А.Г. Мерзляк
В.Б, Полонський
Ю.М, Рабінович
М.С. Якір
Збірник
задач і контрольних робіт з алгебри
для 9 класу
Схвалено
для використання у загальноосвітніх навчальних закладах
Харків
«Гімназія»
2009
УДК 373:512
ББК 22.141.s72l
М52
Схвалено
для використання у загальноосвітніх навчальних закладах
Мерзляк А. Г., Полонський В. Б., Рабінович Ю. М., Якір М. С.
М52 Збірник задач і контрольних робіт з алгебри для 9 класу. — X.:
Гімназія, 2009. — 128 с.: іл.
ISBN 978-966-474-055-2.
Посібник с дидактичним матеріалом з алгебри для 9 класу загальноосвітніх
навчальних закладів. Він с складовою частиною навчально-методичного комплекту
і відповідає підручнику з алгебри для 9 класу (автори А. Г. Мерзляк, В. Б. Полонський,
М. С. Якір). Книга містить близько 1000 задач. Першу частину «Тренувальні вправи»
поділено на три однотипних варіанти по 261 задачі в кожному. Друга частина містить
контрольні роботи (два варіанти) для тематичного оцінювання навчальних досягнень
учнів за 12-бальною шкалою відповідно до чинної програми з математики.
Для вчителів загальноосвітніх навчальних закладів і учнів 9 класів.
УДК 373:512
ББК 22.141.я721
© А.Г. Мерзляк, В.Б. Полонський,
Ю.М. Рабінович, М.С. Якір, 2009
© ТОВ ТО «Гімназія», оригінал-
ISBN 978-966-474-055-2 макет, 2009
ВІД АВТОРІВ
Учням
Любі діти! У цьому році ви продовжите захоплюючу подорож по
чарівній країні Алгебра. Ми впевнені, що подолання перешкод, які
стануть на вашому шляху, не тільки допоможе вам зміцніти, а й
принесе радість від одержаних перемог.
Учителю
Ми дуже сподіваємося, що, придбавши цю книжку не тільки для
себе, а й «на клас», Ви не пошкодуєте. Навіть тоді, коли Вам
пощастило і Ви працюєте за підручником, який подобається, все одно
задач, як і грошей, буває або мало, або зовсім мало Ми маємо надію,
що цей посібник допоможе ліквідувати «задачний дефіцит»,
Першу частину — «Тренувальні вправи» — поділено на три одно­
типних варіанти по 261 номеру в кожному. До багатьох (найбільш
складних) задач першого і другого варіантів наведено відповіді та
вказівки до розв'язування. Відсутність відповідей до вправ третього
варіанта, на нашу думку, розширює можливості вчителя при складанні
самостійних і перевірочних робіт. На стор.4 наведено таблицю
тематичного розподілу тренувальних вправ.
Друга частина посібника містить 6 контрольних робіт (два
варіанти). Зміст завдань для контрольних робіт поділимо умовно на
дві частини. Перша відповідає початковому і середньому рівням
навчальних досягнень учнів. Завдання цієї частини позначено сим­
волом п° (п — номер завдання). Друга частина відповідає достат­
ньому і високому рівням. Завдання кожного з цих рівнів позначено
символами п і /Г* відповідно. Виконання першої частини макси­
мально оцінюється у 6 балів. Правильно розв’язані задачі рівня п
додають ще 4 бали, тобто учень має можливість отримати відмінну
оцінку 10 балів. Якщо учневі вдалося ще розв’язати задачу л* то він
отримує оцінку 12 балів.
Бажаємо Вам творчої наснаги й терпіння...
4
Тематичний розподіл тренувальних вправ
і Тема
Номери
вправ
Числові нерівності 1 - 5
Властивості числових нерівностей. Оцінювання значення
виразу
6 - 1 7
Нерівності з однією змінною 1 8 -2 0
Розв’язування лінійних нерівностей з однією змінною.
Числові проміжки
2 1 -3 8
Системи лінійних нерівностей з однією змінною 3 9 -6 2
Функція 6 3 -7 5
Властивості функції 7 6 -7 8
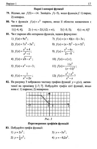
Парні і непарні функції 7 9 -8 2
Перетворення графіків функцій 8 3 -8 7
Квадратична функція, її графік і властивості 8 8 - 1 1 2
Розв’язування квадратних нерівностей 113-132
Розв’язування нерівностей методом інтервалів 133-140
Графік рівняння з двома змінними 141; 142
Системи рівнянь з двома змінними 143-150
Розв’язування задач за допомогою систем рівнянь другого
степеня
151-164
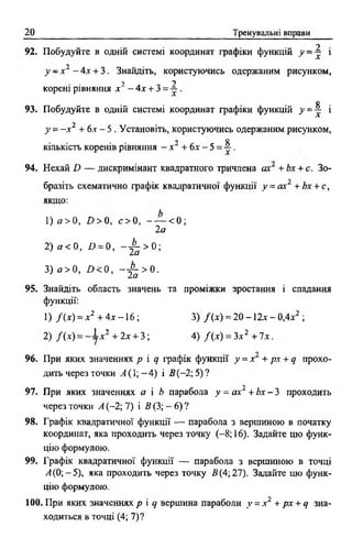
Математичне моделювання 165
Відсоткові розрахунки 166-178
Випадкова подія. Ймовірність випадкової події 179-186
Початкові відомості про статистику 187-190
Числові послідовності 191-201
Означення арифметичної прогресії. Формула и-го члена
арифметичної прогресії
2 0 2 -2 1 7
Сума п перших членів арифметичної прогресії 2 1 8 -2 3 6
Означення геометричної прогресії. Формула /і-го члена
геометричної прогресії
2 3 7 -2 4 7
Сума п перших членів геометричної прогресії 2 4 8 -2 5 5
Сума нескінченної геометричної проіресії 256-261
Варіант 1 5
ТРЕНУВАЛЬНІ ВПРАВИ
Варіант 1
Числові нерівності
1. Порівняйте числа я і Ь, якщо:
1) я - й = -0 ,3 ; 2) а - і = 0,4; 3 ) а = 0,6 + 6 ; 4 ) Ь = а -& .
2. Точка А(а) розташована на координатній прямій правіше за точку
В{-2). Яке з тверджень е правильним: 1) а > -2 ; 2) а < -2 ;
3) я = -2 ; 4) числа а і -2 порівняти неможливо?
3. Доведіть, що при будь-якому значенні змінної правильна
нерівність:
1) ( я - 8)(я + 7 )> (я + 10)(я-11);
2) ( я - 6 )2 - 2 < (я —5 )(я -7 );
3) {2а - 5)(2я + 5) - (За - 2) 2 < 3 (4 я - 9 ) - 2 ;
4) а (а -8 )> 2 (о -1 3 ).
4. Доведіть, що:
1) я - 6я + 10 > О при всіх дійсних значеннях я;
2) 12„у-4у2 -1 1 < 0 при всіх дійсних значеннях у;
3) х 2 -1 Оху + 26>>2 + 2у + 40 > 0 при всіх дійсних значеннях х іу;
4) х 2 + 4у 2 + 6.-+ 4у +10 > 0 при всіх дійсних значеннях а- і у;
5) аЬ{а + Ь)< а} + £>3 , якщо а > О, Ь > 0;
Я 2
6) т +т - т -  > 0 , якщо т > 1;
о + 2 _
7) ■.---------> 2 при всіх дшсних значеннях я;
4 а г +1
8) х 2 + 10у 2 + 6ху - 8у +16 > 0 при всіх дійсних значеннях х і у.
5. Доведіть, що:
1) (я +Л ) ^ + > 4, якщо а > О, Ь > 0;
2) (я + 6)(6 + 3)(с + 2) > 48л/оЬс , якщо д > 0, й > 0, с > 0.
6 Тренувальні вправи
Властивості числових нерівностей.
Оцінювання значення виразу
6. Дано: а >Ь. Порівняйте:
1) а + 5 і />+ 5; 3) 1,9а і 1,9Ь; 5 )-1 0 0 6 і -100«;
2) />-10 і а - 1 0 ; 4 ) - а і - Ь ; ^ п ' П '
7. Дано: а <Ь. Порівняйте:
1 ) а - З і/> ; 2 )а і/> + 4 ; 3) - а + 1 і - Ь + ; 4) а + 5 і />-1.
8. Порівняйте а і 0, якщо:
1) 6а > 5а; 2 ) - |< - |; 3) - 7 а > - 9 а ;
9. Чи є правильним твердження:
1)якщ о а> 3 і * > 10, то а + />>13;
2) якщо а > З і і > 10, то а + Ь> 1 2 ;
3)якщо а > 3 і />>10, то а + Ь> 14;
4) якщо а > 3 і />>10, то аЬ > 30 ;
5) якщо а> 3 і />>10, то а - Ь > - 7;
6) якщо а > 3 і Ь > 10, то аЬ > 28 ;
7 )якщо а > 3 і />>10, то 2а + 4/>>39;
8) якщо а > 3 і Ь < 10, то а —Ь > -7 ;
9) якщо а < 3 і /><10, то аЬ< ЗО;
10) якщо 0 < а < 3 і 0< Ь <10, то аЬ < ЗО;
11) якщо а > 3 , то 0 і > 9;
12) якщо а < 3, то а 1 < 9 ;
13) якщо а > 3 , то ^ < у ;
14)якщо а < 3, то ^ > у ?
10. Дано: а> 0 і /><0. Порівняйте:
1) а - Ь і 0; 2) Ь - а і а; 3) 4я-5/> і Ь; 4) ' а'
11. Дано: - 4 < а < 3. Оцініть значення виразу:
1) 4а; 3) а + 5 ; 5 ) - а ; 7) 2 а - 6 ;
2 ) | ; 4 ) о - 7 ; 6) - 2 а ; 8)5 - З а .
12. Дано: 3 < а < 9 . Оцініть значення виразу
13. Дано: -5 < а < 5. Оцініть значення виразу ^ .
Варіант 1 7
14. Відомо, що 3,3 < л/ЇТ < 3,4. Оцініть значення виразу:
15. Дано: 4 < а < 1 і 3<Ь<5. Оцініть значення виразу:
1) а + Ь 3)аЬ; 5)За + 1Ь; 7)
16. Оцініть периметр рівнобедреного трикутника з основою а см і
бічною стороною Ь см, якщо 11 < а < 15, 12 < Ь < 20.
17. Оцініть периметр і площу прямокутника зі сторонами а см і Ь см,
якщо 3 0 < а < 5 0 , 10< Ь < 40.
Нерівності з однією змінною
18. Які з чисел - 5 ; 4; - 6 ; 0; у є розв’язками нерівності:
1) (лг-1)2 > 0 ; 3) (лг-1)2 < 0; 5 )0 л г> -1 ; 7)0а-> 1;
2) (-ї-1)2 > 0 ; 4) (лг-1) 2 < 0 ; 6) 0лг<-1; 8 )0 х < 1 ?
20. Розв’яжіть нерівність:
Розв’язування лінійних нерівностей з однієї змінною.
Числові проміжки
21. Зобразіть на координатній прямій проміжок:
1) [~ 4; +°°); 2) ( - 4 ;+ 00); 3 ) ( ^ ; - 4 ) ; 4 ) Н о ;- 4 ] .
22. Зобразіть на координатній прямій і запишіть проміжок, що
задається нерівністю:
1)д г> 1 ;
2 ).т < 4 ;
3) 2х > х +1; 5) л/х + 1 > 2;
4) х 2 —4 < 0 ; 6) І <1?
19. Яка множина розв’язків нерівності:
8 ) дн4 4 - 1 .
1) х < 3 ; 2) х > —5 ; 3) х < - 2 ; 4) х> 1 .
8 Тренувальні вправи
23. Знайдіть найменше ціле число, яке належить проміжку:
1)(11,2;+со);.. 2) [13;+®).
24. Розв’яжіть нерівність:
1) 7х > 14 ; 5 )4 ,7 .ї > 0; 9) 7х + 3< З О -2 л ;
2 )-З х > 1 2 ; 6) —2 х < 0 ; 10) 7 —2дг< Злг—18;
3) А х > —2; 7 ) і 1 х < _ 2і ; 11) 5,4-1,5х>0,Зх-3,6;
З ^ О
4) 0,1*< -5; 8) 2л-> 18 —дг; 12> 8 Х + 15 < 6 * + 10‘
25. Розв’яжіть нерівність:
1) 5 - 2(х -1 ) > 4 - X;
2) 0,2(7 - 2у) < 2,3 - 0,3(>»~ 6);
4) х(4х +1) - 1(х2 - 2х) < Зх(8 - х) + 6 ;
5) ^ - § > 5 ;
7 х - 4 Зх + З 8 - х
7 ) — 5 т - >9 4 6 ’
8) (х + 6)(х -1 ) - (х + 3)(х - 4) < 5х ;
9) (4х - 1)2 - (2х - 3)(6х + 5) > 4(х - 2) 2 +16 х ;
10) 2х(3 + 8х) - (4х - 3)(4х + 3) > 1,5х.
26. Знайдіть найбільший цілий розв’язок нерівності:
1) 2х + 9 > 4х - 7 ;
2) 14х2 —(2х —3)(7х + 4) < 14;
3) (2х - З)2 + (3 - 4х)(х + 5) > 82 ;
4) (х - 1)(х +1) < 2(х - 5) 2 - х(х - 3).
27. Розв’яжіть нерівність:
1) Зх + 6 > 2(2х - 7) - х ;
2) 6,2(3 - 2х) > 20 - (12,4х +1,4);
3) 6х + (х - 2)(х + 2 ) > (х + З)2 ;
4) 2х(х - 4) - (2х + 5)(х -1 0 ) < 2(3,5х + 50).
Варіант 1 9
28. При яких значеннях х має зміст вираз:
1) уі4х - 3 ; 3 ) - 7Л = ; 5) л/8 -1 6 х + -= ^ — ;
л/4х+ 16 х - 4
2) 7 5 -1 1 * ; 4) л/ГТ? + — ; 6) ■- ^ 1 = . - + - і - ?
* - 3 уі3х + 36 |* |- 1
29. Розв’яжіть рівняння:
1) | х - 2 | + .х= 1; 3) | * - 4 1+ х = 9;
2) 12* + 4 1- * = 3 ; 4 ) |х + 3 |- л : = 2.
30. Побудуйте графік функції:
1) у = |х + 3 |; 2) у =  х -   + 2; 3) у =  х + 2  - х .
31. При яких значеннях а не має коренів рівняння:
1) * 2 + 4 х - о = 0;
2) (а - 1)х2 + (2а - 3)* + а = 0 ;
3) (а —2)х2 - 2(а - 3)л: + а +1 = 0 ;
4) 2х2 +(2а + 2 ) х + а 2 +2а + 26 = 0?
32. При яких значеннях а можна розкласти на лінійні множники
квадратний тричлен:
1) 2х2 + 1 х - а ; 3) Зх2 —5ах —1;
2) ах2 + 4х + 8 ; 4) (а - 1)* 2 + 6ах + 6 ?
33. При яких значеннях Ь має додатний корінь рівняння:
1) 5 х - 1 = 4Ь ; 2 ) ( Ь - 4 ) х = 97
34. При яких значеннях Ь має єдиний додатний корінь рівняння:
1) ( Ь - 2 ) х = Ь2 - 4 ; 2) {4Ьг + Ь)х = Ь1
35. Для кожного значення а розв’яжіть нерівність:
1 ) ( а - 3 ) х < 0 ; 4) ( а - 3) 2* > 0 ; 7) (а + 1).ї> а2 - 1 ;
2) (а - 3) х > 4 ; 5 ) а - х < 2 - а х ; 8) ( а - 5 ) х < а2 -2 5 .
3) (а - 3) х < а - 3; 6) 4(х - а) > 8 + а х ;
36. У саду ростуть яблуні і вишні. Кількість яблунь відноситься до
кількості вишень як 3 :8 . Яка найбільша кількість вишень може
бути в саду, якщо всього росте не більше ніж 400 дерев?
37. Сторони трикутника дорівнюють 10 см, 18 см і Ь см, де і? — нату­
ральне число. Якого найменшого значення може набувати Ь1
10 Тренувальні вправи
38. Сума трьох послідовних натуральних чисел, кратних 3, не більша
за 130. Знайдіть найбільше значення, якого може набувати перше
число з цієї трійки чисел.
Системи лінійних нерівностей з однією змінною
39. Серед чисел -2; 1,5; 4 укажіть розв’язки системи нерівностей:
п ]* > - 3 , х<4, І2*-1>дг + 3, . /1 —Зл->2,
(х<б; ; |х > 0 ; [8* + 3> 7 + jc; '[ 5 - 4 .г < 1 .
40. Зобразіть на координатній прямій проміжок:
І) (-4 ; 2 ); 2) [-4 ; 2]; 3) [-4 ; 2); 4) (-4 ; 2].
41. Зобразіть на координатній прямій і запишіть проміжок, що за­
дається нерівністю:
1) 0 < х < 9 ; 3 ) -3 ,8 < х < 6 ,4 ;
2 ) і < * < 4 | ; 4) 0,1 < * < 6 0 4 .
42. Запишіть усі цілі числа, які належать проміжку:
1) [4: 8]; 2) (3,7; 9]; 3) [-4,8; 2]; 4) (-3; 3).
43. Укажіть найбільше і найменше цілі числа, які належать проміжку:
1) [-Ю ;-5]; 2) (6; 12].
44. Зобразіть на координатній прямій і запишіть перетин проміжків:
1) [-2; 6] і [3; 8]; 4) (-оо; 3,7) і (3,9; +а>);
2) [4; 7] і (4; 9]; 5) [10;+оо) і [13,4;+«);
3) (-со; 5,2) і (4,3; +а>); 6) [6; 10] і [7,3; 8).
45. Зобразіть на координатній прямій і запишіть об’єднання
проміжків:
1) [2; 7,4] і [3; 9]; 4) [3; 7) і [7; +со);
2) [4; 7] і (4; 9]; 5) (-оо; 10) і (6,4; +оо);
3) (-оо; 5) і (2; 8,1); 6) (-<*>; 3,7) і (3,9; +со).
46. Розв’яжіть систему нерівностей:
.. (5* > -25, [0,3(.ї - 6) £ 0,5* +1,
} {- ї х > 14; } 4 х + 7 > 2(х + 6,5);
2- f6* - 7 > 4* - 3, ГЗлг(дг—7) —лг(4 + Злг) < 5,
[З* +16 > 8* —4; І12*2 -(2 х -3 )(6 * + 4)<17;
5)
5.т-4 2х+1
- 1 > —=—
6
Здг+1 „ 3 * -2
— 2х > 2,5 -
8
Варіант 1 11
[(5.x - 1)2 + 4х < (5.x - 1)(5х + 1) - 4х,
6)  2 x ~ l 7х+3 2 - х
I 6 + 3 -* 2
47. Знайдіть цілі розв’язки системи нерівностей:
1)
2)
6 х -9 < 3 х + 15,
7 - 2.x > 13 - 5-ї ;
8х + 20 > Зх + 5.
2х +1 > 4х - 5;
15х -1 > 2х + 4,
( Ш х -5 < 3 х + 13;
Г5х+3
-г 1> Зх,
[(.х + 1)(х - 4) - 2 < (х + 2)(х - 3) - х.
48. Розв’яжіть систему нерівностей:
1)
2(3х - 4) > 6(х +1) - 20,
0,4(5 - х) < 3(х +1,4) +1,2;
2)
5 )1 <
6) 2,4 <
Г З х -8 8 .
|1 -----7— >5х,
[х(х - 4) - (х + 1)(х - 5) < 2 .
6х + 5
2
8 —4х
< 4 ;
< 2,8 .
49. Розв’яжіть нерівність:
1) - 2 < х - 5 < 7 ;
2) - 4,2 < Зх + 2,4 < 6 ;
3) 0,6 < 5 - 2х < 0,8 ;
4 ) 7 < } - 1 < 7 ,1 ;
50. Скільки цілих розв’язків має нерівність:
1) - 3 < 6 х - 4 < 2 ; 2) —1< 3 —1Ох< 5 ?
51. При яких значеннях х значення функції у = х( 1-л/З) належать
проміжку [4 - 4л/з; 2 - 2л/3] ?
52. Розв’яжіть систему нерівностей:
х < 5, 2х - 7 > 6, 0,6 —4х>2,2,
| х > 3, 2)- 3 - 4х < 9,
3)
2 ,5 .x -2 < 8,
[*<4,7; 7 х -8 > 2 ; • 3,1х + 9<1,6х + 3
53. При яких значеннях змінної має зміст вираз:
1) л /7 х -8 + л/Зх-14 ;
1
2) л/2х + 3 ~ -
3) -/2.х- 5 + V 2 - х ;
7 5 „
л /9 -2 х
54. Розв’яжіть нерівність:
4)
л/4 - Зх X - X
х —9 П. 2 х -^
12 Тренувальні вправи
55. Розв’яжіть нерівність:
1) !* |< 3 ; 3) 17х + 8 |< 2;
2) І* - 1 1<4,2; 4) )10 —3.x|< 5.
56. Розв’яжіть нерівність:
1 ) М > 8 ; 3) |0,5х + 6 |> 1;
2) Іх + 5 1> 7,8; 4) 111 - 4 * |> 6 .
57. Розв’яжіть рівняння:
1 ) |х | + |х - 4 |= 5 ; 3) | х |- |х - 5 | = 6 ;
2) |х + 1| + |х - 3 | = 4 ; 4) |2 х - 3 |- |х + 2 | = 4хЧ-5.
58. Розв’яжіть нерівність:
1) |x + 2 |+ 3 x > 5 ; 4) |х + 3| + |х - 4 |> б ;
2) |х - 6 |- 7 л < 1 8 ; 5) |х + 2 ,5 |- |х - 1 ,5 |< 3 ;
3) |х + 1 | + |л - - 1|< 2 ; 6) ІЗ.т + 8 1—12дг —7 1>4.
59. Для кожного значення а розв’яжіть систему нерівностей:
1) f,<3' 2)j',<2'|х < а; [х > а.
60. При яких значеннях а обидва корені рівняння х2 - 2ах + а2 -1 = 0
більші за число З?
61. При яких значеннях а обидва корені рівняння
.V2 - (За + 1)х + 2а2 + 4а - 6 = 0 належать проміжку [2; 9]?
62. При яких значеннях а один з коренів рівняння 2.г2 - (а + 5).т -
- а " - а + 2 = 0 менший від -3, а другий — більший за 2?
Функція
і 2
63. Функцію задано формулою /( х ) = -^х + 3х. Знайдіть:
1 ) /( 1 ) ; 2) Д О ); 3 ) / ( - 4 ) ; 4) / ( ~ у }
О
64. Дано функції g(x) = ~ - 4 х і ф(х) = 2д--5. Порівняйте:
1) g(l) і Ф(1); 2) g f i ] і ф (4); 3)g(-2) і Ф(1) .
Варіант 1 13
65. Дано функцію
- 2х + 1, якщо х < -4,
/ (х) = • х2 - 7, якщо - 4 < х < З,
2, якщо х > 3.
Знайдіть: 1) / ( - 5 ) ; 2) / ( - 2 ) ; 3) /( 3 ) ; 4) /(7 ,6 ).
66. Знайдіть область визначення функції:
9
1) /(х ) = 4 х -1 3 ; 7) / ( * ) = - у ^ ;
Xі + 4
5 I і- ■ _ ,, ч 7х + 13
X2 - ї х
X
3) / ( х ) - — ; 9) / ( х ) =
4)/(.* ) = ^ Г 5 -; і а > / ( х ) ш ф ;
5) / ( х ) = л[х~-5 ; П ) / ( *) = Щ Т5 ;
- 1 ■ ,, ч 13
б ) /( ж ) “ Т 4 ^ Г ; 12) /( х ) =
х І+ х2
13) /( х ) = л/х + 5 + л/3 - х ;
14) / (, ) в ^ Г П ' + ~ 1 ;
15) / (х) = Тх-~2 + 4 2 - х ;
16) /( * ) = л / ^ 9 + - ^ = р
17) /( х ) = ТГ+~2 + * ~ 7
х2 - 4
1 8 )/ (х )= Д + - Д 4- ~ .
+ З .V —8х + 7
х 2 +
67. При якому значенні х значення функції Л(х) =
х - 3
1) 19; 2 )-2 ; 3) 1?
68. Знайдіть область значень функції:
1) / (*) = л/х + 1; 2) / (х) = л/х - 2 ;
З
дорівнює:
14 Тренувальні вправи
3) £(*) = 3 - х ‘ ;
4) Д х ) 2 ;
5) ф(х) = 5 + | х | ;
6) И ( х ) = уІ х 2 + 4 - 5 ;
7) /(д-) = л Г 7 ;
8 ) /( х ) = ^ З - Т Г Г ^ ;
9) /(х ) = 7 Г - х ^ ;
10) / о о = - ± _ .
д- +1
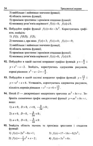
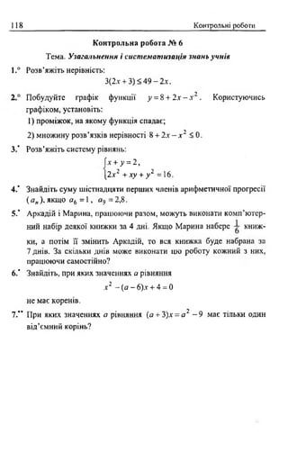
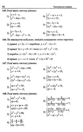
69. На рисунку 1 зображено графік функції _у= /( х ) , визначеної на
проміжку [-3,5; 5]. Користуючись графіком, знайдіть:
1) /(-2 ,5 ); /( -2 ); /(-0 ,5 ); /(0 ); /(0,5); /(3 );
2) значення х, при яких / (х) = -2,5; / (х) = 3; / (х) = 1,5; / (х) = 0;
3) найбільше і найменше значення функції;
4) область значень функції.
Vі
/  )
/ ч
і
1
А
1 (
І4
ч 2 - і 0 1 2 3 і4 5 Л*
ч
/
1 '“1 ч % )
і
/ - 2
Рис. 1
70. Функцію задано формулою f ( x ) = x 2 - 4, де - 3 < х й 2.
1) Складіть таблицю значень функції з кроком 1.
2) Побудуйте графік функції, користуючись складеною таблицею.
3) Користуючись графіком, знайдіть, при яких значеннях аргу­
менту /(х ) < 0 .
Варіант 1 15
71. Побудуйте графік функції:
1) / ( х ) = 2х + 1;
2 ) / ( * ) = 6 - 1 * ;
4) /(х) = 4;
5) Л * ) = ^ ;
6) /(* ) = - |3) / (х) = - 2х ;
72. Знайдіть область визначення і побудуйте графік функції:
4 х -2 0
о т =
2) / ( * ) *
х г - 4
х + 2
х 2 - 6 х + 9
3) /( * ) =
х 1 - 5 *
3 - х
73. Побудуйте графік функції:
4)/м=Й
2 ) / ( * ) =
-р якщо х < -3 ,
-|х , якщо - 3 < х < 3 ,
4 , якщо х > 3 ;
- 2 х - 3 , якщо х < - 4 ,
х + 1, якщо - 4 < х < 2 ,
4, якщо х > 2.
74. Знайдіть, не виконуючи побудови, точки перетину з осями коор­
динат графіка функції:
1) Д х ) = і х —8;
5 - Зх
2) * (* )= 4 7 Т Т ,
4) й(х) = х - 8 х - 9 ;
5) /( х ) = 3х2 - 7 х + 2 ;
6 ) g ( x ) =
х2 - З
х2 + 23) ф(х) = 16 - х2 ;
75. Задайте формулою лінійну функцію f ( x ) = kx + b, для якої
/(-6 0 ) = -23 і /(2 0 ) = 3-і-.
Властивості функції
76. На рисунку 2 зображено графік функції у = / (х). Користуючись
графіком, знайдіть:
16 Тренувальні вправи
1) нулі функції;
2) проміжки зростання і проміжки спадання функції;
3) множину розв’язків нерівності / (.х) > 0 .
к2
/ 
/

Ч N
/ 

і'2 1 0 1 2
V
X
-1
-2

4) /( * ) = -
х —4
в)
Рис. 2
77. Знайдіть нулі функції:
1) /( х ) = 0,3* + 7;
2) / (х) = 0,5д:2 - З* - 2;
3) /(де) = 7 7 + 2 ;
х2 -5 х + 4
Уі
4
N
/ 
? / 
0 2 41 .V
/ 
/ 
б)
5) /( * ) = 7 2 5 - х 2 ;
6) /(де) = 7 х 2 + 4 ;
7) /(дс) = дг7 7 = 2 .
78. Які з лінійних функцій .у = -15х + 17; >' = 0,64х-12; >' = -0,39х;
^ = 114х + 23; ^ = - х + 4:
1) зростаючі; 2) спадні?
Варіант 1 17
Парні і непарні функції
79. Відомо, що /(5 ) = -14. Знайдіть / ( —5), якщо функція/. 1) парна;
2) непарна.
80. Чи є функція / ( х) = х2 парною, якщо її областю визначення є
множина:
1)[-4;4]; 2) (-«о;- 2 ) 11(2;+ ю); 3) [-5; 5); 4) (-ч»; 6]?
81. Чи є парною або непарною функція, задана формулою:
1) /( х ) = 9х4 ;
2) /(х ) = IXі - 5 х 5 ;
х 1 + 4
3) / ( х ) ~ ;
х - 1
7) Д * ) = (х + 4 )(х -1 )-3 х ;
8) /( х ) = (х -5 )2 - ( х + 5)2;
9) /( * ) =
х2 - 4 х
4) Д х ) = 4 в - 7 ;
5 ) / ( х ) = х 2 + * - 3 ;
6 ) Д х ) = - ^ — ;
X і + 2.x
2 х - 8
10) /(х ) = х |х |;
11) / « = -
1 1 л 2
( * - 1 1 ) “
„2
1 2 ) / ( * ) = - — - ?
X - X
82. На рисунку 3 зображено частину графіка функції = £(х), визна­
ченої на проміжку [-7; 7]. Побудуйте графік цієї функції, якщо
вона є: 1) парною; 2) непарною.
Р и с . З
Перетворення графіків функцій
83. Побудуйте графік функції:
1) _у= 2х2 ;
2 ) У = ^ х 2 ;
3 ) у = - З х 2 ;
4 ) у = - 0 , 2 х 2 .
18 Тренувальні вправи
84. На рисунку 4 зображено графік функції у = Д х ) . Побудуйте
графік функції:
1 ) у = Д х ) + 2; 3) у = / ( х + 2); 5) у = - Д х ) ;
2)>' = / ( х ) - 3 ; 4) >>= / ( х - 3 ) ; 6 ) у = 4 - Д х ) .
У>
V

Ч
1
0 і -Т


а)
У;
/ N 1 /
 /
/  У
/ /
-4 ч /
- 2 0 і X
/
б)
85. Побудуйте графік функції:
1) у - х 2 
Рис. 4
5) ^ = 2 - х 2 ;
2) ^ = х2 - 4 ; 6) У = (х + 4) 2
3) у = х 2 + 1; 1) у = ( х - 2 )2
4) у = - х 2;
86. Побудуйте графік функції:
, - 4
г)
8) у = (х + 1)2 + 2 ;
9 ) у = ( х - 3)2 - 1 ;
Ю) 7 = - ( х - 1)2 + 1 .
з) * = * + ! ;
_ 4
2) 7 = 4 - 5 ; 4) у = і 6)> ’= ТГї- + 2; 8) у =
х + 1 ’
4
х —1
-7% 2х + 4
7) У = —— і
2 х —4
х —3
Варіант 1 19
87. Побудуйте графік функції:
1) ; ' = л/х; 4) у = ^ х +4 ; 7) у = З -л /х + 1
2 ) у =  [ х - 4 ; 5) у = - у [ х ; 8) у = - [ - ^ х -  .
3) _у= л /х -4 ; 6) у = 2 - л/х ;
Квадратична функція, її графік і властивості
88. Визначте напрям віток і координати вершини параболи:
1) у = хг —Юа + 20; 3) у = 0,6а2 + 7,2х + 22,6 ;
2) у = - х 2 + З а- 4 ; 4) у = -5 х 2 -2 0 х + 6 .
89. Побудуйте графік функції:
1) у = х2 - 6х + 5; 5 ) у = 4х + х2 ;
2) у = - х 2 + 2х + 8 ; 6) у = 4 - х2;
3) у = і х 2 + х - 8 ; 7) >’= -0 ,2 х 2 + 2 х - 5 ;
4) у = Зх2 —6х + 3; 8) у = х2 - 2х + 3.
90. Побудуйте графік функції /( х ) = х2 - 2 х - 3 . Користуючись гра­
фіком, знайдіть:
1) /(2 ); /(-1 ,5 ); /(2,5);
2) значення х, при яких /( х ) = 5; /( х ) = - 4 ; /( х ) = -1;
3) найбільше і найменше значення функції;
4) область значень функції;
5) проміжок зростання і проміжок спадання функції;
6) множину розв’язків нерівності / (х) < 0 ; / ( х) > 0 .
91. Побудуйте графік функції /(х ) = 6 х - 2 х 2. Користуючись графі­
ком, знайдіть:
О /(1); /(0,5); /(-3 );
2) значеннях, при яких /( х ) = 3; /( х ) = 5; /( х ) = -4 ;
3) найбільше і найменше значення функції;
4) область значень функції;
5) проміжок зростання і проміжок спадання функції;
6) множину розв’язків нерівності / ( х ) > 0 ; / ( х ) < 0 .
20 Тренувальні вправи
92. Побудуйте в одній системі координат графіки функцій У ~  і
у —х 2 —4х + 3. Знайдіть, користуючись одержаним рисунком,
2 У
корені рівняння х - 4х + 3 = •
О
93. Побудуйте в одній системі координат графіки функцій у = ^ і
у = -.ї2 + б.г - 5 . Установіть, користуючись одержаним рисунком,
кількість коренів рівняння - х 2 + 6х - 5 = ^ .
94. Нехай £> — дискримінант квадратного тричлена ах + Ьх + с. Зо­
бразіть схематично графік квадратичної функції у = ах1 + Ьх + с,
якщо:
1) а > 0 , / ) > 0 , с > 0 , - — < 0 ;
2 а
2) а <0, 0 = 0, - ^ > 0 ;
3) а> 0 , £><0 , - ^ > 0 .
95. Знайдіть область значень та проміжки зростання і спадання
функції:
1) /(х ) = х2 + 4л: - 1 6 ; 3) /( * ) =20 - 12х - 0,4х2 ;
2) /( * ) = - і * 2 + 2х + 3; 4) /(х ) =Зх2 + ї х .
96. При яких значеннях р і д графік функції у = х + рх + д прохо­
дить через точки А (1; -4 ) і В (-2; 5) ?
97. При яких значеннях а і Ь парабола у = ах2 + Ьх - 3 проходить
через точки А (-2; 7) і В (3; - 6) ?
98. Графік квадратичної функції — парабола з вершиною в початку
коордиігат, яка проходить через точку ( - 8; 16). Задайте цю функ­
цію формулою.
99. Графік квадратичної функції — парабола з вершиною в точці
Л (0;-5), яка проходить через точку В (4; 27). Задайте цю функ­
цію формулою.
100. Ііри яких значеннях р і ц вершина параболи у = х 2 + рх + д зна­
ходиться в точці (4; 7)?
Варіант 1 21
101. Парабола у - а х 2 +Ьх + с має вершину в точці М(2;1) і прохо­
дить через точку JC(-1; 5). Знайдіть значення коефіцієнтів а ,Ь с .
102. Побудуйте графік функції у = х 2 + 4 х - 5 при х є [-4 ;3 ] і знай­
діть, користуючись фафіком, її область значень.
103. Знайдіть найменше значення функції у = 3х2 -1 2 х +  на про­
міжку:
О Н ; 6]; 2) [-7; 1]; 3) [4; 10].
104. При якому значенні с найбільше значення функції у - - ї х 2 +
+ 8х + с дорівнює-4 ?
105. На параболі у = - х 2 + 5х + 5 знайдіть точку, у якої:
1) абсциса і ордината рівні;
2 ) сума абсциси і ординати дорівнює 13.
106. Побудуйте графік функції:
—2х —З, якщо х < -4 ,
1) /( * ) =
2) / ( х ) =
х 2 + 2х - 3, якщо - 4 < х < 2,
5, якщо х> 2;
х + 3, якщо х < - 2 ,
2 х - х 2, якщо - 2 < х < 3 ,
- 2, якщо х> 3 .
107. Побудуйте графік функції:
l ) y = £ ( h 2 - 2 x + 2); 3) у - х 2 - —14 ;
|х|^5 у " л х - 2
2) у = х 2 + 4 |х |+ 3 ; 4) у = х2 - 4 |х + 1| + 5х + 4.
108. При яких значеннях а функція у = 4х2 + 5х - а набуває додатних
значень при всіх дійсних значеннях х?
109. При яких значеннях а функція у - ( а - 1)х2 +6х + 20 набуває
додатних значень при всіх дійсних значеннях х?
110. При яких значеннях а функція у = (а + 2)х2 + 4х - 5 набуває
недодатних значень при всіх дійсних значеннях х?
111. При якому значенні а графік квадратичної функції у = ах2 -
—(а —3)х + 1 має з віссю абсцис одну спільну точку?
22 Тренувальні вправи
112. Нехай х, і х2 — нулі функції у = 4.x2 - (За + 2)х + а - 1 . При
яких значеннях а виконується нерівність х, < 3 < х2?
Розв’язування квадратних нерівностей
113, Розв’яжіть нерівність:
1) х 2 —5х—3 6 < 0 ; 9) х2 -14х + 4 9 > 0 ;
2) х2 + 7 х - 3 0 > 0; 10) 5х2 - 2 х + 1> 0;
3) —х2 + 4 ,6 х -2 ,4 < 0 ; 11) 64х2 -1 6 х + 1 < 0 ;
4) ї х 2 + 1 9 х -6 < 0 ; 12) 9х2 + 3 0 х + 2 5 < 0 ;
5) - З х 2 + 4х + 4 > 0 ; 13) 2х2 -5 х + 4< 0;
6) 4х2 - 1 6х < 0; 14) - 7 х2 +Зх - 1 < 0 ;
7) 9х2 - 25 > 0 ; 15) - х 2 + 4 х - 4 < 0.
8) 4х2 -1 2 х + 9 > 0 ;
114. Розв’яжіть нерівність:
1) х2 < 9 ; 3) 7х2 < З х ; 5 ) - З х 2 < -7 5 ;
2) х2 > 7 ; 4) - 5 х2 > —1Ох; 6) 0,6х2 < -18х
115. Знайдіть множину розв’язків нерівності:
1) (Зх + 1) ( х - 2) < 6 ; 3) 2x (x - 4 s ) < ( x + S ) 2 -,
2) (х + 3)2 -1 6 > (1 -2 х )2;
2y + 3 X 2 - А
4) < 1;
5 8
5)
Зх2 -11 3 7 - х 2
< 1 0 -----------------
6) (Зх - 8)2 - (4х - б) 2 + (5х - 2)(5х + 2) > 96
116. Знайдіть область визначення функції:
1) y = ylx2 +З х -4 0 ;
2 ) ^ =
х + 2
1 2 х
3) у =л]х2 - 4 х - 2 1 — - 6
4) у =
х - і
х - 64
х - 4
УІ5
■4* *
+ 19х-4х Зх —х —4
117. Знайдіть цілі розв’язки нерівності:
1) х + 6х < 0 ;
2) х2 —8 < 0 ;
3) - 6х2 + 1 3 х -5 > 0 ;
4) 21х -2 2 х + 5 < 0 ;
5) ~ t x -Зх + 7 > 0;
6) х + 3 ,5 х -2 < 0 .
Варіант 1 23
118. Розв’яжіть систему нерівностей:
[* 2 + * - 6 < 0, 44 f* 2 + * - 1 2 < 0,
дг> 0 ; [8 + 2 * < 0 ;
2) (з*2 - 8* - 3 > 0 , „ і* 2 + 6 * -4 0 < 0 ,
1* ^1 0 ; [* 2 + 3*-18 > 0;
3) І2х2 + 1 3 * -7 < 0, 6) | - 3 * 2 + 16*+12< 0,
[15-3* < 0; |* 2 -1 1 * < 0 .
119. Знайдіть цілі розв’язки системи нерівностей:
jh (*2 + 5 * -6 < 0 , з«, [*2 -14* + 45> 0,
[* > -3 ; (3,2<*<11,7;
2 ) |з * 2 -5 * < 0 , [*2 - ( л/7 - 2 ) * - 2 л/7<0,
[-0,6*+ 1,2 > 0;  - х 2 +4,8х + 1>0.
120. Знайдіть, при яких значеннях а не має коренів рівняння:
1) х 2 + (о + 2)* + 4 = 0; 3) (10- 2 а )* 2 - ( я - 5 ) * + 1= 0;
2) (я + 1)*2 -3 я * + 4а = 0; 4) (а + 1)*2 -2 (а -1 )* + 3 а -3 = 0.
121. При яких значеннях b має два дійсні різні корені рівняння:
1) * 2 -4й * + 3й + 1= 0; 3) (Ь -1)* 2 -2 (6 + 1)*-35 + 2 = 0;
2) **2 —(Зг>+ 1)* + Ь = 0 ; 4) (ЗЬ - 2 )* 2 - (5Ь + 2 )* + 5Z>—1 = 0 ?
122. Знайдіть, при яких значеннях а виконується при всіх дійсних
значеннях * нерівність:
1 ) х 2 + 2 ( а - ) х + 4 - а - а 2 >0;
2) “ з * 2 +3ях —бо2 -1 2 < 0 ;
3) о*2 - 4 * + а + 3 < 0 ;
4) ( 9 - а 2)* 2 + 2(а + 3)* + 1>0.
123. Знайдіть, при яких значеннях т не має розв’язків нерівність:
1) тх2 +5to*+4w + 3 < 0 ;
2) (З т -2 )* 2 -2 (2 /и -1 )* + 2ю -1 > 0.
124. Для кожного значення а розв’яжіть систему нерівностей:
^ J* —* —12 > 0, ^ /х + 7 * + 610,
] * > а ; [* < а .
24 Тренувальні вправи
125. Для кожного значення а розв’яжіть нерівність:
1) х 2 - (а + 3)х + За < 0 ;
2) jc2 + (1- За)х + 2а2 - Зо - 2 > 0.
126. Розв’яжіть нерівність:
1) Іл-2 - д:- ЗІ < 9 ; 4) х2 - 4 |л |< 1 2 ;
2) |.г2 +5дг|> 6 ; 5) х 2 -5 х + 9 > |д г -6 |;
3)  х - 4  ( х + 2)>4х; 6) * 2 + 2 | х - 1 1+ 7 < 4 | х - 2 1.
127. При яких значеннях b один з коренів рівняння х 2 + ( Ь - 6 )х +
+ Ь2 - 2 4 = 0 більший за 4, а другий — менший від 4?
128. При яких значеннях т один з коренів квадратного рівняння
s ' ) “) .
(т ~ 5 )х - 2(т~ +1)дг+ т -  = 0 більший за -1, а другий —
менший в ід -1?
129. При яких значеннях а один з коренів рівняння
х 2 - (3а + 2)х + а2 = 0 менший від 2, а другий — більший за 4?
>у у
130. При яких значеннях а корені рівняння .* - 6ах + 9а - 2а + 2 = 0
більші, ніж З?
131. При яких значеннях а корені рівняння х 2 +2(а + 1)х + 9 а - 5 = 0
менші, ніж - 2 ?
132. При яких значеннях а корені рівняння 4х2 -{З а +  ) х - а - 2 = 0
належать проміжку ( - 1; 2)?
Розв’язування нерівностей методом інтервалів
133. Розв’яжіть нерівність:
1) U + 3 ,2 )(x -4 )> 0 ;
2) (ж+ 7 Х * -6 )(* -1 4 )< 0 ;
3) (2х + 3 )(4 х -3 )(х -1 0 )> 0 ;
4) (5 + х)(х + 1)(3 —х) < 0;
5) (лг + 6,8)(1 - х)(2 —х )> 0 ;
6) (5х + 20)(2 - 6х)(6х - 12)(9 - 2х) < 0.
Варіант І 25
134. Розв’яжіть нерівність:
Х - 7
2) ^ 1 > 0 ;
х + 11
3) ^ - ^ > 0 ;
* - 4 , 8
4 ) ^ < 0 ;
5)
х - 1 , 6
6 - Х
7 ) ( £ ± І М £ ± 2 ) > 0;
х - 5
- 0 ;
6 ) ^ 8 < 0 ;
1,5 - 5л:
8)
9)
х -1 3
х-3,5
(д: + 6)(лг —12)
х + 7,2
( 1 0 - х ) ( х - 3 )
< 0 ;
> 0 .
135. Знайдіть множину розв’язків нерівності:
1) ( х 2 + 7 х ) ( х 2 — 25) < 0;
2) (х2 + 6х + 5)(х2 - За) > 0;
136. Розв’яжіть нерівність:
1) (х2 + 4)(х2 - 4х + 3) > 0 ;
2) (дг+ 4)2 (дг2 + 8х + 12)<0;
3) (х + 4)2 (.х2 + 8х + 12)50;
4) (х + 4)2 (х2 + 8х + 12)>0;
5) (х + 4)2 (х2 + 8х + 12)£0;
6) (х - 5) 2 (х2 - 2х - 3) > 0
7) ( х - 5 ) 2 (х2 - 2х - 3) > 0
8) ( х - 5 ) 2 (х2 - 2х - 3) < 0
9) ( х - 5 ) 2 (х2 - 2х —3 )2 0;
10) (х - 1) 2 (х - 2) 4 (х - З) 3 > 0 ;
11) (х - 1) 2 (х - 2) 4 (х - З) 3 і 0;
12) ( х - 1 )2( х - 2 ) 3( х - 3 ) 4 ( х - 4 ) 5 < 0 ;
13) (х2 + 9х+18)(х2 + 4х + 5 )> 0 ;
14) (х2 - 2х - 7)(3х - х 2 - 6) 5 0.
х 2 +10х + 9 .
3 ) - г < 0 ;
х - 4 х + 3
х2 + х — 12
4) * _ > о .
х2 - 64
137. Розв’яжіть нерівність:
х - 4 х + 4
2)
х + х — 12
х 2 - 4 х + 4
> 0 ;
26 Тренувальні вправи
3 ) * г + *- —Н < 0 ; 7) Д І-1 6-£±-’ < 0 ;
х - 4 х + 4 х +3л: —10
х + х -1 2 оч х +6х + 9
— ь 0 ; 8 ) — ------------------- :
х ~ ~ 4 х + 4 х + 3 х - 1 0
5 ) 4 ± ^ > 0 ; <>)і 2 + Д - 6 > 0 ;
х + Злг—10 |х - 4 |
6) х,2 + 6 х + 9 >0; 10) _ 1і ± и _ г 0 -
х~ + 3 х - 1 0 х ~ - 2 х - 6 3
138. Знайдіть множину розв’язків нерівності:
» 4 ^ * 0 ; 2) 4 ^ і ± і ^ 0 .
х - 3 6 * + З х - 4
139. Розв’яжіть нерівність:
* + 2 ^ 4х~10 х 2 + 5х ^ 14
) Л - ~ У 3 ) £ ’
х - 2 х - 2 х - 1 х - 1
2 ) — £ 1 ; 4 ) Д, 2 ~ 4 Д 5 3 .
2 х - 7 х - 2
140. Для кожного значення а розв’яжіть нерівність:
1) (х - 4)(х - а) < 0; 5) (х -а )(х + 2) 2 < 0 ;
2) ( х - 4 ) ( х - а ) 2 > 0 ; 6) | ^ < 0 ;
3) ( х - 4 ) ( х - а ) 2 > 0 ; 7) > 0 ;
4) ( х - а ) ( х + 2)2 <0; 8) —
Графік рівняння з двома змінними
141. Побудуйте графік рівняння:
1 ) у = 2 х - 3 і 6 ) х 2 + у 2 =9-, И ) |* | = 1;
2) 5х-2.у + 10 = 0 ; 7) (* - 1) 2 + (_у+ 2) 2 = 4; 1 2 )|у | = 3;
3) 3^-л- = 0 ; 8) (х+3)2 + у 2 = 5 ; 13)лу = 6 ;
4) х - 4 = 0 ; 9) у = х2 - 6 х ; 14) |дгу|= 8 ;
5) ^ + 2 = 0; 10) х2 + ^ + 4л + 3 = 0; 15) у =  х - 3  .
Варіант 1 27
142. Побудуйте графік рівняння:
1 ) х = у 2 ; 7) (дг-3) 2 + (у + 5 ) 2 = 0;
2 )  х + у  - 4 ; 8) х 2 +у 2 + 2 х -6 у + 10 = 0;
3)  2 x - y  - 5 ; 9) х 2 - 2 х + у 2 + 107 + 10 = 0;
4) х 2 - у 2 = 0; 10)1x1 + 171 = 5;
5) 4х2 - у 2 = 0; 11) | * | - 2 | 7 | = 4 ;
6) х 2 + 7у 2 = 0 ; 12) у = УІ9-х2 .
Системи рівнянь з двома змінними
143. Розв’яжіть графічно систему рівнянь:
у - х 2 —2х + З, х 2 + у 2 =25,
Д>» = 3дс—1;  у = 2 х - 5 - ' ( х + 7 = 6 ;
2  х 2 - у = 6, 4) /(-^ + 2 )2 + у 2 = 10, х2 + у 2 = 13,
|х + 7 = 6; }х + 7 + 4 = 0; }ду = - 6 .
144. Установіть графічно кількість розв’язків системи рівнянь:
1)
2)
145. Розв’яжіть систему рівнянь:
1 ) ( т 2,+>' , Ч ^ г 16-[ у - 2 х у = 3; (3 7 - х = 14;
Іх + 7 = 7, [2х + 3у = З,
2 ) 1x7 = 12; 1 3V2 — 4х = 18;
чґ
II
>4
3) |
[х2 + 7 2 = 4,
5 ) |
[х2 + (7 + 3)2 =9,
. 2 ЛЧ
[ у = х - 4; 1І7 = х - 2 ; 1[7 = —4х + 2 ;
Ь = х2 -5 ,
4 , І
[*7 = 5,
6 ) |
[Ї7І = М .
17 = 6 - х 2; [7 = 0,5х2 +1; [7 = х2 —6х + 5.
у + 4х = 6, |5х + >’= -7 ,
[х2 + 3 х у - у 2 = 3; ; 1(х + 4 )(у -5 ) = - 4 .
146. Не виконуючи побудови, знайдіть координати точок перетину:
1) прямої у = х - 3 і параболи у = х2 - 4х + 3;
* 9 7
2) прямої х - 2 у + 2 = 0 і кола х + (у - 1) = 5;
28 Тренувальні вправи
3) прямої х + 2у —5 = 0 і кола (х - 1)2 + (у - 2) 2 = 5;
4) парабол у = Іх^ - Зх +1 і у = - х 2 + х - 1.
147. Розв’яжіть систему рівнянь:
1)
2)
3)
х 2 + у 2 - 2ху = 36,
х + у = - 4;
(X2 + вху + 9у 2 = 4,
[х2 - х у - 4 у 2 =-2;
Іх 2 + ху = 6,
[ху + / = 3 ;
4)
х2 - 6 у 2 = -5,
х 2 + 6 у 2 =7;
І2х + 3ху = - 20,
 у - Ъ х у = 2%-,
148. Розв’яжіть систему рівнянь:
1)
)х2 - 3 у 2 =13,
2)
3)
[ху = - 4;
їх + у - х у = - 2,
[Л7 (х + у) = 48;
 х ъ+ у г =1,
|х 2 - х у + у 2 = 7;
6)
5)
4л2 + у 2 =13,
ху = - 3.
2
х - 2 у х + 2 ^
15
“— = 7,
^ — = 2 4 ;
х - 2у х + 2 у
[х + у 2 ( х - у )
б )]* --)' Х+У
[х2 - 5 х у + 2 у 2 = 4 .
= 1,
и + 2 = 2 і
4) { У * 2 ’
(2х-3>> = 3;
149. Розв’яжіть систему рівнянь:
1)
)х 2 - 5 х у + 6 у 2 = 0,
[Зх2 + 2 х у - у 2 =15;
2)
[з.ї2 - 2 х у - у 2 = 7,
[я2 +ху +8у2 =14.
150. Скільки розв’язків залежно від значення а має система рівнянь:
• 1)
х2 + у 2 ~1,
У = х + а;
2)
2 2 2
х + у = а ,
1*1*3?
Розв’язування задач за допомогою систем рівнянь
другого степеня
151. Сума двох чисел дорівнює 7, а різниця чисел, обернених до
даних, дорівнює — . Знайдіть ці числа.
12
152. Якщо деяке двоцифрове число поділити на суму його цифр, то в
частці одержимо 7, а якщо поділити це число на добуток його
Варіант 1 29
цифр, то неповна частка дорівнюватиме 3, а остача — 9. Знайдіть
дане число.
153. Діагональ прямокутника дорівнює 13 см, а площа — 60 см2.
Знайдіть сторони прямокутника.
154. Площа прямокутника дорівнює 300 см2. Якщо його довжину
збільшити на 5 см, а ширину зменшити на 5 см, то його площа до­
рівнюватиме 250 см2. Знайдіть початкові розміри прямокутника.
155.3 двох міст, відстань між якими дорівнює 300 км, виїхали одно­
часно назустріч один одному легковий і вантажний автомобілі, які
зустрілися через 2,5 год. Знайдіть швидкість кожного автомобіля,
якщо вантажівка витратила на весь шлях на 3 год 45 хв більше,
ніж легковий автомобіль.
156.3 міста в село, відстань між якими дорівнює 180 км, вирушили
одночасно вантажівка і велосипедист. Вантажівка приїхала в село
на 8 год раніше, ніж велосипедист. Знайдіть швидкість руху вело­
сипедиста, якщо за 2 год вантажівка проїжджає на 60 км більше,
ніж велосипедист за такий самий час.
157. Катер проходить 66 км за течією річки і 54 км проти течії за
6 год. Цей катер проходить 44 км за течією на 3 год швидше, ніж
90 км проти течії. Знайдіть власну швидкість катера і швидкість
течії.
158.3 двох сіл, відстань між якими дорівнює 30 км, вирушили
назустріч один одному два пішоходи, які зустрілися посередині
дороги, причому один з них вирушив на 1 год 15 хв пізніше за
другого. Якби вони вирушили одночасно, то зустрілися б через
З год. Знайдіть швидкість руху кожного пішохода.
159. Якщо відкрити одночасно дві труби, то басейн буде наповнено за
8 год. Якщо спочатку перша труба наповнить половину басейну, а
потім інша труба — Другу його половину, то весь басейн буде
наповнено за 18 год. За скільки годин може наповнити цей басейн
кожна труба?
160. Два робітники, працюючи разом, можуть виконати замовлення за
12 днів. Вони пропрацювали разом 10 днів, і один з них захворів.
Тоді другий робітник закінчив виконувати замовлення через
5 днів, працюючи один. За скільки днів кожен робітник може
виконати дане замовлення, працюючи самостійно?
161. Із села А в село В, відстань між якими дорівнює 20 км, вирушив
пішохід. Через 2 год із села А в тому самому напрямі вирушив
велосипедист зі швидкістю 15 км/год, який наздогнав пішохода,
передав йому пакет і поїхав у село А з тією самою швидкістю.
зо Тренувальні вправи
Пішохід прийшов у В, а велосипедист повернувся в А одночасно.
Знайдіть швидкість руху пішохода.
162.3 двох сіл, відстань між якими дорівнює 9 км, вирушили одно­
часно назустріч один одному два пішоходи. Один з них прийшов
у друге село через 1 год 21 хв після зустрічі, а інший у перше село
— через 36 хв після зустрічі. Знайдіть, з якою швидкістю рухався
кожен пішохід і через скільки часу після початку руху відбулася
їх зустріч.
163. Одночасно з одного міста в одному напрямі вирушили два мо­
тоциклісти: один зі швидкістю 80 км/год, а другий — 60 км/год.
Через півгодини з цього міста в тому самому напрямі вирушив
третій мотоцикліст. Знайдіть швидкість руху третього мотоцик­
ліста, якщо відомо, що він наздогнав першого мотоцикліста через
1 год 15 хв після того, як наздогнав другого.
164. Дві точки рухаються по колу в одному напрямі. Перша точка
проходить коло на 2 с швидше за другу і наздоганяє її через кожні
12 с. За який час кожна точка проходить коло?
Математичне моделювання
165. Розв’яжіть задачу, побудувавши її математичну модель.
1)Для виготовлення 6 приладів потрібно 14 кг металу. Скільки
металу потрібно для виготовлення 15 таких самих приладів?
2) Відстань між містами А і В на карті дорівнює 4,8 см, а на міс­
цевості — 120 км. Яка відстань між містами С і О на цій карті,
якщо на місцевості відстань між ними дорівнює 160 км?
3) 3 двох міст, відстань між якими дорівнює 42 км, одночасно в
одному напрямі виїхали два автомобілі. Перший з них, який
їхав позаду, рухався зі швидкістю 70 км/год, а другий —
56 км/год. Через скільки годин після початку руху перший
автомобіль наздожене другий?
4) Дві бригади, працюючи разом, можуть виконати деяке замов­
лення за 6 днів. Одна з бригад може виконати самостійно це
замовлення за 10 днів. За скільки днів може виконати його
самостійно друга бригада?
5) Від села до міста легковий автомобіль доїхав за 2 год, а ван­
тажний — за 5 год. Яка швидкість руху кожного автомобіля,
якщо швидкість вантажного на 48 км/год менша від швидкості
легкового?
Варіант 1 31
6) Купили 14 листівок по 80 коп. і по 1 грн. 20 коп., заплативши
всього 15 грн. 20 коп. Скільки купили листівок кожного виду?
7) Стіну завдовжки 6 м і заввишки 3 м хочуть обкласти кахлем.
Чи вистачить для цього 5 ящиків кахлю, якщо одна плитка
кахлю має форму квадрата зі стороною 15 см, а в один ящик
уміщується 160 плиток?
8) Токар планував за деякий час виготовити 105 деталей. Проте
він виконав це завдання на 2 дні раніше строку, оскільки виго­
товляв щодня на 14 деталей більше, ніж планував. Скільки
деталей він виготовляв щодня?
9) Дорога між селами А і В має спочатку підйом, а потім спуск.
Пішохід на шлях з А в В витрачає 4 год, а на зворотний —
4 год 20 хв. На підйомі він рухається на 1 км/год повільніше,
ніж на спуску. З якою швидкістю пішохід йде вгору і з якою —
під гору, якщо відстань між селами А і В дорівнює 10 км?
10) Два туристи вирушили одночасно з двох міст назустріч один
одному і після зустрічі кожен продовжив рух у початковому
напрямі. Один з них, швидкість якого на 3 км/год більша за
швидкість другого, прибув у місце призначення через 2 год
після зустрічі, а другий — через 4,5 год. Знайдіть швидкість, з
якою рухався кожний турист. Через який час після початку
руху відбулася їх зустріч?
11)3 пунктів А і В одночасно назустріч один одному вирушили
відповідно мотоцикліст і велосипедист. Мотоцикліст прибув
у В через 36 хв після зустрічі з велосипедистом, а велосипе­
дист в А — через 3 год 45 хв після зустрічі. За який час кожен з
них проїде відстань між А і 5?
Відсоткові розрахунки
166. Скільки кислоти міститься в 23 кг дев’ятивідсоткового розчину?
167. До магазину було завезено 200 кг яблук і груш. Груші становили
ЗО % завезених фруктів. Скільки кілограмів яблук було завезено
до магазину?
168. За перший день турист пройшов 16 км, що становить 40 % дов­
жини туристичного маршруту. Знайдіть довжину цього маршруту.
169. Руда містить 70 % заліза. Скільки треба взяти руди, щоб отримати
84 т заліза?
170. Під час сушіння яблука втрачають 84 % своєї маси. Скільки треба
взята свіжих яблук, щоб одержати 12 кг сушених?
32 Тренувальні вправи
171. В автопарку було 180 автомобілів, з них 117 — вантажні. Скільки
відсотків усіх автомобілів становлять вантажівки?
172. Вартість деякого товару зросла зі 160 грн. до 164 грн. На скільки
відсотків зросла вартість товару?
173. Вартість деякого товару спочатку знизилася на 10 %, а потім під­
вищилася на 10 %. На скільки відсотків змінилася початкова ціна?
174. Вкладник поклав до банку 40 000 грн. під 8 % річних. Скільки
грошей буде на його рахунку через 3 роки?
175. Підприємець узяв у банку кредит у розмірі 30 000 грн. під деякий
відсоток річних. Через два роки він повернув у банк 43 200 грн.
Під який відсоток річних дає кредити цей банк?
176. Змішали 50-відсотковий і 20-відсотковий розчини кислоти та
отримали 600 г 30-відсоткового розчину. Скільки грамів кожного
розчину змішали?
177. Вкладник поклав у банк 20 000 грн. За перший рік йому було
нараховано певний відсоток річних, а другого року банківський
відсоток було збільшено на 2 %. На кінець другого року на
рахунку стало 22 048 грн. Скільки відсотків становила банківська
ставка у перший рік?
178. До сплаву міді й цинку, який містив міді на 4 кг більше, ніж
цинку, додали 4 кг міді. Внаслідок цього відсотковий вміст міді в
сплаві збільшився на 7,5 %. Скільки кілограмів міді містив сплав
спочатку?
Випадкова подія. Ймовірність випадкової події
179. У коробці лежать 6 білих і 14 червоних кульок. Яка ймовірність
того, що обрана навмання кулька виявиться: 1) білою; 2) черво­
ною?
180. У лотереї розігрувалося 6 автомобілів, 18 мотоциклів і 42 велоси­
педи. Усього було випущено 3000 лотерейних білетів. Яка ймовір­
ність:
1) виграти мотоцикл;
2) виграти який-небудь приз;
3) не виграти жодного призу?
181. Гральний кубик підкинули один раз. Яка ймовірність того, що
випаде число, кратне 2 ?
182. З натуральних чисел від 1 до 16 включно учень навмання називає
одне. Яка ймовірність того, що це число є дільником числа 16?
Варіант 1 33
183. Яка ймовірність того, що навмання вибране двоцифрове число
ділиться націло на 12?
184. У коробці лежать 3 білих і 4 синіх кульки. Яку найменшу
кількість кульок треба вийняти навмання, щоб ймовірність того,
що серед них є хоча б одна синя кулька, дорівнювала 1?
185. Чотири картки пронумеровано числами 1, 2, 3 і 4. Яка
ймовірність того, що добуток номерів двох навмання вибраних
карток буде кратним З?
186. У коробці лежать червоні і жовті кульки. Скільки червоних
кульок у коробці, якщо ймовірність вийняти з неї навмання
червону кульку дорівнює ^ , а жовтих кульок у коробці 20?
Початкові відомості про статистику
187. Дано 30 чисел, з них число 6 зустрічається 10 разів, число 10 зу­
стрічається 12 разів і число 15 — 8 разів. Знайдіть середнє ариф­
метичне цих 30 чисел.
188. Знайдіть міри центральної тенденції вибірки:
1)6, 6, 8,10, 11, 13, 14, 14, 15,23;
2) 1,2; 1,4; 1,5; 1,5; 2,3; 4,4; 4,5.
189. У таблиці наведено розподіл за стажем водіїв, що працюють в
деякому автопарку:
Стаж роботи у роках 2 6 10 15 16 18 19 20 21 22 25 28
Кількість водіїв 3 8 12 3 15 5 5 8 10 6 2 3
Знайдіть відносну частоту кожного значення і міри центральної
тенденції вибірки.
190. Опитавши 20 дітей, які прийшли на сеанс до кінотеатру, про їх
вік, склали таблицю:
12 14 15 12 16
13 14 16 15 14
14 15 15 16 14
12 13 15 16 14
Складіть частотну таблицю і побудуйте відповідну гістограму.
Визначте частоту і відносну частоту кожного її значення.
Числові послідовності
191. Запишіть п ’ять перших членів послідовності:
1) двоцифрових чисел, кратних числу 7, узятих у порядку зро­
стання;
34 Тренувальні вправи
2) правильних звичайних дробів із знаменником 23, узятих у по­
рядку спадання;
3) натуральних чисел, що дають при діленні на 4 остачу 3, узятих
у порядку зростання.
192. Знайдіть чотири перших члени послідовності (а„), заданої фор­
мулою и-го члена:
1)ег„ = и + 2 ; 2) а„ = З и -4 ; 3) а п = -^— ; 4 ) а „ = ~ .
и + 1 /Г
193. Знайдіть другий, шостий і сотий члени послідовності ( Ьп), зада­
ної формулою /?-го члена:
1Н , = | ; 3) Ь„ = я2 - 10«;
2)Ь„ = 7 -З и ; 4) *>„= (-1 )" + (-1)"+1.
194. Послідовність (с„) задана формулою и-го члена с„ = 2и + 3.
Знайдіть: 1) ct ; 2) с5; 3) с12; 4) с200 ; 5) с*+, .
195. Послідовність (jc„) задана формулою и-го члена хп = (-1)”+1 -2.
Знайдіть: 1) х ,; 2) х6; 3) х2* ; 4) х2*+1; 5) хі+1.
196. Знайдіть п’ять перших членів послідовності ( ап ), якщо:
1) Я] — 3 , —ctjj + 2 ,
2) а, = 16; я„+, = у ;
3) а, = - 4 ; я2 = 3; ап+2 = + 2аи+1;
4) оі ; а2 = 4 ; я„+2 = а?,-а„+х.
197. Послідовність ( у п) задана формулою и-го члена у п = 6 я ~ 1 . Чи є
членом цієї послідовності число: 1) 17; 2)215; 3) 36? У випадку
позитивної відповіді вкажіть номер відповідного члена.
198. Знайдіть кількість додатних членів послідовності (z„), заданої
формулою и-го члена z„ = 22 - 4 и .
199. Підберіть одну з можливих формул и-го члена послідовності,
першими членами якої є числа:
1 )4 ,9 ,1 6 ,2 5 ,3 6 ,...; 3) 1 ,-1 ; 1 ,-1 ,1 ,...;
Варіант 1 35
200. Доведіть, що послідовність ( а„ ), задана формулою и-го члена, є
зростаючою:
1) ап = 6л-13 ; 2) а„ = п- + п--, 3) а „ = “ у .
201. Знайдіть найбільший член послідовності ( ап ), заданої формулою
п-го члена:
1) а = 3 0 - и 3 ; 2) а„ = З« 2 - п3; 3) а„ = —
4 + п
Означення арифметичної прогресії.
Формула п-го члена арифметичної прогресії
202. Знайдіть чотири перших члени арифметичної прогресії ( а„ ),
якщо а, = 1,5, <і- -0 ,4 .
203. В арифметичній прогресії ( а„ ) ах = 5, сі = 0,6. Знайдіть: 1) а5;
2) а26>3) О32 .
204. Знайдіть різницю і сто п’ятдесят перший член арифметичної
прогресії 1,8 ; 2 ,2 ; 2 ,6;....
205. Знайдіть формулу и-го члена арифметичної прогресії:
1) 18, 14, 1 0 ,6 ,...; 3) а 4 , 5а  9а4, 13а4 ,...;
2) 2 ± , 2 ^ , 2 І , 2 | , . . . ; 4) 1 0 - а , 8 - а , 6 - а , 4 - а , . . . .
206. Знайдіть різницю арифметичної прогресії (я„), якщо:
1)д-! = 14,.х8= -7; 2 )х$= -4 , хм = 50.
207. Знайдіть перший член арифметичної прогресії (у„), якщо:
1)Л2 = -23, о '= -2 ; 2)уь = 16,ущ = 52.
208. Знайдіть номер члена арифметичної професії ( і „), який дорів­
нює 3,8, якщо = 10,4 і = -0 ,6 .
209. Чи є число 25 членом арифметичної прогресії ( Ь„ ), якщо /;, = 8 і
сі =3,5 ? У разі позитивної відповіді вкажіть номер цього члена.
210. Дано арифметичну прогресію 5,3; 4,9; 4,5; ... . Починаючи з якого
номера її члени будуть від’ємними?
211. Знайдіть кількість від’ємних членів арифметичної прогресії ( ап ),
якщо а, = -24 , сі = 1,2.
212. Між числами - б і б вставте сім таких чисел, щоб вони разом з
даними числами утворювали арифметичну прогресію.
36 Тренувальні вправи
213. Знайдіть перший член і різницю арифметичної прогресії (я„),
якщо:
1) аА+ а8 = 35 і яз + а2 = 65;
2) я5+ яіі = 42 і а3 • яю = 165,
214. Чи є послідовність (а„) арифметичною прогресією, якщо вона
задана формулою л-го члена:
1) а„ = - 8 и - 1; 3) ап= ~4,4и;
2) ап—5п2- 4п 4) а„ = 25 -0,16л; 6)
У разі позитивної відповіді вкажітьперший член і різницю про­
гресії.
215. Дано дві нескінченні арифметичні прогресії. Якщо до кожного
члена однієї прогресії додати відповідний член другої прогресії,
то чи буде утворена послідовність арифметичною прогресією?
216. При якому значенні т значення виразів 3/и, п ґ + 2 і т + 4 будуть
послідовними членами арифметичної прогресії? Знайдіть члени
цієї прогресії.
217. При якому значенні п значення виразів п , 2п+ 3, Зя + 4 і
гі' + /г + 7 будуть послідовними членами арифметичної прогресії?
Знайдіть члени цієї прогресії.
Сума п перших членів арифметичної прогресії
218. Знайдіть суму двадцяти чотирьох перших членів арифметичної
прогресії ( ап ), якщо а{ = -4 ,2 , d = 0 ,6 .
219. Знайдіть суму сорока перших членів арифметичної прогресії 14,
9 ,4 .......
220. Арифметичну прогресію (а„) задано формулою п-го члена
я„=0,4« + 5. Знайдіть суму тридцяти шести перших членів
прогресії.
221. Знайдіть суму десяти перших членів арифметичної прогресії
( а„ ), якщо:
1) я, = 6, fl13 = 42; 2) а6 = 45, al4 = -4 3 .
222. Знайдіть суму сімнадцяти перших членів арифметичної прогресії
( а„ ), якщо а17 = 84 , d = 6,5.
223. Знайдіть суму двадцяти перших членів арифметичної прогресії
(о„ ), якщо а~і + яв = 21 і а%+ ап ~ а 15 = 3.
Варіант 1 37
224. При будь-якому п суму п перших членів деякої арифметичної
прогресії можна обчислити за формулою S„ = Art2 - 5п . Знайдіть
перший член і різницю цієї прогресії.
225. Знайдіть суму всіх натуральних чисел, які кратні 11 і не більші
за 374.
226. Знайдіть суму всіх натуральних чисел, які кратні 9 і не більші
за 192.
227. Знайдіть суму всіх натуральних чисел, які при діленні на 4 дають
в остачі 1 і не більші за 145.
228. Знайдіть різницю і тринадцятий член арифметичної прогресії (а„),
якщ ояі = 9 і S10 = -1 5 .
229. В арифметичній професії перший член дорівнює -18, а сума
двадцяти чотирьох перших членів дорівнює 672. Знайдіть різницю
і дев’ятнадцятий член професії.
230. Знайдіть перший і дев’ятий члени арифметичної професії, якщо
її різниця дорівнює - 4 , а сума дванадцяти її перших членів дорів­
нює 336.
231. Знайдіть суму членів арифметичної професії з восьмого по два­
дцять другий включно, якщо перший член дорівнює 48, а різниця
дорівнює -4 .
232. Знайдіть суму членів арифметичної професії (у„) з десятого по
тридцять СЬОМИЙ ВКЛЮЧНО, ЯКЩО Уj = 8 І y V) =16.
233. Знайдіть суму всіх від’ємних членів арифметичної проф есії-5,6;
-5 ;-4 ,4 ;....
234. В арифметичній професії (а„) а і = 16, d = - 4. Скільки треба взя­
ти перших членів професії, щоб їх сума дорівнювала -324?
235. Знайдіть перший член і різницю арифметичної професії, якщо
сума семи перших її членів дорівнює 94,5, а сума п’ятнадцяти
перших членів дорівнює 112,5.
236. Розв’яжіть рівняння:
1) 5 + 9 + 13 + ... + (4г? + 1) = 324, де« — натуральне число;
2) 4 + 10+ 16+... + х = 310, дех — натуральне число.
Означення геометричної прогресії.
Формула /і-го члена геометричної прогресії
237. Знайдіть чотири перших члени геометричної професії {Ь„), якщо
= -2 , q = -з.
38 Тренувальні вправи
238. У геометричній прогресії (Ь„ ) і, = ^ 2 5 , ? « - 5 . Знайдіть: 1) Ь2 ;
2)Л4 ; 3) Й7 ;4) V
239. Знайдіть знаменник і п’ятий член геометричної прогресії >
1 _
128 ’ 64 ’ - ‘
240. Знайдіть знаменник геометричної прогресії (Ь„), якщо:
1) Ь =4000, £>4= 256; 2) Ь2= 6,Ь4 = 1В,
241. Знайдіть перший член геометричної прогресії (с„), якщо:
1) с5 = 17 = - |; 2) с4 = 8, Су = -64.
242. Число 192 є членом геометричної прогресії , ... .
Знайдіть номер цього члена.
243. Які три числа треба вставити між числами 16 і 81, щоб вони
разом з даними числами утворювали геометричну прогресію?
244. Послідовність ( Ь„) задана формулою я-го члена Ьп = 4 •З”-1. Чи є
ця послідовність геометричною прогресією?
245. Знайдіть перший член і знаменник геометричної прогресії (Ь„),
якщо:
1) Ь)о = 9 і Ь-і + Ьь = 168;
2) Ь3+ Ьь = 1260 і Ь4- + Ьь= 945.
246. При якому значенні х значення виразів 2 х + 1 ; х + 2 і 8 - л ' будуть
послідовними членами геометричної прогресії? Знайдіть члени
цієї прогресії.
247. Сума трьох чисел, що утворюють геометричну прогресію, дорів­
нює 63. Якщо до цих чисел додати відповідно 7, 18 і 2, то утво­
риться арифметична прогресія. Знайдіть дані числа.
Сума п перших членів геометричної прогресії
248. Знайдіть суму чотирьох перших членів геометричної прогресії
( Ь„ ), якщо Ьі = 2 1 6 ’ д = 6 '
249. Знайдіть суму п’яти перших членів геометричної прогресії 162,
108,72,....
Варіант 1 39
250. Знайдіть суму чотирьох перших членів геометричної прогресії
(Ь„), якщо:
1) £>4=125, 9 = 2,5; 3) 64 = 10, b-, = 10000.
2) bi =л/5, b5 = 25лІ5 , q <0;
251. Геометрична прогресія (Ьп) задана формулою п-го члена
Ь„ = 1 ■22"~і. Знайдіть суму чотирьох перших її членів.
252. Знайдіть перший член геометричної прогресії (*„), якщо 9 = 5 >
<S»= 156.
253. Знайдіть кількість членів геометричної прогресії ( у „ ), якщо
y i = 6 , q = 4, S„ = 2046.
254. Різниця п ’ятого і третього членів геометричної прогресії дорів­
нює 1200, а різниця п’ятого і четвертого членів дорівнює 1000.
Знайдіть суму п’яти перших членів прогресії.
255. Знайдіть перший член, знаменник і кількість членів геометричної
прогресії (с „ ), якщо с6 - с 4 = 135, с6- с 5 = 81, S„ = 665 .
Сума нескінченної геометричної прогресії, у ЯКОЇ Іq І< 1
256. Знайдіть суму нескінченної геометричної професії:
1)36,20, Ц І , . . . ; 2)21, Зл/7 ,3,....
257. Знайдіть перший член нескінченної геометричної прогресії, сума
якої дорівнює 75, а знаменник дорівнює у .
258. Знайдіть п’ятий член нескінченної геометричної прогресії,
перший член якої дорівнює -24, а сума дорівнює -16.
259. Знайдіть суму нескінченної геометричної прогресії ( Ьп), якщо
Ь2 =36, Ь4 =16.
260. Сума нескінченної геометричної прогресії дорівнює 27, а сума
трьох її перших членів дорівнює 35. Знайдіть перший член і
знаменник прогресії.
261. Запишіть у вигляді звичайного дробу число:
1)0,777...; 2) 3,(27); 3)0,2474747...; 4) 8,3(8).
40 Тренувальні вправи
Варіант 2
Числові нерівності
1. Порівняйте числа с і d, якщо:
1) c - d = 1; 2) d - с = 7  3 )с = о '-0 ,9 ; 4)</ = с + 0Д.
2. Точка С (4) розташована на координатній прямій лівіше від точ­
ки D ix ). Яке з тверджень є правильним: 1) л' > 4 ; 2) .v< 4;
3) х = 4 ; 4) числа х і 4 порівняти неможливо?
3. Доведіть, що при будь-якому значенні змінної правильна
нерівність:
1) (а +6)(а-9) > (а +11)(а —14) ;
2) (а -1 0 )2 - 1 2 < ( а - 7 ) ( а - 1 3 ) ;
3) (4а - 1)(4а +1) - (5а - 7)2 < 14(5а -1 ) ;
4) а (а -1 0 ) > 4(а —13).
4. Доведіть, що:
2
1) я - 8а +17 > 0 при всіх дійсних значеннях а
2) 6у - 9у 2 - 4 < 0 при всіх дійсних значеннях у;
3) х “ - бху +10 v2 - 4у + 7 > 0 при всіх дійсних значеннях х і у,
4) х" + 9у 2 + 2х + 6у + 2 > 0 при всіх дійсних значеннях х і у
5) х 2( х - у ) > у 2( х - у ) , якщо х > 0 і у > 0;
6) я 3 - 8 > Зо —6, якщо а >2;
х4 + 2х2 + 2
7) ------- > 2 при всіх дшсних значеннях х;
х +1
8) 5х2 + 9у 2 + 12ху + 6х + 9 > 0 при всіх дійсних значеннях х і у.
5. Доведіть, що:
2) (х + 1)(_у+ 2)(z + 8) > 32^хуг , якщо х > 0, у > 0, г > 0 .
Властивості числових нерівностей.
Оцінювання значення виразу
6. Дано: т < п. Порівняйте:
> 4 , якщо х > 0, у > 0 ;
1) т +9 і п +9 ; 3) 2,7« і 2,7т ;
2) п - 3 і т - 3; 4) - я і - т ;
5) -2 0 т і - 2 0 и ;
Варіант 2 41
7. Дано: п<т. Порівняйте:
1) « —5 і /»; 2) да + 6 і и; 3 ) - и + 4 і —»з + 4 ; 4 ) и + З і ? и - 2 .
8. Порівняйте т і 0, якщо:
1) 9т < 1 т ; 2 ) - ^ > ^ ; 3) - 4 т < -13;??; 4) - ^ < - | | .
9. Чи є правильним твердження:
1) якщо х > 2 і 7>14, т о х + у > 16;
2 )якщо х > 2 і .у >14, т о х + з' >15;
3) якщо х > 2 і у > 14, то х + у > 17;
4 ) якщо х > 2 і у >14, то х у > 28;
5) якщо х > 2 і 7 >14, то х - у > - 1 2 ;
6) якщо х > 2 і у > 14, то ху > 2 1 ;
7) якщо х > 2 і у > 14, то 2х + Зу > 46;
8) якщо х < 2 і у > 14, то у - х > 12;
9) якщо х < 2 і ^ < 14, то ху < 28;
10) якщо 0 < х < 2 і 0 < у < 14, то ху < 28;
11) якщо л- > 2 , то х 2 > 4 ;
12) якщо х < 2 , то х 2 <4;
13) якщо х > 2 , то і < ;
14)якщо х < 2, то 7 >^=г?
10. Дано: х < 0 і у > 0. Порівняйте:
1) х - у і 0; 2) х - у і у; 3)2 /-5 д г і х; 4) 4у 1 3 ; і /.
11. Дано: —5 < х < 1 . Оцініть значення виразу:
1)7х; 3 ) х + 3; 5 ) - х ; 7 ) З х - 2 ;
2 ) j ; 4) х - 8 ; 6 ) - 6 х ; 8 ) 9 - 5 х .
О
12. Дано: 2 <х < 1 . Оцініть значення виразу
О
13. Дано: - 2 < х < 1 . Оцініть значення виразу -*•.
14. Відомо, що 2,4 < л/б < 2,5. Оцініть значення виразу:
1) 4л/б; 2) -4 л /б ; 3) 7 - Т б ; 4 ) ^ ~ . Х'
42 Тренувальні вправи
15. Дано: 3 < х < 8 і 2 < у < 1 . Оцініть значення виразу:
1) х + у ; 3)ху; 5 )2 х + 5.у; 7) ;
Т ) Х - У . 4) і ; 6 ) 3 , - 4 , ;
16. Оцініть довжину середньої лінії трапеції з основами х см і у см,
якщо 9 < х < 1 3 , 8 < >>< 15,
17. Оцініть периметр і площу квадрата зі стороною х см, якщо
12 < х < 2 0 .
Нерівності з однією змінною
18. Які з чисел -7,5; 2; -1; ; 0 є розв’язками нерівності:
1 ) х > |; 3 )З х > х + 5; 5 ) ^ -  > 2 
2) х < 12 ; 4) х2 -3 6 < 0; 6) ^ 1?
19. Яка множина розв’язків нерівності:
1 ) ( х - 2 ) 2 > 0 ; 3) (дг-2) 2 > 0 ; 5 )0 л -< -3 ; 7) 0 х < 3 ;
2) („ї-2 ) 2 <;0; 4) ( х - 2 ) 2 < 0; 6) Од: > -3 ; 8 )0 х > 3 ?
20. Розв’яжіть нерівність:
^ ( * ^ ) 2 >0;
3) ——г ^ 0 ; 6 ) ( ^ | 2 > 0 ;
х - 2
Розв’язування лінійних нерівностей з однієї змінною.
Числові проміжки
21. Зобразіть на координатній прямій проміжок:
І)[-3;+со); 2) (—1; +со); 3) (-» ; 0); 4) (-оо; 0].
22. Зобразіть на координатній прямій і запишіть проміжок, що
задається нерівністю:
1) х > - 2 ; 2) х < -3 ; 3) х ^ 3 ; 4) х < 6 .
23. Знайдіть найменше ціле число, яке належить проміжку:
1) (-2,7; +оо); 2) [9; +«>).
Варіант 2 43
24. Розв’яжіть нерівність:
1) 2л: > 10; 5) 3,9*> 0;
2) —4л:< 16; 6) - 6 х < 0 ;
3) ^ * > - 3 ; 7 ) 2 | х > - 3 | ;
4) —0,2л:< —2; 8) 5 * > 2 4 - * ;
25. Розв’яжіть нерівність:
1) 4 (* -3 ) > * + 6 ;
2) 0,3(8 - З у ) <3,2 - 0,8(7 - 7 ) ;
9) 9* + 5 < 31 - 4*;
10) 7 - 4* < 6* - 23 ;
11) 4,7 - 2,3* < 1,2л*- 9,3;
12) | а- + 7 < І * + 2.
3) > 3* + 3 1 ;
4) 2*(2* + 1 )-5 (* -3 * ) < * (2 -* ) + 3 ;
* - 5 *+ 1
5)
6)
7)
4 З
х + 4 х+2
> 2 :
З
5 * - 2
6
З—*
< 4 ;
1- *
4 5 10 ’
8) (* + 4)(* - 2) - (* + 5)(* + 3) < - 8* ;
9) (3* + 1) 2 - (* + 2)(4* -1 ) > 5(* - 1)2 + 7*;
10) 3*(5 + 12*)-(6*-1)(6* + 1) > 10*.
26. Знайдіть найменший цілий розв’язок нерівності:
1) * - 4 < Зд: + 9;
2) 18*2 -(3 * -2 )(6 * + 5) < 20;
3) (3* + 2)2 - (9* - 1)(* +1) > 17;
4) (* - 3)(* + 3) > 2(* - 2)2 - *(* +1).
27. Розв’яжіть нерівність:
1) 5* + 7 > 3(2* - 5) - * ;
2) 4,5(2 - *) > 5,4 - 3(1,5* -1,2);
3) 8* + (* - 3)(х + 3) > (* + 4)2;
4) 3*(* - 3) - (3* + 1)(* + 4) > 2 - 2(11* + 3).
44 Тренувальні вправи
28. При яких значеннях х має зміст вираз:
5) л/9-15х + -— — ;
2) л/4-13.г ; 4)л/* + 9 + —— ;
29. Розв’яжіть рівняння:
1) |д: + 3 |- х = 2;
2) |3 х -1 | + jc = 2 ;
3) | jc- 2 | + jc = 8 ;
4) |x + 2 |- x = 6 .
ЗО. Побудуйте графік функції:
1) у = х + 2 2) у =  х - 4 | - 2 ; 3) >>= |x + l | + 2x.
31. При яких значеннях я має два різних дійсних корені рівняння:
1) х2 -3 х + 5а = 0 ;
2) (о + 3)д:2 - (2 а - І ) х + а = 0 ;
3) (я —5)х2 - 2(а —6)а"+ а - 4 = 0 ;
4) X і + 2 { а -  ) х + 2а2 +4а + й = 01
32. При яких значеннях а можна розкласти на лінійні множники
квадратний тричлен:
1) Зх2 + 5х + 2а; 3) 4 х2 - 2ах +1 ;
2) ах2 —Зх + 3 ; 4) (а - 2)х2 + 2ах + 2 ?
33. При яких значеннях Ь має додатний корінь рівняння:
1)4х + 5 = ЗЬ; 2) (6 + 5)x= 2?
34. При яких значеннях Ь має єдиний додатний корінь рівняння:
1) (Ь +3)х = Ь2 - 9 ; 2) (5Ь2 +1Ь)х = Ь'>
35. Для кожного значення а розв’яжіть нерівність:
1) (а + 2)х > 0; 5) а + 2 х > .3 -а х ;
2) (а + 2)х < 3 ; 6) 3 (а -д :)< 9 -а х ;
36. У деякій школі кількість хлопчиків відноситься до кількості дів­
чат як 5 :4. Яка найменша кількість хлопчиків може бути, якщо
всього в школі не менше 600 учнів?
37. Сторони трикутника дорівнюють 11 см, 15 см і х см, де д- — нату­
ральне число. Якого найменшого значення може набувати х і
3) (а+ 2)х > а + 2;
4) (в + 2) 2дг< 0 ;
7) (а - 3 ) х > а2 - 9 ;
8) (а +2)х ^ а2 —4.
Варіант 2 45
38. Сума трьох послідовних непарних натуральних чисел не більша за
139. Знайдіть найбільше значення, якого може набувати третє
число з цієї трійки чисел.
Системи лінійних нерівностей з однією змінною
39. Серед чисел -5; 3,5; 8 укажіть розв’язки системи нерівностей:
» І ! * : , 7- 2) | ^ : 4)[*<12; [* 2: 2; ' [ 7 * - 4 > * + 3; [6 -3 * < -1 3 .
40. Зобразіть на координатній прямій проміжок:
1) (—7; 1); 2) [-1; 6]; 3) [ - 6; 3); 4) (-5; 2].
41. Зобразіть накоординатній прямій і запишіть проміжок, що
задається нерівністю:
1 )2 < * < 4 ; 3) -2,1 < * < 5 ,2 ;
2 ) і < * < 2 | ; 4) —0,2 < * < 3 ,3 .
42. Запишіть усі цілі числа, які належать проміжку:
1) [2; 7]; 2) (1,3; 5); 3) [-2,3; 3,4]; 4) (-5,1; 1,4).
43. Укажіть найбільше і найменше цілі числа, які належать проміжку:
1) [-6;-2 ]; 2) (3; 15].
44. Зобразіть на координатній прямій і запишіть перетин проміжків:
1) [-5; 11] і [6 ; 13]; 4) (-<»; 4,1) і (4,7; +со);
2) (3; 8] і [3; 10]; 5)[2;-н») і [5,6; +оо);
3) (-со; 6,3) і (2,5; +оо); 6) [4; 13] і [7,2; 11).
45. Зобразіть накоординатній прямій і запишіть об’єднання
проміжків:
1) [4; 9,3] і [5; 11]; 4) (1; 5] і (5; +оо);
2) [2; 15) і (-1; 15]; 5)(^> ;17) і (9,1; +оо);
3) (-со; 8) і (6,7; 10); 6) (-«о; -3) і (2; +оо).
46. Розв’яжіть систему нерівностей:
.. 4* > 16, .. 10,4(* - 2) < 0,6* +1,
} [ - 3* > 4; } [5* + 3 > 4(* +1,25);
І 4 * - 3 > * + 6, 4. {*(* + 3)> (* + 1)(* —2) —1,
[5* +1 2: 6* -1 1 ; [(2* + 1)(* + 2) - (* - 2)(* - 4) < * 2;
5)
2 * -1 4 —* я> ^
4 2 4 ’
* - 1 2 - х і
- ^ - < - ч —+ -І-;
З 2 ’
46 Тренувальні вправи
(2х +1) +2х< (2х - )(2х +1) - 4,
6) ] 2 х —1 ^ х —5 х + 1
І 2 ~ ~ 4 8 ~ '
47. Знайдіть цілі розв’язки системи нерівностей:
1)
2)
8х - 9 < 5-ї - 7,
2 - х > З - 4х;
12х + 23> З х -4 ,
5х + 2 > 8 х -6 ;
[6-ї - 2 > 4-ї + 5,
І7х —10<2х + 11;
ГЗ.ї +2
•2 > 4х,
[(де + 5)(х - 3) > х(х -1 ) -1 9 .
48. Розв’яжіть систему нерівностей:
1)
[4(х —1) —3(х + 1) < х,
[0,5(х + 2) < 2(х +1,5) - 4;
49. Розв’яжіть нерівність:
1) - 4 < х - 9 < 5 ;
2) -2 ,6 < 5 х - 2 < 3 ;
3) 0,8 < 1- Зх < 3,7;
х
2)
5х + 6 < 3(х + 2) + 2(х —1),
х(х - 8) - 2 > (х + 7)(х - 2).
5) з ^ - 4;
6) 0,3 < < 0,5.
4) 2 < у +1 < 2,1;
50. Скільки цілих розв’язків має нерівність:
1) - 4 < 2 х -5 < 6 ; 2) - 2 < 4 - 1 їх < 7 ?
51. При яких значеннях х значення функції у = х(1 - ^ 5 ) належать
проміжку [2л/5 —2; 4л/5 -4 ]?
52. Розв’яжіть систему нерівностей:
0,3 - 5х > 2,8,
4,5х + 1>10,
2,2х-1 < 2х-1,3.
53. При яких значеннях змінної має зміст вираз:
3) ч /5 х -4 5 + Т 8 ^ х ;
З 5 „
х < 9, ї х - 2 > 13,
І ) ' х > 6, 2)- 5 - 2х < 8, 3) ■
х < 7,4; 6х —5 > 3;
1) л/Злг—10 + л/4х —11 ;
2) л/4х + 5-
л/і 1—2х ’
54. Розв’яжіть нерівність:
1) (х + 7)(х -1) > 0;
2) (х + 2)(х + 1)<0;
4)
л/8 —5л: х 2 + 2х
х + 4 лЗ -----т < 0 ;
’ х - 4
.ч х + 9 „
4) ЗГ=9 > ’
Варіант 2 47
55. Розв’яжіть нерівність:
1) Іх |< 7 ; 2) |х —11< 3,8; 3 ) |7 х - 5 |< 3 ; 4) 15 - 4 х )< 6 .
56. Розв’яжіть нерівність:
1) | х |> 9; 2) | х —4 1> 3,2 ; 3) 10,4х + 3 |> 2 ; 4 ) |7 - 8 х |> 9 .
57. Розв’яжіть рівняння:
1) Іх | + 1х —3 1= 4 ; 3) | х | —| х - 3 1= 4 ;
2) |х - 2 | + |х + 3| = 5 ; 4) | 2 х - 6 |- |х + 4 | = 4х + 10.
58. Розв’яжіть нерівність:
1) | х + 3 1+4х> 6 ; 4 ) |х + 2| + |х - 3 |> 4 ;
2) !х —4 1—5х <12; 5) | х + 2,21- 1х -1,8 ]< 4;
3) |х + 3| + |х - 3 |5 б ; 6) |Зх-ь 16 1- 12х- 1 4 1> 8.
59. Для кожного значення а розв’яжіть систему нерівностей:
„ { * < - * . 2) І* >•*.
|х < а; [х> а.
60. При яких значеннях а обидва корені рівняння х - ( 3 а + 2)х +
у
+ 8а - 4 а = 0 більші за число -7?
61. При яких значеннях а обидва корені рівняння х2 - ( 5 о - 2 ) х +
+ 6а - 4а = 0 належать проміжку [4; 7]?
62. При яких значеннях а один з коренів рівняння 2х2 - (Зо + 5)х +
+ а1 + 2а - 3 = 0 менший від 3, а другий — більший за 5?
Функція
1 2 •
63. Функцію задано формулою g(x) = 2х - ■-х .Знайдіть:
1 ) * Н ) ; 2 )* (0 ); 3 ) * ( - 3 ) ; 4 ) ^
64. Дано функції к(х) = 2х —^ і #(х) = 4 х - 3 . Порівняйте:
1) й(-1) і *(0); 2) Л(2) і 3) ^ 1 «(2) •
65. Дано функцію
1, якщо х < -3 ,
2х + 7,якщо - 3 < х < - 1 ,/( * ) = ■
Знайдіть: 1) /(-3,01); 2) /(-3 ); 3) /(-2 ,5 ); 4) /(0 ).
2х +3, якщо х > —1.
48 Тренувальні вправи
66. Знайдіть область визначення функції:
х+3
1) /( х ) = 2 х -1 7 ; Ю) / W = w _ 5 >
2 ) / w = T T 2 ; И )/(х) = 1_л
х - 7 W + 6 ’
3) / ( * ) = — у — ; . . . . . . 17
2 12) /( * ) = - 2 ;
X-З U - *
4) /( x ) = ^ _ L ; ' -------
2jc + 3 13) f { x ) = y[x + 2 ~ 4 x - 2 - ,
5 ) / ( х ) = л / з + 7 ; г -
-
х - 3
14) /( х ) - У І 2 - Х
6 ) /( * ) = - А ; ,_ ЯД 1 _
v* J 15) /(x ) = V x -4 + V 4 ^ x ;
х . /-г х - 2
7) /(•*) - ^2 _ з ’ 16) f ( x ) = y /x - 3 ,
щ т = 7 7 Г б ’
9) / м ' Ї Ї Т 7 ;
ІХ+Х Vx+5 х - х - 1 2
х2 +7
67. При якому значенні х значення функції / (х) = --------- дорівнює:
х + 1
1)4; 2) 6 ; 3) - 1?
68. Знайдіть область значень функції:
1) f{ x ) = 'Ix + 3 7) / ( х ) = Л/І И ;
2) / М = -/х -1 ; 8) Д х ^ л /Г ^ Ї + Т Ї ^ ;
3) Я * ) = 2 - х 2 ; 9) /( * ) = V 4 -x 2 ;
* г ї Т Г 2 |+Зі; 10) / ( * ) = - / - .
5) /( * ) = 1*1 + 1; х + 2
6) Д х ) = л / І Ч Ї - 3 ;
69. На рисунку 5 зображено графік функції у = / (х), визначеної на
проміжку [-4; 5]. Користуючись графіком, знайдіть:
1) /(-3 ,5 ); /(-1 ); /(0 ); /(1,5); /(3 ); /(4,5);
2) значення х, при яких / (х) = -1,5; / (х) = 1,5; /(х ) = 3; / (х) = 0;
3) найбільше і найменше значення функції;
4) область значень функції.
Варіант 2 49
Рис. 5
70. Функцію задано формулою /(х ) = - х 2 +1, де - 2 < х < 3.
1) Складіть таблицю значень функції з кроком 1.
2) Побудуйте графік функції, користуючись складеною таблицею.
3) Користуючись графіком, знайдіть, при яких значеннях
аргументу / (х) > 0 .
71. Побудуйте графік функції:
1) f { x ) = 2х - 1 ; 3) f{ x ) =-За- ; 5) f ( x ) = f ;
2 ) /(* ) = 5 + I * ; 4)/ (х) = - 2 ; 6) /( * ) = - § .
72. Знайдіть область визначення і побудуйте графік функції:
х2 —1 Зх —9
1) f i x ) - — j - ; 3) / (х) = ——— ;
лг—1 х - Зх
2) /(Л-) = ; 4) д х) = І1 Ь 1 .
2 - х М “ 1
73. Побудуйте графік функції:
1J
— якщо х < - 4 ,
50 Тренувальні вправи
Зх + 2, якщо х < - 2 ,
2) / ( х ) = { ~ 2 х ~ 3> якщо - 2 < л :< 0,
-5, якщо л >0.
74. Знайдіть, не виконуючи побудови, точки перетину з осями коор­
динат графіка функції:
2) А(*) =
2х + З
.2
4 )^ (.ї ) = л -4 .Ї + 3;
5) / (х) = Зл'2 +1 їх —4;
6) / ( * ) =
х 2 - 2
х г +23) ф(л-) = х - 2 5 ;
75. Задайте формулою лінійну функцію / ( х) = кк+Ь, для якої
/(10) = -15 і /( 7 ) = - 1 5 |.
;:А .
V 7
в)
Рис. б
у>
-21 0 і 14 X
1
 і
 /
і
 /
/
ч /- 9
б)
Варіант 2 51
Властивості функції
76. На рисунку 6 зображено графік функції у = / (х). Користуючись
графіком, знайдіть:
1) нулі функції;
2) проміжки зростання і проміжки спадання функції;
3) множину розв’язків нерівності / (х) < 0 .
77. Знайдіть нулі функції:
78. Які з лінійних функцій у = 2х + 62; у = -0,1 8х +1;
у = 0,25х —20; у = 122х —1; _у= 0,04х; у = —х - 1 :
Парні і непарні функції
79.- Відомо, що / ( —3) = 7. Знайдіть /(3 ), якщо функція /: 1) парна;
2 ) непарна.
1) (-3; 3); 2 ) Н о ; - Ц и [ 1 ; + «>); 3) (-10; 10]; 4 )(-5 ;+ с о )?
1) /( х ) = -0,2х + 5;
2) / (х) = 5х2 - 6х + 1;
5) / 0 0 = 7 |х |- 2 ;
6) / ( х ) = ^  х  + 1 ;
3) = 7) / ( * ) = ( * - 2 ) 7 ^ 3 .
1) зростаючі; 2) спадні?
80. Чи є функція / (х) = х непарною, якщо її областю визначення є
множина:
81. Чи є парною або непарною функція, задана формулою:
_ - 7 V7 ■1) / ( х ) - ї х ;
2) /( х ) = 2х6 - Зх4 ;
7) / (х) = (х - 5)(х + 4) + х ;
8) /(х ) = (х + 1)2 + (х - 1)2 ;
4) /( х ) = / х 2 - 1 6 ;
5) /( * ) = х3 + х2 + 4 ;
10) /( * ) = —х2 | х |;
6) /( х ) = —
х + 6 ’
82. На рисунку 7 зображено частину графіка функції у = #(*), визна­
ченої на проміжку [-6 ; 6]. Побудуйте графік цієї функції, якщо
вона є: 1) парною; 2) непарною.
52_________________________________________________Тренувальні вправи
Рис. 7
Перетворення графіків функцій
83. Побудуйте графік функції:
б) г)
Рис. 8
Варіант 2 53
84. На рисунку 8 зображено графік функції у - /(* ) . Побудуйте
графік функції:
1)>’= /(* ) + 1; 3) у = /( * + 3); 5) >- = - /( * ) ;
2) у = Д х ) - 2 ; 4) у = / ( х - ї ) ; 6 ) у = 2 - Д х ) .
85. Побудуйте графік функції:
1) У = *2 5) у - 2 > - х 2 8) у = (* + 2)2 + 2;
2) 7 - дг2 - 2 ; 6 )у = (* + 3)2 ; 9) у = (* -2 )2 -1 ;
3) >>= л:2 + 2; 7) ^ = (де- 1)2; 10) у = -(*+1)2 - 2 .
4 ) у = - х 2 -  ;
86. Побудуйте графік функції:
1) у , І - 3 ) у - | + 2 ; 5 ) , = ^ ; 7 ) , = ^ ;
2 ) , = § - 1 ; 4) у = « > = ^ - 1 ; =
87. Побудуйте графік функції:
1) у = у[х; 4) у = л/*- 1 ; 7) у = 2 + л /х -1 ;
2) у = л[х + 2 ; 5) у = -->/* ; 8) у = -2 - >/* + 1 .
3) у = л/.х + З ; 6) >’= 1- л/* ;
Квадратична функція, її графік і властивості
88. Визначте напрям віток і координати вершини параболи:
1) у = х 2 + 2х - 3 ; 3) у = 0,3* 2 + 3,6* +11,3 ;
2) у = -де2 - де+ 2 ; 4) „V= -Зде2 - 6х + 5 .
89. Побудуйте графік функції:
1) у = X і + 4* + 3; 5)>> = 3 * -* 2;
2) у - —х 1 -2де + 3; 6) у = 1 - х 2;
3) у = ± х 2 - 2 х - 4 ; 7) у = -0,1х2 + 0 ,4 * -0 ,4 ;
4) у = 2х2 -4 х + 1; 8) у = х2 - 4 х + 5.
90. Побудуйте графік функції /(х ) = х2 -4 * + 3. Користуючись гра­
фіком, знайдіть:
1) /(4 ); /(2,5); /(0,5);
2) значення *, при яких /(* ) = —!; /(* ) = —2 ; /( х ) = 8 ;
54 Тренувальні вправи
3) найбільше і найменше значення функції;
4) область значень функції;
5) проміжок зростання і проміжок спадання функції;
6) множину розв’язків нерівності /(х ) > 0 ; /( х ) < 0 .
91. Побудуйте графік функції /( х ) = 6 х -3 х 2. Користуючись графі­
ком, знайдіть:
2) значеннях, при яких /( х ) = 3; /(х ) = 0; /(х ) = ~9;
3) найбільше і найменше значення функції;
4) область значень функції;
5) проміжок зростання і проміжок спадання функції;
6) множину розв’язків нерівності / ( х ) > 0 ; / ( х ) < 0 .
92. Побудуйте в одній системі координат графіки функцій у = і
у = X і - х - 2. Знайдіть, користуючись одержаним рисунком,
• * 2 8
корені рівняння х - х - 2 - - ~ .
93. Побудуйте в одній системі координат графіки функцій у = Щ- і
_у= - х 2 —х + 6 . Установіть, користуючись одержаним рисунком,
2 ґ 12
кількість коренів рівняння —X - Xт 6 = - у .
94. Н ехай/) — дискримінант квадратного тричлена ах2 + Ьх + с. Зо­
бразіть схематично графік квадратичної функції у = ах2 + Ьх + с,
якщо:
95. Знайдіть область значень та проміжки зростання і спадання
функції:
1) /(1 ); /(0,5); /(3 );
1) а< 0 , Б > 0 , с< 0 , —^ - > 0 ;
2) а >0, £>= 0, - — <0;
3) о < 0 , £><0 , " ^ < 0 -
1) /( х ) = 2х2 - 8х + 1 ;
2) /(х) = —ід*2 + х - 2 ;
3) /(х ) = 17 - 1 6х - 0,2х2 ;
4) /( х ) = 5х2 + Вх.
Варіант 2 55
96. При яких значеннях р і с} графік функції у - х 2 +рх + д прохо­
дить через точки А (1; -1) і В (3; - 2) ?
2
97. При яких значеннях а і Ь парабола у = ах + Ь х - 1 проходить
через точки М (-1; 3) і N (2; 4) ?
98. Графік квадратичної функції — парабола з вершиною в початку
координат, яка проходить через точку (3; - 27). Задайте цю функ­
цію формулою.
99. Графік квадратичної функції — парабола з вершиною в точці
А (0; -3 ), яка проходить через точку 5(3; 24). Задайте цю функ­
цію формулою.
100. При яких значеннях р і д вершина параболи у = х 2 + рх + д зна­
ходиться в точці (2; 5)?
101. Парабола у = ах2 + Ьх + с має вершину в точці М ( 3; 1) і прохо­
дить через точку ЛГ(1; 3). Знайдіть значення коефіцієнтів а, Ь і с.
102. Побудуйте графік функції у = х 2 - 2х + 3 при х є [0; 3] і знайдіть,
користуючись графіком, її область значень.
103. Знайдіть найбільше значення функції у = - 2 х 2 +12х + 3 на про­
міжку:
1) [0; 2]; 2) [2,5; 4]; 3) [5; 12].
104. При якому значенні с найменше значення функції у - Зх2 -
-б х + с дорівнює- 2 ?
105. На параболі у = х 2 + Зх - 8 знайдіть точку, у якої:
1) абсциса і ордината рівні;
2) сума абсциси і ординати дорівнює 4.
106. Побудуйте графік функції:
- Зх - 5, якщо х < 1,
! ) / ( * ) =
2) /( х ) =
х 2 - 4х - 5, якщо 1< х < 4,
- 5, якщо х > 4;
2х + 1, якщо х < - 1,
х - х 2, якщо - 1 < х < 2 ,
1, якщо х > 2 .
56 Тренувальні вправи
107. Побудуйте графік функції:
1 М / 2 2 |х + 1| ,
1) у = ~ ^ ( х - х - 2 ) ; 3) у = х- + * Х+ 1 - 6 ;
2) у = х2 - 2 1х | - 3 ; 4) у = х 2 + 2 х + 1 - х - 2 .
108. При яких значеннях а функція у = - 2хг - 3 х + а набуває від’єм­
них значень при всіх дійсних значеннях х?
109. При яких значеннях а функція у - (а + 1)х2 - 2х + 3 набуває
додатних значень при всіх дійсних значеннях х?
110. При яких значеннях а функція у = ( а - 2 ) х 2 4-2 x 4- 1 набуває
невід’ємних значень при всіх дійсних значеннях х?
111. При якому значенні а графік квадратичної функції у - ах1 +
+ (а + 2)х + 2 має з віссю абсцис одну спільну точку?
112. Нехай і х2 — нулі функції у = - 2 х 2 ~ (2 а ~ )х + З а + 2. При
яких значеннях а виконується нерівність х, < 2 < х2 ?
Розв’язування квадратних нерівностей
113. Розв’яжіть нерівність:
1) х 2 + х - 3 0 < 0 ; 9) х 2 +10х + 25 > 0;
2) х 2 - 10х + 16> 0 ; 10) 2х2 -З х + 4 > 0 ;
3) - х 2 + 0,8х + 2 ,4 > 0 ; 11) 9х2 - 6х + 1< 0 ;
4) 5х2 - 4 х - 1 2 < 0 ; 12) 4х2 -2 0 х + 25 < 0;
5) - 2 х 2 + 7 х - 6 < 0 ; 13) Зх2 - х 4-2 < 0;
6) 2х 2 -5 0 х > 0 ; 14) - 9х2 4-4х - 2 < 0;
7) 4х2 - 4 9 < 0 ; 15) - 4 х 2 4 -4 х -1 5 0 .
8) 16х2 - 8х +1 > 0 ;
, Розв’яжіть нерівність:
1) х 2 <16; 4) - 4 х 2 > -1 2 х ;
2) х 2 > 5 ; 5) - ї х 2 < -2 8 ;
3) 9х2 < 5х; 6) 0,4х2 < —Ю х.
Варіант 2 57
115. Знайдіть множину розв’язків нерівності:
,ч . -ч х 2 + х 8х --1
1) (2-ї - 1)(л' + 3 )> 4 ; 4) — ----------
х 2 - 4 х х - 3 „ 1- х
2) (х + 2)2 < 13 —(х —З) 2 ; 5 ) —
8 5 о
3) х 2 + х(1 - л/5) < V5 ; 6) (6х - 5) 2 + (Зх - 2)(3х + 2) > 36.
116. Знайдіть область визначення функції:
1) у = Vx2 - 2 х -4 8 ; 3) у = л/х2 - 5 х - 1 4 -
х 2 -2 5
2х - 1 .. х + 3 х —1
2) ^ = -т — = ; 4) у = -
лІ4х~6х2 ’ ' т і й - З х - 2х~2 2х 2 -З х + 1
117. Знайдіть цілі розв’язки нерівності:
1) 2х2 + 8х < 0; 4) 6х 2 - 7х + 2 < 0;
2) х 2 -1 2 < 0 ; 5) - j x 2 - 2 х + 9 > 0;
3) ~ 4 х 2 +13х—3 > 0 ; 6) х 2 -2 ,6 х + 1,2<0.
118. Розв’яжіть систему нерівностей:
n jx 2 - 3 x - 1 0 < 0 , 4> fx2 - 5 x - 1 4 < 0 ,
[ х > 1; (Зх + 6 < 0 ;
2) ГЗх2 -Ю х - 8 > 0 , 5Л х 2 - х - 6 > 0 ,
[х < 5; |х 2 - х - 3 0 < 0;
3Л 2 х 2 - З х - 9 < 0 , |х 2 - 4 х - 1 2 < 0 ,
J І 2 х - 7 > 0 ; jx 2 - 6 х - 7 <0.
119. Знайдіть цілі розв’язки системи нерівностей:
js |х 2 -7 х + 6 < 0, Зч |х 2 - 7 х - 1 8 > 0 ,
|х > 2 ; [-3,1 < х < 15,4;
2) [Зх2 - 4 х < 0, 4) [х2 + (7 П -3 )х -З л /П < 0 ,
-0 ,З х + 0 ,9> 0; j - x 2 - 1,5х + 7 > 0.
120. Знайдіть, при яких значеннях а не мас коренів рівняння:
1) х 2 +(а + 1)х + 1= 0; 3) (9-3fir)x2 - ( a - 3 ) x + l = 0;
2) ( а -  ) х 2 —2ах + 3а = 0; 4) (о -2 )х 2 - 2 { а + 1)х + За + 3 = 0.
58 Тренувальні вправи
121. При яких значеннях Ь має два дійсні різні корені рівняння:
2) Ьх2 + (26-1)х + 6 = 0; 4) (2г> + 10)х2 + (6 -1 0 )х -/> + 4 = 0?
122. Знайдіть, при яких значеннях а виконується при всіх дійсних зна­
ченнях х нерівність:
1) х2 —2(а +  ) х + 2 а 2 - я + 1> 0 ;
2) - І * 2 -2ш г + 8о2 - 4 а < 0 ;
3) ах2 + 8х - я + 1 0 > 0 ;
4) ( 4 - а 2)х 2 + 2(а —2)х+1 < 0.
123. Знайдіть, при яких значеннях т не має розв’язків нерівність:
1) тх2 ~ 2 т х + т - 9 > 0;
2) (Зт - 4)х2 + 2(т - 2)х + т - 2 < 0.
124. Для кожного значення а розв’яжіть систему нерівностей:
+ Ь - 4 = 0 більший за 2, а другий — менший від 2?
128. При яких значеннях а один з коренів квадратного рівняння
(1 —2 <яг)л:2 + (а 2 - 20)д: + 2 = 0 більший за 1, а другий — менший
від 1?
129. При яких значеннях т один з коренів рівняння
1) X і - Ь х + 2 6 -3 = 0; 3) (1—2Ь)х2 + 2(2Ь +1)* + 6 6 - 2 = 0;
125. Для кожного значення а розв’яжіть нерівність:
1) х 2 - ( а - 2 ) х - 2 а > 0 ; 2) х 2 ~3ах + 2а2 - а - 1< 0 .
126. Розв’яжіть нерівність:
1) х 2 —де—8 1< 12 ;
2) Іх2 —2х І> 3;
3) Ілг—3 1(* + 1)> 4х;
4) х2 —2 1х І< 15 ;
5) х 2 - 7 х + 1 2 > |х - 4 |;
6) |х |- |х - 3 | + х - 2 < 0 .
127. При яких значеннях Ь один з коренів рівняння х 2 ~{2Ь-Ъ)х +
х 2 + (2т + 3)х + т 2 = 0 менший від -3, а другий — більший за 0 ?
130. При яких значеннях а корені рівняння х2 -4 а х + 4 а 2 - а + 1= 0
більші, ніж 2 ?
Варіант 2 59
131. При яких значеннях а корені рівняння х - Ма —1)х+ За - 5 = 0
менші, ніж З?
132. При яких значеннях а корені рівняння 2х2 —(За —2)х —я + 1= 0
належать проміжку (-2; 1)?
Розв’язування нерівностей методом інтервалів
133. Розв’яжіть нерівність:
1) (х -1,8)(а + 3) < 0;
2) (х + 6)(х - 1)(х- 7) > 0;
3) (4.г + 3)(2х - 3)(а - 5) > 0;
4) (2 + х)(х + 7)(2 - х) > 0;
5) (х + 7,2)(4-а)( 5 -а)< 0 ;
6) (Зх + 20)(3 - 6х)(2х - 3)(7 - Зх) > 0.
134. Розв’яжіть нерівність:
2)
х + 7
> 0 ;
х - 2,6
4 ) ^ 0 ;
а -2 ,3
5 ) Ь ^ > 0;
х - 4
6 ) ^ 5 0 ;
1,8- З а
7) (х ± 5Ха1 7 ) ^ 0 .
А — 11
8)
9)
а -6,5
( а + 3)(а -14)
а + 6 ,8
> 0 ;
(7 —а)(а -4 )
< 0 .
135. Знайдіть множину розв’язків нерівності:
1) (а2 + 5 а)(а2 —16) > 0;
а 2 + 6 а + 5
3) - г < 0 ;
а - За + 2
2) ( а 2 - 4а + 3)(х2 - 2а) < 0;
136. Розв’яжіть нерівність:
1) (а2 +9)(х2 + а -12) < 0;
2) (а + 2)2(а2 + 2а - 3) < 0
3) (а + 2)г (а2 + 2х - 3) < 0
4) (а + 2)2(а2 + 2а —3) > 0
5) ( а + 2)2( а 2 + 2а —3 ) > 0
4) + 6* ~ 7 > 0 .
а 2 -2 5
6 ) ( а - 4 ) 2 ( а 2 + а - 2) > 0
7) ( х - 4 ) 2 ( а 2 + х - 2) > 0
8) ( а — 4 ) 2 ( а 2 + а - 2) < 0
9) ( а - 4 ) 2 ( а 2 + х - 2) < 0
1 0 ) ( а + 1)3 ( х - 1 ) 2 ( х — З ) 6 > 0 ;
60 Тренувальні вправи
11) (х + 1)3(х -1 )2( х - 3 ) 6 > 0 ;
12) (л-н-З)3(д: —І)2(дг—З)6(х —4)5 > 0 ;
13) (х2 + 9х + 14)(х2 + 5х + 7) > 0;
14) (х2 - Зх + 1)(5х - х2 - 9) < 0.
137. Розв’яжіть нерівність:
1>4 и ?£1 І >0; 6>4 + І £ ± і г 0 ;
х " - 6 х + 9 х“ - х - 1 2
х ‘ -6 х + 9 х - х - 1 2
3) 4 = ^ <0; 8 )-,2/ 4" 4 і О;
х -6 х + 9 х - х - 1 2
4) х  ~ 5х + 4 < о ; 9) И ± ?Л2 І <о-
х - 6х + 9 | х + 1 1
5 ) 4 ± ± і ± І > 0 ; 10) > 0 .
х - х - 1 2 х - 5х-3 6
138. Знайдіть множину розв’язків нерівності:
1 ) 4 ^ ° ; 2)
X2 -2 5 х 2 - х - 2
139. Розв’яжіть нерівність:
5 х -8 < х - 4 ^ х 2 + 7х ^ 8
х + 1 х+1 х + 3 х + 3
х2 - х2х
ІХ +
140. Для кожного значення а розв’яжіть нерівність:
2 ) -------- < 2 ; 4) ------- > 1 .
Зх + 5 х + 3
1) (х - 2)(х - а) < 0; 5) (х -о )(х + 4)2 < 0;
2) ( х - 2) ( х - а ) 2 > 0 ; 6) Й ^ ° ;
3) (х - 2)(х- а ) 2 > 0; 7) > 0 ;
4) (х - и)(х + 4) 2 < 0; 8)
Варіант 2 61
Граф ік рівняння з двома змінними
141. Побудуйте графік рівняння:
1) у = 3х-1', 6) х 2 + у 2 = 4; 11) |х | = 2 ;
2) 4* - 3,у+ 2 = 0 ; 7 )( * - 2 ) 2 + (у + 1) 2 = 9 ; 12)|>-[ = 1;
3 ) 4 у - х = 0; 8) ( * - 1)2 + / = 2 ; ІЗ) ху =1 2 ;
4) * + 2 = 0; 9 ) 7 = *2 - 4 * ; 1 4 )|д у | = 6 ;
5) 7 - 2 = 0; 10) *2 -> --З х + 2 = 0; 1 5 )у = |х + 2 |.
142. Побудуйте графік рівняння:
1) * = 2 / ; 7) (* + 2)2 +(_у-3)2 = 0 ;
2) х + у  = 2; 8) * 2 + 4х + _у2 - 2.у + 5 = 0;
3) | * ~ 7 | = 3; 9) х 2 +4х +у 2 - 2 у + 1= 0;
4) X і - 4 у 2 = 0 ; 10) |х | + І7І = 4;
5) 9х2 - у 2 = 0 ; 1 1 ) 2 |х |- М = 3;
6) 2х2 + 5 / = 0 ; 12) у = V4 - х 2 .
Системи рівнянь з двома змінними
143. Розв’яжіть графічно систему рівнянь:
[ у . , 1 - 4Х+ 3. 3 ) р + ^ - ^ 5 ) І*У =
2) і х 2 ~У = 2’ 4) І* 2 + (7 - І ) 2 =5, 6ч [х 2 + у 2 =10,
[х + 7 = 4 ; ] х -2>'Н-2 = 0; [х>’ = 3 .
144. Установіть графічно кількість розв’язків системи рівнянь:
іч / у = л/х, Чч { * 2 + 7 2 = 9, гч Г(*-2)" + у 2 = 4,
[7 = 3 - * ; [7= 3 —х 2 ; І 7 = 4 - З х 2 ;
[у = * 2 + 2 , (ху = 6, Г| У| = х,
і 7 = 5 - 2 х 2 ; І 7 = І * 2 “ 4 ; і 7 = - х 2 + 2 х + 3.
145. Розв’яжіть систему рівнянь:
 Л УҐ ~ * ' 2 )
7 ї х 2 + 3 X 7 = 1 8 ; [ * 7 = - 1 4 ;
62 Тренувальні вправи
3)
4)
х - 5 у = 3,
х 2 - 2 х у - у 2 ——1;
х 2 + х у - 3 у = - 1,
5)
6)
Зх - 2у = 9,
4х2 + 6у = 1;
6х + у = 5,
( х - 3 ) ( у + 5) = 2.[ 4 х - у = 3;
146. Не виконуючи побудови, знайдіть координати точок перетину:
1) прямої у = 1- 5х і параболи у = х 2 + х - 6 ;
2) прямої х - у - 5 = 0 і кола {х - З) 2 + (у + 1) 2 = 13;
3) прямої у = -Зх + 10 і кола х 2 + у 2 = 10;
4) парабол у = 4 х 2 +4х +  і у = ~2х2 - 4 х - 3 .
147. Розв’яжіть систему рівнянь:
1)
2)
3)
х 2 +2ху + у 2 =49,
х - у - 3;
І4х2 - 4 ху+ у 2 = 9,
[Зх2 + 2ху - у 2 = 36;
х ‘ —ху = —в,
[у2 - ху = 24;
148. Розв’яжіть систему рівнянь:
п І2х2 + у 2 = 54,
[ху = - 10;
ї х - у + ху = -4 ,
 х у ( х - у ) = -21-,
3) К " У = 2 26’
[.х ' + х у + у =13;
[ і 2 = 15
4) < V * 4 ’
[2 х -5 ^ = 9;
149. Розв’яжіть систему рівнянь:
[х2 + 3 х у - 1 0 у 2 = 0,
{х2 + 2ху —у 2 = 28;
4)
5)
6)
5)
6)
[5х2 + 3 у 2 =18,
І5х2 -3 .у2 =12;
4 х у - у = -40,
5х —4х_у = 27;
х 2 + 25у 2 = 29,
ху = 2 .
5 2 _
З х -2 у 2х+у
= 21,
-= 40;
Зх —2у 2х+ у
2х + у 3 (х -2 У) _ 2
х - 2 у 2х +у
х 2 +3х у - у 2 = 23.
2)
2 х2 + ху - 3у 2 = З,
х2 - 4 х у - 3 у 2 = 9.
Варіант 2 63
150. Скільки розв’язків залежно від значення а має система рівнянь:
Розв’язування задач за допомогою систем рівнянь
другого степеня
151. Різниця двох чисел дорівнює 6 , а сума чисел, обернених до даних,
152. Якщо деяке двоцифрове число, у якого число одиниць більше за
число десятків, поділити на різницю його цифр, то в частці одер­
жимо 12, а якщо поділити це число на добуток його цифр, то
неповна частка дорівнюватиме 1, а остача — 16. Знайдіть дане
число.
153. Площа прямокутника дорівнює 120 см2, а периметр — 46 см.
Знайдіть сторони прямокутника.
154. Площа прямокутника дорівнює 180 см2. Якщо одну його сторону
збільшити на 2 см, а другу зменшити на 3 см, то отримаємо
прямокутник з тією самою площею. Знайдіть початкові розміри
прямокутника.
155. З двох селищ, відстань між якими дорівнює 50 км, виїхали одно­
часно назустріч один одному два велосипедисти і зустрілися через
2 год. Знайдіть швидкість кожного велосипедиста, якщо один з
них витратив на весь шлях з одного селища до іншого на 1 год
40 хв менше, ніж другий.
156. Від пристані А до пристані В, відстань між якими дорівнює 90 км,
вирушили одночасно два катери. Один з них прибув у В на 1 год
15 хв раніше за другого. Знайдіть швидкість кожного катера, якщо
другий катер за 3 год проходить на 30 км більше, ніж перший за
одну годину, і швидкість кожного катера не перевищує 30 км/год.
157. Щоб пройти 60 км проти течії річки і 54 км в стоячій воді, тепло­
ходу потрібно 4 год 30 хв. Для подолання 162 км у стоячій воді
теплоходу потрібно часу на 3 год більше, ніж для подолання 72 км
проти течії цієї річки. Знайдіть власну швидкість теплохода і
швидкість течії.
158.3 двох міст, відстань між якими дорівнює 480 км, вирушили
назустріч один одному два автомобілі і зустрілися посередині
дороги, причому один з них виїхав на 2 год раніше від другого.
Якби автомобілі виїхали одночасно, то вони зустрілися б через
4 год 48 хв. Знайдіть швидкість кожного автомобіля.
дорівнює . Знайдіть ці числа.
64 Тренувальні вправи
159. Дві бригади, працюючи одночасно, можуть відремонтувати доро­
гу за 6 год. Якщо ж спочатку одна бригада самостійно від-
3
ремонтує дороги, а потім друга — решту, то весь ремонт буде
виконаний за 12 год. За скільки годин може відремонтувати
дорогу кожна бригада, працюючи самостійно?
160. Якщо відкрити одночасно дві груби, то басейн буде наповнено за
7 год 12 хв. Коли спочатку відкрили на 8 год одну трубу, а потім
відкрили другу, то басейн був заповнений через 4 год спільної
роботи. За скільки годин може наповнити цей басейн кожна труба,
працюючи самостійно?
161. З міста А в місто В, відстань між якими дорівнює 300 км, виїхала
вантажівка зі швидкістю 40 км/год. Через 1 год після цього з міста
А в місто В виїхав легковий автомобіль, який наздогнав ванта­
жівку і передав її водію розпорядження повернутися до А. Після
цього легковий автомобіль продовжив свій рух до В з тією самою
швидкістю і прибув у В одночасно з поверненням вантажівки до
А. Знайдіть швидкість руху легкового автомобіля.
162. З двох міст, відстань між якими дорівнює 280 км, виїхали одно­
часно назустріч один одному два автомобілі. Один з них приїхав у
друге місто через 1 год ЗО хв після зустрічі, а другий у перше
місто — через 2 год 40 хв після зустрічі. Знайдіть, з якою швид­
кістю рухався кожний автомобіль і через скільки часу після по­
чатку руху відбулася їх зустріч.
163. Одночасно з одного села в одному напрямі вирушили два вело­
сипедисти: один зі швидкістю 12 км/год, а другий — 15 км/год.
Через 4 год з цього села в тому самому напрямі виїхав автомобіль.
Знайдіть швидкість руху автомобіля, якщо відомо, що він наздо­
гнав другого велосипедиста через 20 хв після того, як наздогнав
першого.
164. По двох колах рівних діаметрів рівномірно обертаються дві
точки. Одна з них здійснює повний оберт на 2,5 с швидше, ніж
друга, і тому встигає зробити за 1 хв на 4 оберти більше. Скільки
обертів у хвилину виконує кожна точка?
Варіант 2 65
М атематичне моделювання
165. Розв’яжіть задачу, побудувавши її математичну модель.
1) Маса 8 однакових деталей дорівнює 18 кг. Чому дорівнює маса
28 таких самих деталей?
2) Відстань між містами А і В на карті дорівнює 5,6 см, а на
місцевості — 420 км. Яка відстань на місцевості між містами С
1А якщо на цій карті відстань між ними дорівнює 3,6 см?
3) Відстань між двома пристанями дорівнює 16 км. Від цих при­
станей одночасно в одному напрямі вирушили два моторних
човни. Один з них рухався попереду зі швидкістю 14 км/год, а
другий — 18 км/год. Через скільки годин після початку руху
другий човен наздожене перший?
4) Майстер та його учень можуть виконати разом деяку роботу за
12 год. За скільки годин може виконати цю роботу майстер,
якщо учневі для цього потрібно 28 год?
5) Катер подолав відстань між двома портами за 3 год, а теплохід
ту саму відстань — за 5 год. Знайдіть швидкість катера і швид­
кість теплохода, якшо швидкість катера на 16 км/год більша за
швидкість теплохода.
6) Купили 18 олівців по 40 коп. і по 60 коп., заплативши за всю
покупку 9 грн. 60 коп. Скільки купили олівців кожного виду?
7) Підлогу приміщення, довжина якого дорівнює 16 м, а ширина
— 12 м, хочуть замостити плиткою. Чи вистачить для цього
15 ящиків плитки, якщо одна плитка має форму прямокутника
зі сторонами 80 см і 40 см, а в один ящик уміщується 50 пли­
ток?
8) Для перевезення 15 т вантажу замість машини певної вантажо­
підйомності взяли іншу машину, вантажопідйомність якої на
2 т більша ніж у першої. Тому для перевезення вантажу знадо­
билося на 2 рейси менше ніж планувалось. Яка вантажо­
підйомність машини, яка перевезла вантаж?
9) Щоб переправити вантаж з точки А в точку В, його спочатку
піднімають по похилій поверхні, а потім опускають теж по
похилій поверхні, причому підйом виконується зі швидкістю
на 2 м/с більшою, ніж спуск. Шлях, який проходить вантаж з
точки А в точку В, має довжину 120 м, і триває це про­
ходження 14 с. Якби вантаж переміщували з точки В у точку А,
то ця операція тривала б 13 с. Знайдіть швидкість підйому і
швидкість спуску вантажу.
66 Тренувальні вправи
10) Два поїзди вирушили одночасно з двох станцій назустріч один
одному і після зустрічі кожен продовжив рух у початковому
напрямі. Один з них, швидкість якого на 10 км/год менша від
швидкості другого, прибув на -другу станцію через 3 год 36 хв
після зустрічі, а другий на першу станцію — через 2 год 30 хв.
Знайдіть швидкість, з якою рухався кожний поїзд. Через який
час після початку руху відбулася зустріч?
11)3 двох міст М і N одночасно назустріч один одному вирушили
два автомобілі. Один з них прибув у N через 48 хв після
зустрічі, а другий в М — через 1 год 15 хв. За який час кожний
автомобіль проїде відстань між M i N l
Відсоткові розрахунки
166. Морська вода містить 6 % солі. Скільки солі міститься в 340 кг
морської води?
167. Будівельники проклали 480 м шляхопроводу за два тижні. За
перший тиждень вони виконали 45 % роботи. Скільки метрів
шляхопроводу проклали будівельники за другий тиждень?
168. Робітник одержав 840 грн. авансу, що становить 35 % його
заробітної плати. Яка заробітна плата робітника?
169. Морська вода містить 6 % солі. Скільки води треба взяти, щоб
отримати 84 кг солі?
170. Під час сушіння гриби втрачають 92 % своє маси. Скільки свіжих
грибів треба взяти, шоб отримати 24 кг сушених?
171. У шкільному актовому залі 240 місць. Під час вистави було
зайнято 228 місць. Скільки відсотків місць було зайнято?
172. Швидкість автомобіля зросла з 80 км/год до 82 км/год. На скільки
відсотків зросла швидкість?
173. Вартість деякого товару спочатку зросла на 10 %, а потім знизи­
лася на 10 %. На скільки відсотків змінилася початкова ціна?
174. Вкладник поклав до банку 24 000 грн. під 5 % річних. Скільки
грошей буде на його рахунку через 3 роки?
175. У 2004 році в деякому місті мешкало 60 000 жителів, а у 2006 ро­
ці — 54 150 жителів. На скільки відсотків щорічно зменшувалося
населення цього міста?
176. Скільки кілограмів 30-відсоткового і скільки кілограмів 40-від-
соткового сплавів міді треба взяти, щоб отримати 50 кг 36-від-
соткового сплаву?
Варіант 2 67
177. Вкладник поклав у банк ЗО 000 грн. За перший рік йому було
нараховано певний відсоток річних, а другого року банківський
відсоток було зменшено на 6 %. На кінець другого року на
рахунку стало 34 320 грн. Скільки відсотків становила банківська
ставка у перший рік?
178. Водно-сольовий розчин містив 4 кг солі. Через деякий час 4 кг
води випарувалось, унаслідок чого концентрація солі в розчині
збільшилася на 5 %. Якою була початкова маса розчину?
Випадкова подія. Ймовірність випадкової події
179. У коробці лежать 9 синіх і 18 зелених кульок. Яка ймовірність то­
го, що обрана навмання кулька виявиться: 1) синьою; 2) зеленою?
180. У лотереї розігрувалося 12 грошових призів по 10 000 грн.,
25 призів по 5000 грн., 45 призів по 1000 грн. Усього було випу­
щено 6000 лотерейних білетів. Яка ймовірність:
1) виграти 1000 грн.;
2) виграти який-небудь приз;
3) не виграти жодного призу?
181. Гральний кубик підкинули один раз. Яка ймовірність того, що
випаде число, кратне З?
182.3 натуральних чисел від 1 до 20 включно учень навмання називає
одне. Яка ймовірність того, що це число є дільником числа 20?
183. Яка ймовірність того, що навмання вибране двоцифрове число
ділиться націло на 14?
184. У коробці лежать 6 червоних і 5 чорних кульок. Яку найменшу
кількість кульок треба вийняти навмання, щоб ймовірність того,
що серед них є хоча б одна червона кулька, дорівнювала 1?
185. Чотири картки пронумеровано числами 1, 2, 3 і 4. Яка ймовір­
ність того, що сума номерів двох навмання вибраних карток
дорівнюватиме парному числу?
186. У коробці лежать білі і чорні кульки. Скільки білих кульок у
коробці, якщо ймовірність вийняти з неї навмання білу кульку
у
дорівнює у , а чорних кульок у коробці 27?
Початкові відомості про статистику
187. Дано 35 чисел, з них число 8 зустрічається 17 разів, число 13 зу­
стрічається 4 рази і число 18 — 14 разів. Знайдіть середнє ариф­
метичне цих 35 чисел.
68 Тренувальні вправи
188. Знайдіть міри центральної тенденції вибірки:
1 )7,9, 9, 12, 15, 15, 16,21,22,24;
2) 2,3; 2,8; 3,2; 3,8; 4,1; 4,3; 5,4.
189. У таблиці наведено розподіл за віком відпочиваючих в один з
літніх місяців у молодіжному спортивному таборі:____________
Вік у роках 16 17 18 19 20 21 22 23 24 25
Кількість відпочиваючих 12 21 20 32 20 20 19 24 15 7
Знайдіть відносну частоту кожного значення і міри центральної
тенденції вибірки.
190. У 24 легкових автомобілів зробили заміри витрати палива на
100 км і склали таблицю:
8 10 7,5 9 8 8,5
9 8,5 9 10 7,5 9
7,5 9 10 7,5 8,5 8
9 8 7,5 8,5 10 7,5
Складіть частотну таблицю і побудуйте відповідну гістограму.
Визначте частоту і відносну частоту кожного її значення.
Числові послідовності
191. Запишіть п ’ять перших членів послідовності:
1) двоцифрових чисел, кратних числу 5, узятих у порядку спа­
дання;
2) неправильних звичайних дробів з чисельником 18, узятих у по­
рядку зростання;
3) натуральних чисел, що дають при діленні на 3 остачу 2, узятих
у порядку зростання.
192. Знайдіть чотири перших члени послідовності ( а„ ), заданої фор­
мулою п-то члена:
1 )я„ = я - 4 ; 2 ) а „ = 3 - 2 п ; 3) 4) а „ = ^ - .
п -3
193. Знайдіть третій, п’ятий і сотий члени послідовності ( Ь„ ), заданої
формулою и-го члена:
3 ) 6 „ = 6 л - л 2 ;
2) Ь„ = 0,1л + 0,3; 4) Ь„ = (-1)" + ( - 1)п+2 .
194. Послідовність ( сп) задана формулою и-го члена с „ - ^ п - 4.
Знайдіть: 1) сх; 2) с8 ; 3) с!5 ; 4) с300 ; 5) ск+і.
Варіант 2 69
( - 1)п+2
195. Послідовність ( хп) задана формулою и-го члена х„ —— .
Знайдіть: 1) хх; 2) хІ0; 3) х2к ; 4) х2 к ; 5) х*+ і.
196. Знайдіть п’ять перших членів послідовності ( а„ ), якщо:
1) а, =2 а„+]= а „ - 3;
2) <?! = 27 ; аи+1 = ~ ;
3) а, = ОД ; а2 = -ОД ; а„+2 = 3а„ + яп+1;
4) —«2 —1' @п+2 ~ ^н+1 *
197. Послідовність ( _у„) задана формулою я-го члена >>„ = 3 - 5 я . Чи є
членом цієї послідовності число: 1) 23; 2) -11; 3) -247? У випадку
позитивної відповіді вкажіть номер відповідного члена.
198. Знайдіть кількість від’ємних членів послідовності ( г„ ), заданої
формулою я-го члена гп = 8я —43 .
199. Підберіть одну з можливих формул я-го члена послідовності,
першими членами якої є числа:
1) 1 ,9 ,2 5 ,4 9 ,8 1 ,.-; 3) 1,-2, 3 ,-4 , 5 ,...;
2) 4)0, 1,0, 1 ,0 , 1 ,0 , 1 , . . . .
200. Доведіть, що послідовність ( а„ ), задана формулою и-го члена, є
спадною:
1) = 2 0 - 3/7; 2) а„ = 5 + я - я 2 ; 3 ) а „ = ^ ~ .
201. Знайдіть найменший член послідовності ( ап), заданої формулою
я-го члена:
1) ап = и 3 -1 0 ; 2) а„ = я2 - 4 я + 1; 3) а „ = я + 1 .
Означення арифметичної прогресії.
Формула »-го члена арифметичної прогресії
202. Знайдіть чотири перших члени арифметичної прогресії ( а„ ),
якщо ах = -1,2 , й?= 0,3.
203. В арифметичній прогресії ( а„ ) ах = - 4 , сі = 0,8. Знайдіть: 1) а4;
2) #2і ; 3) .
204. Знайдіть різницю і двісті перший член арифметичної прогресії
5,4; 4,8, 4 ,2 ;....
70 Тренувальні вправи
205. Знайдіть формулу н-го члена арифметичної прогресії:
1)1,4, 7, 10,...; 3) 5о3, 7о3, 9я3, 11о3,...;
2)3, 2 | , 2 ± , 2 І , 4) о - l , о ~ 3 , о - 5 , а - 1 , . . . .
206. Знайдіть різницю арифметичної прогресії (с„), якщо:
1) С] = 6 , с9 = 38; 2) С4 = 40, cis = 12.
207. Знайдіть перший член арифметичної прогресії (о„), якщо:
1) о10 =19, d = 5; 2 ) о 3 =16, д8 =15.
208. Знайдіть номер члена арифметичної прогресії ( х„), який дорів­
нює - 2 ,6, якщо х: = 8,2 і d = -0 ,3 .
209. Чи є число 18,5 членом арифметичної прогресії (у„), якщо
у і —12 і d = 2,5 ? У разі позитивної відповіді вкажіть номер цього
члена.
210. Дано арифметичну прогресію —3,6; -3,3; -3; ... . Починаючи з
якого номера її члени будуть додатними?
211. Знайдіть кількість від’ємних членів арифметичної прогресії ( а„ ),
якщо Я] = - 2 0 , d = 1,8 .
212. Між числами - 3 і 11 вставте шість таких чисел, щоб вони разом з
даними числами утворювали арифметичну прогресію.
213. Знайдіть перший член і різницю арифметичної прогресії ( ап ),
якщо:
1) а} + оіз = 38 і о4 + «в = 29;
2) д4 + аі о= 16 і от-о6 = - 12.
214. Чи є послідовність ( а„ ) арифметичною прогресією, якщо вона
задана формулою и-го члена:
! ) о п = 7 - З и ; 3) а„ = 0,8и; 5 ) о „ = ^ | ;
2)о„ = 2п2 +1; 4) а„ = 0,64п + 23; 6) оп = ^”і-~^ ?
У разі позитивної відповіді вкажіть перший член і різницю про-
іресії.
215. В арифметичній прогресії кожний член прогресії помножили
на 3. Чи буде утворена послідовність арифметичною прогресією?
, 2
216. ГІри якому значенні о значення виразів а*'-4а, 2 а - 5 і о - 4
будуть послідовними членами арифметичної прогресії? Знайдіть
члени цієї прогресії.
Варіант 2 71
217. При якому значенні Ь значення виразів 36 + 1, 4 6 - 1 , Ь2 +Ь і
Ь2 +Ь +1 будуть послідовними членами арифметичної прогресії?
Знайдіть члени цієї прогресії.
Сума п перших членів арифметичної прогресії
218. Знайдіть суму вісімнадцяти перших членів арифметичної прогре­
сії ( а„ ), якщо А] = 3,8, сі = -1,4.
219. Знайдіть суму двадцяти п’яти перших членів арифметичної про­
ф е с ії-1 0 ,-7 ,-4 , ....
220. Арифметичну професію (а„) задано формулою и-го члена
а„ = -2п +1. Знайдіть суму тридцяти восьми перших членів про­
гресії.
221. Знайдіть суму сорока перших членів арифметичної професії
(я„), якщо:
1) -1 9 , Я]] = —6 ; 2) а~і - 6 , аХі = 2 6 .
222. Знайдіть суму дев’ятнадцяти перших членів арифметичної про­
ф есії ( а„ ), якщо я19 = 60, сі = 3,5.
223. Знайдіть суму вісімнадцяти перших членів арифметичної профе­
с ії^ ,,),я к щ о аи -йг3 - я 8 =27 і о6 + о14=В6 .
224. При будь-якому я суму п перших членів деякої арифметичної
професії можна обчислити за формулою 51,, = Зп2 + 1п. Знайдіть
перший член і різницю цієї професії.
225. Знайдіть суму всіх натуральних чисел, що кратні 7 і не більші
за 182.
226. Знайдіть суму всіх натуральних чисел, які кратні 8 і не більші
за 210.
227. Знайдіть суму всіх натуральних чисел, які при діленні на 5 дають
в остачі 3 і не більші за 188.
228. Знайдіть різницю і шістнадцятий член арифметичної професії
(йг„), якщо а = 8 і ^22 = 484.
229. В арифметичній професії перший член дорівнює -36, а сума
двадцяти восьми перших членів дорівнює 2016. Знайдіть різницю
і одинадцятий член професії.
230. Знайдіть перший і шостий члени арифметичної професії, якщо її
різниця дорівнює 0,6, а сума десяти її перших членів дорівнює 39.
72 Тренувальні вправи
231. Знайдіть суму членів арифметичної прогресії з сьомого по два­
дцять шостий включно, якщо перший член дорівнює 39, а різниця
дорівнює - 2 .
232. Знайдіть суму членів арифметичної прогресії (Ь„) з дев’ятого по
двадцять третій включно, якщо 6, = 9 і 6,7 =65.
233. Знайдіть суму всіх додатних членів арифметичної прогресії 7,4; 7;
6,6;....
234. В арифметичній прогресії (а„) я, = 12, сі = -2. Скільки треба взя­
ти перших членів прогресії, щоб їх сума дорівнювала -264?
235. Знайдіть перший член і різницю арифметичної прогресії, якщо
сума шести перших її членів дорівнює -51, а сума чотирнадцяти
перших членів дорівнює 49.
236. Розв’яжіть рівняння:
1) 11 + 17 + 23 + ... + (6и + 5) = 528, де я — натуральне число;
2) 2 + 5 + 8 + ... + * = 126, де* — натуральне число.
Означення геометричної прогресії.
Формула л-го члена геометричної прогресії
237. Знайдіть чотири перших члени геометричної прогресії ( Ь„ ), якщо
6] = 2 0 , 9 = 0,2 .
238. У геометричній прогресії (Ьп) 6, = _ 2 у> 9 = -3. Знайдіть: 1) Ь2 ;
2)Ь5-,3)Ь&-,4)Ьк .
239. Знайдіть знаменник і шостий член геометричної прогресії 72, 12,
2 ,....
240. Знайдіть знаменник геометричної прогресії ( Ь„ ), якщо:
1)6, = 0,0001, Ьц = -1000; 2) = 4, Ь6= 8.
241. Знайдіть перший член геометричної прогресії ( у п), якщо:
= 2) уз =15, у 6 =45л/з .
242. Число 162 є членом геометричної прогресії 4^,2,... . Знайдіть
номер цього члена.
243. Які два числа треба вставити між числами 64 і 27, щоб вони разом
з даними числами утворювали геометричну прогресію?
лП + 2
244. Послідовність ( Ь„ ) задана формулою и-го члена Ьп = — . Чи є
ця послідовність геометричною прогресією?
Варіант 2 73
245. Знайдіть перший член і знаменник геометричної прогресії (Ь„),
якщо:
1) Ьг = 25Ь6 і Ь2 + = -520;
2) Ь$-Ь2 = -54 і Ь) + 64 + Ьі = -36 .
246. При якому значенні х значення виразів З*-1 3 , х - З і х - 5 бу­
дуть послідовними членами геометричної прогресії? Знайдіть
члени цієї прогресії.
247. Сума трьох чисел, що утворюють арифметичну прогресію, дорів­
нює 15. Якщо до цих чисел додати відповідно 1; 1 і 4, то утво­
риться геометрична прогресія. Знайдіть дані числа.
Сума п перших членів геометричної прогресії
248. Знайдіть суму чотирьох перших членів геометричної прогресії
( Ь„), якщо Ь{ = 625, 9 = -5 ■
249. Знайдіть суму шести перших членів геометричної прогресії 16,
24, 36,....
250. Знайдіть суму чотирьох перших членів геометричної прогресії
( Ьп), якщо:
1) *6 =4 , ? = 2; з) г>3 = 36 , й6 = І .
2) г>,=л/з, Ь5 =9уіЇ , д > 0 ;
251. Геометрична прогресія (Ьп) задана формулою и-го члена
Ь„ = 0,4 •З”-1. Знайдіть суму п ’яти перших її членів.
252. Знайдіть перший член геометричної прогресії (х„), якщо 9 = 4 ,
54= 765.
253. Знайдіть кількість членів геометричної прогресії ( а„ ), якщо
о, = - 8 , <7= 3 , =-2912.
254. Різниця четвертого і другого членів геометричної прогресії дорів­
нює ЗО, а різниця четвертого і третього членів дорівнює 24.
Знайдіть суму п’яти перших членів професії.
255. Знайдіть перший член, знаменник і кількість членів геометричної
професії ( ) , якщо г5 - 2] = 9, = 3, Б,, = 153 .
74 Тренувальні вправи
Сума нескінченної геометричної прогресії, у якої Іq  < 1
256. Знайдіть суму нескінченної геометричної прогресії:
1)80; 30; 11,25;...; 2 ) 1 0 , 2 ^ 5 , 2 , . . . .
257. Знайдіть перший член нескінченної геометричної прогресії, сума
о
якої дорівнює 18, а знаменник дорівнює ^ .
258. Знайдіть четвертий член нескінченної геометричної прогресії,
перший член якої дорівнює -54, а сума дорівнює -81.
259. Знайдіть суму нескінченної геометричної прогресії ( Ьп), якщо
ЬА = 48, Z>6 =12.
260. Сума нескінченної геометричної прогресії дорівнює 162, а сума
чотирьох її перших членів дорівнює 160. Знайдіть перший член і
знаменник прогресії.
261. Запишіть у вигляді звичайного дробу число:
1)0,222...; 2) 6,(24); 3)0,6444...; 4) 5,1(6).
Варіант З 75
Варіант З
Числові нерівності
1. Порівняйте числа т і п, якщо:
1 ) / я - я = - 2 ; 2) и - « = 0,8; 3 ) / я = и + 0,7; 4) п ~ т -  0 .
2. Точка М(т) розташована на координатній прямій лівіше від точ­
ки £(1). Яке з тверджень є правильним: 1) /я > 1; 2) т = 1;
3) т < 1; 4) числа т і 1 порівняти неможливо?
3. Доведіть, що при будь-якому значенні змінної правильна нерів­
ність:
1) (а - 6)(а + 4) < (о + 2)(а - 4);
2) (о - 4) 2 - 3 > (а - 6)(а - 2);
3) (За - 2)(2а + 4) - (2а - З)2 > 4(5« - 4) - 1 ;
4) а ( а - 2 ) > 6(а —3) .
4. Доведіть, що:
1) а 2 - 10а + 26 > 0 при всіх дійсних значеннях а;
■у
2) 6у - 9 у - 2 < 0 при всіх дійсних значеннях у;
2
3) х ' - 4.xу + 5;’ +2у +2 > 0 при всіх дійсних значеннях х і у;
4) х2 - 4х +у 2 + 2у + 5 > 0 при всіх дійсних значеннях х і у;
5) а3 —Ь1 > аЬ(Ь —а) , якщо а>Ь;
6) пі3 —2 т 2 + т —2 > 0 , якщо т > 2 ;
а2 +3 - .
7) > 2 при всіх дшсних значеннях а;
 а 2 +2
8) 17>»~ —40ху + 25х - 4у + 4 > 0 при всіх дійсних значеннях х і у.
5. Доведіть, що:
1) (а + 2 6 ) ^ ^ + -і-j > 4 , якщо а > 0 і Ь> 0;
2) (а + 2)(Ь + 8)(с + 4) > 64Jäbc , якщо а > 0, b > 0, с > 0 .
Властивості числових нерівностей.
Оцінювання значення виразу
6. Дано: т >п. Порівняйте:
1) т + 3 і п + 3; 3) 2,3от і 2,3я; 5) —10т і - 7 0 я;
2) и - 4 і и - 4 ; 4) - я і - т ; 6) —y y i - j “ -.
76 Тренувальні вправи
7. Дано: а>Ь. Порівняйте:
1 ) а +І Ї Ь; 2 ) а і 6 - 4 ; 3 ) а + 2 і Ь - 3 ; 4) а - 3 і Ь - 2 .
8 . Порівняйте а і 0, якщо:
1) З а > 6а ; 2) 3) - 2 а > 5 а ;
9. Чи є правильним твердження:
1)якщо а> 4 і 6 > 8, то а +Ь >12;
2) якщо а> 4 і 6 > 8, то а + Ь > 11;
3 )якщо а > 4 і Ь > 8, то а + 6 > ІЗ ;
4) якщо а > 4 і Ь > 8, то аЬ > 32;
5) якщо а > 4 і Ь > 8, то а - 6 > - 4 ;
6) якщо а > 4 і Ь> 8, то аЬ > 30;
7) якщо а > 4 і 6 > 8, то 2а + ЗЬ > 32;
8) якщо а > 4 і £><8, то а - Ь > - 4;
9) якщо д < 4 і Ь < 8, то аЬ < 32;
10) якщо 0 < а < 4 і 0 < Ь <8 , то аЬ <32;
•у
11) якщо а> 4 , то я" > 16;
12) якщо а < 4 , то а" < 16;
13) якщо а > 4 , то ;
14)якщо а < 4 , то ^ ?
10. Дано: а <0 і Ь > 0. Порівняйте:
1) <зг—/»■і 0; 2) Ь - а і - Ь ; 3) З а -2Ь і Ь; 4) і у
11. Дано: - 3 < а < 2 . Оцініть значення виразу:
1) За; 3) а + 10; 5 ) - 5 а ; 7 ) 3 а - 1 ;
2 ) | ; 4) а - 2; 6) ~ | ; 8 ) 3 - 4 а .
12. Дано: - 5 < а < - 3 . Оцініть значення виразу ~ .
13. Дано: -1 < а < 2. Оцініть значення виразу ^ .
14. Відомо, що 3,14 < л <3,15. Оцініть значення виразу:
1)2я; 2) -Зтс; 3) 4 - я ; 4 ) ^ .
Варіант З 77
15. Дано: 2 < а < 5 і 1< 6 < 3. Оцініть значення виразу:
1) а +Ь; 3) а 6; 5) З а + 26; 7)
, ... А оч 0,4а-0,26
2) 6 - а ; ) а ’ 6) 4 а - 3 6 ; 8) ^ - ^ .
16. Оцініть периметр рівнобічної трапеції з основами а см і 6 см та
бічною стороною ссм,якщ о 9 < а < 12, 10 < 6< 1 4, 2 < с < 4 .
17. Оцініть довжину кола і площу круга з радіусом гем, якщо
З < г < 4 (число к округліть до десятих).
Нерівності з однією змінною
18. Які з чисел - 3 ; ; 0; 4; 0,8 є розв’язками нерівності:
1 ) х > - 0 , 8 ; 3) Зле—1> 2х+3 ; 5 ) л / х > - 2;
2 ) х < 4 ; 4) х 2 <0; 6) І >1?
19. Яка множина розв’язків нерівності:
1) (х + 4)2 < 0; 3) (х + 4) 2 > 0 ; 5) 0 х < 4 ; 7 ) 0 х < - 4 ;
2) (х + 4)2 < 0 ; 4) (х + 4)2 > 0; 6) 0 х > 4 ; 8 ) 0 х > - 4 ?
20. Розв’яжіть нерівність:
^) “ 7— — 2 < 0 ; 5 ) ! ^ 2 < і -
(х + 3)2 3 - х ~ 6 ’
б,
7 , ї ^ >0 ;
’ X+ 1 X+ 1
Розв’язування лінійних нерівностей з однієї змінною.
Числові проміжки
21. Зобразіть на координатній прямій проміжок:
1)[-2;+оо); 2) ( - 2 ;+со); 3) (-оо; -2 ); 4 )(-^ ;-2 ].
22. Зобразіть на координатній прямій і запишіть проміжок, що зада­
ється нерівністю:
1) х < 4 ; 2) х > - 3 ; 3 ) х < - 1 ; 4 ) х > 2 .
23. Знайдіть найменше ціле число, яке належить проміжку:
1) (-12,8;+оо); 2) [7; +оо).
78 Тренувальні вправи
24. Розв’яжіть нерівність:
1) 2* > - 6 ; 5) 8,7* > 0 ;
2) - 5 * <20; 6) - 3* > 0;
3 ) - | * > - 4 ; 7 ) 2 | * > - ^ ;
9) 5* + 8 < 2 - 3 *;
10) 5 - 4 * > 3 * + 8;
11) 2 , 3 * - 0 ,8 < 1 -0 ,4 * ;
12) | * + 1 2 > ~ і * + 9.
4) — 0,2* < 2; 8) 3* +1 > 4 * - 6;
25. Розв’яжіть нерівність:
1) 9 — 7 (* + 3) > 5 — 6 * ;
2) 0 ,4 (6 -4 * ) < 0 ,5 (7 -3 * )-1 ,9 ;
4^6 У  ) >ЗХ 11 2 ’
4) 3*(* + 1 ) - 2 * (5 * + 3) < 7*(2 - * ) + 4;
5 * - 2 2*~1 . 4 - *7)
8) 8(*2 -1) - Зх(х + 2) > 5*2 - 6* - 5;
9) (4* + 5)2 + (3 - 2*)(8* +1) > 7 ;
10) *(* + 2 )(6 -х ) < 1 4 -* (* -2 )2 .
26. Знайдіть найменший цілий розв’язок нерівності:
1) 5 (* -4 )> * + 8 ;
2) 3,6 + 5у >7(1,2- у ) ;
3) 2*(3*—4) —3*(2* + 5) < 7 ;
4) (* + 7) 2 - (* - 2)2 > -1 5 .
27. Розв’яжіть нерівність:
1) 5 * - 2 > 3 ( 3 * - 1 ) - 4 * - 4 ;
2) 2(1,3* - 4) - 5(1 - 3,2*) > 3(6,2* - 4) -1 ;
3) (2* + З)2 - *(2* -1) > 2х(х + 6) + 1 0 + * ;
4) - 3*(* + 2) + (* + 2)(4 - *) < 9 - (2* + 1)2.
Варіант З 79
28. При яких значеннях х має зміст вираз:
2) уіі- 4 х ; 4 ) 7 ^ 3 + - ^ - ;
х - 1
1) л/5І^З ; 3)
29. Розв’яжіть рівняння:
1) | х - 4 | + л' = 3;
2) 14лг —3 1—х ==—1 ;
3) | д г+ 2 | - * = 3;
4) [х —5 1-ьл- = 7.
ЗО. Побудуйте графік функції:
 ) у =х-5-, 2) у = |л' + 4 |- 3 ; 3) у = х + х - 1 .
31. При яких значеннях а не має коренів рівняння:
1) лг2 - 8 а'- З о = 0;
2) (а + 2)х2 -2 (о -4 )л - + о + 1= 0 ;
3) (о + ї)х2 —(2о + 5)х + а + 3 = 0 ;
4) л*2 -2 о х + 2а2 - 2 я + 1= 0 ?
32. При яких значеннях а можна розкласти на лінійні множники
квадратний тричлен:
1 ) —2х2 - 3 х +а  3) 2х2 —За.т + 1;
2) ах2 - х + 2; 4) ( а - 2 ) х 2 - 2 а х + 27
33. При яких значеннях Ь має від’ємний корінь рівняння:
1) З х - 4 = 2*; 2)(/> + 1)х=7?
34. При яких значеннях Ь має єдиний від’ємний корінь рівняння:
36. У лісі ростуть дуби, берези і клени, кількості яких відносяться як
3 : 5 : 4 відповідно. Яка може бути найбільша кількість дубів,
якщо всього дерев не більше 1000?
37. Сторони трикутника дорівнюють 9 см, 12 см і у см, де у — нату­
ральне число. Якого найбільшого значення може набувати у і
1) (Ь + А)х = Ь2 -1 6 ; 2) (ЗЬ2 + Щ х = Ь 1
35. Для кожного значення а розв’яжіть нерівність:
1 ) ( о - 1 ) х > 0 ; 4) (а- 1 ) 2.х< 0 ; 7) ( а - А ) х > а 2 -16;
80 Тренувальні вирави
38. Сума трьох послідовних натуральних парних чисел не більша
за 98. Знайдіть найбільше значення, якого може набувати друге
число з цієї трійки чисел.
Системи лінійних нерівностей з однією змінною
39. Серед чисел -3; 2,5; 6 укажіть розв’язки системи нерівностей:
1) 3)
4.Г-5 >2х + 1,
5* -1 > 3 - *;
4)
2 - 5 х > З,
3 - 2 х < 4 .
* > -5 , 2) | 'т --3>
1-ї < 9; 1*5 5;
40. Зобразіть на координатній прямій проміжок:
1) (—2; 1); 2) [-2 ; 1]; 3) [-2; 1); 4) (-2 ; 1].
41. Зобразіть на координатній прямій і запишіть проміжок
задається нерівністю:
1) - 3 < * < 4 ; • 3) - 2 , 5 <* < 3 , 8 ;
4) -1,5 < * <2 , 3 .
що
2) - | < * < 2 І ;
42. Запишіть усі цілі числа, які належать проміжку:
1) (2; 4]; 2) [-5,4;-0,2); 3) [-2,8; 2,7]; 4) (-2; 2).
43. Укажіть найбільше і найменше цілі числа, які належать проміжку:
1) (-7; 3]; 2) [3; 8).
44. Зобразіть на координатній прямій і запишіть перетин проміжків:
1) (0; 5) і [-2; 3);
2) [3; 6] і (3; 6);
3) (-со; 2) і [0; +со);
4) (-«з;-2,8) і [-2,8;+»);
5) [6 ; +оо) і (6 ; +»);
6)(3;+сс) і (3,1;+оо).
45. Зобразіть на координатній прямій і запишіть об’єднання
проміжків:
1) [2; 3] і [3; 7]
2) [2; 3] і (3; 7]
3) [2; 3) і (3; 7]
46. Розв’яжіть систему нерівностей:
4) [-2,5; 5) і (-1; 5];
5) Н о; 2] і (-4; 6);
6) (-со; 7) і (5; +»).
1)
2)
—Зх > 9,
4* < 1;
ї х - 3 > 2 (* - 6),
* + 5 > 3*-11;
4)
5)
(* + 1)(* + 2) - (* - 1)(х +1) < 4,
(* + 6)(* - 2 ) > *(* + 2) -13;
3*+5 * + 1
4
* - 4
+ 1>
2
2 - х
> - т — 1;
Г0,2(* —4) < 0,3* + 2,
1 І3(* + ! ) > * + 5;
(З* + 1)2 - 4* > (3* - 1)(3* +1) + 6,
6) 1 3 * - 1 х
- 4 < 4 - х .
4
Варіант З 81
47. Знайдіть цілі розв’язки системи нерівностей:
1)
2)
5-х:—13 < 2х + 7,
4 - х > 6 -З х ;
4х + 1 7 > х - 4 ,
З.т+ 2 > 7 х + 18;
Г7х+1
з) —
+ 3 > 4х,
4)
[(х + 5)(х - 3) > (х —1)(х - 2) + 3;
7 х - 2 > х + 20,
6х- 1 <4х + 7.
48. Розв’яжіть систему нерівностей:
1)
3 ( х - 2 ) > 2(х-1) + х - 6 ,
0,3(х -1) < 2(х +1,2) -1,4;
2)
[2(3х + 1) < 6(х - 2) - 1,
 і 4 х - 5
З----- о— < їх.
5) 2 < ^ ^ < 3 ;
2 -5 х
6) 2,5 < < 4,5.
49. Розв’яжіть нерівність:
1) - 1 < х - 3 < 7 ;
2) - 2 , 4 < 4 х + 0 , 8 < 4 ;
3) 0,2 < 7 - 4х < 1,4;
4) 3 < | - 2 < 3 ;
50. Скільки цілих розв’язків має нерівність:
1) - 5 < Зх —2 ^ - 2 ; 2) - 9 < 6 х - 7 2 4 ?
51. При яких значеннях х значення функції у = х(1-л /2 ) належать
проміжку [4 - 4лІ2; 3 - Зл/2] ?
52. Розв’яжіть систему нерівностей:
х < 7 , Зх—5 >11, Г0,3 —2х > 1,5,
1) • х > 5, 2) • 4 - 5х < -2, 3) < 3, 5х- 4< 10,
х < 6,3; З х - 2 > 5; [2,6х + 7 < 1,1х4-1
53. При яких значеннях змінної має зміст вираз:
1) у і 5 х - П + у і 2 х - 1 ;
2) VЗх + 5 н— ї " ;
л/8 —5х
54. Розв’яжіть нерівність:
1) (х + 6 )(х -4 ) < 0 ;
2) (х + 3)(х + 10)> 0 ;
,чх —6 Л
3) і з і 2 <°;
3) л/Зх- 8 + л /Г -х ;
4) 5 2
>/1 2 -1 їх х2 +;
.. 5 х - 2
4>Т Р Т Т >0;
5 ) ^ < 0 ;
6) ^ * 0 .
х —14
82 Тренувальні вправи
55. Розв’яжіть нерівність:
1 ) М < 5 ; 3 ) | 5 х - 4 | < 3 ;
2) | х + 11<3,1; 4) 118—7х |< 4.
56. Розв’яжіть нерівність:
1) | х |> 2 ; 3) 10,6х + 3|> 2;
2) |х + 3|>4,3; 4) 113 —5 х | > 9.
57. Розв’яжіть рівняння:
1) |х + 1 И х ~ 4 | = 6 ; 3) | х - 1 | - | х - 7 | = 8 ;
2) |лґ + 2[ + | х - 5 | = 7; 4) |З х -+•11- 1х- 4 } = 2 х - 3.
58. Розв’яжіть нерівність:
1) |х + 4 | + 2 х ^ 7; 4 ) | х + 4| + | х - 2 | > 6 ;
2) і х -31 - 2 х < 9; 5) |х + 3 ,5 |- | х -2 ,5 1 < 5 ;
3) |х + 5| + | х - 3 | < 8 ; 6) |4х + 3 ] - | х - 2 | > 3 .
59. Для кожного значення а розв’яжіть систему нерівностей:
1) ( Х > 5 ’ 2) | Х < " 1’
[х < а ; [ х < - а .
60. При яких значеннях а обидва корені рівняння х 2 - (а + 1)х -
- 2а2 - а = 0 менші від числа 5?
При яких значеннях а обидва к
+ 2а - 1 = 0 належать проміжку [3; 10]?
2 2
61. При яких значеннях а обидва корені рівняння х - 4ах + За +
62. При яких значеннях а один з коренів рівняння Зх2 - (1а + 2)х +
+ 2о* + 4а = 0 менший від 0, а другий — більший за 1?
Функція
1 ■}
63. Функцію задано формулою / ( х ) = ~х~ - 4 х . Знайдіть:
1 ) /( - 3 ) ; 2) /( 0 ) ; 3 ) / ( 3 ) ; 4)
64. Дано функції / ( х ) = х - ^ і я(х) = 2х +1. Порівняйте:
і) /(1 ) і * Н ) ; 2) / ( 2) і £ (0 ); 3) / ( - 2) і я 0) •
Варіант З 83
65. Дано функцію
/ « =
- 2, якщо х < - 1,
у
х - 3 , якщо - 1 < х < 2,
2х - 3, якщо х > 2,
Знайдіть: 1) /(-1,001); 2) / ( - 1); 3) /( 0 ) ; 4) /(3 ).
66. Знайдіть область визначення функції:
1) /( х ) = Зх + 5 ;
. 2х +1
7) /(■*■)=—5— ;
х2 - 6
2) / ( х ) ^ - 78 ; 8) /(* ) = - - ;
х +9
3) / ( * ) = £ г г ;
5г 4-Д
9) /( х ) = _ ^ ± . ;
4х - х
4) /(* ) = 2х - 1 ’ 10> / « = = і х ! - 2 ;
5) /( х ) = л / 5 - х ; 1І> / « = | х [ + 4 =
5) /(Х) = ^ 2 ;
12) / ( х ) = —2~ ■
X —ІXІ
13) /(Х ) = л / 7 ^ ї - у 1 б ^
14) / ( Х) = ^ Т 2 + ^ Ї
15) / ( х) = 7 5 ^ - л/х^ 5
16) /( х ) = Т ^ 5 - - Л -
у 4 - х
і?) / (х )= 7 ІТ з + 4 ^ ;
х - 9
^ З х - 1
18) Д х ) = -
7 ^ + 4 ^ 2 - ^ - 6
67. При якому значенні х значення функції g(x) -
х2 + 2
х +1
1) 2 ; 2) 3; 3) - 2 ?
68. Знайдіть область значень функції:
1) /(х ) = л /І+ 2 ;
2) /( х ) = л / х - 3 ;
3) /( х ) = 4 —х ;
4 ) / ( х ) = х2 +1;
дорівнює:
84 Тренувальні вправи
5) /( х ) = | х | - 1; 8) /(х ) = л /х ^ 8 -л /8 ^ х ;
6) /( * ) = л/х2 + 9 - 1 ; 9) = ^ 9 ~ х 2 5
7) / ( * ) = ^ -| * + 1 | ; 10) / ( * ) = — і— .
* +3
69. На рисунку 9 зображено графік функції у = / ( х ) , визначеної на
проміжку [-5; 4]. Користуючись графіком, знайдіть:
1) /( - 4 ) ; /(-3 ,5 ); /(-1 ); /(2 ); /(3 ); /(4 );
2) значення х, при яких /( х ) = - 2 ; /( х ) = - 1; /(х ) = 1; /(х ) = 0 ;
3) найбільше і найменше значення функції;
Рис. 9
70. Функцію задано формулою /( х ) = - х 2 + 3, де - 4 < х < 2.
1) Складіть таблицю значень функції з кроком 1.
2) Побудуйте графік функції, користуючись складеною таблицею.
3) Користуючись графіком, знайдіть, при яких значеннях аргу­
менту / ( х ) > 0 .
71. Побудуйте графік функції:
1) /( * ) = Зх+ 2 ; 3) f ( x ) = —А х ; 5) /( х ) = Ц -;
2) /(х ) = 3 -  х ; 4) Д х ) = -3 ; 6) /( х ) =- § .
Варіант З 85
72. Знайдіть область визначення і побудуйте графік функції:
і) т -
х 2 - 9
х + 3
2) /( * ) =
х —2х + 1
х - ї
2х + 6
3 ) /( х ) = - 2 , ,
X і + 3х
х2 - 4
4) / ( * ) = —5 •
х - 4
73. Побудуйте графік функції:
1) /( * ) =
2) / ( * Н
4 »
якщо х < —2,
^ - 1 , якщо - 2 < х < 4 ,
у , якщо х > 4 ;
1 -х , якщо х < -3 ,
х - 1, якщо -3 < х .< 2 ,
- 1, якщо х > 2 .
74. Знайдіть, не виконуючи побудови, точки перетину з осями коор­
динат графіка функції:
1) Л * ) = ! * - 3 ;
2) #(х) =
5 '
З х -1
~х + 2 ’
3) й(х) = х - 9 ;
4) ф(х) = х 2 - 3 * + 2 ;
5) / (х) = Зх2 - 7х + 4 ;
х 2 - 5
6) £(*) = - у — .
х^ + 1
75. Задайте формулою лінійну функцію / ( х ) = кх + Ь, для якої
- _ 2
86 Тренувальні вправи
Властивості функції
76. На рисунку 10 зображено графік функції у = / (х). Користуючись
графіком, знайдіть:
1) нулі функції;
2) проміжки зростання і проміжки спадання функції;
3) множину розв’язків нерівності /( х ) > 0 .
«)
Рис. 10
77. Знайдіть нулі функції:
1) /(х ) = 0,4х + 2 ;
2) /( х ) = 4х2 -5 х + 1 ;
3) /( х ) = Л* + 4 ;
х2 -З х + 2
І
б)
5) У (х) = л/і 6 —х2 ;
6) / (х) = >/х2 +3 ;
7) /(х) = (х+1)л/х .
4) /( х ) = -
х —1
Варіант 3_________________________________________________________87_
78. Які з лінійних функцій >' = 8* - 2 0 ; у = 0,03.x + 5; у = 4,02х;
_у= -1 8 3 х -1 ; 7 = х + 5:
1) зростаючі; 2 ) спадні?
Парні і непарні функції
79. Відомо, що / ( 6) = 10. Знайдіть / ( - 6), якщо функція/ 1) парна;
2) непарна.
80. Чи е функція /( х ) = |х | парною, якщо її областю визначення є
множина:
1) С-9; 9]; 2) ( - 8; - 1]ІД і;8); 3) [-4; 4); 4) [8; + ») ?
81. Чи £ парною або непарною функція, задана формулою:
1) /(* ) = -5 х 8 ; 7) /(х ) = (х - 8)(х + 6) + 2 х ;
2) /( х ) = 4х5 + 2х2 ; 8) /(х ) = (х + 4)2 - (х - 4)2 ;
3 ) / ( * ) = - / - ; 9) / ( х ) = ^ —
х -1 6 2х + 16
4) Л х) = 7 3 - |х І ; Ю )/(х ) = і |і ;
5) Д х ) = х 1 - 3 х 5 +х-, ! ! ) / ( * ) =
„2
X
(х + 1)2
6) / М = ^ ~ Т Т ’ 12) /(* ) = —з~— - ?
х +4х х - 4х
82. На рисунку 11 зображено частину графіка функції у - £(х), ви­
значеної на проміжку [-5; 5]. Побудуйте графік цієї функції, якщо
вона є: 1) парною; 2) непарною.
уп
— ь
-1__ "І
У
0 1 т — ►X
***
Рис. 11
88 Тренувальні вправи
Перетворення графіків функцій
83. Побудуйте графік функції:
1) у = - х 2 2 ) у = - ± х 2-, 3 ) у = 4х2 ; 4 ) у = 0,4х2 .
84. На рисунку 12 зображено графік функції у = /( х ) . Побудуйте
графік функції:
3) V= / (х + 1) ; 5) у = - / ( х ) ;
4 ) у = /{ х - 2 ) - , 6) у = - 1 - / ( х ) .
0 у = /( * ) + 3 ;
2) у = Я х ) -  ;
1
У >1 1
 і
 і
/
4
 /
V
 /
■2 0 .X
ц - ь
- і
І І - -
- А
3
VЧ
0 1 2 4
— ►
А"
б)
Рис. 12
85. Побудуйте графік функції:
1) у = х2 ;
2) у = х2 - І;
3) у = х 2 + 3;
4) у = - х 2 - 2 ;
5) у = 1 - х ;
6) у = (х + 2)2;
7) У = ( х - 3 ) 2 ;
8) >’ = ( х -1 ) + 1 ;
9) у = (х —2)2 - 2;
Ю) у = —(х + 2)2 + 1 .
Варіант З 89
86. Побудуйте графік функції:
1) )■= ! £ ; 3 ) , = І 2 + 3; 5) ? - ■ £ ; і) у - ~ - ,
2 ) У = % ~ 2 ; 4 8) ^ = ^ -
87. Побудуйте графік функції:
1 )у = 7 7 ; 4) у = 4 х + 2 ; 1 ) у =  + 4 х + ї;
2) у = у[х + 1 5) у = - 4 х ; 8) у = 3 - 4 7 -2 . .
3) у = 4 х - 2 ; 6) у = - 1 - 7 7 ;
Квадратична функція, її графік і властивості
88. Визначте напрям віток і координати вершини параболи:
1) у = х 2 - 2 .т -3 ; 3) у = 0,4л:2 + 0,4,т-0,12;
2) у = - х 2 - 2х + 3; 4) у = -2-ї2 - 8х + 5 .
89. Побудуйте графік функції:
1) у = х 2 - 5 х + 6 ; 5 ) у = 2х + х 2 ;
2) у = - х 2 + 4* - 3 ; 6)у = 9 - х 2 ;
3) у = ± х 2 - 2 х + 3; 7) у = -0 ,5 х 2 + 2х + 2;
4) .у = 2„ї2 - 4х + 2 ; 8) у = .V2 - 6л:+ 4.
90. Побудуйте графік функції / { х ) - х г + 2 х - 3 . Користуючись гра­
фіком, знайдіть:
1) /( - 2 ) ; /(0 ); /(0,5);
2) значення х, при яких /( * ) = - 4 ; /(.*) = - 5 ; /(л -) = 5;
3) найбільше і найменше значення функції;
4) область значень функції;
5) проміжок зростання і проміжок спадання функції;
6) множину розв’язків нерівності / ( х ) > 0 ; / ( х ) < 0 .
91. Побудуйте графік функції /( * ) = 4л :-2*2. Користуючись графі­
ком, знайдіть:
і) / ( —і); /( і) ; / Щ ;
2) значеннях, при яких /(лс) = 2; / ( х ) = 3; / ( х ) = - 6 ;
3) найбільше і найменше значення функції;
90 Тренувальні вправи
4) область значень функції;
5) проміжок зростання і проміжок спадання функції;
5) множину розв’язків нерівності /( х ) < 0; / (х) > 0.
О
92. Побудуйте в одній системі координат графіки функцій у = ^ і
у = х 2 + х - 2. Знайдіть, користуючись одержаним рисунком, ко-
С
рені рівняння х + х - 2 = ^ .
1'У
93. Побудуйте в одній системі координат графіки функцій у = ~ і
у = ~х2 -З х + 4 . Установіть, користуючись одержаним рисунком,
2 1'У
кількість коренів рівняння - х - Зх + 4 = - у .
94. Нехай Б — дискримінант квадратного тричлена ах2 +Ьх + с. Зо-
бразіть схематично графік квадратичної функції у = ах +Ьх + с,
якщо:
1) а> 0 , с = 0 , - ^ > 0 ;
2) а> 0, £>= 0, - ^ < 0 ;
3) а < 0 , £><0 , - ^ - > 0 .
95. Знайдіть область значень та проміжки зростання і спадання
функції:
1) /( х ) = 3х2 - 6 х + 1; 3) /(х ) = 9 - 1 8 * - 0,6х2 ;
2) /( х ) = - ї х 2 + 2х + 10; 4) /(* ) = 1їх2 - Зх .
О
96. При яких значеннях р і q графік функції у = х~ + рх + д прохо­
дить через точки С ( —1; —10) і і) (2; 5)?
•у
97. При яких значеннях а і Ь парабола у = ах + Ьх + 2 проходить
через точки М (3 ;-1 ) і К ( - в  26)?
98. Графік квадратичної функції — парабола з вершиною в початку
координат, яка проходить через точку (6; - 3). Задайте цю функ­
цію формулою.
99. Графік квадратичної функції — парабола з вершиною в точці
С(0; 4), яка проходить через точку £>(-5; -46). Задайте цю функ­
цію формулою.
Варіант З 91
100. При яких значеннях р і д вершина параболи у = х 2 + рх + д зна­
ходиться в точці ( - 6 ; -43)?
101. Парабола у = ах2 +Ьх + с має вершину в точці Е(4; 3) і
проходить через точку F(2; 1). Знайдіть значення коефіцієнтів а, Ь
і с.
102. Побудуйте графік функції у = - * 2 - * + 6 при * є [-2; 3] і знай­
діть, користуючись графіком, її область значень.
103. Знайдіть найменше значення функції у = 4 х2 + 8 * -7 на про­
міжку:
1) [-3; 4]; 2) [-4 ;-2 ]; 3) [-0,5; 3].
104. При якому значенні с найменше значення функції у = ^-*2 -
- 2 * + с дорівнює 5?
105. На параболі у = х 2 - 2х - 6 знайдіть точку, у якої:
1) абсциса і ордината — протилежні числа;
2) різниця абсциси і ординати дорівнює -4 .
106. Побудуйте графік функції:
3 - х , якщо х < -1,
1) /( * ) = х1 - ї х + 1, якщо - 1 < X < 3,
4, якщо * > 3 ;
З* - 4, якщо х < 2,
2) /( * ) = • 9 - * 2, якщо 2 < дг<4,
х, якщо х > 4.
107. Побудуйте графік функції:
. о~ л ~3
у = *  - х - і у 3) У = х +8;с|7 із |''9;*
2) _у= л:2 + 2 1д:| —8 ; 4 ) у = *2 + 3 |* - 1 |- * + 3.
108. При яких значеннях а функція у = 3х2 - 2х + а набуває додат­
них значень при всіх дійсних значеннях х?
109. При яких значеннях а функція у = (а+ 5)х2 ~ 4 х + 2 набуває
від’ємних значень при всіх дійсних значеннях*?
110. При яких значеннях а функція у = ( а - 1 )* 2 + 10* +1 набуває не­
від’ємних значень при всіх дійсних значеннях*?
92 Тренувальні вправи
111. При якому значенні а графік квадратичної функції у = ах2 +
+ ( а - 4)х-4 ,5 має з віссю абсцис одну спільну точку?
112. Нехай х, і х2 — нулі функції у = 1хг - ( 6 я - 5 ) х + 2я + 3. При
яких значеннях а виконується нерівність ^ < -1 < х2 ?
Розв’язування квадратних нерівностей
113. Розв’яжіть нерівність:
1) х2 - 4 х - 9 6 > 0 ; 9) х2 - 1 6х + 64 > 0;
2) х2 + З х - 2 8 < 0 ; 10) З* 2 + 2 х + 4 > 0;
3) - х 2 + 2,8.г + 0 ,6 < 0 ; 11) 4х2 - 4 х + 1< 0 ;
4) 9х2 + 3 їх - 20 > 0 ; 12) 4х2 -6 0 х + 2 2 5 < 0 ;
5) —Зл:2 + 7х + 6 < 0 ; 13) 2х2 + х + 3 < 0;
6) Здг2 + 1 8 > 0 ; 14) 10х2 - З х - 4 > 0 ;
7) 25х2 - 1 6 < 0 ; 15) - х 2 - 6 х - 9 < 0 .
8) 49х2 +14х + 1 > 0 ;
114. Розв’яжіть нерівність:
1) х2 < 25; 3) 4х2 < 9 х ; 5 ) - 4 х 2 > - 6 4 ;
2) х2 > 13; 4)- бх2 > —24х; 6) - 0,6х2 < 2 4 х .
115. Знайдіть множину розв’язків нерівності:
1) (2х + 1 )(х -4 )< 5 ; 3) Зх(х + 7 з ) < ( х - л/3)2 - 9 ;
... , . 2 -,ч2 „ч Х2- 9 Х + 1 . Х - 5
2) (х —4) + 12 ^ (З х -2 ) ; 4) ^ 4 2 ’
СЛ х2+х 3 - х 2х2+5 0
5) — 8 3 < 5 ’
6) (2х + З) 2 - (х + б)2 + (6х - 5)(6х + 5) < 26 .
116. Знайдіть область визначення функції:
1 ) 7 = л/х2 + 7 х - 1 8 ; 3) у = ^ ї х 1 - 5х + 2 +
8
х2 - 9
З х -7 ,, х + 14 х~14
2) у = -= = = = = = ; 4) у = ■
Ь х + 10х2 ’ > /і2 -1 7 х -7 х 2 Зх2 + 5 х -2
Варіант З 93
117. Знайдіть цілі розв’язки нерівності:
1) jc2 - 7 х < 0; 4) 12х2 -13.х + 3 < 0 ;
2) * 2 - 20 < 0 ; 5) - І * 2 + х + 2 4 > 0 ;
3) - 8x2 +ЗЗ.Х + 6 > 0 ; 6) *2 - 4 ,6 * - 2 < 0 .
118. Розв’яжіть систему нерівностей:
fjc2 + .т - 1 2 < 0, 4) L 2 + * - 2 0 ^ 0 ,
 х > 2 ; | 2х + 1 0 < 0 ;
Г5дг2 —16л+ 3 > 0, м І* 2 - 2х - 80 < 0,
U < 7 ; [ ї 2 -2 л '-2 4 > 0;
JlOx2 -9д- + 2 < 0 , І2л-2 + 1 Ь г-6 < 0 ,
[14 —2л- < 0; [jr2 + 8лг< 0.
119. Знайдіть цілі розв’язки системи нерівностей:
j4 х2 + 3 л '-1 8 <0, Гjc2 + 4дг—32< 0,
 х > -2 ; [- 8,5 < jc < 0,3;
2 /4лг2 - 6 х < 0, [* 2 +(л/б —4)*-4л/б < 0,
[0 ,8л:- 0,2 > 0 ; я*2 + 0,5лг+ 5 > 0 .
120. Знайдіть, при яких значеннях а не має коренів рівняння:
1) х 2 - ( а + 5)лг+ 9 = 0 ; 3) (6а-12)л:2 -(6 о -1 2 )* + 5 = 0;
2) (а - 2).т2 + 5ах —За = 0; 4) (а - 3)х2 - 2(а + 2)х + 2а - 6,5 = 0.
121. При яких значеннях b має два дійсні різні корені рівняння:
1) х 2 -3bx + 2b +5 = 0; 3) (b + 2)х2 +(ЗЬ + 1 ) х - Ь -  = 0;
2) Ьх2 + (7Ь + 2)л- + Ь = 0; 4) (2Ь + )х2 -(4Ь + 8)л + ЗЬ = 0?
122. Знайдіть, при яких значеннях а виконується при всіх дійсних
значеннях х нерівність:
1) л:2 - 2(а - 6).ї - 2а2 - 2а + 33 > 0 ;
2) —^ х 2 - 4 а х -1 8 о 2 - 2 4 < 0 ;
3) ах2 + 6х + За —6 < 0;
4) (а2 —1)л:2 + 2(1 -а)л ‘+ 2 > 0.
94 Тренувальні вправи
123. Знайдіть, при яких значеннях т не мас розв’язків нерівність:
1) тх2 - 8mx + 3/w+ 7 > 0;
2) (2т + 1)х2 + 2{т + 2)х + т + 5,6 < 0.
124. Для кожного значення а розв’яжіть систему нерівностей:
^ fx2 + 5 x - 6 > 0 , 2) Jx2 - 8 x - 9 < 0 ,
[х < о ; |х > а .
125. Для кожного значення а розв’яжіть нерівність:
1) х 1 - ( а - 4 ) х - 4 я > 0 ;
2) х2 + (2 - 5а)х + 6а2 - Зо - 3 < 0.
126. Розв’яжіть нерівність:
1) |а-2 + 2 .ї- 4 |< 4 ; 4) х2 + 9 |х |< 1 0 ;
2) Іх2 - 6х І> 7 ; 5) х 2 - 4 х + 6 >х + 2;
3) Іх + ЗІ (х - 6) > 4 х ; 6) х2 - 3 |х - 3 | + 8 < 5 |х + 2 |.
127. При яких значеннях Ь один з коренів рівняння х А+(Ь +У)х +
+ b2 - 1 = 0 більший за - 2 , а другий — менший від - 2?
128. При яких значеннях т один з коренів квадратного рівняння
( т ~ 2 ) х 2 + (от2 +4ш )х + 5/и-11 = 0 більший за 3, а другий —
менший від З?
129. При яких значеннях а один з коренів рівняння
х2 - (2а + 3)х + 6а2 = 0 менший від 2 , а другий — більший за З?
— 2 2
130. При яких значеннях а корені рівняння х -1 0 ах + 2 5 а -
- 4 д - 5 = 0 більші, ніж 2?
131. При яких значеннях а корені рівняння х2 + 4(а - 2)х + 6я -1 2 = 0
менші, ніж -1 ?
132. При яких значеннях о корені рівняння х 2 -2 (я -1 )х + 2 а + 1= 0
належать проміжку (-4; 4)?
Розв’язування нерівностей методом інтервалів
133. Розв’яжіть нерівність:
1) (х —4,6)(х + 5 )< 0 ;
2) (х + 12)(х-4)(х —20) > 0 ;
Варіант З 95
3) (3* + 5)(2х - 7)(х - 6) < 0;
4) (7 + х)(х —2)(5 —х) > 0;
5) (х + 7,2)(3 - х)(6 - х) < 0;
6) (6х + 18)(4 -16дг)(7д: - 2 1)(5 - 2х) > 0.
134. Розв’яжіть нерівність:
135. Знайдіть множину розв’язків нерівності:
136. Розв’яжіть нерівність:
1) (х2 +9)(х2 - Зх - 4) < 0;
2) (х + 9) 2 (х2 - Зх - 4) < 0;
3) (х + 9)2 (х2 - З х - 4 ) < 0 ;
4) (х + 9)2(х2 - З х - 4 ) > 0;
5) (х + 9)2(х2 - З х - 4 ) > 0 ;
6) (х - 2) 2 (х2 - 4х + 3) > 0 ;
7) ( х - 2 ) 2(х2 - 4 х + 3 )> 0 ;
8) ( х - 2 ) 2 (х2 - 4 х + 3) < 0;
9) (х - 2)2 (х2 - 4х + 3) :<0;
10) (х + 2)2( х -3 ) 4 ( х - 4 ) 3 > 0 ;
11) (х + 2) 2 (х - З)4 (х - 4) 3 > 0;
1) (х -10х)(х -4 9 ) > 0;
2) (х -1 Ох + 9)(х + 4х) < 0 ; 4)
96 Тренувальні вправи
12) (х + 2) 2 (х - З)3(х —4) 4 (х - б) 5 < 0 ;
13) (х2 +2х —3)(х2 + Зх + 6) < 0;
14) (х2 + 2 х -1 0 )(4 х -х 2 -5 ) > 0.
137. Розв’яжіть нерівність:
1) > 0 ;
х“ -ІО .ї + 25 х + 4х - 5
2 ) ..£ 2--~-.3А г Н - > о ; 7 ) £ ± .4 5 ІГ .1 < о ;
х -10х + 25 .т + 4 х -5
3) - ^ ~ 3а'~18 <0; 8) Х.-..±-4-Л'-+-1<0;
х -10х + 25 х + 4 х -5
4) ——~3"т ~ 1^ < 0; 9) 1 І ^ £ ± Ь 0 ;
х 2 -1 0 х + 25 | х - 8 |
5 ) 4 ± і £ ± 1 >0; 10) І * * 11 >о.
х + 4 х -5 х + 4х —12
138. Знайдіть множину розв’язків нерівності:
1 ) 4 ^ 2 0 ; 2) 0.
х -2 5 х - 8х + 15
139. Розв’яжіть нерівність:
х - 4 Зх + 8 х 2 + 8х _ 20
х - 5 х - 5 х + 6 х + 6
2) Т ~ Т - 1 > 4) ^ , - 1 6 .
З х -4 х - 3
140. Для кожного значення а розв’яжіть нерівність:
1) (х + 6)(х - а) > 0 ; 5) (х - о ) ( х - 1 ) 2 < 0 ;
і х + 5
2) (х + 6 )(х -я ) < 0 ; 6 ) І з ^ > 0 ;
3) (л+ 6)(х-я)2 <0; 7 ) к і Ш р 1 < 0 ;
4 ) ( , - « ) ( , - . ) 2 < 0 ; 8 ) < £ 1 | ї і ^ г 0 .
Варіант З 97
Графік рівняння з двома змінними
141. Побудуйте графік рівняння:
1) V= З х -4 ; 6) х2 + у 2 =16; 11) | х | = 5 ;
2) 3* + 4>>-12 = 0; 7)(х + 1) 2 + ( у - 3 ) 2 = 25 ; 12) у = 2;
3 )5 у + х = 0 ; 8) х 2 +(у + 2 )2 = 8 ; 13) *у = - 8 ;
4) * + 3 = 0; 9 ) у = х 2 +4х; 14) |л у | = 4 ;
5) у - 6 = 0; 10) х2 - - 2х - 3 = 0; 15) >■= | х + 2 1.
142. Побудуйте графік рівняння:
1) х - - у 2 ; 7) (* + 4)2 + (у - 4)2 = 0;
2) | х - у | = 2; 8) х 2 + у 1 - 2х + 4у + 5 = 0 ;
3) | Зх + у | = 2; 9) х 2 + 4х + у 2 - 6у - 3 = 0;
4) -V2 - 9у2 = 0 ; Ю) Іх | + 1>>| = 7;
5) 16х2 - у 2 = 0 ; 11) 3 | х | - 2 | у | = 5;
6) 5*2 + 8у2 = 0;  2 ) у = у [ зб ^ х 2 .
Системи рівнянь з двома змінними
143. Розв’яжіть графічно систему рівнянь:
1 ) [ у = х 2 + 2 х - 2 , 4) / (х —3) 2 + (у + 1) 2 =13,
|у = 2 - х ; [* -> --5 = 0;
2 ) іх2 + у = 5, 5ч Іху = 6,
}  х - у = 7;
X2 -н_у2 = 10, , ]х 2 +>’2 = 20,
3) 6) ,
[У = х - 2; [ху = -
144. Установіть графічно кількість розв’язків системи рівнянь:
3)  х 2 + У * = 25> 5)7 = ~л/7, ^  х 2 + у 2 =25, / * 2 + ( > - 2 ) 2 =16,
,у = х+1; ' |у.= х2 + 5; 1 у » 2х2 - 2 ;
у = Зх2 -1, Г*у = - 8, (у = -х,
>>= 1—4х2; [7 = 4 - 0 ,Зл-2; ' [у = х 2 + 4 * -1 .
98 Тренувальні вправи
145. Розв’яжіть систему рівнянь:
1)
2)
3)
х - 5 - у ,
у 2 + 4ху = 33; 4)Іу 2 - ху + х = 2,
[5у + х = 12;
х + у = 8,
ду = - 2 0 ; ч
[4 х -3 у = 4,
|5у2 -16х = 16;
у - 7 х = 3,
у 2 - бху - х2 = -9 ;
6) ,
|4у + х = 2 ,
[(х -4 )(у + 3) = 4.
146. Не виконуючи побудови, знайдіть координати точок перетину:
1) прямої у = Зх -1 і параболи у = х 2 - 2х + 3;
2) прямої 2х + у + 9 = 0 і кола (х + 2)2 + у 2 = 10;
3) парабол у = 2 х " - 8*+ 10 і у = 1+ 4 х -2 х
4) прямої у = - х +1 і кола х 2 + (у + З)2 = 8 .
2.
х 1 + у 2 + 2 ху = 100,
147. Розв’яжіть систему рівнянь:
1)
2)
3)
у —х = 6 ;
[х2 + 4ху + 4у 2 = 1,
[2.x2 - 3 ху + у 2 = 6 ;
[ху + х2 =30,
[ху + у 2 = -5 ;
148. Розв’яжіть систему рівнянь:
1)
2)
(4х2 —у 2 = 32,
1*У = 6 ;
[х + у + ху = -19,
іду(х + у) = - 2 0 ;
3) № - У * = 98,
 х - у = 2-,
4)
5)
6)
5)
6)
[2>’2 - Зх2 = 1,
[Зх2 + 2у2 =19;
2ху - х = 9,
2ху + Ьу = 22;
х 2 + 16у2 =73,
ху = - 6 .
.і 2_
2х+5у Зх-Ю у
= 4,
2 і____ 2_____ 7 •
Іх + 5 у Зх-Ю у ~ ’
х+Зу 6(2дг- у ) -
2 х -у х+Зу ’
х2 - х у - у 2 = 1.
4)
[ У х _ 16
х у “ ТУ
[4 у -5 х = 15;
Варіант З 99
150. Скільки розв’язків залежно від значення а має система рівнянь:
Розв’язування задач за допомогою систем рівнянь
другого степеня
151. Сума двох цілих чисел дорівнює 3, а різниця чисел, обернених до
152. Якщо деяке двоцифрове число поділити на суму його цифр, то
неповна частка дорівнюватиме 4, а остача — 6 . Якщо поділити це
число на добуток його цифр, то неповна частка дорівнюватиме 1,
а остача — 22. Знайдіть дане число.
153. Площа прямокутника дорівнює 108 дм2, а діагональ — 15 дм.
Знайдіть сторони прямокутника.
154. Площа прямокутника дорівнює 180 см2. Якщо одну його сторону
зменшити на 3 см, а другу — на 6 см, то одержимо прямокутник,
площа якого дорівнює 72 см2. Знайдіть початкові розміри прямо­
кутника.
155.3 двох станцій, відстань між якими дорівнює 450 км, вирушили
одночасно назустріч один одному два поїзди і зустрілися через
5 год. Знайдіть швидкість кожного поїзда, якщо один з них витра­
тив на шлях між станціями на 2 год 15 хв більше, ніж другий.
156. Із станції М на станцію N, відстань між якими дорівнює 240 км,
вирушили одночасно два поїзди. Один з них прибув на станцію N
на 48 хв пізніше за другого. Знайдіть швидкість кожного поїзда,
якщо відомо, що перший поїзд за 2 год проїжджає на 40 км біль­
ше, ніж другий за одну годину.
157. Човен проходить 54 км за течією річки і 48 км у стоячій воді за
6 год. Щоб пройти 64 км у стоячій воді, човну потрібно на 2 год
більше, ніж на проходження 36 км за течією тієї ж річки. Знайдіть
власну швидкість човна і швидкість течії.
158.3 двох селищ А і В, відстань між якими дорівнює 108 км,
вирушили назустріч один одному два велосипедисти і зустрілись
у селищі С, відстань від якого до А становить ~ відстані між А
1
даних, дорівнює . Знайдіть ці числа.
ІОО Тренувальні вправи
і В, причому перший велосипедист виїхав з В на 1 год 48 хв ра­
ніше, ніж другий велосипедист виїхав з А. Якби велосипедисти
виїхали одночасно, то вони б зустрілися через 4 год. Знайдіть
швидкість руху кожного велосипедиста.
159. Два екскаватори, працюючи одночасно, можуть викопати котло­
ван за 6 год 40 хв. Якщо ж спочатку один екскаватор викопає
самостійно 4 котловану, а потім другий — решту, то вся робота
буде виконана за 12 год. За скільки годин може викопати цей
котлован кожний екскаватор, працюючи самостійно?
160. Якщо одночасно відкрити дві труби, через одну з яких у басейн
буде наливатися вода, а через другу виливатися, то басейн напов­
ниться за 36 год. Якщо 6 год наповнювати басейн через першу
трубу, а потім відкрити другу трубу, через яку вода виливається,
то басейн наповниться через 18 год після відкриття другої труби.
За скільки годин через першу трубу можна наповнити басейн? За
скільки годин через другу трубу можна спорожнити басейн?
161. Із села на станцію, відстань до якої дорівнює 24 км, вирушив
пішохід зі швидкістю 3 км/год. Через 2 год із села в тому самому
напрямі вирушив другий пішохід, який наздогнав першого,
передав йому лист і пішов назад у село з тією самою швидкістю.
Перший пішохід прийшов на станцію, а другий повернувся в село
одночасно. Знайдіть швидкість руху другого пішохода.
162. З двох станцій, відстань між якими дорівнює 270 км, вирушили
одночасно назустріч один одному два поїзди. Один з них прибув
на другу станцію через 2 год 24 хв після зустрічі, а інший на пер­
шу станцію — через 3 год 45 хв після зустрічі. Знайдіть, з якою
швидкістю рухався кожний поїзд і через скільки часу після почат­
ку руху відбулася їх зустріч.
163. Одночасно від одного причалу в одному напрямі відпливли пліт
зі швидкістю 3 км/год і човен зі швидкістю 24 км/год. Через 3 год
від цього причалу в тому самому напрямі відплив катер. Знайдіть
швидкість руху катера, якщо він наздогнав човен через 11 год
40 хв після того, як наздогнав пліт.
164. По колу рухаються в одному напрямі дві точки. Одна з них ви­
конує повний оберт на 3 с довше за другу, а час між їх послідов­
ними зустрічами дорівнює 6 с. За який час кожна точка виконує
один повний оберт?
Варіант З 101
М атематичне моделювання
165. Розв’яжіть задачу, побудувавши її математичну модель.
1)Для фарбування 15 верстатів потрібно 18 кг фарби. Скільки
фарби потрібно для фарбування 25 таких самих верстатів?
2) Відстань між містами А і В на місцевості дорівнює 390 км, а на
карті — 6,5 см. Яка відстань між містами С і £> на цій карті,
якщо на місцевості відстань між ними дорівнює 480 км?
3) 3 двох станцій, відстань між якими дорівнює 32 км, одночасно
в одному напрямі вирушили два поїзди. Позаду йшов поїзд зі
швидкістю 62 км/год, який через 4 год після початку руху
наздогнав другий поїзд. З якою швидкістю рухався другий
поїзд?
4) Дві бригади, працюючи разом, можуть зорати поле за 4 год. За
скільки годин може зорати це поле одна з бригад, якщо друга
може зробити це за 12 год?
5) Велосипедист подолав відстань між двома селами за 2 год, а пі­
шохід — за 6 год. Знайдіть швидкість руху кожного з них,
якщо швидкість пішохода на 8 км/год менша від швидкості
велосипедиста.
6) Купили 16 зошитів по 1 грн. 40 коп. і по 90 коп., заплативши за
всю покупку 16 грн. 40 коп. Скільки купили зошитів кожного
виду?
7) Довжина актового залу школи дорівнює 32 м, а ширина —
20 м. Для встановлення підвісної стелі використовують плити,
які мають форму квадрата зі стороною 80 см. Чи вистачить для
цього 70 ящиків, якщо в один ящик уміщується 15 плит?
8) Двоє робітників мали виготовити по 90 деталей. Один з них ви­
готовляв щодня на 3 деталі більше за другого і виконав замов­
лення на один день раніше за нього. Скільки деталей виготов­
ляв щодня кожний робітник?
9) Дорога, що з’єднує село і залізничну станцію, має довжину
ЗО км і йде спочатку під гору, а потім вгору. Із села на станцію
велосипедист їде 2 год 12 хв, а зі станції — 2 год 18 хв. З якою
швидкістю велосипедист їде під гору і з якою вгору, якщо його
швидкість на підйомі на 3 км/год менша від його швидкості на
спуску?
10) 3 пунктів А і В одночасно назустріч один одному виїхали два
автомобілі і після зустрічі кожний з них продовжив рух у
початковому напрямі. Один з них, швидкість якого на
102 Тренувальні вправи
15 км/год більша за швидкість другого, прибув у пункт А через
З год після зустрічі, а другий у пункт В — через 5 год 20 хв.
Знайдіть швидкість, з якою рухався кожний автомобіль. Через
який час після початку руху відбулася їх зустріч?
11) Від двох пристаней С і £) відпливли одночасно назустріч один
одному катер і човен відповідно. Катер прибув у О через 3 год
45 хв після зустрічі з човном, а човен у С — через 1 год 40 хв.
За який час кожен з них пропливе відстань між С і ОІ
Відсоткові розрахунки
166. Сплав містить 9% цинку. Скільки цинку міститься у 270 кг
сплаву?
167. У двох цехах заводу працює 1240 робітників. З них 55 % працює
у першому цеху. Скільки робітників працює у другому цеху?
168. У районній олімпіаді з математики 42 учня стали призерами, що
становить 24 % усіх учасників олімпіади. Скільки учнів узяло
участь у районній олімпіаді?
169. Банк сплачує своїм вкладникам 12 % річних. Скільки грошей
треба покласти в банк, щоб через рік одержати 54 грн. прибутку?
170. Під час сушіння сливи втрачають 88 % своєї маси. Скільки треба
взяти свіжих слив, щоб отримати 15 кг сушених?
171. У кінозалі 480 місць, з яких під час сеансу було зайнято 408.
Скільки відсотків місць було зайнято?
172. Вартість деякого товару знизилася з 320 грн. до 256 грн. На скіль­
ки відсотків знизилася ціна?
173. Швидкість автомобіля спочатку знизилася на 20 %, а потім зросла
на 20 %. На скільки відсотків змінилася початкова швидкість
автомобіля?
174. Підприємець взяв у банку кредит розміром 30 000 грн. під 20 %
річних. Яку суму йому доведеться повернути через два роки?
175. Протягом року завод двічі збільшував щотижневий випуск
продукції на одну й ту саму кількість відсотків. На скільки
відсотків збільшувався кожного разу випуск продукції, якщо на
початку року завод випускав 1200 виробів щотижня, а наприкінці
року — 1587 виробів?
176. Скільки треба змішати молока з масовою часткою жиру 1 % і
молока з масовою часткою жиру 3,5 %, щоб отримати 8 л молока з
масовою часткою жиру 2,5 %?
Варіант З 103
177. Банк надав підприємцю кредит у сумі 100 000 грн. на 2 роки під
певний відсоток річних. Через рік цей відсоток було збільшено
на 4 %. На кінець другого року підприємець повернув банку
148 800 грн. Під який відсоток було надано кредит у перший рік?
178. Водно-сольовий розчин містив 3 кг солі, концентрація якої була
менша від 20 %. До цього розчину додали 6 кг солі, після чого
концентрація солі збільшилася на 15 %. Якою була початкова
маса розчину?
Випадкова подія. Ймовірність випадкової події
179. У коробці лежать 10 чорних і 25 синіх кульок. Яка ймовірність
того, що обрана навмання кулька виявиться: 1)чорною;
2) синьою?
180. У лотереї розігрувалося 20 телевізорів, ЗО магнітофонів і 40
фотоапаратів. Усього було випущено 5000 лотерейних білетів.
Яка ймовірність:
1) виграти фотоапарат;
2) виграти який-небудь приз;
3) не виграти жодного призу?
181. Гральний кубик підкинули один раз. Яка ймовірність того, що
випаде число, яке ділиться націло на 2 і на З?
182.3 натуральних чисел від 1 до 24 включно учень навмання називає
одне. Яка ймовірність того, що це число є дільником числа 24?
183. Яка ймовірність того, що навмання вибране двоцифрове число
ділиться націло на 17?
184. У коробці лежать 2 зелених і 7 синіх кульок. Яку найменшу
кількість кульок треба вийняти навмання, щоб ймовірність того,
що серед них є хоча б одна зелена кулька, дорівнювала 1?
185. Чотири картки пронумеровано числами 1, 2 , 3 і 4. Яка ймовір­
ність того, що добуток номерів двох навмання вибраних карток
буде не більшим за число 6?
186. У коробці лежать сині і зелені кульки. Скільки синіх кульок у
коробці, якщо ймовірність вийняти з неї навмання синю кульку
у
дорівнює у , а зелених кульок у коробці 40?
Початкові відомості про статистику
187. Дано 25 чисел, з них число 9 зустрічається 12 разів, число 8 зу­
стрічається 9 разів і число 15 — 4 рази. Знайдіть середнє ариф­
метичне цих 25 чисел.
104 Тренувальні вправи
188. Знайдіть міри центральної тенденції вибірки:
1)5, 11, 14, 14, 17, 17, 19, 26,29,38;
2) 3,1; 3,4; 4,2; 4,7; 4,9; 5,3; 6,1.
189. У таблиці наведено розподіл робітників одного цеху деякого
заводу за кількістю виготовлених за зміну деталей:______________
Кількість деталей, виготовлених
кожним робітником
8 9 10 11 12 13 14 15 16
Кількість робітників 5 2 6 6 8 9 6 4 4
Знайдіть відносну частоту кожного значення і міри центральної
тенденції вибірки.
190. Серед 40 мешканців міста провели опитування про кількість
кімнат в їх квартирах і склали таблицю:______________
2 3 2 4 3 2 1 3
3 1 1 3 2 2 3 2
1 2 4 2 3 1 2 3
3 1 2 3 2 4 3 1
1 2 2 3 3 2 1 4
Складіть частотну таблицю і побудуйте відповідну гістограму.
Визначте частоту і відносну частоту кожного її значення.
Числові послідовності
191. Запишіть п ’ять перших членів послідовності:
1) двоцифрових чисел, кратних числу 9, узятих у порядку спа­
дання;
2) правильних звичайних дробів з чисельником 19, узятих у по­
рядку спадання;
3) натуральних чисел, що дають при діленні на 7 остачу 4, узятих
у порядку зростання.
192. Знайдіть чотири перших члени послідовності ( а„ ), заданої фор­
мулою и-го члена:
1) ап “ 5 - й ; 2) = Зя + 1; 3) а л = ^ - І І ; 4) а„ = ■■- 5 - -
п (я + ІГ
193. Знайдіть другий, восьмий і сотий члени послідовності (Ь„), зада­
ної формулою я-го члена:
1) + 3) Ь„ = я2 + 2 я;
2) Ь„ = 0,8-0,3«; 4) Ьп = (-1 )”-1 + (-1)',+І.
Варіант З 105
194. Послідовність (с„) задана формулою я-го члена с „ = 3 + іи .
Знайдіть: 1) с ,; 2) с9 ; 3) с16; 4) с150 ; 5) ск+і.
195. Послідовність ( хп) задана формулою и-го члена хп = — ^— .
Знайдіть: 1) хх; 2) *8 ; 3) х2к; 4) х 2к+і; 5) хк+2 ■
196. Знайдіть п’ять перших членів послідовності ( а„ ), якщо:
1) Я[ —5 , —й„ —2 ,
2) а —~У2_> ап+1~ 4ап >
3) я, =0,5; а2 = 5; ег„+2 = я„+і - 4 а „ ;
4) а, = 2 ; д2 = 1 ; а„+2 = За,, + .
197. Послідовність (у„) задана формулою и-го члена у п = 7п + 1 , Чи є
членом цієї послідовності число: 1) 36; 2) 41; 3) 106? У разі пози­
тивної відповіді вкажіть номер відповідного члена.
198. Знайдіть кількість додатних членів послідовності (z„), заданої
формулою я-го члена z„ = 34 - 4л .
199. Підберіть одну з можливих формул и-ro члена послідовності,
першими членами якої є числа:
п 1 1 1 1 1 • і _ І 1 _ 1 ■
} 4 ’ 1 6 ’ 3 6 ’ 64 ’ 100’ - ’ -V 2 ’ 3 ’ 4 ’ 5 ’ " ’
2^2 — — — — • 4Ч_2 0 —— 0 —— 0 ——
3 9 5 5 7 * 9 9 9 3 5 7 9****
200. Доведіть, що послідовність ( ап), задана формулою и-го члена, є
спадною:
1) а„ = 1 7 -8 л ; 2) а„ = 4 - 5 л - л 2 ; 3 ) а „ = ^ - ,
п2 +1
201. Знайдіть найменший член послідовності ( а„ ), заданої формулою
и-ro члена:
1)а„ = и4 -1 5 ; 2) ап = и 2 - 8и + 17; 3)
Означення арифметичної прогресії.
Формула /1-го члена арифметичної прогресії
202. Знайдіть чотири перших члени арифметичної прогресії ( а„ ),
якщо сіу = 1,4, d = - 0,2 .
106 Тренувальні вправи
203. В арифметичній прогресії ( а„ ) а{ = 3 , ^ = 0,5. Знайдіть: 1) а3;
2 ) 0   ; 3 ) «24 ■
204. Знайдіть різницю і сто перший член арифметичної прогресії 2,7;
3,1; 3,5;....
205. Знайдіть формулу я-го члена арифметичної прогресії:
1) _ 4 ,-6 , -8 ,- 1 0 ,...; 3) 2а2, 5а2, 8а2, 11а2, . . . ;
2)4, 4 -і, 4 | , 5 , ...; 4) а - 1 , а - 2 , а - 3 ,а - 4 , ....
206. Знайдіть різницю арифметичної професії ( Ьп), якщо:
1 ) * І = 7 , *10 = -1 1 ; 2) *5 =10, і,2 =31.
207. Знайдіть перший член арифметичної прогресії (с„), якщо:
1) с)2 = 17, d = 2 ; 2) с4 = 7, с9 = - 8 .
208. Знайдіть номер члена арифметичної прогресії (а„), який дорів­
нює 30,6, якщо ах = 12,2 і d = 0,4.
209. Чи є число 24,5 членом арифметичної прогресії ( Ь„ ), якщо Ь{ =10
і d = 1,5 ? У разі позитивної відповіді вкажіть номер цього члена.
210. Дано арифметичну прогресію 2; 1,8; 1,6; ... . Починаючи з якого
номера її члени будуть від’ємними?
211. Знайдіть кількість додатних членів арифметичної прогресії ( ап ),
якщо а, = 3 0 , af = - l ,6 .
212. Між числами - 4 і 5 вставте п’ять таких чисел, щоб вони разом з
даними числами утворювали арифметичну прогресію.
213. Знайдіть перший член і різницю арифметичної професії (а„),
якщо:
1) а3 + а5 = -2 і а7 + а10 = 4 ;
2) а2 + а6 = 24 і а2 •о3 = 54.
214. Чи є послідовність (а„) арифметичною професією, якщо вона
задана формулою н-го члена:
1) а„ = -4 я + 5; 3 ) а „ = - 3 , 5 л ; 5) а„ = ;
2) а„ = Зя2 - 2 ; 4 ) а „ = 7 - 0 , 8 и ; 6)
У разі позитивної відповіді вкажіть перший член і різницю про­
фесії.
Варіант З 107
215. З арифметичної прогресії вилучили парні по порядку члени. Чи
будуть члени, ідо залишилися, утворювати арифметичну про­
гресію?
2
216. При якому значенні х значення виразів 4х + 5, ї х - І і х +2
будуть послідовними членами арифметичної прогресії? Знайдіть
члени цієї прогресії.
217. При якому значенні у значення виразів у~ +2 , 4у + 2 , Зу + 6 і
у 2 —4у + 18 будуть послідовними членами арифметичної про­
гресії? Знайдіть члени цієї прогресії.
Сума п перших членів арифметичної прогресії
218. Знайдіть суму шістнадцяти перших членів арифметичної прогре­
сії ( а„ ), якщо а, = 6 , сі = 3.
219. Знайдіть суму тридцяти перших членів арифметичної прогресії
- 8 , - 4 , 0 , . . . .
220. Арифметичну прогресію (а„) задано формулою п-го члена
а„ = Зп -1 . Знайдіть суму сорока семи перших членів прогресії.
221. Знайдіть суму двадцяти перших членів арифметичної прогресії
( ап), якщо:
1) Я) = 7 , (7ц = 27 ; 2) а5 = 58, я12 = 16.
222. Знайдіть суму п’ятнадцяти перших членів арифметичної прогресії
( ап), якщо я15 = 52 , сі = 4.
223. Знайдіть суму шістнадцяти перших членів арифметичної прогре­
сії ( а„ ), якщо я5 + а-; - а12 = -9 і аі + а2о = 74.
224. При будь-якому п суму я перших членів деякої арифметичної
прогресії можна обчислити за формулою Яп = 5п2 - Зп. Знайдіть
перший член і різницю цієї прогресії.
225. Знайдіть суму всіх натуральних чисел, що кратні 6 і не більші за
234.
226. Знайдіть суму всіх натуральних чисел, які кратні 4 і не більші за
182.
227. Знайдіть суму всіх натуральних чисел, які при діленні на 3 дають
в остачі 2 і не більші за 113.
228. Знайдіть різницю і вісімнадцятий член арифметичної прогресії
(а„), якщо Я| = 10 і 5,4 =1050.
108 Тренувальні вправи
229. В арифметичній прогресії перший член дорівнює 24, а сума три­
дцяти трьох перших членів дорівнює 1188. Знайдіть різницю і
двадцять п’ятий член прогресії.
230. Знайдіть перший і п’ятий члени арифметичної прогресії, якщо її
різниця дорівнює 8, а сума восьми її перших членів дорівнює 2 0 0 .
231. Знайдіть суму членів арифметичної прогресії з шостого по два­
дцять третій включно, якщо перший член дорівнює 28, а різниця
дорівнює -3 .
232. Знайдіть суму членів арифметичної професії ( х „ ) з дванадцятого
по двадцять дев'ятий включно, якщо = 7 і х15 = 42.
233. Знайдіть суму всіх від’ємних членів арифметичної професії
—6,8 ; —6,4; - 6 ;... .
234. В арифметичній професії (а„) al = - 4 , d ~ 6 . Скільки треба взя­
ти перших членів професії, щоб їх сума дорівнювала 570?
235. Знайдіть перший член і різницю арифметичної професії, якщо
сума п’яти перших її членів дорівнює 10, а сума дванадцяти
перших членів дорівнює - 102.
236. Розв’яжіть рівняння:
1) 9 + 17 + 25 + ... + (8и + 1) = 125, деи — натуральне число;
2) 3 + 7 +11 + ... + х = 136, де* — натуральне число.
Означення геометричної професії.
Формула л-го члена геометричної прогресії
237. Знайдіть чотири перших члени геометричної професії (Ьп), якщо
Ьх =0,4, <7= 5.
238. У геометричній професії ( Ь„) Ь, = ]^> <7= -2 . Знайдіть: 1) Ь3;
2 )Ь &; 3 ) Ь и ; 4 ) Ь к .
239. Знайдіть знаменник і четвертий член геометричної професії
і і І
8 Г 27 ’ 9 .......
240. Знайдіть знаменник геометричної прогресії (Ь„), якщо:
1)4, = 10 000, *6 = 0,1; 2)Ьз = і ,Ь5= ± .
241. Знайдіть перший член геометричної професії (*„), якщо:
0 *7 = у | , Ч= 2) *3 = 6 , ,г6 =162.
242. Число 324 є членом геометричної професії 4, 12, 36,... . Знайдіть
номер цього члена.
Варіант З 109
243. Які три числа треба вставити між числами 256 і 1, щоб вони
разом з даними числами утворювали геометричну прогресію?
244. Послідовність (Ь„) задана формулою п-го члена Л„ = 4 •3',_ !. Чи є
ця послідовність геометричною прогресією?
245. Знайдіть перший член і знаменник геометричної прогресії (Ь„),
якщо:
1) Ь6 = 4Ь4 і Ьг +Ь5 =108;
2) Ь2 +Ь5 =56 і Ьі - Ь 4 +Ь5 =14.
246. При якому значенні х значення виразів х - 1, 1- 2х і х + 7 будуть
послідовними членами геометричної прогресії? Знайдіть члени
цієї професії.
247. Сума трьох чисел, що утворюють арифметичну професію, дорів­
нює 30. Якщо від другого і фетього чисел відняти відповідно 4 і
5, то утвориться геомефична професія. Знайдіть дані числа.
Сума п перших членів геометричної прогресії
248. Знайдіть суму п ’яти перших членів геометричної професії (£>„),
якщо 6] = 8 , <7= •
249. Знайдіть суму шести перших членів геометричної професії
_!_ ± 1
5 4 ’ 18’ б ’ - '
250. Знайдіть суму чотирьох перших членів геомефичної професії
( Ьп), якщо:
1) Ь4 =100, 4 = 4; 3) *2 =12, 2>5 =324.
2) Ьх = 2 л/2 , Ь7 =16л/2 , д > 0 ;
251. Геомефична професія (Ьп) задана формулою и-і о члена
Ьп = 5 •2 ”+1. Знайдіть суму семи перших її членів.
252.Знайдіть перший член геомефичної професії (х„), якщо д
253. Знайдіть кількість членів геомефичної професії (с„), якщо
с, = - 9 , д = - 2 , Я,, = -9 9 .
254. Сума другого і фетього членів геомефичної професії дорівнює
30, а різниця четвертого і другого членів дорівнює 90. Знайдіть
суму п’яти перших членів професії.
110 Тренувальні вправи
255. Знайдіть перший член, знаменник і кількість членів геометричної
прогресії ( у п), якщо у 4 - у 2 = -2 4 , у 3 + у 2 = 6 , Sn = -182.
Сума нескінченної геометричної прогресії, у якої I q  < 1
256. Знайдіть суму нескінченної геометричної прогресії:
1)96,24,6,...; 2) 6, 2л/з , 2,....
257. Знайдіть перший член нескінченної геометричної прогресії, сума
якої дорівнює 21 , а знаменник дорівнює -5 .
258. Знайдіть третій член нескінченної геометричної прогресії,
перший член якої дорівнює -40, а сума дорівнює -25.
259. Знайдіть суму нескінченної геометричної прогресії ( Ьп), якщо
*з=18, = 2 .
260. Сума нескінченної геометричної прогресії дорівнює 125, а сума
трьох її перших членів дорівнює 124. Знайдіть перший член і
знаменник прогресії.
261. Запишіть у вигляді звичайного дробу число:
1)0,444...; 2) 2,(36); 3) 0,8333...; 4) 3,7(2).
Варіант 1 111
КОНТРОЛЬНІ РОБОТИ
Варіант 1
Контрольна робота № 1
Тема. Нерівності
1.° Доведіть нерівність (х - 4)(х + 9) > (х + 12)(х - 7).
2.° Дано: 3 < д: < 8 ; 2 < у < 6 . Оцініть значення виразу:
1) 2х + у , 2)ху; 3 ) х - у .
3.° Розв’яжіть нерівність:
1) уд->-1 4 ; 2) 3 х -8 < 4 (2 д :-3 ).
4.° Розв’яжіть систему нерівностей:
.. (бх - 24 > 0, „ Ї2х +1 < 19,
{ - 2х + 12< 0; ' { з 0 - 8х < 6.
5.’ Розв’яжіть нерівність ~ < “ 1•
6/ Знайдіть цілі розв’язки системи нерівностей:
12(3х - 4) > 4(х +1) —3,
|х (х —4) - (х + 3)(х - 5) > -5 .
7.' При яких значеннях змінної має зміст вираз VЗ х - 9 + ^ ?
8.’* Доведіть, що при всіх дійсних значеннях змінних є правильною
нерівність 10а-2 - бху + у 2 - 4х + 6 > 0.
Контрольна робота № 2
Тема. Функція. Квадратична функція, її графік і властивості
1.° Функцію задано формулою /( х ) = -^х 2 + 3х. Знайдіть:
1) / ( 2) і / ( - 1); 2) нулі функції.
х^ + 4
2 ° Знайдіть область визначення функції / (а) = —---------------- .
А2 -Ю а-+ 24
3.° Побудуйте графік функції / { х ) ~ х 2 + 2 а - 3 . Користуючись гра­
фіком, установіть:
1) проміжки, на яких /( а ) > 0 і на яких / (а) < 0 ;
2) область значень даної функції;
3) проміжок зростання функції.
112 Контрольні роботи
4,* Побудуйте графік функції:
1) Г(х) = л[х —3', 2) /(х ) = >/ж —3.
5 / Знайдіть область визначення функції / (х) - л/х + 5 + ^
х2 - 4
6,'* При яких значеннях р і д вершина параболи у = х 2 + рх + ц
знаходиться у точці А (- 4; 6) ?
Контрольна робота № З
Тема. Розв’язування квадратних нерівностей.
Системи рівнянь з двома змінними
1.° Розв’яжіть нерівність:
1) х 2 - 7 х - 3 0 < 0 ; 3) х 2 <25;
2) 4х2 + 16х> 0; 4) х 2 - 6х + 9 < 0.
2.° Розв’яжіть систему рівнянь
 х - 4 у = 3,
[ху + 2у = 9.
З / Знайдіть область визначення функції:
1) у = л І 1 х - х 2 ; 2) у
л/ і 5 —2х —х 2"
[ — -2 —4
4.* Розв’яжіть графічно систему рівнянь  х х ’
[х->> = 6 .
5.“ З двох селищ, відстань між якими дорівнює 48 км, вирушили од­
ночасно назустріч один одному пішохід та велосипедист і зустрі­
лися через 3 год. Знайдіть швидкість руху кожного з них, якщо
велосипедист витратив на весь шлях на 8 год менше, ніж пішохід.
6." Розв’яжіть систему рівнянь | х + бху + 9у -1 6 ,
Іх -З у = -2 .
Контрольна робота № 4
Тема. Елементи прикладноїматематики
1.° Скільки цинку міститься в 24 кг тридцятип’ятивідсоткового
сплаву?
2 ° Було зібрано врожай з 18 га, що становить 60 % площі поля. Яка
площа всього поля?
Варіант 1 113
3.° Вкладник поклав у банк 40 000 грн. під 7 % річних. Скільки від­
соткових грошей він отримає через 2 роки?
4.° Дано вибірку: 4, 5, 5, 6, 7, 7, 8, 10, 11. Знайдіть міри центральної
тенденції цієї вибірки.
5.° У коробці лежать 12 карток, пронумерованих числами від 1 до 12.
Яка ймовірність того, що на навмання вийнятій картці буде запи­
сано число, яке: 1) кратне 3; 2) не кратне ні числу 2, ні числу 5?
6 .* Маємо два сплави, один з яких містить 40% цинку, а другий —-
ЗО %. Скільки кілограмів кожного з них треба взяти, щоб
отримати 180 кг сплаву, який містить 34 % цинку?
7 / Ціну деякого товару спочатку підвищили на 20 %, а потім знизили
на 10%. Як і на скільки відсотків змінилася початкова ціна
внаслідок цих двох переоцінок?
8.’ У коробці лежать 9 синіх кульок, а решта — зелені. Скільки у
коробці зелених кульок, якщо ймовірність того, що вибрана
навмання кулька виявиться зеленою, дорівнює у ?
9.” На чотирьох картках записано числа 5, 6, 7 і 8. Яка ймовірніогь
того, що сума чисел, записаних на двох навмання вибраних
картках, дорівнюватиме непарному числу?
Контрольна робота № 5
Тема. Числові послідовності
1.° Знайдіть чотирнадцятий член і суму двадцяти перших членів
арифметичної прогресії ( ап), якщо а1- 2 і сі2 = 5.
2.° Знайдіть п’ятий член і суму чотирьох перших членів геометричної
професії ( Ьп), якщо Ь{ = 27 і с{= ^ .
3.° Знайдіть суму нескінченної геометричної професії 28, -14, 7,... .
4.' Знайдіть номер члена арифметичної професії ( ап), який дорівнює
7,3, якщо а1=10,3 і */ = -0,5.
5.’ Між числами 2,5 і 20 вставте два таких числа, щоб вони разом з
даними числами утворювали геометричну професію.
6.“ Знайдіть суму всіх натуральних чисел, більших за 100 і менших
від 200, які кратні 6 .
114 Контрольні роботи
Контрольна робота № 6
Тема. Узагальнення і систематизація знань учнів
1.° Розв’яжіть нерівність:
7(2л--3)<10х + 19.
2.° Побудуйте графік функції у = х 2 - 2 х - 3 . Користуючись
графіком, установіть:
1) проміжок, на якому функція зростає;
2) множину розв’язків нерівності х 2 - 2х - 3 > 0 .
3.’ Розв’яжіть систему рівнянь:
( х - у = 3,
І* 2 - х у - 2 у 2 = 7.
4.’ Знайдіть суму двадцяти перших членів арифметичної прогресії
( ап), якщо а5 = - 0,8 , о ,, = -5 .
5.‘ Два робітники, працюючи разом, можуть виконати деяку роботу
за 4 дні. Якщо третину роботи виконає перший робітник, а потім
його замінить другий, то вся робота буде виконана за 10 днів. За
скільки днів може виконати цю роботу кожний робітник, працю­
ючи самостійно?
6 .’ Знайдіть, при яких значеннях а рівняння
я-2 + (а + 5)д: + 1= 0
має два дійсні різні корені.
7.’* При яких значеннях а рівняння ( а - 2 ) х = а 2 - 4 має тільки один
додатний корінь?
Варіант 2 115
Варіант 2
К онтрольна робота № 1
Тема. Нерівності
1.° Доведіть нерівність (.V+ 3)(х -1 0 ) < (.V- 5)(х - 2).
2.° Дано: 4 < х < 1 0 ; 5 < у < 8 . Оцініть значення виразу:
1 )4 х + у , 2)ху; 3) у ~ х .
3.° Розв’яжіть нерівність:
1 ) | х < - | ; 2) 7л" —4 > 6 (Злг—2).
4.° Розв’яжіть систему нерівностей:
. }8х - 32 < 0, |бх - 5 < 13,
|- 3 х +15 > 0; [28 + 4х>20.
_. , . . . 2х- 1 х + 3 .
5. Розв яжіть нерівність —^--------- ^— < - 4 .
6.’ Знайдіть цілі розв’язки системи нерівностей:
4(5х —4) > 13(х -1 ) +18,
х(х + 5) - (х —2)(х + 8) > 9.
7." При яких значеннях змінної має зміст вираз /4х + 16 +
8.” Доведіть, що при всіх дійсних значеннях змінних є правильною
нерівність а2 - 8аЬ + 1Ь2 - 2Ь + 3 > 0 .
К онтрольна робота № 2
Тема. Функція. Квадратична функція, її графік і властивості
1.° Функцію задано формулою /(х ) = ^-л‘2 +2х. Знайдіть:
1) /(3 ) і / ( - 1); 2) кулі функції.
х 2 - 5
2.° Знайдіть область визначення функції / (х) = — .
х - 6х -1 6
3.° Побудуйте графік функції /( х ) = 3 + 2 х - х 2. Користуючись гра­
фіком, установіть:
1) проміжки, на яких /(х ) > 0 і на яких /( х ) < 0 ;
2) область значень даної функції;
3) проміжок зростання функції.
1 ?
116 Контрольні роботи
4.’ Побудуйте графік функції:
1 ) /( * ) = 7 Ї 7 4 ; 2 ) /( .ї ) = л/7 + 4.
£
5.’ Знайдіть область визначення функції /( * ) = л[х + 4 + — ------.
х2 - 9
6.’* При яких значеннях р і q вершина параболи у = х 2 + рх + с/
знаходиться у точці В(3; - 7) ?
Контрольна робота № З
Тема. Розв’язування квадратних нерівностей.
Системи рівнянь з двома змінними
1.° Розв’яжіть нерівність:
1) х 1 + 4 х - 2 1 > 0 ; З ) * 2 >81;
2) Зх2 -1 5 х < 0 ; 4) х 2 + 14а + 49>0.
. „ _ , . . 2х + у = 7,
2 ° Розв яжіть систему рівнянь <{ ,
[х —ху = 6.
3." Знайдіть область визначення функції:
1) у = 44а--а-2 ; 2) у =
4.’ Розв’яжіть графічно систему рівнянь
л/і2 + х - х 2
у = 2 х - х “,
[у = 3 - 2 х .
5.' Від станції А до станції В, відстань між якими дорівнює 240 км,
вирушили одночасно два поїзди. Один з них прибув на станцію В
на 1 год раніше від другого. Знайдіть швидкість руху кожного
поїзда, якщо другий проходить за 2 год на 40 км більше, ніж
перший — за одну годину.
( х 2 - 4 х у + 4 у 2 =25,
[х + 2у = 3.
6." Розв’яжіть систему рівнянь
Контрольна робота № 4
Тема. Елемент и прикладноїматематики
1.° Скільки міді міститься у 16 кг сорокап’ятивідсоткового сплаву?
2 ° У будинку є 68 двокімнатних квартир, що становить 17 % усіх
квартир. Скільки всього квартир у цьому будинку?
Варіант 2 117
3.° Вкладник поклав у банк 60 000 гри. під 8 % річних. Скільки від­
соткових грошей він отримає через 2 роки?
4.° Дано вибірку: З, 3, 4, 5, 5, 8, 8, 8, 10. Знайдіть міри центральної
тенденції цієї вибірки.
5.° У коробці лежать 12 карток, пронумерованих числами від 1 до 12.
Яка ймовірність того, що на навмання вийнятій картці буде запи­
сано число, яке: 1) кратне 4; 2) не кратне ні числу 2, ні числу З?
6 .* Маємо два розчину солі, один з яких містить 10 % солі, а другий
— 15%. Скільки грамів кожного з них треба взяти, щоб отримати
150 г розчину, який містить 12 % солі?
7 / Ціну деякого товару спочатку знизили на 20 %, а потім підвищили
на 30 %. Як і на скільки відсотків змінилася початкова ціна
внаслідок цих двох переоцінок?
8 .* У коробці лежать 16 білих кульок, а решта — червоні. Скільки у
коробці червоних кульок, якщо ймовірність того, що вибрана
навмання кулька виявиться червоною, дорівнює ^ ?
9.** На чотирьох картках записано числа 3, 4, 5 і 6 . Яка ймовірність
того, що добуток чисел, записаних на двох навмання вибраних
картках, буде кратним числу З?
Контрольна робота № 5
Тема. Числові послідовності
1.“ Знайдіть шістнадцятий член і суму тридцяти перших членів ариф­
метичної прогресії( а„ ), якщо а, = 1 0 і а г = 6 .
2.° Знайдіть шостий член і суму п’яти перших членів геометричної
прогресії ( Ь„), якщо 6, = - 64 і д = 1 .
3.° Знайдіть суму нескінченної геометричної прогресії-125,25, -5,....
4 / Знайдіть номер члена арифметичної прогресії ( а„ ), який дорівнює
10,9, якщо 0 [ =8,5 і сі = 0,3.
5.’ Між числами 2 і -54 вставте два таких числа, щоб вони разом з
даними числами утворювали геометричну прогресію.
6-** Знайдіть суму всіх натуральних чисел, більших за 50 і менших від
180, які кратні 8 .
118 Контрольні роботи
Контрольна робота № 6
Тема. Узагальнення і систематизація знань учнів
1.° Розв’яжіть нерівність:
3(2* + 3) < 4 9 -2.x.
2 ° Побудуйте графік функції у = 8 + 2дг- лг2 . Користуючись
графіком, установіть:
1) проміжок, на якому функція спадає;
2 ) множину розв’язків нерівності 8 + 2.x - х 2 < 0 .
3.’ Розв’яжіть систему рівнянь:
Іх + у = 2,
[2;г2 +ху + у 2 =16.
4.’ Знайдіть суму шістнадцяти перших членів арифметичної прогресії
( а„ ), якщо аь = 1 , а9 = 2,8 .
5.' Аркадій і Марина, працюючи разом, можуть виконати комп’ютер­
ний набір деякої книжки за 4 дні. Якщо Марина набере книж­
ки, а потім її змінить Аркадій, то вся книжка буде набрана за
7 днів. За скільки днів може виконати цю роботу кожний з них,
працюючи самостійно?
6.’ Знайдіть, при яких значеннях а рівняння
.ї2 - (о - 6).т + 4 = 0
не має коренів.
7." При яких значеннях а рівняння (а + 3)х = а 2 - 9 має тільки один
від’ємний корінь?
Варіант 1 119
ВІДПОВІДІ І ВКАЗІВКИ
ДО ТРЕНУВАЛЬНИХ ВПРАВ
Варіант 1
14 4) 08 < < 0 85 15 71 — < — 8) — —
> ,й 2 < и’63’ /} 21 9 ’ 23 0,7а-0,16 23 '
25.6) (-нм;-20]; 7)(13;+оо); 8)(-о о ;-6 ]; 9) розв’язків немає;
10) [-2; +со). 27. 3) Розв’язків немає; 4) (-оо; +*). 28.4) х > -5 і х * 3;
5) х < 1 і х ф - 2  6) х > - 1 2 , х * 1 і х * - 1 . 29. 1) Коренів немає;
2 ) - 1 ; - 2 ^ . 31.3) о >2,2; 4) а * 4. 35.3)Я кш о а> 3, то х < 1 ;
якшо а < 3, то х > 1 ; якщо а = 3, то х — будь-яке число; 4) якщо
аФ 3, то х > 0 ; я к щ о о = 3, т о х — будь-яке число; 5) якщо я>1 , то
. 2 - а 2 - а . с
х < — у ; якщо а < 1, то х > ; якщо а - І , то х — будь-яке число;
г л 4# + 8 . 4а + 8 .
6) якщо а <4, то х > ■ якщо а > 4, то х < —— ; якщо а = 4, то
розв’язків немає; 7) якщо а > - 1 , то х > о - 1 ; якщо а < - 1 , то
х < а - 1 ; якщо а - -  , то розв’язків немає. 46.4) ; 5) роз­
в’язків немає; 6) 1. 53. 4) х є (-оо; 0) и (0; 1) І) ^1; . 57. 2) -1 < х < 3;
3 )коренів немає; 4) - у . 58.3) [—1; 1]; 4) (-со; + со); 5) (—оо; 1];
6) (-о о ;-19) 11(0,6;+ оо). 96. р = - 2 , <у= -3. 98. у =  х 2. 99. у =
~ 2 х 2 - 5 . Вказівка. Шукана парабола задається формулою виду
120 Відповіді і вказівки
у = ах2 + Ь. 100. р = -%, q = 23. 101. а = | , * = с = Ц -.
104. с = —12. 105. 1) (5; 5), (—1;—1); 2) (2; 11), (4; 9). 108.
Оскільки вітки даної параболи напрямлені вгору, то значення функції
на міжкореневому проміжку (х.; а-2) від’ємні. Тому досить розв’язати
3) - 3 < а <5; 4) а < -2 або а > 1. 121. 1) Ь < або 6 > 1; 2) Ь < -1 ,
1 2 4 .1)Якщо о < - 3, то а < х < - 3 або * > 4 ; якщо - 3 < о < 4 , то
* > 4 ; якщо а > 4, то х > а ; 2) якщо а < -6 , то розв’язків немає;
якщо - 6 < « < —1, то - 6 < х < а  якщо а > —1, то —6 < х < - 1 .
125. 1) Якщо я = 3, то х = 3; якщо а< 3, то а < х < 3; якщо я > 3 , то
З < х < а; 2) якщо а = -3, то х < -5 або а > -5 ; якщо а > -3, то
х < а - 2 або х > 2 я + 1; якщо а < - 3, то х < 2 а + 1 або* > а - 2.
127. - 8 < 6 < 4 . Вказівка. Досить розв’язати нерівність у(4)<0.
128. 1< от < 5 або т < -2 . Вказівка. Зробіть рівняння зведеним.
129. 6~2л/7 < а < 6 . 130. о > И . 131. я >6. 132. - 1 , 5 < о < і | .
1 4 0 .1) Якщо а = 4, то розв’язків немає; якщо а< 4, то а < х < 4;
якщо а >4, то 4 < х <а ; 2) якщо а <4, то х > 4 ; якщо о > 4, то
нерівність у(3)<0, 120.1) - 6 <а< 2; 2) а < - Щ а^о я > 0 ;
або < Ь < 0, або Ь > 0. Вказівка. При Ь = 0 рівняння стає лінійним і
має один дійсний корінь; 3 ) 6 < 1 або Ь>. 122. 1) —1 < а < ^ ;
2) - 4 < а <4; 3) а < - 4 ; 4) - 3 < а < 0. 123.1) 0 < о т < | ; 2) т < ^ .
Варіант 1 121
4 < х < а або х > а ; 3) якщо а< 4, то х > 4 або х = а якщо а >4, то
х > 4 ; 4) якщо а < —2, то х < а ; якщо а > —2, то х < - 2 або
- 2 < х < а ; 5 )якщо а < - 2, то х < а або х = -2 ; якщо а > - 2, то
х< а ; 6) якщо а = 7, то розв’язків немає; якщо а <7, то а < х < 7;
якщо а >7, то 7 < х < а , 7) якщо а = 5, то х > 5 ; якщо а< 5, то
а < х < 5 або х > 5 ; якщо а >5, то х > а  8) якщо а - 5, то х < 5 ;
якщо а >5, то х< 5; якщо а <5, то х < а або а < х < 5.
147.2) (-!;!); (1;-1); ^ (- 2; - 1);
4)(1; 1); (1;-1); (-1; 1); (-1 ;-1 ); 5 )(5 ;-2 ); 6) (1; - 3 ) ;
(—1; 3); (1,5;-2); (-1,5; 2). 148.4) (6 ; 3 ) ; ( - J ; - | ) ; 5 ) ( Д ; - ^ } ;
6) (0; уІ2); (0 ;-л /2 ). 149.1) (2; 1); (-2 ;-1 ); ( h ! K . &
■ 2) (2; І); < -2 ;-1 ).
ISO. 1) Якщо  a  > 4 l , то розв’язків немає; якщо | а |=л/2 , то один
розв’язок; якщо | а |< у[ї, то 2 розв’язки; 2) якщо | а |< 3, то розв’язків
немає; якщо | а | = 3 , то 2 розв’язки; якщо | о |> 3 , то 4 розв’язки.
151.28; -21 або 3; 4. 152.63. 153.5 см, 12 см. 154.20 см, 15 см.
155.80 км/год, 40 км/год. 156. 15 км/год. 157.20 км/год, 2 км/год.
158.6 км/год, 4 км/год. 159.24 год, 12 год. 160.20 днів, ЗО днів.
161. 5 км/год. 162.4 км/год, 6 км/год, 54 хв. 163. 100 км/год. 164. 6 с,
122 Відповіді і вказівки
4 с. 165.8)35 деталей; 9) 2 км/год, 3 км/год; 10) 6 км/год, 9 км/год;
З год; 11)5 год 15 хв, 2 год 6 хв. 175. 20%. 176.200 г, 400 г. 177.4%.
178. Юкгабо 5 Ік г.1 9 9 . 1) <?„=(« + 1)2 ; 2) в я = - й _ ; 3 ) а„ = ( - 1)',+1;
1+ (_Пп+І
4) а„ = 1 4 — . 213. 1) а, = 5; сі = 2,5; 2) а, = -3 , сі = 4 або а, = 55,5;
п
сі = -5,75. 216. При т = 0 маємо: 0, 2, 4; при т = 2 маємо: 6 , 6, 6 .
217. и = 2; о, = 4 , я 2 = 7 , а3 =10, о4 =13. 224. о, = - 1 , </ = 8 .
Вказівка, я, = 5 ,, 5 2 = о, + я 2. 226.2079. 227.2701. 228. сі = - 2 ± ;
а13 = -1 9 . 231. -120. 233.-29. 234.18. 236.1) и = 12; 2) * = 58.
245.1) = у , ^ = 3 або *і = 0 = -3; 2) Ьі = 5, <? = 3. 246.При
* = 4 маємо: 9, 6 , 4; при * = маємо: -у-. 247.3, 12, 48.
252. 125.258.
Варіант 2
14 ^ і * , 7 - І Ї 8 іс 7Ч 5 - 5х .1 0 .0 4 11 0,6.т-0,1>> |
14.4) 1,5 < 3 < 115. 15.7) 1 4 < 6 у < з ,» ) 58 < о,8*-0,Зу 3 ‘
25, 6) ( —°о; 18]; 7) ( $ ; + «>); 8)(-«>; 11,5]; 9) ( 1;+оо); 10) [ - 0,2 ; + ®).
27. 3) Розв’язків немає; 4) (-со; +оо). 28.4) х > -9 і * ф 4 ; 5) х < 0,6 і
* * -1 ; 6) х > -9 , х ф 2 і х * -2 . 29. 1) Коренів немає; 2) ; - І .
31. 3) о < 5-і і а Ф5; 4) таких значень не існує. 35. 5) Якщо а > -2, то
х > - —%; якщо а < - 2, то х < - — якщо а = - 2, то розв’язків
а + І а+1
Варіант 2 123
немає; 6)якшо а> 3, то х < - 3 ; якщо а< 3, то х > - 3 ; якщо а = З,
то х — будь-яке число; 7) якщо а> 3, то х > а + 3; якщо а < 3, то
х < а + 3; якщо а = 3, то розв’язків немає. 46. 4) ^ j ;
5) розв’язків немає; 6 )-1 . 53.4) х є (-со; - 2) U (-2; 0) U ^ 0 ;-|-j.
57. 2) - 3 < х < 2; 3) коренів немає; 4) - j . 5 8.3) [-3; 3]; 4) (-со; + оо);
5) (-со; + со); 6) (-со;-38)11(1,2; +а>). 96. Р = ~  , <?= §■
98. у = -3 х 2. 99. у = З.ї2 - 3 . 100. /> = - 4, д = 9. 101. а = 0,5, 6 = -З,
с = 5,5. 104. с = 1. 105.1) (2; 2), (-4 ; -4 ); 2) ( - 6 ; 10), (2; 2).
108. а < - | . 109. о > - | . 110. O> J f 111. а - 2. 112. я < - 4 .
120. 1) —3 < о < 1; 2) о < 0 або а > - j ; 3) - 9 < а < 3; 4) а < -1 або
<7 > у . 121.  ) Ь < 2 або Ь > 6; 2) b < 0 або 0 < 6 < ^ - ; 3)
4 ) Л < - 5 , або - 5 < Ь < - 2 , або Ь > - у . 122.1) о < 0 або а> 3;
2) 0 < а < 0,4; 3) 2 < а < 8 ; 4) таких значень а не існує. 123. 1) т < 0 ;
2) т > 2 . 124. 1) Якщо а < - 3, то - 3 < а < 2 ; якщо - 3 < о < 2 , то
а < х < 2 ; якщо а > 2 , то розв’язків немає; 2) якщо д < - 8 , то х < а 
якщо - 8 < я < - 1, то х < —8 ; якщо а > —1, то х < - 8 або - 1< х < а .
125. 1) Якщо а < - 2, то х < а або х > - 2 ; якщо а = - 2, тол — будь-
яке число; якщо а > - 2 , то х < - 2 або х > а ; 2) якщо а < -2 , то
2я + 1 < х < о - І ; якщо а > - 2 , то а -  < х <2а +  якщо а = —2, то
розв’язків немає. 127. Ь > 2. 128. 1-3-^2 < я < ^ або я > 1+ Зл/2.
124 Відповіді і вказівки
129. Таких значень т не існує. 130. а > ^ . 131
132. -  < а < - — або < а <^ . 140. 1) Якщо а< 2, то
а < х < 2 ; якщо а> 2 , то 2 < х < а  якщо а = 2 , то розв’язків немає;
2) якщо а < 2 , то * > 2 ; якщо а > 2 , то 2 < л : < а або х > а  3) якщо
а < 2, то х = а або * > 2 ; якщо а >2, то х > 2 ; 4) якщо а < - 4 , то
* < а ; якщо а > - 4 , то л < - 4 або - 4 < х < а ; 5) якщо а < - 4 ; то
х < а або х - - 4 ; якщо а > - 4 , то х < а; 6) якщо а < 3, то .ї < а або
х > 3; якщо « > 3 , то .V< 3 або х > а ; якщо а = 3, то л — будь-яке
число, не рівне 3; 7 )якщо а < - 3, то а < х < - 3 або дг>-3; якщо
а = - 3, то * > - 3 ; якщо а > - 3 , то х > а ; 8) якщо а < 1 , то х < а або
а < х < 1; якщо а = 1, то х < 1; якщо а > 1, то х < 1. 147.2) (3; 3);
(-3 ;-3 ); (—5; —13); (5; 13); 3) (2, 6); ( - 2 ,-6 ); 4)(л/3;»; (-л/З; 1);
(л/З;-1 ); (-■Уз;-1 ); 5) (-1;8); 6) (2; 1); (-2 ;-1 );
( 5;т ) ; ( - 5 ; г ) ' 1 « -4 5 (1 2 : 3); ( & ; - # ) 5 ) ( § ; ^ ) ;
6) (л/23;3л/23); ( - 7 2 3 ;- 3 л/23);
149.1) (4; 2); ( - 4 ;- 2 ) ; (-5л/2; Л ) ; (5^2; - Л ) ; 2)(-2; 1); (2; -1).
150.1) Якщо | а |> 2л/2,то розв’язків немає; якщо | а |= 2л/2, то один
розв’язок; якщо | а | < 2л/2 , то 2 розв’язки; 2) якщо |о |< 5 , то
розв’язків немає; якщо | я | = 5 , то 2 розв’язки; якщо | а |> 5 , то
4 розв’язки. 151.4; 10 або ^ • 152. 24 або 48. 153. 15 см, 8 см.
Варіант 2 125
154. 10 см, 18 см. 155. 10 км/год, 15 км/год. 156. 24 км/год, 18 км/год.
157. 27 км/год, 3 км/год. 158. 40 км/год, 60 км/год. 159. 10 год, 15 год
або 12 год, 12 год. 160. 18 год, 12 год. 161.60 км/год. 162.80 км/год,
60 км/год, 2 год. 163.60 км/год. 164.12 об/хв, 8 об/хв. 165.8) 5 т;
9) 10 м/с, 8 м/с; 10) 50 км/год, 60 км/год, Згод; 11)1 год 48 хв,
2 год 15 хв. 175.5%. 176.20 кг, 30 кг. 177.10%. 178.20 кг.
199. 1) 0„ = (2п - 1)2; 2) = - й - ; 3) = (-1)"+1л ; 4) ая = .
п + / п
213. 1) я, = 7, л/= 1,5; 2) о , = - 4, сі = 2 або а, = -37,6, </ = 7,6.
216. При о = 6 маємо: 12, 7,2;при « = 1 маємо: - З , - З , -3 .
217. />= 3; о, =10, с/2 = 11> ^3=12, а4 =13. 224. о, =10, с/ = 6 .
226.2808. 227.3629. 228. с/ = | , я16 =28. 231. 160. 233.72,2. 234.24.
236. 1) п =12; 2) х = 26. 245. 1) 6, = - 4 , <7= 5або Ь = 4, = -5 ;
2) 6, = —3, д = - 2 . 246. При х= 4 маємо: - 1 , -1 , - 1 ; при х = 7
маємо: 8, 4, 2. 247.2, 5, 8 або 11, 5, -1 . 252. 576. 258. - 2.
Зміст
Від авторів...............................................................................................З
Тематичний розподіл тренувальних вправ..................................... 4
Тренувальні вправи...............................................................................5
Варіант 1 ..........................................................................................5
Варіант 2 ....................................................................................... 40
Варіант 3 ........................................................................................75
Контрольні роботи.............................................................................111
Варіант 1 ......................................................................................111
Варіант 2 ......................................................................................115
Відповіді та вказівки до тренувальних вправ ................119
Варіант 1 ...................... 119
Варіант 2 .................................. 122

9 asz m_u

  • 1.
    А.Г. Мерзляк В.Б, Полонський Ю.М,Рабінович М.С. Якір Збірник задач і контрольних робіт з алгебри для 9 класу Схвалено для використання у загальноосвітніх навчальних закладах Харків «Гімназія» 2009
  • 2.
    УДК 373:512 ББК 22.141.s72l М52 Схвалено длявикористання у загальноосвітніх навчальних закладах Мерзляк А. Г., Полонський В. Б., Рабінович Ю. М., Якір М. С. М52 Збірник задач і контрольних робіт з алгебри для 9 класу. — X.: Гімназія, 2009. — 128 с.: іл. ISBN 978-966-474-055-2. Посібник с дидактичним матеріалом з алгебри для 9 класу загальноосвітніх навчальних закладів. Він с складовою частиною навчально-методичного комплекту і відповідає підручнику з алгебри для 9 класу (автори А. Г. Мерзляк, В. Б. Полонський, М. С. Якір). Книга містить близько 1000 задач. Першу частину «Тренувальні вправи» поділено на три однотипних варіанти по 261 задачі в кожному. Друга частина містить контрольні роботи (два варіанти) для тематичного оцінювання навчальних досягнень учнів за 12-бальною шкалою відповідно до чинної програми з математики. Для вчителів загальноосвітніх навчальних закладів і учнів 9 класів. УДК 373:512 ББК 22.141.я721 © А.Г. Мерзляк, В.Б. Полонський, Ю.М. Рабінович, М.С. Якір, 2009 © ТОВ ТО «Гімназія», оригінал- ISBN 978-966-474-055-2 макет, 2009
  • 3.
    ВІД АВТОРІВ Учням Любі діти!У цьому році ви продовжите захоплюючу подорож по чарівній країні Алгебра. Ми впевнені, що подолання перешкод, які стануть на вашому шляху, не тільки допоможе вам зміцніти, а й принесе радість від одержаних перемог. Учителю Ми дуже сподіваємося, що, придбавши цю книжку не тільки для себе, а й «на клас», Ви не пошкодуєте. Навіть тоді, коли Вам пощастило і Ви працюєте за підручником, який подобається, все одно задач, як і грошей, буває або мало, або зовсім мало Ми маємо надію, що цей посібник допоможе ліквідувати «задачний дефіцит», Першу частину — «Тренувальні вправи» — поділено на три одно­ типних варіанти по 261 номеру в кожному. До багатьох (найбільш складних) задач першого і другого варіантів наведено відповіді та вказівки до розв'язування. Відсутність відповідей до вправ третього варіанта, на нашу думку, розширює можливості вчителя при складанні самостійних і перевірочних робіт. На стор.4 наведено таблицю тематичного розподілу тренувальних вправ. Друга частина посібника містить 6 контрольних робіт (два варіанти). Зміст завдань для контрольних робіт поділимо умовно на дві частини. Перша відповідає початковому і середньому рівням навчальних досягнень учнів. Завдання цієї частини позначено сим­ волом п° (п — номер завдання). Друга частина відповідає достат­ ньому і високому рівням. Завдання кожного з цих рівнів позначено символами п і /Г* відповідно. Виконання першої частини макси­ мально оцінюється у 6 балів. Правильно розв’язані задачі рівня п додають ще 4 бали, тобто учень має можливість отримати відмінну оцінку 10 балів. Якщо учневі вдалося ще розв’язати задачу л* то він отримує оцінку 12 балів. Бажаємо Вам творчої наснаги й терпіння...
  • 4.
    4 Тематичний розподіл тренувальнихвправ і Тема Номери вправ Числові нерівності 1 - 5 Властивості числових нерівностей. Оцінювання значення виразу 6 - 1 7 Нерівності з однією змінною 1 8 -2 0 Розв’язування лінійних нерівностей з однією змінною. Числові проміжки 2 1 -3 8 Системи лінійних нерівностей з однією змінною 3 9 -6 2 Функція 6 3 -7 5 Властивості функції 7 6 -7 8 Парні і непарні функції 7 9 -8 2 Перетворення графіків функцій 8 3 -8 7 Квадратична функція, її графік і властивості 8 8 - 1 1 2 Розв’язування квадратних нерівностей 113-132 Розв’язування нерівностей методом інтервалів 133-140 Графік рівняння з двома змінними 141; 142 Системи рівнянь з двома змінними 143-150 Розв’язування задач за допомогою систем рівнянь другого степеня 151-164 Математичне моделювання 165 Відсоткові розрахунки 166-178 Випадкова подія. Ймовірність випадкової події 179-186 Початкові відомості про статистику 187-190 Числові послідовності 191-201 Означення арифметичної прогресії. Формула и-го члена арифметичної прогресії 2 0 2 -2 1 7 Сума п перших членів арифметичної прогресії 2 1 8 -2 3 6 Означення геометричної прогресії. Формула /і-го члена геометричної прогресії 2 3 7 -2 4 7 Сума п перших членів геометричної прогресії 2 4 8 -2 5 5 Сума нескінченної геометричної проіресії 256-261
  • 5.
    Варіант 1 5 ТРЕНУВАЛЬНІВПРАВИ Варіант 1 Числові нерівності 1. Порівняйте числа я і Ь, якщо: 1) я - й = -0 ,3 ; 2) а - і = 0,4; 3 ) а = 0,6 + 6 ; 4 ) Ь = а -& . 2. Точка А(а) розташована на координатній прямій правіше за точку В{-2). Яке з тверджень е правильним: 1) а > -2 ; 2) а < -2 ; 3) я = -2 ; 4) числа а і -2 порівняти неможливо? 3. Доведіть, що при будь-якому значенні змінної правильна нерівність: 1) ( я - 8)(я + 7 )> (я + 10)(я-11); 2) ( я - 6 )2 - 2 < (я —5 )(я -7 ); 3) {2а - 5)(2я + 5) - (За - 2) 2 < 3 (4 я - 9 ) - 2 ; 4) а (а -8 )> 2 (о -1 3 ). 4. Доведіть, що: 1) я - 6я + 10 > О при всіх дійсних значеннях я; 2) 12„у-4у2 -1 1 < 0 при всіх дійсних значеннях у; 3) х 2 -1 Оху + 26>>2 + 2у + 40 > 0 при всіх дійсних значеннях х іу; 4) х 2 + 4у 2 + 6.-+ 4у +10 > 0 при всіх дійсних значеннях а- і у; 5) аЬ{а + Ь)< а} + £>3 , якщо а > О, Ь > 0; Я 2 6) т +т - т - > 0 , якщо т > 1; о + 2 _ 7) ■.---------> 2 при всіх дшсних значеннях я; 4 а г +1 8) х 2 + 10у 2 + 6ху - 8у +16 > 0 при всіх дійсних значеннях х і у. 5. Доведіть, що: 1) (я +Л ) ^ + > 4, якщо а > О, Ь > 0; 2) (я + 6)(6 + 3)(с + 2) > 48л/оЬс , якщо д > 0, й > 0, с > 0.
  • 6.
    6 Тренувальні вправи Властивостічислових нерівностей. Оцінювання значення виразу 6. Дано: а >Ь. Порівняйте: 1) а + 5 і />+ 5; 3) 1,9а і 1,9Ь; 5 )-1 0 0 6 і -100«; 2) />-10 і а - 1 0 ; 4 ) - а і - Ь ; ^ п ' П ' 7. Дано: а <Ь. Порівняйте: 1 ) а - З і/> ; 2 )а і/> + 4 ; 3) - а + 1 і - Ь + ; 4) а + 5 і />-1. 8. Порівняйте а і 0, якщо: 1) 6а > 5а; 2 ) - |< - |; 3) - 7 а > - 9 а ; 9. Чи є правильним твердження: 1)якщ о а> 3 і * > 10, то а + />>13; 2) якщо а > З і і > 10, то а + Ь> 1 2 ; 3)якщо а > 3 і />>10, то а + Ь> 14; 4) якщо а > 3 і />>10, то аЬ > 30 ; 5) якщо а> 3 і />>10, то а - Ь > - 7; 6) якщо а > 3 і Ь > 10, то аЬ > 28 ; 7 )якщо а > 3 і />>10, то 2а + 4/>>39; 8) якщо а > 3 і Ь < 10, то а —Ь > -7 ; 9) якщо а < 3 і /><10, то аЬ< ЗО; 10) якщо 0 < а < 3 і 0< Ь <10, то аЬ < ЗО; 11) якщо а > 3 , то 0 і > 9; 12) якщо а < 3, то а 1 < 9 ; 13) якщо а > 3 , то ^ < у ; 14)якщо а < 3, то ^ > у ? 10. Дано: а> 0 і /><0. Порівняйте: 1) а - Ь і 0; 2) Ь - а і а; 3) 4я-5/> і Ь; 4) ' а' 11. Дано: - 4 < а < 3. Оцініть значення виразу: 1) 4а; 3) а + 5 ; 5 ) - а ; 7) 2 а - 6 ; 2 ) | ; 4 ) о - 7 ; 6) - 2 а ; 8)5 - З а . 12. Дано: 3 < а < 9 . Оцініть значення виразу 13. Дано: -5 < а < 5. Оцініть значення виразу ^ .
  • 7.
    Варіант 1 7 14.Відомо, що 3,3 < л/ЇТ < 3,4. Оцініть значення виразу: 15. Дано: 4 < а < 1 і 3<Ь<5. Оцініть значення виразу: 1) а + Ь 3)аЬ; 5)За + 1Ь; 7) 16. Оцініть периметр рівнобедреного трикутника з основою а см і бічною стороною Ь см, якщо 11 < а < 15, 12 < Ь < 20. 17. Оцініть периметр і площу прямокутника зі сторонами а см і Ь см, якщо 3 0 < а < 5 0 , 10< Ь < 40. Нерівності з однією змінною 18. Які з чисел - 5 ; 4; - 6 ; 0; у є розв’язками нерівності: 1) (лг-1)2 > 0 ; 3) (лг-1)2 < 0; 5 )0 л г> -1 ; 7)0а-> 1; 2) (-ї-1)2 > 0 ; 4) (лг-1) 2 < 0 ; 6) 0лг<-1; 8 )0 х < 1 ? 20. Розв’яжіть нерівність: Розв’язування лінійних нерівностей з однієї змінною. Числові проміжки 21. Зобразіть на координатній прямій проміжок: 1) [~ 4; +°°); 2) ( - 4 ;+ 00); 3 ) ( ^ ; - 4 ) ; 4 ) Н о ;- 4 ] . 22. Зобразіть на координатній прямій і запишіть проміжок, що задається нерівністю: 1)д г> 1 ; 2 ).т < 4 ; 3) 2х > х +1; 5) л/х + 1 > 2; 4) х 2 —4 < 0 ; 6) І <1? 19. Яка множина розв’язків нерівності: 8 ) дн4 4 - 1 . 1) х < 3 ; 2) х > —5 ; 3) х < - 2 ; 4) х> 1 .
  • 8.
    8 Тренувальні вправи 23.Знайдіть найменше ціле число, яке належить проміжку: 1)(11,2;+со);.. 2) [13;+®). 24. Розв’яжіть нерівність: 1) 7х > 14 ; 5 )4 ,7 .ї > 0; 9) 7х + 3< З О -2 л ; 2 )-З х > 1 2 ; 6) —2 х < 0 ; 10) 7 —2дг< Злг—18; 3) А х > —2; 7 ) і 1 х < _ 2і ; 11) 5,4-1,5х>0,Зх-3,6; З ^ О 4) 0,1*< -5; 8) 2л-> 18 —дг; 12> 8 Х + 15 < 6 * + 10‘ 25. Розв’яжіть нерівність: 1) 5 - 2(х -1 ) > 4 - X; 2) 0,2(7 - 2у) < 2,3 - 0,3(>»~ 6); 4) х(4х +1) - 1(х2 - 2х) < Зх(8 - х) + 6 ; 5) ^ - § > 5 ; 7 х - 4 Зх + З 8 - х 7 ) — 5 т - >9 4 6 ’ 8) (х + 6)(х -1 ) - (х + 3)(х - 4) < 5х ; 9) (4х - 1)2 - (2х - 3)(6х + 5) > 4(х - 2) 2 +16 х ; 10) 2х(3 + 8х) - (4х - 3)(4х + 3) > 1,5х. 26. Знайдіть найбільший цілий розв’язок нерівності: 1) 2х + 9 > 4х - 7 ; 2) 14х2 —(2х —3)(7х + 4) < 14; 3) (2х - З)2 + (3 - 4х)(х + 5) > 82 ; 4) (х - 1)(х +1) < 2(х - 5) 2 - х(х - 3). 27. Розв’яжіть нерівність: 1) Зх + 6 > 2(2х - 7) - х ; 2) 6,2(3 - 2х) > 20 - (12,4х +1,4); 3) 6х + (х - 2)(х + 2 ) > (х + З)2 ; 4) 2х(х - 4) - (2х + 5)(х -1 0 ) < 2(3,5х + 50).
  • 9.
    Варіант 1 9 28.При яких значеннях х має зміст вираз: 1) уі4х - 3 ; 3 ) - 7Л = ; 5) л/8 -1 6 х + -= ^ — ; л/4х+ 16 х - 4 2) 7 5 -1 1 * ; 4) л/ГТ? + — ; 6) ■- ^ 1 = . - + - і - ? * - 3 уі3х + 36 |* |- 1 29. Розв’яжіть рівняння: 1) | х - 2 | + .х= 1; 3) | * - 4 1+ х = 9; 2) 12* + 4 1- * = 3 ; 4 ) |х + 3 |- л : = 2. 30. Побудуйте графік функції: 1) у = |х + 3 |; 2) у = х - + 2; 3) у = х + 2 - х . 31. При яких значеннях а не має коренів рівняння: 1) * 2 + 4 х - о = 0; 2) (а - 1)х2 + (2а - 3)* + а = 0 ; 3) (а —2)х2 - 2(а - 3)л: + а +1 = 0 ; 4) 2х2 +(2а + 2 ) х + а 2 +2а + 26 = 0? 32. При яких значеннях а можна розкласти на лінійні множники квадратний тричлен: 1) 2х2 + 1 х - а ; 3) Зх2 —5ах —1; 2) ах2 + 4х + 8 ; 4) (а - 1)* 2 + 6ах + 6 ? 33. При яких значеннях Ь має додатний корінь рівняння: 1) 5 х - 1 = 4Ь ; 2 ) ( Ь - 4 ) х = 97 34. При яких значеннях Ь має єдиний додатний корінь рівняння: 1) ( Ь - 2 ) х = Ь2 - 4 ; 2) {4Ьг + Ь)х = Ь1 35. Для кожного значення а розв’яжіть нерівність: 1 ) ( а - 3 ) х < 0 ; 4) ( а - 3) 2* > 0 ; 7) (а + 1).ї> а2 - 1 ; 2) (а - 3) х > 4 ; 5 ) а - х < 2 - а х ; 8) ( а - 5 ) х < а2 -2 5 . 3) (а - 3) х < а - 3; 6) 4(х - а) > 8 + а х ; 36. У саду ростуть яблуні і вишні. Кількість яблунь відноситься до кількості вишень як 3 :8 . Яка найбільша кількість вишень може бути в саду, якщо всього росте не більше ніж 400 дерев? 37. Сторони трикутника дорівнюють 10 см, 18 см і Ь см, де і? — нату­ ральне число. Якого найменшого значення може набувати Ь1
  • 10.
    10 Тренувальні вправи 38.Сума трьох послідовних натуральних чисел, кратних 3, не більша за 130. Знайдіть найбільше значення, якого може набувати перше число з цієї трійки чисел. Системи лінійних нерівностей з однією змінною 39. Серед чисел -2; 1,5; 4 укажіть розв’язки системи нерівностей: п ]* > - 3 , х<4, І2*-1>дг + 3, . /1 —Зл->2, (х<б; ; |х > 0 ; [8* + 3> 7 + jc; '[ 5 - 4 .г < 1 . 40. Зобразіть на координатній прямій проміжок: І) (-4 ; 2 ); 2) [-4 ; 2]; 3) [-4 ; 2); 4) (-4 ; 2]. 41. Зобразіть на координатній прямій і запишіть проміжок, що за­ дається нерівністю: 1) 0 < х < 9 ; 3 ) -3 ,8 < х < 6 ,4 ; 2 ) і < * < 4 | ; 4) 0,1 < * < 6 0 4 . 42. Запишіть усі цілі числа, які належать проміжку: 1) [4: 8]; 2) (3,7; 9]; 3) [-4,8; 2]; 4) (-3; 3). 43. Укажіть найбільше і найменше цілі числа, які належать проміжку: 1) [-Ю ;-5]; 2) (6; 12]. 44. Зобразіть на координатній прямій і запишіть перетин проміжків: 1) [-2; 6] і [3; 8]; 4) (-оо; 3,7) і (3,9; +а>); 2) [4; 7] і (4; 9]; 5) [10;+оо) і [13,4;+«); 3) (-со; 5,2) і (4,3; +а>); 6) [6; 10] і [7,3; 8). 45. Зобразіть на координатній прямій і запишіть об’єднання проміжків: 1) [2; 7,4] і [3; 9]; 4) [3; 7) і [7; +со); 2) [4; 7] і (4; 9]; 5) (-оо; 10) і (6,4; +оо); 3) (-оо; 5) і (2; 8,1); 6) (-<*>; 3,7) і (3,9; +со). 46. Розв’яжіть систему нерівностей: .. (5* > -25, [0,3(.ї - 6) £ 0,5* +1, } {- ї х > 14; } 4 х + 7 > 2(х + 6,5); 2- f6* - 7 > 4* - 3, ГЗлг(дг—7) —лг(4 + Злг) < 5, [З* +16 > 8* —4; І12*2 -(2 х -3 )(6 * + 4)<17; 5) 5.т-4 2х+1 - 1 > —=— 6 Здг+1 „ 3 * -2 — 2х > 2,5 - 8
  • 11.
    Варіант 1 11 [(5.x- 1)2 + 4х < (5.x - 1)(5х + 1) - 4х, 6) 2 x ~ l 7х+3 2 - х I 6 + 3 -* 2 47. Знайдіть цілі розв’язки системи нерівностей: 1) 2) 6 х -9 < 3 х + 15, 7 - 2.x > 13 - 5-ї ; 8х + 20 > Зх + 5. 2х +1 > 4х - 5; 15х -1 > 2х + 4, ( Ш х -5 < 3 х + 13; Г5х+3 -г 1> Зх, [(.х + 1)(х - 4) - 2 < (х + 2)(х - 3) - х. 48. Розв’яжіть систему нерівностей: 1) 2(3х - 4) > 6(х +1) - 20, 0,4(5 - х) < 3(х +1,4) +1,2; 2) 5 )1 < 6) 2,4 < Г З х -8 8 . |1 -----7— >5х, [х(х - 4) - (х + 1)(х - 5) < 2 . 6х + 5 2 8 —4х < 4 ; < 2,8 . 49. Розв’яжіть нерівність: 1) - 2 < х - 5 < 7 ; 2) - 4,2 < Зх + 2,4 < 6 ; 3) 0,6 < 5 - 2х < 0,8 ; 4 ) 7 < } - 1 < 7 ,1 ; 50. Скільки цілих розв’язків має нерівність: 1) - 3 < 6 х - 4 < 2 ; 2) —1< 3 —1Ох< 5 ? 51. При яких значеннях х значення функції у = х( 1-л/З) належать проміжку [4 - 4л/з; 2 - 2л/3] ? 52. Розв’яжіть систему нерівностей: х < 5, 2х - 7 > 6, 0,6 —4х>2,2, | х > 3, 2)- 3 - 4х < 9, 3) 2 ,5 .x -2 < 8, [*<4,7; 7 х -8 > 2 ; • 3,1х + 9<1,6х + 3 53. При яких значеннях змінної має зміст вираз: 1) л /7 х -8 + л/Зх-14 ; 1 2) л/2х + 3 ~ - 3) -/2.х- 5 + V 2 - х ; 7 5 „ л /9 -2 х 54. Розв’яжіть нерівність: 4) л/4 - Зх X - X х —9 П. 2 х -^
  • 12.
    12 Тренувальні вправи 55.Розв’яжіть нерівність: 1) !* |< 3 ; 3) 17х + 8 |< 2; 2) І* - 1 1<4,2; 4) )10 —3.x|< 5. 56. Розв’яжіть нерівність: 1 ) М > 8 ; 3) |0,5х + 6 |> 1; 2) Іх + 5 1> 7,8; 4) 111 - 4 * |> 6 . 57. Розв’яжіть рівняння: 1 ) |х | + |х - 4 |= 5 ; 3) | х |- |х - 5 | = 6 ; 2) |х + 1| + |х - 3 | = 4 ; 4) |2 х - 3 |- |х + 2 | = 4хЧ-5. 58. Розв’яжіть нерівність: 1) |x + 2 |+ 3 x > 5 ; 4) |х + 3| + |х - 4 |> б ; 2) |х - 6 |- 7 л < 1 8 ; 5) |х + 2 ,5 |- |х - 1 ,5 |< 3 ; 3) |х + 1 | + |л - - 1|< 2 ; 6) ІЗ.т + 8 1—12дг —7 1>4. 59. Для кожного значення а розв’яжіть систему нерівностей: 1) f,<3' 2)j',<2'|х < а; [х > а. 60. При яких значеннях а обидва корені рівняння х2 - 2ах + а2 -1 = 0 більші за число З? 61. При яких значеннях а обидва корені рівняння .V2 - (За + 1)х + 2а2 + 4а - 6 = 0 належать проміжку [2; 9]? 62. При яких значеннях а один з коренів рівняння 2.г2 - (а + 5).т - - а " - а + 2 = 0 менший від -3, а другий — більший за 2? Функція і 2 63. Функцію задано формулою /( х ) = -^х + 3х. Знайдіть: 1 ) /( 1 ) ; 2) Д О ); 3 ) / ( - 4 ) ; 4) / ( ~ у } О 64. Дано функції g(x) = ~ - 4 х і ф(х) = 2д--5. Порівняйте: 1) g(l) і Ф(1); 2) g f i ] і ф (4); 3)g(-2) і Ф(1) .
  • 13.
    Варіант 1 13 65.Дано функцію - 2х + 1, якщо х < -4, / (х) = • х2 - 7, якщо - 4 < х < З, 2, якщо х > 3. Знайдіть: 1) / ( - 5 ) ; 2) / ( - 2 ) ; 3) /( 3 ) ; 4) /(7 ,6 ). 66. Знайдіть область визначення функції: 9 1) /(х ) = 4 х -1 3 ; 7) / ( * ) = - у ^ ; Xі + 4 5 I і- ■ _ ,, ч 7х + 13 X2 - ї х X 3) / ( х ) - — ; 9) / ( х ) = 4)/(.* ) = ^ Г 5 -; і а > / ( х ) ш ф ; 5) / ( х ) = л[х~-5 ; П ) / ( *) = Щ Т5 ; - 1 ■ ,, ч 13 б ) /( ж ) “ Т 4 ^ Г ; 12) /( х ) = х І+ х2 13) /( х ) = л/х + 5 + л/3 - х ; 14) / (, ) в ^ Г П ' + ~ 1 ; 15) / (х) = Тх-~2 + 4 2 - х ; 16) /( * ) = л / ^ 9 + - ^ = р 17) /( х ) = ТГ+~2 + * ~ 7 х2 - 4 1 8 )/ (х )= Д + - Д 4- ~ . + З .V —8х + 7 х 2 + 67. При якому значенні х значення функції Л(х) = х - 3 1) 19; 2 )-2 ; 3) 1? 68. Знайдіть область значень функції: 1) / (*) = л/х + 1; 2) / (х) = л/х - 2 ; З дорівнює:
  • 14.
    14 Тренувальні вправи 3)£(*) = 3 - х ‘ ; 4) Д х ) 2 ; 5) ф(х) = 5 + | х | ; 6) И ( х ) = уІ х 2 + 4 - 5 ; 7) /(д-) = л Г 7 ; 8 ) /( х ) = ^ З - Т Г Г ^ ; 9) /(х ) = 7 Г - х ^ ; 10) / о о = - ± _ . д- +1 69. На рисунку 1 зображено графік функції _у= /( х ) , визначеної на проміжку [-3,5; 5]. Користуючись графіком, знайдіть: 1) /(-2 ,5 ); /( -2 ); /(-0 ,5 ); /(0 ); /(0,5); /(3 ); 2) значення х, при яких / (х) = -2,5; / (х) = 3; / (х) = 1,5; / (х) = 0; 3) найбільше і найменше значення функції; 4) область значень функції. Vі / ) / ч і 1 А 1 ( І4 ч 2 - і 0 1 2 3 і4 5 Л* ч / 1 '“1 ч % ) і / - 2 Рис. 1 70. Функцію задано формулою f ( x ) = x 2 - 4, де - 3 < х й 2. 1) Складіть таблицю значень функції з кроком 1. 2) Побудуйте графік функції, користуючись складеною таблицею. 3) Користуючись графіком, знайдіть, при яких значеннях аргу­ менту /(х ) < 0 .
  • 15.
    Варіант 1 15 71.Побудуйте графік функції: 1) / ( х ) = 2х + 1; 2 ) / ( * ) = 6 - 1 * ; 4) /(х) = 4; 5) Л * ) = ^ ; 6) /(* ) = - |3) / (х) = - 2х ; 72. Знайдіть область визначення і побудуйте графік функції: 4 х -2 0 о т = 2) / ( * ) * х г - 4 х + 2 х 2 - 6 х + 9 3) /( * ) = х 1 - 5 * 3 - х 73. Побудуйте графік функції: 4)/м=Й 2 ) / ( * ) = -р якщо х < -3 , -|х , якщо - 3 < х < 3 , 4 , якщо х > 3 ; - 2 х - 3 , якщо х < - 4 , х + 1, якщо - 4 < х < 2 , 4, якщо х > 2. 74. Знайдіть, не виконуючи побудови, точки перетину з осями коор­ динат графіка функції: 1) Д х ) = і х —8; 5 - Зх 2) * (* )= 4 7 Т Т , 4) й(х) = х - 8 х - 9 ; 5) /( х ) = 3х2 - 7 х + 2 ; 6 ) g ( x ) = х2 - З х2 + 23) ф(х) = 16 - х2 ; 75. Задайте формулою лінійну функцію f ( x ) = kx + b, для якої /(-6 0 ) = -23 і /(2 0 ) = 3-і-. Властивості функції 76. На рисунку 2 зображено графік функції у = / (х). Користуючись графіком, знайдіть:
  • 16.
    16 Тренувальні вправи 1)нулі функції; 2) проміжки зростання і проміжки спадання функції; 3) множину розв’язків нерівності / (.х) > 0 . к2 / / Ч N / і'2 1 0 1 2 V X -1 -2 4) /( * ) = - х —4 в) Рис. 2 77. Знайдіть нулі функції: 1) /( х ) = 0,3* + 7; 2) / (х) = 0,5д:2 - З* - 2; 3) /(де) = 7 7 + 2 ; х2 -5 х + 4 Уі 4 N / ? / 0 2 41 .V / / б) 5) /( * ) = 7 2 5 - х 2 ; 6) /(де) = 7 х 2 + 4 ; 7) /(дс) = дг7 7 = 2 . 78. Які з лінійних функцій .у = -15х + 17; >' = 0,64х-12; >' = -0,39х; ^ = 114х + 23; ^ = - х + 4: 1) зростаючі; 2) спадні?
  • 17.
    Варіант 1 17 Парніі непарні функції 79. Відомо, що /(5 ) = -14. Знайдіть / ( —5), якщо функція/. 1) парна; 2) непарна. 80. Чи є функція / ( х) = х2 парною, якщо її областю визначення є множина: 1)[-4;4]; 2) (-«о;- 2 ) 11(2;+ ю); 3) [-5; 5); 4) (-ч»; 6]? 81. Чи є парною або непарною функція, задана формулою: 1) /( х ) = 9х4 ; 2) /(х ) = IXі - 5 х 5 ; х 1 + 4 3) / ( х ) ~ ; х - 1 7) Д * ) = (х + 4 )(х -1 )-3 х ; 8) /( х ) = (х -5 )2 - ( х + 5)2; 9) /( * ) = х2 - 4 х 4) Д х ) = 4 в - 7 ; 5 ) / ( х ) = х 2 + * - 3 ; 6 ) Д х ) = - ^ — ; X і + 2.x 2 х - 8 10) /(х ) = х |х |; 11) / « = - 1 1 л 2 ( * - 1 1 ) “ „2 1 2 ) / ( * ) = - — - ? X - X 82. На рисунку 3 зображено частину графіка функції = £(х), визна­ ченої на проміжку [-7; 7]. Побудуйте графік цієї функції, якщо вона є: 1) парною; 2) непарною. Р и с . З Перетворення графіків функцій 83. Побудуйте графік функції: 1) _у= 2х2 ; 2 ) У = ^ х 2 ; 3 ) у = - З х 2 ; 4 ) у = - 0 , 2 х 2 .
  • 18.
    18 Тренувальні вправи 84.На рисунку 4 зображено графік функції у = Д х ) . Побудуйте графік функції: 1 ) у = Д х ) + 2; 3) у = / ( х + 2); 5) у = - Д х ) ; 2)>' = / ( х ) - 3 ; 4) >>= / ( х - 3 ) ; 6 ) у = 4 - Д х ) . У> V Ч 1 0 і -Т а) У; / N 1 / / / У / / -4 ч / - 2 0 і X / б) 85. Побудуйте графік функції: 1) у - х 2 Рис. 4 5) ^ = 2 - х 2 ; 2) ^ = х2 - 4 ; 6) У = (х + 4) 2 3) у = х 2 + 1; 1) у = ( х - 2 )2 4) у = - х 2; 86. Побудуйте графік функції: , - 4 г) 8) у = (х + 1)2 + 2 ; 9 ) у = ( х - 3)2 - 1 ; Ю) 7 = - ( х - 1)2 + 1 . з) * = * + ! ; _ 4 2) 7 = 4 - 5 ; 4) у = і 6)> ’= ТГї- + 2; 8) у = х + 1 ’ 4 х —1 -7% 2х + 4 7) У = —— і 2 х —4 х —3
  • 19.
    Варіант 1 19 87.Побудуйте графік функції: 1) ; ' = л/х; 4) у = ^ х +4 ; 7) у = З -л /х + 1 2 ) у = [ х - 4 ; 5) у = - у [ х ; 8) у = - [ - ^ х - . 3) _у= л /х -4 ; 6) у = 2 - л/х ; Квадратична функція, її графік і властивості 88. Визначте напрям віток і координати вершини параболи: 1) у = хг —Юа + 20; 3) у = 0,6а2 + 7,2х + 22,6 ; 2) у = - х 2 + З а- 4 ; 4) у = -5 х 2 -2 0 х + 6 . 89. Побудуйте графік функції: 1) у = х2 - 6х + 5; 5 ) у = 4х + х2 ; 2) у = - х 2 + 2х + 8 ; 6) у = 4 - х2; 3) у = і х 2 + х - 8 ; 7) >’= -0 ,2 х 2 + 2 х - 5 ; 4) у = Зх2 —6х + 3; 8) у = х2 - 2х + 3. 90. Побудуйте графік функції /( х ) = х2 - 2 х - 3 . Користуючись гра­ фіком, знайдіть: 1) /(2 ); /(-1 ,5 ); /(2,5); 2) значення х, при яких /( х ) = 5; /( х ) = - 4 ; /( х ) = -1; 3) найбільше і найменше значення функції; 4) область значень функції; 5) проміжок зростання і проміжок спадання функції; 6) множину розв’язків нерівності / (х) < 0 ; / ( х) > 0 . 91. Побудуйте графік функції /(х ) = 6 х - 2 х 2. Користуючись графі­ ком, знайдіть: О /(1); /(0,5); /(-3 ); 2) значеннях, при яких /( х ) = 3; /( х ) = 5; /( х ) = -4 ; 3) найбільше і найменше значення функції; 4) область значень функції; 5) проміжок зростання і проміжок спадання функції; 6) множину розв’язків нерівності / ( х ) > 0 ; / ( х ) < 0 .
  • 20.
    20 Тренувальні вправи 92.Побудуйте в одній системі координат графіки функцій У ~ і у —х 2 —4х + 3. Знайдіть, користуючись одержаним рисунком, 2 У корені рівняння х - 4х + 3 = • О 93. Побудуйте в одній системі координат графіки функцій у = ^ і у = -.ї2 + б.г - 5 . Установіть, користуючись одержаним рисунком, кількість коренів рівняння - х 2 + 6х - 5 = ^ . 94. Нехай £> — дискримінант квадратного тричлена ах + Ьх + с. Зо­ бразіть схематично графік квадратичної функції у = ах1 + Ьх + с, якщо: 1) а > 0 , / ) > 0 , с > 0 , - — < 0 ; 2 а 2) а <0, 0 = 0, - ^ > 0 ; 3) а> 0 , £><0 , - ^ > 0 . 95. Знайдіть область значень та проміжки зростання і спадання функції: 1) /(х ) = х2 + 4л: - 1 6 ; 3) /( * ) =20 - 12х - 0,4х2 ; 2) /( * ) = - і * 2 + 2х + 3; 4) /(х ) =Зх2 + ї х . 96. При яких значеннях р і д графік функції у = х + рх + д прохо­ дить через точки А (1; -4 ) і В (-2; 5) ? 97. При яких значеннях а і Ь парабола у = ах2 + Ьх - 3 проходить через точки А (-2; 7) і В (3; - 6) ? 98. Графік квадратичної функції — парабола з вершиною в початку коордиігат, яка проходить через точку ( - 8; 16). Задайте цю функ­ цію формулою. 99. Графік квадратичної функції — парабола з вершиною в точці Л (0;-5), яка проходить через точку В (4; 27). Задайте цю функ­ цію формулою. 100. Ііри яких значеннях р і ц вершина параболи у = х 2 + рх + д зна­ ходиться в точці (4; 7)?
  • 21.
    Варіант 1 21 101.Парабола у - а х 2 +Ьх + с має вершину в точці М(2;1) і прохо­ дить через точку JC(-1; 5). Знайдіть значення коефіцієнтів а ,Ь с . 102. Побудуйте графік функції у = х 2 + 4 х - 5 при х є [-4 ;3 ] і знай­ діть, користуючись фафіком, її область значень. 103. Знайдіть найменше значення функції у = 3х2 -1 2 х + на про­ міжку: О Н ; 6]; 2) [-7; 1]; 3) [4; 10]. 104. При якому значенні с найбільше значення функції у - - ї х 2 + + 8х + с дорівнює-4 ? 105. На параболі у = - х 2 + 5х + 5 знайдіть точку, у якої: 1) абсциса і ордината рівні; 2 ) сума абсциси і ординати дорівнює 13. 106. Побудуйте графік функції: —2х —З, якщо х < -4 , 1) /( * ) = 2) / ( х ) = х 2 + 2х - 3, якщо - 4 < х < 2, 5, якщо х> 2; х + 3, якщо х < - 2 , 2 х - х 2, якщо - 2 < х < 3 , - 2, якщо х> 3 . 107. Побудуйте графік функції: l ) y = £ ( h 2 - 2 x + 2); 3) у - х 2 - —14 ; |х|^5 у " л х - 2 2) у = х 2 + 4 |х |+ 3 ; 4) у = х2 - 4 |х + 1| + 5х + 4. 108. При яких значеннях а функція у = 4х2 + 5х - а набуває додатних значень при всіх дійсних значеннях х? 109. При яких значеннях а функція у - ( а - 1)х2 +6х + 20 набуває додатних значень при всіх дійсних значеннях х? 110. При яких значеннях а функція у = (а + 2)х2 + 4х - 5 набуває недодатних значень при всіх дійсних значеннях х? 111. При якому значенні а графік квадратичної функції у = ах2 - —(а —3)х + 1 має з віссю абсцис одну спільну точку?
  • 22.
    22 Тренувальні вправи 112.Нехай х, і х2 — нулі функції у = 4.x2 - (За + 2)х + а - 1 . При яких значеннях а виконується нерівність х, < 3 < х2? Розв’язування квадратних нерівностей 113, Розв’яжіть нерівність: 1) х 2 —5х—3 6 < 0 ; 9) х2 -14х + 4 9 > 0 ; 2) х2 + 7 х - 3 0 > 0; 10) 5х2 - 2 х + 1> 0; 3) —х2 + 4 ,6 х -2 ,4 < 0 ; 11) 64х2 -1 6 х + 1 < 0 ; 4) ї х 2 + 1 9 х -6 < 0 ; 12) 9х2 + 3 0 х + 2 5 < 0 ; 5) - З х 2 + 4х + 4 > 0 ; 13) 2х2 -5 х + 4< 0; 6) 4х2 - 1 6х < 0; 14) - 7 х2 +Зх - 1 < 0 ; 7) 9х2 - 25 > 0 ; 15) - х 2 + 4 х - 4 < 0. 8) 4х2 -1 2 х + 9 > 0 ; 114. Розв’яжіть нерівність: 1) х2 < 9 ; 3) 7х2 < З х ; 5 ) - З х 2 < -7 5 ; 2) х2 > 7 ; 4) - 5 х2 > —1Ох; 6) 0,6х2 < -18х 115. Знайдіть множину розв’язків нерівності: 1) (Зх + 1) ( х - 2) < 6 ; 3) 2x (x - 4 s ) < ( x + S ) 2 -, 2) (х + 3)2 -1 6 > (1 -2 х )2; 2y + 3 X 2 - А 4) < 1; 5 8 5) Зх2 -11 3 7 - х 2 < 1 0 ----------------- 6) (Зх - 8)2 - (4х - б) 2 + (5х - 2)(5х + 2) > 96 116. Знайдіть область визначення функції: 1) y = ylx2 +З х -4 0 ; 2 ) ^ = х + 2 1 2 х 3) у =л]х2 - 4 х - 2 1 — - 6 4) у = х - і х - 64 х - 4 УІ5 ■4* * + 19х-4х Зх —х —4 117. Знайдіть цілі розв’язки нерівності: 1) х + 6х < 0 ; 2) х2 —8 < 0 ; 3) - 6х2 + 1 3 х -5 > 0 ; 4) 21х -2 2 х + 5 < 0 ; 5) ~ t x -Зх + 7 > 0; 6) х + 3 ,5 х -2 < 0 .
  • 23.
    Варіант 1 23 118.Розв’яжіть систему нерівностей: [* 2 + * - 6 < 0, 44 f* 2 + * - 1 2 < 0, дг> 0 ; [8 + 2 * < 0 ; 2) (з*2 - 8* - 3 > 0 , „ і* 2 + 6 * -4 0 < 0 , 1* ^1 0 ; [* 2 + 3*-18 > 0; 3) І2х2 + 1 3 * -7 < 0, 6) | - 3 * 2 + 16*+12< 0, [15-3* < 0; |* 2 -1 1 * < 0 . 119. Знайдіть цілі розв’язки системи нерівностей: jh (*2 + 5 * -6 < 0 , з«, [*2 -14* + 45> 0, [* > -3 ; (3,2<*<11,7; 2 ) |з * 2 -5 * < 0 , [*2 - ( л/7 - 2 ) * - 2 л/7<0, [-0,6*+ 1,2 > 0; - х 2 +4,8х + 1>0. 120. Знайдіть, при яких значеннях а не має коренів рівняння: 1) х 2 + (о + 2)* + 4 = 0; 3) (10- 2 а )* 2 - ( я - 5 ) * + 1= 0; 2) (я + 1)*2 -3 я * + 4а = 0; 4) (а + 1)*2 -2 (а -1 )* + 3 а -3 = 0. 121. При яких значеннях b має два дійсні різні корені рівняння: 1) * 2 -4й * + 3й + 1= 0; 3) (Ь -1)* 2 -2 (6 + 1)*-35 + 2 = 0; 2) **2 —(Зг>+ 1)* + Ь = 0 ; 4) (ЗЬ - 2 )* 2 - (5Ь + 2 )* + 5Z>—1 = 0 ? 122. Знайдіть, при яких значеннях а виконується при всіх дійсних значеннях * нерівність: 1 ) х 2 + 2 ( а - ) х + 4 - а - а 2 >0; 2) “ з * 2 +3ях —бо2 -1 2 < 0 ; 3) о*2 - 4 * + а + 3 < 0 ; 4) ( 9 - а 2)* 2 + 2(а + 3)* + 1>0. 123. Знайдіть, при яких значеннях т не має розв’язків нерівність: 1) тх2 +5to*+4w + 3 < 0 ; 2) (З т -2 )* 2 -2 (2 /и -1 )* + 2ю -1 > 0. 124. Для кожного значення а розв’яжіть систему нерівностей: ^ J* —* —12 > 0, ^ /х + 7 * + 610, ] * > а ; [* < а .
  • 24.
    24 Тренувальні вправи 125.Для кожного значення а розв’яжіть нерівність: 1) х 2 - (а + 3)х + За < 0 ; 2) jc2 + (1- За)х + 2а2 - Зо - 2 > 0. 126. Розв’яжіть нерівність: 1) Іл-2 - д:- ЗІ < 9 ; 4) х2 - 4 |л |< 1 2 ; 2) |.г2 +5дг|> 6 ; 5) х 2 -5 х + 9 > |д г -6 |; 3) х - 4 ( х + 2)>4х; 6) * 2 + 2 | х - 1 1+ 7 < 4 | х - 2 1. 127. При яких значеннях b один з коренів рівняння х 2 + ( Ь - 6 )х + + Ь2 - 2 4 = 0 більший за 4, а другий — менший від 4? 128. При яких значеннях т один з коренів квадратного рівняння s ' ) “) . (т ~ 5 )х - 2(т~ +1)дг+ т - = 0 більший за -1, а другий — менший в ід -1? 129. При яких значеннях а один з коренів рівняння х 2 - (3а + 2)х + а2 = 0 менший від 2, а другий — більший за 4? >у у 130. При яких значеннях а корені рівняння .* - 6ах + 9а - 2а + 2 = 0 більші, ніж З? 131. При яких значеннях а корені рівняння х 2 +2(а + 1)х + 9 а - 5 = 0 менші, ніж - 2 ? 132. При яких значеннях а корені рівняння 4х2 -{З а + ) х - а - 2 = 0 належать проміжку ( - 1; 2)? Розв’язування нерівностей методом інтервалів 133. Розв’яжіть нерівність: 1) U + 3 ,2 )(x -4 )> 0 ; 2) (ж+ 7 Х * -6 )(* -1 4 )< 0 ; 3) (2х + 3 )(4 х -3 )(х -1 0 )> 0 ; 4) (5 + х)(х + 1)(3 —х) < 0; 5) (лг + 6,8)(1 - х)(2 —х )> 0 ; 6) (5х + 20)(2 - 6х)(6х - 12)(9 - 2х) < 0.
  • 25.
    Варіант І 25 134.Розв’яжіть нерівність: Х - 7 2) ^ 1 > 0 ; х + 11 3) ^ - ^ > 0 ; * - 4 , 8 4 ) ^ < 0 ; 5) х - 1 , 6 6 - Х 7 ) ( £ ± І М £ ± 2 ) > 0; х - 5 - 0 ; 6 ) ^ 8 < 0 ; 1,5 - 5л: 8) 9) х -1 3 х-3,5 (д: + 6)(лг —12) х + 7,2 ( 1 0 - х ) ( х - 3 ) < 0 ; > 0 . 135. Знайдіть множину розв’язків нерівності: 1) ( х 2 + 7 х ) ( х 2 — 25) < 0; 2) (х2 + 6х + 5)(х2 - За) > 0; 136. Розв’яжіть нерівність: 1) (х2 + 4)(х2 - 4х + 3) > 0 ; 2) (дг+ 4)2 (дг2 + 8х + 12)<0; 3) (х + 4)2 (.х2 + 8х + 12)50; 4) (х + 4)2 (х2 + 8х + 12)>0; 5) (х + 4)2 (х2 + 8х + 12)£0; 6) (х - 5) 2 (х2 - 2х - 3) > 0 7) ( х - 5 ) 2 (х2 - 2х - 3) > 0 8) ( х - 5 ) 2 (х2 - 2х - 3) < 0 9) ( х - 5 ) 2 (х2 - 2х —3 )2 0; 10) (х - 1) 2 (х - 2) 4 (х - З) 3 > 0 ; 11) (х - 1) 2 (х - 2) 4 (х - З) 3 і 0; 12) ( х - 1 )2( х - 2 ) 3( х - 3 ) 4 ( х - 4 ) 5 < 0 ; 13) (х2 + 9х+18)(х2 + 4х + 5 )> 0 ; 14) (х2 - 2х - 7)(3х - х 2 - 6) 5 0. х 2 +10х + 9 . 3 ) - г < 0 ; х - 4 х + 3 х2 + х — 12 4) * _ > о . х2 - 64 137. Розв’яжіть нерівність: х - 4 х + 4 2) х + х — 12 х 2 - 4 х + 4 > 0 ;
  • 26.
    26 Тренувальні вправи 3) * г + *- —Н < 0 ; 7) Д І-1 6-£±-’ < 0 ; х - 4 х + 4 х +3л: —10 х + х -1 2 оч х +6х + 9 — ь 0 ; 8 ) — ------------------- : х ~ ~ 4 х + 4 х + 3 х - 1 0 5 ) 4 ± ^ > 0 ; <>)і 2 + Д - 6 > 0 ; х + Злг—10 |х - 4 | 6) х,2 + 6 х + 9 >0; 10) _ 1і ± и _ г 0 - х~ + 3 х - 1 0 х ~ - 2 х - 6 3 138. Знайдіть множину розв’язків нерівності: » 4 ^ * 0 ; 2) 4 ^ і ± і ^ 0 . х - 3 6 * + З х - 4 139. Розв’яжіть нерівність: * + 2 ^ 4х~10 х 2 + 5х ^ 14 ) Л - ~ У 3 ) £ ’ х - 2 х - 2 х - 1 х - 1 2 ) — £ 1 ; 4 ) Д, 2 ~ 4 Д 5 3 . 2 х - 7 х - 2 140. Для кожного значення а розв’яжіть нерівність: 1) (х - 4)(х - а) < 0; 5) (х -а )(х + 2) 2 < 0 ; 2) ( х - 4 ) ( х - а ) 2 > 0 ; 6) | ^ < 0 ; 3) ( х - 4 ) ( х - а ) 2 > 0 ; 7) > 0 ; 4) ( х - а ) ( х + 2)2 <0; 8) — Графік рівняння з двома змінними 141. Побудуйте графік рівняння: 1 ) у = 2 х - 3 і 6 ) х 2 + у 2 =9-, И ) |* | = 1; 2) 5х-2.у + 10 = 0 ; 7) (* - 1) 2 + (_у+ 2) 2 = 4; 1 2 )|у | = 3; 3) 3^-л- = 0 ; 8) (х+3)2 + у 2 = 5 ; 13)лу = 6 ; 4) х - 4 = 0 ; 9) у = х2 - 6 х ; 14) |дгу|= 8 ; 5) ^ + 2 = 0; 10) х2 + ^ + 4л + 3 = 0; 15) у = х - 3 .
  • 27.
    Варіант 1 27 142.Побудуйте графік рівняння: 1 ) х = у 2 ; 7) (дг-3) 2 + (у + 5 ) 2 = 0; 2 ) х + у - 4 ; 8) х 2 +у 2 + 2 х -6 у + 10 = 0; 3) 2 x - y - 5 ; 9) х 2 - 2 х + у 2 + 107 + 10 = 0; 4) х 2 - у 2 = 0; 10)1x1 + 171 = 5; 5) 4х2 - у 2 = 0; 11) | * | - 2 | 7 | = 4 ; 6) х 2 + 7у 2 = 0 ; 12) у = УІ9-х2 . Системи рівнянь з двома змінними 143. Розв’яжіть графічно систему рівнянь: у - х 2 —2х + З, х 2 + у 2 =25, Д>» = 3дс—1; у = 2 х - 5 - ' ( х + 7 = 6 ; 2 х 2 - у = 6, 4) /(-^ + 2 )2 + у 2 = 10, х2 + у 2 = 13, |х + 7 = 6; }х + 7 + 4 = 0; }ду = - 6 . 144. Установіть графічно кількість розв’язків системи рівнянь: 1) 2) 145. Розв’яжіть систему рівнянь: 1 ) ( т 2,+>' , Ч ^ г 16-[ у - 2 х у = 3; (3 7 - х = 14; Іх + 7 = 7, [2х + 3у = З, 2 ) 1x7 = 12; 1 3V2 — 4х = 18; чґ II >4 3) | [х2 + 7 2 = 4, 5 ) | [х2 + (7 + 3)2 =9, . 2 ЛЧ [ у = х - 4; 1І7 = х - 2 ; 1[7 = —4х + 2 ; Ь = х2 -5 , 4 , І [*7 = 5, 6 ) | [Ї7І = М . 17 = 6 - х 2; [7 = 0,5х2 +1; [7 = х2 —6х + 5. у + 4х = 6, |5х + >’= -7 , [х2 + 3 х у - у 2 = 3; ; 1(х + 4 )(у -5 ) = - 4 . 146. Не виконуючи побудови, знайдіть координати точок перетину: 1) прямої у = х - 3 і параболи у = х2 - 4х + 3; * 9 7 2) прямої х - 2 у + 2 = 0 і кола х + (у - 1) = 5;
  • 28.
    28 Тренувальні вправи 3)прямої х + 2у —5 = 0 і кола (х - 1)2 + (у - 2) 2 = 5; 4) парабол у = Іх^ - Зх +1 і у = - х 2 + х - 1. 147. Розв’яжіть систему рівнянь: 1) 2) 3) х 2 + у 2 - 2ху = 36, х + у = - 4; (X2 + вху + 9у 2 = 4, [х2 - х у - 4 у 2 =-2; Іх 2 + ху = 6, [ху + / = 3 ; 4) х2 - 6 у 2 = -5, х 2 + 6 у 2 =7; І2х + 3ху = - 20, у - Ъ х у = 2%-, 148. Розв’яжіть систему рівнянь: 1) )х2 - 3 у 2 =13, 2) 3) [ху = - 4; їх + у - х у = - 2, [Л7 (х + у) = 48; х ъ+ у г =1, |х 2 - х у + у 2 = 7; 6) 5) 4л2 + у 2 =13, ху = - 3. 2 х - 2 у х + 2 ^ 15 “— = 7, ^ — = 2 4 ; х - 2у х + 2 у [х + у 2 ( х - у ) б )]* --)' Х+У [х2 - 5 х у + 2 у 2 = 4 . = 1, и + 2 = 2 і 4) { У * 2 ’ (2х-3>> = 3; 149. Розв’яжіть систему рівнянь: 1) )х 2 - 5 х у + 6 у 2 = 0, [Зх2 + 2 х у - у 2 =15; 2) [з.ї2 - 2 х у - у 2 = 7, [я2 +ху +8у2 =14. 150. Скільки розв’язків залежно від значення а має система рівнянь: • 1) х2 + у 2 ~1, У = х + а; 2) 2 2 2 х + у = а , 1*1*3? Розв’язування задач за допомогою систем рівнянь другого степеня 151. Сума двох чисел дорівнює 7, а різниця чисел, обернених до даних, дорівнює — . Знайдіть ці числа. 12 152. Якщо деяке двоцифрове число поділити на суму його цифр, то в частці одержимо 7, а якщо поділити це число на добуток його
  • 29.
    Варіант 1 29 цифр,то неповна частка дорівнюватиме 3, а остача — 9. Знайдіть дане число. 153. Діагональ прямокутника дорівнює 13 см, а площа — 60 см2. Знайдіть сторони прямокутника. 154. Площа прямокутника дорівнює 300 см2. Якщо його довжину збільшити на 5 см, а ширину зменшити на 5 см, то його площа до­ рівнюватиме 250 см2. Знайдіть початкові розміри прямокутника. 155.3 двох міст, відстань між якими дорівнює 300 км, виїхали одно­ часно назустріч один одному легковий і вантажний автомобілі, які зустрілися через 2,5 год. Знайдіть швидкість кожного автомобіля, якщо вантажівка витратила на весь шлях на 3 год 45 хв більше, ніж легковий автомобіль. 156.3 міста в село, відстань між якими дорівнює 180 км, вирушили одночасно вантажівка і велосипедист. Вантажівка приїхала в село на 8 год раніше, ніж велосипедист. Знайдіть швидкість руху вело­ сипедиста, якщо за 2 год вантажівка проїжджає на 60 км більше, ніж велосипедист за такий самий час. 157. Катер проходить 66 км за течією річки і 54 км проти течії за 6 год. Цей катер проходить 44 км за течією на 3 год швидше, ніж 90 км проти течії. Знайдіть власну швидкість катера і швидкість течії. 158.3 двох сіл, відстань між якими дорівнює 30 км, вирушили назустріч один одному два пішоходи, які зустрілися посередині дороги, причому один з них вирушив на 1 год 15 хв пізніше за другого. Якби вони вирушили одночасно, то зустрілися б через З год. Знайдіть швидкість руху кожного пішохода. 159. Якщо відкрити одночасно дві труби, то басейн буде наповнено за 8 год. Якщо спочатку перша труба наповнить половину басейну, а потім інша труба — Другу його половину, то весь басейн буде наповнено за 18 год. За скільки годин може наповнити цей басейн кожна труба? 160. Два робітники, працюючи разом, можуть виконати замовлення за 12 днів. Вони пропрацювали разом 10 днів, і один з них захворів. Тоді другий робітник закінчив виконувати замовлення через 5 днів, працюючи один. За скільки днів кожен робітник може виконати дане замовлення, працюючи самостійно? 161. Із села А в село В, відстань між якими дорівнює 20 км, вирушив пішохід. Через 2 год із села А в тому самому напрямі вирушив велосипедист зі швидкістю 15 км/год, який наздогнав пішохода, передав йому пакет і поїхав у село А з тією самою швидкістю.
  • 30.
    зо Тренувальні вправи Пішохідприйшов у В, а велосипедист повернувся в А одночасно. Знайдіть швидкість руху пішохода. 162.3 двох сіл, відстань між якими дорівнює 9 км, вирушили одно­ часно назустріч один одному два пішоходи. Один з них прийшов у друге село через 1 год 21 хв після зустрічі, а інший у перше село — через 36 хв після зустрічі. Знайдіть, з якою швидкістю рухався кожен пішохід і через скільки часу після початку руху відбулася їх зустріч. 163. Одночасно з одного міста в одному напрямі вирушили два мо­ тоциклісти: один зі швидкістю 80 км/год, а другий — 60 км/год. Через півгодини з цього міста в тому самому напрямі вирушив третій мотоцикліст. Знайдіть швидкість руху третього мотоцик­ ліста, якщо відомо, що він наздогнав першого мотоцикліста через 1 год 15 хв після того, як наздогнав другого. 164. Дві точки рухаються по колу в одному напрямі. Перша точка проходить коло на 2 с швидше за другу і наздоганяє її через кожні 12 с. За який час кожна точка проходить коло? Математичне моделювання 165. Розв’яжіть задачу, побудувавши її математичну модель. 1)Для виготовлення 6 приладів потрібно 14 кг металу. Скільки металу потрібно для виготовлення 15 таких самих приладів? 2) Відстань між містами А і В на карті дорівнює 4,8 см, а на міс­ цевості — 120 км. Яка відстань між містами С і О на цій карті, якщо на місцевості відстань між ними дорівнює 160 км? 3) 3 двох міст, відстань між якими дорівнює 42 км, одночасно в одному напрямі виїхали два автомобілі. Перший з них, який їхав позаду, рухався зі швидкістю 70 км/год, а другий — 56 км/год. Через скільки годин після початку руху перший автомобіль наздожене другий? 4) Дві бригади, працюючи разом, можуть виконати деяке замов­ лення за 6 днів. Одна з бригад може виконати самостійно це замовлення за 10 днів. За скільки днів може виконати його самостійно друга бригада? 5) Від села до міста легковий автомобіль доїхав за 2 год, а ван­ тажний — за 5 год. Яка швидкість руху кожного автомобіля, якщо швидкість вантажного на 48 км/год менша від швидкості легкового?
  • 31.
    Варіант 1 31 6)Купили 14 листівок по 80 коп. і по 1 грн. 20 коп., заплативши всього 15 грн. 20 коп. Скільки купили листівок кожного виду? 7) Стіну завдовжки 6 м і заввишки 3 м хочуть обкласти кахлем. Чи вистачить для цього 5 ящиків кахлю, якщо одна плитка кахлю має форму квадрата зі стороною 15 см, а в один ящик уміщується 160 плиток? 8) Токар планував за деякий час виготовити 105 деталей. Проте він виконав це завдання на 2 дні раніше строку, оскільки виго­ товляв щодня на 14 деталей більше, ніж планував. Скільки деталей він виготовляв щодня? 9) Дорога між селами А і В має спочатку підйом, а потім спуск. Пішохід на шлях з А в В витрачає 4 год, а на зворотний — 4 год 20 хв. На підйомі він рухається на 1 км/год повільніше, ніж на спуску. З якою швидкістю пішохід йде вгору і з якою — під гору, якщо відстань між селами А і В дорівнює 10 км? 10) Два туристи вирушили одночасно з двох міст назустріч один одному і після зустрічі кожен продовжив рух у початковому напрямі. Один з них, швидкість якого на 3 км/год більша за швидкість другого, прибув у місце призначення через 2 год після зустрічі, а другий — через 4,5 год. Знайдіть швидкість, з якою рухався кожний турист. Через який час після початку руху відбулася їх зустріч? 11)3 пунктів А і В одночасно назустріч один одному вирушили відповідно мотоцикліст і велосипедист. Мотоцикліст прибув у В через 36 хв після зустрічі з велосипедистом, а велосипе­ дист в А — через 3 год 45 хв після зустрічі. За який час кожен з них проїде відстань між А і 5? Відсоткові розрахунки 166. Скільки кислоти міститься в 23 кг дев’ятивідсоткового розчину? 167. До магазину було завезено 200 кг яблук і груш. Груші становили ЗО % завезених фруктів. Скільки кілограмів яблук було завезено до магазину? 168. За перший день турист пройшов 16 км, що становить 40 % дов­ жини туристичного маршруту. Знайдіть довжину цього маршруту. 169. Руда містить 70 % заліза. Скільки треба взяти руди, щоб отримати 84 т заліза? 170. Під час сушіння яблука втрачають 84 % своєї маси. Скільки треба взята свіжих яблук, щоб одержати 12 кг сушених?
  • 32.
    32 Тренувальні вправи 171.В автопарку було 180 автомобілів, з них 117 — вантажні. Скільки відсотків усіх автомобілів становлять вантажівки? 172. Вартість деякого товару зросла зі 160 грн. до 164 грн. На скільки відсотків зросла вартість товару? 173. Вартість деякого товару спочатку знизилася на 10 %, а потім під­ вищилася на 10 %. На скільки відсотків змінилася початкова ціна? 174. Вкладник поклав до банку 40 000 грн. під 8 % річних. Скільки грошей буде на його рахунку через 3 роки? 175. Підприємець узяв у банку кредит у розмірі 30 000 грн. під деякий відсоток річних. Через два роки він повернув у банк 43 200 грн. Під який відсоток річних дає кредити цей банк? 176. Змішали 50-відсотковий і 20-відсотковий розчини кислоти та отримали 600 г 30-відсоткового розчину. Скільки грамів кожного розчину змішали? 177. Вкладник поклав у банк 20 000 грн. За перший рік йому було нараховано певний відсоток річних, а другого року банківський відсоток було збільшено на 2 %. На кінець другого року на рахунку стало 22 048 грн. Скільки відсотків становила банківська ставка у перший рік? 178. До сплаву міді й цинку, який містив міді на 4 кг більше, ніж цинку, додали 4 кг міді. Внаслідок цього відсотковий вміст міді в сплаві збільшився на 7,5 %. Скільки кілограмів міді містив сплав спочатку? Випадкова подія. Ймовірність випадкової події 179. У коробці лежать 6 білих і 14 червоних кульок. Яка ймовірність того, що обрана навмання кулька виявиться: 1) білою; 2) черво­ ною? 180. У лотереї розігрувалося 6 автомобілів, 18 мотоциклів і 42 велоси­ педи. Усього було випущено 3000 лотерейних білетів. Яка ймовір­ ність: 1) виграти мотоцикл; 2) виграти який-небудь приз; 3) не виграти жодного призу? 181. Гральний кубик підкинули один раз. Яка ймовірність того, що випаде число, кратне 2 ? 182. З натуральних чисел від 1 до 16 включно учень навмання називає одне. Яка ймовірність того, що це число є дільником числа 16?
  • 33.
    Варіант 1 33 183.Яка ймовірність того, що навмання вибране двоцифрове число ділиться націло на 12? 184. У коробці лежать 3 білих і 4 синіх кульки. Яку найменшу кількість кульок треба вийняти навмання, щоб ймовірність того, що серед них є хоча б одна синя кулька, дорівнювала 1? 185. Чотири картки пронумеровано числами 1, 2, 3 і 4. Яка ймовірність того, що добуток номерів двох навмання вибраних карток буде кратним З? 186. У коробці лежать червоні і жовті кульки. Скільки червоних кульок у коробці, якщо ймовірність вийняти з неї навмання червону кульку дорівнює ^ , а жовтих кульок у коробці 20? Початкові відомості про статистику 187. Дано 30 чисел, з них число 6 зустрічається 10 разів, число 10 зу­ стрічається 12 разів і число 15 — 8 разів. Знайдіть середнє ариф­ метичне цих 30 чисел. 188. Знайдіть міри центральної тенденції вибірки: 1)6, 6, 8,10, 11, 13, 14, 14, 15,23; 2) 1,2; 1,4; 1,5; 1,5; 2,3; 4,4; 4,5. 189. У таблиці наведено розподіл за стажем водіїв, що працюють в деякому автопарку: Стаж роботи у роках 2 6 10 15 16 18 19 20 21 22 25 28 Кількість водіїв 3 8 12 3 15 5 5 8 10 6 2 3 Знайдіть відносну частоту кожного значення і міри центральної тенденції вибірки. 190. Опитавши 20 дітей, які прийшли на сеанс до кінотеатру, про їх вік, склали таблицю: 12 14 15 12 16 13 14 16 15 14 14 15 15 16 14 12 13 15 16 14 Складіть частотну таблицю і побудуйте відповідну гістограму. Визначте частоту і відносну частоту кожного її значення. Числові послідовності 191. Запишіть п ’ять перших членів послідовності: 1) двоцифрових чисел, кратних числу 7, узятих у порядку зро­ стання;
  • 34.
    34 Тренувальні вправи 2)правильних звичайних дробів із знаменником 23, узятих у по­ рядку спадання; 3) натуральних чисел, що дають при діленні на 4 остачу 3, узятих у порядку зростання. 192. Знайдіть чотири перших члени послідовності (а„), заданої фор­ мулою и-го члена: 1)ег„ = и + 2 ; 2) а„ = З и -4 ; 3) а п = -^— ; 4 ) а „ = ~ . и + 1 /Г 193. Знайдіть другий, шостий і сотий члени послідовності ( Ьп), зада­ ної формулою /?-го члена: 1Н , = | ; 3) Ь„ = я2 - 10«; 2)Ь„ = 7 -З и ; 4) *>„= (-1 )" + (-1)"+1. 194. Послідовність (с„) задана формулою и-го члена с„ = 2и + 3. Знайдіть: 1) ct ; 2) с5; 3) с12; 4) с200 ; 5) с*+, . 195. Послідовність (jc„) задана формулою и-го члена хп = (-1)”+1 -2. Знайдіть: 1) х ,; 2) х6; 3) х2* ; 4) х2*+1; 5) хі+1. 196. Знайдіть п’ять перших членів послідовності ( ап ), якщо: 1) Я] — 3 , —ctjj + 2 , 2) а, = 16; я„+, = у ; 3) а, = - 4 ; я2 = 3; ап+2 = + 2аи+1; 4) оі ; а2 = 4 ; я„+2 = а?,-а„+х. 197. Послідовність ( у п) задана формулою и-го члена у п = 6 я ~ 1 . Чи є членом цієї послідовності число: 1) 17; 2)215; 3) 36? У випадку позитивної відповіді вкажіть номер відповідного члена. 198. Знайдіть кількість додатних членів послідовності (z„), заданої формулою и-го члена z„ = 22 - 4 и . 199. Підберіть одну з можливих формул и-го члена послідовності, першими членами якої є числа: 1 )4 ,9 ,1 6 ,2 5 ,3 6 ,...; 3) 1 ,-1 ; 1 ,-1 ,1 ,...;
  • 35.
    Варіант 1 35 200.Доведіть, що послідовність ( а„ ), задана формулою и-го члена, є зростаючою: 1) ап = 6л-13 ; 2) а„ = п- + п--, 3) а „ = “ у . 201. Знайдіть найбільший член послідовності ( ап ), заданої формулою п-го члена: 1) а = 3 0 - и 3 ; 2) а„ = З« 2 - п3; 3) а„ = — 4 + п Означення арифметичної прогресії. Формула п-го члена арифметичної прогресії 202. Знайдіть чотири перших члени арифметичної прогресії ( а„ ), якщо а, = 1,5, <і- -0 ,4 . 203. В арифметичній прогресії ( а„ ) ах = 5, сі = 0,6. Знайдіть: 1) а5; 2) а26>3) О32 . 204. Знайдіть різницю і сто п’ятдесят перший член арифметичної прогресії 1,8 ; 2 ,2 ; 2 ,6;.... 205. Знайдіть формулу и-го члена арифметичної прогресії: 1) 18, 14, 1 0 ,6 ,...; 3) а 4 , 5а 9а4, 13а4 ,...; 2) 2 ± , 2 ^ , 2 І , 2 | , . . . ; 4) 1 0 - а , 8 - а , 6 - а , 4 - а , . . . . 206. Знайдіть різницю арифметичної прогресії (я„), якщо: 1)д-! = 14,.х8= -7; 2 )х$= -4 , хм = 50. 207. Знайдіть перший член арифметичної прогресії (у„), якщо: 1)Л2 = -23, о '= -2 ; 2)уь = 16,ущ = 52. 208. Знайдіть номер члена арифметичної професії ( і „), який дорів­ нює 3,8, якщо = 10,4 і = -0 ,6 . 209. Чи є число 25 членом арифметичної прогресії ( Ь„ ), якщо /;, = 8 і сі =3,5 ? У разі позитивної відповіді вкажіть номер цього члена. 210. Дано арифметичну прогресію 5,3; 4,9; 4,5; ... . Починаючи з якого номера її члени будуть від’ємними? 211. Знайдіть кількість від’ємних членів арифметичної прогресії ( ап ), якщо а, = -24 , сі = 1,2. 212. Між числами - б і б вставте сім таких чисел, щоб вони разом з даними числами утворювали арифметичну прогресію.
  • 36.
    36 Тренувальні вправи 213.Знайдіть перший член і різницю арифметичної прогресії (я„), якщо: 1) аА+ а8 = 35 і яз + а2 = 65; 2) я5+ яіі = 42 і а3 • яю = 165, 214. Чи є послідовність (а„) арифметичною прогресією, якщо вона задана формулою л-го члена: 1) а„ = - 8 и - 1; 3) ап= ~4,4и; 2) ап—5п2- 4п 4) а„ = 25 -0,16л; 6) У разі позитивної відповіді вкажітьперший член і різницю про­ гресії. 215. Дано дві нескінченні арифметичні прогресії. Якщо до кожного члена однієї прогресії додати відповідний член другої прогресії, то чи буде утворена послідовність арифметичною прогресією? 216. При якому значенні т значення виразів 3/и, п ґ + 2 і т + 4 будуть послідовними членами арифметичної прогресії? Знайдіть члени цієї прогресії. 217. При якому значенні п значення виразів п , 2п+ 3, Зя + 4 і гі' + /г + 7 будуть послідовними членами арифметичної прогресії? Знайдіть члени цієї прогресії. Сума п перших членів арифметичної прогресії 218. Знайдіть суму двадцяти чотирьох перших членів арифметичної прогресії ( ап ), якщо а{ = -4 ,2 , d = 0 ,6 . 219. Знайдіть суму сорока перших членів арифметичної прогресії 14, 9 ,4 ....... 220. Арифметичну прогресію (а„) задано формулою п-го члена я„=0,4« + 5. Знайдіть суму тридцяти шести перших членів прогресії. 221. Знайдіть суму десяти перших членів арифметичної прогресії ( а„ ), якщо: 1) я, = 6, fl13 = 42; 2) а6 = 45, al4 = -4 3 . 222. Знайдіть суму сімнадцяти перших членів арифметичної прогресії ( а„ ), якщо а17 = 84 , d = 6,5. 223. Знайдіть суму двадцяти перших членів арифметичної прогресії (о„ ), якщо а~і + яв = 21 і а%+ ап ~ а 15 = 3.
  • 37.
    Варіант 1 37 224.При будь-якому п суму п перших членів деякої арифметичної прогресії можна обчислити за формулою S„ = Art2 - 5п . Знайдіть перший член і різницю цієї прогресії. 225. Знайдіть суму всіх натуральних чисел, які кратні 11 і не більші за 374. 226. Знайдіть суму всіх натуральних чисел, які кратні 9 і не більші за 192. 227. Знайдіть суму всіх натуральних чисел, які при діленні на 4 дають в остачі 1 і не більші за 145. 228. Знайдіть різницю і тринадцятий член арифметичної прогресії (а„), якщ ояі = 9 і S10 = -1 5 . 229. В арифметичній професії перший член дорівнює -18, а сума двадцяти чотирьох перших членів дорівнює 672. Знайдіть різницю і дев’ятнадцятий член професії. 230. Знайдіть перший і дев’ятий члени арифметичної професії, якщо її різниця дорівнює - 4 , а сума дванадцяти її перших членів дорів­ нює 336. 231. Знайдіть суму членів арифметичної професії з восьмого по два­ дцять другий включно, якщо перший член дорівнює 48, а різниця дорівнює -4 . 232. Знайдіть суму членів арифметичної професії (у„) з десятого по тридцять СЬОМИЙ ВКЛЮЧНО, ЯКЩО Уj = 8 І y V) =16. 233. Знайдіть суму всіх від’ємних членів арифметичної проф есії-5,6; -5 ;-4 ,4 ;.... 234. В арифметичній професії (а„) а і = 16, d = - 4. Скільки треба взя­ ти перших членів професії, щоб їх сума дорівнювала -324? 235. Знайдіть перший член і різницю арифметичної професії, якщо сума семи перших її членів дорівнює 94,5, а сума п’ятнадцяти перших членів дорівнює 112,5. 236. Розв’яжіть рівняння: 1) 5 + 9 + 13 + ... + (4г? + 1) = 324, де« — натуральне число; 2) 4 + 10+ 16+... + х = 310, дех — натуральне число. Означення геометричної прогресії. Формула /і-го члена геометричної прогресії 237. Знайдіть чотири перших члени геометричної професії {Ь„), якщо = -2 , q = -з.
  • 38.
    38 Тренувальні вправи 238.У геометричній прогресії (Ь„ ) і, = ^ 2 5 , ? « - 5 . Знайдіть: 1) Ь2 ; 2)Л4 ; 3) Й7 ;4) V 239. Знайдіть знаменник і п’ятий член геометричної прогресії > 1 _ 128 ’ 64 ’ - ‘ 240. Знайдіть знаменник геометричної прогресії (Ь„), якщо: 1) Ь =4000, £>4= 256; 2) Ь2= 6,Ь4 = 1В, 241. Знайдіть перший член геометричної прогресії (с„), якщо: 1) с5 = 17 = - |; 2) с4 = 8, Су = -64. 242. Число 192 є членом геометричної прогресії , ... . Знайдіть номер цього члена. 243. Які три числа треба вставити між числами 16 і 81, щоб вони разом з даними числами утворювали геометричну прогресію? 244. Послідовність ( Ь„) задана формулою я-го члена Ьп = 4 •З”-1. Чи є ця послідовність геометричною прогресією? 245. Знайдіть перший член і знаменник геометричної прогресії (Ь„), якщо: 1) Ь)о = 9 і Ь-і + Ьь = 168; 2) Ь3+ Ьь = 1260 і Ь4- + Ьь= 945. 246. При якому значенні х значення виразів 2 х + 1 ; х + 2 і 8 - л ' будуть послідовними членами геометричної прогресії? Знайдіть члени цієї прогресії. 247. Сума трьох чисел, що утворюють геометричну прогресію, дорів­ нює 63. Якщо до цих чисел додати відповідно 7, 18 і 2, то утво­ риться арифметична прогресія. Знайдіть дані числа. Сума п перших членів геометричної прогресії 248. Знайдіть суму чотирьох перших членів геометричної прогресії ( Ь„ ), якщо Ьі = 2 1 6 ’ д = 6 ' 249. Знайдіть суму п’яти перших членів геометричної прогресії 162, 108,72,....
  • 39.
    Варіант 1 39 250.Знайдіть суму чотирьох перших членів геометричної прогресії (Ь„), якщо: 1) £>4=125, 9 = 2,5; 3) 64 = 10, b-, = 10000. 2) bi =л/5, b5 = 25лІ5 , q <0; 251. Геометрична прогресія (Ьп) задана формулою п-го члена Ь„ = 1 ■22"~і. Знайдіть суму чотирьох перших її членів. 252. Знайдіть перший член геометричної прогресії (*„), якщо 9 = 5 > <S»= 156. 253. Знайдіть кількість членів геометричної прогресії ( у „ ), якщо y i = 6 , q = 4, S„ = 2046. 254. Різниця п ’ятого і третього членів геометричної прогресії дорів­ нює 1200, а різниця п’ятого і четвертого членів дорівнює 1000. Знайдіть суму п’яти перших членів прогресії. 255. Знайдіть перший член, знаменник і кількість членів геометричної прогресії (с „ ), якщо с6 - с 4 = 135, с6- с 5 = 81, S„ = 665 . Сума нескінченної геометричної прогресії, у ЯКОЇ Іq І< 1 256. Знайдіть суму нескінченної геометричної професії: 1)36,20, Ц І , . . . ; 2)21, Зл/7 ,3,.... 257. Знайдіть перший член нескінченної геометричної прогресії, сума якої дорівнює 75, а знаменник дорівнює у . 258. Знайдіть п’ятий член нескінченної геометричної прогресії, перший член якої дорівнює -24, а сума дорівнює -16. 259. Знайдіть суму нескінченної геометричної прогресії ( Ьп), якщо Ь2 =36, Ь4 =16. 260. Сума нескінченної геометричної прогресії дорівнює 27, а сума трьох її перших членів дорівнює 35. Знайдіть перший член і знаменник прогресії. 261. Запишіть у вигляді звичайного дробу число: 1)0,777...; 2) 3,(27); 3)0,2474747...; 4) 8,3(8).
  • 40.
    40 Тренувальні вправи Варіант2 Числові нерівності 1. Порівняйте числа с і d, якщо: 1) c - d = 1; 2) d - с = 7 3 )с = о '-0 ,9 ; 4)</ = с + 0Д. 2. Точка С (4) розташована на координатній прямій лівіше від точ­ ки D ix ). Яке з тверджень є правильним: 1) л' > 4 ; 2) .v< 4; 3) х = 4 ; 4) числа х і 4 порівняти неможливо? 3. Доведіть, що при будь-якому значенні змінної правильна нерівність: 1) (а +6)(а-9) > (а +11)(а —14) ; 2) (а -1 0 )2 - 1 2 < ( а - 7 ) ( а - 1 3 ) ; 3) (4а - 1)(4а +1) - (5а - 7)2 < 14(5а -1 ) ; 4) а (а -1 0 ) > 4(а —13). 4. Доведіть, що: 2 1) я - 8а +17 > 0 при всіх дійсних значеннях а 2) 6у - 9у 2 - 4 < 0 при всіх дійсних значеннях у; 3) х “ - бху +10 v2 - 4у + 7 > 0 при всіх дійсних значеннях х і у, 4) х" + 9у 2 + 2х + 6у + 2 > 0 при всіх дійсних значеннях х і у 5) х 2( х - у ) > у 2( х - у ) , якщо х > 0 і у > 0; 6) я 3 - 8 > Зо —6, якщо а >2; х4 + 2х2 + 2 7) ------- > 2 при всіх дшсних значеннях х; х +1 8) 5х2 + 9у 2 + 12ху + 6х + 9 > 0 при всіх дійсних значеннях х і у. 5. Доведіть, що: 2) (х + 1)(_у+ 2)(z + 8) > 32^хуг , якщо х > 0, у > 0, г > 0 . Властивості числових нерівностей. Оцінювання значення виразу 6. Дано: т < п. Порівняйте: > 4 , якщо х > 0, у > 0 ; 1) т +9 і п +9 ; 3) 2,7« і 2,7т ; 2) п - 3 і т - 3; 4) - я і - т ; 5) -2 0 т і - 2 0 и ;
  • 41.
    Варіант 2 41 7.Дано: п<т. Порівняйте: 1) « —5 і /»; 2) да + 6 і и; 3 ) - и + 4 і —»з + 4 ; 4 ) и + З і ? и - 2 . 8. Порівняйте т і 0, якщо: 1) 9т < 1 т ; 2 ) - ^ > ^ ; 3) - 4 т < -13;??; 4) - ^ < - | | . 9. Чи є правильним твердження: 1) якщо х > 2 і 7>14, т о х + у > 16; 2 )якщо х > 2 і .у >14, т о х + з' >15; 3) якщо х > 2 і у > 14, то х + у > 17; 4 ) якщо х > 2 і у >14, то х у > 28; 5) якщо х > 2 і 7 >14, то х - у > - 1 2 ; 6) якщо х > 2 і у > 14, то ху > 2 1 ; 7) якщо х > 2 і у > 14, то 2х + Зу > 46; 8) якщо х < 2 і у > 14, то у - х > 12; 9) якщо х < 2 і ^ < 14, то ху < 28; 10) якщо 0 < х < 2 і 0 < у < 14, то ху < 28; 11) якщо л- > 2 , то х 2 > 4 ; 12) якщо х < 2 , то х 2 <4; 13) якщо х > 2 , то і < ; 14)якщо х < 2, то 7 >^=г? 10. Дано: х < 0 і у > 0. Порівняйте: 1) х - у і 0; 2) х - у і у; 3)2 /-5 д г і х; 4) 4у 1 3 ; і /. 11. Дано: —5 < х < 1 . Оцініть значення виразу: 1)7х; 3 ) х + 3; 5 ) - х ; 7 ) З х - 2 ; 2 ) j ; 4) х - 8 ; 6 ) - 6 х ; 8 ) 9 - 5 х . О 12. Дано: 2 <х < 1 . Оцініть значення виразу О 13. Дано: - 2 < х < 1 . Оцініть значення виразу -*•. 14. Відомо, що 2,4 < л/б < 2,5. Оцініть значення виразу: 1) 4л/б; 2) -4 л /б ; 3) 7 - Т б ; 4 ) ^ ~ . Х'
  • 42.
    42 Тренувальні вправи 15.Дано: 3 < х < 8 і 2 < у < 1 . Оцініть значення виразу: 1) х + у ; 3)ху; 5 )2 х + 5.у; 7) ; Т ) Х - У . 4) і ; 6 ) 3 , - 4 , ; 16. Оцініть довжину середньої лінії трапеції з основами х см і у см, якщо 9 < х < 1 3 , 8 < >>< 15, 17. Оцініть периметр і площу квадрата зі стороною х см, якщо 12 < х < 2 0 . Нерівності з однією змінною 18. Які з чисел -7,5; 2; -1; ; 0 є розв’язками нерівності: 1 ) х > |; 3 )З х > х + 5; 5 ) ^ - > 2 2) х < 12 ; 4) х2 -3 6 < 0; 6) ^ 1? 19. Яка множина розв’язків нерівності: 1 ) ( х - 2 ) 2 > 0 ; 3) (дг-2) 2 > 0 ; 5 )0 л -< -3 ; 7) 0 х < 3 ; 2) („ї-2 ) 2 <;0; 4) ( х - 2 ) 2 < 0; 6) Од: > -3 ; 8 )0 х > 3 ? 20. Розв’яжіть нерівність: ^ ( * ^ ) 2 >0; 3) ——г ^ 0 ; 6 ) ( ^ | 2 > 0 ; х - 2 Розв’язування лінійних нерівностей з однієї змінною. Числові проміжки 21. Зобразіть на координатній прямій проміжок: І)[-3;+со); 2) (—1; +со); 3) (-» ; 0); 4) (-оо; 0]. 22. Зобразіть на координатній прямій і запишіть проміжок, що задається нерівністю: 1) х > - 2 ; 2) х < -3 ; 3) х ^ 3 ; 4) х < 6 . 23. Знайдіть найменше ціле число, яке належить проміжку: 1) (-2,7; +оо); 2) [9; +«>).
  • 43.
    Варіант 2 43 24.Розв’яжіть нерівність: 1) 2л: > 10; 5) 3,9*> 0; 2) —4л:< 16; 6) - 6 х < 0 ; 3) ^ * > - 3 ; 7 ) 2 | х > - 3 | ; 4) —0,2л:< —2; 8) 5 * > 2 4 - * ; 25. Розв’яжіть нерівність: 1) 4 (* -3 ) > * + 6 ; 2) 0,3(8 - З у ) <3,2 - 0,8(7 - 7 ) ; 9) 9* + 5 < 31 - 4*; 10) 7 - 4* < 6* - 23 ; 11) 4,7 - 2,3* < 1,2л*- 9,3; 12) | а- + 7 < І * + 2. 3) > 3* + 3 1 ; 4) 2*(2* + 1 )-5 (* -3 * ) < * (2 -* ) + 3 ; * - 5 *+ 1 5) 6) 7) 4 З х + 4 х+2 > 2 : З 5 * - 2 6 З—* < 4 ; 1- * 4 5 10 ’ 8) (* + 4)(* - 2) - (* + 5)(* + 3) < - 8* ; 9) (3* + 1) 2 - (* + 2)(4* -1 ) > 5(* - 1)2 + 7*; 10) 3*(5 + 12*)-(6*-1)(6* + 1) > 10*. 26. Знайдіть найменший цілий розв’язок нерівності: 1) * - 4 < Зд: + 9; 2) 18*2 -(3 * -2 )(6 * + 5) < 20; 3) (3* + 2)2 - (9* - 1)(* +1) > 17; 4) (* - 3)(* + 3) > 2(* - 2)2 - *(* +1). 27. Розв’яжіть нерівність: 1) 5* + 7 > 3(2* - 5) - * ; 2) 4,5(2 - *) > 5,4 - 3(1,5* -1,2); 3) 8* + (* - 3)(х + 3) > (* + 4)2; 4) 3*(* - 3) - (3* + 1)(* + 4) > 2 - 2(11* + 3).
  • 44.
    44 Тренувальні вправи 28.При яких значеннях х має зміст вираз: 5) л/9-15х + -— — ; 2) л/4-13.г ; 4)л/* + 9 + —— ; 29. Розв’яжіть рівняння: 1) |д: + 3 |- х = 2; 2) |3 х -1 | + jc = 2 ; 3) | jc- 2 | + jc = 8 ; 4) |x + 2 |- x = 6 . ЗО. Побудуйте графік функції: 1) у = х + 2 2) у = х - 4 | - 2 ; 3) >>= |x + l | + 2x. 31. При яких значеннях я має два різних дійсних корені рівняння: 1) х2 -3 х + 5а = 0 ; 2) (о + 3)д:2 - (2 а - І ) х + а = 0 ; 3) (я —5)х2 - 2(а —6)а"+ а - 4 = 0 ; 4) X і + 2 { а - ) х + 2а2 +4а + й = 01 32. При яких значеннях а можна розкласти на лінійні множники квадратний тричлен: 1) Зх2 + 5х + 2а; 3) 4 х2 - 2ах +1 ; 2) ах2 —Зх + 3 ; 4) (а - 2)х2 + 2ах + 2 ? 33. При яких значеннях Ь має додатний корінь рівняння: 1)4х + 5 = ЗЬ; 2) (6 + 5)x= 2? 34. При яких значеннях Ь має єдиний додатний корінь рівняння: 1) (Ь +3)х = Ь2 - 9 ; 2) (5Ь2 +1Ь)х = Ь'> 35. Для кожного значення а розв’яжіть нерівність: 1) (а + 2)х > 0; 5) а + 2 х > .3 -а х ; 2) (а + 2)х < 3 ; 6) 3 (а -д :)< 9 -а х ; 36. У деякій школі кількість хлопчиків відноситься до кількості дів­ чат як 5 :4. Яка найменша кількість хлопчиків може бути, якщо всього в школі не менше 600 учнів? 37. Сторони трикутника дорівнюють 11 см, 15 см і х см, де д- — нату­ ральне число. Якого найменшого значення може набувати х і 3) (а+ 2)х > а + 2; 4) (в + 2) 2дг< 0 ; 7) (а - 3 ) х > а2 - 9 ; 8) (а +2)х ^ а2 —4.
  • 45.
    Варіант 2 45 38.Сума трьох послідовних непарних натуральних чисел не більша за 139. Знайдіть найбільше значення, якого може набувати третє число з цієї трійки чисел. Системи лінійних нерівностей з однією змінною 39. Серед чисел -5; 3,5; 8 укажіть розв’язки системи нерівностей: » І ! * : , 7- 2) | ^ : 4)[*<12; [* 2: 2; ' [ 7 * - 4 > * + 3; [6 -3 * < -1 3 . 40. Зобразіть на координатній прямій проміжок: 1) (—7; 1); 2) [-1; 6]; 3) [ - 6; 3); 4) (-5; 2]. 41. Зобразіть накоординатній прямій і запишіть проміжок, що задається нерівністю: 1 )2 < * < 4 ; 3) -2,1 < * < 5 ,2 ; 2 ) і < * < 2 | ; 4) —0,2 < * < 3 ,3 . 42. Запишіть усі цілі числа, які належать проміжку: 1) [2; 7]; 2) (1,3; 5); 3) [-2,3; 3,4]; 4) (-5,1; 1,4). 43. Укажіть найбільше і найменше цілі числа, які належать проміжку: 1) [-6;-2 ]; 2) (3; 15]. 44. Зобразіть на координатній прямій і запишіть перетин проміжків: 1) [-5; 11] і [6 ; 13]; 4) (-<»; 4,1) і (4,7; +со); 2) (3; 8] і [3; 10]; 5)[2;-н») і [5,6; +оо); 3) (-со; 6,3) і (2,5; +оо); 6) [4; 13] і [7,2; 11). 45. Зобразіть накоординатній прямій і запишіть об’єднання проміжків: 1) [4; 9,3] і [5; 11]; 4) (1; 5] і (5; +оо); 2) [2; 15) і (-1; 15]; 5)(^> ;17) і (9,1; +оо); 3) (-со; 8) і (6,7; 10); 6) (-«о; -3) і (2; +оо). 46. Розв’яжіть систему нерівностей: .. 4* > 16, .. 10,4(* - 2) < 0,6* +1, } [ - 3* > 4; } [5* + 3 > 4(* +1,25); І 4 * - 3 > * + 6, 4. {*(* + 3)> (* + 1)(* —2) —1, [5* +1 2: 6* -1 1 ; [(2* + 1)(* + 2) - (* - 2)(* - 4) < * 2; 5) 2 * -1 4 —* я> ^ 4 2 4 ’ * - 1 2 - х і - ^ - < - ч —+ -І-; З 2 ’
  • 46.
    46 Тренувальні вправи (2х+1) +2х< (2х - )(2х +1) - 4, 6) ] 2 х —1 ^ х —5 х + 1 І 2 ~ ~ 4 8 ~ ' 47. Знайдіть цілі розв’язки системи нерівностей: 1) 2) 8х - 9 < 5-ї - 7, 2 - х > З - 4х; 12х + 23> З х -4 , 5х + 2 > 8 х -6 ; [6-ї - 2 > 4-ї + 5, І7х —10<2х + 11; ГЗ.ї +2 •2 > 4х, [(де + 5)(х - 3) > х(х -1 ) -1 9 . 48. Розв’яжіть систему нерівностей: 1) [4(х —1) —3(х + 1) < х, [0,5(х + 2) < 2(х +1,5) - 4; 49. Розв’яжіть нерівність: 1) - 4 < х - 9 < 5 ; 2) -2 ,6 < 5 х - 2 < 3 ; 3) 0,8 < 1- Зх < 3,7; х 2) 5х + 6 < 3(х + 2) + 2(х —1), х(х - 8) - 2 > (х + 7)(х - 2). 5) з ^ - 4; 6) 0,3 < < 0,5. 4) 2 < у +1 < 2,1; 50. Скільки цілих розв’язків має нерівність: 1) - 4 < 2 х -5 < 6 ; 2) - 2 < 4 - 1 їх < 7 ? 51. При яких значеннях х значення функції у = х(1 - ^ 5 ) належать проміжку [2л/5 —2; 4л/5 -4 ]? 52. Розв’яжіть систему нерівностей: 0,3 - 5х > 2,8, 4,5х + 1>10, 2,2х-1 < 2х-1,3. 53. При яких значеннях змінної має зміст вираз: 3) ч /5 х -4 5 + Т 8 ^ х ; З 5 „ х < 9, ї х - 2 > 13, І ) ' х > 6, 2)- 5 - 2х < 8, 3) ■ х < 7,4; 6х —5 > 3; 1) л/Злг—10 + л/4х —11 ; 2) л/4х + 5- л/і 1—2х ’ 54. Розв’яжіть нерівність: 1) (х + 7)(х -1) > 0; 2) (х + 2)(х + 1)<0; 4) л/8 —5л: х 2 + 2х х + 4 лЗ -----т < 0 ; ’ х - 4 .ч х + 9 „ 4) ЗГ=9 > ’
  • 47.
    Варіант 2 47 55.Розв’яжіть нерівність: 1) Іх |< 7 ; 2) |х —11< 3,8; 3 ) |7 х - 5 |< 3 ; 4) 15 - 4 х )< 6 . 56. Розв’яжіть нерівність: 1) | х |> 9; 2) | х —4 1> 3,2 ; 3) 10,4х + 3 |> 2 ; 4 ) |7 - 8 х |> 9 . 57. Розв’яжіть рівняння: 1) Іх | + 1х —3 1= 4 ; 3) | х | —| х - 3 1= 4 ; 2) |х - 2 | + |х + 3| = 5 ; 4) | 2 х - 6 |- |х + 4 | = 4х + 10. 58. Розв’яжіть нерівність: 1) | х + 3 1+4х> 6 ; 4 ) |х + 2| + |х - 3 |> 4 ; 2) !х —4 1—5х <12; 5) | х + 2,21- 1х -1,8 ]< 4; 3) |х + 3| + |х - 3 |5 б ; 6) |Зх-ь 16 1- 12х- 1 4 1> 8. 59. Для кожного значення а розв’яжіть систему нерівностей: „ { * < - * . 2) І* >•*. |х < а; [х> а. 60. При яких значеннях а обидва корені рівняння х - ( 3 а + 2)х + у + 8а - 4 а = 0 більші за число -7? 61. При яких значеннях а обидва корені рівняння х2 - ( 5 о - 2 ) х + + 6а - 4а = 0 належать проміжку [4; 7]? 62. При яких значеннях а один з коренів рівняння 2х2 - (Зо + 5)х + + а1 + 2а - 3 = 0 менший від 3, а другий — більший за 5? Функція 1 2 • 63. Функцію задано формулою g(x) = 2х - ■-х .Знайдіть: 1 ) * Н ) ; 2 )* (0 ); 3 ) * ( - 3 ) ; 4 ) ^ 64. Дано функції к(х) = 2х —^ і #(х) = 4 х - 3 . Порівняйте: 1) й(-1) і *(0); 2) Л(2) і 3) ^ 1 «(2) • 65. Дано функцію 1, якщо х < -3 , 2х + 7,якщо - 3 < х < - 1 ,/( * ) = ■ Знайдіть: 1) /(-3,01); 2) /(-3 ); 3) /(-2 ,5 ); 4) /(0 ). 2х +3, якщо х > —1.
  • 48.
    48 Тренувальні вправи 66.Знайдіть область визначення функції: х+3 1) /( х ) = 2 х -1 7 ; Ю) / W = w _ 5 > 2 ) / w = T T 2 ; И )/(х) = 1_л х - 7 W + 6 ’ 3) / ( * ) = — у — ; . . . . . . 17 2 12) /( * ) = - 2 ; X-З U - * 4) /( x ) = ^ _ L ; ' ------- 2jc + 3 13) f { x ) = y[x + 2 ~ 4 x - 2 - , 5 ) / ( х ) = л / з + 7 ; г - - х - 3 14) /( х ) - У І 2 - Х 6 ) /( * ) = - А ; ,_ ЯД 1 _ v* J 15) /(x ) = V x -4 + V 4 ^ x ; х . /-г х - 2 7) /(•*) - ^2 _ з ’ 16) f ( x ) = y /x - 3 , щ т = 7 7 Г б ’ 9) / м ' Ї Ї Т 7 ; ІХ+Х Vx+5 х - х - 1 2 х2 +7 67. При якому значенні х значення функції / (х) = --------- дорівнює: х + 1 1)4; 2) 6 ; 3) - 1? 68. Знайдіть область значень функції: 1) f{ x ) = 'Ix + 3 7) / ( х ) = Л/І И ; 2) / М = -/х -1 ; 8) Д х ^ л /Г ^ Ї + Т Ї ^ ; 3) Я * ) = 2 - х 2 ; 9) /( * ) = V 4 -x 2 ; * г ї Т Г 2 |+Зі; 10) / ( * ) = - / - . 5) /( * ) = 1*1 + 1; х + 2 6) Д х ) = л / І Ч Ї - 3 ; 69. На рисунку 5 зображено графік функції у = / (х), визначеної на проміжку [-4; 5]. Користуючись графіком, знайдіть: 1) /(-3 ,5 ); /(-1 ); /(0 ); /(1,5); /(3 ); /(4,5); 2) значення х, при яких / (х) = -1,5; / (х) = 1,5; /(х ) = 3; / (х) = 0; 3) найбільше і найменше значення функції; 4) область значень функції.
  • 49.
    Варіант 2 49 Рис.5 70. Функцію задано формулою /(х ) = - х 2 +1, де - 2 < х < 3. 1) Складіть таблицю значень функції з кроком 1. 2) Побудуйте графік функції, користуючись складеною таблицею. 3) Користуючись графіком, знайдіть, при яких значеннях аргументу / (х) > 0 . 71. Побудуйте графік функції: 1) f { x ) = 2х - 1 ; 3) f{ x ) =-За- ; 5) f ( x ) = f ; 2 ) /(* ) = 5 + I * ; 4)/ (х) = - 2 ; 6) /( * ) = - § . 72. Знайдіть область визначення і побудуйте графік функції: х2 —1 Зх —9 1) f i x ) - — j - ; 3) / (х) = ——— ; лг—1 х - Зх 2) /(Л-) = ; 4) д х) = І1 Ь 1 . 2 - х М “ 1 73. Побудуйте графік функції: 1J — якщо х < - 4 ,
  • 50.
    50 Тренувальні вправи Зх+ 2, якщо х < - 2 , 2) / ( х ) = { ~ 2 х ~ 3> якщо - 2 < л :< 0, -5, якщо л >0. 74. Знайдіть, не виконуючи побудови, точки перетину з осями коор­ динат графіка функції: 2) А(*) = 2х + З .2 4 )^ (.ї ) = л -4 .Ї + 3; 5) / (х) = Зл'2 +1 їх —4; 6) / ( * ) = х 2 - 2 х г +23) ф(л-) = х - 2 5 ; 75. Задайте формулою лінійну функцію / ( х) = кк+Ь, для якої /(10) = -15 і /( 7 ) = - 1 5 |. ;:А . V 7 в) Рис. б у> -21 0 і 14 X 1 і / і / / ч /- 9 б)
  • 51.
    Варіант 2 51 Властивостіфункції 76. На рисунку 6 зображено графік функції у = / (х). Користуючись графіком, знайдіть: 1) нулі функції; 2) проміжки зростання і проміжки спадання функції; 3) множину розв’язків нерівності / (х) < 0 . 77. Знайдіть нулі функції: 78. Які з лінійних функцій у = 2х + 62; у = -0,1 8х +1; у = 0,25х —20; у = 122х —1; _у= 0,04х; у = —х - 1 : Парні і непарні функції 79.- Відомо, що / ( —3) = 7. Знайдіть /(3 ), якщо функція /: 1) парна; 2 ) непарна. 1) (-3; 3); 2 ) Н о ; - Ц и [ 1 ; + «>); 3) (-10; 10]; 4 )(-5 ;+ с о )? 1) /( х ) = -0,2х + 5; 2) / (х) = 5х2 - 6х + 1; 5) / 0 0 = 7 |х |- 2 ; 6) / ( х ) = ^ х + 1 ; 3) = 7) / ( * ) = ( * - 2 ) 7 ^ 3 . 1) зростаючі; 2) спадні? 80. Чи є функція / (х) = х непарною, якщо її областю визначення є множина: 81. Чи є парною або непарною функція, задана формулою: _ - 7 V7 ■1) / ( х ) - ї х ; 2) /( х ) = 2х6 - Зх4 ; 7) / (х) = (х - 5)(х + 4) + х ; 8) /(х ) = (х + 1)2 + (х - 1)2 ; 4) /( х ) = / х 2 - 1 6 ; 5) /( * ) = х3 + х2 + 4 ; 10) /( * ) = —х2 | х |; 6) /( х ) = — х + 6 ’
  • 52.
    82. На рисунку7 зображено частину графіка функції у = #(*), визна­ ченої на проміжку [-6 ; 6]. Побудуйте графік цієї функції, якщо вона є: 1) парною; 2) непарною. 52_________________________________________________Тренувальні вправи Рис. 7 Перетворення графіків функцій 83. Побудуйте графік функції: б) г) Рис. 8
  • 53.
    Варіант 2 53 84.На рисунку 8 зображено графік функції у - /(* ) . Побудуйте графік функції: 1)>’= /(* ) + 1; 3) у = /( * + 3); 5) >- = - /( * ) ; 2) у = Д х ) - 2 ; 4) у = / ( х - ї ) ; 6 ) у = 2 - Д х ) . 85. Побудуйте графік функції: 1) У = *2 5) у - 2 > - х 2 8) у = (* + 2)2 + 2; 2) 7 - дг2 - 2 ; 6 )у = (* + 3)2 ; 9) у = (* -2 )2 -1 ; 3) >>= л:2 + 2; 7) ^ = (де- 1)2; 10) у = -(*+1)2 - 2 . 4 ) у = - х 2 - ; 86. Побудуйте графік функції: 1) у , І - 3 ) у - | + 2 ; 5 ) , = ^ ; 7 ) , = ^ ; 2 ) , = § - 1 ; 4) у = « > = ^ - 1 ; = 87. Побудуйте графік функції: 1) у = у[х; 4) у = л/*- 1 ; 7) у = 2 + л /х -1 ; 2) у = л[х + 2 ; 5) у = -->/* ; 8) у = -2 - >/* + 1 . 3) у = л/.х + З ; 6) >’= 1- л/* ; Квадратична функція, її графік і властивості 88. Визначте напрям віток і координати вершини параболи: 1) у = х 2 + 2х - 3 ; 3) у = 0,3* 2 + 3,6* +11,3 ; 2) у = -де2 - де+ 2 ; 4) „V= -Зде2 - 6х + 5 . 89. Побудуйте графік функції: 1) у = X і + 4* + 3; 5)>> = 3 * -* 2; 2) у - —х 1 -2де + 3; 6) у = 1 - х 2; 3) у = ± х 2 - 2 х - 4 ; 7) у = -0,1х2 + 0 ,4 * -0 ,4 ; 4) у = 2х2 -4 х + 1; 8) у = х2 - 4 х + 5. 90. Побудуйте графік функції /(х ) = х2 -4 * + 3. Користуючись гра­ фіком, знайдіть: 1) /(4 ); /(2,5); /(0,5); 2) значення *, при яких /(* ) = —!; /(* ) = —2 ; /( х ) = 8 ;
  • 54.
    54 Тренувальні вправи 3)найбільше і найменше значення функції; 4) область значень функції; 5) проміжок зростання і проміжок спадання функції; 6) множину розв’язків нерівності /(х ) > 0 ; /( х ) < 0 . 91. Побудуйте графік функції /( х ) = 6 х -3 х 2. Користуючись графі­ ком, знайдіть: 2) значеннях, при яких /( х ) = 3; /(х ) = 0; /(х ) = ~9; 3) найбільше і найменше значення функції; 4) область значень функції; 5) проміжок зростання і проміжок спадання функції; 6) множину розв’язків нерівності / ( х ) > 0 ; / ( х ) < 0 . 92. Побудуйте в одній системі координат графіки функцій у = і у = X і - х - 2. Знайдіть, користуючись одержаним рисунком, • * 2 8 корені рівняння х - х - 2 - - ~ . 93. Побудуйте в одній системі координат графіки функцій у = Щ- і _у= - х 2 —х + 6 . Установіть, користуючись одержаним рисунком, 2 ґ 12 кількість коренів рівняння —X - Xт 6 = - у . 94. Н ехай/) — дискримінант квадратного тричлена ах2 + Ьх + с. Зо­ бразіть схематично графік квадратичної функції у = ах2 + Ьх + с, якщо: 95. Знайдіть область значень та проміжки зростання і спадання функції: 1) /(1 ); /(0,5); /(3 ); 1) а< 0 , Б > 0 , с< 0 , —^ - > 0 ; 2) а >0, £>= 0, - — <0; 3) о < 0 , £><0 , " ^ < 0 - 1) /( х ) = 2х2 - 8х + 1 ; 2) /(х) = —ід*2 + х - 2 ; 3) /(х ) = 17 - 1 6х - 0,2х2 ; 4) /( х ) = 5х2 + Вх.
  • 55.
    Варіант 2 55 96.При яких значеннях р і с} графік функції у - х 2 +рх + д прохо­ дить через точки А (1; -1) і В (3; - 2) ? 2 97. При яких значеннях а і Ь парабола у = ах + Ь х - 1 проходить через точки М (-1; 3) і N (2; 4) ? 98. Графік квадратичної функції — парабола з вершиною в початку координат, яка проходить через точку (3; - 27). Задайте цю функ­ цію формулою. 99. Графік квадратичної функції — парабола з вершиною в точці А (0; -3 ), яка проходить через точку 5(3; 24). Задайте цю функ­ цію формулою. 100. При яких значеннях р і д вершина параболи у = х 2 + рх + д зна­ ходиться в точці (2; 5)? 101. Парабола у = ах2 + Ьх + с має вершину в точці М ( 3; 1) і прохо­ дить через точку ЛГ(1; 3). Знайдіть значення коефіцієнтів а, Ь і с. 102. Побудуйте графік функції у = х 2 - 2х + 3 при х є [0; 3] і знайдіть, користуючись графіком, її область значень. 103. Знайдіть найбільше значення функції у = - 2 х 2 +12х + 3 на про­ міжку: 1) [0; 2]; 2) [2,5; 4]; 3) [5; 12]. 104. При якому значенні с найменше значення функції у - Зх2 - -б х + с дорівнює- 2 ? 105. На параболі у = х 2 + Зх - 8 знайдіть точку, у якої: 1) абсциса і ордината рівні; 2) сума абсциси і ординати дорівнює 4. 106. Побудуйте графік функції: - Зх - 5, якщо х < 1, ! ) / ( * ) = 2) /( х ) = х 2 - 4х - 5, якщо 1< х < 4, - 5, якщо х > 4; 2х + 1, якщо х < - 1, х - х 2, якщо - 1 < х < 2 , 1, якщо х > 2 .
  • 56.
    56 Тренувальні вправи 107.Побудуйте графік функції: 1 М / 2 2 |х + 1| , 1) у = ~ ^ ( х - х - 2 ) ; 3) у = х- + * Х+ 1 - 6 ; 2) у = х2 - 2 1х | - 3 ; 4) у = х 2 + 2 х + 1 - х - 2 . 108. При яких значеннях а функція у = - 2хг - 3 х + а набуває від’єм­ них значень при всіх дійсних значеннях х? 109. При яких значеннях а функція у - (а + 1)х2 - 2х + 3 набуває додатних значень при всіх дійсних значеннях х? 110. При яких значеннях а функція у = ( а - 2 ) х 2 4-2 x 4- 1 набуває невід’ємних значень при всіх дійсних значеннях х? 111. При якому значенні а графік квадратичної функції у - ах1 + + (а + 2)х + 2 має з віссю абсцис одну спільну точку? 112. Нехай і х2 — нулі функції у = - 2 х 2 ~ (2 а ~ )х + З а + 2. При яких значеннях а виконується нерівність х, < 2 < х2 ? Розв’язування квадратних нерівностей 113. Розв’яжіть нерівність: 1) х 2 + х - 3 0 < 0 ; 9) х 2 +10х + 25 > 0; 2) х 2 - 10х + 16> 0 ; 10) 2х2 -З х + 4 > 0 ; 3) - х 2 + 0,8х + 2 ,4 > 0 ; 11) 9х2 - 6х + 1< 0 ; 4) 5х2 - 4 х - 1 2 < 0 ; 12) 4х2 -2 0 х + 25 < 0; 5) - 2 х 2 + 7 х - 6 < 0 ; 13) Зх2 - х 4-2 < 0; 6) 2х 2 -5 0 х > 0 ; 14) - 9х2 4-4х - 2 < 0; 7) 4х2 - 4 9 < 0 ; 15) - 4 х 2 4 -4 х -1 5 0 . 8) 16х2 - 8х +1 > 0 ; , Розв’яжіть нерівність: 1) х 2 <16; 4) - 4 х 2 > -1 2 х ; 2) х 2 > 5 ; 5) - ї х 2 < -2 8 ; 3) 9х2 < 5х; 6) 0,4х2 < —Ю х.
  • 57.
    Варіант 2 57 115.Знайдіть множину розв’язків нерівності: ,ч . -ч х 2 + х 8х --1 1) (2-ї - 1)(л' + 3 )> 4 ; 4) — ---------- х 2 - 4 х х - 3 „ 1- х 2) (х + 2)2 < 13 —(х —З) 2 ; 5 ) — 8 5 о 3) х 2 + х(1 - л/5) < V5 ; 6) (6х - 5) 2 + (Зх - 2)(3х + 2) > 36. 116. Знайдіть область визначення функції: 1) у = Vx2 - 2 х -4 8 ; 3) у = л/х2 - 5 х - 1 4 - х 2 -2 5 2х - 1 .. х + 3 х —1 2) ^ = -т — = ; 4) у = - лІ4х~6х2 ’ ' т і й - З х - 2х~2 2х 2 -З х + 1 117. Знайдіть цілі розв’язки нерівності: 1) 2х2 + 8х < 0; 4) 6х 2 - 7х + 2 < 0; 2) х 2 -1 2 < 0 ; 5) - j x 2 - 2 х + 9 > 0; 3) ~ 4 х 2 +13х—3 > 0 ; 6) х 2 -2 ,6 х + 1,2<0. 118. Розв’яжіть систему нерівностей: n jx 2 - 3 x - 1 0 < 0 , 4> fx2 - 5 x - 1 4 < 0 , [ х > 1; (Зх + 6 < 0 ; 2) ГЗх2 -Ю х - 8 > 0 , 5Л х 2 - х - 6 > 0 , [х < 5; |х 2 - х - 3 0 < 0; 3Л 2 х 2 - З х - 9 < 0 , |х 2 - 4 х - 1 2 < 0 , J І 2 х - 7 > 0 ; jx 2 - 6 х - 7 <0. 119. Знайдіть цілі розв’язки системи нерівностей: js |х 2 -7 х + 6 < 0, Зч |х 2 - 7 х - 1 8 > 0 , |х > 2 ; [-3,1 < х < 15,4; 2) [Зх2 - 4 х < 0, 4) [х2 + (7 П -3 )х -З л /П < 0 , -0 ,З х + 0 ,9> 0; j - x 2 - 1,5х + 7 > 0. 120. Знайдіть, при яких значеннях а не мас коренів рівняння: 1) х 2 +(а + 1)х + 1= 0; 3) (9-3fir)x2 - ( a - 3 ) x + l = 0; 2) ( а - ) х 2 —2ах + 3а = 0; 4) (о -2 )х 2 - 2 { а + 1)х + За + 3 = 0.
  • 58.
    58 Тренувальні вправи 121.При яких значеннях Ь має два дійсні різні корені рівняння: 2) Ьх2 + (26-1)х + 6 = 0; 4) (2г> + 10)х2 + (6 -1 0 )х -/> + 4 = 0? 122. Знайдіть, при яких значеннях а виконується при всіх дійсних зна­ ченнях х нерівність: 1) х2 —2(а + ) х + 2 а 2 - я + 1> 0 ; 2) - І * 2 -2ш г + 8о2 - 4 а < 0 ; 3) ах2 + 8х - я + 1 0 > 0 ; 4) ( 4 - а 2)х 2 + 2(а —2)х+1 < 0. 123. Знайдіть, при яких значеннях т не має розв’язків нерівність: 1) тх2 ~ 2 т х + т - 9 > 0; 2) (Зт - 4)х2 + 2(т - 2)х + т - 2 < 0. 124. Для кожного значення а розв’яжіть систему нерівностей: + Ь - 4 = 0 більший за 2, а другий — менший від 2? 128. При яких значеннях а один з коренів квадратного рівняння (1 —2 <яг)л:2 + (а 2 - 20)д: + 2 = 0 більший за 1, а другий — менший від 1? 129. При яких значеннях т один з коренів рівняння 1) X і - Ь х + 2 6 -3 = 0; 3) (1—2Ь)х2 + 2(2Ь +1)* + 6 6 - 2 = 0; 125. Для кожного значення а розв’яжіть нерівність: 1) х 2 - ( а - 2 ) х - 2 а > 0 ; 2) х 2 ~3ах + 2а2 - а - 1< 0 . 126. Розв’яжіть нерівність: 1) х 2 —де—8 1< 12 ; 2) Іх2 —2х І> 3; 3) Ілг—3 1(* + 1)> 4х; 4) х2 —2 1х І< 15 ; 5) х 2 - 7 х + 1 2 > |х - 4 |; 6) |х |- |х - 3 | + х - 2 < 0 . 127. При яких значеннях Ь один з коренів рівняння х 2 ~{2Ь-Ъ)х + х 2 + (2т + 3)х + т 2 = 0 менший від -3, а другий — більший за 0 ? 130. При яких значеннях а корені рівняння х2 -4 а х + 4 а 2 - а + 1= 0 більші, ніж 2 ?
  • 59.
    Варіант 2 59 131.При яких значеннях а корені рівняння х - Ма —1)х+ За - 5 = 0 менші, ніж З? 132. При яких значеннях а корені рівняння 2х2 —(За —2)х —я + 1= 0 належать проміжку (-2; 1)? Розв’язування нерівностей методом інтервалів 133. Розв’яжіть нерівність: 1) (х -1,8)(а + 3) < 0; 2) (х + 6)(х - 1)(х- 7) > 0; 3) (4.г + 3)(2х - 3)(а - 5) > 0; 4) (2 + х)(х + 7)(2 - х) > 0; 5) (х + 7,2)(4-а)( 5 -а)< 0 ; 6) (Зх + 20)(3 - 6х)(2х - 3)(7 - Зх) > 0. 134. Розв’яжіть нерівність: 2) х + 7 > 0 ; х - 2,6 4 ) ^ 0 ; а -2 ,3 5 ) Ь ^ > 0; х - 4 6 ) ^ 5 0 ; 1,8- З а 7) (х ± 5Ха1 7 ) ^ 0 . А — 11 8) 9) а -6,5 ( а + 3)(а -14) а + 6 ,8 > 0 ; (7 —а)(а -4 ) < 0 . 135. Знайдіть множину розв’язків нерівності: 1) (а2 + 5 а)(а2 —16) > 0; а 2 + 6 а + 5 3) - г < 0 ; а - За + 2 2) ( а 2 - 4а + 3)(х2 - 2а) < 0; 136. Розв’яжіть нерівність: 1) (а2 +9)(х2 + а -12) < 0; 2) (а + 2)2(а2 + 2а - 3) < 0 3) (а + 2)г (а2 + 2х - 3) < 0 4) (а + 2)2(а2 + 2а —3) > 0 5) ( а + 2)2( а 2 + 2а —3 ) > 0 4) + 6* ~ 7 > 0 . а 2 -2 5 6 ) ( а - 4 ) 2 ( а 2 + а - 2) > 0 7) ( х - 4 ) 2 ( а 2 + х - 2) > 0 8) ( а — 4 ) 2 ( а 2 + а - 2) < 0 9) ( а - 4 ) 2 ( а 2 + х - 2) < 0 1 0 ) ( а + 1)3 ( х - 1 ) 2 ( х — З ) 6 > 0 ;
  • 60.
    60 Тренувальні вправи 11)(х + 1)3(х -1 )2( х - 3 ) 6 > 0 ; 12) (л-н-З)3(д: —І)2(дг—З)6(х —4)5 > 0 ; 13) (х2 + 9х + 14)(х2 + 5х + 7) > 0; 14) (х2 - Зх + 1)(5х - х2 - 9) < 0. 137. Розв’яжіть нерівність: 1>4 и ?£1 І >0; 6>4 + І £ ± і г 0 ; х " - 6 х + 9 х“ - х - 1 2 х ‘ -6 х + 9 х - х - 1 2 3) 4 = ^ <0; 8 )-,2/ 4" 4 і О; х -6 х + 9 х - х - 1 2 4) х ~ 5х + 4 < о ; 9) И ± ?Л2 І <о- х - 6х + 9 | х + 1 1 5 ) 4 ± ± і ± І > 0 ; 10) > 0 . х - х - 1 2 х - 5х-3 6 138. Знайдіть множину розв’язків нерівності: 1 ) 4 ^ ° ; 2) X2 -2 5 х 2 - х - 2 139. Розв’яжіть нерівність: 5 х -8 < х - 4 ^ х 2 + 7х ^ 8 х + 1 х+1 х + 3 х + 3 х2 - х2х ІХ + 140. Для кожного значення а розв’яжіть нерівність: 2 ) -------- < 2 ; 4) ------- > 1 . Зх + 5 х + 3 1) (х - 2)(х - а) < 0; 5) (х -о )(х + 4)2 < 0; 2) ( х - 2) ( х - а ) 2 > 0 ; 6) Й ^ ° ; 3) (х - 2)(х- а ) 2 > 0; 7) > 0 ; 4) (х - и)(х + 4) 2 < 0; 8)
  • 61.
    Варіант 2 61 Графік рівняння з двома змінними 141. Побудуйте графік рівняння: 1) у = 3х-1', 6) х 2 + у 2 = 4; 11) |х | = 2 ; 2) 4* - 3,у+ 2 = 0 ; 7 )( * - 2 ) 2 + (у + 1) 2 = 9 ; 12)|>-[ = 1; 3 ) 4 у - х = 0; 8) ( * - 1)2 + / = 2 ; ІЗ) ху =1 2 ; 4) * + 2 = 0; 9 ) 7 = *2 - 4 * ; 1 4 )|д у | = 6 ; 5) 7 - 2 = 0; 10) *2 -> --З х + 2 = 0; 1 5 )у = |х + 2 |. 142. Побудуйте графік рівняння: 1) * = 2 / ; 7) (* + 2)2 +(_у-3)2 = 0 ; 2) х + у = 2; 8) * 2 + 4х + _у2 - 2.у + 5 = 0; 3) | * ~ 7 | = 3; 9) х 2 +4х +у 2 - 2 у + 1= 0; 4) X і - 4 у 2 = 0 ; 10) |х | + І7І = 4; 5) 9х2 - у 2 = 0 ; 1 1 ) 2 |х |- М = 3; 6) 2х2 + 5 / = 0 ; 12) у = V4 - х 2 . Системи рівнянь з двома змінними 143. Розв’яжіть графічно систему рівнянь: [ у . , 1 - 4Х+ 3. 3 ) р + ^ - ^ 5 ) І*У = 2) і х 2 ~У = 2’ 4) І* 2 + (7 - І ) 2 =5, 6ч [х 2 + у 2 =10, [х + 7 = 4 ; ] х -2>'Н-2 = 0; [х>’ = 3 . 144. Установіть графічно кількість розв’язків системи рівнянь: іч / у = л/х, Чч { * 2 + 7 2 = 9, гч Г(*-2)" + у 2 = 4, [7 = 3 - * ; [7= 3 —х 2 ; І 7 = 4 - З х 2 ; [у = * 2 + 2 , (ху = 6, Г| У| = х, і 7 = 5 - 2 х 2 ; І 7 = І * 2 “ 4 ; і 7 = - х 2 + 2 х + 3. 145. Розв’яжіть систему рівнянь: Л УҐ ~ * ' 2 ) 7 ї х 2 + 3 X 7 = 1 8 ; [ * 7 = - 1 4 ;
  • 62.
    62 Тренувальні вправи 3) 4) х- 5 у = 3, х 2 - 2 х у - у 2 ——1; х 2 + х у - 3 у = - 1, 5) 6) Зх - 2у = 9, 4х2 + 6у = 1; 6х + у = 5, ( х - 3 ) ( у + 5) = 2.[ 4 х - у = 3; 146. Не виконуючи побудови, знайдіть координати точок перетину: 1) прямої у = 1- 5х і параболи у = х 2 + х - 6 ; 2) прямої х - у - 5 = 0 і кола {х - З) 2 + (у + 1) 2 = 13; 3) прямої у = -Зх + 10 і кола х 2 + у 2 = 10; 4) парабол у = 4 х 2 +4х + і у = ~2х2 - 4 х - 3 . 147. Розв’яжіть систему рівнянь: 1) 2) 3) х 2 +2ху + у 2 =49, х - у - 3; І4х2 - 4 ху+ у 2 = 9, [Зх2 + 2ху - у 2 = 36; х ‘ —ху = —в, [у2 - ху = 24; 148. Розв’яжіть систему рівнянь: п І2х2 + у 2 = 54, [ху = - 10; ї х - у + ху = -4 , х у ( х - у ) = -21-, 3) К " У = 2 26’ [.х ' + х у + у =13; [ і 2 = 15 4) < V * 4 ’ [2 х -5 ^ = 9; 149. Розв’яжіть систему рівнянь: [х2 + 3 х у - 1 0 у 2 = 0, {х2 + 2ху —у 2 = 28; 4) 5) 6) 5) 6) [5х2 + 3 у 2 =18, І5х2 -3 .у2 =12; 4 х у - у = -40, 5х —4х_у = 27; х 2 + 25у 2 = 29, ху = 2 . 5 2 _ З х -2 у 2х+у = 21, -= 40; Зх —2у 2х+ у 2х + у 3 (х -2 У) _ 2 х - 2 у 2х +у х 2 +3х у - у 2 = 23. 2) 2 х2 + ху - 3у 2 = З, х2 - 4 х у - 3 у 2 = 9.
  • 63.
    Варіант 2 63 150.Скільки розв’язків залежно від значення а має система рівнянь: Розв’язування задач за допомогою систем рівнянь другого степеня 151. Різниця двох чисел дорівнює 6 , а сума чисел, обернених до даних, 152. Якщо деяке двоцифрове число, у якого число одиниць більше за число десятків, поділити на різницю його цифр, то в частці одер­ жимо 12, а якщо поділити це число на добуток його цифр, то неповна частка дорівнюватиме 1, а остача — 16. Знайдіть дане число. 153. Площа прямокутника дорівнює 120 см2, а периметр — 46 см. Знайдіть сторони прямокутника. 154. Площа прямокутника дорівнює 180 см2. Якщо одну його сторону збільшити на 2 см, а другу зменшити на 3 см, то отримаємо прямокутник з тією самою площею. Знайдіть початкові розміри прямокутника. 155. З двох селищ, відстань між якими дорівнює 50 км, виїхали одно­ часно назустріч один одному два велосипедисти і зустрілися через 2 год. Знайдіть швидкість кожного велосипедиста, якщо один з них витратив на весь шлях з одного селища до іншого на 1 год 40 хв менше, ніж другий. 156. Від пристані А до пристані В, відстань між якими дорівнює 90 км, вирушили одночасно два катери. Один з них прибув у В на 1 год 15 хв раніше за другого. Знайдіть швидкість кожного катера, якщо другий катер за 3 год проходить на 30 км більше, ніж перший за одну годину, і швидкість кожного катера не перевищує 30 км/год. 157. Щоб пройти 60 км проти течії річки і 54 км в стоячій воді, тепло­ ходу потрібно 4 год 30 хв. Для подолання 162 км у стоячій воді теплоходу потрібно часу на 3 год більше, ніж для подолання 72 км проти течії цієї річки. Знайдіть власну швидкість теплохода і швидкість течії. 158.3 двох міст, відстань між якими дорівнює 480 км, вирушили назустріч один одному два автомобілі і зустрілися посередині дороги, причому один з них виїхав на 2 год раніше від другого. Якби автомобілі виїхали одночасно, то вони зустрілися б через 4 год 48 хв. Знайдіть швидкість кожного автомобіля. дорівнює . Знайдіть ці числа.
  • 64.
    64 Тренувальні вправи 159.Дві бригади, працюючи одночасно, можуть відремонтувати доро­ гу за 6 год. Якщо ж спочатку одна бригада самостійно від- 3 ремонтує дороги, а потім друга — решту, то весь ремонт буде виконаний за 12 год. За скільки годин може відремонтувати дорогу кожна бригада, працюючи самостійно? 160. Якщо відкрити одночасно дві груби, то басейн буде наповнено за 7 год 12 хв. Коли спочатку відкрили на 8 год одну трубу, а потім відкрили другу, то басейн був заповнений через 4 год спільної роботи. За скільки годин може наповнити цей басейн кожна труба, працюючи самостійно? 161. З міста А в місто В, відстань між якими дорівнює 300 км, виїхала вантажівка зі швидкістю 40 км/год. Через 1 год після цього з міста А в місто В виїхав легковий автомобіль, який наздогнав ванта­ жівку і передав її водію розпорядження повернутися до А. Після цього легковий автомобіль продовжив свій рух до В з тією самою швидкістю і прибув у В одночасно з поверненням вантажівки до А. Знайдіть швидкість руху легкового автомобіля. 162. З двох міст, відстань між якими дорівнює 280 км, виїхали одно­ часно назустріч один одному два автомобілі. Один з них приїхав у друге місто через 1 год ЗО хв після зустрічі, а другий у перше місто — через 2 год 40 хв після зустрічі. Знайдіть, з якою швид­ кістю рухався кожний автомобіль і через скільки часу після по­ чатку руху відбулася їх зустріч. 163. Одночасно з одного села в одному напрямі вирушили два вело­ сипедисти: один зі швидкістю 12 км/год, а другий — 15 км/год. Через 4 год з цього села в тому самому напрямі виїхав автомобіль. Знайдіть швидкість руху автомобіля, якщо відомо, що він наздо­ гнав другого велосипедиста через 20 хв після того, як наздогнав першого. 164. По двох колах рівних діаметрів рівномірно обертаються дві точки. Одна з них здійснює повний оберт на 2,5 с швидше, ніж друга, і тому встигає зробити за 1 хв на 4 оберти більше. Скільки обертів у хвилину виконує кожна точка?
  • 65.
    Варіант 2 65 Математичне моделювання 165. Розв’яжіть задачу, побудувавши її математичну модель. 1) Маса 8 однакових деталей дорівнює 18 кг. Чому дорівнює маса 28 таких самих деталей? 2) Відстань між містами А і В на карті дорівнює 5,6 см, а на місцевості — 420 км. Яка відстань на місцевості між містами С 1А якщо на цій карті відстань між ними дорівнює 3,6 см? 3) Відстань між двома пристанями дорівнює 16 км. Від цих при­ станей одночасно в одному напрямі вирушили два моторних човни. Один з них рухався попереду зі швидкістю 14 км/год, а другий — 18 км/год. Через скільки годин після початку руху другий човен наздожене перший? 4) Майстер та його учень можуть виконати разом деяку роботу за 12 год. За скільки годин може виконати цю роботу майстер, якщо учневі для цього потрібно 28 год? 5) Катер подолав відстань між двома портами за 3 год, а теплохід ту саму відстань — за 5 год. Знайдіть швидкість катера і швид­ кість теплохода, якшо швидкість катера на 16 км/год більша за швидкість теплохода. 6) Купили 18 олівців по 40 коп. і по 60 коп., заплативши за всю покупку 9 грн. 60 коп. Скільки купили олівців кожного виду? 7) Підлогу приміщення, довжина якого дорівнює 16 м, а ширина — 12 м, хочуть замостити плиткою. Чи вистачить для цього 15 ящиків плитки, якщо одна плитка має форму прямокутника зі сторонами 80 см і 40 см, а в один ящик уміщується 50 пли­ ток? 8) Для перевезення 15 т вантажу замість машини певної вантажо­ підйомності взяли іншу машину, вантажопідйомність якої на 2 т більша ніж у першої. Тому для перевезення вантажу знадо­ билося на 2 рейси менше ніж планувалось. Яка вантажо­ підйомність машини, яка перевезла вантаж? 9) Щоб переправити вантаж з точки А в точку В, його спочатку піднімають по похилій поверхні, а потім опускають теж по похилій поверхні, причому підйом виконується зі швидкістю на 2 м/с більшою, ніж спуск. Шлях, який проходить вантаж з точки А в точку В, має довжину 120 м, і триває це про­ ходження 14 с. Якби вантаж переміщували з точки В у точку А, то ця операція тривала б 13 с. Знайдіть швидкість підйому і швидкість спуску вантажу.
  • 66.
    66 Тренувальні вправи 10)Два поїзди вирушили одночасно з двох станцій назустріч один одному і після зустрічі кожен продовжив рух у початковому напрямі. Один з них, швидкість якого на 10 км/год менша від швидкості другого, прибув на -другу станцію через 3 год 36 хв після зустрічі, а другий на першу станцію — через 2 год 30 хв. Знайдіть швидкість, з якою рухався кожний поїзд. Через який час після початку руху відбулася зустріч? 11)3 двох міст М і N одночасно назустріч один одному вирушили два автомобілі. Один з них прибув у N через 48 хв після зустрічі, а другий в М — через 1 год 15 хв. За який час кожний автомобіль проїде відстань між M i N l Відсоткові розрахунки 166. Морська вода містить 6 % солі. Скільки солі міститься в 340 кг морської води? 167. Будівельники проклали 480 м шляхопроводу за два тижні. За перший тиждень вони виконали 45 % роботи. Скільки метрів шляхопроводу проклали будівельники за другий тиждень? 168. Робітник одержав 840 грн. авансу, що становить 35 % його заробітної плати. Яка заробітна плата робітника? 169. Морська вода містить 6 % солі. Скільки води треба взяти, щоб отримати 84 кг солі? 170. Під час сушіння гриби втрачають 92 % своє маси. Скільки свіжих грибів треба взяти, шоб отримати 24 кг сушених? 171. У шкільному актовому залі 240 місць. Під час вистави було зайнято 228 місць. Скільки відсотків місць було зайнято? 172. Швидкість автомобіля зросла з 80 км/год до 82 км/год. На скільки відсотків зросла швидкість? 173. Вартість деякого товару спочатку зросла на 10 %, а потім знизи­ лася на 10 %. На скільки відсотків змінилася початкова ціна? 174. Вкладник поклав до банку 24 000 грн. під 5 % річних. Скільки грошей буде на його рахунку через 3 роки? 175. У 2004 році в деякому місті мешкало 60 000 жителів, а у 2006 ро­ ці — 54 150 жителів. На скільки відсотків щорічно зменшувалося населення цього міста? 176. Скільки кілограмів 30-відсоткового і скільки кілограмів 40-від- соткового сплавів міді треба взяти, щоб отримати 50 кг 36-від- соткового сплаву?
  • 67.
    Варіант 2 67 177.Вкладник поклав у банк ЗО 000 грн. За перший рік йому було нараховано певний відсоток річних, а другого року банківський відсоток було зменшено на 6 %. На кінець другого року на рахунку стало 34 320 грн. Скільки відсотків становила банківська ставка у перший рік? 178. Водно-сольовий розчин містив 4 кг солі. Через деякий час 4 кг води випарувалось, унаслідок чого концентрація солі в розчині збільшилася на 5 %. Якою була початкова маса розчину? Випадкова подія. Ймовірність випадкової події 179. У коробці лежать 9 синіх і 18 зелених кульок. Яка ймовірність то­ го, що обрана навмання кулька виявиться: 1) синьою; 2) зеленою? 180. У лотереї розігрувалося 12 грошових призів по 10 000 грн., 25 призів по 5000 грн., 45 призів по 1000 грн. Усього було випу­ щено 6000 лотерейних білетів. Яка ймовірність: 1) виграти 1000 грн.; 2) виграти який-небудь приз; 3) не виграти жодного призу? 181. Гральний кубик підкинули один раз. Яка ймовірність того, що випаде число, кратне З? 182.3 натуральних чисел від 1 до 20 включно учень навмання називає одне. Яка ймовірність того, що це число є дільником числа 20? 183. Яка ймовірність того, що навмання вибране двоцифрове число ділиться націло на 14? 184. У коробці лежать 6 червоних і 5 чорних кульок. Яку найменшу кількість кульок треба вийняти навмання, щоб ймовірність того, що серед них є хоча б одна червона кулька, дорівнювала 1? 185. Чотири картки пронумеровано числами 1, 2, 3 і 4. Яка ймовір­ ність того, що сума номерів двох навмання вибраних карток дорівнюватиме парному числу? 186. У коробці лежать білі і чорні кульки. Скільки білих кульок у коробці, якщо ймовірність вийняти з неї навмання білу кульку у дорівнює у , а чорних кульок у коробці 27? Початкові відомості про статистику 187. Дано 35 чисел, з них число 8 зустрічається 17 разів, число 13 зу­ стрічається 4 рази і число 18 — 14 разів. Знайдіть середнє ариф­ метичне цих 35 чисел.
  • 68.
    68 Тренувальні вправи 188.Знайдіть міри центральної тенденції вибірки: 1 )7,9, 9, 12, 15, 15, 16,21,22,24; 2) 2,3; 2,8; 3,2; 3,8; 4,1; 4,3; 5,4. 189. У таблиці наведено розподіл за віком відпочиваючих в один з літніх місяців у молодіжному спортивному таборі:____________ Вік у роках 16 17 18 19 20 21 22 23 24 25 Кількість відпочиваючих 12 21 20 32 20 20 19 24 15 7 Знайдіть відносну частоту кожного значення і міри центральної тенденції вибірки. 190. У 24 легкових автомобілів зробили заміри витрати палива на 100 км і склали таблицю: 8 10 7,5 9 8 8,5 9 8,5 9 10 7,5 9 7,5 9 10 7,5 8,5 8 9 8 7,5 8,5 10 7,5 Складіть частотну таблицю і побудуйте відповідну гістограму. Визначте частоту і відносну частоту кожного її значення. Числові послідовності 191. Запишіть п ’ять перших членів послідовності: 1) двоцифрових чисел, кратних числу 5, узятих у порядку спа­ дання; 2) неправильних звичайних дробів з чисельником 18, узятих у по­ рядку зростання; 3) натуральних чисел, що дають при діленні на 3 остачу 2, узятих у порядку зростання. 192. Знайдіть чотири перших члени послідовності ( а„ ), заданої фор­ мулою п-то члена: 1 )я„ = я - 4 ; 2 ) а „ = 3 - 2 п ; 3) 4) а „ = ^ - . п -3 193. Знайдіть третій, п’ятий і сотий члени послідовності ( Ь„ ), заданої формулою и-го члена: 3 ) 6 „ = 6 л - л 2 ; 2) Ь„ = 0,1л + 0,3; 4) Ь„ = (-1)" + ( - 1)п+2 . 194. Послідовність ( сп) задана формулою и-го члена с „ - ^ п - 4. Знайдіть: 1) сх; 2) с8 ; 3) с!5 ; 4) с300 ; 5) ск+і.
  • 69.
    Варіант 2 69 (- 1)п+2 195. Послідовність ( хп) задана формулою и-го члена х„ —— . Знайдіть: 1) хх; 2) хІ0; 3) х2к ; 4) х2 к ; 5) х*+ і. 196. Знайдіть п’ять перших членів послідовності ( а„ ), якщо: 1) а, =2 а„+]= а „ - 3; 2) <?! = 27 ; аи+1 = ~ ; 3) а, = ОД ; а2 = -ОД ; а„+2 = 3а„ + яп+1; 4) —«2 —1' @п+2 ~ ^н+1 * 197. Послідовність ( _у„) задана формулою я-го члена >>„ = 3 - 5 я . Чи є членом цієї послідовності число: 1) 23; 2) -11; 3) -247? У випадку позитивної відповіді вкажіть номер відповідного члена. 198. Знайдіть кількість від’ємних членів послідовності ( г„ ), заданої формулою я-го члена гп = 8я —43 . 199. Підберіть одну з можливих формул я-го члена послідовності, першими членами якої є числа: 1) 1 ,9 ,2 5 ,4 9 ,8 1 ,.-; 3) 1,-2, 3 ,-4 , 5 ,...; 2) 4)0, 1,0, 1 ,0 , 1 ,0 , 1 , . . . . 200. Доведіть, що послідовність ( а„ ), задана формулою и-го члена, є спадною: 1) = 2 0 - 3/7; 2) а„ = 5 + я - я 2 ; 3 ) а „ = ^ ~ . 201. Знайдіть найменший член послідовності ( ап), заданої формулою я-го члена: 1) ап = и 3 -1 0 ; 2) а„ = я2 - 4 я + 1; 3) а „ = я + 1 . Означення арифметичної прогресії. Формула »-го члена арифметичної прогресії 202. Знайдіть чотири перших члени арифметичної прогресії ( а„ ), якщо ах = -1,2 , й?= 0,3. 203. В арифметичній прогресії ( а„ ) ах = - 4 , сі = 0,8. Знайдіть: 1) а4; 2) #2і ; 3) . 204. Знайдіть різницю і двісті перший член арифметичної прогресії 5,4; 4,8, 4 ,2 ;....
  • 70.
    70 Тренувальні вправи 205.Знайдіть формулу н-го члена арифметичної прогресії: 1)1,4, 7, 10,...; 3) 5о3, 7о3, 9я3, 11о3,...; 2)3, 2 | , 2 ± , 2 І , 4) о - l , о ~ 3 , о - 5 , а - 1 , . . . . 206. Знайдіть різницю арифметичної прогресії (с„), якщо: 1) С] = 6 , с9 = 38; 2) С4 = 40, cis = 12. 207. Знайдіть перший член арифметичної прогресії (о„), якщо: 1) о10 =19, d = 5; 2 ) о 3 =16, д8 =15. 208. Знайдіть номер члена арифметичної прогресії ( х„), який дорів­ нює - 2 ,6, якщо х: = 8,2 і d = -0 ,3 . 209. Чи є число 18,5 членом арифметичної прогресії (у„), якщо у і —12 і d = 2,5 ? У разі позитивної відповіді вкажіть номер цього члена. 210. Дано арифметичну прогресію —3,6; -3,3; -3; ... . Починаючи з якого номера її члени будуть додатними? 211. Знайдіть кількість від’ємних членів арифметичної прогресії ( а„ ), якщо Я] = - 2 0 , d = 1,8 . 212. Між числами - 3 і 11 вставте шість таких чисел, щоб вони разом з даними числами утворювали арифметичну прогресію. 213. Знайдіть перший член і різницю арифметичної прогресії ( ап ), якщо: 1) а} + оіз = 38 і о4 + «в = 29; 2) д4 + аі о= 16 і от-о6 = - 12. 214. Чи є послідовність ( а„ ) арифметичною прогресією, якщо вона задана формулою и-го члена: ! ) о п = 7 - З и ; 3) а„ = 0,8и; 5 ) о „ = ^ | ; 2)о„ = 2п2 +1; 4) а„ = 0,64п + 23; 6) оп = ^”і-~^ ? У разі позитивної відповіді вкажіть перший член і різницю про- іресії. 215. В арифметичній прогресії кожний член прогресії помножили на 3. Чи буде утворена послідовність арифметичною прогресією? , 2 216. ГІри якому значенні о значення виразів а*'-4а, 2 а - 5 і о - 4 будуть послідовними членами арифметичної прогресії? Знайдіть члени цієї прогресії.
  • 71.
    Варіант 2 71 217.При якому значенні Ь значення виразів 36 + 1, 4 6 - 1 , Ь2 +Ь і Ь2 +Ь +1 будуть послідовними членами арифметичної прогресії? Знайдіть члени цієї прогресії. Сума п перших членів арифметичної прогресії 218. Знайдіть суму вісімнадцяти перших членів арифметичної прогре­ сії ( а„ ), якщо А] = 3,8, сі = -1,4. 219. Знайдіть суму двадцяти п’яти перших членів арифметичної про­ ф е с ії-1 0 ,-7 ,-4 , .... 220. Арифметичну професію (а„) задано формулою и-го члена а„ = -2п +1. Знайдіть суму тридцяти восьми перших членів про­ гресії. 221. Знайдіть суму сорока перших членів арифметичної професії (я„), якщо: 1) -1 9 , Я]] = —6 ; 2) а~і - 6 , аХі = 2 6 . 222. Знайдіть суму дев’ятнадцяти перших членів арифметичної про­ ф есії ( а„ ), якщо я19 = 60, сі = 3,5. 223. Знайдіть суму вісімнадцяти перших членів арифметичної профе­ с ії^ ,,),я к щ о аи -йг3 - я 8 =27 і о6 + о14=В6 . 224. При будь-якому я суму п перших членів деякої арифметичної професії можна обчислити за формулою 51,, = Зп2 + 1п. Знайдіть перший член і різницю цієї професії. 225. Знайдіть суму всіх натуральних чисел, що кратні 7 і не більші за 182. 226. Знайдіть суму всіх натуральних чисел, які кратні 8 і не більші за 210. 227. Знайдіть суму всіх натуральних чисел, які при діленні на 5 дають в остачі 3 і не більші за 188. 228. Знайдіть різницю і шістнадцятий член арифметичної професії (йг„), якщо а = 8 і ^22 = 484. 229. В арифметичній професії перший член дорівнює -36, а сума двадцяти восьми перших членів дорівнює 2016. Знайдіть різницю і одинадцятий член професії. 230. Знайдіть перший і шостий члени арифметичної професії, якщо її різниця дорівнює 0,6, а сума десяти її перших членів дорівнює 39.
  • 72.
    72 Тренувальні вправи 231.Знайдіть суму членів арифметичної прогресії з сьомого по два­ дцять шостий включно, якщо перший член дорівнює 39, а різниця дорівнює - 2 . 232. Знайдіть суму членів арифметичної прогресії (Ь„) з дев’ятого по двадцять третій включно, якщо 6, = 9 і 6,7 =65. 233. Знайдіть суму всіх додатних членів арифметичної прогресії 7,4; 7; 6,6;.... 234. В арифметичній прогресії (а„) я, = 12, сі = -2. Скільки треба взя­ ти перших членів прогресії, щоб їх сума дорівнювала -264? 235. Знайдіть перший член і різницю арифметичної прогресії, якщо сума шести перших її членів дорівнює -51, а сума чотирнадцяти перших членів дорівнює 49. 236. Розв’яжіть рівняння: 1) 11 + 17 + 23 + ... + (6и + 5) = 528, де я — натуральне число; 2) 2 + 5 + 8 + ... + * = 126, де* — натуральне число. Означення геометричної прогресії. Формула л-го члена геометричної прогресії 237. Знайдіть чотири перших члени геометричної прогресії ( Ь„ ), якщо 6] = 2 0 , 9 = 0,2 . 238. У геометричній прогресії (Ьп) 6, = _ 2 у> 9 = -3. Знайдіть: 1) Ь2 ; 2)Ь5-,3)Ь&-,4)Ьк . 239. Знайдіть знаменник і шостий член геометричної прогресії 72, 12, 2 ,.... 240. Знайдіть знаменник геометричної прогресії ( Ь„ ), якщо: 1)6, = 0,0001, Ьц = -1000; 2) = 4, Ь6= 8. 241. Знайдіть перший член геометричної прогресії ( у п), якщо: = 2) уз =15, у 6 =45л/з . 242. Число 162 є членом геометричної прогресії 4^,2,... . Знайдіть номер цього члена. 243. Які два числа треба вставити між числами 64 і 27, щоб вони разом з даними числами утворювали геометричну прогресію? лП + 2 244. Послідовність ( Ь„ ) задана формулою и-го члена Ьп = — . Чи є ця послідовність геометричною прогресією?
  • 73.
    Варіант 2 73 245.Знайдіть перший член і знаменник геометричної прогресії (Ь„), якщо: 1) Ьг = 25Ь6 і Ь2 + = -520; 2) Ь$-Ь2 = -54 і Ь) + 64 + Ьі = -36 . 246. При якому значенні х значення виразів З*-1 3 , х - З і х - 5 бу­ дуть послідовними членами геометричної прогресії? Знайдіть члени цієї прогресії. 247. Сума трьох чисел, що утворюють арифметичну прогресію, дорів­ нює 15. Якщо до цих чисел додати відповідно 1; 1 і 4, то утво­ риться геометрична прогресія. Знайдіть дані числа. Сума п перших членів геометричної прогресії 248. Знайдіть суму чотирьох перших членів геометричної прогресії ( Ь„), якщо Ь{ = 625, 9 = -5 ■ 249. Знайдіть суму шести перших членів геометричної прогресії 16, 24, 36,.... 250. Знайдіть суму чотирьох перших членів геометричної прогресії ( Ьп), якщо: 1) *6 =4 , ? = 2; з) г>3 = 36 , й6 = І . 2) г>,=л/з, Ь5 =9уіЇ , д > 0 ; 251. Геометрична прогресія (Ьп) задана формулою и-го члена Ь„ = 0,4 •З”-1. Знайдіть суму п ’яти перших її членів. 252. Знайдіть перший член геометричної прогресії (х„), якщо 9 = 4 , 54= 765. 253. Знайдіть кількість членів геометричної прогресії ( а„ ), якщо о, = - 8 , <7= 3 , =-2912. 254. Різниця четвертого і другого членів геометричної прогресії дорів­ нює ЗО, а різниця четвертого і третього членів дорівнює 24. Знайдіть суму п’яти перших членів професії. 255. Знайдіть перший член, знаменник і кількість членів геометричної професії ( ) , якщо г5 - 2] = 9, = 3, Б,, = 153 .
  • 74.
    74 Тренувальні вправи Суманескінченної геометричної прогресії, у якої Іq < 1 256. Знайдіть суму нескінченної геометричної прогресії: 1)80; 30; 11,25;...; 2 ) 1 0 , 2 ^ 5 , 2 , . . . . 257. Знайдіть перший член нескінченної геометричної прогресії, сума о якої дорівнює 18, а знаменник дорівнює ^ . 258. Знайдіть четвертий член нескінченної геометричної прогресії, перший член якої дорівнює -54, а сума дорівнює -81. 259. Знайдіть суму нескінченної геометричної прогресії ( Ьп), якщо ЬА = 48, Z>6 =12. 260. Сума нескінченної геометричної прогресії дорівнює 162, а сума чотирьох її перших членів дорівнює 160. Знайдіть перший член і знаменник прогресії. 261. Запишіть у вигляді звичайного дробу число: 1)0,222...; 2) 6,(24); 3)0,6444...; 4) 5,1(6).
  • 75.
    Варіант З 75 ВаріантЗ Числові нерівності 1. Порівняйте числа т і п, якщо: 1 ) / я - я = - 2 ; 2) и - « = 0,8; 3 ) / я = и + 0,7; 4) п ~ т - 0 . 2. Точка М(т) розташована на координатній прямій лівіше від точ­ ки £(1). Яке з тверджень є правильним: 1) /я > 1; 2) т = 1; 3) т < 1; 4) числа т і 1 порівняти неможливо? 3. Доведіть, що при будь-якому значенні змінної правильна нерів­ ність: 1) (а - 6)(а + 4) < (о + 2)(а - 4); 2) (о - 4) 2 - 3 > (а - 6)(а - 2); 3) (За - 2)(2а + 4) - (2а - З)2 > 4(5« - 4) - 1 ; 4) а ( а - 2 ) > 6(а —3) . 4. Доведіть, що: 1) а 2 - 10а + 26 > 0 при всіх дійсних значеннях а; ■у 2) 6у - 9 у - 2 < 0 при всіх дійсних значеннях у; 2 3) х ' - 4.xу + 5;’ +2у +2 > 0 при всіх дійсних значеннях х і у; 4) х2 - 4х +у 2 + 2у + 5 > 0 при всіх дійсних значеннях х і у; 5) а3 —Ь1 > аЬ(Ь —а) , якщо а>Ь; 6) пі3 —2 т 2 + т —2 > 0 , якщо т > 2 ; а2 +3 - . 7) > 2 при всіх дшсних значеннях а; а 2 +2 8) 17>»~ —40ху + 25х - 4у + 4 > 0 при всіх дійсних значеннях х і у. 5. Доведіть, що: 1) (а + 2 6 ) ^ ^ + -і-j > 4 , якщо а > 0 і Ь> 0; 2) (а + 2)(Ь + 8)(с + 4) > 64Jäbc , якщо а > 0, b > 0, с > 0 . Властивості числових нерівностей. Оцінювання значення виразу 6. Дано: т >п. Порівняйте: 1) т + 3 і п + 3; 3) 2,3от і 2,3я; 5) —10т і - 7 0 я; 2) и - 4 і и - 4 ; 4) - я і - т ; 6) —y y i - j “ -.
  • 76.
    76 Тренувальні вправи 7.Дано: а>Ь. Порівняйте: 1 ) а +І Ї Ь; 2 ) а і 6 - 4 ; 3 ) а + 2 і Ь - 3 ; 4) а - 3 і Ь - 2 . 8 . Порівняйте а і 0, якщо: 1) З а > 6а ; 2) 3) - 2 а > 5 а ; 9. Чи є правильним твердження: 1)якщо а> 4 і 6 > 8, то а +Ь >12; 2) якщо а> 4 і 6 > 8, то а + Ь > 11; 3 )якщо а > 4 і Ь > 8, то а + 6 > ІЗ ; 4) якщо а > 4 і Ь > 8, то аЬ > 32; 5) якщо а > 4 і Ь > 8, то а - 6 > - 4 ; 6) якщо а > 4 і Ь> 8, то аЬ > 30; 7) якщо а > 4 і 6 > 8, то 2а + ЗЬ > 32; 8) якщо а > 4 і £><8, то а - Ь > - 4; 9) якщо д < 4 і Ь < 8, то аЬ < 32; 10) якщо 0 < а < 4 і 0 < Ь <8 , то аЬ <32; •у 11) якщо а> 4 , то я" > 16; 12) якщо а < 4 , то а" < 16; 13) якщо а > 4 , то ; 14)якщо а < 4 , то ^ ? 10. Дано: а <0 і Ь > 0. Порівняйте: 1) <зг—/»■і 0; 2) Ь - а і - Ь ; 3) З а -2Ь і Ь; 4) і у 11. Дано: - 3 < а < 2 . Оцініть значення виразу: 1) За; 3) а + 10; 5 ) - 5 а ; 7 ) 3 а - 1 ; 2 ) | ; 4) а - 2; 6) ~ | ; 8 ) 3 - 4 а . 12. Дано: - 5 < а < - 3 . Оцініть значення виразу ~ . 13. Дано: -1 < а < 2. Оцініть значення виразу ^ . 14. Відомо, що 3,14 < л <3,15. Оцініть значення виразу: 1)2я; 2) -Зтс; 3) 4 - я ; 4 ) ^ .
  • 77.
    Варіант З 77 15.Дано: 2 < а < 5 і 1< 6 < 3. Оцініть значення виразу: 1) а +Ь; 3) а 6; 5) З а + 26; 7) , ... А оч 0,4а-0,26 2) 6 - а ; ) а ’ 6) 4 а - 3 6 ; 8) ^ - ^ . 16. Оцініть периметр рівнобічної трапеції з основами а см і 6 см та бічною стороною ссм,якщ о 9 < а < 12, 10 < 6< 1 4, 2 < с < 4 . 17. Оцініть довжину кола і площу круга з радіусом гем, якщо З < г < 4 (число к округліть до десятих). Нерівності з однією змінною 18. Які з чисел - 3 ; ; 0; 4; 0,8 є розв’язками нерівності: 1 ) х > - 0 , 8 ; 3) Зле—1> 2х+3 ; 5 ) л / х > - 2; 2 ) х < 4 ; 4) х 2 <0; 6) І >1? 19. Яка множина розв’язків нерівності: 1) (х + 4)2 < 0; 3) (х + 4) 2 > 0 ; 5) 0 х < 4 ; 7 ) 0 х < - 4 ; 2) (х + 4)2 < 0 ; 4) (х + 4)2 > 0; 6) 0 х > 4 ; 8 ) 0 х > - 4 ? 20. Розв’яжіть нерівність: ^) “ 7— — 2 < 0 ; 5 ) ! ^ 2 < і - (х + 3)2 3 - х ~ 6 ’ б, 7 , ї ^ >0 ; ’ X+ 1 X+ 1 Розв’язування лінійних нерівностей з однієї змінною. Числові проміжки 21. Зобразіть на координатній прямій проміжок: 1)[-2;+оо); 2) ( - 2 ;+со); 3) (-оо; -2 ); 4 )(-^ ;-2 ]. 22. Зобразіть на координатній прямій і запишіть проміжок, що зада­ ється нерівністю: 1) х < 4 ; 2) х > - 3 ; 3 ) х < - 1 ; 4 ) х > 2 . 23. Знайдіть найменше ціле число, яке належить проміжку: 1) (-12,8;+оо); 2) [7; +оо).
  • 78.
    78 Тренувальні вправи 24.Розв’яжіть нерівність: 1) 2* > - 6 ; 5) 8,7* > 0 ; 2) - 5 * <20; 6) - 3* > 0; 3 ) - | * > - 4 ; 7 ) 2 | * > - ^ ; 9) 5* + 8 < 2 - 3 *; 10) 5 - 4 * > 3 * + 8; 11) 2 , 3 * - 0 ,8 < 1 -0 ,4 * ; 12) | * + 1 2 > ~ і * + 9. 4) — 0,2* < 2; 8) 3* +1 > 4 * - 6; 25. Розв’яжіть нерівність: 1) 9 — 7 (* + 3) > 5 — 6 * ; 2) 0 ,4 (6 -4 * ) < 0 ,5 (7 -3 * )-1 ,9 ; 4^6 У ) >ЗХ 11 2 ’ 4) 3*(* + 1 ) - 2 * (5 * + 3) < 7*(2 - * ) + 4; 5 * - 2 2*~1 . 4 - *7) 8) 8(*2 -1) - Зх(х + 2) > 5*2 - 6* - 5; 9) (4* + 5)2 + (3 - 2*)(8* +1) > 7 ; 10) *(* + 2 )(6 -х ) < 1 4 -* (* -2 )2 . 26. Знайдіть найменший цілий розв’язок нерівності: 1) 5 (* -4 )> * + 8 ; 2) 3,6 + 5у >7(1,2- у ) ; 3) 2*(3*—4) —3*(2* + 5) < 7 ; 4) (* + 7) 2 - (* - 2)2 > -1 5 . 27. Розв’яжіть нерівність: 1) 5 * - 2 > 3 ( 3 * - 1 ) - 4 * - 4 ; 2) 2(1,3* - 4) - 5(1 - 3,2*) > 3(6,2* - 4) -1 ; 3) (2* + З)2 - *(2* -1) > 2х(х + 6) + 1 0 + * ; 4) - 3*(* + 2) + (* + 2)(4 - *) < 9 - (2* + 1)2.
  • 79.
    Варіант З 79 28.При яких значеннях х має зміст вираз: 2) уіі- 4 х ; 4 ) 7 ^ 3 + - ^ - ; х - 1 1) л/5І^З ; 3) 29. Розв’яжіть рівняння: 1) | х - 4 | + л' = 3; 2) 14лг —3 1—х ==—1 ; 3) | д г+ 2 | - * = 3; 4) [х —5 1-ьл- = 7. ЗО. Побудуйте графік функції: ) у =х-5-, 2) у = |л' + 4 |- 3 ; 3) у = х + х - 1 . 31. При яких значеннях а не має коренів рівняння: 1) лг2 - 8 а'- З о = 0; 2) (а + 2)х2 -2 (о -4 )л - + о + 1= 0 ; 3) (о + ї)х2 —(2о + 5)х + а + 3 = 0 ; 4) л*2 -2 о х + 2а2 - 2 я + 1= 0 ? 32. При яких значеннях а можна розкласти на лінійні множники квадратний тричлен: 1 ) —2х2 - 3 х +а 3) 2х2 —За.т + 1; 2) ах2 - х + 2; 4) ( а - 2 ) х 2 - 2 а х + 27 33. При яких значеннях Ь має від’ємний корінь рівняння: 1) З х - 4 = 2*; 2)(/> + 1)х=7? 34. При яких значеннях Ь має єдиний від’ємний корінь рівняння: 36. У лісі ростуть дуби, берези і клени, кількості яких відносяться як 3 : 5 : 4 відповідно. Яка може бути найбільша кількість дубів, якщо всього дерев не більше 1000? 37. Сторони трикутника дорівнюють 9 см, 12 см і у см, де у — нату­ ральне число. Якого найбільшого значення може набувати у і 1) (Ь + А)х = Ь2 -1 6 ; 2) (ЗЬ2 + Щ х = Ь 1 35. Для кожного значення а розв’яжіть нерівність: 1 ) ( о - 1 ) х > 0 ; 4) (а- 1 ) 2.х< 0 ; 7) ( а - А ) х > а 2 -16;
  • 80.
    80 Тренувальні вирави 38.Сума трьох послідовних натуральних парних чисел не більша за 98. Знайдіть найбільше значення, якого може набувати друге число з цієї трійки чисел. Системи лінійних нерівностей з однією змінною 39. Серед чисел -3; 2,5; 6 укажіть розв’язки системи нерівностей: 1) 3) 4.Г-5 >2х + 1, 5* -1 > 3 - *; 4) 2 - 5 х > З, 3 - 2 х < 4 . * > -5 , 2) | 'т --3> 1-ї < 9; 1*5 5; 40. Зобразіть на координатній прямій проміжок: 1) (—2; 1); 2) [-2 ; 1]; 3) [-2; 1); 4) (-2 ; 1]. 41. Зобразіть на координатній прямій і запишіть проміжок задається нерівністю: 1) - 3 < * < 4 ; • 3) - 2 , 5 <* < 3 , 8 ; 4) -1,5 < * <2 , 3 . що 2) - | < * < 2 І ; 42. Запишіть усі цілі числа, які належать проміжку: 1) (2; 4]; 2) [-5,4;-0,2); 3) [-2,8; 2,7]; 4) (-2; 2). 43. Укажіть найбільше і найменше цілі числа, які належать проміжку: 1) (-7; 3]; 2) [3; 8). 44. Зобразіть на координатній прямій і запишіть перетин проміжків: 1) (0; 5) і [-2; 3); 2) [3; 6] і (3; 6); 3) (-со; 2) і [0; +со); 4) (-«з;-2,8) і [-2,8;+»); 5) [6 ; +оо) і (6 ; +»); 6)(3;+сс) і (3,1;+оо). 45. Зобразіть на координатній прямій і запишіть об’єднання проміжків: 1) [2; 3] і [3; 7] 2) [2; 3] і (3; 7] 3) [2; 3) і (3; 7] 46. Розв’яжіть систему нерівностей: 4) [-2,5; 5) і (-1; 5]; 5) Н о; 2] і (-4; 6); 6) (-со; 7) і (5; +»). 1) 2) —Зх > 9, 4* < 1; ї х - 3 > 2 (* - 6), * + 5 > 3*-11; 4) 5) (* + 1)(* + 2) - (* - 1)(х +1) < 4, (* + 6)(* - 2 ) > *(* + 2) -13; 3*+5 * + 1 4 * - 4 + 1> 2 2 - х > - т — 1; Г0,2(* —4) < 0,3* + 2, 1 І3(* + ! ) > * + 5; (З* + 1)2 - 4* > (3* - 1)(3* +1) + 6, 6) 1 3 * - 1 х - 4 < 4 - х . 4
  • 81.
    Варіант З 81 47.Знайдіть цілі розв’язки системи нерівностей: 1) 2) 5-х:—13 < 2х + 7, 4 - х > 6 -З х ; 4х + 1 7 > х - 4 , З.т+ 2 > 7 х + 18; Г7х+1 з) — + 3 > 4х, 4) [(х + 5)(х - 3) > (х —1)(х - 2) + 3; 7 х - 2 > х + 20, 6х- 1 <4х + 7. 48. Розв’яжіть систему нерівностей: 1) 3 ( х - 2 ) > 2(х-1) + х - 6 , 0,3(х -1) < 2(х +1,2) -1,4; 2) [2(3х + 1) < 6(х - 2) - 1, і 4 х - 5 З----- о— < їх. 5) 2 < ^ ^ < 3 ; 2 -5 х 6) 2,5 < < 4,5. 49. Розв’яжіть нерівність: 1) - 1 < х - 3 < 7 ; 2) - 2 , 4 < 4 х + 0 , 8 < 4 ; 3) 0,2 < 7 - 4х < 1,4; 4) 3 < | - 2 < 3 ; 50. Скільки цілих розв’язків має нерівність: 1) - 5 < Зх —2 ^ - 2 ; 2) - 9 < 6 х - 7 2 4 ? 51. При яких значеннях х значення функції у = х(1-л /2 ) належать проміжку [4 - 4лІ2; 3 - Зл/2] ? 52. Розв’яжіть систему нерівностей: х < 7 , Зх—5 >11, Г0,3 —2х > 1,5, 1) • х > 5, 2) • 4 - 5х < -2, 3) < 3, 5х- 4< 10, х < 6,3; З х - 2 > 5; [2,6х + 7 < 1,1х4-1 53. При яких значеннях змінної має зміст вираз: 1) у і 5 х - П + у і 2 х - 1 ; 2) VЗх + 5 н— ї " ; л/8 —5х 54. Розв’яжіть нерівність: 1) (х + 6 )(х -4 ) < 0 ; 2) (х + 3)(х + 10)> 0 ; ,чх —6 Л 3) і з і 2 <°; 3) л/Зх- 8 + л /Г -х ; 4) 5 2 >/1 2 -1 їх х2 +; .. 5 х - 2 4>Т Р Т Т >0; 5 ) ^ < 0 ; 6) ^ * 0 . х —14
  • 82.
    82 Тренувальні вправи 55.Розв’яжіть нерівність: 1 ) М < 5 ; 3 ) | 5 х - 4 | < 3 ; 2) | х + 11<3,1; 4) 118—7х |< 4. 56. Розв’яжіть нерівність: 1) | х |> 2 ; 3) 10,6х + 3|> 2; 2) |х + 3|>4,3; 4) 113 —5 х | > 9. 57. Розв’яжіть рівняння: 1) |х + 1 И х ~ 4 | = 6 ; 3) | х - 1 | - | х - 7 | = 8 ; 2) |лґ + 2[ + | х - 5 | = 7; 4) |З х -+•11- 1х- 4 } = 2 х - 3. 58. Розв’яжіть нерівність: 1) |х + 4 | + 2 х ^ 7; 4 ) | х + 4| + | х - 2 | > 6 ; 2) і х -31 - 2 х < 9; 5) |х + 3 ,5 |- | х -2 ,5 1 < 5 ; 3) |х + 5| + | х - 3 | < 8 ; 6) |4х + 3 ] - | х - 2 | > 3 . 59. Для кожного значення а розв’яжіть систему нерівностей: 1) ( Х > 5 ’ 2) | Х < " 1’ [х < а ; [ х < - а . 60. При яких значеннях а обидва корені рівняння х 2 - (а + 1)х - - 2а2 - а = 0 менші від числа 5? При яких значеннях а обидва к + 2а - 1 = 0 належать проміжку [3; 10]? 2 2 61. При яких значеннях а обидва корені рівняння х - 4ах + За + 62. При яких значеннях а один з коренів рівняння Зх2 - (1а + 2)х + + 2о* + 4а = 0 менший від 0, а другий — більший за 1? Функція 1 ■} 63. Функцію задано формулою / ( х ) = ~х~ - 4 х . Знайдіть: 1 ) /( - 3 ) ; 2) /( 0 ) ; 3 ) / ( 3 ) ; 4) 64. Дано функції / ( х ) = х - ^ і я(х) = 2х +1. Порівняйте: і) /(1 ) і * Н ) ; 2) / ( 2) і £ (0 ); 3) / ( - 2) і я 0) •
  • 83.
    Варіант З 83 65.Дано функцію / « = - 2, якщо х < - 1, у х - 3 , якщо - 1 < х < 2, 2х - 3, якщо х > 2, Знайдіть: 1) /(-1,001); 2) / ( - 1); 3) /( 0 ) ; 4) /(3 ). 66. Знайдіть область визначення функції: 1) /( х ) = Зх + 5 ; . 2х +1 7) /(■*■)=—5— ; х2 - 6 2) / ( х ) ^ - 78 ; 8) /(* ) = - - ; х +9 3) / ( * ) = £ г г ; 5г 4-Д 9) /( х ) = _ ^ ± . ; 4х - х 4) /(* ) = 2х - 1 ’ 10> / « = = і х ! - 2 ; 5) /( х ) = л / 5 - х ; 1І> / « = | х [ + 4 = 5) /(Х) = ^ 2 ; 12) / ( х ) = —2~ ■ X —ІXІ 13) /(Х ) = л / 7 ^ ї - у 1 б ^ 14) / ( Х) = ^ Т 2 + ^ Ї 15) / ( х) = 7 5 ^ - л/х^ 5 16) /( х ) = Т ^ 5 - - Л - у 4 - х і?) / (х )= 7 ІТ з + 4 ^ ; х - 9 ^ З х - 1 18) Д х ) = - 7 ^ + 4 ^ 2 - ^ - 6 67. При якому значенні х значення функції g(x) - х2 + 2 х +1 1) 2 ; 2) 3; 3) - 2 ? 68. Знайдіть область значень функції: 1) /(х ) = л /І+ 2 ; 2) /( х ) = л / х - 3 ; 3) /( х ) = 4 —х ; 4 ) / ( х ) = х2 +1; дорівнює:
  • 84.
    84 Тренувальні вправи 5)/( х ) = | х | - 1; 8) /(х ) = л /х ^ 8 -л /8 ^ х ; 6) /( * ) = л/х2 + 9 - 1 ; 9) = ^ 9 ~ х 2 5 7) / ( * ) = ^ -| * + 1 | ; 10) / ( * ) = — і— . * +3 69. На рисунку 9 зображено графік функції у = / ( х ) , визначеної на проміжку [-5; 4]. Користуючись графіком, знайдіть: 1) /( - 4 ) ; /(-3 ,5 ); /(-1 ); /(2 ); /(3 ); /(4 ); 2) значення х, при яких /( х ) = - 2 ; /( х ) = - 1; /(х ) = 1; /(х ) = 0 ; 3) найбільше і найменше значення функції; Рис. 9 70. Функцію задано формулою /( х ) = - х 2 + 3, де - 4 < х < 2. 1) Складіть таблицю значень функції з кроком 1. 2) Побудуйте графік функції, користуючись складеною таблицею. 3) Користуючись графіком, знайдіть, при яких значеннях аргу­ менту / ( х ) > 0 . 71. Побудуйте графік функції: 1) /( * ) = Зх+ 2 ; 3) f ( x ) = —А х ; 5) /( х ) = Ц -; 2) /(х ) = 3 - х ; 4) Д х ) = -3 ; 6) /( х ) =- § .
  • 85.
    Варіант З 85 72.Знайдіть область визначення і побудуйте графік функції: і) т - х 2 - 9 х + 3 2) /( * ) = х —2х + 1 х - ї 2х + 6 3 ) /( х ) = - 2 , , X і + 3х х2 - 4 4) / ( * ) = —5 • х - 4 73. Побудуйте графік функції: 1) /( * ) = 2) / ( * Н 4 » якщо х < —2, ^ - 1 , якщо - 2 < х < 4 , у , якщо х > 4 ; 1 -х , якщо х < -3 , х - 1, якщо -3 < х .< 2 , - 1, якщо х > 2 . 74. Знайдіть, не виконуючи побудови, точки перетину з осями коор­ динат графіка функції: 1) Л * ) = ! * - 3 ; 2) #(х) = 5 ' З х -1 ~х + 2 ’ 3) й(х) = х - 9 ; 4) ф(х) = х 2 - 3 * + 2 ; 5) / (х) = Зх2 - 7х + 4 ; х 2 - 5 6) £(*) = - у — . х^ + 1 75. Задайте формулою лінійну функцію / ( х ) = кх + Ь, для якої - _ 2
  • 86.
    86 Тренувальні вправи Властивостіфункції 76. На рисунку 10 зображено графік функції у = / (х). Користуючись графіком, знайдіть: 1) нулі функції; 2) проміжки зростання і проміжки спадання функції; 3) множину розв’язків нерівності /( х ) > 0 . «) Рис. 10 77. Знайдіть нулі функції: 1) /(х ) = 0,4х + 2 ; 2) /( х ) = 4х2 -5 х + 1 ; 3) /( х ) = Л* + 4 ; х2 -З х + 2 І б) 5) У (х) = л/і 6 —х2 ; 6) / (х) = >/х2 +3 ; 7) /(х) = (х+1)л/х . 4) /( х ) = - х —1
  • 87.
    Варіант 3_________________________________________________________87_ 78. Якіз лінійних функцій >' = 8* - 2 0 ; у = 0,03.x + 5; у = 4,02х; _у= -1 8 3 х -1 ; 7 = х + 5: 1) зростаючі; 2 ) спадні? Парні і непарні функції 79. Відомо, що / ( 6) = 10. Знайдіть / ( - 6), якщо функція/ 1) парна; 2) непарна. 80. Чи е функція /( х ) = |х | парною, якщо її областю визначення є множина: 1) С-9; 9]; 2) ( - 8; - 1]ІД і;8); 3) [-4; 4); 4) [8; + ») ? 81. Чи £ парною або непарною функція, задана формулою: 1) /(* ) = -5 х 8 ; 7) /(х ) = (х - 8)(х + 6) + 2 х ; 2) /( х ) = 4х5 + 2х2 ; 8) /(х ) = (х + 4)2 - (х - 4)2 ; 3 ) / ( * ) = - / - ; 9) / ( х ) = ^ — х -1 6 2х + 16 4) Л х) = 7 3 - |х І ; Ю )/(х ) = і |і ; 5) Д х ) = х 1 - 3 х 5 +х-, ! ! ) / ( * ) = „2 X (х + 1)2 6) / М = ^ ~ Т Т ’ 12) /(* ) = —з~— - ? х +4х х - 4х 82. На рисунку 11 зображено частину графіка функції у - £(х), ви­ значеної на проміжку [-5; 5]. Побудуйте графік цієї функції, якщо вона є: 1) парною; 2) непарною. уп — ь -1__ "І У 0 1 т — ►X *** Рис. 11
  • 88.
    88 Тренувальні вправи Перетворенняграфіків функцій 83. Побудуйте графік функції: 1) у = - х 2 2 ) у = - ± х 2-, 3 ) у = 4х2 ; 4 ) у = 0,4х2 . 84. На рисунку 12 зображено графік функції у = /( х ) . Побудуйте графік функції: 3) V= / (х + 1) ; 5) у = - / ( х ) ; 4 ) у = /{ х - 2 ) - , 6) у = - 1 - / ( х ) . 0 у = /( * ) + 3 ; 2) у = Я х ) - ; 1 У >1 1 і і / 4 / V / ■2 0 .X ц - ь - і І І - - - А 3 VЧ 0 1 2 4 — ► А" б) Рис. 12 85. Побудуйте графік функції: 1) у = х2 ; 2) у = х2 - І; 3) у = х 2 + 3; 4) у = - х 2 - 2 ; 5) у = 1 - х ; 6) у = (х + 2)2; 7) У = ( х - 3 ) 2 ; 8) >’ = ( х -1 ) + 1 ; 9) у = (х —2)2 - 2; Ю) у = —(х + 2)2 + 1 .
  • 89.
    Варіант З 89 86.Побудуйте графік функції: 1) )■= ! £ ; 3 ) , = І 2 + 3; 5) ? - ■ £ ; і) у - ~ - , 2 ) У = % ~ 2 ; 4 8) ^ = ^ - 87. Побудуйте графік функції: 1 )у = 7 7 ; 4) у = 4 х + 2 ; 1 ) у = + 4 х + ї; 2) у = у[х + 1 5) у = - 4 х ; 8) у = 3 - 4 7 -2 . . 3) у = 4 х - 2 ; 6) у = - 1 - 7 7 ; Квадратична функція, її графік і властивості 88. Визначте напрям віток і координати вершини параболи: 1) у = х 2 - 2 .т -3 ; 3) у = 0,4л:2 + 0,4,т-0,12; 2) у = - х 2 - 2х + 3; 4) у = -2-ї2 - 8х + 5 . 89. Побудуйте графік функції: 1) у = х 2 - 5 х + 6 ; 5 ) у = 2х + х 2 ; 2) у = - х 2 + 4* - 3 ; 6)у = 9 - х 2 ; 3) у = ± х 2 - 2 х + 3; 7) у = -0 ,5 х 2 + 2х + 2; 4) .у = 2„ї2 - 4х + 2 ; 8) у = .V2 - 6л:+ 4. 90. Побудуйте графік функції / { х ) - х г + 2 х - 3 . Користуючись гра­ фіком, знайдіть: 1) /( - 2 ) ; /(0 ); /(0,5); 2) значення х, при яких /( * ) = - 4 ; /(.*) = - 5 ; /(л -) = 5; 3) найбільше і найменше значення функції; 4) область значень функції; 5) проміжок зростання і проміжок спадання функції; 6) множину розв’язків нерівності / ( х ) > 0 ; / ( х ) < 0 . 91. Побудуйте графік функції /( * ) = 4л :-2*2. Користуючись графі­ ком, знайдіть: і) / ( —і); /( і) ; / Щ ; 2) значеннях, при яких /(лс) = 2; / ( х ) = 3; / ( х ) = - 6 ; 3) найбільше і найменше значення функції;
  • 90.
    90 Тренувальні вправи 4)область значень функції; 5) проміжок зростання і проміжок спадання функції; 5) множину розв’язків нерівності /( х ) < 0; / (х) > 0. О 92. Побудуйте в одній системі координат графіки функцій у = ^ і у = х 2 + х - 2. Знайдіть, користуючись одержаним рисунком, ко- С рені рівняння х + х - 2 = ^ . 1'У 93. Побудуйте в одній системі координат графіки функцій у = ~ і у = ~х2 -З х + 4 . Установіть, користуючись одержаним рисунком, 2 1'У кількість коренів рівняння - х - Зх + 4 = - у . 94. Нехай Б — дискримінант квадратного тричлена ах2 +Ьх + с. Зо- бразіть схематично графік квадратичної функції у = ах +Ьх + с, якщо: 1) а> 0 , с = 0 , - ^ > 0 ; 2) а> 0, £>= 0, - ^ < 0 ; 3) а < 0 , £><0 , - ^ - > 0 . 95. Знайдіть область значень та проміжки зростання і спадання функції: 1) /( х ) = 3х2 - 6 х + 1; 3) /(х ) = 9 - 1 8 * - 0,6х2 ; 2) /( х ) = - ї х 2 + 2х + 10; 4) /(* ) = 1їх2 - Зх . О 96. При яких значеннях р і q графік функції у = х~ + рх + д прохо­ дить через точки С ( —1; —10) і і) (2; 5)? •у 97. При яких значеннях а і Ь парабола у = ах + Ьх + 2 проходить через точки М (3 ;-1 ) і К ( - в 26)? 98. Графік квадратичної функції — парабола з вершиною в початку координат, яка проходить через точку (6; - 3). Задайте цю функ­ цію формулою. 99. Графік квадратичної функції — парабола з вершиною в точці С(0; 4), яка проходить через точку £>(-5; -46). Задайте цю функ­ цію формулою.
  • 91.
    Варіант З 91 100.При яких значеннях р і д вершина параболи у = х 2 + рх + д зна­ ходиться в точці ( - 6 ; -43)? 101. Парабола у = ах2 +Ьх + с має вершину в точці Е(4; 3) і проходить через точку F(2; 1). Знайдіть значення коефіцієнтів а, Ь і с. 102. Побудуйте графік функції у = - * 2 - * + 6 при * є [-2; 3] і знай­ діть, користуючись графіком, її область значень. 103. Знайдіть найменше значення функції у = 4 х2 + 8 * -7 на про­ міжку: 1) [-3; 4]; 2) [-4 ;-2 ]; 3) [-0,5; 3]. 104. При якому значенні с найменше значення функції у = ^-*2 - - 2 * + с дорівнює 5? 105. На параболі у = х 2 - 2х - 6 знайдіть точку, у якої: 1) абсциса і ордината — протилежні числа; 2) різниця абсциси і ординати дорівнює -4 . 106. Побудуйте графік функції: 3 - х , якщо х < -1, 1) /( * ) = х1 - ї х + 1, якщо - 1 < X < 3, 4, якщо * > 3 ; З* - 4, якщо х < 2, 2) /( * ) = • 9 - * 2, якщо 2 < дг<4, х, якщо х > 4. 107. Побудуйте графік функції: . о~ л ~3 у = * - х - і у 3) У = х +8;с|7 із |''9;* 2) _у= л:2 + 2 1д:| —8 ; 4 ) у = *2 + 3 |* - 1 |- * + 3. 108. При яких значеннях а функція у = 3х2 - 2х + а набуває додат­ них значень при всіх дійсних значеннях х? 109. При яких значеннях а функція у = (а+ 5)х2 ~ 4 х + 2 набуває від’ємних значень при всіх дійсних значеннях*? 110. При яких значеннях а функція у = ( а - 1 )* 2 + 10* +1 набуває не­ від’ємних значень при всіх дійсних значеннях*?
  • 92.
    92 Тренувальні вправи 111.При якому значенні а графік квадратичної функції у = ах2 + + ( а - 4)х-4 ,5 має з віссю абсцис одну спільну точку? 112. Нехай х, і х2 — нулі функції у = 1хг - ( 6 я - 5 ) х + 2я + 3. При яких значеннях а виконується нерівність ^ < -1 < х2 ? Розв’язування квадратних нерівностей 113. Розв’яжіть нерівність: 1) х2 - 4 х - 9 6 > 0 ; 9) х2 - 1 6х + 64 > 0; 2) х2 + З х - 2 8 < 0 ; 10) З* 2 + 2 х + 4 > 0; 3) - х 2 + 2,8.г + 0 ,6 < 0 ; 11) 4х2 - 4 х + 1< 0 ; 4) 9х2 + 3 їх - 20 > 0 ; 12) 4х2 -6 0 х + 2 2 5 < 0 ; 5) —Зл:2 + 7х + 6 < 0 ; 13) 2х2 + х + 3 < 0; 6) Здг2 + 1 8 > 0 ; 14) 10х2 - З х - 4 > 0 ; 7) 25х2 - 1 6 < 0 ; 15) - х 2 - 6 х - 9 < 0 . 8) 49х2 +14х + 1 > 0 ; 114. Розв’яжіть нерівність: 1) х2 < 25; 3) 4х2 < 9 х ; 5 ) - 4 х 2 > - 6 4 ; 2) х2 > 13; 4)- бх2 > —24х; 6) - 0,6х2 < 2 4 х . 115. Знайдіть множину розв’язків нерівності: 1) (2х + 1 )(х -4 )< 5 ; 3) Зх(х + 7 з ) < ( х - л/3)2 - 9 ; ... , . 2 -,ч2 „ч Х2- 9 Х + 1 . Х - 5 2) (х —4) + 12 ^ (З х -2 ) ; 4) ^ 4 2 ’ СЛ х2+х 3 - х 2х2+5 0 5) — 8 3 < 5 ’ 6) (2х + З) 2 - (х + б)2 + (6х - 5)(6х + 5) < 26 . 116. Знайдіть область визначення функції: 1 ) 7 = л/х2 + 7 х - 1 8 ; 3) у = ^ ї х 1 - 5х + 2 + 8 х2 - 9 З х -7 ,, х + 14 х~14 2) у = -= = = = = = ; 4) у = ■ Ь х + 10х2 ’ > /і2 -1 7 х -7 х 2 Зх2 + 5 х -2
  • 93.
    Варіант З 93 117.Знайдіть цілі розв’язки нерівності: 1) jc2 - 7 х < 0; 4) 12х2 -13.х + 3 < 0 ; 2) * 2 - 20 < 0 ; 5) - І * 2 + х + 2 4 > 0 ; 3) - 8x2 +ЗЗ.Х + 6 > 0 ; 6) *2 - 4 ,6 * - 2 < 0 . 118. Розв’яжіть систему нерівностей: fjc2 + .т - 1 2 < 0, 4) L 2 + * - 2 0 ^ 0 , х > 2 ; | 2х + 1 0 < 0 ; Г5дг2 —16л+ 3 > 0, м І* 2 - 2х - 80 < 0, U < 7 ; [ ї 2 -2 л '-2 4 > 0; JlOx2 -9д- + 2 < 0 , І2л-2 + 1 Ь г-6 < 0 , [14 —2л- < 0; [jr2 + 8лг< 0. 119. Знайдіть цілі розв’язки системи нерівностей: j4 х2 + 3 л '-1 8 <0, Гjc2 + 4дг—32< 0, х > -2 ; [- 8,5 < jc < 0,3; 2 /4лг2 - 6 х < 0, [* 2 +(л/б —4)*-4л/б < 0, [0 ,8л:- 0,2 > 0 ; я*2 + 0,5лг+ 5 > 0 . 120. Знайдіть, при яких значеннях а не має коренів рівняння: 1) х 2 - ( а + 5)лг+ 9 = 0 ; 3) (6а-12)л:2 -(6 о -1 2 )* + 5 = 0; 2) (а - 2).т2 + 5ах —За = 0; 4) (а - 3)х2 - 2(а + 2)х + 2а - 6,5 = 0. 121. При яких значеннях b має два дійсні різні корені рівняння: 1) х 2 -3bx + 2b +5 = 0; 3) (b + 2)х2 +(ЗЬ + 1 ) х - Ь - = 0; 2) Ьх2 + (7Ь + 2)л- + Ь = 0; 4) (2Ь + )х2 -(4Ь + 8)л + ЗЬ = 0? 122. Знайдіть, при яких значеннях а виконується при всіх дійсних значеннях х нерівність: 1) л:2 - 2(а - 6).ї - 2а2 - 2а + 33 > 0 ; 2) —^ х 2 - 4 а х -1 8 о 2 - 2 4 < 0 ; 3) ах2 + 6х + За —6 < 0; 4) (а2 —1)л:2 + 2(1 -а)л ‘+ 2 > 0.
  • 94.
    94 Тренувальні вправи 123.Знайдіть, при яких значеннях т не мас розв’язків нерівність: 1) тх2 - 8mx + 3/w+ 7 > 0; 2) (2т + 1)х2 + 2{т + 2)х + т + 5,6 < 0. 124. Для кожного значення а розв’яжіть систему нерівностей: ^ fx2 + 5 x - 6 > 0 , 2) Jx2 - 8 x - 9 < 0 , [х < о ; |х > а . 125. Для кожного значення а розв’яжіть нерівність: 1) х 1 - ( а - 4 ) х - 4 я > 0 ; 2) х2 + (2 - 5а)х + 6а2 - Зо - 3 < 0. 126. Розв’яжіть нерівність: 1) |а-2 + 2 .ї- 4 |< 4 ; 4) х2 + 9 |х |< 1 0 ; 2) Іх2 - 6х І> 7 ; 5) х 2 - 4 х + 6 >х + 2; 3) Іх + ЗІ (х - 6) > 4 х ; 6) х2 - 3 |х - 3 | + 8 < 5 |х + 2 |. 127. При яких значеннях Ь один з коренів рівняння х А+(Ь +У)х + + b2 - 1 = 0 більший за - 2 , а другий — менший від - 2? 128. При яких значеннях т один з коренів квадратного рівняння ( т ~ 2 ) х 2 + (от2 +4ш )х + 5/и-11 = 0 більший за 3, а другий — менший від З? 129. При яких значеннях а один з коренів рівняння х2 - (2а + 3)х + 6а2 = 0 менший від 2 , а другий — більший за З? — 2 2 130. При яких значеннях а корені рівняння х -1 0 ах + 2 5 а - - 4 д - 5 = 0 більші, ніж 2? 131. При яких значеннях а корені рівняння х2 + 4(а - 2)х + 6я -1 2 = 0 менші, ніж -1 ? 132. При яких значеннях о корені рівняння х 2 -2 (я -1 )х + 2 а + 1= 0 належать проміжку (-4; 4)? Розв’язування нерівностей методом інтервалів 133. Розв’яжіть нерівність: 1) (х —4,6)(х + 5 )< 0 ; 2) (х + 12)(х-4)(х —20) > 0 ;
  • 95.
    Варіант З 95 3)(3* + 5)(2х - 7)(х - 6) < 0; 4) (7 + х)(х —2)(5 —х) > 0; 5) (х + 7,2)(3 - х)(6 - х) < 0; 6) (6х + 18)(4 -16дг)(7д: - 2 1)(5 - 2х) > 0. 134. Розв’яжіть нерівність: 135. Знайдіть множину розв’язків нерівності: 136. Розв’яжіть нерівність: 1) (х2 +9)(х2 - Зх - 4) < 0; 2) (х + 9) 2 (х2 - Зх - 4) < 0; 3) (х + 9)2 (х2 - З х - 4 ) < 0 ; 4) (х + 9)2(х2 - З х - 4 ) > 0; 5) (х + 9)2(х2 - З х - 4 ) > 0 ; 6) (х - 2) 2 (х2 - 4х + 3) > 0 ; 7) ( х - 2 ) 2(х2 - 4 х + 3 )> 0 ; 8) ( х - 2 ) 2 (х2 - 4 х + 3) < 0; 9) (х - 2)2 (х2 - 4х + 3) :<0; 10) (х + 2)2( х -3 ) 4 ( х - 4 ) 3 > 0 ; 11) (х + 2) 2 (х - З)4 (х - 4) 3 > 0; 1) (х -10х)(х -4 9 ) > 0; 2) (х -1 Ох + 9)(х + 4х) < 0 ; 4)
  • 96.
    96 Тренувальні вправи 12)(х + 2) 2 (х - З)3(х —4) 4 (х - б) 5 < 0 ; 13) (х2 +2х —3)(х2 + Зх + 6) < 0; 14) (х2 + 2 х -1 0 )(4 х -х 2 -5 ) > 0. 137. Розв’яжіть нерівність: 1) > 0 ; х“ -ІО .ї + 25 х + 4х - 5 2 ) ..£ 2--~-.3А г Н - > о ; 7 ) £ ± .4 5 ІГ .1 < о ; х -10х + 25 .т + 4 х -5 3) - ^ ~ 3а'~18 <0; 8) Х.-..±-4-Л'-+-1<0; х -10х + 25 х + 4 х -5 4) ——~3"т ~ 1^ < 0; 9) 1 І ^ £ ± Ь 0 ; х 2 -1 0 х + 25 | х - 8 | 5 ) 4 ± і £ ± 1 >0; 10) І * * 11 >о. х + 4 х -5 х + 4х —12 138. Знайдіть множину розв’язків нерівності: 1 ) 4 ^ 2 0 ; 2) 0. х -2 5 х - 8х + 15 139. Розв’яжіть нерівність: х - 4 Зх + 8 х 2 + 8х _ 20 х - 5 х - 5 х + 6 х + 6 2) Т ~ Т - 1 > 4) ^ , - 1 6 . З х -4 х - 3 140. Для кожного значення а розв’яжіть нерівність: 1) (х + 6)(х - а) > 0 ; 5) (х - о ) ( х - 1 ) 2 < 0 ; і х + 5 2) (х + 6 )(х -я ) < 0 ; 6 ) І з ^ > 0 ; 3) (л+ 6)(х-я)2 <0; 7 ) к і Ш р 1 < 0 ; 4 ) ( , - « ) ( , - . ) 2 < 0 ; 8 ) < £ 1 | ї і ^ г 0 .
  • 97.
    Варіант З 97 Графікрівняння з двома змінними 141. Побудуйте графік рівняння: 1) V= З х -4 ; 6) х2 + у 2 =16; 11) | х | = 5 ; 2) 3* + 4>>-12 = 0; 7)(х + 1) 2 + ( у - 3 ) 2 = 25 ; 12) у = 2; 3 )5 у + х = 0 ; 8) х 2 +(у + 2 )2 = 8 ; 13) *у = - 8 ; 4) * + 3 = 0; 9 ) у = х 2 +4х; 14) |л у | = 4 ; 5) у - 6 = 0; 10) х2 - - 2х - 3 = 0; 15) >■= | х + 2 1. 142. Побудуйте графік рівняння: 1) х - - у 2 ; 7) (* + 4)2 + (у - 4)2 = 0; 2) | х - у | = 2; 8) х 2 + у 1 - 2х + 4у + 5 = 0 ; 3) | Зх + у | = 2; 9) х 2 + 4х + у 2 - 6у - 3 = 0; 4) -V2 - 9у2 = 0 ; Ю) Іх | + 1>>| = 7; 5) 16х2 - у 2 = 0 ; 11) 3 | х | - 2 | у | = 5; 6) 5*2 + 8у2 = 0; 2 ) у = у [ зб ^ х 2 . Системи рівнянь з двома змінними 143. Розв’яжіть графічно систему рівнянь: 1 ) [ у = х 2 + 2 х - 2 , 4) / (х —3) 2 + (у + 1) 2 =13, |у = 2 - х ; [* -> --5 = 0; 2 ) іх2 + у = 5, 5ч Іху = 6, } х - у = 7; X2 -н_у2 = 10, , ]х 2 +>’2 = 20, 3) 6) , [У = х - 2; [ху = - 144. Установіть графічно кількість розв’язків системи рівнянь: 3) х 2 + У * = 25> 5)7 = ~л/7, ^ х 2 + у 2 =25, / * 2 + ( > - 2 ) 2 =16, ,у = х+1; ' |у.= х2 + 5; 1 у » 2х2 - 2 ; у = Зх2 -1, Г*у = - 8, (у = -х, >>= 1—4х2; [7 = 4 - 0 ,Зл-2; ' [у = х 2 + 4 * -1 .
  • 98.
    98 Тренувальні вправи 145.Розв’яжіть систему рівнянь: 1) 2) 3) х - 5 - у , у 2 + 4ху = 33; 4)Іу 2 - ху + х = 2, [5у + х = 12; х + у = 8, ду = - 2 0 ; ч [4 х -3 у = 4, |5у2 -16х = 16; у - 7 х = 3, у 2 - бху - х2 = -9 ; 6) , |4у + х = 2 , [(х -4 )(у + 3) = 4. 146. Не виконуючи побудови, знайдіть координати точок перетину: 1) прямої у = Зх -1 і параболи у = х 2 - 2х + 3; 2) прямої 2х + у + 9 = 0 і кола (х + 2)2 + у 2 = 10; 3) парабол у = 2 х " - 8*+ 10 і у = 1+ 4 х -2 х 4) прямої у = - х +1 і кола х 2 + (у + З)2 = 8 . 2. х 1 + у 2 + 2 ху = 100, 147. Розв’яжіть систему рівнянь: 1) 2) 3) у —х = 6 ; [х2 + 4ху + 4у 2 = 1, [2.x2 - 3 ху + у 2 = 6 ; [ху + х2 =30, [ху + у 2 = -5 ; 148. Розв’яжіть систему рівнянь: 1) 2) (4х2 —у 2 = 32, 1*У = 6 ; [х + у + ху = -19, іду(х + у) = - 2 0 ; 3) № - У * = 98, х - у = 2-, 4) 5) 6) 5) 6) [2>’2 - Зх2 = 1, [Зх2 + 2у2 =19; 2ху - х = 9, 2ху + Ьу = 22; х 2 + 16у2 =73, ху = - 6 . .і 2_ 2х+5у Зх-Ю у = 4, 2 і____ 2_____ 7 • Іх + 5 у Зх-Ю у ~ ’ х+Зу 6(2дг- у ) - 2 х -у х+Зу ’ х2 - х у - у 2 = 1. 4) [ У х _ 16 х у “ ТУ [4 у -5 х = 15;
  • 99.
    Варіант З 99 150.Скільки розв’язків залежно від значення а має система рівнянь: Розв’язування задач за допомогою систем рівнянь другого степеня 151. Сума двох цілих чисел дорівнює 3, а різниця чисел, обернених до 152. Якщо деяке двоцифрове число поділити на суму його цифр, то неповна частка дорівнюватиме 4, а остача — 6 . Якщо поділити це число на добуток його цифр, то неповна частка дорівнюватиме 1, а остача — 22. Знайдіть дане число. 153. Площа прямокутника дорівнює 108 дм2, а діагональ — 15 дм. Знайдіть сторони прямокутника. 154. Площа прямокутника дорівнює 180 см2. Якщо одну його сторону зменшити на 3 см, а другу — на 6 см, то одержимо прямокутник, площа якого дорівнює 72 см2. Знайдіть початкові розміри прямо­ кутника. 155.3 двох станцій, відстань між якими дорівнює 450 км, вирушили одночасно назустріч один одному два поїзди і зустрілися через 5 год. Знайдіть швидкість кожного поїзда, якщо один з них витра­ тив на шлях між станціями на 2 год 15 хв більше, ніж другий. 156. Із станції М на станцію N, відстань між якими дорівнює 240 км, вирушили одночасно два поїзди. Один з них прибув на станцію N на 48 хв пізніше за другого. Знайдіть швидкість кожного поїзда, якщо відомо, що перший поїзд за 2 год проїжджає на 40 км біль­ ше, ніж другий за одну годину. 157. Човен проходить 54 км за течією річки і 48 км у стоячій воді за 6 год. Щоб пройти 64 км у стоячій воді, човну потрібно на 2 год більше, ніж на проходження 36 км за течією тієї ж річки. Знайдіть власну швидкість човна і швидкість течії. 158.3 двох селищ А і В, відстань між якими дорівнює 108 км, вирушили назустріч один одному два велосипедисти і зустрілись у селищі С, відстань від якого до А становить ~ відстані між А 1 даних, дорівнює . Знайдіть ці числа.
  • 100.
    ІОО Тренувальні вправи іВ, причому перший велосипедист виїхав з В на 1 год 48 хв ра­ ніше, ніж другий велосипедист виїхав з А. Якби велосипедисти виїхали одночасно, то вони б зустрілися через 4 год. Знайдіть швидкість руху кожного велосипедиста. 159. Два екскаватори, працюючи одночасно, можуть викопати котло­ ван за 6 год 40 хв. Якщо ж спочатку один екскаватор викопає самостійно 4 котловану, а потім другий — решту, то вся робота буде виконана за 12 год. За скільки годин може викопати цей котлован кожний екскаватор, працюючи самостійно? 160. Якщо одночасно відкрити дві труби, через одну з яких у басейн буде наливатися вода, а через другу виливатися, то басейн напов­ ниться за 36 год. Якщо 6 год наповнювати басейн через першу трубу, а потім відкрити другу трубу, через яку вода виливається, то басейн наповниться через 18 год після відкриття другої труби. За скільки годин через першу трубу можна наповнити басейн? За скільки годин через другу трубу можна спорожнити басейн? 161. Із села на станцію, відстань до якої дорівнює 24 км, вирушив пішохід зі швидкістю 3 км/год. Через 2 год із села в тому самому напрямі вирушив другий пішохід, який наздогнав першого, передав йому лист і пішов назад у село з тією самою швидкістю. Перший пішохід прийшов на станцію, а другий повернувся в село одночасно. Знайдіть швидкість руху другого пішохода. 162. З двох станцій, відстань між якими дорівнює 270 км, вирушили одночасно назустріч один одному два поїзди. Один з них прибув на другу станцію через 2 год 24 хв після зустрічі, а інший на пер­ шу станцію — через 3 год 45 хв після зустрічі. Знайдіть, з якою швидкістю рухався кожний поїзд і через скільки часу після почат­ ку руху відбулася їх зустріч. 163. Одночасно від одного причалу в одному напрямі відпливли пліт зі швидкістю 3 км/год і човен зі швидкістю 24 км/год. Через 3 год від цього причалу в тому самому напрямі відплив катер. Знайдіть швидкість руху катера, якщо він наздогнав човен через 11 год 40 хв після того, як наздогнав пліт. 164. По колу рухаються в одному напрямі дві точки. Одна з них ви­ конує повний оберт на 3 с довше за другу, а час між їх послідов­ ними зустрічами дорівнює 6 с. За який час кожна точка виконує один повний оберт?
  • 101.
    Варіант З 101 Математичне моделювання 165. Розв’яжіть задачу, побудувавши її математичну модель. 1)Для фарбування 15 верстатів потрібно 18 кг фарби. Скільки фарби потрібно для фарбування 25 таких самих верстатів? 2) Відстань між містами А і В на місцевості дорівнює 390 км, а на карті — 6,5 см. Яка відстань між містами С і £> на цій карті, якщо на місцевості відстань між ними дорівнює 480 км? 3) 3 двох станцій, відстань між якими дорівнює 32 км, одночасно в одному напрямі вирушили два поїзди. Позаду йшов поїзд зі швидкістю 62 км/год, який через 4 год після початку руху наздогнав другий поїзд. З якою швидкістю рухався другий поїзд? 4) Дві бригади, працюючи разом, можуть зорати поле за 4 год. За скільки годин може зорати це поле одна з бригад, якщо друга може зробити це за 12 год? 5) Велосипедист подолав відстань між двома селами за 2 год, а пі­ шохід — за 6 год. Знайдіть швидкість руху кожного з них, якщо швидкість пішохода на 8 км/год менша від швидкості велосипедиста. 6) Купили 16 зошитів по 1 грн. 40 коп. і по 90 коп., заплативши за всю покупку 16 грн. 40 коп. Скільки купили зошитів кожного виду? 7) Довжина актового залу школи дорівнює 32 м, а ширина — 20 м. Для встановлення підвісної стелі використовують плити, які мають форму квадрата зі стороною 80 см. Чи вистачить для цього 70 ящиків, якщо в один ящик уміщується 15 плит? 8) Двоє робітників мали виготовити по 90 деталей. Один з них ви­ готовляв щодня на 3 деталі більше за другого і виконав замов­ лення на один день раніше за нього. Скільки деталей виготов­ ляв щодня кожний робітник? 9) Дорога, що з’єднує село і залізничну станцію, має довжину ЗО км і йде спочатку під гору, а потім вгору. Із села на станцію велосипедист їде 2 год 12 хв, а зі станції — 2 год 18 хв. З якою швидкістю велосипедист їде під гору і з якою вгору, якщо його швидкість на підйомі на 3 км/год менша від його швидкості на спуску? 10) 3 пунктів А і В одночасно назустріч один одному виїхали два автомобілі і після зустрічі кожний з них продовжив рух у початковому напрямі. Один з них, швидкість якого на
  • 102.
    102 Тренувальні вправи 15км/год більша за швидкість другого, прибув у пункт А через З год після зустрічі, а другий у пункт В — через 5 год 20 хв. Знайдіть швидкість, з якою рухався кожний автомобіль. Через який час після початку руху відбулася їх зустріч? 11) Від двох пристаней С і £) відпливли одночасно назустріч один одному катер і човен відповідно. Катер прибув у О через 3 год 45 хв після зустрічі з човном, а човен у С — через 1 год 40 хв. За який час кожен з них пропливе відстань між С і ОІ Відсоткові розрахунки 166. Сплав містить 9% цинку. Скільки цинку міститься у 270 кг сплаву? 167. У двох цехах заводу працює 1240 робітників. З них 55 % працює у першому цеху. Скільки робітників працює у другому цеху? 168. У районній олімпіаді з математики 42 учня стали призерами, що становить 24 % усіх учасників олімпіади. Скільки учнів узяло участь у районній олімпіаді? 169. Банк сплачує своїм вкладникам 12 % річних. Скільки грошей треба покласти в банк, щоб через рік одержати 54 грн. прибутку? 170. Під час сушіння сливи втрачають 88 % своєї маси. Скільки треба взяти свіжих слив, щоб отримати 15 кг сушених? 171. У кінозалі 480 місць, з яких під час сеансу було зайнято 408. Скільки відсотків місць було зайнято? 172. Вартість деякого товару знизилася з 320 грн. до 256 грн. На скіль­ ки відсотків знизилася ціна? 173. Швидкість автомобіля спочатку знизилася на 20 %, а потім зросла на 20 %. На скільки відсотків змінилася початкова швидкість автомобіля? 174. Підприємець взяв у банку кредит розміром 30 000 грн. під 20 % річних. Яку суму йому доведеться повернути через два роки? 175. Протягом року завод двічі збільшував щотижневий випуск продукції на одну й ту саму кількість відсотків. На скільки відсотків збільшувався кожного разу випуск продукції, якщо на початку року завод випускав 1200 виробів щотижня, а наприкінці року — 1587 виробів? 176. Скільки треба змішати молока з масовою часткою жиру 1 % і молока з масовою часткою жиру 3,5 %, щоб отримати 8 л молока з масовою часткою жиру 2,5 %?
  • 103.
    Варіант З 103 177.Банк надав підприємцю кредит у сумі 100 000 грн. на 2 роки під певний відсоток річних. Через рік цей відсоток було збільшено на 4 %. На кінець другого року підприємець повернув банку 148 800 грн. Під який відсоток було надано кредит у перший рік? 178. Водно-сольовий розчин містив 3 кг солі, концентрація якої була менша від 20 %. До цього розчину додали 6 кг солі, після чого концентрація солі збільшилася на 15 %. Якою була початкова маса розчину? Випадкова подія. Ймовірність випадкової події 179. У коробці лежать 10 чорних і 25 синіх кульок. Яка ймовірність того, що обрана навмання кулька виявиться: 1)чорною; 2) синьою? 180. У лотереї розігрувалося 20 телевізорів, ЗО магнітофонів і 40 фотоапаратів. Усього було випущено 5000 лотерейних білетів. Яка ймовірність: 1) виграти фотоапарат; 2) виграти який-небудь приз; 3) не виграти жодного призу? 181. Гральний кубик підкинули один раз. Яка ймовірність того, що випаде число, яке ділиться націло на 2 і на З? 182.3 натуральних чисел від 1 до 24 включно учень навмання називає одне. Яка ймовірність того, що це число є дільником числа 24? 183. Яка ймовірність того, що навмання вибране двоцифрове число ділиться націло на 17? 184. У коробці лежать 2 зелених і 7 синіх кульок. Яку найменшу кількість кульок треба вийняти навмання, щоб ймовірність того, що серед них є хоча б одна зелена кулька, дорівнювала 1? 185. Чотири картки пронумеровано числами 1, 2 , 3 і 4. Яка ймовір­ ність того, що добуток номерів двох навмання вибраних карток буде не більшим за число 6? 186. У коробці лежать сині і зелені кульки. Скільки синіх кульок у коробці, якщо ймовірність вийняти з неї навмання синю кульку у дорівнює у , а зелених кульок у коробці 40? Початкові відомості про статистику 187. Дано 25 чисел, з них число 9 зустрічається 12 разів, число 8 зу­ стрічається 9 разів і число 15 — 4 рази. Знайдіть середнє ариф­ метичне цих 25 чисел.
  • 104.
    104 Тренувальні вправи 188.Знайдіть міри центральної тенденції вибірки: 1)5, 11, 14, 14, 17, 17, 19, 26,29,38; 2) 3,1; 3,4; 4,2; 4,7; 4,9; 5,3; 6,1. 189. У таблиці наведено розподіл робітників одного цеху деякого заводу за кількістю виготовлених за зміну деталей:______________ Кількість деталей, виготовлених кожним робітником 8 9 10 11 12 13 14 15 16 Кількість робітників 5 2 6 6 8 9 6 4 4 Знайдіть відносну частоту кожного значення і міри центральної тенденції вибірки. 190. Серед 40 мешканців міста провели опитування про кількість кімнат в їх квартирах і склали таблицю:______________ 2 3 2 4 3 2 1 3 3 1 1 3 2 2 3 2 1 2 4 2 3 1 2 3 3 1 2 3 2 4 3 1 1 2 2 3 3 2 1 4 Складіть частотну таблицю і побудуйте відповідну гістограму. Визначте частоту і відносну частоту кожного її значення. Числові послідовності 191. Запишіть п ’ять перших членів послідовності: 1) двоцифрових чисел, кратних числу 9, узятих у порядку спа­ дання; 2) правильних звичайних дробів з чисельником 19, узятих у по­ рядку спадання; 3) натуральних чисел, що дають при діленні на 7 остачу 4, узятих у порядку зростання. 192. Знайдіть чотири перших члени послідовності ( а„ ), заданої фор­ мулою и-го члена: 1) ап “ 5 - й ; 2) = Зя + 1; 3) а л = ^ - І І ; 4) а„ = ■■- 5 - - п (я + ІГ 193. Знайдіть другий, восьмий і сотий члени послідовності (Ь„), зада­ ної формулою я-го члена: 1) + 3) Ь„ = я2 + 2 я; 2) Ь„ = 0,8-0,3«; 4) Ьп = (-1 )”-1 + (-1)',+І.
  • 105.
    Варіант З 105 194.Послідовність (с„) задана формулою я-го члена с „ = 3 + іи . Знайдіть: 1) с ,; 2) с9 ; 3) с16; 4) с150 ; 5) ск+і. 195. Послідовність ( хп) задана формулою и-го члена хп = — ^— . Знайдіть: 1) хх; 2) *8 ; 3) х2к; 4) х 2к+і; 5) хк+2 ■ 196. Знайдіть п’ять перших членів послідовності ( а„ ), якщо: 1) Я[ —5 , —й„ —2 , 2) а —~У2_> ап+1~ 4ап > 3) я, =0,5; а2 = 5; ег„+2 = я„+і - 4 а „ ; 4) а, = 2 ; д2 = 1 ; а„+2 = За,, + . 197. Послідовність (у„) задана формулою и-го члена у п = 7п + 1 , Чи є членом цієї послідовності число: 1) 36; 2) 41; 3) 106? У разі пози­ тивної відповіді вкажіть номер відповідного члена. 198. Знайдіть кількість додатних членів послідовності (z„), заданої формулою я-го члена z„ = 34 - 4л . 199. Підберіть одну з можливих формул и-ro члена послідовності, першими членами якої є числа: п 1 1 1 1 1 • і _ І 1 _ 1 ■ } 4 ’ 1 6 ’ 3 6 ’ 64 ’ 100’ - ’ -V 2 ’ 3 ’ 4 ’ 5 ’ " ’ 2^2 — — — — • 4Ч_2 0 —— 0 —— 0 —— 3 9 5 5 7 * 9 9 9 3 5 7 9**** 200. Доведіть, що послідовність ( ап), задана формулою и-го члена, є спадною: 1) а„ = 1 7 -8 л ; 2) а„ = 4 - 5 л - л 2 ; 3 ) а „ = ^ - , п2 +1 201. Знайдіть найменший член послідовності ( а„ ), заданої формулою и-ro члена: 1)а„ = и4 -1 5 ; 2) ап = и 2 - 8и + 17; 3) Означення арифметичної прогресії. Формула /1-го члена арифметичної прогресії 202. Знайдіть чотири перших члени арифметичної прогресії ( а„ ), якщо сіу = 1,4, d = - 0,2 .
  • 106.
    106 Тренувальні вправи 203.В арифметичній прогресії ( а„ ) а{ = 3 , ^ = 0,5. Знайдіть: 1) а3; 2 ) 0 ; 3 ) «24 ■ 204. Знайдіть різницю і сто перший член арифметичної прогресії 2,7; 3,1; 3,5;.... 205. Знайдіть формулу я-го члена арифметичної прогресії: 1) _ 4 ,-6 , -8 ,- 1 0 ,...; 3) 2а2, 5а2, 8а2, 11а2, . . . ; 2)4, 4 -і, 4 | , 5 , ...; 4) а - 1 , а - 2 , а - 3 ,а - 4 , .... 206. Знайдіть різницю арифметичної професії ( Ьп), якщо: 1 ) * І = 7 , *10 = -1 1 ; 2) *5 =10, і,2 =31. 207. Знайдіть перший член арифметичної прогресії (с„), якщо: 1) с)2 = 17, d = 2 ; 2) с4 = 7, с9 = - 8 . 208. Знайдіть номер члена арифметичної прогресії (а„), який дорів­ нює 30,6, якщо ах = 12,2 і d = 0,4. 209. Чи є число 24,5 членом арифметичної прогресії ( Ь„ ), якщо Ь{ =10 і d = 1,5 ? У разі позитивної відповіді вкажіть номер цього члена. 210. Дано арифметичну прогресію 2; 1,8; 1,6; ... . Починаючи з якого номера її члени будуть від’ємними? 211. Знайдіть кількість додатних членів арифметичної прогресії ( ап ), якщо а, = 3 0 , af = - l ,6 . 212. Між числами - 4 і 5 вставте п’ять таких чисел, щоб вони разом з даними числами утворювали арифметичну прогресію. 213. Знайдіть перший член і різницю арифметичної професії (а„), якщо: 1) а3 + а5 = -2 і а7 + а10 = 4 ; 2) а2 + а6 = 24 і а2 •о3 = 54. 214. Чи є послідовність (а„) арифметичною професією, якщо вона задана формулою н-го члена: 1) а„ = -4 я + 5; 3 ) а „ = - 3 , 5 л ; 5) а„ = ; 2) а„ = Зя2 - 2 ; 4 ) а „ = 7 - 0 , 8 и ; 6) У разі позитивної відповіді вкажіть перший член і різницю про­ фесії.
  • 107.
    Варіант З 107 215.З арифметичної прогресії вилучили парні по порядку члени. Чи будуть члени, ідо залишилися, утворювати арифметичну про­ гресію? 2 216. При якому значенні х значення виразів 4х + 5, ї х - І і х +2 будуть послідовними членами арифметичної прогресії? Знайдіть члени цієї прогресії. 217. При якому значенні у значення виразів у~ +2 , 4у + 2 , Зу + 6 і у 2 —4у + 18 будуть послідовними членами арифметичної про­ гресії? Знайдіть члени цієї прогресії. Сума п перших членів арифметичної прогресії 218. Знайдіть суму шістнадцяти перших членів арифметичної прогре­ сії ( а„ ), якщо а, = 6 , сі = 3. 219. Знайдіть суму тридцяти перших членів арифметичної прогресії - 8 , - 4 , 0 , . . . . 220. Арифметичну прогресію (а„) задано формулою п-го члена а„ = Зп -1 . Знайдіть суму сорока семи перших членів прогресії. 221. Знайдіть суму двадцяти перших членів арифметичної прогресії ( ап), якщо: 1) Я) = 7 , (7ц = 27 ; 2) а5 = 58, я12 = 16. 222. Знайдіть суму п’ятнадцяти перших членів арифметичної прогресії ( ап), якщо я15 = 52 , сі = 4. 223. Знайдіть суму шістнадцяти перших членів арифметичної прогре­ сії ( а„ ), якщо я5 + а-; - а12 = -9 і аі + а2о = 74. 224. При будь-якому п суму я перших членів деякої арифметичної прогресії можна обчислити за формулою Яп = 5п2 - Зп. Знайдіть перший член і різницю цієї прогресії. 225. Знайдіть суму всіх натуральних чисел, що кратні 6 і не більші за 234. 226. Знайдіть суму всіх натуральних чисел, які кратні 4 і не більші за 182. 227. Знайдіть суму всіх натуральних чисел, які при діленні на 3 дають в остачі 2 і не більші за 113. 228. Знайдіть різницю і вісімнадцятий член арифметичної прогресії (а„), якщо Я| = 10 і 5,4 =1050.
  • 108.
    108 Тренувальні вправи 229.В арифметичній прогресії перший член дорівнює 24, а сума три­ дцяти трьох перших членів дорівнює 1188. Знайдіть різницю і двадцять п’ятий член прогресії. 230. Знайдіть перший і п’ятий члени арифметичної прогресії, якщо її різниця дорівнює 8, а сума восьми її перших членів дорівнює 2 0 0 . 231. Знайдіть суму членів арифметичної прогресії з шостого по два­ дцять третій включно, якщо перший член дорівнює 28, а різниця дорівнює -3 . 232. Знайдіть суму членів арифметичної професії ( х „ ) з дванадцятого по двадцять дев'ятий включно, якщо = 7 і х15 = 42. 233. Знайдіть суму всіх від’ємних членів арифметичної професії —6,8 ; —6,4; - 6 ;... . 234. В арифметичній професії (а„) al = - 4 , d ~ 6 . Скільки треба взя­ ти перших членів професії, щоб їх сума дорівнювала 570? 235. Знайдіть перший член і різницю арифметичної професії, якщо сума п’яти перших її членів дорівнює 10, а сума дванадцяти перших членів дорівнює - 102. 236. Розв’яжіть рівняння: 1) 9 + 17 + 25 + ... + (8и + 1) = 125, деи — натуральне число; 2) 3 + 7 +11 + ... + х = 136, де* — натуральне число. Означення геометричної професії. Формула л-го члена геометричної прогресії 237. Знайдіть чотири перших члени геометричної професії (Ьп), якщо Ьх =0,4, <7= 5. 238. У геометричній професії ( Ь„) Ь, = ]^> <7= -2 . Знайдіть: 1) Ь3; 2 )Ь &; 3 ) Ь и ; 4 ) Ь к . 239. Знайдіть знаменник і четвертий член геометричної професії і і І 8 Г 27 ’ 9 ....... 240. Знайдіть знаменник геометричної прогресії (Ь„), якщо: 1)4, = 10 000, *6 = 0,1; 2)Ьз = і ,Ь5= ± . 241. Знайдіть перший член геометричної професії (*„), якщо: 0 *7 = у | , Ч= 2) *3 = 6 , ,г6 =162. 242. Число 324 є членом геометричної професії 4, 12, 36,... . Знайдіть номер цього члена.
  • 109.
    Варіант З 109 243.Які три числа треба вставити між числами 256 і 1, щоб вони разом з даними числами утворювали геометричну прогресію? 244. Послідовність (Ь„) задана формулою п-го члена Л„ = 4 •3',_ !. Чи є ця послідовність геометричною прогресією? 245. Знайдіть перший член і знаменник геометричної прогресії (Ь„), якщо: 1) Ь6 = 4Ь4 і Ьг +Ь5 =108; 2) Ь2 +Ь5 =56 і Ьі - Ь 4 +Ь5 =14. 246. При якому значенні х значення виразів х - 1, 1- 2х і х + 7 будуть послідовними членами геометричної прогресії? Знайдіть члени цієї професії. 247. Сума трьох чисел, що утворюють арифметичну професію, дорів­ нює 30. Якщо від другого і фетього чисел відняти відповідно 4 і 5, то утвориться геомефична професія. Знайдіть дані числа. Сума п перших членів геометричної прогресії 248. Знайдіть суму п ’яти перших членів геометричної професії (£>„), якщо 6] = 8 , <7= • 249. Знайдіть суму шести перших членів геометричної професії _!_ ± 1 5 4 ’ 18’ б ’ - ' 250. Знайдіть суму чотирьох перших членів геомефичної професії ( Ьп), якщо: 1) Ь4 =100, 4 = 4; 3) *2 =12, 2>5 =324. 2) Ьх = 2 л/2 , Ь7 =16л/2 , д > 0 ; 251. Геомефична професія (Ьп) задана формулою и-і о члена Ьп = 5 •2 ”+1. Знайдіть суму семи перших її членів. 252.Знайдіть перший член геомефичної професії (х„), якщо д 253. Знайдіть кількість членів геомефичної професії (с„), якщо с, = - 9 , д = - 2 , Я,, = -9 9 . 254. Сума другого і фетього членів геомефичної професії дорівнює 30, а різниця четвертого і другого членів дорівнює 90. Знайдіть суму п’яти перших членів професії.
  • 110.
    110 Тренувальні вправи 255.Знайдіть перший член, знаменник і кількість членів геометричної прогресії ( у п), якщо у 4 - у 2 = -2 4 , у 3 + у 2 = 6 , Sn = -182. Сума нескінченної геометричної прогресії, у якої I q < 1 256. Знайдіть суму нескінченної геометричної прогресії: 1)96,24,6,...; 2) 6, 2л/з , 2,.... 257. Знайдіть перший член нескінченної геометричної прогресії, сума якої дорівнює 21 , а знаменник дорівнює -5 . 258. Знайдіть третій член нескінченної геометричної прогресії, перший член якої дорівнює -40, а сума дорівнює -25. 259. Знайдіть суму нескінченної геометричної прогресії ( Ьп), якщо *з=18, = 2 . 260. Сума нескінченної геометричної прогресії дорівнює 125, а сума трьох її перших членів дорівнює 124. Знайдіть перший член і знаменник прогресії. 261. Запишіть у вигляді звичайного дробу число: 1)0,444...; 2) 2,(36); 3) 0,8333...; 4) 3,7(2).
  • 111.
    Варіант 1 111 КОНТРОЛЬНІРОБОТИ Варіант 1 Контрольна робота № 1 Тема. Нерівності 1.° Доведіть нерівність (х - 4)(х + 9) > (х + 12)(х - 7). 2.° Дано: 3 < д: < 8 ; 2 < у < 6 . Оцініть значення виразу: 1) 2х + у , 2)ху; 3 ) х - у . 3.° Розв’яжіть нерівність: 1) уд->-1 4 ; 2) 3 х -8 < 4 (2 д :-3 ). 4.° Розв’яжіть систему нерівностей: .. (бх - 24 > 0, „ Ї2х +1 < 19, { - 2х + 12< 0; ' { з 0 - 8х < 6. 5.’ Розв’яжіть нерівність ~ < “ 1• 6/ Знайдіть цілі розв’язки системи нерівностей: 12(3х - 4) > 4(х +1) —3, |х (х —4) - (х + 3)(х - 5) > -5 . 7.' При яких значеннях змінної має зміст вираз VЗ х - 9 + ^ ? 8.’* Доведіть, що при всіх дійсних значеннях змінних є правильною нерівність 10а-2 - бху + у 2 - 4х + 6 > 0. Контрольна робота № 2 Тема. Функція. Квадратична функція, її графік і властивості 1.° Функцію задано формулою /( х ) = -^х 2 + 3х. Знайдіть: 1) / ( 2) і / ( - 1); 2) нулі функції. х^ + 4 2 ° Знайдіть область визначення функції / (а) = —---------------- . А2 -Ю а-+ 24 3.° Побудуйте графік функції / { х ) ~ х 2 + 2 а - 3 . Користуючись гра­ фіком, установіть: 1) проміжки, на яких /( а ) > 0 і на яких / (а) < 0 ; 2) область значень даної функції; 3) проміжок зростання функції.
  • 112.
    112 Контрольні роботи 4,*Побудуйте графік функції: 1) Г(х) = л[х —3', 2) /(х ) = >/ж —3. 5 / Знайдіть область визначення функції / (х) - л/х + 5 + ^ х2 - 4 6,'* При яких значеннях р і д вершина параболи у = х 2 + рх + ц знаходиться у точці А (- 4; 6) ? Контрольна робота № З Тема. Розв’язування квадратних нерівностей. Системи рівнянь з двома змінними 1.° Розв’яжіть нерівність: 1) х 2 - 7 х - 3 0 < 0 ; 3) х 2 <25; 2) 4х2 + 16х> 0; 4) х 2 - 6х + 9 < 0. 2.° Розв’яжіть систему рівнянь х - 4 у = 3, [ху + 2у = 9. З / Знайдіть область визначення функції: 1) у = л І 1 х - х 2 ; 2) у л/ і 5 —2х —х 2" [ — -2 —4 4.* Розв’яжіть графічно систему рівнянь х х ’ [х->> = 6 . 5.“ З двох селищ, відстань між якими дорівнює 48 км, вирушили од­ ночасно назустріч один одному пішохід та велосипедист і зустрі­ лися через 3 год. Знайдіть швидкість руху кожного з них, якщо велосипедист витратив на весь шлях на 8 год менше, ніж пішохід. 6." Розв’яжіть систему рівнянь | х + бху + 9у -1 6 , Іх -З у = -2 . Контрольна робота № 4 Тема. Елементи прикладноїматематики 1.° Скільки цинку міститься в 24 кг тридцятип’ятивідсоткового сплаву? 2 ° Було зібрано врожай з 18 га, що становить 60 % площі поля. Яка площа всього поля?
  • 113.
    Варіант 1 113 3.°Вкладник поклав у банк 40 000 грн. під 7 % річних. Скільки від­ соткових грошей він отримає через 2 роки? 4.° Дано вибірку: 4, 5, 5, 6, 7, 7, 8, 10, 11. Знайдіть міри центральної тенденції цієї вибірки. 5.° У коробці лежать 12 карток, пронумерованих числами від 1 до 12. Яка ймовірність того, що на навмання вийнятій картці буде запи­ сано число, яке: 1) кратне 3; 2) не кратне ні числу 2, ні числу 5? 6 .* Маємо два сплави, один з яких містить 40% цинку, а другий —- ЗО %. Скільки кілограмів кожного з них треба взяти, щоб отримати 180 кг сплаву, який містить 34 % цинку? 7 / Ціну деякого товару спочатку підвищили на 20 %, а потім знизили на 10%. Як і на скільки відсотків змінилася початкова ціна внаслідок цих двох переоцінок? 8.’ У коробці лежать 9 синіх кульок, а решта — зелені. Скільки у коробці зелених кульок, якщо ймовірність того, що вибрана навмання кулька виявиться зеленою, дорівнює у ? 9.” На чотирьох картках записано числа 5, 6, 7 і 8. Яка ймовірніогь того, що сума чисел, записаних на двох навмання вибраних картках, дорівнюватиме непарному числу? Контрольна робота № 5 Тема. Числові послідовності 1.° Знайдіть чотирнадцятий член і суму двадцяти перших членів арифметичної прогресії ( ап), якщо а1- 2 і сі2 = 5. 2.° Знайдіть п’ятий член і суму чотирьох перших членів геометричної професії ( Ьп), якщо Ь{ = 27 і с{= ^ . 3.° Знайдіть суму нескінченної геометричної професії 28, -14, 7,... . 4.' Знайдіть номер члена арифметичної професії ( ап), який дорівнює 7,3, якщо а1=10,3 і */ = -0,5. 5.’ Між числами 2,5 і 20 вставте два таких числа, щоб вони разом з даними числами утворювали геометричну професію. 6.“ Знайдіть суму всіх натуральних чисел, більших за 100 і менших від 200, які кратні 6 .
  • 114.
    114 Контрольні роботи Контрольнаробота № 6 Тема. Узагальнення і систематизація знань учнів 1.° Розв’яжіть нерівність: 7(2л--3)<10х + 19. 2.° Побудуйте графік функції у = х 2 - 2 х - 3 . Користуючись графіком, установіть: 1) проміжок, на якому функція зростає; 2) множину розв’язків нерівності х 2 - 2х - 3 > 0 . 3.’ Розв’яжіть систему рівнянь: ( х - у = 3, І* 2 - х у - 2 у 2 = 7. 4.’ Знайдіть суму двадцяти перших членів арифметичної прогресії ( ап), якщо а5 = - 0,8 , о ,, = -5 . 5.‘ Два робітники, працюючи разом, можуть виконати деяку роботу за 4 дні. Якщо третину роботи виконає перший робітник, а потім його замінить другий, то вся робота буде виконана за 10 днів. За скільки днів може виконати цю роботу кожний робітник, працю­ ючи самостійно? 6 .’ Знайдіть, при яких значеннях а рівняння я-2 + (а + 5)д: + 1= 0 має два дійсні різні корені. 7.’* При яких значеннях а рівняння ( а - 2 ) х = а 2 - 4 має тільки один додатний корінь?
  • 115.
    Варіант 2 115 Варіант2 К онтрольна робота № 1 Тема. Нерівності 1.° Доведіть нерівність (.V+ 3)(х -1 0 ) < (.V- 5)(х - 2). 2.° Дано: 4 < х < 1 0 ; 5 < у < 8 . Оцініть значення виразу: 1 )4 х + у , 2)ху; 3) у ~ х . 3.° Розв’яжіть нерівність: 1 ) | х < - | ; 2) 7л" —4 > 6 (Злг—2). 4.° Розв’яжіть систему нерівностей: . }8х - 32 < 0, |бх - 5 < 13, |- 3 х +15 > 0; [28 + 4х>20. _. , . . . 2х- 1 х + 3 . 5. Розв яжіть нерівність —^--------- ^— < - 4 . 6.’ Знайдіть цілі розв’язки системи нерівностей: 4(5х —4) > 13(х -1 ) +18, х(х + 5) - (х —2)(х + 8) > 9. 7." При яких значеннях змінної має зміст вираз /4х + 16 + 8.” Доведіть, що при всіх дійсних значеннях змінних є правильною нерівність а2 - 8аЬ + 1Ь2 - 2Ь + 3 > 0 . К онтрольна робота № 2 Тема. Функція. Квадратична функція, її графік і властивості 1.° Функцію задано формулою /(х ) = ^-л‘2 +2х. Знайдіть: 1) /(3 ) і / ( - 1); 2) кулі функції. х 2 - 5 2.° Знайдіть область визначення функції / (х) = — . х - 6х -1 6 3.° Побудуйте графік функції /( х ) = 3 + 2 х - х 2. Користуючись гра­ фіком, установіть: 1) проміжки, на яких /(х ) > 0 і на яких /( х ) < 0 ; 2) область значень даної функції; 3) проміжок зростання функції. 1 ?
  • 116.
    116 Контрольні роботи 4.’Побудуйте графік функції: 1 ) /( * ) = 7 Ї 7 4 ; 2 ) /( .ї ) = л/7 + 4. £ 5.’ Знайдіть область визначення функції /( * ) = л[х + 4 + — ------. х2 - 9 6.’* При яких значеннях р і q вершина параболи у = х 2 + рх + с/ знаходиться у точці В(3; - 7) ? Контрольна робота № З Тема. Розв’язування квадратних нерівностей. Системи рівнянь з двома змінними 1.° Розв’яжіть нерівність: 1) х 1 + 4 х - 2 1 > 0 ; З ) * 2 >81; 2) Зх2 -1 5 х < 0 ; 4) х 2 + 14а + 49>0. . „ _ , . . 2х + у = 7, 2 ° Розв яжіть систему рівнянь <{ , [х —ху = 6. 3." Знайдіть область визначення функції: 1) у = 44а--а-2 ; 2) у = 4.’ Розв’яжіть графічно систему рівнянь л/і2 + х - х 2 у = 2 х - х “, [у = 3 - 2 х . 5.' Від станції А до станції В, відстань між якими дорівнює 240 км, вирушили одночасно два поїзди. Один з них прибув на станцію В на 1 год раніше від другого. Знайдіть швидкість руху кожного поїзда, якщо другий проходить за 2 год на 40 км більше, ніж перший — за одну годину. ( х 2 - 4 х у + 4 у 2 =25, [х + 2у = 3. 6." Розв’яжіть систему рівнянь Контрольна робота № 4 Тема. Елемент и прикладноїматематики 1.° Скільки міді міститься у 16 кг сорокап’ятивідсоткового сплаву? 2 ° У будинку є 68 двокімнатних квартир, що становить 17 % усіх квартир. Скільки всього квартир у цьому будинку?
  • 117.
    Варіант 2 117 3.°Вкладник поклав у банк 60 000 гри. під 8 % річних. Скільки від­ соткових грошей він отримає через 2 роки? 4.° Дано вибірку: З, 3, 4, 5, 5, 8, 8, 8, 10. Знайдіть міри центральної тенденції цієї вибірки. 5.° У коробці лежать 12 карток, пронумерованих числами від 1 до 12. Яка ймовірність того, що на навмання вийнятій картці буде запи­ сано число, яке: 1) кратне 4; 2) не кратне ні числу 2, ні числу З? 6 .* Маємо два розчину солі, один з яких містить 10 % солі, а другий — 15%. Скільки грамів кожного з них треба взяти, щоб отримати 150 г розчину, який містить 12 % солі? 7 / Ціну деякого товару спочатку знизили на 20 %, а потім підвищили на 30 %. Як і на скільки відсотків змінилася початкова ціна внаслідок цих двох переоцінок? 8 .* У коробці лежать 16 білих кульок, а решта — червоні. Скільки у коробці червоних кульок, якщо ймовірність того, що вибрана навмання кулька виявиться червоною, дорівнює ^ ? 9.** На чотирьох картках записано числа 3, 4, 5 і 6 . Яка ймовірність того, що добуток чисел, записаних на двох навмання вибраних картках, буде кратним числу З? Контрольна робота № 5 Тема. Числові послідовності 1.“ Знайдіть шістнадцятий член і суму тридцяти перших членів ариф­ метичної прогресії( а„ ), якщо а, = 1 0 і а г = 6 . 2.° Знайдіть шостий член і суму п’яти перших членів геометричної прогресії ( Ь„), якщо 6, = - 64 і д = 1 . 3.° Знайдіть суму нескінченної геометричної прогресії-125,25, -5,.... 4 / Знайдіть номер члена арифметичної прогресії ( а„ ), який дорівнює 10,9, якщо 0 [ =8,5 і сі = 0,3. 5.’ Між числами 2 і -54 вставте два таких числа, щоб вони разом з даними числами утворювали геометричну прогресію. 6-** Знайдіть суму всіх натуральних чисел, більших за 50 і менших від 180, які кратні 8 .
  • 118.
    118 Контрольні роботи Контрольнаробота № 6 Тема. Узагальнення і систематизація знань учнів 1.° Розв’яжіть нерівність: 3(2* + 3) < 4 9 -2.x. 2 ° Побудуйте графік функції у = 8 + 2дг- лг2 . Користуючись графіком, установіть: 1) проміжок, на якому функція спадає; 2 ) множину розв’язків нерівності 8 + 2.x - х 2 < 0 . 3.’ Розв’яжіть систему рівнянь: Іх + у = 2, [2;г2 +ху + у 2 =16. 4.’ Знайдіть суму шістнадцяти перших членів арифметичної прогресії ( а„ ), якщо аь = 1 , а9 = 2,8 . 5.' Аркадій і Марина, працюючи разом, можуть виконати комп’ютер­ ний набір деякої книжки за 4 дні. Якщо Марина набере книж­ ки, а потім її змінить Аркадій, то вся книжка буде набрана за 7 днів. За скільки днів може виконати цю роботу кожний з них, працюючи самостійно? 6.’ Знайдіть, при яких значеннях а рівняння .ї2 - (о - 6).т + 4 = 0 не має коренів. 7." При яких значеннях а рівняння (а + 3)х = а 2 - 9 має тільки один від’ємний корінь?
  • 119.
    Варіант 1 119 ВІДПОВІДІІ ВКАЗІВКИ ДО ТРЕНУВАЛЬНИХ ВПРАВ Варіант 1 14 4) 08 < < 0 85 15 71 — < — 8) — — > ,й 2 < и’63’ /} 21 9 ’ 23 0,7а-0,16 23 ' 25.6) (-нм;-20]; 7)(13;+оо); 8)(-о о ;-6 ]; 9) розв’язків немає; 10) [-2; +со). 27. 3) Розв’язків немає; 4) (-оо; +*). 28.4) х > -5 і х * 3; 5) х < 1 і х ф - 2 6) х > - 1 2 , х * 1 і х * - 1 . 29. 1) Коренів немає; 2 ) - 1 ; - 2 ^ . 31.3) о >2,2; 4) а * 4. 35.3)Я кш о а> 3, то х < 1 ; якшо а < 3, то х > 1 ; якщо а = 3, то х — будь-яке число; 4) якщо аФ 3, то х > 0 ; я к щ о о = 3, т о х — будь-яке число; 5) якщо я>1 , то . 2 - а 2 - а . с х < — у ; якщо а < 1, то х > ; якщо а - І , то х — будь-яке число; г л 4# + 8 . 4а + 8 . 6) якщо а <4, то х > ■ якщо а > 4, то х < —— ; якщо а = 4, то розв’язків немає; 7) якщо а > - 1 , то х > о - 1 ; якщо а < - 1 , то х < а - 1 ; якщо а - - , то розв’язків немає. 46.4) ; 5) роз­ в’язків немає; 6) 1. 53. 4) х є (-оо; 0) и (0; 1) І) ^1; . 57. 2) -1 < х < 3; 3 )коренів немає; 4) - у . 58.3) [—1; 1]; 4) (-со; + со); 5) (—оо; 1]; 6) (-о о ;-19) 11(0,6;+ оо). 96. р = - 2 , <у= -3. 98. у = х 2. 99. у = ~ 2 х 2 - 5 . Вказівка. Шукана парабола задається формулою виду
  • 120.
    120 Відповіді івказівки у = ах2 + Ь. 100. р = -%, q = 23. 101. а = | , * = с = Ц -. 104. с = —12. 105. 1) (5; 5), (—1;—1); 2) (2; 11), (4; 9). 108. Оскільки вітки даної параболи напрямлені вгору, то значення функції на міжкореневому проміжку (х.; а-2) від’ємні. Тому досить розв’язати 3) - 3 < а <5; 4) а < -2 або а > 1. 121. 1) Ь < або 6 > 1; 2) Ь < -1 , 1 2 4 .1)Якщо о < - 3, то а < х < - 3 або * > 4 ; якщо - 3 < о < 4 , то * > 4 ; якщо а > 4, то х > а ; 2) якщо а < -6 , то розв’язків немає; якщо - 6 < « < —1, то - 6 < х < а якщо а > —1, то —6 < х < - 1 . 125. 1) Якщо я = 3, то х = 3; якщо а< 3, то а < х < 3; якщо я > 3 , то З < х < а; 2) якщо а = -3, то х < -5 або а > -5 ; якщо а > -3, то х < а - 2 або х > 2 я + 1; якщо а < - 3, то х < 2 а + 1 або* > а - 2. 127. - 8 < 6 < 4 . Вказівка. Досить розв’язати нерівність у(4)<0. 128. 1< от < 5 або т < -2 . Вказівка. Зробіть рівняння зведеним. 129. 6~2л/7 < а < 6 . 130. о > И . 131. я >6. 132. - 1 , 5 < о < і | . 1 4 0 .1) Якщо а = 4, то розв’язків немає; якщо а< 4, то а < х < 4; якщо а >4, то 4 < х <а ; 2) якщо а <4, то х > 4 ; якщо о > 4, то нерівність у(3)<0, 120.1) - 6 <а< 2; 2) а < - Щ а^о я > 0 ; або < Ь < 0, або Ь > 0. Вказівка. При Ь = 0 рівняння стає лінійним і має один дійсний корінь; 3 ) 6 < 1 або Ь>. 122. 1) —1 < а < ^ ; 2) - 4 < а <4; 3) а < - 4 ; 4) - 3 < а < 0. 123.1) 0 < о т < | ; 2) т < ^ .
  • 121.
    Варіант 1 121 4< х < а або х > а ; 3) якщо а< 4, то х > 4 або х = а якщо а >4, то х > 4 ; 4) якщо а < —2, то х < а ; якщо а > —2, то х < - 2 або - 2 < х < а ; 5 )якщо а < - 2, то х < а або х = -2 ; якщо а > - 2, то х< а ; 6) якщо а = 7, то розв’язків немає; якщо а <7, то а < х < 7; якщо а >7, то 7 < х < а , 7) якщо а = 5, то х > 5 ; якщо а< 5, то а < х < 5 або х > 5 ; якщо а >5, то х > а 8) якщо а - 5, то х < 5 ; якщо а >5, то х< 5; якщо а <5, то х < а або а < х < 5. 147.2) (-!;!); (1;-1); ^ (- 2; - 1); 4)(1; 1); (1;-1); (-1; 1); (-1 ;-1 ); 5 )(5 ;-2 ); 6) (1; - 3 ) ; (—1; 3); (1,5;-2); (-1,5; 2). 148.4) (6 ; 3 ) ; ( - J ; - | ) ; 5 ) ( Д ; - ^ } ; 6) (0; уІ2); (0 ;-л /2 ). 149.1) (2; 1); (-2 ;-1 ); ( h ! K . & ■ 2) (2; І); < -2 ;-1 ). ISO. 1) Якщо a > 4 l , то розв’язків немає; якщо | а |=л/2 , то один розв’язок; якщо | а |< у[ї, то 2 розв’язки; 2) якщо | а |< 3, то розв’язків немає; якщо | а | = 3 , то 2 розв’язки; якщо | о |> 3 , то 4 розв’язки. 151.28; -21 або 3; 4. 152.63. 153.5 см, 12 см. 154.20 см, 15 см. 155.80 км/год, 40 км/год. 156. 15 км/год. 157.20 км/год, 2 км/год. 158.6 км/год, 4 км/год. 159.24 год, 12 год. 160.20 днів, ЗО днів. 161. 5 км/год. 162.4 км/год, 6 км/год, 54 хв. 163. 100 км/год. 164. 6 с,
  • 122.
    122 Відповіді івказівки 4 с. 165.8)35 деталей; 9) 2 км/год, 3 км/год; 10) 6 км/год, 9 км/год; З год; 11)5 год 15 хв, 2 год 6 хв. 175. 20%. 176.200 г, 400 г. 177.4%. 178. Юкгабо 5 Ік г.1 9 9 . 1) <?„=(« + 1)2 ; 2) в я = - й _ ; 3 ) а„ = ( - 1)',+1; 1+ (_Пп+І 4) а„ = 1 4 — . 213. 1) а, = 5; сі = 2,5; 2) а, = -3 , сі = 4 або а, = 55,5; п сі = -5,75. 216. При т = 0 маємо: 0, 2, 4; при т = 2 маємо: 6 , 6, 6 . 217. и = 2; о, = 4 , я 2 = 7 , а3 =10, о4 =13. 224. о, = - 1 , </ = 8 . Вказівка, я, = 5 ,, 5 2 = о, + я 2. 226.2079. 227.2701. 228. сі = - 2 ± ; а13 = -1 9 . 231. -120. 233.-29. 234.18. 236.1) и = 12; 2) * = 58. 245.1) = у , ^ = 3 або *і = 0 = -3; 2) Ьі = 5, <? = 3. 246.При * = 4 маємо: 9, 6 , 4; при * = маємо: -у-. 247.3, 12, 48. 252. 125.258. Варіант 2 14 ^ і * , 7 - І Ї 8 іс 7Ч 5 - 5х .1 0 .0 4 11 0,6.т-0,1>> | 14.4) 1,5 < 3 < 115. 15.7) 1 4 < 6 у < з ,» ) 58 < о,8*-0,Зу 3 ‘ 25, 6) ( —°о; 18]; 7) ( $ ; + «>); 8)(-«>; 11,5]; 9) ( 1;+оо); 10) [ - 0,2 ; + ®). 27. 3) Розв’язків немає; 4) (-со; +оо). 28.4) х > -9 і * ф 4 ; 5) х < 0,6 і * * -1 ; 6) х > -9 , х ф 2 і х * -2 . 29. 1) Коренів немає; 2) ; - І . 31. 3) о < 5-і і а Ф5; 4) таких значень не існує. 35. 5) Якщо а > -2, то х > - —%; якщо а < - 2, то х < - — якщо а = - 2, то розв’язків а + І а+1
  • 123.
    Варіант 2 123 немає;6)якшо а> 3, то х < - 3 ; якщо а< 3, то х > - 3 ; якщо а = З, то х — будь-яке число; 7) якщо а> 3, то х > а + 3; якщо а < 3, то х < а + 3; якщо а = 3, то розв’язків немає. 46. 4) ^ j ; 5) розв’язків немає; 6 )-1 . 53.4) х є (-со; - 2) U (-2; 0) U ^ 0 ;-|-j. 57. 2) - 3 < х < 2; 3) коренів немає; 4) - j . 5 8.3) [-3; 3]; 4) (-со; + оо); 5) (-со; + со); 6) (-со;-38)11(1,2; +а>). 96. Р = ~ , <?= §■ 98. у = -3 х 2. 99. у = З.ї2 - 3 . 100. /> = - 4, д = 9. 101. а = 0,5, 6 = -З, с = 5,5. 104. с = 1. 105.1) (2; 2), (-4 ; -4 ); 2) ( - 6 ; 10), (2; 2). 108. а < - | . 109. о > - | . 110. O> J f 111. а - 2. 112. я < - 4 . 120. 1) —3 < о < 1; 2) о < 0 або а > - j ; 3) - 9 < а < 3; 4) а < -1 або <7 > у . 121. ) Ь < 2 або Ь > 6; 2) b < 0 або 0 < 6 < ^ - ; 3) 4 ) Л < - 5 , або - 5 < Ь < - 2 , або Ь > - у . 122.1) о < 0 або а> 3; 2) 0 < а < 0,4; 3) 2 < а < 8 ; 4) таких значень а не існує. 123. 1) т < 0 ; 2) т > 2 . 124. 1) Якщо а < - 3, то - 3 < а < 2 ; якщо - 3 < о < 2 , то а < х < 2 ; якщо а > 2 , то розв’язків немає; 2) якщо д < - 8 , то х < а якщо - 8 < я < - 1, то х < —8 ; якщо а > —1, то х < - 8 або - 1< х < а . 125. 1) Якщо а < - 2, то х < а або х > - 2 ; якщо а = - 2, тол — будь- яке число; якщо а > - 2 , то х < - 2 або х > а ; 2) якщо а < -2 , то 2я + 1 < х < о - І ; якщо а > - 2 , то а - < х <2а + якщо а = —2, то розв’язків немає. 127. Ь > 2. 128. 1-3-^2 < я < ^ або я > 1+ Зл/2.
  • 124.
    124 Відповіді івказівки 129. Таких значень т не існує. 130. а > ^ . 131 132. - < а < - — або < а <^ . 140. 1) Якщо а< 2, то а < х < 2 ; якщо а> 2 , то 2 < х < а якщо а = 2 , то розв’язків немає; 2) якщо а < 2 , то * > 2 ; якщо а > 2 , то 2 < л : < а або х > а 3) якщо а < 2, то х = а або * > 2 ; якщо а >2, то х > 2 ; 4) якщо а < - 4 , то * < а ; якщо а > - 4 , то л < - 4 або - 4 < х < а ; 5) якщо а < - 4 ; то х < а або х - - 4 ; якщо а > - 4 , то х < а; 6) якщо а < 3, то .ї < а або х > 3; якщо « > 3 , то .V< 3 або х > а ; якщо а = 3, то л — будь-яке число, не рівне 3; 7 )якщо а < - 3, то а < х < - 3 або дг>-3; якщо а = - 3, то * > - 3 ; якщо а > - 3 , то х > а ; 8) якщо а < 1 , то х < а або а < х < 1; якщо а = 1, то х < 1; якщо а > 1, то х < 1. 147.2) (3; 3); (-3 ;-3 ); (—5; —13); (5; 13); 3) (2, 6); ( - 2 ,-6 ); 4)(л/3;»; (-л/З; 1); (л/З;-1 ); (-■Уз;-1 ); 5) (-1;8); 6) (2; 1); (-2 ;-1 ); ( 5;т ) ; ( - 5 ; г ) ' 1 « -4 5 (1 2 : 3); ( & ; - # ) 5 ) ( § ; ^ ) ; 6) (л/23;3л/23); ( - 7 2 3 ;- 3 л/23); 149.1) (4; 2); ( - 4 ;- 2 ) ; (-5л/2; Л ) ; (5^2; - Л ) ; 2)(-2; 1); (2; -1). 150.1) Якщо | а |> 2л/2,то розв’язків немає; якщо | а |= 2л/2, то один розв’язок; якщо | а | < 2л/2 , то 2 розв’язки; 2) якщо |о |< 5 , то розв’язків немає; якщо | я | = 5 , то 2 розв’язки; якщо | а |> 5 , то 4 розв’язки. 151.4; 10 або ^ • 152. 24 або 48. 153. 15 см, 8 см.
  • 125.
    Варіант 2 125 154.10 см, 18 см. 155. 10 км/год, 15 км/год. 156. 24 км/год, 18 км/год. 157. 27 км/год, 3 км/год. 158. 40 км/год, 60 км/год. 159. 10 год, 15 год або 12 год, 12 год. 160. 18 год, 12 год. 161.60 км/год. 162.80 км/год, 60 км/год, 2 год. 163.60 км/год. 164.12 об/хв, 8 об/хв. 165.8) 5 т; 9) 10 м/с, 8 м/с; 10) 50 км/год, 60 км/год, Згод; 11)1 год 48 хв, 2 год 15 хв. 175.5%. 176.20 кг, 30 кг. 177.10%. 178.20 кг. 199. 1) 0„ = (2п - 1)2; 2) = - й - ; 3) = (-1)"+1л ; 4) ая = . п + / п 213. 1) я, = 7, л/= 1,5; 2) о , = - 4, сі = 2 або а, = -37,6, </ = 7,6. 216. При о = 6 маємо: 12, 7,2;при « = 1 маємо: - З , - З , -3 . 217. />= 3; о, =10, с/2 = 11> ^3=12, а4 =13. 224. о, =10, с/ = 6 . 226.2808. 227.3629. 228. с/ = | , я16 =28. 231. 160. 233.72,2. 234.24. 236. 1) п =12; 2) х = 26. 245. 1) 6, = - 4 , <7= 5або Ь = 4, = -5 ; 2) 6, = —3, д = - 2 . 246. При х= 4 маємо: - 1 , -1 , - 1 ; при х = 7 маємо: 8, 4, 2. 247.2, 5, 8 або 11, 5, -1 . 252. 576. 258. - 2.
  • 126.
    Зміст Від авторів...............................................................................................З Тематичний розподілтренувальних вправ..................................... 4 Тренувальні вправи...............................................................................5 Варіант 1 ..........................................................................................5 Варіант 2 ....................................................................................... 40 Варіант 3 ........................................................................................75 Контрольні роботи.............................................................................111 Варіант 1 ......................................................................................111 Варіант 2 ......................................................................................115 Відповіді та вказівки до тренувальних вправ ................119 Варіант 1 ...................... 119 Варіант 2 .................................. 122