among the automated applications, use the System Automation DISPTREE command. The dependency tree, as shown in Figure 54, demonstrate the relationship on the focal point system SC66. Chapter 5. Customization of System Automation for OS/390 105
  • 120.
    AOFKTREE SA OS/390 - Command Dialogs Line 1 of 19 Domain ID = SC66A -------- DISPTREE ---------- Date = 12/11/99 Operator ID = GAO Time = 12:29:50 Subsystem ==> System ==> SC66 --+ DEFAULTS --+ SUBSYSTEM --+ VLF --+ LLA --+ SSISA +-- NETVSA +-- JES2 | +-- VTAM | +-- SSIAON | | +-- NETVAON | | +-- RODMAON | | +-- GMFHSAON | +-- TCPIP | +-- APPC | | +-- ASCH | +-- TSO +-- RODMSA +-- GMFHSSA Command ===> PF1=Help PF2=End PF3=Return PF4=Focus PF5=Info PF6=Roll PF7=Back PF9=Refresh PF11=Right PF12=Retrieve Figure 54. SA OS/390 Application Dependencies for Focal Point System SC66 5.4.2 Define start-up behavior All applications automated by System Automation may have different start-up behavior. Use different start-up policies to automate the particular applications. For example, define Start on IPL, Start on Recycle, or a specific Startup Policy as illustrated in Figure 55 on page 107. 106 Automation Using Tivoli NetView OS/390 V1R3 and System Automation OS/390 V1R3
  • 121.
    SA OS/390 ApplicationAutomation Definition Command ===> Entry Type : Application PolicyDB Name : NEW1 Entry Name : TCPIP Enterprise Name : ITSO_ENTERPRISE Subsystem : TCPIP Description : Job Name : TCPIPMVS More: - + Sysname . . . . . . SC66 JES Sysname Parent(s) . . . . . VTAM Enter one or more parents (above) Start on IPL . . . . Started after IPL (YES NO NONE blank) Start on Recycle . . Started after recycle (YES NO NONE blank) Startup . . . . . . MVSSTART Startup control (MVSSTART PARENT CUSTOMER) Edit startup . . . NO Edit startup parameters (YES NO) F1=HELP F2=SPLIT F3=END F4=RETURN F5=RFIND F6=RCHANGE F7=UP F8=DOWN F9=SWAP F10=LEFT F11=RIGHT F12=RETRIEVE Figure 55. SA OS/390 Define Start Behavior for TCPIP Considering system dependencies for automated applications, several choices are available to start applications. In the given example of the application TCPIP, select whether TCPIP is to start at system IPL and/or after recycle by System Automation. In addition, specify start-up criteria using the Startup field. Options for this field are: • MVSSTART Indicates this application uses the MVS START command. For example, the MVS S <jobname> command is issued for this application subsystem. For editing additional start-up parameters, set the Edit startup field to YES, for example, to add the command string, ‘ ,SUB=MSTR’. • CUSTOMER Indicates this application is to be started by a customized MVS command. Create the start-up parameters by setting the Edit startup field to YES and enter the appropriate start-up command, for example, ’=STA DB2’. • PARENT Indicates this application is directly started by its parent, and does not need the start-up command. In the ITSO environment, the application TCPIP has the parent VTAM, but is started using the MVS START command; so, the keyword, MVSSTART, is selected. Chapter 5. Customization of System Automation for OS/390 107
  • 122.
    5.5 Customizing theStatus Display Facility (SDF) The Status Display Facility, a function of System Automation, is used to monitor system resources on the focal point system as well as on other targets systems. The SDF reads and captures resource objects from System Automation policy database and monitors such resources on the Automation NetView. The defined resources and their status information are represented by different colors. To use SDF for monitoring resources, it is necessary at first to define the SDF panel and structure tree. After the System Automation policy database is established, the user can work with the subsystem resources from the System Automation policy database. During the initialization process of System Automation for OS/390, the AOFTDDF task loads SDF definition members for the panel format, panel flow, and its tree structure. Change the following members for SDF in the NetView DSIPARM library to have them reflect the specific system automation items. The member AOFINIT defines parameters common to all SDF panels and basic initialization specifications, such as screen size, default function keys, and the initial screen displayed when a SDF session is started. The member AOFTREE includes the SDF status tree, and the member AOFPNLS includes the panel tree for SDF. 5.5.1 Customizing the panel member AOFPNLS The member AOFPNLS defines SDF status panels using specific panel definition statements. Panels can either be loaded automatically when SDF starts, or dynamically loaded using the SDF PANEL command. For panels to be loaded automatically, add an %INCLUDE statement, specifying the particular panel definition member, to the main panel definition member AOFPNLS in the NetView DSIPARM library. For the ITSO environment, with its focal point system and the two target systems, the following %INCLUDE statements were added to the main SDF panel member AOFPNLS: •%INCLUDE(AOFPSYST) •%INCLUDE(AOFPSC66) •%INCLUDE(AOFPSC69) •%INCLUDE(AOFPSC42) 108 Automation Using Tivoli NetView OS/390 V1R3 and System Automation OS/390 V1R3
  • 123.
    The panel AOFPSYSTrepresents the SDF main panel, while the other included members represent each of the system objects. The following example SDF panel member, AOFPSYST, shown in Figure 56, represents the main panel definitions for the ITSO environment. It specifies the entry panel that is displayed when issuing the SDF command in the Automation NetView environment. P(SYSTEM,24,80) TF(01,02,10,WHITE,NORMAL) TT(SYSTEM) TF(01,23,58,WHITE,NORMAL) TT(SA OS/390 - SUPPORT SYSTEMS) TF(03,05,10,T,U) TT(System) SF(SC66,05,05,10,N,,SC66) ST(SC66) SF(SC69,07,05,10,N,,SC69) ST(SC69) SF(SC42,09,05,10,N,,SC42) ST(SC42) TF(03,14,24,T,U) TT(Subsystems) SF(SC66.APPLIC,05,14,24,N,,SC66,Q1) SF(SC69.APPLIC,07,14,24,N,,SC69,Q1) SF(SC42.APPLIC,09,14,24,N,,SC42,Q1) TF(03,27,34,T,U) TT(WTORs) SF(SC66.WTOR,05,27,34,N,,SC66,1) SF(SC69.WTOR,07,27,34,N,,SC69,1) SF(SC42.WTOR,09,27,34,N,,SC42,1) TF(03,37,45,T,U) TT(Gateways) SF(SC66.GATEWAY,05,37,45,N,,SC66,1) SF(SC69.GATEWAY,07,37,45,N,,SC69,1) SF(SC42.GATEWAY,09,37,45,N,,SC42,1) TF(03,48,58,T,U) TT(Spool) SF(SC66.SPOOL,05,48,58,N,,SC66,1) SF(SC69.SPOOL,07,48,58,N,,SC69,1) SF(SC42.SPOOL,09,48,58,N,,SC42,1) TF(03,61,69,T,U) TT(MVS Comps) SF(SC66.MVSCOMP,05,61,69,N,,SC66,1) SF(SC69.MVSCOMP,07,61,69,N,,SC69,1) SF(SC42.MVSCOMP,09,61,69,N,,SC42,1) TF(24,01,47,T,NORMAL) TT(1=HELP 2=DETAIL 3=RETURN 6=ROLL 8=NEXT SCR) TF(24,48,79,T,NORMAL) TT( 10=LEFT 11=RIGHT 12=TOP) EP Figure 56. SDF Main panel member AOFPSYST Chapter 5. Customization of System Automation for OS/390 109
  • 124.
    The following objectswere part of the ITSO System Automation environment and defined to the SDF: • System • Subsystem • WTORS • Gateways • Spool • MVS Comps 5.5.2 Customizing the status member AOFTREE The System Display Facility uses a tree structure to set up the hierarchy of the monitored resources displayed on the SDF status panels. A SDF tree structure starts with the system name that is defined in the SA policy database as the root node, and it has the level number 1. Tree structure subordinate levels to the root node are the monitored resources. The level numbers of these resources reflect their dependency on each other. The member, AOFTREE, in the ITSO environment, includes the following members: •%INCLUDE(AOFTSC66) •%INCLUDE(AOFTSC42) •%INCLUDE(AOFTSC69) According to the definitions of ITSO System Automation policy database, the symbolic &AOCCLONE1. is the root node name for each system. A generic set of applications were selected as automated objects so that each system has the same resource types for SDF monitoring. The following list represents the resource hierarchy of the focal point member, AOFTSC66: 1 SC66 2 SYSTEM 3 APPLIC 4 SUBSYS 2 WTOR 2 SPOOL 2 GATEWAY 2 MVSCOMP 110 Automation Using Tivoli NetView OS/390 V1R3 and System Automation OS/390 V1R3
  • 125.
    5.5.3 Defining SDFgateways To monitor the resources on the multiple systems within a sysplex environment, it is necessary to define gateway policies to the System Automation policy database in order to forward automation information between target systems and the focal point system. In the ITSO environment, a gateway for each system was defined. The gateway name was specified to GAT&AOCCLONE2. to take advantage of SA’s clone symbolics representing the particular NetView domain name, for example, SC66A for the focal point system SC66. 5.5.4 Starting the SDF monitor Since the NetView data service task AOFTDDF supports the SDF feature, ensure the autotask AOFTDDF is up and running before starting SDF. In order to start the autotask, AOFTDDF, issue the following NetView command: START TASK=AOFTDDF To start the SDF environment, issue the NetView SDF command. The example screen displayed in Figure 57 represents the SDF main panel of the ITSO environment. Figure 57. SDF Main panel of the ITSO environment Chapter 5. Customization of System Automation for OS/390 111
  • 126.
    The SDF mainpanel shows three lines representing the system objects (SC66, SC69, and SC42). Each system row is divided into subsystems, WTORs, gateways, spool, and MVS components. For detailed information about one system, place the cursor on its row and press PF2. The screen shown in Figure 58 demonstrates the information available for the focal point system SC66. Figure 58. Detail information about the Focal Point System SC66 This displays all subsystems as defined in the System Automation policy database, the OS/390 spool, and gateways to other systems. All monitored resources are currently active, which is represented by the green color. Further information about specific monitored resources can be obtained by placing the cursor on the particular object and pressing PF2. The following g screen illustrated in Figure 59 on page 113 details the information for the spool object JES2. 112 Automation Using Tivoli NetView OS/390 V1R3 and System Automation OS/390 V1R3
  • 127.
    Figure 59. Detailinformation about the Spool Object JES2 It provides information for JES2 of its spool utilization status. Chapter 5. Customization of System Automation for OS/390 113
  • 128.
    114 Automation Using Tivoli NetView OS/390 V1R3 and System Automation OS/390 V1R3
  • 129.
    Chapter 6. Installationof the NetView Management Console This chapter describes the installation and setup of the NetView Management Console (NMC) server and client workstation. It details the necessary steps to connect to Tivoli NetView for OS/390 and between the NMC server and client workstations. In addition to NMC, the functionality allowing the user to access and issue commands to NetView from the Web along with the setup and basic usage of the NetView 3270 Management Console will be covered. The following files shown in Table 24 were used as main references to assist in the setup and customization of the various procedures included in this chapter and may be helpful in future trouble shooting if the need arises. Table 24. Main reference files to consult File Name Description egvread1.me NMC Topology Console from Tivoli NetView CD readmeenu egvread2.me NMC Topology Server from Tivoli NetView CD readmeenu flbread1.me NetView 3270 Management Console from Tivoli Netview CD readmeenu Redbook: An Introduction to Tivoli Chpt 6 - “MVS TCP/IP Support” NetView for OS/390 V1R2, SG24-5224 Chpt 9 - “NetView Management Console” Chpt 14 - “NetView 3270 Java Client” Chpt 15 - “Web Access to NetView/390” Redbook: Parallel Sysplex Automation: Chpt 6 - “Using the Graphical Interface to Using System Automation for OS/390, Manage SA on OS/390” SG24-5442 nmcpdf.zip IBM Web site: Systems Automation homepage, download section using SA for OS/390 These references have been obtained as of December, 1999. Access at any time to the most up to date references to any of the Tivoli NetView for OS/390 or System Automation for OS/390 related topics may be obtained via the Web at the following URL addresses: http://www.tivoli.com/nv390 http://www.s390.ibm.com/sa © Copyright IBM Corp. 2000 115
  • 130.
    The diagram shownin Figure 60 summarizes the following topics covered by this chapter: • NMC Server setup • NMC Client setup • Web access to NetView OS/390 • NetView 3270 Management Console (Java) Figure 60. Addressed topics about the NMC, Web access, and Java console 116 Automation Using Tivoli NetView OS/390 V1R3 and System Automation OS/390 V1R3
  • 131.
    6.1 Prerequisites forNetView Management Console Version 1.3 For a detailed description of all software and hardware requirements, refer to the Readme file available on the Tivoli NetView for OS/390 CD distribution media (/readme/enu/egvread2.html) or the latest Readme file available directly on the Tivoli NetView for OS/390 Web support page (http://www.tivoli.com/nv390). 6.2 Setting up the NMC Server This section contains information about the NetView Management Console Topology Server Version 1.3.0. The server interacts with Tivoli NetView for OS/390 to obtain and display network and system views of your enterprise environment. These views are displayed by the Java-based Tivoli NetView Management Console Topology Console. Note The following detailed sections on installation and customization of the NMC Topology Server describes only the platform Windows NT. The NMC Topology Server is also available on the platforms AIX and OS/2. The section is divided into the following categories: 1. Installing NMC Topology Server to run as a Windows NT service - Software installation - Environment setup 2. Setting up NMC Topology Server for Systems Automation - Installing NMC for System Automation for OS/390 - Issuing SA OS/390 commands using the NMC 3. Starting the NMC Topology Server using TCP/IP - Enabling TCP/IP for NetView on OS/390 - Starting the Topology Server 4. Uninstalling the NMC Topology Server 5. Hints and tips for the NMC Topology Server 6.2.1 Installing NMC Server to run as a Windows NT service This section will explain, in detail, the install process and the setup procedure for the NMC Topology server, which is, in general, the content of the provided Chapter 6. Installation of the NetView Management Console 117
  • 132.
    Readme file EGVREAD2.MEon the NMC installation CD along with several situations derived from the actual install at the ITSO environment. 6.2.1.1 Selecting the correct files To install the NMC Topology Server on Windows NT, the correct files to install are located in the Tivoli NetView for OS/390 CD distribution media under the directory WIN32 for the Windows NT NMC Topology Server. The English version of NMC Topology Console will be in ENU (or /ENU), and the Japanese version will be in JPN (or /JPN). The following file is distributed as part of the NetView Management Console Server: - This package, DUINMCSW.EXE, contains the NMC Topology Server in a self-extracting unzip file for Windows NT. Note To install the NMC Topology Server on OS/2 or AIX from the NetView host (mainframe) or CD via the Tivoli Software Installation Service, refer to the EGVREAD5.ME file located under /usr/lpp/netview/install on your OS/390 Unix System Services if Tivoli NetView for OS/390 FMID JPZ8454 is installed, or under README/ENU on the Tivoli NetView for OS/390 CD. 6.2.1.2 Software installation To install the NMC Topology Server for the networking environment on Windows NT, follow these steps: 1. To install the NMC Topology Server from CD: - Insert the Tivoli NetView for OS/390 CD distribution media into the CD drive of the workstation. - Find the correct drive and directory that the NetView Management Console Server for Windows resides on. The directory is win32enu or win32jpn, and the file name is DUINMCSW.EXE. Running this file from the CD will start the unpacking process. ---OR--- 1. To install the NMC Topology Server by HTTP download: - With any Web browser, go to the following URL: http://www.tivoli.com/nv390/downloads - Download the Windows version of the NetView Management Console Server into a temporary directory as DUINMCSW.EXE. 118 Automation Using Tivoli NetView OS/390 V1R3 and System Automation OS/390 V1R3
  • 133.
    ---OR--- 1. To installthe NMC Topology Server via a download from mainframe DASD: - Use either a receive from an emulator session or ftp to do a binary download of member duinmcsw from the SEGVPS21 target library into a temporary directory as DUINMCSW.EXE. 2. Running the DUINMCSW.EXE file will unpack the files and invoke the installshield setup application. To perform the install, follow these steps after starting DUINMCSW.EXE from the command line or by double clicking on the file icon. 3. The following dialog will ask the user to "Select Yes to continue with the installation”, on “Select No to exit the installation process". If No is selected, the process ends here. Select Yes to continue to the next step. Figure 61. Installation Wizard Startup window 4. Displayed next will be a welcome dialog titled "NMC Topology Server - Welcome". Selecting the Next button will display a "NMC Topology Server - Installation Directory" dialog where the user selects the directory into which the installation files are unpacked. The default directory is x:TEMPNMCServer, where x: is the drive on which windows is installed. Selecting the Finish button will unpack the files and start the installation process. The user is then prompted to create the output directory if it does not already exist. 5. The following dialog named "Welcome" is the beginning of the NetView Management Console Server setup program. Selecting Next will display Chapter 6. Installation of the NetView Management Console 119
  • 134.
    the next "Information"dialog, which contains the read.me file for the user to review. 6. Selecting the Next button from the "Information" dialog will display the "Choose Destination Location" dialog. The drive may be changed, but changing the path information is NOT recommended. The path is a standard used by Tivoli, and unpredictable results in the program can occur if this is modified. Note If the Tivoli Framework is installed on the workstation, make sure to install the NMC Server onto the same drive as the Tivoli Framework. This is because the setup_env.cmd file installed by the Tivoli Framework will be used to set the %BINDIR% environment variable, which is needed for the NMC Server to start correctly. 7. Selecting the Next button will display the "Setup Type" dialog. The default selection will have the Typical radio button already selected. This will install all of the files available for the server and is the recommended selection. - Choosing the Compact radio button will install all of the binaries except for the tools files. - Choosing the Custom button, a "Select Components" dialog is displayed. Use the check boxes to manually select the components desired. The choices are "Program Files" or "Tools Files". 8. Selecting the Next button will display the "Start Copying Files" dialog. This shows the setup type that has been selected for the NetView Management Console Server and the path it will be installed into. 9. Selecting the Next button will cause the binaries to be installed. 10.When the binaries are installed, a "Setup Complete" dialog will be displayed. Click on Finish to end the installation process. 6.2.1.3 Information on copy problems with setup_env.cmd By default installation, a file, SETUP_ENV.CMD, is copied to the %WINDIR%system32driversetcTivoli directory and updated for the NMC Server to start. However, if, for example, the Tivoli Framework has been installed on the system, the copy and update of SETUP_ENV.CMD might be unsuccessful. If it fails, several warning messages, prior to the display of the "Setup Complete" dialog, will indicate this problem. 120 Automation Using Tivoli NetView OS/390 V1R3 and System Automation OS/390 V1R3
  • 135.
    The first messagewill inform the user "Could not copy the setup_env.cmd file to the (drive:)Winntsystem32driversetcTivoli directory”. Subsequent messages will describe reasons for the failure and instruct the user to copy it manually and update it. It is necessary to check and update the following two variables within the SETUP_ENV.CMD file: • BINDIR Specifies the directory of the server binaries, which is, in most cases, one of the following directories, depending on what directory structure is used: - (drive:)Tivolibinw32-ix86 - (drive:)usrlocalTivolibinw32-ix86 - (drive:)usrTivolibinw32-ix86 • INTERP Specifies the platform-dependent last directory string, which is for Windows NT on Intel-based processors W32-IX86. A possible combination of both variables, for example, could be: • set BINDIR=C:Tivolibinw32-ix86 • set INTERP=w32-ix86 6.2.1.4 Windows NT user rights for NMC execution The user rights on for the NetView Management Console Server to run on Windows NT must be defined if this has not already been done. The following user rights need to be added to the userid under which the NetView Management Console Server will be executed: Act as part of the operating system. The following steps will add the appropriate user rights under Windows NT: 1. Log on to Windows NT with Administrator authority. 2. Select Start->Programs->Administrative Tools->User Manager or Start->Programs->Administrative Tools->User Manager for Domains for NT Server machines. 3. Select Policies->User Rights. 4. Check the Show Advanced User Rights check box. 5. Scroll through the "Right:" selection list and choose the Act as part of the operating system right. Chapter 6. Installation of the NetView Management Console 121
  • 136.
    6. The "GrantTo:" display area will list all the groups and users currently granted this right. If the target userid is already listed, go to step 11, otherwise, continue. 7. Click on Add. 8. Click on Show Users. 9. Select the target userid (the one under which the NetView Management Console Server will be executed) and click on Add. 10.Click on OK. 11.Log off from Windows NT and log on to Windows NT again using the target userid so that the rights can take effect. 6.2.1.5 Add NMC Server as Windows NT service To define the NMC Server as an Windows NT service, follow these steps: 1. On the NMC Server machine, open a command window 2. Change to the following NT directory, %BINDIR%TDSserverbin, where the variable %BINDIR% could be (drive:)usrlocalTivolibinw32-ix86, (drive:)localTivolibinw32-ix86, or (drive:)Tivolibinw32-ix86 3. Issue the following command to install the NMC Server as a Windows NT service: service account_name password where account_name represents an account name in the form “DomainNameUserid”, and password represents the corresponding password for the specified account. If the account belongs only known and specified on the local workstation, then specify “.Userid”. 4. The NMC Server will be installed as two NT services: - NMC topology communications server - NMC topology server The illustration in Figure 62 shows the successful registration example within the ITSO environment. 122 Automation Using Tivoli NetView OS/390 V1R3 and System Automation OS/390 V1R3
  • 137.
    C:TivolinmcTDSserverbin>service .NMCAdm testpw Tivoli environment variables configured. BINDIR..... c:tivolinmc C:TivolinmcTDSserverbin>ihsxsrv install manual .NMCAdm testpw c:tivolinmcTDSserverbin IHS5977I: Topology communications server service installed successfully IHS5977I: Topology server service installed successfully C:TivolinmcTDSserverbin> Figure 62. NMC Server Registration as NT service The NT service startup option will be set, by default, to manual. To change the NT service startup option to automatic, go to the Start->Settings-> Control Panel and double-click on the Services icon. Select the NMC services and change the startup option to automatic. 6.2.1.6 Remove NMC Server as Windows NT service To remove the NMC Server as a Windows NT service, follow these steps: 1. On the NMC Server machine, open a command window. 2. Change to the following NT directory, %BINDIR%TDSserverbin, where the variable %BINDIR% could be (drive:)usrlocalTivolibinw32-ix86, (drive:)localTivolibinw32-ix86, or (drive:)Tivolibinw32-ix86 3. Issue the following command to remove the NMC Server as a Windows NT service: ihsxsrv delete The illustration in Figure 63 shows the successful registration remove example within the ITSO environment. C:TivolinmcTDSserverbin>ihsxsrv delete IHS5975I: Topology server service deleted successfully. IHS5975I: Topology communications server service deleted successfully. Figure 63. NMC Server Registration removal as NT service 6.2.2 Setting up NMC Topology Server for Systems Automation This section provides information on how to exploit the NetView Management Console to issue processor operations commands and system operations commands for selected systems, subsystems, or application groups. System Automation for OS/390 adds a selection of predefined processor operations commands and system operations commands to the NetView Chapter 6. Installation of the NetView Management Console 123
  • 138.
    Management Console, thus,enabling the use of the NetView Management Console as a front-end interface for managing the OS/390 host environment. The sets of available commands are provided in these corresponding response files. Table 25. System Automation response files for NMC exploitation Response File Name Description README The README directory with installation and user information ING_NMCCHLP_HELPFILES Subdirectory including the online help files for the system operations commands ING_NMCS_DDF Subdirectory including data definition files for the provided system operations commands ISQ_NMCCCHLP_HELPFILES Subdirectory including the online help files for the provided processor operations commands ISQ_NMCS_DDF Subdirectory including data definition files for the provided processor operations commands ING_NMCS_CMD.RSP Response file for system operations commands ISQ_NMCS_CMD.RSP Response file for processor operations commands Related Topics: If you want to add or remove commands to or from the delivered sets, you can use the provided Command Profile Editor (CPE) from the NMC. For detailed information on how to use this editor, refer to the Tivoli NetView for OS/390 NetView Management Console User's Guide, SC31-8665. 6.2.2.1 Installing NMC enhancements for System Automation After applying the PTF UW90546, install the System Automation for OS/390 NMC enhancement. This will enable the user to issue the most important System Automation for OS/390 processor operations and system operations commands from all NMC workstations. 124 Automation Using Tivoli NetView OS/390 V1R3 and System Automation OS/390 V1R3
  • 139.
    Note The installation,as described in this section, is performed on the NMC Server only. Restart the individual NMC clients to take advantage of this enhancement. After performing the steps described in the remainder of this section, it is now possible to use the System Automation for OS/390 NMC exploitation as described in the readme documentation of the packed file INGNMCZP, “How to Issue System Automation for OS/390 Commands Using the NetView Management Console”. Applying the above PTF will provide two packed files for the NetView Management Console Server: • ING.SINGPWS1(INGNMCZP) Packed file for Windows NT or OS/2 workstations. Download this file with the extension ZIP and unpack it using common tools, such as WINZIP or PKZIP. • ING.SINGPWS1(INGNMCTZ) Packed file for Unix workstations. Download this file with extension the TAR.Z and unpack or uncompress it using common tools, such as uncompress and tar. The content of each packed file is divided into support files for system operations commands and for processor operations commands. Each support file structure contains NMC response files for system operations commands and for processor operations commands. The response files include the definitions and profiles for the following NMC extensions: • ING_SO_OPER SystemOperation Operator • ING_PO_OPER ProcessorOperation Operator • ING_SA_OPER SystemAutomation Operator ING_SA_OPER includes a definition for both the system operations and the processor operations commands Furthermore, there are two subdirectories for the related data definition files, two subdirectories with the online help in HTML format, as well as a PostScript file to print the documentation. With this separation of system operations and processor operations commands, the user may install either the system operations commands or Chapter 6. Installation of the NetView Management Console 125
  • 140.
    the processor operationscommands, or both, depending on specific requirements. The installation has to be done manually, as there is no common installation tool for the several supported platforms. This requires the user be familiar with the common commands of the workstation operating system. To perform the installation of the System Automation for OS/390 NMC enhancements on Windows NT, follow these steps: 1. Download the appropriate packed file in binary format to the NMC Server. 2. Unpack the file into a temporary directory of the NMC Server using an appropriate tool for the NMC Server operating system. 3. Copy the required help files for Windows NT from tmpINGNMCEXING_NMCCCHLP_HELPFILES and/or tmpINGNMCEXISQ_NMCCCHLP_HELPFILES to the %BINDIR%TDSserverdbcurrenthelp directory 4. Copy the required data definition files for Windows NT from tmpINGNMCEXING_NMCS_DDF and/or tmpINGNMCEXISQ_NMCS_DDF to the %BINDIR%TDSserverconfigddf directory 5. Copy the required response files for Windows NT from INGNMCEX to the %BINDIR%TDSserversample directory 6. Verify the following: a. To operate the NMC Server, the user must be logged on to NetView via a 3270 host session. b. The NetView userid must have NGMF or NMC administrator rights. c. The NMC Server must be started and active. d. The connection to the NMC Server must be established by issuing the NETCONV command on the NetView console. 7. Start the Command Profile Editor Batch Utility (CPEBATCH) by either double clicking on the CPE.CMD file in the %BINDIR%TDSserverbin or issue one of the following commands for Windows NT: - %BINDIR%TDSserversample CPEBATCH ING_NMCS_CMD.RSP and/or - %BINDIR%TDSserversampleCPEBATCH ISQ_NMCS_CMD.RSP Both commands have to be issued followed by the -i and -g parameters. 126 Automation Using Tivoli NetView OS/390 V1R3 and System Automation OS/390 V1R3
  • 141.
    Note For information on how to use this batch utility or the list of the various parameters, refer to Chapter 6 of the ITSO redbook Parallel Sysplex Automation: Using System Automation for OS/390, SG24-5442. 8. Start the CPE online utility, logon with a valid userid and password, and apply the new profiles to the individual operators. Profiles can also be edited from the CPE utility. For example, right clicking on object within the NMC interface displays the context menu with commands that can be issued to the object. To add or delete commands, edit the specific profile and either select an existing command or create a new command. This step loads the provided NMC enhancements into the NMC database. It is important to save the changes before leaving the CPEBATCH utility, which is not prompted, by default, to the user. Note The CPE online utility is only available for Intel based platforms. For other platforms, edit the files with a text editor. 9. On the individual NMC Clients, restart the NetView Management Console to reflect the NMC enhancements to the NMC Server database. Note For further information about the delivered commands refer to the online help or the System Automation for OS/390 V1R3 Technical Reference, GC28-1593. 6.2.3 Starting the NMC Topology Server using TCP/IP If using the NMC Server program icon instead of Windows NT services, the following screen messages will be displayed after normal start-up of the NMC topology communication server: Tivoli NetView Management Console 1.3.0.0 Topology Communication Server 5697-B82 (C) Copyright Tivoli Systems, an IBM Company 1997, 1999. All Rights Reserved. US Government Users Restricted Rights - Use, duplication or disclosure restricted by GSA ADP Schedule Contract with IBM Corp. Portions copyright (c) 1992 by Free Software Foundation, Inc. All rights reserved. Chapter 6. Installation of the NetView Management Console 127
  • 142.
    --------------------------------------------------------------------- IHS0248I: Topology communications server 1.3.0.0 is initialized. IHS0252I: Issue the 'tserver stop' command to end this process. IHS0208E: The SNA communications server APPC subsystem is not loaded For the NMC topology server, the following screen messages indicate a successful start-up of the NMC topology server: Tivoli NetView Management Console 1.3.0.0 Topology Server 5697-B82 (C) Copyright Tivoli Systems, an IBM Company 1997, 1999. All Rights Reserved. US Government Users Restricted Rights - Use, duplication or disclosure restricted by GSA ADP Schedule Contract with IBM Corp. Portions copyright (c) 1992 by Free Software Foundation, Inc. All rights reserved. --------------------------------------------------------------------- IHS2150I: Topology server 1.3.0.0 starting. IHS2200I: Topology server 1.3.0.0 is initialized. IHS0252I: Issue the 'tserver stop' command to end this process. System messages during NMC server operations will be displayed in the log file ihsmessage.log located in the directory: %BINDIR%TDSSERVERLOG If the NMC topology server and NMC topology communications server start successfully, it is possible to connect to Tivoli NetView for OS/390 using the NetView NETCONV command. For connecting NetView for OS/390 to the specific NMC server, issue the following command on the NCCF command line, or preferred by an autotask at NetView start-up: NETCONV ACTION=START IP=<IPAddr NMC Server> Note Issuing the NETCONV command by EXCMD <autotask> NETCONV... will execute NETCONV from an autotask and will assure that connectivity between NetView and the NMC topology server will continue even if the operator logs off. 6.2.4 Uninstalling the NMC Topology Server To uninstall the NMC topology server on Windows NT, the following steps need to be executed: 128 Automation Using Tivoli NetView OS/390 V1R3 and System Automation OS/390 V1R3
  • 143.
    1. Select Start-> Control Panel to open the control panel options for Windows NT. 2. Select the Add/Remove Programs icon in the control panel. 3. Select NetView Management Console Server in the list of programs available under the Install/Uninstall tab, and press the Add/Remove button. 4. The user will be prompted to see if they desire to completely remove the NetView Management Console Server and all its components. Selecting Yes will remove it. Selecting No will leave the program on the computer. 5. Selecting Yes will result in a "Remove Programs From Your Computer" dialog, which shows the status of the uninstall. A message saying "Uninstall Successfully Completed" will be displayed when the uninstall is done. Click OK to finish. 6.2.5 Hints and tips for the NMC Topology Server This section is intended to help with common problems in getting the NMC server up and running. Before starting the NMC server and connecting to NetView for OS/390, make sure that all of the necessary setup steps have been performed. NMC Server installation on systems running the Tivoli Framework If the Tivoli Framework is installed on the same workstation as the intended install of the NetView Management Console Server, install the NetView Management Console Server into the same drive and binary path as the Framework. This is required because both products use the environment variables BINDIR and INTERP. It would cause one or both products to fail if different drives and directories are used, and BINDIR is just set to reflect the binary path of one of the products. If there is no Tivoli Framework installed on the same workstation, the NMC Topology Server installation process will define the BINDIR and INTERP environment variables and correctly create any necessary command or shell that may be needed. If the server does not start and the setup_env.cmd is not found If the setup_env.cmd file is not found, the following message is displayed, "rc(5902) setup_env.cmd not found", and no updates are placed into ihsmessage.log in this situation. Chapter 6. Installation of the NetView Management Console 129
  • 144.
    To resolve this,it may be necessary to reinstall the server. First, try to copy the setup_env.cmd file from the /BIN directory to its correct place. This would typically be the directory %WINDIR%system32driversetcTivoli for Windows NT. Then, edit the file to ensure that the correct information is in place for the %BINDIR% environment variable as per the above section. If the setup_env file is found, but the bindir is not set If the setup_env.cmd file is found, but the %BINDIR% variable is not set, the following messages are issued, and neither of the DOS or AIX command windows will come up. Also, note that no updates are placed into ihsmessage.log. The messages are: "Tivoli environment variables configured." "The system cannot find the path specified." To resolve this problem, make sure the path of the %BINDIR% environment variable is correct. In Windows NT the NMC topology server starts, but then closes If the user right "Act as part of the operating system" is not set correctly to the appropriate userid, the NMC topology communication server will start, but the NMC topology server will start and immediately end. A error message "IHS2133I: The server must be run under a userid that has 'Act as part of the operating system' user right. The server is ending." is placed in the log file ihsmessage.log. To resolve this problem, set the appropriate user rights under Windows NT to the correct userid. Cannot start the NT services of NMC Server at start-up Ensure that the used userid to execute the automatic NT service start-up and Windows NT machine or domain name are not the same. For example, logging locally on to a workstation with the machine name NMCSRV, and the same userid, NMCSRV, is used, an error will occur at Windows NT startup indicating that the userid is not recognized as a valid userid, and the services will not start even though that same userid has administrative privileges allowing them to start the NMC topology server or NMC communications server manually from the NT Services. To resolve this problem, change the userid or machine name to be different. 130 Automation Using Tivoli NetView OS/390 V1R3 and System Automation OS/390 V1R3
  • 145.
    6.3 Setting upthe NMC client workstation This section contains information about the NetView Management Console also known as the NMC Topology Console. It is a Java-based client application and is in cooperation with the NMC topology server application providing network and systems views of the enterprise. This section is divided into the following: 1. Installing the NMC Topology Console for Windows NT 2. Starting the NMC Console using a TCP/IP connection 3. Uninstalling the NMC Topology Console 4. Hints and tips for the NMC Topology Console 6.3.1 Installing the NMC Topology Console This section will explain, in detail, the install process and the setup procedure for the NMC Topology Console, which is, in general, the content of the provided Readme file EGVREAD1.ME on the NMC installation CD along with several situations derived from the actual install at the ITSO environment. To install the NMC Topology Console on Windows 95, 98, or NT, use the following steps: 1. To install the NMC Topology Console from CD: a. Insert the Tivoli NetView for OS/390 CD distribution media into the CD drive of the workstation. b. Find the correct drive and directory that the NMC Topology Console for Windows resides on. The directory is win32enu or win32jpn, and the file name is DUINMCCW.EXE. Running this file from the CD will start the unpacking process. ---- or ---- 1. To install the NMC Topology Console by HTTP download: a. With any web browser, go to the following URL: http://www.tivoli.com/nv390/downloads b. Download the Windows version of the NMC Topology Console into a temporary directory as DUINMCCW.EXE. ---- or ---- 1. To install the NMC Topology Console via a download from mainframe DASD: Chapter 6. Installation of the NetView Management Console 131
  • 146.
    a. To installthe NMC Topology Console from your NetView host (mainframe), please read the EGVREAD5.ME file located under /usr/lpp/netview/install on your OS/390 Unix System Services if the optional Tivoli NetView for OS/390 FMID JPZ8454 has been installed. This install is done using the Tivoli Software Installation Service software. 2. Running the DUINMCCW.EXE file will unpack the files and invoke the Installshield setup application. 3. To perform the install, follow these steps after entering DUINMCCW from the command line. a. The following dialog will be displayed asking the user to "Select Yes to continue with the installation. Select No to exit the installation process". If No is selected, the process ends here. If Yes is selected, the following actions will occur: Figure 64. Install wizard for NMC Client installation b. A Welcome dialog titled "NetView Management Console Topology Console 1.3.0.0 - Welcome" will be displayed as shown above. Selecting the Next button will display a "NetView Management Console Topology Console 1.3.0.0 - Installation Directory" dialog on which the user selects the directory into which the installation files are unpacked. The default directory is x:TEMPNMCClient, where x: is the drive on which Windows is installed. Selecting the Finish button will unpack the files and start the installation process. The user will be prompted to create the output directory if it does not already exist. 132 Automation Using Tivoli NetView OS/390 V1R3 and System Automation OS/390 V1R3
  • 147.
    c. The followingdialog named "Welcome" is the beginning of the NMC Topology Console setup program. Selecting Next will display the next "Information" dialog which contains the read.me file that is available for review. d. Selecting the Next button from the "Information" dialog will display the "Choose Destination Location" dialog. The drive may be changed but it is not recommended that the path information be modified. The path is a standard used by Tivoli, and by the statement within the original Readme file, unpredictable results in the program can occur if it is changed. e. Selecting the Next button will display the "Setup Type" dialog. The default selection will have the "Typical" radio button already selected. This will install the files available for the NMC Topology Console, but not the "NMC Productivity Kit". This option is equivalent to the Compact option. The Compact radio button may also be selected. This will install all of the binaries except for the "NMC Productivity Kit". If the Custom button is selected, a "Select Components" dialog is displayed. Use the check boxes to manually select the components desired. The choices are NMC Program Files and NMC Productivity Kit. The NMC Program Files are all the files that enable the functionality of the NMC Topology Console. The NMC Productivity Kit consists of an NMC Topology Console Demo and example Java applications and plug-ins. f. Selecting the Next button will display to the "Start Copying Files" dialog. This shows the setup type selected for the NMC Topology Console and the path it will be installed into. g. Selecting the Next button will start to install the binaries. h. When the binaries are installed, a "Setup Complete" dialog will be displayed. Unlike previous the NMC Version 1.2, there is no need to update the PATH and CLASSPATH environment variables to define Java. 6.3.2 Starting the NMC Console using a TCP/IP connection Use the following steps to start the NetView Management Console: 1. Make sure that the NMC Server is started and connected to the NetView host. 2. To use the desktop icon to start the NMC Topology Console in Windows95/98/NT, double-click on the NMC Topology Console icon on Chapter 6. Installation of the NetView Management Console 133
  • 148.
    the Windows 95/98/NTdesktop or in the programs group under the Start button. This will display the following NetView Sign On dialog box. Figure 65. NMC Sign On dialog box 3. Sign on to the NMC Server and NetView by entering a valid RACF userid and password. In the field labeled Host Machine, enter the IP address or IP host name of the NMC topology server. 4. Click OK to complete the logon process. 6.3.3 Uninstalling the Tivoli NMC Topology Console To uninstall the NetView Management Console on Windows, the following steps need to be executed: 1. Select the Start -> Control Panel to open the control panel options for Windows NT. 2. Select the Add/Remove Programs icon in the control panel. 3. Select the NetView Management Console Topology Console 1.3.0.0 in the list of programs available under the Install/Uninstall tab and press the Add/Remove button. 134 Automation Using Tivoli NetView OS/390 V1R3 and System Automation OS/390 V1R3
  • 149.
    4. The userwill be prompted to see if they desire to completely remove the NMC Topology Console and all its components. Selecting Yes will remove it. Selecting No will leave the program on the computer. 5. Selecting Yes will result in a Remove Programs From Your Computer dialog, which shows the status of the uninstall. A message saying Uninstall Successfully Completed will be displayed when the uninstall is done. Click OK to finish. 6.3.4 Hints and tips for the NMC Topology Console The most common problem encountered with the NMC Topology Console in past releases was not having Java set up correctly. By shipping Java as part of the NMC Topology Console binaries, the majority of Java-related problems have been eliminated. Another problem is a partial download of NMC files from the NMC Server. This is caused when communications drop as NMC is being downloaded from the server it is connected to. The problem will usually manifest itself as a hang once NMC is started. This is because only part of the .jar file that contains most of the NMC function was downloaded. This is easy to detect by comparing the size of the ihseuc.jar file in the TDSclientlib directory of NMC with that of the ihseuc.jar file in the TDSserverdbcurrentlib directory on the server. They should be the same size. To resolve this, you must uninstall NMC and also delete all the directories and files starting from TDS. After successful uninstall, reinstall the NMC code and then connect to the server again. 6.3.5 Issuing SA OS/390 commands using the NMC The NMC may be used to monitor and control large portions of the enterprise. For a description of the benefits of the NMC and how to use it, refer to the Tivoli NetView for OS/390 NetView Management Console User's Guide, SC31-8665. System Automation for OS/390 exploits these benefits to let the user issue predefined system operations and processor operations commands from context menus. This feature is embedded into the standard use of the NetView Management Console. This section gives a short introduction on how to find the System Automation for OS/390 related context menus and how to issue the commands. The mechanism on how to provide information for graphical monitoring via the NetView Management Console can briefly be described with the following steps: Chapter 6. Installation of the NetView Management Console 135
  • 150.
    1. Define theautomated resources, for example, Application Groups or Systems, using the System Automation for OS/390 customization dialog described in Section 5.3, “Defining all systems and objects to System Automation” on page 60. 2. Group the automated resources into logical Operator View using the SA OS/390 customization dialog as described in Section 5.3.3, “Entering all systems and objects” on page 64. 3. Use the BUILD function of the System Automation for OS/390 customization dialog to build the RODM load files from the object information in the stored in the SA OS/390 policy database. 4. When the created RODM load files are loaded to RODM, the NetView Management Console retrieves the information through GMFHS from RODM and displays the defined OperatorView on its graphical interface. In order to start the NetView Management Console, follow these steps: 1. Make sure that the NMC Server is started and connected to the NetView host using the NETCONV ACTION=START IP=<ipaddress> command on the NetView NCCF interface, where <ipaddress> represents the real IP address of the NMC Server. 2. On the workstation, start the NetView Management Console application. From the NetView Sign On panel, shown in Figure 66, log on to NetView using the correct RACF user ID and password. 136 Automation Using Tivoli NetView OS/390 V1R3 and System Automation OS/390 V1R3
  • 151.
    Figure 66. NetViewSign On dialog 3. The Tivoli NetView for OS/390 Management Console is displayed. Expand the SA_OS/390 selection under Networking Views to get a selection of operator views as defined in the customization dialog. Chapter 6. Installation of the NetView Management Console 137
  • 152.
    Figure 67. NMCConsole View of the Focal Point System SC66 4. Select one of the view objects, as in this example, the focal point system SC66, to the display the contained objects and their status information. Use the Resource Properties selection of an object context menu for detailed object information. Depending on the type of objects displayed in the target view, the corresponding context menus for this object type may vary: - For aggregate objects, such as Operator Views, Groups, Application Groups, and Volume Groups, the context menu displays processor operations commands only. For example, it is possible to issue a processor operations START command to an aggregate object, which will start processor operations on the real objects belonging to this aggregate object. To start a processor operations command on a single system object from this aggregate view, navigate to that specific system object. 138 Automation Using Tivoli NetView OS/390 V1R3 and System Automation OS/390 V1R3
  • 153.
    - For realobjects like Applications and Systems, the context menu displays processor operations commands and system operations commands (assuming both NMC enhancements are installed). The screen shown in Figure 68 illustrates the SA OS/390 context menu for a real object, the focal point system SC66. Figure 68. NMC Context Menu of the Focal Point System SC66 5. By selecting one of the applicable commands, a corresponding dialog box may be displayed to specify additional parameter for the specific command. An example is illustrated in Figure 69 of the dialog box for the DISPSTAT command. At the bottom of this dialog box, the appropriate command syntax is displayed. Note NetView for OS/390 allows a maximum length of 255 characters per command. If the parameter specifications exceed this limit, a message will be displayed that the command cannot be executed. Chapter 6. Installation of the NetView Management Console 139
  • 154.
    Figure 69. NMCdialog box for additional command parameter 6. When finished, press the Send or Send and close button to submit the command to NetView OS/390. The command output is displayed in the NMC Response Log. View the NMC Response Log by selecting the Tear Away Log item from the Options menu. 6.4 Setting up the Web interface to Tivoli NetView OS/390 The same installation process is used for setting up the Web interface for NetView V1R3 as for NetView V1R2. For documentation on this process, refer to the Tivoli redbook An Introduction to Tivoli NetView for OS/390 V1R2, SG24-5224. This reference covers the setup of, and logging on to, a Web browser to issue commands to NetView, as well as examples of the responses from those commands. In general, commands that output messages can be issued. 140 Automation Using Tivoli NetView OS/390 V1R3 and System Automation OS/390 V1R3
  • 155.
    Fullscreen commands aregenerally not supported, although the common BROWSE is supported. You can browse members of concatenated datasets as well as the Netview log. Note The most up-to-date references to any of the Tivoli NetView for OS/390 related information may be obtained from the Web at: http://www.tivoli.com/nv390 6.4.0.1 Enabling NetView OS/390 Web access Ensure that the following NetView DSIPARM members are customized during NetView setup to enable Web access and TCP/IP connectivity. For a detailed description on how to customize NetView for OS/390, see Section 4.3, “Network management environment” on page 33 and Section 4.4, “Automation environment” on page 39. • DSIDMNB - DSIWBTSK task definition: *************************************************************** * NOTE: THE FOLLOWING TASK STATEMENT IS NECESSARY FOR * * NETVIEW WEB SERVER. * *************************************************************** TASK MOD=DSIZDST,TSKID=DSIWBTSK,MEM=DSIWBMEM,PRI=5,INIT=Y • DSIWBMEM - Task parameters for DSIWBMEM: DSTINIT FUNCT=OTHER,XITDI=DSIWBINT TCPANAME = T11ATCP SOCKETS = 100 PORT = 9998 It is important to specify a unique port in the DSIWBMEM member. NetView V1R3 for OS/390 is shipped with a default port of 80. If other Web servers are running, port 80 is allocated to them, and another port has to be allocated for the NetView Web server. Note If there is a problem with the TCP/IP definitions, a BNH1671 message is returned with an error code of 48. Chapter 6. Installation of the NetView Management Console 141
  • 156.
    6.5 Setting upthe NetView 3270 Management Console This section contains information on the system requirements, setup, and operation of the NetView 3270 Management Console. The following topics will be covered: 1. Software requirements a. Mainframe component b. Workstation component 2. Selecting the correct files 3. Available documentation and technical information 4. Setting up the Host (Mainframe) environment a. Setting up DSITCPCF b. Setting up DSITCPRF c. DSIDMNK sample member d. Required host environment 5. Installing NetView 3270 Console on Windows 95, 98, and NT 6. Uninstalling the NetView 3270 Console on Windows 95, 98, and NT 7. Replicating the NetView 3270 Console across multiple machines 8. Operating notes, hints, and tips 6.5.1 Software requirements The NetView 3270 Management Console has two components: - Mainframe component - Workstation component 6.5.1.1 Mainframe components The mainframe component provides the host connection and has the following requirements: - OS/390 Version 1 Release 3 (5645-001) or OS/390 Version 2 Release 4 (5647-A01) or higher. - TCP/IP Version 3 Release 2 or OS/390 Version 2 Release 5 for TCP/IP communication between the host and its clients. - NetView for OS/390 Version 1 Release 3 installed for the specific NetView support for the NetView 3270 Management Console. 142 Automation Using Tivoli NetView OS/390 V1R3 and System Automation OS/390 V1R3
  • 157.
    6.5.1.2 Workstation component The supported client environments are OS/2, Windows NT, Windows 95 and 98, AIX, Solaris, and HP-UX. This section will describe the installation for Windows only. Additional specifics for the different client platforms are: • OS2: The NetView Java Client requires OS/2 Version 4.0 or higher as well as OS/2 TCP/IP Version 2.0 with UN64092 or a later version. The NetView Java Client must be installed in an HPFS partition. • Windows 95, 98, and NT: The NetView Java Client requires Windows 95, 98, or NT 4.0 with TCP/IP support installed. • AIX: The NetView Java Client requires IBM AIX Version 4.2.0 or higher. Note The previous NetView release, V1R2, required that a Java Development Kit (JDK) be downloaded and defined. Since NetView release V1R3, the Java support is integrated into the binaries so that there is no need to obtain Java support separately. 6.5.2 Selecting the correct files To install the NetView 3270 Management Console on Windows 9x and NT from the NetView host (mainframe) or CD via the Tivoli Software Installation Service, please read the EGVREAD5.ME file located under /usr/lpp/netview/install on the OS/390 Unix System Services, if Tivoli NetView for OS/390 FMID JPZ8454 has been installed, or under README/ENU on the Tivoli NetView for OS/390 CD. To install the NetView 3270 Management Console on Windows 9x and NT, using methods other than the Tivoli Software Installation Service, continue with the following instructions. The correct files to install are located in the Tivoli NetView for OS/390 CD distribution media under the directory WIN32 for the Windows 95, 98, and NT NetView 3270 Management Console. The actual files will be in a subdirectory specific to the appropriate language support. The English version of NetView 3270 Management Console will be in ENU (or /ENU). Chapter 6. Installation of the NetView Management Console 143
  • 158.
    The following fileis distributed as part of the NetView 3270 Management Console: • FLB4WIN.EXE - This package contains the NetView 3270 Management Console in a self-extracting unzip file for Windows 95, 98, and NT, which is found on the CD and the Web. 6.5.3 Available documentation and technical information Information is available in HTML format, which you can view using a Web browser. Within the HELP subdirectory of the IBMFLB directory, there are: • FLBHLP.HTM - Contains help information for the NetView 3270 Management Console. This file is the top of the help HTML tree and is installed with the program files. • FLBDPD.HTM - Contains problem determination information and is installed with the program files. 6.5.4 Setting up the host (mainframe) environment • Ensure that TCP/IP 3.2 for MVS or OS/390 V2R5 or higher with TCP/IP is installed and operational on the OS/390 host. • Ensure that the following DSIPARM and DSIPRF members have been created: - DSITCPCF - Task parameters for DSITCPIP in DSIPARM - DSITCPRF - TCP/IP logon encryption profiles in DSIPRF - DSIDMNK - TCP/IP logon encryption profiles in DSIPRF After creating the DSIPARM and DSIPRF members, NetView 3270 Management Console access is enabled when NetView is started. 6.5.4.1 Setting up DSITCPCF Add the following definitions to member DSITCPCF in DSIPRF: - TCPANAME specifies the name of the TCP/IP address space (TCPIP32 procedure). For example: TCPANAME=TCP32 - PORT defines the port on TCP32 on which NetView waits for connection requests. The port is also used by the NetView 3270 Management Console to specify the NetView that will receive a connection request. Valid values are 1-65535. The default is 9999. For example: PORT=9999 144 Automation Using Tivoli NetView OS/390 V1R3 and System Automation OS/390 V1R3
  • 159.
    - SOCKETS defineshow many users can log on to NetView using TCP/IP. TCP/IP reserves a minimum of 50 sockets; so, numbers less than 50 are not used. Valid values are 50-1000. The default is 50. For example: SOCKETS=50 - TIMEOUT defines how many seconds elapse before a request times out. The default value is 3,600. For example: TIMEOUT=60 - DIAGNOSE creates additional debugging messages in the log. Specify NO unless otherwise instructed by the Tivoli Support Center for problem diagnosis. For example: DIAGNOSE=NO 6.5.4.2 Setting up DSITCPRF Member DSITCPRF in DSIPRF defines encryption keys for each operator. The operator ID is followed by a colon and any number of blanks. The first non-blank field is the encryption key for the data flowing from the NetView 3270 Management Console to NetView (command flow). The second non-blank field is the encryption key from NetView to the NetView 3270 Management Console. The length of the keys can be in the range of 1-8 characters. Using an 8-character key is recommended. Use the same keys to define the NetView 3270 Management Console. It does not send the keys on any session. Place DSITCPRF in a secure (DSIPRF DD) library. If both keys are "default", in lowercase, NetView uses a default encryption key. The default key is the same for any session but is not a published value. The default key provides encryption protection. Do not use "default" for only one of the encryption keys because NetView interprets this as a definition error. If both keys are "disabled", in lowercase, encryption is not used. Specify "disabled" for debugging session problems in low-risk networks. Do not use "disabled" for only one of the encryption keys because NetView interprets this as a definition error. Define a NetView operator ID the same as existing IDs. As a security benefit, only operators defined in this file can log on to NetView using a NetView 3270 Management Console. For example, if DSITCPRF only contains the following statement, a logon attempt from a NetView 3270 Management Console using OPERX results in the message, "DSI029I: INVALID LOGON ATTEMPT FROM TERMINAL terminal, ERROR IN THE 'n' FIELD": Chapter 6. Installation of the NetView Management Console 145
  • 160.
    OPER1: default default The following statement enables a NetView 3270 Management Console to log on as OPERX with no encryption: OPERX: disabled disabled Encryption keys can be mixed case. Choose random, printable, non-blank characters, such as: OPER4: a1s2d3f4 lpmonibu Specify the keyword ANY_OTHER to define a single set of keys that is used by operators who are not defined in the DSITCPRF member. For example, to set up universal access with a single statement, specify: ANY_OTHER: default default 6.5.4.3 DSIDMNK sample member Member DSIDMNK in DSIPARM should include the following task definition: TASK TSKID=DSITCPIP,MEM=DSITCPCF,MOD=DSITCPIP,PRI=6 6.5.4.4 Required host environment The following conditions must exist at the host environment to enable the NetView 3270 Management Console: 1. The host TCP/IP must be started each time the system is IPLed. To start TCP/IP after you IPL the system, issue an MVS command similar to: S TCPIP32.TCP32 For further information, refer to the OS/390 TCP/IP OpenEdition User’s Guide, GC31-8305. The start-up profile is in TCP32.PROFILE.TCPIP. 2. NetView for OS/390 and the DSITCPIP optional task must be running. The following command can be used to start the optional task: START TASK=DSITCPIP START TASK=DSITCPIP,MOD=DSITCPIP,MEM=DSITCPCF,PRI=6 The second form is used if the TASK statement is not in the DSIDMN member(s) and if the operator has security authorization for the START command keywords used above. 6.5.5 Installing NetView 3270 Console on Windows 95, 98, and NT This section will explain, in detail, the install process and the setup procedure for the NetView 3270 Management Console, which is, in general, the content of the provided Readme file FLBREAD1.ME on the NMC installation CD, 146 Automation Using Tivoli NetView OS/390 V1R3 and System Automation OS/390 V1R3
  • 161.
    along with severalsituations derived from the actual install at the ITSO environment. To install the NetView 3270 Management Console on Windows 95, 98, or NT, follow these steps: 1.To install the NetView 3270 Management Console from CD: a. Insert the Tivoli NetView for OS/390 CD distribution media into the CD drive of your workstation. b. Find the correct drive and directory that the NetView 3270 Management Console for Windows resides on. The directory is win32enu or win32jpn and the file name is FLB4WIN.EXE. Running this file from the CD will start the unpacking process. ---- Or ---- 1. To install the NetView 3270 Management Console by HTTP download: a. With any Web browser, go to the following URL: http://www.tivoli.com/nv390/downloads b. Download the Windows version of the NetView 3270 Management Console into a temporary directory as FLB4WIN.EXE. ---- Or ---- 1. To install the NetView 3270 Management Console via a download from mainframe DASD: a. To install the NetView 3270 Management console from the NetView host (mainframe), please read the EGVREAD5.ME file located under /usr/lpp/netview/install on your OS/390 Unix System Services if the optional Tivoli NetView for OS/390 FMID JPZ8454 has been installed. This install is done using the Tivoli Software Installation Service software. 2. Select the directory that will be the root directory for the console program directory tree as the current directory. For example, if directory E: is the current directory, the NetView 3270 Management Console program will expand into a directory structure with the directory tree of E:usrlocalTivolibingeneric_unixTDSibmflb. This can be on a LAN drive so that many users share a common copy of the program. Individual settings files are created later in the installation on local disks for each user. 3. Unpack the files by running the FLB4WIN.EXE self-extracting EXE file. It will prompt the user for the directory to unpack the files into with the Chapter 6. Installation of the NetView Management Console 147
  • 162.
    default being x:TEMPNMC3270,where x: is the system drive, and invoke the Installshield setup wizard. Erase the FLB4WIN.EXE file when satisfied that the installation has been successful. This file is not used by the rest of the installation process or the NetView 3270 Management Console program. 4. FLB4WIN.EXE will automatically invoke the Installshield program, which will install all of the files for the NetView 3270 Management Console and create a desktop entry to configure NetView 3270 Management Console .bat files. Simply follow the dialogs presented by the Installshield program (SETUP.EXE) to perform the install, click on the desktop icon, and select Configure the NetView 3270 Management Console. This will bring up the console installation screen shown in Figure 70. Figure 70. NetView 3270 Console setup screen 5. The FLBINST.BAT command file will ask for information, which must be entered in order to successfully connect NetView 3270 Management Console to NetView OS/390. Explaining information is provided to guide in the entering of information. The following list is a brief summary: a. A unique name, such as an operator ID, that will be used as the batch file name. The batch file, for example, oper1.bat, is created in the data directory you specify for the settings files. 148 Automation Using Tivoli NetView OS/390 V1R3 and System Automation OS/390 V1R3
  • 163.
    b. The IPhost name for the mainframe TCP/IP stack. c. The IP port number for the mainframe TCP/IP stack. Note To find the IP port number and IP host name being used by the mainframe TCP/IP stack, log on to NetView and type the following command: LIST DSITCPIP This will produce a response similar to the following: TYPE: OPT TASKID: DSITCPIP TASKNAME: DSITCPIP STATUS: ACTIVE MEMBER: DSITCPCF HOSTNAME=tcphost HOSTID=1.2.3.4 PORT=9999 LOADMOD: DSITCPIP Task Serial: 14 END OF STATUS DISPLAY d. The inbound and outbound encryption keys for the session. e. The directory path for the user settings data and batch command files, for example, E:MYDATA. Special Cases: 1. If the path specified is already being used by your other sessions, the settings are shared among all sessions. 2. To separate settings for some of the sessions, use a separate directory for each case. 3. The installation process will create the data directories if they do not already exist. 4. Since the batch files created in this directory contain encryption keys, ensure security protection of the disk, directory, and files. Typically, a local directory, not one on the LAN accessed by others, should be used. f. The size of the display area should be equivalent to a 3270 screen. Possible values are (rows x characters): • 0 for 24x80 • 1 for 32x80 • 2 for 43x80 • 3 for 32x132 Chapter 6. Installation of the NetView Management Console 149
  • 164.
    6. To setup program shortcuts for the 3270 Management Console: a. Create a shortcut of FLBINST.BAT on the desktop using drag and drop from a view of its containing folder. For example, if installing to E:, the path and file is: E:usrlocalTivolibingeneric_unixTDSibmflbflbinst.bat. b. Create a shortcut for the oper1.bat on the desktop using drag and drop from a view of its containing folder. For example, if the data directory is E:MYDATA, and the name is oper1, the path and file is: E:MYDATAoper1.bat. c. To start the NetView 3270 Management Console or installation program, click on the shortcut. 7. To start the NetView 3270 Management Console from a DOS command window: a. Select the data directory as the current directory, for example CD E:MYDATA. b. Type the filename of the batch file and press Enter. For example: OPER1.BAT Note To re-create the files in the data directory, rerun the installation procedure to re-create missing directories or files in the data directory. 6.5.6 Uninstalling the NetView 3270 Console These uninstall procedures assume that new and unique names for the directories to store the NetView 3270 Management Console program and the (separate) data file directory structure have been selected. Avoid deleting the directories that are shared with other people or which have other data in them. Check the contents of the directories carefully. If in doubt, back up the system first. Removing all of the files will typically free less than 20 MB of disk space. To uninstall the NetView 3270 Console on Windows the following steps need to be executed: 1. Select the Start -> Control Panel to open the control panel options for Windows NT. 2. Select the Add/Remove Programs icon in the control panel. 150 Automation Using Tivoli NetView OS/390 V1R3 and System Automation OS/390 V1R3
  • 165.
    3. Select theNetView 3270 Management Console in the list of programs available under the Install/Uninstall tab and press the Add/Remove button. 4. The user will be prompted to see if they desire to completely remove the NetView 3270 Management Console and all its components. Selecting Yes will remove it. Selecting No will leave the program on the computer. 5. Selecting Yes will result in a Remove Programs From Your Computer dialog, which shows the status of the uninstall. A message saying "Uninstall Successfully Completed" will be displayed when the uninstall is done. Click OK to finish. 6.5.7 Replicating the NetView 3270 Console A NetView 3270 Management Console can be set up on one machine and then duplicated across multiple machines. This involves running the setup program and customizing the NetView 3270 Management Console and then copying setup files created during the process to other machines. The following files need to be copied: 1. Batch or shell files created by the setup process (NT and Unix) After running the TaskGuide setup wizard, which allows the user to specify setup parameters, such as IP host name, IP port, encryption keys, and terminal type, a batch or shell file is created with a name supplied during the setup process. This file can be copied to another machine with the console program installed and then executed, thus eliminating the need for running the setup wizard on the target machine. Note that the setup wizard asks for the name of a data directory on the local machine where data files will be stored. This local directory should also be created on the target machine. To duplicate the NetView 3270 Console on multiple machines, copy the IBMFLB folder containing the NetView 3270 files from the following path from the source workstation machine to the same path on the target workstation: (drive):usrlocaltivolibingeneric_unixTDSibmflb The batch file created on the source workstation (for example, OPER1.bat) can then be copied to the target workstation. Modify the copied batch file to ensure the path points to the IBMFLB folder on the target workstation, as in the example below, and that the IP host name, IP port, and encryption keys are set to their correct values, respectively. The following example illustrates how such a batch file looks: Chapter 6. Installation of the NetView Management Console 151
  • 166.
    @REM NetView 3270Management Console BAT file @SETLOCAL @C: @CD usrlocalTivolibingeneric_unixTDSibmflb @SET JAVAPATH=......w32-ix86Tdsjava @%JAVAPATH%binjre -mx48M -ms16M -classpath .;.jarstivflb13.jar;%JAVAPATH%librt.jar; ... ... %JAVAPATH%libi18n.jarsrc.ibmflb.FLB_NVClient 9999 tcphost.host.com ... ... BUFR NODIAG DEFAULT DEFAULT C:MYDATA 3 @ENDLOCAL Note It is important to ensure that the values in the batch file are identical in case and character to those in the DSITCPRF member. For example, if the member defines the values as “default default”, and they are set to “DEFAULT DEFAULT” in the batch file, the console will start but will produce unreadable text on the screen. 2. Configuration file The data directory specified for the NetView 3270 Management Console contains a file called FLB_CONFIGURATION. This file maintains a list of full-screen sessions available to the console program along with font, color, key remapping, and session option information for each full-screen session. This file should be copied to the data directory of the target machine. It is a binary file and does not contain editable information. Its contents created and modified by the NetView 3270 Management Console program. 6.5.8 Operating notes, hints, and tips The following provides operating hints and tips: • When switching screens, click on the screen area containing the input area before typing in data, or press Enter. • On some platforms, click on the tab areas to refresh the screen if icons are not redrawn. • If experiencing slow response time while running multiple, full-screen applications, try running the applications in either one or fewer, full-screen sessions. If possible, run multiple applications in one session. Use the NetView ROLL command to switch between them. • If the environment runs with the LOGONPW command enabled, it is still required that you log on to the NetView 3270 Management Console. 152 Automation Using Tivoli NetView OS/390 V1R3 and System Automation OS/390 V1R3
  • 167.
    • When installingthe NetView 3270 Management Console in a UNIX environment, close your terminal window after installing the client and then open another terminal window to run the client. • Environment space errors in Windows 95 and 98. It might be possible that the batch files used to set up and launch the NetView 3270 Management Console may require additional environment space. This can be adjusted via the memory properties setting for MSDOS windows or through the shortcut icons. • Screen corruption on scrollable panels. Panels with scrollbars may show screen corruption when moving the scrollbar. Manipulating the scrollbars for a few seconds will clear up this condition. • Out of memory errors on Windows 95. Opening a large number of full-screen sessions (typically, greater than 15) on Windows 95 may cause out of memory errors. Increasing the amount of memory on the machine may help this problem. Chapter 6. Installation of the NetView Management Console 153
  • 168.
    154 Automation Using Tivoli NetView OS/390 V1R3 and System Automation OS/390 V1R3
  • 169.
    Chapter 7. Maintenanceof Tivoli NetView and System Automation This chapter contains directions and tips for an optimized maintenance of the automation features of Tivoli NetView and System Automation, which will include the AUTOMAN maintenance panels and performance issues for the automation table structure. 7.1 Automation table maintenance using AUTOMAN One of the various functions AON provides are the AUTOMAN maintenance panels for servicing a single or multiple NetView automation tables. The following section describes how the AUTOMAN function can be enabled in the System Automation NetView and introduces the AUTOMAN functionality. The AUTOMAN maintenance panels and the AON inform policy functions, further described in Section 9.3, “Using NetView AON inform policies by System Automation” on page 214, can be implemented on a System Automation NetView without having to install any other AON code or functions. 7.1.1 Enabling the AUTOMAN function for the Automation NetView To enable the AUTOMAN function for the automation environment, the Automation NetView start-up procedure and three members of the DSIPARM library have to be modified to include the necessary AON library datasets and commands. 7.1.1.1 Modifying the Automation NetView start-up procedure The following changes to the Automation NetView start-up procedure need to be performed in order to use AUTOMAN: 1. STEPLIB: Add NETVIEW.V1R3M0.SZELLINK to the STEPLIB concatenation so that AUTOMAN modules can be called in the Automation environment. //STEPLIB DD DSN=&SQ2..SINGMOD1,DISP=SHR // DD DSN=&SQ1..CNMLINK,DISP=SHR // DD DSN=NETVIEW.V1R3M0.SEZLLINK,DISP=SHR // DD DSN=&SQ1..SEKGMOD1,DISP=SHR 2. DSICLD: Add NETVIEW.V1R3M0.SEZLCLST to CLIST library so that operators can execute AUTOMAN commands from NCCF panel of the Automation Netview environment. © Copyright IBM Corp. 2000 155
  • 170.
    //DSICLD DD DSN=&Q1..&DOMAIN..CNMCLST,DISP=SH // DD DSN=&SQ2..SINGNREX,DISP=SHR // DD DSN=&SQ1..CNMCLST,DISP=SHR // DD DSN=NETVIEW.V1R3M0.SEZLCLST,DISP=SHR 3. DSIPNL1: Add NETVIEW.V1R3M0.SEZLPNLU to PANEL library, so all AUTOMAN panels can be displayed when the AUTMAN command is issued in the Automation NetView environment. //CNMPNL1 DD DSN=&SQ2..SINGNPNL,DISP=SHR // DD DSN=&SQ1..CNMPNL1,DISP=SHR // DD DSN=NETVIEW.V1R3M0.SEZLPNLU,DISP=SHR // DD DSN=&SQ1..SEKGPNL1,DISP=SHR 7.1.1.2 Update the Automation DSIPARM library Copy the member DSICMDM from the NetView install library, NETVIEW.V1R3M0.DSIPARM, to the common automation NetView DSIPARM library NETVIEW.SYSTEM.DSIPARM, and modify the member DSICMDM by uncommenting the statement %INCLUDE EZLCMDI. After this modification, restart the Automation NetView, and the AUTOMAN functions are enabled and available within the Automation NetView. Note Several AON functions such as INFORM, AUTOMAN, TIMER, SMTP email and TCP/IP commands can be run without other AON automation functions being active. The above steps will enable all of these functions. The AON TIMER functions and the SA/390 TIMER functions cannot run simultaneously in the same operating system environment. The default is the AON TIMER function. Refer to Tivoli NetView for OS/390 Automated Operations Network Users Guide, GC31-866, for further details. For further detailed compatibility information and the latest System Automation APAR for NetView V1R3 toleration refer to Chapter A, “NetView 1.3 toleration for System Automation 1.3” on page 231. 7.1.2 Using AUTOMAN command An automation table is made up of many included members. The automation table management (AUTOMAN) enables manipulation of individual or multiple 156 Automation Using Tivoli NetView OS/390 V1R3 and System Automation OS/390 V1R3
  • 171.
    automation tables througha full-screen panel interface, also enabling changes to selected tables or changes that have an affect on all automation tables. The AUTOMAN command manages loading of tables, displays BEGIN/END structures, and helps in several other useful ways, but it does not assist in creating automation table statements. Using AUTOMAN is a convenient way to perform actions against the automation tables without having to remember the AUTOTBL command syntax. The AUTOMAN panels may look similar to AON, but are easily accessible from the NetView NCCF interface. For some of the AUTOMAN functions, there are LISTING members produced within the DSILIST dataset. These LISTING files may also be created with native AUTOTBL commands, but it is not necessary to remember a stack of parameters. Using AUTOMAN, this information, and all the parameters, is included. The AUTOMAN command integrates AUTOTBL, AUTOCNT, and other NetView AON functions, which makes it a panel-driven tool of ease and convenience. The key functions AUTOMAN provides include: • Display function • Insert Function • Enable/Disable function • Reload/Unload function From the NetView NCCF interface, simply enter the AUTOMAN command. It will start the main menu of the AUTOMAN tool as shown in Figure 71 on page 158. Chapter 7. Maintenance of Tivoli NetView and System Automation 157
  • 172.
    EZLK8500 AUTOMATION TABLE MANAGEMENT AUTOMATION TABLE Enter any character in the selection fields SEL POS NAME STATUS MARKERS TASK DATE TIME _ 1 AOFMSG01 ENABLED AUTO1 12/07/99 16:45:47 _ 2 AOFTST01 ENABLED GAO 12/09/99 12:21:39 _ 3 DSITBL99 ENABLED GAO 12/09/99 12:22:01 Command ===> F1=Help F2=Main Menu F3=Return F4=Commands F5=Refresh F6=Roll F7=Backward F8=Forward F9=Responses F10=Global Commands F12=Cancel Figure 71. Automation Management Tool AUTOMAN AUTOMAN initially displays all loaded tables in their correct order. Each table on the panel is able to be addressed and edited by moving the cursor. On the main menu of AUTOMAN, the predefined PF keys displayed at the bottom of the panel are used for the desired functions. Select an automation table to work with and press PF4 for commands to that automation table, or select PF10 to act on all automation tables to make global changes. In the ITSO project example, the automation table, AOFMSG01, is selected, and by pressing PF4, the specific command menu is displayed as shown in Figure 72. 158 Automation Using Tivoli NetView OS/390 V1R3 and System Automation OS/390 V1R3
  • 173.
    EZLKATBC AUTOMATION TABLE MANAGEMENT AUTOMATION TABLE Enter any character in the selection fields SEL POS NAME ................................................... / 1 AOFMSG01 : COMMANDS (Choose a highlighted command option) : _ 2 AOFTST01 : : _ 3 DSITBL99 : 8 1 -ENABLE the selected tables : : 2 -DISABLE the selected tables : : 3 -RELOAD the selected tables : : 4 -TEST the selected tables : : 5 -ENABLE/DISABLE parts of the : : selected tables : : 6 -UNLOAD selected tables : : 7 -INSERT a table : : 8 -DISPLAY options : : : : Enter=Execute Command F3 or F12=Cancel : :.................................................: Command ===> F1=Help F2=Main Menu F6=Roll Figure 72. Commands Menu of AUTOMAN The available command actions are as follows: • DISABLE automation table • ENABLE automation table • RELOAD automation table • TEST statement syntax of automation table • INSERT a new automation table in active list • DISPLAY every information about automation table AUTOMAN is very beneficial for easily reloading a table that has been changed without having to remember the exact AUTOTBL command syntax. 7.1.2.1 AUTOMAN display function AUTOMAN provides very strong display functionality on automation tables, including: • Simple automation table without INLCUDEs • Detail automation table with all INLCUDEs • Synonyms of automation table • Automation table utilization report • Listing file on DSILIST Chapter 7. Maintenance of Tivoli NetView and System Automation 159
  • 174.
    To display informationabout automation table AOFMSG01, select the DISPLAY option by entering 8 from commands menu. This option will display the following DISPLAY menu as shown in Figure 73. EZLKATLD AUTOMATION TABLE MANAGEMENT AUTOMATION TABLE Enter any character in the selection fields SEL POS NAME ................................................... / 1 AOFMSG01 : COMMANDS (Choose a highlighted command option) : _ 2 AOFTST01 : : _ 3 DSITBL99 : 8 1 -ENABLE the selected tables : ............................................................. : DISPLAY OPTIONS (select option and press ENTER) : : : : 3 1 - Browse table with includes 8 - Browse listing : : 2 - Browse table without includes : : 3 - Display INCLUDE structure : : 4 - Display synonyms : : 5 - Display labels/blocks/groups : : 6 - Display disabled statements : : 7 - Display AUTOCNT statistics : :...........................................................: Command ===> F1=Help F2=Main Menu F3=Return F6=Roll F12=Cancel Figure 73. AUTOMAN display menu for INCLUDE structure Using AUTOMANs DISPLAY function, any information about the automation table can be selected and browsed. For example, to review the INCLUDE structure of AOFMSG01, select 3 from DISPLAY menu, and the INCLUDE structure list of AOFMSG01 will be displayed as shown in Figure 74 on page 161. 160 Automation Using Tivoli NetView OS/390 V1R3 and System Automation OS/390 V1R3
  • 175.
    CNMKWIND OUTPUT FROM%INCLUDE STRUCTURE DISPLAY LINE 0 OF 22 *------------------------------- Top of Data --------------------------------* AOFMSG01 PRIMARY TABLE AOFMSGSY AOFMSGGW AOFMSGST AOFMSGTS AOFMSGMS AOFMSGHI AOFMSGBL AOFMIO AOFMNETV AOFMSGGN AOFMVTAM AOFMAPPC AOFMMVS AOFMJES2 AOFMJES3 AOFMTSO TO SEE YOUR KEY SETTINGS, ENTER 'DISPFK' CMD==> Figure 74. %INCLUDE structure for automation table AOFMSG01 In addition to automation table structure information, the ability to collect utilization or statistics information about automation tables by using the AUTOCNT function is included in the AUTOMAN commend menu. In the ITSO example, to display the automation table utilization of AOFMSG01, option 7 from the DISPLAY menu was selected. EZLKATLD AUTOMATION TABLE MANAGEMENT AUTOMATION TABLE Enter any character in the selection fields SEL POS NAME ................................................... / 1 AOFMSG01 : COMMANDS (Choose a highlighted command option) : _ 2 AOFTST01 : : _ 3 DSITBL99 : 8 1 -ENABLE the selected tables : ............................................................. : DISPLAY OPTIONS (select option and press ENTER) : : : : 7 1 - Browse table with includes 8 - Browse listing : : 2 - Browse table without includes : : 3 - Display INCLUDE structure : : 4 - Display synonyms : : 5 - Display labels/blocks/groups : : 6 - Display disabled statements : : 7 - Display AUTOCNT statistics : :...........................................................: Command ===> Figure 75. Display menu for AUTOCNT Chapter 7. Maintenance of Tivoli NetView and System Automation 161
  • 176.
    The AUTOCNT statisticsreport panel is displayed in Figure 76. CNMKWIND OUTPUT FROM AUTOCNT STATISTICS LINE 0 OF 374 *------------------------------- Top of Data --------------------------------* DWO800I AUTOMATION TABLE MSG DETAIL REPORT BY GAO -----------( AOFMSG01/AOFMS292 MESSAGE DETAILS 12/03/99 00:00:20 )------------ GAO COMPLETED INSERT FOR TABLE #1: AOFMSG01 AT 12/02/99 23:41:14 |-- PERCENTAGES --| STMT L SEQUENCE NUMBER/ MEMBER COMPARE MATCH E C A D MATCH/ COMP/ MATCH/ NUMB I LABEL NAME NAME COUNT COUNT C I I I COMP TOTAL TOTAL ------------------------------------------------------------------------------- MEMB AOFMSG01 MEMB AOFMSGSY 0051 S 00087000 AOFMSG01 110 110 0 X X 100.0 100.0 100.0 0052 S 00105000 AOFMSG01 110 0 0 0.0 100.0 0.0 0053 S 00113000 AOFMSG01 0 0 0 -.- 0.0 0.0 0054 S 00121000 AOFMSG01 0 0 0 -.- 0.0 0.0 0055 S 00129000 AOFMSG01 0 0 0 -.- 0.0 0.0 0056 S 00137000 AOFMSG01 0 0 0 -.- 0.0 0.0 0057 S 00145000 AOFMSG01 0 0 0 -.- 0.0 0.0 MEMB AOFMSGGW 0059 S 00037630 AOFMSGGW 110 0 0 0.0 100.0 0.0 0060 S 00041590 AOFMSGGW 110 0 0 0.0 100.0 0.0 0061 S 00051490 AOFMSGGW 110 95 0 86.4 100.0 86.4 TO SEE YOUR KEY SETTINGS, ENTER 'DISPFK' CMD==> Figure 76. AUTOCNT statistics report of AOFMSG01 The AUTOCNT report will be described in more detail in Section 7.2, “Netview and automation table optimization for performance” on page 166. More information about automation tables may be obtained by selecting other items from the DISPLAY menu of AUTOMAN. 7.1.2.2 AUTOMAN Insert Function An automation table is easily inserted into the list of active automation tables and is put in the correct position by using the AUTOMAN menu. The following example shows how to insert the new automation table, AOFTST02, into AUTOMANs active tables list. Continue to select the main automation table, AOFMSG01, and choose option 7 from the commands menu as shown in Figure 77 on page 163. 162 Automation Using Tivoli NetView OS/390 V1R3 and System Automation OS/390 V1R3
  • 177.
    EZLKATBC AUTOMATION TABLE MANAGEMENT AUTOMATION TABLE Enter any character in the selection fields SEL POS NAME ................................................... / 1 AOFMSG01 : COMMANDS (Choose a highlighted command option) : _ 2 AOFTST01 : : _ 3 DSITBL99 : 7 1 -ENABLE the selected tables : : 2 -DISABLE the selected tables : : 3 -RELOAD the selected tables : : 4 -TEST the selected tables : : 5 -ENABLE/DISABLE parts of the : : selected tables : : 6 -UNLOAD selected tables : : 7 -INSERT a table : : 8 -DISPLAY options : : : : Enter=Execute Command F3 or F12=Cancel : :.................................................: Command ===> F1=Help F2=Main Menu F6=Roll F12=Cancel Figure 77. Command menu for INSERT of an automation table The INSERT function is called, and the following Table Insert panel is displayed. EZLKATBI AUTOMATION TABLE MANAGEMENT AUTOMATION TABLE INSERT PANEL (Press Enter to process INSERT request) Preceding Table Focus Table AT= 1 Next Table ---------------------- ---------------------- ---------------------- N/A AOFMSG01 AOFTST01 SELECT INSERT OR TEST OPTION 2 1 - AT(DEFAULT) Table Name AOFTST02 (Required) 2 - AFTER Listing Name AUTOM876 Default listing name 3 - BEFORE (names can be reused, 4 - REPLACE but cannot be in use 5 - FIRST by another table) 6 - LAST SELECT A MARKER OPTION OR 7 - AUTOTBL TEST Enter your own marker Command ===> F1=Help F3=Return F6=Roll F12=Cancel Figure 78. Table Insert panel for an automation table Chapter 7. Maintenance of Tivoli NetView and System Automation 163
  • 178.
    The exact automationtable position can be controlled by key parameter as shown in Figure 78 on page 163. Several options to determine where the new automation table is to be inserted are available. In this example, the AFTER option 2 is chosen, and the new AOFTST02 will be inserted after AOFMSG01 and before AOFTST01. In addition, it would be possible to test the new automation table and its results of insertion by selecting the AUTOTBL TEST option 7. After the new automation table, AOFTST02, is inserted into the active automation table list, this list in displayed to the user as demonstrated in Figure 79. EZLK8500 AUTOMATION TABLE MANAGEMENT AUTOMATION TABLE Enter any character in the selection fields SEL POS NAME STATUS MARKERS TASK DATE TIME _ 1 AOFMSG01 ENABLED AUTO1 12/07/99 16:45:47 _ 2 AOFTST02 ENABLED GAO 12/09/99 12:27:44 _ 3 AOFTST01 ENABLED GAO 12/09/99 12:21:39 _ 4 DSITBL99 ENABLED GAO 12/09/99 12:22:01 Command ===> F1=Help F2=Main Menu F3=Return F4=Commands F5=Refresh F6=Roll F7=Backward F8=Forward F9=Responses F10=Global Commands F12=Cancel Figure 79. Updated automation table list of AUTOMAN 7.1.2.3 AUTOMAN Enable/Disable function The AUTOMAN function of enabling or disabling is not limited to the automation table as a whole member but, instead, can operate on various range levels of the automation table. Based on its structure, AUTOMAN can perform Enable/Disable action on statements, blocks, labels, groups, or entire automation tables. As an example, the following scenario details the Enable/Disable function for only a part of the AOFMSG01 automation table. By selecting the specific automation table, AOFMSG01, and option 5 from the commands menu, as shown in Figure 80 on page 165, the automation table statement selection panel will be displayed as illustrated in Figure 81 on page 165. 164 Automation Using Tivoli NetView OS/390 V1R3 and System Automation OS/390 V1R3
  • 179.
    EZLKATBC AUTOMATION TABLE MANAGEMENT AUTOMATION TABLE Enter any character in the selection fields SEL POS NAME ................................................... / 1 AOFMSG01 : COMMANDS (Choose a highlighted command option) : _ 2 AOFTST02 : : _ 3 AOFTST01 : 5 1 -ENABLE the selected tables : _ 4 DSITBL99 : 2 -DISABLE the selected tables : : 3 -RELOAD the selected tables : : 4 -TEST the selected tables : : 5 -ENABLE/DISABLE parts of the : : selected tables : : 6 -UNLOAD selected tables : : 7 -INSERT a table : : 8 -DISPLAY options : : : : Enter=Execute Command F3 or F12=Cancel : :.................................................: Command ===> F1=Help F2=Main Menu F6=Roll F12=Cancel Figure 80. Commands menu for Enable/Disable function AUTOMAN defines various function keys for every range, for example, group, block and statement as displayed in Figure 81. EZLKENDI AUTOMATION TABLE MANAGEMENT More: - + AUTOMATION TABLE (Place cursor on statement and select action) MEMBER LVL STATEMENT AOFMSG01 001 ALWAYS SYSLOG(N) NETLOG(Y) DISPLAY(Y) CONTINUE(Y); AOFMSG01 001 IF MCSFLAG(6) = '1' THEN BEGIN; AOFMSG01 002 IF SYSID¬='SC66' & MSGID = 'AOF' . THEN DISPLAY(N) NETLOG(N); AOFMSG01 002 IF TASK='PPT' & MSGID = 'AOF' . THEN DISPLAY(N) NETLOG(N); AOFMSG01 002 IF ATTENDED='1' & DISTAUTO='0' & AUTOTASK='1' THEN DISPLAY(N) AOFMSG01 002 NETLOG(N); AOFMSG01 002 IF MSGID = 'AOF' . & IFRAUSDR ¬= 'SC66ASIR' THEN DISPLAY(Y) AOFMSG01 002 NETLOG(N); AOFMSG01 002 IF IFRAUSDR¬='SC66ASIR' THEN DISPLAY(Y) NETLOG(Y); AOFMSG01 002 END; ******** 001 START OF AOFMSGGW AOFMSGGW 001 IF MSGID = 'GWREQ' THEN DISPLAY(Y) NETLOG(N) SYSLOG(N); AOFMSGGW 001 IF MSGID = 'ROUTE' THEN DISPLAY(Y) NETLOG(Y) SYSLOG(N); Command ===> F1=Help F2=Main Menu F3=Return F4=Enable F5=Display Group/Block F6=Roll F7=Backward F8=Forward F9=Disable Stmt/Member F10=Disable Block F11=Disable Group F12=Results Figure 81. Enable/Disable Selection panel Chapter 7. Maintenance of Tivoli NetView and System Automation 165
  • 180.
    Select the appropriategroup, block, or statement within the automation table, and press the specific function key to enable or disable the selected area. For example, to disable a statement, place the cursor onto the prefix of that statement and press PF9, which will change the color of that statement. The following message will be displayed indicating that the action has completed successfully: EZL919I ALL ACTIONS SUCCESSFULLY COMPLETED 7.2 Netview and automation table optimization for performance This section provides basic tuning considerations to improve general NetView and automation table performance. Basics rules and hints will be given to help the NetView program and its network and automation environment achieve a certain performance level in areas, such as response time, resource utilization, and data throughput. 7.2.1 NetView automation table Since the NetView automation table is searched sequentially from top to bottom, a thoughtful automation table design and structure will provide a substantial performance improvement. Automation of system and network messages and MSUs is accomplished with automation table statements, such as IF-THEN, BEGIN-END, ALWAYS, SYN, and %INCLUDE within the NetView automation table, which is activated by the AUTOTBL command. Messages and MSUs are passed through the active NetView automation table structure to sequentially search one or more of the above automation table statements that indicate actions to be performed for that individual message or MSU. The following sections describe basics guidelines for a reliable automation table design and structure. 7.2.1.1 BEGIN/END statements BEGIN/END statements provide a logical segmentation of the automation table, reducing the number of automation statements that must be scanned. Automation tables should be designed so that each message prefix (such as DSI), each MSU major vector (such as major vector X'0000'), and specific subvectors have BEGIN/END sections. If BEGIN/END sections are dedicated to the specific message and MSU classes, the number of statements that must be scanned is by far smaller 166 Automation Using Tivoli NetView OS/390 V1R3 and System Automation OS/390 V1R3
  • 181.
    than all IF-THENand ALWAYS statements to be scanned. If each message class has its own unique BEGIN/END section, placing ALWAYS statements as the last ones in a section prevents the automation table from being scanned further if no automation table match was found. The following screen in Figure 82 is a simple example of IF-THEN, BEGIN/END, ALWAYS usage: IF MSGID = 'AOFDATA:' THEN BEGIN; IF ATF('DSICGLOB AOF.RPC.0DEBUG') = 'Y' THEN DISPLAY(Y) NETLOG(Y); ALWAYS DISPLAY(Y) NETLOG(N); END; Figure 82. Example of using BEGIN/END and IF statements Another design criteria of building the automation table structure is the frequency of use of specific statements or blocks. Order the BEGIN/END sections according to their frequency of use to eliminate frequently appearing messages to pass long lists of statements before final matches occur. Note The less criteria statements to be scanned before a match occurs, the better the overall performance of the system and its automation. For example, if a large number of VTAM messages are received, a BEGIN/END section to handle IST messages should be at or near the top of the automation table to decrease the number of statements that must be evaluated before the correct BEGIN/END section is found. Note Use the AUTOCNT command to determine the usage of automation table statements and find out what statements are more frequently used than others. Refer to the Tivoli Netview for OS/390 Tuning Guide, SC31-8240, for further information about the AUTOCNT command. The following screen in Figure 83 on page 168 illustrates the summary output result of the AUTOCNT command. Chapter 7. Maintenance of Tivoli NetView and System Automation 167
  • 182.
    NCCF Tivoli NetView SC66A GUIMARA 12/09/99 16:18:42 * SC66A AUTOCNT REPORT=MSG,STATS=SUMMARY,DISPLAY ' SC66A DWO801I AUTOMATION TABLE MSG SUMMARY REPORT BY GUIMARA -----------( AOFMSG01/******** MESSAGE SUMMARY 12/09/99 16:18:42 )------------ AUTO1 COMPLETED INSERT FOR TABLE #1: AOFMSG01 AT 12/07/99 16:45:47 STATISTICS STARTED = 12/07/99 16:45:47 TOTAL MSGS PROCESSED = 17535 MSGS MATCHED = 17535 MSGS RESULTING IN COMMANDS = 176 TOTAL COMMANDS EXECUTED = 194 TOTAL ROUTES EXECUTED = 0 AVERAGE COMPARES/MSG = 34.38 AVERAGE MSGS/MINUTE = 6 MINUTES ELAPSED = 2852 Figure 83. AUTOCNT command summary results 7.2.1.2 Other automation table design guidelines The following considerations for designing the automation table structure help to reduce processing overhead and enhance automation performance: • Use IF-THEN statements and ALWAYS statements to specify that no action should be performed, thus eliminating unnecessary processing time. • Use the ASSIGN command to split the messages among several autotasks. This will prevent automation performance bottlenecks due to a high number of unsolicited messages queueing for processing on one single autotask. • Eliminate simple command procedures (REXX clists) whose function can be processed in the automation table directly. The invocation of the clist and its interpretation takes longer than direct processing from the automation table. 7.2.2 Additional hints and tuning considerations This section is a summary of other best practices and additional hints that help improve the overall NetView performance: • Limit the number of system messages that the NetView program has to process The NetView automation table is searched for most messages that pass through the NetView program. Therefore, it is important to limit the system message traffic sent to the NetView program to only those messages that 168 Automation Using Tivoli NetView OS/390 V1R3 and System Automation OS/390 V1R3
  • 183.
    should be consideredfor automation or to those that are needed for display purposes. On OS/390 systems, the MPFLSTxx member of SYS1.PARMLIB identifies whether a message is eligible for automation processing. Specify AUTO(YES) or AUTO(NO) to identify whether a message is eligible for automation processing. • Optimize the VSAM CISIZE’ and DSIZVLSR (LSR/DFR) buffer settings. Use the VSAMPOOL command to check the buffer usage, and: - Save main storage by removing buffers that were never used. - Reduce the number/size of infrequently used buffers. - For index buffers that are frequently used, the number of buffer finds (BFRFND) should be at least 10-20 times the number of buffers reads (BUFRDS). It may be necessary to increase the number of buffers to achieve this ratio. - For data buffers that are frequently used, the number of buffer finds should be greater than the number of buffer reads. • Use the improved MEMSTORE command to ensure that frequently used clists are loaded in storage for faster access and reduced disk I/O. The MEMSTORE command should be run periodically from the same task, preferably an autotask. The MEMSTORE command obtains a list of members that have been read very often from disk and loads these members into storage specified by the command. If necessary, members with low disk I/O, but previously being loaded into storage by this task, will be unloaded. • Use the IDLEOFF command to examines operator idle times and stop them after a defined period of time. Idle time is defined as the time since new input was provided by the task owner. Figure 84 on page 170 shows how to use the MEMSTORE and IDLEOFF commands in the NetView initialization clist CNME1034. Note To start automatically the MEMSTORE and IDLEOFF features, uncomment these statements in the CNME1034 NetView initialization clist. Chapter 7. Maintenance of Tivoli NetView and System Automation 169
  • 184.
    /* If youwish to run MEMSTORE to keep high-use PDS members in storage instead of on disk, modify and uncomment the following lines. For more information enter HELP MEMSTORE and/or refer to to the commentary in CNME1054. */ /* 'PIPE CC AUTOTASK OPID=memstask | CONS' */ /* 'OVERRIDE MAXIO=0,TASK=memstask' */ 'EVERY 00:02:00 ROUTE=AUTO1 EVERYCON=YES MEMSTORE 5% 5' /* If you wish to run IDLEOFF to log off idle operators, modify and uncomment the following line. For more information enter HELP IDLEOFF and/or refer to the commentary in CNME1057. */ 'IDLEOFF INIT AUTO1 60 10' Figure 84. MEMSTORE and IDLEOFF statements in the CNME1034 Clist 7.3 Maintenance of the System Automation policy data base The System Automation policy database is created and built with the dialog tool described in Section 5.3, “Defining all systems and objects to System Automation” on page 60 and in Chapter 6. An optimized structure of the System Automation policy database is recommended because the System Automation workload depends on the structure of its policy database and usage of its advanced features. The following sections provide some considerations, derived from the experiences of the ITSO automation project, about how to use and optimize the System Automation policy database. The topics are as follows: • Design a hierarchical structure for the SA policy database • Use ADD/REMOVE commands to reload/unload the SA policy database • RACF considerations • Migrate policies from previous AOC • Build ACF and RODM • Produce an SA policy database report • Use ACFPLOAD command 7.3.1 Design a hierarchical structure Before the creation of the System Automation policy database, design the database structure first. Divide the applications into different groups according to their characteristics and functions. Have applications with common policies share a generic application class. By using the class support, redundant definitions are eliminated, and changes to the SA policy database are substantially easier. 170 Automation Using Tivoli NetView OS/390 V1R3 and System Automation OS/390 V1R3
  • 185.
    For example, automateTSO and TCPIP with a generic class, since TSO and TCPIP have very similar common policies, including the unique parent application VTAM, start-up, and shutdown behaviors. Define this generic application class with all the common policies, and associate this application class to TSO and TCPIP. In a sysplex policy database, the usage of clone names and symbolics is very important for the applications to be able to run on the multiple systems within the sysplex environment. A thoughtfully designed and optimized System Automation policy database will tremendously reduce the overall maintenance effort. 7.3.2 Using ADD/REMOVE commands The ADD command is used to add a policy database from a given dataset, which was previously removed. The ADD functions works like adding a new catalog entry to the System Automation policy database list without actually creating a new policy database. The REMOVE command is used for removing a policy database from System Automation policy list, such as issuing an UNCATALOG command to that existing policy database. The dataset of the removed policy database is not actually deleted. After a policy database has been created and applied on the system, it may be removed from the policy database list, in the case that changes are necessary. Submit the MVS IEBCOPY function to back up the policy database. When the required policy database changes are completed, it may be added back to the policy database list. On a sysplex environment, System Automation administrators on the target systems or focal point system sometimes need to review or change policy database settings to improve automation performance. Sharing one policy database is, for example, possible by using the ADD command for this particular policy database. 7.3.3 RACF considerations In general, the System Automation policy database is only used by its administrators. The RACF facility is used to protect the policy database, and to define this database as a RACF class resource. Use the ADDSD command to add the policy database as a RACF class: ADDSD <dsname> UACC(NONE) AUDIT(ALL(READ)) Chapter 7. Maintenance of Tivoli NetView and System Automation 171
  • 186.
    where <dsname> representsthe policy dataset name. Use the PERMIT command to grant userids to alter the policy database: PERMIT <dsname> ID(<userid>) ACCESS(ALTER) where <dsname> represents the policy dataset name and <userid> the System Automation administrator. 7.3.4 System Automation migration A migration function is provided by the System Automation policy dialog to migrate from earlier release to current release. The following functions are available for System Automation V1R3: • Add an existing AOC/MVS or SA OS/390 automation control file to the policy database • Transform the format of existing AOC/MVS enterprise policy databases • Add existing TSCF configuration Use the System Automation MIGRATE command or the action menu MIGRATE to initiate a migration. For detailed information on how to migrate, refer to System Automation for OS/390 V1R3 Customization, GC28-1566. 7.3.5 Building for ACF and RODM After the Automation NetView start-up, the current Automation Control File (ACF) and RODM policy data will be managed and controlled by NetView and RODM. During the online access of NetView and RODM to this policy information, the user is limited in the use and the update of this policy database. It is recommended that different datasets are used for the policy database and ACF, RODM datasets. When building a policy database, the user is prompted by the function, Build Output Dataset. It is advised to use another dataset name at this point so that the policy database may be operated and updated without any limitation. For detailed information on how to build the ACF and the RODM load statements, refer to the manual System Automation for OS/390 V1R3 Customization, GC28-1566. 172 Automation Using Tivoli NetView OS/390 V1R3 and System Automation OS/390 V1R3
  • 187.
    7.3.6 Policy report System Automation provides report functions to its administrator to print a description for the automation policy. By using the REPORT command or the REPORT menu action, the report will be produced. Use the GML or Bookmaster function to read or print the report. 7.3.7 ACFPLOAD The ACFPLOAD command allows changes to be made to the automation configuration policy without reloading the entire ACF or interrupting the automation processing. For ACFPLOAD command usage, the user needs to know the specific member name of the configuration data to be loaded. This can be done from the NetView command interface, NCCF, by browsing the AOFACFMP member to determine the current configuration file. With ACFPLOAD, local modifications can be accomplished without the need to recycle the entire ACF. Chapter 7. Maintenance of Tivoli NetView and System Automation 173
  • 188.
    174 Automation Using Tivoli NetView OS/390 V1R3 and System Automation OS/390 V1R3
  • 189.
    Chapter 8. Baseautomation features This chapter explains the basic automation features of both products, Tivoli NetView and System Automation. It describes base automation rules for System Automation to better understand and use its automation, as well as the existent and new automation capabilities of Tivoli NetView for OS/390. 8.1 New automation table features of NetView for OS/390 V1R3 The following enhancements have been made to the automation table functionality in NetView for OS/390: • Support for multi-line messages • Most IF-THEN condition items can now use substrings • Support of greater-than and less-than operators • Support of numeric comparisons • Support of current date (format mm/dd/yy) and current time (format hh:mm:ss) values as condition items • Values of variables can be used at various places on the IF side of the automation table statement (VALUE() function) • An EDIT action has been added to enable messages and MSUs to be parsed and reformatted • A TRACE action has been added to trace the processing of a message or MSU through the automation table • The AUTOMATED function has been added to test the status of the handling of a message or MSU Examples of these are given below. Note Refer to the Tivoli NetView for OS/390 Automation Guide, SC31-8225, for full details of automation table statement syntax. 8.1.1 Multi-line message support The multi-line message support uses the ACQUIRE automation table condition item, which makes use of the PIPE EDIT stage syntax and function to extract AIFR data. © Copyright IBM Corp. 2000 175
  • 190.
    An example isshown in Figure 85: * * THIS RESPONSE TO MVS D A,NPM SHOWS IT NEEDS STARTING * *IEE115I 16.38.52 1999.347 ACTIVITY 908 * JOBS M/S TS USERS SYSAS INITS ACTIVE/MAX VTAM OAS *00007 00050 00003 00030 00055 00003/00050 00026 *NPM NOT FOUND * IF MSGID='IEE115I' & ACQUIRE('LINENUM 4 WORD 2.2') = 'NOT FOUND' & ACQUIRE('LINENUM 4 WORD 1') = 'NPM' THEN EXEC(CMD('MVS S NPM')); Figure 85. Example of multi-line message processing 8.1.2 IF-THEN condition item substrings The IF-THEN condition item substrings allow a length to be specified on the compare item instead of having to code a period (.) to terminate the length of the compare. An example is given in Figure 86. * * Example of substrings in TOKEN * * Output from DIS command if invalid resource is specified : * EG. DIS BILL * IST453I ID PARAMETER VALUE USIBMSC.BILL NOT VALID * IF MSGID='IST453I' & TOKEN(5 3 3) = 'IBM' & TOKEN(5 1 7) = NETWORK & TOKEN(5 9) = RES THEN EXEC(CMD('MSG ALL RESOURCE 'NETWORK'.'RES' IS INVALID') ROUTE(ONE *)); * Figure 86. Automation table IF-THEN substrings Issuing the command DIS BILL will result in the output shown in Figure 87 on page 177. 176 Automation Using Tivoli NetView OS/390 V1R3 and System Automation OS/390 V1R3
  • 191.
    NCCF Tivoli NetView SC69N NETOP1 12/14/99 14:50:28 C SC69N DISPLAY NET,ID=BILL,SCOPE=ALL SC69N IST453I ID PARAMETER VALUE USIBMSC.BILL NOT VALID - SC69N DSI001I MESSAGE SENT TO ALL M SC69N DSI039I MSG FROM NETOP1 : RESOURCE USIBMSC.BILL IS INVALID ------------------------------------------------------------------------------- Figure 87. Output from DIS command exploiting IF-THEN substrings 8.1.3 Greater-than and less-than operator support It is now possible to specify comparison ranges using the ‘>=’ and ‘<=’ operators. Figure 88 shows greater-than and less-than operators used to determine the daily work shift hours. * * Example of greater and less than numeric comparison and current time * * IF MSGID='DSI123I' THEN BEGIN; IF CURRTIME(1 2) >= '08' & IF CURRTIME(1 2) <= '17' THEN EXEC(CMD('DAYSHFTC')); ALWAYS EXEC(CMD('OFFSHFTC')); END; * Figure 88. Example of greater-than and less-than operator support 8.1.4 Numeric comparison and current time support As demonstrated in Figure 88, it is now possible to perform direct numeric comparison and use the current date (CURRDATE) and current time (CURRTIME) functions. 8.1.5 Variable value function support The new VALUE() function enables variables to be used on the IF side of the automation table statement included in the ATF DSICGLOB function. This provides flexibility and an opportunity to significantly reduce the number and complexity of automation table statements. Figure 89 on page 178 demonstrates the new VALUE() function. Chapter 8. Base automation features 177
  • 192.
    * * Example of variable usage * IF MSGID='IST453I' & TOKEN(5 6 2) = NETSUFF & TOKEN(5 1 7) = 'USIBM'VALUE(NETSUFF) & TOKEN(5 1 7) = NTWK & TOKEN(5 9) = RES & ATF('DSICGLOB MYVAR.'VALUE(NTWK)'.'VALUE(RES)'.ADD.TEXT') = 'YES' THEN EDIT('COPY * /REISSUE DIS COMMAND SPECIFYING A VALID RESOURCE'); * Figure 89. Example of variable value function support In this example, the global variable MYVAR.USIBMSC.FRED.ADD.TEXT was set to the value YES On issuing the command DIS FRED the following output is displayed (Figure 90) showing that the condition in the automation table was all true and that the COPY command was issued. NCCF Tivoli NetView SC69N NETOP1 12/14/99 15:43:09 C SC69N DISPLAY NET,ID=FRED,SCOPE=ALL SC69N IST453I ID PARAMETER VALUE USIBMSC.FRED NOT VALID REISSUE DIS COMMAND SPECIFYING A VALID RESOURCE ------------------------------------------------------------------------------- Figure 90. Output from DIS command exploiting automation table variables 8.1.6 Message reformatting The EDIT action (PIPE EDIT functionality) has been added to make changes to an AIFR while it is in the automation table. With EDIT, messages and MSUs can be parsed and reformatted. The altered AIFR will continue through the automation table. Figure 91 through Figure 93 show how a message would be displayed before EDIT processing, the automation table statements to reformat it, and how it would appear after EDIT processing. 178 Automation Using Tivoli NetView OS/390 V1R3 and System Automation OS/390 V1R3
  • 193.
    * SC69N REFRESH OPERS - SC69N DSI213I ACCESS TO 'REFRESH' IS NOT AUTHORIZED Figure 91. Output from REFRESH OPERS command before EDIT action * * Example of EDIT action * IF MSGID='DSI213I' THEN EDIT('COPY * /CALL USER SUPPORT AT 91-123456/'); * Figure 92. Automation table EDIT action statements * SC69N REFRESH OPERS - SC69N DSI213I ACCESS TO 'REFRESH' IS NOT AUTHORIZED CALL USER SUPPORT AT 91-123456 Figure 93. Output from REFRESH OPERS command after EDIT action 8.1.7 Automation table tracing The TRACE action allows the tracing of a message, or MSU processing, as it goes through the automation table. Detailed trace information is displayed on the console by the BNH370I for each automation table statement that is processed. Note The BNH370I message is issued to the console. Logic can be included in the automation table to direct it to the NetView log if desired. Do not specify a TRACE action for BNH370I, as this will cause a loop. An example of an automation table TRACE statement and the console output is shown in Figure 94 and Figure 95 on page 180. * * Example of automation table tracing * IF MSGID='DSI820I' THEN TRACE('DSI820trace'); * Figure 94. Automation table TRACE statement Chapter 8. Base automation features 179
  • 194.
    BNH370I FAIL MSGID DSITBL01 DSITBL01 01440002 DSI820Trace BNH370I FAIL AND DSITBL01 DSITBL01 01440002 DSI820Trace BNH370I FAIL MSGID DSITBL01 DSITBL01 01570002 DSI820Trace BNH370I FAIL AND DSITBL01 DSITBL01 01570002 DSI820Trace Figure 95. TRACE statement output 8.1.8 The AUTOMATED function The AUTOMATED function sets or checks an indicator for a message or alert that shows whether it has already been automated. This is useful to prevent statements that make only a minor change from indicating that the message or alert has already been automated, or it could be used at the end of the automation table to act on messages and alerts that have not otherwise been automated. Figure 96 demonstrates the AUTOMATED function. * AUTOMATED function examples: * * This sets the AUTOMATED indicator to N (NO) * IF MSGID='IST' . THEN SYSLOG(Y) NETLOG(Y) AUTOMATED(N) CONTINUE(Y); * * This checks the AUTOMATED indicator * * If a VTAM message has already been automated turn it BLUE, * Unautomated messages turn YELLOW * IF MSGID='IST' . THEN BEGIN; IF AUTOMATED = '1' THEN COLOR(BLU); ALWAYS COLOR(YEL); END; * Figure 96. Examples of AUTOMATED function 8.2 System Automation framework The following sections detail some major automation functions that were summarized in Section 2.2, “Proactive management of OS/390 subsystem tasks” on page 12 and Section 2.3, “Monitoring and recovery capabilities of OS/390 subsystems” on page 12. 180 Automation Using Tivoli NetView OS/390 V1R3 and System Automation OS/390 V1R3
  • 195.
    8.2.1 Automating subsystems As an example, some routine procedures of automating subsystems using the new the System Automation functions Events and Triggers will be described. Note Refer to System Automation for OS/390 V1R3M0 Customization, GC28-1566, for further information about triggers, service periods, and events. 8.2.1.1 Sequential start-up of focal point subsystems The following example details the subsequent start-up logic of the RODM and GMFHS on the networking focal point system. It implies the following rules: 1. The NETWORK_RODM job is always cold-started. 2. The NETWORK_RODM_DM job is a transient job that loads the data models into RODM. 3. The NETWORK_GMFHS job will not start until the RODM data model structures are loaded successfully into RODM. To define the subsequent logic and rules for these three start-up actions, it is necessary to define appropriate messages in the NETWORK_RODM subsystem that will be used as a trigger to start the NETWORK_RODM_DM job when the RODM subsystem is started successfully. Enter the System Automation policy database dialog, as shown in Figure 97 on page 182, and select the 6 - Application option. Chapter 8. Base automation features 181
  • 196.
    SA OS/390 EntryEntry Selection SA OS/390 Type Type Selection Command ===> 6 Command ===> 6 PolicyDB Name Name : ITSO_ENTERPRISE PolicyDB : ITSO_ENTERPRISE Enterprise Name : ITSO_ENTERPRISE Enterprise Name : ITSO_ENTERPRISE Enterprise Resource Definitions Enterprise Resource Definitions Resource Policy Definitions Resource Policy Definitions More: More:+ + 1 Enterprise 1 Enterprise ( ENT ( ENT ) 30 Timers ) 30 Timers ( TMR ( TMR ) ) 2 Group Group 2 ( GRP ( GRP ) 31 Timeout Settings ) 31 Timeout Settings TMO ( TMO ) ( ) 3 SubGroup 3 SubGroup ( SBG ( SBG ) 32 Tape Attendance ) 32 Tape Attendance ( TPA ( TPA ) ) 4 System 4 System ( SYS ( SYS ) 33 MVS Component ) 33 MVS Component ( MVC ( MVC ) ) 5 ApplicationGroup 5 ApplicationGroup APG ( APG ) 34 MVSCOMP Defaults ( ) 34 MVSCOMP Defaults MDF ( MDF ) ( ) 6 Application 6 Application (*) ( APL ( APL ) 35 System Defaults (*) ) 35 System Defaults ( SDF ( SDF ) ) 7 VolumeGroup 7 VolumeGroup ( VLG ( VLG ) 36 Application Defaults ( ADF ( ADF ) ) 36 Application Defaults ) 8 Volume 8 Volume ( VOL ( VOL ) 37 Auto Operators ) 37 Auto Operators ( AOP ( AOP ) ) 9 OperatorView 9 OperatorView ( OPV ( OPV ) 38 Auto Msg Classes ) 38 Auto Msg Classes AMC ( AMC ) ( ) 10 Processor 10 Processor ( PRO ( PRO ) 39 Network ) 39 Network ( NTW ( NTW ) ) 11 Communications Path Path ( CMP ) 40 NNT Sessions 11 Communications ( CMP ) 40 NNT Sessions ( NNT ( NNT ) ) 41 Resident CLISTs 41 Resident CLISTs ( RES ( RES ) ) Figure 97. SA OS/390 Entry Type Selection panel In the Application Entry Selection panel, select the desired application, which, in this example, is NETWORK_RODM as shown in Figure 98. SA OS/390 Entry Selection Row 11 to 22 of 28 Command ===> SCROLL===> CSR Entry Type : Application PolicyDB Name : ITSO_ENTERPRISE Enterprise Name : ITSO_ENTERPRISE Action Entry Name C Short Description NETVIEW_CLASS * NetView Defaults NETVSA Automation NetView definition NETVSSI NetView subsystem interface NETWORK_GMFHS Network GMFHS NETWORK_NETVIEW Network NetView NETWORK_NETVIEW_SSI Network NetView Interface S NETWORK_RODM Network RODM PROCESSOR_OPERATIONS Processor Operations functions RODM_CLASS * RODM Defaults SAOS390_GMFHS System Automation GMFHS SAOS390_NETVIEW System Automation NetView SAOS390_NETVIEW_SSI System Automation NetView Interface Figure 98. SA OS/390 Application Entry Selection panel This selection will bring up the Application Policy Selection panel for NETWORK_RODM as illustrated in Figure 99 on page 183. 182 Automation Using Tivoli NetView OS/390 V1R3 and System Automation OS/390 V1R3
  • 197.
    SA OS/390 PolicySelection Row 1 to 12 of 17 Command ===> SCROLL===> CSR Entry Type : Application PolicyDB Name : ITSO_ENTERPRISE Entry Name : NETWORK_RODM Enterprise Name : ITSO_ENTERPRISE Action Policy Name Policy Description DESCRIPTION Enter description LINK TO CLASS Link instance to class APPLICATION INFO Enter and display Application information INFO BRIDGE Enter INFO Bridge resource name RMF Enter RMF objectives and reporting criteria AUTOMATION INFO Define Application automation information AUTOMATION FLAGS Define Application automation flags S MESSAGES Define Application messages SHUTDOWN Define shutdown procedures THRESHOLDS Define error thresholds RESTART Define commands executed at restart MINOR RESOURCES Define Application sub-component flags Figure 99. SA OS/390 Application Policy Selection panel Select the MESSAGES option and press Enter to create a new message command. On the specific Message Processing panel, show in Figure 100, enter the Action keyword, CMD, and the Message ID, ACTIVE. SA OS/390 Message Processing Row 1 to 6 of 22 Command ===> SCROLL===> CSR Entry Type : Application PolicyDB Name : ITSO_ENTERPRISE Entry Name : NETWORK_RODM Enterprise Name : ITSO_ENTERPRISE Resource: RODMAON Enter messages issued by this resource that will result in automated actions. Actions: CMD = Command REP = Reply CODE = CODE Action Message ID Description Cmd Rep Code CMD ACTIVE Figure 100. SA OS/390 Application Message Processing panel For the subsequent start-up of the NETWORK_RODM_DM application every time the NETWORK_RODM is restarted and identified as to be ACTIVE, it is required that you specify the appropriate System Automation action as shown in Figure 101 on page 184. Chapter 8. Base automation features 183
  • 198.
    SA OS/390 CMDProcessing Row 1 to 3 of 20 Command ===> SCROLL===> CSR Entry Type : Application PolicyDB Name : ITSO_ENTERPRISE Entry Name : NETWORK_RODM Enterprise Name : ITSO_ENTERPRISE Resource: RODMAON Message ID: ACTIVE Enter commands to be executed when resource issues the selected message. Pass or Automated Selection Function Command Text SETSTATE NETWORK_RODM_DM,RESTART Figure 101. SA OS/390 Application Command Processing panel This step finishes the dependency definition between the start-up of NETWORK_RODM and NETWORK_RODM_DM. The same definition steps have to be processed for the dependency of NETWORK_RODM_DM and the start of NETWORK_GMFHS. After all definition steps have been processed, it is required to rebuild the System Automation control file (ACF file) and recycle the NetView control file to have these changes become effective. 8.2.1.2 Sequential shutdown of focal point subsystems The following example details the subsequent shutdown logic of the Automation NetView. It implies the following rules: 1. The subsystem SAOS390_NETVIEW has the dependency to start and stop after the subsystem interface SAOS390_NETVIEW_SSI. 2. If all subsystems in the system environment are to be terminated, the SHUTSYS ALL command is being issued. The termination of the subsystem, SAOS390_NETVIEW, has to be delayed until all other applications, including SAOS390_NETVIEW_SSI, have successfully terminated. To define the subsequent logic and rules for these shutdown actions it is necessary to define an appropriate event and trigger for the SAOS390_NETVIEW_SSI subsystem that will be used to shutdown the SAOS390_NETVIEW application. 184 Automation Using Tivoli NetView OS/390 V1R3 and System Automation OS/390 V1R3
  • 199.
    Enter the SystemAutomation policy database dialog and select the EVT or 44 (Events) option as shown in Figure 102 on page 185. SA OS/390 Entry Type Selection Command ===> 44 PolicyDB Name : ITSO_ENTERPRISE Enterprise Name : ITSO_ENTERPRISE Enterprise Resource Definitions Resource Policy Definitions More: - + 8 Volume ( VOL ) 37 Auto Operators ( AOP ) 9 OperatorView ( OPV ) 38 Auto Msg Classes ( AMC ) 10 Processor ( PRO ) 39 Network ( NTW ) 11 Communications Path ( CMP ) 40 NNT Sessions ( NNT ) 41 Resident CLISTs ( RES ) (*) Multi-User-Capable 42 Status Details ( SCR ) 43 Communications Task ( CMT ) 44 Events ( EVT ) 45 Service periods ( SVP ) 46 Triggers ( TRG ) 98 Includes ( ICL ) Figure 102. SA OS/390 Entry Type Selection Main panel In the Event Entry Selection panel, create a new event by entering the NEW command in the command line as shown in Figure 103. SA OS/390 Entry Selection Row 1 to 1 of 1 Command ===> NEW SCROLL===> CSR Entry Type : Event PolicyDB Name : ITSO_ENTERPRISE Enterprise Name : ITSO_ENTERPRISE Action Entry Name C Short Description JES_DOWN JES2 is DOWN ******************************* Bottom of data ******************************** Figure 103. SA OS/390 Event Entry Selection panel Define the new event by entering the name, SSI_DOWN, and a short description of its content as shown in Figure 104 on page 186. Chapter 8. Base automation features 185
  • 200.
    SA OS/390 DefineNew Entry Command ===> To define a new entry, specify the following information: Type. . . . . . . . . . Event Name. . . . . . . . . . SSI_DOWN Unset Condition . . . . NONE DOWN NONE START UP Short Description . . . SA OS390 NetView SSI is DOWN Extended Description. . . . . . . . . . Figure 104. SA OS/390 Define New Event Entry panel Having defined this new event, it is required to define the corresponding trigger that is driven by the new event. This trigger will then initiate the shutdown of the SAOS390_NETVIEW application. Return to the System Automation policy database dialog and select the TRG or 46 (Triggers) option as shown in Figure 105. SA OS/390 Entry Type Selection Command ===> 46 PolicyDB Name : ITSO_ENTERPRISE Enterprise Name : ITSO_ENTERPRISE Enterprise Resource Definitions Resource Policy Definitions More: - + 9 OperatorView ( OPV ) 38 Auto Msg Classes ( AMC ) 10 Processor ( PRO ) 39 Network ( NTW ) 11 Communications Path ( CMP ) 40 NNT Sessions ( NNT ) 41 Resident CLISTs ( RES ) (*) Multi-User-Capable 42 Status Details ( SCR ) 43 Communications Task ( CMT ) 44 Events ( EVT ) 45 Service periods ( SVP ) 46 Triggers ( TRG ) 98 Includes ( ICL ) 99 User E-T Pairs ( UET ) Figure 105. SA OS/390 Entry Type Selection Main panel In the Trigger Entry Selection panel, create a new trigger by entering the NEW command in the command line as shown in Figure 106 on page 187. 186 Automation Using Tivoli NetView OS/390 V1R3 and System Automation OS/390 V1R3
  • 201.
    SA OS/390 EntrySelection Entry deleted Command ===> NEW SCROLL===> CSR Entry Type : Trigger PolicyDB Name : ITSO_ENTERPRISE Enterprise Name : ITSO_ENTERPRISE Action Entry Name C Short Description ******************************* Bottom of data ******************************** Figure 106. SA OS/390 Trigger Entry Selection panel Define the new trigger by entering the name, SHUT_NV, and a short description of its content as shown in Figure 107. SA OS/390 Define New Entry Command ===> To define a new entry, specify the following information: Type. . . . . . . . . . Trigger Name. . . . . . . . . . SHUT_NV Short Description . . . Shut down SA OS/390 NetView Extended Description. . . . . . . . . . Figure 107. SA/OS390 Trigger New Entry Definition panel Having defined the new trigger, it is required to define the condition that will drive this new trigger. Select the CONDITION option as shown in Figure 108 on page 188, and continue with the trigger settings. Chapter 8. Base automation features 187
  • 202.
    SA OS/390 PolicySelection Trigger created Command ===> SCROLL===> CSR Entry Type : Trigger PolicyDB Name : ITSO_ENTERPRISE Entry Name : SHUT_NV Enterprise Name : ITSO_ENTERPRISE Action Policy Name Policy Description DESCRIPTION Enter description S CONDITION Define the trigger condition -------------------- --------------------------------------------- WHERE USED List Applications using this entry COPY Copy data from existing entry ******************************* Bottom of data ******************************** Figure 108. SA OS/390 Trigger Policy Selection panel From the Trigger Selection panel, shown in Figure 109, select one of the SHUTDOWN conditions available. SA OS/390 Trigger Conditions Row 11 to 20 of 21 Command ===> SCROLL===> CSR Entry Type : Trigger PolicyDB Name : ITSO_ENTERPRISE Entry Name : SHUT_NV Enterprise Name : ITSO_ENTERPRISE Note: You have to define the service period before you can use it in a STARTUP/SHUTDOWN condition. Action Condition Names STARTUP 10 S SHUTDOWN 1 SHUTDOWN 2 SHUTDOWN 3 SHUTDOWN 4 SHUTDOWN 5 SHUTDOWN 6 SHUTDOWN 7 SHUTDOWN 8 SHUTDOWN 9 Figure 109. SA OS390 Trigger Conditions panel The next step is to associate the SHUTDOWN trigger condition with the appropriate event that will drive this trigger. 188 Automation Using Tivoli NetView OS/390 V1R3 and System Automation OS/390 V1R3
  • 203.
    SA OS/390 SHUTDOWNCondition for Trigger Row 1 to 2 of 2 Command ===> SCROLL===> CSR Entry Type : Trigger PolicyDB Name : ITSO_ENTERPRISE Entry Name : SHUT_NV Enterprise Name : ITSO_ENTERPRISE Description. . . . Service Period . . NO YES NO Action Status Event Short Description JES_DOWN JES2 is DOWN S SSI_DOWN SA OS390 NetView SSI is DOWN ******************************* Bottom of data ******************************** Figure 110. SA OS/390 Shutdown Condition for Trigger panel On the SHUTDOWN Condition for Trigger panel in Figure 110 on page 189, select the previously defined event, SSI_DOWN. The next step is to associate the SHUTDOWN trigger to an application, which, in this example, will be the Automation NetView SAOS390_NETVIEW. Return to the SA OS/390 Entry Selection Main panel and select APL or 6 (Applications) to enter the Application Selection panel as shown in Figure 111. SA OS/390 Entry Selection Row 9 to 21 of 26 Command ===> SCROLL===> CSR Entry Type : Application PolicyDB Name : ITSO_ENTERPRISE Enterprise Name : ITSO_ENTERPRISE Action Entry Name C Short Description JES2 JES2 policy definition LLA LLA automation policy NETVIEW_CLASS * NetView Defaults NETWORK_GMFHS Network GMFHS NETWORK_NETVIEW Network NetView NETWORK_NETVIEW_SSI Network NetView Interface NETWORK_RODM Network RODM PROCESSOR_OPERATIONS Processor Operations functions RODM_CLASS * RODM Defaults SAOS390_GMFHS System Automation GMFHS S SAOS390_NETVIEW System Automation NetView SAOS390_NETVIEW_SSI System Automation NetView Interface SAOS390_RODM RODM automation policy Figure 111. SA OS/390 Application Selection panel Chapter 8. Base automation features 189
  • 204.
    From the ApplicationSelection panel, select the SAOS390_NETVIEW application and enter the TRIGGER option as demonstrated in Figure 112. SA OS/390 Policy Selection Row 3 to 15 of 17 Command ===> SCROLL===> CSR Entry Type : Application PolicyDB Name : ITSO_ENTERPRISE Entry Name : SAOS390_NETVIEW Enterprise Name : ITSO_ENTERPRISE Action Policy Name Policy Description APPLICATION INFO Enter and display Application information INFO BRIDGE Enter INFO Bridge resource name RMF Enter RMF objectives and reporting criteria AUTOMATION INFO Define Application automation information AUTOMATION FLAGS Define Application automation flags MESSAGES Define Application messages SHUTDOWN Define shutdown procedures THRESHOLDS Define error thresholds RESTART Define commands executed at restart MINOR RESOURCES Define Application sub-component flags SYSTEM ASSOCIATION Define primary and secondary associations S TRIGGER Select Application trigger -------------------- --------------------------------------------- Figure 112. SA OS/390 Application Policy Selection panel The appropriate trigger to select is SHUT_NV as illustrated in Figure 113 SA OS/390 Trigger for Application Row 1 to 1 of 1 Command ===> SCROLL===> CSR Entry Type : Application PolicyDB Name : ITSO_ENTERPRISE Entry Name : SAOS390_NETVIEW Enterprise Name : ITSO_ENTERPRISE Action Status Trigger S SHUT_NV ******************************* Bottom of data ******************************** Figure 113. SA OS/390 Trigger for Application panel These steps complete the definition of the SAOS390_NETVIEW application and the SHUT_NV trigger. The last steps of this example will be to associate the termination of the SAOS390_NETVIEW_SSI subsystem with the SSI_DOWN event. This association will set this event every time the NetView subsystem interface is set to the AUTODOWN status for termination. 190 Automation Using Tivoli NetView OS/390 V1R3 and System Automation OS/390 V1R3
  • 205.
    To apply theassociation of the SSI_DOWN event to the SAOS390_NETVIEW_SSI application, enter the Application Selection panel as shown in Figure 114. SA OS/390 Entry Selection Row 9 to 21 of 26 Command ===> SCROLL===> CSR Entry Type : Application PolicyDB Name : ITSO_ENTERPRISE Enterprise Name : ITSO_ENTERPRISE Action Entry Name C Short Description JES2 JES2 policy definition LLA LLA automation policy NETVIEW_CLASS * NetView Defaults NETWORK_GMFHS Network GMFHS NETWORK_NETVIEW Network NetView NETWORK_NETVIEW_SSI Network NetView Interface NETWORK_RODM Network RODM PROCESSOR_OPERATIONS Processor Operations functions RODM_CLASS * RODM Defaults SAOS390_GMFHS System Automation GMFHS SAOS390_NETVIEW System Automation NetView S SAOS390_NETVIEW_SSI System Automation NetView Interface SAOS390_RODM RODM automation policy Figure 114. SA OS/390 Application Entry Selection panel Select SAOS390_NETVIEW_SSI to enter the Application Policy Selection panel as displayed in Figure 115. SA OS/390 Policy Selection Row 1 to 13 of 17 Command ===> SCROLL===> CSR Entry Type : Application PolicyDB Name : ITSO_ENTERPRISE Entry Name : SAOS390_NETVIEW_SSI Enterprise Name : ITSO_ENTERPRISE Action Policy Name Policy Description DESCRIPTION Enter description LINK TO CLASS Link instance to class APPLICATION INFO Enter and display Application information INFO BRIDGE Enter INFO Bridge resource name RMF Enter RMF objectives and reporting criteria AUTOMATION INFO Define Application automation information AUTOMATION FLAGS Define Application automation flags S MESSAGES Define Application messages SHUTDOWN Define shutdown procedures THRESHOLDS Define error thresholds S RESTART Define commands executed at restart MINOR RESOURCES Define Application sub-component flags SYSTEM ASSOCIATION Define primary and secondary associations Figure 115. SA OS/390 Policy Selection panel Chapter 8. Base automation features 191
  • 206.
    In order toset or reset the SSI_DOWN event, first, select the MESSAGES option to create a new definition to set the event, and then select the RESTART option to reset this event when the subsystem is restarted. First, on the Message Processing panel, as shown in Figure 116, enter the Action keyword, CMD, and the Message ID keyword, AUTODOWN. SA OS/390 Message Processing Row 1 to 7 of 20 Command ===> SCROLL===> CSR Entry Type : Application PolicyDB Name : ITSO_ENTERPRISE Entry Name : SAOS390_NETVIEW_SSI Enterprise Name : ITSO_ENTERPRISE Resource: SSISA Enter messages issued by this resource that will result in automated actions. Actions: CMD = Command REP = Reply CODE = CODE Action Message ID Description Cmd Rep Code CMD AUTODOWN Figure 116. SA OS/390 Application Message Processing panel The next step, shown in Figure 117, defines the command SETEVENT ID=SSI_DOWN,FUNCTION=SET,SCOPE=TARGET that will set the SSI_DOWN event every time the SAOS390_NETVIEW_SSI application reaches the AUTODOWN status. This event, SSI_DOWN, will kick off the SHUT_NV trigger which was previously defined, that will be responsible shutdown the SAOS390_NETVIEW application. SA OS/390 CMD Processing Row 1 to 3 of 20 Command ===> SCROLL===> CSR Entry Type : Application PolicyDB Name : ITSO_ENTERPRISE Entry Name : SAOS390_NETVIEW_SSI Enterprise Name : ITSO_ENTERPRISE Resource: SSISA Message ID: AUTODOWN Enter commands to be executed when resource issues the selected message. Pass or Automated Selection Function Command Text _________ ________ SETEVENT ID=SSI_DOWN,FUNCTIN=SET,SCOPE=TARGET Figure 117. SA OS/390 Application Command Processing panel 192 Automation Using Tivoli NetView OS/390 V1R3 and System Automation OS/390 V1R3
  • 207.
    Now, return tothe Application Policy Selection panel, as displayed in Figure 115 on page 191, and enter the RESTART option to enter the Restart Processing panel shown in Figure 118. SA OS/390 RESTART Processing Row 1 to 6 of 20 Command ===> SCROLL===> CSR Entry Type : Application PolicyDB Name : ITSO_ENTERPRISE Entry Name : SAOS390_NETVIEW_SSI Enterprise Name : ITSO_ENTERPRISE Subsystem : SSISA Description : System Automation NetView Interface Enter commands to be executed when NetView is started or recycled with this subsystem already active. Automated Command Text Function SETEVENT ID=SSI_DOWN,FUNCTION=UNSET,SCOPE=TARGET Figure 118. SA OS/390 Application Restart Processing panel In the Restart Processing panel, enter the command text SETEVENT ID=SSI_DOWN,FUNCTION=UNSET,SCOPE=TARGET that will reset the SSI_DOWN event every time the SAOS390_NETVIEW_SSI application is successfully restarted. 8.2.2 Automating messages This section describes how to add a message that has not been previously automated to the automated operations environment and will give some examples of situations that can be automated using the System Automation facilities. Note To automate a message using the System Automation framework, this message needs to be issued by an application previously defined to SA OS/390. The routine actions that a system operator performs when a particular message is generated can be automated by the NetView automation table and the System Automation. With automation enabled, the automation focal point system responds quickly and accurately to messages from any active target systems. Chapter 8. Base automation features 193
  • 208.
    8.2.2.1 Automating theresponse to the message The first step is to define the type of response that will be performed when messages appear. This can be to issue a reply, a command, or define a match code to be tested in the message. To get one application class, NETVIEW_CLASS, defined for both the Automation and Network NetView, it is necessary to define a identification code in all issued messages to identify the corresponding application associated to this class. If matches occur, an action keyword will be returned to the invoking automation system. Note For detailed information about System Automation class definitions refer to Chapter 5, “Customization of System Automation for OS/390” on page 53. Defining this message in an application class ensures that this automation definition will be inherited by all the application instances associated with this application class. From the System Automation Main Entry Selection panel, select the APL or 6 (Application) option to enter the Application Selection panel. Select the application class, NETVIEW_CLASS, and the Application Policy Selection panel for NETVIEW_CLASS will be shown as in Figure 119 on page 195. 194 Automation Using Tivoli NetView OS/390 V1R3 and System Automation OS/390 V1R3
  • 209.
    SA OS/390 PolicySelection Row 1 to 13 of 15 Command ===> SCROLL===> CSR Entry Type : Application PolicyDB Name : ITSO_ENTERPRISE Entry Name : NETVIEW_CLASS Enterprise Name : ITSO_ENTERPRISE Action Policy Name Policy Description DESCRIPTION Enter description LINK TO INSTANCES Link class to instances APPLICATION INFO Enter and display Application information INFO BRIDGE Enter INFO Bridge resource name RMF Enter RMF objectives and reporting criteria AUTOMATION INFO Define Application automation information AUTOMATION FLAGS Define Application automation flags S MESSAGES Define Application messages SHUTDOWN Define shutdown procedures THRESHOLDS Define error thresholds RESTART Define commands executed at restart MINOR RESOURCES Define Application sub-component flags TRIGGER Select Application trigger Figure 119. SA OS/390 Policy Selection panel From the Application Policy Selection panel, select the MESSAGES option to specify message types for this application class. On the Message Processing panel, displayed in Figure 120, specify the Action keyword, CODE, the Message ID keyword, WTORS, and a short description of the action the response performs. SA OS/390 Message Processing Row 1 to 7 of 21 Command ===> SCROLL===> CSR Entry Type : Application PolicyDB Name : ITSO_ENTERPRISE Entry Name : NETVIEW_CLASS Enterprise Name : ITSO_ENTERPRISE Resource: NETVIEW_CL Enter messages issued by this resource that will result in automated actions. Actions: CMD = Command REP = Reply CODE = CODE Action Message ID Description Cmd Rep Code CODE WTORS WTOR Classification 3 Figure 120. SA OS/390 Application Message Processing panel The following panel defines how messages DSI802A and DSI803A (NetView replies) will be handled when they are received from the subsystems associated with this class. Chapter 8. Base automation features 195
  • 210.
    When the DSI802Amessage appears with any code, a value of NORMAL PRI is returned to the calling automation procedure. In addition, this message will be displayed like a normal status message, for example, in the SDF panels. Any other replies issued for these subsystems will be displayed in the SDF panels as an unusual message. SA OS/390 Code Processing Row 1 to 6 of 23 Command ===> SCROLL===> CSR Entry Type : Application PolicyDB Name : ITSO_ENTERPRISE Entry Name : NETVIEW_CLASS Enterprise Name : ITSO_ENTERPRISE Resource: NETVIEW_CL Message ID: WTORS Enter the value to be passed to the calling CLIST when this resource issues the selected message and the following codes are contained in the message. Code 1 Code 2 Code 3 Value Returned DSI802A * NORMAL PRI DSI803A * UNUSUAL PRI * UNUSUAL SEC Figure 121. SA OS/390 Application Message Code Processing panel After these definitions, verify the message processing facility (MPF) table to assure that the default for this message is AUTO(YES). If required, add a message processing facility list entry specifying the message ID and the AUTO(YES) parameter value. When definitions to add message response and automation operator information to the automation policy database are completed, return to the SA OS/390 Application Selection panel and enter the action command F (BUILDF) in the action column in front of the application that has been edited. This will initiate a rebuild for the application definitions. System Automation for OS/390 builds the new automation definitions for the application, and after completion of this application rebuild, the System Automation customization dialog can be exited. The System Automation for OS/390 build function will place the new automation definitions in the data set defined in the BUILDF Parameters panel. 196 Automation Using Tivoli NetView OS/390 V1R3 and System Automation OS/390 V1R3
  • 211.
    Copy the newautomation definitions into the common Automation NetView DSIPARM library specified in the Automation NetView start-up procedure and reload the NetView Control File. Refer to System Automation for OS/390 V1R3M0 Customization, GC28-1566, for detailed information on how to add messages to the automation. 8.3 System Automation and NetView base automation rules This section describes some guidelines for effectively propagating and maintaining an automation environment. The first step toward automating the entire data-processing enterprise is to ensure that there is as much local automation as possible on each NetView system. Therefore, if a single-system automation is developed on one system or a few test systems, propagate that automation onto all of the NetView systems. Copy the automation routines and tailor the routines to the new systems. For this process, it is important to automate all of the systems consistently to keep maintenance efforts as simple as possible. Note This notice is a reminder that the CNME1035 clist is no longer used by Tivoli NetView for OS/390 V1R3 as the initial NetView PPT start-up clist. Please check for any self-written customizations and move appropriate modifications to the new NetView PPT start-up CNME1034 clist. The main guidelines for keeping the automation environment reliable and simple are as follows: • Automate close to the source In a multi-system environment, automate as many tasks as possible on the distributed systems and forward only those events that cannot be handled at the distributed systems to the focal point system. At the distributed system, if the function of the operating system facility (the message processing facility - MPF) enables the goals for the system to be met without using the automation table, use the appropriate operating system function. Otherwise, use NetView and System Automation facilities. • Define autotasks consistently Chapter 8. Base automation features 197
  • 212.
    Operator definitions forautotasks in DSIOPF or an SAF product, profiles, and operator passwords should be consistent across systems. Consistent definitions reduce the effort required to make changes among systems. • Develop generic automation command procedures To minimize the work required for development, maintenance, and synchronization of automation procedures for multiple systems, write generic procedures to function the same in all applicable systems. These procedures should also function on the focal point system when the system is not performing focal point functions. To simplify migration, use global variables for system and resource names rather than hard-coded resource names in command procedures. By keeping the definition setup for the global variable in only a few procedures, it is then possible to migrate the same set of automated procedures to multiple systems and customize only a few procedures on each system. • Automation table usage For individual automation it is advised to never code statements directly in main automation table members, and either concatenate a new automation table member or use %INCLUDE in the existing automation table structure to allow easier release migration as well as LPAR to LPAR migration. • Log intrasystem automation Intrasystem automation that occurs in each system should be logged in the local automation log. Messages and alerts that are forwarded to a focal point should be logged at both the distributed system and the focal point. It is a good practice to have all procedures driven by automation identifiable, for example, by name, within the log. The sample set for automation has each command list write a message to the log that is preceded by a less-than sign (<). A quick glance at the log enables the operator to know whether automation has performed some action. These indicators provide an audit trail for automation and can also assist in problem determination in the event of an automation failure. 198 Automation Using Tivoli NetView OS/390 V1R3 and System Automation OS/390 V1R3
  • 213.
    Chapter 9. Automationexample scenarios This chapter shows automation scenarios of Tivoli NetView for OS/390 and System Automation for OS/390. Examples will be automation and recovery tasks of OS/390 subsystems. 9.1 NetView SMTP mail gateway support NetView V1R3 supports SMTP e-mail with the following prerequisites: • MVS TCP/IP V3R2 or above. • SMTP is running in the same LPAR where NetView is running. E-mail can be sent using the SMTP gateway: • Based upon the AON Inform policy • From the NetView command line • From user-written REXX clists E-mails using the SMTP gateway can actually be performed from user-written code without having to implement the AON Inform policy. Note There are no facilities for NetView to receive e-mail. Note If you plan to use SMTP for sending e-mails from a NetView operator console, SMTP must be active, and the EZLJSMTP sample must be installed and customized. EZLJSMTP provides sample JCL used to issue SMTP commands and must be customized to specify your SMTP address space name. The sample EZLJSMTP should be copied from the CNMSAMP data set into your NetView DSIPARM library. 9.1.1 NetView provided samples The following samples are provided with NetView V1R3: • EZLEMAIL - A full screen REXX clist used to create and send e-mail. © Copyright IBM Corp. 2000 199
  • 214.
    The clist readsoperator entered text, builds SMTP e-mail commands, puts the complete data stream in a PIPE safe, and calls the provided clist module, EZLESSMT, to send the e-mail. • EZLKMAIL - A full screen panel used by EZLEMAIL. • EZLESSMT - A REXX clist that builds and submits a job to send the e-mail. • EZLJSMTP - Sample JCL job that sends the e-mail. This job needs to be customized for the SMTP job name (Figure 122). • EZLESMTP - A REXX clist that sends e-mail based on the Inform policy. This sample clist allows one line e-mails to be sent. 9.1.2 Required customization The only customization needed to send SMTP e-mail (provided the prerequisites have been met) using the samples provided, is to copy the sample JCL member, EZLJSMTP, into the NetView DSIPARM library, and then provide the correct SMTP address space name in the SYSOUT field on the SYSUT2 DD statement. An example is shown in Figure 122 on page 200: //EZLJSMTP JOB (999,AUS),'NVSMTP',CLASS=A,MSGCLASS=X,MSGLEVEL=(1,1), // REGION=0M,TIME=1440 //*************************************************************** //* * //* Licensed Materials - Property of Tivoli Systems * //* 5697-B82 (C) Copyright Tivoli Systems 1999 * //* All rights reserved. * //* * //* DISTRIBUTED AS MEMBER: EZLJSMTP * //* DESCRIPTION: Sample JCL to allow E-mail to be issued via * //* SMTP. This code will be read by command lists* //* in NetView which will insert the commands to * //* be passed to SMTP. * //*************************************************************** //IEBGENER EXEC PGM=IEBGENER //SYSIN DD DUMMY //SYSUT1 DD * /* //*************************************************************** //* Change smtp below to the SMTP address space name. * //* Change B to the desired SYSOUT class * //*************************************************************** //SYSUT2 DD SYSOUT=(B,SMTP), // DCB=(LRECL=80,BLKSIZE=80,RECFM=F,DSORG=PS) //SYSOUT DD SYSOUT=A //SYSPRINT DD SYSOUT=A Figure 122. Sample JCL Job EZLJSMTP 200 Automation Using Tivoli NetView OS/390 V1R3 and System Automation OS/390 V1R3
  • 215.
    9.1.3 Sending SMTPe-mail with EZLEMAIL To send a simple e-mail from a NetView full screen session, enter the following command EZLEMAIL on the NetView NCCF interface. A skeleton email form will be displayed, which is then completed as shown in Figure 123: Figure 123. Skeleton e-mail After the e-mail text is complete, pressing PF9 or PF5 will submit an EZLJSMTP batch job to send the e-mail. The e-mail, for example, received in Lotus Notes, will appear as illustrated in Figure 124. Chapter 9. Automation example scenarios 201
  • 216.
    Figure 124. E-mailreceived in Lotus Notes 9.1.4 Sending SMTP e-mail from AON Inform policies To send e-mail from AON Inform policy, using the SMTP mail gateway, requires the correct definition in the AON Inform policy. It provides the following features: • Message support for one line messages. • Default message. • Message can be changed in the Inform policy. Note SMTP can only send e-mail. It does not provide pager support. The AON Inform policy requires little customization to send SMTP e-mail. An example of a customized AON Inform policy item is shown in Figure 125 on page 203. 202 Automation Using Tivoli NetView OS/390 V1R3 and System Automation OS/390 V1R3
  • 217.
    * * * POLICY for CHIEF * * * * The Chief is available weekdays 9 - 5 * * * INFORM CHIEF; CONTACT ONCALLDAY=WEEKDAY, ONCALLTIME=09:00 TO 17:00, SP=DUMMY, CONNECTION=EMAIL, ROUTE=CLINTONB@US.IBM.COM, INTERFACE=EZLESMTP, NAME=BILL CLINTON; * * Figure 125. AON Inform policy item customized for SMTP e-mail 9.1.5 Sending SMTP e-mail from user-written clists Users can create their own REXX clists to send SMTP e-mail. The clist will need to call the provided clist module, EZLESSMT. The following restrictions apply: • User code must build a PIPE safe containing the SMTP e-mail commands and then call the provided clist module, EZLESSMT. • User code must pass EZLESSMT 2 PIPE safes: - A safe containing the e-mail commands. - A safe that will contain messages generated in response to EZLESSMT processing and batch job submission. The clist module EZLESSMT provides the following return codes: • 0 - Successful completion. • 7 - Variable has no value (AON internal clist error). • 8 - Invalid syntax (AON internal clist error). • 12 - No e-mail commands in passed PIPE safe. An example of a REXX clist using the provided clist module EZLESSMT is shown in Figure 126. Chapter 9. Automation example scenarios 203
  • 218.
    /* REXX */ /* ------------------------------------------------------------------ */ /* */ /* REXX TO SEND AN EMAIL USING EZLESSMT */ /* */ /* ARGS PASSED : */ /* EMADDR - THE EMAIL ADDRESS */ /* */ /* ------------------------------------------------------------------ */ Trace r ARG emaddr mail.1 = "Hello SMTP" mail.2 = "Mail from: <"opid()"@"cursys()">" mail.3 = "Rcpt to:<"emaddr">" mail.4 = "Data" mail.5 = "Date: "date('n')" "time() mail.6 = "From: "opid()" - NetView Domain "domain()" - "cursys() mail.7 = "To: "emaddr mail.8 = "Subject: Email using EZLESSMT" mail.9 = "This email was sent from NetView V1R3 using the SMTP email" mail.10 = "gateway. It called EZLESSMT - a supplied sample REXX exec" mail.11 = "." mail.12 = "QUIT" mail.0 = 12 'PIPE STEM MAIL. | SAFE MAILSAFE' 'EZLESSMT MAILSAFE RTRNSAFE' r_code = rc If r_code = 0 then text= 'EMAIL sent ok' else text= 'EMAIL failed with rc = 'r_code 'PIPE LIT /'text'/ | CONS' Exit Figure 126. Example REXX using EZLESSMT 9.2 System Automation in a multi-system focal point environment SDF can be configured so that multiple systems in an automation environment can forward their resource status information to the SDF on the focal point system. In a multi-system environment, the following must be defined: • The tree structure for each system must be defined in the AOFTREE member of NetView DSIPARM on the focal point system SDF. The root name must be unique for each system tree structure. 204 Automation Using Tivoli NetView OS/390 V1R3 and System Automation OS/390 V1R3
  • 219.
    • The focalpoint root name must match the SYSNAME value defined in the automation policy. This value is specified in the customization dialog. Note The SYSNAME for each system under System Automation for OS/390 control must be the same as the system name under which the system was IPLed. • For a target system SDF status update to occur on a focal point SDF, System Automation for OS/390 focal point services must already be implemented. Because each root name must be unique in a multi system environment, any status component on any system defined to the focal point SDF can be uniquely addressed by prefixing the status component with the root component name: ROOT_COMPONENT.STATUS_COMPONENT For example: SC66.JES2 Similarly, any SDF status descriptors forwarded from the target system to the focal point SDF are prefixed with the root name of the target system by System Automation for OS/390 routines. To define message forwarding paths between different systems, the following features should be defined in System Automation: • Primary focal point • Backup focal-point (if required) • Target systems • Gateway sessions (between connected systems) In addition to these definitions, it is necessary to modify some definitions in the DSIOPF and DSIDMN members in the DSIPARM library. 9.2.1 Defining Automation Network process The message forwarding paths between the connected systems must be defined, and some modifications have to be performed to the definitions in the DSIOPF and DSIDMN members in the NetView DSIPARM library. Chapter 9. Automation example scenarios 205
  • 220.
    The following stepswill describe the process to customize the focal point services in the System Automation process. For further information, refer to Chapter 9, "Automating Networks" of System Automation for OS/390 V1R3 Customization, GC28-1566. The first step is to define the outbound gateway autotasks that will be responsible in establishing and maintaining all connections to other systems. It is their function to send messages, commands, and responses to one or more systems. 9.2.1.1 Defining the outbound gateway autotasks From the System Automation Entry Type Selection, shown in Figure 127 on page 206, select the AOP or 37 (Auto Operators) option to enter the Auto Operator Entry Selection panel displayed in Figure 128 on page 207. SA OS/390 Entry Type Selection Command ===> 37 PolicyDB Name : ITSO_ENTERPRISE Enterprise Name : ITSO_ENTERPRISE Enterprise Resource Definitions Resource Policy Definitions More: + 1 Enterprise ( ENT ) 30 Timers ( TMR ) 2 Group ( GRP ) 31 Timeout Settings ( TMO ) 3 SubGroup ( SBG ) 32 Tape Attendance ( TPA ) 4 System ( SYS ) 33 MVS Component ( MVC ) 5 ApplicationGroup ( APG ) 34 MVSCOMP Defaults ( MDF ) 6 Application (*) ( APL ) 35 System Defaults ( SDF ) 7 VolumeGroup ( VLG ) 36 Application Defaults ( ADF ) 8 Volume ( VOL ) 37 Auto Operators ( AOP ) 9 OperatorView ( OPV ) 38 Auto Msg Classes ( AMC ) 10 Processor ( PRO ) 39 Network ( NTW ) 11 Communications Path ( CMP ) 40 NNT Sessions ( NNT ) 41 Resident CLISTs ( RES ) Figure 127. SA OS/390 Entry Type Selection Main panel Select, one after another, the focal system and the target systems’ auto operators that will be used in the automation environment. 206 Automation Using Tivoli NetView OS/390 V1R3 and System Automation OS/390 V1R3
  • 221.
    SA OS/390 EntrySelection Row 6 from 17 Command ===> SCROLL===> CSR Entry Type : Auto Operators PolicyDB Name : ITSO_ENTERPRISE Enterprise Name : ITSO_ENTERPRISE Action Entry Name C Short Description BACKUP_OPERS Backup FP specific auto opers BASE_AUTOOPS Default automation operators BASE_AUTOOPS_IO Automation operators with I/O monitoring S FOCAL_OPERS Focal point specific auto operators S TARGET1_OPERS Target1 specific auto opers S TARGET2_OPERS Target2 specific auto opers ******************************* Bottom of data ******************************** F7=UP F8=DOWN F9=SWAP F10=LEFT F11=RIGHT F12=RETRIEVE Figure 128. SA OS/390 Auto Operators Entry Selection panel First, start with the focal point system and select the FOCAL_OPERS option to enter the Auto Operator Policy Selection panel as shown in Figure 129. SA OS/390 Policy Selection Row 1 to 5 of 5 Command ===> SCROLL===> CSR Entry Type : Auto Operators PolicyDB Name : ITSO_ENTERPRISE Entry Name : FOCAL_OPERS Enterprise Name : ITSO_ENTERPRISE Action Policy Name Policy Description DESCRIPTION Enter description S OPERATORS Define automation operators -------------------- --------------------------------------------- WHERE USED List Systems linked to this entry COPY Copy data from an existing entry ******************************* Bottom of data ******************************** Figure 129. SA OS/390 Auto Operators Policy Selection panel From the Auto Operators Policy Selection panel, select the OPERATORS option to display the Automation Operator Definitions panel shown in Figure 130. Chapter 9. Automation example scenarios 207
  • 222.
    Automation Operator Definitions Row 1 to 10 of 21 Command ===> SCROLL===> CSR Entry Type : Auto Operators PolicyDB Name : ITSO_ENTERPRISE Entry Name : FOCAL_OPERS Enterprise Name : ITSO_ENTERPRISE Actions: S = Select M = Move B = Before A = After I = Insert Automated Action Function Messages for this Operator (* notation ok) S GATOPER Figure 130. SA OS/390 Auto Operators Automation Operator Definitions panel If GATOPER has not previously been defined, type the automation operator name, GATOPER, in the Automated Function field. It is not necessary to specify any messages for GATOPER. The Automation Operator NetView Userids panel is displayed automatically as illustrated in Figure 131. If GATOPER has previously been defined, then select it by entering an S in the ACTION column. Automation Operator NetView Userids Command ===> Entry Type : Auto Operators PolicyDB Name : ITSO_ENTERPRISE Entry Name : FOCAL_OPERS Enterprise Name : ITSO_ENTERPRISE Automated Function: GATOPER Messages assigned: Enter automation operators and NetView operator(s) to receive messages. Automation Operators NetView Operators Primary ==> GATSC66A ==> Backup ==> ==> ==> ==> ==> ==> Figure 131. SA OS/390 Automation Operator NetView Userids panel In the Automation Operator NetView Userids panel, enter the value for the autotask, which is in the ITSO project environment, the name GATSC66A, to define the outbound gateway autotask for system SC66. 208 Automation Using Tivoli NetView OS/390 V1R3 and System Automation OS/390 V1R3
  • 223.
    To define thetarget outbound gateways’ autotasks, repeat the previous steps for all of the target systems. 9.2.1.2 Defining gateway sessions with other systems From the System Automation Entry Type Selection shown in Figure 132, select the NTW or 39 (Network) option to enter the Network Entry Selection panel displayed in Figure 133 on page 210. SA OS/390 Entry Type Selection Command ===> 39 PolicyDB Name : ITSO_ENTERPRISE Enterprise Name : ITSO_ENTERPRISE Enterprise Resource Definitions Resource Policy Definitions More: + 1 Enterprise ( ENT ) 30 Timers ( TMR ) 2 Group ( GRP ) 31 Timeout Settings ( TMO ) 3 SubGroup ( SBG ) 32 Tape Attendance ( TPA ) 4 System ( SYS ) 33 MVS Component ( MVC ) 5 ApplicationGroup ( APG ) 34 MVSCOMP Defaults ( MDF ) 6 Application (*) ( APL ) 35 System Defaults ( SDF ) 7 VolumeGroup ( VLG ) 36 Application Defaults ( ADF ) 8 Volume ( VOL ) 37 Auto Operators ( AOP ) 9 OperatorView ( OPV ) 38 Auto Msg Classes ( AMC ) 10 Processor ( PRO ) 39 Network ( NTW ) 11 Communications Path ( CMP ) 40 NNT Sessions ( NNT ) 41 Resident CLISTs ( RES ) Figure 132. SA OS/390 Entry Type Selection Main panel The following steps will also be necessary for each of the target system after definitions for the focal point system are completed. From the Network Entry Selection panel, select the FOCAL_NETWORK option to enter the Network Policy Selection panel. On this Network Policy Selection panel, select the FORWARD option to display the Notification Forwarding panel shown in Figure 134 on page 210. Chapter 9. Automation example scenarios 209
  • 224.
    SA OS/390 EntrySelection Row 1 to 2 of 2 Command ===> SCROLL===> CSR Entry Type : Network PolicyDB Name : ITSO_ENTERPRISE Enterprise Name : ITSO_ENTERPRISE Action Entry Name C Short Description s FOCAL_NETWORK Focal point network structure TARGET_NETWORK Target network structure ******************************* Bottom of data ******************************** Figure 133. SA OS/390 Network Entry Selection panel SA OS/390 Notification Forwarding Command ===> Entry Type : Network PolicyDB Name : ITSO_ENTERPRISE Entry Name : FOCAL_NETWORK Enterprise Name : ITSO_ENTERPRISE Enter the NetView domains for automation notification forwarding. Primary Domain ==> SC66A Current Domain ID Backup Domain ==> Backup Domain ID Figure 134. SA OS/390 Notification Forwarding panel Define the focal point domain and backup focal point domain. In the ITSO environment, only a primary focal point system was defined; however, it is recommended to define both primary focal point and backup focal point. The backup will be always used when the primary focal point becomes unavailable. This step is optional for the focal point definition because System Automation for OS/390 considers the current system as the primary focal point and displays messages without forwarding them. This will occur if the forward focal point is not defined in the automation policy for the system, or the system specified in a forward focal point definition is the current system. After completion of this step, continue to define the gateway sessions between the systems. 210 Automation Using Tivoli NetView OS/390 V1R3 and System Automation OS/390 V1R3
  • 225.
    Return to theNetwork Policy Selection panel, shown in Figure 135, and select the GATEWAY option. SA OS/390 Policy Selection Row 1 to 9 of 9 Command ===> SCROLL===> CSR Entry Type : Network PolicyDB Name : ITSO_ENTERPRISE Entry Name : FOCAL_NETWORK Enterprise Name : ITSO_ENTERPRISE Action Policy Name Policy Description DESCRIPTION Enter description ADJACENT NETVIEW Define adjacent NetView FORWARD Define forward focal point FULL SESSIONS Define TAF sessions (Applications) S GATEWAY Define gateways SAF ENVIRONMENT Define System Authorization Facility (SAF) -------------------- --------------------------------------------- WHERE USED List Systems linked to this entry COPY Copy data from an existing entry ******************************* Bottom of data ******************************** Figure 135. SA OS/390 Network Policy Selection panel The GATEWAY option will display the Gateway Definition panel illustrated in Figure 136. SA OS/390 GATEWAY Definitions Row 1 to 9 of 22 Command ===> SCROLL===> CSR Entry Type : Network PolicyDB Name : ITSO_ENTERPRISE Entry Name : FOCAL_NETWORK Enterprise Name : ITSO_ENTERPRISE Enter the following information for each NetView domain that commands or responses are forwarded to. Use RACFNNT as the password if SA OS/390 is to retrieve the password from RACF. Domain Password Logmode Description SC42A GATEWAY Gateway to target SC42 SC69A GATEWAY Gateway to target SC69 Figure 136. SA OS/390 Network Gateway Definitions panel On the Gateway Definition panel for the focal point and the backup focal point systems, enter the target domains to which the gateways sessions will be established. Chapter 9. Automation example scenarios 211
  • 226.
    On the GatewayDefinition panel for the target systems, enter the focal point domain and backup focal point domain. Put either a password for the gateway operator or the value, RACFNNT, in the password field. If RACFNNT is entered, it will enable the use of the SA OS/390 password facility (see Section 9.2.1.3, “Considerations for the SA password protection feature” on page 213). In the ITSO project, the password, GATEWAY, was chosen. After completion of this step, continue to define where the focal point and target definitions will be used. Return to the Network Policy Selection panel, shown in Figure 137, and select the WHERE USED option. SA OS/390 Policy Selection Row 1 to 9 of 9 Command ===> SCROLL===> CSR Entry Type : Network PolicyDB Name : ITSO_ENTERPRISE Entry Name : FOCAL_NETWORK Enterprise Name : ITSO_ENTERPRISE Action Policy Name Policy Description DESCRIPTION Enter description ADJACENT NETVIEW Define adjacent NetView FORWARD Define forward focal point FULL SESSIONS Define TAF sessions (Applications) GATEWAY Define gateways SAF ENVIRONMENT Define System Authorization Facility (SAF) -------------------- --------------------------------------------- S WHERE USED List Systems linked to this entry COPY Copy data from an existing entry ******************************* Bottom of data ******************************** Figure 137. SA OS/390 Network Policy Selection panel The following Where Used panel will be displayed for selection of the particular focal point system. In this example, SC66 is selected. 212 Automation Using Tivoli NetView OS/390 V1R3 and System Automation OS/390 V1R3
  • 227.
    SA OS/390 WhereUsed Row 1 to 3 of 3 Command ===> SCROLL===> CSR Entry Type : Network PolicyDB Name : ITSO_ENTERPRISE Entry Name : FOCAL_NETWORK Enterprise Name : ITSO_ENTERPRISE Action Status Entry Name Entry Type SC42 SYS SELECTED SC66 SYS SC69 SYS ******************************* Bottom of data ******************************** Figure 138. SA OS/390 Network Where Used panel After completion of these definition steps for the focal point, backup focal point, and all target systems, rebuild the SA Automation Control File (ACF) and modify the DSIOPF and DSIDMN members to include the correct gateway userids (autotasks) and RRD definitions. Refer the Appendix B, “System Automation V1R3 members and jobs” on page 233 for further information about the statements changed in these members. The last step is to recycle the NetView applications to reflect the new definitions and establish the gateways’ sessions. 9.2.1.3 Considerations for the SA password protection feature The System Automation password protection is an optional feature that allows System Automation to use a Security Authorization Facility (SAF) program, such as RACF or a functionally equivalent product, to manage gateway operator IDs and passwords. This feature is intended for systems that establish gateway sessions with two or more systems. System Automation password protection feature involves the System Automation password data set and the SAF program. The System Automation password data set contains only gateway operator ID and password entries. The SAF program manages all user IDs and their passwords, including gateway operator IDs and their passwords. Consider the following issues if planning to install the System Automation password protection feature: • For an automation environment to use the System Automation password protection feature, all systems in the automation environment must install this feature. Chapter 9. Automation example scenarios 213
  • 228.
    • A SAFprogram must be installed on all systems in the automation environment that are using the System Automation password protection feature. • The number of gateway sessions each system in the automation environment establishes with other systems. • Decide whether each system in the automation environment will have its own SAF product data set, or whether several systems will share one password data set. Refer to System Automation for OS/390 V1R3 Customization, GC28-1566, for more information about shared SAF data sets. For a detailed description of how to define the System Automation password protection feature, refer to Appendix 1.1.3 “Installing the SA/MVS Password Protection Feature” in System Automation for OS/390 V1R3 Planning and Installation, GC28-1549. 9.3 Using NetView AON inform policies by System Automation This section introduces the AON Inform policy, and describes how it can be implemented in a System Automation NetView. The AON Inform policy, provides a simple way to perform automatic event notification and escalation. It can be easily customized to support SMTP e-mail or other paging/e-mail gateways. Samples are supplied within AON to support pager and e-mail communication via the service point Netfinity for OS/2. Refer to the Netfinity for OS/2 product documentation for setting up the required service point communication to Tivoli NetView for OS/390. As an example, the SMTP e-mail support is detailed in Section 9.1, “NetView SMTP mail gateway support” on page 199. For an example of interfacing other e-mail software, see the ITSO redbook An Introduction to Tivoli NetView for OS/390 V1R2, SG24-5224. Inform processing can be implemented on a System Automation NetView without having to install any other AON code or functions. 9.3.1 Installation of AON inform policy in the Automation NetView To install AON Inform policy support, the following is required: 214 Automation Using Tivoli NetView OS/390 V1R3 and System Automation OS/390 V1R3
  • 229.
    1. In theAutomation NetView start-up procedure, check that the following dataset concatenations are uncommented: -STEPLIB: // DD DSN=&SQ1..SEZLLINK,DISP=SHR -DSICLD: // DD DSN=&SQ1..SEZLCLST,DISP=SHR -CNMPNL1: // DD DSN=&Q1..&DOMAIN..SEZLPNLU,DISP=SHR // DD DSN=&SQ1..SEZLPNLU,DISP=SHR 2. Check that the following INCLUDE statement is uncommented in the DSICMDM member of DSIPARM library: %INCLUDE EZLCMDI Note Several AON functions, such as INFORM, AUTOMAN, TIMER, SMTP e-mail, and TCP/IP commands, can be run without other AON automation functions being active. The above steps will enable all of these functions. The AON TIMER functions and the SA/390 TIMER functions cannot run simultaneously in the same operating system environment. The default is the AON TIMER function. Refer to the Tivoli NetView for OS/390 Automated Operations Network Users Guide, GC31-8661, for further details. For further detailed compatibility information and the latest System Automation APAR for NetView V1R3 toleration refer to Appendix A, “NetView 1.3 toleration for System Automation 1.3” on page 231. 9.3.2 Inform policy customizing The Inform policy is used to define who should be and how they should be contacted, when critical situations arise. Logically, the Inform policy is divided into individual contacts and groups of contacts. This enables different people to be contacted for an event, depending on the time that event happens, without having to work this out before the call to the Inform policy. A sample Inform policy, EZLINSMP, is provided. The Inform policy contains the following statements: • SETUP Chapter 9. Automation example scenarios 215
  • 230.
    Defines connection typesand enables logging. • INFORM Gives a label to an inform policy that consists of a contact or list of contacts. • CONTACT Defines the criteria used to determine who is contacted and how. • GROUP Specifies a list of policies that form a logical group. Refer to Chapter 4 in the Tivoli NetView for OS/390 Administration Reference, SC31-8222, for further coding and parameter details for the Inform policy statements. An example of AON Inform policy statements is shown in Figure 139 on page 217. 216 Automation Using Tivoli NetView OS/390 V1R3 and System Automation OS/390 V1R3
  • 231.
    * Add asetup statement, to define other connection types and * * enable logging. Specify log member name INFLOG, by default EZLIFLOG * * would be used. * * * SETUP CONNECTIONS=FAX,LOG=YES,MEMBER=INFLOG; * * GROUP NITEOPS,LIST=PERSONC; GROUP WEEKENDS,LIST=PERSONC,PERSOND; * * * * POLICY for PERSONC * * * * PersonC is available every evening by EMAIL and additionally by * * Pager on the weekends. * * * INFORM PERSONC,SP=SP000002; CONTACT ONCALLDAY=*, ONCALLTIME=16:00 TO 24:00, CONNECTION=EMAIL, INTERFACE=EZLESMTP, ROUTE=IBPERSC@VNET.IBM.COM, NAME=C. PERSON; CONTACT ONCALLDAY=WEEKEND,ONCALLTIME=16:00 TO 24:00, CONNECTION=ALPHAPAGE,ROUTE=6127555,NAME=C. PERSON, INTERFACE=EZLENETF,TAPACCESS=918007596366; * * * POLICY for PERSOND * * * * PersonD is always available on Weekends by Pager. * * * INFORM PERSOND,SP=SP000002; CONTACT ONCALLDAY=WEEKEND, CONNECTION=ALPHAPAGE, INTERFACE=EZLENETF, TAPACCESS=9-1-800-555-5555, ROUTE=1231111, NAME=D. PERSON; Figure 139. Example of AON Inform policy statements 9.3.3 Calling the Inform policy After the Inform policy has been customized, it needs to be loaded into NetView before it can be accessed. The following two ways show how to load and activate the Inform policy: 1. From a networking NetView (running AON), it can be loaded at AON control file load by modifying the ENVIRON SETUP parameter in the AON control file EZLCFG01 to include the statement INFORMPM=EZLINSMP (where EZLINSMP is the Inform policy member name) 2. From any NetView (running AON or SA), by issuing the following command at the NetView NCCF interface: Chapter 9. Automation example scenarios 217
  • 232.
    INFORMTB EZLINSMP (where EZLINSMP is the Inform policy member name) Note In a System Automation NetView, the AON control file will not be loaded, so method 2 must be used. This command could be issued from an AUTOTASK at System Automation control file load. The actual Inform policy is called by issuing the following INFORM command: INFORM Policy_name Message where - Policy_name: Either an Inform policy name or Inform group name - Message: The message to be sent The command can be issued from a NetView NCCF screen, a REXX clist, or called from the AON and System Automation control files. 9.3.4 Calling AON Inform policy from System Automation The following example shows the System Automation configuration and Inform policy member definitions to perform automatic notification. 9.3.4.1 Example scenario A DB2 subsystem, DB2AMSTR, is defined to System Automation. The System Automation definition includes a call to the Inform policy if DB2AMSTR goes to BROKEN status. The Inform policy member contains Inform policy statements to do the following notifications: • If DB2AMSTR goes to BROKEN status between 9:00 A.M. and 5:00 P.M., Monday to Friday, the following receivers are to be notified: - The duty systems programmer via pager - The help desk via e-mail and pager - The Customer Service Manager via pager • If DB2AMSTR goes to BROKEN status outside of the regular working hours, the following receivers are to be notified: - The duty systems programmer via pager - The help desk via e-mail 218 Automation Using Tivoli NetView OS/390 V1R3 and System Automation OS/390 V1R3
  • 233.
    - The CustomerService Manager via email 9.3.4.2 Definition and implementation process To implement the above scenario, the following steps need to be performed: a. Add the correct definitions to the System Automation control file and rebuild it. b. Reload the automation control file (ACF) within the System Automation NetView. c. Add the correct definitions to the Inform policy member. d. Load the Inform policy member into the System Automation NetView. 9.3.4.3 System Automation definitions DB2AMSTR is defined to the System Automation policy database as a regular application running on system SC42. To trigger the automatic inform processing, some additional definitions have to be performed in order to call the Inform policy when DB2AMSTR goes to BROKEN status. This is achieved by using the System Automation facility to trigger commands on status change. For detailed information, refer to Chapter 10, “How Automation Routines Can Be Triggered” in System Automation for OS/390 Customization, GC28-1566. For this example using Inform policies, return to the System Automation Entry Type Selection panel and select option APL or 6 (Application). On the Application Entry Type Selection panel, select the defined application, DB2AMSTR, to enter the Application Policy Selection panel as shown in Figure 140 on page 220. Chapter 9. Automation example scenarios 219
  • 234.
    SA OS/390 PolicySelection Row 1 to 14 of 17 Command ===> SCROLL===> CSR Entry Type : Application PolicyDB Name : POLICY_DB Entry Name : DB2AMSTR Enterprise Name : ITSO_ENTERPRISE Action Policy Name Policy Description DESCRIPTION Enter description LINK TO CLASS Link instance to class APPLICATION INFO Enter and display Application information INFO BRIDGE Enter INFO Bridge resource name RMF Enter RMF objectives and reporting criteria AUTOMATION INFO Define Application automation information AUTOMATION FLAGS Define Application automation flags S MESSAGES Define Application messages SHUTDOWN Define shutdown procedures THRESHOLDS Define error thresholds RESTART Define commands executed at restart MINOR RESOURCES Define Application sub-component flags Figure 140. Selecting the MESSAGES option Select the MESSAGES option to define specific message handling for DB2AMSTR. The Message Policy panel will be displayed as illustrated in Figure 141. SA OS/390 Message Processing Row 1 to 8 of 21 Command ===> SCROLL===> CSR Entry Type : Application PolicyDB Name : POLICY_DB Entry Name : DB2AMSTR Enterprise Name : ITSO_ENTERPRISE Resource: DB2AMSTR Enter messages issued by this resource that will result in automated actions. Actions: CMD = Command REP = Reply CODE = CODE Action Message ID Description Cmd Rep Code CMD BROKEN Invoke callout Figure 141. Calling a command from BROKEN status In the Message Policy panel, enter the Action keyword CMD, the Message ID keyword BROKEN, and a short description. 220 Automation Using Tivoli NetView OS/390 V1R3 and System Automation OS/390 V1R3
  • 235.
    SA OS/390 CMDProcessing Row 1 to 4 of 21 Command ===> SCROLL===> CSR Entry Type : Application PolicyDB Name : POLICY_DB Entry Name : DB2AMSTR Enterprise Name : ITSO_ENTERPRISE Resource: DB2AMSTR Message ID: BROKEN Enter commands to be executed when resource issues the selected message. Pass or Automated Selection Function Command Text 1 INFORM DB2PROB DB2AMSTR IS BROKEN Figure 142. Coding the INFORM command In the following CMD Processing panel, shown in Figure 142, enter the INFORM command and the specific parameter that need to be passed to the Inform policy for this example. After completion of this definition to the System Automation policy database, rebuild the automation control file (ACF) and reload it in the Automation NetView. 9.3.4.4 Inform policy definitions For the example of Inform policy notifications when DB2AMSTR goes to status BROKEN, the following Inform policy INFORM/CONTACT definitions for the DB2 systems programmers have to be performed as shown in Figure 143 on page 222. Chapter 9. Automation example scenarios 221
  • 236.
    * * * POLICY for DB2SP (DB2 Systems Programmers) * * * * The inform policy for DB2SP indicates that there are 2 separate * * contacts depending on the day/time. * * * * The prime time contact is John Smith who is on pager# 0123456789 * * The out of hours contact is Fred Bloggs who is on pager# 9876543210 * * * INFORM DB2SP,SP=SP000002; CONTACT ONCALLDAY=WEEKDAY, ONCALLTIME=09:00 to 17:00, CONNECTION=ALPHAPAGE, INTERFACE=EZLENETF, TAPACCESS=9-1-800-555-5555, ROUTE=0123456789, NAME=JOHN SMITH; CONTACT ONCALLDAY=WEEKDAY, ONCALLTIME=17:00 to 24:00, CONNECTION=ALPHAPAGE, INTERFACE=EZLENETF, TAPACCESS=9-1-800-555-5555, ROUTE=9876543210, NAME=FRED BLOGGS; CONTACT ONCALLDAY=WEEKDAY, ONCALLTIME=00:01 to 09:00, CONNECTION=ALPHAPAGE, INTERFACE=EZLENETF, TAPACCESS=9-1-800-555-5555, ROUTE=9876543210, NAME=FRED BLOGGS; CONTACT ONCALLDAY=WEEKEND, CONNECTION=ALPHAPAGE, INTERFACE=EZLENETF, TAPACCESS=9-1-800-555-5555, ROUTE=9876543210, NAME=FRED BLOGGS; Figure 143. INFORM/CONTACT definitions for DB2 Systems Programmers As second action, the following Inform policy INFORM/CONTACT definitions for the Help Desk have to be performed as shown in Figure 144 on page 223. 222 Automation Using Tivoli NetView OS/390 V1R3 and System Automation OS/390 V1R3
  • 237.
    * POLICY forHDESK (Help Desk) * * HDESK is available during the prime time via pager# 1122334455 and * * email, and out of hours via email only. * * * INFORM HDESK,SP=SP000002; CONTACT ONCALLDAY=WEEKDAY, ONCALLTIME=09:00 to 17:00, CONNECTION=ALPHAPAGE, INTERFACE=EZLENETF, TAPACCESS=9-1-800-555-5555, ROUTE=1122334455, NAME=HELP DESK; CONTACT ONCALLDAY=*, CONNECTION=EMAIL, INTERFACE=EZLESMTP, ROUTE=HDESK@SOMEWHERE.COM, NAME=HELP DESK; * * Figure 144. INFORM/CONTACT definitions for Help Desk As third action, the Inform policy INFORM/CONTACT definitions for the Customer Service Manager have to be performed as shown in Figure 145: * POLICY for CSMGR (Customer Service Manager) * * CSMGR is available in prime time via pager# 66778899, and out of * * hours via email. * * * INFORM CSMGR,SP=SP000002; CONTACT ONCALLDAY=WEEKDAY, ONCALLTIME=09:00 to 17:00, CONNECTION=ALPHAPAGE, INTERFACE=EZLENETF, TAPACCESS=9-1-800-555-5555, ROUTE=66778899, NAME=CS MANAGER; CONTACT ONCALLDAY=WEEKDAY, ONCALLTIME=17:00 to 24:00, CONNECTION=EMAIL, INTERFACE=EZLESMTP, ROUTE=CSMGR@VNET.IBM.COM, NAME=CS MANAGER; CONTACT ONCALLDAY=WEEKDAY, ONCALLTIME=00:01 to 09:00, CONNECTION=EMAIL, INTERFACE=EZLESMTP, ROUTE=CSMGR@VNET.IBM.COM, NAME=CS MANAGER; CONTACT ONCALLDAY=WEEKEND, CONNECTION=EMAIL, INTERFACE=EZLESMTP, ROUTE=CSMGR@VNET.IBM.COM, NAME=CS MANAGER; Figure 145. INFORM/CONTACT definitions for Customer Service Manager Chapter 9. Automation example scenarios 223
  • 238.
    The last actionis to specify the Inform policy GROUP definition, which logically groups the contacts to the group DB2PROB: * * * DB2PROB is the group of people to be informed of DB2 problems. * * * GROUP DB2PROB,LIST=DB2SP,HDESK,CSMGR; * * Figure 146. Inform policy group definition Note Grouping simplifies the need to duplicate CONTACT entries under more than one INFORM group. When all of the above definitions have been performed, load the Inform policy member into the System Automation NetView using the NetView command INFORMTB <Inform policy member> where <Inform policy member> represents the customized Inform policy member for this example. 9.3.4.5 System Automation processing If the application DB2AMSTR goes to status BROKEN, System Automation will execute the INFORM command to call the Inform policy. The Inform policy will ensure that a notification will automatically be sent to the correct people. The text of the notification in e-mail and on the pager will be: “DB2AMSTR IS BROKEN” 9.4 Brief comparison of NMC and SDF Consoles The NetView Management Console (NMC) graphically displays the resources that represent a network, a portion of a network, a system application, a subsystem, or a group of networks and/or subsystems at various levels of detail. These graphical views show the network and system resource objects, which are managed by the Networking (AON) or Automation (SA) NetView. When monitoring a network or system, resource status changes are reflected dynamically in the graphical views. 224 Automation Using Tivoli NetView OS/390 V1R3 and System Automation OS/390 V1R3
  • 239.
    The Status DisplayFacility (SDF) is a System Automation function residing within the Automation NetView, that is used to monitor system resources on the current system as well as on other target systems in 3270 session screens. The resources are monitored by noting different colors to reflect their current status. When monitoring system resources, resource status changes are updated dynamically in the SDF 3270 screens. Comparing the SDF with the NMC implementation, SDF is easy and quicker to setup and maintain. SDF does not need RODM or GMFHS to provide its resource information, just the base Automation (SA) NetView. It only provides information about system resources managed by the Automation (SA) NetViews. On the other hand does the NMC provide by far more powerful display and command functions, including online status refresh for all managed network and system objects, as well as Network and System Automation command support directly from NMC topology console. 9.5 Example NMC screens of the ITSO project scenario The following section will show some NMC screen shots and examples derived from the actual ITSO project implementation to monitor system resources. As mentioned in Chapter 5.3, “Defining all systems and objects to System Automation” on page 60, the System Automation policy database for the entire enterprise should contain all the object information that System Automation uses to produce the RODM objects (RODM load file). These objects represent the displayed graphical objects in the NMC views for System Automation. A thoughtful planning for creation of the object hierarchy and how to group the resources will have a great impact on how powerful the System Automation for OS/390 graphic interface will be. The chart in Figure 147 exemplifies again the monitoring hierarchy for the various System Automation objects used in this ITSO project. It was decided to group the systems by geographical region and type of applications. Chapter 9. Automation example scenarios 225
  • 240.
    Figure 147. Exampleof ITSO Enterprise Monitoring Hierarchy The following collection of screen shots from Figure 148 to Figure 153 on page 229 demonstrate how the actual NMC System Automation views look like. The background pictures were added for demonstration purpose. 226 Automation Using Tivoli NetView OS/390 V1R3 and System Automation OS/390 V1R3
  • 241.
    Figure 148. NMCSystem Automation ITSO Enterprise object Figure 149. NMC System Automation group objects Chapter 9. Automation example scenarios 227
  • 242.
    Figure 150. NMCSystem Automation subgroup objects Figure 151. NMC System Automation system object 228 Automation Using Tivoli NetView OS/390 V1R3 and System Automation OS/390 V1R3
  • 243.
    Figure 152. NMCSystem Automation application group objects Figure 153. NMC System Automation application screen example Chapter 9. Automation example scenarios 229
  • 244.
    230 Automation Using Tivoli NetView OS/390 V1R3 and System Automation OS/390 V1R3
  • 245.
    Appendix A. NetView1.3 toleration for System Automation 1.3 Since Tivoli NetView for OS/390, NetView AON and System Automation have common usage of several commands and synonyms. A System Automation for OS/390 APAR, OW42022, will be available by end of January 2000 to allow better coexistence of System Automation for OS/390 V1R3 running on Tivoli NetView for OS/390 V1R3. The addressed items are: • Toleration of command CHRON CHRON timers set by operators: - Display and delete function allowed - Edit function rejected • AOFCMD - Synonyms SETTIMER: Deletion of the two undocumented SA synonyms - TIMER - TIMERS due to the compatibility problem with the TIMER command of Tivoli NetView V1R3. • EXIST DOC / ++HOLD ACTION: Manually remove or remark ( /* ... */ ) invocation of the EXIST function when using Tivoli NetView V1R3. Otherwise, a duplicate invocation will occur, and a warning message will be displayed. • AON Is per default activated in Tivoli NetView V1R3. DOC / ++HOLD ACTION: Make sure AON is disabled, and everything, except the command EZLCMDI, which still has to be included in DSICMD, is removed or remarked (/*...*/). The EZLCMDI command is now part of Tivoli NetView for OS/390 V1R3 and no longer part of AON, even though its module name still begins with EZL. • NetView CLIST CNME1035 Invoked by initial msg load AOFMSG00 by earlier versions of Tivoli NetView for OS/390. Since it is in Tivoli NetView OS/390 V1R3 integrated © Copyright IBM Corp. 2000 231
  • 246.
    into the NetViewClist, CNME1034, the following changes need to be done. DOC / ++HOLD ACTION: Remove or remark ( /* ... */ ) the invocation of CNME1035 in member AOFMSG00. Note This notice is a reminder that the clist, CNME1035, is no longer used by Tivoli NetView for OS/390 V1R3 as the initial NetView PPT startup clist. Please check for any self-written customizations and move appropriate modifications to the new NetView PPT start-up clist CNME1034. 232 Automation Using Tivoli NetView OS/390 V1R3 and System Automation OS/390 V1R3
  • 247.
    Appendix B. SystemAutomation V1R3 members and jobs The following tables Table 26 and Table 27 on page 234 specify the defined applications, application groups, and classes within the ITSO project. Table 26. Applications defined in the ITSO Enterprise policy database APPLICATION APPLICATION GROUP ASCH OPERATIONS APPC OPERATIONS IO_OPERATIONS OPERATIONS JES2 OPERATIONS LLA OPERATIONS NETWORK_GMFHS NETWORK NETWORK_NETVIEW NETWORK NETWORK_NETVIEW_SSI NETWORK NETWORK_RODM NETWORK PROCESSOR_OPERATIONS OPERATIONS SAOS390_GMFHS SC66_GENERIC SAOS390_NETVIEW SA_OS390 SAOS390_NETVIEW_SSI SA_OS390 SAOS390_RODM SA_OS390 SAOS390_RODM_DM SA_OS390 TSO OPERATIONS VLF OPERATIONS VTAM NETWORK TSO OPERATIONS © Copyright IBM Corp. 2000 233
  • 248.
    Table 27. Classesdefined in the ITSO Enterprise policy database CLASS APPLICATIONS RELATED GENERIC_CLASS This is a generic class application. It should be used with generic and local applications that will share the same definitions like shutdown commands, restart thresholds and others. GMFHS_CLASS SAOS390_GMFHS and NETWORK_GMFHS NETVIEW_CLASS SAOS390_NETVIEW and NETWORK_NETVIEW RODM_CLASS SAOS390_RODM and NETWORK_RODM B.1 Other System Automation jobs and definitions The following sections contain the actual sample procedures/jobs of the ITSO project. 234 Automation Using Tivoli NetView OS/390 V1R3 and System Automation OS/390 V1R3
  • 249.
    B.1.1 Automation NetViewstart-up procedure //AOFAPPL PROC Q1='NETVUSER', ** USER DSN HIGH LEVEL QUALIFIER // DOMAIN=SC&SYSCLONE.A, ** NETVIEW DOMAIN NAME // DOMAINPW='', ** NETVIEW DOMAIN PASSWORD // PROG=DSIMNT, ** PGM FOR AUTOMATION NETVIEW // SQ1=NETVIEW.V1R3M0, ** SYSTEM DSN HIGH LEVEL QUALIFIER // SQ2=ING, ** SYSOPS DSN HIGH LEVEL QUALIFIER // VQ1=NETVUSER, ** HIGH LVL DSN QUALIFIER-VSAM DSNS // VQ2=ING.USER, ** SYSOPS HIGH LVL DSN QUALIFIER-VSAM // SOUTA='*', ** DEFAULT PRINTED OUTPUT CLASS // REG=4096, ** REGION SIZE(IN K) FOR MAIN TASK // BFSZ=24, ** BUFFER SIZE(IN K) // SLSZ=200, ** // ARM='*NOARM', ** NETVIEW AUTOMATIC RESTART (ARM) USAGE // SUBSYM='' ** NETVIEW SYMBOLIC SUBSTITUTION SWITCH //********************************************************************** //AOFAPPL EXEC PGM=&PROG,TIME=1440, // REGION=&REG.K, // PARM=(&BFSZ.K,&SLSZ,'&DOMAIN','&DOMAINPW','&ARM','&SUBSYM'), // DPRTY=(13,13) //DSICLD DD DSN=&Q1..&DOMAIN..CNMCLST,DISP=SHR // DD DSN=&Q1..SYSTEM.CNMCLST,DISP=SHR // DD DSN=&SQ2..SINGNREX,DISP=SHR // DD DSN=&SQ1..CNMCLST,DISP=SHR // DD DSN=&SQ1..CNMSAMP,DISP=SHR // DD DSN=&SQ1..SEZLCLST,DISP=SHR // DD DSN=&SQ1..SEKGSMP1,DISP=SHR //DSIOPEN DD DSN=&Q1..&DOMAIN..SDSIOPEN,DISP=SHR // DD DSN=&Q1..SYSTEM.SDSIOPEN,DISP=SHR // DD DSN=&Q1..&DOMAIN..SDSIOPEN,DISP=SHR // DD DSN=&SQ1..SDSIOPEN,DISP=SHR //DSIPARM DD DSN=&Q1..&DOMAIN..DSIPARM,DISP=SHR // DD DSN=&Q1..SYSTEM.ACF,DISP=SHR // DD DSN=&Q1..SYSTEM.DSIPARM.ENTERP,DISP=SHR // DD DSN=&Q1..SYSTEM.DSIPARM,DISP=SHR // DD DSN=&SQ2..SINGNPRM,DISP=SHR // DD DSN=&SQ1..DSIPARM,DISP=SHR //DSILIST DD DSN=&Q1..&DOMAIN..DSILIST,DISP=SHR //DSIVTAM DD DSN=&Q1..&DOMAIN..VTAMLST,DISP=SHR //* DD DSN=SYS1.VTAMLST,DISP=SHR //DSIPRF DD DSN=&Q1..&DOMAIN..DSIPRF,DISP=SHR // DD DSN=&Q1..SYSTEM.DSIPRF,DISP=SHR // DD DSN=&SQ2..SINGNPRF,DISP=SHR // DD DSN=&SQ1..DSIPRF,DISP=SHR //DSIMSG DD DSN=&SQ2..SINGNMSG,DISP=SHR // DD DSN=&SQ1..SDSIMSG1,DISP=SHR //BNJPNL1 DD DSN=&SQ1..BNJPNL1,DISP=SHR //BNJPNL2 DD DSN=&SQ1..BNJPNL2,DISP=SHR //CNMPNL1 DD DSN=&SQ2..SINGNPNL,DISP=SHR // DD DSN=&SQ1..CNMPNL1,DISP=SHR // DD DSN=&SQ1..SEZLPNLU,DISP=SHR // DD DSN=&SQ1..SEKGPNL1,DISP=SHR Appendix B. System Automation V1R3 members and jobs 235
  • 250.
    //******************************************************************* //* SYSOPS AUTOMATION STATUS FILE //******************************************************************* //AOFSTAT DD DSN=&VQ2..&DOMAIN..STATS,DISP=SHR //******************************************************************* //* SYSOPS SAF PASSWORD DATASET FOR GATEWAY OPERATORS //******************************************************************* //*AOFPSWD DD DSN=&VQ2..&DOMAIN..PASSWORD,DISP=SHR,AMP=AMORG //******************************************************************* //* NETVIEW LOG DATASETS //******************************************************************* //DSILOGP DD DSN=&VQ1..&DOMAIN..DSILOGP, // DISP=SHR,AMP='AMORG,BUFNI=10,BUFND=5' //DSILOGS DD DSN=&VQ1..&DOMAIN..DSILOGS, // DISP=SHR,AMP='AMORG,BUFNI=10,BUFND=5' //******************************************************************* //* TRACE LOG DATASETS //******************************************************************* //DSITRCP DD DSN=&VQ1..&DOMAIN..DSITRCP, // DISP=SHR,AMP=AMORG //DSITRCS DD DSN=&VQ1..&DOMAIN..DSITRCS, // DISP=SHR,AMP=AMORG //******************************************************************* //* SESSION MONITOR VSAM DATA BASES //******************************************************************* //AAUVSPL DD DSN=&VQ1..&DOMAIN..AAUVSPL,DISP=SHR,AMP='AMORG' //AAUVSSL DD DSN=&VQ1..&DOMAIN..AAUVSSL,DISP=SHR,AMP='AMORG' //******************************************************************** //* HARDWARE MONITOR VSAM DATA BASES //******************************************************************** //BNJLGPR DD DSN=&VQ1..&DOMAIN..BNJLGPR,DISP=SHR,AMP=AMORG //BNJLGSE DD DSN=&VQ1..&DOMAIN..BNJLGSE,DISP=SHR,AMP=AMORG //******************************************************************** //* 4700 SUPPORT FACILITY VSAM DATA BASES //******************************************************************** //BNJ36PR DD DSN=&VQ1..&DOMAIN..BNJ36PR,DISP=SHR,AMP=AMORG //BNJ36SE DD DSN=&VQ1..&DOMAIN..BNJ36SE,DISP=SHR,AMP=AMORG //******************************************************************** //* CENTRAL SITE CONTROL FACILITY VSAM DATA BASE //******************************************************************** //DSIKPNL DD DSN=&VQ1..&DOMAIN..DSIKPNL,DISP=SHR,AMP=AMORG //******************************************************************** //* SAVE/RESTORE FACILITY VSAM DATA BASE //******************************************************************** //DSISVRT DD DSN=&VQ1..&DOMAIN..DSISVRT,DISP=SHR,AMP=AMORG //******************************************************************** //CNMMSGF DD DUMMY //CNMCMDF DD DUMMY //SYSPRINT DD SYSOUT=&SOUTA Figure 154. Common SA OS/390 start-up procedure 236 Automation Using Tivoli NetView OS/390 V1R3 and System Automation OS/390 V1R3
  • 251.
    B.1.2 System AutomationRODM procedure //********************************************************************* //* AUTOMATION RODM //********************************************************************* //RODMA PROC SQ1='NETVIEW.V1R3M0', ** SYSTEM DSN HIGH LEVEL QUALIFIER // VQ1='NETVUSER.&SYSNAME.A, ** HIGH LVL DSN QUALIFIER-VSAM DSNS // TYPE=COLDFORC, ** SELECT A COLD OR WARM START // NAME=RODM&SYSCLONE.A, // INIT=EKGLISLM, // CLRSSB=NO, // CUST=EKGCUST, // ARM=*NOARM, ** AUTOMATIC RESTART MANAGER OPTION // SUBSYM=*SUBSYM ** SYMBOL SUBSTITUTION OPTION //********************************************************************* //START EXEC PGM=EKGTC000,REGION=0K,TIME=1440, // PARM='&TYPE,&NAME,&INIT,&CLRSSB,&CUST,&ARM,&SUBSYM' //SYSPRINT DD SYSOUT=* //SYSABEND DD SYSOUT=* //SYSDUMP DD SYSOUT=* //SYSTERM DD SYSOUT=* //EKGLOGP DD DSN=&VQ1..EKGLOGP,DISP=SHR, // AMP=('BUFND=10') //EKGLOGS DD DSN=&VQ1..EKGLOGS,DISP=SHR, // AMP=('BUFND=10') //EKGCUST DD DSN=NETVUSER.SYSTEM.DSIPARM,DISP=SHR // DD DSN=&SQ1..DSIPARM,DISP=SHR // DD DSN=&SQ1..SEKGSMP1,DISP=SHR //EKGLANG DD DSN=&SQ1..SEKGLANG,DISP=SHR //********************************************************************* //* RODM CHECKPOINT DATASETS * //********************************************************************* //*EKGMAST DD DSN=&VQ1..EKGMAST,DISP=SHR //*EKGTRAN DD DSN=&VQ1..EKGTRAN,DISP=SHR //*EKGD001 DD DSN=&VQ1..EKGCK001,DISP=SHR //*EKGD002 DD DSN=&VQ1..EKGCK002,DISP=SHR //********************************************************************* //* UNCOMMENT THESE JCL STATEMENTS IF YOU INTEND TO LOAD * //* RODM DATA STRUCTURE USING AN INITIALIZATION METHOD. * //********************************************************************* //EKGLUTB DD DSN=&SQ1..SEKGLUTB,DISP=SHR //EKGPRINT DD SYSOUT=* //EKGIN2 DD DSN=NETVUSER.SYSTEM.SEKGCAS1,DISP=SHR // DD DSN=&SQ1..SEKGCAS1,DISP=SHR //EKGIN3 DD DUMMY //EKGIN1 DD DSN=&SQ1..CNMSAMP(DUIFSTRC),DISP=SHR // DD DSN=&SQ1..CNMSAMP(FLBTRDMG),DISP=SHR Figure 155. Common SA RODM start-up procedure Appendix B. System Automation V1R3 members and jobs 237
  • 252.
    B.1.3 Automation GMFHSstart-up procedure //********************************************************************* //* SA GMFHS STARTUP PROCEDURE //********************************************************************* //GMFHSA PROC Q1='NETVUSER', ** USER DSN HIGH LEVEL QUALIFIER // SQ1='NETVIEW.V3R1M0', ** SYSTEM DSN HIGH LEVEL QUALIFIER // DOMAIN=&SYSNAME.A, ** NETVIEW DOMAIN NAME // PROG=DUIFT000, ** PGMUSED TO START GMFHS HOST MAIN TASK // REG=32M, ** REGION SIZE IN K FOR MAIN TASK // AGGRST=N, ** RUN AGG CALCULATION ON STARTUP // RESWS=NO, ** RESOURCE STATUS WARM START // ARM=*NOARM, ** AUTOMATIC RESTART MANAGER // SUBSYM=*SUBSYM ** SYMBOL SUBSTITUTION //* //STEP1 EXEC PGM=&PROG,REGION=&REG,TIME=1440, // PARM='&AGGRST,RESWS=&RESWS,DOMAIN=&DOMAIN,ARM=&ARM,SUBSYM=&SUBSYM' //********************************************************************* //* INITIALIZATION PARAMETERS DATASET //********************************************************************* //CNMPARM DD DSN=&Q1..&DOMAIN..DSIPARM,DISP=SHR // DD DSN=&Q1..SYSTEM.DSIPARM,DISP=SHR // DD DSN=&SQ1..DSIPARM,DISP=SHR //********************************************************************* //* GMFHS MESSAGES DATASET //********************************************************************* //CNMMSG1 DD DSN=&SQ1..SDUIMSG1,DISP=SHR //CNMM DD SYSOUT=* //CNMD DD SYSOUT=* //CNMI DD SYSOUT=* //CNMO DD SYSOUT=* //CNMF DD SYSOUT=* //CNME DD SYSOUT=* //CNMV DD SYSOUT=* //CNMC DD SYSOUT=* Figure 156. SA GMFHS start-up procedure used on System SC66 238 Automation Using Tivoli NetView OS/390 V1R3 and System Automation OS/390 V1R3
  • 253.
    B.1.4 SA RODMdata model load job //INGELOAD JOB (999,AUS),'NVINSTALL',CLASS=A,MSGCLASS=X, // MSGLEVEL=(1,1),REGION=0M,TIME=1440,NOTIFY=&SYSUID //*******************************************************************/ //* STEP TO PROCESS CLASS STRUCTURE DEFINITIONS */ //*******************************************************************/ //INGSTRLD EXEC PGM=EKGLOTLM, // PARM=('OPERATION=LOAD', // 'NAME=EKGA66', // 'LOAD=STRUCTURE', // 'SEVERITY=WARNING', // 'LISTLEVEL=ALLSYNTAX') //EKGLANG DD DSN=NETVIEW.V3R1M0.SEKGLANG,DISP=SHR //EKGLUTB DD DSN=NETVIEW.V3R1M0.SEKGLUTB,DISP=SHR //EKGPRINT DD SYSOUT=* //EKGIN1 DD DSN=NETVUSER.SYSTEM.LOADRODM(LOADSTR0),DISP=SHR //EKGIN2 DD DSN=NETVUSER.SYSTEM.LOADRODM,DISP=SHR //*EKGIN3 DD DUMMY //SYSPRINT DD SYSOUT=* //PLIDUMP DD SYSOUT=* //SYSUDUMP DD SYSOUT=* //*******************************************************************/ //* STEP TO DELETE ALL GMFHS OBJECTS OF THE PREVIOUSLY LOADED */ //* ENTERPRISE DATA MODEL */ //*******************************************************************/ //CLEANUP EXEC PGM=AOFECLN, // PARM=('EKGA66,,') //* //STEPLIB DD DSN=ING.SINGIMOD,DISP=SHR //SYSPRINT DD SYSOUT=* //*******************************************************************/ //* STEP TO PROCESS INSTANCE DEFINITIONS */ //*******************************************************************/ //INGINSLD EXEC PGM=IKJEFT01,DYNAMNBR=30,REGION=4096K //SYSEXEC DD DSN=ING.SINGIREX,DISP=SHR //SYSTSPRT DD SYSOUT=* //SYSPRINT DD SYSOUT=* //EKGLANG DD DSN=NETVIEW.V3R1M0.SEKGLANG,DISP=SHR //EKGLUTB DD DSN=NETVIEW.V3R1M0.SEKGLUTB,DISP=SHR //EKGPRINT DD SYSOUT=* //EKGIN1 DD DUMMY //EKGIN2 DD DUMMY //AOFIN3 DD DSN=NETVUSER.SYSTEM.LOADRODM(LOADZ994),DISP=SHR //*EKGIN3 DD ALLOCATED AND FREED BY AOFRILOD //PLIDUMP DD SYSOUT=* //SYSUDUMP DD SYSOUT=* //SYSTSIN DD * %AOFRILOD OPERATION=LOAD,+ NAME=EKGA66,+ LOAD=INSTANCE,+ SEVERITY=WARNING,+ LISTLEVEL=ALLSYNTAX Figure 157. SA RODM data model load job used on System SC66 Appendix B. System Automation V1R3 members and jobs 239
  • 254.
    240 Automation Using Tivoli NetView OS/390 V1R3 and System Automation OS/390 V1R3
  • 255.
    Appendix C. OneRODM/GMFHS focal point configuration The following section provides a check list of customization tasks that are necessary to perform to have two NetViews on one logical partition (LPAR) connected to only one RODM/GMFHS application pair. This check list is to perform in addition to the regular tasks involved to customize the networking and System Automation NetViews on the focal point system. For further details refer to the following documentations: • System Automation for OS/390 V1R3 Planning and Installation, GC28-1549 • Tivoli NetView for OS/390 V1R3 Installation and Administration Guide, SC31-8236 Note Prior to perform the check list tasks below, ensure to perform the System Automation work steps to load the one (networking) RODM application with the data model for all System Automation objects. Table 28. Check list of tasks to enable one RODM/GMFHS configuration Networking NetView System Automation NetView RODM Update EKGINMTB to include EKGSPPI Build LOADER files (See Appendix “Loading EKGSPPI into RODM” in System Automation OS/390 V1R3 Planning and Installation, GC28-1549) Automation Table Modify the member AOFMSGSY to No modifications specifically for graphics enable the statement %INCLUDE AOFMSG03 Add the RODM and NetView domain name NPDA © Copyright IBM Corp. 2000 241
  • 256.
    Networking NetView System Automation NetView Be sure filters are set to pass alerts NPDA is not required. However, it is (See Chapter “Customize NetView Alert possible to include the same VSAM in the Information” in System Automation Automation NetView procedure as it is OS/390 V1R3 Planning and Installation, done in the Networking NetView GC28-1549) procedure. (See Appendix “Running Two Graphical NetView Releases on the Same System” in Tivoli NetView OS/390 V1R3 Installation and Administration Guide, SC31-8236) especially: BNJMBDST -- BNJDSERV initialization member: Change FUNCT=BOTH to FUNCT=VSAM Tasks (DSIDMN) Modify DSIPARM member DSIDMNB to: MOD=CNMCALRT,TSKID=AOFALRT, PRI=6,INIT=Y Check member AOFDMN to ensure the init member of task AOFRDST has not changed from the default (MEM=AOFRINIT) Modify the init member AOFRINIT to reflect the same PPI receiver task as in DSIQTSKI DEFAOF PPIRCVR=AOFQTSK Modify the init member DSIQTSKI of task Modify the init member DSIQTSKI of task DSIQTSK to reflect a different PPI DSIQTSK to reflect the same PPI receiver receiver task (for example): task as in AOFRINIT: CMDRCVR ID=AONQTSK CMDRCVR ID=AOFQTSK Include a statement for the focal point RODM: REP RODM=<RODM name of networking focal point system, e.g. EKGN66>, CONN=Y,AO=Y,ID=<Name of CMDRCVR ID task, e.g. AOFQTSK> Modify the init member DSI6INIT of task DSI6DST to reflect the correct networking focal point NetView: DEFFOCPT TYPE=ALERT, PRIMARY=<NetId>.<Networking NetView Domain-Name, e.g. USIBMSC.SC66N> 242 Automation Using Tivoli NetView OS/390 V1R3 and System Automation OS/390 V1R3
  • 257.
    Networking NetView System Automation NetView Commands (DSICMD) Modify the member DSICMD to enable the statement %INCLUDE AOFCMDST Additional members to check Ensure the clist AOFRODIN and the init member AOFRODM reflect the correct RODM userid and networking focal point RODM name (Don’t forget security !) Modify the member AOFSFMAP to reflect a correct autotask name (e.g. AUTO1) and the networking focal point RODM name (e.g. EKGN66) RODM name of focal point system RODM name of focal point system Must be specified in member: Must be specified in member: AOFMSGSY AOFRODM AOFSFMAP DSIQTSKI (REP statement) Appendix C. One RODM/GMFHS focal point configuration 243
  • 258.
    244 Automation Using Tivoli NetView OS/390 V1R3 and System Automation OS/390 V1R3
  • 259.
    Appendix D. Specialnotices This publication is intended to help OS/390 customers, business partners and specialists to setup and customize Tivoli NetView for OS/390 and System Automation for OS/390 in their enterprise environment. The information in this publication is not intended as the specification of any programming interfaces that are provided by Tivoli NetView for OS/390 and System Automation for OS/390. See the PUBLICATIONS section of the IBM Programming Announcement for Tivoli NetView for OS/390 and System Automation for OS/390 for more information about what publications are considered to be product documentation. References in this publication to IBM products, programs or services do not imply that IBM intends to make these available in all countries in which IBM operates. Any reference to an IBM product, program, or service is not intended to state or imply that only IBM's product, program, or service may be used. Any functionally equivalent program that does not infringe any of IBM's intellectual property rights may be used instead of the IBM product, program or service. Information in this book was developed in conjunction with use of the equipment specified, and is limited in application to those specific hardware and software products and levels. IBM may have patents or pending patent applications covering subject matter in this document. The furnishing of this document does not give you any license to these patents. You can send license inquiries, in writing, to the IBM Director of Licensing, IBM Corporation, North Castle Drive, Armonk, NY 10504-1785. Licensees of this program who wish to have information about it for the purpose of enabling: (i) the exchange of information between independently created programs and other programs (including this one) and (ii) the mutual use of the information which has been exchanged, should contact IBM Corporation, Dept. 600A, Mail Drop 1329, Somers, NY 10589 USA. Such information may be available, subject to appropriate terms and conditions, including in some cases, payment of a fee. The information contained in this document has not been submitted to any formal IBM test and is distributed AS IS. The use of this information or the implementation of any of these techniques is a customer responsibility and depends on the customer's ability to evaluate and integrate them into the customer's operational environment. While each item may have been © Copyright IBM Corp. 2000 245
  • 260.
    reviewed by IBMfor accuracy in a specific situation, there is no guarantee that the same or similar results will be obtained elsewhere. Customers attempting to adapt these techniques to their own environments do so at their own risk. Any pointers in this publication to external Web sites are provided for convenience only and do not in any manner serve as an endorsement of these Web sites. This document contains examples of data and reports used in daily business operations. To illustrate them as completely as possible, the examples contain the names of individuals, companies, brands, and products. All of these names are fictitious and any similarity to the names and addresses used by an actual business enterprise is entirely coincidental. The following terms are trademarks of the International Business Machines Corporation in the United States and/or other countries: AIX CICS DB2 DFSMS IBM IMS MVS NetView NWAYS OpenEdition OS/2 OS/390 RACF REXX S/390 System/370 System/390 System Automation Tivoli TSO The following terms are trademarks of other companies: Tivoli, Manage. Anything. Anywhere.,The Power To Manage., Anything. Anywhere.,TME, NetView, Cross-Site, Tivoli Ready, Tivoli Certified, Planet Tivoli, and Tivoli Enterprise are trademarks or registered trademarks of Tivoli Systems Inc., an IBM company, in the United States, other countries, or both. In Denmark, Tivoli is a trademark licensed from Kjøbenhavns Sommer - Tivoli A/S. C-bus is a trademark of Corollary, Inc. in the United States and/or other countries. Java and all Java-based trademarks and logos are trademarks or registered trademarks of Sun Microsystems, Inc. in the United States and/or other countries. Microsoft, Windows, Windows NT, and the Windows logo are trademarks of 246 Automation Using Tivoli NetView OS/390 V1R3 and System Automation OS/390 V1R3
  • 261.
    Microsoft Corporation inthe United States and/or other countries. PC Direct is a trademark of Ziff Communications Company in the United States and/or other countries and is used by IBM Corporation under license. ActionMedia, LANDesk, MMX, Pentium and ProShare are trademarks of Intel Corporation in the United States and/or other countries. UNIX is a registered trademark in the United States and other countries licensed exclusively through The Open Group. SET, SET Secure Electronic Transaction, and the SET Logo are trademarks owned by SET Secure Electronic Transaction LLC. Other company, product, and service names may be trademarks or service marks of others. Appendix D. Special notices 247
  • 262.
    248 Automation Using Tivoli NetView OS/390 V1R3 and System Automation OS/390 V1R3
  • 263.
    Appendix E. Relatedpublications The publications listed in this section are considered particularly suitable for a more detailed discussion of the topics covered in this redbook. E.1 IBM Redbooks For information on ordering these publications see “How to get ITSO redbooks” on page 251. • Integrated Centralized Automated/Advanced Operation, SG24-2599 (Available online) • An Introduction to TME 10 NetView for OS/390, SG24-4922 (Available online) • An Introduction to Tivoli NetView for OS/390 V1R2, SG24-5224 • Parallel Sysplex Automation: Using System Automation for OS/390, SG24-5442 E.2 IBM Redbooks collections Redbooks are also available on the following CD-ROMs. Click the CD-ROMs button at http://www.redbooks.ibm.com/ for information about all the CD-ROMs offered, updates and formats. CD-ROM Title Collection Kit Number System/390 Redbooks Collection SK2T-2177 Networking and Systems Management Redbooks Collection SK2T-6022 Transaction Processing and Data Management Redbooks Collection SK2T-8038 Lotus Redbooks Collection SK2T-8039 Tivoli Redbooks Collection SK2T-8044 AS/400 Redbooks Collection SK2T-2849 Netfinity Hardware and Software Redbooks Collection SK2T-8046 RS/6000 Redbooks Collection (BkMgr) SK2T-8040 RS/6000 Redbooks Collection (PDF Format) SK2T-8043 Application Development Redbooks Collection SK2T-8037 IBM Enterprise Storage and Systems Management Solutions SK3T-3694 E.3 Other resources These publications are also relevant as further information sources: © Copyright IBM Corp. 2000 249
  • 264.
    • Tivoli NetViewfor OS/390 AON Customization Guide, SC31-8662 • Tivoli NetView for OS/390 Automated Operations Network Users Guide, GC31-8661 • Tivoli NetView for OS/390 Automation Guide, SC31-8225 • Tivoli NetView for OS/390 Customization Guide, SC31-8228 • Tivoli NetView for OS/390 Messages and Codes, SC31-8237 • Tivoli NetView for OS/390 Installation and Administration Guide, SC31-8236 • Tivoli NetView for OS/390 Administration Reference, SC31-8222 • Tivoli NetView for OS/390 NetView Management Console User’s Guide, GC31-8665 • Tivoli NetView for OS/390 V1R3 Planning Guide, GC31-8226 • Tivoli Netview for OS/390 Tuning Guide, SC31-8240 • System Automation for OS/390 V1R3 Planning and Installation, GC28-1549 • System Automation for OS/390 V1R3 Customization, GC28-1566 • System Automation for OS/390 V1R3 Operations, GC28-1550 • System Automation for OS/390 V1R3 Messages and Codes, GC28-1569 • System Automation for OS/390 V1R3 Technical Reference, GC28-1593 • SNA Management Services Reference, SC30-3346 • OS/390 TCP/IP OpenEdition User’s Guide, GC31-8305 E.4 Referenced Web sites These Web sites are also relevant as further information sources: • http://www.s390.ibm.com/sa • http://www.tivoli.com/nv390 250 Automation Using Tivoli NetView OS/390 V1R3 and System Automation OS/390 V1R3
  • 265.
    How to getITSO redbooks This section explains how both customers and IBM employees can find out about ITSO redbooks, redpieces, and CD-ROMs. A form for ordering books and CD-ROMs by fax or e-mail is also provided. • Redbooks Web Site http://www.redbooks.ibm.com/ Search for, view, download, or order hardcopy/CD-ROM redbooks from the redbooks Web site. Also read redpieces and download additional materials (code samples or diskette/CD-ROM images) from this redbooks site. Redpieces are redbooks in progress; not all redbooks become redpieces and sometimes just a few chapters will be published this way. The intent is to get the information out much quicker than the formal publishing process allows. • E-mail Orders Send orders by e-mail including information from the redbooks fax order form to: e-mail address In United States usib6fpl@ibmmail.com Outside North America Contact information is in the “How to Order” section at this site: http://www.elink.ibmlink.ibm.com/pbl/pbl • Telephone Orders United States (toll free) 1-800-879-2755 Canada (toll free) 1-800-IBM-4YOU Outside North America Country coordinator phone number is in the “How to Order” section at this site: http://www.elink.ibmlink.ibm.com/pbl/pbl • Fax Orders United States (toll free) 1-800-445-9269 Canada 1-403-267-4455 Outside North America Fax phone number is in the “How to Order” section at this site: http://www.elink.ibmlink.ibm.com/pbl/pbl This information was current at the time of publication, but is continually subject to change. The latest information may be found at the redbooks Web site. IBM Intranet for Employees IBM employees may register for information on workshops, residencies, and redbooks by accessing the IBM Intranet Web site at http://w3.itso.ibm.com/ and clicking the ITSO Mailing List button. Look in the Materials repository for workshops, presentations, papers, and Web pages developed and written by the ITSO technical professionals; click the Additional Materials button. Employees may access MyNews at http://w3.ibm.com/ for redbook, residency, and workshop announcements. © Copyright IBM Corp. 2000 251
  • 266.
    IBM Redbook faxorder form Please send me the following: Title Order Number Quantity First name Last name Company Address City Postal code Country Telephone number Telefax number VAT number Invoice to customer number Credit card number Credit card expiration date Card issued to Signature We accept American Express, Diners, Eurocard, Master Card, and Visa. Payment by credit card not available in all countries. Signature mandatory for credit card payment. 252 Automation Using Tivoli NetView OS/390 V1R3 and System Automation OS/390 V1R3
  • 267.
    Glossary AIX operating system.IBM implementation of monitored resources against configured the UNIX operating system. The RS/6000 thresholds, and runs automated responses. system, among others, runs the AIX operating Extended Architecture (XA). An extension to system. System/370 architecture that takes advantage Browse. of continuing high performance enhancements (1) To look at records in a file. to computer system hardware. (2) In the NetView Graphic Monitor Facility, to Graphical User Interface (GUI). A type of open a view that cannot receive status changes computer interface consisting of a visual from Tivoli NetView for OS/390. This contrasts metaphor of a real-world scene, often of a with monitor. desktop. Within that scene are icons, Central Processing Unit (CPU). The part of a representing actual objects, that the user can computer that includes the circuits that control access and manipulate with a pointing device. the interpretation and execution of instructions. Contrast with command line interface. A CPU is the circuitry and storage that executes Hypertext Markup Language (HTML). A instructions. Traditionally, the complete markup language that is specified by an SGML processing unit was often regarded as the CPU; document type definition (DTD) and is whereas, today the CPU is often a microchip. In understood by all Web servers. either case, the centrality of a processor or processing unit depends on the configuration of Hypertext Transfer Protocol (HTTP). In the the system or network in which it is used. Internet suite of protocols, the protocol that is used to transfer and display hypertext Command Line Interface (CLI). A type of documents. computer interface in which the input command is a string of text characters. Contrast with Internet Protocol (IP). In the Internet suite of graphical user interface. protocols, a connectionless protocol that routes data through a network or interconnected DB2. An IBM relational database management networks and acts as an intermediary between system that is available as a licensed program the higher protocol layers and the physical on several operating systems. Programmers network. and users of DB2 can create, access, modify, and delete data in relational tables using a Java. An object-oriented programming variety of interfaces. language for portable interpretive code that supports interaction among remote objects. Direct Access Storage Device (DASD). A Java was developed and specified by Sun mass storage medium on which a computer Microsystems, Incorporated. stores data. Contrast with random access memory. Monitor. (1) A device that observes and records selected Distributed Monitoring. See Tivoli Distributed activities within a data processing system for Monitor. analysis. Possible uses are to indicate Distributed Monitoring Engine. In a Tivoli significant departure from the norm or to environment, the client software that is installed determine levels of utilization of particular on each managed node, gateway, and endpoint functional units. that is being monitored by Tivoli Distributed (2) Software or hardware that observes, Monitoring. The Distributed Monitoring engine supervises, controls, or verifies operations of a monitors resources, compares data from system. (3) The function required to initiate the © Copyright IBM Corp. 2000 253
  • 268.
    transmission of atoken on the ring and to provide the resources, and associate rules for governing soft-error recovery in case of lost tokens, the resources. The policy region contains circulating frames, or other difficulties. The resource types and the list of resources to be capability is present in all ring stations. managed. A policy region is represented on the (4) Software that monitors specific applications or Tivoli desktop by an icon that resembles a capitol the systems on which the applications rely. building (dome icon). When a Tivoli Management Monitors typically monitor information, such as Region (TMR) is created, a policy region with the available disk space or application errors, and same name is also created. In this case, the TMR compares the information to defined thresholds. has only one policy region. However, in most When thresholds are exceeded, either system or cases, a Tivoli administrator creates other policy network administrators can be notified or an regions and subregions to represent the automated response can be performed. organization of the TMR. A TMR addresses the (5) In the NetView Graphic Monitor Facility, to physical connectivity of resources, whereas, a open a view that can receive status changes from policy region addresses the logical organization Tivoli NetView for OS/390. Problem of resources. determination and correction can be performed Policy Subregion. In a Tivoli environment, a directly from the view. Contrast with browse. policy region created or residing in another policy MVS. Multiple Virtual Storage. Implies MVS/390, region. When a policy subregion is created, it MVS/XA, MVS/ESA, and the MVS element of the initially uses the resource and policy properties of OS/390 operating system. the parent policy region. The Tivoli administrator can later change or customize these properties to NetView. See Tivoli NetView and Tivoli NetView reflect the specific needs and differences of the for OS/390. subregion. Open Database Connectivity (ODBC). A Profile. standard application programming interface (API) (1) Data that describes the significant for accessing data in both relational and characteristics of a user, a group of users, or one non-relational database management systems. or more computer resources. Using this API, database applications can (2) In a Tivoli environment, a container for access data stored in database management application-specific information about a particular systems on a variety of computers even if each type of resource. A Tivoli application specifies the database management system uses a different template for its profiles; the template includes data storage format and programming interface. information about the resources that can be ODBC is based on the call level interface (CLI) managed by that Tivoli application. specification of the X/Open SQL Access Group and was developed by Digital Equipment A profile is created in the context of a profile Corporation (DEC), Lotus, Microsoft, and manager; the profile manager links a profile to Sybase. Contrast with Java Database the Tivoli resource (for example, a managed Connectivity. node) that uses the information contained in the profile. A profile does not have any direct Policy. In a Tivoli environment, a set of rules that subscribers. are applied to managed resources. A specific rule in a policy is referred to as a policy method. Random Access Memory (RAM). A temporary storage location in which the central processing Policy Region. In a Tivoli environment, a group unit (CPU) stores and executes its processes. of managed resources that share one or more Contrast with direct access storage device. common policies. Tivoli administrators use policy regions to model the management and Scripting Language. The programming organizational structure of a network computing language in which a script is written. environment. The administrators can group similar resources, define access to and control 254 Automation Using Tivoli NetView OS/390 V1R3 and System Automation OS/390 V1R3
  • 269.
    Script Stub. Aplace holder for a particular shell necessary corrective actions, and informs system script. For example, the Tivoli Module Builder administrators of potential problems. Tivoli generates a script stub (using a skeleton file) if a Distributed Monitoring consists of a group of developer does not provide the script for monitors that are installed on each managed implementing a particular task or monitor when node that is to be monitored. It resolves some defining the task or monitor. The script stub then events on its own and may send others to the displays a message that the script executed Tivoli Enterprise Console. successfully and displays any variables that were Tivoli Developer’s Toolkit. A Tivoli tool that passed to the script. enables developers to describe the management SMS. See Storage Management Subsystem. characteristics of an application or business system and that generates the application Software Distribution. See Tivoli Software description files and application management Distribution. packages that the Tivoli management software SQL. A programming language that is used to uses to manage applications and business define and manipulate data in a relational systems. database. Tivoli Enterprise Console (TEC). A Tivoli Structured Programming Facility (SPF). An product that collects, processes, and IBM product that is a full-screen editor. automatically initiates corrective actions for Structured Query Language. See SQL. system, application, network, and database events. It is the central control point for events System Management Facility (SMF). A from all sources. The Tivoli Enterprise Console standard feature of OS/390 that collects and provides a centralized, global view of the network records a variety of system and job-related computing environment. It uses distributed event information. monitors to collect information, a central event Storage Management Subsystem (SMS). A server to process information, and distributed DFSMS/MVS facility that is used to automate and event consoles to present information to system centralize the management of storage. Using administrators. SMS, a storage administrator describes data Tivoli Environment. The Tivoli applications, allocation characteristics, performance and based upon the Tivoli Management Framework, availability goals, backup and retention that are installed at a specific customer location requirements, and storage requirements to the and that address network computing system. management issues across many platforms. In a TCP. See Transmission Control Protocol. Tivoli environment, a system administrator can distribute software, manage user configurations, TCP/IP. See Transmission Control change access privileges, automate operations, Protocol/Internet Protocol. monitor resources, and schedule jobs. Time Sharing Option (TSO). An option of the Tivoli Management Framework. The base MVS operating system that provides interactive software that is required to run the applications in time sharing from remote terminals. the Tivoli product suite. This software Tivoli Client. A client of a Tivoli server. See TMR infrastructure enables the integration of systems client and TMR server. management applications from Tivoli Systems Inc. and the Tivoli Partners. The Tivoli Tivoli Desktop. In a Tivoli environment, the Management Framework includes the following: desktop that system administrators use to manage their network computing environment. -Object request broker (oserv) -Distributed object database Tivoli Distributed Monitoring. A Tivoli product -Basic administration functions that monitors system resources, initiates any -Basic application services 255
  • 270.
    -Basic desktop services,such as the graphical TMR client maintains a local object database. user interface See Tivoli client and Tivoli server. In a Tivoli environment, the Tivoli Management TMR Server. A Tivoli server for a specific Tivoli Framework is installed on every client and server; Management Region (TMR). See Tivoli client and however, the TMR server is the only server that TMR client. holds the full object database. TSD. See Tivoli Service Desk. Tivoli Management Region (TMR). In a Tivoli Transmission Control Protocol (TCP). A environment, a Tivoli server and the set of clients communications protocol used in the Internet and that it serves. An organization can have more in any network that follows the Internet than one TMR. A TMR addresses the physical Engineering Task Force (IETF) standards for connectivity of resources; whereas, a policy internetwork protocol. TCP provides a reliable region addresses the logical organization of host-to-host protocol between hosts in resources. packet-switched communications networks and in Tivoli Service Desk. A Tivoli product that is an interconnected systems of such networks. It uses integrated set of tools including Tivoli Assets the Internet Protocol (IP) as the underlying Management, Tivoli Change Management and protocol. Tivoli Problem Management. The information Transmission Control Protocol/Internet about the enterprise IT services and support is Protocol (TCP/IP). A set of communications maintained in a relational data base that can be protocols that support peer-to-peer connectivity accessed via users in a 3-tier environment. It functions for both local and wide area networks. provides a structure that supports the gathering, organizing, locating, and reporting of information UNIX. An operating system developed by Bell related to problem, change, and asset Laboratories that features multi-programming in a management. multi-user environment. The UNIX operating system was originally developed for use on Tivoli Service Desk for OS/390. A Tivoli product minicomputers but has been adapted for that is an integrated set of tools, services, and mainframes and microcomputers. The AIX interfaces for automating and customizing a operating system is IBM implementation of the organization's IT service and support operation in UNIX operating system. an OS/390 environment. It provides a structure that supports the gathering, organizing, locating, and reporting of information related to problem, change, and asset management. Tivoli Software Distribution. A Tivoli product that automates software distribution to clients and servers in a network computing environment. An organization can use this product to install and update applications and software in a coordinated, consistent manner across a network. Tivoli Software Distribution creates file packages and distributes them to predefined subscribers. TMR. See Tivoli Management Region. TMR Client. In a Tivoli environment, any computer, except the TMR server, on which the Tivoli Management Framework is installed. The oserv daemon runs on the TMR client, and the 256 Automation Using Tivoli NetView OS/390 V1R3 and System Automation OS/390 V1R3
  • 271.
    Abbreviations and acronyms ACF Automation Control File IBM International Business Machines AIX AIX Operating System IP Internet Protocol AOC Automated Operation Control IPC Inter-Process Communication AON Automated Operation Network IPL Initial Program Load API Application Program ITSO International Technical Interface Support Organization APPC Application Peer-to-Per JDK Java Development Kit Communication JES Job Entry System CLI Command Line JFF Just for Fun Interface JRE Java Runtime CLIST Command List Environment CPE Command Profile MIB Management Editor Information Block CPU Central Processing Unit MIF Management DASD Direct Access Storage Information Format Device MPF Message Processing DNS Domain Name Services Facility E/AS Event/Automation MVS/ESA Multiple Virtual Server Storage/Extended Storage Architecture FTP File Transfer Protocol MVS/XA Multiple Virtual GMFHS Graphic Monitor Facility Storage/Extended Host Subsystem Architecture GUI Graphical User NGMF NetView Graphic Interface Monitor Facility HCD Host Configuration NMC NetView Management Definition Console HLL/API High Level Language NLS National Language Application Program Support Interface NNT NetView-NetView Task HPFS High Performance File System NTFS NT File System HTML Hypertext Markup OS/390 Operation System/390 Language OST Operator Station Task HTTP Hypertext Transfer PPI Program-Program Protocol Interface © Copyright IBM Corp. 2000 257
  • 272.
    RACF Resource Access WLM Workload Manager Control Facility WTOR Write To Operator RDBMS Relational Data Base Management Systems REXX Name of an Interpreted Command List Language RFA Request for Announcement RODM Resource Object Data Manager SA System Automation SAF Security Authorization Facility SDF System Display Facility SMS Storage Management Subsystem. SMTP Simple Mail Transport Protocol SNA System Network Architecture SNMP Simple Network Management Protocol SYSLOG System Log TCP/IP Transmission Control Protocol/Internet Protocol T/EC Tivoli/Enterprise Console TMA Tivoli Management Agent TME Tivoli Management Environment TMR Tivoli Management Region TN3270 Telnet 3270 TSO Time Sharing Option VTAM Virtual Transaction Access Method 258 Automation Using Tivoli NetView OS/390 V1R3 and System Automation OS/390 V1R3
  • 273.
    Index Automated Operation Network 37 Automation Console 88 A Automation Control File 104 A01APPLS 47 Automation control file 60 ACF 60, 98, 104, 172, 184, 213 Automation Flags 72 ACFPLOAD 14, 170, 173 Automation policy database 60 ACQUIRE 175 Automation table 155 ADDSD 171 Automation Table Management tool 157 aggregate objects 138 Automation Timer 90 AIFR 175 AUTOTBL 157 , 166 AIX 253 Available Documentation and Technical Information Alert Forwarding 19 144 ALWAYS 168 AOC/MVS 172 AOCCLONE 74 B AOCCLONE1 110 BASE_AUTOOPS 93 AOCQRES 14 Batch or shell files 151 AOFACFMP 173 BEGIN/END 157, 166 AOFINIT 108 BINDIR 120, 121, 129, 130 AOFMSG00 41, 42, 104 BNH370I 179 AOFMSG01 41, 43, 44, 104, 158, 164 BNJMBDST 41, 43 AOFMSGSY 41, 42, 60 AOFPNLS 50, 108 AOFPSYST 109 C Cannot start the NT services 130 AOFRINIT 41 child 103 AOFRODM 48, 50 CHRON 2, 6 AOFSFMAP 48 CLASS 66 AOFSMAP 50 CLPA 56 AOFTDDF 108, 111 CNME1015 45 , 46 AOFTREE 50, 108 CNME1034 36 , 45, 46 AOFTSC42 110 Command line interface 253 AOFTSC66 110 Command Profile Editor 124, 126 AOFTSC69 110 Common automation CLIST library 45 AOFTST02 162 Common automation CLIST library (Enterprise fea- AON 37, 66 ture) 46 AON Inform policy 199, 202, 214, 217, 218 Common automation DSIPARM library 40 APL 65 Common automation DSIPARM library (Enterprise APPC 79 feature) 44 Application 64 common automation NetView libraries 40 ApplicationGroup 64 Common automation VTAMLST library 47 APPN 8 common networking NetView libraries 34 ASCH 79 CPE online utility 127 ASSIGN 92 CPEBATCH 126, 127 ATF DSICGLOB 177 CURRDATE 177 Auto Operators 92 current date 175, 177 AUTOCNT 157, 162 current time 175, 177 AUTOMAN 6, 156, 157, 159, 161, 215 CURRTIME 177 AUTOMATED function 175, 180 © Copyright IBM Corp. 2000 259
  • 274.
    CUSTOMER 107 duinmccw.exe 131, 132 customization 53 duinmcsw.exe 118, 119 Customizing RODM load jobs 49 E D EDIT 178 DALLAS_MVS 95 EDIT action 175, 178 DB2 8, 253 egvread1.me 115 DDF 38 egvread2.me 115 default directory 119 EGVREAD5.ME 118, 132, 143, 147 default encryption key 145 Enable 157, 164 default por 141 Enable/Disable 164 Define a NetView operator ID 145 Enabling TCP/IP for NetView 141 depedency relationship 105 encryption is not used 145 dependencies 103 encryption key 145 dependency 104 enhancement 126 DIAGNOSE 145 Environment setup 121, 122, 123 dialog 53 Environment space errors 153 Disable 157, 164 Events 13 disabling 164 events 181 Display 157 EXECIO 8 DISPTREE 105 EZLCFG01 35, 37, 38 Distributred Monitoring 253 EZLTREE 37, 38 domain specific 37, 50 DSI6DST task 19 DSICGLOB 177 F FLB4WIN.EXE 147 DSICMD 41, 43, 44 flb4win.exe 144, 147 DSICNM 41, 43 FLBDPD.HTM 144 DSICRTR task 20 FLBHLP.HTM 144 DSICRTTD 41, 43, 44, 45 flbinst.bat 148, 150 DSIDMN 41, 43, 44 flbread1.me 115 DSIDMNB 35, 36, 42, 43, 44, 45, 141 FLBSYSD 35 DSIDMNK 35, 42, 43, 144 FLBSYSDA 35 DSIDMNK Sample member 146 Focal Point 37 DSILIST 157, 159 focal point system 105 DSIOPF 42, 44 FOCAL_NETWORK 92 DSIOPFU 42 FOCAL_OPERS 93 DSIPARM 37, 108 FORCE 69 DSIPARM and DSIPRF members 144 FTP 4 DSIPARM members 141 DSIQTSKI 48, 50 DSITBL01 35, 104 G DSITCPCF 144 GAT&AOCCLONE2 111 DSITCPIP 146 Gateway 91, 112 DSITCPRF 144 gateway 22 DSIVPARM 35 Gateway Sessions 209 DSIWBMEM 141 GATOPER 208 DUIFPMEM 35, 37, 49 GMFHS 21, 37 DUIGINIT 35, 49 Graphical user interface 253 260 Automation Using Tivoli NetView OS/390 V1R3 and System Automation OS/390 V1R3
  • 275.
    Greater-than 175 IP 253 greater-than 177 IP Management 3 Group 64 IPL 107 IPSTAT 4 ISQ_NMCCCHLP_HELPFILES 124 H ISQ_NMCS_CMD.RSP 124 HDRMTYPE 8 ISQ_NMCS_DDF 124 Heartbeat 86 Issuing SA OS/390 commands 135 Heartbeat Interval 86 Hints and Tips for the Tivoli NMC Topology Console 135 J Hints and Tips for the Tivoli NMC Topology Server JAVA 253 117, 129 Java Development Kit 143 host TCP/IP 146 Java interface 115 How to Issue SA OS/390 Commands Using the Net- Java set up 135 View Management Console 125 JDK 143 HTTP 253 JES2 65, 112, 113 JES3 65 I ibmflb folder 151 K IDLEOFF 8, 169 keyword "ANY_OTHER" 146 IEASYMxx 33 IF-THEN 168 IF-THEN condition item 175, 176 L less-than 175, 177 ihsmessage.log 128, 129, 130 Link to Instances 73 IMMED 69 LLA 79 inbound and outbound encryption keys 149 local (domain specific) NetView libraries 37, 50 ING.SINGPWS1(INGNMCTZ) Local install process for the networking NetView do- 125 mains 38 ING.SINGPWS1(INGNMCZP) LPAR 37 125 LU 6.2 session 19 ING_NMCCHLP_HELPFILES 124 LUC session 19 ING_NMCS_CMD.RSP 124 ING_NMCS_DDF 124 INGDLG 62 M INGELOAD 55 Mainframe Component 142 INGNMCTZ 125 MCSFLAGS 89 INGNMCZP 125 MEMSTORE 8, 169 INIT 69 Message 194 Insert 157 Message Class 94 Installing NetView 3270 Console on Windows 95, MIB 2, 4 98, and NT 146 MIGRATE 172 Installing NMC for SA OS/390 124 Missing Heartbeat Delay 86 Installing NMC Topology Server 117 MLWTO 6 Installing the NMC Topology Console for Windows MPF table 196 NT 131 multi system focal point 204 INTERP 121, 129 multi-line messages 175 ints and Tips for the Tivoli NMC Topology Console MVS Component 90 131 MVS_COMPONENT 91 261
  • 276.
    MVSSTART 107 P PARENT 107 parent 103 N partial download of NMC from the server 135 NETCONV 5 NETLOG 8 performance 166 NETSTAT 4 PERMIT 172 NETVAPPL 47 PING 4 NETVIEW 76 PIPE EDIT 6 NetView 3270 Management Console 115, 142, policy database 53 143 policyDB 170 NetView Management Console 115 PORT 144 NetView ROLL command 152 problem with the TCP/IP definitions 141 NetView Sign On panel 136 Procedural 38 NETVIEW_CLASS 66, 76 Processor operations 80 NETVSA42 74 processor operations 139 NETVSA66 74 processor operations start command 138 NETVSA69 74 ProcessorOperation Operator 125 network node 8 ProcOps 83 NEW 66 PTF UW90546 124 NMC 1, 2, 4, 5, 6, 7, 9, 20, 33, 37, 39, 115, 224, 225 R NMC communications server 122 README 124 NMC server 115, 122 READSEC 8 NMC Topology Console setup program 133 real objects 139 NMC Topology Server 118 refresh the screen 152 NMC topology server starts, but then closes 130 relationship 105 NMC-Log 140 Reload 157 nmcpdf.zip 115 Replicating the NetView 3270 Console Across Mul- NNT 91 tiple Machines 151 Norm 69 REPORT 173 Notify 94 Report 173 Notify Operators 93 Required Host Environment 146 nstalling the Tivoli NMC Topology Console 131 response files 125 NT service 122, 123 RMTCMD 7 NTW 91, 94, 96 RODM 20, 172 numeric 177 RODMNAME 55 Numeric comparison 177 RRD 213 numeric comparison 177 Running the duinmcsw.exe 119 Numeric comparisons 175 S O SA OS/390 172 oper1.bat 150 SA_OS390 78 operator ID 145 SAF 213 OperatorView 136 SAMPLE_SYSTEM_01 81 OST-NNT session 19 SAOS390_NETVIEW 73 Out of memory errors 153 SC42 112 OUTMODE 14 SC42_Generic 78 SC66 81, 112 262 Automation Using Tivoli NetView OS/390 V1R3 and System Automation OS/390 V1R3
  • 277.
    SC66_Generic 78 an MS-DOS prompt SC69 112 150 SC69_Generic 78 start the NetView Management Console 136 SCHEDULED_AUTOMATION 90, 91 Starting the NMC Console 131 Screen corruption 153 Starting the NMC Console using a TCP/IP connec- SDF 13, 22, 108, 109, 204, 224, 225 tion 133 SDFPANEL 108 Starting the Tivoli NMC Topology Server 117, 127 Selecting the correct files 143 Startup 155 Server intallation on system running Tivoli Frame- Status Display Facilit 108 work 129 Status Display Facility 108 ServerPac 57 step 33, 39 service 122, 123 step 1 33, 39 Service periods 13 step 2 33, 39 Service Point Command Line 5 step 3 34 Session Management 4 step 4 34 session management 4 step 5 37, 50 Setting up DSITCPCF 144 SubGroup 64, 94, 96 Setting up DSITCPRF 145 SUBMIT 8 Setting up NMC Topology Server 117 SUBSJOB 71 Setting up the base NetView for OS/390 47 switching screens 152 Setting up the Graphic Monitor Facility Host Sub- Synonym 59 system 49 SYSCLONE 32 Setting up the Host (Mainframe) Environment 144 SYSLOG 12 Setting up the NetView 3270 Management Console SYSNAME 32 142 sysplex 59 Setting up the NMC client workstation 131 System 64 Setting up the Resource Object Data Manager 47 system and user defined symbolic 27, 32 Setting up the Web interface to Tivoli NetView System Automation 66 OS/390 140 SYSTEM INFO 84, 87, 90, 91, 92, 93 setup 53 system operations 139 setup_env file is found, but the bindir is not set 130 system operations commands 139 SETUP_ENV.CMD 120, 121 system requirements 142 setup_env.cmd 120, 129 System use 86 setup_env.cmd is not found 129 SystemAutomation Operator 125 SEZLPNLU 38 SystemOperation Operator 125 SHUTSYS 14 slow response time 152 SMF 8 T TAF 91 SMTP 4, 6, 156, 199, 202, 214, 215 TARGET_NETWORK 92 SMTP email 199, 200, 201, 202 TCP 256 SNMP 1, 2, 3, 4, 5 TCP/IP 256 SOCKET 7 TCPANAME 144 socket 2, 4 TCPIP 79, 105 SOCKETS 145 TEC 255 Software Distribution 255 telnet 4 Software installation 118, 120 Terminal Access Facility 91 Software requirements 142 TIMEOUT 145 SQL 255 TIMER 6 start the NetView 3270 Management Console from 263
  • 278.
    Timer 90 Tivoli Developer’sToolkit 255 Tivoli Enterprise Console 255 Tivoli Framework 120 Tivoli Service Desk 256 Tivoli Service Desk for OS/390 256 Tivoli Software Distribution 256 TME 10 NetView for OS/390 Management Console 137 TMR 90, 91, 94, 96 TN3270 2, 4 TopologyServer version 1.3.0 117 TRACE action 175, 179 TRACERTE 4 TRANSIENT 68 traps 3 Triggers 13 triggers 181 TSO 79, 105 U Uninstalling the NetView 3270 Console on Windows 95, 98, and NT 150 Uninstalling the Tivoli NMC Topology Console 131, 134 Uninstalling the Tivoli NMC Topology Server 117, 128 UNIX 256 Unload 157 user rights 121 UW90546 124 V VALUE() function 175, 177 Values of variables 175 Variable value function 177 VLF 79 VSAMPOOL 169 VTAM 79, 105 W Web 115 WINDIR 120 Windows NT service 117 Workstation Component 143 WRITESEC 8 WTOR 66 264 Automation Using Tivoli NetView OS/390 V1R3 and System Automation OS/390 V1R3
  • 279.
    IBM Redbooks review Yourfeedback is valued by the Redbook authors. In particular we are interested in situations where a Redbook "made the difference" in a task or problem you encountered. Using one of the following methods, please review the Redbook, addressing value, subject matter, structure, depth and quality as appropriate. • Use the online Contact us review redbook form found at http://www.redbooks.ibm.com/ • Fax this form to: USA International Access Code + 1 914 432 8264 • Send your comments in an Internet note to redbook@us.ibm.com Document Number SG24-5515-00 Redbook Title Automation Using Tivoli NetView OS/390 V1R3 and System Automation OS/390 V1R3 Review What other subjects would you like to see IBM Redbooks address? Please rate your overall O Very Good O Good O Average O Poor satisfaction: Please identify yourself as O Customer O Business Partner O Solution Developer belonging to one of the O IBM, Lotus or Tivoli Employee following groups: O None of the above Your email address: The data you provide here may be used to provide you with O Please do not use the information collected here for future information from IBM or our marketing or promotional contacts or other communications beyond business partners about our the scope of this transaction. products, services or activities. Questions about IBM’s privacy The following link explains how we protect your personal information. policy? http://www.ibm.com/privacy/yourprivacy/ © Copyright IBM Corp. 2000 265
  • 280.
    Automation Using TivoliNetView OS/390 V1R3 and System Automation OS/390 V1R3 SG24-5515-00 Printed in the U.S.A. ® SG24-5515-00