1
ACID CARBOXYLIC BEÙO VAØ DAÃN CHAÁT
2
1.Goïi teân
CH3 (CH2)2 COOH CH2 COOHHOOC HOOC (CH2)3 COOH
Acid butyric
butanoic
Acid malonic
propandioic
Acid glutaric
1,5-pentandioic
(CH2)2HOOC COOH COOHHOOC CHCH CH2(CH3)2C CH COOH
CH2ClCH2 COCl (CH3)2CH COOC2H5 CH3 CH2 CO N(CH3)2
(CH3)2CH C N O
O
O
O
O
O
Acid succinic
butandioic
Acid butendioic 4-methyl-3-pentenoic
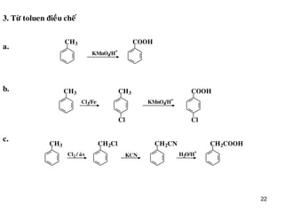
Acid 2-chloropropanoylchlorid
Acid β-chloropropionylchlorid
Ethylisobutyrat
ethylisobutanoat
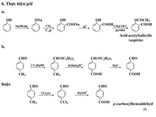
N,N-dimethylpropionamid
N,N-dimethylpropanamid
Isopropylcyanid
Isobutyronitril
isobutanonitril
Anhydrid phthalic Anhydridsuccinic
3
COOH
NH
CH2 Cl
Cl
C
O
CH2CH2COOH
C3H7 C
O
CH2CH2COOH
Acid 2-[2’(2”,6”-dichlorophenylamino)]phenylacetic
Diclofenac
4-oxo-4-p-biphenylbutanoic
Fenbuten
4(4’-propylphenyl)-4-oxo-butanoic
Bufexamac
4
(CH3)2CHCH2 CH
CH3
COOH
Acid 2-methyl-2-(4’-isobutylphenyl)acetic
Acid 2-methyl-2-(3’-benzoylphenyl) acetic
C
O
CH
CH3
COOH
Ibuprofen
Ketoprofen
Cl
C
O
CH2CH2COOH
4(3’-chloro-4’-cyclohexylphenyl)-4-oxo-butanoic
Acid butoxic
5
2. Vieát coâng thöùc caùc hôïp chaát
CH2 CH COOH CH3
O
Br
C
CH3 C
O
N
CH3
C2H5
CH2 CH C N
acid propenoic acetylbromid N-methyl-N-ethylacetamid
Acrylonitril
C(CH3)2CH
O
Cl
(CH3CH2CO)2O
CH3CH2C
O
NHBr
O
O
C
N
C
Br
isobutyrylclorid Anhydrid propionic
N-bromopropionamid
N-bromosuccinimid
(CF3CO)2O
CH COOH(CH3)2CH
NH2
CH2 CH COOHHS
NH2
Anhydrid trifluoroacetic
Acid -aminoisovaleric Acid -amino--thiolpropionic
6
CH2CH3 C
CH3
CH3
COOH
COOH
COOH
H
H
OH
OH
CH2CH2
NH2
CH CH2 CH
NH2
COOH
OH
Acid ,-dimethylbutyric Acid mesotartric
Acid ,-diamino--hydroxycaproic
CH2
CHO
COOH
CH2
COOH
COOH
CH3 COOHCH
OH
Acid citric
Acid lactic
CH2HO CH COOH
NH2
CH2 COOH(CH3)2CH
Acid -amino--(p-hydroxyphenyl)propionic Acid isovaleric
7
3. Ñieàu cheá caùc acid töø alcol 4 carbon (hay ít hôn) vaø ester malonic hoaëc pp
khaùc:
CH2CH3 CH2 OHCH2
PCl5 CH3CH2CH2CH2Cl
KCN
CH3CH2CH2CH2CN
H2O/H
+
CH3(CH2)3COOH
CH3CH2CH2OH CH3CH2CH2Cl
PCl5
CH2 CH
COOC2H5
COOC2H5
C2H5O
COOC2H5
COOC2H5
CH3CH2CH2CH(COOC2H5)2
H2O/H
+
CH3CH2CH2CH(COOH)2
t
o
CH3CH2CH2CH2COOH
CO2
a. Acid valeric
Acid valeric
Hoaëc:
8
b. Töông töï vôùi acid isovaleric CH2 COOH(CH3)2CH
(CH3)2CH OHCH2
KCN H2O/H
+
PCl5 CH2 COOH(CH3)2CH
(CH3)2CH OH
H2O/H
+
PCl5
C2H5O
t
oCH2
COOC2H5
COOC2H5
CO2
(CH3)2CHCH2COOH
c.Acid -methylbutyric
CH3
CH3 CH2
H2O/H
+
PCl5CH3 CH2 CH OH CH CN
CH3
KCNCl CH3 CH2 CH
CH3
CH3CH2CHCOOH
CH3
Hoaëc:
Acid -methylbutyric
9
d.
CH3OH
I2 / P
CH3I
(CH3)2CH
CH3
PCl5
CH ClCH3 CH2 OH CH2
C2H5O
CH
COOC2H5
COOC2H5
CH2
COOC2H5
COOC2H5
(CH3)2CH ClCH2 (CH3)2CHCH2CH(COOC2H5)2
CH3
CH3IC2H5O
(CH3)2CHCH2C(COOC2H5) (CH3)2CHCH2C(COOC2H5)2
H2O/H
+
CH3CH3
t
o
CO2
(CH3)2CHCH2C(COOH)2 (CH3)2CHCH2CHCOOH
Acid 2,4-dimethylpentanoic
10
OH PCl5
CH3
CH3 CH
CH3
(CH3)3C Cl
CH
COOC2H5
COOC2H5
CH2
COOC2H5
COOC2H5
C2H5O (CH3)3C Cl
(CH3)3CCH(COOC2H5)2
H2O/H
+
(CH3)3CCH(COOH)2(CH3)3CCH2COOH t
o
CO2
e.
Acid ,-dimethylbutyric
11
4. Ñieàu cheá acid acrylic töø etylen
COOHKCNCH2 CH2
Cl2
200 600O
C
CH2 CH2CHCH CH2 CHCl CN
H2O/H
+
CH2 CH2
HBr CH3CH2Br Mg/ete khan
CH3CH2MgBr
CO2
CH3CH2COOMgBr
H2O/H
+
CH3CH2COOH
Br2/P
CH3CHBrCOOH
KOH/alcol
COOHCH2 CH
hoaëc:
12
13
14
7. Hoaøn thaønh chuoãi p/öù:
C3H7COOH
Ca(OH)2 C3H7 C3H7C
O
(C3H7COO)2Ca to
HCN
OH
CN
C3H7
C3H7
C
COOH
OHC3H7
C3H7
C
H2O/H
+
a.
b.
CH2CHCH2 CH2CHCH3
Cl2
to
cao
Cl
HBr
Br
CH2CH2CH2
Cl
CH2
CN
H2O/H
+
CH2 COOHCH2Cl
KCN(1 mol)
CH2CH2CH2
Cl
2
NaOH dd
HOCH2CH2CH2COONa H
+
HOCH2CH2CH2COOH
15
c.
(CH3)2CH COOH
Br2 / P
C
CH3
CH3
Br COOH
C2H5OH/H2SO4
Br C
CH3
CH3
COOC2H5
Cl ONa
Cl O C
CH3
CH3
COOC2H5
Clofibrate
d. COOH CH2OH
[H] PCl5 KCN
CH2Cl CH2CN
CH2CN
Br2
CH CNBr
C6H6
AlCl3
C6H5 CH CN
H2O/H
+
(C6H5)2CHCOOH
NaNH2
CH3I
1.
2.
CHCH3 CN CH COOH
H2O/H
+
CH3
16
8. Ñieàu cheá acid pantothenic
C KCNH3C
H
CH3
CHO HCHO (CH3)2C
CH2OH
CHO
(CH3)2C
CH2OH
CHOH CN
H2O/H
+
CH2OH
CHOH COOHC
CH3
H3C
Acid 3,3-dimethyl-2,4-dihydroxybutyric
COOHCOOH COOH[H]
Cl CH2 CH2CH2 CH2
KCN N C H2N
-alanin
COOHH3C
CH2OH
CHOH CH2 CH2C
CH2OH
CHOH COOHC
CH3
H3C COOHCH2 CH2H2N+
CH3
CO NH Acid pantothenic
17
ACID CARBOXYLIC THÔM
18
1. Goïi teân
COOH
Cl
NH2
COCl
Br
COONa
COOC2H5
NH2
COOH
COCH3
Acid 2-cloro-4-aminobenzoic p-bromobenzoylclorid natribenzoat
Ethyl p-aminobenzoat p-acetylbenzoic
COOH
OH
COOH
COOH
HO
OH
OH
COOH
Acid o-hydroxybenzoic
Acid salicylic
Acid phthalic Acid 2,4,6-trihydroxybenzoic
Acid gallic
NH
O
O
Phthalimid
19
COOH
O
H2NO2S
N
1
2
3
6
4
5
Acid 4-phenoxy-3-(pyrolidin-1-yl)-5-sulfonylaminobenzoic
1
2 3 4
CH3O
CH3O
CH COCH3
COOH
Acid 2-acetyl-2(3’,4’-dimethoxyphenyl)acetic
Acid 3-oxo-2-(3’,4’-dimethoxyphenyl)butanoic
N
H
COOH
O
Acid 1,4-dihydro-4-oxo-quinolin-3-carboxylic
20
COOH
I
I I
NH CH3NHC
O
H3C C
O
Acid 3,5-diacetamido-2,4,6-triiodobenzoic
CH3
1
2
3
6
4
5
O
I
I I
NH CH3
NH
C
O
H3C C
O
N
C CH
CHO
(CHOH)3 CH2OH
3-(N-methylacetamido)-5-acetamido-N-(1’-formyl-
2,3,4,5tetrahydroxy)penthyl-2,4,6-triiodobenzamid
(Metrizamid)
Acid iotalamid
21
2. Vieát coâng thöùc
O
O
O
COOH
CH3
COOH
COOH
C N
Anhydrid phthalic Acid m-toluic Acid terephthalic Benzonitril
Cl COONH4
COOCH2C6H5
H3C CH2CH2COOH C
O
Br
Amoni p-chlorobenzoat benzylbenzoat
Acid 3-(p-tolyl)propionic benzoylbromid
22
3. Töø toluen ñieàu cheá
CH3
KMnO4/H
+
COOH
a.
b.
c.
Cl
COOHCH3
Cl2/Fe
CH3
KMnO4/H
+
Cl
CH3
Cl2 / aùs
CH2Cl
KCN
CH2CN
H2O/H
+
CH2COOH
23
e.
f.
COOH
H2O/H
+
CH3CH3
Br2/Fe
Br
Mg/ete khan
MgBr
CO2
COOMgBr
CH3CH3 CH3
COOH
Cl2/FeKMnO4/H
+
Cl
CH3 COOH
d.
CH3CH3
Cl2 / aùs
CH2Cl
KCN
CH2CN
H2O/H
+
CH2COOH
Br2/Fe
Br Br BrBr
3.
24
4. Töø benzen ñieàu cheá
25
5. Töø p-acetylbenzen ñ/c
Cl2 / aùs
COCH3
CH2CH3
I2 NaOH+
COOH
H2O/H
+
CH2CH3 CH2CH3
COONa
diacetylbenzen
Acid p-ethylbenzoic
NaOH dd
COCH3 COCH3 COCH3
COCH3CHClCH3 CHOHCH3
[O]
26
6. Thöïc hieän p/öù
Acid acetylsalicylic
(aspirin)
CO2NaOH dd
OH OHONa
t
o
p,
COOH
H
+COONa
OH
CH3COCl
pyridin
OCOCH3
COOH
COOH
KMnO4/H
+
CH3 CH3 COOH
CHO CH(OC2H5)2
C2H5OH2
CHOCH(OC2H5)2
H2O
a.
b.
hoaëc
H2O/H
+
CHO
CH3
CHO
CCl3
Cl2/aùs3
COOH
CHO
p-carboxylbenzaldehyd
27
7. Töø p-toluidin ñ/c
KMnO4/H
+
CH3CH3 COOH
H2O
H2N
H2N
(CH3CO)2O
CH3CONH CH3CONH
C2H5OH/H
+
COOC2H5COOC2H5 CH3CONH
anesthesin
KMnO4/H
+
CH3CH3 COOH
H2O
H2N
(CH3CO)2O
CH3CONH CH3CONH
HOCH2CH2N(C2H5)2
CH3CONH COOCH2CH2N(C2H5)2
COOCH2CH2N(C2H5)2H2N
Novocain
28
CH3CH3CO
C
O
O
HO
OHCO
O C
O
O
O
O
O
C
8. Giaûi thích aspirin thuûy phaân nhanh gaáp 4-8 laàn caùc este thoâng thöôøng
Caáu truùc anhydrid
Anhydrid thuûy phaân nhanh hôn este
29
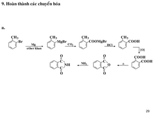
9. Hoaøn thaønh caùc chuyeån hoùa
CH3
Br
Mg
ether khan
CO2
MgBr
CH3 CH3
COOMgBr
HCl
CH3
COOH
[O]
COOH
COOH
NH3NH O
CC
O
OO
O
C C
a.
30
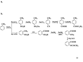
b.
CH3
H2SO4
ñp para
ñp ortho
CH3 CH3 CH3
COOH
NaOH NaCN
SO3H SO3Na CN
CH3 CH3
H2O/H
+
2 C2H5OH
COOC2H5
[O]
COOH
COOH
CH3
SO3H
COOH
SO3H
NaOH NaOH
300O
C ONa
CH3COCl
OCOCH3
9.
31
c.
COOHCOOH
O
H2SO4
Br
+
HS
R
S
R R
HO
H2O
C
S
RC
S
BrMgO CH2 (CH2)2 NN R
R (CH2)2 CH2MgBrNN
RC
S
CH2 (CH2)2 NN R
H2O
HO
9.
32
CH2Cl
C6H5CHO
CH2MgCl
Mg
ether khan
CH
OMgBr
CH2C6H5
H2O/H
+
CH CH2C6H5
OH
H2SO4
C6H5 CH CH C6H5 C6H5 CH
Br
CH
Br
C6H5
Br2
KOH/alcol C6H5 C C C6H5
d.
d.
9.
33
O
H2O
2O
C
O
O
C C
O
C
OHHO
C6H5OH
O
NaOH
C
HO
COONa
pH = 9
e.
f.
Phenolphtalein Maøu hoàng
C6H5COOH
PCl5
C6H5COCl
NH3
C6H5CONH2
P2O5
C6H5C N
H2/Ni
C6H5CH2NH2
Cl C
O
ClC6H5CH2NH NHCH2C6H5C
O
9.
34
10. Hoaøn thaønh chuoãi phaûn öùng
COOHHO
OH
CH3I2
COOHCH3O
OCH3
CH3O
OCH3
COCl
SOCl2
COCH3
OCH3
CH3O
CH3ZnBr
OCH3
CH3O COCH2Br
(CH3)3C NH2Br2
CH3O
OCH3
COCH2NH C(CH3)3
NaBH4
CH3O
OCH3
CH CH2 NH C(CH3)3
OH
H2O/H
+
2
HO
OH
CH CH2 NH C(CH3)3
OH
a.
terbutalin
35
b.
COOHCH3
ClSO2OH
SO2Cl
CH3
(C3H7)2NH
SO2 N(C3H7)2
CH3
KMnO4
SO2 N
C3H7
C3H7
COOHCH3 COOH
ClSO2OHKMnO4
ClCl ClCl ClCl
ClO2S
NH3
COOH
ClCl
H2N SO2 COOH
Cl
H2N SO2
O
NH
CH2O
NH2
Furosemid
Probenecid
c.
10.
36
d.
CH3
HNO3/H
+
O2N CH3
KMnO4 O2N COOH
O2N
O
C Cl
SO2Cl
H2NCH2CH2N(C2H5)2
O2N C NHCH2CH2N(C2H5)2
O
H2N
[H]
C NHCH2CH2N(C2H5)2
O
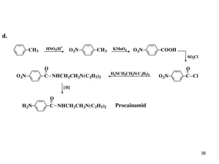
Procainamid
37
e.
O
C
NH C
O
CH3
COOH
H2N
H3C NH
H3C
NH C
O
CH3
H3C
O
C CH3
C
OH
N
H
N
Methaqualon
H3C
O
CH3
H2O
N
N
10.
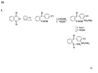
38
COOH
C
COOH
OO
C
C
O
O
ClCl
Cl
O
ClSO2OH
NH4OH
1.
2.
SO2NH2
C
f.
O
SO2Cl
NH4OH
1.
2.
O
Cl
SO2NH2
C
C NH2
10.

Acid carboxylic beo va dan chat

  • 1.
    1 ACID CARBOXYLIC BEÙOVAØ DAÃN CHAÁT
  • 2.
    2 1.Goïi teân CH3 (CH2)2COOH CH2 COOHHOOC HOOC (CH2)3 COOH Acid butyric butanoic Acid malonic propandioic Acid glutaric 1,5-pentandioic (CH2)2HOOC COOH COOHHOOC CHCH CH2(CH3)2C CH COOH CH2ClCH2 COCl (CH3)2CH COOC2H5 CH3 CH2 CO N(CH3)2 (CH3)2CH C N O O O O O O Acid succinic butandioic Acid butendioic 4-methyl-3-pentenoic Acid 2-chloropropanoylchlorid Acid β-chloropropionylchlorid Ethylisobutyrat ethylisobutanoat N,N-dimethylpropionamid N,N-dimethylpropanamid Isopropylcyanid Isobutyronitril isobutanonitril Anhydrid phthalic Anhydridsuccinic
  • 3.
    3 COOH NH CH2 Cl Cl C O CH2CH2COOH C3H7 C O CH2CH2COOH Acid2-[2’(2”,6”-dichlorophenylamino)]phenylacetic Diclofenac 4-oxo-4-p-biphenylbutanoic Fenbuten 4(4’-propylphenyl)-4-oxo-butanoic Bufexamac
  • 4.
    4 (CH3)2CHCH2 CH CH3 COOH Acid 2-methyl-2-(4’-isobutylphenyl)acetic Acid2-methyl-2-(3’-benzoylphenyl) acetic C O CH CH3 COOH Ibuprofen Ketoprofen Cl C O CH2CH2COOH 4(3’-chloro-4’-cyclohexylphenyl)-4-oxo-butanoic Acid butoxic
  • 5.
    5 2. Vieát coângthöùc caùc hôïp chaát CH2 CH COOH CH3 O Br C CH3 C O N CH3 C2H5 CH2 CH C N acid propenoic acetylbromid N-methyl-N-ethylacetamid Acrylonitril C(CH3)2CH O Cl (CH3CH2CO)2O CH3CH2C O NHBr O O C N C Br isobutyrylclorid Anhydrid propionic N-bromopropionamid N-bromosuccinimid (CF3CO)2O CH COOH(CH3)2CH NH2 CH2 CH COOHHS NH2 Anhydrid trifluoroacetic Acid -aminoisovaleric Acid -amino--thiolpropionic
  • 6.
    6 CH2CH3 C CH3 CH3 COOH COOH COOH H H OH OH CH2CH2 NH2 CH CH2CH NH2 COOH OH Acid ,-dimethylbutyric Acid mesotartric Acid ,-diamino--hydroxycaproic CH2 CHO COOH CH2 COOH COOH CH3 COOHCH OH Acid citric Acid lactic CH2HO CH COOH NH2 CH2 COOH(CH3)2CH Acid -amino--(p-hydroxyphenyl)propionic Acid isovaleric
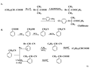
  • 7.
    7 3. Ñieàu cheácaùc acid töø alcol 4 carbon (hay ít hôn) vaø ester malonic hoaëc pp khaùc: CH2CH3 CH2 OHCH2 PCl5 CH3CH2CH2CH2Cl KCN CH3CH2CH2CH2CN H2O/H + CH3(CH2)3COOH CH3CH2CH2OH CH3CH2CH2Cl PCl5 CH2 CH COOC2H5 COOC2H5 C2H5O COOC2H5 COOC2H5 CH3CH2CH2CH(COOC2H5)2 H2O/H + CH3CH2CH2CH(COOH)2 t o CH3CH2CH2CH2COOH CO2 a. Acid valeric Acid valeric Hoaëc:
  • 8.
    8 b. Töông töïvôùi acid isovaleric CH2 COOH(CH3)2CH (CH3)2CH OHCH2 KCN H2O/H + PCl5 CH2 COOH(CH3)2CH (CH3)2CH OH H2O/H + PCl5 C2H5O t oCH2 COOC2H5 COOC2H5 CO2 (CH3)2CHCH2COOH c.Acid -methylbutyric CH3 CH3 CH2 H2O/H + PCl5CH3 CH2 CH OH CH CN CH3 KCNCl CH3 CH2 CH CH3 CH3CH2CHCOOH CH3 Hoaëc: Acid -methylbutyric
  • 9.
    9 d. CH3OH I2 / P CH3I (CH3)2CH CH3 PCl5 CHClCH3 CH2 OH CH2 C2H5O CH COOC2H5 COOC2H5 CH2 COOC2H5 COOC2H5 (CH3)2CH ClCH2 (CH3)2CHCH2CH(COOC2H5)2 CH3 CH3IC2H5O (CH3)2CHCH2C(COOC2H5) (CH3)2CHCH2C(COOC2H5)2 H2O/H + CH3CH3 t o CO2 (CH3)2CHCH2C(COOH)2 (CH3)2CHCH2CHCOOH Acid 2,4-dimethylpentanoic
  • 10.
    10 OH PCl5 CH3 CH3 CH CH3 (CH3)3CCl CH COOC2H5 COOC2H5 CH2 COOC2H5 COOC2H5 C2H5O (CH3)3C Cl (CH3)3CCH(COOC2H5)2 H2O/H + (CH3)3CCH(COOH)2(CH3)3CCH2COOH t o CO2 e. Acid ,-dimethylbutyric
  • 11.
    11 4. Ñieàu cheáacid acrylic töø etylen COOHKCNCH2 CH2 Cl2 200 600O C CH2 CH2CHCH CH2 CHCl CN H2O/H + CH2 CH2 HBr CH3CH2Br Mg/ete khan CH3CH2MgBr CO2 CH3CH2COOMgBr H2O/H + CH3CH2COOH Br2/P CH3CHBrCOOH KOH/alcol COOHCH2 CH hoaëc:
  • 12.
  • 13.
  • 14.
    14 7. Hoaøn thaønhchuoãi p/öù: C3H7COOH Ca(OH)2 C3H7 C3H7C O (C3H7COO)2Ca to HCN OH CN C3H7 C3H7 C COOH OHC3H7 C3H7 C H2O/H + a. b. CH2CHCH2 CH2CHCH3 Cl2 to cao Cl HBr Br CH2CH2CH2 Cl CH2 CN H2O/H + CH2 COOHCH2Cl KCN(1 mol) CH2CH2CH2 Cl 2 NaOH dd HOCH2CH2CH2COONa H + HOCH2CH2CH2COOH
  • 15.
    15 c. (CH3)2CH COOH Br2 /P C CH3 CH3 Br COOH C2H5OH/H2SO4 Br C CH3 CH3 COOC2H5 Cl ONa Cl O C CH3 CH3 COOC2H5 Clofibrate d. COOH CH2OH [H] PCl5 KCN CH2Cl CH2CN CH2CN Br2 CH CNBr C6H6 AlCl3 C6H5 CH CN H2O/H + (C6H5)2CHCOOH NaNH2 CH3I 1. 2. CHCH3 CN CH COOH H2O/H + CH3
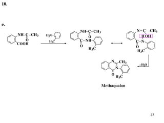
  • 16.
    16 8. Ñieàu cheáacid pantothenic C KCNH3C H CH3 CHO HCHO (CH3)2C CH2OH CHO (CH3)2C CH2OH CHOH CN H2O/H + CH2OH CHOH COOHC CH3 H3C Acid 3,3-dimethyl-2,4-dihydroxybutyric COOHCOOH COOH[H] Cl CH2 CH2CH2 CH2 KCN N C H2N -alanin COOHH3C CH2OH CHOH CH2 CH2C CH2OH CHOH COOHC CH3 H3C COOHCH2 CH2H2N+ CH3 CO NH Acid pantothenic
  • 17.
  • 18.
    18 1. Goïi teân COOH Cl NH2 COCl Br COONa COOC2H5 NH2 COOH COCH3 Acid2-cloro-4-aminobenzoic p-bromobenzoylclorid natribenzoat Ethyl p-aminobenzoat p-acetylbenzoic COOH OH COOH COOH HO OH OH COOH Acid o-hydroxybenzoic Acid salicylic Acid phthalic Acid 2,4,6-trihydroxybenzoic Acid gallic NH O O Phthalimid
  • 19.
    19 COOH O H2NO2S N 1 2 3 6 4 5 Acid 4-phenoxy-3-(pyrolidin-1-yl)-5-sulfonylaminobenzoic 1 2 34 CH3O CH3O CH COCH3 COOH Acid 2-acetyl-2(3’,4’-dimethoxyphenyl)acetic Acid 3-oxo-2-(3’,4’-dimethoxyphenyl)butanoic N H COOH O Acid 1,4-dihydro-4-oxo-quinolin-3-carboxylic
  • 20.
    20 COOH I I I NH CH3NHC O H3CC O Acid 3,5-diacetamido-2,4,6-triiodobenzoic CH3 1 2 3 6 4 5 O I I I NH CH3 NH C O H3C C O N C CH CHO (CHOH)3 CH2OH 3-(N-methylacetamido)-5-acetamido-N-(1’-formyl- 2,3,4,5tetrahydroxy)penthyl-2,4,6-triiodobenzamid (Metrizamid) Acid iotalamid
  • 21.
    21 2. Vieát coângthöùc O O O COOH CH3 COOH COOH C N Anhydrid phthalic Acid m-toluic Acid terephthalic Benzonitril Cl COONH4 COOCH2C6H5 H3C CH2CH2COOH C O Br Amoni p-chlorobenzoat benzylbenzoat Acid 3-(p-tolyl)propionic benzoylbromid
  • 22.
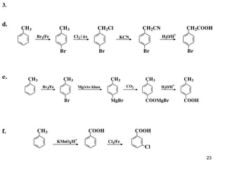
    22 3. Töø toluenñieàu cheá CH3 KMnO4/H + COOH a. b. c. Cl COOHCH3 Cl2/Fe CH3 KMnO4/H + Cl CH3 Cl2 / aùs CH2Cl KCN CH2CN H2O/H + CH2COOH
  • 23.
    23 e. f. COOH H2O/H + CH3CH3 Br2/Fe Br Mg/ete khan MgBr CO2 COOMgBr CH3CH3 CH3 COOH Cl2/FeKMnO4/H + Cl CH3COOH d. CH3CH3 Cl2 / aùs CH2Cl KCN CH2CN H2O/H + CH2COOH Br2/Fe Br Br BrBr 3.
  • 24.
    24 4. Töø benzenñieàu cheá
  • 25.
    25 5. Töø p-acetylbenzenñ/c Cl2 / aùs COCH3 CH2CH3 I2 NaOH+ COOH H2O/H + CH2CH3 CH2CH3 COONa diacetylbenzen Acid p-ethylbenzoic NaOH dd COCH3 COCH3 COCH3 COCH3CHClCH3 CHOHCH3 [O]
  • 26.
    26 6. Thöïc hieänp/öù Acid acetylsalicylic (aspirin) CO2NaOH dd OH OHONa t o p, COOH H +COONa OH CH3COCl pyridin OCOCH3 COOH COOH KMnO4/H + CH3 CH3 COOH CHO CH(OC2H5)2 C2H5OH2 CHOCH(OC2H5)2 H2O a. b. hoaëc H2O/H + CHO CH3 CHO CCl3 Cl2/aùs3 COOH CHO p-carboxylbenzaldehyd
  • 27.
    27 7. Töø p-toluidinñ/c KMnO4/H + CH3CH3 COOH H2O H2N H2N (CH3CO)2O CH3CONH CH3CONH C2H5OH/H + COOC2H5COOC2H5 CH3CONH anesthesin KMnO4/H + CH3CH3 COOH H2O H2N (CH3CO)2O CH3CONH CH3CONH HOCH2CH2N(C2H5)2 CH3CONH COOCH2CH2N(C2H5)2 COOCH2CH2N(C2H5)2H2N Novocain
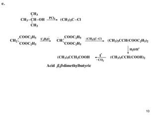
  • 28.
    28 CH3CH3CO C O O HO OHCO O C O O O O O C 8. Giaûithích aspirin thuûy phaân nhanh gaáp 4-8 laàn caùc este thoâng thöôøng Caáu truùc anhydrid Anhydrid thuûy phaân nhanh hôn este
  • 29.
    29 9. Hoaøn thaønhcaùc chuyeån hoùa CH3 Br Mg ether khan CO2 MgBr CH3 CH3 COOMgBr HCl CH3 COOH [O] COOH COOH NH3NH O CC O OO O C C a.
  • 30.
    30 b. CH3 H2SO4 ñp para ñp ortho CH3CH3 CH3 COOH NaOH NaCN SO3H SO3Na CN CH3 CH3 H2O/H + 2 C2H5OH COOC2H5 [O] COOH COOH CH3 SO3H COOH SO3H NaOH NaOH 300O C ONa CH3COCl OCOCH3 9.
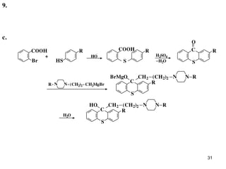
  • 31.
    31 c. COOHCOOH O H2SO4 Br + HS R S R R HO H2O C S RC S BrMgO CH2(CH2)2 NN R R (CH2)2 CH2MgBrNN RC S CH2 (CH2)2 NN R H2O HO 9.
  • 32.
    32 CH2Cl C6H5CHO CH2MgCl Mg ether khan CH OMgBr CH2C6H5 H2O/H + CH CH2C6H5 OH H2SO4 C6H5CH CH C6H5 C6H5 CH Br CH Br C6H5 Br2 KOH/alcol C6H5 C C C6H5 d. d. 9.
  • 33.
    33 O H2O 2O C O O C C O C OHHO C6H5OH O NaOH C HO COONa pH =9 e. f. Phenolphtalein Maøu hoàng C6H5COOH PCl5 C6H5COCl NH3 C6H5CONH2 P2O5 C6H5C N H2/Ni C6H5CH2NH2 Cl C O ClC6H5CH2NH NHCH2C6H5C O 9.
  • 34.
    34 10. Hoaøn thaønhchuoãi phaûn öùng COOHHO OH CH3I2 COOHCH3O OCH3 CH3O OCH3 COCl SOCl2 COCH3 OCH3 CH3O CH3ZnBr OCH3 CH3O COCH2Br (CH3)3C NH2Br2 CH3O OCH3 COCH2NH C(CH3)3 NaBH4 CH3O OCH3 CH CH2 NH C(CH3)3 OH H2O/H + 2 HO OH CH CH2 NH C(CH3)3 OH a. terbutalin
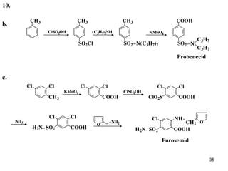
  • 35.
    35 b. COOHCH3 ClSO2OH SO2Cl CH3 (C3H7)2NH SO2 N(C3H7)2 CH3 KMnO4 SO2 N C3H7 C3H7 COOHCH3COOH ClSO2OHKMnO4 ClCl ClCl ClCl ClO2S NH3 COOH ClCl H2N SO2 COOH Cl H2N SO2 O NH CH2O NH2 Furosemid Probenecid c. 10.
  • 36.
    36 d. CH3 HNO3/H + O2N CH3 KMnO4 O2NCOOH O2N O C Cl SO2Cl H2NCH2CH2N(C2H5)2 O2N C NHCH2CH2N(C2H5)2 O H2N [H] C NHCH2CH2N(C2H5)2 O Procainamid
  • 37.
    37 e. O C NH C O CH3 COOH H2N H3C NH H3C NHC O CH3 H3C O C CH3 C OH N H N Methaqualon H3C O CH3 H2O N N 10.
  • 38.