Embed presentation
Downloaded 216 times




































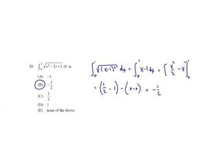
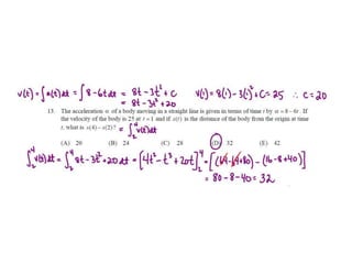
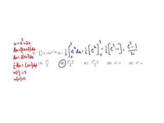
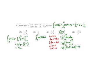
This document provides a review of integration concepts for the AP Calculus exam. It contains multiple choice questions to test understanding of integration, which is a key topic in calculus. Solving integration problems correctly requires mastery of techniques like u-substitution to find antiderivatives of functions.



































