1
CLASS : 8 SUBJECT: TELUGU
విషయ సూచిక :
I. అక్షరమాల
II. గుణింతాల గురతు లు
III. గుణింతాలు
IV. మహాప్రా ణాక్షర గుణింతాలు
V. ఒత్తు లు
VI. ఒత్తు లతో వచ్చే పదాలు
VII. దవితాిక్షరరలు - సింయుక్రు క్షరరలు – సింశ్లేషరక్షరరలు
VIII. భాషరభాగరలు
IX. విభక్తు లత
X. సింధులు
XI. సమాసాలత
XII. అలంకారాలత
XIII. ఛందససు
I. అక్షరమాల అ నుిండి ఱ వరకు
2
అచ్ుేలు – 16
అ ఆ ఇ ఈ ఉ ఊ ఋ ౠ ఎ ఏ ఐ ఒ ఓ ఔ అిం అః
హలుే లు – 36
క ఖ గ ఘ ఙ
చ్ ఛ జ ఝ ఞ
ట ఠ డ ఢ ణ
త్ థ ద ధ న
ప ఫ బ భ మ
య ర ల వ శ ష స హ ళ క్ష ఱ
ఉభయాక్షరరలు : ంిం సున్ాా, ం అరసునా, ంః విసరగః
II. గుణింతాల గురతు లు అ నుిండి అః వరకు
III. సరళ గుణింతాలు
క – క క్ర క్ి క్ీ కు కూ కృ కౄ క్ె క్ే క్ెై క్ొ క్ో క్ౌ కిం కః
అ -√ ఉ –ంు ఎ –ం ఓ –ం
ఆ – ంర ఊ –ంూ ఏ –ంచ ఔ –ం
ఇ –ం ఋ –ంృ ఐ –ం అిం –ంిం
ఈ –ం ౠ –ంౄ ఒ –ం అః –ంః
3
గ – గ గర గి గీ గు గూ గృ గౄ గె గే గెై గో గో గౌ గిం గః
చ్ – చ్ చ్ా చి చీ చ్ు చ్ూ చ్ృ చ్ౄ చ్ చ్చ చ్ చ్ొ చ్ో చ్ చ్ిం చ్ః
జ - జ జా జి జీ జు జూ జృ జౄ జె జే జె జొ జో జౌ జిం జః
ట – ట టా టి టీ టు టూ టృ టౄ టె టే టె టొ టో టౌ టిం టః
డ – డ డా డి డీ డు డూ డృ డౄ డ డచ డ డ డ డ డిం డః
త్ - త్ తా తి తీ త్త త్ూ త్ృ త్ౄ త తచ త తొ తో త త్o త్ః
ద – ద దా దవ దీ దు దూ దృ దౄ ద దచ ద ద ద ద దిం దః
న – న న్ా ని నీ ను నూ నృ నౄ న్ె న్ే న్ె న్ొ న్ో న్ౌ నిం నః
ప - ప ప్ర ప ప పు పూ పృ పౄ పె పే పె ప్ొ ప్ో ప్ౌ పిం పః
బ – బ బా బి బీ బు బూ బృ బౄ బె బే బె బొ బో బౌ బిం బః
మ - మ మా మి మీ ము మూ మృ మౄ మె మే మెై మొ మో మౌ మిం మః
య – య యా యి యిీ యు యూ యృ యౄ యిె యిే యిెై యొ యో యౌ యిం యః
ర – ర రర రి రీ రత రూ రృ రౄ రె రే రెై రొ రో రౌ రిం రః
ల - ల లా లి లీ లు లూ లృ లౄ లె లే లె లొ లో లౌ లిం లః
వ - వ వర వి వీ వు వూ వృ వౄవె వే వె వొ వో వౌ విం వః
శ - శ శ్ర శి శీ శు శూ శృ శౄ శ్ె శ్ల శ్ెై శ్ొ శ్ో శ్ౌ శిం శః
ష – ష షర ష ష షత షూ షృ షౄ షె షే షె షొ షో షౌ షిం షః
స - స సర స స సు సూ సృ సౄసె సే సె సొ సో సౌ సిం సః
హ - హ హా హి హీ హు హూ హృ హౄ హె హే హెై హొ హో హ హిం హః
ళ – ళ ళీ ళి ళీ ళు ళూ ళృ ళౄ ళె ళే ళెై ళొ ళో ళౌ ళిం ళః
4
క్ష – క్ష క్షా క్షి క్షీ క్షు క్షూ క్షృ క్షౄ క్షె క్షే క్షెై క్షొ క్షో క్షౌ క్షిం క్షః
ఱ – ఱ ఱా ఱి ఱీ ఱు ఱూ ఱృ ఱౄ ఱె ఱే ఱె ఱొ ఱో ఱౌ ఱిం ఱః
IV. మహాప్రా ణాక్షర గుణింతాలు
ఖ – ఖ ఖా ఖి ఖీ ఖు ఖూ ఖృ ఖౄ ఖె ఖే ఖెై ఖొ ఖో ఖౌ ఖిం ఖః
ఘ - ఘ ఘా ఘి ఘీ ఘు ఘూ ఘృ ఘాౄ ఘె ఘే ఘెై ఘొ ఘో ఘౌ ఘిం ఘః
ఛ - ఛ ఛా ఛి ఛీ ఛు ఛూ ఛృ ఛౄ ఛ ఛచ ఛ ఛొ ఛో ఛ ఛిం ఛః
ఝ - ఝ ఝా ఝి ఝీ ఝు ఝూ ఝృ ఝౄ ఝె ఝే ఝెై ఝొ ఝో ఝౌ ఝిం ఝః
ఠ- ఠ ఠర ఠి ఠీ ఠత ఠూ ఠృ ఠౄ ఠె ఠే ఠెై ఠొ ఠో ఠౌ ఠిం ఠః
ఢ - ఢ ఢాఢి ఢీ ఢు ఢూ ఢృ ఢౄ ఢ ఢచ ఢ ఢ ఢ ఢ ఢిం ఢః
థ - థ థా థవ థీ థు థూ థృ థౄ థ థచ థ థ థ థ థిం థః
ధ- ధ ధా ధవ ధీ ధు ధూ ధృ ధౄ ధ ధచ ధ ధ ధ ధ ధిం ధః
ఫ – ఫ ఫర ఫ ఫ ఫు ఫూ ఫృ ఫౄ ఫె ఫే ఫె ఫొ ఫో ఫౌ ఫిం ఫః
భ – భ భా భి భీ భు భూ భృ భౄ భె భే భె భొ భో భౌ భిం భః
V. ఒత్తు లు – క నుిండి ఱ వరకు
క – జ - ణ - ఫ - వ - ఱ -
ఖ – ఝ - త్ - బ - శ -
గ – ఞ - థ - భ - ష -
ఘ – ట - ద - మ - స -
ఙ – ఠ - ధ - య - హ -
చ్ – డ - న - ర - ళ -
ఛ – ఢ - ప - ల - క్ష –
VI. ఒత్తు లతో వచ్చే పదాలు
5
క - గ – చ్ – జ – ట -
1. కుకక 1. మొగగ 1. నిచ్ేన 1. మజిిగ 1. బుటట
2. నకక 2. ముగుగ 2. మచ్ే 2. దరీి 2. కటెటలు
3. చ్కక 3. బుగగ 3. గచ్ుే 3. బుజాి యి 3. చ్టుట
4. అకక 4. సగుగ 4. పచ్ుేక 4. బుజిి మేక 4. పటట
5. త్క్ెకడ 5. నిగుగ 5. పచ్ేని 5. బొ జి 5. చిటిట
డ - త్ – ద – న – ప -
1. బిడడ 1. కతిు 1. అదదిం 1. న్ానా 1. సరపము
2. గొడుడ 2. సుతిు 2. ఎదుద 2. వెన్ెాల 2. కపుప
3. గడిడ 3. గిత్ు 3. దుదుద లు 3. కనుా 3. బొ ప్రపయి
4. తడుడ 4. గుతిు 4. గదద 4. గిన్ెా 4. దుపప
5. లడుడ 5. విత్ున్ాలు 5. ముదద 5. సన్ాాయి 5. దపపక
బ - మ – య – ర – ల -
1. డబుు 1. పదమము 1. చ్యిి 1. ఛత్ాము 1. ఇలుే
2. అబాుయి 2. త్తమెమద 2. ఉయాిల 2. చ్కరిం 2. పలిే
3. మబుు 3. సమెమట 3. వెయిి 3. కరర 3. మలెే లు
4. క్ొబురి 4. బొ మమ 4. తాత్యి 4. శుకరవరరిం 4. చ్లే
5. రతబుురోలు 5. నిమమక్రయ 5. తియిని 5. యింత్ాిం 5. గులే
6
వ - శ – ష – స – హ -
1. గువి 1. సుదరశనిం 1. కరషకుడు 1. శిరసుు 1. కలహణుడు
2. క్ొవొితిు 2. దూరదరశనిం 2. వరషిం 2. కసుు 2. బరిహ
3. దువెిన 3. దరశనిం 3. హరషిం 3. సరసుు 3. కలాహ రిం
4. త్తవరియి 4. దరిశ 4. శీరిషక 4. బసుు 4. విదాిరహత్
5. అవి 5. సపరశ 5. వరరిషక 5. లసు 5. మలాహ రిం
ళ - క్ష – ఱ –
1. పళెళిం 1. క్షతిాయుడు 1. గుఱఱిం
2. కళెళిం 2. క్షేత్ాిం
3. కళుళ 3. క్షణిం
4. నీళుళ
VII. ద్విత్విక్షరాలత
ఒక హలుే కు అదచ హలుే ఒత్తు చ్చరిే రరయడానిా దవితాిక్షరరలు అింటారత
ఉదా : అకక, మొగగ, గజెి, ముకక, రొయి, అవి, అమమ, అదదిం, బిడడ, అత్ు
సంయుకాు క్షరాలత
ఒక హలుే కు మరొక హలుే ఒత్తు చ్చరితచ సింయుక్రు క్షరిం అింటారత
ఉదా : దురగ, కురీే, గరిన, క్రరతడ , సరానిం, నిదా, గరే సుు, మరరిద, వరణన, వరషిం, విజాా నిం
సంశ్లేషాక్షరాలత
7
ఒక హలుే కు రెిండు వేరత వేరత ఒత్తు లు చ్చరితచ దానిని సింశ్లేషరక్షరిం అింటారత
ఉదా : సుీ, కక్షి, లక్షిమ, అసుీిం, వసుీిం, దారిదాయిం, ఈరషయ, అరహత్, సరమర్యిం
VIII. భాషాభాగాలత
1. న్ామవరచ్కిం
2. సరిన్ామిం
3. క్ిరయ
4. విశ్లషణిం
5. అవియిం
1. నవమవాచక్ం: మనుషతిల, జింత్తవుల, పక్షుల, సథలాల, నదుల, వసుు వుల పేరేను తలిపే దానిని
న్ామవరచ్కిం అింటారత
ఉదా: సత్ తలివెన బాలిక
సింహిం అడవిక్ి రరజు ( పాతి విదాిరి్ త్మ ప్రఠి పుసుకింలోని ఏదన్ా
న్ెమలి మన జాతీయ పక్షి ప్రఠరనిా చ్దవవి అిందులో న్ామవరచ్కములు
తాజ్ మహల్ అిందమెైన కటటడిం గురిుించి త్మ న్ోటు పుసుక్రలలో రరయాలి )
గోదావరి నదవ ప్ొ డవెనదవ
విదాిరత్ లు పుసుకము చ్దువుత్తన్ాారత
2. సర్ినవమం : పేరేకు బదులుగర వరడచ పదాలను సరిన్ామాలు అింటారత
ఉదా: ఆమె వింట బాగర చ్చసుు ిందవ
గోప చ్రతవుకు వెళీళడు. అత్డు చ్చపలు పటాట డు
సునీత్,రజిత్ గుడిక్ి వెళీే రత. వరరత పూజలు చ్చశ్రరత
ప్ో త్న భాగవత్ిం రరసరరత. ఆయన సహజ పిండిత్తడు
8
సింహిం గరిిసుు ిందవ. అదవ అడవిలో ఉింటుిందవ
3. కరియ( పని ) : మనిం చ్చసే పనులను క్ిరయ అింటారత
ఉదా: రరజు ప్రఠిం చ్దువుత్తన్ాాడు
సత్ పుసుకిం చ్దవవిిందవ
రమి న్ాటిిం చ్చసుు ిందవ
రహీిం బడిక్ి ప్ో త్తన్ాాడు
4. విశ్లషణం: న్ామవరచ్కము, సరిన్ామము యొకక గుణాలను తలిపేదానిని విశ్లషణిం అింటారత
ఉదా: ఏనుగు పెదద జింత్తవు
ముఖిమింతిాక్ి ఘనమెైన సరిగత్ిం లభిించిిందవ
కపల్ దచవ్ వేగింగర బౌలిింగ్ చ్చసేవరడు
మింజీరర నదవలో నీళుళ తియిగర ఉింటాయి
భువనగిరి క్ోట విశ్రలింగర ఉనాదవ
5. అవ్యయము : లిింగ వచ్న విభక్ిు పాత్ియాలు లేని పదాలను అవియములు అింటారత
ఉదా: ఆహా! ఈ భవనిం ఎింత్ అిందింగర ఉనాదవ
ఓహో ! ఈ తోట నిందనవనింల ఉిందవ
అమోమ! ప్రము వచిేిందవ
IX. విభకరు – పరత్యయాలత
పరత్యయాలత విభక్తు లత
డు , ము, వు, లు పాథమా విభక్ిు
ని(న్), ను(న్), ల(న్), కూరిే , గురిించి దవితీయా విభక్ిు
9
చ్చత్(న్), చ్చ(న్), తోడ(న్), తో(న్) త్ృతీయా విభక్ిు
క్ొఱకు(న్), క్ెై చ్త్తరీథ విభక్ిు
వలన(న్), కింటె(న్), పటిట పించ్మీ విభక్ిు
క్ి(న్), కు(న్), యొకక, లో(న్), లోపల(న్) షషీ విభక్ిు
అిందు(న్), న(న్) సపుమీ విభక్ిు
ఓ, ఓరి, ఓయి, ఓస సింబో ధన పాథమా విభక్ిు
X. సంధసలత
సంధవ పరిచయం : వరికరణ పరిభాషలో రెిండు సిరరల ( అచ్ుేల ) కలయికను సింధవ అని పలుసరు రత
సంధవ కార్యం : రెిండు అచ్ుేల మధి జరిగే మారతపను సింధవ క్రరిిం అని పలుసరు రత
పూర్ి సిర్ం : సింధవ జరిగే మొదటి పదిం చివరి అక్షరిం లోని అచ్ుేను ( సిరరనిా) పూరి సిరిం అని
పలుసరు రత
పర్ సిర్ం : సింధవ జరిగే రెిండవ పదిం మొదటి అక్షరిం లోని అచ్ుేను (సిరరనిా) పర సిరిం అని
పలుసరు రత
పాధానింగర సింధులు రెిండు రక్రలు ఉింటాయి
1. సంసకృత్ సంధసలత
1. సవరణదీరఘ సింధవ 7. శుేత్ి సింధవ
2. గుణ సింధవ 8. ఘత్ి సింధవ
3. యణాదచశ సింధవ 9. విసరగ సింధవ
4. వృదవద సింధవ 10. నక్రరరింత్ సింధవ
5. అనున్ాసక సింధవ
6. జత్ి సింధవ
10
2. త్ెలతగు సంధసలత
1. అత్ి సింధవ ( లేక ) అక్రర సింధవ
2. ఇత్ి సింధవ ( లేక ) ఇక్రర సింధవ
3. ఉత్ి సింధవ ( లేక ) ఉక్రర సింధవ
1. సవ్ర్ణద్ీర్ఘ సంధవ : అ, ఇ, ఉ, ఋ లకు అవే అచ్ుేలు పరమెైనపుడు వరని దీరరఘ లు ఏక్రదచశింగర వసరు యి.
అ – అ,ఆ ఇ – ఇ,ఈ ఉ – ఉ,ఊ ఋ – ఋ,ౠ ( సవరరణ లు)
ఉదా : రరమాలయిం = రరమ + ఆలయిం
రరమానుజుడు = రరమ + అనుజుడు
కవీిందుా డు = కవి + ఇిందుా డు
భానూదయిం = భాను + ఉదయిం
పత్ౄణిం = పత్ృ + ఋణిం
శీరక్రళహసుశిర = శీరక్రళహసు + ఈశిర
2. గుణసంధవ : అ క్రరరనిక్ి ఇ, ఉ, ఋ లు పరమెైనపుపడు కరమముగర ఏ, ఓ, అర్ లు ఆదచశింగర వసరు యి
అ+ఇ=ఏ , అ+ఉ=ఓ , అ+ఋ=అర్
ఉదా: రరజేిందుా డు = రరజ + ఇిందుా డు రరజరిష = రరజ + ఋష
నరేిందుా డు = నర + ఇిందుా డు దచవరిష = దచవ + ఋష
దచశ్ోనాతి = దచశ + ఉనాతి గృహో పకరణిం = గృహ + ఉపకరణిం
3. యణవద్ేశ సంధవ: ఇ, ఉ, ఋ లకు అసవరరణ లు పరమెైనపుపడు కరమముగర య, వ, ర లు వసరు యి
ఉదా: అత్ివసరిం = అతి + అవసరిం గురౌినాత్ిిం = గురత + ఔనాత్ిిం
పాత్తిత్ురిం = పాతి + ఉత్ురిం అణిసుీిం = అణు + అసుీిం
పాతచికిం = పాతి + ఏకిం పతాా రిిత్ిం = పత్ృ + ఆరిిత్ిం
11
4. వ్ృద్వి సంధవ : అ క్రరరనిక్ి ఏ, ఐ లు పరమెైనపుపడు ‘ఐ’ క్రరము ఓ, ఔ లు పరమెైనపుపడు ‘ఔ’ క్రరము
ఆదచశముగర వసరు యి
ఉదా: వసుధక = వసుధ + ఏక అషెటటశిరిిం = అషట + ఐశిరిిం
రసెక = రస + ఏక వన్ౌషదవ = వన + ఔషదవ
సమెైకిిం = సమ + ఏకిం రసౌచిత్ిిం = రస + ఔచిత్ిిం
పప్ౌఘము = ప్రప + ఓఘము
దవవౌిషధిం = దవవి + ఔషధిం
త్ెలతగు సంధసలత
1. అత్ిసంధవ : అత్తు నకు సింధవ బహుళముగర వసుు ిందవ, అనగర ‘అ’ అక్షరరనిక్ి అ ఇ ఉ ఋ ఏ అక్షరరలనీా
సింధవగర వసరు యి
ఉదా: మేనలుే డు = మేన + అలుే డు ఒకపుపడు = ఒక + అపుపడు
మేనత్ు = మేన + అత్ు వచిేనిందుకు = వచిేన + అిందుకు
సత్కక = సత్ + అకక రరకుింటే = రరక + ఉింటె
రరమయి = రరమ + అయి పుటిటనిలుే = పుటిటన + ఇలుే
2. ఇత్ిసంద్వ : ఏమాిదుల ఇత్తు నకు సింధవ వెకలిపకింగర వసుు ిందవ. ఏమిదుల అనగర “ఏమి”
మొదలగునవి. ఏమి, మఱి, క్ి, అదవ, ఇదవ, అవి, ఇవి, ఏదవ . వెకలిపకిం అనగర సింధవ జరగచ్ుే
జరగకప్ో వచ్ుే. వరికరణింలో ఈ సథతిని వెకలిపకిం అింటారత
ఇత్ిసంద్వ త్పపక్ జర్గాలని నియమం ఏమి లేదస
ఉదా: ఏమింటివి = ఏమి + అింటివి మనిషనావరడు = మనిష + అనావరడు
ఏమియింటివి = ఏమి + అింటివి(ఇక్రరింబుక్రని యడాగింబు) పెక్ెతిున్ారత = పెక్ి + ఎతిున్ారత
వచిేరిపుడు = వచిేరి + ఇపుడు మఱేమి = మఱి + ఏమి
12
గమనిక్ : పరథమ, ఉత్ుమ పుర్ుష, బహువ్చన, కరియల ఇకారానికర సంధవ వైక్ల్పపక్ంగా జర్ుగునస
3. ఉత్ి సంధవ : ఉత్తు నకు అచ్ుే పరమెైనపుపడు సింధవ నిత్ిముగర వచ్ుేను . నిత్ిిం అనగర త్పపక
సింధవ జరతగుత్తిందని అర్ిం
ఉదా: రరముడత్డు = రరముడు + అత్డు
అత్డకకడ = అత్డు + ఎకకడ
మనసెన = మనసు + ఐన
ముిందడుగు = ముిందు + అడుగు
XI. సమాసాలత :
సమాసం : రెిండు వేరేిరత అరర్ లు కల పదాలు కలిస ఒక అర్వింత్మెైన పదిం ఏరపడుటను సమాసిం
అింటారత
సమాసరలు రెిండు రక్రలు:
1. త్త్తపరతష సమాసరలు 2. కరమధారయ సమాసరలు
త్త్పపర్ుష సమాసాలత : సమాసిం లోని రెిండవ పదిం అర్ిం పాధానింగర కలిగిన దానిా త్త్తపరతష
సమాసిం అింటారత
1. పాథమా త్త్తపరతష సమాసిం 8. నఞ త్త్తపరతష సమాసిం
2.దవితీయ త్త్తపరతష సమాసిం
3.త్ృతీయా త్త్తపరతష సమాసిం
4.చ్త్తరీథ త్త్తపరతష సమాసిం
5.పించ్మీ త్త్తపరతష సమాసిం
6. షషీ త్త్తపరతష సమాసిం
7.సపుమీ త్త్తపరతష సమాసిం
13
2. క్ర్మధవర్య సమాసాలత: న్ామవరచ్కిం ( విశ్లషిిం)తో కలిస ఉింటే దానిని కరమధారయ సమాసిం
అింటారత
1. విశ్లషణ పూర్ిపద క్ర్మధవర్య సమాసం : విశ్లషణిం పూరి పదింగర ఉింటే దానిని విశ్లషణ పూరిపద
కరమధారయ సమాసిం అింటారత
ఉదా: వృద్ కప్ో త్ము: వృద్మెైన కప్ో త్ము
అమూలి సమయిం : అమూలిమెైన సమయిం
పెదద కుటుింబిం : పెదదదన కుటుింబిం
పూరణ పురతషతలు: పూరతణ లెన పురతషతలు
2. విశ్లషణ ఉత్ుర్పద క్ర్మధవర్య సమాసం : విశ్లషణిం ఉత్ుర పదింగర ఉింటే దానిని విశ్లషణ ఉత్ురపద
కరమధారయ సమాసిం అింటారత
ఉదా: పురతషో త్ుముడు : ఉత్ుముడన పురతషతడు
క్రరిమక వృదు్ లు : వృదు్ లెన క్రరిమకులు
అడుగుదముమలు : త్ముమల వింటి అడుగులు (పదమములు)
3. విశ్లషణ ఉభయపద క్ర్మధవర్య సమాసం : రెిండు విశ్లషణాలు ఉింటే దానిని విశ్లషణ ఉభయపద
కరమధారయ సమాసిం అింటారత
ఉదా: శీతోషణములు : శీత్లము, ఉషణము లు
4. సంభావ్న పూర్ిపద క్ర్మధవర్య సమాసం: కరమధారయ సమాసింలో సింభావన పూరిపదింగర ఉింటె
అదవ సింభావన పూరిపద కరమధారయ సమాసిం
ఉదా: గింగరనదవ : గింగ అను పేరత గల నదవ
క్రనుగ చ్టుే : క్రనుగ అను పేరత గల చ్టుే
గోవర్న్ాదవా : గోవర్నిం అను పేరత గల అదవా
5. దింది సమాసం : రెిండు పదాలక్ి సమాన ప్రా ధానిత్ కలిగి ఉింటే దానిని దిింది సమాసిం అింటారత
14
ఉదా: త్లిదిండుా లు :- త్లిేయును , త్ిండిాయును
పనిప్రట : పని యును, ప్రట యును
శక్ిు సరమరర్ యలు : శక్ిు యును , సరమర్యమును
రరమలక్షమణులు : రరముడు , లక్షమణుడు
తోడూనీడలు : తోడు , నీడ
6. ద్విగు సమాసం: సమాసింలో పూరి పదిం సింఖాివరచ్కమెైతచ దానిా దవిగు సమాసిం అింటారత
ఉదా: అషట దవకుకలు : ఎనిమిదవ సింఖి గల దవకుకలు
మూడు లోక్రలు : మూడు సింఖి గల లోక్రలు
దవిముఖాలు : రెిండు సింఖి గల ముఖాలు
న్ాలుగెకరరలు : న్ాలుగు సింఖి గల ఎకరరలు
7. బహువ్రరహి సమాసం : అని పదారథ పాధానిం బహువీాహి అనగర సమాసింలో ఉిండచ రెిండు పదాలు
క్రకుిండా క్ొత్ు పదానిా తలియచ్చసే సమాసరనిా బహువీాహి సమాసిం అింటారత
ఉదా: పదామక్షి : పదమిం వింటి కనుాలు కలదవ
గరళ కింఠతడు: గరళము కింఠమునిందు కలవరడు
చ్కరప్రణ : చ్కరము ప్రణయిందు కలవరడు
ధనురరాణప్రణ : ధనురరుణాలు ప్రణయిందు కలవరడు
XII. అలంకారాలత
అలింక్రరరలు పాధానింగర రెిండు రక్రలు
1. శబాద లింక్రరిం 2. అరర్ లింక్రరిం
15
1. శబాా లంకార్ం : శబాద ల యొకక కూరతప వలన సౌిందరరినిా కలిగిించ్ునవి. శబాద లింక్రరరలు క్రవిిం
యొకక బాహి సౌిందరరినిక్ి సింబింధవించినవి. ( ఇవి ముఖిింగర 6 విధాలు: అనుప్రా సరలింక్రరరలు 4
మరియు మిగిలినవి 2 )
అనుప్రా సరలింక్రరరలు:
i. వృతాినుప్రా సరలింక్రరిం
ii. చ్చక్రను ప్రా సరలింక్రరిం
iii. లాటాను ప్రా సరలింక్రరిం
iv. అింతాిను ప్రా సరలింక్రరిం
మిగిలినవి :- i. ముకుపదగరసరు లింక్రరిం ii. యమకిం
1. వ్ృత్వయనసప్ార సాలంకార్ం : ఒక్ే హలుే అన్ేకసరరతే తిరిగి తిరిగి వసుు ిందవ
ఉదా: వీరత ప్ొ మమను వరరత క్రరత ప్ొ గబెటుట వరరత
లలిత్ సుగుణ జాల తలుగు బాల
అడుగులు త్డబడ బుడత్డు నడిచ్ను
అకకడ లేక ఇకకడ లేక మరెకకడ ఉనాటుే
2. చేకానస ప్ార సాలంకార్ం : ఇిందులో రెిండు క్రని అింత్కు మిించి గరని ఉనా హలుే ల జింటలు అర్భేదిం
కలిగి వెింటవెింటన్ే ( అవిధానింగర) పాయోగిించ్బడతాయి
ఉదా: అరటి తొకక తొకకరరదు
హారతి హారతిక్ిచ్ాేరత
నిపుప తొక్ికతచ క్రలు క్రలుత్తిందవ
3. లాటానస ప్ార సాలంకార్ం : ఇిందులో రెిండు సమాన పదాలు అర్భేదిం లేకుిండా తాత్పరిభేదింతో
వెింటవెింటన్ే పాయోగిించ్ుటను లాటాను ప్రా సరలింక్రరిం అింటారత
16
ఉదా: కమలక్షునరిేించ్ు కరములు కరములు
శీర న్ాథుని వరిణించ్ు జిహి జిహి
నరసింహు జూడజాల కనుాలు కనుాలు
4. అంత్వయనస ప్ార సాలంకార్ం : ప్రదింతాలలో క్రని, వరక్రిింత్మున క్రని అదచ అక్షరిం లేదా పదిం మాటి
మాటిక్ి ఆవృత్ిం క్రవడిం
ఉదా: భాగవత్మున భక్ిు ఇదవ మన బడి
భరత్మున ముక్ిు అక్షరరల గుడి
రరమకథ రక్ిు సరసితి దచవి ఒడి
ఓ కూనలమమ మనకు న్ేరతప నడవడి
ii. అరాి లంక్రాలత :
1. ఉపమాలంకార్ం : ఉపమేయమును ఉపమానములతో ప్ో లిే మన్ోహరింగర వరిణసేు దానిా
ఉపమాలింక్రరిం అింటారత
ఉద్వ: సత్ ముఖము చ్ిందాబిింబము వలె అిందింగర ఉనాదవ
4 భాగరలు : i. ఉపమేయము : సత్ ముఖము( ఎవరిని ప్ో లుసుు న్ాాము)
ii. ఉపమానిం : చ్ిందాబిింబము ( ఎవరితో ప్ో లుసుు న్ాాము )
iii. ఉపమావరచ్కిం : వలె ( ఉపమాన్ానిా సమానధరమింతో కలపడానిక్ి వరడచ పదిం )
iv. సమానధరమిం : అిందింగర ( ప్ో లేడానిక్ి వీలెన సమాన పదిం)
ఉదా: భోజనిం అమృత్ిం వలె ఉనాదవ
ఏనుగు నలేని క్ొిండ వలె ఉనాదవ
ఆమె జడ నలేని తాా చ్ుప్రము వలె ఉనాదవ
ఆ నరుక్ి న్ెమలి వలె న్ాటిిం చ్చసుు నాదవ
17
2. ఉత్ేరేక్షాలంకార్ం: ఉపమేయమును ఉపమానముగర ఊహిసేు దానిా ఉతచరేక్షాలింక్రరిం అింటారత
ఉదా: సత్ ముఖము చ్ిందాబిింబమా అనాటుే ఉనాదవ
భోజనిం అమృత్మా అనాటుే ఉనాదవ
ఆ మేడలు ఆక్రశ్రనిా ముదాద డుత్తన్ాాయా అనాటుే ఉన్ాాయి
XIII. ఛందససు – లఘువ్ులత –గుర్ువ్ులత
లఘువ్ు - రెపపప్రటు క్రలింలో లేదా చిటిక్ె వేసే క్రలింలో ఉచ్ేరిించ్చ అక్షరరలు లఘువులు. ఇవి
హర సరిక్షరరలుగర మనిం పలుచ్ుకున్ే అక్షరరలు .
గుర్ువ్ు – దవిమాతాా క్రలింలో లేదా లఘువు ఉచ్ేరిించ్చ సమయిం కింటే ఎకుకవ సమయిం అవసరమయిేి
అక్షారరలు గురతవులు
లఘువు గురతు : I గురతవు గురతు : U
య I
U గం మా U
I ల త్వ U
I స
రా U
న I భా U జ I
మూడు అక్షరరల గుణాలు
భ గణిం – UII స గణిం –IIU య గణిం –IUU త్ గణిం –UUI
జ గణిం – IUI మ గణిం –UUU ర గణిం –UIU న గణిం –III
18
సూర్య గణవలత
గలము (లేదా) హ గణము – UI
న గణిం – III
చందర గణవలత
నలము – IIII
నగము - IIIU
సలము – IIU
భగణిం – UII
రగణిం – UIU
త్గణిం – UUI
19
CLASS : 8 SUBJECT: HINDI
I. संज्ञा
किसी व्यक्ति, वस्िु, स्थान, प्राणी, भाव आदि िे नाम िा बोध िराने वाले शब्िों िो या
नाम िो संज्ञा िहिे है I
जैसे – िु सी, श्रीिृ ष्ण, राम, उपवन, मंदिर, गाय, पिंग, हैिराबाि, अमराविी, चेन्नई, आदि
I
िु छ उिहारण और ललखो I
व्यक्ति -
वस्िु -
स्थान -
II. सववनाम
संज्ञा िे स्थान पर आनेवाले शब्ि िो सववनाम िहिे है I
जैसे – मैं, मेरा, हम, हमारा, िू, िुम, आप, िुम्हारा, वह, वे
उिा : मै, िुम, यह, वह, ये , वे – इन शब्िों से एि – एि वातय बनाओ I
1. मैं पाठशाला जािी हूूँ I
2. वह बाजार जािी है I
III. ववशेषण
संज्ञा और सववनाम िी ववशेषिा बिानेवाले शब्िों िो ववशेषण िहिे है I
उिा : िाला, गोरा, सुन्िर, अच्छा, बुरा, नटखट, होलशयार – इन सभी से एि-एि वातय
बनाओ I
राम िाला लड़िा है I
IV. किया
क्जन शब्िों से किसी िाम िे होने िो बोध होिा है, उन्हें किया िहिे है I
20
उिा : खाना, पीना, हूँसना, रोना, गाना, आना, जाना, आदि I एि एि वातय बनाओ
V. किया ववशेषण
किया िी ववशेषिा बिानेवाले शब्िों िो किया ववशेषण िहिे है I
उिा : धीरे-धीरे, जल्िी-जल्िी, िेज
वातय : घोडा िेज िौड़िा है I
िु छ और वातय बनाओ I
VI. िारि चचन्ह
क्जन शब्िों से वातयों िो पूणव किया जािा है उन्हें िारि िहिे है I
उिा : िा, िी, में, से, ने, िे , िे आगे, िे पीछे, िे ऊपर, िे नीचे
वातय: गोपाल राम िा भाई है I
िु छ और वातय बनाओ I
VII. निारात्मि शब्ि
क्जन शब्िों से िायव िे नहीं िरने या न होने िा बोध होिा है, उन्हें निारात्मि शब्ि
िहिे है I नहीं, मि
उिा : मुझे िूध नहीं चादहए I
िु छ और वातय बनाओ I
VIII. ववलोम शब्ि
1. संभव X असंभव 4. राजा X रंि
2. संिुष्ट X असंिुष्ट 5. गरीब X अमीर
3. सुख X िुुःख 6. पृथ्वी X आिाश
7. आिर X अनािर 9. आदि X अंि
8. आधार X ननराधार 10. आजािी X गुलामी
21
ललंग
1. नर – मािा 6. शेर – शेरनी
2. राजा – रानी 7. नर िौआ – मािा िौआ
3. मािा – वपिा 8. नर – नारी
4. चाचा – चाची 9. पुरुष – मदहला
5. मोर – मोरनी
वातयों में रेखांकिि शब्ि िा ललंग, वचन बिलिर ललखो I
1. राम पाठशाला जािी हूूँ I ( ललंग )
2. मैं पुस्िि पढिा हूूँ I ( वचन )
िु छ और उिाहण ललखो I
IX. िाल
1. विवमान िाल : अभी जो समय चल रहा है , उसे विवमान िाल िहिे है I
उिा : 1. राम खाना खा रहा है I
2. सीिा बाजार जा रही है I
िु छ और उिाहण ललखो I
2. भूििाल : बीिे हुए समय िो भूििाल िहिे है I
उिा : राम ने खाना खा ललया I
राजा िंड िे चुिा है I
िु छ और उिाहण ललखो I
3. भववष्यि ् िाल : आनेवाले समय िो भववष्य िाल िहिे है I
उिा : मै िल िोपहर गाूँव जाऊूँ गा I
मै िल पालि िी सब्जी बनाऊूँ गा I
22
िु छ और उिाहण ललखो I
X. समास
द्वंद् समास : क्जस समास िे िोनों पि प्रधान होिे है िथा ववग्रह िरने पर और अथवा
या एव योजि चचन्ह लगिे है I
मािा – वपिा दिन – राि सुख – िुुःख
राजा – रानी भाई – बहन राजा - प्रजा
द्ववगु समास : द्ववगु समास में पहला पि संख्यावाचि होिा है I
उिा : पंचमुख , त्रिनेि , पंचविन , िशानन , आदि I
समास िे छुः भेि है :
1. अव्ययीभाव 2. ित्पुरुष 3. द्ववगु
4. द्वंद् 5. बहुव्रीदह 6. िमवधारय
XI. अक्षरों में ललखखए :
1815 - 1590 -
1720 – 1406 -
1932 – 1300 -
2020 – 1947 -
1677 - 1980 -
23
Class:VIII Subject: English
INDEX
I Compound Nouns
II Prefixes & Suffixes
III Degrees of comparision
IV Use the correct forms of the tense
V Identify the verbs and write noun forms for them
VI Articles
VII Adding question tags
VIII Antonyms & Synonyms
IX Scrambled sentences
X Re write as direct
XI Short forms & full forms
XII Identify the pharasal verbs
XIII Proverbs
XIV Types of tenses
24
XV If- Conditionals
XVI Arrange in alphabetical order
25
I. Compound Nouns:
Compound noun means it is a combination of two nouns.
Eg: Sugar +cane= Sugarcane
Birth + day=birthday
Motor +cycle=motorcycle
Gate + way=gateway
Hand +kerchief=hand kerchief
Fire + wood=firewood
Moon + light=moonlight
Sun + flower= sunflower
Door + bell=doorbell
Sun + shine= sunshine
Cup + board= cupboard
Activity: Teacher should ask the students to read the lesson and underlined the
compound words and note down in their note books.
II. Prefixes and Suffixes:
Prefixes Suffixes
Eg: Take = mistake Eg: Stood= understood
A prefix is a group of letters placed before the root of a word
Happy- unhappy
A suffix is a group of letters places after the root of the word
Happy- happiness
Place – misplace place-placement
Law- mother-in-law law- lawyer
Legal-illegal legal-legally
Mature- premature mature-maturity
Health-illhealth health-healthy
26
Act- enact act- actually
Appear- disappear appear-appearance
Develop-undevelop develop- development
Fix-prefix fix-suffix
Lucky-unlucky lucky- luckiest
Activity: Teacher should ask the students to read the lesson and ask them to frame
such words in the form of prefix and suffix
III. Degree of comparison:
There are three degrees of comparison 1. Positive, 2. Comparative, 3. Superlative
Eg: Tall -Taller- Tallest
Sweet-Sweeter-Sweetest
Hard-Harder-Hardest
Useful-More useful- Most useful
Beautiful-More beautiful-Most beautiful
P.D: The elephant is a big animal
P.D: No other animal is as big as an elephant
C.D: Elephant is bigger than any other animal
C.D: Elephant is the biggest animal
S.D: Elephant is the biggest animal
Activity: 1. Read a lesson and underline adjectives
Most adjectives have three different forms to show degree of comparison : They are
Positive, Comparative and Superlative degrees
IV. Use the correctforms of the tenses: The correct form of a verb depends on the word
before the verb, the tense of the sentence and the subject:
Eg: My mom (cook) ______________ evernight (A. Cooks)
1. I lived in Delhi for two weeks. A . had lived
2. Please keep quiet ! The students write an exam in the next room A. are writing
27
3. The train (leave) ____________ by the time I reached the platform A. Had left
4. Listen ! someone (knock) ___________ at t he door( knocks)
5. My brother is ____________ honest engineer(an)
Activity: Teacher should ask the students to read the lesson and made them to write such
sentences in the note book.
V. Identify the verbs and write noun forms for them:
Raman was equally delighted
The underlined word “delighted” is a verb and has been used to exress a feeling of joy orr
happiness . Its noun form is “delight”
Now look at the following:
Verb Noun
Enjoyed enjoyment
Surprised surprise
Appoint appointment
Worried worry
Satisfied satisfaction
Teacher should ask the students to read the lesson and identify the verb forms and noun
forms.
VI. Use the Articles:
Articles are of two types : Definite and indefinite
Definite articles: The
Indefinite articles : a, an
Usage of definite article: “The is used in front of singular or plural nouns and adjectives .
Eg: Give me the ball
These are the girls whom we met
He is the tallest boy
Indefinite articles: use “a” before nouns or adjectives that start with a consonant sound.
28
Eg: a car, a boy, a van
Use “an” before nouns or adjectives that start with a vowel sound.
Eg: an umbrella, an apple, an envelope
Activity : Teacher should ask students to read a lesson from the text book
Frame sentences by using the articles a, an and the
VII. Additing question tags:
Tag questions turn a statement into a question usually if the main clause is positive. The
question tag is negative, and if the main clause is negative, the question tag is positive . A
short question you add after a statement.
Eg: They are going to London: A: Aren’t they?
They are not coming A: Are they?
1 . You are coming to the party
2 You are not ill
3 She is beautiful
4 He is not stupid
5 Jack is from Spain
Teacher should ask the students to read a lesson and frame the question tags and write that in
the note book
VIII. Antonyms & Synonyms:
Antonyms are opposites Synonyms are similar
Hot / cold Present/ gift
Fast / slow cat/kitty
Old/ young dog/ pooch
Old/new frightened/ scared
Exhausted/ energized quick/ fast/ speedy
Heavy/ light tug/ pull
Teacher should ask the students to read a lesson and frame Antonyms & synonyms at
least ten in each.
29
IX. Scrambled sentences/ Words:
Scrambled is defined as to mix, stir or throw together in a random manner. (or)
Rearrange the sentences / words to create the correct sequence.
Eg: mangoes/ the / are/ expensive
A. The mangoes are expensive
Sentences: Three the has cake pink candles
The cake has three pink candles.
1. Then he taught them to perform on command.
2. It is said that if you are fortunate enough to see them blow bubbles you will be lucky in
marriage.
3. The trio were taught to take in the air from the trainers oxygen tank.
4. Three bubble-lowing beluga whales are big attraction a the Aquas Aquarium in Japan.
5. A trainer noticed them casually blowing rings on their own
Teacher should ask the students to read a lesson and prepare a paragraph for scrambled the
sentences.
X. Rewrite as directed:
Eg: Lata wants to use our mobile phone(Givepermission using “may”)
A. You may use my mobile phone whenever you want
1. The earth moves _______ the sun(using a suitable preposition)
A. Round
2. Kolkata is one of the largest cities in India(Change into comparative degree)
A. Kolkata is larger than some (or) many other cities in India.
3. She____________ (work) in our school since 2008. (Use the correct form of tense)
A. She has been working in our school since 2008
4. I am a good boy(Add question tag)
A. Amn’t I?
5. Bin Laden attacked the world trade centre(Change to possive voice)
30
A. The world trade centre was attacked by Bin Laden
Teacher should ask the students to read a lesson practice the sentences as directed.
XI. Short forms & Full Forms:
Eg: He used to spend his hours after office in the lab.
The underlined word “lab” is in the short form. Its full form is “ Laboratory”
Look at the following:
Short Forms Full forms
Plane aeroplane
Kilo kilogram
Photo photograph
Bike motorbike
Mike microphone
It’s it is
That’s That is
Teacher should ask the children to read a lesson and identify the short forms then write
them in full forms.
XII. Identify the Phrasal Verbs:
It is a verb that is made up of a main verb together with an adverb or a preposition or
both.
Eg: She has always looked down on me
Fighting broke out among a group of 40 men
A phrasal verb is a combination of words(a verb + a preposition/ verb + adverb)
Break Down: Our car broke down at side of the highway.
Get upset: The woman got upset when the police told her that her son has died.
Check Out: You hae to check out the hotel before 12:00noon
Cut off : The phone company cut off our phone because we didn’t pay the bill.
Dress up: It’s a fancy restaurant so we have to dress up.
31
Activity: Teacher should ask the children to read a lesson and identify the phrasal
verbs from the text book.
XIII. Proverbs:
It is a sort sentence, usually known to many people stating something commonly
experienced or giving advice. Here are some of them:
1. Tit for tat
2. Where there is a will there is a way
3. Failure is the stepping stone to success.
4. Pen is mighter than sword.
5. Empty vessels make much noise.
Teacher should ask the students to collect some more proverbs and write than in the note
book.
XIV. Types of Tenses:
Tenses:
Definition : Tenses mean time. It is the change form of averb. It shows the time of an action.
Tenses are of three types: 1. Present Tense 2. Past Tense 3. Future tense
Present tense: A verb that refers to the existing (or) present time.
Past Tense: A verb that refers to what had happed
Future tense: A verb that refers to what will happen next
Again each tense is divided into four sub – tenses
Sub-Tenses: Simple Tense Continuous Tense
Perfect Tense Perfect Continuous Tense
1. Simple Tense: If an action is complete (Or) not. Hence it is also called present “
indefinite”
Form of Verb: In this tense , if the subject of present tense, in thrd person singular add ‘s’ (or)
‘es’ to the verb.
Uses: This tense is used to express habitual actions .
32
Eg: I go to school
She goes to school
This tense is used to indicate external (Or) universal truth
Eg: The sun rises in the east
This tense is used to express past events in a dramatic manner.
Eg: Rama takes an arrow and kills Ravana
This tense is used to indicate quotations
Eg: Gandhi say “always speak the truth”
2. Present Continuous Tense: form of verbs am , is, are + verb+ ing (be forms)
Uses: This tense is used to represent an action which is going on at the present time.
Eg: I am writing a letter
He is playing cricket
They are taking lunch
3. Present Perfect Tense: Form of verb : have , has + V3 (past participle)
He is used third person singular
Have is used rest of other persona
Uses: This tense is used to express an action which just been completed
Eg: I have completed my work
He has gone to college
4. Present perfect continuous tense:
Form of verb : have been , has been + verb+ing
Uses: This tense is used to express an action which began in the past and is going on at he
time of speaking.
Eg: I have been completing my work for 2 hours
He has been going to college since Monday
II.1. Simple past Tense: Form of verbs: Use past tense verb only
33
Uses: This tense is used to indicate an action that was completed in the past.
Eg: The principal visited all the classes last week.
2. Past Continuous Tense:
Form of verb: was , were,+ ing form (was is for singular, were is for plural)
Uses: This tense is used to indicate an action which was going on at a certain time in the past.
Eg: Radha was teaching the lesson Yesterday at 10 am
3.PastPerfect Tense: Form of verb : Had+v3 (Past Participle Tense verb) ‘had’ is common
for all (Singular/ Plural)
Uses: This tense is used to indicate an action which was completed. Earlier than another
action.
Eg: She had slept before he came
4.Past Perfect Continuous Tense:
Form of verb: had been +verb+ing
Uses: This tense is used to indicate an action which began in the past continued upto some
extent (or) point of time in the past.
Eg: The students had been playing cricket since Yesterday at 10 AM to 5 PM.
III.1. Simple Future Tense:
Form of verb: Shall , will + present tense verb
Uses: This tense is used to indicate an action that will take place in future.
Eg: I shall go to school tomorrow.
They will come to my house next week.
1. Future Continuous Tense:
Form of verb: Shall be, will be+ verb + ing
Uses: This tense is used to indicate an action that will be going on at some time in future.
Eg: I shall be going to school at this time tomorrow they will be coming to my house next
week at this time.
2. Future perfect Tense:
Form of verb: shall have , will have + v3 ( past participle verb)
34
Uses: This tense is used to express an action that will be gong on over a period of time which
will end in the future.
Eg: By this time of next year they will have finished their work.
By this time of next month I shall have completed my work.
3. Future Perfect Continuous Tense:
Form of verb: Shall have , will have +been +verb+ing
Uses: This tense is used to express an action that will be going on over a period of time
which will end in the future.
Eg: When he completes his studies , his father will have been working for two years in U.S
Activity: The teacher should ask the students to read a lesson and made them to identify.
35
Present: V1, V2, V3
Eg: eat ate eaten
Past:
Persons Simple V2 Continuous
be+V1 +ing
Perfect had+V3 Perfect
continuous
had+been+V1+ing
1st S
P
I ate I was eating I had eaten I had been eating
We ate We were eating We had eaten We had been
eaten
2nd
S/P
You ate You are eating You had eaten You had been
eating
3rd S/P He/She/It ate He/She/it was
eating
He/She/It had
eaten
He/ She/ it had
been eating
They ate They were
eating
They had eaten They had been
eating
Simple
V1
Continuous be+
v1+ing
Perfect
have/has +v3
Perfec continuous
have/ has
+been+verb+ing
I eat I am eating I have eaten I have been
eating
We eat We are eating We have
eaten
We have been
eating
You eat You are eating You have
eaten
You have been
eating
HE/ She/
It eats
He/She/It is eating He/ She/It has
eaten
He/She/It has
been eating
They eat They are eating They have
eaten
They have been
eating
Forms
1st
S
P
2nd
S/P
3rd
S
P
36
Future:
Persons Simple shall/
will +V1
Continuous
shall/ will
+be+ V1+ ing
Perfect
shall/will+have+V3
Perfect continuous
shall/will+been+V1+ing
1st
S
P
I shall eat I shall be
eating
I shall have eaten I shall have been
eating
We shall eat We shall be
eating
We shall have
eaten
We shall have been
eating You will have
been eating
2nd
S/P
You shall eat aYou shall be
eating
You will be eating You will have been
eating
3rd S/P He/she/it
will eat
He/she/It will
be eating
He/she/it will be
eating
He/she/it will have
been eating
They will eat They will be
eating
They will be eating They will have been
eating
XV. If Conditional: It’s form uses a conditional clause in the present simple, and the main
clause in the future tense. The main clause will use a modal , like would, should, could,
will , may, might or can.
Here are some examples:
If I sleep now. I will be up all night
There are four types of conditionals, They are 1) The zero conditional (present real condition)
2. The first conditional (Present or future real conditional)
1. The second conditional (Present unreal conditional)
2. The third conditional (Past unreal conditional)
Some sentences: 1. If I am late, my teacer ask me stand upon the bench
2. When you mix red and white , you get pink
3. If you walk quickly , you will catch the bus.
37
4. If you disturb a snake , it bites you.
5. You get well if you take medicine
Teacher should ask the students to identify some more sentences.
XVI. Arrange in alphabetical order:
Envisage, foundry, interplay, gnomic, emancipate, conscious, formulate, boot, buy, bring,
beast, evacuate, arrow, agree, evil, aeroplane, after, astronaut, banish, canvas, crispy, coop,
citrus, dye, dusk, dawn, dumb, dig, dreadful, exemption.
Activity: Teacher should ask the students to read 10 pages from the text book.
38
Class: VIII Subject : Mathematics
1. Natural Numbers: The numbers which are used for counting are called
natural numbers. It is denoted by “ N”
N= { 1,2,3, ………………}
2. Whole Numbers: Natural numbers and zero is called whole number. It is
denoted by “ W”
W= { 1,2,3, ………………..}
3. Integers: A collection of negative numbers, positive numbers and zero is
called Integers. It is denoted by “Z” and “I”
Z= { ……………-3,-2,-1,0,1,2,3, ……………}
4. Prime numbers: A number having factors are 1 and itself is called prime
number. It is denoted by P.
Eg: 2,3,5,7………..
Note : 1 to 100- “25” prime numbers.
Properties of Integers under addition:
1. Closure property: The sum of any two integers is always an integers.
Therefore , integers are closed under addition.
In general , for any two integers ‘a’ and ‘b’ a+b is also an integer.
Eg: Any two integers a=2, b=-5
a+b= 2+(-5) = 2-5=-3
-3 is also an integer.
There fore integers are closed under addition
39
2. Commutative property: In general , for any two integers ‘a’ and ‘b’
a+b=b+a
Eg: Any two integers a=5 and b=-2
a+b=5+(-2)=5-2=3
b+a=-2+5=3
So a+b=b+a
There fore integers are commutative under addition.
3. Associative property: In general , for any three integers a, b and c
(a+b)+c=a+(b+c)
Eg: Any three integers are a=2, b=3 and c=5
(a+b)+c=(2+3)+5=5+5=10
a+(b+c)=2+(3+5)=2+8=10
(a+b)+c=a+(b+c) Note: Give more examples
4. Identity Property(or)Additive property: In general , for any integer a,
a+0=0+a=a
Eg: One integer is a=2
a+0=2+0=2
0+a=0+2=2
a+0=o+a=a
5. Inverse property (or) (Additive inverse)
In general, for any integers ‘a’ . There exist an integer (-a) such that
a+ (-a) = -a+a=0
here (-a) is called the additive inverse of ‘a’ and ‘a’ is called the additive
inverse of (-a)
Eg: Any one integer is a=3
40
a+(-a) = 3+(-3)=3-3=0
-a+a=-3+3=0
a+(-a) = -a+a=0
There fore 3 is additive inverse of -3
Note: Give more examples: ------------ and write under multiplication also.
Fractions:
1. Proper fractions: A proper fraction is a fraction that represents a part of a
whole (small numerator and big denominator)
Eg: ½, 1/3, 2/5, 5,/7 etc.,
2. Improper fractions: An improper fraction is a fraction in which the
numerator is more then denominator(small denominator and big numerator)
Eg: 25/3, 21/ 4, 294/ 100 etc
3. Mixed fractions: A mixed fraction contains an integer part and a fractional
part.
Eg: 2 1/3, 5 1/3, 2 ¼ etc.,
4. Like fractions: The fractions having same denominators are c alled like
fractions.
Eg: 1/5,3/5, -2/5, 7/5 etc…………
5. Unlike fractions: The fractions with different denominators are called
unlike fractions.
Eg: 5/7, 2/5, 5/8, 3/5, -2/9 etc………………
Addition of two or more like fractions:
i. 2/3 +5/3
Sol: 2 + 5 = 2+5 = 7
3 3 3 3
41
ii. 5 + 8 + 2 = 5+8+2 = 15
7 7 7 7 7
iii. Find 2/8+6/8+3/8
i. Find ½+(-3)/2+7/2
ii. Find (-5) /9+3/9+(-3)/9
Subtraction of two or more like fractions:
i. 5/3-2/3
Sol: 5 - 2 = 5- 2 = 3/3=1
3 3 3
ii. 2/3-5/3-1/5
Sol. 2/5-3/5-1/5= 2-3-1 = 2-4 = -2
5 5 5
iii. Find 3/6-2/6-8/6
iv.Find -5/7-(+6)/7-6/7
Addition of unlike fractions:
1. 2/3+3/2
Sol. 2/3+3/2
LCM of 2,3 is 6
2/3+3/2=2X2+3X3 = 4+9 = 13
6 6 6
Method – II
Find 2/3+3/2
Sol. 2 + 3 = 2X2 + 3X3 = 4 + 9 = 4+9 =13
3 2 3X2 2X3 6 6 6 6
42
ii)Find ¾+5/2
iii)Find5/3+4/2+4/5
i) Find 4/5+2/3+4/8
Multiplication of fractions:
1. Find 2/3X-5/2
Sol.2/3X-5/2=-10/6
1) Find 3/2X4/5X2/1
2) Find 1/3X2/4X-3/2
Division of fractions: Find 2/3÷1/2
Sol. 2/3÷/=2/3/1/2= 2/3 X 2/1= 2X2 =4/3
3X1
ii)Find 3/5÷5/3
i) Find 4/6 ÷3/5
ii) Find 2/2÷3/5÷1/2
Decimal numbers:
Eg: 2 4 7 . 2 4 Hundredth
Tenths
Hundred Tens Ones
Expanded Form is =2X100+4X10+7X1+2X ½ +4X1/100
= 200+40+7+2/10+4/100
Write expanded for given below:
i. 347.29
ii. 447.249
43
iii. 4974.2030
Addition of decimal numbers:
i. Find 10.23+9.57
10.23
+ 9.57
19.80
ii. Find 24.945+30.021
24.945
+ 30.021
54.966
iii. Find 10.2+21+0.24
iv. Find 247.1+307.24+2.23
v. Find 501.2+0.397+1.001
Subtraction of decimal numbers:
i. Find 19.13-15.02
Sol. 19.13
-15.02
04.11
ii. Find 49.952-30.241
Sol. 49.952
-30.241
19.711
iii. Find103.93-95.53
iii. Find 2039.2-1001.9
44
Multiplication of decimal numbers:
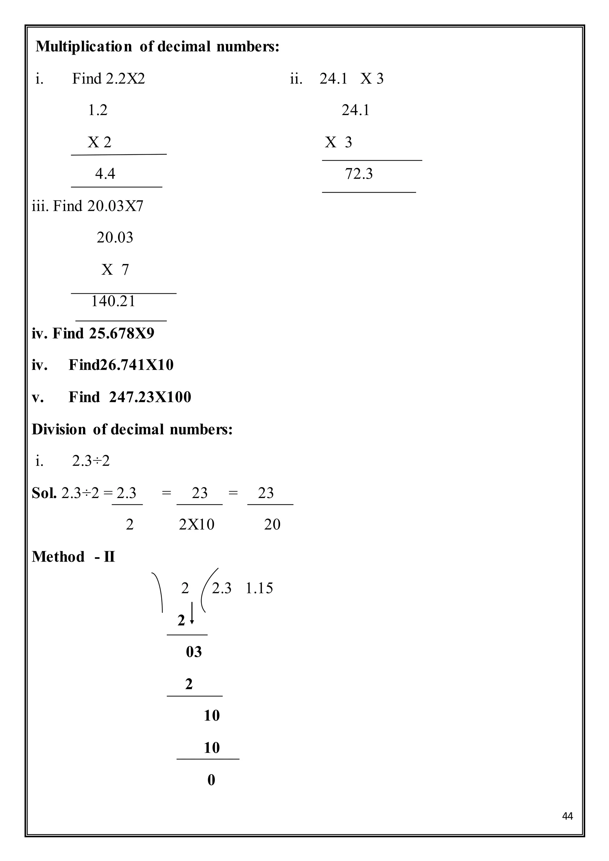
i. Find 2.2X2 ii. 24.1 X 3
1.2 24.1
X 2 X 3
4.4 72.3
iii. Find 20.03X7
20.03
X 7
140.21
iv. Find 25.678X9
iv. Find26.741X10
v. Find 247.23X100
Division of decimal numbers:
i. 2.3÷2
Sol. 2.3÷2 = 2.3 = 23 = 23
2 2X10 20
Method - II
2 2.3 1.15
2
03
2
10
10
0
45
Converting kilometer into meter, centimeter
1kilometer =1000 meters
1meter = 100 centimeter
1centimeter = 10mm
1kilogram =1000grams
1gram = 1000milli grams
1rupee =100 paise
i. 235 paise convert to rupees
Sol. 235=235/ 100=2.35 rupees 1 rupee= 100 paise
1paise = 1/100 rupee
ii. 9 paise convert into rupees
Sol. 9 paise= 9/100= 0.09rupees
iii. 22 paise convert into rupees
iv. 78 rupees convert into paise
v. 9840rupees convert into paise
vi. Express10 kilometers in meters
Sol. 10km=10X1000=10000meters
vii. Express49 kilometers in meters
Sol. 49km= 49X1000=49000meters
46
viii. Express45mm in centimeters, meter, andkilometer.
Sol. Centimeter : 45mm= 45X1/10=45/10=4.5cm 1cm =10mm
1mm= 1/10 cm
Meters: 1m=100cm
1m=100X10mm
1m= 1000mm
1/1000m=1mm
45mm=45X1/1000m
=45m/1000
=0.045m
Kilometers: 1km= 1000m
1km=1000X100cm
1km= 1000X100X10mm
1km=1000000mm
1/1000000=1mm
45mm=45X 1/1000000=45mm/ 1000000=0.000045mm
Lines and angles:
Line segment: Line segment having two and point is denoted by . A .B
ii. Ray: Ray having only one endpoint it is denoted by OA
A O
iii.Straight line : Straight line having no end points it is denoted by AB
A B
iv.Complementary angle: The sum of two anglesisequal to 90° , then anglesare
called complementary angles. B C
BOC+ COA=50+40=90° A 50°+40°=90°
47
Vertically opposite angles: When two angles intersect , the angle that are
formed opposite to each other at the point of intersection are called vertically
opposite angle.
m d
a c
b
l
Angle ‘a’ is equal to angle ‘c’
Angle ‘b’is equal to angle ‘d’
Angles made by a transversal : When a transversal cuts lines , 8 angles are
formed. Out of these 8 angles, 4 angles are interior angles and 4 angles are
exterior angles . 1 2 P
L 3 4
5 6
m
7 8
Here ‘l’ and ‘m’ are two lines intersected by the transversal “p” . Eight
angles 1 2 3 4 5 6 7 and 8 are formed .
The four angles 3 4 5 and 6 lying inside ‘l’ and ‘n’ are called interior
angle.
The four angles 1 2 7 and 8 on the out side of the lines ‘l’and ‘m’ are
called exterior angles.
Corresponding angles : In adjacent figure four
Pairs of corresponding angles. 1 2 i. 1 and 5 ( 1= 5)
L 3 4 ii. 2 and 6 ( 2 = 6 )
5 6
m iii. 4 and 8 ( 4 = 8 )
7 8 iv. 3 and 7 (3 = 7)
48
Alternative exterior angle: a pair of exterior angle having different
vertices and on the either side of the transversal are called exterior alternative
angle.
Alternative Interior angles: A pair of interior angles having different
vertices and on the either side of the transversal are called interior alternative
angles.
Triangle : A triangle is a closed figure made up of three line segments
i. Three sides are PQ, QR, RP P
ii. Three angles are PQR , QRP, RPQ
iii. Three vertices are P,Q,R Q R
Area of triangle = ½ X base X height
Perimeter of triangle = sum of the all sides
Base on sides types of triangles:
i. Equilateral triangle: A triangle having all three sides of equal length is
called as equilateral triangle. P
All sides are PQ=QR=RP
Q R
ii. Isosceles triangle: A triangle having at least two sides of equal length is
called Isosceles triangle. Two sides are PQ=QR P
Q R
iii.Scalene triangle : If all the three sides of a triangle are of different length,
the triangle is called a scalene triangle. P
Three sides are different 3cm 5cm
PQ=3cm
QR=4cm Q 4cm R
RP=5cm
49
Profit and loss percentages:
Profit = selling price- cost price
Loss= Cost price –selling price
Profit percentage= Profit X 100
Cost Price
Loss percentage = Loss X 100
Cost price
i. A shop keeper bought a suitcase for Rs. 480 and sold it for Rs. 540. Find his
gain or profit percentage.
Sol. Cost price (C.P)= 480
Selling price (SP)= 540
Profit = selling price – cost price
= 540-480
=60
Profit percentage = profit X100
Cost price
= 60/480X100=25/2=12 ½ %
ii. Ajay brought a TV for Rs. 15000 and it for Rs. 1400. Find the loss
percentage?
iii. Ramu sold a plot of land for Rs. 2,40,000 gaining 20% for how much did
he purchase the plot.
iv. Simple Interest(S.I) : P X T X R P= Principal
100 T= Time
R= Rate of Interest
Amount= principal + interest A = P X T X R A= P [1 + TR ]
100 100
50
i. Find the interest on a sum of Rs. 8250/- for 3 years at the rate of 8% per annum.
Sol. Principal(p) = 8250
Time (T) = 3
Rate of interest=8
Simple Interest = P X T X R = 8250 X 3 X 8 = 165 X 12 =1980
100 100
ii. Rs. 3000 is lent out at 9% rate of interest. Find the interest which will be
received at the end of 2 ½ years.
iii. In what time will Rs.6880amount to Rs.7224 if simple interest is calculated
at 10% per annum.
Arithmetic Mean, Mode, Median: The average of a data iscalled Arithmetic mean
(or) mean
Average (or)mean (or) A.M= Sum of all observation
No. of observation
Eg: The ages of players are in a team of 16,16,16,14,17,18. Find the mean
Sol. Mean age of the players= 16+16+16+14+17+18 = 97 =16.16 year
9 6
Mode: The most frequently occurring value for a set off observations is called the
mode.
i. Find the mode of 5,6,3,5,9,5,6,9,5
Sol. Mode is 5
ii. Find the mode of 10,15,20,15,20,10,15,20,10
iii. Find the mode of 7,9,8,7,10,13,14,7
Exponents: The product a X a X aX ------------------ X a m times can be
written as am a = base; m= power(or) exponent
51
i.For any non-zero integer ‘a’ and ‘b’ integers ‘m’ and ‘n’
1. am X an = a m+n
2. (am) n = amn
3. amX bm = (ab)m
4. a-n = 1
an
6. am = am-n if m>n
an
7. am = 1 if n>m
an am-n
8. ( a/b) m = am / bm
9. a°= 1
i. 34 X 39 = 34+9 = 313 [ am X an = am+n ]
ii. 311 X 39
iii. 2°+3°+41 simplify
iv. If 56 X 52x = 510 ,then find x
v. Simplify (Xa/ Xb )a X (Xb/Xa )a X (Xa /Xa )b
Quadrilateral : Asimple closed figure formed by four line segment is called
a quadrilateral. C
A quadrilateral has four sides, four vertices and four angles. D
Four vertices A,B,C,D
Four sides AB,BC,CD,and DA A B
Four angles ABC,BCD, CDA,and DAC
AC, BD are diagonals of quadrilateral.Inquadrilateral sumof the 4 angles are 360°
52
Types of quadrilateral: Based on the nature of the sides and angle,
quadrilateral, have different names.
Rectangle Rhombus
Square Trapezium
Parallelogram Kite
i. Square : ABCD is Square D C
Side of square= a a a
Perimeter of square = 4Xa=4a
Area of square = side X side= a X a=a2 A a B
ii. Rectangle: ABCD is a rectangle
Length of rectangle = l D l C
Breadth of rectangle = b b b
Perimeter of rectangle = 2(l+b)
Area of rectangle = lXb A l B
iii. Parallelogram: D C
Parallelogram ABCD
Opposite sides are equal
Opposite angles are equal A B
Diagonals bisect one another
Area of parallelogram =1/2 X base X height D
iv. Rhombus: Area of Rhombus = ½ Xd1 X d2 A C
diagonals are AC,BD d
B
d
53
Eg. Diagonals are 8,6 find the area of rhombus
Sol. d1= 8cm d2 = 6cm
Area of rhombus = ½ Xd1 X d2
= ½ X8X6
= 4X6=24cm2
ii. Diagonals are 12cm,16cm . Find the area of rhombus?
iii. If the length of one diagonal of a rhombus whose area 216 sq.cm is 24 cm
.Then find the length of second diagonal?
v. Circle : Centre is O C
Radius of circle = r
Diameter of circle =d A B
Area of circle is = Πr2
Perimeter of circle = 2Πr ( Note Π value is 22/7)
Symmetry : A figure is said to have line symmetry if a line can be drawn
dividing the figure into two identical part. This line is called a line of
symmetry.
Eg:
D
r O
o
54
3D and 2D shapes:
3D shapes are :
i.Cube
ii. Cuboid
iii.Cone
iv.Cylinder
v.Shape
vi. Pyramid
2D shapes are
i.Square
ii. Rectangle
iii Circle
iv. Parallelogram
v. Rhombus
55
56

8 basic booklet

  • 1.
    1 CLASS : 8SUBJECT: TELUGU విషయ సూచిక : I. అక్షరమాల II. గుణింతాల గురతు లు III. గుణింతాలు IV. మహాప్రా ణాక్షర గుణింతాలు V. ఒత్తు లు VI. ఒత్తు లతో వచ్చే పదాలు VII. దవితాిక్షరరలు - సింయుక్రు క్షరరలు – సింశ్లేషరక్షరరలు VIII. భాషరభాగరలు IX. విభక్తు లత X. సింధులు XI. సమాసాలత XII. అలంకారాలత XIII. ఛందససు I. అక్షరమాల అ నుిండి ఱ వరకు
  • 2.
    2 అచ్ుేలు – 16 అఆ ఇ ఈ ఉ ఊ ఋ ౠ ఎ ఏ ఐ ఒ ఓ ఔ అిం అః హలుే లు – 36 క ఖ గ ఘ ఙ చ్ ఛ జ ఝ ఞ ట ఠ డ ఢ ణ త్ థ ద ధ న ప ఫ బ భ మ య ర ల వ శ ష స హ ళ క్ష ఱ ఉభయాక్షరరలు : ంిం సున్ాా, ం అరసునా, ంః విసరగః II. గుణింతాల గురతు లు అ నుిండి అః వరకు III. సరళ గుణింతాలు క – క క్ర క్ి క్ీ కు కూ కృ కౄ క్ె క్ే క్ెై క్ొ క్ో క్ౌ కిం కః అ -√ ఉ –ంు ఎ –ం ఓ –ం ఆ – ంర ఊ –ంూ ఏ –ంచ ఔ –ం ఇ –ం ఋ –ంృ ఐ –ం అిం –ంిం ఈ –ం ౠ –ంౄ ఒ –ం అః –ంః
  • 3.
    3 గ – గగర గి గీ గు గూ గృ గౄ గె గే గెై గో గో గౌ గిం గః చ్ – చ్ చ్ా చి చీ చ్ు చ్ూ చ్ృ చ్ౄ చ్ చ్చ చ్ చ్ొ చ్ో చ్ చ్ిం చ్ః జ - జ జా జి జీ జు జూ జృ జౄ జె జే జె జొ జో జౌ జిం జః ట – ట టా టి టీ టు టూ టృ టౄ టె టే టె టొ టో టౌ టిం టః డ – డ డా డి డీ డు డూ డృ డౄ డ డచ డ డ డ డ డిం డః త్ - త్ తా తి తీ త్త త్ూ త్ృ త్ౄ త తచ త తొ తో త త్o త్ః ద – ద దా దవ దీ దు దూ దృ దౄ ద దచ ద ద ద ద దిం దః న – న న్ా ని నీ ను నూ నృ నౄ న్ె న్ే న్ె న్ొ న్ో న్ౌ నిం నః ప - ప ప్ర ప ప పు పూ పృ పౄ పె పే పె ప్ొ ప్ో ప్ౌ పిం పః బ – బ బా బి బీ బు బూ బృ బౄ బె బే బె బొ బో బౌ బిం బః మ - మ మా మి మీ ము మూ మృ మౄ మె మే మెై మొ మో మౌ మిం మః య – య యా యి యిీ యు యూ యృ యౄ యిె యిే యిెై యొ యో యౌ యిం యః ర – ర రర రి రీ రత రూ రృ రౄ రె రే రెై రొ రో రౌ రిం రః ల - ల లా లి లీ లు లూ లృ లౄ లె లే లె లొ లో లౌ లిం లః వ - వ వర వి వీ వు వూ వృ వౄవె వే వె వొ వో వౌ విం వః శ - శ శ్ర శి శీ శు శూ శృ శౄ శ్ె శ్ల శ్ెై శ్ొ శ్ో శ్ౌ శిం శః ష – ష షర ష ష షత షూ షృ షౄ షె షే షె షొ షో షౌ షిం షః స - స సర స స సు సూ సృ సౄసె సే సె సొ సో సౌ సిం సః హ - హ హా హి హీ హు హూ హృ హౄ హె హే హెై హొ హో హ హిం హః ళ – ళ ళీ ళి ళీ ళు ళూ ళృ ళౄ ళె ళే ళెై ళొ ళో ళౌ ళిం ళః
  • 4.
    4 క్ష – క్షక్షా క్షి క్షీ క్షు క్షూ క్షృ క్షౄ క్షె క్షే క్షెై క్షొ క్షో క్షౌ క్షిం క్షః ఱ – ఱ ఱా ఱి ఱీ ఱు ఱూ ఱృ ఱౄ ఱె ఱే ఱె ఱొ ఱో ఱౌ ఱిం ఱః IV. మహాప్రా ణాక్షర గుణింతాలు ఖ – ఖ ఖా ఖి ఖీ ఖు ఖూ ఖృ ఖౄ ఖె ఖే ఖెై ఖొ ఖో ఖౌ ఖిం ఖః ఘ - ఘ ఘా ఘి ఘీ ఘు ఘూ ఘృ ఘాౄ ఘె ఘే ఘెై ఘొ ఘో ఘౌ ఘిం ఘః ఛ - ఛ ఛా ఛి ఛీ ఛు ఛూ ఛృ ఛౄ ఛ ఛచ ఛ ఛొ ఛో ఛ ఛిం ఛః ఝ - ఝ ఝా ఝి ఝీ ఝు ఝూ ఝృ ఝౄ ఝె ఝే ఝెై ఝొ ఝో ఝౌ ఝిం ఝః ఠ- ఠ ఠర ఠి ఠీ ఠత ఠూ ఠృ ఠౄ ఠె ఠే ఠెై ఠొ ఠో ఠౌ ఠిం ఠః ఢ - ఢ ఢాఢి ఢీ ఢు ఢూ ఢృ ఢౄ ఢ ఢచ ఢ ఢ ఢ ఢ ఢిం ఢః థ - థ థా థవ థీ థు థూ థృ థౄ థ థచ థ థ థ థ థిం థః ధ- ధ ధా ధవ ధీ ధు ధూ ధృ ధౄ ధ ధచ ధ ధ ధ ధ ధిం ధః ఫ – ఫ ఫర ఫ ఫ ఫు ఫూ ఫృ ఫౄ ఫె ఫే ఫె ఫొ ఫో ఫౌ ఫిం ఫః భ – భ భా భి భీ భు భూ భృ భౄ భె భే భె భొ భో భౌ భిం భః V. ఒత్తు లు – క నుిండి ఱ వరకు క – జ - ణ - ఫ - వ - ఱ - ఖ – ఝ - త్ - బ - శ - గ – ఞ - థ - భ - ష - ఘ – ట - ద - మ - స - ఙ – ఠ - ధ - య - హ - చ్ – డ - న - ర - ళ - ఛ – ఢ - ప - ల - క్ష – VI. ఒత్తు లతో వచ్చే పదాలు
  • 5.
    5 క - గ– చ్ – జ – ట - 1. కుకక 1. మొగగ 1. నిచ్ేన 1. మజిిగ 1. బుటట 2. నకక 2. ముగుగ 2. మచ్ే 2. దరీి 2. కటెటలు 3. చ్కక 3. బుగగ 3. గచ్ుే 3. బుజాి యి 3. చ్టుట 4. అకక 4. సగుగ 4. పచ్ుేక 4. బుజిి మేక 4. పటట 5. త్క్ెకడ 5. నిగుగ 5. పచ్ేని 5. బొ జి 5. చిటిట డ - త్ – ద – న – ప - 1. బిడడ 1. కతిు 1. అదదిం 1. న్ానా 1. సరపము 2. గొడుడ 2. సుతిు 2. ఎదుద 2. వెన్ెాల 2. కపుప 3. గడిడ 3. గిత్ు 3. దుదుద లు 3. కనుా 3. బొ ప్రపయి 4. తడుడ 4. గుతిు 4. గదద 4. గిన్ెా 4. దుపప 5. లడుడ 5. విత్ున్ాలు 5. ముదద 5. సన్ాాయి 5. దపపక బ - మ – య – ర – ల - 1. డబుు 1. పదమము 1. చ్యిి 1. ఛత్ాము 1. ఇలుే 2. అబాుయి 2. త్తమెమద 2. ఉయాిల 2. చ్కరిం 2. పలిే 3. మబుు 3. సమెమట 3. వెయిి 3. కరర 3. మలెే లు 4. క్ొబురి 4. బొ మమ 4. తాత్యి 4. శుకరవరరిం 4. చ్లే 5. రతబుురోలు 5. నిమమక్రయ 5. తియిని 5. యింత్ాిం 5. గులే
  • 6.
    6 వ - శ– ష – స – హ - 1. గువి 1. సుదరశనిం 1. కరషకుడు 1. శిరసుు 1. కలహణుడు 2. క్ొవొితిు 2. దూరదరశనిం 2. వరషిం 2. కసుు 2. బరిహ 3. దువెిన 3. దరశనిం 3. హరషిం 3. సరసుు 3. కలాహ రిం 4. త్తవరియి 4. దరిశ 4. శీరిషక 4. బసుు 4. విదాిరహత్ 5. అవి 5. సపరశ 5. వరరిషక 5. లసు 5. మలాహ రిం ళ - క్ష – ఱ – 1. పళెళిం 1. క్షతిాయుడు 1. గుఱఱిం 2. కళెళిం 2. క్షేత్ాిం 3. కళుళ 3. క్షణిం 4. నీళుళ VII. ద్విత్విక్షరాలత ఒక హలుే కు అదచ హలుే ఒత్తు చ్చరిే రరయడానిా దవితాిక్షరరలు అింటారత ఉదా : అకక, మొగగ, గజెి, ముకక, రొయి, అవి, అమమ, అదదిం, బిడడ, అత్ు సంయుకాు క్షరాలత ఒక హలుే కు మరొక హలుే ఒత్తు చ్చరితచ సింయుక్రు క్షరిం అింటారత ఉదా : దురగ, కురీే, గరిన, క్రరతడ , సరానిం, నిదా, గరే సుు, మరరిద, వరణన, వరషిం, విజాా నిం సంశ్లేషాక్షరాలత
  • 7.
    7 ఒక హలుే కురెిండు వేరత వేరత ఒత్తు లు చ్చరితచ దానిని సింశ్లేషరక్షరిం అింటారత ఉదా : సుీ, కక్షి, లక్షిమ, అసుీిం, వసుీిం, దారిదాయిం, ఈరషయ, అరహత్, సరమర్యిం VIII. భాషాభాగాలత 1. న్ామవరచ్కిం 2. సరిన్ామిం 3. క్ిరయ 4. విశ్లషణిం 5. అవియిం 1. నవమవాచక్ం: మనుషతిల, జింత్తవుల, పక్షుల, సథలాల, నదుల, వసుు వుల పేరేను తలిపే దానిని న్ామవరచ్కిం అింటారత ఉదా: సత్ తలివెన బాలిక సింహిం అడవిక్ి రరజు ( పాతి విదాిరి్ త్మ ప్రఠి పుసుకింలోని ఏదన్ా న్ెమలి మన జాతీయ పక్షి ప్రఠరనిా చ్దవవి అిందులో న్ామవరచ్కములు తాజ్ మహల్ అిందమెైన కటటడిం గురిుించి త్మ న్ోటు పుసుక్రలలో రరయాలి ) గోదావరి నదవ ప్ొ డవెనదవ విదాిరత్ లు పుసుకము చ్దువుత్తన్ాారత 2. సర్ినవమం : పేరేకు బదులుగర వరడచ పదాలను సరిన్ామాలు అింటారత ఉదా: ఆమె వింట బాగర చ్చసుు ిందవ గోప చ్రతవుకు వెళీళడు. అత్డు చ్చపలు పటాట డు సునీత్,రజిత్ గుడిక్ి వెళీే రత. వరరత పూజలు చ్చశ్రరత ప్ో త్న భాగవత్ిం రరసరరత. ఆయన సహజ పిండిత్తడు
  • 8.
    8 సింహిం గరిిసుు ిందవ.అదవ అడవిలో ఉింటుిందవ 3. కరియ( పని ) : మనిం చ్చసే పనులను క్ిరయ అింటారత ఉదా: రరజు ప్రఠిం చ్దువుత్తన్ాాడు సత్ పుసుకిం చ్దవవిిందవ రమి న్ాటిిం చ్చసుు ిందవ రహీిం బడిక్ి ప్ో త్తన్ాాడు 4. విశ్లషణం: న్ామవరచ్కము, సరిన్ామము యొకక గుణాలను తలిపేదానిని విశ్లషణిం అింటారత ఉదా: ఏనుగు పెదద జింత్తవు ముఖిమింతిాక్ి ఘనమెైన సరిగత్ిం లభిించిిందవ కపల్ దచవ్ వేగింగర బౌలిింగ్ చ్చసేవరడు మింజీరర నదవలో నీళుళ తియిగర ఉింటాయి భువనగిరి క్ోట విశ్రలింగర ఉనాదవ 5. అవ్యయము : లిింగ వచ్న విభక్ిు పాత్ియాలు లేని పదాలను అవియములు అింటారత ఉదా: ఆహా! ఈ భవనిం ఎింత్ అిందింగర ఉనాదవ ఓహో ! ఈ తోట నిందనవనింల ఉిందవ అమోమ! ప్రము వచిేిందవ IX. విభకరు – పరత్యయాలత పరత్యయాలత విభక్తు లత డు , ము, వు, లు పాథమా విభక్ిు ని(న్), ను(న్), ల(న్), కూరిే , గురిించి దవితీయా విభక్ిు
  • 9.
    9 చ్చత్(న్), చ్చ(న్), తోడ(న్),తో(న్) త్ృతీయా విభక్ిు క్ొఱకు(న్), క్ెై చ్త్తరీథ విభక్ిు వలన(న్), కింటె(న్), పటిట పించ్మీ విభక్ిు క్ి(న్), కు(న్), యొకక, లో(న్), లోపల(న్) షషీ విభక్ిు అిందు(న్), న(న్) సపుమీ విభక్ిు ఓ, ఓరి, ఓయి, ఓస సింబో ధన పాథమా విభక్ిు X. సంధసలత సంధవ పరిచయం : వరికరణ పరిభాషలో రెిండు సిరరల ( అచ్ుేల ) కలయికను సింధవ అని పలుసరు రత సంధవ కార్యం : రెిండు అచ్ుేల మధి జరిగే మారతపను సింధవ క్రరిిం అని పలుసరు రత పూర్ి సిర్ం : సింధవ జరిగే మొదటి పదిం చివరి అక్షరిం లోని అచ్ుేను ( సిరరనిా) పూరి సిరిం అని పలుసరు రత పర్ సిర్ం : సింధవ జరిగే రెిండవ పదిం మొదటి అక్షరిం లోని అచ్ుేను (సిరరనిా) పర సిరిం అని పలుసరు రత పాధానింగర సింధులు రెిండు రక్రలు ఉింటాయి 1. సంసకృత్ సంధసలత 1. సవరణదీరఘ సింధవ 7. శుేత్ి సింధవ 2. గుణ సింధవ 8. ఘత్ి సింధవ 3. యణాదచశ సింధవ 9. విసరగ సింధవ 4. వృదవద సింధవ 10. నక్రరరింత్ సింధవ 5. అనున్ాసక సింధవ 6. జత్ి సింధవ
  • 10.
    10 2. త్ెలతగు సంధసలత 1.అత్ి సింధవ ( లేక ) అక్రర సింధవ 2. ఇత్ి సింధవ ( లేక ) ఇక్రర సింధవ 3. ఉత్ి సింధవ ( లేక ) ఉక్రర సింధవ 1. సవ్ర్ణద్ీర్ఘ సంధవ : అ, ఇ, ఉ, ఋ లకు అవే అచ్ుేలు పరమెైనపుడు వరని దీరరఘ లు ఏక్రదచశింగర వసరు యి. అ – అ,ఆ ఇ – ఇ,ఈ ఉ – ఉ,ఊ ఋ – ఋ,ౠ ( సవరరణ లు) ఉదా : రరమాలయిం = రరమ + ఆలయిం రరమానుజుడు = రరమ + అనుజుడు కవీిందుా డు = కవి + ఇిందుా డు భానూదయిం = భాను + ఉదయిం పత్ౄణిం = పత్ృ + ఋణిం శీరక్రళహసుశిర = శీరక్రళహసు + ఈశిర 2. గుణసంధవ : అ క్రరరనిక్ి ఇ, ఉ, ఋ లు పరమెైనపుపడు కరమముగర ఏ, ఓ, అర్ లు ఆదచశింగర వసరు యి అ+ఇ=ఏ , అ+ఉ=ఓ , అ+ఋ=అర్ ఉదా: రరజేిందుా డు = రరజ + ఇిందుా డు రరజరిష = రరజ + ఋష నరేిందుా డు = నర + ఇిందుా డు దచవరిష = దచవ + ఋష దచశ్ోనాతి = దచశ + ఉనాతి గృహో పకరణిం = గృహ + ఉపకరణిం 3. యణవద్ేశ సంధవ: ఇ, ఉ, ఋ లకు అసవరరణ లు పరమెైనపుపడు కరమముగర య, వ, ర లు వసరు యి ఉదా: అత్ివసరిం = అతి + అవసరిం గురౌినాత్ిిం = గురత + ఔనాత్ిిం పాత్తిత్ురిం = పాతి + ఉత్ురిం అణిసుీిం = అణు + అసుీిం పాతచికిం = పాతి + ఏకిం పతాా రిిత్ిం = పత్ృ + ఆరిిత్ిం
  • 11.
    11 4. వ్ృద్వి సంధవ: అ క్రరరనిక్ి ఏ, ఐ లు పరమెైనపుపడు ‘ఐ’ క్రరము ఓ, ఔ లు పరమెైనపుపడు ‘ఔ’ క్రరము ఆదచశముగర వసరు యి ఉదా: వసుధక = వసుధ + ఏక అషెటటశిరిిం = అషట + ఐశిరిిం రసెక = రస + ఏక వన్ౌషదవ = వన + ఔషదవ సమెైకిిం = సమ + ఏకిం రసౌచిత్ిిం = రస + ఔచిత్ిిం పప్ౌఘము = ప్రప + ఓఘము దవవౌిషధిం = దవవి + ఔషధిం త్ెలతగు సంధసలత 1. అత్ిసంధవ : అత్తు నకు సింధవ బహుళముగర వసుు ిందవ, అనగర ‘అ’ అక్షరరనిక్ి అ ఇ ఉ ఋ ఏ అక్షరరలనీా సింధవగర వసరు యి ఉదా: మేనలుే డు = మేన + అలుే డు ఒకపుపడు = ఒక + అపుపడు మేనత్ు = మేన + అత్ు వచిేనిందుకు = వచిేన + అిందుకు సత్కక = సత్ + అకక రరకుింటే = రరక + ఉింటె రరమయి = రరమ + అయి పుటిటనిలుే = పుటిటన + ఇలుే 2. ఇత్ిసంద్వ : ఏమాిదుల ఇత్తు నకు సింధవ వెకలిపకింగర వసుు ిందవ. ఏమిదుల అనగర “ఏమి” మొదలగునవి. ఏమి, మఱి, క్ి, అదవ, ఇదవ, అవి, ఇవి, ఏదవ . వెకలిపకిం అనగర సింధవ జరగచ్ుే జరగకప్ో వచ్ుే. వరికరణింలో ఈ సథతిని వెకలిపకిం అింటారత ఇత్ిసంద్వ త్పపక్ జర్గాలని నియమం ఏమి లేదస ఉదా: ఏమింటివి = ఏమి + అింటివి మనిషనావరడు = మనిష + అనావరడు ఏమియింటివి = ఏమి + అింటివి(ఇక్రరింబుక్రని యడాగింబు) పెక్ెతిున్ారత = పెక్ి + ఎతిున్ారత వచిేరిపుడు = వచిేరి + ఇపుడు మఱేమి = మఱి + ఏమి
  • 12.
    12 గమనిక్ : పరథమ,ఉత్ుమ పుర్ుష, బహువ్చన, కరియల ఇకారానికర సంధవ వైక్ల్పపక్ంగా జర్ుగునస 3. ఉత్ి సంధవ : ఉత్తు నకు అచ్ుే పరమెైనపుపడు సింధవ నిత్ిముగర వచ్ుేను . నిత్ిిం అనగర త్పపక సింధవ జరతగుత్తిందని అర్ిం ఉదా: రరముడత్డు = రరముడు + అత్డు అత్డకకడ = అత్డు + ఎకకడ మనసెన = మనసు + ఐన ముిందడుగు = ముిందు + అడుగు XI. సమాసాలత : సమాసం : రెిండు వేరేిరత అరర్ లు కల పదాలు కలిస ఒక అర్వింత్మెైన పదిం ఏరపడుటను సమాసిం అింటారత సమాసరలు రెిండు రక్రలు: 1. త్త్తపరతష సమాసరలు 2. కరమధారయ సమాసరలు త్త్పపర్ుష సమాసాలత : సమాసిం లోని రెిండవ పదిం అర్ిం పాధానింగర కలిగిన దానిా త్త్తపరతష సమాసిం అింటారత 1. పాథమా త్త్తపరతష సమాసిం 8. నఞ త్త్తపరతష సమాసిం 2.దవితీయ త్త్తపరతష సమాసిం 3.త్ృతీయా త్త్తపరతష సమాసిం 4.చ్త్తరీథ త్త్తపరతష సమాసిం 5.పించ్మీ త్త్తపరతష సమాసిం 6. షషీ త్త్తపరతష సమాసిం 7.సపుమీ త్త్తపరతష సమాసిం
  • 13.
    13 2. క్ర్మధవర్య సమాసాలత:న్ామవరచ్కిం ( విశ్లషిిం)తో కలిస ఉింటే దానిని కరమధారయ సమాసిం అింటారత 1. విశ్లషణ పూర్ిపద క్ర్మధవర్య సమాసం : విశ్లషణిం పూరి పదింగర ఉింటే దానిని విశ్లషణ పూరిపద కరమధారయ సమాసిం అింటారత ఉదా: వృద్ కప్ో త్ము: వృద్మెైన కప్ో త్ము అమూలి సమయిం : అమూలిమెైన సమయిం పెదద కుటుింబిం : పెదదదన కుటుింబిం పూరణ పురతషతలు: పూరతణ లెన పురతషతలు 2. విశ్లషణ ఉత్ుర్పద క్ర్మధవర్య సమాసం : విశ్లషణిం ఉత్ుర పదింగర ఉింటే దానిని విశ్లషణ ఉత్ురపద కరమధారయ సమాసిం అింటారత ఉదా: పురతషో త్ుముడు : ఉత్ుముడన పురతషతడు క్రరిమక వృదు్ లు : వృదు్ లెన క్రరిమకులు అడుగుదముమలు : త్ముమల వింటి అడుగులు (పదమములు) 3. విశ్లషణ ఉభయపద క్ర్మధవర్య సమాసం : రెిండు విశ్లషణాలు ఉింటే దానిని విశ్లషణ ఉభయపద కరమధారయ సమాసిం అింటారత ఉదా: శీతోషణములు : శీత్లము, ఉషణము లు 4. సంభావ్న పూర్ిపద క్ర్మధవర్య సమాసం: కరమధారయ సమాసింలో సింభావన పూరిపదింగర ఉింటె అదవ సింభావన పూరిపద కరమధారయ సమాసిం ఉదా: గింగరనదవ : గింగ అను పేరత గల నదవ క్రనుగ చ్టుే : క్రనుగ అను పేరత గల చ్టుే గోవర్న్ాదవా : గోవర్నిం అను పేరత గల అదవా 5. దింది సమాసం : రెిండు పదాలక్ి సమాన ప్రా ధానిత్ కలిగి ఉింటే దానిని దిింది సమాసిం అింటారత
  • 14.
    14 ఉదా: త్లిదిండుా లు:- త్లిేయును , త్ిండిాయును పనిప్రట : పని యును, ప్రట యును శక్ిు సరమరర్ యలు : శక్ిు యును , సరమర్యమును రరమలక్షమణులు : రరముడు , లక్షమణుడు తోడూనీడలు : తోడు , నీడ 6. ద్విగు సమాసం: సమాసింలో పూరి పదిం సింఖాివరచ్కమెైతచ దానిా దవిగు సమాసిం అింటారత ఉదా: అషట దవకుకలు : ఎనిమిదవ సింఖి గల దవకుకలు మూడు లోక్రలు : మూడు సింఖి గల లోక్రలు దవిముఖాలు : రెిండు సింఖి గల ముఖాలు న్ాలుగెకరరలు : న్ాలుగు సింఖి గల ఎకరరలు 7. బహువ్రరహి సమాసం : అని పదారథ పాధానిం బహువీాహి అనగర సమాసింలో ఉిండచ రెిండు పదాలు క్రకుిండా క్ొత్ు పదానిా తలియచ్చసే సమాసరనిా బహువీాహి సమాసిం అింటారత ఉదా: పదామక్షి : పదమిం వింటి కనుాలు కలదవ గరళ కింఠతడు: గరళము కింఠమునిందు కలవరడు చ్కరప్రణ : చ్కరము ప్రణయిందు కలవరడు ధనురరాణప్రణ : ధనురరుణాలు ప్రణయిందు కలవరడు XII. అలంకారాలత అలింక్రరరలు పాధానింగర రెిండు రక్రలు 1. శబాద లింక్రరిం 2. అరర్ లింక్రరిం
  • 15.
    15 1. శబాా లంకార్ం: శబాద ల యొకక కూరతప వలన సౌిందరరినిా కలిగిించ్ునవి. శబాద లింక్రరరలు క్రవిిం యొకక బాహి సౌిందరరినిక్ి సింబింధవించినవి. ( ఇవి ముఖిింగర 6 విధాలు: అనుప్రా సరలింక్రరరలు 4 మరియు మిగిలినవి 2 ) అనుప్రా సరలింక్రరరలు: i. వృతాినుప్రా సరలింక్రరిం ii. చ్చక్రను ప్రా సరలింక్రరిం iii. లాటాను ప్రా సరలింక్రరిం iv. అింతాిను ప్రా సరలింక్రరిం మిగిలినవి :- i. ముకుపదగరసరు లింక్రరిం ii. యమకిం 1. వ్ృత్వయనసప్ార సాలంకార్ం : ఒక్ే హలుే అన్ేకసరరతే తిరిగి తిరిగి వసుు ిందవ ఉదా: వీరత ప్ొ మమను వరరత క్రరత ప్ొ గబెటుట వరరత లలిత్ సుగుణ జాల తలుగు బాల అడుగులు త్డబడ బుడత్డు నడిచ్ను అకకడ లేక ఇకకడ లేక మరెకకడ ఉనాటుే 2. చేకానస ప్ార సాలంకార్ం : ఇిందులో రెిండు క్రని అింత్కు మిించి గరని ఉనా హలుే ల జింటలు అర్భేదిం కలిగి వెింటవెింటన్ే ( అవిధానింగర) పాయోగిించ్బడతాయి ఉదా: అరటి తొకక తొకకరరదు హారతి హారతిక్ిచ్ాేరత నిపుప తొక్ికతచ క్రలు క్రలుత్తిందవ 3. లాటానస ప్ార సాలంకార్ం : ఇిందులో రెిండు సమాన పదాలు అర్భేదిం లేకుిండా తాత్పరిభేదింతో వెింటవెింటన్ే పాయోగిించ్ుటను లాటాను ప్రా సరలింక్రరిం అింటారత
  • 16.
    16 ఉదా: కమలక్షునరిేించ్ు కరములుకరములు శీర న్ాథుని వరిణించ్ు జిహి జిహి నరసింహు జూడజాల కనుాలు కనుాలు 4. అంత్వయనస ప్ార సాలంకార్ం : ప్రదింతాలలో క్రని, వరక్రిింత్మున క్రని అదచ అక్షరిం లేదా పదిం మాటి మాటిక్ి ఆవృత్ిం క్రవడిం ఉదా: భాగవత్మున భక్ిు ఇదవ మన బడి భరత్మున ముక్ిు అక్షరరల గుడి రరమకథ రక్ిు సరసితి దచవి ఒడి ఓ కూనలమమ మనకు న్ేరతప నడవడి ii. అరాి లంక్రాలత : 1. ఉపమాలంకార్ం : ఉపమేయమును ఉపమానములతో ప్ో లిే మన్ోహరింగర వరిణసేు దానిా ఉపమాలింక్రరిం అింటారత ఉద్వ: సత్ ముఖము చ్ిందాబిింబము వలె అిందింగర ఉనాదవ 4 భాగరలు : i. ఉపమేయము : సత్ ముఖము( ఎవరిని ప్ో లుసుు న్ాాము) ii. ఉపమానిం : చ్ిందాబిింబము ( ఎవరితో ప్ో లుసుు న్ాాము ) iii. ఉపమావరచ్కిం : వలె ( ఉపమాన్ానిా సమానధరమింతో కలపడానిక్ి వరడచ పదిం ) iv. సమానధరమిం : అిందింగర ( ప్ో లేడానిక్ి వీలెన సమాన పదిం) ఉదా: భోజనిం అమృత్ిం వలె ఉనాదవ ఏనుగు నలేని క్ొిండ వలె ఉనాదవ ఆమె జడ నలేని తాా చ్ుప్రము వలె ఉనాదవ ఆ నరుక్ి న్ెమలి వలె న్ాటిిం చ్చసుు నాదవ
  • 17.
    17 2. ఉత్ేరేక్షాలంకార్ం: ఉపమేయమునుఉపమానముగర ఊహిసేు దానిా ఉతచరేక్షాలింక్రరిం అింటారత ఉదా: సత్ ముఖము చ్ిందాబిింబమా అనాటుే ఉనాదవ భోజనిం అమృత్మా అనాటుే ఉనాదవ ఆ మేడలు ఆక్రశ్రనిా ముదాద డుత్తన్ాాయా అనాటుే ఉన్ాాయి XIII. ఛందససు – లఘువ్ులత –గుర్ువ్ులత లఘువ్ు - రెపపప్రటు క్రలింలో లేదా చిటిక్ె వేసే క్రలింలో ఉచ్ేరిించ్చ అక్షరరలు లఘువులు. ఇవి హర సరిక్షరరలుగర మనిం పలుచ్ుకున్ే అక్షరరలు . గుర్ువ్ు – దవిమాతాా క్రలింలో లేదా లఘువు ఉచ్ేరిించ్చ సమయిం కింటే ఎకుకవ సమయిం అవసరమయిేి అక్షారరలు గురతవులు లఘువు గురతు : I గురతవు గురతు : U య I U గం మా U I ల త్వ U I స రా U న I భా U జ I మూడు అక్షరరల గుణాలు భ గణిం – UII స గణిం –IIU య గణిం –IUU త్ గణిం –UUI జ గణిం – IUI మ గణిం –UUU ర గణిం –UIU న గణిం –III
  • 18.
    18 సూర్య గణవలత గలము (లేదా)హ గణము – UI న గణిం – III చందర గణవలత నలము – IIII నగము - IIIU సలము – IIU భగణిం – UII రగణిం – UIU త్గణిం – UUI
  • 19.
    19 CLASS : 8SUBJECT: HINDI I. संज्ञा किसी व्यक्ति, वस्िु, स्थान, प्राणी, भाव आदि िे नाम िा बोध िराने वाले शब्िों िो या नाम िो संज्ञा िहिे है I जैसे – िु सी, श्रीिृ ष्ण, राम, उपवन, मंदिर, गाय, पिंग, हैिराबाि, अमराविी, चेन्नई, आदि I िु छ उिहारण और ललखो I व्यक्ति - वस्िु - स्थान - II. सववनाम संज्ञा िे स्थान पर आनेवाले शब्ि िो सववनाम िहिे है I जैसे – मैं, मेरा, हम, हमारा, िू, िुम, आप, िुम्हारा, वह, वे उिा : मै, िुम, यह, वह, ये , वे – इन शब्िों से एि – एि वातय बनाओ I 1. मैं पाठशाला जािी हूूँ I 2. वह बाजार जािी है I III. ववशेषण संज्ञा और सववनाम िी ववशेषिा बिानेवाले शब्िों िो ववशेषण िहिे है I उिा : िाला, गोरा, सुन्िर, अच्छा, बुरा, नटखट, होलशयार – इन सभी से एि-एि वातय बनाओ I राम िाला लड़िा है I IV. किया क्जन शब्िों से किसी िाम िे होने िो बोध होिा है, उन्हें किया िहिे है I
  • 20.
    20 उिा : खाना,पीना, हूँसना, रोना, गाना, आना, जाना, आदि I एि एि वातय बनाओ V. किया ववशेषण किया िी ववशेषिा बिानेवाले शब्िों िो किया ववशेषण िहिे है I उिा : धीरे-धीरे, जल्िी-जल्िी, िेज वातय : घोडा िेज िौड़िा है I िु छ और वातय बनाओ I VI. िारि चचन्ह क्जन शब्िों से वातयों िो पूणव किया जािा है उन्हें िारि िहिे है I उिा : िा, िी, में, से, ने, िे , िे आगे, िे पीछे, िे ऊपर, िे नीचे वातय: गोपाल राम िा भाई है I िु छ और वातय बनाओ I VII. निारात्मि शब्ि क्जन शब्िों से िायव िे नहीं िरने या न होने िा बोध होिा है, उन्हें निारात्मि शब्ि िहिे है I नहीं, मि उिा : मुझे िूध नहीं चादहए I िु छ और वातय बनाओ I VIII. ववलोम शब्ि 1. संभव X असंभव 4. राजा X रंि 2. संिुष्ट X असंिुष्ट 5. गरीब X अमीर 3. सुख X िुुःख 6. पृथ्वी X आिाश 7. आिर X अनािर 9. आदि X अंि 8. आधार X ननराधार 10. आजािी X गुलामी
  • 21.
    21 ललंग 1. नर –मािा 6. शेर – शेरनी 2. राजा – रानी 7. नर िौआ – मािा िौआ 3. मािा – वपिा 8. नर – नारी 4. चाचा – चाची 9. पुरुष – मदहला 5. मोर – मोरनी वातयों में रेखांकिि शब्ि िा ललंग, वचन बिलिर ललखो I 1. राम पाठशाला जािी हूूँ I ( ललंग ) 2. मैं पुस्िि पढिा हूूँ I ( वचन ) िु छ और उिाहण ललखो I IX. िाल 1. विवमान िाल : अभी जो समय चल रहा है , उसे विवमान िाल िहिे है I उिा : 1. राम खाना खा रहा है I 2. सीिा बाजार जा रही है I िु छ और उिाहण ललखो I 2. भूििाल : बीिे हुए समय िो भूििाल िहिे है I उिा : राम ने खाना खा ललया I राजा िंड िे चुिा है I िु छ और उिाहण ललखो I 3. भववष्यि ् िाल : आनेवाले समय िो भववष्य िाल िहिे है I उिा : मै िल िोपहर गाूँव जाऊूँ गा I मै िल पालि िी सब्जी बनाऊूँ गा I
  • 22.
    22 िु छ औरउिाहण ललखो I X. समास द्वंद् समास : क्जस समास िे िोनों पि प्रधान होिे है िथा ववग्रह िरने पर और अथवा या एव योजि चचन्ह लगिे है I मािा – वपिा दिन – राि सुख – िुुःख राजा – रानी भाई – बहन राजा - प्रजा द्ववगु समास : द्ववगु समास में पहला पि संख्यावाचि होिा है I उिा : पंचमुख , त्रिनेि , पंचविन , िशानन , आदि I समास िे छुः भेि है : 1. अव्ययीभाव 2. ित्पुरुष 3. द्ववगु 4. द्वंद् 5. बहुव्रीदह 6. िमवधारय XI. अक्षरों में ललखखए : 1815 - 1590 - 1720 – 1406 - 1932 – 1300 - 2020 – 1947 - 1677 - 1980 -
  • 23.
    23 Class:VIII Subject: English INDEX ICompound Nouns II Prefixes & Suffixes III Degrees of comparision IV Use the correct forms of the tense V Identify the verbs and write noun forms for them VI Articles VII Adding question tags VIII Antonyms & Synonyms IX Scrambled sentences X Re write as direct XI Short forms & full forms XII Identify the pharasal verbs XIII Proverbs XIV Types of tenses
  • 24.
    24 XV If- Conditionals XVIArrange in alphabetical order
  • 25.
    25 I. Compound Nouns: Compoundnoun means it is a combination of two nouns. Eg: Sugar +cane= Sugarcane Birth + day=birthday Motor +cycle=motorcycle Gate + way=gateway Hand +kerchief=hand kerchief Fire + wood=firewood Moon + light=moonlight Sun + flower= sunflower Door + bell=doorbell Sun + shine= sunshine Cup + board= cupboard Activity: Teacher should ask the students to read the lesson and underlined the compound words and note down in their note books. II. Prefixes and Suffixes: Prefixes Suffixes Eg: Take = mistake Eg: Stood= understood A prefix is a group of letters placed before the root of a word Happy- unhappy A suffix is a group of letters places after the root of the word Happy- happiness Place – misplace place-placement Law- mother-in-law law- lawyer Legal-illegal legal-legally Mature- premature mature-maturity Health-illhealth health-healthy
  • 26.
    26 Act- enact act-actually Appear- disappear appear-appearance Develop-undevelop develop- development Fix-prefix fix-suffix Lucky-unlucky lucky- luckiest Activity: Teacher should ask the students to read the lesson and ask them to frame such words in the form of prefix and suffix III. Degree of comparison: There are three degrees of comparison 1. Positive, 2. Comparative, 3. Superlative Eg: Tall -Taller- Tallest Sweet-Sweeter-Sweetest Hard-Harder-Hardest Useful-More useful- Most useful Beautiful-More beautiful-Most beautiful P.D: The elephant is a big animal P.D: No other animal is as big as an elephant C.D: Elephant is bigger than any other animal C.D: Elephant is the biggest animal S.D: Elephant is the biggest animal Activity: 1. Read a lesson and underline adjectives Most adjectives have three different forms to show degree of comparison : They are Positive, Comparative and Superlative degrees IV. Use the correctforms of the tenses: The correct form of a verb depends on the word before the verb, the tense of the sentence and the subject: Eg: My mom (cook) ______________ evernight (A. Cooks) 1. I lived in Delhi for two weeks. A . had lived 2. Please keep quiet ! The students write an exam in the next room A. are writing
  • 27.
    27 3. The train(leave) ____________ by the time I reached the platform A. Had left 4. Listen ! someone (knock) ___________ at t he door( knocks) 5. My brother is ____________ honest engineer(an) Activity: Teacher should ask the students to read the lesson and made them to write such sentences in the note book. V. Identify the verbs and write noun forms for them: Raman was equally delighted The underlined word “delighted” is a verb and has been used to exress a feeling of joy orr happiness . Its noun form is “delight” Now look at the following: Verb Noun Enjoyed enjoyment Surprised surprise Appoint appointment Worried worry Satisfied satisfaction Teacher should ask the students to read the lesson and identify the verb forms and noun forms. VI. Use the Articles: Articles are of two types : Definite and indefinite Definite articles: The Indefinite articles : a, an Usage of definite article: “The is used in front of singular or plural nouns and adjectives . Eg: Give me the ball These are the girls whom we met He is the tallest boy Indefinite articles: use “a” before nouns or adjectives that start with a consonant sound.
  • 28.
    28 Eg: a car,a boy, a van Use “an” before nouns or adjectives that start with a vowel sound. Eg: an umbrella, an apple, an envelope Activity : Teacher should ask students to read a lesson from the text book Frame sentences by using the articles a, an and the VII. Additing question tags: Tag questions turn a statement into a question usually if the main clause is positive. The question tag is negative, and if the main clause is negative, the question tag is positive . A short question you add after a statement. Eg: They are going to London: A: Aren’t they? They are not coming A: Are they? 1 . You are coming to the party 2 You are not ill 3 She is beautiful 4 He is not stupid 5 Jack is from Spain Teacher should ask the students to read a lesson and frame the question tags and write that in the note book VIII. Antonyms & Synonyms: Antonyms are opposites Synonyms are similar Hot / cold Present/ gift Fast / slow cat/kitty Old/ young dog/ pooch Old/new frightened/ scared Exhausted/ energized quick/ fast/ speedy Heavy/ light tug/ pull Teacher should ask the students to read a lesson and frame Antonyms & synonyms at least ten in each.
  • 29.
    29 IX. Scrambled sentences/Words: Scrambled is defined as to mix, stir or throw together in a random manner. (or) Rearrange the sentences / words to create the correct sequence. Eg: mangoes/ the / are/ expensive A. The mangoes are expensive Sentences: Three the has cake pink candles The cake has three pink candles. 1. Then he taught them to perform on command. 2. It is said that if you are fortunate enough to see them blow bubbles you will be lucky in marriage. 3. The trio were taught to take in the air from the trainers oxygen tank. 4. Three bubble-lowing beluga whales are big attraction a the Aquas Aquarium in Japan. 5. A trainer noticed them casually blowing rings on their own Teacher should ask the students to read a lesson and prepare a paragraph for scrambled the sentences. X. Rewrite as directed: Eg: Lata wants to use our mobile phone(Givepermission using “may”) A. You may use my mobile phone whenever you want 1. The earth moves _______ the sun(using a suitable preposition) A. Round 2. Kolkata is one of the largest cities in India(Change into comparative degree) A. Kolkata is larger than some (or) many other cities in India. 3. She____________ (work) in our school since 2008. (Use the correct form of tense) A. She has been working in our school since 2008 4. I am a good boy(Add question tag) A. Amn’t I? 5. Bin Laden attacked the world trade centre(Change to possive voice)
  • 30.
    30 A. The worldtrade centre was attacked by Bin Laden Teacher should ask the students to read a lesson practice the sentences as directed. XI. Short forms & Full Forms: Eg: He used to spend his hours after office in the lab. The underlined word “lab” is in the short form. Its full form is “ Laboratory” Look at the following: Short Forms Full forms Plane aeroplane Kilo kilogram Photo photograph Bike motorbike Mike microphone It’s it is That’s That is Teacher should ask the children to read a lesson and identify the short forms then write them in full forms. XII. Identify the Phrasal Verbs: It is a verb that is made up of a main verb together with an adverb or a preposition or both. Eg: She has always looked down on me Fighting broke out among a group of 40 men A phrasal verb is a combination of words(a verb + a preposition/ verb + adverb) Break Down: Our car broke down at side of the highway. Get upset: The woman got upset when the police told her that her son has died. Check Out: You hae to check out the hotel before 12:00noon Cut off : The phone company cut off our phone because we didn’t pay the bill. Dress up: It’s a fancy restaurant so we have to dress up.
  • 31.
    31 Activity: Teacher shouldask the children to read a lesson and identify the phrasal verbs from the text book. XIII. Proverbs: It is a sort sentence, usually known to many people stating something commonly experienced or giving advice. Here are some of them: 1. Tit for tat 2. Where there is a will there is a way 3. Failure is the stepping stone to success. 4. Pen is mighter than sword. 5. Empty vessels make much noise. Teacher should ask the students to collect some more proverbs and write than in the note book. XIV. Types of Tenses: Tenses: Definition : Tenses mean time. It is the change form of averb. It shows the time of an action. Tenses are of three types: 1. Present Tense 2. Past Tense 3. Future tense Present tense: A verb that refers to the existing (or) present time. Past Tense: A verb that refers to what had happed Future tense: A verb that refers to what will happen next Again each tense is divided into four sub – tenses Sub-Tenses: Simple Tense Continuous Tense Perfect Tense Perfect Continuous Tense 1. Simple Tense: If an action is complete (Or) not. Hence it is also called present “ indefinite” Form of Verb: In this tense , if the subject of present tense, in thrd person singular add ‘s’ (or) ‘es’ to the verb. Uses: This tense is used to express habitual actions .
  • 32.
    32 Eg: I goto school She goes to school This tense is used to indicate external (Or) universal truth Eg: The sun rises in the east This tense is used to express past events in a dramatic manner. Eg: Rama takes an arrow and kills Ravana This tense is used to indicate quotations Eg: Gandhi say “always speak the truth” 2. Present Continuous Tense: form of verbs am , is, are + verb+ ing (be forms) Uses: This tense is used to represent an action which is going on at the present time. Eg: I am writing a letter He is playing cricket They are taking lunch 3. Present Perfect Tense: Form of verb : have , has + V3 (past participle) He is used third person singular Have is used rest of other persona Uses: This tense is used to express an action which just been completed Eg: I have completed my work He has gone to college 4. Present perfect continuous tense: Form of verb : have been , has been + verb+ing Uses: This tense is used to express an action which began in the past and is going on at he time of speaking. Eg: I have been completing my work for 2 hours He has been going to college since Monday II.1. Simple past Tense: Form of verbs: Use past tense verb only
  • 33.
    33 Uses: This tenseis used to indicate an action that was completed in the past. Eg: The principal visited all the classes last week. 2. Past Continuous Tense: Form of verb: was , were,+ ing form (was is for singular, were is for plural) Uses: This tense is used to indicate an action which was going on at a certain time in the past. Eg: Radha was teaching the lesson Yesterday at 10 am 3.PastPerfect Tense: Form of verb : Had+v3 (Past Participle Tense verb) ‘had’ is common for all (Singular/ Plural) Uses: This tense is used to indicate an action which was completed. Earlier than another action. Eg: She had slept before he came 4.Past Perfect Continuous Tense: Form of verb: had been +verb+ing Uses: This tense is used to indicate an action which began in the past continued upto some extent (or) point of time in the past. Eg: The students had been playing cricket since Yesterday at 10 AM to 5 PM. III.1. Simple Future Tense: Form of verb: Shall , will + present tense verb Uses: This tense is used to indicate an action that will take place in future. Eg: I shall go to school tomorrow. They will come to my house next week. 1. Future Continuous Tense: Form of verb: Shall be, will be+ verb + ing Uses: This tense is used to indicate an action that will be going on at some time in future. Eg: I shall be going to school at this time tomorrow they will be coming to my house next week at this time. 2. Future perfect Tense: Form of verb: shall have , will have + v3 ( past participle verb)
  • 34.
    34 Uses: This tenseis used to express an action that will be gong on over a period of time which will end in the future. Eg: By this time of next year they will have finished their work. By this time of next month I shall have completed my work. 3. Future Perfect Continuous Tense: Form of verb: Shall have , will have +been +verb+ing Uses: This tense is used to express an action that will be going on over a period of time which will end in the future. Eg: When he completes his studies , his father will have been working for two years in U.S Activity: The teacher should ask the students to read a lesson and made them to identify.
  • 35.
    35 Present: V1, V2,V3 Eg: eat ate eaten Past: Persons Simple V2 Continuous be+V1 +ing Perfect had+V3 Perfect continuous had+been+V1+ing 1st S P I ate I was eating I had eaten I had been eating We ate We were eating We had eaten We had been eaten 2nd S/P You ate You are eating You had eaten You had been eating 3rd S/P He/She/It ate He/She/it was eating He/She/It had eaten He/ She/ it had been eating They ate They were eating They had eaten They had been eating Simple V1 Continuous be+ v1+ing Perfect have/has +v3 Perfec continuous have/ has +been+verb+ing I eat I am eating I have eaten I have been eating We eat We are eating We have eaten We have been eating You eat You are eating You have eaten You have been eating HE/ She/ It eats He/She/It is eating He/ She/It has eaten He/She/It has been eating They eat They are eating They have eaten They have been eating Forms 1st S P 2nd S/P 3rd S P
  • 36.
    36 Future: Persons Simple shall/ will+V1 Continuous shall/ will +be+ V1+ ing Perfect shall/will+have+V3 Perfect continuous shall/will+been+V1+ing 1st S P I shall eat I shall be eating I shall have eaten I shall have been eating We shall eat We shall be eating We shall have eaten We shall have been eating You will have been eating 2nd S/P You shall eat aYou shall be eating You will be eating You will have been eating 3rd S/P He/she/it will eat He/she/It will be eating He/she/it will be eating He/she/it will have been eating They will eat They will be eating They will be eating They will have been eating XV. If Conditional: It’s form uses a conditional clause in the present simple, and the main clause in the future tense. The main clause will use a modal , like would, should, could, will , may, might or can. Here are some examples: If I sleep now. I will be up all night There are four types of conditionals, They are 1) The zero conditional (present real condition) 2. The first conditional (Present or future real conditional) 1. The second conditional (Present unreal conditional) 2. The third conditional (Past unreal conditional) Some sentences: 1. If I am late, my teacer ask me stand upon the bench 2. When you mix red and white , you get pink 3. If you walk quickly , you will catch the bus.
  • 37.
    37 4. If youdisturb a snake , it bites you. 5. You get well if you take medicine Teacher should ask the students to identify some more sentences. XVI. Arrange in alphabetical order: Envisage, foundry, interplay, gnomic, emancipate, conscious, formulate, boot, buy, bring, beast, evacuate, arrow, agree, evil, aeroplane, after, astronaut, banish, canvas, crispy, coop, citrus, dye, dusk, dawn, dumb, dig, dreadful, exemption. Activity: Teacher should ask the students to read 10 pages from the text book.
  • 38.
    38 Class: VIII Subject: Mathematics 1. Natural Numbers: The numbers which are used for counting are called natural numbers. It is denoted by “ N” N= { 1,2,3, ………………} 2. Whole Numbers: Natural numbers and zero is called whole number. It is denoted by “ W” W= { 1,2,3, ………………..} 3. Integers: A collection of negative numbers, positive numbers and zero is called Integers. It is denoted by “Z” and “I” Z= { ……………-3,-2,-1,0,1,2,3, ……………} 4. Prime numbers: A number having factors are 1 and itself is called prime number. It is denoted by P. Eg: 2,3,5,7……….. Note : 1 to 100- “25” prime numbers. Properties of Integers under addition: 1. Closure property: The sum of any two integers is always an integers. Therefore , integers are closed under addition. In general , for any two integers ‘a’ and ‘b’ a+b is also an integer. Eg: Any two integers a=2, b=-5 a+b= 2+(-5) = 2-5=-3 -3 is also an integer. There fore integers are closed under addition
  • 39.
    39 2. Commutative property:In general , for any two integers ‘a’ and ‘b’ a+b=b+a Eg: Any two integers a=5 and b=-2 a+b=5+(-2)=5-2=3 b+a=-2+5=3 So a+b=b+a There fore integers are commutative under addition. 3. Associative property: In general , for any three integers a, b and c (a+b)+c=a+(b+c) Eg: Any three integers are a=2, b=3 and c=5 (a+b)+c=(2+3)+5=5+5=10 a+(b+c)=2+(3+5)=2+8=10 (a+b)+c=a+(b+c) Note: Give more examples 4. Identity Property(or)Additive property: In general , for any integer a, a+0=0+a=a Eg: One integer is a=2 a+0=2+0=2 0+a=0+2=2 a+0=o+a=a 5. Inverse property (or) (Additive inverse) In general, for any integers ‘a’ . There exist an integer (-a) such that a+ (-a) = -a+a=0 here (-a) is called the additive inverse of ‘a’ and ‘a’ is called the additive inverse of (-a) Eg: Any one integer is a=3
  • 40.
    40 a+(-a) = 3+(-3)=3-3=0 -a+a=-3+3=0 a+(-a)= -a+a=0 There fore 3 is additive inverse of -3 Note: Give more examples: ------------ and write under multiplication also. Fractions: 1. Proper fractions: A proper fraction is a fraction that represents a part of a whole (small numerator and big denominator) Eg: ½, 1/3, 2/5, 5,/7 etc., 2. Improper fractions: An improper fraction is a fraction in which the numerator is more then denominator(small denominator and big numerator) Eg: 25/3, 21/ 4, 294/ 100 etc 3. Mixed fractions: A mixed fraction contains an integer part and a fractional part. Eg: 2 1/3, 5 1/3, 2 ¼ etc., 4. Like fractions: The fractions having same denominators are c alled like fractions. Eg: 1/5,3/5, -2/5, 7/5 etc………… 5. Unlike fractions: The fractions with different denominators are called unlike fractions. Eg: 5/7, 2/5, 5/8, 3/5, -2/9 etc……………… Addition of two or more like fractions: i. 2/3 +5/3 Sol: 2 + 5 = 2+5 = 7 3 3 3 3
  • 41.
    41 ii. 5 +8 + 2 = 5+8+2 = 15 7 7 7 7 7 iii. Find 2/8+6/8+3/8 i. Find ½+(-3)/2+7/2 ii. Find (-5) /9+3/9+(-3)/9 Subtraction of two or more like fractions: i. 5/3-2/3 Sol: 5 - 2 = 5- 2 = 3/3=1 3 3 3 ii. 2/3-5/3-1/5 Sol. 2/5-3/5-1/5= 2-3-1 = 2-4 = -2 5 5 5 iii. Find 3/6-2/6-8/6 iv.Find -5/7-(+6)/7-6/7 Addition of unlike fractions: 1. 2/3+3/2 Sol. 2/3+3/2 LCM of 2,3 is 6 2/3+3/2=2X2+3X3 = 4+9 = 13 6 6 6 Method – II Find 2/3+3/2 Sol. 2 + 3 = 2X2 + 3X3 = 4 + 9 = 4+9 =13 3 2 3X2 2X3 6 6 6 6
  • 42.
    42 ii)Find ¾+5/2 iii)Find5/3+4/2+4/5 i) Find4/5+2/3+4/8 Multiplication of fractions: 1. Find 2/3X-5/2 Sol.2/3X-5/2=-10/6 1) Find 3/2X4/5X2/1 2) Find 1/3X2/4X-3/2 Division of fractions: Find 2/3÷1/2 Sol. 2/3÷/=2/3/1/2= 2/3 X 2/1= 2X2 =4/3 3X1 ii)Find 3/5÷5/3 i) Find 4/6 ÷3/5 ii) Find 2/2÷3/5÷1/2 Decimal numbers: Eg: 2 4 7 . 2 4 Hundredth Tenths Hundred Tens Ones Expanded Form is =2X100+4X10+7X1+2X ½ +4X1/100 = 200+40+7+2/10+4/100 Write expanded for given below: i. 347.29 ii. 447.249
  • 43.
    43 iii. 4974.2030 Addition ofdecimal numbers: i. Find 10.23+9.57 10.23 + 9.57 19.80 ii. Find 24.945+30.021 24.945 + 30.021 54.966 iii. Find 10.2+21+0.24 iv. Find 247.1+307.24+2.23 v. Find 501.2+0.397+1.001 Subtraction of decimal numbers: i. Find 19.13-15.02 Sol. 19.13 -15.02 04.11 ii. Find 49.952-30.241 Sol. 49.952 -30.241 19.711 iii. Find103.93-95.53 iii. Find 2039.2-1001.9
  • 44.
    44 Multiplication of decimalnumbers: i. Find 2.2X2 ii. 24.1 X 3 1.2 24.1 X 2 X 3 4.4 72.3 iii. Find 20.03X7 20.03 X 7 140.21 iv. Find 25.678X9 iv. Find26.741X10 v. Find 247.23X100 Division of decimal numbers: i. 2.3÷2 Sol. 2.3÷2 = 2.3 = 23 = 23 2 2X10 20 Method - II 2 2.3 1.15 2 03 2 10 10 0
  • 45.
    45 Converting kilometer intometer, centimeter 1kilometer =1000 meters 1meter = 100 centimeter 1centimeter = 10mm 1kilogram =1000grams 1gram = 1000milli grams 1rupee =100 paise i. 235 paise convert to rupees Sol. 235=235/ 100=2.35 rupees 1 rupee= 100 paise 1paise = 1/100 rupee ii. 9 paise convert into rupees Sol. 9 paise= 9/100= 0.09rupees iii. 22 paise convert into rupees iv. 78 rupees convert into paise v. 9840rupees convert into paise vi. Express10 kilometers in meters Sol. 10km=10X1000=10000meters vii. Express49 kilometers in meters Sol. 49km= 49X1000=49000meters
  • 46.
    46 viii. Express45mm incentimeters, meter, andkilometer. Sol. Centimeter : 45mm= 45X1/10=45/10=4.5cm 1cm =10mm 1mm= 1/10 cm Meters: 1m=100cm 1m=100X10mm 1m= 1000mm 1/1000m=1mm 45mm=45X1/1000m =45m/1000 =0.045m Kilometers: 1km= 1000m 1km=1000X100cm 1km= 1000X100X10mm 1km=1000000mm 1/1000000=1mm 45mm=45X 1/1000000=45mm/ 1000000=0.000045mm Lines and angles: Line segment: Line segment having two and point is denoted by . A .B ii. Ray: Ray having only one endpoint it is denoted by OA A O iii.Straight line : Straight line having no end points it is denoted by AB A B iv.Complementary angle: The sum of two anglesisequal to 90° , then anglesare called complementary angles. B C BOC+ COA=50+40=90° A 50°+40°=90°
  • 47.
    47 Vertically opposite angles:When two angles intersect , the angle that are formed opposite to each other at the point of intersection are called vertically opposite angle. m d a c b l Angle ‘a’ is equal to angle ‘c’ Angle ‘b’is equal to angle ‘d’ Angles made by a transversal : When a transversal cuts lines , 8 angles are formed. Out of these 8 angles, 4 angles are interior angles and 4 angles are exterior angles . 1 2 P L 3 4 5 6 m 7 8 Here ‘l’ and ‘m’ are two lines intersected by the transversal “p” . Eight angles 1 2 3 4 5 6 7 and 8 are formed . The four angles 3 4 5 and 6 lying inside ‘l’ and ‘n’ are called interior angle. The four angles 1 2 7 and 8 on the out side of the lines ‘l’and ‘m’ are called exterior angles. Corresponding angles : In adjacent figure four Pairs of corresponding angles. 1 2 i. 1 and 5 ( 1= 5) L 3 4 ii. 2 and 6 ( 2 = 6 ) 5 6 m iii. 4 and 8 ( 4 = 8 ) 7 8 iv. 3 and 7 (3 = 7)
  • 48.
    48 Alternative exterior angle:a pair of exterior angle having different vertices and on the either side of the transversal are called exterior alternative angle. Alternative Interior angles: A pair of interior angles having different vertices and on the either side of the transversal are called interior alternative angles. Triangle : A triangle is a closed figure made up of three line segments i. Three sides are PQ, QR, RP P ii. Three angles are PQR , QRP, RPQ iii. Three vertices are P,Q,R Q R Area of triangle = ½ X base X height Perimeter of triangle = sum of the all sides Base on sides types of triangles: i. Equilateral triangle: A triangle having all three sides of equal length is called as equilateral triangle. P All sides are PQ=QR=RP Q R ii. Isosceles triangle: A triangle having at least two sides of equal length is called Isosceles triangle. Two sides are PQ=QR P Q R iii.Scalene triangle : If all the three sides of a triangle are of different length, the triangle is called a scalene triangle. P Three sides are different 3cm 5cm PQ=3cm QR=4cm Q 4cm R RP=5cm
  • 49.
    49 Profit and losspercentages: Profit = selling price- cost price Loss= Cost price –selling price Profit percentage= Profit X 100 Cost Price Loss percentage = Loss X 100 Cost price i. A shop keeper bought a suitcase for Rs. 480 and sold it for Rs. 540. Find his gain or profit percentage. Sol. Cost price (C.P)= 480 Selling price (SP)= 540 Profit = selling price – cost price = 540-480 =60 Profit percentage = profit X100 Cost price = 60/480X100=25/2=12 ½ % ii. Ajay brought a TV for Rs. 15000 and it for Rs. 1400. Find the loss percentage? iii. Ramu sold a plot of land for Rs. 2,40,000 gaining 20% for how much did he purchase the plot. iv. Simple Interest(S.I) : P X T X R P= Principal 100 T= Time R= Rate of Interest Amount= principal + interest A = P X T X R A= P [1 + TR ] 100 100
  • 50.
    50 i. Find theinterest on a sum of Rs. 8250/- for 3 years at the rate of 8% per annum. Sol. Principal(p) = 8250 Time (T) = 3 Rate of interest=8 Simple Interest = P X T X R = 8250 X 3 X 8 = 165 X 12 =1980 100 100 ii. Rs. 3000 is lent out at 9% rate of interest. Find the interest which will be received at the end of 2 ½ years. iii. In what time will Rs.6880amount to Rs.7224 if simple interest is calculated at 10% per annum. Arithmetic Mean, Mode, Median: The average of a data iscalled Arithmetic mean (or) mean Average (or)mean (or) A.M= Sum of all observation No. of observation Eg: The ages of players are in a team of 16,16,16,14,17,18. Find the mean Sol. Mean age of the players= 16+16+16+14+17+18 = 97 =16.16 year 9 6 Mode: The most frequently occurring value for a set off observations is called the mode. i. Find the mode of 5,6,3,5,9,5,6,9,5 Sol. Mode is 5 ii. Find the mode of 10,15,20,15,20,10,15,20,10 iii. Find the mode of 7,9,8,7,10,13,14,7 Exponents: The product a X a X aX ------------------ X a m times can be written as am a = base; m= power(or) exponent
  • 51.
    51 i.For any non-zerointeger ‘a’ and ‘b’ integers ‘m’ and ‘n’ 1. am X an = a m+n 2. (am) n = amn 3. amX bm = (ab)m 4. a-n = 1 an 6. am = am-n if m>n an 7. am = 1 if n>m an am-n 8. ( a/b) m = am / bm 9. a°= 1 i. 34 X 39 = 34+9 = 313 [ am X an = am+n ] ii. 311 X 39 iii. 2°+3°+41 simplify iv. If 56 X 52x = 510 ,then find x v. Simplify (Xa/ Xb )a X (Xb/Xa )a X (Xa /Xa )b Quadrilateral : Asimple closed figure formed by four line segment is called a quadrilateral. C A quadrilateral has four sides, four vertices and four angles. D Four vertices A,B,C,D Four sides AB,BC,CD,and DA A B Four angles ABC,BCD, CDA,and DAC AC, BD are diagonals of quadrilateral.Inquadrilateral sumof the 4 angles are 360°
  • 52.
    52 Types of quadrilateral:Based on the nature of the sides and angle, quadrilateral, have different names. Rectangle Rhombus Square Trapezium Parallelogram Kite i. Square : ABCD is Square D C Side of square= a a a Perimeter of square = 4Xa=4a Area of square = side X side= a X a=a2 A a B ii. Rectangle: ABCD is a rectangle Length of rectangle = l D l C Breadth of rectangle = b b b Perimeter of rectangle = 2(l+b) Area of rectangle = lXb A l B iii. Parallelogram: D C Parallelogram ABCD Opposite sides are equal Opposite angles are equal A B Diagonals bisect one another Area of parallelogram =1/2 X base X height D iv. Rhombus: Area of Rhombus = ½ Xd1 X d2 A C diagonals are AC,BD d B d
  • 53.
    53 Eg. Diagonals are8,6 find the area of rhombus Sol. d1= 8cm d2 = 6cm Area of rhombus = ½ Xd1 X d2 = ½ X8X6 = 4X6=24cm2 ii. Diagonals are 12cm,16cm . Find the area of rhombus? iii. If the length of one diagonal of a rhombus whose area 216 sq.cm is 24 cm .Then find the length of second diagonal? v. Circle : Centre is O C Radius of circle = r Diameter of circle =d A B Area of circle is = Πr2 Perimeter of circle = 2Πr ( Note Π value is 22/7) Symmetry : A figure is said to have line symmetry if a line can be drawn dividing the figure into two identical part. This line is called a line of symmetry. Eg: D r O o
  • 54.
    54 3D and 2Dshapes: 3D shapes are : i.Cube ii. Cuboid iii.Cone iv.Cylinder v.Shape vi. Pyramid 2D shapes are i.Square ii. Rectangle iii Circle iv. Parallelogram v. Rhombus
  • 55.
  • 56.