Artificial Neural Netwoks
Dr. Yosser ATASSI
Lecture 2
Perceptron
Perceptron
Perceptron
x
xo
x
x: class I (y = 1)
o: class II (y = -1)
x
oo
o
x: class I (y = 1)
o: class II (y = -1)
• Examples of linearly inseparable classes
- Logical XOR (exclusive OR) function
patterns (bipolar) decision boundary
x1 x2 y
-1 -1 -1
-1 1 1
1 -1 1
1 1 -1
No line can separate these two classes, as can be
seen from the fact that the following linear inequality
system has no solution
because we have b < 0 from
(1) + (4), and b >= 0 from
(2) + (3), which is a
contradiction
o
xo
x
x: class I (y = 1)
o: class II (y = -1)





<++
≥−+
≥+−
<−−
(4)
(3)
(2)
(1)
0
0
0
0
21
21
21
21
wwb
wwb
wwb
wwb
– XOR can be solved by a more complex network with
hidden units
Y
z2
z1x1
x2
2
2
2
2
-2
-2
θ = 1
θ = 0
(-1, -1) (-1, -1) -1
(-1, 1) (-1, 1) 1
(1, -1) (1, -1) 1
(1, 1) (1, 1) -1
Perceptron Learning
• Perceptron learning algorithm
Step 0. Initialization: wk = 0, k = 1 to n
Step 1. While stop condition is false do steps 2-5
Step 2. For each of the training sample ij: class(ij)
do steps 3 -5
Step 3. compute net= w* ij
Step 4. compute o=f(net)
Step 5. If o != class(ij)
wk := wk + µ ∗ ij * class(ij), k = 1 to n
Notes:
- Learning occurs only when a sample has o != class(ij)
- Two loops, a completion of the inner loop (each
sample is used once) is called an epoch
Stop condition
- When no weight is changed in the current epoch, or
- When pre-determined number of epochs is reached
Exercise
1)(
1
5.0
1
1
1)(
1
5.0
5.1
0
1)(
1
0
2
1
5.0
0
1
1
221100
0
=












−
−
−=












−
−
−=












−
−
0.2=












−
=
=== iclassiiclassiiclassi
W µ
[ ]
[ ]
12
1
1
111
1
00010
0
000
1
6.1
1
5.0
5.1
0
7.006.08.0
*
7.0
0
6.0
8.0
1
0
2
1
*1*2.0
5.0
0
1
1
*)(1
5.25.0021
1
0
2
1
5.0011
*
WW
o
net
iWnet
W
iiclassWWo
net
iWnet
T
T
=
−=
−=












−
−=
=












−
=












−
−
−+












−
=
∗+=+=
=−++=












−
−
−=
=
µ
[ ]
[ ] 5.29.0
1
0
2
1
5.01.04.06.0
5.0
1.0
4.0
6.0
1
5.0
1
1
*2.0
7.0
0
6.0
8.0
1)(1
1.2
1
5.0
1
1
7.006.08.0
*
3
3
22
2
222
<=












−
−
−=












−
=












−
−
+












−
=
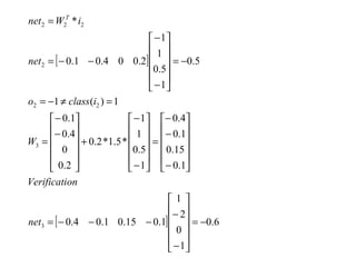
=≠−=
−=












−
−
−=
=
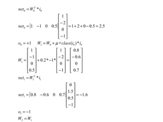
net
onVerificati
W
iclasso
net
iWnet T
Notes
Informal justification: Consider o = 1 and class(ij) = -1
– To move o toward class(ij), w1should reduce net
– If ij = 1, ij * class(ij) < 0, need to reduce w (ij *w is
reduced )
– If ij = -1, ij * class(ij) >0 need to increase w (ij *w is
reduced )
ADALINE
ADALINE
Adaline Learning Algorithm
Adaline Learning
Exercise
1)(
1
5.0
1
1
1)(
1
5.0
5.1
0
1)(
1
0
2
1
5.0
0
1
1
221100
0
=












−
−
−=












−
−
−=












−
−
0.2=












−
=
=== iclassiiclassiiclassi
W µ
[ ]
[ ]












−
−
=












−
−
−+












−
=
=
=












−
−=
=












−
=












−
−
−+












−
=
−∗+==
=−++=












−
−
−=
=
2.0
0
4.0
1.0
1
0
2
1
*2*2.0
2.0
0
4.0
3.0
1
1
1
5.0
5.1
0
2.004.03.0
*
2.0
0
4.0
3.0
1
0
2
1
*5.3*2.0
5.0
0
1
1
*)(1
5.25.0021
1
0
2
1
5.0011
*
2
1
1
111
1
00010
0
000
W
o
net
iWnet
W
inetdWWo
net
iWnet
T
T
µ
[ ]
[ ] 6.0
1
0
2
1
1.015.01.04.0
1.0
15.0
1.0
4.0
1
5.0
1
1
*5.1*2.0
2.0
0
4.0
1.0
1)(1
5.0
1
5.0
1
1
2.004.01.0
*
3
3
22
2
222
−=












−
−
−−−=












−
−
−
=












−
−
+












−
−
=
=≠−=
−=












−
−
−−=
=
net
onVerificati
W
iclasso
net
iWnet T
Multi-layer networks
(Relative concentration of NO and NO2 in exhaust fumes as a function
of the richness of the ethanol/air mixture burned in a car engine.)
feedforward network
Error Backpropagation
We want to train a multi-layer feedforward
network by gradient descent to
approximate an unknown function, based
on some training data consisting of pairs
(x,t). The vector x represents a pattern of
input to the network, and the vector t the
corresponding target (desired output).
Weight from unit j to unit i by wij.
Algorithm
Artificial neural netwoks2
Artificial neural netwoks2
Artificial neural netwoks2
Artificial neural netwoks2
Artificial neural netwoks2

Artificial neural netwoks2