International Journal of Hydrogen Energy 32 (2007) 2382 – 2389
www.elsevier.com/locate/ijhydene
Influenceoftransient operating conditionson pressure-concentration
isothermsand storage characteristics ofhydridingalloys
E. Anil Kumar, M. Prakash Maiya, S. Srinivasa Murthy ∗
Refrigeration and Air Conditioning Laboratory, Department of Mechanical Engineering, Indian Institute of Technology Madras, Chennai - 600 036, India
Received 11 August 2006; received in revised form 9 October 2006; accepted 9 October 2006
Available online 28 November 2006
Abstract
Pressure-concentration isotherms (PCI) are measured by both static and dynamic methods for mischmetal based alloys, MmNi3.9 Co0.6 Al0.5
and MmNi4 Al. The effects of hydrogen flow rate on plateau pressure, enthalpy of formation and entropy of formation are studied. For
MmNi3.9Co0.6Al0.5 both shape of the PCI and plateau pressureare dependent on the flow rate. The effect on plateau pressureis not significant
in the case of MmNi4 Al. Both materials showed significant variations in enthalpy of formation with flow rate due to variation in reaction
rate. The effect of flow rate on desorption isotherm is negligible as the desorption equilibrium pressure is much lower compared to absorption
equilibrium pressure due to large hysteresis in these materials. While the basic nature of variation of pressure with concentration is same for
both static and dynamic PCIs, the thermodynamic properties estimated based on these data vary significantly.
2006 International Association for Hydrogen Energy. Published by Elsevier Ltd. All rights reserved.
Keywords: Metal hydride; Dynamic PCI characteristics; Enthalpy of formation; Entropy of formation
1. Introduction
Hydriding materials can be synthesized in a variety of com-
positions to suit the hydriding and dehydriding characteris-
tics required for specific applications. Pressure-concentration
isotherms (PCI) represent hydrogen gas pressure in thermody-
namic equilibrium with a metal and its hydride as a function
of hydrogen concentration at a given temperature.
PCI can be obtained by both static and dynamic means. In
static measurement, a given amount of hydrogen is added or
withdrawn stepwise from the system. At the end of each step,
equilibrium condition is established. In dynamic measurement,
hydrogen mass flow rate is maintained constant throughout
the experiment. For the design of metal hydride based systems
like hydrogen storage devices, heat pumps, heat transformers,
thermal compressors etc., static PCI data is not suitable due
to dynamic operating conditions. For instance, if a hydrogen
compressoris designed using static PCI data, the actual driving
temperature has to be somewhat higher than the static design
∗ Corresponding author. Fax: +91 44 2257 0545/4652.
E-mail address: ssmurthy@iitm.ac.in (S. Srinivasa Murthy).
temperature to reach the designed hydrogen pressure [1].
Tuscher et al. [2] tested single and double bed storage units
containing LaNi4.6 Al0.4 as hydrogen storage material with re-
gard to their dynamic behaviour in energy conversion systems.
The dynamic quasi-isotherms showed an increase in hystere-
sis with increase in hydrogen sorption rates. They measured
the total hydrogen flow and hydrogen pressure at various
half-cycle times with coolant (water) at 286 and 353 K. The
operating characteristics of the system showed that the effi-
ciency of energy conversion decreases with increasing hydro-
gen flow. Nagel et al. [3] studied the dynamic PCI behaviour
of the paired metal hydrides MmNi4 Fe and LaNi4.65 Al0.3 .
They observed that dynamic PCI showed more clearly the actual
hydrogen content of the paired hydride than the static PCI
curve. Published data on PCI [4–6] reveal that the plateau
pressures in dynamic PCI measurement depend on the reaction
rate. Detailed discussion on PCI measurements and material
characteristics are given in Ref. [7].
With the above mentioned points in view, two mischmetal
based materials are studied here for effect of flow rate
on PCI, thermodynamic and storage properties at different
temperatures.
0360-3199 /$ - see front matter 2006 International Association for Hydrogen Energy. Published by Elsevier Ltd. All rights reserved.
doi:10.1016/j.ijhydene.2006.10.041
E. Anil Kumar et al. / International Journal of Hydrogen Energy 32 (2007) 2382 – 2389 23832383 E. Anil Kumar et al. / International Journal of Hydrogen Energy 32 (2007) 2382 – 2389
4
Nomenclature
ma mass of hydrogen absorbed by metal hydride
in static experiments, g
malloy mass of alloy sample charged in the reactor, g
mf mass of hydrogen expanded as free gas in to
the reactor, g
mia mass ofhydrogen absorbed by metalalloy till
a particular instant in dynamic experiments,
g
mif mass of free gas, g
miT total mass of hydrogen transferred through
mass flow controller till a particular instant,g
mT mass of hydrogen entered in to the reactor in
static experiments, g
P differential pressure transducer reading,
N/m2
Pi pressure in volume upstreamof the reactorat
any instant, N/m2
Praa reactor pressure after absorption,N/m2
Prba reactor pressure before absorption, N/m2
Ps pressure at standard conditions, N/m2
Qit total volume of hydrogen transferred through
mass flow controller till a particular instant,m3
R characteristic gas constant,4.124 J/g K of H2
T1 temperature of hydrogen gas in selected volume,
K
T4 temperature of hydrogen gas in the reactor, K
Ti2 temperature of hydrogen gas in the volume up-
stream of the reactor at any instant, K
Ti3 temperature of hydrogen gas in reactor void vol-
ume at any instant, K
Ts temperature at standard conditions,K
Vf volume upstream of the reactor, m3
VRd void volume of reactor in dynamic measure-
ments, m3
VRs void volume inside the reactorin static measure-
ments, m3
Vs selected volume (volume from where hydrogen
is supplied/desorbed in static experiments), m3
wH storage capacity, %
Z compressibility factor
Fig. 1. Schematic of experimental set-up for static PCI measurements.
2. Experimental setup
The set-up for measuring the static PCI characteristics of
metal hydride alloys is illustrated in Fig. 1. A cylindrical reac-
tor of 15 mm inner diameter and 2 mm thickness as shown in
Fig. 2 is used for the static PCI measurements. One end of the
reactor is closed with a provision for connecting a thermocou-
ple, while the other end is threaded with an end cap, which is
further welded to a 1 ∗∗
SS-tube for hydrogen supply.Only half
volume of the reactor is filled with the alloy. It is ensured that
the hydrogen supply tube is in the upper half of the reactor
so that the hydrogen gas can flow till the other end of the re-
actor and diffuse uniformly downwards maintaining uniform
absorption rate through the entire length of the bed. Piezo re-
sistive type pressure transducers P1 and P2 of range 0–100 bar
are used for measuring the supply pressure and P3 is used for
measuring the hydride equilibrium pressure. Differential pres-
sure (DP) transducer of range 0.5 bar is used for measuring
E. Anil Kumar et al. / International Journal of Hydrogen Energy 32 (2007) 2382 – 2389 23842384 E. Anil Kumar et al. / International Journal of Hydrogen Energy 32 (2007) 2382 – 2389
Fig. 2. Reactor for static PCI measurements.
Fig. 3. Schematic of experimental set-up for dynamic PCI measurements.
the pressure difference between the reference and the selected
volumes. “K” type thermocouples of accuracy ±1 ◦
C and a
time constant of 0.2 s are used for measuring the temperature
of hydrogen gas at different locations as shown in Fig. 1. Ther-
mostatic oven of range 27.350 ◦
C is used for supplying heat
during desorption and also used for maintaining a constant tem-
perature environment for the reactor. A digital Pirani gauge of
accuracy ±0.5% is used for measuring the vacuum.
The set-up for measuring the dynamic PCI characteristics il-
lustrated in Fig. 3 is similar to static PCI measurement set-up
in many features. Differences between two setups are, the dy-
namic setup consists of a thermal mass flow controller (MFC)
and a thermostatic bath instead of the DP transducer and con-
stant temperature oven. A cylindrical reactor of 15 mm inner
diameter and 2 mm thickness as shown in Fig. 4 is used for the
dynamic PCI measurements. One end of the reactor is closed,
while the other end of the reactor is threaded with an end cap,
so that the reactor can be charged with metal alloy through this
end. The dynamic reactor is also half filled like the static re-
actor. Two piezo resistive type pressure transducers P1, P2 of
range 0.100 bar are used for measuring hydrogen supply pres-
sure and reactorpressure respectively.The mass flowcontroller
of range 0.100 ml/ min is used to supply hydrogen at a con-
stant mass flow rate to the reactor.A thermostatic bath of range
0.100 ◦
C is used to maintain isothermal conditions for the re-
actor in spite of continuous release or absorption of reaction
enthalpy.
3. Choice and preparation of alloy
Low pressure AB5 type mischmetal based alloys find a va-
riety of applications such as hydrogen storage, metal hydride
batteries, water pumping systems etc. Detailed studies on the
effects of mass flow rate on dynamic PCI measurements for
the low pressure alloys are not available. Here two well-known
low pressure AB5 mischmetal based alloys MmNi4 Al and
MmNi3.9 Co0.5 Al0.6 are chosen. Both the alloys were synthe-
sised [8] at Defence Metallurgical Research Laboratory, Hy-
derabad and delivered as powder with an average particle size
of 50 m. Alloy samples of 20 g each are used for testing after
activation. Activation procedure consists of evacuation down to
10−3
mbar at 120 ◦
C and charging with hydrogen at a pressure
of 20 bar and room temperature. The evacuation and charging
is repeated for 20 cycles to complete the activation procedure.
E. Anil Kumar et al. / International Journal of Hydrogen Energy 32 (2007) 2382 – 2389 23852385 E. Anil Kumar et al. / International Journal of Hydrogen Energy 32 (2007) 2382 – 2389
m =
m =
Mass of hydrogen absorbed by metal alloy
ma = mT − mf . (4)
Hence storage capacity
ma
wH (wt%) =
malloy
× 100. (5)
Fig. 4. Reactor for dynamic PCI measurements.
4. Experimental procedure
In the case of static PCI measurement during absorption,
a given amount of hydrogen is added to the sample of metal
powder in steps.Any one or two or all the three of CC1 , CC2
and CC3 (Fig. 1) are put into operation by valves v1, v2 and
v3 depending on prior experience about the absorption capac-
ity of the powder. This is necessary to keep the pressure dif-
ference across DP (which is used to reduce the error) within
a limit after absorption in each step.All the valves except v8,
v11, v12 and v13 are opened and hydrogen is introduced to the
system. Then valve v5 is closed. Pipe volumes V4 , V5 and cali-
brated cylinder CC4 together act as reference volume. It’s tem-
To get wH at higher pressures,valve v8 is closed, v5 is opened
and hydrogen is charged via v10 to the predetermined high
pressure.The procedure is repeated to find the wt% at the cor-
responding equilibrium pressure. The experiment is continued
till a maximum wt% is reached (i.e. till there is no significant
difference in wt% two successive steps). Similar procedure is
adopted to find the wt% during desorption stages as well.
In the case of dynamic PCI measurement during absorption,
hydrogen gas is introduced at a predetermined rate by using
MFC (Fig. 3). The gas is allowed to get absorbed simultane-
ously by the sample of metal powder in the reactor maintained
at constant temperature. Valves v3, v4, v5, v7 and v8 are opened
and all the remaining valves are closed. Pressure and tempera-
ture in the upstream of the reactor (pipe volume between v6, v8,
v9, v10 and MFC) are measured continuously to estimate the
free gas in this volume at any instant of time. The same pres-
sure is assumed to prevail in the reactor while its temperature is
continuously monitored (to account for minor changes) to esti-
mate the free hydrogen occupied in its void volume. Thus at any
instant of time hydrogen fed to the control volume is given by
Ps
perature and hence pressure remains constant during each step
of experiment. Valve v8 is opened.Hydrogen gets absorbed in
miT = QiT
RT s
. (6)
the sample of metal powder. After reaching the equilibrium the
pressure drop is measured from DP.
Free hydrogen gas in the control volume:
Amount of hydrogen transferred to the reactor: PiVf
if
ZRT i2
PiVRd
+
ZRT i3
. (7)
P Vs
T
ZRT 1
, (1) Actual amount of hydrogen absorbed:
mia = miT − mif . (8)
where
Z = f (p, T ) = 1 + (B0 + B1 T + B2 T2
)P × 10−6
Hence storage capacity:
m
+ (C0 + C1T + C2T 2
)P 2
× 10−12
, (2)
wH (wt%) =
ia
malloy
× 100. (9)
B0 = 0.00962 MPa−1
,
B1 = −15.446 × 10−9
MPa−1
K−1
,
B2 = 82.314 × 10−13
MPa−1
K−2
,
C0 = 18.167 × 10−8
MPa−2
,
C1 = −83.222 × 10−11
MPa−2
K−1
,
C2 = 9.327 × 10−13
MPa−2
K−2
. Amount of free gas in
the reactor
E. Anil Kumar et al. / International Journal of Hydrogen Energy 32 (2007) 2382 – 2389 23862386 E. Anil Kumar et al. / International Journal of Hydrogen Energy 32 (2007) 2382 – 2389
Experiment is repeated with different
flow rates of hydrogen through MFC
as well as different reactor
temperatures generat- ing a family of
absorption curves. Similar procedure
is adopted for finding desorption
characteristics as well by
appropriately operating various
valves.A vacuum pump is employed
for desorption at sub atmospheric pressures.
The van’t Hoff plot of the metal hydride is obtained by plot-
ting logarithm of equilibrium pressures (the pressure at mid
plateau) against the corresponding reciprocal of temperatures
(in Kelvin). An equation is fitted to the line so obtained. By
comparing the equation of fit (ln Pe = A/ T + B) with van’t
Hoff’s equation (ln Pe = H/RT − S/R), i.e., A = H /R
and B = S/R, the two thermodynamic properties namely
mf =
Prba VRs
ZRT 4
Praa VRs
−
ZRT 4
. (3)
enthalpy of formation ( H) and entropy of formation ( S)
are evaluated.
E. Anil Kumar et al. / International Journal of Hydrogen Energy 32 (2007) 2382 – 2389 23872387 E. Anil Kumar et al. / International Journal of Hydrogen Energy 32 (2007) 2382 – 2389
Pressure(bar)Pressure(bar)
Pressure(bar)Pressure(bar)
100
10
1
0.1
0.01
Absor p tio n
80ºC
60ºC
40ºC
27ºC
80ºC
60ºC
40ºC
27ºC
Desorption
0 0.2 0.4 0.6 0.8 1 1.2 1.4
Storage Capacity (wt%)
100
10
1
0.1
0.01
Absor p t io n
80°C
60°C
40°C
27°C
80°C
60°C
40°C
27°C
Deso r p tio n
0 0.2 0.4 0.6 0.8 1 1.2 1.4
Storage Capacity (wt%)
Fig. 5. Static PCI curves for MmNi3.9 Co0.5 Al0.6 .
Fig. 7. Dynamic PCI curves for MmNi3.9 Co0.5 Al0.6 at 80 ml/min.
100
10
1
0.1
0.01
Absorption
80°C
60°C
40°C
27°C
80°C
60°C
40°C
27°C
Desorption
100
10
1
0.1
0.01
Absorption
80 ml/min (Dyn)
20 ml/min (Dyn)
Static
80 ml/min (Dyn)
20 ml/min (Dyn)
Static
De sorption
0 0.2 0.4 0.6 0.8 1 1.2 1.4
Storage Capacity (wt%)
Fig. 6. Dynamic PCI curves for MmNi3.9 Co0.5 Al0.6 at a flow rate of
20 ml/min.
A least square analysis is made to find the error limits. The
maximum errors in calculating wt% are ±3 and ±3.5% for
static and dynamic measurements, respectively. Further, the
maximum errors in estimated values H and S are ±5.75
and ±5.65%, respectively.
5. Results and discussion
The static PCI characteristics of MmNi3.9 Co0.5 Al0.6 are
shown in Fig. 5. It is observed that the hydride is a low-pressure
alloy as the plateau pressure is around 1 bar up to 80 ◦
C.
MmNi3.9 Co0.5 Al0.6 reached a maximum storage capacity of
1.3 wt% at 27 ◦
C. The isotherms showed a large plateau slope
as pressure during absorption varies from sub atmospheric to
10 bar absolute at all temperatures which is a characteristic of
all AB5 materials. Higher absorption temperature considerably
reduces the storage capacity due to larger plateau slope. Fig. 6
shows the dynamic PCI isotherms at 20 ml/min. It is observed
that the shapes of the static and dynamic isotherms are similar.
However, in static PCI for a given temperature, the pressure
hysteresis between absorption and desorption is not significant.
But the dynamic PCI curve exhibits greater hysteresis than the
E. Anil Kumar et al. / International Journal of Hydrogen Energy 32 (2007) 2382 – 2389 23882388 E. Anil Kumar et al. / International Journal of Hydrogen Energy 32 (2007) 2382 – 2389
0 0.2 0.4 0.6 0.8 1 1.2 1.4
Storage Capacity (wt%)
Fig. 8. Comparison of static and dynamic isotherms at 27◦C for
MmNi3.9 Co0.5 Al0.6 .
static curve. There is no significant difference in the storage
capacities.
The isotherm at 27 ◦
C exhibits larger slope. Thus the plateau
pressure and shape of isotherms depend on the mass flow rate.
In dynamic PCI measurement a fixed amount of hydrogen is al-
lowed through the MFC. This flow rate may differ from the rate
of absorption. Hence driving force for reaction rate is not the
difference between the supply and bed pressures but the rate at
which hydrogen is transferred through the MFC. Thus the reac-
tion rate is slowat lower mass flow rate and increases up to max-
imum possible absorption rate with increasing mass flow rate.
The absorption at 80ml/min takes about 60min while about
250 min is necessary for a flow rate of 20 ml/min. The maxi-
mum deviations in temperature in the metal hydride bed during
absorption/desorption are about 1.5 and 3 ◦
C at low (20 ml/min)
and high (80 ml/min) flow rates, respectively. The maximu m
deviation in temperature occurs during absorption/desorption
at the middle of the plateau.
Fig. 7 shows dynamic PCI for MmNi3.9 Co0.5 Al0.6 at a flow
rate of80 ml/min. Isotherms at 27 and 40 ◦C showgreaterslopes
than those at 60 and 80◦
C. This is due to low absorption rate
at lower temperatures. Fig. 8 compares the static and dynamic
E. Anil Kumar et al. / International Journal of Hydrogen Energy 32 (2007) 2382 – 2389 23892389 E. Anil Kumar et al. / International Journal of Hydrogen Energy 32 (2007) 2382 – 2389Pressure(bar)Pressure(bar)
lnPePressure(bar)
100
10
1
0.1
Absorption
80 ml/min (Dyn)
20 ml/min (Dyn)
Static
80 ml/min (Dyn)
20 ml/min (Dyn)
Static
Desorption
100
10
1
0.1
Absorption
ml/min
80
60
40
20
ml/min
80
60
40
20
Desorption
0.01
0 0.2 0.4 0.6 0.8 1 1.2
Storage Capacity (wt%)
0.01
0 0.2 0.4 0.6 0.8 1 1.2
Storage Capacity (wt%)
Fig. 9. Comparison of static and dynamic isotherms at 80 ◦C for
MmNi3.9 Co0.5 Al06 .
Fig. 11. Effect of flow rate on plateau pressure at 80 ◦C for
MmNi3.9 Co0.5 Al0.6 .
100
10
Absorption
ml/min
80
60
40
1
0.5
0
Static
20 ml/min
40 ml/min
60 ml/min
80 ml/min
Dynamic
1
0.1
20
ml/min
80
60
40
20
Desorption
-0.5
-1
-1.5
-2
LnPe
= -3867.1x + 10.611
LnPe
= -3975.1/T + 11.071
LnPe
= -4299.9/T + 12.656
LnPe
= -4177.5/T + 12.058
0.01
0 0.2 0.4 0.6 0.8 1 1.2 1.4 -2.5
LnPe
= -4055.8/T + 11.447
Storage Capacity (wt%)
Fig. 10. Effect of flow rate on plateau pressure at 27 ◦C for
MmNi3.9 Co0.5 Al0.6 .
isotherms at 27 ◦C and clearly shows that dynamic PCI exhibits
higher slope and hysteresis compared to static values. These
also increase with increase in flow rate. Fig. 9 shows that dy-
namic absorption isotherm at 20 ml/min coincides with static
PCI. At higher flow rates, the hysteresis is higher as desorp-
tion occurs at lower pressure and absorption occurs at higher
pressure.At higher flow rate there is also a decrease in hydro-
gen capacity. Fig. 10, which shows absorption and desorption
isotherms at 27 ◦
C for different flow rates, reveals that the ab-
sorption curve at 20 ml/min has flat plateau compared to others.
As mass flow rate increases the plateau slope also increases.
This is because, the increase in bed temperature is higher at
higher flow rates. At lower mass flow rates the sample has more
time to reach thermodynamic equilibrium whereas at higher
flow rates accumulation of hydrogen occurs in the reactor if the
amount of hydrogen entering exceeds the absorption rate. It is
observed that the maximum hydrogen capacity also decreases
with increase in flow rate. Fig. 11 shows that the plateau slope
at 80 ◦
C is almost same at all flow rates due to faster kinetics.
However, absorption plateau pressure increases with flow rate
and the maximum amount of hydrogen absorbed decreases with
E. Anil Kumar et al. / International Journal of Hydrogen Energy 32 (2007) 2382 – 2389 23902390 E. Anil Kumar et al. / International Journal of Hydrogen Energy 32 (2007) 2382 – 2389
0.0028 0.0029 0.003 0.0031 0.0032 0.0033 0.0034
1/T (1/K)
Fig. 12. Van’t Hoff plots for MmNi3.9 Co0.5 Al0.6 .
flow rate. The effect of flow rate is negligible on desorption
plateau pressure at all temperatures. Fig. 12 shows the van’t
Hoff plots drawn from static PCI and dynamic data at different
flow rates. It is seen that the line of intercept increases with flow
rate and is the lowest for static PCI. The slope also increases
with flow rate which influences the value of the enthalpy of for-
mation. In the present study, the enthalpy of formation varies
from 32.15 to 35.75 kJ/mol H2 .
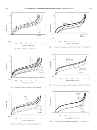
The static PCI characteristics of MmNi4 Al shown in Fig. 13
reveal that this low-pressure alloy attains a maximum storage
capacity of 1.3 wt% at 27 ◦
C. The isotherms also show greater
slope which increases with increase in temperature. Fig. 14
shows that the dependence of plateau pressure on flow rate
is much lower when compared to MmNi3.9 Co0.5 Al0.6 as it
shows well defined plateau regions even at low temperature
and high flow rate. The plateau slope is nearly constant with
variation in flow rate, which suggests high nucleation rate of
new phases for this material. Fig. 15 shows PCI at a high flow
rate of 80 ml/min and no pressure over shoot is observed even
at lower temperatures due to the above effect. Fig. 16 makes
a comparison of static and dynamic isotherms at 27 ◦C. The
E. Anil Kumar et al. / International Journal of Hydrogen Energy 32 (2007) 2382 – 2389 23912391 E. Anil Kumar et al. / International Journal of Hydrogen Energy 32 (2007) 2382 – 2389
Pressure(bar)Pressure(bar)Pressure(bar)
Pressure(bar)Pressure(bar)Pressure(bar)
100 100
10
1
0.1
Absor p t io n
80°C
60°C
40°C
27°C
80°C
60°C
40°C
27°C
Desorption
10
1
0.1
0.01
Absorption
80 ml/min (Dyn)
20 ml/min (Dyn)
Static
80 ml/min (Dyn)
20 ml/min (Dyn)
Static
Desorption
0.01
0 0.2 0.4 0.6 0.8 1 1.2 1.4
Storage Capacity (wt%)
Fig. 13. Static PCI curves for MmNi4 Al.
0 0.2 0.4 0.6 0.8 1 1.2 1.4
Storage Capacity (wt%)
Fig. 16. Comparison of static and dynamic isotherms at 27◦C for MmNi4 Al.
100
10
1
0.1
Absor p tio n
80°C
60°C
40°C
27°C
80°C
60°C
40°C
27°C
Desorption
100
10
1
0.1
Absorption
80 ml/min (Dyn)
20 ml/min (Dyn)
Static
80 ml/min (Dyn)
20 ml/min (Dyn)
Static
Desorption
0.01
0 0.2 0.4 0.6 0.8 1 1.2 1.4
Storage Capacity (wt%)
0.01
0 0.2 0.4 0.6 0.8 1 1.2
Storage Capacity (wt%)
Fig. 14. Dynamic PCI curves for MmNi4 Al at 20 ml/min.
Fig. 17. Comparison of static and dynamic isotherms at 80◦C for MmNi4 Al.
100
10
1
0.1
Absor p t io n
80°C
60°C
40°C
27°C
80°C
60°C
40°C
27°C
Desorption
100
10
1
0.1
0.01
Absorption
ml/min
80
60
40
20
ml/min
80
60
40
20
Desorption
0.01
0 0.2 0.4 0.6 0.8 1 1.2 1.4
Storage Capacity (wt%)
0 0.2 0.4 0.6 0.8 1 1.2 1.4
Storage Capacity(wt%)
Fig. 18. Effect of flow rate on plateau pressure at 27 ◦C for MmNi4 Al.
Fig. 15. Dynamic PCI curves for MmNi4 Al at 80 ml/min.
E. Anil Kumar et al. / International Journal of Hydrogen Energy 32 (2007) 2382 – 2389 23922392 E. Anil Kumar et al. / International Journal of Hydrogen Energy 32 (2007) 2382 – 2389
dynamic PCI reveals higher hysteresis and plateau slope com-
pared to static PCI. However, unlike MmNi3.9 Co0.5 Al0.6 , the
shape of the curve is not distorted.Fig. 17 shows comparison of
static and dynamic isotherms at a higher temperature of 80 ◦
C.
Figs. 18 and 19 show the effects of flow rate on plateau
pressure at 27 and 80 ◦
C, respectively. It is observed that there
is no significant effect of flow rate on plateau pressure at both
the temperatures, except for a small increase at 80 ml/min at
80 ◦
C. Fig. 20 shows the van’t Hoff plots at different flow
rates. The variation in enthalpy of formation is less (26.6 to
27.1 kJ/mol H2 ) compared to that of MmNi3.9 Co0.5 Al0.6 .
E. Anil Kumar et al. / International Journal of Hydrogen Energy 32 (2007) 2382 – 2389 23932393 E. Anil Kumar et al. / International Journal of Hydrogen Energy 32 (2007) 2382 – 2389Pressure(bar)Ln(Pe)
100
10
1
0.1
0.01
Absorption
ml/min
80
60
40
20
ml/m in
80
60
40
20
Deso r p tio n
• The dynamic PCI depends on hydrogen flow rate. The ef-
fect of flow rate is less for material with faster kinetics. The
effect of flow rate on property evaluation is negligible for
MmNi4 Al which is expected to have faster kinetics com-
pared to MmNi3.9 Co0.5 Al0.6 .
• There is significant variation in enthalpy of formation from
static to dynamic measurements and with variation of flow
rate. The variation in entropy of formation is negligible.
• To obtain the most suitable data for a particular applica-
tion the flow rate should be nearer to the average absorp-
tion/desorption rates.
0 0.2 0.4 0.6 0.8 1 1.2
Storage Capacity (wt%)
Fig. 19. Effect of flow rate on plateau pressure at 80◦C for MmNi4 Al.
1.3
Static
20ml
Acknowledgements
This work has been financially supported by Ministry of
Non-conventional Energy Sources, Government of India. The
authors thank Dr. G. Balachandran, Scientist, and the Director,
Defence Metallurgical Research Laboratory for providing the
0.8 LnPe
= -3256.8x + 9.7189 40ml
60ml
80ml
Dynamic
alloys.
0.3
-0.2
-0.7
-1.2
LnPe = -3237.2x + 9.6367
LnPe
= -3213x + 9.2004 LnPe
= -3227.9x + 9.4147
LnPe
= -3197x + 9.1336
References
[1] Groll M, Supper W, Werner R. Dynamic pressure–concentration–
isotherms and their impact on metal hydride machine design. Z Phys
Chem NF 1989;164:1485–95.
[2] Tuscher E, Weinzierl P, Eder OJ. Dynamic characteristics of single- and
dual-hydride bed devices. J Less-Common Metals 1983;95(1):171–9.
[3] Nagel M, Komazaki Y, Suda S. Dynamic behaviour of paired metal
0.0026 0.0027 0.0028 0.0029 0.003 0.0031 0.0032 0.0033
1/T (1/K)
Fig. 20. Van’t Hoff plots for MmNi4 Al.
6. Conclusions
• MmN i3.9 Co0.5 Al0.6 and MmNi4 Al are observed as lowpres-
sure alloys with high enthalpy of formation.
• There is no significant difference in the shapes of PCI and
maximum hydrogen capacity between static and dynamic
PCI. However, hysteresis is more in the case ofdynamic PCI.
• At a given temperature dynamic absorption occurs at a pres-
sure higher than static absorption but dynamic desorption
takes place at a pressure lower than static desorption i.e.
hysteresis is higher.
hydrides: I. Experimental method and results. J Less-Common Metals
1986;120:45–53.
[4] Ron M, JosephyY. Dynamic characteristics of hydrogen sorption process
in MmNi4.15 Fe0.85 Hx compacts. J Less-Common Metals 1987;131:
51–9.
[5] Dantzer P. Static, dynamic and cycling studies on hydrogen in
the intermetallics LaNi5 and LaNi4.77 Al0.22 . J Less-Common Metals
1987;131:349–63.
[6] Friedlmeier G, Schaaf M, Groll M. How to measure pressure–concentra-
tion–isotherms representative for technical applications. International
symposium on metal hydrogen systems, Upsala, Sweden, June 8–12,
1992.
[7] Sastry MVC, Viswanathan B, Srinivasa Murthy S. Metal hydrides.
Springer, New Delhi: Narosa Publishing House; 1998.
[8] Balachandran G, Krishna Prasad U, Ananth MV, Suryanarayana MVS.
Metallurgical characteristics of AB5 intermetallic alloys developed for
hydrogen storage applications. International conference on solid state
hydrogen-storage and applications, Hyderabad, India, 31st January–
1st February, 2005.

Anilkumar2007

  • 1.
    International Journal ofHydrogen Energy 32 (2007) 2382 – 2389 www.elsevier.com/locate/ijhydene Influenceoftransient operating conditionson pressure-concentration isothermsand storage characteristics ofhydridingalloys E. Anil Kumar, M. Prakash Maiya, S. Srinivasa Murthy ∗ Refrigeration and Air Conditioning Laboratory, Department of Mechanical Engineering, Indian Institute of Technology Madras, Chennai - 600 036, India Received 11 August 2006; received in revised form 9 October 2006; accepted 9 October 2006 Available online 28 November 2006 Abstract Pressure-concentration isotherms (PCI) are measured by both static and dynamic methods for mischmetal based alloys, MmNi3.9 Co0.6 Al0.5 and MmNi4 Al. The effects of hydrogen flow rate on plateau pressure, enthalpy of formation and entropy of formation are studied. For MmNi3.9Co0.6Al0.5 both shape of the PCI and plateau pressureare dependent on the flow rate. The effect on plateau pressureis not significant in the case of MmNi4 Al. Both materials showed significant variations in enthalpy of formation with flow rate due to variation in reaction rate. The effect of flow rate on desorption isotherm is negligible as the desorption equilibrium pressure is much lower compared to absorption equilibrium pressure due to large hysteresis in these materials. While the basic nature of variation of pressure with concentration is same for both static and dynamic PCIs, the thermodynamic properties estimated based on these data vary significantly. 2006 International Association for Hydrogen Energy. Published by Elsevier Ltd. All rights reserved. Keywords: Metal hydride; Dynamic PCI characteristics; Enthalpy of formation; Entropy of formation 1. Introduction Hydriding materials can be synthesized in a variety of com- positions to suit the hydriding and dehydriding characteris- tics required for specific applications. Pressure-concentration isotherms (PCI) represent hydrogen gas pressure in thermody- namic equilibrium with a metal and its hydride as a function of hydrogen concentration at a given temperature. PCI can be obtained by both static and dynamic means. In static measurement, a given amount of hydrogen is added or withdrawn stepwise from the system. At the end of each step, equilibrium condition is established. In dynamic measurement, hydrogen mass flow rate is maintained constant throughout the experiment. For the design of metal hydride based systems like hydrogen storage devices, heat pumps, heat transformers, thermal compressors etc., static PCI data is not suitable due to dynamic operating conditions. For instance, if a hydrogen compressoris designed using static PCI data, the actual driving temperature has to be somewhat higher than the static design ∗ Corresponding author. Fax: +91 44 2257 0545/4652. E-mail address: ssmurthy@iitm.ac.in (S. Srinivasa Murthy). temperature to reach the designed hydrogen pressure [1]. Tuscher et al. [2] tested single and double bed storage units containing LaNi4.6 Al0.4 as hydrogen storage material with re- gard to their dynamic behaviour in energy conversion systems. The dynamic quasi-isotherms showed an increase in hystere- sis with increase in hydrogen sorption rates. They measured the total hydrogen flow and hydrogen pressure at various half-cycle times with coolant (water) at 286 and 353 K. The operating characteristics of the system showed that the effi- ciency of energy conversion decreases with increasing hydro- gen flow. Nagel et al. [3] studied the dynamic PCI behaviour of the paired metal hydrides MmNi4 Fe and LaNi4.65 Al0.3 . They observed that dynamic PCI showed more clearly the actual hydrogen content of the paired hydride than the static PCI curve. Published data on PCI [4–6] reveal that the plateau pressures in dynamic PCI measurement depend on the reaction rate. Detailed discussion on PCI measurements and material characteristics are given in Ref. [7]. With the above mentioned points in view, two mischmetal based materials are studied here for effect of flow rate on PCI, thermodynamic and storage properties at different temperatures. 0360-3199 /$ - see front matter 2006 International Association for Hydrogen Energy. Published by Elsevier Ltd. All rights reserved. doi:10.1016/j.ijhydene.2006.10.041
  • 2.
    E. Anil Kumaret al. / International Journal of Hydrogen Energy 32 (2007) 2382 – 2389 23832383 E. Anil Kumar et al. / International Journal of Hydrogen Energy 32 (2007) 2382 – 2389 4 Nomenclature ma mass of hydrogen absorbed by metal hydride in static experiments, g malloy mass of alloy sample charged in the reactor, g mf mass of hydrogen expanded as free gas in to the reactor, g mia mass ofhydrogen absorbed by metalalloy till a particular instant in dynamic experiments, g mif mass of free gas, g miT total mass of hydrogen transferred through mass flow controller till a particular instant,g mT mass of hydrogen entered in to the reactor in static experiments, g P differential pressure transducer reading, N/m2 Pi pressure in volume upstreamof the reactorat any instant, N/m2 Praa reactor pressure after absorption,N/m2 Prba reactor pressure before absorption, N/m2 Ps pressure at standard conditions, N/m2 Qit total volume of hydrogen transferred through mass flow controller till a particular instant,m3 R characteristic gas constant,4.124 J/g K of H2 T1 temperature of hydrogen gas in selected volume, K T4 temperature of hydrogen gas in the reactor, K Ti2 temperature of hydrogen gas in the volume up- stream of the reactor at any instant, K Ti3 temperature of hydrogen gas in reactor void vol- ume at any instant, K Ts temperature at standard conditions,K Vf volume upstream of the reactor, m3 VRd void volume of reactor in dynamic measure- ments, m3 VRs void volume inside the reactorin static measure- ments, m3 Vs selected volume (volume from where hydrogen is supplied/desorbed in static experiments), m3 wH storage capacity, % Z compressibility factor Fig. 1. Schematic of experimental set-up for static PCI measurements. 2. Experimental setup The set-up for measuring the static PCI characteristics of metal hydride alloys is illustrated in Fig. 1. A cylindrical reac- tor of 15 mm inner diameter and 2 mm thickness as shown in Fig. 2 is used for the static PCI measurements. One end of the reactor is closed with a provision for connecting a thermocou- ple, while the other end is threaded with an end cap, which is further welded to a 1 ∗∗ SS-tube for hydrogen supply.Only half volume of the reactor is filled with the alloy. It is ensured that the hydrogen supply tube is in the upper half of the reactor so that the hydrogen gas can flow till the other end of the re- actor and diffuse uniformly downwards maintaining uniform absorption rate through the entire length of the bed. Piezo re- sistive type pressure transducers P1 and P2 of range 0–100 bar are used for measuring the supply pressure and P3 is used for measuring the hydride equilibrium pressure. Differential pres- sure (DP) transducer of range 0.5 bar is used for measuring
  • 3.
    E. Anil Kumaret al. / International Journal of Hydrogen Energy 32 (2007) 2382 – 2389 23842384 E. Anil Kumar et al. / International Journal of Hydrogen Energy 32 (2007) 2382 – 2389 Fig. 2. Reactor for static PCI measurements. Fig. 3. Schematic of experimental set-up for dynamic PCI measurements. the pressure difference between the reference and the selected volumes. “K” type thermocouples of accuracy ±1 ◦ C and a time constant of 0.2 s are used for measuring the temperature of hydrogen gas at different locations as shown in Fig. 1. Ther- mostatic oven of range 27.350 ◦ C is used for supplying heat during desorption and also used for maintaining a constant tem- perature environment for the reactor. A digital Pirani gauge of accuracy ±0.5% is used for measuring the vacuum. The set-up for measuring the dynamic PCI characteristics il- lustrated in Fig. 3 is similar to static PCI measurement set-up in many features. Differences between two setups are, the dy- namic setup consists of a thermal mass flow controller (MFC) and a thermostatic bath instead of the DP transducer and con- stant temperature oven. A cylindrical reactor of 15 mm inner diameter and 2 mm thickness as shown in Fig. 4 is used for the dynamic PCI measurements. One end of the reactor is closed, while the other end of the reactor is threaded with an end cap, so that the reactor can be charged with metal alloy through this end. The dynamic reactor is also half filled like the static re- actor. Two piezo resistive type pressure transducers P1, P2 of range 0.100 bar are used for measuring hydrogen supply pres- sure and reactorpressure respectively.The mass flowcontroller of range 0.100 ml/ min is used to supply hydrogen at a con- stant mass flow rate to the reactor.A thermostatic bath of range 0.100 ◦ C is used to maintain isothermal conditions for the re- actor in spite of continuous release or absorption of reaction enthalpy. 3. Choice and preparation of alloy Low pressure AB5 type mischmetal based alloys find a va- riety of applications such as hydrogen storage, metal hydride batteries, water pumping systems etc. Detailed studies on the effects of mass flow rate on dynamic PCI measurements for the low pressure alloys are not available. Here two well-known low pressure AB5 mischmetal based alloys MmNi4 Al and MmNi3.9 Co0.5 Al0.6 are chosen. Both the alloys were synthe- sised [8] at Defence Metallurgical Research Laboratory, Hy- derabad and delivered as powder with an average particle size of 50 m. Alloy samples of 20 g each are used for testing after activation. Activation procedure consists of evacuation down to 10−3 mbar at 120 ◦ C and charging with hydrogen at a pressure of 20 bar and room temperature. The evacuation and charging is repeated for 20 cycles to complete the activation procedure.
  • 4.
    E. Anil Kumaret al. / International Journal of Hydrogen Energy 32 (2007) 2382 – 2389 23852385 E. Anil Kumar et al. / International Journal of Hydrogen Energy 32 (2007) 2382 – 2389 m = m = Mass of hydrogen absorbed by metal alloy ma = mT − mf . (4) Hence storage capacity ma wH (wt%) = malloy × 100. (5) Fig. 4. Reactor for dynamic PCI measurements. 4. Experimental procedure In the case of static PCI measurement during absorption, a given amount of hydrogen is added to the sample of metal powder in steps.Any one or two or all the three of CC1 , CC2 and CC3 (Fig. 1) are put into operation by valves v1, v2 and v3 depending on prior experience about the absorption capac- ity of the powder. This is necessary to keep the pressure dif- ference across DP (which is used to reduce the error) within a limit after absorption in each step.All the valves except v8, v11, v12 and v13 are opened and hydrogen is introduced to the system. Then valve v5 is closed. Pipe volumes V4 , V5 and cali- brated cylinder CC4 together act as reference volume. It’s tem- To get wH at higher pressures,valve v8 is closed, v5 is opened and hydrogen is charged via v10 to the predetermined high pressure.The procedure is repeated to find the wt% at the cor- responding equilibrium pressure. The experiment is continued till a maximum wt% is reached (i.e. till there is no significant difference in wt% two successive steps). Similar procedure is adopted to find the wt% during desorption stages as well. In the case of dynamic PCI measurement during absorption, hydrogen gas is introduced at a predetermined rate by using MFC (Fig. 3). The gas is allowed to get absorbed simultane- ously by the sample of metal powder in the reactor maintained at constant temperature. Valves v3, v4, v5, v7 and v8 are opened and all the remaining valves are closed. Pressure and tempera- ture in the upstream of the reactor (pipe volume between v6, v8, v9, v10 and MFC) are measured continuously to estimate the free gas in this volume at any instant of time. The same pres- sure is assumed to prevail in the reactor while its temperature is continuously monitored (to account for minor changes) to esti- mate the free hydrogen occupied in its void volume. Thus at any instant of time hydrogen fed to the control volume is given by Ps perature and hence pressure remains constant during each step of experiment. Valve v8 is opened.Hydrogen gets absorbed in miT = QiT RT s . (6) the sample of metal powder. After reaching the equilibrium the pressure drop is measured from DP. Free hydrogen gas in the control volume: Amount of hydrogen transferred to the reactor: PiVf if ZRT i2 PiVRd + ZRT i3 . (7) P Vs T ZRT 1 , (1) Actual amount of hydrogen absorbed: mia = miT − mif . (8) where Z = f (p, T ) = 1 + (B0 + B1 T + B2 T2 )P × 10−6 Hence storage capacity: m + (C0 + C1T + C2T 2 )P 2 × 10−12 , (2) wH (wt%) = ia malloy × 100. (9) B0 = 0.00962 MPa−1 , B1 = −15.446 × 10−9 MPa−1 K−1 , B2 = 82.314 × 10−13 MPa−1 K−2 , C0 = 18.167 × 10−8 MPa−2 , C1 = −83.222 × 10−11 MPa−2 K−1 , C2 = 9.327 × 10−13 MPa−2 K−2 . Amount of free gas in the reactor
  • 5.
    E. Anil Kumaret al. / International Journal of Hydrogen Energy 32 (2007) 2382 – 2389 23862386 E. Anil Kumar et al. / International Journal of Hydrogen Energy 32 (2007) 2382 – 2389 Experiment is repeated with different flow rates of hydrogen through MFC as well as different reactor temperatures generat- ing a family of absorption curves. Similar procedure is adopted for finding desorption characteristics as well by appropriately operating various valves.A vacuum pump is employed for desorption at sub atmospheric pressures. The van’t Hoff plot of the metal hydride is obtained by plot- ting logarithm of equilibrium pressures (the pressure at mid plateau) against the corresponding reciprocal of temperatures (in Kelvin). An equation is fitted to the line so obtained. By comparing the equation of fit (ln Pe = A/ T + B) with van’t Hoff’s equation (ln Pe = H/RT − S/R), i.e., A = H /R and B = S/R, the two thermodynamic properties namely mf = Prba VRs ZRT 4 Praa VRs − ZRT 4 . (3) enthalpy of formation ( H) and entropy of formation ( S) are evaluated.
  • 6.
    E. Anil Kumaret al. / International Journal of Hydrogen Energy 32 (2007) 2382 – 2389 23872387 E. Anil Kumar et al. / International Journal of Hydrogen Energy 32 (2007) 2382 – 2389 Pressure(bar)Pressure(bar) Pressure(bar)Pressure(bar) 100 10 1 0.1 0.01 Absor p tio n 80ºC 60ºC 40ºC 27ºC 80ºC 60ºC 40ºC 27ºC Desorption 0 0.2 0.4 0.6 0.8 1 1.2 1.4 Storage Capacity (wt%) 100 10 1 0.1 0.01 Absor p t io n 80°C 60°C 40°C 27°C 80°C 60°C 40°C 27°C Deso r p tio n 0 0.2 0.4 0.6 0.8 1 1.2 1.4 Storage Capacity (wt%) Fig. 5. Static PCI curves for MmNi3.9 Co0.5 Al0.6 . Fig. 7. Dynamic PCI curves for MmNi3.9 Co0.5 Al0.6 at 80 ml/min. 100 10 1 0.1 0.01 Absorption 80°C 60°C 40°C 27°C 80°C 60°C 40°C 27°C Desorption 100 10 1 0.1 0.01 Absorption 80 ml/min (Dyn) 20 ml/min (Dyn) Static 80 ml/min (Dyn) 20 ml/min (Dyn) Static De sorption 0 0.2 0.4 0.6 0.8 1 1.2 1.4 Storage Capacity (wt%) Fig. 6. Dynamic PCI curves for MmNi3.9 Co0.5 Al0.6 at a flow rate of 20 ml/min. A least square analysis is made to find the error limits. The maximum errors in calculating wt% are ±3 and ±3.5% for static and dynamic measurements, respectively. Further, the maximum errors in estimated values H and S are ±5.75 and ±5.65%, respectively. 5. Results and discussion The static PCI characteristics of MmNi3.9 Co0.5 Al0.6 are shown in Fig. 5. It is observed that the hydride is a low-pressure alloy as the plateau pressure is around 1 bar up to 80 ◦ C. MmNi3.9 Co0.5 Al0.6 reached a maximum storage capacity of 1.3 wt% at 27 ◦ C. The isotherms showed a large plateau slope as pressure during absorption varies from sub atmospheric to 10 bar absolute at all temperatures which is a characteristic of all AB5 materials. Higher absorption temperature considerably reduces the storage capacity due to larger plateau slope. Fig. 6 shows the dynamic PCI isotherms at 20 ml/min. It is observed that the shapes of the static and dynamic isotherms are similar. However, in static PCI for a given temperature, the pressure hysteresis between absorption and desorption is not significant. But the dynamic PCI curve exhibits greater hysteresis than the
  • 7.
    E. Anil Kumaret al. / International Journal of Hydrogen Energy 32 (2007) 2382 – 2389 23882388 E. Anil Kumar et al. / International Journal of Hydrogen Energy 32 (2007) 2382 – 2389 0 0.2 0.4 0.6 0.8 1 1.2 1.4 Storage Capacity (wt%) Fig. 8. Comparison of static and dynamic isotherms at 27◦C for MmNi3.9 Co0.5 Al0.6 . static curve. There is no significant difference in the storage capacities. The isotherm at 27 ◦ C exhibits larger slope. Thus the plateau pressure and shape of isotherms depend on the mass flow rate. In dynamic PCI measurement a fixed amount of hydrogen is al- lowed through the MFC. This flow rate may differ from the rate of absorption. Hence driving force for reaction rate is not the difference between the supply and bed pressures but the rate at which hydrogen is transferred through the MFC. Thus the reac- tion rate is slowat lower mass flow rate and increases up to max- imum possible absorption rate with increasing mass flow rate. The absorption at 80ml/min takes about 60min while about 250 min is necessary for a flow rate of 20 ml/min. The maxi- mum deviations in temperature in the metal hydride bed during absorption/desorption are about 1.5 and 3 ◦ C at low (20 ml/min) and high (80 ml/min) flow rates, respectively. The maximu m deviation in temperature occurs during absorption/desorption at the middle of the plateau. Fig. 7 shows dynamic PCI for MmNi3.9 Co0.5 Al0.6 at a flow rate of80 ml/min. Isotherms at 27 and 40 ◦C showgreaterslopes than those at 60 and 80◦ C. This is due to low absorption rate at lower temperatures. Fig. 8 compares the static and dynamic
  • 8.
    E. Anil Kumaret al. / International Journal of Hydrogen Energy 32 (2007) 2382 – 2389 23892389 E. Anil Kumar et al. / International Journal of Hydrogen Energy 32 (2007) 2382 – 2389Pressure(bar)Pressure(bar) lnPePressure(bar) 100 10 1 0.1 Absorption 80 ml/min (Dyn) 20 ml/min (Dyn) Static 80 ml/min (Dyn) 20 ml/min (Dyn) Static Desorption 100 10 1 0.1 Absorption ml/min 80 60 40 20 ml/min 80 60 40 20 Desorption 0.01 0 0.2 0.4 0.6 0.8 1 1.2 Storage Capacity (wt%) 0.01 0 0.2 0.4 0.6 0.8 1 1.2 Storage Capacity (wt%) Fig. 9. Comparison of static and dynamic isotherms at 80 ◦C for MmNi3.9 Co0.5 Al06 . Fig. 11. Effect of flow rate on plateau pressure at 80 ◦C for MmNi3.9 Co0.5 Al0.6 . 100 10 Absorption ml/min 80 60 40 1 0.5 0 Static 20 ml/min 40 ml/min 60 ml/min 80 ml/min Dynamic 1 0.1 20 ml/min 80 60 40 20 Desorption -0.5 -1 -1.5 -2 LnPe = -3867.1x + 10.611 LnPe = -3975.1/T + 11.071 LnPe = -4299.9/T + 12.656 LnPe = -4177.5/T + 12.058 0.01 0 0.2 0.4 0.6 0.8 1 1.2 1.4 -2.5 LnPe = -4055.8/T + 11.447 Storage Capacity (wt%) Fig. 10. Effect of flow rate on plateau pressure at 27 ◦C for MmNi3.9 Co0.5 Al0.6 . isotherms at 27 ◦C and clearly shows that dynamic PCI exhibits higher slope and hysteresis compared to static values. These also increase with increase in flow rate. Fig. 9 shows that dy- namic absorption isotherm at 20 ml/min coincides with static PCI. At higher flow rates, the hysteresis is higher as desorp- tion occurs at lower pressure and absorption occurs at higher pressure.At higher flow rate there is also a decrease in hydro- gen capacity. Fig. 10, which shows absorption and desorption isotherms at 27 ◦ C for different flow rates, reveals that the ab- sorption curve at 20 ml/min has flat plateau compared to others. As mass flow rate increases the plateau slope also increases. This is because, the increase in bed temperature is higher at higher flow rates. At lower mass flow rates the sample has more time to reach thermodynamic equilibrium whereas at higher flow rates accumulation of hydrogen occurs in the reactor if the amount of hydrogen entering exceeds the absorption rate. It is observed that the maximum hydrogen capacity also decreases with increase in flow rate. Fig. 11 shows that the plateau slope at 80 ◦ C is almost same at all flow rates due to faster kinetics. However, absorption plateau pressure increases with flow rate and the maximum amount of hydrogen absorbed decreases with
  • 9.
    E. Anil Kumaret al. / International Journal of Hydrogen Energy 32 (2007) 2382 – 2389 23902390 E. Anil Kumar et al. / International Journal of Hydrogen Energy 32 (2007) 2382 – 2389 0.0028 0.0029 0.003 0.0031 0.0032 0.0033 0.0034 1/T (1/K) Fig. 12. Van’t Hoff plots for MmNi3.9 Co0.5 Al0.6 . flow rate. The effect of flow rate is negligible on desorption plateau pressure at all temperatures. Fig. 12 shows the van’t Hoff plots drawn from static PCI and dynamic data at different flow rates. It is seen that the line of intercept increases with flow rate and is the lowest for static PCI. The slope also increases with flow rate which influences the value of the enthalpy of for- mation. In the present study, the enthalpy of formation varies from 32.15 to 35.75 kJ/mol H2 . The static PCI characteristics of MmNi4 Al shown in Fig. 13 reveal that this low-pressure alloy attains a maximum storage capacity of 1.3 wt% at 27 ◦ C. The isotherms also show greater slope which increases with increase in temperature. Fig. 14 shows that the dependence of plateau pressure on flow rate is much lower when compared to MmNi3.9 Co0.5 Al0.6 as it shows well defined plateau regions even at low temperature and high flow rate. The plateau slope is nearly constant with variation in flow rate, which suggests high nucleation rate of new phases for this material. Fig. 15 shows PCI at a high flow rate of 80 ml/min and no pressure over shoot is observed even at lower temperatures due to the above effect. Fig. 16 makes a comparison of static and dynamic isotherms at 27 ◦C. The
  • 10.
    E. Anil Kumaret al. / International Journal of Hydrogen Energy 32 (2007) 2382 – 2389 23912391 E. Anil Kumar et al. / International Journal of Hydrogen Energy 32 (2007) 2382 – 2389 Pressure(bar)Pressure(bar)Pressure(bar) Pressure(bar)Pressure(bar)Pressure(bar) 100 100 10 1 0.1 Absor p t io n 80°C 60°C 40°C 27°C 80°C 60°C 40°C 27°C Desorption 10 1 0.1 0.01 Absorption 80 ml/min (Dyn) 20 ml/min (Dyn) Static 80 ml/min (Dyn) 20 ml/min (Dyn) Static Desorption 0.01 0 0.2 0.4 0.6 0.8 1 1.2 1.4 Storage Capacity (wt%) Fig. 13. Static PCI curves for MmNi4 Al. 0 0.2 0.4 0.6 0.8 1 1.2 1.4 Storage Capacity (wt%) Fig. 16. Comparison of static and dynamic isotherms at 27◦C for MmNi4 Al. 100 10 1 0.1 Absor p tio n 80°C 60°C 40°C 27°C 80°C 60°C 40°C 27°C Desorption 100 10 1 0.1 Absorption 80 ml/min (Dyn) 20 ml/min (Dyn) Static 80 ml/min (Dyn) 20 ml/min (Dyn) Static Desorption 0.01 0 0.2 0.4 0.6 0.8 1 1.2 1.4 Storage Capacity (wt%) 0.01 0 0.2 0.4 0.6 0.8 1 1.2 Storage Capacity (wt%) Fig. 14. Dynamic PCI curves for MmNi4 Al at 20 ml/min. Fig. 17. Comparison of static and dynamic isotherms at 80◦C for MmNi4 Al. 100 10 1 0.1 Absor p t io n 80°C 60°C 40°C 27°C 80°C 60°C 40°C 27°C Desorption 100 10 1 0.1 0.01 Absorption ml/min 80 60 40 20 ml/min 80 60 40 20 Desorption 0.01 0 0.2 0.4 0.6 0.8 1 1.2 1.4 Storage Capacity (wt%) 0 0.2 0.4 0.6 0.8 1 1.2 1.4 Storage Capacity(wt%) Fig. 18. Effect of flow rate on plateau pressure at 27 ◦C for MmNi4 Al. Fig. 15. Dynamic PCI curves for MmNi4 Al at 80 ml/min.
  • 11.
    E. Anil Kumaret al. / International Journal of Hydrogen Energy 32 (2007) 2382 – 2389 23922392 E. Anil Kumar et al. / International Journal of Hydrogen Energy 32 (2007) 2382 – 2389 dynamic PCI reveals higher hysteresis and plateau slope com- pared to static PCI. However, unlike MmNi3.9 Co0.5 Al0.6 , the shape of the curve is not distorted.Fig. 17 shows comparison of static and dynamic isotherms at a higher temperature of 80 ◦ C. Figs. 18 and 19 show the effects of flow rate on plateau pressure at 27 and 80 ◦ C, respectively. It is observed that there is no significant effect of flow rate on plateau pressure at both the temperatures, except for a small increase at 80 ml/min at 80 ◦ C. Fig. 20 shows the van’t Hoff plots at different flow rates. The variation in enthalpy of formation is less (26.6 to 27.1 kJ/mol H2 ) compared to that of MmNi3.9 Co0.5 Al0.6 .
  • 12.
    E. Anil Kumaret al. / International Journal of Hydrogen Energy 32 (2007) 2382 – 2389 23932393 E. Anil Kumar et al. / International Journal of Hydrogen Energy 32 (2007) 2382 – 2389Pressure(bar)Ln(Pe) 100 10 1 0.1 0.01 Absorption ml/min 80 60 40 20 ml/m in 80 60 40 20 Deso r p tio n • The dynamic PCI depends on hydrogen flow rate. The ef- fect of flow rate is less for material with faster kinetics. The effect of flow rate on property evaluation is negligible for MmNi4 Al which is expected to have faster kinetics com- pared to MmNi3.9 Co0.5 Al0.6 . • There is significant variation in enthalpy of formation from static to dynamic measurements and with variation of flow rate. The variation in entropy of formation is negligible. • To obtain the most suitable data for a particular applica- tion the flow rate should be nearer to the average absorp- tion/desorption rates. 0 0.2 0.4 0.6 0.8 1 1.2 Storage Capacity (wt%) Fig. 19. Effect of flow rate on plateau pressure at 80◦C for MmNi4 Al. 1.3 Static 20ml Acknowledgements This work has been financially supported by Ministry of Non-conventional Energy Sources, Government of India. The authors thank Dr. G. Balachandran, Scientist, and the Director, Defence Metallurgical Research Laboratory for providing the 0.8 LnPe = -3256.8x + 9.7189 40ml 60ml 80ml Dynamic alloys. 0.3 -0.2 -0.7 -1.2 LnPe = -3237.2x + 9.6367 LnPe = -3213x + 9.2004 LnPe = -3227.9x + 9.4147 LnPe = -3197x + 9.1336 References [1] Groll M, Supper W, Werner R. Dynamic pressure–concentration– isotherms and their impact on metal hydride machine design. Z Phys Chem NF 1989;164:1485–95. [2] Tuscher E, Weinzierl P, Eder OJ. Dynamic characteristics of single- and dual-hydride bed devices. J Less-Common Metals 1983;95(1):171–9. [3] Nagel M, Komazaki Y, Suda S. Dynamic behaviour of paired metal 0.0026 0.0027 0.0028 0.0029 0.003 0.0031 0.0032 0.0033 1/T (1/K) Fig. 20. Van’t Hoff plots for MmNi4 Al. 6. Conclusions • MmN i3.9 Co0.5 Al0.6 and MmNi4 Al are observed as lowpres- sure alloys with high enthalpy of formation. • There is no significant difference in the shapes of PCI and maximum hydrogen capacity between static and dynamic PCI. However, hysteresis is more in the case ofdynamic PCI. • At a given temperature dynamic absorption occurs at a pres- sure higher than static absorption but dynamic desorption takes place at a pressure lower than static desorption i.e. hysteresis is higher. hydrides: I. Experimental method and results. J Less-Common Metals 1986;120:45–53. [4] Ron M, JosephyY. Dynamic characteristics of hydrogen sorption process in MmNi4.15 Fe0.85 Hx compacts. J Less-Common Metals 1987;131: 51–9. [5] Dantzer P. Static, dynamic and cycling studies on hydrogen in the intermetallics LaNi5 and LaNi4.77 Al0.22 . J Less-Common Metals 1987;131:349–63. [6] Friedlmeier G, Schaaf M, Groll M. How to measure pressure–concentra- tion–isotherms representative for technical applications. International symposium on metal hydrogen systems, Upsala, Sweden, June 8–12, 1992. [7] Sastry MVC, Viswanathan B, Srinivasa Murthy S. Metal hydrides. Springer, New Delhi: Narosa Publishing House; 1998. [8] Balachandran G, Krishna Prasad U, Ananth MV, Suryanarayana MVS. Metallurgical characteristics of AB5 intermetallic alloys developed for hydrogen storage applications. International conference on solid state hydrogen-storage and applications, Hyderabad, India, 31st January– 1st February, 2005.