More Related Content
PPTX
FALLSEM2021-22_CSE3035_ETH_VL2021220103964_2021-10-22_Reference-Material-I.pptx PDF
FALLSEM2024-25_BCSE408L_TH_VL2024250101820_2024-09-05_Reference-Material-I.pdf PPTX
Jenkins and Maven in cloud data Engineering PPTX
Introduction to Jenkins Pipeline in data engg PPTX
Logical Design Architecture in Internet of Things PDF
Wireless sensor networks in Internet of Things PPTX
Classification Algorithm in Machine Learning PPTX
Decision Trees Learning in Machine Learning More from Senthil Vit
PPTX
Operating system Virtualization_NEW.pptx PPTX
Synchronization Peterson’s Solution.pptx PPT
Control structures in Python programming PPT
Data and Expressions in Python programming PPTX
Python programming Introduction about Python PDF
PPT
PPT
PPT
PPTX
First Best and Worst Fit.pptx PPTX
File Implementation Problem.pptx PPT
Design Issues of an OS.ppt PPTX
Operating Systems – Structuring Methods.pptx PPT
PPTX
PPT
PPTX
PPT
PPT
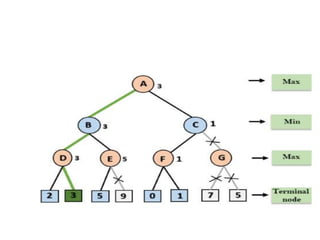
ALPHA_BETA_EXAMPLE_PROB
- 1.
- 2.
- 3.
- 4.
- 5.
- 6.
- 7.
- 8.
- 9.
- 10.
- 11.
- 12.
- 13.
- 14.
- 15.
- 16.