RADIOAKTIVITAS
HAMDANI,S.Pd
Inti atom stabil Inti atom tidak stabil
Jumlah proton (Z) lebih
sedikit atau sama banyak
dengan neutron (N)
Gaya inti lebih besar
dibandingkan dengan gaya
elektrostatis
 Jumlah proton (Z) lebih
besar dari jumlah netron
(N)
 Gaya elektrostatis jauh
lebih besar di bandingkan
dengan gaya inti
Gambar :Gaya elektroststis terjadi pada partikel
yang berdekatan dan berjauhan
Gambar : Gaya Inti terjadi pada partikel
yang saling berdekatan saja
Grafik kestabilan inti menunjukkan
bahwa jumlah netron
menjadi lebih besar dari jumlah proton
begitu nomor atom Z meningkat.
Suatu zat (unsur) akan menjadi
radioaktif jika memiliki inti atom yang
tidak stabil. Suatu inti atom berada
dalam keadaan tidak stabil jika jumlah
proton jauh lebih besar dari jumlah
netron. Pada keadaan inilah gaya
elektrostatis jauh lebih besar dari gaya
inti sehingga ikatan atom-atom menjadi
lemah dan inti berada dalam keadaan
tidak stabil.
Apakah inti atom
yang tidak stabil bisa
berubah menjadi inti
atom yang stabil?
Jika bisa bagaimana
caranya?
Radioaktivitas adalah pemancaran
sinar radioaktif secara spontan
oleh inti atom tidak stabil menjadi
inti atom yang stabil
Peluruhan radioaktif ada
3 yaitu peluruhan alfa,
peluruhan beta dan
peluruhan gamma
Daya tembus sinar radioaktif:
Sinar alfa < sinar beta < sinar gamma
Pada peristiwa peluruhan berlaku:
• Hukum kekekalan energi
• Hukum kekekalan momentum linier
• Hukum kekekalan momentum sudut
• Hukum kekekalan nomor massa
• Hukum kekekalan nomor atom
INTI INDUK (X)
INTI ANAK (Y)
PARTIKEL ALPA
Ra
226
88
Rn
222
86

4
2

4
2
222
86
226
88 
 Rn
Ra
Peluruhan alfa
Ketika sebuah inti memancarkan sinar alfa,
inti tersebut kehilangan empat nukleon
dua diantaranya adalah proton
88 p
138 n
86 p
136 n
2 p
2 n
+
anak
Induk sinar alfa

4
2
4
2 
 
 Y
X A
Z
A
Z

4
2
222
86
226
88 
 Rn
Ra
X Y + 
)
( int
int
int 
i
Y
i
x
i m
m
m
m 



2
int
int
int )
( c
m
m
m
Q i
Y
i
x
i 



)]
(
)
[(
)
( 
 Zme
m
Y
Zme
m
X
Zme
m
m partikel
Y
atom
X
atom 






2
)])
(
)
[(
)
(( c
Zme
m
Y
Zme
m
X
Zme
m
Q partikel
Y
atom
X
atom 
 





He
Rn
Ra 4
2
222
86
226
88 

)]
2
(
)
86
[(
)
88
( 4
2
222
86
226
88 me
He
m
me
Rn
m
me
Ra
m
m 






He
m
Rn
m
Ra
m
m 4
2
222
86
226
88 



MeV
m
m
m
Q partikel
Y
atom
X
atom 5
,
931
)
( 




partikel
Y
atom
X
atom m
m
m
m 



Energi yang
dibebaskan menjadi
energi kinetik alfa dan
energi kinetik anak.





 

A
A
Q
Ek
4

sesudah
sebelum p
p 
)
0
(
int 
x
v
diam
induk
i
jika

 v
m
v
m
v
m Y
Y
x
x 


 v
m
v
m Y
Y 

0
)
1
..(
..........
..........
Y
Y
m
v
m
v 




k
kY E
E
Q 

)
2
....(
2
1
2
1 2
2

 v
m
v
m
Q Y
Y 

2
2
2
1
2
1




v
m
m
v
m
m
Q
Y
Y 










2
2
2
2
1
2
1




v
m
v
m
m
Q
Y


2
2
2
1
2
1





v
m
v
m
m
m
Q
Y





k
k
Y
E
E
m
m
Q 



k
Y
E
m
m
Q 








 1


k
Y
Y
Y
E
m
m
m
m
Q 










k
E
A
A
Q 









4
4
4
Subtitusikan persamaan 1 dan 2
Q
A
A
Ek 




 

4

Peluruhan beta
Peluruhan beta
 Dalam peluruhan beta sebuah netron berubah
menjadi sebuah proton atau sebaliknya
 Partikel yang dipancarkan disebut partikel beta; dan
kemudian partikel itu dikenal sebagai elektron
 Elektron yang dipancarkan diperoleh dari elektron
yang “diciptakan” oleh inti atom dari energi yang
ada.
e
p
n 

Reaksi di atas kurang
tepat karena pada reaksi
ini energi, momentum
dan momentum sudut
tidak kekal
e
p
n 

Pauli melalui hipotesisnya
mengusulkan suatu partikel
baru yaitu netrino. Sehingga
reaksinya menjadi:



 e
p
n



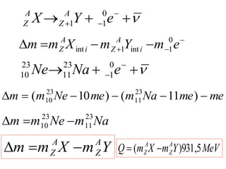
 
 e
Na
Ne 0
1
23
11
23
10



 
e
Th
Pa 0
1
230
90
230
91
Beta Minus
Beta Plus
Sifat-sifat anti-netrino:
• Muatannya netral
• Mempunyai spin = ½
• Mempunyai energi
• Tidak mempunyai massa



 

 e
Y
X A
Z
A
Z
0
1
1
me
me
Na
m
me
Ne
m
m 




 )
11
(
)
10
( 23
11
23
10



 
 e
Na
Ne 0
1
23
11
23
10


 


 e
m
Y
m
X
m
m i
A
Z
i
A
Z
0
1
int
1
int
Y
m
X
m
m A
Z
A
Z 


Na
m
Ne
m
m 23
11
23
10 


MeV
Y
m
X
m
Q A
Z
A
Z 5
,
931
)
( 

1. Carilah persamaan energi yang terjadi
pada saat peluruhan beta plus!
2. Tentukan energi kinetik beta yang terjadi
dengan asumsi energi kinetik neutrino
minimum!



 
e
Th
Pa 0
1
230
90
230
91
Energi yang diperoleh dari defek
massa berubah menjadi energi kinetik
elektron dan energi netrino.
Elektron akan mempunyai energi
kinetik yang maksimum jika Energi
netrino sama dengan nol.
MeV
Y
m
X
m
Q
el
E A
Z
A
Z
k 5
,
931
)
(
)
( 


Energi kinetik maksimum sama dengan
Energi yang berasal dari defek massa
PELURUHAN PROTON MERUPAKAN
SALAH SATU JENIS PELURUHAN BETA



 
e
n
P
e+ positron(elektron positif)
netrino(anti anti-netrino)

PELURUHAN GAMMA
• Peluruhan gamma dapat terjadi pada
peluruhan alpha dan beta ketika inti akhir
masih berada pada keadaan eksitasinya.
• Peluruhan gamma adalah peristiwa
pemancaran sinar gamma (foton) yang
terjadi ketika suatu inti yang berada dalam
keadaan tereksitasi kembali ke keadaan
dasar (ground state).
• Energi sinar gamma yang dipancarkan sama
dengan perbedaan energi antara dua tingkat
energi dikurangi dengan energi kinetik inti
yang terpental
Inti induk
Keadaan eksitasi
Keadaan dasar
o
i E
E
E 




o
E
i
E
R
E
E
E 



R
E
E
E 



o
i E
E
E 


2
2
2
1
MC
E
ER


Ei = energi keadaan eksitasi
EO = energi keadaan dasar
M = massa inti mula-mula
ER = energi pentalan inti setelah peluruhan
C = kecepatan cahaya
= beda energi keadaan eksitasi dengan
keadaan dasar
E


3783724.ppt

  • 1.
  • 2.
    Inti atom stabilInti atom tidak stabil Jumlah proton (Z) lebih sedikit atau sama banyak dengan neutron (N) Gaya inti lebih besar dibandingkan dengan gaya elektrostatis  Jumlah proton (Z) lebih besar dari jumlah netron (N)  Gaya elektrostatis jauh lebih besar di bandingkan dengan gaya inti
  • 3.
    Gambar :Gaya elektroststisterjadi pada partikel yang berdekatan dan berjauhan Gambar : Gaya Inti terjadi pada partikel yang saling berdekatan saja
  • 4.
    Grafik kestabilan intimenunjukkan bahwa jumlah netron menjadi lebih besar dari jumlah proton begitu nomor atom Z meningkat.
  • 5.
    Suatu zat (unsur)akan menjadi radioaktif jika memiliki inti atom yang tidak stabil. Suatu inti atom berada dalam keadaan tidak stabil jika jumlah proton jauh lebih besar dari jumlah netron. Pada keadaan inilah gaya elektrostatis jauh lebih besar dari gaya inti sehingga ikatan atom-atom menjadi lemah dan inti berada dalam keadaan tidak stabil.
  • 6.
    Apakah inti atom yangtidak stabil bisa berubah menjadi inti atom yang stabil? Jika bisa bagaimana caranya?
  • 7.
    Radioaktivitas adalah pemancaran sinarradioaktif secara spontan oleh inti atom tidak stabil menjadi inti atom yang stabil
  • 8.
    Peluruhan radioaktif ada 3yaitu peluruhan alfa, peluruhan beta dan peluruhan gamma
  • 13.
    Daya tembus sinarradioaktif: Sinar alfa < sinar beta < sinar gamma
  • 15.
    Pada peristiwa peluruhanberlaku: • Hukum kekekalan energi • Hukum kekekalan momentum linier • Hukum kekekalan momentum sudut • Hukum kekekalan nomor massa • Hukum kekekalan nomor atom
  • 16.
    INTI INDUK (X) INTIANAK (Y) PARTIKEL ALPA Ra 226 88 Rn 222 86  4 2  4 2 222 86 226 88   Rn Ra
  • 17.
    Peluruhan alfa Ketika sebuahinti memancarkan sinar alfa, inti tersebut kehilangan empat nukleon dua diantaranya adalah proton 88 p 138 n 86 p 136 n 2 p 2 n + anak Induk sinar alfa  4 2 4 2     Y X A Z A Z  4 2 222 86 226 88   Rn Ra
  • 18.
    X Y + ) ( int int int  i Y i x i m m m m     2 int int int ) ( c m m m Q i Y i x i     )] ( ) [( ) (   Zme m Y Zme m X Zme m m partikel Y atom X atom        2 )]) ( ) [( ) (( c Zme m Y Zme m X Zme m Q partikel Y atom X atom        
  • 19.
    He Rn Ra 4 2 222 86 226 88   )] 2 ( ) 86 [( ) 88 (4 2 222 86 226 88 me He m me Rn m me Ra m m        He m Rn m Ra m m 4 2 222 86 226 88     MeV m m m Q partikel Y atom X atom 5 , 931 ) (      partikel Y atom X atom m m m m    
  • 20.
    Energi yang dibebaskan menjadi energikinetik alfa dan energi kinetik anak.         A A Q Ek 4 
  • 21.
    sesudah sebelum p p  ) 0 ( int x v diam induk i jika   v m v m v m Y Y x x     v m v m Y Y   0 ) 1 ..( .......... .......... Y Y m v m v      k kY E E Q   ) 2 ....( 2 1 2 1 2 2   v m v m Q Y Y   2 2 2 1 2 1     v m m v m m Q Y Y            2 2 2 2 1 2 1     v m v m m Q Y   2 2 2 1 2 1      v m v m m m Q Y      k k Y E E m m Q     k Y E m m Q           1   k Y Y Y E m m m m Q            k E A A Q           4 4 4 Subtitusikan persamaan 1 dan 2 Q A A Ek         4 
  • 22.
  • 23.
    Peluruhan beta  Dalampeluruhan beta sebuah netron berubah menjadi sebuah proton atau sebaliknya  Partikel yang dipancarkan disebut partikel beta; dan kemudian partikel itu dikenal sebagai elektron  Elektron yang dipancarkan diperoleh dari elektron yang “diciptakan” oleh inti atom dari energi yang ada. e p n  
  • 24.
    Reaksi di ataskurang tepat karena pada reaksi ini energi, momentum dan momentum sudut tidak kekal e p n   Pauli melalui hipotesisnya mengusulkan suatu partikel baru yaitu netrino. Sehingga reaksinya menjadi:     e p n
  • 25.
          e Na Ne0 1 23 11 23 10      e Th Pa 0 1 230 90 230 91 Beta Minus Beta Plus
  • 26.
    Sifat-sifat anti-netrino: • Muatannyanetral • Mempunyai spin = ½ • Mempunyai energi • Tidak mempunyai massa
  • 27.
           e Y XA Z A Z 0 1 1 me me Na m me Ne m m       ) 11 ( ) 10 ( 23 11 23 10       e Na Ne 0 1 23 11 23 10        e m Y m X m m i A Z i A Z 0 1 int 1 int Y m X m m A Z A Z    Na m Ne m m 23 11 23 10    MeV Y m X m Q A Z A Z 5 , 931 ) (  
  • 28.
    1. Carilah persamaanenergi yang terjadi pada saat peluruhan beta plus! 2. Tentukan energi kinetik beta yang terjadi dengan asumsi energi kinetik neutrino minimum!      e Th Pa 0 1 230 90 230 91
  • 29.
    Energi yang diperolehdari defek massa berubah menjadi energi kinetik elektron dan energi netrino. Elektron akan mempunyai energi kinetik yang maksimum jika Energi netrino sama dengan nol. MeV Y m X m Q el E A Z A Z k 5 , 931 ) ( ) (    Energi kinetik maksimum sama dengan Energi yang berasal dari defek massa
  • 30.
    PELURUHAN PROTON MERUPAKAN SALAHSATU JENIS PELURUHAN BETA      e n P e+ positron(elektron positif) netrino(anti anti-netrino) 
  • 31.
    PELURUHAN GAMMA • Peluruhangamma dapat terjadi pada peluruhan alpha dan beta ketika inti akhir masih berada pada keadaan eksitasinya. • Peluruhan gamma adalah peristiwa pemancaran sinar gamma (foton) yang terjadi ketika suatu inti yang berada dalam keadaan tereksitasi kembali ke keadaan dasar (ground state). • Energi sinar gamma yang dipancarkan sama dengan perbedaan energi antara dua tingkat energi dikurangi dengan energi kinetik inti yang terpental
  • 32.
    Inti induk Keadaan eksitasi Keadaandasar o i E E E      o E i E R E E E    
  • 33.
    R E E E     o i E E E   2 2 2 1 MC E ER   Ei = energi keadaan eksitasi EO = energi keadaan dasar M = massa inti mula-mula ER = energi pentalan inti setelah peluruhan C = kecepatan cahaya = beda energi keadaan eksitasi dengan keadaan dasar E 