Contents
Preface v
I Elementary topics 1
1 Introduction into algebra 3
1.1 Basic notions . . . . . . . . . . . . . . . . . . . . . . . 3
1.1.1 Sets . . . . . . . . . . . . . . . . . . . . . . . . 3
Exercises . . . . . . . . . . . . . . . . . . . . . . 5
1.1.2 Descartes products, relations, functions . . . . . 7
Exercises . . . . . . . . . . . . . . . . . . . . . . 9
1.2 Algebraic operations... . . . . . . . . . . . . . . . . . . 13
1.2.1 Algebraic operations . . . . . . . . . . . . . . . 13
Exercises . . . . . . . . . . . . . . . . . . . . . . 23
1.2.2 Rings and lattices . . . . . . . . . . . . . . . . . 25
Exercises . . . . . . . . . . . . . . . . . . . . . . 33
2 Number concept 39
2.1 Natural and whole numbers . . . . . . . . . . . . . . . 39
2.1.1 Natural numbers . . . . . . . . . . . . . . . . . 39
Exercises . . . . . . . . . . . . . . . . . . . . . . 40
2.1.2 Whole numbers . . . . . . . . . . . . . . . . . . 42
Exercises . . . . . . . . . . . . . . . . . . . . . . 44
2.2 Rational and real numbers . . . . . . . . . . . . . . . . 46
2.2.1 Rational numbers . . . . . . . . . . . . . . . . . 46
Exercises . . . . . . . . . . . . . . . . . . . . . . 48
2.2.2 Real numbers . . . . . . . . . . . . . . . . . . . 50
Exercises . . . . . . . . . . . . . . . . . . . . . . 53
2.2.3 Algebraic identities . . . . . . . . . . . . . . . . 54
Exercises . . . . . . . . . . . . . . . . . . . . . . 58
i
CONTENTS
2.3 Complex numbers . . . . . . . . . . . . . . . . . . . . . 61
2.3.1 Standard form . . . . . . . . . . . . . . . . . . . 61
Exercises . . . . . . . . . . . . . . . . . . . . . . 64
2.3.2 Polar form . . . . . . . . . . . . . . . . . . . . . 65
Exercises . . . . . . . . . . . . . . . . . . . . . . 67
2.4 Divisibility of integers . . . . . . . . . . . . . . . . . . 68
2.4.1 Euclidean division . . . . . . . . . . . . . . . . 68
Exercises . . . . . . . . . . . . . . . . . . . . . . 74
2.4.2 Unique factorization . . . . . . . . . . . . . . . 75
Exercises . . . . . . . . . . . . . . . . . . . . . . 77
2.4.3 Number systems . . . . . . . . . . . . . . . . . 79
Exercises . . . . . . . . . . . . . . . . . . . . . . 80
2.4.4 Decimal fractions . . . . . . . . . . . . . . . . . 81
Exercises . . . . . . . . . . . . . . . . . . . . . . 85
3 Elementary linear algebra 87
3.1 Free vectors . . . . . . . . . . . . . . . . . . . . . . . . 87
3.1.1 Space free vectors and their operations . . . . . 87
Exercises . . . . . . . . . . . . . . . . . . . . . . 96
3.1.2 Coordinate geometry . . . . . . . . . . . . . . . 100
Exercises . . . . . . . . . . . . . . . . . . . . . . 105
3.2 Vector spaces . . . . . . . . . . . . . . . . . . . . . . . 108
3.2.1 Basis, dimension . . . . . . . . . . . . . . . . . 108
3.2.2 Direct sum . . . . . . . . . . . . . . . . . . . . . 110
Exercises . . . . . . . . . . . . . . . . . . . . . . 111
3.3 Matrices . . . . . . . . . . . . . . . . . . . . . . . . . . 113
3.3.1 Matrix operations . . . . . . . . . . . . . . . . . 113
Exercises . . . . . . . . . . . . . . . . . . . . . . 116
3.3.2 Matrix determinant . . . . . . . . . . . . . . . . 119
Exercises . . . . . . . . . . . . . . . . . . . . . . 125
3.4 Gaussian elimination, rank of a matrix . . . . . . . . . 127
3.4.1 System of linear equations . . . . . . . . . . . . 127
Exercises . . . . . . . . . . . . . . . . . . . . . . 130
3.4.2 Rank and invertibility . . . . . . . . . . . . . . 132
Exercises . . . . . . . . . . . . . . . . . . . . . . 135
3.5 Linear mappings . . . . . . . . . . . . . . . . . . . . . 138
3.5.1 Structure of linear mappings . . . . . . . . . . . 138
Exercises . . . . . . . . . . . . . . . . . . . . . . 141
3.5.2 Matrix representation . . . . . . . . . . . . . . . 143
Exercises . . . . . . . . . . . . . . . . . . . . . . 145
ii
CONTENTS
4 Elementary polynomial theory 147
4.1 Ring of polynomials . . . . . . . . . . . . . . . . . . . . 147
4.1.1 The integral domain A[x] . . . . . . . . . . . . . 147
Exercises . . . . . . . . . . . . . . . . . . . . . . 153
4.1.2 Unique factorization . . . . . . . . . . . . . . . 154
Exercises . . . . . . . . . . . . . . . . . . . . . . 155
4.1.3 Partial fraction decomposition . . . . . . . . . . 155
Exercises . . . . . . . . . . . . . . . . . . . . . . 158
4.2 Roots of polynomials . . . . . . . . . . . . . . . . . . . 158
4.2.1 Algebraic equations . . . . . . . . . . . . . . . . 158
Exercises . . . . . . . . . . . . . . . . . . . . . . 163
4.2.2 Fundamental theorem of algebra . . . . . . . . . 167
4.3 Solution to the quadratic... . . . . . . . . . . . . . . . . 168
4.3.1 Solution to the quadratic . . . . . . . . . . . . . 168
4.3.2 Solution to the cubic . . . . . . . . . . . . . . . 169
Exercises . . . . . . . . . . . . . . . . . . . . . . 172
4.3.3 Solution to the quartic . . . . . . . . . . . . . . 173
Exercises . . . . . . . . . . . . . . . . . . . . . . 174
4.3.4 Special equations of higher degree . . . . . . . . 175
Exercises . . . . . . . . . . . . . . . . . . . . . . 179
4.4 Multivariate polynomials . . . . . . . . . . . . . . . . . 181
4.4.1 Polynomial ring of several indeterminates . . . . 181
Exercises . . . . . . . . . . . . . . . . . . . . . . 183
4.4.2 Fundamental theorem of symmetric polynomials 184
Exercises . . . . . . . . . . . . . . . . . . . . . . 187
4.4.3 Resultant and discriminant . . . . . . . . . . . . 188
Exercises . . . . . . . . . . . . . . . . . . . . . . 191
Bibliography . . . . . . . . . . . . . 193
Definition index . . . . . . . . . . . . . . . . . . . . . . . . . 195
Proposition index . . . . . . . . . . . . . . . . . . . . . . . . 201
iii
CONTENTS
iv
Preface
We consider mathematics as the tool kit of sciences from the practi-
cal side, and also a standalone discipline. Sciences acquire raw data by
observation from which conclusions are drawn by their own method-
ology, based on mathematics, and these conclusions, may as well be
called nature laws, are used for certain purposes, such as production of
something precious by procedures also governed by mathematics. Be-
sides applications it has also value per se, the courage to attack difficult
problems of human thinking. The quest for truth is performed by form-
ing precise concepts, statement of precise attributes of those concepts,
and establishing the statements by reasoning adherent strictly to logic.
We attempt to exhibit this to the student of mathematics, hopefully
with more success than failure.
Counting the rise of modern algebra from Leonard Euler, numer-
ous algebra books were written in numerous languages in the faith
that knowledge they acquired overcoming difficulties will be of use for
generations to come. However, sciences evolve in a rapid manner and
pages get dull. The content of pages to follow this preface has been
put down many times in several books in many ways, we still hope that
despite this, content will be of use for many students of algebra for at
least some decades to access knowledge not only in these pages but in
other books as well with more advanced or specialized topics with more
obscure essence.
To be brief, this book is aimed at mathematics or physics bachelor
majors. Although almost the whole matter may be used by IT bache-
lor majors while some parts may fit rather an IT master course. Two
CAS’s are used throughout the book, namely Maxima and GAP, ex-
ample scripts are included for reading together with exercises to write
scripts, forming an inherent part of the matter. For the future program-
mer more programming exercises are appropriate, and are welcome as
proposals, if there is interest at IT people, may be included in a later
v
edition. Anyway, we did not have an IT student in mind while algo-
rithmic approach is applied at several points in the matter. For other
science disciplines a restricted use may occur. If not a future specialist,
with time some parts of the material may get obscured. Training of
the reader’s talent should remain as a valuable asset after algebra or
introductory mathematics course we hope.
Mathematics is one of the most profitable subjects to pursue from
many aspects. Holding a degree in mathematics or physics is a great
asset in job seeking indisputably. Moreover, she is taught to science,
economics and IT students, who, possibly unconsciously, utilize her at
least indirectly in solving problems of their own professions at every
day of their career. Understanding her concepts and statements one
communicates with the greatest minds of the millennia past and to
come as her results were accumulated since the dawn of mankind and
will be utilized until the fall of human thinking. Mathematics was and
will remain the main impetus behind advancement.
This is the first part of a set planned two volume, dealing with
elementary topics. We wish to provide continuity in learning for the
freshman. After a thorough secondary mathematics study it is hard
to grasp why further. Usefulness of material is to be emphasized as
hardships are enormous due to great number of involved concepts and
elaborate procedures. This is incompatible with the labelling at first
glance. A sound elementary mathematics routine is expected from
secondary school, here the label ’elementary’ refers to secondary. In
the label ’elementary’ of the first part refers to bachelor level which
is the base of master and doctorate levels, in our viewpoint subject
matter of the first part acts as an intermediary to more advanced levels.
This division is somewhat mannered considering unity of the discipline,
which is rarely untangled as vastness of discipline prevails.
This vastness comes forward already in the first part as at certain
points it is almost impossible to keep linearity of subject matter as
one may not eschew reference to a later section or advancement of a
definition at an early stage not fitting to the present context. Therefore
repetitions may befall but only occasionally.
An emphasis has been put on exercises. In this case there is allure-
ment to be lazy with core matter to give forth non-rigorous definitions
and sketchy proofs. How great are the odds in favour of being practi-
cal, we endure throughout the text by giving forth exact content un-
dertaking complexity if unavoidable. These exercises come from many
sources, mainly from personal course matters ranging from the triv-
vi
ial to the almost inextricable without a hint. We did not keep order
of difficulty but the inextricable type is rare, almost every exercise is
within reach of the student. Answers are absent because of the limi-
tation in extent, it is planned that readers provide solutions through
the website of the book encouraging communication between readers,
providing means to even submitting new exercise proposals to include
in later edition.
What is included is standard material, perhaps more detailed at cer-
tain points than usual. The book encompasses courses of more terms
with various labels at institutions. As scope may vary additional ma-
terial is possibly needed, although an attempt has been made to be as
self-contained as possible.
Maybe it is superfluous to give instructions for use here as the in-
structor or the learner should decide the pace, what to skip or perhaps
what supplement to include live at a lecture or seminar. The order of
the material is bound as notions and assertions are used at later stages
frequently, interconnections form such a thick web that it is almost im-
possible to change order of chapters without harm to consistency. The
attribute ’almost’ appears since with proper caution some re-ordering
may be implemented.
János Kurdics
vii
viii
Part I
Elementary topics
1
Chapter 1
Introduction into algebra
1.1 Basic notions
1.1.1 Sets
The most basic conceptNotions: set,
universe,
empty set,
singleton,
element
of mathematics is that of the set, which
intuitively means an aggregate of things. Below we are going to discuss
the so called naïve set theory, a rigorous substantiation belongs to
the scope of mathematical logic. One begins with the set universe,
including all things examined. If A is a set then it has an element
a (notation a ∈ A) unless it is the empty set (notation ∅) for which
there is not any object a with a ∈ A. A set with a single element is
called a singleton. Of a set it is assumed that for every object a one
can determine whether a ∈ A or a /∈ A, the latter meaning that a is
not an element of the set. It also assumed that among the elements of
the universe there are not any sets.
In mathematics researchNotions: set
of natural
numbers,
natural
number,
Peano’s
axioms
usually the universe or a part of the uni-
verse is the set of natural numbers, existence of which is supposed
(notation N). Elements of this set are the natural numbers, and the
so called Peano’s axioms hold:
1. there exists an element called zero of the set N of natural numbers
(notation 0);
2. for any natural number a there exists a natural number a called
the consecutive of a, satisfying the following properties:
3. distinct natural numbers have distinct consecutives;
3
CHAPTER 1. INTRODUCTION INTO ALGEBRA
4. there does not exist a natural number with consecutive zero;
5. (axiom of mathematical induction) if A is a set consisting of natu-
ral numbers, the set A contains zero and with each of its elements
the set A contains its consecutive then the sets A and N shall
coincide.
Usual denominations and notations: 0’=1 one, 1’=2 two, 2’=3 three
and so on.
The key to the method of recursive definition Notions:
recursive
definition,
inductive
proof
is the last axiom
of Peano. Notions or elements involving a natural number parameter
are determined for any natural number by defining the one belonging
to zero, and then, assuming we have already known the one belonging
to some natural number n, by defining the notion or element belonging
to natural number n . The key to the method of inductive proof is,
as well, the last axiom of Peano. An assertion depending on a natural
number as a parameter is proved for any natural number by showing
the one belonging to zero, and then, assuming the truth of the one
belonging to some natural number n, by showing that the assertion
belonging to natural number n follows.
The power set of a set B Notions:
subset, (strict)
inclusion,
power set, ,
equality of
sets,
determination
of sets
(notation P(B)) is also a set, consisting
of all the subsets A of the set B, that is, all such sets A, every element
of which is an element of the set B (notation A ⊆ B„ we also say that
the set B includes the set A). Two sets A and B are equal if
mutually includes the other (notation A = B). The set A is strictly
contained in or a proper subset of the set B if B includes A
but they are not equal (notation A ⊂ B). One can determine the
set A by enumeration such as A = {a1, a2, a3, a4}, or by specification
by virtue of a property P among the elements of the set B such as
A = {a ∈ B|P(a)}, meaning that from the elements of the set B
exactly those elements form the set A that satisfy the property P.
Consider now set operations Notions: set
union,
intersection,
difference,
disjoint sets,
complement of
a set,
symmetric
difference,
union and
intersection of
a family of
sets
(the exact concept of algebraic op-
erations and their properties will be considered below). Let A and B
sets. Their union, A ∪ B is the set containg exactly those elements
which are elements of the set A or elements of the set B. Their inter-
section, A ∩ B is the set containg exactly those elements which are
elements of the set A and elements of the set B. Their difference,
A  B is the set containg exactly those elements which are elements of
the set A but not elements of the set B. If the intersection of two sets
is the empty set then we say that the sets are disjoint. If the set A is
included in the set B then the complement of A with reference to the
4
Chapter 2
Introduction of number
concept
2.1 Natural and whole numbers
2.1.1 Natural numbers
Notions:
addition,
multiplication
Recall that in 1.1.1 Peano’s axioms were used to define the no-
tions of natural numbers and the set of natural numbers. Operations
addition and multiplication of natural numbers are defined by
recursion for an arbitrary natural number a ∈ N in the following man-
ner: let a + 0 = a, a · 0 = 0, for an arbitrary natural number b ∈ N let
a + b = (a + b) and ab = ab + a, where a is called the consecutive of
a. Method of proving the next theorem is induction.
Operations
on natural
numbers (i) (N, +) is a commutative monoid and every element can be can-
celled;
(ii) (N, ·) is a commutative monoid and every nonzero element can be
cancelled;
(iii) multiplication is distributive with respect to addition.
Proof Let a, b and c natural numbers.
(i) Associativity. Clearly, (a+b)+0 = a+b = a+(b+0), and assume
(a + b) + c = a + (b + c). Then by applying definition and inductive
assumption, (a + b) + c = ((a + b) + c) = a + (b + c) = a + (b + c ).
39
CHAPTER 2. NUMBER CONCEPT
Neutral element. According to definition, a + 0 = a holds. Clearly,
0 + 0 = 0, and suppose 0 + a = a. Then 0 + a = (0 + a) = a .
Commutativity. As 0 is the neutral element, a + 0 = 0 + a, and
assume a + b = b + a. Then a + b = (a + b) = (b + a) = b + a ,
and it suffices to show b + a = b + a, by induction again. We have
b + 0 = (b + 0) = b = b + 0, and assume b + a = b + a. Then
b + a = (b + a ) = (b + a) = b + a .
Cancellation. By commutativity it suffices to show right cancella-
tion. As 0 is the neutral element, a + 0 = b + 0 implies a = b. Suppose
a + c = b + c implies a = b. Let a + c = b + c ; then (a + c) = (b + c) ,
and because consecutivity is injective, we have a + c = b + c, which
follows a = b by induction.
To establish statement (ii) one applies similar inductive arguments.
Distributivity is easy to prove: a(b + 0) = ab = ab + 0 = ab + a0 holds,
and suppose a(b + c) = ab + ac. It follows a(b + c ) = a(b + c) =
a(b + c) + a = (ab + ac) + a = ab + (ac + a) = ab + ac . Commutativity
of multiplication follows (a + b)c = ac + bc. Q.E.D.
Notion:
ordering of
natural
numbers
We say that the natural number a is less than or equal to the
natural number b if for some natural number c, b = a+c holds, notation:
a ≤ b, and of sharp inequality, a < b. This is a linear ordering on N,
and any nonempty subset of N contains an infimum, which is 0 for the
whole N.
Exercises
1. Prove that multiplication of natural numbers is associative.
2. Prove that 0 is a neutral element with respect to multiplication
of natural numbers.
3. Prove that multiplication of natural numbers is commutative.
4. Prove that multiplication of nonzero natural numbers is cancella-
tive.
5. Prove that (usual) ordering of natural numbers is a linear order
with minimal element 0.
6. Prove that every nonempty subset of natural numbers contains
an infimum.
7. Show 1 + 3 + 5 + · · · + (2n − 1) = n2
(n ∈ N+
).
40
Chapter 3
Elementary linear algebra
3.1 Free vectors
3.1.1 Space free vectors and their operations
Notions:
direction of a
ray, directed
line segment ,
initial point,
endpoint,
congruent
directed line
segments
Two rays of the (classical sense) euclidean space are said to have
the same direction if either coincide or are parallel and are contained
in the same half-plane determined by the straight line connecting the
initial points. Clearly, this is an equivalence relation on the set of rays
of the space. Ordered pairs of points of the space are called directed
line segments, the first term of the pair is called the initial point, the
second term the endpoint. The directed line segments (A, B), (C, D)
are called congruent if either A = B and C = D, or the lengths
AB = CD, and the rays
−→
AB and
−−→
CD have the same direction.
Congruence
of directed
line
segments
We see
readily the next assertion.
Congruence of directed line segments of the space is an equivalence
relation.
Notions:
free vector in
space, origon,
magnitude of
the free
vector, zero
vector,
direction of a
vector,
position
vector
An equivalence class of congruent directed line segments in space is
called a (space) free vector, notation AB for the class represented by
the directed line segment (A, B), or frequently a for the the class rep-
resented by the directed line segment (O, B), where O is a fixed point
in space often referred to as the origon. Let the set of all space free
vectors be denoted by V. The free vector represented by the directed
line segment (A, A) for some (and any) point A in space is called the
zero vector denoted by o. Length AB of the line segment AB is called
the magnitude of the free vector AB, notation |AB|. Direction of
87
CHAPTER 3. ELEMENTARY LINEAR ALGEBRA
the ray
−→
AB is called the direction of the nonzero free vector AB.
To the zero vector we do not assign a direction, or sometimes we say
that its direction is arbitrary. Magnitude and direction is clearly inde-
pendent of choice of representative. We hence may also say that two
free vectors equal if their magnitudes and directions coincide. We see
that a free vector may be represented by a directed line segment with
arbitrary initial point, hence free, and after fixing the initial point, the
endpoint is unique. In geometry it is often useful to fix a space point
origon O and then identify a point A of space with the free vector
a = OA often called a position vector.
Sum of two space free vectors a and b is determined as follows.
Represent the free vectors such that the endpoint a coincide with the
initial point of b i.e. a = AB and b = BC. Then let a + b = AC.
Let λ ∈ R be nonnegative, AB a free vector. Scalar multiple of
the free vector AB by λ ≥ 0 is the free vector λAB = AC such that
C lies on the ray
−→
AB and has magnitude |AC| = λ|AB|. Let λ ∈ R be
negative, AB a free vector. Scalar multiple of the free vector AB
by λ < 0 is the free vector λAB = AC such that C lies on the opposite
ray of
−→
AB and has magnitude |AC| = |λ| · |AB|.
Free
vector
operation
properties
(i) (V, +) is an Abelian group;
(ii) for any λ ∈ R and a, b ∈ V, λ(a + b) = λa + λb;
(iii) for any λ, μ ∈ R and a ∈ V, (λ + μ)a = λa + μa;
(iv) for any λ, μ ∈ R and a ∈ V, (λμ)a = λ(μa);
(v) for any a ∈ V, 1a = a és 0a = o.
Proof(i) Addition is well-defined. Let a = AB = DE and b = BC = EF.
We have to show AC = DF. If A = B or B = C or C = A then it is
obvious. In the contrary case the lengths of the directed line segments
(A, B) and (D, E) coincide and the rays
−→
AB and
−−→
DE have the same
direction, and also the lengths of the directed line segments (B, C) and
(E, F) coincide and the rays
−−→
BC and
−→
EF have the same direction.
Consequently, the triangles ABC and DEF are congruent, their
88
3.1. FREE VECTORS
(ii) b = p + q and p is parallel to c
(iii) c = p + q and p is parallel to d
(iv) d = p + q and p is parallel to e
(v) e = p + q and p is parallel to f
(vi) f = p + q and p is parallel to a
22. Check validity of the cosine theorem for the angle at vertex with
position vector
(i) a in the triangle with other vertices with position vectors b
and c
(ii) a in the triangle with other vertices with position vectors b
and d
(iii) a in the triangle with other vertices with position vectors d
and e
(iv) b in the triangle with other vertices with position vectors c
and d
(v) b in the triangle with other vertices with position vectors c
and e
(vi) b in the triangle with other vertices with position vectors c
and f.
23. Determine the area of the parallelogram spanned by the vectors
(i) a and b; (ii) b and e; (iii) c and d; (iv) a and f; (v) c and e;
(vi) b and f.
24. Determine the volume of the tetrahedron spanned by the vectors
(i) a, b and d; (ii) b, c and e; (iii) c, d and f; (iv) a, e and f; (v)
c, d and e; (vi) b, e and f.
25. Check your computations by Maxima. For instance, the compu-
tations (vii) and (ix):
load(vect);
d:[-2,3,1];
e:[1,2,-2];
f:[1,-1,1];
d . ((-2)*e+3*f);
a:[1,-1,2];
express(express(f~e)~a);
26. Furnish a Maxima function for mixed product.
99
CHAPTER 3. ELEMENTARY LINEAR ALGEBRA
3.1.2 Coordinate geometry
Notions:
normal vector
of a plane,
direction
vector of a
straight line
For coordinate geometry considerations fix an origon O and identify
space points A with position vectors OA = a. In this respect we may
consider vectorial equations of space elements. Normal vector of a
plane is a nonzero free vector perpendicular to the plane, Direction
vector of a straight line is a non-zero vector parallel with the straight
line.
Equations
of space
elements
(i) Let the plane be given by its point A with position vector a = OA
and by its normal vector n, let an arbitrary point P of the plane
have position vector p = OP. Then the normal vectorial equation
of the plane is n(p − a) = 0.
(ii) Let the plane be given by its point A with position vector a = OA
and by two linearly independent vectors u and v parallel to the
plane, and let an arbitrary point P of the plane have position
vector p = OP. Then the parametric equation of the plane is
p = a + ru + sv (r, s ∈ R).
(iii) Let the straight line be given as the intersection line of two inter-
secting planes. Let an arbitrary point P of the plane have position
vector p = OP, then the system of equations of the straight line
is
n(p − a) = 0
n (p − a ) = 0,
where the equations are normal equations of the two intersecting
planes.
(iv) Let the straight line be given by its point A with position vector
a = OA and by its direction vector u. Let an arbitrary point
P of the plane have position vector p = OP, then the direction
vectorial equation of the straight line is p = a + ru, where r ∈ R.
Proof(i) The inner product n(p − a) vanishes if and only if p − a is
perpendicular to n, which holds if and only if p − a is parallel with the
plane i.e. p is the position vector for some point lying on the plane.
(ii) The vector ru + sv is parallel to the plane hence a + ru + sv is the
100
3.1. FREE VECTORS
O
A
P
x
n
O
x
A
u
v
Px
position vector for some point lying on the plane. If p is the position
vector for some point lying on the plane then p − a is parallel to the
plane hence is a linear combination of the linearly independent vectors
u and v.
(iii) Both normal equations are satisfied by position vectors leading
to points of the intersection line and only by those.
A
P
x
x
u
(iv) As a is the position vector of a point of the line and ru is
parallel with the line, a + tu is the position vector of a point lying on
the line. If p is the position vector of a point lying on the line then
101
CHAPTER 3. ELEMENTARY LINEAR ALGEBRA
p−a is parallel to the line and hence is a scalar multiple of the direction
vector u. Q.E.D.
Fix an orthonormal basis {ei}i=1,2,3, and identify points of the space
with triples of coordinates of their position vectors.
Notions:
scalar
equation
(parametric
system of
equations) of
the plane,
scalar
(parametric,
canonical)
system of
equations of
the straight
line
Consider normal vector equation n(p − a) = 0 of the plane, and let
n = n1e1 + n2e2 + n3e3, p = xe1 + ye2 + ze3, a = a1e1 + a2e2 + a3e3.
Then
0 = n(p−a) = (n1e1 +n2e2 +n3e3)((x−a1)e1 +(y−a2)e2 +(z−a3)e3) =
n1x + n2y + n3z − (n1a1 + n2a2 + n3a3)
i.e. scalar equation of the plane is n1x+n2y +n3z −(n1a1 +n2a2 +
n3a3) = 0. Consider parametric equation p = a + ru + sv of the plane,
and let u = u1e1 +u2e2 +u3e3, v = v1e1 +v2e2 +v3e3, p = xe1 +ye2 +ze3,
a = a1e1 + a2e2 + a3e3. Then
xe1+ye2+ze3 = (a1+ru1+sv1)e1+(a2+ru2+sv2)e2+(a3+ru3+sv3)e3
which gives, by uniqueness of coordinates, parametric system of
equations of the plane:
x = a1 + ru1 + sv1
y = a2 + ru2 + sv2
z = a3 + ru3 + sv3.
Scalar system of equations of the straight line has form
n1x + n2y + n3z − (n1a1 + n2a2 + n3a3) = 0
n1x + n2y + n3z − (n1a1 + n2a2 + n3a3) = 0.
Consider direction vector equation p = a + ru of the straight line, and
let u = u1e1 + u2e2 + u3e3, p = xe1 + ye2 + ze3, a = a1e1 + a2e2 + a3e3.
Then
xe1 + ye2 + ze3 = (a1 + ru1)e1 + (a2 + ru2)e2 + (a3 + ru3)e3
which gives, by uniqueness of coordinates, parametric system of
equations of the straight line:
x = a1 + ru1
y = a2 + ru2
z = a3 + ru3.
102
Chapter 4
Elementary polynomial
theory
4.1 Ring of polynomials
4.1.1 The integral domain A[x]
Notions:
indeterminate,
coefficient,
univariate
polynomial,
degree, monic
polynomial,
equality of
polynomials,
value of f(x)
at c
Let A be a commutative ring with unity, x /∈ A a symbol called
indeterminate. The formal sum f(x) = anxn
+an−1xn−1
+· · · a1x+a0
with the coefficients ai ∈ A, an = 0 or every coefficient zero, n ∈ N is
called a univariate polynomial over A, n, if not all coefficients are
zero, is called the degree of the polynomial denoted by f◦
. If an = 1
then f(x) is called a monic polynomial. Two polynomials are equal
if their respective coefficients coincide. If c ∈ A then, substituting c
in f(x) in place of x, considering the formal operations in f(c) ring as
operations in A, the value f(c) ∈ A is called value of f(x) at c.
Addition and multiplication of polynomials are performed by ap-
plying all the usual properties. It is not hard to see that the structure
obtained is a commutative ring with unity. In formal way we obtain
the following.
Structure
of
polynomials
Let A be a commutative ring with unity. Denote by A[x] the set of
all sequences of elements of A with only finitely many terms nonzero.
Addition and multiplication for any a, b ∈ A[x] are defined as follows:
(a + b)n = an + bn, (ab)n =
n
i=0
aibn−i.
147
CHAPTER 4. ELEMENTARY POLYNOMIAL THEORY
Then (A[x], +, ·) is a commutative ring with unity, moreover, if A is
an integral domain then A[x] is also an integral domain.
ProofFor, let a, b, c ∈ A[x]. Obviously, addition and multiplication are
algebraic operations.
Additive structure is an Abelian group. This is immediate from the
respective properties of the additive structure of A.
Multiplicative structure is associative. On one hand,
((ab)c)n =
n
i=0
(ab)icn−i =
n
i=0
i
j=0
ajbi−jcn−i,
on the other hand
(a(bc))n =
n
i=0
ai(bc)n−i =
n
i=0
n−i
j=0
aibjcn−i−j.
Both expressions obtained coincide with the sum i+j≤n aibjcn−i−j.
Commutativity of multiplication is obvious. The sequence with ze-
roth term 1 and all the other 0 is clearly a unity.
Distributivity. By commutativity it suffices to prove one of the two
properties. We see
y((a + b)c)n =
n
i=0
(a + b)icn−i =
n
i=0
(ai + bi)cn−i =
n
i=0
(aicn−i + bicn−i) =
n
i=0
aicn−i +
n
i=0
bicn−i = (ac)n + (bc)n.
Zero divisor freeness. Let a and b be two not constant zero sequence
with nonzero terms of maximal index an and bm. Then (ab)n+m =
anbm = 0 by zero divisor freeness of A. The proof is complete. Q.E.D.
Notions:
convolution
product,
polynomial
ring
Such a product of sequences is called convolution product . Iden-
tify with a ∈ A the sequence with zeroth term a all the other 0, identify
with x the sequence with first term 1 all the other 0; and so on, with xn
the sequence with nth term 1 all the other 0 and so on. In this manner
the formal sum f(x) = anxn
+ an−1xn−1
+ · · · + a1x + a0 becomes an
expression applying ring operations of A[x], and every sequence in the
set A[x] may be expressed in this form, from now on polynomials are
considered as of form f(x) = anxn
+ an−1xn−1
+ · · · + a1x + a0, the
structure A[x] is called the univariate polynomial ring over the
ring A. We shall assume below that in case of the ring of polynomials
A[x], A is an integral domain.
148
CHAPTER 4. ELEMENTARY POLYNOMIAL THEORY
g(x) = bn(x − y1)(x − y2) · · · (x − yn).
The resultant vanishes if and only if there is a common root of the
polynomials in the field L, moreover, by Viéte’s formulae and the fun-
damental theorem on symmetric functions the resultant is an
mbm
n times
a symmetric function of the roots. Consider xi and yj as indetermi-
nates. If xi = yj a common root then the resultant vanishes identically
hence the resultant is divisible by xi − yj. As the indices i and j are
arbitrary it follows that the resultant is divisible by
S = an
mbm
n
m
i=1
n
j=1
(xi − yj).
As f(x) = am
m
i=1(x − xi), S = (−1)mn
bm
n
n
j=1 f(yj). Consequently
monomials in the polynomial S are of degree n in the ai. Similarly, as
g(x) = b0
n
j=1(x − yj),
S = an
m
m
i=1
g(xi).(∗)
Consequently monomials in the polynomial S are of degree m in the
bj. Since in the summands of the resultant R the degrees are the same
and S divides R, necessarily the polynomials R and S are associates
in the ring K[x, y] hence differ in a nonzero scalar factor. Consider
these as polynomials of b0. By the formula S = an
m
m
i=1 g(xi) and the
determinant for of R we see that both S and R the highest degree m
term in b0 has coefficient +an
m. Therefore R = S. Summing up:
Resultant
in terms of
roots
Let K be a field, f(x), g(x) ∈ K[x] of degrees m and n (m, n ≥
1) with leading coefficients am and bn, respectively. Their resultant
is R = an
mbm
n
m
i=1
n
j=1(xi − yj) where xi and yj are the roots of the
polynomials.
We establish the connection between resultant and discriminant.
Resultant
and
discriminant
Let the polynomial
f(x) = amxm
+ am−1xm−1
+ · · · + a1x + a0
of degree m (m ≥ 2) over the field K have discriminant D, and
let f(x) and its derived function f (x) have resultant R. Then R =
(−1)
m(m−1)
2 amD.
ProofFor, let f(x) have roots x1, x2, . . . , xm in some field L having K
as a subfield. . (This condition may always be satisfied). By (*)
190
4.4. MULTIVARIATE POLYNOMIALS
R(f, f ) = am−1
m
m
i=1 f (xi), and applying the rule of product polyno-
mial derivation
f (x) = am
m
i=1
(x − x1) · · · (x − xi−1)(x − xi+1) · · · (x − xm),
which follows
f (xi) = am(xi − x1) · · · (xi − xi−1)(xi − xi+1) · · · (xi − xm).
We conclude
R(f, f ) = a2m−1
m
i=j
(xi − xj) = (−1)
m(m−1)
2 amD.
Q.E.D.
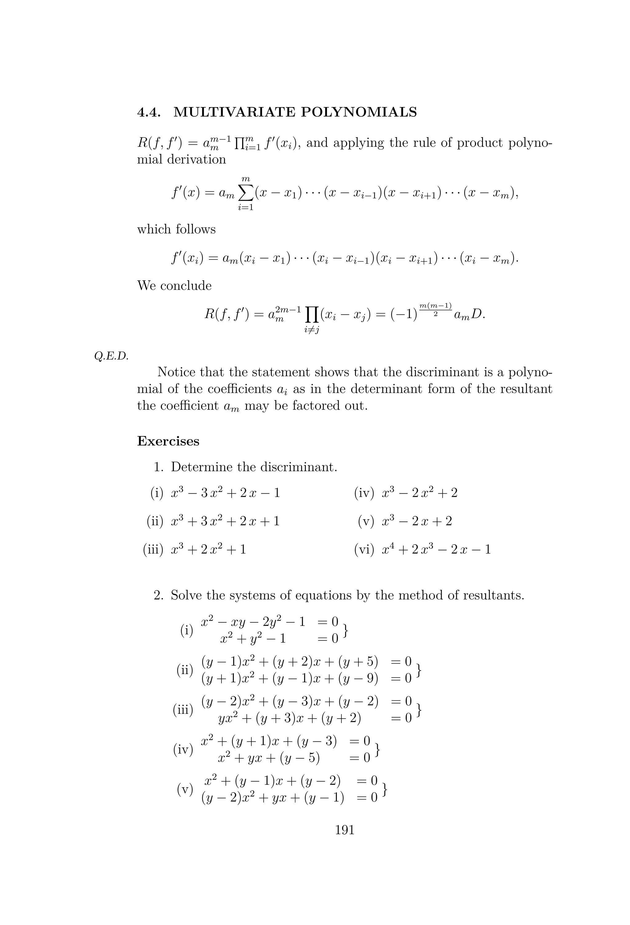
Notice that the statement shows that the discriminant is a polyno-
mial of the coefficients ai as in the determinant form of the resultant
the coefficient am may be factored out.
Exercises
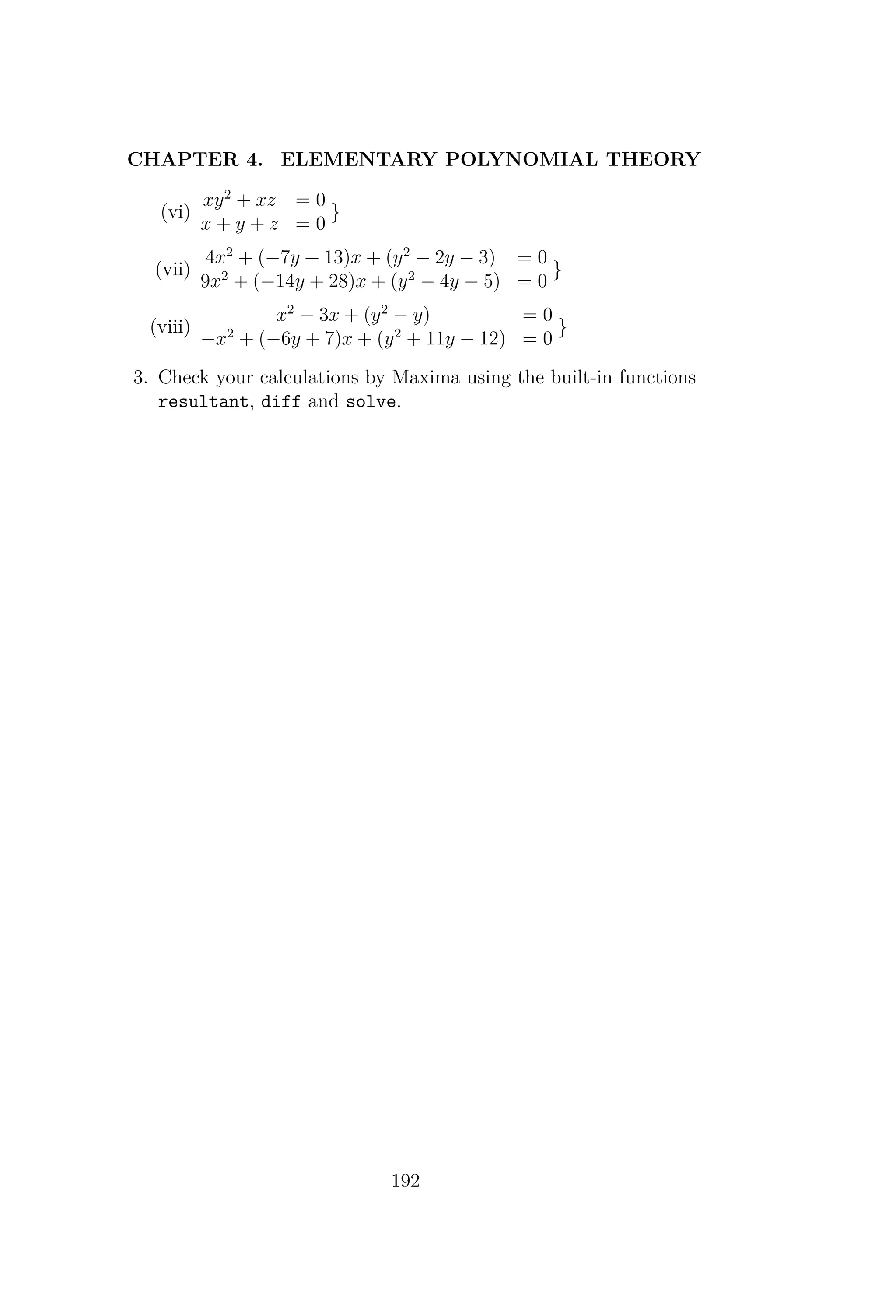
1. Determine the discriminant.
(i) x3
− 3 x2
+ 2 x − 1
(ii) x3
+ 3 x2
+ 2 x + 1
(iii) x3
+ 2 x2
+ 1
(iv) x3
− 2 x2
+ 2
(v) x3
− 2 x + 2
(vi) x4
+ 2 x3
− 2 x − 1
2. Solve the systems of equations by the method of resultants.
(i)
x2
− xy − 2y2
− 1 = 0
x2
+ y2
− 1 = 0
}
(ii)
(y − 1)x2
+ (y + 2)x + (y + 5) = 0
(y + 1)x2
+ (y − 1)x + (y − 9) = 0
}
(iii)
(y − 2)x2
+ (y − 3)x + (y − 2) = 0
yx2
+ (y + 3)x + (y + 2) = 0
}
(iv)
x2
+ (y + 1)x + (y − 3) = 0
x2
+ yx + (y − 5) = 0
}
(v)
x2
+ (y − 1)x + (y − 2) = 0
(y − 2)x2
+ yx + (y − 1) = 0
}
191
CHAPTER 4. ELEMENTARY POLYNOMIAL THEORY
(vi)
xy2
+ xz = 0
x + y + z = 0
}
(vii)
4x2
+ (−7y + 13)x + (y2
− 2y − 3) = 0
9x2
+ (−14y + 28)x + (y2
− 4y − 5) = 0
}
(viii)
x2
− 3x + (y2
− y) = 0
−x2
+ (−6y + 7)x + (y2
+ 11y − 12) = 0
}
3. Check your calculations by Maxima using the built-in functions
resultant, diff and solve.
192
Bibliography
[1] Comprehensive collection of exercises for mathematics.
Tankonyvkiado, Budapest, 1980. in Hungarian, textbook.
[2] G. Chrystal. Algebra – an elementary textbook I. Adam and
Charles Black, London, Edinburgh, 1893.
[3] Sominskii, I.S., Faddeev, D.K. Problems in Higher Algebra. Books
in Mathematics. W.H. Freeman, New York, 1965.
[4] L. Fuchs. Algebra. Tankonyvkiado, Budapest, 1981. in Hungarian,
textbook.
[5] The GAP Group. GAP – Groups, Algorithms, and Programming,
Version 4.7.5, 2014.
[6] I. Reiman, F. Gyapjas. Exercises from elementary mathematics
vol I. Tankonyvkiado, Budapest, 1991. in Hungarian, textbook.
[7] P.R. Halmos. Lectures on Boolean Algebra. Van Nostrand, Prince-
ton, 1963.
[8] J. Kurdics. Algebra basics. Bessenyei Konyvkiado, Nyiregyhaza,
2006. in Hungarian, textbook.
[9] J. Kurdics. Discrete mathematics. Bessenyei Konyvkiado, Nyire-
gyhaza, 2006. in Hungarian, textbook.
[10] J. Kurdics. Algebra I. Bessenyei Konyvkiado, Nyiregyhaza, 2007.
in Hungarian, textbook.
[11] J. Kurdics. Algebra II. Bessenyei Konyvkiado, Nyiregyhaza, 2007.
in Hungarian, textbook.
193
[12] Maxima. Maxima, a computer algebra system. version 5.27.0,
2012.
[13] T. Frey., P. Pachné. Vector and tensor calculus. Muszaki Konyvki-
ado, Budapest, 1970. in Hungarian.
[14] S. Róka. 2000 exercises around elementary mathematics. Typotex,
Budapest, 2000. in Hungarian.
[15] K.H. Rosen et al Handbook of discrete and combinatorial mathe-
matics. CRC Press, Boca Raton, 1999.
[16] V. Scharnitzky. Matrix calculus. Muszaki Konyvkiado, Budapest,
1973. in Hungarian.
[17] G. Szász. Lattice theory. High school booklets. Tankonyvkiado,
Budapest, 1978. in Hungarian.
[18] J. Szendrei. Algebra and number theory. Tankonyvkiado, Bu-
dapest, 1978. in Hungarian, textbook.
[19] B.L. van der Waerden. Algebra I, II. Springer Verlag, New York,
Berlin, Heidelberg, 2003.
194
DEFINITION INDEX
Definition index
A
Abelian group . . . . . . . . . . . . . 14
addition, multiplication of nat-
ural numbers . . . . . . 39
algebraic structure . . . . . . . . . 13
alphabet . . . . . . . . . . . . . . . . . . . 21
angle between two straight lines,
straight line and plane,
two intersecting planes
. . . . . . . 103
argument . . . . . . . . . . . . . . . . . . 65
associate . . . . . . . . . . . . . . . . . 149
associate (integers) . . . . . . . . 69
atom . . . . . . . . . . . . . . . . . . . . . . 29
automorphism of vector space
. . . . . . . 144
B
base . . . . . . . . . . . . . . . . . . . . . . . 54
basis . . . . . . . . . . . . . . . . . . . . . 108
basis (space free vectors) . . 92
bijective function . . . . . . . . . . . 8
binary, n-ary relation . . . . . . . 7
binomial coefficient . . . . . . . . 57
Boolean algebra . . . . . . . . . . . 27
Boolean ideal generated by a sub-
set . . . . . . . . . . . . . . . . . 28
Boolean ideal, trivial ideal, proper
ideal . . . . . . . . . . . . . . . 27
Boolean operation . . . . . . . . . 31
Boolean variables . . . . . . . . . . 31
buffer, negation, operations or,
and, xor, nor, nand, im-
plication, equivalence .
. . . . . . . 32
C
canonical basis . . . . . . 111, 116
clone, functionally complete set
of operations . . . . . . . 32
coefficient . . . . . . . . . . . . . . . . 147
collinear . . . . . . . . . . . . . . . . . . . 91
common root . . . . . . . . . . . . . 176
commutative ring . . . . . . . . . . 25
commutative semi-group . . . 14
commutative, associative, idem-
potent, invertible opera-
tion . . . . . . . . . . . . . . . . 13
complement . . . . . . . . . . . . . . . 27
complement of a set . . . . . . . . 4
complete matrix ring . . . . . 116
complex conjugate . . . . . . . . . 63
complex norm, absolute value .
. . . . . . . 63
complex number . . . . . . . . . . . 63
complex root extraction . . . 66
complex root of unity . . . . . . 67
composition of functions . . . . 9
congruent directed line segments
. . . . . . . 87
conjunctive normal form (c.n.f.)
. . . . . . . 31
convergent rational sequence 50
convolution product . . . . . . 148
coordinate space . . . . . . . . . . 111
coordinates (space free vectors)
. . . . . . . 92
coplanar . . . . . . . . . . . . . . . . . . . 91
crossed product . . . . . . . . . . . . 94
cubic (equation) . . . . . . . . . . 169
cycle, length of a cycle, disjoint
cycles . . . . . . . . . . . . . . 16
D
decimal digit . . . . . . . . . . . . . . 82
195
decimal fraction . . . . . . . . . . . 82
decimal fraction form of real num-
ber . . . . . . . . . . . . . . . . 84
degree (polynomial) . . . . . . 147
degree (weight) of a multivari-
ate polynomial . . . . 181
degree (weight) of the monomial
. . . . . . . 181
derived polynomial . . . . . . . 175
determinant . . . . . . . . . . . . . . 119
diagonal matrix . . . . . . . . . . 115
difference . . . . . . . . . . . . . . . . . . . 4
dimension . . . . . . . . . . . . . . . . 109
dimension (space free vectors)
. . . . . . . 92
direct sum of subspaces . . . 110
directed line segment . . . . . . 87
direction of a ray . . . . . . . . . . 87
direction of a vector . . . . . . . 87
direction vector of a straight line
. . . . . . . 100
discriminant . . . . . . . . . . . . . . 187
disjoint sets . . . . . . . . . . . . . . . . . 4
disjunctive normal form (d.n.f.)
. . . . . . . 31
distance between two sets of points
. . . . . . . 103
distributive lattice . . . . . . . . . 26
distributive, absorptive operation
. . . . . . . 14
dividend (polynomial) . . . . 151
dividend, quotient residue (inte-
gers) . . . . . . . . . . . . . . . 70
divisible . . . . . . . . . . . . . . . . . . 149
divisible (integers) . . . . . . . . . 69
divisor (integers) . . . . . . . . . . 70
divisor (polynomial) . . . . . . 151
domain, range, image of a rela-
tion . . . . . . . . . . . . . . . . . 7
E
element . . . . . . . . . . . . . . . . . . . . . 3
elementary row (column) trans-
formations . . . . . . . . 123
empty set . . . . . . . . . . . . . . . . . . . 3
endpoint . . . . . . . . . . . . . . . . . . 87
epimorphism (linear mapping)
. . . . . . . 138
equality of functions . . . . . . . . 8
equality of polynomials . . . 147
equality of sets, determination
of sets . . . . . . . . . . . . . . 4
equivalence relation, partition-
ing . . . . . . . . . . . . . . . . . . 8
Euclidean algorithm (integers)
. . . . . . . 70
Euclidean algorithm (polynomial)
. . . . . . . 151
Euclidean domain (polynomial)
. . . . . . . 151
Euclidean norm (polynomial) .
. . . . . . . 151
even (odd) permutation . . 119
exponent . . . . . . . . . . . . . . . . . . 54
exponentiation with integer (ra-
tional) exponent . . . 54
exponentiation with natural num-
ber exponent . . . . . . 54
extended alphabet . . . . . . . . . 21
extended matrix . . . . . . . . . . 128
F
factor set . . . . . . . . . . . . . . . . . . . 8
factor space . . . . . . . . . . . . . . 139
factorial . . . . . . . . . . . . . . . . . . . 57
field . . . . . . . . . . . . . . . . . . . . . . . 26
field of complex numbers . . 63
field of quotients field . . . . . . 48
field of rationals, rational num-
bers . . . . . . . . . . . . . . . 48
196
DEFINITION INDEX
field of real numbers, real num-
ber . . . . . . . . . . . . . . . . 52
finite and infinite set . . . . . . . . 9
fractional part . . . . . . . . . . . . . 83
free group . . . . . . . . . . . . . . . . . 21
free semi-group . . . . . . . . . . . . 21
free vector in space . . . . . . . . 87
function or mapping . . . . . . . . 8
G
Gaussian number plane . . . . 65
generating system (space free vec-
tors) . . . . . . . . . . . . . . . 92
generator system . . . . . . . . . 108
greatest common divisor (inte-
gers) . . . . . . . . . . . . . . . 70
greatest common divisor (poly-
nomial) . . . . . . . . . . . 151
group . . . . . . . . . . . . . . . . . . . . . 14
H
homogenous (in-) system of lin-
ear equations . . . . . 127
homomorphism (isomorphism) of
rings (fields) . . . . . . . 48
homomorphism, isomorphism, iso-
morphic Boolean algebras
. . . . . . . 29
I
idempotent matrix . . . . . . . 116
identity mapping . . . . . . . . . . . 8
image of an element . . . . . . . . 7
image of element . . . . . . . . . . . . 8
image space (linear mapping) .
. . . . . . . 138
imaginary part . . . . . . . . . . . . 61
imaginary unit . . . . . . . . . . . . 61
indeterminate . . . . . . . . . . . . 147
initial point . . . . . . . . . . . . . . . 87
injective . . . . . . . . . . . . . . . . . . . . 8
inner product . . . . . . . . . . . . . . 93
integer part . . . . . . . . . . . . . . . 83
integral domain . . . . . . . . . . . . 26
intersection . . . . . . . . . . . . . . . . . 4
inverse element . . . . . . . . . . . . 14
inverse relation . . . . . . . . . . . . . 7
inversion . . . . . . . . . . . . . . . . . 119
irreducible integer . . . . . . . . . 75
irreducible polynomial . . . . 154
isomorphism (linear mapping)
. . . . . . . 138
J
join . . . . . . . . . . . . . . . . . . . . . . . 26
K
kernel space (linear mapping) .
. . . . . . . 138
L
lattice . . . . . . . . . . . . . . . . . . . . . 26
least common multiple (integers)
. . . . . . . 73
letter . . . . . . . . . . . . . . . . . . . . . . 21
limit . . . . . . . . . . . . . . . . . . . . . . 50
linear combination . . . . . . . . 108
linear combination (space free vec-
tors) . . . . . . . . . . . . . . . 92
linear mapping . . . . . . . . . . . 138
linear ordering, complete poset
. . . . . . . 8
linear subspace . . . . . . . . . . . 109
linear transformation . . . . . 140
linear varietiy . . . . . . . . . . . . 127
linearly (in)dependent . . . . 108
linearly dependent (in-) (space
free vectors) . . . . . . . 92
M
magnitude of the free vector 87
main diagonal . . . . . . . . . . . . 115
197
matrix . . . . . . . . . . . . . . . . . . . 113
matrix entry . . . . . . . . . . . . . 113
matrix of basis change . . . . 144
matrix of linear mapping with
respect to bases . . . 143
matrix of linear transformation
with respect to a basis
. . . . . . . 143
matrix product . . . . . . . . . . . 114
matrix unit . . . . . . . . . . . . . . . 116
maximal ideal . . . . . . . . . . . . . 27
maxterm . . . . . . . . . . . . . . . . . . 31
meet . . . . . . . . . . . . . . . . . . . . . . 26
minor (block) matrix . . . . . 113
minterm . . . . . . . . . . . . . . . . . . . 31
mixed product . . . . . . . . . . . . . 96
monic polynomial . . . . . . . . 147
monoid . . . . . . . . . . . . . . . . . . . . 14
monomial matrix . . . . . . . . . 116
monomials in several indetermi-
nates . . . . . . . . . . . . . 181
monomorphism (linear mapping)
. . . . . . . 138
multiple by a scalar of a linear
mapping . . . . . . . . . . 139
multivariate polynomial . . 181
multivariate polynomial ring . .
. . . . . . . 181
N
natural epimorphism (linear map-
ping) . . . . . . . . . . . . . 139
natural number . . . . . . . . . . . . . 3
negative . . . . . . . . . . . . . . . . . . . 25
neutral . . . . . . . . . . . . . . . . . . . . 14
nilpotent matrix . . . . . . . . . . 116
noncompound number . . . . . 75
nonsingular matrix . . . . . . . 134
normal vector of a plane . . 100
null . . . . . . . . . . . . . . . . . . . . . . . 25
O
order of a permutation . . . . 17
ordering of integers . . . . . . . . 44
ordering of natural numbers 40
ordering of rationals . . . . . . . 48
ordering of reals . . . . . . . . . . . 52
origon . . . . . . . . . . . . . . . . . . . . . 87
orthonormal basis (space free vec-
tors) . . . . . . . . . . . . . . . 92
P
partial fraction . . . . . . . . . . . 155
partial ordering, poset . . . . . . 7
Peano’s axioms . . . . . . . . . . . . . 3
period (pre-) . . . . . . . . . . . . . . 82
permutation . . . . . . . . . . . . . . . 15
perpendicular or orthogonal (space
free vectors) . . . . . . . 92
pivot . . . . . . . . . . . . . . . . . . . . . 128
polar form . . . . . . . . . . . . . . . . . 65
polynomial ring . . . . . . . . . . 148
position vector . . . . . . . . . . . . 87
positive and negative integers .
. . . . . . . 44
power . . . . . . . . . . . . . . . . . . . . . 54
power set . . . . . . . . . . . . . . . . . . . 4
prime integer . . . . . . . . . . . . . . 75
prime number . . . . . . . . . . . . . 75
prime polynomial . . . . . . . . . 154
prime power factorization (inte-
gers) . . . . . . . . . . . . . . . 77
prime power factorization (poly-
nomial) . . . . . . . . . . . 155
primitive complex root of unity
. . . . . . . 67
pure (impure) recurring decimal
fraction . . . . . . . . . . . . 82
Q
quadratic (equation) . . . . . . 168
198
DEFINITION INDEX
quartic (equation) . . . . . . . . 173
quotient (polynomial) . . . . 151
R
rank (matrix) . . . . . . . . . . . . 133
rank (nullity) of a linear map-
ping . . . . . . . . . . . . . . 139
rational Cauchy sequence . . 50
real part . . . . . . . . . . . . . . . . . . . 61
reciprocal . . . . . . . . . . . . . . . . . 25
reciprocal equation . . . . . . . 177
recursive definition, inductive proof
. . . . . . . 4
reduced fraction . . . . . . . . . . . 82
reflexive, transitive, symmetric,
antisymmetric relation
. . . . . . . 7
relatively prime integers . . . 72
relatively primes (polynomial)
. . . . . . . 152
residue (polynomial) . . . . . . 151
resultant . . . . . . . . . . . . . . . . . 189
ring . . . . . . . . . . . . . . . . . . . . . . . 25
ring of integers, integer . . . . 44
ring with unity . . . . . . . . . . . . 25
root factor decomposition 160
root of multiplicity k . . . . . 159
root of the algebraic equation .
. . . . . . . 158
root of the polynomial . . . . 158
row (column) matrix . . . . . 113
row (column) of a matrix . 113
row (column) rank . . . . . . . 132
row echelon form . . . . . . . . . 128
S
scalar . . . . . . . . . . . . . . . . . . . . 108
scalar (parametric, canonical) sys-
tem of equations of the
straight line . . . . . . 102
scalar equation (parametric sys-
tem of equations) of the
plane . . . . . . . . . . . . . 102
scalar multiple . . . . . . . 108, 114
semi-group . . . . . . . . . . . . . . . . 14
semi-lattice . . . . . . . . . . . . . . . . 14
set . . . . . . . . . . . . . . . . . . . . . . . . . . 3
set field . . . . . . . . . . . . . . . . . . . 28
set of natural numbers . . . . . . 3
set union . . . . . . . . . . . . . . . . . . . 4
singleton . . . . . . . . . . . . . . . . . . . 3
skew-symmetric matrix . . . 116
standard form . . . . . . . . . . . . . 61
subfield . . . . . . . . . . . . . . . . . . . . 48
subring . . . . . . . . . . . . . . . . . . . . 48
subset, (strict) inclusion . . . . 4
subspace (space free vectors) 92
sum of linear mappings . . . 139
sum of matrices . . . . . . . . . . 114
surjective . . . . . . . . . . . . . . . . . . . 8
symmetric difference . . . . . . . . 4
symmetric group . . . . . . . . . . 15
symmetric matrix . . . . . . . . 116
symmetric polynomial . . . . 184
system of linear equations 127
T
terminating decimal fraction 82
transpose . . . . . . . . . . . . . . . . . 114
transposition . . . . . . . . . . . . . . 17
two-row form of a permutation
. . . . . . . 16
U
unary, binary, n-ary algebraic op-
eration . . . . . . . . . . . . 13
union and intersection of a fam-
ily of sets . . . . . . . . . . . 4
unit group . . . . . . . . . . . . . . . . . 15
unit matrix . . . . . . . . . . . . . . . 115
199
unity . . . . . . . . . . . . . . . . . . . . . . 25
univariate polynomial . . . . 147
univariate rational function field
. . . . . . . 155
universe . . . . . . . . . . . . . . . . . . . . 3
upper (lower) triangular matrix
. . . . . . . 116
V
value of f(x) at c . . . . . . . . . 147
vector . . . . . . . . . . . . . . . . . . . . 108
vector parallel with a straight
line or plane . . . . . . . 91
vector space . . . . . . . . . . . . . . 108
W
word . . . . . . . . . . . . . . . . . . . . . . 21
word of reduced form . . . . . . 21
Z
zero . . . . . . . . . . . . . . . . . . . . . . . 14
zero divisor . . . . . . . . . . . . . . . . 14
zero element and unity of the
lattice . . . . . . . . . . . . . 27
zero matrix . . . . . . . . . . . . . . . 114
zero sequence . . . . . . . . . . . . . . 50
zero vector . . . . . . . . . . . . 87, 108
200
PROPOSITION INDEX
Proposition index
A
Algebraic property of matrix prod-
uct . . . . . . . . . . . . . . . 114
B
Bézout’s theorem . . . . . . . . . 158
Basic properties of divisibility
. . . . . 69, 149
Basic properties of linear map-
pings . . . . . . . . . . . . . 138
Basic properties of matrix rep-
resentation . . . . . . . 143
Basis for free vectors . . . . . . 91
Binomial theorem . . . . . . . . . 57
C
Cardano’s formulae . . . . . . . 170
Cardinality of primes . . . . . . 77
Characterization of multiplicity
k . . . . . . . . . . . . . . . . . 176
Characterization of polynomials
not relatively primes . .
. . . . . . . 188
Characterizations of basis 109
Cofactor expansion . . . . . . . 123
Common root and g.c.d. . . 177
Composition Bracketing . . . . 9
Congruence of directed line seg-
ments . . . . . . . . . . . . . . 87
Conversion from impure to com-
mon decimal . . . . . . . 83
Conversion from pure to com-
mon decimal . . . . . . . 82
Coordinates and transformation
under basis change 145
Corollary to Fundamental theo-
rem of algebra . . . . 167
Corollary to root factor decom-
position . . . . . . . . . . 160
Cramer’s rule . . . . . . . . . . . . 134
Crossed product properties 94
D
D.n.f. and c.n.f . . . . . . . . . . . . 31
Decimal fraction forms of ratio-
nals . . . . . . . . . . . . . . . 83
Determinant properties . . . 120
Direct complement . . . . . . . 110
Disjoint cycle decomposition the-
orem . . . . . . . . . . . . . . 17
Distance of space elements 103
E
Eisenstein’s theorem . . . . . . 163
Equations of space elements . .
. . . . . . . 100
Equivalence and Partitioning 8
Euclidean division . . . . 70, 150
Existence of basis . . . . . . . . 109
Existence of l.c.m. . . . . 73, 152
Extended Euclidean algorithm
. . . . . 71, 152
F
Finest direct decomposition . . .
. . . . . . . 110
Finite Boolean algebras . . . . 29
First theorem on partial fractions
. . . . . . . 156
Free vector operation properties
. . . . . . . 88
Functional completeness . . . 32
Fundamental theorem of algebra
. . . . . . . 167
201
Fundamental theorem of num-
ber theory . . . . . . . . . 76
Fundamental theorem of poly-
nomial theory . . . . 154
Fundamental theorem on sym-
metric polynomials 185
G
G.c.d. and resultant . . . . . . 189
G.c.d. by Euclidean algorithm
. . . . . 70, 151
H
Horner’s scheme . . . . . . . . . . 159
I
Identities of exponentiation 55
Implications of Associativity 15
Implications of Distributivity .
. . . . . . . 25
Inner product properties . . . 93
Invertibility and determinant .
. . . . . . . 134
Invertibility of Functions . . . . 9
K
Known roots of a reciprocal 178
Kronecker–Capelli’s Theorem .
. . . . . . . 133
L
Laws of De Morgan . . . . . . . . 27
Lemma on dependence . . . 108
M
Matrix of product transforma-
tion . . . . . . . . . . . . . . 144
Matrix product and matrix ad-
dition . . . . . . . . . . . . 115
Matrix rank theorem . . . . . 133
Maximal Boolean ideals . . . 28
Mixed product properties . . 96
N
Newton’s formulae I . . . . . . 182
Newton’s formulae II . . . . . 182
Nullity plus rank . . . . . . . . . 139
Number systems . . . . . . . . . . . 79
O
Operations in polar form . . 66
Operations on natural numbers
. . . . . . . 39
P
Polynomial decomposing lemma
. . . . . . . 156
Polynomial theorem . . . . . . . 57
Posets and lattices . . . . . . . . . 26
Prime and irreducible polynomi-
als over a field . . . . 154
Prime and noncompound num-
bers . . . . . . . . . . . . . . . 75
Prime power in factorial . . . 80
Product theorem of determinants
. . . . . . . 124
Properties of absolute value 64
Properties of complex conjuga-
tion . . . . . . . . . . . . . . . . 63
Properties of g.c.d. . . . . 72, 152
Properties of l.c.m. . . . 73, 152
R
Rank and elementary transfor-
mations . . . . . . . . . . 132
Real cubic irreducible case 172
Real cubic positive case . . 171
Real cubic zero case . . . . . . 171
Real decimal fractions . . . . . 84
Reciprocal after eliminating known
root factors . . . . . . . 179
Reciprocal equations and coeffi-
cients . . . . . . . . . . . . . 178
Resultant and discriminant 190
202
PROPOSITION INDEX
Resultant in terms of roots 190
Rolle’s theorem . . . . . . . . . . . 161
Root factor decomposition 160
Roots of a polynomial and its
derived polynomial 175
S
Second theorem on partial frac-
tions . . . . . . . . . . . . . 157
Set fields . . . . . . . . . . . . . . . . . . 28
Skew expansion . . . . . . . . . . 133
Space of linear mappings . 140
Stone’s Theorem . . . . . . . . . . 30
Structure of m×n matrices 114
Structure of a multivariate poly-
nomial ring . . . . . . . 181
Structure of complex numbers
. . . . . . . 62
Structure of integers . . . . . . . 42
Structure of linear transforma-
tions . . . . . . . . . . . . . 140
Structure of polynomials . 147
Structure of quadratic matrices
. . . . . . . 116
Structure of rationals . . . . . . 46
Structure of reals . . . . . . . . . . 51
Structure of symmetric polyno-
mials . . . . . . . . . . . . . 184
T
Theorem on field of quotients .
. . . . . . . 48
Theorem on multiple roots 177
U
Units of A[x] . . . . . . . . . . . . . 149
V
Viéte’s formulae . . . . . . . . . . 162
203
Buy your books fast and straightforward online - at one of the
world’s fastest growing online book stores! Environmentally sound
due to Print-on-Demand technologies.
Buy your books online at
www.get-morebooks.com
Kaufen Sie Ihre Bücher schnell und unkompliziert online – auf einer
der am schnellsten wachsenden Buchhandelsplattformen weltweit!
Dank Print-On-Demand umwelt- und ressourcenschonend produziert.
Bücher schneller online kaufen
www.morebooks.de
OmniScriptum Marketing DEU GmbH
Heinrich-Böcking-Str. 6-8 info@omniscriptum.de
D - 66121 Saarbrücken Telefax: +49 681 93 81 567-9 www.omniscriptum.de
978-3-659-62092-8_sample
978-3-659-62092-8_sample
978-3-659-62092-8_sample

978-3-659-62092-8_sample

  • 6.
    Contents Preface v I Elementarytopics 1 1 Introduction into algebra 3 1.1 Basic notions . . . . . . . . . . . . . . . . . . . . . . . 3 1.1.1 Sets . . . . . . . . . . . . . . . . . . . . . . . . 3 Exercises . . . . . . . . . . . . . . . . . . . . . . 5 1.1.2 Descartes products, relations, functions . . . . . 7 Exercises . . . . . . . . . . . . . . . . . . . . . . 9 1.2 Algebraic operations... . . . . . . . . . . . . . . . . . . 13 1.2.1 Algebraic operations . . . . . . . . . . . . . . . 13 Exercises . . . . . . . . . . . . . . . . . . . . . . 23 1.2.2 Rings and lattices . . . . . . . . . . . . . . . . . 25 Exercises . . . . . . . . . . . . . . . . . . . . . . 33 2 Number concept 39 2.1 Natural and whole numbers . . . . . . . . . . . . . . . 39 2.1.1 Natural numbers . . . . . . . . . . . . . . . . . 39 Exercises . . . . . . . . . . . . . . . . . . . . . . 40 2.1.2 Whole numbers . . . . . . . . . . . . . . . . . . 42 Exercises . . . . . . . . . . . . . . . . . . . . . . 44 2.2 Rational and real numbers . . . . . . . . . . . . . . . . 46 2.2.1 Rational numbers . . . . . . . . . . . . . . . . . 46 Exercises . . . . . . . . . . . . . . . . . . . . . . 48 2.2.2 Real numbers . . . . . . . . . . . . . . . . . . . 50 Exercises . . . . . . . . . . . . . . . . . . . . . . 53 2.2.3 Algebraic identities . . . . . . . . . . . . . . . . 54 Exercises . . . . . . . . . . . . . . . . . . . . . . 58 i
  • 7.
    CONTENTS 2.3 Complex numbers. . . . . . . . . . . . . . . . . . . . . 61 2.3.1 Standard form . . . . . . . . . . . . . . . . . . . 61 Exercises . . . . . . . . . . . . . . . . . . . . . . 64 2.3.2 Polar form . . . . . . . . . . . . . . . . . . . . . 65 Exercises . . . . . . . . . . . . . . . . . . . . . . 67 2.4 Divisibility of integers . . . . . . . . . . . . . . . . . . 68 2.4.1 Euclidean division . . . . . . . . . . . . . . . . 68 Exercises . . . . . . . . . . . . . . . . . . . . . . 74 2.4.2 Unique factorization . . . . . . . . . . . . . . . 75 Exercises . . . . . . . . . . . . . . . . . . . . . . 77 2.4.3 Number systems . . . . . . . . . . . . . . . . . 79 Exercises . . . . . . . . . . . . . . . . . . . . . . 80 2.4.4 Decimal fractions . . . . . . . . . . . . . . . . . 81 Exercises . . . . . . . . . . . . . . . . . . . . . . 85 3 Elementary linear algebra 87 3.1 Free vectors . . . . . . . . . . . . . . . . . . . . . . . . 87 3.1.1 Space free vectors and their operations . . . . . 87 Exercises . . . . . . . . . . . . . . . . . . . . . . 96 3.1.2 Coordinate geometry . . . . . . . . . . . . . . . 100 Exercises . . . . . . . . . . . . . . . . . . . . . . 105 3.2 Vector spaces . . . . . . . . . . . . . . . . . . . . . . . 108 3.2.1 Basis, dimension . . . . . . . . . . . . . . . . . 108 3.2.2 Direct sum . . . . . . . . . . . . . . . . . . . . . 110 Exercises . . . . . . . . . . . . . . . . . . . . . . 111 3.3 Matrices . . . . . . . . . . . . . . . . . . . . . . . . . . 113 3.3.1 Matrix operations . . . . . . . . . . . . . . . . . 113 Exercises . . . . . . . . . . . . . . . . . . . . . . 116 3.3.2 Matrix determinant . . . . . . . . . . . . . . . . 119 Exercises . . . . . . . . . . . . . . . . . . . . . . 125 3.4 Gaussian elimination, rank of a matrix . . . . . . . . . 127 3.4.1 System of linear equations . . . . . . . . . . . . 127 Exercises . . . . . . . . . . . . . . . . . . . . . . 130 3.4.2 Rank and invertibility . . . . . . . . . . . . . . 132 Exercises . . . . . . . . . . . . . . . . . . . . . . 135 3.5 Linear mappings . . . . . . . . . . . . . . . . . . . . . 138 3.5.1 Structure of linear mappings . . . . . . . . . . . 138 Exercises . . . . . . . . . . . . . . . . . . . . . . 141 3.5.2 Matrix representation . . . . . . . . . . . . . . . 143 Exercises . . . . . . . . . . . . . . . . . . . . . . 145 ii
  • 8.
    CONTENTS 4 Elementary polynomialtheory 147 4.1 Ring of polynomials . . . . . . . . . . . . . . . . . . . . 147 4.1.1 The integral domain A[x] . . . . . . . . . . . . . 147 Exercises . . . . . . . . . . . . . . . . . . . . . . 153 4.1.2 Unique factorization . . . . . . . . . . . . . . . 154 Exercises . . . . . . . . . . . . . . . . . . . . . . 155 4.1.3 Partial fraction decomposition . . . . . . . . . . 155 Exercises . . . . . . . . . . . . . . . . . . . . . . 158 4.2 Roots of polynomials . . . . . . . . . . . . . . . . . . . 158 4.2.1 Algebraic equations . . . . . . . . . . . . . . . . 158 Exercises . . . . . . . . . . . . . . . . . . . . . . 163 4.2.2 Fundamental theorem of algebra . . . . . . . . . 167 4.3 Solution to the quadratic... . . . . . . . . . . . . . . . . 168 4.3.1 Solution to the quadratic . . . . . . . . . . . . . 168 4.3.2 Solution to the cubic . . . . . . . . . . . . . . . 169 Exercises . . . . . . . . . . . . . . . . . . . . . . 172 4.3.3 Solution to the quartic . . . . . . . . . . . . . . 173 Exercises . . . . . . . . . . . . . . . . . . . . . . 174 4.3.4 Special equations of higher degree . . . . . . . . 175 Exercises . . . . . . . . . . . . . . . . . . . . . . 179 4.4 Multivariate polynomials . . . . . . . . . . . . . . . . . 181 4.4.1 Polynomial ring of several indeterminates . . . . 181 Exercises . . . . . . . . . . . . . . . . . . . . . . 183 4.4.2 Fundamental theorem of symmetric polynomials 184 Exercises . . . . . . . . . . . . . . . . . . . . . . 187 4.4.3 Resultant and discriminant . . . . . . . . . . . . 188 Exercises . . . . . . . . . . . . . . . . . . . . . . 191 Bibliography . . . . . . . . . . . . . 193 Definition index . . . . . . . . . . . . . . . . . . . . . . . . . 195 Proposition index . . . . . . . . . . . . . . . . . . . . . . . . 201 iii
  • 9.
  • 10.
    Preface We consider mathematicsas the tool kit of sciences from the practi- cal side, and also a standalone discipline. Sciences acquire raw data by observation from which conclusions are drawn by their own method- ology, based on mathematics, and these conclusions, may as well be called nature laws, are used for certain purposes, such as production of something precious by procedures also governed by mathematics. Be- sides applications it has also value per se, the courage to attack difficult problems of human thinking. The quest for truth is performed by form- ing precise concepts, statement of precise attributes of those concepts, and establishing the statements by reasoning adherent strictly to logic. We attempt to exhibit this to the student of mathematics, hopefully with more success than failure. Counting the rise of modern algebra from Leonard Euler, numer- ous algebra books were written in numerous languages in the faith that knowledge they acquired overcoming difficulties will be of use for generations to come. However, sciences evolve in a rapid manner and pages get dull. The content of pages to follow this preface has been put down many times in several books in many ways, we still hope that despite this, content will be of use for many students of algebra for at least some decades to access knowledge not only in these pages but in other books as well with more advanced or specialized topics with more obscure essence. To be brief, this book is aimed at mathematics or physics bachelor majors. Although almost the whole matter may be used by IT bache- lor majors while some parts may fit rather an IT master course. Two CAS’s are used throughout the book, namely Maxima and GAP, ex- ample scripts are included for reading together with exercises to write scripts, forming an inherent part of the matter. For the future program- mer more programming exercises are appropriate, and are welcome as proposals, if there is interest at IT people, may be included in a later v
  • 11.
    edition. Anyway, wedid not have an IT student in mind while algo- rithmic approach is applied at several points in the matter. For other science disciplines a restricted use may occur. If not a future specialist, with time some parts of the material may get obscured. Training of the reader’s talent should remain as a valuable asset after algebra or introductory mathematics course we hope. Mathematics is one of the most profitable subjects to pursue from many aspects. Holding a degree in mathematics or physics is a great asset in job seeking indisputably. Moreover, she is taught to science, economics and IT students, who, possibly unconsciously, utilize her at least indirectly in solving problems of their own professions at every day of their career. Understanding her concepts and statements one communicates with the greatest minds of the millennia past and to come as her results were accumulated since the dawn of mankind and will be utilized until the fall of human thinking. Mathematics was and will remain the main impetus behind advancement. This is the first part of a set planned two volume, dealing with elementary topics. We wish to provide continuity in learning for the freshman. After a thorough secondary mathematics study it is hard to grasp why further. Usefulness of material is to be emphasized as hardships are enormous due to great number of involved concepts and elaborate procedures. This is incompatible with the labelling at first glance. A sound elementary mathematics routine is expected from secondary school, here the label ’elementary’ refers to secondary. In the label ’elementary’ of the first part refers to bachelor level which is the base of master and doctorate levels, in our viewpoint subject matter of the first part acts as an intermediary to more advanced levels. This division is somewhat mannered considering unity of the discipline, which is rarely untangled as vastness of discipline prevails. This vastness comes forward already in the first part as at certain points it is almost impossible to keep linearity of subject matter as one may not eschew reference to a later section or advancement of a definition at an early stage not fitting to the present context. Therefore repetitions may befall but only occasionally. An emphasis has been put on exercises. In this case there is allure- ment to be lazy with core matter to give forth non-rigorous definitions and sketchy proofs. How great are the odds in favour of being practi- cal, we endure throughout the text by giving forth exact content un- dertaking complexity if unavoidable. These exercises come from many sources, mainly from personal course matters ranging from the triv- vi
  • 12.
    ial to thealmost inextricable without a hint. We did not keep order of difficulty but the inextricable type is rare, almost every exercise is within reach of the student. Answers are absent because of the limi- tation in extent, it is planned that readers provide solutions through the website of the book encouraging communication between readers, providing means to even submitting new exercise proposals to include in later edition. What is included is standard material, perhaps more detailed at cer- tain points than usual. The book encompasses courses of more terms with various labels at institutions. As scope may vary additional ma- terial is possibly needed, although an attempt has been made to be as self-contained as possible. Maybe it is superfluous to give instructions for use here as the in- structor or the learner should decide the pace, what to skip or perhaps what supplement to include live at a lecture or seminar. The order of the material is bound as notions and assertions are used at later stages frequently, interconnections form such a thick web that it is almost im- possible to change order of chapters without harm to consistency. The attribute ’almost’ appears since with proper caution some re-ordering may be implemented. János Kurdics vii
  • 13.
  • 14.
  • 16.
    Chapter 1 Introduction intoalgebra 1.1 Basic notions 1.1.1 Sets The most basic conceptNotions: set, universe, empty set, singleton, element of mathematics is that of the set, which intuitively means an aggregate of things. Below we are going to discuss the so called naïve set theory, a rigorous substantiation belongs to the scope of mathematical logic. One begins with the set universe, including all things examined. If A is a set then it has an element a (notation a ∈ A) unless it is the empty set (notation ∅) for which there is not any object a with a ∈ A. A set with a single element is called a singleton. Of a set it is assumed that for every object a one can determine whether a ∈ A or a /∈ A, the latter meaning that a is not an element of the set. It also assumed that among the elements of the universe there are not any sets. In mathematics researchNotions: set of natural numbers, natural number, Peano’s axioms usually the universe or a part of the uni- verse is the set of natural numbers, existence of which is supposed (notation N). Elements of this set are the natural numbers, and the so called Peano’s axioms hold: 1. there exists an element called zero of the set N of natural numbers (notation 0); 2. for any natural number a there exists a natural number a called the consecutive of a, satisfying the following properties: 3. distinct natural numbers have distinct consecutives; 3
  • 17.
    CHAPTER 1. INTRODUCTIONINTO ALGEBRA 4. there does not exist a natural number with consecutive zero; 5. (axiom of mathematical induction) if A is a set consisting of natu- ral numbers, the set A contains zero and with each of its elements the set A contains its consecutive then the sets A and N shall coincide. Usual denominations and notations: 0’=1 one, 1’=2 two, 2’=3 three and so on. The key to the method of recursive definition Notions: recursive definition, inductive proof is the last axiom of Peano. Notions or elements involving a natural number parameter are determined for any natural number by defining the one belonging to zero, and then, assuming we have already known the one belonging to some natural number n, by defining the notion or element belonging to natural number n . The key to the method of inductive proof is, as well, the last axiom of Peano. An assertion depending on a natural number as a parameter is proved for any natural number by showing the one belonging to zero, and then, assuming the truth of the one belonging to some natural number n, by showing that the assertion belonging to natural number n follows. The power set of a set B Notions: subset, (strict) inclusion, power set, , equality of sets, determination of sets (notation P(B)) is also a set, consisting of all the subsets A of the set B, that is, all such sets A, every element of which is an element of the set B (notation A ⊆ B„ we also say that the set B includes the set A). Two sets A and B are equal if mutually includes the other (notation A = B). The set A is strictly contained in or a proper subset of the set B if B includes A but they are not equal (notation A ⊂ B). One can determine the set A by enumeration such as A = {a1, a2, a3, a4}, or by specification by virtue of a property P among the elements of the set B such as A = {a ∈ B|P(a)}, meaning that from the elements of the set B exactly those elements form the set A that satisfy the property P. Consider now set operations Notions: set union, intersection, difference, disjoint sets, complement of a set, symmetric difference, union and intersection of a family of sets (the exact concept of algebraic op- erations and their properties will be considered below). Let A and B sets. Their union, A ∪ B is the set containg exactly those elements which are elements of the set A or elements of the set B. Their inter- section, A ∩ B is the set containg exactly those elements which are elements of the set A and elements of the set B. Their difference, A B is the set containg exactly those elements which are elements of the set A but not elements of the set B. If the intersection of two sets is the empty set then we say that the sets are disjoint. If the set A is included in the set B then the complement of A with reference to the 4
  • 18.
    Chapter 2 Introduction ofnumber concept 2.1 Natural and whole numbers 2.1.1 Natural numbers Notions: addition, multiplication Recall that in 1.1.1 Peano’s axioms were used to define the no- tions of natural numbers and the set of natural numbers. Operations addition and multiplication of natural numbers are defined by recursion for an arbitrary natural number a ∈ N in the following man- ner: let a + 0 = a, a · 0 = 0, for an arbitrary natural number b ∈ N let a + b = (a + b) and ab = ab + a, where a is called the consecutive of a. Method of proving the next theorem is induction. Operations on natural numbers (i) (N, +) is a commutative monoid and every element can be can- celled; (ii) (N, ·) is a commutative monoid and every nonzero element can be cancelled; (iii) multiplication is distributive with respect to addition. Proof Let a, b and c natural numbers. (i) Associativity. Clearly, (a+b)+0 = a+b = a+(b+0), and assume (a + b) + c = a + (b + c). Then by applying definition and inductive assumption, (a + b) + c = ((a + b) + c) = a + (b + c) = a + (b + c ). 39
  • 19.
    CHAPTER 2. NUMBERCONCEPT Neutral element. According to definition, a + 0 = a holds. Clearly, 0 + 0 = 0, and suppose 0 + a = a. Then 0 + a = (0 + a) = a . Commutativity. As 0 is the neutral element, a + 0 = 0 + a, and assume a + b = b + a. Then a + b = (a + b) = (b + a) = b + a , and it suffices to show b + a = b + a, by induction again. We have b + 0 = (b + 0) = b = b + 0, and assume b + a = b + a. Then b + a = (b + a ) = (b + a) = b + a . Cancellation. By commutativity it suffices to show right cancella- tion. As 0 is the neutral element, a + 0 = b + 0 implies a = b. Suppose a + c = b + c implies a = b. Let a + c = b + c ; then (a + c) = (b + c) , and because consecutivity is injective, we have a + c = b + c, which follows a = b by induction. To establish statement (ii) one applies similar inductive arguments. Distributivity is easy to prove: a(b + 0) = ab = ab + 0 = ab + a0 holds, and suppose a(b + c) = ab + ac. It follows a(b + c ) = a(b + c) = a(b + c) + a = (ab + ac) + a = ab + (ac + a) = ab + ac . Commutativity of multiplication follows (a + b)c = ac + bc. Q.E.D. Notion: ordering of natural numbers We say that the natural number a is less than or equal to the natural number b if for some natural number c, b = a+c holds, notation: a ≤ b, and of sharp inequality, a < b. This is a linear ordering on N, and any nonempty subset of N contains an infimum, which is 0 for the whole N. Exercises 1. Prove that multiplication of natural numbers is associative. 2. Prove that 0 is a neutral element with respect to multiplication of natural numbers. 3. Prove that multiplication of natural numbers is commutative. 4. Prove that multiplication of nonzero natural numbers is cancella- tive. 5. Prove that (usual) ordering of natural numbers is a linear order with minimal element 0. 6. Prove that every nonempty subset of natural numbers contains an infimum. 7. Show 1 + 3 + 5 + · · · + (2n − 1) = n2 (n ∈ N+ ). 40
  • 20.
    Chapter 3 Elementary linearalgebra 3.1 Free vectors 3.1.1 Space free vectors and their operations Notions: direction of a ray, directed line segment , initial point, endpoint, congruent directed line segments Two rays of the (classical sense) euclidean space are said to have the same direction if either coincide or are parallel and are contained in the same half-plane determined by the straight line connecting the initial points. Clearly, this is an equivalence relation on the set of rays of the space. Ordered pairs of points of the space are called directed line segments, the first term of the pair is called the initial point, the second term the endpoint. The directed line segments (A, B), (C, D) are called congruent if either A = B and C = D, or the lengths AB = CD, and the rays −→ AB and −−→ CD have the same direction. Congruence of directed line segments We see readily the next assertion. Congruence of directed line segments of the space is an equivalence relation. Notions: free vector in space, origon, magnitude of the free vector, zero vector, direction of a vector, position vector An equivalence class of congruent directed line segments in space is called a (space) free vector, notation AB for the class represented by the directed line segment (A, B), or frequently a for the the class rep- resented by the directed line segment (O, B), where O is a fixed point in space often referred to as the origon. Let the set of all space free vectors be denoted by V. The free vector represented by the directed line segment (A, A) for some (and any) point A in space is called the zero vector denoted by o. Length AB of the line segment AB is called the magnitude of the free vector AB, notation |AB|. Direction of 87
  • 21.
    CHAPTER 3. ELEMENTARYLINEAR ALGEBRA the ray −→ AB is called the direction of the nonzero free vector AB. To the zero vector we do not assign a direction, or sometimes we say that its direction is arbitrary. Magnitude and direction is clearly inde- pendent of choice of representative. We hence may also say that two free vectors equal if their magnitudes and directions coincide. We see that a free vector may be represented by a directed line segment with arbitrary initial point, hence free, and after fixing the initial point, the endpoint is unique. In geometry it is often useful to fix a space point origon O and then identify a point A of space with the free vector a = OA often called a position vector. Sum of two space free vectors a and b is determined as follows. Represent the free vectors such that the endpoint a coincide with the initial point of b i.e. a = AB and b = BC. Then let a + b = AC. Let λ ∈ R be nonnegative, AB a free vector. Scalar multiple of the free vector AB by λ ≥ 0 is the free vector λAB = AC such that C lies on the ray −→ AB and has magnitude |AC| = λ|AB|. Let λ ∈ R be negative, AB a free vector. Scalar multiple of the free vector AB by λ < 0 is the free vector λAB = AC such that C lies on the opposite ray of −→ AB and has magnitude |AC| = |λ| · |AB|. Free vector operation properties (i) (V, +) is an Abelian group; (ii) for any λ ∈ R and a, b ∈ V, λ(a + b) = λa + λb; (iii) for any λ, μ ∈ R and a ∈ V, (λ + μ)a = λa + μa; (iv) for any λ, μ ∈ R and a ∈ V, (λμ)a = λ(μa); (v) for any a ∈ V, 1a = a és 0a = o. Proof(i) Addition is well-defined. Let a = AB = DE and b = BC = EF. We have to show AC = DF. If A = B or B = C or C = A then it is obvious. In the contrary case the lengths of the directed line segments (A, B) and (D, E) coincide and the rays −→ AB and −−→ DE have the same direction, and also the lengths of the directed line segments (B, C) and (E, F) coincide and the rays −−→ BC and −→ EF have the same direction. Consequently, the triangles ABC and DEF are congruent, their 88
  • 22.
    3.1. FREE VECTORS (ii)b = p + q and p is parallel to c (iii) c = p + q and p is parallel to d (iv) d = p + q and p is parallel to e (v) e = p + q and p is parallel to f (vi) f = p + q and p is parallel to a 22. Check validity of the cosine theorem for the angle at vertex with position vector (i) a in the triangle with other vertices with position vectors b and c (ii) a in the triangle with other vertices with position vectors b and d (iii) a in the triangle with other vertices with position vectors d and e (iv) b in the triangle with other vertices with position vectors c and d (v) b in the triangle with other vertices with position vectors c and e (vi) b in the triangle with other vertices with position vectors c and f. 23. Determine the area of the parallelogram spanned by the vectors (i) a and b; (ii) b and e; (iii) c and d; (iv) a and f; (v) c and e; (vi) b and f. 24. Determine the volume of the tetrahedron spanned by the vectors (i) a, b and d; (ii) b, c and e; (iii) c, d and f; (iv) a, e and f; (v) c, d and e; (vi) b, e and f. 25. Check your computations by Maxima. For instance, the compu- tations (vii) and (ix): load(vect); d:[-2,3,1]; e:[1,2,-2]; f:[1,-1,1]; d . ((-2)*e+3*f); a:[1,-1,2]; express(express(f~e)~a); 26. Furnish a Maxima function for mixed product. 99
  • 23.
    CHAPTER 3. ELEMENTARYLINEAR ALGEBRA 3.1.2 Coordinate geometry Notions: normal vector of a plane, direction vector of a straight line For coordinate geometry considerations fix an origon O and identify space points A with position vectors OA = a. In this respect we may consider vectorial equations of space elements. Normal vector of a plane is a nonzero free vector perpendicular to the plane, Direction vector of a straight line is a non-zero vector parallel with the straight line. Equations of space elements (i) Let the plane be given by its point A with position vector a = OA and by its normal vector n, let an arbitrary point P of the plane have position vector p = OP. Then the normal vectorial equation of the plane is n(p − a) = 0. (ii) Let the plane be given by its point A with position vector a = OA and by two linearly independent vectors u and v parallel to the plane, and let an arbitrary point P of the plane have position vector p = OP. Then the parametric equation of the plane is p = a + ru + sv (r, s ∈ R). (iii) Let the straight line be given as the intersection line of two inter- secting planes. Let an arbitrary point P of the plane have position vector p = OP, then the system of equations of the straight line is n(p − a) = 0 n (p − a ) = 0, where the equations are normal equations of the two intersecting planes. (iv) Let the straight line be given by its point A with position vector a = OA and by its direction vector u. Let an arbitrary point P of the plane have position vector p = OP, then the direction vectorial equation of the straight line is p = a + ru, where r ∈ R. Proof(i) The inner product n(p − a) vanishes if and only if p − a is perpendicular to n, which holds if and only if p − a is parallel with the plane i.e. p is the position vector for some point lying on the plane. (ii) The vector ru + sv is parallel to the plane hence a + ru + sv is the 100
  • 24.
    3.1. FREE VECTORS O A P x n O x A u v Px positionvector for some point lying on the plane. If p is the position vector for some point lying on the plane then p − a is parallel to the plane hence is a linear combination of the linearly independent vectors u and v. (iii) Both normal equations are satisfied by position vectors leading to points of the intersection line and only by those. A P x x u (iv) As a is the position vector of a point of the line and ru is parallel with the line, a + tu is the position vector of a point lying on the line. If p is the position vector of a point lying on the line then 101
  • 25.
    CHAPTER 3. ELEMENTARYLINEAR ALGEBRA p−a is parallel to the line and hence is a scalar multiple of the direction vector u. Q.E.D. Fix an orthonormal basis {ei}i=1,2,3, and identify points of the space with triples of coordinates of their position vectors. Notions: scalar equation (parametric system of equations) of the plane, scalar (parametric, canonical) system of equations of the straight line Consider normal vector equation n(p − a) = 0 of the plane, and let n = n1e1 + n2e2 + n3e3, p = xe1 + ye2 + ze3, a = a1e1 + a2e2 + a3e3. Then 0 = n(p−a) = (n1e1 +n2e2 +n3e3)((x−a1)e1 +(y−a2)e2 +(z−a3)e3) = n1x + n2y + n3z − (n1a1 + n2a2 + n3a3) i.e. scalar equation of the plane is n1x+n2y +n3z −(n1a1 +n2a2 + n3a3) = 0. Consider parametric equation p = a + ru + sv of the plane, and let u = u1e1 +u2e2 +u3e3, v = v1e1 +v2e2 +v3e3, p = xe1 +ye2 +ze3, a = a1e1 + a2e2 + a3e3. Then xe1+ye2+ze3 = (a1+ru1+sv1)e1+(a2+ru2+sv2)e2+(a3+ru3+sv3)e3 which gives, by uniqueness of coordinates, parametric system of equations of the plane: x = a1 + ru1 + sv1 y = a2 + ru2 + sv2 z = a3 + ru3 + sv3. Scalar system of equations of the straight line has form n1x + n2y + n3z − (n1a1 + n2a2 + n3a3) = 0 n1x + n2y + n3z − (n1a1 + n2a2 + n3a3) = 0. Consider direction vector equation p = a + ru of the straight line, and let u = u1e1 + u2e2 + u3e3, p = xe1 + ye2 + ze3, a = a1e1 + a2e2 + a3e3. Then xe1 + ye2 + ze3 = (a1 + ru1)e1 + (a2 + ru2)e2 + (a3 + ru3)e3 which gives, by uniqueness of coordinates, parametric system of equations of the straight line: x = a1 + ru1 y = a2 + ru2 z = a3 + ru3. 102
  • 26.
    Chapter 4 Elementary polynomial theory 4.1Ring of polynomials 4.1.1 The integral domain A[x] Notions: indeterminate, coefficient, univariate polynomial, degree, monic polynomial, equality of polynomials, value of f(x) at c Let A be a commutative ring with unity, x /∈ A a symbol called indeterminate. The formal sum f(x) = anxn +an−1xn−1 +· · · a1x+a0 with the coefficients ai ∈ A, an = 0 or every coefficient zero, n ∈ N is called a univariate polynomial over A, n, if not all coefficients are zero, is called the degree of the polynomial denoted by f◦ . If an = 1 then f(x) is called a monic polynomial. Two polynomials are equal if their respective coefficients coincide. If c ∈ A then, substituting c in f(x) in place of x, considering the formal operations in f(c) ring as operations in A, the value f(c) ∈ A is called value of f(x) at c. Addition and multiplication of polynomials are performed by ap- plying all the usual properties. It is not hard to see that the structure obtained is a commutative ring with unity. In formal way we obtain the following. Structure of polynomials Let A be a commutative ring with unity. Denote by A[x] the set of all sequences of elements of A with only finitely many terms nonzero. Addition and multiplication for any a, b ∈ A[x] are defined as follows: (a + b)n = an + bn, (ab)n = n i=0 aibn−i. 147
  • 27.
    CHAPTER 4. ELEMENTARYPOLYNOMIAL THEORY Then (A[x], +, ·) is a commutative ring with unity, moreover, if A is an integral domain then A[x] is also an integral domain. ProofFor, let a, b, c ∈ A[x]. Obviously, addition and multiplication are algebraic operations. Additive structure is an Abelian group. This is immediate from the respective properties of the additive structure of A. Multiplicative structure is associative. On one hand, ((ab)c)n = n i=0 (ab)icn−i = n i=0 i j=0 ajbi−jcn−i, on the other hand (a(bc))n = n i=0 ai(bc)n−i = n i=0 n−i j=0 aibjcn−i−j. Both expressions obtained coincide with the sum i+j≤n aibjcn−i−j. Commutativity of multiplication is obvious. The sequence with ze- roth term 1 and all the other 0 is clearly a unity. Distributivity. By commutativity it suffices to prove one of the two properties. We see y((a + b)c)n = n i=0 (a + b)icn−i = n i=0 (ai + bi)cn−i = n i=0 (aicn−i + bicn−i) = n i=0 aicn−i + n i=0 bicn−i = (ac)n + (bc)n. Zero divisor freeness. Let a and b be two not constant zero sequence with nonzero terms of maximal index an and bm. Then (ab)n+m = anbm = 0 by zero divisor freeness of A. The proof is complete. Q.E.D. Notions: convolution product, polynomial ring Such a product of sequences is called convolution product . Iden- tify with a ∈ A the sequence with zeroth term a all the other 0, identify with x the sequence with first term 1 all the other 0; and so on, with xn the sequence with nth term 1 all the other 0 and so on. In this manner the formal sum f(x) = anxn + an−1xn−1 + · · · + a1x + a0 becomes an expression applying ring operations of A[x], and every sequence in the set A[x] may be expressed in this form, from now on polynomials are considered as of form f(x) = anxn + an−1xn−1 + · · · + a1x + a0, the structure A[x] is called the univariate polynomial ring over the ring A. We shall assume below that in case of the ring of polynomials A[x], A is an integral domain. 148
  • 28.
    CHAPTER 4. ELEMENTARYPOLYNOMIAL THEORY g(x) = bn(x − y1)(x − y2) · · · (x − yn). The resultant vanishes if and only if there is a common root of the polynomials in the field L, moreover, by Viéte’s formulae and the fun- damental theorem on symmetric functions the resultant is an mbm n times a symmetric function of the roots. Consider xi and yj as indetermi- nates. If xi = yj a common root then the resultant vanishes identically hence the resultant is divisible by xi − yj. As the indices i and j are arbitrary it follows that the resultant is divisible by S = an mbm n m i=1 n j=1 (xi − yj). As f(x) = am m i=1(x − xi), S = (−1)mn bm n n j=1 f(yj). Consequently monomials in the polynomial S are of degree n in the ai. Similarly, as g(x) = b0 n j=1(x − yj), S = an m m i=1 g(xi).(∗) Consequently monomials in the polynomial S are of degree m in the bj. Since in the summands of the resultant R the degrees are the same and S divides R, necessarily the polynomials R and S are associates in the ring K[x, y] hence differ in a nonzero scalar factor. Consider these as polynomials of b0. By the formula S = an m m i=1 g(xi) and the determinant for of R we see that both S and R the highest degree m term in b0 has coefficient +an m. Therefore R = S. Summing up: Resultant in terms of roots Let K be a field, f(x), g(x) ∈ K[x] of degrees m and n (m, n ≥ 1) with leading coefficients am and bn, respectively. Their resultant is R = an mbm n m i=1 n j=1(xi − yj) where xi and yj are the roots of the polynomials. We establish the connection between resultant and discriminant. Resultant and discriminant Let the polynomial f(x) = amxm + am−1xm−1 + · · · + a1x + a0 of degree m (m ≥ 2) over the field K have discriminant D, and let f(x) and its derived function f (x) have resultant R. Then R = (−1) m(m−1) 2 amD. ProofFor, let f(x) have roots x1, x2, . . . , xm in some field L having K as a subfield. . (This condition may always be satisfied). By (*) 190
  • 29.
    4.4. MULTIVARIATE POLYNOMIALS R(f,f ) = am−1 m m i=1 f (xi), and applying the rule of product polyno- mial derivation f (x) = am m i=1 (x − x1) · · · (x − xi−1)(x − xi+1) · · · (x − xm), which follows f (xi) = am(xi − x1) · · · (xi − xi−1)(xi − xi+1) · · · (xi − xm). We conclude R(f, f ) = a2m−1 m i=j (xi − xj) = (−1) m(m−1) 2 amD. Q.E.D. Notice that the statement shows that the discriminant is a polyno- mial of the coefficients ai as in the determinant form of the resultant the coefficient am may be factored out. Exercises 1. Determine the discriminant. (i) x3 − 3 x2 + 2 x − 1 (ii) x3 + 3 x2 + 2 x + 1 (iii) x3 + 2 x2 + 1 (iv) x3 − 2 x2 + 2 (v) x3 − 2 x + 2 (vi) x4 + 2 x3 − 2 x − 1 2. Solve the systems of equations by the method of resultants. (i) x2 − xy − 2y2 − 1 = 0 x2 + y2 − 1 = 0 } (ii) (y − 1)x2 + (y + 2)x + (y + 5) = 0 (y + 1)x2 + (y − 1)x + (y − 9) = 0 } (iii) (y − 2)x2 + (y − 3)x + (y − 2) = 0 yx2 + (y + 3)x + (y + 2) = 0 } (iv) x2 + (y + 1)x + (y − 3) = 0 x2 + yx + (y − 5) = 0 } (v) x2 + (y − 1)x + (y − 2) = 0 (y − 2)x2 + yx + (y − 1) = 0 } 191
  • 30.
    CHAPTER 4. ELEMENTARYPOLYNOMIAL THEORY (vi) xy2 + xz = 0 x + y + z = 0 } (vii) 4x2 + (−7y + 13)x + (y2 − 2y − 3) = 0 9x2 + (−14y + 28)x + (y2 − 4y − 5) = 0 } (viii) x2 − 3x + (y2 − y) = 0 −x2 + (−6y + 7)x + (y2 + 11y − 12) = 0 } 3. Check your calculations by Maxima using the built-in functions resultant, diff and solve. 192
  • 31.
    Bibliography [1] Comprehensive collectionof exercises for mathematics. Tankonyvkiado, Budapest, 1980. in Hungarian, textbook. [2] G. Chrystal. Algebra – an elementary textbook I. Adam and Charles Black, London, Edinburgh, 1893. [3] Sominskii, I.S., Faddeev, D.K. Problems in Higher Algebra. Books in Mathematics. W.H. Freeman, New York, 1965. [4] L. Fuchs. Algebra. Tankonyvkiado, Budapest, 1981. in Hungarian, textbook. [5] The GAP Group. GAP – Groups, Algorithms, and Programming, Version 4.7.5, 2014. [6] I. Reiman, F. Gyapjas. Exercises from elementary mathematics vol I. Tankonyvkiado, Budapest, 1991. in Hungarian, textbook. [7] P.R. Halmos. Lectures on Boolean Algebra. Van Nostrand, Prince- ton, 1963. [8] J. Kurdics. Algebra basics. Bessenyei Konyvkiado, Nyiregyhaza, 2006. in Hungarian, textbook. [9] J. Kurdics. Discrete mathematics. Bessenyei Konyvkiado, Nyire- gyhaza, 2006. in Hungarian, textbook. [10] J. Kurdics. Algebra I. Bessenyei Konyvkiado, Nyiregyhaza, 2007. in Hungarian, textbook. [11] J. Kurdics. Algebra II. Bessenyei Konyvkiado, Nyiregyhaza, 2007. in Hungarian, textbook. 193
  • 32.
    [12] Maxima. Maxima,a computer algebra system. version 5.27.0, 2012. [13] T. Frey., P. Pachné. Vector and tensor calculus. Muszaki Konyvki- ado, Budapest, 1970. in Hungarian. [14] S. Róka. 2000 exercises around elementary mathematics. Typotex, Budapest, 2000. in Hungarian. [15] K.H. Rosen et al Handbook of discrete and combinatorial mathe- matics. CRC Press, Boca Raton, 1999. [16] V. Scharnitzky. Matrix calculus. Muszaki Konyvkiado, Budapest, 1973. in Hungarian. [17] G. Szász. Lattice theory. High school booklets. Tankonyvkiado, Budapest, 1978. in Hungarian. [18] J. Szendrei. Algebra and number theory. Tankonyvkiado, Bu- dapest, 1978. in Hungarian, textbook. [19] B.L. van der Waerden. Algebra I, II. Springer Verlag, New York, Berlin, Heidelberg, 2003. 194
  • 33.
    DEFINITION INDEX Definition index A Abeliangroup . . . . . . . . . . . . . 14 addition, multiplication of nat- ural numbers . . . . . . 39 algebraic structure . . . . . . . . . 13 alphabet . . . . . . . . . . . . . . . . . . . 21 angle between two straight lines, straight line and plane, two intersecting planes . . . . . . . 103 argument . . . . . . . . . . . . . . . . . . 65 associate . . . . . . . . . . . . . . . . . 149 associate (integers) . . . . . . . . 69 atom . . . . . . . . . . . . . . . . . . . . . . 29 automorphism of vector space . . . . . . . 144 B base . . . . . . . . . . . . . . . . . . . . . . . 54 basis . . . . . . . . . . . . . . . . . . . . . 108 basis (space free vectors) . . 92 bijective function . . . . . . . . . . . 8 binary, n-ary relation . . . . . . . 7 binomial coefficient . . . . . . . . 57 Boolean algebra . . . . . . . . . . . 27 Boolean ideal generated by a sub- set . . . . . . . . . . . . . . . . . 28 Boolean ideal, trivial ideal, proper ideal . . . . . . . . . . . . . . . 27 Boolean operation . . . . . . . . . 31 Boolean variables . . . . . . . . . . 31 buffer, negation, operations or, and, xor, nor, nand, im- plication, equivalence . . . . . . . . 32 C canonical basis . . . . . . 111, 116 clone, functionally complete set of operations . . . . . . . 32 coefficient . . . . . . . . . . . . . . . . 147 collinear . . . . . . . . . . . . . . . . . . . 91 common root . . . . . . . . . . . . . 176 commutative ring . . . . . . . . . . 25 commutative semi-group . . . 14 commutative, associative, idem- potent, invertible opera- tion . . . . . . . . . . . . . . . . 13 complement . . . . . . . . . . . . . . . 27 complement of a set . . . . . . . . 4 complete matrix ring . . . . . 116 complex conjugate . . . . . . . . . 63 complex norm, absolute value . . . . . . . . 63 complex number . . . . . . . . . . . 63 complex root extraction . . . 66 complex root of unity . . . . . . 67 composition of functions . . . . 9 congruent directed line segments . . . . . . . 87 conjunctive normal form (c.n.f.) . . . . . . . 31 convergent rational sequence 50 convolution product . . . . . . 148 coordinate space . . . . . . . . . . 111 coordinates (space free vectors) . . . . . . . 92 coplanar . . . . . . . . . . . . . . . . . . . 91 crossed product . . . . . . . . . . . . 94 cubic (equation) . . . . . . . . . . 169 cycle, length of a cycle, disjoint cycles . . . . . . . . . . . . . . 16 D decimal digit . . . . . . . . . . . . . . 82 195
  • 34.
    decimal fraction .. . . . . . . . . . 82 decimal fraction form of real num- ber . . . . . . . . . . . . . . . . 84 degree (polynomial) . . . . . . 147 degree (weight) of a multivari- ate polynomial . . . . 181 degree (weight) of the monomial . . . . . . . 181 derived polynomial . . . . . . . 175 determinant . . . . . . . . . . . . . . 119 diagonal matrix . . . . . . . . . . 115 difference . . . . . . . . . . . . . . . . . . . 4 dimension . . . . . . . . . . . . . . . . 109 dimension (space free vectors) . . . . . . . 92 direct sum of subspaces . . . 110 directed line segment . . . . . . 87 direction of a ray . . . . . . . . . . 87 direction of a vector . . . . . . . 87 direction vector of a straight line . . . . . . . 100 discriminant . . . . . . . . . . . . . . 187 disjoint sets . . . . . . . . . . . . . . . . . 4 disjunctive normal form (d.n.f.) . . . . . . . 31 distance between two sets of points . . . . . . . 103 distributive lattice . . . . . . . . . 26 distributive, absorptive operation . . . . . . . 14 dividend (polynomial) . . . . 151 dividend, quotient residue (inte- gers) . . . . . . . . . . . . . . . 70 divisible . . . . . . . . . . . . . . . . . . 149 divisible (integers) . . . . . . . . . 69 divisor (integers) . . . . . . . . . . 70 divisor (polynomial) . . . . . . 151 domain, range, image of a rela- tion . . . . . . . . . . . . . . . . . 7 E element . . . . . . . . . . . . . . . . . . . . . 3 elementary row (column) trans- formations . . . . . . . . 123 empty set . . . . . . . . . . . . . . . . . . . 3 endpoint . . . . . . . . . . . . . . . . . . 87 epimorphism (linear mapping) . . . . . . . 138 equality of functions . . . . . . . . 8 equality of polynomials . . . 147 equality of sets, determination of sets . . . . . . . . . . . . . . 4 equivalence relation, partition- ing . . . . . . . . . . . . . . . . . . 8 Euclidean algorithm (integers) . . . . . . . 70 Euclidean algorithm (polynomial) . . . . . . . 151 Euclidean domain (polynomial) . . . . . . . 151 Euclidean norm (polynomial) . . . . . . . . 151 even (odd) permutation . . 119 exponent . . . . . . . . . . . . . . . . . . 54 exponentiation with integer (ra- tional) exponent . . . 54 exponentiation with natural num- ber exponent . . . . . . 54 extended alphabet . . . . . . . . . 21 extended matrix . . . . . . . . . . 128 F factor set . . . . . . . . . . . . . . . . . . . 8 factor space . . . . . . . . . . . . . . 139 factorial . . . . . . . . . . . . . . . . . . . 57 field . . . . . . . . . . . . . . . . . . . . . . . 26 field of complex numbers . . 63 field of quotients field . . . . . . 48 field of rationals, rational num- bers . . . . . . . . . . . . . . . 48 196
  • 35.
    DEFINITION INDEX field ofreal numbers, real num- ber . . . . . . . . . . . . . . . . 52 finite and infinite set . . . . . . . . 9 fractional part . . . . . . . . . . . . . 83 free group . . . . . . . . . . . . . . . . . 21 free semi-group . . . . . . . . . . . . 21 free vector in space . . . . . . . . 87 function or mapping . . . . . . . . 8 G Gaussian number plane . . . . 65 generating system (space free vec- tors) . . . . . . . . . . . . . . . 92 generator system . . . . . . . . . 108 greatest common divisor (inte- gers) . . . . . . . . . . . . . . . 70 greatest common divisor (poly- nomial) . . . . . . . . . . . 151 group . . . . . . . . . . . . . . . . . . . . . 14 H homogenous (in-) system of lin- ear equations . . . . . 127 homomorphism (isomorphism) of rings (fields) . . . . . . . 48 homomorphism, isomorphism, iso- morphic Boolean algebras . . . . . . . 29 I idempotent matrix . . . . . . . 116 identity mapping . . . . . . . . . . . 8 image of an element . . . . . . . . 7 image of element . . . . . . . . . . . . 8 image space (linear mapping) . . . . . . . . 138 imaginary part . . . . . . . . . . . . 61 imaginary unit . . . . . . . . . . . . 61 indeterminate . . . . . . . . . . . . 147 initial point . . . . . . . . . . . . . . . 87 injective . . . . . . . . . . . . . . . . . . . . 8 inner product . . . . . . . . . . . . . . 93 integer part . . . . . . . . . . . . . . . 83 integral domain . . . . . . . . . . . . 26 intersection . . . . . . . . . . . . . . . . . 4 inverse element . . . . . . . . . . . . 14 inverse relation . . . . . . . . . . . . . 7 inversion . . . . . . . . . . . . . . . . . 119 irreducible integer . . . . . . . . . 75 irreducible polynomial . . . . 154 isomorphism (linear mapping) . . . . . . . 138 J join . . . . . . . . . . . . . . . . . . . . . . . 26 K kernel space (linear mapping) . . . . . . . . 138 L lattice . . . . . . . . . . . . . . . . . . . . . 26 least common multiple (integers) . . . . . . . 73 letter . . . . . . . . . . . . . . . . . . . . . . 21 limit . . . . . . . . . . . . . . . . . . . . . . 50 linear combination . . . . . . . . 108 linear combination (space free vec- tors) . . . . . . . . . . . . . . . 92 linear mapping . . . . . . . . . . . 138 linear ordering, complete poset . . . . . . . 8 linear subspace . . . . . . . . . . . 109 linear transformation . . . . . 140 linear varietiy . . . . . . . . . . . . 127 linearly (in)dependent . . . . 108 linearly dependent (in-) (space free vectors) . . . . . . . 92 M magnitude of the free vector 87 main diagonal . . . . . . . . . . . . 115 197
  • 36.
    matrix . .. . . . . . . . . . . . . . . . . 113 matrix entry . . . . . . . . . . . . . 113 matrix of basis change . . . . 144 matrix of linear mapping with respect to bases . . . 143 matrix of linear transformation with respect to a basis . . . . . . . 143 matrix product . . . . . . . . . . . 114 matrix unit . . . . . . . . . . . . . . . 116 maximal ideal . . . . . . . . . . . . . 27 maxterm . . . . . . . . . . . . . . . . . . 31 meet . . . . . . . . . . . . . . . . . . . . . . 26 minor (block) matrix . . . . . 113 minterm . . . . . . . . . . . . . . . . . . . 31 mixed product . . . . . . . . . . . . . 96 monic polynomial . . . . . . . . 147 monoid . . . . . . . . . . . . . . . . . . . . 14 monomial matrix . . . . . . . . . 116 monomials in several indetermi- nates . . . . . . . . . . . . . 181 monomorphism (linear mapping) . . . . . . . 138 multiple by a scalar of a linear mapping . . . . . . . . . . 139 multivariate polynomial . . 181 multivariate polynomial ring . . . . . . . . . 181 N natural epimorphism (linear map- ping) . . . . . . . . . . . . . 139 natural number . . . . . . . . . . . . . 3 negative . . . . . . . . . . . . . . . . . . . 25 neutral . . . . . . . . . . . . . . . . . . . . 14 nilpotent matrix . . . . . . . . . . 116 noncompound number . . . . . 75 nonsingular matrix . . . . . . . 134 normal vector of a plane . . 100 null . . . . . . . . . . . . . . . . . . . . . . . 25 O order of a permutation . . . . 17 ordering of integers . . . . . . . . 44 ordering of natural numbers 40 ordering of rationals . . . . . . . 48 ordering of reals . . . . . . . . . . . 52 origon . . . . . . . . . . . . . . . . . . . . . 87 orthonormal basis (space free vec- tors) . . . . . . . . . . . . . . . 92 P partial fraction . . . . . . . . . . . 155 partial ordering, poset . . . . . . 7 Peano’s axioms . . . . . . . . . . . . . 3 period (pre-) . . . . . . . . . . . . . . 82 permutation . . . . . . . . . . . . . . . 15 perpendicular or orthogonal (space free vectors) . . . . . . . 92 pivot . . . . . . . . . . . . . . . . . . . . . 128 polar form . . . . . . . . . . . . . . . . . 65 polynomial ring . . . . . . . . . . 148 position vector . . . . . . . . . . . . 87 positive and negative integers . . . . . . . . 44 power . . . . . . . . . . . . . . . . . . . . . 54 power set . . . . . . . . . . . . . . . . . . . 4 prime integer . . . . . . . . . . . . . . 75 prime number . . . . . . . . . . . . . 75 prime polynomial . . . . . . . . . 154 prime power factorization (inte- gers) . . . . . . . . . . . . . . . 77 prime power factorization (poly- nomial) . . . . . . . . . . . 155 primitive complex root of unity . . . . . . . 67 pure (impure) recurring decimal fraction . . . . . . . . . . . . 82 Q quadratic (equation) . . . . . . 168 198
  • 37.
    DEFINITION INDEX quartic (equation). . . . . . . . 173 quotient (polynomial) . . . . 151 R rank (matrix) . . . . . . . . . . . . 133 rank (nullity) of a linear map- ping . . . . . . . . . . . . . . 139 rational Cauchy sequence . . 50 real part . . . . . . . . . . . . . . . . . . . 61 reciprocal . . . . . . . . . . . . . . . . . 25 reciprocal equation . . . . . . . 177 recursive definition, inductive proof . . . . . . . 4 reduced fraction . . . . . . . . . . . 82 reflexive, transitive, symmetric, antisymmetric relation . . . . . . . 7 relatively prime integers . . . 72 relatively primes (polynomial) . . . . . . . 152 residue (polynomial) . . . . . . 151 resultant . . . . . . . . . . . . . . . . . 189 ring . . . . . . . . . . . . . . . . . . . . . . . 25 ring of integers, integer . . . . 44 ring with unity . . . . . . . . . . . . 25 root factor decomposition 160 root of multiplicity k . . . . . 159 root of the algebraic equation . . . . . . . . 158 root of the polynomial . . . . 158 row (column) matrix . . . . . 113 row (column) of a matrix . 113 row (column) rank . . . . . . . 132 row echelon form . . . . . . . . . 128 S scalar . . . . . . . . . . . . . . . . . . . . 108 scalar (parametric, canonical) sys- tem of equations of the straight line . . . . . . 102 scalar equation (parametric sys- tem of equations) of the plane . . . . . . . . . . . . . 102 scalar multiple . . . . . . . 108, 114 semi-group . . . . . . . . . . . . . . . . 14 semi-lattice . . . . . . . . . . . . . . . . 14 set . . . . . . . . . . . . . . . . . . . . . . . . . . 3 set field . . . . . . . . . . . . . . . . . . . 28 set of natural numbers . . . . . . 3 set union . . . . . . . . . . . . . . . . . . . 4 singleton . . . . . . . . . . . . . . . . . . . 3 skew-symmetric matrix . . . 116 standard form . . . . . . . . . . . . . 61 subfield . . . . . . . . . . . . . . . . . . . . 48 subring . . . . . . . . . . . . . . . . . . . . 48 subset, (strict) inclusion . . . . 4 subspace (space free vectors) 92 sum of linear mappings . . . 139 sum of matrices . . . . . . . . . . 114 surjective . . . . . . . . . . . . . . . . . . . 8 symmetric difference . . . . . . . . 4 symmetric group . . . . . . . . . . 15 symmetric matrix . . . . . . . . 116 symmetric polynomial . . . . 184 system of linear equations 127 T terminating decimal fraction 82 transpose . . . . . . . . . . . . . . . . . 114 transposition . . . . . . . . . . . . . . 17 two-row form of a permutation . . . . . . . 16 U unary, binary, n-ary algebraic op- eration . . . . . . . . . . . . 13 union and intersection of a fam- ily of sets . . . . . . . . . . . 4 unit group . . . . . . . . . . . . . . . . . 15 unit matrix . . . . . . . . . . . . . . . 115 199
  • 38.
    unity . .. . . . . . . . . . . . . . . . . . . . 25 univariate polynomial . . . . 147 univariate rational function field . . . . . . . 155 universe . . . . . . . . . . . . . . . . . . . . 3 upper (lower) triangular matrix . . . . . . . 116 V value of f(x) at c . . . . . . . . . 147 vector . . . . . . . . . . . . . . . . . . . . 108 vector parallel with a straight line or plane . . . . . . . 91 vector space . . . . . . . . . . . . . . 108 W word . . . . . . . . . . . . . . . . . . . . . . 21 word of reduced form . . . . . . 21 Z zero . . . . . . . . . . . . . . . . . . . . . . . 14 zero divisor . . . . . . . . . . . . . . . . 14 zero element and unity of the lattice . . . . . . . . . . . . . 27 zero matrix . . . . . . . . . . . . . . . 114 zero sequence . . . . . . . . . . . . . . 50 zero vector . . . . . . . . . . . . 87, 108 200
  • 39.
    PROPOSITION INDEX Proposition index A Algebraicproperty of matrix prod- uct . . . . . . . . . . . . . . . 114 B Bézout’s theorem . . . . . . . . . 158 Basic properties of divisibility . . . . . 69, 149 Basic properties of linear map- pings . . . . . . . . . . . . . 138 Basic properties of matrix rep- resentation . . . . . . . 143 Basis for free vectors . . . . . . 91 Binomial theorem . . . . . . . . . 57 C Cardano’s formulae . . . . . . . 170 Cardinality of primes . . . . . . 77 Characterization of multiplicity k . . . . . . . . . . . . . . . . . 176 Characterization of polynomials not relatively primes . . . . . . . . . 188 Characterizations of basis 109 Cofactor expansion . . . . . . . 123 Common root and g.c.d. . . 177 Composition Bracketing . . . . 9 Congruence of directed line seg- ments . . . . . . . . . . . . . . 87 Conversion from impure to com- mon decimal . . . . . . . 83 Conversion from pure to com- mon decimal . . . . . . . 82 Coordinates and transformation under basis change 145 Corollary to Fundamental theo- rem of algebra . . . . 167 Corollary to root factor decom- position . . . . . . . . . . 160 Cramer’s rule . . . . . . . . . . . . 134 Crossed product properties 94 D D.n.f. and c.n.f . . . . . . . . . . . . 31 Decimal fraction forms of ratio- nals . . . . . . . . . . . . . . . 83 Determinant properties . . . 120 Direct complement . . . . . . . 110 Disjoint cycle decomposition the- orem . . . . . . . . . . . . . . 17 Distance of space elements 103 E Eisenstein’s theorem . . . . . . 163 Equations of space elements . . . . . . . . . 100 Equivalence and Partitioning 8 Euclidean division . . . . 70, 150 Existence of basis . . . . . . . . 109 Existence of l.c.m. . . . . 73, 152 Extended Euclidean algorithm . . . . . 71, 152 F Finest direct decomposition . . . . . . . . . . 110 Finite Boolean algebras . . . . 29 First theorem on partial fractions . . . . . . . 156 Free vector operation properties . . . . . . . 88 Functional completeness . . . 32 Fundamental theorem of algebra . . . . . . . 167 201
  • 40.
    Fundamental theorem ofnum- ber theory . . . . . . . . . 76 Fundamental theorem of poly- nomial theory . . . . 154 Fundamental theorem on sym- metric polynomials 185 G G.c.d. and resultant . . . . . . 189 G.c.d. by Euclidean algorithm . . . . . 70, 151 H Horner’s scheme . . . . . . . . . . 159 I Identities of exponentiation 55 Implications of Associativity 15 Implications of Distributivity . . . . . . . . 25 Inner product properties . . . 93 Invertibility and determinant . . . . . . . . 134 Invertibility of Functions . . . . 9 K Known roots of a reciprocal 178 Kronecker–Capelli’s Theorem . . . . . . . . 133 L Laws of De Morgan . . . . . . . . 27 Lemma on dependence . . . 108 M Matrix of product transforma- tion . . . . . . . . . . . . . . 144 Matrix product and matrix ad- dition . . . . . . . . . . . . 115 Matrix rank theorem . . . . . 133 Maximal Boolean ideals . . . 28 Mixed product properties . . 96 N Newton’s formulae I . . . . . . 182 Newton’s formulae II . . . . . 182 Nullity plus rank . . . . . . . . . 139 Number systems . . . . . . . . . . . 79 O Operations in polar form . . 66 Operations on natural numbers . . . . . . . 39 P Polynomial decomposing lemma . . . . . . . 156 Polynomial theorem . . . . . . . 57 Posets and lattices . . . . . . . . . 26 Prime and irreducible polynomi- als over a field . . . . 154 Prime and noncompound num- bers . . . . . . . . . . . . . . . 75 Prime power in factorial . . . 80 Product theorem of determinants . . . . . . . 124 Properties of absolute value 64 Properties of complex conjuga- tion . . . . . . . . . . . . . . . . 63 Properties of g.c.d. . . . . 72, 152 Properties of l.c.m. . . . 73, 152 R Rank and elementary transfor- mations . . . . . . . . . . 132 Real cubic irreducible case 172 Real cubic positive case . . 171 Real cubic zero case . . . . . . 171 Real decimal fractions . . . . . 84 Reciprocal after eliminating known root factors . . . . . . . 179 Reciprocal equations and coeffi- cients . . . . . . . . . . . . . 178 Resultant and discriminant 190 202
  • 41.
    PROPOSITION INDEX Resultant interms of roots 190 Rolle’s theorem . . . . . . . . . . . 161 Root factor decomposition 160 Roots of a polynomial and its derived polynomial 175 S Second theorem on partial frac- tions . . . . . . . . . . . . . 157 Set fields . . . . . . . . . . . . . . . . . . 28 Skew expansion . . . . . . . . . . 133 Space of linear mappings . 140 Stone’s Theorem . . . . . . . . . . 30 Structure of m×n matrices 114 Structure of a multivariate poly- nomial ring . . . . . . . 181 Structure of complex numbers . . . . . . . 62 Structure of integers . . . . . . . 42 Structure of linear transforma- tions . . . . . . . . . . . . . 140 Structure of polynomials . 147 Structure of quadratic matrices . . . . . . . 116 Structure of rationals . . . . . . 46 Structure of reals . . . . . . . . . . 51 Structure of symmetric polyno- mials . . . . . . . . . . . . . 184 T Theorem on field of quotients . . . . . . . . 48 Theorem on multiple roots 177 U Units of A[x] . . . . . . . . . . . . . 149 V Viéte’s formulae . . . . . . . . . . 162 203
  • 43.
    Buy your booksfast and straightforward online - at one of the world’s fastest growing online book stores! Environmentally sound due to Print-on-Demand technologies. Buy your books online at www.get-morebooks.com Kaufen Sie Ihre Bücher schnell und unkompliziert online – auf einer der am schnellsten wachsenden Buchhandelsplattformen weltweit! Dank Print-On-Demand umwelt- und ressourcenschonend produziert. Bücher schneller online kaufen www.morebooks.de OmniScriptum Marketing DEU GmbH Heinrich-Böcking-Str. 6-8 info@omniscriptum.de D - 66121 Saarbrücken Telefax: +49 681 93 81 567-9 www.omniscriptum.de