Embed presentation
Downloaded 111 times























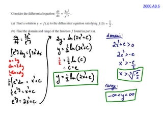
This document lists the years and forms of past AP Calculus exams that covered topics related to slope fields and differential equations on free response questions. Specifically, it lists exam questions from 2000 to 2007 for both AB Calculus exams Forms B and non-Form B that were relevant to slope fields and differential equations.






















