Embed presentation
Download to read offline








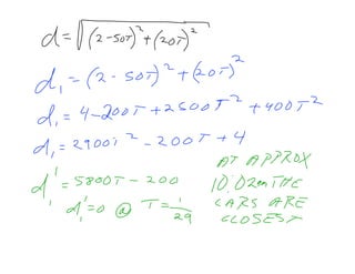
The document contains three optimization problems: 1) Finding the greatest capacity of a rain gutter made from a sheet of metal by turning up its sides. 2) Determining the time and minimum distance between two cars traveling at different speeds and directions that intersect at a single point. 3) Finding the maximum volume of a cylinder that can be inscribed within a cone of given altitude and base radius where their centers coincide.






