Embed presentation
Downloaded 381 times































































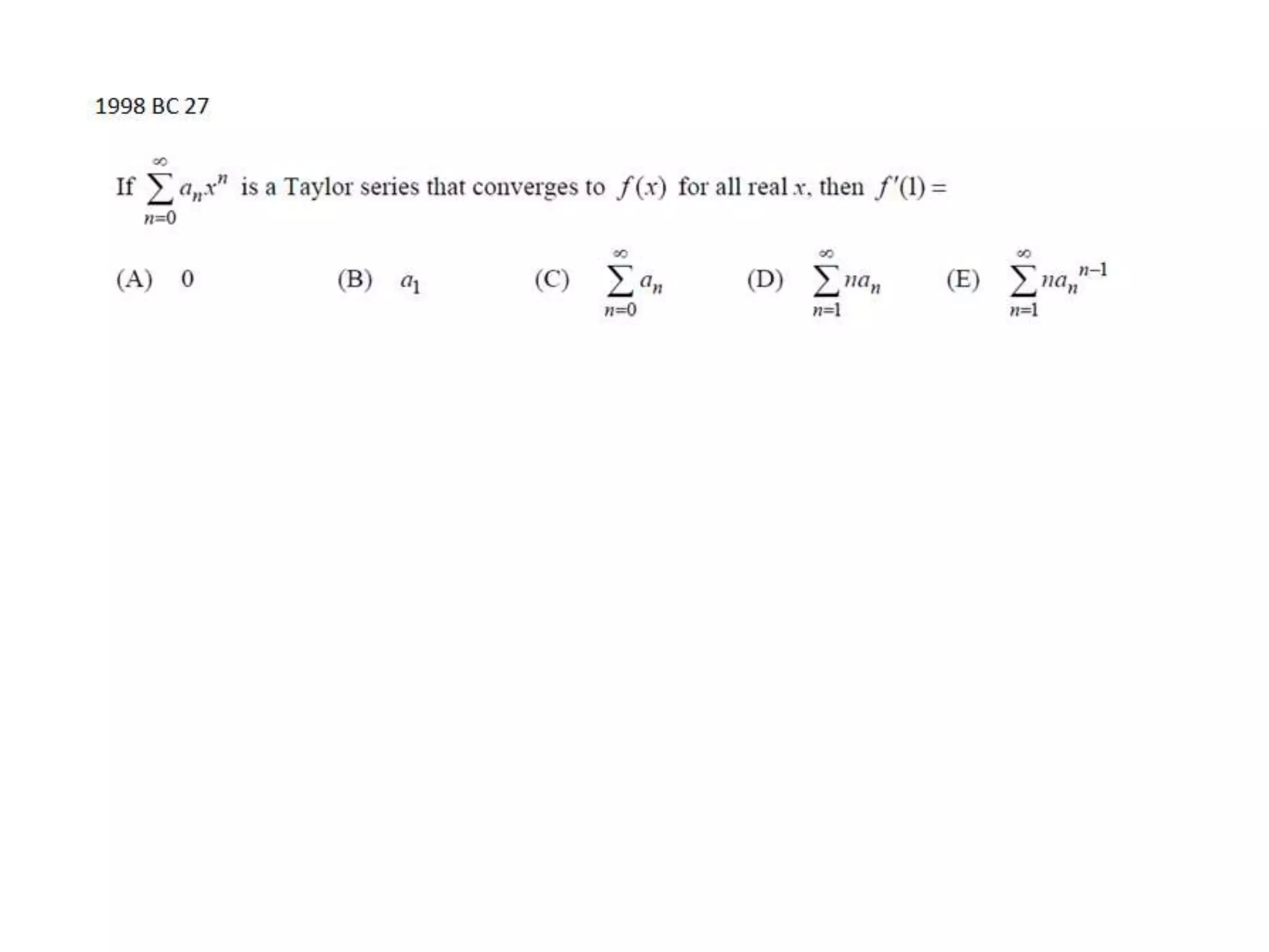
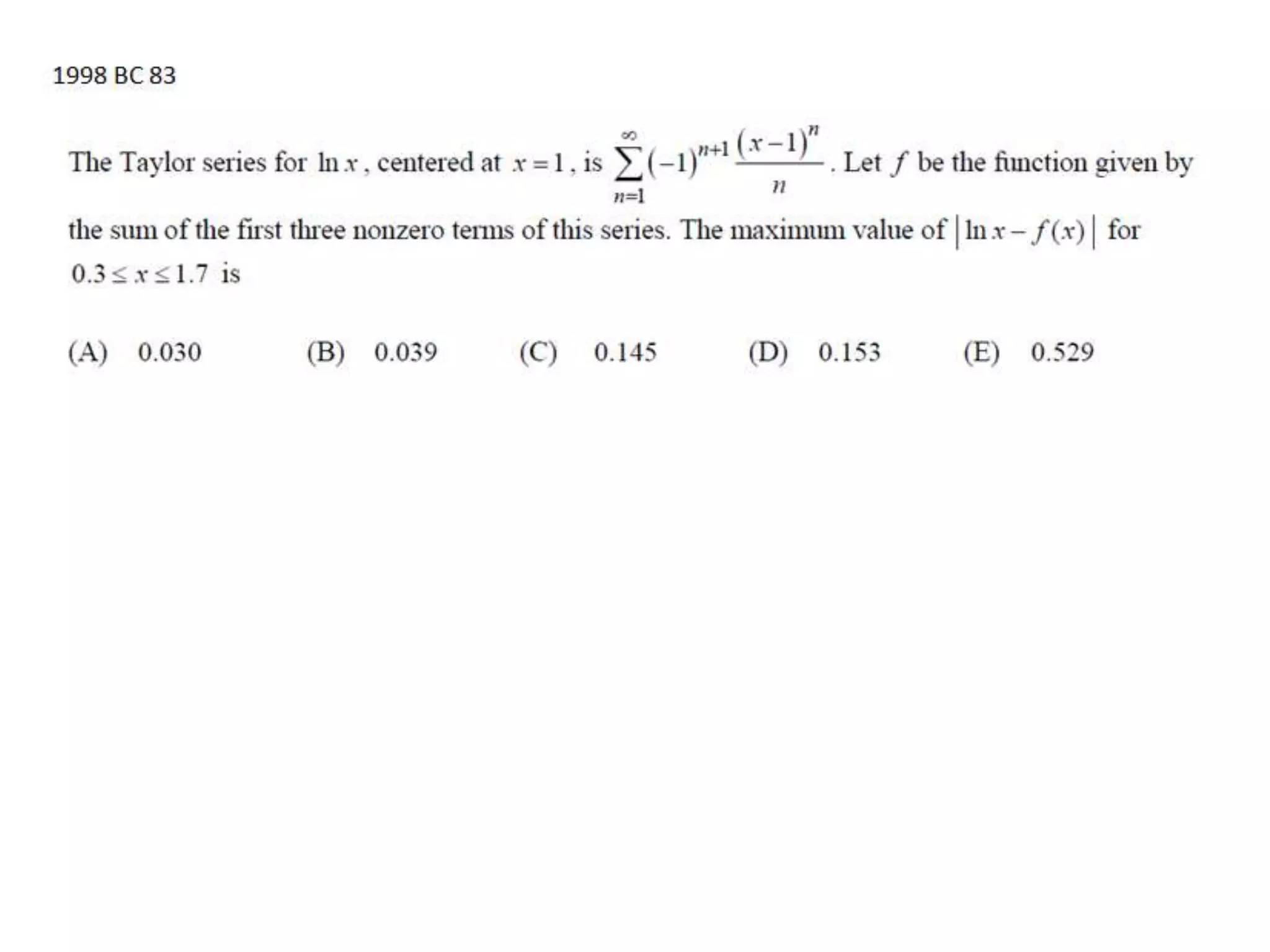
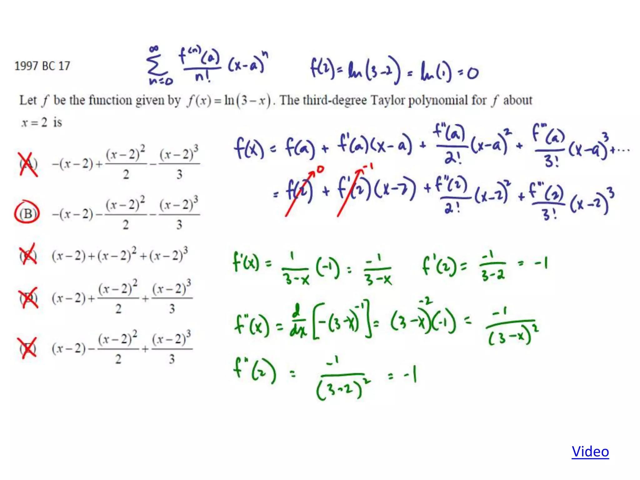
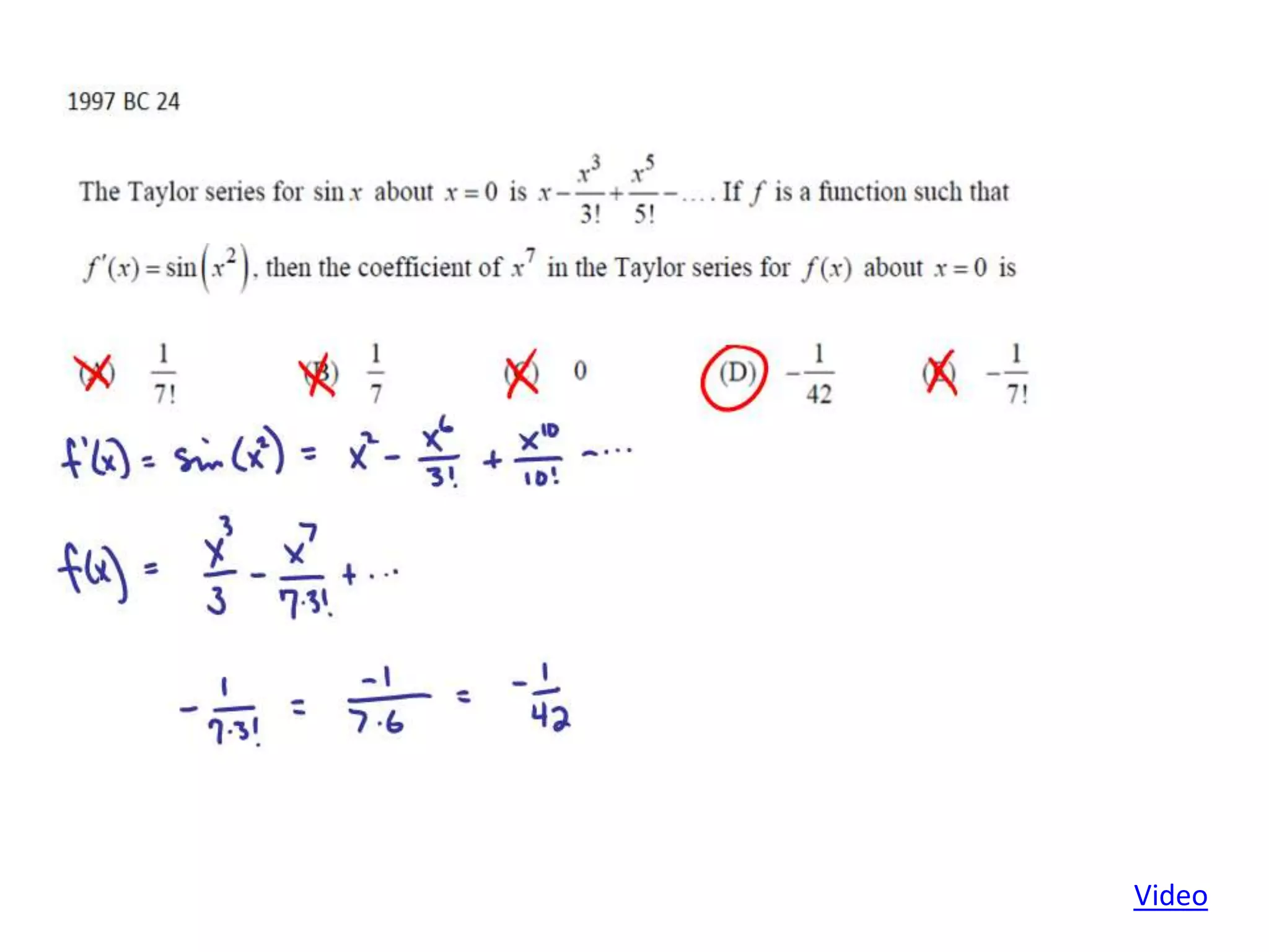
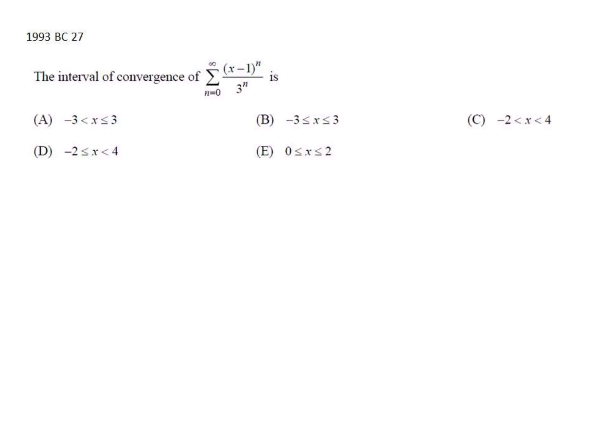
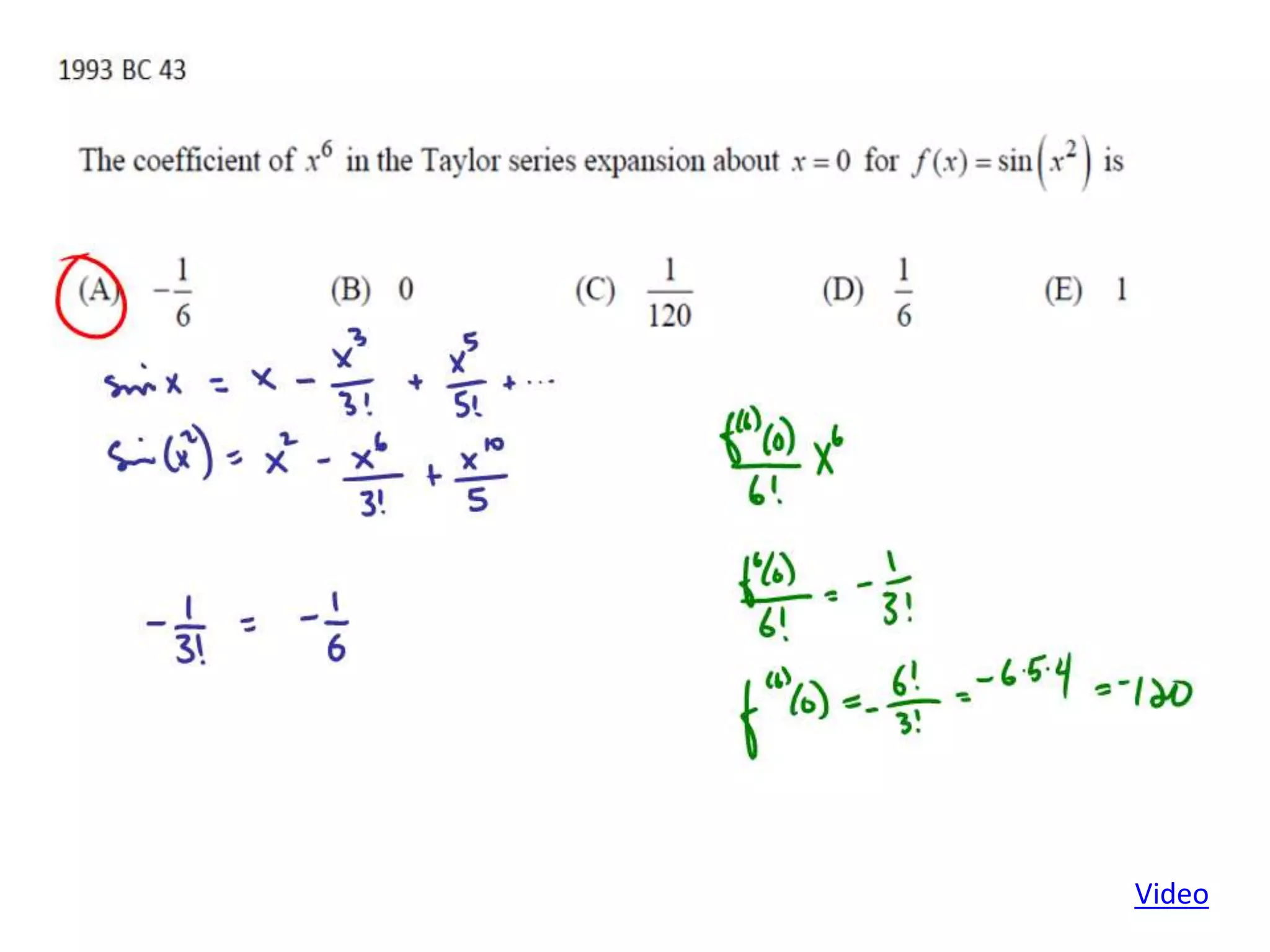
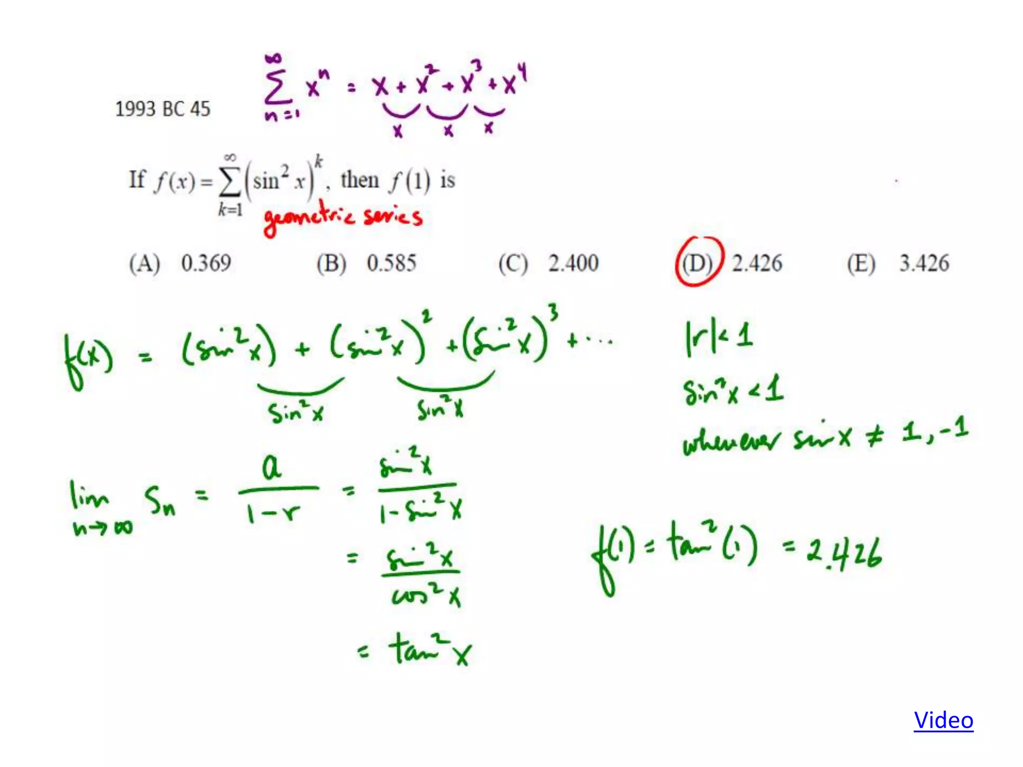
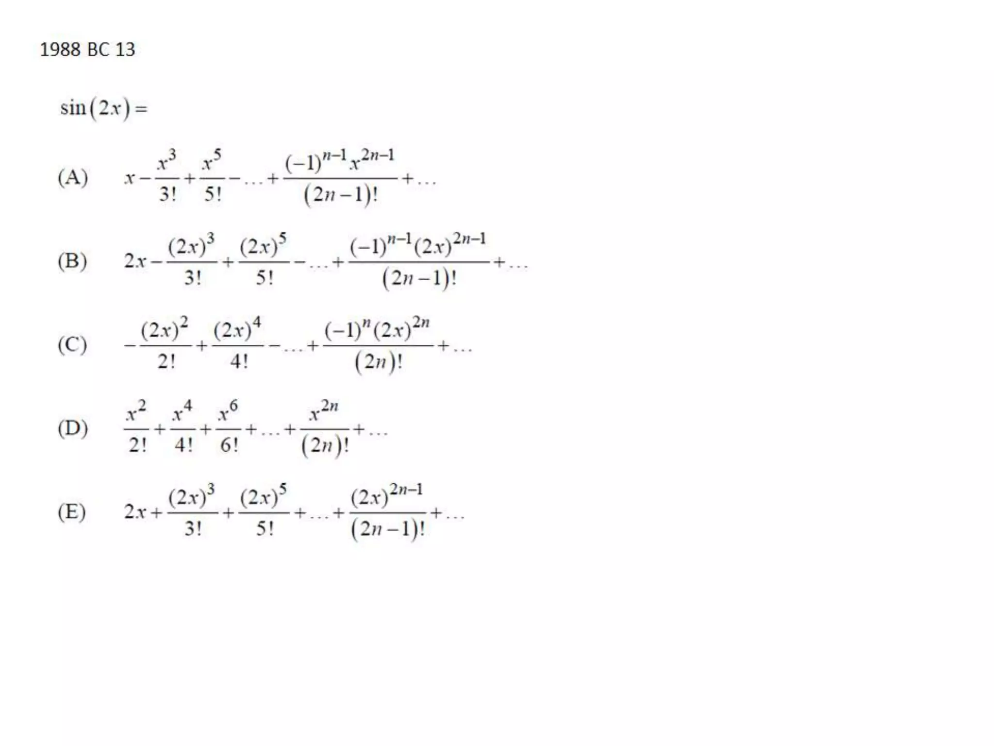
This document provides multiple choice questions related to infinite series from an AP Calculus BC exam. It contains a series of videos that explore different concepts in infinite series through interactive multiple choice questions and explanations. The videos cover a range of topics on infinite series for calculus students to review.






























































