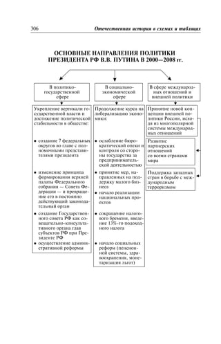
2010
ÓÄÊ 373.167.1:94(47)
ÁÁÊ 63.3(2)
Ê 43
Êèðèëëîâ Â. Â.
Ê 43 Îòå÷åñòâåííàÿ èñòîðèÿ â ñõåìàõ è òàáëèöàõ / Â. Â. Êèðèëëîâ. —
Ì. : Ýêñìî, 2009. — 320 ñ. — (Íàãëÿäíî è äîñòóïíî).
ISBN 978-5-699-37207-2
Êóðñ îòå÷åñòâåííîé èñòîðèè â ñõåìàõ è òàáëèöàõ ïðåäñòàâëÿåò ñîáîé ó÷åáíîå ïîñî-
áèå, â êîòîðîì â ñæàòîé, êîíöåíòðèðîâàííîé ôîðìå äàþòñÿ îñíîâíûå ñâåäåíèÿ î ïðî-
øëîì íàøåé ñòðàíû.
Èñïîëüçîâàíèå ýëåìåíòîâ íàãëÿäíî-ãðàôè÷åñêîãî õàðàêòåðà ïîçâîëÿåò ëó÷øå ïî-
íÿòü è óñâîèòü ìàòåðèàë, ïðèáëèçèòüñÿ ê ïîñòèæåíèþ ñëîæíîãî è ïðîòèâîðå÷èâîãî
èñòîðè÷åñêîãî ïðîöåññà.  ñîäåðæàíèå ââîäÿòñÿ òàêæå èñòîðèêî-ýòèìîëîãè÷åñêèå
êîìïîíåíòû, îáúÿñíÿþùèå êëþ÷åâûå òåðìèíû è ïîíÿòèÿ.
Ìàòåðèàë ïðåäñòàâëåí â àâòîðñêîé ðåäàêöèè íà îñíîâàíèè ãîñóäàðñòâåííûõ îáðà-
çîâàòåëüíûõ ñòàíäàðòîâ ñðåäíåé è âûñøåé øêîëû.
Íàñòîÿùåå èçäàíèå ìîæåò áûòü ïîëåçíî äëÿ ïîäãîòîâêè ê åäèíîìó ãîñóäàðñòâåí-
íîìó ýêçàìåíó ïðåïîäàâàòåëÿì, øêîëüíèêàì, ñòóäåíòàì, âñåì èíòåðåñóþùèìñÿ èñòî-
ðèåé Ðîññèè.
ÓÄÊ 373.167.1:94(47)
ÁÁÊ 63.3(2)
© Êèðèëëîâ Â.Â., 2009
ISBN 978-5-699-37207-2 © ÎÎÎ «Èçäàòåëüñòâî «Ýêñìî», 2009
ÑÎÄÅÐÆÀÍÈÅ
Îò àâòîðà . . . . . . . . . . . . . . . . . . . . . . . . . . 5
×òî òàêîå èñòîðèÿ . . . . . . . . . . . . . . . . . . . . . 7
Ñëàâÿíå â VI—VIII ââ. . . . . . . . . . . . . . . . . . . 10
Äðåâíÿÿ Ðóñü . . . . . . . . . . . . . . . . . . . . . . . 12
Óäåëüíàÿ Ðóñü . . . . . . . . . . . . . . . . . . . . . . . 30
Ìîñêîâñêàÿ Ðóñü . . . . . . . . . . . . . . . . . . . . . 43
Ðîññèÿ â ýïîõó Èâàíà Ãðîçíîãî . . . . . . . . . . . . . . 60
Ñìóòíîå âðåìÿ. . . . . . . . . . . . . . . . . . . . . . . 67
Ðîññèÿ â XVII â. . . . . . . . . . . . . . . . . . . . . . . 78
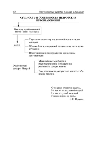
Ýïîõà ïåòðîâñêèõ ïðåîáðàçîâàíèé . . . . . . . . . . . . 103
Äâîðöîâûå ïåðåâîðîòû XVIII â. . . . . . . . . . . . . . . 118
Ðîññèÿ âî âòîðîé ïîëîâèíå XVIII â.. . . . . . . . . . . . 126
Ðîññèÿ â ïåðâîé ïîëîâèíå XIX â. . . . . . . . . . . . . . 136
Ðîññèÿ âî âòîðîé ïîëîâèíå XIX â. . . . . . . . . . . . . 174
Ðîññèÿ â íà÷àëå XX â. . . . . . . . . . . . . . . . . . . 200
Ðåâîëþöèÿ 1917 ã. è Ãðàæäàíñêàÿ âîéíà . . . . . . . . . 218
Ñòðàíà Ñîâåòîâ â 20—30 ãã. XX â. . . . . . . . . . . . . . 234
Âåëèêàÿ Îòå÷åñòâåííàÿ âîéíà (1941—1945 ãã.) . . . . . . . 242
Ïîñëåâîåííîå ðàçâèòèå ñòðàíû (1945—1953 ãã.) . . . . . . 252
ÑÑÑÐ â 1953—1964 ãã. . . . . . . . . . . . . . . . . . . 258
Ñîâåòñêèé Ñîþç â 1965—1985 ãã. . . . . . . . . . . . . . 270
Ïåðåñòðîéêà (1985—1991 ãã.) . . . . . . . . . . . . . . . 281
Ðîññèéñêàÿ Ôåäåðàöèÿ íà ðóáåæå XX—XXI ââ. . . . . . . 296
4
Îò àâòîðà
 íàñòîÿùåì ó÷åáíîì ïîñîáèè êîìïàêòíî è â õðîíîëîãè÷å-
ñêîé ïîñëåäîâàòåëüíîñòè â ôîðìå ñõåì è òàáëèö ïðåäñòàâëåíû
îñíîâíûå ñîáûòèÿ è âåõè îòå÷åñòâåííîé èñòîðèè â êîíòåêñòå èõ
ïðè÷èííî-ñëåäñòâåííûõ ñâÿçåé.
Ìû èñõîäèì èç òîãî, ÷òî òåêñòû áîëüøèíñòâà ñîâðåìåííûõ
ó÷åáíèêîâ ïî èñòîðèè, êàê áû èíòåðåñíî îíè íè áûëè íàïèñà-
íû, âñå-òàêè íå äàþò ÷åòêîãî âîñïðèÿòèÿ, ïîíèìàíèÿ è óÿñíå-
íèÿ ñëîæíûõ ïðîöåññîâ èñòîðè÷åñêîãî ïðîøëîãî. Ýòîìó ïðè-
çâàíû ïîìî÷ü ñðåäñòâà ãðàôè÷åñêîé íàãëÿäíîñòè, ïðè ïîìîùè
êîòîðûõ êàê áû «ôîòîãðàôèðóåòñÿ» êàæäàÿ òåìà. Ïîäîáíûé
ïîäõîä áàçèðóåòñÿ íà òîì, ÷òî ó ÷åëîâåêà â åãî âîñïðèÿòèè îêðó-
æàþùåé äåéñòâèòåëüíîñòè äîìèíèðóåò çðèòåëüíàÿ ïàìÿòü, íå-
çàìåíèìàÿ â òîì ÷èñëå è ïðè èçó÷åíèè èñòîðèè.
Èñïîëüçîâàíèå ñõåì è òàáëèö ïîìîæåò ëó÷øåìó çàïîìèíà-
íèþ äàò è ñóùíîñòè èñòîðè÷åñêèõ ñîáûòèé, ðàçâèòèþ ïàìÿòè,
ëîãè÷åñêîãî ìûøëåíèÿ, àíàëèòè÷åñêèõ ñïîñîáíîñòåé, ôîðìè-
ðîâàíèþ ìèðîâîççðåíèÿ.
Ïîñîáèå îðèåíòèðîâàíî êàê íà ó÷àùèõñÿ, òàê è íà ïðåïîäà-
âàòåëåé è âñåõ èíòåðåñóþùèõñÿ èñòîðèåé Ðîññèè.
Ìåòîäèêà ðàáîòû ñ ïîñîáèåì ïðåäïîëàãàåò ñëåäóþùèå ôîð-
ìû ó÷åáíîé äåÿòåëüíîñòè:
— ñàìîñòîÿòåëüíîå èçó÷åíèå ñîîòâåòñòâóþùåé òåìû ïî ðàç-
äåëàì ó÷åáíèêà, à çàòåì çàêðåïëåíèå åå ïî ïðåäëîæåííûì ñõå-
ìàì è òàáëèöàì;
— èñïîëüçîâàíèå ïîñîáèÿ êàê êðàòêîãî àííîòèðîâàííîãî
ñèñòåìàòèçèðîâàííîãî ñïðàâî÷íèêà ïî îòå÷åñòâåííîé èñòîðèè
äëÿ ïîäãîòîâêè ê ñäà÷å ýêçàìåíîâ ïî òðàäèöèîííîé ôîðìå, à
òàêæå â ôîðìå ÅÃÝ (åäèíîãî ãîñóäàðñòâåííîãî ýêçàìåíà).
Ñîäåðæàíèå ðÿäà òàáëèö, âêëþ÷àþùåå äåòàëüíîå ïîýòàïíîå
îïèñàíèå õîäà íåêîòîðûõ ïðîöåññîâ è ñîáûòèé, âûõîäèò çà ðàì-
êè ó÷åáíîãî ìàòåðèàëà ó÷åáíèêîâ; îíî ìîæåò èñïîëüçîâàòüñÿ
êàê äîïîëíèòåëüíûé ìàòåðèàë, ðàñøèðÿþùèé ïîçíàíèÿ â îá-
ëàñòè èñòîðèè Ðîññèè.
×òî òàêîå èñòîðèÿ
6 Îòå÷åñòâåííàÿ èñòîðèÿ â ñõåìàõ è òàáëèöàõ
×ÒÎ ÒÀÊÎÅ ÈÑÒÎÐÈß
(ãðå÷. historia — ðàññêàç î ïðîøåäøåì, îá óçíàííîì)
I. Ïðîöåññ ðàçâèòèÿ
ïðèðîäû è îáùåñòâà
II. Êîìïëåêñ îáùåñòâåííûõ
íàóê, èçó÷àþùèõ ïðîøëîå
÷åëîâå÷åñòâà âî âñåé åãî
êîíêðåòíîñòè è
ìíîãîîáðàçèè
Èñòîðèÿ — ñâèäåòåëü
ïðîøëîãî, ñâåò èñòèíû,
æèâàÿ ïàìÿòü, ó÷èòåëü
æèçíè, âåñòíèê ñòàðèíû.
Öèöåðîí
 èñòîðèè ÷åðïàåì ìû
ìóäðîñòü...
Ô. Áýêîí
Áåç çíàíèÿ èñòîðèè ìû
äîëæíû ïðèçíàòü ñåáÿ
ñëó÷àéíîñòÿìè, íå çíàÿ,
êàê è çà÷åì ìû æèâåì, êàê
è ê ÷åìó äîëæíû
ñòðåìèòüñÿ.
B.Î. Êëþ÷åâñêèé
Èñòîðèÿ ó÷èò äàæå òåõ,
êòî ó íåå íå ó÷èòñÿ. Îíà
èõ ïðîó÷èâàåò çà
íåâåæåñòâî è
ïðåíåáðåæåíèå.
Â.Î. Êëþ÷åâñêèé
Èñòîðèÿ â íåêîòîðîì ñìûñëå åñòü ñâÿùåííàÿ
êíèãà íàðîäîâ: ãëàâíàÿ, íåîáõîäèìàÿ; çåðêàëî èç
áûòèÿ è äåÿòåëüíîñòè; çàâåò ïðåäêîâ ïîòîìñòâó;
äîïîëíåíèå èçúÿñíåíèÿ íàñòîÿùåãî è ïðèìåð
ïðîøëîãî.
Í.Ì. Êàðàìçèí
Äëÿ ÷åãî íóæíà èñòîðèÿ?
— Äëÿ ÷åëîâå÷åñêîãî
ñàìîïîçíàíèÿ.
Ð. Äæ. Êîëëèíãâóä
ÈÑÒÎÐÈ×ÅÑÊÈÅ ÈÑÒÎ×ÍÈÊÈ
âñå îáúåêòû, íåïîñðåäñòâåííî îòðàæàþùèå
èñòîðè÷åñêèé ïðîöåññ è äàþùèå âîçìîæíîñòü
èçó÷àòü ïðîøëîå ÷åëîâå÷åñòâà
8 Îòå÷åñòâåííàÿ èñòîðèÿ â ñõåìàõ è òàáëèöàõ
Êëàññèôèêàöèÿèñòîðè÷åñêèõèñòî÷íèêîâ
Ëèíãâèñòè÷åñêèå:
äàííûåÿçûêà
Ýòíîãðàôè÷åñêèå:
îáðÿäûèîáû÷àè
Âåùåñòâåííûå:
îðóäèÿòðóäà,
ïðåäìåòûáûòà,
îðóæèå,
ñòðîèòåëüíûå
ñîîðóæåíèÿèäð.
Óñòíûå—
ôîëüêëîð:
áûëèíû,
ñêàçêè,ïåñíè
èäð.
Ïèñüìåííûå
Ãîñóäàðñòâåííî-àêòîâûå:
þðèäè÷åñêèåíîðìû,
äîãîâîðû,ïîñòàíîâëåíèÿ
èäð.
Îïèñàòåëüíûå:
ëåòîïèñè,æèòèÿ,ïèñüìà,
äíåâíèêè,îïèñàíèÿèäð.
ÂÑÏÎÌÎÃÀÒÅËÜÍÛÅ ÈÑÒÎÐÈ×ÅÑÊÈÅ ÄÈÑÖÈÏËÈÍÛ
èçó÷àþò îïðåäåëåííûå âèäû èëè îòäåëüíûå ôîðìû
è ñîäåðæàíèÿ èñòîðè÷åñêèõ èñòî÷íèêîâ
Ãåíåàëîãèÿ (îò ãðå÷. —
ðîäîñëîâíàÿ)
Íàóêà î ïðîèñõîæäåíèè, âîçíèêíîâåíèè è
ðàçâèòèè ðîäñòâåííûõ îòíîøåíèé
Ãåðàëüäèêà (ëàò.
heraldus — ãëàøàòàé)
Íàóêà, èçó÷àþùàÿ ãåðáû êàê èñòîðè÷åñêèé
èñòî÷íèê
Äèïëîìàòèêà
(ãðå÷. diploma —
äîêóìåíò)
Íàóêà, èçó÷àþùàÿ ïðîèñõîæäåíèå, ôîðìó
è ñîäåðæàíèå, à òàêæå ôóíêöèîíèðîâàíèå
äîêóìåíòîâ ïðàâîâîãî õàðàêòåðà
Ìåòðîëîãèÿ (ãðå÷.
metron — ìåðà è logos —
íàóêà)
Íàóêà, èçó÷àþùàÿ óïîòðåáëÿâøèåñÿ â
ïðîøëîì ìåðû äëèíû, ïëîùàäè, îáúåìà,
âåñà — â èõ èñòîðè÷åñêîì ðàçâèòèè
Îíîìàñòèêà (ãðå÷.
onoma — èìÿ, íàèìåíî-
âàíèå)
Íàóêà, èçó÷àþùàÿ èìåíà ñîáñòâåííûå, èñ-
òîðèþ èõ âîçíèêíîâåíèÿ. Èìååò íåñêîëüêî
ðàçäåëîâ:
òîïîíèìèêà — èçó÷àåò ãåîãðàôè÷åñêèå íà-
çâàíèÿ;
àíòðîïîíèìèêà — èçó÷àåò ëè÷íûå èìåíà
ëþäåé;
ýòíîíèìèêà — èçó÷àåò íàçâàíèÿ ïëåìåí,
íàðîäîâ è äðóãèõ ýòíè÷åñêèõ îáùíîñòåé;
òåîíèìèêà — èçó÷àåò èìåíà áîãîâ
Íóìèçìàòèêà (ëàò.
numisma — ìîíåòà)
Íàóêà, èçó÷àþùàÿ èñòîðèþ ìîíåòíîé ÷å-
êàíêè è äåíåæíîãî îáðàùåíèÿ ïî ìîíåòàì,
äåíåæíûì ñëèòêàì è äð.
Ïàëåîãðàôèÿ (ãðå÷.
palos — äðåâíèé è
grafo — ïèøó)
Íàóêà, èçó÷àþùàÿ âíåøíèå ïðèçíàêè ðó-
êîïèñíûõ èñòî÷íèêîâ â èõ èñòîðè÷åñêîì
ðàçâèòèè (ïî÷åðêè, çíàêè ïèñüìà, ÷åðíèëà
è äð.)
Ñôðàãèñòèêà (ãðå÷.
sphragis — ïå÷àòü)
Íàóêà, èçó÷àþùàÿ ïå÷àòè
Õðîíîëîãèÿ (ãðå÷.
chronos — âðåìÿ è
logos — íàóêà)
Íàóêà, èçó÷àþùàÿ ñèñòåìû ëåòîñ÷èñëåíèÿ
è êàëåíäàðè ðàçëè÷íûõ íàðîäîâ
Ýòèìîëîãèÿ (ãðå÷.
etymon — èñòèíà,
èñòèííîå çíà÷åíèå
ñëîâà)
Ðàçäåë ÿçûêîâåäåíèÿ, çàíèìàþùèéñÿ èçó-
÷åíèåì ïåðâîíà÷àëüíîé ñëîâîîáðàçîâà-
òåëüíîé ñòðóêòóðû ñëîâà è âûÿâëåíèåì
ýëåìåíòîâ åãî äðåâíåãî çíà÷åíèÿ
×òî òàêîå èñòîðèÿ 9
ÑËÀÂßÍÅ Â VI—VIII ââ.
ÊÎÍÖÅÏÖÈÈ ÏÐÎÈÑÕÎÆÄÅÍÈß È ÏÐÀÐÎÄÈÍÛ
ÑËÀÂßÍ
10 Îòå÷åñòâåííàÿ èñòîðèÿ â ñõåìàõ è òàáëèöàõ
Ìèãðàöèîííàÿ
(Ïðèøëè íà Âîñòî÷íî-
Åâðîïåéñêóþ ðàâíèíó)
Àâòîõòîííàÿ
«äóíàéñêàÿ»
(Ñ.Ì. Ñîëîâüåâ,
Â.Î. Êëþ÷åâñêèé)
«ïðèáàëòèéñêàÿ»
(Ì.Â. Ëîìîíîñîâ,
À.Ã. Êóçüìèí)
Ñëàâÿíå êàê ýòíîñ
ñôîðìèðîâàëèñü
íà òåððèòîðèè
Âîñòî÷íî-
Åâðîïåéñêîé
ðàâíèíû è
ÿâëÿëèñü
èñêîííûì
íàñåëåíèåì
(Á.À. Ðûáàêîâ)
Ñ
ëàâÿíå â VI—VIII ââ.
Îñíîâíûå âîñòî÷íîñëàâÿíñêèå ïëåìåíà è ìåñòà èõ ðàññåëåíèÿ
Êðèâè÷è Âåðõîâüÿ ðåê Âîëãè, Äíåïðà, Çàïàäíîé
Äâèíû
Âÿòè÷è Ïî ðåêå Îêà
Èëüìåíñêèå ñëîâåíå Âîêðóã îçåðà Èëüìåíü è ïî ðåêå Âîëõîâ
Ðàäèìè÷è Ïî ðåêå Ñîæ
Äðåâëÿíå Ïî ðåêå Ïðèïÿòü
Äðåãîâè÷è Ìåæäó ðåêàìè Ïðèïÿòü è Áåðåçèíà
Ïîëÿíå Ïî çàïàäíîìó áåðåãó ðåêè Äíåïð
Óëè÷è è òèâåðöû Þãî-çàïàä Âîñòî÷íî-Åâðîïåéñêîé ðàâíèíû
Ñåâåðÿíå Ïî ñðåäíåìó òå÷åíèþ ðåêè Äíåïð è ïî ðåêå
Äåñíà
Ñëàâÿíå â VI—VIII ââ. 11
ÂÎÑÒÎ×ÍÛÅ ÑËÀÂßÍÅ Â ÄÐÅÂÍÎÑÒÈ
ßçû÷åñòâî
ÇàíÿòèÿÎáùåñòâåííîå
óñòðîéñòâî
Ðîäîâàÿ îáùèíà
Ñîñåäñêàÿ îáùèíà
Çåìëåäåëèå
Îõîòà
Ðûáîëîâñòâî
Áîðòíè÷åñòâî
Âåðîâàíèÿ
Êóëüò ïðåäêîâ
Ïîêëîíåíèå
ÿâëåíèÿì ïðèðîäû
Çåìëåäåëü÷åñêèå
êóëüòû
Ñîþçû ñëàâÿíñêèõ ïëåìåí
Ñëàâèÿ Êóÿâèÿ Àðòàíèÿ
ÄÐÅÂÍßß ÐÓÑÜ
Äðåâíÿÿ ÐóñüÐÓÑÜ
12 Îòå÷åñòâåííàÿ èñòîðèÿ â ñõåìàõ è òàáëèöàõ
ÎÁÐÀÇÎÂÀÍÈÅ ÄÐÅÂÍÅÐÓÑÑÊÎÃÎ ÃÎÑÓÄÀÐÑÒÂÀ
Êîíöåïöèè ïðîèñõîæäåíèÿ ãîñóäàðñòâà
Òåîðèè âîçíèêíîâåíèÿ ãîñóäàðñòâà ó âîñòî÷íûõ ñëàâÿí
Ñëàâÿíñêàÿ
(àíòèíîðìàííñêàÿ)
Îòðèöàåòñÿ ðîëü âàðÿ-
ãîâ â îáðàçîâàíèè
äðåâíåðóññêîãî ãîñó-
äàðñòâà è ïðèçâàíèå
èõ íà êíÿæåíèå
Öåíòðèñòñêàÿ
Äðåâíåðóññêîå ãîñó-
äàðñòâî âîçíèêëî
êàê ðåçóëüòàò âíóò-
ðåííåãî îáùåñòâåí-
íîãî ðàçâèòèÿ ñëà-
âÿí, íî è ïðè ó÷à-
ñòèè âàðÿãîâ
Íîðìàííñêàÿ
Äðåâíåðóññêîå ãîñó-
äàðñòâî ñîçäàíî íîð-
ìàííàìè (âàðÿãàìè) ñ
äîáðîâîëüíîãî ñîãëà-
ñèÿ ñëàâÿí
Ì.Â. Ëîìîíîñîâ
Á.À. Ðûáàêîâ
À.Ë. Þðãàíîâ
Ë.À. Êàöâà
è áîëüøèíñòâî
ñîâðåìåííûõ
èñòîðèêîâ
Ã.Ç. Áàéåð
À.Ë. Øëåöåð XVIII â.
Ã.Ô. Ìèëëåð
Í.Ì. Êàðàìçèí
Ñ.Ì. Ñîëîâüåâ XIX â.
Äðåâíÿÿ Ðóñü 13
Äîãîâîðíàÿ
Ãîñóäàðñòâî âîçíèêàåò â
ïåðèîä ðàñïàäà ðîäîâûõ
îòíîøåíèé â ðåçóëüòàòå
ïîÿâëåíèÿ èìóùåñòâåííîãî
íåðàâåíñòâà, ñîöèàëüíîé
äèôôåðåíöèàöèè,
ñîáñòâåííîñòè íà îðóäèÿ
òðóäà è çåìëþ è ò. ä.
Ãîñóäàðñòâî âîçíèêàåò
âñëåäñòâèå äîãîâîðà ìåæäó
ëþäüìè
Êëàññîâàÿ
ÄÈÍÀÑÒÈß ÐÞÐÈÊÎÂÈ×ÅÉ (IX—XII ââ.)
14 Îòå÷åñòâåííàÿ èñòîðèÿ â ñõåìàõ è òàáëèöàõ
Ðþðèê [Òðóâîð, Ñèíåóñ]
862—879
Îëåã
879—912
Èãîðü I
912—945
Îëüãà
945—969
Ñâÿòîñëàâ
964—972
ßðîïîëê
972—980
Îëåã
óì. 977
Âëàäèìèð Ñâÿòîé
980—1015
Ñâÿòîïîëê I Îêàÿííûé
1015—1019
ßðîñëàâ Ìóäðûé
1019—1054
Áîðèñ
óì. 1015
Ãëåá
óì. 1015
Âëàäèìèð
óì. 1032
Ñâÿòîñëàâ II
1073—1076
Èçÿñëàâ I
1054—1068, 1069—1073, 1077—1078
Âñåâîëîä I
1078—1093
Îëåã
óì.1115
Äàâèä
óì. 1123
Ñâÿòîïîëê II
1093—1113
Âëàäèìèð Ìîíîìàõ
1113—1125
Ðîñòèñëàâ
Âîëîäàðü
Âñåâîëîä II
1139—1146
Èãîðü II
1146
Èçÿñëàâ III
1157—1159
Ìñòèñëàâ
Âåëèêèé
1125—1132
ßðîïîëê II
1132—1139
Þðèé
Äîëãîðóêèé
1149—1150
1155—1157
Âëàäèìèð
Èçÿñëàâ II
1146—1149
1150—1153
Ðîñòèñëàâ
1154—1156
1159—1167
Àíäðåé
Áîãîëþáñêèé
1157—1174
Ìèõàèë
1175—1176
Âñåâîëîä
Áîëüøîå
Ãíåçäî
1176—1212
ßðîñëàâ
Îñòðîìûñë
óì. 1187
Ìñòèñëàâ II
1167—1169
ßðîñëàâ
óì. 1175
Ðîìàí Ãàëèöêèé
óì. 1205
Âàñèëüêî
óì. 1271
Äàíèèë
Ãàëèöêèé
óì. 1264
Êîíñòàíòèí
1216—1218
Þðèé II
1212—1216
1218—1238
ßðîñëàâ II
1238—1246
Ñâÿòîñëàâ
1246—1247
Ìèõàèë
1247—1248
Àíäðåé
1248—1252
Âàñèëèé Êîñòðîìñêîé
1272—1276
ßðîñëàâ III
1263—1272
Àëåêñàíäð Íåâñêèé
1252—1263
ÏÅÐÂÛÅ ÊÍßÇÜß
Äðåâíÿÿ Ðóñü 15
Ðþðèê
862—879 ãã.
Ø Ðîäîíà÷àëüíèê äèíàñòèè Ðþðèêîâè÷åé, ïåðâûé
äðåâíåðóññêèé êíÿçü
Ø Ñîãëàñíî «Ïîâåñòè âðåìåííûõ ëåò» ïðèçâàí íà
êíÿæåíèå â 862 ã. èëüìåíñêèìè ñëîâåíàìè,
÷óäüþ è âåñüþ èç âàðÿæñêèõ çåìåëü
Ø Êíÿæèë â Ëàäîãå, à çàòåì âî âñåõ íîâãîðîäñêèõ
çåìëÿõ
Ø Ïåðåä ñìåðòüþ ïåðåäàë âëàñòü ñâîåìó
ðîäñòâåííèêó (èëè ñòàðøåìó äðóæèííèêó) —
Îëåãó
Êíÿçü — âîæäü ïëåìåíè,
ïðàâèòåëü ãîñóäàðñòâà èëè
ãîñóäàðñòâåííîãî
îáðàçîâàíèÿ
Âîçìîæíàÿ ýòèìîëîãèÿ
Îò áîëãàðñê. êíåç —
ñòàðåéøèíà
Îò ôèíñê. kuningas —
êîðîëü
16 Îòå÷åñòâåííàÿ èñòîðèÿ â ñõåìàõ è òàáëèöàõ
Îëåã
879—912 ãã.
Ø Â 882 ã. çàõâàòèë Êèåâ è ñäåëàë åãî ñòîëèöåé
äðåâíåðóññêîãî ãîñóäàðñòâà, óáèâ êíÿæèâøèõ
òàì ðàíåå Àñêîëüäà è Äèðà
Ø Ïåðâûé ðåàëüíûé ïðàâèòåëü Äðåâíåé Ðóñè,
îáúåäèíèâøèé çåìëè ñëàâÿíñêèõ ïëåìåí âäîëü
ïóòè «èç âàðÿã â ãðåêè»
Ø Ïîä÷èíèë ñåáå ïëåìåíà äðåâëÿí, ñåâåðÿí,
ðàäèìè÷åé
Ø Óïðî÷èë âíåøíåïîëèòè÷åñêîå ïîëîæåíèå.
 907 ã. ñîâåðøèë óñïåøíûé âîåííûé ïîõîä
íà Êîíñòàíòèíîïîëü, èòîãîì êîòîðîãî ñòàëè
âûãîäíûå äëÿ Ðóñè äâà ìèðíûõ äîãîâîðà (907 è
911 ãã.)
Ïåðâûå êíÿçüÿ
Äðåâíÿÿ Ðóñü 17
Èãîðü
912—945 ãã.
Ø Îòðàçèë íàáåãè êî÷åâíèêîâ-ïå÷åíåãîâ
Ø Ðàñøèðèë ãðàíèöû Äðåâíåðóññêîãî ãîñóäàðñòâà,
ïîä÷èíèâ ïëåìÿ óëè÷åé è ñïîñîáñòâîâàâ
îñíîâàíèþ ðóññêèõ ïîñåëåíèé íà Òàìàíñêîì
ïîëóîñòðîâå
Ø Îðãàíèçîâàë âîåííûå ïîõîäû ïðîòèâ Âèçàíòèè
1. 941 ã. — çàêîí÷èëñÿ íåóäà÷åé
2. 944 ã. — çàêëþ÷åíèå âçàèìîâûãîäíîãî
äîãîâîðà
Óáèò äðåâëÿíàìè ïðè ñáîðå äàíè â 945 ã.
ÎËÜÃÀ È ÑÂßÒÎÑËÀÂ
18 Îòå÷åñòâåííàÿ èñòîðèÿ â ñõåìàõ è òàáëèöàõ
Îëüãà
945—969 ãã.
Æåíà êíÿçÿ Èãîðÿ,
ïðàâèëà íà Ðóñè â ïåðèîä
ìàëîëåòñòâà ñûíà
Ñâÿòîñëàâà è âî âðåìÿ
åãî âîåííûõ ïîõîäîâ
Ø Âïåðâûå óñòàíîâèëà
÷åòêèé ïîðÿäîê ñáîðà
äàíè («ïîëþäüÿ»)
ïóòåì ââåäåíèÿ:
1) óðîêîâ —
îïðåäåëåíèÿ òî÷íûõ
ðàçìåðîâ äàíè
2) ïîãîñòîâ —
óñòàíîâëåíèÿ ìåñò
ñáîðà äàíè
Ø Ïîåçäêà â Âèçàíòèþ
(957) è ïðèíÿòèå
õðèñòèàíñòâà ïîä
èìåíåì Åëåíà
Ø Â 968 ã. ðóêîâîäèëà
çàùèòîé Êèåâà îò
ïå÷åíåãîâ
Ñâÿòîñëàâ
964—972 ãã.
Ñûí êíÿçÿ Èãîðÿ è
êíÿãèíè Îëüãè.
Ïðàâèòåëü
Äðåâíåðóññêîãî
ãîñóäàðñòâà â 964—972 ãã.
Èíèöèàòîð è ðóêîâîäèòåëü
ìíîãèõ âîåííûõ ïîõîäîâ
Ø Ðàçãðîì Õàçàðñêîãî
êàãàíàòà è åãî ñòîëèöû
Èòèëü (965)
Ø Ïîõîäû â Äóíàéñêóþ
Áóëãàðèþ. Âîéíû ñ
Âèçàíòèåé (968—971)
Ø Âîåííûå
ñòîëêíîâåíèÿ ñ
ïå÷åíåãàìè (969—972)
Ø Äîãîâîð ìåæäó Ðóñüþ
è Âèçàíòèåé (971)
Óáèò ïå÷åíåãàìè âî âðåìÿ
âîçâðàùåíèÿ èç Áîëãàðèè
â 972 ã. íà äíåïðîâñêèõ
ïîðîãàõ
Äðåâíÿÿ Ðóñü 19
Âëàäèìèð I Ñâÿòîé
980—1015 ãã.
Ø 980 ã. — ßçû÷åñêàÿ ðåôîðìà êíÿçÿ Âëàäèìèðà.
Ñîçäàíèå ïàíòåîíà ÿçû÷åñêèõ áîãîâ âî ãëàâå ñ
Ïåðóíîì (ïîïûòêà ïðèñïîñîáèòü ÿçû÷åñòâî ê
ïîòðåáíîñòÿì Äðåâíåðóññêîãî ãîñóäàðñòâà è
îáùåñòâà çàâåðøèëàñü íåóäà÷åé)
Ø 988 ã. — Ïðèíÿòèå õðèñòèàíñòâà
Ø Ïåðâàÿ ìåæäîóñîáíàÿ âîéíà çà âëàñòü ìåæäó
ñûíîâüÿìè Ñâÿòîñëàâà — Âëàäèìèðîì è
ßðîïîëêîì (972—980). Ïîáåäà Âëàäèìèðà è
óòâåðæäåíèå åãî íà êèåâñêîì ïðåñòîëå
Ø Äàëüíåéøåå ðàñøèðåíèå è óêðåïëåíèå
Äðåâíåðóññêîãî ãîñóäàðñòâà. Âëàäèìèð
îêîí÷àòåëüíî ïîêîðèë ðàäèìè÷åé, ñîâåðøèë
óñïåøíûå ïîõîäû ïðîòèâ ïîëÿêîâ, ïå÷åíåãîâ,
îñíîâàë íîâûå êðåïîñòè-ãîðîäà (Ïåðåÿñëàâëü,
Áåëãîðîä è äð.)
ßÇÛ×ÅÑÒÂÎ ÍÀ ÐÓÑÈ
20 Îòå÷åñòâåííàÿ èñòîðèÿ â ñõåìàõ è òàáëèöàõ
ßçû÷åñòâî (îò öåðêîâíîñëàâÿíñêîãî ÿçûöû — íàðîäû,
èíîçåìöû) — îáîçíà÷åíèå íåõðèñòèàíñêèõ ïîëèòåèñòè÷åñêèõ
ðåëèãèé
Ïîêëîíåíèå
ÿâëåíèÿì ïðèðîäû
Çåìëåäåëü÷åñêèå
êóëüòû
Êóëüò ïðåäêîâ
ßçû÷åñêèå áîãè:
Ïåðóí — áîã ìîëíèé, ãðîìà, âîéíû
Äàæäüáîã — áîã ñîëíöà
Ñòðèáîã — áîã âåòðà
Ñâàðîã — áîã íåáà
Âåëåñ — áîã ñêîòà
Ìàêîøü (Ìîêîøü) — áîãèíÿ ïëîäîðîäèÿ è
ïîêðîâèòåëüíèöà ðîäà
ÏÐÈÍßÒÈÅ ÕÐÈÑÒÈÀÍÑÒÂÀ ÍÀ ÐÓÑÈ
Äðåâíÿÿ Ðóñü 21
988 ã.
ÏÐÈ×ÈÍÛ
Íåîáõîäèìîñòü óêðåïëåíèÿ
âëàñòè êèåâñêîãî êíÿçÿ è
ïîòðåáíîñòü ãîñóäàðñòâåííîãî
îáúåäèíåíèÿ íà íîâîé
äóõîâíîé îñíîâå
Íåîáõîäèìîñòü ïðèîáùåíèÿ
Ðóñè ê îáùååâðîïåéñêèì
ïîëèòè÷åñêèì ðåàëèÿì,
äóõîâíûì è êóëüòóðíûì
öåííîñòÿì
Îïðàâäàíèå ñîöèàëüíîãî
íåðàâåíñòâà
ÇÍÀ×ÅÍÈÅ
Óêðåïèëî ãîñóäàðñòâî è âëàñòü
êíÿçÿ
Ïîâûñèëî ìåæäóíàðîäíûé
àâòîðèòåò Ðóñè
Ñïîñîáñòâîâàëî ïðèîáùåíèþ
Ðóñè ê âèçàíòèéñêîé êóëüòóðå
22 Îòå÷åñòâåííàÿ èñòîðèÿ â ñõåìàõ è òàáëèöàõ
Ñïîñîáñòâîâàë
ðàñöâåòó
Äðåâíåðóññêîãî
ãîñóäàðñòâà
Ïîêðîâèòåëü
ïðîñâåùåíèÿ è
ñòðîèòåëüñòâà
Êíÿçü ßðîñëàâ Ìóäðûé
1019—1054 ãã.
Åäèíîâëàñòíûé
ïðàâèòåëü
Äðåâíåé Ðóñè
Óòâåðäèëñÿ íà
êèåâñêîì
ïðåñòîëå ïîñëå
äëèòåëüíûõ
óñîáèö ñî
Ñâÿòîïîëêîì
Îêàÿííûì è
Ìñòèñëàâîì
Òìóòàðàêàíñêèì
Ñïîñîáñòâîâàë
âîçâûøåíèþ
ìåæäóíàðîäíîãî
àâòîðèòåòà Ðóñè
Óñòàíîâèë
øèðîêèå
äèíàñòè÷åñêèå
ñâÿçè ñ
åâðîïåéñêèìè è
âèçàíòèéñêèì
äâîðàìè
Îñóùåñòâëÿë
âîåííûå ïîõîäû
Ø â Ïðèáàëòèêó
Ø â ïîëüñêî-
ëèòîâñêèå
çåìëè
Ø â Âèçàíòèþ
Ø Îêîí÷àòåëüíî
ðàçãðîìèë
ïå÷åíåãîâ
Îñíîâàòåëü
ïèñüìåííîãî
ðóññêîãî
çàêîíîäàòåëüñòâà
«Ðóññêàÿ
Ïðàâäà»
«Ïðàâäà
ßðîñëàâà»
Êèåâñêèé 1113—1125 ãã. êíÿçü
Äðåâíÿÿ Ðóñü 23
Êíÿçü Âëàäèìèð II Ìîíîìàõ
1053—1125 ãã.
Âíóê ßðîñëàâà Ìóäðîãî, ñûí êíÿçÿ
Âñåâîëîäà I è Ìàðèè, äî÷åðè
âèçàíòèéñêîãî èìïåðàòîðà
Êîíñòàíòèíà IX Ìîíîìàõà. Êíÿçü
cìîëåíñêèé (ñ 1067 ã.), ÷åðíèãîâñêèé
(ñ 1078 ã.), ïåðåÿñëàâñêèé (ñ 1093 ã.),
âåëèêèé êèåâñêèé êíÿçü (ñ 1113 ã.)
Ø Îðãàíèçàòîð óñïåøíûõ ïîõîäîâ êíÿçåé ïðîòèâ
ïîëîâöåâ (1103, 1109, 1111)
Ø Âûñòóïàë çà åäèíñòâî Ðóñè. Ó÷àñòíèê ñúåçäà
äðåâíåðóññêèõ êíÿçåé â Ëþáå÷å (1097), íà
êîòîðîì ðàññìàòðèâàëèñü âîïðîñû ïàãóáíîñòè
ìåæäîóñîáèö, ïðèíöèïû âëàäåíèÿ è
íàñëåäîâàíèÿ êíÿæåñêèõ çåìåëü
Ø Áûë ïðèçâàí íà êíÿæåíèå â Êèåâ âî âðåìÿ
íàðîäíîãî âîññòàíèÿ 1113 ã., ïîñëåäîâàâøåãî
ïîñëå ñìåðòè Ñâÿòîïîëêà II
Ø Ââåë â äåéñòâèå «Óñòàâ Âëàäèìèðà Ìîíîìàõà»,
ãäå â çàêîíîäàòåëüíîì ïîðÿäêå áûëè îãðàíè÷åíû
ïðîöåíòû ïî çàéìàì è çàïðåùåíî îáðàùàòü â
ðàáñòâî îòðàáàòûâàþùèõ äîëã çàâèñèìûõ ëþäåé
Ø Îñòàíîâèë ðàñïàä Äðåâíåðóññêîãî ãîñóäàðñòâà.
Íàïèñàë «Ïîó÷åíèå», â êîòîðîì îñóæäàë
óñîáèöû è ïðèçûâàë ê åäèíñòâó ðóññêîé çåìëè
Ø Ïðîäîëæèë ïîëèòèêó óêðåïëåíèÿ äèíàñòè÷åñêèõ
ñâÿçåé ñ Åâðîïîé. Áûë æåíàò íà äî÷åðè
àíãëèéñêîãî êîðîëÿ Ãàðîëüäà II — Ãèòå
ÊÎÍÖÅÏÖÈÈ ÑÎÖÈÀËÜÍÎ-ÝÊÎÍÎÌÈ×ÅÑÊÎÃÎ
ÐÀÇÂÈÒÈß ÄÐÅÂÍÅÉ ÐÓÑÈ
Ðàííåêëàññîâûé õà-
ðàêòåð äðåâíåðóññêîãî
îáùåñòâà, â ñîöèàëü-
íîì ñòðîå êîòîðîãî
ñî÷åòàëèñü ýëåìåíòû
ðîäîâîãî, ðàáîâëà-
äåëü÷åñêîãî è ôåî-
äàëüíîãî îáùåñòâ
Ðàííåôåîäàëüíûé õà-
ðàêòåð äðåâíåðóññêîãî
îáùåñòâà, êîòîðîå íà-
õîäèëîñü íà íà÷àëü-
íîé ñòàäèè ôåîäàëü-
íîãî ðàçâèòèÿ
Êíÿæåñêî-îáùèííûé
õàðàêòåð äðåâíåðóñ-
ñêîãî îáùåñòâà, êîòî-
ðîå ñòîÿëî åùå íà ïî-
ðîãå ôåîäàëüíîãî
ñòðîÿ
È.ß. Ôðîÿíîâ Á.Ä. Ãðåêîâ
Á.À. Ðûáàêîâ
À.À. Çèìèí
Þ.Ã. Àëåêñååâ
24 Îòå÷åñòâåííàÿ èñòîðèÿ â ñõåìàõ è òàáëèöàõ
ÑÎÖÈÀËÜÍÀß ÑÒÐÓÊÒÓÐÀ È ÎÑÍÎÂÍÛÅ
ÊÀÒÅÃÎÐÈÈ ÍÀÑÅËÅÍÈß
Äðåâíÿÿ Ðóñü 25
Íèçøèå ñîñëîâèÿ
Ñëóæèòåëè êóëüòà
Âîëõâû
(ÿçû÷åñêèå
æðåöû äî
ïðèíÿòèÿ
õðèñòèàíñòâà)
Ïðàâîñëàâíîå
äóõîâåíñòâî
(ñ X â.)
Êíÿçüÿ
Áîÿðå Äðóæèííèêè
Âîæäè ïëåìåí, ïîçæå — ïðàâèòåëè
ãîñóäàðñòâåííûõ îáðàçîâàíèé
Ïîòîìêè
ðîäîïëåìåí-
íîé çíàòè,
âîåâîäû,
íàìåñòíèêè
îáëàñòåé
Âîèíû êíÿæåñêèõ
îòðÿäîâ,
âûïîëíÿâøèå
òàêæå
óïðàâëåí÷åñêèå
ôóíêöèè
Âûñøèå ñîñëîâèÿ
Ëþäè Õîëîïû Ãðàäñêèå ëþäè
Ñâîáîäíûå êðåñòüÿíå —
îáùèííèêè.
Çàâèñèìàÿ
ñîöèàëüíàÿ ãðóïïà,
áëèçêàÿ ê ðàáàì
Ãîðîæàíå
Êóïöû
(ãîñòè)
Ðåìåñëåí-
íèêè
Ñìåðäû
Çàâèñèìûå êðåñòüÿíå,
íåñøèå ïîâèííîñòü
â îòíîøåíèè êíÿçÿ
Çàêóïû
Ñìåðäû, âçÿâøèå ó
äðóãîãî çåìëåâëàäåëüöà
ññóäó («êóïó») ñêîòîì,
îðóäèÿìè òðóäà è ò.ï. è
îáÿçàííûå îòðàáîòàòü
ýòîò äîëã
Ðÿäîâè÷è
Ñìåðäû, çàêëþ÷èâøèå ñ
çåìëåâëàäåëüöåì äîãîâîð
(«ðÿä») îá óñëîâèÿõ
ñâîåé ðàáîòû íà íåãî
Êóïöû
(ãîñòè)×åëÿäü
(âîåííî-
ïëåííûå)
Äîëãîâûå
õîëîïû
ÃÎÐÎÄÀ, ÒÎÐÃÎÂËß È ÐÅÌÅÑËÎ ÄÐÅÂÍÅÉ ÐÓÑÈ
èìåííûõ
êíÿæåíèé
(àäìèíèñòðàòèâíûå
öåíòðû)
îòïðàâëåíèÿ êóëüòîâ
(ðîäîâûå
öåíòðû
ïëåìåí)
ïåðåñå÷åíèÿ
òîðãîâûõ ïóòåé
(òîðãîâî-ðåìåñëåííûå
öåíòðû)
t Õ — íà÷àëî XI â. ≈ 30 ãîðîäîâ
t ñåðåäèíà XI — ïåðâàÿ ïîëîâèíà XII â. ≈ 42 ãîðîäà
t ñåðåäèíà XIII â. ≈ 62 ãîðîäà
êóïöû («ãîñòè»)
Îñíîâíûå íàïðàâëåíèÿ
Èçãîòîâëåíèå
þâåëèðíûõ
èçäåëèé
è óêðàøåíèé
Èçãîòîâëåíèå
ïðåäìåòîâ áûòà
Èçãîòîâëåíèå
ïðåäìåòîâ
èç ìåòàëëà (îðóæèå,
êîëü÷óãè, çàìêè)
26 Îòå÷åñòâåííàÿ èñòîðèÿ â ñõåìàõ è òàáëèöàõ
Ãîðîäà âîçíèêàþò êàê öåíòðû
Òîðãîâëÿ íà Ðóñè
Âûâîç (ýêñïîðò)
t âîñê
t ïóøíèíà
t ëåí
t êîæà
t êîëü÷óãè, çàìêè
t èçäåëèÿ èç êîñòè
t ÷åëÿäü
Ââîç (èìïîðò)
t äîðîãèå òêàíè
t îðóæèå
t öåðêîâíàÿ óòâàðü
t óêðàøåíèÿ
t äðàãîöåííûå êàìíè
t ïðÿíîñòè
Ðåìåñëî íà Ðóñè
áîëåå 60 ñïåöèàëüíîñòåé
ÓÏÐÀÂËÅÍÈÅ
ÄÐÅÂÍÅÐÓÑÑÊÈÌ ÃÎÑÓÄÀÐÑÒÂÎÌ
Äðåâíÿÿ Ðóñü 27
Âåëèêèé êíÿçü
Ìåñòíûå
(óäåëüíûå) êíÿçüÿ
Ïîñàäíèêè
Âîëîñòèòåëè
Ñîâåò ïðè êíÿçå
(Äóìà)
Áîÿðå, âûñøåå
äóõîâåíñòâî
Âå÷å
Äðóæèíà
Ñòàðøàÿ (Çíàòü)
Ìëàäøàÿ
(Ãðèäè)
Îñíîâíûå ðåäàêöèè,
äîøåäøèå äî íàøåãî
âðåìåíè
Ñîñòàâíûå ÷àñòè
Êðàòêàÿ Ïðàâäà
XI â.
I. Ïðàâäà ßðîñëàâà (ñòàòüè 1—18)
II. Ïðàâäà ßðîñëàâè÷åé (ñòàòüè 19—41)
Ïðîñòðàííàÿ Ïðàâäà
XII â.
I è II. Ïðàâäà ßðîñëàâà è ßðîñëàâè÷åé
(ñòàòüè 1—52)
III. Óñòàâ Âëàäèìèðà Ìîíîìàõà
(ñòàòüè 53—121)
Ñîêðàùåííàÿ
Ïðàâäà XV â.
Âêëþ÷àåò ðÿä ïåðåðàáîòàííûõ ñòàòåé
Ïðîñòðàííîé Ïðàâäû
28 Îòå÷åñòâåííàÿ èñòîðèÿ â ñõåìàõ è òàáëèöàõ
ÐÓÑÑÊÀß ÏÐÀÂÄÀ
ïåðâûé äðåâíèé ïèñüìåííûé
ñâîä ðóññêèõ çàêîíîâ
Äðåâíÿÿ Ðóñü 29
Êíÿçü Ìñòèñëàâ Âåëèêèé
1076—1132 ãã.
Ñûí Âëàäèìèðà Ìîíîìàõà
Êíÿçü íîâãîðîäñêèé (1088—1093
è 1095—1117), ðîñòîâñêèé
è ñìîëåíñêèé (1093—1095),
áåëãîðîäñêèé è ñîïðàâèòåëü
Âëàäèìèðà Ìîíîìàõà â Êèåâå
(1117—1125)
Ø Ïðîäîëæèë ïîëèòèêó Âëàäèìèðà Ìîíîìàõà è ñóìåë
ñîõðàíèòü åäèíîå Äðåâíåðóññêîå ãîñóäàðñòâî
Ø Ïðèñîåäèíèë ê Êèåâó Ïîëîöêîå êíÿæåñòâî (1127)
Ø Îðãàíèçîâàë óñïåøíûå ïîõîäû ïðîòèâ ïîëîâöåâ, Ëèòâû,
÷åðíèãîâñêîãî êíÿçÿ Îëåãà Ñâÿòîñëàâîâè÷à
Ïîñëå åãî ñìåðòè ïî÷òè âñå êíÿæåñòâà âûõîäÿò èç
ïîâèíîâåíèÿ Êèåâó.
Íàñòóïàåò óäåëüíûé ïåðèîä — ôåîäàëüíàÿ ðàçäðîáëåííîñòü
Êèåâñêèé 1125—1132 ãã. êíÿçü
ÓÄÅËÜÍÀß ÐÓÑÜ
Óäåëüíàÿ ÐóñüÐÀÇÄÐÎÁËÅÍÍÎÑÒÜ ÍÀ ÐÓÑÈ Â XII—XIII ââ.
Ïðè÷èíû
1. Ñîõðàíåíèå çíà÷èòåëüíîé ïëåìåííîé ðàçîáùåííîñòè
â óñëîâèÿõ ãîñïîäñòâà íàòóðàëüíîãî õîçÿéñòâà
2. Ðàçâèòèå ôåîäàëüíîé ñîáñòâåííîñòè íà çåìëþ è ðîñò
óäåëüíîãî, êíÿæåñêî-áîÿðñêîãî çåìëåâëàäåíèÿ
3. Áîðüáà çà âëàñòü ìåæäó êíÿçüÿìè è ôåîäàëüíûå
ìåæäîóñîáèöû
4. Ïîñòîÿííûå íàáåãè êî÷åâíèêîâ è îòòîê íàñåëåíèÿ íà
ñåâåðî-âîñòîê Ðóñè
5. Óïàäîê òîðãîâëè ïî Äíåïðó âñëåäñòâèå ïîëîâåöêîé
îïàñíîñòè è óòðàòû Âèçàíòèåé ãëàâåíñòâóþùåé ðîëè
â ìåæäóíàðîäíîé òîðãîâëå
6. Ðîñò ãîðîäîâ êàê öåíòðîâ óäåëüíûõ çåìåëü
Ïîñëåäñòâèÿ
Ïîçèòèâíûå Íåãàòèâíûå
ü Ðàñöâåò ãîðîäîâ â óäåëüíûõ
çåìëÿõ
ü Ñêëàäûâàíèå íîâûõ òîðãîâûõ
ïóòåé
ü Ïîñòîÿííûå êíÿæåñêèå óñî-
áèöû
ü Äðîáëåíèå êíÿæåñòâ ìåæäó
íàñëåäíèêàìè
ü Îñëàáëåíèå îáîðîíîñïîñîá-
íîñòè è ïîëèòè÷åñêîãî åäèí-
ñòâà ñòðàíû
30 Îòå÷åñòâåííàÿ èñòîðèÿ â ñõåìàõ è òàáëèöàõ
Ïîíÿòèå
Èñòîðè÷åñêèé ïåðèîä â èñòîðèè Ðóñè, êîòîðûé
õàðàêòåðèçóåòñÿ òåì, ÷òî, ôîðìàëüíî íàõîäÿñü â
ñîñòàâå Êèåâñêîé Ðóñè, óäåëüíûå êíÿæåñòâà
ïîñòåïåííî îáîñîáëÿþòñÿ îò Êèåâà
Îáîñîáëåíèå îò Êèåâà
â 30-å ãã. XII â.
Òåððèòîðèÿ:
Ñåâåðî-Âîñòî÷íàÿ
Ðóñü, ìåæäóðå÷üå Îêè
è Âîëãè
Îñîáåííîñòè ðàçâèòèÿ â óäåëüíûé ïåðèîä:
1. Îñíîâíàÿ îòðàñëü õîçÿéñòâà — çåìëåäåëèå âñëåäñòâèå îáèëèÿ
ïëîäîðîäíûõ çåìåëü, ïðèãîäíûõ äëÿ ðàñòåíèåâîäñòâà
2. Ïîñòîÿííûé ïðèòîê íàñåëåíèÿ â ïîèñêàõ çàùèòû îò íàáåãîâ
êî÷åâíèêîâ è íîðìàëüíûõ óñëîâèé äëÿ âåäåíèÿ õîçÿéñòâà
3. Íàõîæäåíèå êíÿæåñòâà íà ïåðåñå÷åíèè òîðãîâûõ ïóòåé
(ïî ðåêàì Îêà è Âîëãà)
4. Áûñòðûé ðîñò ãîðîäîâ ñòàðûå: Âëàäèìèð, Ñóçäàëü, Ðîñòîâ,
ßðîñëàâëü
íîâûå: Ìîñêâà, Êîñòðîìà,
Ïåðåÿñëàâëü-Çàëåññêèé
5. Íåîãðàíè÷åííûé õàðàêòåð âëàñòè êíÿçÿ è ñîâåùàòåëüíûå
ïîëíîìî÷èÿ âå÷å
Ïîëèòè÷åñêàÿ ñòðóêòóðà
Êíÿçü
Âå÷å Áîÿðñòâî
Óäåë (óäåëüíîå êíÿæåñòâî) — êíÿæåñêîå âëàäåíèå íà Ðóñè
â XII—XVI ââ.
Óäåëüíàÿ Ðóñü 31
ÂËÀÄÈÌÈÐÎ-ÑÓÇÄÀËÜÑÊÎÅ
ÊÍ߯ÅÑÒÂÎ
Âëàäèìèðî-Ñóçäàëüñêîå êíÿæåñòâî
32 Îòå÷åñòâåííàÿ èñòîðèÿ â ñõåìàõ è òàáëèöàõ
Êíÿçü Þðèé Äîëãîðóêèé
1125—1157 ãã.
Êíÿçü ðîñòîâñêèé,
ñóçäàëüñêèé, ïåðåÿñëàâñêèé
è âåëèêèé êíÿçü êèåâñêèé.
Øåñòîé ñûí Âëàäèìèðà
Ìîíîìàõà
l Ïðè æèçíè Âëàäèìèðà Ìîíîìàõà ïðàâèë â
Ðîñòîâî-Ñóçäàëüñêîé çåìëå
l Ñòàâ ñàìîñòîÿòåëüíûì, â 1125 ã. ïåðåíåñ
ñòîëèöó èç Ðîñòîâà â Ñóçäàëü
l Ïðîâîäèë àêòèâíóþ ãðàäîñòðîèòåëüíóþ
ïîëèòèêó. Îñíîâàòåëü ãîðîäîâ Þðüåâà-
Ïîëüñêîãî, Äìèòðîâà, Çâåíèãîðîäà è äð.
l Ñ÷èòàåòñÿ îñíîâàòåëåì Ìîñêâû (1147), ò.ê.
â ñâÿçè ñ åãî èìåíåì «Ìîñêîâ» âïåðâûå
óïîìèíàåòñÿ â ëåòîïèñè
l Áîðîëñÿ çà êèåâñêèé ïðåñòîë è çàíèìàë åãî ñ
1149 ïî 1151 ã. è ñ 1155 ïî 1157 ã. Îòðàâëåí,
ïî ïðåäàíèþ, êèåâñêèìè áîÿðàìè
Óäåëüíàÿ Ðóñü 33
Êíÿçü Àíäðåé Áîãîëþáñêèé
1157—1174 ãã.
Ñûí Þðèÿ Äîëãîðóêîãî
l Áûë ïîñàæåí îòöîì â Âûøãîðîäå áëèç
Êèåâà, íî â 1155 ã. ñàìîâîëüíî ïîêèíóë åãî
è îáîñíîâàëñÿ âî Âëàäèìèðå, ãäå â 1157 ã.
ñòàë «ñàìîâëàñòöåì» Âëàäèìèðî-
Ñóçäàëüñêîé çåìëè
l Ñòðåìèëñÿ ê öåðêîâíîé ñàìîñòîÿòåëüíîñòè
îò Êèåâà, ïûòàëñÿ ñîçäàòü îáîñîáëåííóþ
Âëàäèìèðñêóþ ìåòðîïîëèþ, íî
Êîíñòàíòèíîïîëüñêàÿ öåðêîâü ýòîãî íå
ðàçðåøèëà
l Ñïîñîáñòâîâàë ñòàíîâëåíèþ íà Ðóñè êóëüòà
Áîãîðîäèöû. Â 1155 ã. âûâåç èç Âûøãîðîäà
èêîíó, íûíå ýòî îäíà èç ñàìûõ ïî÷èòàåìûõ
ñâÿòûíü — Âëàäèìèðñêàÿ èêîíà Áîæüåé
Ìàòåðè
l Ðàçâèâàë èäåþ áîãîèçáðàííîñòè Âëàäèìèðî-
Ñóçäàëüñêîãî êíÿæåñòâà è áûë èíèöèàòîðîì
óñòàíîâëåíèÿ íîâûõ ïðàçäíèêîâ — Ñïàñà (1
àâãóñòà) è Ïîêðîâà (1 îêòÿáðÿ)
l Ñ 1159 ã. áîðîëñÿ çà ïîä÷èíåíèå Íîâãîðîäà,
âîåâàë ñ âîëæñêèìè áóëãàðàìè
l  1169—1170 ãã. âðåìåííî ïîä÷èíèë ñâîåé
âëàñòè Êèåâ è Íîâãîðîä
l Ïîëèòèêà Àíäðåÿ Áîãîëþáñêîãî, åãî
æåëàíèå ïðàâèòü åäèíîëè÷íî âîøëè â
ïðîòèâîðå÷èå ñ âå÷åâûìè è áîÿðñêèìè
òðàäèöèÿìè. Â ðåçóëüòàòå ïðîòèâ íåãî áûë
ñîñòàâëåí çàãîâîð, è â 1174 ã. îí áûë óáèò
ñâîèì áëèæàéøåì îêðóæåíèåì
34 Îòå÷åñòâåííàÿ èñòîðèÿ â ñõåìàõ è òàáëèöàõ
Êíÿçü Âñåâîëîä III Áîëüøîå Ãíåçäî
1176—1212 ãã.
Ñûí Þðèÿ Äîëãîðóêîãî
Íàèâûñøèé
ðàñöâåò
êíÿæåñòâà
Áîëüøàÿ
ñåìüÿ — 12
äåòåé
l Ïðîäîëæèë ïîëèòèêó
áðàòà, êíÿçÿ Àíäðåÿ
Áîãîëþáñêîãî, óïðî÷èâ
ñâîþ âëàñòü â êíÿæåñòâå è
àâòîðèòåò íà Ðóñè
l Ïîä÷èíèë ñâîåé âëàñòè
Êèåâ, ×åðíèãîâ, Ðÿçàíü,
Íîâãîðîä
l Óñïåøíî âîåâàë ñ
Âîëæñêîé Áóëãàðèåé è
ïîëîâöàìè
l Ïðè íåì óòâåðäèëñÿ òèòóë
Âåëèêîãî êíÿçÿ
Âëàäèìèðñêîãî, êîòîðûé
ïîñòåïåííî ïîëó÷àåò
ïðèçíàíèå âî âñåõ ðóññêèõ
êíÿæåñòâàõ, ÷òî íàøëî
îòðàæåíèå â ëåòîïèñÿõ
l Ñòðîèòåëüñòâî âî
Âëàäèìèðå Äìèòðîâñêîãî
ñîáîðà è ïåðåñòðîéêà
Óñïåíñêîãî õðàìà
ÂÅËÈÊÈÉ ÍÎÂÃÎÐÎÄ
(Íîâãîðîäñêàÿ áîÿðñêàÿ ðåñïóáëèêà)
Îñîáåííîñòè ðàçâèòèÿ â óäåëüíûé ïåðèîä
1. Âåäóùèå îòðàñëè õîçÿéñòâà — òîðãîâëÿ è ðåìåñëî
2. Ñëàáîå ðàçâèòèå çåìëåäåëèÿ âñëåäñòâèå ìàëîãî ïëîäîðîäèÿ
çåìëè è ñóðîâûõ êëèìàòè÷åñêèõ óñëîâèé
3. Øèðîêîå ðàçâèòèå ïðîìûñëîâ: ñîëåâàðåíèå, ïðîèçâîäñòâî
æåëåçà, ðûáîëîâñòâî, îõîòà è ïð.
4. Îñîáîå ãîñóäàðñòâåííî-óïðàâëåí÷åñêîå óñòðîéñòâî
Íîâãîðîäà
Óïðàâëåíèå Íîâãîðîäñêîé áîÿðñêîé ðåñïóáëèêîé
ïðèãëàøàëñÿ
(ðåçèäåíöèÿ
âíå ãîðîäà)
Ôóíêöèè:
1. Çàùèòà Íîâãîðîäà
îò âíåøíèõ âðàãîâ
2. Ñáîð äàíè
Ïîëèòè÷åñêàÿ ñòðóêòóðà
Âå÷å Áîÿðñòâî
Êíÿçü
Óäåëüíàÿ Ðóñü 35
Êíÿçü ÂÅ×Å Âëàäûêà
Ãëàâà
íîâãîðîäñêîé
åïàðõèèÁîÿðñêèé ñîâåò,
èëè
«300 çîëîòûõ
ïîÿñîâ»
Ïîñàäíèê
ãëàâà ãîðîäñêîãî
óïðàâëåíèÿ
Òûñÿöêèé
ãëàâà ãîðîäñêîãî
îïîë÷åíèÿ
Ñòàðîñòû
÷àñòåé (êîíöîâ)
ãîðîäà
Ñòàðîñòû óëèö
⎫
⎬
⎭
Òåððèòîðèÿ Þãî-Çàïàäà Ðóñè, ìåæäó ðåêàìè Äíåïð è Ïðóò,
Êàðïàòû
Îñîáåííîñòè ðàçâèòèÿ â óäåëüíûé ïåðèîä
1. Ñòàðèííûé öåíòð ðóññêîãî ïàøåííîãî çåìëåäåëèÿ
âñëåäñòâèå îáèëèÿ ïëîäîðîäíûõ çåìåëü
2. Ðàçâèòèå äîáû÷è êàìåííîé ñîëè è ñíàáæåíèå eþ òåððèòîðèè
Þæíîé Ðóñè
3. Àêòèâíàÿ âíåøíÿÿ òîðãîâëÿ è ðîñò ãîðîäîâ
4. Áîðüáà çà ãëàâåíñòâî íà Ðóñè è îâëàäåíèå Êèåâîì
Ïîëèòè÷åñêàÿ ñòðóêòóðà
Âå÷å Êíÿçü Áîÿðñòâî
36 Îòå÷åñòâåííàÿ èñòîðèÿ â ñõåìàõ è òàáëèöàõ
ÃÀËÈÖÊÎ-ÂÎËÛÍÑÊÎÅ ÊÍ߯ÅÑÒÂÎ
ÁÎÐÜÁÀ ÐÓÑÈ Ñ ÈÍÎÇÅÌÍÛÌÈ
ÍÀØÅÑÒÂÈßÌÈ Â XIII â.
Áîðüáà ñåâåðî-çàïàäíîé Ðóñè ñ àãðåññèåé
øâåäñêèõ è íåìåöêèõ ðûöàðåé â XIII â.
Óäåëüíàÿ Ðóñü 37
ØÂÅÖÈß
Âòîðæåíèå ôëîòà è
âûñàäêà íà áåðåã â
óñòüå ðåêè Íåâû ñ
öåëüþ çàõâàòà
ãîðîäîâ Ñòàðàÿ
Ëàäîãà è Íîâãîðîä
Öåëè
1. Çàõâàò íîâûõ
çåìåëü
2. Ðàñïðîñòðàíåíèå
êàòîëè÷åñòâà
ÏÐÈÁÀËÒÈÊÀ
Îñíîâàíèå
ðûöàðñêèõ îðäåíîâ
êðåñòîíîñöåâ
15 èþëÿ 1240 ã.
ÍÅÂÑÊÀß ÁÈÒÂÀ
Íåîæèäàííîå è
ìîëíèåíîñíîå
íàïàäåíèå íà
øâåäîâ
íîâãîðîäñêèõ
âîèíîâ âî ãëàâå
ñ êíÿçåì
Àëåêñàíäðîì
ßðîñëàâè÷åì
Îðäåí
ìå÷åíîñöåâ
1202 ã.
Òåâòîíñêèé
îðäåí
1226 ã.
îáúåäèíÿþòñÿ â
Ëèâîíñêèé îðäåí
1237 ã.
1240 ã.
1241 ã.
⎫
⎬
⎭
Çàõâàò
Ïñêîâñêîé
çåìëè
Óñïåøíûå áîåâûå
äåéñòâèÿ ðóññêèõ
âîèíîâ âî ãëàâå ñ
êíÿçåì Àëåêñàíäðîì
Íåâñêèì
1242 ã.
5 àïðåëÿ
Áèòâà íà ×óäñêîì
îçåðå
(Ëåäîâîå ïîáîèùå)
Ðàçãðîì ðûöàðåé è
ïðåäîòâðàùåíèå èõ
äàëüíåéøåãî
âòîðæåíèÿ â ðóññêèå
çåìëè
Áëåñòÿùàÿ ïîáåäà
ðóññêèõ äðóæèí
⎫
⎬
⎭
⎫
⎬
⎭
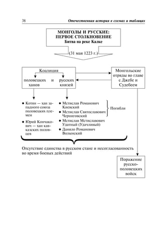
(31 ìàÿ 1223 ã.)
l Êîòÿí — õàí çà-
ïàäíîãî ñîþçà
ïîëîâåöêèõ ïëå-
ìåí
l Þðèé Êîí÷àêî-
âè÷ — õàí êàâ-
êàçñêèõ ïîëîâ-
öåâ
l Ìñòèñëàâ Ðîìàíîâè÷
Êèåâñêèé
l Ìñòèñëàâ Ñâÿòîñëàâîâè÷
×åðíèãîâñêèé
l Ìñòèñëàâ Ìñòèñëàâîâè÷
Óäàòíûé (Óäà÷ëèâûé)
l Äàíèëî Ðîìàíîâè÷
Âîëûíñêèé
Îòñóòñòâèå åäèíñòâà â ðóññêîì ñòàíå è íåñîãëàñîâàííîñòü
âî âðåìÿ áîåâûõ äåéñòâèé
38 Îòå÷åñòâåííàÿ èñòîðèÿ â ñõåìàõ è òàáëèöàõ
ÌÎÍÃÎËÛ È ÐÓÑÑÊÈÅ:
ÏÅÐÂÎÅ ÑÒÎËÊÍÎÂÅÍÈÅ
Áèòâà íà ðåêå Êàëêå
Êîàëèöèÿ
ïîëîâåöêèõ è ðóññêèõ
õàíîâ êíÿçåé
Ïîðàæåíèå
ðóññêî-
ïîëîâåöêèõ
âîéñê
Ìîíãîëüñêèå
îòðÿäû âî ãëàâå
ñ Äæåáå è
Ñóäåáååì
⎫
⎬
⎭
Ïîãèáëè
ÇÀÂÎÅÂÀÍÈß ÌÎÍÃÎËÎÂ
Ê 1211 ã. Çåìëè áóðÿò, ÿêóòîâ, êèðãèçîâ, óéãóð
Ê 1217 ã. Ñåâåðíûé Êèòàé
1219—1221 ãã. Ñðåäíÿÿ Àçèÿ
1220—1222 ãã. Çàêàâêàçüå
1223 ã. Âòîðæåíèå â ïîëîâåöêèå ñòåïè
è áèòâà íà ðåêå Êàëêå
1236 ã. Âîëæñêàÿ Áóëãàðèÿ
1237—1240 ãã. Ðóññêèå çåìëè
1241—1242 ãã. Ïîïûòêà âòîðæåíèÿ â Âîñòî÷íóþ Åâðîïó
(Ïîëüøà, Âåíãðèÿ, ×åõèÿ)
Óäåëüíàÿ Ðóñü 39
1206 ã. — îáðàçîâàíèå ìîíãîëüñêîãî âîåííî-êî÷åâîãî
ãîñóäàðñòâà, îðèåíòèðîâàííîãî íà àãðåññèþ è
çàõâàò ÷óæèõ òåððèòîðèé, âî ãëàâå ñ Òåìó÷æèíîì
(×èíãèñõàíîì)
1237 ã. Ðàçîðåíèå Ðÿçàíñêîãî êíÿæåñòâà
1238 ã. Âòîðæåíèå âî Âëàäèìèðî-Ñóçäàëüñêîå
êíÿæåñòâî
4 ìàðòà 1238 ã. Ñðàæåíèå íà ðåêå Ñèòè. Ïîðàæåíèå äðóæèí
Âëàäèìèðñêîãî, Ðîñòîâñêîãî, ßðîñëàâñêîãî,
Óãëè÷åñêîãî è Þðüåâñêîãî êíÿæåñòâ
1239 ã. Ïîêîðåíèå ×åðíèãîâñêîãî è Ïåðåÿñëàâñêîãî
êíÿæåñòâ
1240 ã. Çàõâàò Êèåâñêîãî êíÿæåñòâà
6 äåê. 1240 ã. Ðàçîðåíèå Êèåâà
1241 ã. Ðàçðóøèòåëüíûé ïîõîä ÷åðåç Ãàëèöêîå è
Âîëûíñêîå êíÿæåñòâà â Âîñòî÷íóþ Åâðîïó è
íà Áàëêàíû
Ýòèìîëîãèÿ
Õàí
[ñ òóðåöê., óéãóðñê. —
èìïåðàòîð]
Îðäà
[îò äðåâíåðóññê. —
ñòàí, êî÷åâüå,
îò ìîíãîëüñê. — äâîð,
ëàãåðü, ñòîÿíêà] —
îáúåäèíåíèå êî÷åâûõ
ïëåìåí ïîä âëàñòüþ
õàíà
40 Îòå÷åñòâåííàÿ èñòîðèÿ â ñõåìàõ è òàáëèöàõ
ÏÎÕÎÄ ÕÀÍÀ ÁÀÒÛß ÍÀ ÐÓÑÜ
1243 ã. — îáðàçîâàíèå íà þãî-âîñòî÷íûõ ãðàíèöàõ
Ðóñè íîâîãî ãîñóäàðñòâà — Çîëîòàÿ Îðäà
ÏÐÈ×ÈÍÛ ÏÎÐÀÆÅÍÈß ÐÓÑÈ Â ÁÎÐÜÁÅ
Ñ ÌÎÍÃÎËÀÌÈ
Óäåëüíàÿ Ðóñü 41
Ðàçäðîáëåííîñòü è
îòñóòñòâèå åäèíñòâà â
ðóññêèõ çåìëÿõ
Âûñîêîå âîèíñêîå
ìàñòåðñòâî ìîíãîëüñêîãî
âîéñêà
Ñòîëêíîâåíèå äâóõ ðàçëè÷íûõ òèïîâ
ñîöèàëüíî-ýêîíîìè÷åñêîé è
ïîëèòè÷åñêîé îðãàíèçàöèè îáùåñòâà
1-é òèï
Ðóñü — îñåäëî-
çåìëåäåëü÷åñêèé
2-é òèï
Ìîíãîëèÿ —
êî÷åâîé,
îðèåíòèðîâàííûé íà
âîåííûå çàâîåâàíèÿ
ÌÎÍÃÎËÎ-ÒÀÒÀÐÑÊÎÅ ÈÃÎ ÍÀ ÐÓÑÈ
ÑÓÆÄÅÍÈß È ÎÖÅÍÊÈ
(îñíîâíûå òî÷êè çðåíèÿ íà âçàèìîîòíîøåíèÿ
Ðóñè è Îðäû â XIII—XV ââ.)
1. Òðàäèöèîííàÿ îöåíêà
Ñ.Ì. Ñîëîâüåâ, Â.Î. Êëþ÷åâñêèé è áîëüøèíñòâî èñòîðèêîâ
Èãî äëÿ Ðóñè ÿâëÿëîñü áîëüøèì áåäñòâèåì
ñèñòåìà îòíîøåíèé çàâîåâàòåëåé (ìîíãîëîâ) è
ïîáåæäåííûõ (ðóññêèõ), êîòîðàÿ ïðîÿâëÿëàñü â:
— Ïîëèòè÷åñêîé çàâèñèìîñòè ðóññêèõ êíÿçåé îò õàíîâ Çîëîòîé
Îðäû, âûäàâàâøèõ ÿðëûêè (ãðàìîòû) íà ïðàâî êíÿæåíèÿ â
ðóññêèõ çåìëÿõ;
— Äàííè÷åñêîé çàâèñèìîñòè Ðóñè îò Îðäû. Ðóñü ïëàòèëà äàíü
Çîëîòîé Îðäå (ïðîäîâîëüñòâèåì, ðåìåñëåííûìè èçäåëèÿìè,
äåíüãàìè, íeâoëüíèêaìè);
— Âîåííîé çàâèñèìîñòè — ïîñòàâêîé ðóññêèõ âîèíîâ â
ìîíãîëüñêèå âîéñêà.
2. Èãà íà Ðóñè íå áûëî
Ë.Í. Ãóìèëåâ
Ñóùåñòâîâàëè ñîþçíè÷åñêèå îòíîøåíèÿ Ðóñè è Îðäû. Ðóñü
ïëàòèëà äàíü, à Îðäà âçàìåí îáåñïå÷èâàëà áåçîïàñíîñòü
ðóññêèõ êíÿæåñòâ.
3. Òàê íàçûâàåìîå ìîíãîëî-òàòàðñêîå èãî — ïðîñòî
ñïåöèôè÷åñêèé ïåðèîä â èñòîðèè ðóññêîãî ãîñóäàðñòâà, êîãäà
ñòðàíà áûëà ðàçäåëåíà íà
äâå ÷àñòè
Ìèðíîå ãðàæäàíñêîå
íàñåëåíèå, óïðàâëÿåìîå
êíÿçüÿìè
Ïîñòîÿííîå ðåãóëÿðíîå
âîéñêî — Îðäà ïîä
óïðàâëåíèåì
âîåíà÷àëüíèêîâ — õàíîâ
Ýòîé òî÷êè çðåíèÿ ïðèäåðæèâàþòñÿ À. Ôîìåíêî, Â. Íîñîâñêèé.
Ýòèìîëîãèÿ
Èãî
Îò äðåâíåñëàâ. — èãî
ÿðìî
Îò ëàò. jugum —
ãíåò, ãîñïîäñòâî, âëàäû÷åñòâî,
ñâÿçàííîå ñ ïîðàáîùåíèåì,
óãíåòåíèåì ïîäâëàñòíûõ ëþäåé
42 Îòå÷åñòâåííàÿ èñòîðèÿ â ñõåìàõ è òàáëèöàõ
ÌÎÑÊÎÂÑÊÀß ÐÓÑÜ
Ìîñêîâñêàÿ ÐóñüÌîñêîâñêèå óäåëüíûå êíÿçüÿ è öàðè
â XIII — íà÷àëå XVII ââ.
Äàíèèë Àëåêñàíäðîâè÷
(1276—1303)
Þðèé (1303—1325) Èâàí I Êàëèòà (1325—1340)
Ñåìåí Ãîðäûé
(1340—1353)
Èâàí II Êðàñíûé
(1353—1359)
|
Äìèòðèé Äîíñêîé
(1359—1389)
Âàñèëèé I
(1389—1425)
Þðèé Çâåíèãîðîäñêèé
(1433—1434)
Âàñèëèé II Òåìíûé
(1425—1462)
Âàñèëèé Êîñîé
(1434)
Äìèòðèé Øåìÿêà
(1446—1447)
Èâàí III
(1462—1505)
Âàñèëèé III
(1505—1533)
Èâàí IV Ãðîçíûé
(1533—1584)
Ôåäîð
(1584—1598)
Áîðèñ Ãîäóíîâ
(1598—1605)
Ëæåäìèòðèé I
(1605—1606)
Âàñèëèé Øóéñêèé
(1606—1610)
Ñåìèáîÿðùèíà
(1610—1613)
Ìîñêîâñêàÿ Ðóñü 43
Äèíàñòè÷åñêàÿ
âîéíà çà âëàñòü
ÎÁÐÀÇÎÂÀÍÈÅ ÌÎÑÊÎÂÑÊÎÃÎ ÊÍ߯ÅÑÒÂÀ
1147 ã. — ïåðâîå óïîìèíàíèå â ëåòîïèñè î Ìîñêâå
Âëàäèìèðî-Ñóçäàëüñêîå
êíÿæåñòâî
Ïåðåÿñëàâñêîå
êíÿæåñòâî
ÌÎÑÊÎÂÑÊÎÅ
ÊÍ߯ÅÑÒÂÎ
ñ 1276 ã.
Òâåðñêîå
êíÿæåñòâî
ñ 1246 ã.
44 Îòå÷åñòâåííàÿ èñòîðèÿ â ñõåìàõ è òàáëèöàõ
ÍÀ×ÀËÎ ÎÁÚÅÄÈÍÈÒÅËÜÍÛÕ ÏÐÎÖÅÑÑÎÂ
 ÐÓÑÑÊÈÕ ÇÅÌËßÕ Â XIII—XIV ââ.
Ïîëèöåíòðè÷åñêèé õàðàêòåð îáúåäèíèòåëüíûõ ïðîöåññîâ,
êîãäà ëèäåðàìè ñòàíîâèëèñü:
— Ãàëèöêî-Âîëûíñêàÿ Ðóñü
— Âåëèêîå êíÿæåñòâî Ëèòîâñêîå
— Òâåðñêîå êíÿæåñòâî
— Ìîñêîâñêîå êíÿæåñòâî
Ïðè÷èíû âîçâûøåíèÿ
Ìîñêîâñêàÿ Ðóñü 45
Ëè÷íîñòíûå êà÷åñòâà ïåðâûõ
ìîñêîâñêèõ êíÿçåé, èõ
ïîëèòè÷åñêàÿ ëîâêîñòü è
õîçÿéñòâåííîñòü
Âûãîäíîå ãåîãðàôè÷åñêîå
ïîëîæåíèå, äàâàâøåå ïðèòîê
íàñåëåíèÿ, òîðãîâûå è
ïîëèòè÷åñêèå ïðåèìóùåñòâà
Ïîääåðæêà ñî ñòîðîíû
Öåðêâè è ïåðåíîñ öåíòðà
ðóññêîãî ïðàâîñëàâèÿ èç
Âëàäèìèðà â Ìîñêâó
Ñîäåéñòâèå Îðäû
Âûäà÷à ÿðëûêîâ
íà êíÿæåíèå
ÁÎÐÜÁÀ ÇÀ ËÈÄÅÐÑÒÂÎ Â ÏÎËÈÒÈ×ÅÑÊÎÌ
ÎÁÚÅÄÈÍÅÍÈÈ ÑÅÂÅÐÎ-ÂÎÑÒÎ×ÍÎÉ ÐÓÑÈ
46 Îòå÷åñòâåííàÿ èñòîðèÿ â ñõåìàõ è òàáëèöàõ
Ñîïåðíè÷åñòâî
Ìîñêâà Òâåðü
Îñíîâíûå íàïðàâëåíèÿ
Îòíîøåíèÿ
ñ Öåðêîâüþ
Áîðüáà çà âåëèêîå
êíÿæåíèå
Îòíîøåíèÿ ñ
Îðäîé
Ïîëèòè÷åñêèé
ñîþç Ìîñêâû è
Ïðàâîñëàâíîé
öåðêâè
Äâà ýòàïà
1. Ìîñêâà — âåðíûé
äàííèê Îðäû (Äàíèèë,
Þðèé, Èâàí I, Ñåìåí,
Èâàí II)
2. Ìîñêâà âî ãëàâå
íàöèîíàëüíî-
îñâîáîäèòåëüíîé
áîðüáû (Äìèòðèé,
Èâàí III)
Ìîñêîâñêèå êíÿçüÿÌÎÑÊÎÂÑÊÈÅ ÊÍßÇÜß
Íà÷àëî ðàñøèðåíèÿ òåððèòîðèè Ìîñêîâñêîãî êíÿæåñòâà
Êîëîìíà (1300)
Ïåðåÿñëàâñêîå
êíÿæåñòâî (1302)
Îñíîâàë â 1298—1300 ãã. Äàíèëîâ ìîíàñòûðü, ãäå è áûë
ïîõîðîíåí.
Ìîñêîâñêàÿ Ðóñü 47
Äàíèèë Àëåêñàíäðîâè÷
1276—1303 ãã.
Ïåðâûé ìîñêîâñêèé êíÿçü, ìëàäøèé
ñûí Àëåêñàíäðà Íåâñêîãî
Ïðèñîåäèíåíî
ê Ìîñêâå
Ìîæàéñê (1303)
 1314 ã. ïðèãëàøåí íà êíÿæåíèå
â Íîâãîðîäå
48 Îòå÷åñòâåííàÿ èñòîðèÿ â ñõåìàõ è òàáëèöàõ
Þðèé Äàíèëîâè÷
1303—1325 ãã.
Ðàñøèðåíèå ïðåäåëîâ
Ìîñêîâñêîãî êíÿæåñòâà
Ïåðâûì èç ìîñêîâñêèõ
êíÿçåé âñòóïèë â áîðüáó
çà ÿðëûê âåëèêîãî
âëàäèìèðñêîãî
êíÿæåíèÿ ñ òâåðñêèìè
êíÿçüÿìè
Ïðèñîåäèíåíû:
Ïîëó÷èë ÿðëûê
è æåíèëñÿ
íà ñåñòðå
îðäûíñêîãî
õàíà Óçáåêà
(1317)
Óáèò â Îðäå
â 1325 ã.
òâåðñêèì
êíÿçåì
Äìèòðèåì
Ìèõàéëîâè÷åì
Ãðîçíûå î÷è
Ìîñêîâñêàÿ Ðóñü 49
Èâàí I Äàíèëîâè÷
Êàëèòà
1325—1340 ãã.
Îñíîâíûå íàïðàâëåíèÿ äåÿòåëüíîñòè
Ðåàëèçàöèÿ äâóõ ïðèíöèïîâ:
Ìèð Ïîðÿäîêè
Ðàñøèðåíèå
ãðàíèö
Ìîñêîâñêîãî
êíÿæåñòâà
Ïîääåðæàíèå
õîðîøèõ
îòíîøåíèé
ñ Îðäîé
Òåñíîå
ñîòðóäíè÷åñòâî
ñ Ïðàâîñëàâíîé
öåðêîâüþ
Èâàí Êàëèòà çàëîæèë îñíîâû áóäóùåãî ìîãóùåñòâà
Ìîñêîâñêîãî ãîñóäàðñòâà
l Ïîêóïêà êðóïíûõ
òåððèòîðèé —
Ãàëè÷, Óãëè÷,
Áåëîîçåðî (1328)
Ïðèñîåäèíåíèå
÷àñòè
Ðîñòîâñêîãî
êíÿæåñòâà (1331)
l Áîðüáà ñ Òâåðüþ
çà ÿðëûê
l Ó÷àñòèå âìåñòå ñ
îðäûíñêèì
âîéñêîì â
êàðàòåëüíîì
ïîõîäå ïðîòèâ
Òâåðè (1327)
l Ïîëó÷åíèå ïðàâà
ñáîðà äàíè ñ
ðóññêèõ çåìåëü è
äîñòàâêè åå â
Îðäó
l Ïåðåíîñ öåíòðà
ðóññêîãî
ïðàâîñëàâèÿ èç
Âëàäèìèðà â
Ìîñêâó (ñ 1328)
l Ñòðîèòåëüñòâî
ïÿòè
áåëîêàìåííûõ
õðàìîâ â Ìîñêâå
(ñ 1326 ïî 1333)
Ïðîäîëæåíèå ïîëèòèêè Èâàíà Êàëèòû
Ïîäíÿë çíà÷åíèå Ìîñêâû äî óðîâíÿ îáùåðóññêîé ñòîëèöû
50 Îòå÷åñòâåííàÿ èñòîðèÿ â ñõåìàõ è òàáëèöàõ
Ñåìåí Ãîðäûé
1340—1353 ãã.
Õîðîøèå
îòíîøåíèÿ
ñ Îðäîé
Îáëàäàíèå
ÿðëûêîì íà
âåëèêîå
êíÿæåíèå
Ïðîâåäåíèå
óðàâíîâåøåííîé
âíåøíåé
ïîëèòèêè
Ïîä÷èíåíèå
Íîâãîðîäà
ïîñðåäñòâîì
íàçíà÷åíèÿ
ìîñêîâñêèõ
íàìåñòíèêîâ
Îòñóòñòâèå
âîåííûõ
ñòîëêíîâåíèé ñ
ñîñåäíèìè
êíÿæåñòâàìè
Ìîñêîâñêàÿ Ðóñü 51
Èâàí II Êðàñíûé
1353—1359 ãã.
Ïðîäîëæåíèå ïîëèòèêè Èâàíà
Êàëèòû è Ñåìåíà Ãîðäîãî
Îáëàäàíèå
ÿðëûêîì íà
âåëèêîå
êíÿæåíèå
Íà÷àëî âîåííûõ
ñòîëêíîâåíèé ñ
Ëèòâîé
Ïðîâåäåíèå
ìèðîëþáèâîé
ïîëèòèêè â
îòíîøåíèè
ñîïðåäåëüíûõ
êíÿæåñòâ
Îáúåäèíåíèå
Ìîñêîâñêîãî è
Âëàäèìèðñêîãî
êíÿæåñòâ
Ãëàâíûå
íàïðàâëåíèÿ
ïîëèòèêè
Áîðüáà çà ëèäåðñòâî
íà Ðóñè
ÏÐÎÒÈÂÎÁÎÐÑÒÂÎ
ñ Îðäîé ñ Ëèòâîé ñ Òâåðüþ ñ Ðÿçàíüþ
Ñòðåìëåíèå
îñëàáèòü
çàâèñèìîñòü
ðóññêèõ
êíÿæåñòâ îò
Îðäû
Áîðüáà ñ
Ìàìàåì,
êîòîðîãî
íà Ðóñè
ñ÷èòàëè
óçóðïàòîðîì
âëàñòè
â Îðäå
|
 ñâÿçè ñ ëèòîâñêîé
ýêñïàíñèåé íà
ðóññêèå çåìëè
|
1368 ã.
1370 ã.
1372 ã.
|
Çà ÿðëûê
íà âåëèêîå
êíÿæåíèå
|
1375 ã. —
Ïîáåäà
Äìèòðèÿ
Èâàíîâè÷à
|
Ïî ïîâîäó
ñïîðíûõ
òåððèòîðèé
|
1371 ã.
1378 ã. —
1380 ã. —
1382 ã. —
Ïîáåäà
Äìèòðèÿ
Èâàíîâè÷à
íàä îðäûíöàìè
íà ðåêå Âîæå
Êóëèêîâñêàÿ
áèòâà
Ðàçîðåíèå
Òîõòàìûøåì
Ìîñêâû
52 Îòå÷åñòâåííàÿ èñòîðèÿ â ñõåìàõ è òàáëèöàõ
Äìèòðèé Èâàíîâè÷ Äîíñêîé
1359—1389 ãã.
⎫
⎬
⎭
Âòîðæåíèå
ëèòîâñêèõ
âîéñê â
ìîñêîâñêèå
çåìëè ⎫
⎬
⎭
Ñîþçíèêè
â áîðüáå
ñ Ìîñêâîé
⎫
⎬
⎭
Âñå ýòè àòàêè
áûëè îòáèòû
Ìîñêîâñêàÿ Ðóñü 53
ÊÓËÈÊÎÂÑÊÀß ÁÈÒÂÀ
8 ñåíòÿáðÿ 1380 ã.
Ðóñü Îðäà
Áëàãîñëîâåíèå Ñåðãèÿ
Ðàäîíåæñêîãî
Ïîõîä Ìàìàÿ íà Ðóñü
Ñáîð ðóññêèõ âîéñê â
Êîëîìíå âî ãëàâå ñ
ìîñêîâñêèì êíÿçåì
Äìèòðèåì
Èâàíîâè÷åì
ñîþçíèêè
ü ßãàéëî, ëèòîâñêèé
êíÿçü
ü Îëåã, ðÿçàíñêèé
êíÿçü
Õîä áèòâû
ü Ïîåäèíîê Ïåðåñâåòà è ×åëóáåÿ (îáà ïîãèáëè)
ü Ëîáîâàÿ ñõâàòêà ïðîòèâîáîðñòâóþùèõ ñòîðîí
ü Îòñòóïëåíèå ðóññêîãî ïîëêà ëåâîé ðóêè,
êîòîðûé çàìàíèâàë êîííèöó ïðîòèâíèêà ïîä
óäàð çàñàäíîãî ïîëêà
ü Âíåçàïíûé óäàð â òûë è ôëàíã îðäûíöåâ
ü Ïàíè÷åñêîå áåãñòâî âîéñê Ìàìàÿ
Çíà÷åíèå áèòâû
ü Êðàõ îðäûíñêî-ëèòîâñêèõ ïëàíîâ îñëàáëåíèÿ
Ðóñè
ü Èìïóëüñ ê äàëüíåéøåìó îáúåäèíåíèþ
ðóññêèõ çåìåëü ïîä âëàñòüþ Ìîñêâû
ü Ñîçäàíèå ïðåäïîñûëîê äëÿ îñâîáîæäåíèÿ
Ðóñè îò îðäûíñêîé çàâèñèìîñòè
P.S. Îñòàòêè Ìàìàåâà âîéñêà áûëè ðàçãðîìëåíû â Îðäå
×èíãèñèäîì Òîõòàìûøåì, óòâåðäèâøèìñÿ íà õàíñêîì
ïðåñòîëå
ÎÑÍÎÂÍÛÅ ÍÀÏÐÀÂËÅÍÈß ÄÅßÒÅËÜÍÎÑÒÈ:
ÎÐÄÀ ËÈÒÂÀ
54 Îòå÷åñòâåííàÿ èñòîðèÿ â ñõåìàõ è òàáëèöàõ
Ñëîæíûå è
ïðîòèâîðå÷èâûå
îòíîøåíèÿ
ü 1408 ã. —
Ïîõîä
îðäûíñêîãî
âîåíà÷àëüíèêà
Åäèãåÿ íà
Ðóñü è îñàäà
Ìîñêâû
ü Ïðèìèðåíèå ñ
Îðäîé è
ïîëó÷åíèå
ÿðëûêà íà
âåëèêîå
êíÿæåíèå
ü Óñòàíîâèë
äèíàñòè÷åñêèå
îòíîøåíèÿ
(áûë æåíàò íà
ëèòîâñêîé
êíÿæíå Ñîôüå
Âèòîâòîâíå)
ü Ïðîòèâîðå÷èÿ
ìåæäó
Ìîñêâîé è
Ëèòâîé èç-çà
âëèÿíèÿ íà
Íîâãîðîä
Äàëüíåéøèé ðîñò
Ìîñêîâñêîãî êíÿæåñòâà
Ïðèñîåäèíåíû Ìóðîìñêîå
è Íèæåãîðîäñêîå êíÿæåñòâà
è çåìëè Êîìè ïî ðåêå
Âû÷åãäà
1395 ã. — Âòîðæåíèå íà Ðóñü
âîéñê ïðàâèòåëÿ ñðåäíåàçè-
àòñêîãî ãîñóäàðñòâà Òàìåð-
ëàíà (Òèìóðà). Äâóõíåäåëü-
íîå ïðîòèâîñòîÿíèå áëèç
Êîëîìíû, ïîñëå ÷åãî Òèìóð
íåîæèäàííî ïîêèíóë ðóñ-
ñêèå çåìëè
⎫
⎬
⎭
Èçáàâëåíèå áûëî
ïðèïèñàíî
çàñòóïíè÷åñòâó
÷óäîòâîðíîé èêîíû
Âëàäèìèðñêîé
Áîãîìàòåðè,
ïåðåâåçåííîé â ýòî âðåìÿ
èç Âëàäèìèðà â Ìîñêâó
Âàñèëèé I Äìèòðèåâè÷
1389—1425 ãã.
ÄÈÍÀÑÒÈ×ÅÑÊÀß ÂÎÉÍÀ  ÌÎÑÊÎÂÑÊÎÌ
ÊÍ߯ÅÑÒÂÅ ÂÎ ÂÒÎÐÎÉ ÒÐÅÒÈ XV â.
1425—1453 ãã.
Ìîñêîâñêàÿ Ðóñü 55
ÏÐÅÄÏÎÑÛËÊÈ
Áîðüáà ñåìåéíîãî (ïðÿìîãî — îò îòöà ê
ñûíó) è ðîäîâîãî (íåïðÿìîãî — ïî
ñòàðøèíñòâó â ðîäå — îò áðàòà ê áðàòó)
íà÷àë â íàñëåäîâàíèè êíÿæåñêîãî ïðåñòîëà
Ïðîòèâîðå÷èâûé òåêñò çàâåùàíèÿ
Äìèòðèÿ Äîíñêîãî, äàâàâøèé âîçìîæíîñòü
åãî òðàêòîâêè ñ ðàçíûõ íàñëåäñòâåííûõ
ïîçèöèé
Ëè÷íîå ñîïåðíè÷åñòâî çà âëàñòü â
Ìîñêâå ïîòîìêîâ êíÿçÿ Äìèòðèÿ Äîíñêîãî
Äìèòðèé
Äîíñêîé
Âàñèëèé I
Âàñèëèé II
Òåìíûé
Èâàí III
Þðèé Ãàëèöêèé è
Çâåíèãîðîäñêèé
Âàñèëèé
Êîñîé
Äìèòðèé
Øåìÿêà
Âàñèëèé II
1425—1462 ãã.
ÕÎÄ ÄÈÍÀÑÒÈ×ÅÑÊÎÉ ÂÎÉÍÛ
1425—1431 ãã. Çàíÿòèå Âàñèëèåì II ìîñêîâñêîãî ïðåñòîëà áåç õàíñêîãî
ÿðëûêà.
Ïðåòåíçèè Þðèÿ Çâåíèãîðîäñêîãî íà ìîñêîâñêîå êíÿ-
æåíèå
1431 ã. Ïîëó÷åíèå Âàñèëèåì II îðäûíñêîãî ÿðëûêà íà ìîñêîâ-
ñêèé êíÿæåñêèé ïðåñòîë
1433 ã. Ñêàíäàë âî âðåìÿ ñâàäüáû Âàñèëèÿ II è áîðîâñêîé êíÿæ-
íû Ìàðèè ßðîñëàâíû, êîãäà äâîþðîäíûé áðàò Âàñèëèé
Êîñîé íàäåâàåò ñèìâîë âåëèêîêíÿæåñêîé âëàñòè — çîëî-
òîé ïîÿñ.
Êîíôëèêò è íà÷àëî âîåííûõ äåéñòâèé
1434 ã.
ìàðò—èþíü
Âîåííîå ïîðàæåíèå Âàñèëèÿ II.
Þðèé Çâåíèãîðîäñêèé çàíèìàåò Ìîñêâó, íà÷èíàåò ÷åêà-
íèòü ìîíåòó ñ èçîáðàæåíèåì Ãåîðãèÿ Ïîáåäîíîñöà. Íî
íåîæèäàííî óìèðàåò â Ìîñêâå
1434 ã. èþíü Àâàíòþðà Âàñèëèÿ Êîñîãî, êîòîðûé çàíèìàåò ìîñêîâ-
ñêèé ïðåñòîë áåç ñîãëàñèÿ ñâîèõ ðîäñòâåííèêîâ. Åãî íå
ïîääåðæàëè äàæå áðàòüÿ — Äìèòðèé Øåìÿêà è Äìèòðèé
Êðàñíûé.
Ìîñêîâñêèé êíÿæåñêèé ïðåñòîë âíîâü ïåðåõîäèò ê Âà-
ñèëèþ II
1436 ã. Êíÿçü Âàñèëèé Êîñîé ïûòàåòñÿ ïðîäîëæèòü âîîðóæåí-
íóþ áîðüáó, íî òåðïèò ðåøèòåëüíîå ïîðàæåíèå îò Âàñè-
ëèÿ II. Åãî çàõâàòûâàþò è îñëåïëÿþò (îòñþäà ïðîçâè-
ùå — Êîñîé).
Íîâîå îáîñòðåíèå îòíîøåíèé ìåæäó Âàñèëèåì II è
Äìèòðèåì Øåìÿêîé
1445 ã. Ïëåíåíèå Âàñèëèÿ II êàçàíñêèìè òàòàðàìè.
Ïåðåõîä âëàñòè â Ìîñêâå ê Äìèòðèþ Øåìÿêå.
Âîçâðàò Âàñèëèÿ II èç ïëåíà è èçãíàíèå Øåìÿêè èç Ìî-
ñêâû
1446 ã. Çàõâàò è îñëåïëåíèå Âàñèëèÿ II ñòîðîííèêàìè Äìèòðèÿ
Øåìÿêè.
Âòîðîå êíÿæåíèå Äìèòðèÿ Øåìÿêè â Ìîñêâå.
Ññûëêà Âàñèëèÿ II â Óãëè÷, à çàòåì â Âîëîãäó
1447 ã. Çàêëþ÷åíèå Âàñèëèåì II ñîþçà ñ òâåðñêèì êíÿçåì Áîðè-
ñîì Àëåêñàíäðîâè÷åì äëÿ áîðüáû ñ Äìèòðèåì Øåìÿêîé,
êîòîðûé â èòîãå áûë îêîí÷àòåëüíî èçãíàí èç Ìîñêâû
1448—1450 ãã. Íåóäà÷íûå âîåííûå ïîïûòêè Äìèòðèÿ Øåìÿêè ñâåðã-
íóòü Âàñèëèÿ II
1453 ã. Ñìåðòü êíÿçÿ Äìèòðèÿ Øåìÿêè â Íîâãîðîäå.
Îêîí÷àíèå äèíàñòè÷åñêîé âîéíû
56 Îòå÷åñòâåííàÿ èñòîðèÿ â ñõåìàõ è òàáëèöàõ
ÏÐÅÄÏÎÑÛËÊÈ ÎÁÚÅÄÈÍÅÍÈß ÐÓÑÑÊÈÕ
ÇÅÌÅËÜ Â ÅÄÈÍÎÅ ÃÎÑÓÄÀÐÑÒÂÎ
Ìîñêîâñêàÿ Ðóñü 57
ÑÎÖÈÀËÜÍÎ-
ÝÊÎÍÎÌÈ×ÅÑÊÈÅ
ÏÎËÈÒÈ×ÅÑÊÈÅ
ÄÓÕÎÂÍÛÅ
Ðàçâèòèå
ôåîäàëüíîãî
çåìëåâëàäåíèÿ
Ñòðåìëåíèå
áîÿð
ïðèîáðåòàòü
âîò÷èíû çà
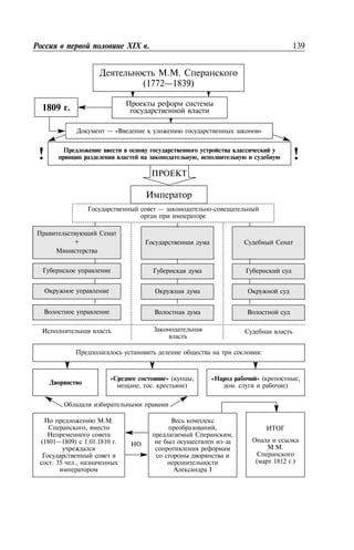
ïðåäåëàìè
ñâîèõ êíÿæåñòâ
Íàëè÷èå
îáùåé
îôèöèàëüíîé
ðåëèãèè —
ïðàâîñëàâèÿ —
âî âñåõ ðóññêèõ
çåìëÿõ
Îñîçíàíèå
íåîáõîäèìîñòè
äóõîâíîãî è
êóëüòóðíîãî
åäèíñòâà Ðóñè
Óêðåïëåíèå íà
Ðóñè âëàñòè è
ëèäåðñòâà
ìîñêîâñêèõ
êíÿçåé
Íåîáõîäèìîñòü
îñâîáîæäåíèÿ
îò îðäûíñêîãî
èãà
58 Îòå÷åñòâåííàÿ èñòîðèÿ â ñõåìàõ è òàáëèöàõ
Èâàí III Âàñèëüåâè÷
1462—1505 ãã.
ÎÑÍÎÂÍÛÅ ÍÀÏÐÀÂËÅÍÈß ÄÅßÒÅËÜÍÎÑÒÈ
Îáúåäèíåíèå
ðóññêèõ çåìåëü
ïîä âëàñòüþ
Ìîñêâû
Îñâîáîæäåíèå
Ðóñè îò
îðäûíñêîé
çàâèñèìîñòè
Ñîçäàíèå ñâîäà
çàêîíîâ åäèíîãî
ãîñóäàðñòâà
Ïóòè Ñóäåáíèê
1497 ã.
1480 ã.
Âîåííûé Ïðîòèâîñòîÿíèå
íà ð. Óãðå
ñ õàíîì
Àõìàòîì
Ïàäåíèå
îðäûíñêîãî èãà
Óñòàíàâëèâàåòñÿ
åäèíûé ñðîê
ïåðåõîäà çàâèñèìûõ
êðåñòüÿí îò îäíîãî
âëàäåëüöà ê
äðóãîìó — íåäåëÿ äî
è íåäåëÿ ïîñëå
Þðüåâà äíÿ
— Âåëèêèé
Íîâãîðîä
(1478)
— Òâåðñêîå
êíÿæåñòâî
(1485)
Ïðèñÿãà
Íàñëåäîâàíèå
— ßðîñëàâñêîå
êíÿæåñòâî
(1463)
— Ðîñòîâñêîå
êíÿæåñòâî
(1474)
— Äìèòðîâ (1472)
— Âîëîãäà (1481)
— Óãëè÷ (1491)
Ñ 1485 ã. Èâàí III — ãîñóäàðü âñåÿ Ðóñè
Ìîñêîâñêàÿ Ðóñü 59
Âàñèëèé III Èâàíîâè÷
1505—1533 ãã.
ÎÑÍÎÂÍÛÅ ÍÀÏÐÀÂËÅÍÈß ÄÅßÒÅËÜÍÎÑÒÈ
Çàâåðøåíèå
îáúåäèíåíèÿ
ðóññêèõ çåìåëü
Âîéíà ñ Ëèòâîé
1512—1522 ãã.
Ñëîæíûå
îòíîøåíèÿ ñ
Êðûìñêèì è
Êàçàíñêèì
õàíñòâàìè
Ðÿçàíü (1521)
Ñìîëåíñê (1514)
Ïñêîâ (1510) 1521 ã. — Íàáåã
êðûìñêèõ òàòàð
íà Ìîñêâó
Ïîáåäà 1514 ã. Ïîðàæåíèå
ðóññêèõ âîéñê
ïîä
Ñìîëåíñêîì Îðøåé
ÐÎÑÑÈß Â ÝÏÎÕÓ ÈÂÀÍÀ ÃÐÎÇÍÎÃÎ
1533—1584 ãã.
ÍÀ×ÀËÎ ÏÐÀÂËÅÍÈß ÈÂÀÍÀ IV
I.
II.
III.
60 Îòå÷åñòâåííàÿ èñòîðèÿ â ñõåìàõ è òàáëèöàõ
Ðåãåíòñòâî êíÿãèíè Åëåíû Ãëèíñêîé
1533—1538 ãã.
Áîðüáà çà âëàñòü ñ áðàòüÿìè
Âàñèëèÿ III:
Þðèåì Äìèòðîâñêèì è
Àíäðååì Ñòàðèöêèì
è Ì. È. Ãëèíñêèì, äÿäåé
Èâàíà IV
êàçíåíû
Ðåôîðìû
Ø Äåíåæíàÿ (óòâåðæäåíèå
åäèíîé
îáùåãîñóäàðñòâåííîé
ñèñòåìû ñ÷åòà. Ââåäåíèå
êîïåéêè)
Ø Óíèôèêàöèÿ âñåõ ìåð
Ø Óêðåïëåíèå Ìîñêâû
Ñòðîèòåëüñòâî ñòåí
Êèòàé-ãîðîäà
⎫
⎬
⎭
Áîÿðñêîå ïðàâëåíèå
1538—1547 ãã.
Áîðüáà çà âëàñòü áîÿðñêèõ
ãðóïïèðîâîê Øóéñêèõ è Áåëüñêèõ
Ïàãóáíîå âëèÿíèå
íà Èâàíà IV
Äåñòàáèëèçàöèÿ
ïîëîæåíèÿ â ñòðàíå
16.01.1547 ã. — ïî âèçàíòèéñêîìó
îáðàçöó â Óñïåíñêîì ñîáîðå
Ìîñêîâñêîãî Êðåìëÿ
Öàðü è âåëèêèé êíÿçü âñåÿ Ðóñè
Âåí÷àíèå Èâàíà IV íà öàðñòâî
Ýòèìîëîãèÿ
⎫
⎬
⎭
Öàðü — îò ëàò. öåçàðü
Íàñëåäñòâåííûé ìîíàðõ, ãîñóäàðü
Ðîññèÿ â ýïîõó Èâàíà ÃðîçíîãîÂÍÓÒÐÅÍÍßß ÏÎËÈÒÈÊÀ ÈÂÀÍÀ ÃÐÎÇÍÎÃÎ
Ðåôîðìû «Èçáðàííîé ðàäû» (1548/9—1560)
Ïåðñîíàëèè:
À. Àäàøåâ
À. Êóðáñêèé
È. Âèñêîâàòûé
ñâÿùåííèê Ñèëüâåñòð
ìèòðîïîëèò Ìàêàðèé
1. Ñîçäàíû ïðèêàçû:
t ×åëîáèòíûé
t Ïîñîëüñêèé
t Ïîìåñòíûé
t Ðàçðÿäíûé
t Ðàçáîéíûé
t Çåìñêèé
2. Ïðàâîâàÿ ðåôîðìà — ââåäåí â äåéñòâèå íîâûé ñâîä
çàêîíîâ — Ñóäåáíèê Èâàíà IV (1550)
3. Öåðêîâíàÿ ðåôîðìà
4. Âîåííàÿ ðåôîðìà
Ðîññèÿ â ýïîõó Èâàíà Ãðîçíîãî 61
Íàïðàâëåíû íà
ñîçäàíèå åäèíîãî
öåíòðàëèçîâàííîãî
ãîñóäàðñòâà
Îðãàíû öåíòðàëüíîãî
ãîñóäàðñòâåííîãî óïðàâëåíèÿ
Óíèôèêàöèÿ
îáðÿäîâ
Ðóññêîé
ïðàâîñëàâíîé
öåðêâè
Ñòîãëàâûé ñîáîð
1551 ã.
Ïðîñâåùåíèå — îäíà èç
âàæíåéøèõ çàäà÷ Öåðêâè
Êàíîíèçàöèÿ íîâûõ
ñâÿòûõ
Óæåñòî÷åíèå
äèñöèïëèíû
â ñðåäå
äóõîâåíñòâà
Ïîïûòêà
ôîðìèðîâàíèÿ
«Èçáðàííîé òûñÿ÷è»
Ñîçäàíèå
ñòðåëåöêîãî âîéñêà
(1550)
Ââåäåíèå Óëîæåíèÿ
î ñëóæáå
(1556)
5. Îãðàíè÷åíèå ìåñòíè÷åñòâà (1550)
6. Ðåôîðìà ìåñòíîãî óïðàâëåíèÿ
62 Îòå÷åñòâåííàÿ èñòîðèÿ â ñõåìàõ è òàáëèöàõ
Ïðè÷èíû ïàäåíèÿ
«Èçáðàííîé ðàäû»
1560 ã.
Ìåñòíè÷åñòâî:
Ïîðÿäîê çàìåùåíèÿ âûñøèõ
äîëæíîñòåé â çàâèñèìîñòè îò
çíàòíîñòè ðîäà è âàæíîñòè
äîëæíîñòè, çàíèìàåìîé
ïðåäêàìè
Ìîëîäûå áîÿðå äîëæíû
áûëè íà÷èíàòü ñëóæáó íà
íåçíà÷èòåëüíûõ
äîëæíîñòÿõ, íî áåç çàïèñè
â ôàìèëüíûå
ìåñòíè÷åñêèå êíèãè
I Çåìñêèé ñîáîð
(1549)
Ñîáîð ïðèìèðåíèÿ
Îãðàíè÷åíèå
âëàñòè
êîðìëåíùèêîâ,
íàìåñòíèêîâ è
âîëîñòèòåëåé íà
ìåñòàõ
Âûáîðíûå ãóáíûå
è çåìñêèå
ñòàðîñòû
Ïåðåäà÷à
óïðàâëåí÷åñêèõ è
ñóäåáíûõ ôóíêöèé îò
êîðìëåíùèêîâ
ê âûáîðíûì
äîëæíîñòíûì ëèöàì
?! Èâàí IV ?!
«Èçáðàííàÿ ðàäà»
âèíîâíà â îòðàâëåíèè
öàðèöû Àíàñòàñèè
Ðàçíîãëàñèÿ Èâàíà IV ñ
÷ëåíàìè «Èçáðàííîé
ðàäû» ïî âîïðîñàì
îñóùåñòâëåíèÿ âíåøíåé è
âíóòðåííåé ïîëèòèêè
ÎÏÐÈ×ÍÈÍÀ
1565—1572 ãã.
Ýòèìîëîãèÿ
Îò äðåâíåðóññê. — îïðè÷ü — êðîìå
Ðîññèÿ â ýïîõó Èâàíà Ãðîçíîãî 63
3 ôåâðàëÿ 1565 ã. ïðèíÿò
óêàç î ââåäåíèè îïðè÷íèíû,
â ñîîòâåòñòâèè ñ êîòîðûì
ñòðàíà áûëà ðàçäåëåíà
íà äâå ÷àñòè
Ôîðìó «îïðè÷à» êàê îáîñîáëåííîé
òåððèòîðèè èñïîëüçîâàë Èâàí IV
Ãðîçíûé äëÿ îñóùåñòâëåíèÿ îñîáîé
ïîëèòèêè — îïðè÷íèíû
 ñðåäíåâåêîâîé
Ðóñè — çåìåëüíûé
óäåë, âûäåëÿâøèéñÿ
êíÿæåñêîé âäîâå
ÎÏÐÈ×ÍÈÍÀ —
îäíî èç ñàìûõ
çàãàäî÷íûõ è ñëîæíûõ
ÿâëåíèé îòå÷åñòâåííîé
èñòîðèè
Ó÷ðåæäåíèå ýòî âñåãäà êà-
çàëîñü ñòðàííûì, êàê òåì,
êòî ñòðàäàë îò íåãî, òàê è
òåì, êòî åãî èññëåäîâàë.
Â.Î. Êëþ÷åâñêèé
«ÎÏÐÈ×ÍÈÍÀ»
Âî ãëàâå ñ Èâàíîì IV
Îïðè÷íîå
âîéñêî
«ÇÅÌÙÈÍÀ»
âî ãëàâå ñ Áîÿðñêîé äóìîé
Òåððîð
ïî âñåé ñòðàíå
ÎÏÐÈ×ÍÈÍÀ
 ÎÖÅÍÊÀ ÈÑÒÎÐÈÊÎÂ
Ñóùíîñòü îïðè÷íèíû
Ñëåäñòâèå ïñèõè÷åñêîãî ðàññòðîéñòâà Èâàíà IV Í.Ì. Êàðàìçèí
Áîðüáà è óòâåðæäåíèå íîâûõ ãîñóäàðñòâåííûõ
íà÷àë ïðîòèâ ñòàðûõ ðîäîâûõ
Ñ.Ì. Ñîëîâüåâ
Àíòèáîÿðñêàÿ íàïðàâëåííîñòü îïðè÷íèíû Ñ.Ô. Ïëàòîíîâ
Ñâåðõöåíòðàëèçàöèÿ ãîñóäàðñòâåííîé âëàñòè Â.Î. Êëþ÷åâñêèé
Àíòèóäåëüíûé è àíòèêðåñòüÿíñêèé õàðàêòåð
îïðè÷íèíû
À.À.Çèìèí
Â.Á. Êîáðèí
Îïðè÷íèíà êàê ñðåäñòâî ïîäàâëåíèÿ íåäîâîëüñòâà
â ñòðàíå íåïîïóëÿðíîé Ëèâîíñêîé âîéíîé
À.Ë. Õîðîøêåâè÷
Îïðè÷íèíà — ðåïåòèöèÿ «Ñòðàøíîãî Ñóäà» íà
çåìëå
À.Ì. Ïàí÷åíêî
À.Ë. Þðãàíîâ
64 Îòå÷åñòâåííàÿ èñòîðèÿ â ñõåìàõ è òàáëèöàõ
ÏÎÑËÅÄÑÒÂÈß ÎÏÐÈ×ÍÈÍÛ
ÏÎËÈÒÈ×ÅÑÊÈÅ
ÑÎÖÈÀËÜÍÎ-
ÝÊÎÍÎÌÈ×ÅÑÊÈÅ
Óêðåïëåíèå ðåæèìà
ëè÷íîé âëàñòè öàðÿ
Ëèêâèäàöèÿ ïåðåæèòêîâ
óäåëüíîé ñèñòåìû
Õîçÿéñòâåííîå
ðàçîðåíèå ñòðàíû
Íà÷àëî ïðîöåññà
ãîñóäàðñòâåííîãî
çàêðåïîùåíèÿ êðåñòüÿí
ÂÍÅØÍßß ÏÎËÈÒÈÊÀ ÈÂÀÍÀ ÃÐÎÇÍÎÃÎ
Áîðüáà ñ Êðûìñêèì
õàíñòâîì
Ëèâîíñêàÿ âîéíà
1558—1583 ãã.
Ðàñøèðåíèå ãðàíèö
ðóññêîãî ãîñóäàðñòâà
Ïîïûòêà
Ðîññèè
óòâåðäèòüñÿ
â Ïðèáàëòèêå
Îñíîâíûå ýòàïû Õîä âîéíû
1558—1561 ãã. Âòîðæåíèå ðóññêèõ âîéñê â Ëèâîíèþ. Çàõâàò Íàðâû
è Äåðïòà
Ðàñïàä Ëèâîíñêîãî îðäåíà (1561)
1561—1569 ãã. Ïîðàæåíèå ðóññêèõ âîéñê ïîä Ïîëîöêîì è Îðøåé
Ïåðåõîä êíÿçÿ Êóðáñêîãî íà ñòîðîíó Ëèòâû
Îáúåäèíåíèå Ïîëüøè è Ëèòâû â Ðå÷ü Ïîñïîëèòóþ (1569)
Âûñòóïëåíèå â âîéíå ïðîòèâ Ðîññèè êîàëèöèè åâðîïåéñêèõ
ãîñóäàðñòâ — Äàíèè, Øâåöèè è Ðå÷è Ïîñïîëèòîé
1569—1583 ãã. Âòîðæåíèå Ïîëüøè â ðóññêèå çåìëè è çàõâàò Ïîëîöêà
(1579)
Îñàäà è ãåðîè÷åñêàÿ îáîðîíà Ïñêîâà (1581—1582)
Íàñòóïëåíèå Øâåöèè íà Íàðâó è Íîâãîðîäñêèå çåìëè (1579)
Ðîññèÿ â ýïîõó Èâàíà Ãðîçíîãî 65
Îñíîâíûå íàïðàâëåíèÿ
Þæíîå Çàïàäíîå Âîñòî÷íîå
1559 ã. — Íåóäà÷íûé
ïîõîä ðóññêîãî âîéñêà
íà Êðûì
1571 ã.
1572 ã.
Íàáåãè êðûì-
ñêîãî õàíà íà
Ìîñêâó
1552 ã. — Ïðèñîåäèíå-
íèå Êàçàíñêîãî
õàíñòâà
1556 ã. — Ïðèñîåäèíå-
íèå Àñòðàõàíñêîãî
õàíñòâà
1581—1585 ãã. — Ïîõîä
Åðìàêà â Ñèáèðü
1582 ã.
Ïåðåìèðèå íà 10 ëåò ñ
Ïîëüøåé â ßìå-
Çàïîëüñêîì:
Ðîññèÿ óñòóïèëà Ïîëüøå
âñþ Ëèâîíèþ è Ïîëîöê
Èòîãè
Ïîðàæåíèå
Ðîññèè
â Ëèâîíñêîé
âîéíå
1583 ã.
Ïåðåìèðèå íà 10 ëåò
ñî Øâåöèåé íà ðåêå
Ïëþññå:
Ðîññèÿ áûëà âûíóæäåíà
îòäàòü ãîðîäà ßì,
Êîïîðüå, Èâàíãîðîä,
Íàðâó
ÐÎÑÑÈß Â ÊÎÍÖÅ XVI â.
66 Îòå÷åñòâåííàÿ èñòîðèÿ â ñõåìàõ è òàáëèöàõ
Öàðü Ôåäîð Èâàíîâè÷
1584—1598 ãã.
Òèõèé è
áîãîáîÿçíåííûé
ìîíàðõ, íåñïîñîáíûé
ê ãîñóäàðñòâåííîìó
óïðàâëåíèþ
Ðåàëüíàÿ âëàñòü
ó Áîðèñà Ãîäóíîâà,
øóðèíà öàðÿ
Âíåøíÿÿ ïîëèòèêà:
ü 1591 ã. — îòáèò íàáåã
íà Ìîñêâó êðûìñêîãî
õàíà.
ü 1590—1593 ãã. —
Ðóññêî-øâåäñêàÿ
âîéíà — Ðîññèÿ
âåðíóëà ðàíåå
óòðà÷åííûå çåìëè è
ãîðîäà ßì, Èâàíãîðîä,
Êîïîðüå, Êîðåëà
1589 ã. — Ó÷ðåæäåíèå
ïàòðèàðøåñòâà
Àâòîêåôàëèÿ
(íåçàâèñèìîñòü) Ðóññêîé
ïðàâîñëàâíîé öåðêâè îò
êîíñòàíòèíîïîëüñêîé
Èîâ — ïåðâûé ïàòðèàðõ
ðóññêîé ïðàâîñëàâíîé
öåðêâè
1591 ã.
«Óãëè÷ñêîå äåëî»
Ãèáåëü öàðåâè÷à
Äìèòðèÿ
Ïðåñå÷åíèå ìóæñêîé
âåòâè ìîñêîâñêîãî
êíÿæåñêî-öàðñêîãî
äîìà
Âåðñèè ãèáåëè
Ñìóòà
Óáèò
ñ ñàíêöèè
Áîðèñà
Ãîäóíîâà
Íåñ÷àñòíûé
ñëó÷àé
Ëæåäìèòðèé«×óäåñíîå
ñïàñåíèå»
Ñìóòíîå âðåìÿÑÌÓÒÍÎÅ ÂÐÅÌß
Ñìóòíîå âðåìÿ 67
Ïîñëåäñòâèÿ ðàçîðåíèÿ ñòðàíû â ïåðèîä îïðè÷íèíû
Îáîñòðåíèå ñîöèàëüíîé ñèòóàöèè âñëåäñòâèå ïðîöåññîâ
ãîñóäàðñòâåííîãî çàêðåïîùåíèÿ êðåñòüÿí
Êðèçèñ äèíàñòèè: ïðåñå÷åíèå ìóæñêîé âåòâè ïðàâÿùåãî
êíÿæåñêî-öàðñêîãî ìîñêîâñêîãî äîìà
Êðèçèñ âëàñòè: óñèëåíèå áîðüáû çà âåðõîâíóþ âëàñòü
ñðåäè çíàòíûõ áîÿðñêèõ ôàìèëèé. Ïîÿâëåíèå
ñàìîçâàíöåâ
Ïðåòåíçèè Ïîëüøè íà ðóññêèå çåìëè è ïðåñòîë
Ãîëîä 1601—1603 ãã. Ãèáåëü ëþäåé è âñïëåñê ìèãðàöèè
âíóòðè ñòðàíû
ÑÌÓÒÀ — âîçìóùåíèå,
âîññòàíèå, ìÿòåæ,
êðàìîëà, îáùåå
íåïîâèíîâåíèå, ðàçäîð
ìåæ íàðîäîì è âëàñòüþ.
Â.È. Äàëü
ÑÌÓÒÍÎÅ ÂÐÅÌß — ýïîõà
ñîöèàëüíî-ïîëèòè÷åñêîãî,
ýêîíîìè÷åñêîãî è äèíàñòè÷åñêîãî
êðèçèñà. Ñîïðîâîæäàëàñü
íàðîäíûìè âîññòàíèÿìè,
ïðàâëåíèåì ñàìîçâàíöåâ,
ðàçðóøåíèåì ãîñóäàðñòâåííîé
âëàñòè, ïîëüñêî-øâåäñêî-
ëèòîâñêîé èíòåðâåíöèåé,
ðàçîðåíèåì ñòðàíû
ÏÐÈ×ÈÍÛ ÑÌÓÒÍÎÃÎ ÂÐÅÌÅÍÈ
ÎÒÅ×ÅÑÒÂÅÍÍÛÅ ÈÑÒÎÐÈÊÈ Î ÏÐÈ×ÈÍÀÕ
È ÑÓÙÍÎÑÒÈ ÑÌÓÒÍÎÃÎ ÂÐÅÌÅÍÈ Â ÐÎÑÑÈÈ
ÍÀ ÐÓÁÅÆÅ XVI—XVII ââ.
Í.Ì. Êàðàìçèí Ðàçâðàò âñåõ ñôåð ðóññêîãî
îáùåñòâà
Ñ.Ì. Ñîëîâüåâ Íðàâñòâåííîå è ìîðàëüíîå
ðàçëîæåíèå îáùåñòâà
Í.È. Êîñòîìàðîâ Ñëåäñòâèå êàòîëè÷åñêîé
èíòðèãè
Â.Î. Êëþ÷åâñêèé
Ñ.Ô. Ïëàòîíîâ
Ñìóòà — ýòî ñîöèàëüíîå
äâèæåíèå, çàðîäèâøååñÿ â
âåðõàõ ðóññêîãî îáùåñòâà è
ïîñòåïåííî âòÿíóâøåå â ñâîþ
îðáèòó øèðîêèå ñëîè
íàñåëåíèÿ
Ñîâåòñêàÿ èñòîðèîãðàôèÿ
(È.È. Ñìèðíîâ, Â.È. Áóãàíîâ,
Â.È. Êîðåöêèé è äð.)
Ñìóòà — ýòî âûñøàÿ ôîðìà
áîðüáû óãíåòåííûõ ïðîòèâ
ýêñïëóàòàòîðîâ
Ñîâðåìåííàÿ èñòîðèîãðàôèÿ
(Ð.Ã. Ñêðûííèêîâ,
À.Ë. Ñòàíèñëàâñêèé)
Ñìóòà — ýòî ãðàæäàíñêàÿ
âîéíà â Ðîññèè
68 Îòå÷åñòâåííàÿ èñòîðèÿ â ñõåìàõ è òàáëèöàõ
ÌÅÆÄÈÍÀÑÒÈ×ÅÑÊÎÅ ÏÐÀÂËÅÍÈÅ Â ÏÅÐÈÎÄ
ÑÌÓÒÍÎÃÎ ÂÐÅÌÅÍÈ
(êîíåö XVI — íà÷àëî XVII ââ.)
Áîðèñ Ãîäóíîâ
1598—1605
Ôåäîð Ãîäóíîâ
1605
Ëæåäìèòðèé I
(Ãðèãîðèé Îòðåïüåâ)
1605—1606
Âàñèëèé Øóéñêèé
1606—1610
Ñåìèáîÿðùèíà
1. Ô.È. Ìñòèñëàâñêèé
2. È.Ì. Âîðîòûíñêèé
3. À.Â. Òðóáåöêîé
4. À.Â. Ãîëèöûí
5. Á.Ì. Ëûêîâ
6. È.Í. Ðîìàíîâ
7. Ô.È. Øåðåìåòåâ
1610—1613
Ñìóòíîå âðåìÿ 69
Ãîëîä
1601—
1603 ãã.
70 Îòå÷åñòâåííàÿ èñòîðèÿ â ñõåìàõ è òàáëèöàõ
ÖÀÐÜ ÁÎÐÈÑ ÃÎÄÓÍÎÂ
1598—1605 ãã.
Èçáðàí öàðåì íà Çåìñêîì
ñîáîðå
Ðàñïðàâà
ñ áîÿðñêîé
îïïîçèöèåé
Ññûëêà áîÿð
Ðîìàíîâûõ
(1600)
— ×àñòè÷íîå
ðàçðåøåíèå
êðåñòüÿíñêèõ
ïåðåõîäîâ
— Áåñïëàòíàÿ
ðàçäà÷à õëåáà
èç öàðñêèõ
çàêðîìîâ
Âîññòàíèå ïîä
ïðåäâîäèòåëü-
ñòâîì Õëîïêà
Êîñîëàïà
(1603—1604)
Ïîäàâëåíî
ñ áîëüøèì
òðóäîì
Áîðèñ
Ãîäóíîâ
13 àïðåëÿ
1605 ã. —
âíåçàïíàÿ
ñìåðòü
Áîðüáà ñ ñàìîçâàíöåì
Ëæåäìèòðèåì I, âòîðãøèìñÿ
â ïðåäåëû Ðîññèè èç Ïîëüøè
â îêòÿáðå 1604 ã.
Ïðåñòîë íàñëåäóåò
Ôåäîð Áîðèñîâè÷
Ãîäóíîâ
(àïðåëü — èþíü 1605 ã.)
Ïåðåõîä öàðñêîãî âîéñêà
íà ñòîðîíó ñàìîçâàíöà
Óáèò ñòîðîííèêàìè
Ëæåäìèòðèÿ I
Ãîëîä
1601—1603
ãã.
Ñìóòíîå âðåìÿ 71
ÏÐÀÂËÅÍÈÅ ËÆÅÄÌÈÒÐÈß I
1605—1606 ãã.
Ãðèãîðèé
Îòðåïüåâ
ÏÎÏÛÒÊÈ ÏÐÎÂÅÄÅÍÈß
ÑÀÌÎÑÒÎßÒÅËÜÍÎÉ ÏÎËÈÒÈÊÈ
Îñëîæíåíèå
îòíîøåíèé ñ
Ïîëüøåé, ïåðåä
êîòîðîé îí èìåë
îáÿçàòåëüñòâà,
íî íå ñïåøèë èõ
âûïîëíÿòü
Ïîæàëîâàíèå
çåìëÿìè è
äåíüãàìè
ñëóæèëûõ ëþäåé
è ïîëüñêèõ
íàåìíèêîâ
Îñâîáîæäåíèå îò
çàâèñèìîñòè ðÿäà
êàòåãîðèé
êðåñòüÿí è
õîëîïîâ
Ïðîòèâîðå÷èÿ ñ
ìîñêîâñêèìè
áîÿðàìè âî
ãëàâå ñ
Â.È. Øóéñêèì
Ñâàäüáà
ñ Ìàðèíîé
Ìíèøåê
8 ìàÿ 1606 ã.
Íàïðÿæåííûå
îòíîøåíèÿ
ïîëÿêîâ è
æèòåëåé Ìîñêâû
Âîçâðàò èç
ññûëêè áîÿð
Ðîìàíîâûõ Óáèéñòâî â Êðåìëå
Ëæåäìèòðèÿ I
17 ìàÿ 1606 ã.
Ñêëàäûâàíèåçàãîâîðà
ïðîòèâËæåäìèòðèÿI
ÏÐÀÂËÅÍÈÅ ÂÀÑÈËÈß ØÓÉÑÊÎÃÎ
(1606—1610 ãã.)
Ïðàâëåíèå Âàñèëèÿ Øóéñêîãî
72 Îòå÷åñòâåííàÿ èñòîðèÿ â ñõåìàõ è òàáëèöàõ
19 ìàÿ 1606 ã.
èçáðàí â Ìîñêâå öàðåì íà èìïðîâèçèðîâàííîì
Çåìñêîì ñîáîðå, ñîçâàííîì åãî ñòîðîííèêàìè
Óãëóáëåíèå ãðàæäàíñêîé âîéíû è íà÷àëî
îòêðûòîé èíòåðâåíöèè
Äâèæåíèå ïîä
ïðåäâîäèòåëüñòâîì
Èâàíà Áîëîòíèêîâà
(1606—1607)
Íîâûé ñàìîçâàíåö —
Ëæåäìèòðèé II,
«Òóøèíñêèé âîð»
(1607—1610)
Íà÷àëî îòêðûòîé
ïîëüñêîé
èíòåðâåíöèè
(1609—1610)
Áîðüáà çà âëàñòü
ìåæäó áîÿðñêèìè
ãðóïïèðîâêàìè
Ñâåðæåíèå ñ
ïðåñòîëà Âàñèëèÿ
Øóéñêîãî
17 èþëÿ 1610 ã.
ÑÅÌÈÁÎßÐÙÈÍÀ
Ñìóòíîå âðåìÿ 73
Äâèæåíèå ïîä ïðåäâîäèòåëüñòâîì Èâàíà Áîëîòíèêîâà
(1606—1607)
Èâàí Áîëîòíèêîâ —
âîåííûé õîëîï êíÿçÿ
À.À. Òåëÿòåâñêîãî
I ýòàï: àâãóñò — äåêàáðü 1606 ã.
ü Ïîáåäà âîññòàâøèõ ïîä
Êðîìàìè è çàõâàò Òóëû,
Êàëóãè, Åëüöà, Êàøèðû
ü Ïîäõîä ê Ìîñêâå è
ïîïûòêè åå øòóðìà
(íîÿáðü — íà÷. äåêàáðÿ)
ü 2 äåêàáðÿ 1606 ã. —
ïîðàæåíèå âîéñê
Áîëîòíèêîâà
ïîä Ìîñêâîé è èõ îòõîä
â Êàëóãó, à çàòåì â Òóëó
II ýòàï: ÿíâàðü — ìàé 1607 ã.
ü Îñàäà ïðàâèòåëüñòâåííûìè
âîéñêàìè Êàëóãè. Óõîä
Áîëîòíèêîâà â Òóëó
III ýòàï: èþíü — îêòÿáðü 1607 ã.
ü Îñàäà âîéñêàìè
Â.È. Øóéñêîãî Òóëû.
Ïëåíåíèå Áîëîòíèêîâà è
«öàðåâè÷à Ïåòðà»
(ñàìîçâàíöà — Èëåéêè
Ìóðîìöà)
Øèðîêîå
ñîöèàëüíîå
äâèæåíèå â
ïîääåðæêó «öàðÿ
Äìèòðèÿ
Èâàíîâè÷à»
(Ëæåäìèòðèÿ)
Ñòðåìëåíèå ê
ïîâûøåíèþ
ñîöèàëüíîãî
ñòàòóñà
ó÷àñòíèêîâ
äâèæåíèÿ
Ñîöèàëüíûé
ñîñòàâ
Ø Êðåñòüÿíå
Ø Õîëîïû
Ø Ñëóæèëûå ëþäè
Ø Êàçàêè
Ø Îòäåëüíûå
áîÿðå —
ïðîòèâíèêè
Øóéñêîãî:
êíÿçüÿ
Ã. Øàõîâñêîé
À. Òåëÿòåâñêèé
È. Ìîññàëüñêèé
Æåñòîêàÿ ðàñïðàâà
ñ âîññòàâøèìè.
6 ÒÛÑß× ÊÀÇÍÅÍÎ.
Áîëîòíèêîâ ñîñëàí íà ñåâåð,
â Êàðãîïîëü, ãäå áûë óòîïëåí
Ïîõîä íà Ìîñêâó è
ðàñïîëîæåíèå ëàãåðåì â ñåëå
Òóøèíî (èþíü 1608 ã.)
Îòêàç Ðå÷è Ïîñïîëèòîé
â óñëîâèÿõ îòêðûòîé
èíòåðâåíöèè îò ïîääåðæêè
Ëæåäìèòðèÿ II
Ðàñïàä «òóøèíñêîãî ëàãåðÿ»
è áåãñòâî ñàìîçâàíöà â Êàëóãó
(äåêàáðü 1609 ã.)
Íîâàÿ ïîïûòêà Ëæåäìèòðèÿ II
âçÿòü Ìîñêâó
(èþíü — àâãóñò 1610 ã.)
Óáèéñòâî Ëæåäìèòðèÿ II íà
îõîòå ïîä Êàëóãîé êíÿçåì
Ï. Óðóñîâûì (íà÷àëüíèêîì
åãî ëè÷íîé îõðàíû)
(11 äåêàáðÿ 1610 ã.)
74 Îòå÷åñòâåííàÿ èñòîðèÿ â ñõåìàõ è òàáëèöàõ
Áîðüáà ñ íîâûì
ñàìîçâàíöåì
Ëæåäìèòðèåì II —
«Òóøèíñêèì âîðîì»
1607—1610 ãã.
Ëæåäìèòðèé II Âàñèëèé
Øóéñêèé
Èþëü 1607 ã. — Ïîÿâëåíèå
â ãîðîäå Ñòàðîäóá íîâîãî
ñàìîçâàíöà — Ëæåäìèòðèÿ II
Îñíîâà âîéñêà: ïîëÿêè è
êàçàêè âî ãëàâå ñ È. Çàðóöêèì
Óñòàíîâëåíèå
ñâîåîáðàçíîãî
äâîåâëàñòèÿ â ñòðàíå
Â. Øóéñêèé çàêëþ÷àåò
ñî Øâåöèåé äîãîâîð î
âîåííîé ïîìîùè
(ôåâðàëü 1609 ã.).
Ðóññêî-øâåäñêèå
îòðÿäû âî ãëàâå
ñ Ì. Ñêîïèíûì-
Øóéñêèì ñíèìàþò
îñàäó ñòîëèöû
Òóøèíî — Ìîñêâà
1608—1609 ãã.
Ñìóòíîå âðåìÿ 75
ÎÒÊÐÛÒÀß ÈÍÒÅÐÂÅÍÖÈß
Ñåìèáîÿðùèíà
ü Ñåíòÿáðü 1609 ã. —
Âòîðæåíèå Ïîëüøè
â Ðîññèþ. Îñàäà
Ñìîëåíñêà (21 ìåñÿö)
ü Èþíü 1610 ã. —
Äâèæåíèå ïîëüñêèõ
âîéñê ê Ìîñêâå.
Ïîðàæåíèå âîéñê
Â.È. Øóéñêîãî ïîä
Ìîæàéñêîì
Ñâåðæåíèå Âàñèëèÿ
Øóéñêîãî ñ ïðåñòîëà
17 èþëÿ 1610 ã.
ü Ñåíòÿáðü 1610 ã. —
Ââîä ïîëüñêèõ âîéñê
â Ìîñêâó ñ ñîãëàñèÿ
Ñåìèáîÿðùèíû
ü Èþíü 1611 ã. —
Ïàäåíèå Ñìîëåíñêà
Ïåðåõîä âëàñòè
ê áîÿðñêîìó
ïðàâèòåëüñòâó
1. Ô.È. Ìñòèñëàâñêèé
2. È.Ì. Âîðîòûíñêèé
3. À.Â. Òðóáåöêîé
4. À.Â. Ãîëèöûí
5. Á.Ì. Ëûêîâ
6. È.Í. Ðîìàíîâ
7. Ô.È. Øåðåìåòåâ
Ïðåäëîæåíèå çàíÿòü ðóññêèé
ïðåñòîë ïîëüñêîìó êîðîëåâè÷ó
Âëàäèñëàâó
1610—1611 ãã.
Îêêóïàöèÿ Øâåöèåé
ñåâåðî-çàïàäà
Ðîññèè è çàõâàò
Íîâãîðîäà
(16 èþíÿ 1611 ã.)
Ïðåòåíçèè øâåäñêîãî ïðèíöà
Êàðëà Ôèëèïïà íà ðóññêèé
ïðåñòîë
Ïåðâîå îïîë÷åíèå (ÿíâàðü — èþëü 1611 ã.)
Ñîñòàâ è ðóêîâîäèòåëè Õðîíèêà ôàêòîâ
Áûâøèå îòðÿäû «òóøèíñêîãî
ëàãåðÿ» âî ãëàâå
ñ Ï.Ï. Ëÿïóíîâûì,
Ä.Ò. Òðóáåöêèì, à òàêæå
êàçàêè È.Ì. Çàðóöêîãî
Ñîçäàëè âðåìåííûé îðãàí
âëàñòè — Ñîâåò âñåÿ çåìëè
Îïîë÷åíèå íà÷àëî ôîðìèðî-
âàòüñÿ íà Ðÿçàíñêîé çåìëå. Â ìàðòå
1611 ã. îñàäèëî Ìîñêâó, çàíÿâ ÷àñòü
ãîðîäà, íî èçãíàòü ïîëÿêîâ íå óäà-
ëîñü.
Âíóòðè îïîë÷åíèÿ âîçíèêëè
ïðîòèâîðå÷èÿ ìåæäó äâîðÿíàìè è
êàçàêàìè. Â ðåçóëüòàòå ðóêîâîäè-
òåëü îïîë÷åíèÿ Ï.Ï. Ëÿïóíîâ
22 èþëÿ 1611 ã. áûë óáèò êàçàêàìè.
Ïåðâîå îïîë÷åíèå ðàñïàëîñü
Âòîðîå îïîë÷åíèå (ñåíòÿáðü 1611 ã. — îêòÿáðü 1612 ã.)
Ñîñòàâ è ðóêîâîäèòåëè Õðîíèêà ôàêòîâ
Çåìñêîå íàðîäíîå îïîë÷åíèå
âî ãëàâå ñ Ä.Ì. Ïîæàðñêèì è
Ê.Ì. Ìèíèíûì
Âîçãëàâèëè íîâûé Ñîâåò âñåÿ
çåìëè
Èíèöèàòîðîì ñîçäàíèÿ îïîë÷åíèÿ
ñòàë çåìñêèé ñòàðîñòà Íèæíåãî
Íîâãîðîäà Ê.Ì. Ìèíèí
Ìàðò 1612 ã. — âûñòóïëåíèå
îïîë÷åíèÿ èç Íèæíåãî Íîâãîðîäà
â ßðîñëàâëü.
Èþëü 1612 ã. — íà÷àëî ïîõîäà
íà Ìîñêâó.
22—24 àâãóñòà 1612 ã. — ðàçãðîì
îïîë÷åíèåì ïîëÿêîâ ãåòìàíà Õîò-
êåâè÷à ó ñòåí Ìîñêâû.
22—26 îêòÿáðÿ 1612 ã. — øòóðì
Êèòàé-ãîðîäà è Êðåìëÿ îáúåäè-
íåííûìè ñèëàìè îïîë÷åíöåâ è
ïðèñîåäèíèâøèõñÿ ê íèì êàçàêîâ
êíÿçÿ Ä.Ò. Òðóáåöêîãî. Êàïèòóëÿ-
öèÿ ïîëüñêîãî ãàðíèçîíà è ïîëíîå
îñâîáîæäåíèå Ìîñêâû
76 Îòå÷åñòâåííàÿ èñòîðèÿ â ñõåìàõ è òàáëèöàõ
ÍÀÐÎÄÍÎÅ ÎÏÎË×ÅÍÈÅ
Ðàçâåðòûâàíèå íàöèîíàëüíî-îñâîáîäèòåëüíîãî
äâèæåíèÿ ïðîòèâ èíòåðâåíòîâ
ÂÎÖÀÐÅÍÈÅ ÄÈÍÀÑÒÈÈ ÐÎÌÀÍÎÂÛÕ.
ÇÀÂÅÐØÅÍÈÅ ÑÌÓÒÛ
1614 ã. 1617 ã. 1618 ã.
Ñìóòíîå âðåìÿ 77
Çåìñêèé
ñîáîð
ÿíâàðü —
ôåâðàëü
1613 ã.
ïðåòåíäåíòû
íà ïðåñòîë
l Â.Â. Ãîëèöûí
l Ä.Ò. Òðóáåöêîé
l Ä.Ì. Âîðîòûíñêèé
l Ä.Ì. Ïîæàðñêèé
l Â.È. Øóéñêèé
l Âëàäèñëàâ
Ïîëüñêèé
l Êàðë Ôèëèïï
øâåäñêèé
l «Âîð¸íîê Èâàøêà»
(ñûí Ëæåäìèòðèÿ II
è Ìàðèíû
Ìíèøåê)
l Ì.Ô. Ðîìàíîâ
Ìèõàèë
Ôåäîðîâè÷
Ðîìàíîâ
21 ôåâðàëÿ
1613 ã.
èçáðàíèå
öàðÿ
Çàâåðøåíèå Ñìóòû è îñâîáîæäåíèå ñòðàíû îò èíòåðâåíòîâ
Ñõâà÷åíû è êàçíåíû
àòàìàí
È.Ì. Çàðóöêèé è
«âîð¸íîê Èâàøêà»
Ñòîëáîâñêèé ìèð ñî
Øâåöèåé.
Ðîññèè âîçâðàùåí
Íîâãîðîä.
Øâåöèÿ ñîõðàíèëà
çà ñîáîé áàëòèéñêîå
ïîáåðåæüå
Âîåííûé ïîõîä
êîðîëåâè÷à
Âëàäèñëàâà íà
Ìîñêâó,
îòðàæåííûé
ðóññêèìè âîéñêàìè.
Äåóëèíñêîå
ïåðåìèðèå ñ
Ïîëüøåé íà 14 1/2
ëåò. Çà Ïîëüøåé
îñòàëèñü Ñìîëåíñê è
×åðíèãîâ
ÐÎÑÑÈß Â XVII â.
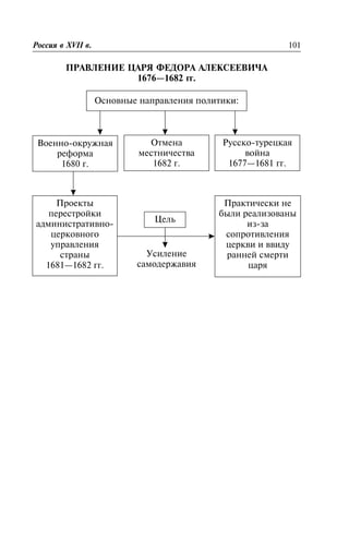
Ðîññèÿ â XVII â.ÐÎÌÀÍÎÂÛ ÍÀ ÐÎÑÑÈÉÑÊÎÌ ÏÐÅÑÒÎËÅ
(1613—1917)
ÌÈÕÀÈË ÔÅÄÎÐÎÂÈ×
1613—1645
|
Ìàðèÿ Ìèëîñëàâñêàÿ ÀËÅÊÑÅÉ ÌÈÕÀÉËÎÂÈ× Íàòàëüÿ Íàðûøêèíà
1645—1676
78 Îòå÷åñòâåííàÿ èñòîðèÿ â ñõåìàõ è òàáëèöàõ
ÔÅÄÎÐ
1676—1682
ÈÂÀÍ V
1682—1696
ÑÎÔÜß
1682—1689
Åâäîêèÿ
Ëîïóõèíà
Àëåêñåé
Ïåòð II
1727—1730
ÏÅÒÐ I
1682—1725
ÅÊÀÒÅÐÈÍÀ I
1725—1727
ÀÍÍÀ
ËÅÎÏÎËÜÄÎÂÍÀ
1740—1741
ÅêàòåðèíàÀÍÍÀ ÈÎÀÍÍÎÂÍÀ
1730—1740
ÈÂÀÍ VI ÀÍÒÎÍÎÂÈ×
1740—1741
Àííà ÅËÈÇÀÂÅÒÀ
1741—1761
ÏÅÒÐ III
1761—1762
ÅÊÀÒÅÐÈÍÀ II
1762—1796
ÏÀÂÅË I
1796—1801
ÀËÅÊÑÀÍÄÐ I
1801—1825
ÍÈÊÎËÀÉ I
1825—1855
ÀËÅÊÑÀÍÄÐ II
1855—1881
ÀËÅÊÑÀÍÄÐ III
1881—1894
ÍÈÊÎËÀÉ II
1894—1917
ÏÐÀÂËÅÍÈÅ ÖÀÐß ÌÈÕÀÈËÀ ÔÅÄÎÐÎÂÈ×À
1613—1645 ãã.
Ðîññèÿ â XVII â. 79
Îñíîâíûå íàïðàâëåíèÿ ïîëèòèêè
Êóðñ
íà ïðèìèðåíèå
â ñòðàíå,
ðàçîðåííîé
â Ñìóòíîå âðåìÿ
Ïðåîäîëåíèå
õîçÿéñòâåííîãî ðàçîðåíèÿ,
âîññòàíîâëåíèå
ãîñóäàðñòâåííîñòè,
óïîðÿäî÷åíèå ñèñòåìû
óïðàâëåíèÿ — ââåäåíèå
âîåâîäñêîãî ïðàâëåíèÿ
íà ìåñòàõ
Ñìîëåíñêàÿ
âîéíà
1632—1634 ãã.
Îïîðà â óïðàâëåíèè ñòðàíîé íà Áîÿðñêóþ äóìó
è Çåìñêèå ñîáîðû
Ñîïðàâëåíèå
ñûíà è îòöà
1619—1633 ãã.
Öàðÿ Ìèõàèëà
Ôåäîðîâè÷à
Ðîìàíîâà
Ïàòðèàðõà Ôèëàðåòà
(â ìèðó Ôåäîðà
Íèêèòè÷à Ðîìàíîâà)
80 Îòå÷åñòâåííàÿ èñòîðèÿ â ñõåìàõ è òàáëèöàõ
ÝÊÎÍÎÌÈ×ÅÑÊÎÅ ÐÀÇÂÈÒÈÅ ÐÎÑÑÈÈ Â XVII â.
ÍÎÂÛÅ ßÂËÅÍÈß Â ÕÎÇßÉÑÒÂÅÍÍÎÉ
ÆÈÇÍÈ
Ïðåîáðàçîâàíèå ðåìåñëà â ìåëêîòîâàðíîå
ïðîèçâîäñòâî
Ðàçâèòèå ñïåöèàëèçàöèè îòäåëüíûõ òåððèòîðèé è
ðîñò òîðãîâîãî îáîðîòà
Âîçíèêíîâåíèå
Öåíòðîâ
õóäîæåñòâåííîãî
ïðîèçâîäñòâà
(Õîõëîìà)
Îáùåðîññèéñêèõ
ÿðìàðîê
(Ìàêàðüåâñêàÿ,
Èðáèòñêàÿ)
Ïîÿâëåíèå ìàíóôàêòóð
Êàçåííûå
Îðóæåéíàÿ ïàëàòà,
Õàìîâíûé äâîð
×àñòíîâëàäåëü÷åñêèå
Ìåòàëëóðãè÷åñêèå
ïðîèçâîäñòâà (Òóëà,
Êàøèðà, Óðàë)
Íà÷àëî ñêëàäûâàíèÿ âñåðîññèéñêîãî ðûíêà
ÏÐÀÂËÅÍÈÅ ÖÀÐß ÀËÅÊÑÅß ÌÈÕÀÉËÎÂÈ×À
1645—1676 ãã.
Ðîññèÿ â XVII â. 81
Îãðàíè÷åíèå
âëàñòè Áîÿðñêîé
äóìû —
ñîçäàíèå
Ïðèêàçà òàéíûõ
äåë (ñ 1654)
Îñíîâíûå íàïðàâëåíèÿ ïîëèòèêè
Ñîáîðíîå
óëîæåíèå
1649 ã.
Ãîñóäàðñòâåííîå
çàêðåïîùåíèå
êðåñòüÿíñòâà
Ðåôîðìû
ïàòðèàðõà
Íèêîíà.
Öåðêîâíûé
ðàñêîë
Âõîæäåíèå
Óêðàèíû
â ñîñòàâ
Ðîññèè
(1654)
Ñîöèàëüíûå
ïîòðÿñåíèÿ
Êàçàöêî-êðåñòüÿíñêàÿ
âîéíà ïîä
ïðåäâîäèòåëüñòâîì
Ñòåïàíà Ðàçèíà
(1670—1671)
Ãîðîäñêèå
âîññòàíèÿ
ü «Ñîëÿíîé
áóíò» (1648)
ü Âîññòàíèå
ïîñàäñêèõ
ëþäåé â
Ïñêîâå è
Íîâãîðîäå
(1650)
ü «Ìåäíûé
áóíò» (1662)
Âíåøíÿÿ
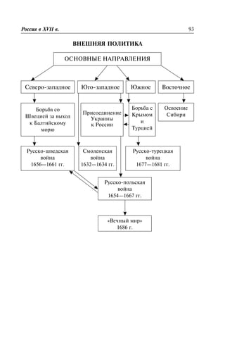
ïîëèòèêà
Âîéíû
ü Ðóññêî-ïîëüñêàÿ
(1654—1667)
ü Ðóññêî-øâåäñêàÿ
(1656—1661)
ÇÀÊÐÅÏÎÙÅÍÈÅ ÐÓÑÑÊÎÃÎ ÊÐÅÑÒÜßÍÑÒÂÀ
82 Îòå÷åñòâåííàÿ èñòîðèÿ â ñõåìàõ è òàáëèöàõ
Ïðè÷èíû
Íèçêàÿ
ïðîèçâîäèòåëüíîñòü
êðåñòüÿíñêèõ õîçÿéñòâ
Ýêîíîìè÷åñêàÿ
çàâèñèìîñòü êðåñòüÿí
îò ôåîäàëîâ
Ïîñòîÿííî âîçíèêàâøèå ðàñõîäû íà ïîääåðæàíèå
îáîðîíîñïîñîáíîñòè ñòðàíû è íåîáõîäèìîñòü óêðåïëåíèÿ
åå îñíîâû — ñëóæèëîãî ñîñëîâèÿ —
ïîìåùèêîâ-çåìëåâëàäåëüöåâ
Íåîáõîäèìîñòü îáåñïå÷åíèÿ ãîñïîäñòâóþùèõ ñëîåâ
áåñïëàòíîé ðàáî÷åé ñèëîé ïóòåì ïðèêðåïëåíèÿ êðåñòüÿí ê
çåìëå è ôåîäàëó
Êðåïîñòíîå ïðàâî — íàèáîëåå òÿæåëàÿ ôîðìà çàâèñèìîñòè
êðåñòüÿí îò ïîìåùèêîâ, âëàñòü êîòîðûõ ðàñïðîñòðàíÿëàñü íà
ëè÷íîñòü, òðóä è èìóùåñòâî ïðèíàäëåæàâøèõ èì êðåñòüÿí
Ðîññèÿ â XVII â. 83
Çàêðåïîùåíèå ðóññêîãî êðåñòüÿíñòâà
Èñòîðè÷åñêèå
êîíöåïöèè
«Áåçóêàçíîå
çàêðåïîùåíèå
êðåñòüÿí»
«Óêàçíîå
çàêðåïîùåíèå
êðåñòüÿí»
Êðåïîñòíîå ïðàâî ââåäåíî ïî
èíèöèàòèâå ãîñóäàðñòâåííîé
âëàñòè, èñõîäÿ èç ïîòðåáíîñòåé
îáîðîíîñïîñîáíîñòè ñòðàíû è äëÿ
îáåñïå÷åíèÿ ñëóæèëîãî ñîñëîâèÿ.
Í.Ì. Êàðàìçèí, Ñ.Ì. Ñîëîâüåâ,
Í.È. Êîñòîìàðîâ, Ñ.Á. Âåñåëîâñêèé,
Á.Ä. Ãðåêîâ, Ð.Ã. Ñêðûííèêîâ è äð.
Êðåïîñòíîå ïðàâî åñòü ñëåäñòâèå
ðåàëüíûõ æèçíåííûõ óñëîâèé
ñòðàíû, îôîðìëåííîå ãîñóäàðñòâîì
ëèøü þðèäè÷åñêè.
Â.Î. Êëþ÷åâñêèé,
Ì.Ï. Ïîãîäèí,
Ì.À. Äüÿêîíîâ
Îñíîâíûå ýòàïû çàêðåïîùåíèÿ ðóññêîãî
êðåñòüÿíñòâà â XVI—XVII ââ.
Óêàç Èâàíà IV Ãðîçíîãî
«Î çàïîâåäíûõ ëåòàõ»
Ââåäåíèå çàïðåòà íà
êðåñòüÿíñêèå ïåðåõîäû â
Þðüåâ äåíü
Óêàç Ôåäîðà Èâàíîâè÷à
«Îá óðî÷íûõ ëåòàõ»
Óñòàíîâëåíèå 5-ëåòíåãî
ãîñóäàðñòâåííîãî ñûñêà áåãëûõ
êðåñòüÿí
1581 ã.
1597 ã.
1637—1641 ãã.
Óêàçû Ìèõàèëà
Ôåäîðîâè÷à
Óâåëè÷åíèå ñðîêà
ãîñóäàðñòâåííîãî ñûñêà äî 9, à
çàòåì äî 15 ëåò
Ñîáîðíîå óëîæåíèå
Àëåêñåÿ Ìèõàéëîâè÷à
1649 ã. Óñòàíîâëåíèå áåññðî÷íîãî
ñûñêà áåãëûõ êðåñòüÿí.
Îêîí÷àòåëüíîå (áåññðî÷íîå),
ïîëíîå (ïîòîìñòâåííîå)
çàêðåïîùåíèå êðåñòüÿí
Îêîí÷àòåëüíîå þðèäè÷åñêîå
îôîðìëåíèå êðåïîñòíîãî ïðàâà
Êîäåêñ îòå÷åñòâåííîãî ôåîäàëüíîãî
ïðàâà, ðåãóëèðîâàâøèé îòíîøåíèÿ
â îñíîâíûõ ñôåðàõ æèçíè
îáùåñòâà
84 Îòå÷åñòâåííàÿ èñòîðèÿ â ñõåìàõ è òàáëèöàõ
ÑÎÁÎÐÍÎÅ ÓËÎÆÅÍÈÅ 1649 ã.
25 ãëàâ
967 ñòàòåé
Ïåðâûé ñâîä
çàêîíîâ,
îòïå÷àòàííûé
òèïîãðàôñêèì
ñïîñîáîì
Îêîí÷àòåëüíîå
þðèäè÷åñêîå
çàêðåïîùåíèå
êðåñòüÿíñòâà
Çàêîíîäàòåëüíîå
çàêðåïëåíèå ïðîöåññà
ñòàíîâëåíèÿ
àáñîëþòíîé ìîíàðõèè
Îôîðìëåíèå
ñîñëîâíîé
ñòðóêòóðû
îáùåñòâà
Ïðèêðåïëåíèå
æèòåëåé ïîñàäà
(ãîðîäà) ê «òÿãëó»
è ìåñòó æèòåëüñòâà
Ãëàâà II
«Î ãîñóäàðüñêîé ÷åñòè
è êàê åãî ãîñóäàðüñêîå
çäîðîâüå îáåðåãàòü»
Ðåãëàìåíòàöèÿ ïðàâ
è îáÿçàííîñòåé âñåõ
ñîñëîâèé
ÇÅÌÑÊÈÅ ÑÎÁÎÐÛ Â XVI—XVII ââ.
1549 ã. Ïåðâûé Çåìñêèé ñîáîð áûë ñîçâàí ïðè Èâàíå
IV Ãðîçíîì è ïîëó÷èë íàçâàíèå «ñîáîð
ïðèìèðåíèÿ», òàê êàê ðàññìàòðèâàë
ïðîáëåìû îòìåíû êîðìëåíèé è ïðåñå÷åíèå
çëîóïîòðåáëåíèé íàìåñòíèêîâ è âîëîñòèòåëåé
1566 ã. Ñîçâàí äëÿ îáñóæäåíèÿ âîïðîñà î
ïðîäîëæåíèè Ëèâîíñêîé âîéíû
1598 ã. Èçáðàíèå íà Çåìñêîì ñîáîðå íîâîãî öàðÿ
Áîðèñà Ãîäóíîâà
1613 ã. Çåìñêèé ñîáîð çàâåðøèë Ñìóòíîå âðåìÿ è
èçáðàë íà öàðñòâî Ìèõàèëà Ôåäîðîâè÷à
Ðîìàíîâà
1613—1622 ãã. Çåìñêèå ñîáîðû çàñåäàþò ïî÷òè íåïðåðûâíî
è ïîìîãàþò Ìèõàèëó Ðîìàíîâó â óïðàâëåíèè
ãîñóäàðñòâîì
1642 ã. Ñîçâàí äëÿ ðåøåíèÿ Àçîâñêîãî âîïðîñà.
Êàçàêè ñàìîñòîÿòåëüíî çàõâàòèëè êðåïîñòü
Àçîâ è ïðåäëîæèëè ïðèíÿòü åå â ñîñòàâ
Ðîññèè, ÷òî ãðîçèëî âîéíîé ñ Òóðöèåé. Ñîáîð
ïîñòàíîâèë âåðíóòü Àçîâ
1648—1649 ãã. Óòâåðæäåíèå íîâîãî ñâîäà çàêîíîâ —
Ñîáîðíîãî óëîæåíèÿ Àëåêñåÿ Ìèõàéëîâè÷à
1653 ã. Ðåøåíèå Çåìñêîãî ñîáîðà î âîññîåäèíåíèè
Óêðàèíû ñ Ðîññèåé
1682—1684 ãã. Óãàñàíèå çåìñêîé äåÿòåëüíîñòè. Áîðüáà çà
âëàñòü è ìíîãî÷èñëåííûå ñîñëîâíûå
ñîâåùàíèÿ ïî ðàçíûì âîïðîñàì, êîòîðûå
íåêîòîðûå èññëåäîâàòåëè ñ÷èòàþò Çåìñêèìè
ñîáîðàìè
!
Ñ ýâîëþöèåé ãîñóäàðñòâåííîãî ñòðîÿ
Ðîññèè îò ñîñëîâíî-ïðåäñòàâèòåëüñêîé
ìîíàðõèè ê àáñîëþòèçìó Çåìñêèå ñîáîðû
ïðåêðàùàþò ñâîþ äåÿòåëüíîñòü
!
Ðîññèÿ â XVII â. 85
Çåìñêèå ñîáîðû â XVI—XVII ââ.ÂÛÑØÈÅ ÑÎÑËÎÂÍÎ-ÏÐÅÄÑÒÀÂÈÒÅËÜÍÛÅ
Ó×ÐÅÆÄÅÍÈß
86 Îòå÷åñòâåííàÿ èñòîðèÿ â ñõåìàõ è òàáëèöàõ
Ñîñòàâ Çåìñêèõ ñîáîðîâ: 300—400 ÷åë.
Öàðü
Çåìñêèé ñîáîð
«Îñâÿùåííûé ñîáîð»
(âûñøåå äóõîâåíñòâî)
Áîÿðñêàÿ äóìà
Âûáîðíàÿ êóðèÿ (÷àñòü)
ÌîñêîâñêèåäâîðÿíåÃîñóäàðåâàäâîðà
Ìîñêîâñêàÿïðèêàçíàÿàäìèíèñòðàöèÿ
Âûáîðíîåèãîðîäîâîåóåçäíîå
äâîðÿíñòâî
Ìîñêîâñêàÿãîñòèíàÿèñóêîííàÿñîòíè
Òîðãîâî-ðåìåñëåííûåëþäèòÿãëûõ
ñëîáîäÌîñêîâñêîãîïîñàäà
«Ñëóæèëûåëþäèïîïðèáîðó»—êàçàêè,
ñòðåëüöû,ãîñóäàðñòâåííûåêðåñòüÿíå
(òîëüêîíàÑîáîðå1613ã.)
ÃÎÑÓÄÀÐÑÒÂÅÍÍÎÅ ÓÏÐÀÂËÅÍÈÅ
Ïîñòîÿííûå
Ðîññèÿ â XVII â. 87
Öàðü
Çåìñêèå
ñîáîðû
Ïàòðèàðõ
Ïàòðèàðøèå
ïðèêàçûÁîÿðñêàÿ
äóìà
ÏÐÈÊÀÇÛ
Ñ÷åòíûé
Òàéíûõ äåëÂðåìåííûå
Ðàçðÿäíûé Ïóøêàðñêèé Êàçåííûé Ñòðåëåöêèé
Ïîìåñòíûé Ïîñîëüñêèé
Ìåñòíîå óïðàâëåíèå
Ñòàðîñòû
Âîåâîäû
Ãóáíûå Çåìñêèå
Ïðèêàçíàÿ (ñúåçæàÿ) èçáà
Ãîëîâû
(îñàäíûå, îáúåçæèå,
êàáàöêèå è äð.)
ÑÎÖÈÀËÜÍÎ-ÑÎÑËÎÂÍÀß ÑÒÐÓÊÒÓÐÀ ÐÎÑÑÈÉÑÊÎÃÎ
ÎÁÙÅÑÒÂÀ Â XVII â.
I. Ïðèâèëåãèðîâàííûå ñîñëîâèÿ
II. Çàâèñèìûå ñîñëîâèÿ
88 Îòå÷åñòâåííàÿ èñòîðèÿ â ñõåìàõ è òàáëèöàõ
Ôåîäàëû
Ñâåòñêèå
«Äóìíûå ÷èíû» —
áîÿðå, îêîëüíè÷üè,
äóìíûå äâîðÿíå è
äüÿêè
«×èíû
ãîðîäîâûå» —
ïðîâèíöèàëüíûå
äâîðÿíå — äåòè
áîÿðñêèå
«×èíû
ìîñêîâñêèå» —
ñòîëüíèêè,
ñòðÿï÷èå,
ìîñêîâñêèå
äâîðÿíå
Äóõîâíûå
Äóõîâåíñòâî
Êðåñòüÿíå
«Òÿãëûå ëþäè»
×àñòíîâëàäåëü÷åñêèå,
ïîìåùè÷üè, êðåïîñòíûå
Óäåëüíûå è äâîðöîâûå,
ïðèíàäëåæàùèå öàðñêîé
ñåìüå
×åðíîñîøíûå,
íåêðåïîñòíûå,
ñâîáîäíûå îáùèííèêè
Æèòåëè ïîñàäà
Ðåìåñëåííèêè
Êóïöû
1. Ñóêîííàÿ ñîòíÿ
2. Ãîñòèíàÿ ñîòíÿ
Õîëîïû
Ïîëíûå
Êàáàëüíûå
«Ñëóæèëûå ëþäè
ïî ïðèáîðó»
1. Ñòðåëüöû
2. Êàçàêè
3. Ïóøêàðè
Ñîñëîâèå — ñîöèàëüíàÿ
ãðóïïà, îáëàäàþùàÿ
çàêðåïëåííûìè â îáû÷àå
èëè çàêîíå è ïåðåäàâàåìûìè
ïî íàñëåäñòâó ïðàâàìè è
îáÿçàííîñòÿìè
ÖÅÐÊÎÂÍÛÉ ÐÀÑÊÎË
Ðîññèÿ â XVII â. 89
Ðåôîðìû
ïàòðèàðõà Íèêîíà
Òåîðèÿ
«Ìîñêâà —
òðåòèé Ðèì»
Èñïðàâëåíèå
áîãîñëóæåáíûõ êíèã
ïî ãðå÷åñêèì
îáðàçöàì
Èçìåíåíèå îáðÿäíîñòè
Ðóññêîé ïðàâîñëàâíîé öåðêâè
Ââåäåíèå òðîåïåðñòèÿ ïðè
êðåñòíîì çíàìåíèè
Ðàñêîë
Îôèöèàëüíàÿ
Ïðàâîñëàâíàÿ
öåðêîâü
Öåðêîâíûé
ñîáîð
1666—1667 ãã.,
íà÷àëî ðàñêîëà
Ñòàðîîáðÿä÷åñòâî
Àââàêóì Ñîëîâåöêîå
âîññòàíèå
1668—1676 ãã.
ÏÐÈ×ÈÍÛ
1. Ïðîòèâîðå÷èÿ â
öåðêîâíîé ñðåäå
2. Ïñèõîëîãè÷åñêàÿ
íåãîòîâíîñòü
÷àñòè âåðóþùèõ
ê âîñïðèÿòèþ
ðåëèãèîçíûõ
íîâøåñòâ
1. Çàêðåïîùåíèå êðåñòüÿí è ðîñò èõ ïîâèííîñòåé
2. Óñèëåíèå íàëîãîâîãî ãíåòà
3. Ïîïûòêà îãðàíè÷åíèÿ êàçà÷üåé âîëüíîñòè
4. Öåðêîâíûé ðàñêîë è ïðåñëåäîâàíèå ñòàðîîáðÿäöåâ
90 Îòå÷åñòâåííàÿ èñòîðèÿ â ñõåìàõ è òàáëèöàõ
ÍÀÐÎÄÍÛÅ ÂÎÑÑÒÀÍÈß
Áóíòàøíûé âåê
Îñíîâíûå ïðè÷èíû
Ãîðîäñêèå
âîññòàíèÿ
«Ñîëÿíîé áóíò»
1648 ã.
Ïñêîâ, Íîâãîðîä
1650 ã.
«Ìåäíûé áóíò»
1662 ã.
Êàçàöêî-êðåñòüÿíñêîå âîññòàíèå
ïîä ïðåäâîäèòåëüñòâîì Ñòåïàíà Ðàçèíà
1667—1671 ãã.
ÃÎÐÎÄÑÊÈÅ ÂÎÑÑÒÀÍÈß
Ðîññèÿ â XVII â. 91
1—10 èþíÿ 1648 ã. «Ñîëÿíîé áóíò» â Ìîñêâå
Íàðîäíîå âîçìóùåíèå ïîëèòèêîé öàðñêîãî ïðàâèòåëüñòâà âî ãëàâå
ñ Á.È. Ìîðîçîâûì, êîòîðîå â 1646 ã. ââåëî íàëîã íà ñîëü, íî èç-çà ìàññîâûõ
ïðîòåñòîâ îí áûë îòìåíåí â ôåâðàëå 1647 ã.
 1648 ã. ïðàâèòåëüñòâî ðåøèëî âçûñêàòü çà 2 ãîäà íåäîèìîê ñ íàñåëåíèÿ (òàê
íàçûâàåìûå ñòðåëåöêèå è ÿìñêèå äåíüãè), ÷òî è âûçâàëî ñîöèàëüíûé âçðûâ â
ñòîëèöå. Ïîñëåäîâàë ðàçãðîì äâîðîâ ìîñêîâñêîé çíàòè, óáèéñòâî
âîññòàâøèìè ãëàâ Çåìñêîãî ïðèêàçà (Ë. Ïëåùååâà) è Ïóøêàðñêîãî ïðèêàçà
(Ï. Òðàõàíèîòîâà), äüÿêà Í. ×èñòîãî. Âëàñòè ïîøëè íà óñòóïêè:
ó÷àñòâîâàâøèì â âîññòàíèè ñòðåëüöàì âîçâðàòèëè ïî 8 ðóáëåé, áûëî ïðèíÿòî
ðåøåíèå î ñîçûâå Çåìñêîãî ñîáîðà äëÿ ñîñòàâëåíèÿ íîâîãî óëîæåíèÿ
Âîññòàíèÿ
 Ïñêîâå (ôåâð. — àâã. 1650 ã.) è â Íîâãîðîäå (ìàðò — àïðåëü 1650 ã.)
Íàðîäíîå íåäîâîëüñòâî ðîñòîì öåí íà õëåá è ïåðåäà÷åé õëåáíûõ
çàïàñîâ Øâåöèè â êà÷åñòâå êîìïåíñàöèè çà óõîä íàñåëåíèÿ ñ
îòîøåäøèõ Øâåöèè ðóññêèõ çåìåëü. Ïåðåõîä âëàñòè â ãîðîäàõ îò
öàðñêèõ íàìåñòíèêîâ ê çåìñêèì ñòàðîñòàì
Íîâãîðîäöû íå
ïðîÿâèëè ñòîéêîãî
ñîïðîòèâëåíèÿ,
îòêðûëè âîðîòà
ãîðîäà. Èíèöèàòîðû
âîññòàíèÿ áûëè
çàêëþ÷åíû ïîä
ñòðàæó
Óñìèðåíèå âîññòàíèé
öàðñêèìè âîéñêàìè
âî ãëàâå ñ êíÿçåì
È.Í. Õîâàíñêèì
Ïñêîâ. Òðåõìåñÿ÷íàÿ
îáîðîíà ãîðîäà.
Ïðåêðàùåíèå
ñîïðîòèâëåíèÿ ïîñëå
ïåðåãîâîðîâ
ñ äåëåãàöèåé
Çåìñêîãî
ñîáîðà
25—26 èþëÿ 1662 ã. — «Ìåäíûé áóíò» â Ìîñêâå
Ïîâîäîì ê âîññòàíèþ ïîñëóæèëà äåíåæíàÿ ðåôîðìà 1654 ã. — ââåäåíèå
ìåäíûõ äåíåã, ïðèðàâíåííûõ ê ñåðåáðÿíûì. Ñ òå÷åíèåì âðåìåíè ýòî
ïðèâåëî ê ñåðüåçíîìó èõ îáåñöåíèâàíèþ, ÷òî ðåçêî ñíèçèëî ïîêóïàòåëüíóþ
ñïîñîáíîñòü íàñåëåíèÿ.
Ïî Ìîñêâå áûëè ðàñêëååíû ïðîêëàìàöèè («âîðîâñêèå ïèñüìà»), â êîòîðûõ
áëèçêèå ê öàðþ ëþäè: áîÿðå È.Ä. è È.Ì. Ìèëîñëàâñêèå, îêîëüíè÷èé Ô.È.
Ðòèùåâ, êóïåö Â. Øîðèí — îáâèíÿëèñü â ñãîâîðå ñ ïîëÿêàìè ïî ÷åêàíêå
ìåäíûõ äåíåã ñ öåëüþ ðàçîðåíèÿ Ðîññèè.
Òîëïà äâèíóëàñü â Êîëîìåíñêîå, ãäå íàõîäèëñÿ öàðü Àëåêñåé Ìèõàéëîâè÷,
âñòóïèâøèé â ïåðåãîâîðû ñ âîññòàâøèìè. Íî çàòåì áûëè âûçâàíû âåðíûå
öàðþ ñòðåëåöêèå ïîëêè, ïîäàâèâøèå âûñòóïëåíèå æèòåëåé Ìîñêîâñêîãî
ïîñàäà. Ìíîãèå ëþäà áûëè ñõâà÷åíû è êàçíåíû
 1663 ã. âûïóñê ìåäíûõ äåíåã áûë ïðåêðàùåí
ÊÀÇÀÖÊÎ-ÊÐÅÑÒÜßÍÑÊÎÅ ÂÎÑÑÒÀÍÈÅ
ÏÎÄ ÏÐÅÄÂÎÄÈÒÅËÜÑÒÂÎÌ ÑÒÅÏÀÍÀ ÐÀÇÈÍÀ
1667—1671 ãã.
I ýòàï
1667—1669 ãã.
«Ïîõîä çà çèïóíàìè»
Ïîõîä êàçàêîâ è áåãëûõ êðåñòüÿí
âî ãëàâå ñ Ðàçèíûì ñ Äîíà íà
Âîëãó è Êàñïèéñêîå ìîðå.
Çàõâàò òîðãîâûõ êàðàâàíîâ
ðóññêèõ è ïåðñèäñêèõ êóïöîâ.
Ïîõîä íà âîñòî÷íîå ïîáåðåæüå
Êàñïèéñêîãî ìîðÿ. Ïîáåäà íàä
ôëîòîì ïåðñèäñêîãî õàíà.
Âîçâðàò íà Äîí ñ áîãàòîé
äîáû÷åé
II ýòàï
1670—1671 ãã.
Àíòèêðåïîñòíè÷åñêîå
âûñòóïëåíèå
ÖÅËÈ
— çàõâàò Ìîñêâû
— óíè÷òîæåíèå áîÿð è äâîðÿí
— ëèêâèäàöèÿ êðåïîñòíîãî ïðàâà
— óñòàíîâëåíèå êàçàöêîãî óêëàäà
æèçíè ïî âñåé ñòðàíå
Àïðåëü — èþëü 1670 ã. — ïîõîä
Ðàçèíà íà Âîëãó. Âçÿòèå
êàçàêàìè Öàðèöûíà,
Êàìûøèíà è ×åðíîãî ßðà.
Øòóðì è îâëàäåíèå Àñòðàõàíüþ
(22 èþíÿ). Êàçíü âîññòàâøèìè
âîåâîäû È.Ñ. Ïðîçîðîâñêîãî è
500 äâîðÿí è ïðèêàçíûõ.
Ðàñïðîñòðàíåíèå âîññòàíèÿ íà
Ïîâîëæüå.
Àâãóñò — ñåíòÿáðü 1670 ã. —
äâèæåíèå âîññòàâøèõ èç
Àñòðàõàíè ââåðõ ïî Âîëãå.
Âçÿòèå áåç áîÿ Ñàðàòîâà è
Ñàìàðû.
Îñàäà ïîâñòàíöàìè Ñèìáèðñêà,
ãäå ðàçâåðíóëèñü ðåøàþùèå
ñðàæåíèÿ. Ïîðàæåíèå
Ñ. Ðàçèíà (1 îêòÿáðÿ 1670 ã.) è
óõîä åãî ñ îòðÿäîì êàçàêîâ íà
Äîí.
14 àïðåëÿ 1671 ã. — çàõâàò
Ñ. Ðàçèíà êàçàöêîé ñòàðøèíîé
è âûäà÷à åãî öàðñêèì âëàñòÿì.
6 èþíÿ 1671 ã. — êàçíü Ñ. Ðàçèíà
â Ìîñêâå
92 Îòå÷åñòâåííàÿ èñòîðèÿ â ñõåìàõ è òàáëèöàõ
ÂÍÅØÍßß ÏÎËÈÒÈÊÀ
Âíåøíÿÿ ïîëèòèêà
Ðîññèÿ â XVII â. 93
ÎÑÍÎÂÍÛÅ ÍÀÏÐÀÂËÅÍÈß
Ñåâåðî-çàïàäíîå Þãî-çàïàäíîå Þæíîå Âîñòî÷íîå
Áîðüáà ñî
Øâåöèåé çà âûõîä
ê Áàëòèéñêîìó
ìîðþ
Ïðèñîåäèíåíèå
Óêðàèíû
ê Ðîññèè
Áîðüáà ñ
Êðûìîì
è
Òóðöèåé
Îñâîåíèå
Ñèáèðè
Ðóññêî-øâåäñêàÿ
âîéíà
1656—1661 ãã.
Ñìîëåíñêàÿ
âîéíà
1632—1634 ãã.
Ðóññêî-òóðåöêàÿ
âîéíà
1677—1681 ãã.
Ðóññêî-ïîëüñêàÿ
âîéíà
1654—1667 ãã.
«Âå÷íûé ìèð»
1686 ã.
94 Îòå÷åñòâåííàÿ èñòîðèÿ â ñõåìàõ è òàáëèöàõ
ÞÃÎ-ÇÀÏÀÄÍÎÅ ÍÀÏÐÀÂËÅÍÈÅ
ÂÍÅØÍÅÉ ÏÎËÈÒÈÊÈ
Ñìîëåíñêàÿ âîéíà
1632—1634 ãã.
Ïîïûòêà Ðîññèè âåðíóòü ðóññêèå çåìëè (ïðåæäå âñåãî
Ñìîëåíñê), çàõâà÷åííûå Ïîëüøåé â ïåðèîä Ñìóòíîãî âðåìåíè
Õîä âîéíû
ü Â äåêàáðå 1632 ã. ðóññêèå âîéñêà ïîä êîìàíäîâàíèåì
áîÿðèíà Ì.Á. Øåèíà íà÷àëè 8-ìåñÿ÷íóþ îñàäó Ñìîëåíñêà,
íî âçÿòü ãîðîä íå óäàëîñü
ü Â àâãóñòå 1633 ã. ê Ñìîëåíñêó ïîäîøëè îñíîâíûå ñèëû
ïîëüñêîé àðìèè âî ãëàâå ñ íîâûì êîðîëåì Âëàäèñëàâîì, è
ðóññêèå âîéñêà ïîïàëè â îêðóæåíèå
ü Â ôåâðàëå 1634 ã. ðóññêèå âîéñêà, íå äîæäàâøèñü ïîìîùè
èç Ìîñêâû, êàïèòóëèðîâàëè, îñòàâèâ ïîëÿêàì âñþ
àðòèëëåðèþ è çíàìåíà. Ïîçæå êîìàíäóþùèé ðóññêîé
àðìèåé Ì.Á. Øåèí áûë îáâèíåí â èçìåíå è êàçíåí
ü Ëèêâèäèðîâàâ îñíîâíûå ðóññêèå ñèëû ïîä Ñìîëåíñêîì,
Âëàäèñëàâ äâèíóëñÿ â ïîõîä äà Ìîñêâó. Íî íà åãî ïóòè
âñòàëà íåáîëüøàÿ êðåïîñòü Áåëàÿ, óïîðíàÿ îáîðîíà
êîòîðîé â ôåâðàëå — ìàðòå 1634 ã. îñòàíîâèëà ïîëüñêîå
íàñòóïëåíèå. Íà÷àëèñü ìèðíûå ïåðåãîâîðû
ü Â èþíå 1634 ã. áûë ïîäïèñàí Ïîëÿíîâñêèé (áëèç ðåêè
Ïîëÿíîâêà) ìèðíûé äîãîâîð, â ñîîòâåòñòâèè ñ êîòîðûì
Ïîëüøà ñîõðàíÿëà çà ñîáîé Ñìîëåíñêèå çåìëè, íî
Âëàäèñëàâ îòêàçûâàëñÿ îò ïðèòÿçàíèé íà ìîñêîâñêèé
ïðåñòîë è ïðèçíàâàë Ìèõàèëà Ôåäîðîâè÷à Ðîìàíîâà
çàêîííûì öàðåì
ÂÕÎÆÄÅÍÈÅ ÓÊÐÀÈÍÛ Â ÑÎÑÒÀÂ ÐÎÑÑÈÈ
I.
I ýòàï. 1648—1649 ãã.
Íàðîäû, ïðîæèâàâøèå íà òåððèòîðèÿõ, âõîäèâøèõ ðàíåå â
Äðåâíåðóññêîå ãîñóäàðñòâî, èñïûòûâàëè â Ðå÷è Ïîñïîëèòîé
ñîöèàëüíîå, íàöèîíàëüíîå è ðåëèãèîçíîå óãíåòåíèå.
 1648 ã. êàçàêè âî ãëàâå ñ Á. Õìåëüíèöêèì íà÷àëè îñâîáîäèòåëüíóþ
áîðüáó ñ Ïîëüøåé, â êîòîðîé ïðèíèìàëè ó÷àñòèå óêðàèíñêèå è
áåëîðóññêèå êðåñòüÿíå. Êàçàêè â 1648 ã. äîáèëèñü ðÿäà
âïå÷àòëÿþùèõ ïîáåä (ïîä Êîðñóíåì, Ïèëÿâöàìè) è çàíÿëè Êèåâ.
Èòîãîì ýòîãî ýòàïà ñòàëî çàêëþ÷åíèå â àâãóñòå 1649 ã. Çáðîâñêîãî
ìèðíîãî äîãîâîðà ñ Ïîëüøåé, ïî êîòîðîìó êàçàêè ïîëó÷àëè
ñàìîñòîÿòåëüíîå ãîñóäàðñòâåííîå óïðàâëåíèå âî ãëàâå ñ ãåòìàíîì
Á. Õìåëüíèöêèì â Êèåâñêîì, ×åðíèãîâñêîì è Âðîöëàâñêîì
âîåâîäñòâàõ
II ýòàï. 1650—1651 ãã.
Ìèð îêàçàëñÿ íåïðî÷íûì, è âîåííûå äåéñòâèÿ âîçîáíîâèëèñü, íî
îêàçàëèñü íåóäà÷íûìè äëÿ êàçàêîâ Á. Õìåëüíèöêîãî. Îíè ïîòåðïåëè
â èþíå 1651 ã. òÿæåëîå ïîðàæåíèå ïîä Áåðåñòå÷êîì è áûëè
âûíóæäåíû çàêëþ÷èòü â äåêàáðå 1651 ã. íîâûé ìèðíûé äîãîâîð â
Áåëîé Öåðêâè, ïî êîòîðîìó âëàñòü ãåòìàíà ñîõðàíÿëàñü òîëüêî â
Êèåâå
III ýòàï. 1653—1654 ãã.
Á. Õìåëüíèöêèé, ïîíèìàÿ, ÷òî êàçàêàì ñàìîñòîÿòåëüíî íå ñïðàâèòüñÿ
ñ Ïîëüøåé, îáðàòèëñÿ ê ïðàâèòåëüñòâó Ðîññèè ñ ïðîñüáîé ïðèíÿòü
Óêðàèíó â åå ñîñòàâ.
1 îêòÿáðÿ 1653 ã. — Çåìñêèé ñîáîð ïðèíÿë ðåøåíèå î âêëþ÷åíèè
Óêðàèíû â ñîñòàâ Ðîññèè è îá îáúÿâëåíèè âîéíû Ïîëüøå.
8 ÿíâàðÿ 1654 ã. — â ãîðîäå Ïåðåÿñëàâëå Ñîâåò (Ðàäà), íà êîòîðîì
ñîáðàëèñü âûáîðíûå ïðåäñòàâèòåëè îò âñåõ ñîñëîâèé óêðàèíñêîãî
íàñåëåíèÿ, åäèíîäóøíî âûñêàçàëñÿ çà âõîæäåíèå Óêðàèíû â ñîñòàâ
Ðîññèè
Ðîññèÿ â XVII â. 95
Îñâîáîäèòåëüíàÿ âîéíà óêðàèíñêîãî íàðîäà ñ Ðå÷üþ
Ïîñïîëèòîé çà ñîçäàíèå óêðàèíñêîé
ãîñóäàðñòâåííîñòè
II.
Çàêëþ÷åíèå «Âå÷íîãî ìèðà» â Ìîñêâå
Ïåðåõîä îò êîíôðîíòàöèè ê ìèðíûì ñîþçíè÷åñêèì îòíîøåíèÿì
ìåæäó Ðîññèåé è Ïîëüøåé
96 Îòå÷åñòâåííàÿ èñòîðèÿ â ñõåìàõ è òàáëèöàõ
ÐÓÑÑÊÎ-ÏÎËÜÑÊÀß ÂÎÉÍÀ
1654—1667 ãã.
Ñëåäñòâèå âõîæäåíèÿ Óêðàèíû
â ñîñòàâ Ðîññèè
Êàìïàíèÿ 1657—1662 ãã.
ü  1657 ã. óìåð Á. Õìåëüíèöêèé, à íîâûé ãåòìàí È. Âûãîâñêèé çàêëþ÷èë
ñîþç ñ Ïîëüøåé. Ýòî ñïîñîáñòâîâàëî âîçîáíîâëåíèþ ðóññêî-ïîëüñêîé
âîéíû, êîòîðàÿ ïðèíÿëà çàòÿæíîé õàðàêòåð
ü Â 1659 ã. êàçàêè ñâåðãëè ãåòìàíà È. Âûãîâñêîãî è âíîâü ïîäòâåðäèëè ïðè-
ñÿãó ìîñêîâñêîìó öàðþ. Ãåòìàíîì ñòàë ñûí Õìåëüíèöêîãî — Þðèé
ü Â 1660—1662 ãã. ðÿä ñóùåñòâåííûõ ïîðàæåíèé òåðïèò ðóññêàÿ àðìèÿ — ó
Ãóáàðåâî è ×óäíîâà (1660), ïðè Êóøëèêàõ (1661), ïîëÿêè çàõâàòûâàþò
Âèëüíî (1662). Ïîòåðÿ Ðîññèåé ðàíåå çàõâà÷åííûõ òåððèòîðèé Ëèòâû è Áå-
ëîðóññèè
Êàìïàíèÿ 1654—1656 ãã.
ü 1654 ã. — Âçÿòèå ðóññêèìè âîéñêàìè Ñìîëåíñêà, Ïîëîöêà è Âèòåáñêà
ü 1655 ã. — Óñïåõè ðóññêî-óêðàèíñêèõ âîéñê — çàõâàò ãîðîäîâ Ìèíñê è Âèëüíî
ü 1656 ã. — Çàêëþ÷åíèå ïåðåìèðèÿ ìåæäó Ðîññèåé è Ïîëüøåé ââèäó âîåííîé
óãðîçû îáåèì ñòðàíàì ñî ñòîðîíû Øâåöèè
Êàìïàíèÿ 1663—1667 ãã.
ü 1663—1664 ãã. — Ðóññêî-ïîëüñêèå ñðàæåíèÿ ñ ïåðåìåííûì óñïåõîì íà ïðà-
âîáåðåæíîé Óêðàèíå
ü 1665 ã. — Ïîáåäû ðóññêî-óêðàèíñêèõ âîéñê ïîä Êîðñóíåì è Áåëîé Öåðêî-
âüþ
ü 1666 ã. — Íà÷àëî ðóññêî-ïîëüñêèõ ïåðåãîâîðîâ î ìèðå
ü ßíâàðü 1667 ã. — Ïîäïèñàíèå Àíäðóñîâñêîãî (áëèç Ñìîëåíñêà) ïåðåìèðèÿ
ìåæäó Ðîññèåé è Ïîëüøåé íà 13 ëåò, â ñîîòâåòñòâèè ñ êîòîðûì:
Ðîññèÿ ïîëó÷àëà Ñìîëåíñêóþ è ×åðíèãîâñêî-Ñåâåðñêóþ çåìëè, óòðà÷åííûå
â Ñìóòíîå âðåìÿ, à òàêæå Ëåâîáåðåæíóþ Óêðàèíó ñ Êèåâîì
1686 ã.
Õîä âîéíû
ü 1656 ã. — Óñïåøíûå âîåííûå äåéñòâèÿ ðóññêèõ âîéñê â
Ïðèáàëòèêå — âçÿòèå êðåïîñòåé Íîòåáóðã (Îðåøåê),
Íèåíøàíö, Äèíàáóðã (Äàóãàâïèëñ), Äåðïò (Òàðòó)
ü Àâãóñò — îêòÿáðü 1656 ã. — Íåóäà÷íàÿ îñàäà Ðèãè
ü 1657 ã. — Âûòåñíåíèå øâåäàìè ðóññêèõ âîéñê èç
Êàðåëèè è Ëèâîíèè
ü 1658 ã. — Çàõâàò ðóññêîé àðìèåé ßìáóðãà è íåóäà÷à ñ
îñàäîé Íàðâû. Çàêëþ÷åíèå â Âàëøëåñàðå ïåðåìèðèÿ íà
3 ãîäà
Ðîññèÿ â XVII â. 97
Ïðè÷èíû
ü Ñòðåìëåíèå Ðîññèè îâëàäåòü ïðèáàëòèéñêèìè
çåìëÿìè è ïîëó÷èòü âûõîä â Áàëòèéñêîå ìîðå
ü Ïðîòèâîäåéñòâèå øâåäñêîé ýêñïàíñèè
â Ïîëüøå, Ëèòâå è Óêðàèíå
ÐÓÑÑÊÎ-ØÂÅÄÑÊÀß ÂÎÉÍÀ
1656—1661 ãã.
1661 ã. — Êàðäèññêèé ìèðíûé äîãîâîð. Ðîññèÿ îòêàçûâàëàñü
îò çåìåëü, çàâîåâàííûõ â Ïðèáàëòèêå ðàíåå â ýòîé âîéíå
ÑÅÂÅÐÎ-ÇÀÏÀÄÍÎÅ ÍÀÏÐÀÂËÅÍÈÅ
ÂÍÅØÍÅÉ ÏÎËÈÒÈÊÈ
ÞÆÍÎÅ ÍÀÏÐÀÂËÅÍÈÅ
ÂÍÅØÍÅÉ ÏÎËÈÒÈÊÈ
98 Îòå÷åñòâåííàÿ èñòîðèÿ â ñõåìàõ è òàáëèöàõ
Áîðüáà ñ Êðûìîì è Òóðöèåé
Íàïðÿæåííûå
îòíîøåíèÿ Ðîññèè è
Êðûìñêîãî õàíñòâà
Êðûìñêîå õàíñòâî —
âàññàë Îñìàíñêîé
èìïåðèè
Ïîìèíêè —
äàíü Ðîññèè
Êðûìó
Íàáåãè íà
ðóññêèå
çåìëè
Ñòðîèòåëüñòâî Ðîññèåé
çàñå÷íîé ÷åðòû íà þæíûõ
ðóáåæàõ äëÿ îáîðîíû îò
íàáåãîâ êðûìñêèõ òàòàð
Çàñå÷íàÿ ÷åðòà — ñèñòåìà
íåïðåðûâíûõ óêðåïëåíèé —
ãîðîäêîâ è ãîðîäîâ
Îáåñïå÷åíèå
áåçîïàñíîñòè
«Ñïîëçàíèå»
ãðàíèö íà þã
Âêëþ÷åíèå â
õîçÿéñòâåííûé îáîðîò
çåìåëü «Äèêîãî ïîëÿ»
ÐÓÑÑÊÎ-ÒÓÐÅÖÊÀß ÂÎÉÍÀ
1677—1681 ãã.
Âîåííûå äåéñòâèÿ çà êîíòðîëü íàä Þæíîé Óêðàèíîé
l  1676 ã. ðóññêèå âîéñêà çàõâàòèëè êðåïîñòü ×èãèðèí è
ïëåíèëè îñìàíñêîãî ñòàâëåííèêà — ãåòìàíà Ïåòðà
Äîðîøåíêî
1. Àâãóñò 1677 ã. — Ñòîéêàÿ îáîðîíà ðóññêî-óêðàèíñêèì
ãàðíèçîíîì êðåïîñòè ×èãèðèí è ðàçãðîì ðóññêî-
óêðàèíñêîé àðìèåé ïîä êîìàíäîâàíèåì Ãðèãîðèÿ
Ðîìàäàíîâñêîãî è ãåòìàíà Èâàíà Ñàìîéëîâè÷à
2. Èþëü — àâãóñò 1678 ã. — Íîâîå ðóññêî-óêðàèíñêî-
òóðåöêîå ñðàæåíèå çà ×èãèðèí. Ðàçîðåíèå ãîðîäà òóðêàìè
è îòõîä ðóññêèõ âîéñê
Ïðåêðàùåíèå àêòèâíûõ áîåâûõ äåéñòâèé è íà÷àëî
ñ 1679 ã. ìèðíûõ ïåðåãîâîðîâ
ßíâàðü 1681 ã. — çàêëþ÷åíèå Áàõ÷èñàðàéñêîãî ìèðíîãî
äîãîâîðà
Óñëîâèÿ:
l Òóðöèÿ è Êðûì ïðèçíàâàëè âõîæäåíèå Ëåâîáåðåæíîé
Óêðàèíû ñ Êèåâîì â ñîñòàâ Ðîññèè
l Ïðàâîáåðåæíàÿ Óêðàèíà îñòàâàëàñü çà Îñìàíñêîé
èìïåðèåé
Ðîññèÿ â XVII â. 99
Ðóññêèå ïåðâîïðîõîäöû Ñèáèðè
ü Ñåìåí Äåæíåâ (1605—1673) — ñîâåðøèë êðóïíîå
ãåîãðàôè÷åñêîå îòêðûòèå: â 1648 ã. îñóùåñòâèë ïëàâàíèå
âäîëü ×óêîòñêîãî ïîëóîñòðîâà è îòêðûë ïðîëèâ,
îòäåëÿþùèé Àçèþ îò Ñåâåðíîé Àìåðèêè
ü Âàñèëèé Ïîÿðêîâ — â 1643—1646 ãã. âî ãëàâå îòðÿäà êàçàêîâ
ïðîøåë èç ßêóòñêà ïî ðåêàì Ëåíà, Àëäàí, âûøåë ïî Àìóðó â
Îõîòñêîå ìîðå, à çàòåì âåðíóëñÿ â ßêóòñê
ü Åðîôåé Õàáàðîâ (1610—1667) — â 1649—1650 ãã. îñóùåñòâèë
ïîõîä â Äàóðèþ, îñâîèë çåìëè ïî ðåêå Àìóð è ñîñòàâèë èõ
êàðòû (÷åðòåæ)
ü Âëàäèìèð Àòëàñîâ — â 1696—1697 ãã. ïðåäïðèíÿë
ýêñïåäèöèþ íà Êàì÷àòêó, â ðåçóëüòàòå ÷åãî îíà áûëà
ïðèñîåäèíåíà ê Ðîññèè
100 Îòå÷åñòâåííàÿ èñòîðèÿ â ñõåìàõ è òàáëèöàõ
ÂÎÑÒÎ×ÍÎÅ ÍÀÏÐÀÂËÅÍÈÅ ÂÍÅØÍÅÉ
ÏÎËÈÒÈÊÈ
Îñâîåíèå Ñèáèðè
ü Ïðèñîåäèíåíèå Çàïàäíîé Ñèáèðè (ïî-
êîðåíèå Ñèáèðñêîãî õàíñòâà â êîíöå
XVI â.)
ü Ïðîíèêíîâåíèå â Ñèáèðü çåìëåïðîõîä-
öåâ è ïðîìûøëåííèêîâ, à òàêæå ïðåä-
ñòàâèòåëåé öàðñêîé âëàñòè
ü Îñíîâàíèå ïîñåëåíèé è êðåïîñòåé:
— Åíèñåéñêèé (1618)
— Êðàñíîÿðñêèé (1628)
— Èëèìñêèé (1630)
îñòðîãè— ßêóòñêèé (1632)
— Èðêóòñêèé (1652)
— Ñåëåíãèíñêèé (1665)
— Ñîçäàíèå Ñèáèðñêîãî ïðèêàçà. Ðàçäå-
ëåíèå Ñèáèðè íà 19 óåçäîâ, êîòîðûìè
óïðàâëÿëè âîåâîäû, íàçíà÷àåìûå èç
Ìîñêâû (1637)
⎫
⎬
⎭
Êîðåííûå íàðîäû
Ýâåíêè, íåíöû,
õàíòû, ìàíñè,
ÿêóòû, áóðÿòû,
÷óê÷è, èòåëüìåíû
è äð.
Îñíîâíûå çàíÿòèÿ
Ñêîòîâîäñòâî,
îõîòà, ðûáîëîâñòâî
Ãîñïîäñòâî
ðîäîïëåìåííûõ
îòíîøåíèé
ÏÐÀÂËÅÍÈÅ ÖÀÐß ÔÅÄÎÐÀ ÀËÅÊÑÅÅÂÈ×À
1676—1682 ãã.
Óñèëåíèå
ñàìîäåðæàâèÿ
Ðîññèÿ â XVII â. 101
Îñíîâíûå íàïðàâëåíèÿ ïîëèòèêè:
Âîåííî-îêðóæíàÿ
ðåôîðìà
1680 ã.
Îòìåíà
ìåñòíè÷åñòâà
1682 ã.
Ðóññêî-òóðåöêàÿ
âîéíà
1677—1681 ãã.
Ïðîåêòû
ïåðåñòðîéêè
àäìèíèñòðàòèâíî-
öåðêîâíîãî
óïðàâëåíèÿ
ñòðàíû
1681—1682 ãã.
Ïðàêòè÷åñêè íå
áûëè ðåàëèçîâàíû
èç-çà
ñîïðîòèâëåíèÿ
öåðêâè è ââèäó
ðàííåé ñìåðòè
öàðÿ
Öåëü
Âîöàðåíèå Ïåòðà I
102 Îòå÷åñòâåííàÿ èñòîðèÿ â ñõåìàõ è òàáëèöàõ
ÏÐÀÂËÅÍÈÅ ÖÀÐÅÂÍÛ ÑÎÔÜÈ
1682—1689 ãã.
Áîðüáà çà
âëàñòü
Ìèëîñëàâñêèå
Íàðûøêèíû
Ñòðåëåöêèé
áóíò
1682 ã.
Óñòàíîâëåíèå ñîïðàâëåíèÿ öàðåé Èâàíà V è Ïåòðà I
ïðè ðåãåíòñòâå Ñîôüè Àëåêñååâíû â ïåðèîä èõ
ìàëîëåòñòâà
1689 ã.
Ïîïûòêà
î÷åðåäíîãî
ñòðåëåöêîãî áóíòà
Îòñòðàíåíèå
Ñîôüè îò âëàñòè
è çàòî÷åíèå åå â
ìîíàñòûðü
Ïîáåäà
Íàðûøêèíûõ è
íà÷àëî ýïîõè
ïðàâëåíèÿ
Ïåòðà I
Â.Â. Ãîëèöûí —
ôàâîðèò Ñîôüè
Íåóäà÷íûå âîåííûå
ïîõîäû ïðîòèâ
Êðûìà
1689 ã.1687 ã.
ÝÏÎÕÀ ÏÅÒÐÎÂÑÊÈÕ ÏÐÅÎÁÐÀÇÎÂÀÍÈÉ
Ýïîõà ïåòðîâñê
èõ ïðåîáðàç
îâàíèé
Ýïîõà ïåòðîâñêèõ ïðåîáðàçîâàíèé 103
ÏÐÅÄÏÎÑÛËÊÈ ÐÅÔÎÐÌ ÏÅÒÐÀ I
Îòñòàâàíèå Ðîññèè
â ñîöèàëüíî-
ýêîíîìè÷åñêîì,
âîåííîì è
êóëüòóðíîì
îòíîøåíèè îò
åâðîïåéñêèõ ñòðàí
Àêòèâíî-âîëåâàÿ
äåÿòåëüíîñòü
Ïåòðà I,
îðèåíòèðîâàíèå
íà ïðåîáðàçîâàíèÿ
â ñòðàíå
Îñîçíàíèå
íåîáõîäèìîñòè
ðåôîðì ñ
èñïîëüçîâàíèåì
åâðîïåéñêîãî
îïûòà
Ïðåäøåñòâóþùåå
ðàçâèòèå ñòðàíû â
XVII â. Ïîïûòêè
ðåôîðì öàðåé
Àëåêñåÿ
Ìèõàéëîâè÷à è
Ôåäîðà
Àëåêñååâè÷à
Ïîåçäêà Ïåòðà I â
Åâðîïó — «Âåëèêîå
ïîñîëüñòâî»
1697—1698 ãã.
ÑÓÙÍÎÑÒÜ È ÎÑÎÁÅÍÍÎÑÒÈ ÏÅÒÐÎÂÑÊÈÕ
ÏÐÅÎÁÐÀÇÎÂÀÍÈÉ
Ñëóæåíèÿ îòå÷åñòâó êàê âûñøåé öåííîñòè äëÿ
ìîíàðõà
Îáùåãî áëàãà, «íàðîäíîé ïîëüçû» êàê öåëè ýòîãî
ñëóæåíèÿ
Ïðàêòèöèçìà è ðàöèîíàëèçìà êàê îñíîâû
äåÿòåëüíîñòè
Ìàñøòàáíîñòü ðåôîðì è
ðàñïðîñòðàíåíèå íîâøåñòâ íà
ðàçëè÷íûå ñôåðû æèçíè
Áåññèñòåìíîñòü, îòñóòñòâèå êàêîãî-ëèáî
ïëàíà ðåôîðì
Î ìîùíûé âëàñòåëèí ñóäüáû,
Íå òàê ëè òû íàä ñàìîé áåçäíîé
Íà âûñîòå óçäîé æåëåçíîé
Ðîññèþ ïîäíÿë íà äûáû?
À.Ñ. Ïóøêèí
104 Îòå÷åñòâåííàÿ èñòîðèÿ â ñõåìàõ è òàáëèöàõ
 îñíîâó ïðåîáðàçîâàíèé
Ïåòðà I áûëè ïîëîæåíû
èäåè:
Îñîáåííîñòè
ðåôîðì Ïåòðà I
ÎÑÍÎÂÍÛÅ ÍÀÏÐÀÂËÅÍÈß
ÂÍÅØÍÅÉ ÏÎËÈÒÈÊÈ ÏÅÒÐÀ I
1. Åâðîïåéñêîå
Áîðüáà çà âûõîä â Åâðîïó ÷åðåç Áàëòèéñêîå ìîðå —
Ñåâåðíàÿ âîéíà 1700—1721 ãã.
Óêðåïëåíèå ïîçèöèé Ðîññèè â Åâðîïå. Çàãðàíè÷íûå
ïîåçäêè Ïåòðà I. Íà÷àëî äèíàñòè÷åñêèõ ñâÿçåé ñ
ãåðìàíñêèìè ãîñóäàðñòâàìè
2. Àçèàòñêîå
Áîðüáà ñ Òóðöèåé çà óòâåðæäåíèå ïðèñóòñòâèÿ Ðîññèè
íà ×åðíîì ìîðå. Àçîâñêèå ïîõîäû 1695—1696 ãã.
Ïðóòñêèé ïîõîä Ïåòðà I â 1710—1711 ãã.
Ïåðñèäñêèé ïîõîä Ïåòðà I â 1723—1724 ãã.
Ýïîõà ïåòðîâñêèõ ïðåîáðàçîâàíèé 105
ÑÅÂÅÐÍÀß ÂÎÉÍÀ
(1700—1721)
êàê óñêîðèòåëü ïåòðîâñêèõ ðåôîðì
Ïðè÷èíû âîéíû:
1. Èìïåðñêàÿ ïîëèòèêà Øâåöèè è ñòðåìëåíèå ê ãîñïîäñòâó
íà Áàëòèêå
2. Íåîáõîäèìîñòü ïîëó÷åíèÿ Ðîññèåé âûõîäà â Åâðîïó ÷åðåç
Áàëòèéñêîå ìîðå è ïðèáàëòèéñêèå òåððèòîðèè
3. Ãåîïîëèòè÷åñêèå ïðîòèâîðå÷èÿ Øâåöèè ñ åâðîïåéñêèìè
äåðæàâàìè
Îñíîâíûå ýòàïû
1. «Äàòñêèé» (1700—1701)
Íàïàäåíèå Øâåöèè íà Äàíèþ è âûâîä åå èç âîéíû è
Ñåâåðíîãî ñîþçà.
Ïîðàæåíèå ðóññêîé àðìèè ïîä Íàðâîé (íîÿáðü 1700 ã.)
2. «Ïîëüñêèé» (1701—1706)
Âîåííûå äåéñòâèÿ Øâåöèè â Åâðîïå íà òåððèòîðèè
Ñàêñîíèè è Ïîëüøè.
Ïîðàæåíèå ñàêñîíñêîãî êóðôþðñòà Àâãóñòà II, îòêàç îò
ïîëüñêîé êîðîíû è âûõîä èç Ñåâåðíîãî ñîþçà
Óñïåõè ðóññêèõ âîéñê â Ïðèáàëòèêå
Îðåøåê (Øëèññåëüáóðã) — 1702 ã.
l Âçÿòèå êðåïîñòåé Íàðâà — 1704 ã.
Òàðòó — 1704 ã.
l Îñíîâàíèå Ñàíêò-Ïåòåðáóðãà — 16 (27) ìàÿ 1703 ã.
106 Îòå÷åñòâåííàÿ èñòîðèÿ â ñõåìàõ è òàáëèöàõ
3. «Ðóññêèé» (1707—1709)
Áîåâûå äåéñòâèÿ â Ðîññèè ïîñëå ïîâòîðíîãî âòîðæåíèÿ
øâåäñêîé àðìèè
Ïîáåäû ðóññêîé àðìèè:
— ó äåð. Ëåñíàÿ — ñåíòÿáðü 1708 ã.
— ïîä Ïîëòàâîé — 27 èþíÿ 1709 ã.
Áåãñòâî îñòàòêîâ øâåäñêîé àðìèè âî ãëàâå ñ êîðîëåì
Êàðëîì XII â òóðåöêèå âëàäåíèÿ
4. «Òóðåöêèé» (1709—1714)
Ïðóòñêèé ïîõîä ðóññêîé àðìèè âî ãëàâå ñ Ïåòðîì I — 1710—
1711 ãã. Ïîðàæåíèå Ðîññèè
Âîçîáíîâëåíèå âîåííûõ äåéñòâèé â Ïðèáàëòèêå. Çàõâàò
ðóññêèìè âîéñêàìè Ðèãè, Âûáîðãà è Ðåâåëÿ — 1710 ã.
Ïåðåíîñ âîåííûõ äåéñòâèé íà òåððèòîðèþ Ñêàíäèíàâèè è
àêâàòîðèþ Áàëòèéñêîãî ìîðÿ
5. «Íîðâåæñêî-øâåäñêèé» (1714—1721)
Ïîáåäû ðóññêîãî ôëîòà íà ìîðå:
— ó ìûñà Ãàíãóò — 1714 ã.
— ó î-âà Ãðåíãàì — 1720 ã.
Çàâåðøåíèå Ñåâåðíîé âîéíû
Ýïîõà ïåòðîâñêèõ ïðåîáðàçîâàíèé 107
Çàêëþ÷åíèå Íèøòàäòñêîãî ìèðíîãî äîãîâîðà — 30 àâãóñòà
1721 ã. Ïîáåäà Ðîññèè
Îñíîâíûå óñëîâèÿ
Ðîññèÿ ïîëó÷àëà òåððèòîðèè Ïðèáàëòèêè
(Ëèôëÿíäèÿ, Ýñòëÿíäèÿ, Èíãåðìàíëàíäèÿ), ÷àñòü
Êàðåëèè è âûõîä â Áàëòèéñêîå ìîðå
Ðîññèÿ îáÿçûâàëàñü óïëàòèòü Øâåöèè äåíåæíóþ
êîìïåíñàöèþ è âîçâðàòèòü Ôèíëÿíäèþ
108
I
1. :
XVII . — 30
. XVIII . — 200
-
I:
✔ 1703 . — ,
✔ 1721 . — .
2.
3.
:
✔
( , , , , , , .);
✔ —
- ,
, ,
-
I
109
1704 .
1721 .
1711 .
-
— 1718—
— — 1721 .
— 1708—
1710 .
. 1722 .
1700 .
—
-
1720 .
— 1714 .
1722 .
I
1.
2.
3.
4.
5.
110
.
1705 1874 .
.
:
— (1701)
— (1712)
— (1701)
— (1707)
.
, ,
-
:
I
-
:
,
(« »)
(14 )
(1722)
, . .
.
111
( )
I (1699—1720)
-
( )
112
113
( )
—
1718—1724 .
( )
,
,
,
,
114
1
2
3
4
5
6
7
8
9
10
11
12
13
14
-
-
-
-
( 1722
1799 .)
-
-
( 1740 .)
-
( 1740 .)
-
1-
2-
.
.
( 1884 .)
-
-
-
3-
( 1732 .)
( 1732 .)
-
( 1884 .)
( 1885 .)
( 1885 .)
( 1885 .)
(1732—1796 .)
( 1731 .)
-
( 1732 .)
(1796—1885 .)
-
-
( 1884 .)
-
( 1884 .)
-
115
XVIII .
-
—
-
-
-
-
-
-
-
116
I
« »
117
( . . ,
. . , . . , . . .)
,
( . . ,
. . ,
. . ,
. . )
( )
,
( . . ,
. . ,
. . ,
. . )
. .
I
,
...
,
...
,
...
I ,
-
( . . ,
. . )
ДВОРЦОВЫЕ ПЕРЕВОРОТЫ XVIII в.
1.
2. — - ,
3. I —
( , ), —
, ,
118
,
I
,
I
1725—1727 .
. .
(8 1726 .)
.
: . . , . . ,
. . , . . , . . ,
. . ,
I
(1725)
. -
119XVIII .
II
1727—1730 .
. .
1727 .
«
»
14- II 1730 .
II
. .
120
1730—1740 .
« »
« »
- —
,
:
1.
— (1730)
— (1731)
2.
— (1730—1731)
— 25 (1736)
—
3.
— ( 5 )
— ( 22 )
« »
.
,
VI
1740—1741 .
121XVIII .
. .
-
122
1741—1761 .
:
. .
. .
,
(1755)
—
( ,
,
)
— (1753)
—
( 1744—1747 .
)
— (1753)
—
(1754)
1742 . —
1747 . —
1760 . —
III
1761 — 1762 .
123XVIII .
,
( II,
. . ,
. . )
,
,
,
«
»
(18 1762 .) —
(19 1762 .)
,
(21
1762 .)
,
II
,
( . . ,
. . ,
. . )
1. - -
1733—1735 . 1735—1739 .
2. -
1741—1743 .
3.
1756—1763 .
124
.
III
. ,
.
. . .
1741—1742 .
-
— .
. .
. . —
, , .
.
—
.
125XVIII .
1756—1763 .
1756 .
1757 .
. - II
1758 .
1759 -
1760 .
1761 .
- . 1762
II
1763 .
. .
-
(175)
-
(1756)
РОССИЯ ВО ВТОРОЙ ПОЛОВИНЕ XVIII в.
II
1762—1796 .
,
,
,
-
- II
: 1763 .
, ,
( 1764 .
)
1764 .
: « 1775 .
»
: « 1785 .
»
: « 1785 .
,
» —
: « 1782 .
, »,
-
: — 1769 .
.
: 1786 .
1775 .
126
127XVIII .
1775 .
XVIII .
-
1-
2-
3-
128
XVIII .
129XVIII .
-
1773—1775 .
,
« III»
( . )
, ,
I : 1773 — 1774 .
6-
II : — 1774 .
12—17 1774 . — .
,
. .
III : 1774 — 1775 .
31 1774 . —
25 1774 . —
18 1774 . —
10 1775 . —
—
.
-
130
-
XVIII .
-
1. -
2. ,
3.
,
,
4.
(1783)
5. -
.
-
XVIII .
131XVIII .
I. II.
- -
I — 1772 .
II — 1793 .
-
-
. — 1794 . —
III —1795 .
, -
, , ,
1786—1794 .
II
132
✓
✓
✓
✓
- 1768—1774 .
. .
. .
4,5 .
133XVIII .
1770.
1774 . — -
- 1787—1791 .
1787 .
1788 . . .
1789 . . .
1790 .,
1791 . . .
,
134
1791 . —
—
1783 .
+
РОССИЯ НА РУБЕЖЕ XVIII—XIX вв.
I
1796—1801 .
1797—1800 . 1800—1801 .
135XVIII .
1798 . —
. .
1799 . —
. .
-
.
.
.
(7.04.1797)
-
( -,
-, -)
.
1 . = 4
(530 . 4 )
,
I.
1801 .
136
РОССИЯ В ПЕРВОЙ ПОЛОВИНЕ XIX в.
I
(1801—1825)
I. 1. :
) , )
2. ( 1832 .):
) , )
3. :
) ( ), )
4. :
) 1- , ) 2- ,
) 3-
II. 1.
2.
III. 1.
2. :
) , ) ,
)
XVI . 6,5
XVII . 10,5
XVIII . 15,5
XVIII . 37,0
XIX . 40,0
137XIX .
-
-
—
.
1810—1811 . —
.
1815 . —
« »
:
1837 . —
—
1851 . —
—
—
. ,
,
-
.
1825 . — 415
.
.
—
. XIX .
138
I
« ».
. .
+
«
»
(1801—1803)
. .
. .
. .
. .
15.03 — .
2.04 —
—
12.12 —
—
8.09 —
20.02 — «
»:
6 ,
4
: ,
,
(1802), (1803),
(1804),
(1804),
1819 .
—
(1805)
(1811)
1802—1804 .
1801 .
1802 .
1803 .
139XIX .
. .
( 1812 .)
,
,
-
I
. .
,
(1801—1809) 1.01.1810 .
. 35 .,
— -
+
« » ( ,
, . )
« » ( ,
. )
:
1809 .
. .
(1772—1839)
,
— « »
!!
140
,
I
1803 . — «
» —
1816 . — ( )
1817 . — ( )
1819 . — ( )
1. . .
(1818) —
2. . .
(1819) —
141XIX .
1807 .
«
» —
,
. .
(1810) —
,
—
. .
(1769—1834)
,
,
,
.
:
(1819),
(1831)
1818 .
:
(1810—1857)
142
1815 . 1818 .
I,
,
. .
1821 .
,
.
( )
«
»
:
1.
2.
12
143XIX .
3- 4-
-
1807 .
1812 .
-
1804—1805 .
-
1806—1812 .
-
1808—1809 .
144
30 1809 .
.
,
I
1805 .
, ,
20 1805 . —
-
3-
1806—1807 .
, ,
26—27 1807 . —
-
2 1807 . —
.
.
25 1807 .
-
:
—
—
,
145XIX .
1808 . —
( . )
1809 . —
.
( ,
, )
— 1809 . —
( , )
.
5 1809 . —
:
1.
2.
-
1808—1809 .
146
-
1804—1813 .
( )
1804 .
(
),
1804 .
1805 .
1806 .
( . )
1807 .
1808—1809 .
( ).
( , )
1810—1811 .
1812—1813 . —
(1812)
(1813) —
.
(1813),
:
1.
2.
-
1806—1812 .
:
-
.
-
—
1806 .
( .
)
1807 .
( ) —
.
1807 . :
1.
( . . )
2. ( . )
1807—1808 . -
1809—1810 .
.
(1810)
.
( . )
1811 .
.
-
.
(1812)
:
1. ,
2.
—
1812 .
147XIX .
:
-
,
,
—
I
,
—
,
.
:
~700 . . (
)
:
1- — .
. .
2- — .
. .
3- — .
. .
—
,
, ,
,
,
« »
:
647 . .,
I
,
, 448
. .
12 1812 . .
.
27—28 . .
15 . . 3-
. .
- .
2 -
. .
. 1- 2-
4—5 .
8 . .
17 . .
24
26
1 .
2 .
6
11
12
19 .
. .
22
2 .
3—6 .
14—16 . .
3 « »
.
14
25 I
148
149XIX .
—
— (
. )
44 . . 58,5 . .
1. . .
2.
3. « »,
26
1812 .
132 . .
640
135 . .
587
110
.
150
1812 .
( . ,
. ,
.
.)
I
6 18
1812 .
( )
( . —
,
. —
. .)
(30 .)
(14 .)
151XIX .
•
• ,
,
,
•
• 1812 .
1812 .
152
1813 . . .
—
1813 .
,
1813 . . .
—
1813 . .
—
1813 .
5-
, , ,
.
4—7
1813 .
« » .
18 1814 .
5-
.
18 1814 .
30 1814 .
.
—
1814 .
, ,
,
1813—1814 .
«100 »
—
1815 .
.
153XIX .
1814 . —
1815 .
•
,
1792 .
•
•
•
,
.
14 1815 .
:
, ,
:
,
,
—
1818 . . .
. I
,
—
1820 .
.
,
— 1821 .
, , ,
—
1822 .
.
.
.
.
.
⎧
⎪
⎪
⎪
⎪
⎪
⎨
⎪
⎪
⎪
⎪
⎪
⎩
154
I
-
,
155XIX .
, , ,
« »
1816—1817 .
30 . . . ,
. . ,
. . - ,
. . - ,
. . ,
. .
,
«
»
1818—1821 .
,
200 .
« » ,
,
.
1821—1825 .
,
. . ,
. . ,
. . .
« » . . .
.
—
,
—
5 ,
5 .
.
.
.
—
.
1822—1825 .
. . ,
. . , . .
, . . ,
. . , . . ,
. . .
« » . . .
,
,
.
.
.
—
,
— .
.
1823—1825 .
-
1825 .
. , . ,
. ,
. .
.
156
« »
. .
« »
. .
.
13
2
10
3
.
10—15
, ,
157XIX .
« » . .
« » . .
,
-
,
,
158
I. .
• 19 1825 . I.
, 1822 . , .
.
, I,
.
.
• 13 1825 . . .
.
, I, «
», :
√
√ , ...
√
√
√
14 1825 .
.
(29 1825 . — 3 1826 .)
• 13 1825 . . .
• 24 1825 . . -
. -
• 25 1825 . ,
• 29 1825 . . - . —
, ,
• 3 1826 . .
. - . -
• 14 1825 .
, - ,
,
( )
3000
30
, , . :
• «
»
• , . .
. .
• I ( )
( . . ) ,
. - .
• I .
⎧
⎪
⎪
⎪
⎪
⎪
⎪
⎪
⎪
⎨
⎪
⎪
⎪
⎪
⎪
⎪
⎪
⎪
⎩
159XIX .
•579 .
•318 .
•289 .
•121 .
•5 . 13 1826 . ( . . ,
. . - , . . - ,
. . , . . )
,
•
•
•
160
I . —
II . —
1826 .
III . —
1826 .
IV . —
1828 .
.
V . —
1836 .
VI . — 1842 .
.
-
III
(1826)
II —
. .
. .
➢ 1830 . «
»
45 ,
1649 1825 .
➢ 1833 . «
» 15 ,
161XIX .
I (1825—1855)
. .1839—1843
(1826 1828)
— «
» (1834).
— . . —
—
162
➢ .
( , , )
➢
➢
➢ ,
. . (1837—1841)
I (1825—1855)
(1847—1848)
« » —
1842 . —
«
»
163XIX .
164
165XIX .
30—50- .
-
-
20—40-
. . ,
. . ,
. . ,
. . ,
. . ,
. . ,
. .
.
. . ,
. . . .
,
. . . .
,
. . ,
. .
.
. .
,
. . ,
. . ,
. . ,
. . ,
. . ,
. .
. . . ,
. . ,
. .
166
20—40- .
,
,
1826—1827 .,
,
,
6 .
. -
, , . -
. I
-
, -
. ,
,
11-
, 1830—
1832 .,
. . -
. -
,
1831—1839 .,
. . ,
. . ,
. . ,
. . ,
. .
, ,
. .
, -
« -
». -
. -
,
1831—1834 .,
. . ,
. . ,
. . ,
. . ,
.
-
.
. ,
,
,
1845—1849 .,
,
, ,
. . -
,
. . -
,
. . ,
. . ,
. . ,
. . ,
. . ,
. . ,
. . .
. -
.
. «
,
», -
-
. -
, , -
. -
-
. , -
, -
,
-
,
1845—1847 .,
. . ,
. . ,
. . ,
. . ,
. .
, -
. .
,
➢
➢
➢
➢
167XIX .
:
-
,
.
I
.
. I
-
,
,
,
-
-
-
,
168
I (1825—1855)
.
—
« »
1830—
1831 .
1815 .
1849 .
( )
1853—
1856 .
-
1828—
1829 .
-
1826—
1828 .
1817—
1864 .
—
-
169XIX .
-
1826—1828 .
-
1828—1829 .
• 1826 . — -
-
• — 1826 . — -
. . .
-
• 1827 . —
-
.
. .
-
• 1827 . —
• 1827 . —
-
•
• -
, -
1813 .
•
•
•
:
• — -
-
( -
— . . )
• — —
- -
• — -
• — —
-
.
. . -
, , -
, .
1
8
2
8
.
• —
-
. . .
• — -
➢ 1828 . —
-
1. -
( )
2.
3.
20 .
• —
-
. . . -
1
8
2
8
.
➢ 1829 . —
1.
2.
3. , ,
4. 33 .
1817—1864 .
170
•
•
I
1817—1819 .
.
. .
-
II
1819—1824 .
.
III
1824—1828 .
. (1824). -
.
.
. . . . -
(1816—1827) . . . (1827—
1831)
IV
1828—1833 .
— .
- — ,
. 1829 . .
1832 .
V
1834—1859 .
« » » (1799—1871).
. -
, .
.
25 1859 . — -
. . .
VI
1859—1864 .
•
•
•
— « »
.
« » —
.
171XIX .
( )
1853—1856 .
• , -
-
• - -
• ,
( ) -
( )
,
. ,
,
.
I 1853 .
— -
I
1853 . —
1854 .
-
.
II
1854 . —
1856 .
,
,
,
, -
, ,
- .
-
, -
172
( )
1853
15
20
18 -
. .
1854
22
11 ,
19
10
5
9
9
14
6
13
27
18
2—6
8
13
5—13
23
1855
5
28 — 8
13
25
5
4
5—8
23
26
27 . .
30
16
1856
6
173XIX .
( )
➢
➢
➢ ,
( )
6 1856 .
172
( )
1853
15
20
18 -
. .
1854
22
11 ,
19
10
5
9
9
14
6
13
27
18
2—6
8
13
5—13
23
1855
5
28 — 8
13
25
5
4
5—8
23
26
27 . .
30
16
1856
6
173XIX .
( )
➢
➢
➢ ,
( )
6 1856 .
ÐÎÑÑÈß ÂÎ ÂÒÎÐÎÉ ÏÎËÎÂÈÍÅ XIX â.
Ðîññèÿ âî âòîðîé ïîëîâèíå XIX â.ÏÐÀÂËÅÍÈÅ ÀËÅÊÑÀÍÄÐÀ II (1855—1881)
Ïðàâëåíèå Àëåêñàíäðà II (1855—1881)
ÎÑÍÎÂÍÛÅ ÍÀÏÐÀÂËÅÍÈß
ÂÍÓÒÐÅÍÍÅÉ ÏÎËÈÒÈÊÈ
«ÂÅËÈÊÈÅ ÐÅÔÎÐÌÛ»
60—70-õ ãã. XIX â.
174 Îòå÷åñòâåííàÿ èñòîðèÿ â ñõåìàõ è òàáëèöàõ
Îòìåíà
êðåïîñòíîãî
ïðàâà
1861 ã.
Ñóäåáíàÿ
ðåôîðìà
1864 ã.
Ãîðîäñêàÿ
ðåôîðìà
1864 ã.
Çåìñêàÿ
ðåôîðìà
1864 ã.
Âîåííàÿ
ðåôîðìà
1861 ã.
Ðåôîðìà
íàðîäíîãî
îáðàçîâàíèÿ
1863—1964 ãã.
ÏÐÈ×ÈÍÛ ÎÒÌÅÍÛ ÊÐÅÏÎÑÒÍÎÃÎ
ÏÐÀÂÀ Â ÐÎÑÑÈÈ
Ðîññèÿ âî âòîðîé ïîëîâèíå XIX â. 175
Êðèçèñ ôåîäàëüíî-êðåïîñòíè÷åñêîé
ñèñòåìû õîçÿéñòâà è ýêîíîìè÷åñêàÿ
èñ÷åðïàííîñòü åå äàëüíåéøåãî ðàçâèòèÿ
Ïðîÿâëåíèå
êðèçèñà
Ñîêðàùåíèå ýêñïîðòà
ðóññêîãî õëåáà çà
ãðàíèöó
Êðåñòüÿíñêèå
ïîâèííîñòè — áàðùèíà
è îáðîê — äîñòèãëè
íàèâûñøåãî ïðåäåëà
Êðèçèñ äâîðÿíñòâà êàê ñîñëîâèÿ
3,5% äâîðÿí áûëè áåñïîìåñòíûìè
45,9% äâîðÿí èìåëè ìåíåå 20 äóø
êðåïîñòíûõ
Ñîöèàëüíàÿ íàïðÿæåííîñòü â ñòðàíå è ìàññîâûå
êðåñòüÿíñêèå âûñòóïëåíèÿ çà îòìåíó êðåïîñòíîãî
ïðàâà, ïðèíÿâøèå â ïåðèîä Êðûìñêîé âîéíû
ôîðìó ñàìîâîëüíîãî óõîäà îò ïîìåùèêà â
îïîë÷åíèå, çà ó÷àñòèå â êîòîðîì ÿêîáû ïîëàãàëàñü
ñâîáîäà îò êðåïîñòíîé çàâèñèìîñòè
Ïîðàæåíèå Ðîññèè â Êðûìñêîé âîéíå,
âûçâàííîå åå âîåííî-ýêîíîìè÷åñêîé
îòñòàëîñòüþ, è îáùåñòâåííîå îñîçíàíèå
íåîáõîäèìîñòè ðåôîðì â ñòðàíå
ÏÎÄÃÎÒÎÂÊÀ ÊÐÅÑÒÜßÍÑÊÎÉ ÐÅÔÎÐÌÛ
3 ÿíâàðÿ 1857 ã. Ñîçäàí Ñåêðåòíûé êîìèòåò ïî êðåñòüÿíñêîìó äå-
ëó, êóäà âîøëè âûñøèå ñàíîâíèêè ãîñóäàðñòâà è
êîòîðûé â òå÷åíèå ãîäà ðàññìàòðèâàë ïðîåêòû êðå-
ñòüÿíñêîé ðåôîðìû, îñòàâøèåñÿ îò ïðåäûäóùèõ
öàðñòâîâàíèé
20 íîÿáðÿ 1857 ã. Ðåñêðèïò Àëåêñàíäðà II âèëåíñêîìó ãåíåðàë-ãó-
áåðíàòîðó Â. È. Íàçèìîâó îá ó÷ðåæäåíèè ãóáåðí-
ñêèõ êîìèòåòîâ äëÿ ïîäãîòîâêè ïðîåêòîâ êðåñòü-
ÿíñêîé ðåôîðìû
5 äåêàáðÿ 1857 ã. Ðåñêðèïò Àëåêñàíäðà II ãåíåðàë-ãóáåðíàòîðó Ïå-
òåðáóðãà Ï. È. Èãíàòüåâó îá ó÷ðåæäåíèè ãóáåðí-
ñêèõ êîìèòåòîâ äëÿ ïîäãîòîâêè ïðîåêòîâ êðåñòü-
ÿíñêîé ðåôîðìû
8 ÿíâàðÿ 1858 ã. Ïðåîáðàçîâàíèå Ñåêðåòíîãî êîìèòåòà â Ãëàâíûé
êîìèòåò ïî êðåñòüÿíñêîìó äåëó. Ñîçäàíèå àíàëî-
ãè÷íûõ êîìèòåòîâ â 46 ãóáåðíèÿõ. Îáñóæäåíèå
ïðîáëåì îòìåíû êðåïîñòíîãî ïðàâà ñòàëî íîñèòü
ãëàñíûé è îòêðûòûé õàðàêòåð
17 ôåâðàëÿ 1859 ã. Ñîçäàíèå ðåäàêöèîííûõ êîìèññèé ïðè Ãëàâíîì
êîìèòåòå âî ãëàâå ñ ãåíåðàëîì ß. È. Ðîñòîâöåâûì
äëÿ ðàññìîòðåíèÿ ìàòåðèàëîâ, ïðåäñòàâëåííûõ ãó-
áåðíñêèìè êîìèòåòàìè, è äëÿ ñîñòàâëåíèÿ ïðàâî-
âûõ àêòîâ, ðåãëàìåíòèðóþùèõ îòìåíó êðåïîñòíî-
ãî ïðàâà
10 îêòÿáðÿ 1860 ã. Ðîñïóñê ðåäàêöèîííûõ êîìèññèé è ïåðåäà÷à äî-
êóìåíòîâ ïî êðåñòüÿíñêîé ðåôîðìå ñíà÷àëà â
Ãëàâíûé êîìèòåò, à çàòåì â Ãîñóäàðñòâåííûé ñî-
âåò äëÿ îáñóæäåíèÿ
19 ôåâðàëÿ 1861 ã. Èìïåðàòîð ïîäïèñàë îñíîâíûå ïðàâîâûå äîêó-
ìåíòû ïî êðåñòüÿíñêîé ðåôîðìå (âñåãî èõ áûëî
17), ãëàâíûå èç êîòîðûõ:
l Ìàíèôåñò «Î âñåìèëîñòèâåéøåì äàðîâàíèè êðåïî-
ñòíûì ëþäÿì ïðàâ ñîñòîÿíèÿ ñâîáîäíûõ ñåëüñêèõ
îáûâàòåëåé è îá óñòðîéñòâå èõ áûòà»
l «Îáùåå ïîëîæåíèå î êðåñòüÿíàõ, âûøåäøèõ èç êðå-
ïîñòíîé çàâèñèìîñòè»
l «Ïîëîæåíèå î âûêóïå êðåñòüÿíàìè, âûøåäøèìè èç
êðåïîñòíîé çàâèñèìîñòè, èõ óñàäåáíîé îñåäëîñòè, î
ñîäåéñòâèè ïðàâèòåëüñòâà â ïðèîáðåòåíèè èìè â
ñîáñòâåííîñòü ïîëåâûõ óãîäèé»
176 Îòå÷åñòâåííàÿ èñòîðèÿ â ñõåìàõ è òàáëèöàõ
Ðîññèÿ âî âòîðîé ïîëîâèíå XIX â. 177
Öåíòðàëüíûå è ìåñòíûå ó÷ðåæäåíèÿ Ðîññèè,
çàíèìàâøèåñÿ ïîäãîòîâêîé êðåñòüÿíñêîé ðåôîðìû
Èìïåðàòîð
Àëåêñàíäð II
Ñåêðåòíûé êîìèòåò
ïî êðåñòüÿíñêîìó äåëó
(ÿíâàðü 1857 ã. —
ÿíâàðü 1858 ã.)
Ãëàâíûé êîìèòåò ïî
êðåñòüÿíñêîìó äåëó
(ÿíâàðü 1858 ã. —
ôåâðàëü 1861 ã.)
Ãîñóäàðñòâåííûé ñîâåò
(îêòÿáðü 1860 ã. —
ôåâðàëü 1861 ã.)
îáñóæäàë äîêóìåíòû
êðåñòüÿíñêîé ðåôîðìû
Ðåäàêöèîííûå êîìèññèè
(ôåâðàëü 1859 ã. —
îêòÿáðü 1860 ã.)
Ãóáåðíñêèå
äâîðÿíñêèå
êîìèòåòû ïî
óëó÷øåíèþ áûòà
ïîìåùè÷üèõ êðåñòüÿí
ÎÑÍÎÂÍÛÅ ÏÎËÎÆÅÍÈß
ÊÐÅÑÒÜßÍÑÊÎÉ ÐÅÔÎÐÌÛ 1861 ã.
l Êðåñòüÿíå ïîëó÷àëè ëè÷íóþ ñâîáîäó è íàäåëÿëèñü
îáùåãðàæäàíñêèìè ïðàâàìè
l Êðåñòüÿíå îñâîáîæäàëèñü ñ çåìëåé, ò. å. ñ ïîëåâûì íàäåëîì,
ðàçìåð êîòîðîãî â çàâèñèìîñòè îò ðåãèîíà Ðîññèè
(÷åðíîçåìíûå, íå÷åðíîçåìíûå, ñòåïíûå ãóáåðíèè)
áûë ðàçíûé è êîëåáàëñÿ îò 3 äî 12 äåñÿòèí
1 äåñÿòèíà = 1,1 ãà
ìåðà ïëîùàäè
l Êðåñòüÿíå ïîëó÷àëè çåìëþ íå áåçâîçìåçäíî, à äîëæíû áûëè åå âû-
êóïàòü ó ïîìåùèêà. Äî ñîâåðøåíèÿ âûêóïíîé ñäåëêè êðåñòüÿíå
ñ÷èòàëèñü «âðåìåííîîáÿçàííûìè» è áûëè îáÿçàíû âûïîëíÿòü
ïðåæíèå ïîâèííîñòè — áàðùèíó è îáðîê
l Ðàçìåð âûêóïà çà çåìëþ óñòàíàâëèâàëñÿ â çàâèñèìîñòè îò âåëè÷èíû
äåíåæíîãî îáðîêà êðåñòüÿíèíà è ïðèðàâíèâàëñÿ ê êàïèòàëó, êîòî-
ðûé â áàíêå äîëæåí äàâàòü äîõîä â 6% ãîäîâûõ.
Íàïðèìåð, åñëè â íå÷åðíîçåìíûõ ãóáåðíèÿõ îáðîê ñîñòàâëÿë â ñðåä-
íåì 10 ðóá. â ãîä, òî âûêóïíàÿ ñóììà äîëæíà áûëà ñîñòàâëÿòü:
10 ðóá. = 6%
X = (10 õ 100) : 6 = 166 ðóá. 66 êîï.
X ðóá. = 100%
20% âûêóïíîé ñóììû êðåñòüÿíèí äîëæåí áûë ñàìîñòîÿòåëüíî âû-
ïëàòèòü ïîìåùèêó åäèíîâðåìåííî.
80% âûêóïíîé ñóììû äàâàëî â äîëãîñðî÷íûé êðåäèò ãîñóäàðñòâî —
íà 49 ëåò ïîä 6% ãîäîâûõ
l Êðåñòüÿíå â òå÷åíèå 9 ëåò (äî 1870 ã.) íå ìîãëè îòêàçàòüñÿ
îò ñâîåãî çåìåëüíîãî íàäåëà è ïîêèíóòü ñåëüñêóþ îáùèíó
l Êðåñòüÿíå, â ïîëüçîâàíèè êîòîðûõ áûëî áîëüøå çåìëè,
÷åì ïðåäóñìàòðèâàëîñü íîðìàìè ðåôîðìû, äîëæíû áûëè âåðíóòü
èçëèøêè ïîìåùèêó — òàê íàçûâàåìûå «îòðåçêè»
178 Îòå÷åñòâåííàÿ èñòîðèÿ â ñõåìàõ è òàáëèöàõ
⎫
⎬
⎭
Ìåõàíèçì
ðåàëèçàöèè
êðåñòüÿíñêîé
ðåôîðìû
Ó÷ðåæäàëñÿ ñïåöèàëüíûé èíñòèòóò
ìèðîâûõ ïîñðåäíèêîâ,
íàçíà÷àâøèõñÿ èç äâîðÿí, êîòîðûå
â òå÷åíèå äâóõ ëåò ñîâìåñòíî ñ
ñåëüñêèìè ñòàðîñòàìè ñîñòàâëÿëè
óñòàâíûå ãðàìîòû, ãäå îïðåäåëÿëèñü
óñëîâèÿ îñâîáîæäåíèÿ êàæäîé
êîíêðåòíîé êðåñòüÿíñêîé ñåìüè
Ðîññèÿ âî âòîðîé ïîëîâèíå XIX â. 179
ÐÅÔÎÐÌÀ
ÄÅÐÅÂÍÈ
ÓÄÅËÜÍÎÉ ÃÎÑÓÄÀÐÑÒÂÅÍÍÎÉ
l Îñâîáîæäåíû îò
ëè÷íîé çàâèñèìîñòè
åùå â 1858 ã.
l Ïîçåìåëüíîå
óñòðîéñòâî,
ïîâèííîñòè è âûêóï
îïðåäåëåíû
«Ïîëîæåíèåì...» îò 26
èþíÿ 1863 ã.
l Óäåëüíûå êðåñòüÿíå
ïîëó÷èëè íàäåëû,
êîòîðûìè
ïîëüçîâàëèñü äî
ðåôîðìû
l Îáðî÷íàÿ ïîäàòü áûëà
ïðåîáðàçîâàíà â
âûêóïíûå ïëàòåæè â
ïîëüçó öàðñêîé ñåìüè
l 24 íîÿáðÿ 1866 ã. —
èçäàíèå çàêîíà î
ïîçåìåëüíîì
óñòðîéñòâå
ãîñóäàðñòâåííûõ
êðåñòüÿí
l 12 èþíÿ 1886 ã. —
ãîñóäàðñòâåííûå
êðåñòüÿíå ïåðåâåäåíû
íà âûêóïíûå ïëàòåæè
l Ãîñóäàðñòâåííûå
êðåñòüÿíå â ñâîå
ðàñïîðÿæåíèå ïîëó÷èëè
òå æå çåìëè, êîòîðûìè
ïîëüçîâàëèñü ðàíåå
ÑÓÄÅÁÍÀß ÐÅÔÎÐÌÀ 1864 ã.
180 Îòå÷åñòâåííàÿ èñòîðèÿ â ñõåìàõ è òàáëèöàõ
Ââîäèëñÿ áåññîñëîâíûé õàðàêòåð ñóäåáíîé
äåÿòåëüíîñòè, ò. å. ôîðìàëüíîå ðàâåíñòâî âñåõ
ñîñëîâèé ïåðåä çàêîíîì
Ïðîâîçãëàøàëàñü íåñìåíÿåìîñòü ñóäåé è
íåçàâèñèìîñòü èõ îò àäìèíèñòðàòèâíûõ âëàñòåé
Ââîäèëàñü ãëàñíîñòü è ñîñòÿçàòåëüíîñòü
ñóäîïðîèçâîäñòâà
Ó÷ðåæäàëàñü àäâîêàòóðà
(ïðèñÿæíûå èëè ÷àñòíûå ïîâåðåííûå)
Ñîçäàâàëñÿ èíñòèòóò ïðèñÿæíûõ çàñåäàòåëåé äëÿ
ðàññìîòðåíèÿ ñëîæíûõ óãîëîâíûõ äåë
Ââîäèëàñü âûáîðíîñòü íåêîòîðûõ
ñóäåáíûõ îðãàíîâ (ìèðîâûå ñóäüè)
Èçìåíåíà ñèñòåìà ïðåäâàðèòåëüíîãî ñëåäñòâèÿ.
Òåïåðü îíî îñóùåñòâëÿëîñü íå ïîëèöèåé,
à ñóäåáíûìè ñëåäîâàòåëÿìè, âõîäèâøèìè
â ñîñòàâ îêðóæíûõ ñóäîâ
Óïðîùåíà ñèñòåìà ñóäîïðîèçâîäñòâà
è ñîêðàùåíî ÷èñëî ñóäåáíûõ èíñòàíöèé
ÑÓÄÅÁÍÀß ÑÈÑÒÅÌÀ ÐÎÑÑÈÈ
ÏÎ ÐÅÔÎÐÌÅ 1864 ã.
Ðîññèÿ âî âòîðîé ïîëîâèíå XIX â. 181
Èìïåðàòîð
Ñåíàò
Íàäçîðíûå è êîíòðîëèðóþùèå
ôóíêöèè
Ñúåçä
ìèðîâûõ
ñóäåé
Ñóäåáíàÿ
ïàëàòà
Ìèðîâîé
ñóä
Îêðóæíîé
ñóä
Îñîáûå ñóäû
âîëîñòíîé äëÿ
êðåñòüÿí
äëÿ äóõîâåíñòâà
äëÿ âîåííûõ
äëÿ âûñøèõ
ñàíîâíèêîâ
Èçáèðàåòñÿ
Óåçäíûì
çåìñêèì
ñîáðàíèåì
Íàçíà÷àåòñÿ
èìïåðàòîðîì
ÇÅÌÑÊÀß ÐÅÔÎÐÌÀ 1864 ã.
182 Îòå÷åñòâåííàÿ èñòîðèÿ â ñõåìàõ è òàáëèöàõ
Ñîçäàíèå â óåçäàõ
è ãóáåðíèÿõ
âûáîðíûõ îðãàíîâ
ìåñòíîãî
ñàìîóïðàâëåíèÿ
çåìñòâ
Ïðèíöèïû
Îòäåëåíèå çåìñòâ îò
àäìèíèñòðàòèâíîé
âëàñòè
Âñåñîñëîâíîå
âûáîðíîå çåìñêîå
ïðåäñòàâèòåëüñòâî
Õîçÿéñòâåííî-
ôèíàíñîâàÿ
ñàìîñòîÿòåëüíîñòü
çåìñòâ
Çåìñêîå ñàìîóïðàâëåíèå
Ïîëíîìî÷èÿ
çåìñòâ
Âîïðîñû ìåñòíîãî
õîçÿéñòâåííîãî
çíà÷åíèÿ
(ñòðîèòåëüñòâî
äîðîã, øêîë,
áîëüíèö, ðàçâèòèå
ìåñòíîé
ïðîìûøëåííîñòè,
îáåñïå÷åíèå
ïðîäîâîëüñòâèåì
è ò. ä.
Ïðåäñåäàòåëü
Ãóáåðíñêîå
çåìñêîå ñîáðàíèå
Ïðåäñåäàòåëü
Ãóáåðíñêàÿ
çåìñêàÿ óïðàâà
Ïðåäñåäàòåëü
Óåçäíîå çåìñêîå
ñîáðàíèå
Ïðåäñåäàòåëü
Óåçäíàÿ çåìñêàÿ
óïðàâà
Âûáîðû ãëàñíûõ (äåïóòàòîâ îò çåìñòâ)
1 ðàç â 3 ãîäà ïî èçáèðàòåëüíûì êóðèÿì
Çåìëåâëàäåëü÷åñêàÿ
Êðóïíûå è ñðåäíèå
çåìåëüíûå
ñîáñòâåííèêè
Ãîðîäñêàÿ
Ãîðîäñêèå
ñîáñòâåííèêè
Êðåñòüÿíñêàÿ
Ñåëüñêèå
êðåñòüÿíñêèå
îáùåñòâà
ÃÎÐÎÄÑÊÀß ÐÅÔÎÐÌÀ 1870 ã.
Ââåäåíèå ãîðîäñêîãî ñàìîóïðàâëåíèÿ
ïî òèïó çåìñêîãî
Ðîññèÿ âî âòîðîé ïîëîâèíå XIX â. 183
ÑÒÐÓÊÒÓÐÀ ÃÎÐÎÄÑÊÎÃÎ ÑÀÌÎÓÏÐÀÂËÅÍÈß
Ãîðîäñêàÿ
äóìà
Ãëàñíûå
Ãîðîäñêàÿ
óïðàâà
Ãîðîäñêîé
ãîëîâà
I èçáèðàòåëüíîå
ñîáðàíèå
(êðóïíûå
íàëîãîïëà-
òåëüùèêè)
II èçáèðàòåëüíîå
ñîáðàíèå
(ñðåäíèå
íàëîãîïëà-
òåëüùèêè)
III èçáèðàòåëüíîå
ñîáðàíèå
(ìåëêèå
íàëîãîïëà-
òåëüùèêè)
Âûáîðû ðàç
â ÷åòûðå ãîäà
ÂÎÅÍÍÀß ÐÅÔÎÐÌÀ (1861—1874 ãã.)
184 Îòå÷åñòâåííàÿ èñòîðèÿ â ñõåìàõ è òàáëèöàõ
Ãåíåðàë
Ä. À. Ìèëþòèí
Îñíîâíûå íàïðàâëåíèÿ
Ñîêðàùåíèå ÷èñëåííîñòè ðóññêîé àðìèè
Ðàñøèðåíèå ñåòè âîåííî-ó÷åáíûõ çàâåäåíèé
äëÿ ïîäãîòîâêè îôèöåðñêîãî ñîñòàâà
(1863—1864 ãã. — ñîçäàíèå âîåííûõ
ãèìíàçèé è þíêåðñêèõ ó÷èëèù)
Ââåäåíèå íîâûõ âîèíñêèõ óñòàâîâ
Îñóùåñòâëåíèå ïåðåâîîðóæåíèÿ àðìèè
Ó÷ðåæäåíà ñèñòåìà âîåííûõ îêðóãîâ â öåëÿõ
ñîâåðøåíñòâîâàíèÿ âîåííîãî óïðàâëåíèÿ
Îòìåíà ðåêðóòñêîé ñèñòåìû êîìïëåêòîâàíèÿ
àðìèè è ââåäåíèå âñåîáùåé âîèíñêîé
ïîâèííîñòè (ñ 1 ÿíâàðÿ 1874 ã.)
ÐÅÔÎÐÌÛ Â ÎÁËÀÑÒÈ
ÍÀÐÎÄÍÎÃÎ ÎÁÐÀÇÎÂÀÍÈß 1863—1864 ãã.
Ðîññèÿ âî âòîðîé ïîëîâèíå XIX â. 185
Èçìåíåíèÿ â ñèñòåìå îáðàçîâàíèÿ
Íà÷àëüíîå Ñðåäíåå Âûñøåå
«Ïîëîæåíèå
î íà÷àëüíûõ
íàðîäíûõ
ó÷èëèùàõ»
(14 èþíÿ 1864 ã.)
«Óñòàâ ãèìíàçèé
è ïðîãèìíàçèé»
(19 íîÿáðÿ
1864 ã.)
«Óíèâåðñè-
òåòñêèé óñòàâ»
(18 èþíÿ 1863 ã.)
Ëèêâèäà-
öèÿ ãîñó-
äàðñòâåí-
íî-öåð-
êîâíîé
ìîíîïî-
ëèè íà îá-
ðàçîâàíèå
Ó÷åáíûå çàâå-
äåíèÿ ðàçðå-
øåíî îòêðû-
âàòü çåìñòâàì,
îáùåñòâåííûì
îðãàíèçàöèÿì
è ÷àñòíûì ëè-
öàì
Ïðîãèì-
íàçèè: ñî-
êðàùåí-
íûé ñðîê
îáó÷åíèÿ
4 ãîäà
Àâòîíîìèÿ
Ñîçäàâàëèñü
ñîâåòû
óíèâåðñèòåòîâ,
ðåøàâøèå âñå
âíóòðåííèå
âîïðîñû
Èçáðàíèå
ðåêòîðà è
ïðåïîäàâà-
òåëåé
Ãèìíàçèè
Êëàññè÷åñêèå Ðåàëüíûå
Ãîòîâèëè ê
ïîñòóïëåíèþ
â óíèâåðñèòåò
Ãîòîâèëè
ê ïîñòóïëåíèþ
â âûñøèå
òåõíè÷åñêèå
ó÷åáíûå çàâåäåíèÿ
ÎÁÙÅÑÒÂÅÍÍÛÅ ÄÂÈÆÅÍÈß
186 Îòå÷åñòâåííàÿ èñòîðèÿ â ñõåìàõ è òàáëèöàõ
Êîíñåðâàòîðû Ðåâîëþöèîíåðû
Ëèáåðàëû
Ïåðåõîä Ì.Í. Êàòêîâà
â ãàçåòó «Ìîñêîâñêèå
âåäîìîñòè» è ïðåâðàùåíèå
åå â ðóïîð êîíñåðâàòîðîâ
ñ 1862 ã.
Ñòðåìëåíèå îãðàäèòü
öàðñêóþ âëàñòü îò âëèÿíèÿ
ëèáåðàëüíîé áþðîêðàòèè è
ñêîððåêòèðîâàòü ðåôîðìû â
èíòåðåñàõ äâîðÿíñòâà
Äâèæåíèå
íàðîäíèêîâ
Çàïàäíèêè
«Ðóññêèé
âåñòíèê»
1856—1861 ãã.
Ì. Í. Êàòêîâ
«Âåñòíèê
Åâðîïû»
ñ 1866 ã.
Ì. Ì. Ñòàñþëåâè÷
Ñëàâÿíîôèëû
«Ðóññêàÿ
áåñåäà»
ñ 1856 ã.
À.È. Êîøåëåâ
Çåìñêèé êîíñòèòóöèîíàëèçì
1879—1881 ãã.
È.È. Ïåòðóíêåâè÷
Ñ.À. Ìóðîìöåâ
Òðåáîâàíèÿ
Ðàñøèðåíèå ïðàâ çåìñòâ è ñîçäàíèå
öåíòðàëüíûõ ïðåäñòàâèòåëüíûõ
ó÷ðåæäåíèé. Ââåäåíèå ãðàæäàíñêèõ ñâîáîä
Íàäåæäû íà ñîòðóäíè÷åñòâî
ñ âåðõîâíîé âëàñòüþ
Ì.Ò. Ëîðèñ-
Ìåëèêîâ
Ïå÷àòíûå
îðãàíû
Ðîññèÿ âî âòîðîé ïîëîâèíå XIX â. 187
ÐÅÂÎËÞÖÈÎÍÍÛÅ
ÄÂÈÆÅÍÈß
Ïðè÷èíû
âîçíèê-
íîâåíèÿ:
Íåäîâîëüñòâî
ðåôîðìàìè
60—70-õ ãã.
XIX â. ó ÷àñòè
ðàäèêàëüíî
íàñòðîåííîé
èíòåëëèãåíöèè
Áóíòàðñêîå
(àíàðõèñòñêîå)
Ì.À. Áàêóíèí
Ïðîïàãàíäèñòñêîå
Ï.Ë. Ëàâðîâ
Çàãîâîðùè÷åñêîå
Ï.Í. Òêà÷åâ
Êðåñòüÿíèí ïî ñâîåé
ïðèðîäå — áóíòàðü, îí
ãîòîâ ê ðåâîëþöèè.
Èíòåëëèãåíöèÿ äîëæíà
èäòè â íàðîä è ñïîñîá-
ñòâîâàòü ñëèÿíèþ îò-
äåëüíûõ êðåñòüÿíñêèõ
áóíòîâ â îáùåðîññèé-
ñêóþ ðåâîëþöèþ. Ãîñó-
äàðñòâî — ýòî èñòî÷-
íèê ýêñïëóàòàöèè, ïî-
ýòîìó åãî íàäî
óíè÷òîæèòü. Âìåñòî ãî-
ñóäàðñòâà ñîçäàåòñÿ ñî-
þç ñàìîóïðàâëÿþùèõñÿ
îáùèí
Êðåñòüÿíèí íå ãî-
òîâ ê ðåâîëþöèè.
Èíòåëëèãåíöèÿ
äîëæíà èäòè â íà-
ðîä, íåñòè ðåâîëþ-
öèîííûå è ñîöèàëè-
ñòè÷åñêèå èäåè. Äëÿ
áîëüøåé ýôôåêòèâ-
íîñòè ïðîïàãàíäû
íóæíî ñîçäàòü ðåâî-
ëþöèîííóþ îðãàíè-
çàöèþ
Êðåñòüÿíèí íå ãî-
òîâ ê ðåâîëþöèè, íî
àãèòàöèÿ íå äàñò
áûñòðûõ ðåçóëüòà-
òîâ. Ñàìîäåðæàâèå
ëèøåíî îïîðû â íà-
ðîäå. Ïîýòîìó íåîá-
õîäèìî ñîçäàòü ðå-
âîëþöèîííóþ îðãà-
íèçàöèþ, êîòîðàÿ
ïîäãîòîâèò è îñóùå-
ñòâèò çàõâàò âëàñòè.
Ýòî äàñò òîë÷îê ðå-
âîëþöèè
Íàðîäíè÷åñòâî
Èäåéíûå òå÷åíèÿ
ÐÅÂÎËÞÖÈÎÍÍÛÅ ÄÂÈÆÅÍÈß
188 Îòå÷åñòâåííàÿ èñòîðèÿ â ñõåìàõ è òàáëèöàõ
Äåÿòåëüíîñòü íàðîäíèêîâ
«Çåìëÿ è âîëÿ» — òàéíîå îáùåñòâî,
äåéñòâîâàâøåå â 1861—1864 ãã.
Îðãàíèçàòîðû: Í.À. è À.À. Ñåðíî-Ñîëîâüåâè÷è,
Í.Í. Îáðó÷åâ, À.À. Ñëåïöîâ, Í.È. Óòèí è äð.
Èäåéíîå âëèÿíèå
À.È. Ãåðöåíà è
Í.Ã. ×åðíûøåâñêîãî
ÐÅÂÎËÞÖÈÎÍÍÛÅ ÍÀÐÎÄÍÈ×ÅÑÊÈÅ ÊÐÓÆÊÈ
Îðãàíèçàöèÿ
Í.À. Èøóòèíà —
È.À. Õóäÿêîâà
(1863—1866). Òåððîðèñòè÷å-
ñêàÿ ãðóïïà «Àä». Àïðåëü
1866 ã. — ïîêóøåíèå
Ä. Êàðàêîçîâà
íà Àëåêñàíäðà II
«×àéêîâöû» — êðóæîê
Ì.À. Íàòàíñîíà —
Í.Â. ×àéêîâñêîãî â Ïåòåðáóðãå.
 1871 ã. îáúåäèíèëèñü ñ êðóæ-
êîì Ñ.Ë. Ïåðîâñêîé. Èíèöèà-
òîðû «õîæäåíèÿ â íàðîä».
 1874 ã. ìíîãèå ÷ëåíû êðóæêà
îñóæäåíû ïî «ïðîöåññó 193-õ».
«Íàðîäíàÿ ðàñïðàâà»
Ñ.Ã. Íå÷àåâà (1869—
1871). Óáèéñòâî ÷ëåíà
îðãàíèçàöèè
È. Èâàíîâà äëÿ ïîäíÿ-
òèÿ àâòîðèòåòà
è óêðåïëåíèÿ
äèñöèïëèíû
«Õîæäåíèå
â íàðîä»
1873—1875 ãã.
«Çåìëÿ
è âîëÿ»
(1876—1879)
Ã.Â. Ïëåõàíîâ, À.Ä. Ìèõàéëîâ,
Â.Í. Ôèãíåð, Ñ.Ë. Ïåðîâñêàÿ,
Í.À. Ìîðîçîâ, Ñ.Ì. Êðàâ÷èíñêèé
Ïðîïàãàíäà
Äåìîíñòðàöèÿ
ó Êàçàíñêîãî
ñîáîðà â Ïå-
òåðáóðãå (1876)
Òåððîð
Ïîêóøåíèÿ
Â. Çàñóëè÷ íà ãåí. Ô.Ô. Òðåïîâà
(1878) è À. Ñîëîâüåâà
íà Àëåêñàíäðà II (1879)
ÐàñêîëÏðîïàãàíäà Òåððîð
«×åðíûé ïåðåäåë»
Ã.Â. Ïëåõàíîâ, Ë.Ã. Äåé÷,
Â.È. Çàñóëè÷ è äð.
Ñ 1880 ã. — ëèäåðû â
ýìèãðàöèè
 1883 ã. îñíîâàëè ãðóïïó
«Îñâîáîæäåíèå òðóäà»
«Íàðîäíàÿ âîëÿ»
Âî ãëàâå — èñïîëíèòåëüíûé
êîìèòåò (À.È. Æåëÿáîâ,
À.Ä. Ìèõàéëîâ,
Ñ.Ë. Ïåðîâñêàÿ è äð.)
Ïîäãîòîâèëè è îñóùåñòâèëè
âîñåìü ïîêóøåíèé íà öàðÿ
1 ìàðòà 1881 ã. — óáèéñòâî
Àëåêñàíäðà II
Ðàçãðîì
îðãàíèçàöèè.
Êàçíü
ðóêîâîäèòåëåé
íàðîäîâîëüöåâ
ÎÑÍÎÂÍÛÅÍÀÏÐÀÂËÅÍÈßÂÍÅØÍÅÉÏÎËÈÒÈÊÈÐîññèÿ âî âòîðîé ïîëîâèíå XIX â. 189
Åâðîïåéñêàÿ
ïîëèòèêà
Âîñòî÷íûéêðèçèñ
70-õãã.XIXâ.
Ðàñøèðåíèåãåîïîëèòè÷åñêîãî
ïðîñòðàíñòâàÐîññèèè
ïðèñîåäèíåíèåÑðåäíåéÀçèè
Äàëüíåâîñòî÷íàÿ
ïîëèòèêà
Îáîñòðåíèå
ìåæäóíàðîäíîé
îáñòàíîâêè,
Ôðàíêî-
ïðóññêàÿâîéíà
Îáðàçîâàíèå
Ãåðìàíñêîé
èìïåðèè1871ã.
Öåëè:ÂûõîäÐîññèè
èçìåæäóíàðîäíîé
èçîëÿöèèèâîññòà-
íîâëåíèåñòàòóòàâå-
ëèêîéäåðæàâû
Îêòÿáðü1870
Ìàðò1871ã.
Ëîíäîíñêàÿêîíâåíöèÿ.
Ïåðåñìîòðóñëîâèé
Ïàðèæñêîãîìèðà.
Äèïëîìàòè÷åñêàÿ
ïîáåäàÐîññèè
«Ñîþçòðåõèìïåðàòîðîâ»
(1873—1878)
Ãåðìàíèÿ,Ðîññèÿ,
Àâñòðî-Âåíãðèÿ
Ðóññêî-
òóðåöêàÿ
âîéíà
1877—
1878ãã.
Ñàí-
Ñòåôàí-
ñêèéìèð
Êðèçèñèðàñïàä
«Ñîþçàòðåõ
èìïåðàòîðîâ»
(1878)
Áåðëèí-
ñêèé
êîíãðåññ
1866—
1868ãã.
Áóõàðà
1873ã.
Õèâà
1865—
1875ãã.
Êîêàíä
Ñîçäàíèå
Òóðêåñòàíñêîãî
ãåíåðàë-
ãóáåðíàòîðñòâà
⎫
⎬
⎭
Âàññàëüíàÿ
çàâèñèìîñòü
îòÐîññèè
Ðóññêî-êèòàéñêèå
îòíîøåíèÿ
Ðóññêî-ÿïîíñêèå
îòíîøåíèÿ
1858—1860ãã.1855—1875ãã.
Äîãîâîðûñ
Êèòàåìî
ãðàíèöåïî
ðåêåÀìóð
Äîãî-
âîðûñ
ßïî-
íèåé
À
É
Ã
Ó
Í
Ñ
Ê
È
É
Ï
Å
Ê
È
Í
Ñ
Ê
È
É
ÎòêàçÐîññèèîò
óíèçèòåëüíûõñòàòåé
Ïàðèæñêîãîìèðà
1856ã.
Ñ
È
Ì
Î
Ä
À
Ï
Å
Ò
Å
Ð
Á
Ó
Ð
Ã
Êóðèëû—òåððè-
òîðèÿÐîññèè,
Ñàõàëèí—ñî-
âìåñòíîåâëàäå-
íèåÐîññèèè
ßïîíèè
Êóðèëû—
òåððèòîðèÿ
ßïîíèè,
Ñàõàëèí—
âëàäåíèå
Ðîññèè
Ðóññêî-àìåðèêàíñêèå
îòíîøåíèÿ
Ïðîäàæàâ1867ã.Ðîññèåé
ÀëÿñêèïðàâèòåëüñòâóÑØÀ
çà7,2ìëíäîëëàðîâ
ÐÓÑÑÊÎ-ÒÓÐÅÖÊÀß ÂÎÉÍÀ
1877—1878 ãã.
Îáîñòðåíèå Âîñòî÷íîãî âîïðîñà è íà÷àëî âîéíû
190 Îòå÷åñòâåííàÿ èñòîðèÿ â ñõåìàõ è òàáëèöàõ
Ïðè÷èíû
âîéíû
1. Îáîñòðåíèå
âîñòî÷íîãî
âîïðîñà è
ñòðåìëåíèå
Ðîññèè èã-
ðàòü àêòèâ-
íóþ ðîëü
â ìåæäóíà-
ðîäíîé
ïîëèòèêå
2. Ïîääåðæêà
Ðîññèåé íà-
öèîíàëüíî-
îñâîáîäè-
òåëüíîãî
äâèæåíèÿ
áàëêàíñêèõ
íàðîäîâ
ïðîòèâ Òóð-
öèè
3. Îòêàç Òóð-
öèè óäîâëå-
òâîðèòü
óëüòèìàòóì
Ðîññèè î
ïðåêðàùå-
íèè áîåâûõ
äåéñòâèé â
Ñåðáèè
Ãîä Ñîáûòèå
1875 ã. Âîññòàíèå â Áîñíèè
è Ãåðöåãîâèíå
Àïðåëü 1876 ã. Âîññòàíèå â Áîëãàðèè
Èþíü 1876 ã. Ñåðáèÿ è ×åðíîãîðèÿ
îáúÿâëÿþò âîéíó Òóðöèè,
â Ðîññèè èäåò ñáîð ñðåäñòâ
íà ïîìîùü âîññòàâøèì
è çàïèñü äîáðîâîëüöåâ
Îêòÿáðü 1876 ã. Ðàçãðîì ñåðáñêîé àðìèè
ïîä Äüþíèøåì; Ðîññèÿ
ïðåäúÿâëÿåò Òóðöèè
óëüòèìàòóì ïðåêðàòèòü
áîåâûå äåéñòâèÿ
ßíâàðü 1877 ã. Êîíôåðåíöèÿ ïîñëîâ åâðî-
ïåéñêèõ ñòðàí â Êîíñòàí-
òèíîïîëå. Íåóäàâøàÿñÿ ïî-
ïûòêà ðàçðåøåíèÿ êðèçèñà
Ìàðò 1877 ã. Åâðîïåéñêèå äåðæàâû ïîä-
ïèñàëè Ëîíäîíñêèé ïðîòî-
êîë, îáÿçûâàþùèé Òóðöèþ
ïðîâåñòè ðåôîðìû, íî òà
îòâåðãëà ýòî ïðåäëîæåíèå
12 àïðåëÿ 1877 ã. Àëåêñàíäð II ïîäïèñàë
ìàíèôåñò î íà÷àëå âîéíû
ñ Òóðöèåé
ÐÓÑÑÊÎ-ÒÓÐÅÖÊÀß ÂÎÉÍÀ 1877—1878 ãã.
Õîä âîåííûõ äåéñòâèé íà òåððèòîðèè
Áîëãàðèè è â Çàêàâêàçüå
1877 ã.
12 àïðåëÿ Âçÿòèå ðóññêèìè âîéñêàìè òóðåöêèõ êðåïîñòåé íà Äóíàå
12 àïðåëÿ Ïåðåõîä ðóññêèõ âîéñê ÷åðåç ðóññêî-òóðåöêóþ ãðàíèöó íà Êàâêàçå
18 àïðåëÿ Âçÿòèå Áàÿçåòà
22 ìàÿ Óñòàíîâëåíèå áëîêàäû Êàðñà
7—28 èþíÿ Îáîðîíà Áàÿçåòà ðóññêèì îòðÿäîì êàïèòàíà Øòîêîâè÷à
15 èþíÿ Ïåðåïðàâà àâàíãàðäà ðóññêîé àðìèè ÷åðåç Äóíàé ó Çèìíèöû
30 èþíÿ — 2 èþëÿ Ïåðåõîä ÷åðåç Áàëêàíû ïåðåäîâîãî îòðÿäà âî ãëàâå ñ ãåíåðàëîì
È.Â. Ãóðêî
7 èþëÿ Âçÿòèå Øèïêèíñêîãî ïåðåâàëà îòðÿäîì ãåíåðàëà È.Â. Ãóðêî
20 èþëÿ — 31 àâã. Øòóðì Ïëåâíû ðóññêèìè âîéñêàìè
12 îêò. — 28 íîÿáðÿ Áëîêàäà Ïëåâíû
6 íîÿáðÿ Øòóðì Êàðñà ðóññêèìè âîéñêàìè
28 íîÿáðÿ Ïëåíåíèå ãàðíèçîíà Ïëåâíû
13—19 äåêàáðÿ Ïåðåõîä ÷åðåç Áàëêàíû çàïàäíîãî îòðÿäà ãåíåðàëà È.Â. Ãóðêî
23 äåêàáðÿ Âçÿòèå Ñîôèè âîéñêàìè ãåíåðàëà È.Â. Ãóðêî
23—27 äåêàáðÿ Ïåðåõîä ÷åðåç Áàëêàíû îòðÿäîâ Ñâÿòîïîëê-Ìèðñêîãî è ãåíåðàëà
Ä.Ì. Ñêîáåëåâà
27 äåêàáðÿ Ñðàæåíèå ó äåðåâíè Øèïêà, âçÿòèå ðóññêèìè âîéñêàìè ñòàâêè
ã. Êàçàíëûêà
28 äåêàáðÿ Ñðàæåíèå ó Øåéíîâî, Øèïêè è íà Øèïêèíñêîì ïåðåâàëå. Âçÿòèå
â ïëåí òóðåöêîé àðìèè Âåññåëÿ-ïàøè
30 äåêàáðÿ Óñòàíîâëåíèå áëîêàäû Ýðçóðóìà
31 äåê. —
3 ÿíâ. 1878 ã.
Íàñòóïëåíèå àâàíãàðäà ãåíåðàëà È.Â. Ãóðêî íà Ôèëèïïîïîëü è
âçÿòèå ãîðîäà ïîñëå ïîðàæåíèÿ àðìèè Ñóëåéìàíà-ïàøè
1878 ã.
8 ÿíâàðÿ Âçÿòèå Àäðèàíîïîëÿ ðóññêèìè âîéñêàìè
10 ôåâðàëÿ Âçÿòèå Ýðçóðóìà ðóññêèìè âîéñêàìè
12 ôåâðàëÿ Âçÿòèå Ñàí-Ñòåôàíî ðóññêèìè âîéñêàìè
Èòîãè âîéíû
Ðîññèÿ âî âòîðîé ïîëîâèíå XIX â. 191
Ïðîäîëæåíèå
Ñàí-Ñòåôàíñêèé ìèðíûé
äîãîâîð 19 ôåâðàëÿ 1878 ã.
Áåðëèíñêèé òðàêòàò
1 èþëÿ 1878 ã.
1. Òóðöèÿ âûïëà÷èâàëà Ðîññèè
áîëüøóþ êîíòðèáóöèþ
1. Óìåíüøåíà ñóììà êîíòðèáóöèè
2. Áîëãàðèÿ ïðåâðàùàëàñü â
àâòîíîìíîå êíÿæåñòâî,
åæåãîäíî óïëà÷èâàþùåå
Òóðöèè ïîñèëüíóþ äàíü
2. Íåçàâèñèìîñòü ïîëó÷èëà òîëüêî
Ñåâåðíàÿ Áîëãàðèÿ, à Þæíàÿ
îñòàëàñü ïîä âëàñòüþ Òóðöèè
3. Ñåðáèÿ, ×åðíîãîðèÿ è
Ðóìûíèÿ ïðèîáðåëè ïîëíóþ
íåçàâèñèìîñòü, èõ òåððèòîðèÿ
çíà÷èòåëüíî óâåëè÷èâàëàñü
3. Òåððèòîðèàëüíûå ïðèîáðåòåíèÿ
Ñåðáèè è ×åðíîãîðèè óìåíüøèëèñü.
Îíè, à òàêæå Ðóìûíèÿ ïîëó÷àëè
íåçàâèñèìîñòü
4. Ðîññèÿ ïîëó÷àëà
Áåññàðàáèþ, Êàðñ, Áàÿçåò,
Àðäàãàí, Áàòóì
4. Àâñòðî-Âåíãðèÿ îêêóïèðîâàëà
Áîñíèþ è Ãåðöåãîâèíó, à Àíãëèÿ —
Êèïð
Íåäîâîëüñò-
âî åâðîïåé-
ñêèõ äåðæàâ
è îêàçàíèå
äàâëåíèÿ íà
Ðîññèþ.
Ïåðåäà÷à
ñòàòåé äîãî-
âîðà íà îá-
ñóæäåíèå
ìåæäóíà-
ðîäíîãî
êîíãðåññà
ÑÎÖÈÀËÜÍÎ-ÝÊÎÍÎÌÈ×ÅÑÊÎÅ ÐÀÇÂÈÒÈÅ
 ÏÎÐÅÔÎÐÌÅÍÍÛÉ ÏÅÐÈÎÄ
ÐÀÇÂÈÒÈÅ ÊÀÏÈÒÀËÈÇÌÀ Â ÐÎÑÑÈÈ
192 Îòå÷åñòâåííàÿ èñòîðèÿ â ñõåìàõ è òàáëèöàõ
 ñåëüñêîì õîçÿéñòâå  ïðîìûøëåííîñòè
Ïðóññêèé
ïóòü
Àìåðèêàíñêèé
ïóòü
Ãóáåðíèè
Öåíòðàëüíîé
Ðîññèè
Ðàéîíû Ñèáè-
ðè, ðóññêîãî
Ñåâåðà,
ðàññåëåíèå
êàçà÷åñòâà
Ýâîëþöèÿ ïî-
ìåùè÷üåãî õî-
çÿéñòâà â êà-
ïèòàëèñòè÷å-
ñêîå ïðè
ñîõðàíåíèè
ôåîäàëüíîé
ýêñïëóàòàöèè
êðåñòüÿí
Âîâëå÷åíèå
êðåñòüÿíñêèõ
(ôåðìåð-
ñêèõ) õî-
çÿéñòâ
â êàïèòàëè-
ñòè÷åñêèå
îòíîøåíèÿ
Ïåðåõîä íà
íàåìíûé
òðóä
Àêòèâèçà-
öèÿ æåëåç-
íîäîðîæ-
íîãî ñòðîè-
òåëüñòâà
Çàâåðøåíèå
ïðîìûøëåííîãî
ïåðåâîðîòà
ÑÎÖÈÀËÜÍÎ-ÝÊÎÍÎÌÈ×ÅÑÊÎÅ ÐÀÇÂÈÒÈÅ
 ÏÎÐÅÔÎÐÌÅÍÍÛÉ ÏÅÐÈÎÄ
Àãðàðíûé ñåêòîð
Ñåëüñêîå õîçÿéñòâî — ãëàâíàÿ îòðàñëü ñòðàíû
Îñíîâíûå ÷åðòû
Ðîññèÿ âî âòîðîé ïîëîâèíå XIX â. 193
Ñîõðàíåíèå
ôåîäàëüíûõ
ïåðåæèòêîâ
Ïðåîáëàäàíèå
ýêñòåíñèâíîãî
ïóòè ðàçâèòèÿ
Ðàçâèòèå
êàïèòàëèñòè÷åñêèõ
îòíîøåíèé
â äåðåâíå
Îòðàáîòêè
Äîìèíè-
ðîâàíèå
îáùèííûõ
ïîðÿäêîâ
â äåðåâíå
Ìàëîçåìåëüå
êðåñòüÿí
Ãîñïîäñòâî
ïîìåùè÷üå-
ãî çåìëåâëà-
äåíèÿ
Ðîñò òîâàðíîñòè
ñåëüñêîõîçÿéñòâåí-
íîãî ïðîèçâîäñòâà
ÎÑÍÎÂÍÛÅ ÔÎÐÌÛ ÏÎÌÅÙÈ×ÜÈÕ ÕÎÇßÉÑÒÂ
Îòðàáîòî÷íàÿ ñèñòåìà
Òðóä âðåìåííîîáÿçàííûõ
Êàïèòàëèñòè÷åñêàÿ ñèñòåìà
Íàåìíûé òðóä
Ñìåøàííàÿ ñèñòåìà
Ðàçíûå ðàáîòû âûïîëíÿëèñü
è âðåìåííîîáÿçàííûìè,
è íàåìíûìè ðàáî÷èìè
Ïîìåùè÷üè õîçÿéñòâà
ÎÑÎÁÅÍÍÎÑÒÈ
ÏÐÎÌÛØËÅÍÍÎÃÎ ÐÀÇÂÈÒÈß
Ñæàòûå èñòîðè÷åñêèå ñðîêè è âûñîêèå òåìïû
ðàçâèòèÿ ðîññèéñêîé ïðîìûøëåííîñòè
Îãðîìíàÿ ðîëü ãîñóäàðñòâà â ðàçâèòèè ýêîíîìèêè
Øèðîêîå ïðèâëå÷åíèå â ðîññèéñêóþ ýêîíîìèêó
èíîñòðàííîãî êàïèòàëà
Ñîõðàíåíèå ôåîäàëüíûõ
è ðàííåêàïèòàëèñòè÷åñêèõ ôîðì ýêñïëóàòàöèè
Íåðàâíîìåðíîñòü ýêîíîìè÷åñêîãî ðàçâèòèÿ
194 Îòå÷åñòâåííàÿ èñòîðèÿ â ñõåìàõ è òàáëèöàõ
Ïÿòü
ïðîìûøëåííûõ
ðåãèîíîâ
Îñòàëüíàÿ ÷àñòü
ñòðàíû —
ïðåîáëàäàíèå
àãðàðíî-êóñòàðíîãî
ïðîèçâîäñòâà
Ñòàðûå:
Ñåâåðî-Çàïàä,
Óðàë, Öåíòð
Ðîññèè
Íîâûå:
Äîíáàññ, Áàêó
ÈÇÌÅÍÅÍÈß Â ÑÎÖÈÀËÜÍÎ-ÑÎÑËÎÂÍÎÉ
ÑÒÐÓÊÒÓÐÅ ÐÎÑÑÈÉÑÊÎÃÎ ÎÁÙÅÑÒÂÀ
Ðîññèÿ âî âòîðîé ïîëîâèíå XIX â. 195
Ñîñëîâèÿ
Ïðèâèëåãèðîâàííûå Íåïðèâèëåãèðîâàííûå
Äâîðÿíå
Ïî÷åòíûå
ãðàæäàíå
Äóõîâåíñòâî Êóïöû Ìåùàíå Êðåñòüÿíå
Ïîòîìñòâåííûå
Ëè÷íîå
Ïîòîìñòâåííûå
Çàëè÷íûåçàñëóãè
×åðíîå(ìîíàõè)
Áåëîå
1-éãèëüäèè
2-éãèëüäèè
3-éãèëüäèè
Ïðîòèâîðå÷èÿ ìåæäó ñîñëîâíûì
è êëàññîâûì äåëåíèåì îáùåñòâà
Ïåðåæèòêè
ôåîäàëüíûõ
îòíîøåíèé
Êëàññû
Ïîìåùèêè Êðåñòüÿíå Áóðæóàçèÿ Ðàáî÷èå
Íå âñå äâîðÿíå áûëè
ïîìåùèêàìè. ×àñòü
èõ íå èìåëà ïîìåñ-
òèé, áûëà ïðåäñòàâ-
ëåíà ÷èíîâíèêàìè è
ïîëó÷èëà äâîðÿíñòâî
ïî âûñëóãå
Ðàññëîåíèå íà:
â êóëàêîâ
â ñåðåäíÿêîâ
â áåäíÿêîâ
Íîâûå êëàññû
ðàçâèâàþùåãîñÿ
êàïèòàëèçìà
Ïî÷åòíûå ãðàæäàíå
Êóïöû Ìåùàíå
Äâîðÿíå Êðåñòüÿíå
Áóðæóàçèÿ
Ôîðìèðîâàíèå ðàáî÷åãî êëàññà
è áóðæóàçèè
Ðàáî÷èå
Êðåñòüÿíå Ìåùàíå
ÐÎÑÑÈßÂÎÂÒÎÐÎÉÏÎËÎÂÈÍÅXIXâ.
ÐîññèÿâîâòîðîéïîëîâèíåXIXâ.ÏÐÀÂËÅÍÈÅÀËÅÊÑÀÍÄÐÀIII(1881—1894)
ÏðàâëåíèåÀëåêñàíäðàIII(1881—1894)ÂÍÓÒÐÅÍÍßßÏÎËÈÒÈÊÀ
196 Îòå÷åñòâåííàÿ èñòîðèÿ â ñõåìàõ è òàáëèöàõ
Èäåîëîãè:
Ê.Ï.Ïîáåäîíîñöåâ,
Ä.À.Òîëñòîé,
Â.Ï.Ìåùåðñêèé
Êîíòððåôîðìû—ïðèíÿòîåâèñòîðè÷åñêîéëèòåðàòóðåíàçâàíèåìåðîïðèÿòèé
ïðàâèòåëüñòâàÀëåêñàíäðàIIIïîïåðåñìîòðóèòîãîâðåôîðì60-õãã.
Îñíîâíûåíàïðàâëåíèÿ
Îãðàíè÷åíèåçåìñêîãîè
ãîðîäñêîãîñàìîóïðàâëåíèÿ
Óñèëåíèåïîëèöåéñêîãîðåæèìàèëèêâèäàöèÿ
íåêîòîðûõïîëîæåíèéñóäåáíîéðåôîðìû1864ã.
Ââåäåíèåäîïîëíèòåëüíûõîãðàíè÷åíèé
âñôåðåïå÷àòèèîáðàçîâàíèÿ
Ó÷ðåæäåíèå
äîëæíîñòåé
çåìñêèõó÷àñò-
êîâûõíà÷àëü-
íèêîâ
Íîâîå«Ïîëî-
æåíèåîãó-
áåðíñêèõè
óåçäíûõçåì-
ñêèõó÷ðåæäå-
íèÿõ»(1890)
Íîâîå«Ãîðî-
äîâîåïîëîæå-
íèå»(1892)
«Ïîëîæåíèåîìåðàõê
îõðàíåíèþãîñ.ïîðÿä-
êàèîáùåñòâåííîãî
ñïîêîéñòâèÿ»(1884)—
÷ðåçâû÷àéíûéçàêîí
äëÿáîðüáûñðåâîëþ-
öèîííûìäâèæåíèåì
Îãðàíè÷åíàîòêðûòîñòü
ñóäîïðîèçâîäñòâàïî
ïîëèò.äåëàì(1887)
Ëèêâèäèðîâàíûìèðî-
âûåñóäû(1889)
Íîâûå«Âðåìåííûå
ïðàâèëàîïå÷àòè»
(1882)—ëþáîéïå÷àò-
íûéîðãàíìîæíîçà-
êðûòü
Íîâûéóíèâåðñèòåò-
ñêèéóñòàâ(1884)
ÖèðêóëÿðÌèí.ïðî-
ñâåùåíèÿ«Îêóõàðêè-
íûõäåòÿõ»(1887)
Êîíòðîëüçà
êðåñòüÿí-
ñêèìñàìî-
óïðàâëåíèåì
Ðåøåíèåçå-
ìåëüíûõâî-
ïðîñîâ
Èçìåíåíèÿâçåì-
ñêîéèçáèðàòåëü-
íîéñèñòåìå
Óâåëè÷åíèå÷èñëà
äåïóòàòîâîòäâîðÿí
èèõñîêðàùåíèåîò
äðóãèõñîñëîâèé
Èçìåíåíèåâãîðîäñêîé
èçáèðàòåëüíîéñèñòåìå
Îòñòðàíåíèåîòâûáîðîâ
ìåëêèõñîáñòâåííèêîâââèäó
ïîâûøåíèÿèìóùåñòâåííîãî
öåíçà,íåîáõîäèìîãîäëÿ
ó÷àñòèÿââûáîðíîìïðîöåññå
Ñîçäàíûîõðàí-
íûåîòäåëåíèÿ
Ââîäèòñÿïîëè-
òè÷åñêèéñûñê
Ëèêâèäàöèÿàâòîíîìèè
Îãðàíè÷åíèåäëÿïîñòóïëåíèÿâ
ãèìíàçèèäåòåéíèçøèõñîñëîâèé
ÝÊÎÍÎÌÈ×ÅÑÊÎÅÐÀÇÂÈÒÈÅÂ80—90-åãã.XIXâ.Ðîññèÿ âî âòîðîé ïîëîâèíå XIX â. 197
Êóðñíàìîäåðíèçàöèþ
ïðîìûøëåííîñòè
Ðåôîðìàòîðñêàÿäåÿòåëüíîñòü
ÍèêîëàéÕðèñòèàíîâè÷Áóíãå(1823—1895)
Ìèíèñòðôèíàíñîââ1881—1886ãã.
ÏðåäñåäàòåëüÊàáèíåòàìèíèñòðîââ1887—
1895ãã.
Ñòîðîííèêïîëèòèêèïðîòåêöèîíèçìà;îñíîâ-
íûåìåðû:
âÏîâûøåíèåòàìîæåííûõïîøëèí
âÏîääåðæêà÷àñòíûõàêöèîíåðíûõáàíêîâ
âÐåôîðìèðîâàíèåñèñòåìûíàëîãîîáëîæåíèÿ
èââåäåíèåíîâûõíàëîãîâíàíåäâèæè-
ìîñòü,òîðãîâëþ,ïðîìûñëû,äåíåæíûåîïå-
ðàöèè
Ïîëèòèêàâêðåñòüÿíñêîìâîïðîñå:
âËèêâèäàöèÿ«âðåìåííîîáÿçàííîãîñîñòîÿ-
íèÿ»èïîíèæåíèåâûêóïíûõïëàòåæåé
(1881)
âÑîçäàíèåÊðåñòüÿíñêîãîáàíêàäëÿëüãîò-
íîãîêðåäèòîâàíèÿêðåñòüÿí(1882)
âÎòìåíàïîäóøíîéïîäàòè(1885)
ÈâàíÀëåêñååâè÷Âûøåãðàäñêèé
(1831—1895)
Ìèíèñòðôèíàíñîââ1887—1892ãã.
Ïðîäîëæàåòïîëèòèêó
ïðîòåêöèîíèçìà:
âÏðèíÿòíîâûéïîâûøåííûé
òàìîæåííûéòàðèô(1891)
âÏîâûøåíûêîñâåííûåíàëîãèè
ðàñøèðåíîíàëîãîîáëîæåíèå
òîðãîâûõèïðîìûøëåííûõ
ïðåäïðèÿòèé
âÓñèëåíèåðîëèãîñóäàðñòâàâ
ðåãóëèðîâàíèèõîç.äåÿòåëüíîñòè
÷àñòíîãîïðåäïðèíèìàòåëüñòâà
âÏîä÷èíåíèå÷àñòíûõæåëåçíûõ
äîðîããîñóäàðñòâó
ÄÎÁÈËÑßÓÑÒÎÉ×ÈÂÎÑÒÈ
ÔÈÍÀÍÑÎÂÎÉÑÈÑÒÅÌÛ
ÑåðãåéÞëüåâè÷Âèòòå(1849—1915)
Ìèíèñòðôèíàíñîââ1892—1903ãã.
ÏðåäñåäàòåëüÊîìèòåòàìèíèñòðîâñ1903ã.,
ïðåäñåäàòåëüÑîâåòàìèíèñòðîââ1905—1906ãã.
Ñòîðîííèêóñêîðåííîãîïðîìûøëåííîãîðàçâè-
òèÿ.
Îñíîâíûåíàïðàâëåíèÿýêîíîìè÷åñêîé
ïîëèòèêè:
âÆåñòêàÿíàëîãîâàÿïîëèòèêà,óâåëè÷åíèå
êîñâåííûõíàëîãîâ,ââåäåíèåãîñ.âèííîé
ìîíîïîëèè(1894)
âÏðîòåêöèîíèçì,ïðèçâàííûéçàùèòèòü
ðîññèéñêóþïðîìûøëåííîñòüîò
èíîñòðàííûõêîíêóðåíòîâ
âÔèíàíñîâàÿðåôîðìà(1897).Ââåäåíèå
çîëîòîãîîáåñïå÷åíèÿðóáëÿèåãîñâîáîäíàÿ
êîíâåðòàöèÿ
âØèðîêîåïðèâëå÷åíèåâñòðàíó
èíîñòðàííîãîêàïèòàëà
ÐÀÁÎ×ÅÅ ÄÂÈÆÅÍÈÅ È ÍÀ×ÀËÎ
ÐÀÑÏÐÎÑÒÐÀÍÅÍÈß ÌÀÐÊÑÈÇÌÀ
Ïåðâûå ðàáî÷èå îðãàíèçàöèè â Ðîññèè
Íàçâàíèå
îðãàíèçàöèè
Ãîäû è ìåñòî
ñóùåñòâîâàíèÿ
Ðóêîâîäèòå-
ëè
Ïðîãðàììà Äåÿòåëüíîñòü
«Þæíîðîñ-
ñèéñêèé ñî-
þç ðàáî÷èõ»
1875—1876 ãã.
Îäåññà
Å.Î. Çà-
ñëàâñêèé
Îê. 60 ÷åë.
Áîðüáà ñ ñóùåñòâóþùèì ïî-
ëèòè÷åñêèì ñòðîåì. Âëèÿíèå
íàðîäíè÷åñêîé èäåîëîãèè
Ïðîïàãàíäèñò-
ñêàÿ äåÿòåëü-
íîñòü
«Ñåâåðíûé
ñîþç ðóñ-
ñêèõ ðàáî-
÷èõ»
1878—1880 ãã.
Ïåòåðáóðã
Â.Ï. Îá-
íîðñêèé
Ñ.Í. Õàëòó-
ðèí
Îê. 200 ÷åë.
Ëèêâèäàöèÿ ñóùåñòâóþùåãî
ñòðîÿ. Áîðüáà çà ïîëèòè÷å-
ñêóþ ñâîáîäó. Ñîëèäàðíîñòü
ðàáî÷èõ âñåõ ñòðàí. Âëèÿíèå
íàðîäíèêîâ
Ó÷àñòèå â
ñòà÷êàõ. Èçäà-
íèå ïðîêëàìà-
öèé è ëèñòêà
«Ðàáî÷àÿ çàðÿ»
Ñòà÷êè
Ìàðêñèñòñêèå êðóæêè â Ðîññèè
Êðóæîê Ãîä, ìåñòî Ðóêîâîäèòåëè Äåÿòåëüíîñòü
Êðóæîê Áëàãîåâà 1883—1885 ãã.,
Ïåòåðáóðã
Ä. Áëàãîåâ Èçó÷åíèå ìàðêñèçìà, ïðîïàãàíäà
åãî ñðåäè ðàáî÷èõ, èçäàíèå ãàçåòû
«Ðàáî÷èé». Êðóæîê ðàñêðûò
ïîëèöèåé
«Òîâàðèùåñòâî
ñàíêò-ïåòåðáóðã-
ñêèõ ìàñòåðîâ»
1885—1888 ãã.,
Ïåòåðáóðã
Ï.Â. Òî÷èññêèé Ïðîïàãàíäà ìàðêñèçìà
ñðåäè ðàáî÷èõ
Êðóæîê Ôåäîñåå-
âà
1888 ã., Êàçàíü Í.Å. Ôåäîñååâ Ïðîïàãàíäà ìàðêñèçìà ñðåäè ðàáî-
÷èõ è ñòóäåíòîâ. Îðãàíèçàöèÿ ñòó-
äåí÷åñêèõ âîëíåíèé â Êàçàíñêîì
óíèâåðñèòåòå. Â ýòîì êðóæêå ê ìàð-
êñèçìó ïðèîáùèëñÿ Â.È. Óëüÿíîâ
(Ëåíèí)
Êðóæîê Áðóñíåâà 1889—1892 ãã.,
Ïåòåðáóðã
Ì.È. Áðóñíåâ Ïðîïàãàíäà ìàðêñèçìà, ñîçäàíèå
ðàáî÷èõ êðóæêîâ. Îðãàíèçàöèÿ äå-
ìîíñòðàöèè è ìàåâêè â 1891 ã.
198 Îòå÷åñòâåííàÿ èñòîðèÿ â ñõåìàõ è òàáëèöàõ
1872 ã.
Êðåíãîëüìñêàÿ
ìàíóôàêòóðà (Íàðâà)
1885 ã.
Íèêîëüñêàÿ ìàíóôàêòóðà
â Îðåõîâî-Çóåâî
(Ìîðîçîâñêàÿ ñòà÷êà)
ÂÍÅØÍßßÏÎËÈÒÈÊÀÐîññèÿ âî âòîðîé ïîëîâèíå XIX â. 199
Îñëàáëåíèåðîññèéñêî-
ãîâëèÿíèÿíàÁàëêàíàõ
Îáîñòðå-
íèåîòíî-
øåíèéñ
Áîëãàðèåé
èðàçðûâ
äèïëîìà-
òè÷åñêèõ
îòíîøåíèé
â1886ã.
Àçèàòñêàÿ
ïîëèòèêà
Óñèëåíèå
ãåðìàíî-
àâñòðèé-
ñêîãî
âëèÿíèÿ
âäàííîì
ðåãèîíå
Ñáëèæåíèå
ÐîññèèèÔðàíöèè
Ðîññèéñêî-ãåðìàíñêèå
îòíîøåíèÿ
«Äîãîâîð
ïåðåñòðàõîâêè»
Ðîññèèè
Ãåðìàíèè(1887)
Îáîñòðåíèå
ýêîíîìè÷åñêèõ
îòíîøåíèé.
Òàìîæåííàÿ
âîéíà
ñ1890ã.
Ïîëèòè÷åñêîå
ñîãëàøåíèå1891ã.
Âîåííàÿ
êîíâåíöèÿ1892ã.
Îôîðìëåíèå
ðóññêî-
ôðàíöóçñêîãî
ñîþçà
Çàâåðøåíèåïðèñîå-
äèíåíèÿÑðåäíåé
Àçèè.Ïîêîðåíèå
òóðêìåíñêèõïëåìåí
èâçÿòèåÀøõàäàáà
(1881—1882)
Óñòàíîâëåíèåãðà-
íèöÐîññèèèÀôãà-
íèñòàíà,êîòîðûé
ÿâëÿëñÿïðîòåêòîðà-
òîìÀíãëèè
(1885—1895)
Íà÷àëîñáëèæåíèÿñÀíãëèåé
ÂîçíèêíîâåíèåâÅâðîïå
ïðîòèâîáîðñòâóþùèõ
âîåííî-ïîëèòè÷åñêèõ
áëîêîââêîíöåXIXâ.
Îáðàçîâàíèå
«Òðîéñòâåííîãî
ñîþçà»—
Ãåðìàíèÿ,
Àâñòðî-Âåíãðèÿè
Èòàëèÿ—1882ã.
ÐÎÑÑÈß Â ÍÀ×ÀËÅ XX â.
Ðîññèÿ â íà÷àëå XX â.ÝÊÎÍÎÌÈ×ÅÑÊÎÅ ÐÀÇÂÈÒÈÅ
ÐÎÑÑÈÈ Â ÍÀ×ÀËÅ XX ÂÅÊÀ
Ýêîíîìè÷åñêîå ðàçâèòèå Ðîññèè â íà÷àëå XX âåêàÎñîáåííîñòè
ýêîíîìè÷åñêîãî ðàçâèòèÿ
200 Îòå÷åñòâåííàÿ èñòîðèÿ â ñõåìàõ è òàáëèöàõ
Ñêëàäûâàíèå
ñèñòåìû ãî-
ñóäàðñòâåí-
íî-ìîíîïî-
ëèñòè÷åñêîãî
êàïèòàëèçìà
Øèðîêîå
âíåäðåíèå
èíîñòðàí-
íîãî êàïè-
òàëà
Ìíîãîóê-
ëàäíîñòü
ýêîíîìèêè
Âûñîêîðàç-
âèòàÿ ïðî-
ìûøëåí-
íîñòü è ôè-
íàíñîâî-
áàíêîâñêàÿ
ñèñòåìà
×àñòíîêà-
ïèòàëèñòè-
÷åñêèé óê-
ëàä (ôàá-
ðèêè è
çàâîäû,
ïîìåùè÷üè
è êóëàöêèå
õîçÿéñòâà)
Îòñòàâàíèå
àãðàðíîãî
ñåêòîðà, ñî-
õðàíåíèå
ôåîäàëüíûõ
ïåðåæèòêîâ
Ïîëóíàòó-
ðàëüíûé
(êðåñòüÿí-
ñêèé)
óêëàä
Ìåëêîòî-
âàðíûé óê-
ëàä (êóñ-
òàðíî-ðå-
ìåñëåííîå
ïðîèçâîä-
ñòâî)
ñ
î
÷
å
ò
à
í
è
å
ÎÁÐÀÇÎÂÀÍÈÅ ÏÎËÈÒÈ×ÅÑÊÈÕ
ÏÀÐÒÈÉ Â ÊÎÍÖÅ XIX — ÍÀ×ÀËÅ XX â.
Îáðàçîâàíèå ïîëèòè÷åñêèõ ïàðòèé
Ðîññèÿ â íà÷àëå XX â. 201
Êëàññèôèêàöèÿ ïîëèòè÷åñêèõ ïàðòèé ïî íàïðàâëåíèÿì
Ñîöèàëèñòè÷åñêèå
(ðåâîëþöèîííûå)
ïîëèòè÷åñêèå ïàðòèè
Ëèáåðàëüíûå
ïîëèòè÷åñêèå ïàðòèè
Êîíñåðâàòèâíî-
òðàäèöèîíàëèñòñêèå
ïàðòèè
Ñîöèàëèñòè÷åñêèå (ðåâîëþöèîííûå)
ïîëèòè÷åñêèå ïàðòèè
Ñîöèàë-äåìîêðàòû Íåîíàðîäíèêè
Íàöèîíàëüíûå ñîöèàë-
äåìîêðàòè÷åñêèå
ïàðòèè
ÁÓÍÄ
Ðåâîëþöèîííàÿ
óêðàèíñêàÿ ïàðòèÿ
Ñîöèàë-
äåìîêðàòè÷åñêàÿ
ïàðòèÿ «Ãí÷àê»
(«Êîëîêîë»)
Àðìåíèÿ
Ñîöèàë-
äåìîêðàòè÷åñêàÿ
ïàðòèÿ Ëèòâû
Ýñòîíñêèé ñîöèàë-
äåìîêðàòè÷åñêèé ñîþç
ÐÑÄÐÏ
Áîëüøåâèêè
Ìåíüøåâèêè
Àíàðõèñòû
Ñîöèàëèñòû-
ðåâîëþöèîíåðû
(ýñåðû)
Áåëîðóññêàÿ
ñîöèàëèñòè÷åñêàÿ
ãðîìàäà
Íàöèîíàëüíûå
íåîíàðîäíè÷åñêèå
ïàðòèè
«Äàøíàêöóòþí»
(Àðìåíèÿ)
Ïîëüñêàÿ
ñîöèàëèñòè÷åñêàÿ
ïàðòèÿ
ÑÎÖÈÀË-ÄÅÌÎÊÐÀÒÛ
ÐÑÄÐÏ
202 Îòå÷åñòâåííàÿ èñòîðèÿ â ñõåìàõ è òàáëèöàõ
Îáðàçîâàëàñü
â 1898 ã.
Âîññîçäàíà
â 1903 ã.
Áîëüøåâèêè Ìåíüøåâèêè
Ëèäåðû:
Â.È. Ëåíèí
Ã.Å. Çèíîâüåâ
Ëèäåðû:
Ã.Â. Ïëåõàíîâ
Þ.Î. Ìàðòîâ
II ñúåçä ÐÑÄÐÏ
(1903)
Ïðèíÿòû
ïðîãðàììà è
óñòàâ. Ñîçäàíû
ðóêîâîäÿùèå
îðãàíû
l Îïîðà â èäåîëîãèè íà ðàç-
íûå ïëàñòû ìàðêñèçìà
l Ðàçëè÷èÿ â îöåíêå ïîëèòè-
÷åñêîé è ñîöèàëüíî-ýêîíî-
ìè÷åñêîé îáñòàíîâêè â
Ðîññèè
l Ðàçíîãëàñèÿ ïî ñòðàòåãè÷å-
ñêèì è òàêòè÷åñêèì âîïðî-
ñàì ïîëèòè÷åñêîãî ïîâåäå-
íèÿ ïàðòèè
l Ðàçëè÷íûå ïîäõîäû ê âî-
ïðîñàì ïàðòèéíîãî ñòðîè-
òåëüñòâà
l Ëè÷íîå ñîïåðíè÷åñòâî ëè-
äåðîâ çà âëàñòü â ïàðòèè
ÏÐÈ×ÈÍÛ ÐÀÑÊÎËÀ
ÍÅÎÍÀÐÎÄÍÈÊÈ
ÏÀÐÒÈß ÑÎÖÈÀËÈÑÒÎÂ-
ÐÅÂÎËÞÖÈÎÍÅÐÎÂ (ÝÑÅÐÛ)
Îáðàçîâàëàñü â 1902 ã.
Ðàçìåæåâàíèå
Ðîññèÿ â íà÷àëå XX â. 203
Ëåâûå ýñåðû
(1917)
Ïðàâûå
ýñåðû
Íàðîäíûå
ñîöèàëèñòû
(1906)
Ñîþç ýñýðîâ-
ìàêñèìàëèñòîâ
(1906)
ÎÁÐÀÇÎÂÀÍÈÅ ÀÍÀÐÕÈ×ÅÑÊÈÕ ÃÐÓÏÏ
Àíàðõèñòû
Àíàðõî-
êîììóíèñòû
(1903—1906)
Àíàðõî-
èíäèâèäóàëèñòû
(1905)
Àíàðõî-
ñèíäèêàëèñòû
(1905—1906)
ËÈÁÅÐÀËÜÍÛÅ ÏÎËÈÒÈ×ÅÑÊÈÅ ÏÀÐÒÈÈ
204 Îòå÷åñòâåííàÿ èñòîðèÿ â ñõåìàõ è òàáëèöàõ
Êîíñòèòóöèîííî-
äåìîêðàòè÷åñêàÿ
ïàðòèÿ íàðîäíîé
ñâîáîäû (êàäåòû)
(1905)
Ïàðòèÿ
äåìîêðàòè÷åñêèõ
ðåôîðì
(1905)
Ïàðòèÿ
ìèðíîãî
îáíîâëåíèÿ
(1906)
Ñîþç «17 îêòÿáðÿ»
(îêòÿáðèñòû)
(1906)
Ïðîãðåññèâíàÿ
ïàðòèÿ
(ïðîãðåññèñòû)
(1912)
Êîíñåðâàòèâíî-òðàäèöèîíàëèñòñêèå
(îõðàíèòåëüíî-ñàìîäåðæàâíûå)
ïîëèòè÷åñêèå ïàðòèè
×åðíîñîòåííûå
îðãàíèçàöèè
l Ñîþç ðóññêîãî íàðîäà
l Ðóññêèé íàðîäíûé ñîþç
èìåíè Ìèõàèëà
Àðõàíãåëà
l Ðóññêàÿ ìîíàðõè÷åñêàÿ
ïàðòèÿ
l Ñîþç ðóññêèõ ëþäåé
Íàöèîíàëèñòû
l Ïàðòèÿ
íàöèîíàëèñòîâ
(ñ ÿíâàðÿ 1910 ã.
Âñåðîññèéñêèé
íàöèîíàëüíûé ñîþç)
l Âñåðîññèéñêèé ñîþç
çåìåëüíûõ
ñîáñòâåííèêîâ
Îáðàçîâàëèñü,
íà÷èíàÿ ñ 1905 ã.
ÐÓÑÑÊÎ-ßÏÎÍÑÊÀß ÂÎÉÍÀ 1904—1905 ãã.
Ïðè÷èíû: ïðîòèâîñòîÿíèå Ðîññèè è ßïîíèè
íà Äàëüíåì Âîñòîêå, âîéíà âñïûõíóëà âñëåäñòâèå
îáîñòðåíèÿ ïðîòèâîðå÷èé
ÏÐÎÒÈÂÎÐÅ×Èß
Ðîññèÿ â íà÷àëå XX â. 205
Ýêîíîìè÷åñêèå Ïîëèòè÷åñêèå
l ÊÂÆÄ è ðîññèéñêàÿ
ýêîíîìè÷åñêàÿ ýêñ-
ïàíñèÿ â Ìàíü÷æóðèè
l Àðåíäà Ðîññèåé Ëÿî-
äóíñêîãî ïîëóîñòðîâà
è Ïîðò-Àðòóðà
l Áîðüáà çà ñôåðû âëèÿ-
íèÿ â Êèòàå è Êîðåå
l Âîéíà êàê ñðåäñòâî
îòâëå÷åíèÿ îò ðåâîëþ-
öèîííîãî äâèæåíèÿ â
Ðîññèè
Õîä âîåííûõ äåéñòâèé
Íà ìîðå
l 27.01.1904 ã.
Íàïàäåíèå ÿïîíöåâ íà
ðóññêèé ôëîò (ãèáåëü
êðåéñåðà «Âàðÿã»)
l 31.03.1904 ã.
Ãèáåëü êîìàíäóþùåãî
Òèõîîêåàíñêèì ôëîòîì
Ñ.Î. Ìàêàðîâà
l 14—15.05.1905 ã.
Ïîðàæåíèå 2-é Òèõî-
îêåàíñêîé ýñêàäðû
ó î. Öóñèìà
Íà ñóøå
l 27.01—20.12.1904 ã.
Îáîðîíà âîåííî-ìîð-
ñêîé êðåïîñòè Ïîðò-
Àðòóð
l 11—21.08.1904 ã.
Ëÿîäóíñêàÿ âîåííàÿ
îïåðàöèÿ. Ïîðàæåíèå
ðóññêèõ âîéñê
l 6—25.02.1905 ã.
Ïîðàæåíèå ðóññêèõ
âîéñê ïîä Ìóêäåíîì
(Ìàíü÷æóðèÿ)
l Êîðåÿ ïðèçíàâàëàñü ñôåðîé âëèÿíèÿ ßïîíèè
l ßïîíèÿ ïîëó÷èëà âî âëàäåíèå Þæíûé Ñàõàëèí
l ßïîíèÿ ïîëó÷èëà ïðàâî ðûáíîãî ïðîìûñëà âäîëü ðóññêèõ áåðåãîâ
l Ðîññèÿ ïåðåäàëà ßïîíèè â àðåíäó Ëÿîäóíñêèé ïîëóîñòðîâ è
Ïîðò-Àðòóð
Ïîðòñìóòñêèé äîãîâîð Ïîðàæåíèå Ðîññèè
23.08.1905 ã.
Íåñîñòîÿòåëüíîñòü âûñøåãî ãîñóäàðñòâåí-
íîãî è âîåííîãî ðóêîâîäñòâà
ãëàâíàÿ ïðè÷èíà
ÐÅÂÎËÞÖÈß 1905—1907 ãã.
Ðåâîëþöèÿ 1905—1907 ãã.
206 Îòå÷åñòâåííàÿ èñòîðèÿ â ñõåìàõ è òàáëèöàõ
Ïðè÷èíû
Ïðîòèâîñòîÿíèå
ñàìîäåðæàâèÿ è îáùåñòâà,
âûçâàííîå îòñóòñòâèåì
ïîëèòè÷åñêèõ ñâîáîä è
ïàðëàìåíòà êàê ôîðìû
ïðåäñòàâèòåëüíîé âëàñòè
Íåðåøåííîñòü àãðàðíîãî
âîïðîñà: ãîñïîäñòâî
ïîìåùè÷üåãî çåìëåâëàäåíèÿ,
ìàëîçåìåëüå êðåñòüÿí,
ñîõðàíåíèå âûêóïíûõ
ïëàòåæåé
«Îíè — â
íàðóøåíèè
ðàâíîâåñèÿ ìåæäó
èäåéíûìè
ñòðåìëåíèÿìè
ðóññêîãî
ìûñëÿùåãî
îáùåñòâà è
íûíåøíèìè
ôîðìàìè åãî
æèçíè. Ðîññèÿ
ïåðåðîñëà ôîðìó
ñóùåñòâóþùåãî
ñòðîÿ. Îíà
ñòðåìèòñÿ ê
ñòðîþ ïðàâîâîìó
íà îñíîâå
ãðàæäàíñêîé
ñâîáîäû»
Ñ.Þ. Âèòòå
Óõóäøåíèå ïîëîæåíèÿ
ðàáî÷èõ âñëåäñòâèå
îáîñòðåíèÿ êîíôëèêòà ìåæäó
òðóäîì è êàïèòàëîì
Êðèçèñ èìïåðñêîé ñèñòåìû
îòíîøåíèé ìåæäó öåíòðîì
è ïðîâèíöèåé, ìåæäó
ìåòðîïîëèåé è
íàöèîíàëüíûìè ðàéîíàìè
Íåóäà÷íûé õîä è ïîðàæåíèå
Ðîññèè â Ðóññêî-ÿïîíñêîé
âîéíå 1904—1905 ãã.
11
2
3
4
5
ÕÀÐÀÊÒÅÐ È ÖÅËÈ
ÐÅÂÎËÞÖÈÈ 1905—1907 ãã.
Õàðàêòåð ïåðâîé ðóññêîé ðåâîëþöèè — áóðæóàçíî-
äåìîêðàòè÷åñêèé. Ïî ñîñòàâó ó÷àñòíèêîâ îíà áûëà
îáùåíàðîäíîé
Öåëè ðåâîëþöèè
l Ñâåðæåíèå ñàìîäåðæàâèÿ
l Óñòàíîâëåíèå äåìîêðàòè÷åñêîé ðåñïóáëèêè
l Ââåäåíèå äåìîêðàòè÷åñêèõ ñâîáîä
l Ëèêâèäàöèÿ ïîìåùè÷üåãî çåìëåâëàäåíèÿ è
íàäåëåíèå êðåñòüÿí çåìëåé
l Ñîêðàùåíèå ïðîäîëæèòåëüíîñòè ðàáî÷åãî äíÿ äî
8 ÷àñîâ
l Ïðèçíàíèå ïðàâ ðàáî÷èõ íà ñòà÷êè è ñîçäàíèå
ïðîôåññèîíàëüíûõ ñîþçîâ
ÝÒÀÏÛ ÐÅÂÎËÞÖÈÈ 1905—1907 ãã.
I
ßíâàðü —
ñåíòÿáðü 1905 ã.
II
Îêòÿáðü —
äåêàáðü 1905 ã.
III
ßíâàðü 1906 ã. —
èþíü 1907 ã.
Íà÷àëî è ðàçâèòèå
ðåâîëþöèè ïî
âîñõîäÿùåé ëèíèè
Âûñøèé
ïîäúåì
ðåâîëþöèè
Ñïàä è
îòñòóïëåíèå
ðåâîëþöèè
Ðîññèÿ â íà÷àëå XX â. 207
I ÝÒÀÏ ÐÅÂÎËÞÖÈÈ
ÿíâàðü — ñåíòÿáðü 1905 ã.
208 Îòå÷åñòâåííàÿ èñòîðèÿ â ñõåìàõ è òàáëèöàõ
«Êðîâàâîå
âîñêðåñåíüå»
9 ÿíâàðÿ 1905 ã.
Ðåâîëþöèîííûõ
âûñòóïëåíèé
Èìïóëüñ äëÿ
Ðåàêöèÿ
âåðõîâíîé âëàñòè
Îáåùàíèÿ
è ïîëóìåðû
l 18 ôåâðàëÿ 1905 ã. —
ðåñêðèïò Íèêîëàÿ II
ñ îáåùàíèÿìè ðåôîðì
l 6 àâãóñòà 1905 ã. —
óêàç Íèêîëàÿ II
îá ó÷ðåæäåíèè Ãîñó-
äàðñòâåííîé äóìû
(ò.í. «Áóëûãèíñêîé»)
l Ñòà÷êà ðàáî÷èõ â
Èâàíîâî-Âîçíåñåí-
ñêå è âîçíèêíîâåíèå
ñîâåòà ðàáî÷èõ óïîë-
íîìî÷åííûõ (ìàé —
èþíü 1905 ã.)
l Âîññòàíèå íà áðîíå-
íîñöå «Ïîòåìêèí»
(èþíü 1905 ã.)
l Ñúåçäû çåìñêèõ
ïðåäñòàâèòåëåé è
Âñåðîññèéñêèé êðå-
ñòüÿíñêèé ñúåçä —
òðåáîâàíèå êîíñòèòó-
öèîííûõ ðåôîðì
(ìàé — èþíü 1905 ã.)
Óñèëåíèå ðåâîëþöèîííîãî äâèæåíèÿ
II ÝÒÀÏ ÐÅÂÎËÞÖÈÈ
îêòÿáðü — äåêàáðü 1905 ã.
Âûñøèé ïîäúåì ðåâîëþöèè
Ðîññèÿ â íà÷àëå XX â. 209
Îáðàçîâàíèå
ïîëèòè÷åñêèõ
ïàðòèé
Ðåâîëþöèîííûå
ñîáûòèÿ
Äåéñòâèÿ
âåðõîâíîé
âëàñòè
Êàäåòû,
îêòÿá-
ðèñòû
×åðíî-
ñîòåí-
íûå îð-
ãàíèçà-
öèè
Îáðàçîâàíèå Ñî-
âåòîâ ðàáî÷èõ
äåïóòàòîâ â Ìî-
ñêâå è Ïåòåðáóð-
ãå (íîÿáðü — äå-
êàáðü 1905 ã.)
Âñåðîññèéñêàÿ
ïîëèòè÷åñêàÿ
ñòà÷êà (ñåí-
òÿáðü — îêòÿáðü
1905 ã.)
Âîññòàíèå
íà ôëîòå
(Ñåâàñòîïîëü,
Êðîíøòàäò —
îêòÿáðü-íîÿáðü
1905 ã.)
Äåêàáðüñêîå
âîîðóæåííîå
âîññòàíèå
â Ìîñêâå
17 îêòÿáðÿ
1905 ã. — öàð-
ñêèé ìàíèôåñò
«Îá óñîâåðøåí-
ñòâîâàíèè ãîñó-
äàðñòâåííîãî
ïîðÿäêà»
Èçäàíèå íîâîãî
çàêîíà î âûáî-
ðàõ â I Ãîñóäàð-
ñòâåííóþ
äóìó (11 äåêàá-
ðÿ 1905 ã.)
Ïîäàâëåíèå ñ
ïîìîùüþ âîéñê
(15—18 äåêàáðÿ
1905 ã.)
III ÝÒÀÏ. ÑÏÀÄ ÐÅÂÎËÞÖÈÈ.
ßíâàðü 1906 — èþíü 1907 ã.
Ðåâîëþöèîííûå
âûñòóïëåíèÿ
Ïàðëàìåíòñêàÿ
áîðüáà
Äåéñòâèÿ âåðõîâíîé
âëàñòè
l Ìàññîâûå êðåñòüÿí-
ñêèå âîëíåíèÿ
(èþíü 1906 ã.)
l Âûáîðû â
I Ãîñóäàðñòâåííóþ
äóìó (26.03 è
20.04.1906 ã.)
l Ïðåîáðàçîâàíèå Ãîñó-
äàðñòâåííîãî ñîâåòà â
âåðõíþþ ïàëàòó ïàðëà-
ìåíòà (26.02.1906 ã.)
l Âîññòàíèå ñîëäàò è
ìîðÿêîâ Áàëòèéñêî-
ãî ôëîòà â Ñâåàáîð-
ãå, Êðîíøòàäòå è Ðå-
âåëå (èþëü 1906 ã.)
l Íà÷àëî ðàáîòû I Ãî-
ñóäàðñòâåííîé äóìû
(27.04.1906 ã.)
l Èçäàíèå «Îñíîâíûõ çà-
êîíîâ Ðîññèéñêîé èìïå-
ðèè», îïðåäåëÿâøèõ
ïîëíîìî÷èÿ Ãîññîâåòà è
Ãîñäóìû (23.04.1906 ã.)
l Äóìñêèé àäðåñ èì-
ïåðàòîðó ñ òðåáîâà-
íèåì ââåäåíèÿ êîí-
ñòèòóöèîííîãî ïðàâ-
ëåíèÿ (05.05.1906 ã.)
l Èçäàíèå «Âðåìåííûõ
ïðàâèë», ðàçðåøàâøèõ
ñîçäàíèå ïðîôñîþçîâ
(04.03.1906 ã.)
l Âûáîðãñêîå âîççâà-
íèå 182 äåïóòàòîâ â
çíàê ïðîòåñòà ïðî-
òèâ ðîñïóñêà I Ãîñó-
äàðñòâåííîé äóìû
(10.07.1906 ã.)
l Ïîêóøåíèå íà
Ï.À. Ñòîëûïèíà
(12.08.1906 ã.)
l Ñîçäàíèå âîåííî-ïîëå-
âûõ ñóäîâ (19.08.1906
l Äåÿòåëüíîñòü II Ãî-
ñóäàðñòâåííîé äóìû
(20.02—2.06.1907 ã.)
l Íà÷àëî àãðàðíîé ðåôîð-
ìû Ï.À. Ñòîëûïèíà. Èç-
äàíèå öàðñêîãî óêàçà,
ïðåäîñòàâëÿâøåãî êðå-
ñòüÿíèíó ïðàâî âûõîäà
èç îáùèíû ñ ïðèíàäëå-
æàâøèì åìó çåìåëüíûì
íàäåëîì (09.11.1906 ã.)
l Ðîñïóñê II Ãîñóäàð-
ñòâåííîé äóìû è
ââåäåíèå â äåéñòâèå
íîâîãî èçáèðàòåëü-
íîãî çàêîíà
(03.06.1907 ã.)
ÇÀÂÅÐØÅÍÈÅ ÏÅÐÂÎÉ ÐÓÑÑÊÎÉ ÐÅÂÎËÞÖÈÈ
210 Îòå÷åñòâåííàÿ èñòîðèÿ â ñõåìàõ è òàáëèöàõ
ÈÒÎÃÈ ÏÅÐÂÎÉ ÐÓÑÑÊÎÉ
ÐÅÂÎËÞÖÈÈ 1905—1907 ãã.
Ðîññèÿ â íà÷àëå XX â. 211
Íà÷àëî äâèæåíèÿ Ðîññèè
ê êîíñòèòóöèîííîé
ìîíàðõèè è ïðàâîâîìó
ãîñóäàðñòâó
Ñîçäàíèå
Ãîñóäàðñòâåííîé
äóìû
Ðåôîðìà
Ãîñóäàðñòâåííîãî
ñîâåòà —
ïðåîáðàçîâàíèå åãî
â âåðõíþþ ïàëàòó
ïàðëàìåíòà
Óòâåðæäåíèå
«Îñíîâíûõ çàêîíîâ
Ðîññèéñêîé
èìïåðèè»
Ïðîâîçãëàøåíèå
ñâîáîäû ñëîâà
Ðàçðåøåíèå
ñîçäàâàòü
ïðîôñîþçû
×àñòè÷íàÿ
ïîëèòè÷åñêàÿ
àìíèñòèÿ
Ñòîëûïèíñêèå
ðåôîðìû
Îòìåíà âûêóïíûõ
ïëàòåæåé äëÿ
êðåñòüÿí
ÂÛÁÎÐÛ
 ÃÎÑÓÄÀÐÑÒÂÅÍÍÓÞ ÄÓÌÓ
Âûáîðû â Ãîñóäàðñòâåííóþ äóìó
212 Îòå÷åñòâåííàÿ èñòîðèÿ â ñõåìàõ è òàáëèöàõ
Ãîñóäàðñòâåííàÿ äóìà
ÄÅÏÓÒÀÒÛ
Âûáîðùèêè ãóáåðíñêîãî èçáèðàòåëüíîãî ñîáðàíèÿ
Èçáèðàòåëüíûå êóðèè
Çåìëåäåëü÷åñêàÿ Ãîðîäñêàÿ Êðåñòüÿíñêàÿ Ðàáî÷àÿ
1 2 3 4
Çåìëåäåëüöû-
ïîìåùèêè
1 âûáîðùèê
îò
2 òûñ.
ïîìåùèêîâ
(çàêîí
îò 11 äåêàáðÿ
1905 ã.)
230
ïîìåùèêîâ
(çàêîí
îò 3 èþíÿ
1907 ã.)
Ãîðîæàíå
1 âûáîðùèê
îò 7 òûñ.
ãîðîæàí
90 òûñ.
ðàáî÷èõ
(1905)
60 òûñ.
êðåñòüÿí
(1907)
30 òûñ.
êðåñòüÿí
(1905)
Óïîëíîìî÷åí-
íûå ðàáî÷èõ
Óïîëíîìî÷åí-
íûå âîëîñòåé
Âîëîñòíûå
ñõîäû
Âûáîðû óïîë-
íîìî÷åííûõ
1 âûáîðùèê
îò
125 òûñ.
ðàáî÷èõ
(1907)
ÃÎÑÓÄÀÐÑÒÂÅÍÍÀß ÄÓÌÀ È ÎÏÛÒ ÐÎÑÑÈÉÑÊÎÃÎ
ÏÀÐËÀÌÅÍÒÀÐÈÇÌÀ (1906—1917)
Âðåìÿ
ðàáîòû
Ïàðòèéíî-ïîëèòè÷åñêèé
ñîñòàâ
Ðóêîâîäñòâî
Ãîñóäàðñòâåííîé
äóìû
Îñíîâíûå âîïðîñû â
íàïðàâëåíèÿ äåÿòåëüíîñòè
24 àïðåëÿ —
8 èþëÿ
1906 ã.
I Ãîñóäàðñò-
âåííàÿ äóìà
Êàäåòû — 161; òðóäîâè-
êè — 97; ìèðíîîáíîâëåí-
öû — 25; ñ.-ä. — 17;
Ïàðòèÿ äåìîêðàòè÷åñêèõ
ðåôîðì — 14; ïðîãðåññè-
ñòû — 12; áåñïàðòèé-
íûå — 103; Ïàðòèÿ ñîþçà
àâòîíîìèñòîâ: ïîëüñêîå
êîëî — 32; ýñòîíñêàÿ
ãðóïïà — 5; ëàòûøñêàÿ
ãðóïïà — 6; ãðóïïà çàïàä-
íûõ îêðàèí — 20; ëèòîâ-
ñêàÿ ãðóïïà — 7.
Âñåãî: 499 äåïóòàòîâ
Ïðåäñåäàòåëü —
Ñ.À. Ìóðîìöåâ
(êàäåò)
l Ïðîáëåìà ñîçäàíèÿ «îò-
âåòñòâåííîãî ïåðåä Ãî-
ñóäàðñòâåííîé äóìîé
ìèíèñòåðñòâà»
l Öåíòðàëüíûé âîïðîñ —
àãðàðíûé
Âñå îòêëîíåíî âåðõîâ-
íîé âëàñòüþ, è Ãîñóäàð-
ñòâåííàÿ äóìà áûëà
ðàñïóùåíà
20 ôåâðà-
ëÿ — 2 èþíÿ
1907 ã.
II Ãîñóäàð-
ñòâåííàÿ
äóìà
Òðóäîâèêè — 104; êàäå-
òû — 98; ñ.-ä. — 65; ýñå-
ðû — 37; ïðàâûå — 22; íà-
ðîäíûå ñîöèàëèñòû — 16;
óìåðåííûå è îêòÿáðè-
ñòû — 32; Ïàðòèÿ äåìî-
êðàòè÷åñêèõ ðåôîðì — 1;
áåñïàðòèéíûå — 50; íà-
öèîíàëüíûå ãðóïïû — 76;
êàçà÷üÿ ãðóïïà — 17.
Âñåãî: 518 äåïóòàòîâ
Ïðåäñåäàòåëü —
À.Ô. Ãîëîâèí
(êàäåò)
l Öåíòðàëüíûé âîïðîñ —
àãðàðíûé (ïðîåêòû êà-
äåòîâ, òðóäîâèêîâ, ñ.-ä.)
l Îòêàç ïîääåðæàòü ñòî-
ëûïèíñêèå àãðàðíûå ðå-
ôîðìû
Ðàñïóùåíà ïî óêàçó öàðÿ
îò 3 èþíÿ 1907 ã., ïîñëå
÷åãî áûë ââåäåí â äåéñò-
âèå íîâûé èçáèðàòåëü-
íûé çàêîí
1 íîÿáðÿ
1907 ã. —
9 èþíÿ
1912 ã.
Ill Ãîñóäàð-
ñòâåííàÿ
äóìà
Îêòÿáðèñòû — 136; íàöèî-
íàëèñòû — 90; ïðàâûå —
51; êàäåòû — 53; ïðîãðåñ-
ñèñòû è ìèðíîîáíîâëåí-
öû — 39; ñ.-ä. — 19; òðóäî-
âèêè — 13; áåñïàðòèé-
íûå — 15; íàöèîíàëüíûå
ãðóïïû — 26.
Âñåãî: 442 äåïóòàòà
Ïðåäñåäàòåëè:
Í.À. Õîìÿêîâ
(îêòÿáðèñò,
1907—1910);
À.È. Ãó÷êîâ (îê-
òÿáðèñò, 1910—
1911); Ì.Â. Ðîä-
çÿíêî (îêòÿáðèñò,
1911—1912)
l Óòâåðæäåíî àãðàðíîå çà-
êîíîäàòåëüñòâî ïî ðå-
ôîðìå Ñòîëûïèíà
(1910)
l Ïðèíÿòî ðàáî÷åå çàêî-
íîäàòåëüñòâî
l Îãðàíè÷åíà àâòîíîìèÿ
Ôèíëÿíäèè
15 íîÿáðÿ
1912 ã. —
6 îêòÿáðÿ
1917 ã.
IV Ãîñóäàð-
ñòâåííàÿ
äóìà
Îêòÿáðèñòû — 98; íàöèî-
íàëèñòû è óìåðåííûå ïðà-
âûå — 88; ãðóïïà öåí-
òðà — 33; ïðàâûå — 65;
êàäåòû — 52; ïðîãðåññè-
ñòû — 48; ñ.-ä. — 14;
òðóäîâèêè — 10; áåñïàð-
òèéíûå — 7; íàöèîíàëü-
íûå ãðóïïû — 21.
Âñåãî: 442 äåïóòàòà
Ïðåäñåäàòåëü —
Ì.Â. Ðîäçÿíêî
(îêòÿáðèñò,
1912—1917)
l Ïîääåðæêà ó÷àñòèÿ Ðîñ-
ñèè â Ïåðâîé ìèðîâîé
âîéíå
l Ñîçäàíèå â Äóìå ò.í.
«Ïðîãðåññèâíîãî áëîêà»
(1915) è åãî êîíôðîíòà-
öèÿ ñ öàðåì è ïðàâè-
òåëüñòâîì
Ðîññèÿ â íà÷àëå XX â. 213
ÒÐÅÒÜÅÈÞÍÜÑÊÀß ÏÎËÈÒÈ×ÅÑÊÀß
ÑÈÑÒÅÌÀ (1907—1914)
Òðåòüåèþíüñêàÿ ïîëèòè÷åñêàÿ ñèñòåìà (1907—1914)
214 Îòå÷åñòâåííàÿ èñòîðèÿ â ñõåìàõ è òàáëèöàõ
3 èþíÿ 1907 ã. — ðîñïóñê II Ãîñóäàðñòâåííîé
äóìû è ââåäåíèå íîâîãî èçáèðàòåëüíîãî çàêîíà
áåç îäîáðåíèÿ åãî ïàðëàìåíòîì, ÷òî ÿâèëîñü
íàðóøåíèåì Ìàíèôåñòà 17 îêòÿáðÿ 1905 ã.
Ñóùíîñòü
Ñî÷åòàíèå äâóõ îñíîâíûõ
íàïðàâëåíèé âî âíóòðåííåé
ïîëèòèêå
Ïîäàâëåíèå
ðåâîëþöèîííûõ
âûñòóïëåíèé
Ïðîâåäåíèå ðåôîðì äëÿ
ðàñøèðåíèÿ ñîöèàëüíîé
îïîðû ñàìîäåðæàâèÿ
Ñîþç öàðÿ,
äâîðÿí, êðóïíîé
áóðæóàçèè
Ãîñóäàðñòâåííàÿ
äóìà
Âçàèìîäåéñòâèå
Ëàâèðîâàíèå
ÑÒÎËÛÏÈÍÑÊÀß ÀÃÐÀÐÍÀß ÐÅÔÎÐÌÀ
(1906—1911 ãã.)
Ðåôîðìà íàäåëüíîãî êðåñòüÿíñêîãî çåìëåâëàäåíèÿ. Öåëü —
ñîçäàíèå êëàññà çåìåëüíûõ ñîáñòâåííèêîâ êàê ñîöèàëüíîé
îïîðû ñàìîäåðæàâèÿ è ïðîòèâíèêà ðåâîëþöèîííûõ äâèæåíèé
«Ñíà÷àëà óñïîêîåíèå, ïîòîì ðåôîðìà»
Ï.À. Ñòîëûïèí
Ðîññèÿ â íà÷àëå XX â. 215
Èòîãè
l Ê 1916 ã. èç îá-
ùèíû âûäåëè-
ëîñü 25—27%
êðåñòüÿíñêèõ
äâîðîâ
l Ðîñò ñåëüñêîõî-
çÿéñòâåííîãî
ïðîèçâîäñòâà è
óâåëè÷åíèå ýêñ-
ïîðòà õëåáà çà
ãðàíèöó
Ñîñòàâíûå ÷àñòè àãðàðíîé
ðåôîðìû
l Ðàçðåøåíèå âûõîäà êðåñòü-
ÿí èç îáùèíû ñ ïðàâîì çà-
êðåïëåíèÿ â ÷àñòíóþ ñîá-
ñòâåííîñòü ïðèíàäëåæàâ-
øèõ èì çåìåëüíûõ íàäåëîâ
â ôîðìå õóòîðà èëè îòðóáà
l Ïåðåäà÷à Êðåñòüÿíñêîìó
áàíêó êàçåííûõ çåìåëü äëÿ
ïðîäàæè èõ íóæäàþùèìñÿ
êðåñòüÿíàì
l Îðãàíèçàöèÿ ïåðåñåëåí÷å-
ñêîãî äâèæåíèÿ â Çàïàäíóþ
Ñèáèðü ñ öåëüþ íàäåëåíèÿ
áåççåìåëüíûõ è ìàëîçå-
ìåëüíûõ êðåñòüÿí çåìëåé
l Øèðîêîå ñòðîèòåëüñòâî
ñåëüñêèõ øêîë è âîâëå÷å-
íèå â ñèñòåìó íàðîäíîãî
îáðàçîâàíèå îãðîìíûõ
ìàññ íàñåëåíèÿ
Ïðè÷èíû
íåçàâåðøåííîñòè
ðåôîðìû
l Íåçíà÷èòåëüíûå
âðåìåííûå ñðîêè
l Ñîïðîòèâëåíèå ñî
ñòîðîíû ïðàâûõ è
ëåâûõ ïîëèòè÷åñêèõ
ñèë
l Ñëîæíûå âçàèìîîò-
íîøåíèÿ îêðóæåíèÿ
öàðÿ è Ï.À. Ñòîëû-
ïèíà
Ïîñëåäñòâèÿ
l Óñêîðåíèå ïðîöåññà
ðàññëîåíèÿ êðåñòüÿíñòâà
l Ðàçðóøåíèå êðåñòüÿíñêèé
îáùèíû
Çíà÷èòåëüíàÿ ÷àñòü
êðåñòüÿíñòâà íå
ïðèíÿëà ðåôîðìû
Ïðîòèâîðå÷èâûå
ðåçóëüòàòû ðåôîðìû
Óáèéñòâî
Ï.À. Ñòîëûïèíà —
ñåíòÿáðü 1911 ã.
ÂÛÑØÈÅÈÖÅÍÒÐÀËÜÍÛÅÃÎÑÓÄÀÐÑÒÂÅÍÍÛÅ
Ó×ÐÅÆÄÅÍÈßÐÎÑÑÈÈÑ1905ÏÎ1917ã.
Âûñøèåèöåíòðàëüíûåãîñóäàðñòâåííûåó÷ðåæäåíèÿÐîññèè
216 Îòå÷åñòâåííàÿ èñòîðèÿ â ñõåìàõ è òàáëèöàõ
ÌÈÍÈÑÒÅÐÑÒ-
ÂÎÂÍÓÒÐÅÍ-
ÍÈÕÄÅË
(1802—1917)
ÌÈÍÈÑÒÅÐÑÒ-
ÂÎÞÑÒÈÖÈÈ
(1802—1917)
ÈÌÏÅÐÀÒÎÐ
ÑÂßÒÅÉØÈÉ
ÑÈÍÎÄ
(1721—1918)
ÏÐÀÂÈÒÅËÜÑÒÂÓÞ-
ÙÈÉÑÅÍÀÒ
(1711—1917)
ÃÎÑÓÄÀÐÑÒ-
ÂÅÍÍÀßÄÓÌÀ
(1906—1917)
ÎÁÅÐ-
ÏÐÎ-
ÊÓÐÎÐ
ÃÅÍÅÐÀË-
ÏÐÎÊÓÐÎÐ
ÏÐÅÄÑÅ-
ÄÀÒÅËÜ
ÏÐÅÄÑÅ-
ÄÀÒÅËÜ
ÃÎÑÓÄÀÐÑÒÂÅÍ-
ÍÛÉÑÎÂÅÒ
(1810—1916—1917)
ÏÐÅÄÑÅ-
ÄÀÒÅËÜ
ÃËÀÂÍÎ-
ÓÏÐÀÂ-
ËßÞÙÈÉ
ÓÏÐÀÂ-
ËßÞÙÈÉ
ÑÎÁÑÒÂÅÍÍÀß
Å.È.Â.
ÊÀÍÖÅËßÐÈß
ÑÎÁÑÒÂÅÍÍÀßÅ.È.Â.
ÊÀÍÖÅËßÐÈßÏÎÓ×-
ÐÅÆÄÅÍÈßÌÈÌÏ.
ÌÀÐÈÈ(1880—1917)
ÍÀ×ÀËÜÍÈÊ
ÌÈÍÈÑÒÅÐÑÒ-
ÂÎÔÈÍÀÍÑÎÂ
(1802—1917)
ÃÎÑÓÄÀÐÑÒ-
ÂÅÍÍÛÉ
ÊÎÍÒÐÎËÜ
(1836—1917)
ÃËÀÂÍÎÅ
ÓÏÐÀÂËÅÍÈÅ
ÇÅÌËÅÓÑÒ-
ÐÎÉÑÒÂÀÈ
ÇÅÌËÅÄÅËÈß
(1905—1917)
ÊÀÍÖÅËßÐÈßÅ.È.Â.ÏÎ
ÏÐÈÍßÒÈÞÏÐÎØÅÍÈÉ,
ÍÀÂÛÑÎ×ÀÉØÅÅÈÌß
ÏÐÈÍÎÑÈÌÛÕ(1895—1917)
ÑÎÂÅÒÃÎÑÓÄÀÐÑÒ-
ÂÅÍÍÎÉÎÁÎÐÎÍÛ
(1905—1909)
ÃËÀÂÍÎÅ
ÓÏÐÀÂËÅÍÈÅ
ÃÎÑÓÄÀÐÑÒ-
ÂÅÍÍÎÃÎ
ÊÎÍÍÎÇÀÂÎÄ-
ÑÒÂÀ
(1881—1917)
ÌÈÍÈÑÒÅÐÑÒ-
ÂÎÏÓÒÅÉÑÎ-
ÎÁÙÅÍÈß
(1865—1917)
ÌÈÍÈÑÒÅÐÑÒ-
ÂÎÒÎÐÃÎÂËÈ
ÈÏÐÎÌÛØ-
ËÅÍÍÎÑÒÈ
(1905—1917)
ÌÈÍÈÑÒÅÐÑÒ-
ÂÎÍÀÐÎÄÍÎÃÎ
ÏÐÎÑÂÅÙÅ-
ÍÈß(1802—1917)
ÂÎÅÍÍÎÅÌÈ-
ÍÈÑÒÅÐÑÒÂÎ
(1802—1917)
ÃËÀÂÍÎÅ
ÓÏÐÀÂËÅÍÈÅ
ÃÅÍÅÐÀËÜÍÎ-
ÃÎØÒÀÁÀ
(1905—1910)
ÌÎÐÑÊÎÅÌÈ-
ÍÈÑÒÅÐÑÒ-
ÂÎ(1802—1917)
ÌÈÍÈÑÒÐ
ÌÈÍÈÑÒÐ
ÌÈÍÈÑÒÐ
ÃÎÑÓÄÀÐÑÒ.
ÊÎÍÒÐÎËÅÐ
ÃËÀÂÍÎÓÏ-
ÐÀÂËßÞÙÈÉ
ÃËÀÂÍÎÓÏ-
ÐÀÂËßÞÙÈÉ
ÌÈÍÈÑÒÐ
ÌÈÍÈÑÒÅÐÑÒ-
ÂÎÈÌÏÅÐÀ-
ÒÎÐÑÊÎÃÎÄÂÎ-
ÐÀ(1826—1917)
ÌÈÍÈÑÒÅÐÑÒ-
ÂÎÈÍÎÑÒÐÀÍ-
ÍÛÕÄÅË
(1802—1917)
ÌÈÍÈÑÒÐ
ÌÈÍÈÑÒÐ
ÌÈÍÈÑÒÐ
ÍÀ×ÀËÜÍÈÊ
ÃÅÍÅÐÀËÜ-
ÍÎÃÎØÒÀÁÀ
ÌÈÍÈÑÒÐ
ÌÈÍÈÑÒÐ
ÌÈÍÈÑÒÐ
ÑÎÂÅÒ
ÌÈÍÈÑÒÐÎÂ
(1905—1917)
Ãîñóäàðñòâåííûåó÷ðåæäåíèÿ,
îáíîâëåííûåèðåôîðìèðîâàííûå
Íîâûåãîñóäàðñòâåííûå
ó÷ðåæäåíèÿ
ÐÎÑÑÈß Â ÏÅÐÂÎÉ
ÌÈÐÎÂÎÉ ÂÎÉÍÅ (1914—1918)
Ïðè÷èíû Ïåðâîé ìèðîâîé âîéíû
Ðîññèÿ â íà÷àëå XX â. 217
Ïðîòèâîðå÷èÿ
èç-çà êîëîíèé,
ñôåð âëèÿíèÿ,
ðûíêîâ ñáûòà
Òðîéñòâåííûé ñîþç
l Ãåðìàíèÿ
l Àâñòðî-Âåíãðèÿ
l Èòàëèÿ
(ñ 1915 ã. Òóðöèÿ)
Àíòàíòà
l Àíãëèÿ
l Ôðàíöèÿ
l Ðîññèÿ
l 1914 ã. Âîåííàÿ êàìïàíèÿ íå ïðèíåñëà
ðåøàþùåãî óñïåõà íè îäíîé èç ñòîðîí
l 1915 ã. Ïîðàæåíèÿ ðóññêîé àðìèè â âîåííîé
êàìïàíèè. Ðîññèÿ ïîòåðÿëà Ïîëüøó, ÷àñòü
Ïðèáàëòèêè, Áåëîðóññèè è Óêðàèíû
l 1916 ã. Îñíîâíûå âîåííûå äåéñòâèÿ íà
Çàïàäíîì ôðîíòå. Ìàé — èþíü 1916 ã. —
«Áðóñèëîâñêèé ïðîðûâ» íà Þãî-Çàïàäíîì
ôðîíòå ïðîòèâ Àâñòðî-Âåíãðèè
l 1917 ã. Ïîðàæåíèå ðóññêèõ âîéñê â óñëîâèÿõ
ðåâîëþöèè. Ïåðåãîâîðû áîëüøåâèêîâ ñ
Ãåðìàíèåé î ìèðå
l 1918 ã.
Ìàðò. Ñåïàðàòíûé ìèð Ñîâåòñêîé
Ðîññèè ñ Ãåðìàíèåé
Íîÿáðü. Ïîðàæåíèå Ãåðìàíèè
è åå ñîþçíèêîâ îò Àíòàíòû
Ãåîïîëèòè÷åñêèå
ïðîòèâîðå÷èÿ
ÐÅÂÎËÞÖÈÈ 1917 ã.
È ÃÐÀÆÄÀÍÑÊÀß ÂÎÉÍÀ
Ðåâîëþöèè 1917 ã. è Ãðàæäàíñêàÿ âîéíà
ÔÅÂÐÀËÜÑÊÀß ÁÓÐÆÓÀÇÍÎ-ÄÅÌÎÊÐÀÒÈ×ÅÑÊÀß
ÐÅÂÎËÞÖÈß 1917 ã.
Ôåâðàëüñêàÿ áóðæóàçíî-äåìîêðàòè÷åñêàÿ ðåâîëþöèÿ 1917 ã.
218 Îòå÷åñòâåííàÿ èñòîðèÿ â ñõåìàõ è òàáëèöàõ
Ïðè÷èíû
Êðèçèñ
«âåðõîâ»
Êðèçèñ
«íèçîâ»
l Âîåííûå ïîðàæåíèÿ
l ×àñòàÿ ñìåíÿåìîñòü
ìèíèñòðîâ
l «Ðàñïóòèíùèíà»
l Óñèëåíèå ñòà÷å÷íîãî è
àíòèâîåííîãî äâèæåíèÿ
l Ïðîäîâîëüñòâåííûé êðè-
çèñ çèìîé 1917 ã.
Ðåâîëþöèÿ êàê ðåçóëüòàò îáùåíà-
öèîíàëüíîãî êðèçèñà è íåñïîñîá-
íîñòè âåðõîâíîé âëàñòè ñïðàâèòü-
ñÿ ñ íàçðåâøèìè ïðîáëåìàìè
Ïåðâàÿ ìèðîâàÿ âîéíà, îáîñò-
ðèâøàÿ âñå ïðîáëåìû è óñêî-
ðèâøàÿ ðåâîëþöèþ
22.02.1917 ã.
l Îáúÿâëåíèå îá óâîëüíåíèè 30 òûñ.
ðàáî÷èõ íà Ïóòèëîâñêîì çàâîäå â
Ïåòðîãðàäå
23—25.02.1917 ã.
l Âñåîáùàÿ çàáàñòîâêà â Ïåòðîãðàäå
26—27.02.1917 ã.
l Ïåðåõîä âîéñê íà ñòîðîíó áàñòóþùèõ
l Ôîðìèðîâàíèå äâóõ öåíòðîâ âëàñòè
02.03.1917 ã.
l Îòðå÷åíèå Íèêîëàÿ II îò ïðåñòîëà
l Îáðàçîâàíèå Âðåìåííîãî
ïðàâèòåëüñòâà
Îñíîâíûå
ñîáûòèÿ
Ïåòðîãðàä-
ñêèé Ñîâåò
ðàáî÷èõ è
ñîëäàòñêèõ
äåïóòàòîâ
Âðåìåííûé
êîìèòåò IV
Ãîñóäàðñò-
âåííîé äóìû
Èòîãè
l Ëèêâèäàöèÿ ìîíàðõèè
l Îòêðûò ïóòü äëÿ äåìîêðàòè÷åñêîãî ðàçâèòèÿ ñòðàíû
l Îáðàçîâàíèå äâîåâëàñòèÿ
Èìïóëüñ äëÿ
çàáàñòîâî÷íîãî
äâèæåíèÿ
ÄÂÎÅÂËÀÑÒÈÅ
Ïðè÷èíû
è ñóùíîñòü
Ïåðåïëåòåíèå äâóõ òå÷åíèé
Ôåâðàëüñêîé ðåâîëþöèè è äâóõ âåòâåé
âëàñòè ïîñëå åå ïîáåäû
Ðåâîëþöèè 1917 ã. è Ãðàæäàíñêàÿ âîéíà 219
Ðåâîëþöèîííî-
ñîöèàëèñòè÷åñêîå
Áóðæóàçíî-
ëèáåðàëüíîå
Âëàñòü Ñîâåòîâ ðàáî÷èõ,
ñîëäàòñêèõ è
êðåñòüÿíñêèõ äåïóòàòîâ
Âëàñòü Âðåìåííîãî
ïðàâèòåëüñòâà
Áîëüøåâèêè
«Âñÿ âëàñòü
Ñîâåòàì!»
«Íèêàêîé
ïîääåðæêè
Âðåìåííîìó
ïðàâèòåëüñòâó!»
Ýñåðû
Ìåíüøåâèêè
Êàäåòû
Îêòÿáðèñòû
Ýñåðû
Ìåíüøåâèêè
ÂÐÅÌÅÍÍÎÅ ÏÐÀÂÈÒÅËÜÑÒÂÎ
 1917 ã. È ÅÃÎ ÊÐÈÇÈÑÛ
Âðåìåííîå ïðàâèòåëüñòâî â 1917 ã. è åãî êðèçèñû
Âðåìÿ
ïðåáûâàíèÿ
ó âëàñòè
Ïðåäñåäàòåëü
ïðàâèòåëüñòâà
Ïàðòèéíî-
ïîëèòè÷åñêèé
ñîñòàâ
Ïðè÷èíû
êðèçèñà
2 ìàðòà —
6 ìàÿ 1917 ã.
Êíÿçü
Ã.Å. Ëüâîâ
Êàäåòû,
îêòÿáðèñòû,
ïðîãðåññèñòû,
áåñïàðòèéíûå
Íîòà Í.Ï. Ìè-
ëþêîâà ñîþç-
íèêàì ïî ïî-
âîäó ïðîäîëæå-
íèÿ ó÷àñòèÿ
Ðîññèè â âîéíå
6 ìàÿ —
24 èþëÿ
1917 ã.
Êíÿçü
Ã.Å. Ëüâîâ
Êàäåòû,
ýñåðû,
ìåíüøåâèêè
Ðàçíîãëàñèÿ â
ïðàâèòåëüñòâå.
Íåóäà÷íîå íà-
ñòóïëåíèå íà
ôðîíòå. Èþëü-
ñêèå ñîáûòèÿ â
Ïåòðîãðàäå
24 èþëÿ —
25 ñåíòÿáðÿ
1917 ã.
(1—25 ñåíòÿá-
ðÿ 1917 ã. —
äèðåêòîðèÿ)
À.Ô. Êåðåí-
ñêèé
Êàäåòû,
ýñåðû,
ìåíüøåâèêè
Óãëóáëåíèå
ñîöèàëüíî-
ýêîíîìè÷åñêî-
ãî è ïîëèòè÷å-
ñêîãî êðèçèñà
â ñòðàíå
25 ñåíòÿáðÿ —
25 îêòÿáðÿ
1917 ã.
À.Ô. Êåðåí-
ñêèé
Êàäåòû,
ýñåðû,
ìåíüøåâèêè
Âçÿòèå âëàñòè
áîëüøåâèêàìè
220 Îòå÷åñòâåííàÿ èñòîðèÿ â ñõåìàõ è òàáëèöàõ
ÈÞËÜÑÊÈÉ ÊÐÈÇÈÑ 1917 ã.
 ÏÅÒÐÎÃÐÀÄÅ
Ðàçëè÷íûå
îöåíêè
Ðåâîëþöèè 1917 ã. è Ãðàæäàíñêàÿ âîéíà 221
Èþëüñêèå ñîáûòèÿ
3—4 èþëÿ
Ïîïûòêà áîëüøåâèêîâ
çàõâàòèòü âëàñòü
l Äåìîíñòðàöèè ðàáî÷èõ,
ñîëäàò, ìàòðîñîâ ïîä ëî-
çóíãàìè «Äîëîé Âðåìåí-
íîå ïðàâèòåëüñòâî!» è
«Âñÿ âëàñòü Ñîâåòàì!»
l Áåñïîðÿäêè â ãîðîäå è
ðàññòðåë äåìîíñòðàöèè
ïî ïðèêàçó Âðåìåííîãî
ïðàâèòåëüñòâà è ñàíê-
öèè Ïåòðîãðàäñêîãî Ñî-
âåòà
Ïðîâîêàöèÿ
Âðåìåííîãî
ïðàâèòåëüñòâà ñ öåëüþ
äèñêðåäèòàöèè
áîëüøåâèêîâ
Ëèêâèäàöèÿ
äâîåâëàñòèÿ
Ðåïðåññèè ïðîòèâ
áîëüøåâèêîâ
VI ñúåçä ïàðòèè
áîëüøåâèêîâ
(26 èþëÿ — 3 àâãóñòà
1917 ã., Ïåòðîãðàä)
Êóðñ íà âîîðóæåííîå
âîññòàíèå
Îáðàçîâàíèå
êîàëèöèîííîãî Âðåìåííîãî
ïðàâèòåëüñòâà âî ãëàâå
ñ À.Ô. Êåðåíñêèì
⎫
⎬
⎭
222 Îòå÷åñòâåííàÿ èñòîðèÿ â ñõåìàõ è òàáëèöàõ
ÊÎÐÍÈËÎÂÑÊÈÉ ÌßÒÅÆ
25—31 ÀÂÃÓÑÒÀ 1917 ã.
Êîðíèëîâñêèé ìÿòåæ 25—31 àâãóñòà 1917 ã.
Ðåâîëþöèè 1917 ã. è Ãðàæäàíñêàÿ âîéíà 223
l Óñòàíîâëåíèå âîåííîé
äèêòàòóðû
l Ïîäàâëåíèå ðåâîëþöèîí-
íîãî äâèæåíèÿ
l Äîâåäåíèå âîéíû äî ïî-
áåäíîãî êîíöà
l Âûâîä ñòðàíû èç êðèçèñà
l Ë.Ã. Êîðíèëîâ êàê âåð-
õîâíûé ãëàâíîêîìàí-
äóþùèé ñíÿë âîéñêà ñ
ôðîíòà è íàïðàâèë èõ
íà Ïåòðîãðàä
Öåëè Õîä
Âðåìåííîå ïðàâèòåëüñòâî è Ñîâåòû, âñå ðåâîëþöèîííûå ñèëû
îáúåäèíèëèñü è ëèêâèäèðîâàëè ìÿòåæ ïðè ïîìîùè:
l àãèòàöèîííûõ ìåð
l ðåâîëþöèîííîãî ñàáîòàæà æåëåçíîäîðîæíèêîâ
l ÷àñòè÷íûõ âîåííûõ äåéñòâèé
Ïîñëåäñòâèÿ
Ë.Ã. Êîðíèëîâ
è åãî ñïîäâèæíèêè
àðåñòîâàíû
l Óãëóáëåíèå ñîöèàëüíî-ýêîíî-
ìè÷åñêîãî è ïîëèòè÷åñêîãî êðè-
çèñà â ñòðàíå
l Óñèëåíèå ïîçèöèé áîëüøåâèêîâ
è íà÷àëî áîëüøåâèçàöèè Ñîâåòîâ
l Ïàðàëè÷ âëàñòè
224 Îòå÷åñòâåííàÿ èñòîðèÿ â ñõåìàõ è òàáëèöàõ
Àëüòåðíàòèâû îáùåñòâåííîãî ðàçâèòèÿ
Âîåííàÿ
äèêòàòóðà
Âëàñòü
Âðåìåííîãî
ïðàâèòåëüñòâà
Äèêòàòóðà
áîëüøåâèêîâ
Àíàðõè÷åñêèé
áóíò è ðàñïàä
ñòðàíû
ÏÐÈÕÎÄ ÁÎËÜØÅÂÈÊÎÂ Ê ÂËÀÑÒÈ Â ÏÅÒÐÎÃÐÀÄÅ
Ïîäãîòîâêà âîññòàíèÿ
Òåîðåòè÷åñêàÿ Îðãàíèçàöèîííàÿ Âîåííî-òåõíè÷åñêàÿ
Ñòàòüè Â. È. Ëåíèíà
— «Áîëüøåâèêè
äîëæíû âçÿòü
âëàñòü»;
— «Ìàðêñèçì è âîñ-
ñòàíèå»;
— «Ñîâåòû ïîñòî-
ðîííåãî»;
— «Ïèñüìî ÷ëåíàì
ÖÊ ÐÑÄÐÏ (á)»
Ñîçäàíèå Âîåííî-ðåâî-
ëþöèîííîãî êîìèòåòà
ïðè Ïåòðîãðàäñêîì
Ñîâåòå êàê øòàáà
ïî ïîäãîòîâêå
âîññòàíèÿ. ÂÐÊ íàõî-
äèëñÿ ïîä êîíòðîëåì
áîëüøåâèêîâ
Ðåøåíèå ÖÊ (10.10 è
16.10) î âçÿòèè âëàñòè
Îðãàíèçàöèÿ
îòðÿäîâ Êðàñíîé
ãâàðäèè
Íàçíà÷åíèå êîìèñ-
ñàðîâ ÂÐÊ â âîèí-
ñêèå ÷àñòè Ïåòðî-
ãðàäà
Ïåðåõîä Ïåòðîãðàäñêîãî ãàðíèçîíà íà ñòîðîíó ÂÐÊ
è Ïåòðîãðàäñêîãî Ñîâåòà
Õîä âîññòàíèÿ è çàõâàò âëàñòè áîëüøåâèêàìè
24.10.1917 ã. — Çàïîçäàëûå ìåðû Âðåìåííîãî ïðàâèòåëü-
ñòâà ïî ïðîòèâîäåéñòâèþ áîëüøåâèêàì.
Çàõâàò îòðÿäàìè Êðàñíîé ãâàðäèè ñòðàòå-
ãè÷åñêèõ ïóíêòîâ ãîðîäà
25.10.1917 ã. — Âîççâàíèå ÂÐÊ ê ãðàæäàíàì Ðîññèè. Îò-
êðûòèå II Âñåðîññèéñêîãî ñúåçäà Ñîâåòîâ
26.10.1917 ã. — Øòóðì Çèìíåãî äâîðöà — àðåñò Âðåìåí-
íîãî ïðàâèòåëüñòâà
ÎÊÒßÁÐÜÑÊÀß
ÐÅÂÎËÞÖÈß 1917 ã.
Ðåâîëþöèè 1917 ã. è Ãðàæäàíñêàÿ âîéíà 225
Ñëîæíîå
ìíîãîóðîâíåâîå
èñòîðè÷åñêîå
ÿâëåíèå
Ïîïûòêà
áîëüøåâèêîâ ñîçäàòü
íîâóþ ñîöèàëüíóþ
ñèñòåìó
Îãðîìíîå âëèÿíèå íà
ðàçâèòèå ìèðîâîãî
ñîîáùåñòâà
Àãðàðíàÿ
Ïðîëåòàðñêî-
áåäíÿöêàÿ
Íàöèîíàëüíî-
îñâîáîäèòåëüíàÿ
Àíòèâîåííàÿ
Îáùåäåìîêðàòè÷åñêàÿ
Ñî÷åòàíèå ðàçëè÷íûõ
òèïîâ ðåâîëþöèè
II ÂÑÅÐÎÑÑÈÉÑÊÈÉ ÑÚÅÇÄ
ÑÎÂÅÒÎÂ 25—27.10.1917 ã.
II Âñåðîññèéñêèé ñúåçä Ñîâåòîâ 25—27.10.1917 ã.
226 Îòå÷åñòâåííàÿ èñòîðèÿ â ñõåìàõ è òàáëèöàõ
Ñîñòàâ: 625 äåïóòàòà
390 — áîëüøåâèêè
179 — ëåâûå ýñåðû
îñòàëüíûå — ïðàâûå
ýñåðû, ìåíüøåâèêè
è äð.
Íåóäà÷íàÿ ïîïûòêà ýñå-
ðîâ è ìåíüøåâèêîâ ñîç-
äàòü îäíîðîäíîå ñîöèàëè-
ñòè÷åñêîå ïðàâèòåëüñòâî
Ïîêèíóëè ñúåçä â çíàê
ïðîòåñòà ïðîòèâ âîîðó-
æåííîãî âûñòóïëåíèÿ
áîëüøåâèêîâ
Îñíîâíûå ðåøåíèÿ
1. Ïðèíÿòû Äåêðåòû
î ìèðå î çåìëå
2. Ïðîâîçãëàøåíèå Ðåñïóá-
ëèêè Ñîâåòîâ
3. Îáðàçîâàíû íîâûå âûñ-
øèå îðãàíû âëàñòè
ÑÍÊ — Ñîâåò Íàðîäíûõ
Êîìèññàðîâ âî ãëàâå
ñ Â.È. Ëåíèíûì
ÂÖÈÊ — Âñåðîññèéñêèé
Öåíòðàëüíûé
Èñïîëíèòåëüíûé
Êîìèòåò âî ãëàâå
ñ Ë.Á. Êàìåíåâûì,
ñ 8.11.1917 ã. ïðåäñåäàòåëü
ÂÖÈÊ — ß.Ì. Ñâåðäëîâ
Ó×ÐÅÄÈÒÅËÜÍÎÅ ÑÎÁÐÀÍÈÅ Â ÐÎÑÑÈÈ
Ðåâîëþöèè 1917 ã. è Ãðàæäàíñêàÿ âîéíà 227
Èäåÿ
Òðåáîâàíèå ñîçûâà Ó÷ðåäèòåëü-
íîãî ñîáðàíèÿ áûëî ïðîãðàììîé
âñåõ ïîëèòè÷åñêèõ ïàðòèé, îï-
ïîçèöèîííûõ ñàìîäåðæàâèþ
Çàêîí
Ïîëîæåíèå î âûáîðàõ â Ó÷ðå-
äèòåëüíîå ñîáðàíèå óòâåðæäå-
íî â àâãóñòå 1917 ã. Âñåîáùåå,
ïðÿìîå, ðàâíîå èçáèðàòåëüíîå
ïðàâî ïðè òàéíîì ãîëîñîâà-
íèè.
Îòñóòñòâèå öåíçîâ, êðîìå
âîçðàñòíîãî (äëÿ âñåõ ñ 20 ëåò,
äëÿ âîåííîñëóæàùèõ ñ 18 ëåò)
Âðåìÿ
Âûáîðû ïðîøëè
12 è 19 íîÿáðÿ 1917 ã.
Èòîãè âûáîðîâ
715 äåïóòàòîâ:
40% — ýñåðû
23,9% — áîëüøåâèêè
2,3% — ìåíüøåâèêè
4,7% — êàäåòû è äð.
13 ÷àñîâ ðàáîòû
5 ÿíâàðÿ 1917 ã. ñî-
çûâ â Ïåòðîãðàäå
Ó÷ðåäèòåëüíîãî ñîá-
ðàíèÿ; ïðåäñåäàòåëü
Â.Ì. ×åðíîâ
Ðàçãîí Ó÷ðåäèòåëüíîãî
ñîáðàíèÿ áîëüøåâèêàìè
6 ÿíâàðÿ 1918 ã.
Îòâåðãíóò ïóòü ãðàæäàí-
ñêîãî ìèðà è äåìîêðàòè-
÷åñêîãî ðàçâèòèÿ ñòðàíû
Îòêàç îò ïðåäëîæåíèÿ áîëüøåâèêîâ óòâåðäèòü
«Äåêëàðàöèþ ïðàâ òðóäÿùåãîñÿ è
ýêñïëóàòèðóåìîãî íàðîäà», ò.å. ïðèçíàòü íàä
ñîáîé ñîâåòñêóþ âëàñòü è óòâåðäèòü åå äåêðåòû
ÂÛÕÎÄ ÐÎÑÑÈÈ ÈÇ ÏÅÐÂÎÉ ÌÈÐÎÂÎÉ ÂÎÉÍÛ.
ÁÐÅÑÒÑÊÈÉ ÌÈÐ Ñ ÃÅÐÌÀÍÈÅÉ
Âûõîä Ðîññèè èç Ïåðâîé ìèðîâîé âîéíû. Áðåñòñêèé ìèð ñ
Ãåðìàíèåé
Îñíîâà: Äåêðåò î ìèðå — 26.11.1917 ã.
228 Îòå÷åñòâåííàÿ èñòîðèÿ â ñõåìàõ è òàáëèöàõ
Ðåàëèçàöèÿ
Ïåðåìèðèå â Áðåñò-Ëèòîâ-
ñêå — 2.12.1917 ã. è ïåðåãî-
âîðû î ñåïàðàòíîì ìèðå
Äåáàòû î ìèðå
Çàòÿãèâàíèå
ïåðåãîâîðîâ —
òàêòèêà
áîëüøåâèêîâ
Áîëüøåâèêè Äðóãèå
ïîëèòè÷åñêèå
ñèëû
«Ëåâûå
êîììóíèñòû»
(Áóõàðèí) ïðî-
òèâ ìèðà, çà ðå-
âîëþöèîííóþ
âîéíó
Òðîöêèé:
«Íè âîéíû,
íè ìèðà!»
Ïðîòèâ ìèðà ñ
Ãåðìàíèåé
Ëåíèí: «Ìèð
ëþáîé öåíîé!»
l Óëüòèìàòóì Ãåðìàíèè è íàñòóïëåíèå åå âîéñê ïî
âñåìó ôðîíòó
l Ïîäïèñàíèå ìèðíîãî äîãîâîðà 03.03.1918 ã. íà î÷åíü
òÿæåëûõ äëÿ Ðîññèè óñëîâèÿõ:
1. Ïîòåðÿ çàïàäíûõ òåððèòîðèé
2. Âûïëàòà Ðîññèåé êîíòðèáóöèè
3. Ïîòåðÿ ôëîòà è äð.
ÏÐÈ×ÈÍÛ È ÍÀ×ÀËÎ
ÃÐÀÆÄÀÍÑÊÎÉ ÂÎÉÍÛ
Îáîñòðåíèå ñîöèàëüíî-ýêîíîìè÷åñêèõ è ïîëèòè÷å-
ñêèõ ïðîòèâîðå÷èé â ðåçóëüòàòå ñìåíû âëàñòè è èçìå-
íåíèÿ ôîðìû ñîáñòâåííîñòè
Äîìèíèðîâàíèå â îáùåñòâå ïñèõîëîãè÷åñêîé óñòàíîâ-
êè íà êîíôðîíòàöèþ è ðåøåíèå âîïðîñîâ ïîëèòèêè è
ïîâñåäíåâíîé æèçíè ñ îðóæèåì â ðóêàõ
Êðàõ äåìîêðàòè÷åñêîé àëüòåðíàòèâû ðàçâèòèÿ ñòðàíû
â ñâÿçè ñ ðàçãîíîì Ó÷ðåäèòåëüíîãî ñîáðàíèÿ áîëüøå-
âèêàìè
Îòñóòñòâèå îïûòà ïîëèòè÷åñêîãî è ñîöèàëüíîãî êîì-
ïðîìèññà ìåæäó ðàçëè÷íûìè ïîëèòè÷åñêèìè ñèëàìè è
ñîöèàëüíûìè ãðóïïàìè
Íåïðèíÿòèå ïîëèòè÷åñêèìè ïðîòèâíèêàìè áîëüøåâè-
êîâ Áðåñòñêîãî ìèðà ñ Ãåðìàíèåé
Ýêîíîìè÷åñêàÿ ïîëèòèêà áîëüøåâèêîâ â äåðåâíå âåñ-
íîé — ëåòîì 1918 ã.
Èíîñòðàííîå âîåííîå âìåøàòåëüñòâî âî âíóòðåííèå
äåëà Ðîññèè
Ðàçëè÷íûå òî÷êè çðåíèÿ íà âðåìÿ íà÷àëà Ãðàæäàíñêîé âîéíû
Ðåâîëþöèè 1917 ã. è Ãðàæäàíñêàÿ âîéíà 229
Îêòÿáðü 1917 ã.
Ïðèõîä áîëüøå-
âèêîâ ê âëàñòè
Ôåâðàëü 1917 ã.
Ñâåðæåíèå
ñàìîäåðæàâèÿ
Ìàé 1918 ã. Ìÿòåæ
÷åõîñëîâàöêîãî
êîðïóñà â Ðîññèè
ÁÅËÛÅ È ÊÐÀÑÍÛÅ
 ÃÐÀÆÄÀÍÑÊÎÉ ÂÎÉÍÅ
Áåëûå è êðàñíûå â Ãðàæäàíñêîé âîéíå
1918 ã.
230 Îòå÷åñòâåííàÿ èñòîðèÿ â ñõåìàõ è òàáëèöàõ
Èíîñòðàííàÿ
èíòåðâåíöèÿ
(ÑØÀ, Àíãëèÿ,
Ôðàíöèÿ,
ßïîíèÿ)
Ðàñïàä èì-
ïåðèè. Ìÿ-
òåæ ÷åõîñëî-
âàöêîãî êîð-
ïóñà
Òåððîð
Áåëûé
Êðàñíûé
Îñíîâíàÿ ìàññà íàñåëåíèÿ — êðåñòüÿíñòâî
Êîëåáàíèÿ
Áåëûå Êðàñíûå
1919 ã.
ãîä áåëûõ
1920 ã.
ãîä êðàñíûõ
Çåìåëüíûé
âîïðîñ
Âîçìîæíûé
÷àñòè÷íûé
âîçâðàò ê
ïîìåùè÷üåìó
çåìëåâëàäåíèþ
l Äåêðåò î çåìëå 1917 ã.
l Êîìáåäû 1918 ã.
l Ïðîäðàçâåðñòêà 1919 ã.
Êðåñòüÿíñòâî â áîëüøèíñòâå ñâîåì
ïîääåðæàëî ñîâåòñêóþ âëàñòü
Ãðàæäàíñêàÿ âîéíà —
ïîäâèã è òðàãåäèÿ
ïîáåäèòåëåé è ïîáåæäåííûõ
Ðåâîëþöèè 1917 ã. è Ãðàæäàíñêàÿ âîéíà 231
ÏÐÈ×ÈÍÛ ÏÎÁÅÄÛ
ÁÎËÜØÅÂÈÊÎÂ
 ÃÐÀÆÄÀÍÑÊÎÉ ÂÎÉÍÅ
Êîíòðîëü íàä öåíòðàëüíîé ÷àñòüþ ñòðàíû
Ïîä÷èíåíèå âñåé æèçíè îáùåñòâà
èíòåðåñàì âîîðóæåííîé áîðüáû
Èñïîëüçîâàíèå ïðîòèâîðå÷èé â ðÿäàõ
ïðîòèâíèêà, ó êîòîðîãî îòñóòñòâîâàëî
âîåííîå, èäåéíî-ïîëèòè÷åñêîå
è ñîöèàëüíîå åäèíñòâî
Öåìåíòèðóþùàÿ ðîëü
áîëüøåâèñòñêîé ïàðòèè
Óñïåõè â ãîñóäàðñòâåííîì ñòðîèòåëüñòâå
Ïîääåðæêà áîëüøåâèêîâ ñî ñòîðîíû
ïîäàâëÿþùåé ÷àñòè íàñåëåíèÿ —
êðåñòüÿíñòâà
ÃÐÀÆÄÀÍÑÊÀß ÂÎÉÍÀ Â ÐÎÑÑÈÈ
Ðåâîëþöèÿ 1917 ã. è Ãðàæäàíñêàÿ âîéíà
Ýòàïû
Îñíîâíûå ñîáûòèÿ
íà ôðîíòå â òûëó
Ìàé —
íîÿáðü
1918 ã.
Âîñòîê: 25 ìàÿ — âûñòóïëåíèå
×åõîñëîâàöêîãî êîðïóñà.
Þã — ôîðìèðîâàíèå è ïåðâûå
áîåâûå äåéñòâèÿ Äîáðîâîëü÷å-
ñêîé àðìèè (Êàëåäèí — Êîðíè-
ëîâ — Äåíèêèí) — çàõâàò Åêà-
òåðèíîäàðà, íàñòóïëåíèå Êðàñ-
íîâà íà Öàðèöûí, çàõâàò
êàçàêàìè Äóòîâà Îðåíáóðãà.
Çàïàä — íàðóøåíèå óñëîâèé
Áðåñòñêîãî ìèðà Ãåðìàíèåé,
îêêóïàöèÿ Áåññàðàáèè
Ðóìûíèåé.
Ñåâåð — äåñàíò Àíòàíòû. Ê ñåí-
òÿáðþ áîëüøåâèêè êîíòðîëèðó-
þò òîëüêî ÷åòâåðòü òåððèòîðèè
Ðîññèè. Ãëàâíûé ôðîíò — Âîñ-
òî÷íûé.
Àâãóñò — íà÷àëî íàñòóïëåíèÿ
íà Âîñòî÷íîì ôðîíòå, ñåí-
òÿáðü — îêòÿáðü — âçÿòû Êà-
çàíü, Ñèìáèðñê, Ñàìàðà.
Îáîðîíà Öàðèöûíà
Ñîçäàíèå Êðàñíîé Àðìèè: ê ëå-
òó ÐÊÊÀ íàñ÷èòûâàåò 300 òûñ.
äîáðîâîëüöåâ.
29.05 — ïåðåõîä ê ìîáèëèçàöè-
ÿì — îáÿçàòåëüíîìó íàáîðó â
àðìèþ.
Èþëü — âñåîáùàÿ âîèíñêàÿ ïî-
âèííîñòü (18—40 ëåò).
Ñåíòÿáðü — ñîçäàíèå ÐÂÑÐ, îï-
ðåäåëåíèå ñòðóêòóðû âîéñê è
òðè ôðîíòà: Ñåâåðíûé, Âîñòî÷-
íûé (ñ ëåòà 1918), Þæíûé, à
çàòåì è Çàïàäíûé îáîðîíèòåëü-
íûé ðàéîí.
Ìàé — ââåäåíèå ïðîäîâîëüñò-
âåííîé äèêòàòóðû (ïðîäîòðÿäû,
êîìáåäû — äî 2.12).
6—7 èþëÿ — âûñòóïëåíèÿ ëåâûõ
ýñåðîâ.
Èþëü — ðàññòðåë öàðñêîé ñå-
ìüè â Åêàòåðèíáóðãå.
30 àâãóñòà — ïîêóøåíèå íà Ëå-
íèíà.
5 ñåíòÿáðÿ — ïîñòàíîâëåíèå
ÑÍÊ îá «îáåñïå÷åíèè òûëà ïó-
òåì òåððîðà»
Íîÿáðü
1918 —
ìàðò
1919 ã.
Àêòèâèçàöèÿ èíòåðâåíöèè â
ñâÿçè ñ îêîí÷àíèåì Ïåðâîé ìè-
ðîâîé âîéíû. Áîðüáà ñ èíòåð-
âåíòàìè, íà÷àëî âûâîäà èõ
âîéñê ñ þãà Óêðàèíû. Óñòàíîâ-
ëåíèå ñîâåòñêîé âëàñòè íà òåð-
ðèòîðèÿõ, îñâîáîæäåííûõ îò
íåìåöêèõ âîéñê.
Îñíîâíîé ôðîíò — Þæíûé.
ßíâàðü — ïîáåäà íàä âîéñêàìè
Êðàñíîâà, Äîíñêàÿ àðìèÿ âëè-
âàåòñÿ â ñîñòàâ Âîîðóæåííûõ
ñèë þãà Ðîññèè ïîä êîìàíäîâà-
íèåì Äåíèêèíà.
18.11.1918 ã. — êîë÷àêîâñêèé
ïåðåâîðîò — ñâåðæåíèå Äèðåê-
òîðèè. Êîë÷àê — âåðõîâíûé
ïðàâèòåëü Ðîññèè è ãëàâêîâåðõ
30 íîÿáðÿ — ñîçäàíèå Ñîâåòà
ðàáî÷åé è êðåñòüÿíñêîé îáîðî-
íû — ÷ðåçâû÷àéíîãî ïðàâè-
òåëüñòâåííîãî îðãàíà.
ÐÂÑÐ ïîä÷èíÿåòñÿ íåïîñðåäñò-
âåííî Ñîâåòó îáîðîíû è
ÂÖÈÊ. Ê êîíöó 1919 ã. ÷èñëåí-
íîñòü Êðàñíîé Àðìèè — îêîëî
1500 òûñ.
10 äåêàáðÿ — ïðèíÿòèå ÊÇîÒ
ÐÑÔÑÐ è ââåäåíèå âñåîáùåé
òðóäîâîé ïîâèííîñòè
(16—50 ëåò).
11 ÿíâàðÿ 1919 ã. — ââåäåíèå
ïðîäðàçâåðñòêè
232 Îòå÷åñòâåííàÿ èñòîðèÿ â ñõåìàõ è òàáëèöàõ
Ìàðò
1919 —
ìàðò
1920 ã.
Âåñíà — ëåòî: ãëàâíûé ôðîíò — Âîñòî÷-
íûé (ìàññîâàÿ àðìèÿ Êîë÷àêà — ñâûøå
300 òûñ. ÷åëîâåê).
Ìàðò — ïåðåõîä êîë÷àêîâöåâ â íàñòóï-
ëåíèå.
28 àïðåëÿ — 20 èþíÿ — êîíòðíàñòóïëå-
íèå ÷àñòåé Êðàñíîé Àðìèè (Ôðóíçå,
Êàìåíåâ), ïåðåðîñøåå â íàñòóïëåíèå ïî
âñåìó Âîñòî÷íîìó ôðîíòó.
21 èþíÿ — 7 ÿíâàðÿ — ðàçãðîì àðìèè
Êîë÷àêà, âîññòàíîâëåíèå ñîâåòñêîé âëà-
ñòè â Ñèáèðè è íà Äàëüíåì Âîñòîêå.
 ìàå è îêòÿáðå 1919 ã. âîéñêà Þäåíè÷à
ïûòàþòñÿ âçÿòü Ïåòðîãðàä.
19.05.1919 ã. — íà÷àëî íàñòóïëåíèÿ àð-
ìèè Äåíèêèíà íà Þæíîì ôðîíòå (îêî-
ëî 160 òûñ. ÷åëîâåê, òàíêè, áðîíåïîåçäà,
àýðîïëàíû, êîííûå êîðïóñà).
3 èþëÿ — Ìîñêîâñêàÿ äèðåêòèâà Äåíè-
êèíà. Îñåíüþ Þæíûé ôðîíò ñòàíîâèò-
ñÿ ãëàâíûì.
11 îêòÿáðÿ — 18 íîÿáðÿ — êîíòðíàñòóï-
ëåíèå Êðàñíîé Àðìèè, êîòîðîå ïðîäîë-
æåíî äåéñòâèÿìè Þæíîãî è Þãî-
Âîñòî÷íîãî ôðîíòîâ. Îñòàòêè äåíèêèí-
ñêèõ âîéñê óêðûëèñü â Êðûìó.
4.04.1920 ã. Äåíèêèí îáúÿâèë ñâîèì
ïðååìíèêîì Âðàíãåëÿ è ïîêèíóë Ðîñ-
ñèþ
Ìàðò — VIII ñúåçä
ÐÊÏ(á) — îñóæäåíèå
«âîåííîé îïïîçèöèè»,
êóðñ íà «ñîþç ñ ñåðåäíÿ-
êîì». ×èñëåííîñòü
ÐÊÊÀ:
âåñíà 1919 — îêîëî
1800 òûñ., îêòÿáðü 1919 —
3 ìëí. ÷åëîâåê, 77% èç
íèõ êðåñòüÿíå.
Ìàññîâûå ìîáèëèçàöèè.
II ñúåçä ÐÊÑÌ — ìîáè-
ëèçàöèÿ ìîëîäåæè
îò 16 ëåò
Àïðåëü —
íîÿáðü
1920 ã.
25.04 — 18.10.1920 ã. — ñîâåòñêî-ïîëü-
ñêàÿ âîéíà. Äåéñòâèÿ Çàïàäíîãî (Òóõà-
÷åâñêèé) è Þãî-Çàïàäíîãî (Åãîðîâ)
ôðîíòîâ. Îñâîáîæäåíèå Óêðàèíû, íà-
ñòóïëåíèÿ ïî ðàñõîäÿùèìñÿ íàïðàâëå-
íèÿì íà Âàðøàâó è Ëüâîâ.
18.03.1921 ã. — ìèðíûé äîãîâîð â Ðèãå.
Çàïàäíàÿ Óêðàèíà è Çàïàäíàÿ Áåëîðóñ-
ñèÿ îòõîäÿò ê Ïîëüøå.
Àïðåëü — íîÿáðü — ðàçãðîì âîéñê Âðàí-
ãåëÿ â Êðûìó. Øòóðì Ïåðåêîïà. Áåãñò-
âî áåëûõ èç Êðûìà — ïåðâàÿ âîëíà
ýìèãðàöèè (îêîëî 100 òûñ. ÷åëîâåê)
×èñëåííîñòü ÐÊÊÀ íà
1.11.1920 ã. — 5,5 ìëí
÷åëîâåê.
Ðàçâîðà÷èâàþòñÿ àíòè-
áîëüøåâèñòñêèå âûñòóï-
ëåíèÿ êðåñòüÿí — «ìàëàÿ
Ãðàæäàíñêàÿ âîéíà»;
ýêîíîìè÷åñêèå òðåáîâà-
íèÿ — îòìåíà âîåííîãî
êîììóíèçìà, ïîëèòè÷å-
ñêèå òðåáîâàíèÿ — Ñîâå-
òû áåç êîììóíèñòîâ.
Æåñòîêîå ïîäàâëåíèå
âñåõ âûñòóïëåíèé
1921—
1922 ãã.
Çàâåðøåíèå Ãðàæäàíñêîé âîéíû íà îê-
ðàèíàõ Ðîññèè
«Ìàëàÿ Ãðàæäàíñêàÿ
âîéíà»: âîññòàíèÿ êðå-
ñòüÿí.
28.02—18.03.1921 ã. —
Êðîíøòàäòñêîå âîññòà-
íèå. Óñòàíîâëåíèå Ñî-
âåòñêîé âëàñòè â Ñðåä-
íåé Àçèè, â Çàêàâêàçüå,
íà Äàëüíåì Âîñòîêå
Ðåâîëþöèÿ 1917 ã. è Ãðàæäàíñêàÿ âîéíà 233
234 Îòå÷åñòâåííàÿ èñòîðèÿ â ñõåìàõ è òàáëèöàõ
Âîéíà Êîììóíèñòè÷åñêàÿ äîêòðèíà
Ââåäåíèå äèðåêòèâíî-÷ðåç-
âû÷àéíûõ ìåòîäîâ ãîñóäàð-
ñòâåííîãî ðåãóëèðîâàíèÿ ïî-
ëèòè÷åñêèõ è ñîöèàëüíî-
ýêîíîìè÷åñêèõ ïðîöåññîâ â
óñëîâèÿõ âîåííîãî ðàçîðåíèÿ
Êîíöåïòóàëüíàÿ îðèåíòàöèÿ íà
ñîçäàíèå íåðûíî÷íîãî îáùåñòâà
Íàöèîíàëèçàöèÿ ïðîìûø-
ëåííîñòè
Ââåäåíèå âñåîáùåé òðóäî-
âîé ïîâèííîñòè
Íàòóðàëèçàöèÿ è óðàâíè-
òåëüíîñòü â çàðïëàòå è áåñ-
ïëàòíîñòü ãîñóäàðñòâåííûõ
óñëóã
Ïîïûòêà ââåäåíèÿ ïðÿìîãî
ïðîäóêòîîáìåíà ìåæäó ãî-
ðîäîì è äåðåâíåé
Ìåðû «âîåííîãî êîììóíèçìà»
Ïðîäðàçâåðñòêà íà îñíîâíûå
ñ/õ ïðîäóêòû
Çàïðåò ÷àñòíîé òîðãîâëè, ðàñ-
ïðåäåëåíèå ïî êàðòî÷êàì è
êëàññîâîìó ïðèíöèïó
Çàïðåùåíèå àðåíäû çåìëè è
íàåìíîãî òðóäà â ñ/õ
Ïîëèòè÷åñêàÿäèêòàòóðà
áîëüøåâèêîâ
Ïîñëåäñòâèÿ
Òÿæåëûé ýêîíîìè÷åñêèé
è ñîöèàëüíûé êðèçèñ
Ìàññîâûå êðåñòüÿíñêèå
âîññòàíèÿ
Óãðîçà îñíîâàì
ñîâåòñêîé âëàñòè
Ïåðåõîä ê íýïó
«ÂÎÅÍÍÛÉ ÊÎÌÌÓÍÈÇÌ» (1918—1920)
«Âîåííûé êîììóíèçì» (1918—1920)
êàê âíóòðåííÿÿ ïîëèòèêà ñîâåòñêîãî ãîñóäàðñòâà
â ïåðèîä Ãðàæäàíñêîé âîéíû è èíòåðâåíöèè
Èñòîêè
ÑÒÐÀÍÀ ÑÎÂÅÒÎÂ Â 20—30-å ãã. XX â.
Ñòðàíà Ñîâåòîâ â 20—30-å ãã. XX â.
ÍÎÂÀß ÝÊÎÍÎÌÈ×ÅÑÊÀß ÏÎËÈÒÈÊÀ (ÍÝÏ)
Ñòðàíà Ñîâåòîâ â 20—30-å ãã. XX â. 235
1921 ã. ÍÝÏ 1928—1929 ãã.
àäìèíèñòðàòèâíûå
ðûíî÷íûå
Ìåòîäû
õîçÿéñòâîâàíèÿ
⎫
⎬
⎭
⎫
⎬
⎭
Ñî÷åòàíèå
Ïðîòèâîðå÷èâîñòü Äâîéñòâåííîñòü
Õàðàêòåðíûå ÷åðòû íýïà
l Çàìåíà ïðîäðàçâåðñòêè
íàòóðàëüíûì íàëîãîì
l Âîññòàíîâëåíèå òîðãîâëè (ãî-
ñóäàðñòâåííîé, êîîïåðàòèâ-
íîé, ÷àñòíîé) è òîâàðíî-äå-
íåæíûõ îòíîøåíèé â êà÷åñòâå
îñíîâíîãî ìåõàíèçìà ôóíê-
öèîíèðîâàíèÿ ýêîíîìèêè
l Óêðåïëåíèå ôèíàíñîâîé ñèñ-
òåìû, ïåðåõîä ê äåíåæíîé
çàðïëàòå, îòìåíà áåñïëàòíûõ
óñëóã
l Ïåðåâîä ÷àñòè ãîñóäàðñòâåí-
íûõ ïðåäïðèÿòèé íà õîçðàñ÷åò
è ñîçäàíèå êðóïíûõ òðåñòîâ
êàê îñíîâíûõ óïðàâëåí÷åñêî-
ïðîèçâîäñòâåííûõ çâåíüåâ â
îòðàñëÿõ ïðîìûøëåííîñòè
l Äîïóñê ÷àñòíîãî êàïèòà-
ëà â ýêîíîìèêó ïðè ñî-
õðàíåíèè «êîìàíäíûõ
âûñîò» â ðóêàõ ãîñóäàðñò-
âà (àðåíäà ãîñïðåäïðèÿ-
òèé ÷àñòíûìè ëèöàìè,
êîíöåññèè, ñîçäàíèå
ñìåøàííûõ îáùåñòâ ñ
ó÷àñòèåì èíîñòðàííîãî
êàïèòàëà)
l Ðàçðåøåíèå àðåíäû çåì-
ëè è ïðèìåíåíèÿ íàåì-
íîãî òðóäà â ñåëüñêîì õî-
çÿéñòâå
l Îòìåíà òðóäîâîé ïîâèí-
íîñòè, îáåñïå÷åíèå ïðî-
ìûøëåííîñòè ðàáî÷åé
ñèëîé ÷åðåç áèðæè òðóäà
ÎÁÐÀÇÎÂÀÍÈÅ ÑÑÑÐ
Îáðàçîâàíèå ÑÑÑÐ
236 Îòå÷åñòâåííàÿ èñòîðèÿ â ñõåìàõ è òàáëèöàõ
Ïðåäïîñûëêè
îáðàçîâàíèÿ
l Îáùèå õîçÿéñòâåííûå ñâÿçè è èñ-
òîðè÷åñêè ñëîæèâøååñÿ ðàçäåëå-
íèå òðóäà ìåæäó ðåñïóáëèêàìè
l Ñòðåìëåíèå ê åäèíîé âíåøíåé
áåçîïàñíîñòè ðåñïóáëèê
l Îäíîòèïíîñòü ãîñóäàðñòâåííîãî
óñòðîéñòâà è íàõîæäåíèå ó âëàñòè
â ðåñïóáëèêàõ åäèíîé ïîëèòè÷å-
ñêîé ïàðòèè
Ïðîåêòû
îáúåäèíåíèÿ
l Ëåíèí
Ôåäåðàòèâíîå óñòðîéñòâî —
ðàâíîïðàâèå ñîþçíûõ ðåñ-
ïóáëèê â ðàìêàõ íîâîãî ãî-
ñóäàðñòâà
l Ñòàëèí
Àâòîíîìèçàöèÿ — âõîæ-
äåíèå ðåñïóáëèê â ñî-
ñòàâ ÐÑÔÑÐ
l Äåêëàðàöèÿ îá îáðàçîâàíèè ÑÑÑÐ â ñîñòàâå
ÐÑÔÑÐ, ÓÑÑÐ, ÁÑÑÐ, ÇÑÔÑÐ (Ãðóçèÿ, Àðìå-
íèÿ, Àçåðáàéäæàí). Óòâåðæäåíà íà I Âñåñîþçíîì
ñúåçäå Ñîâåòîâ — 30 äåêàáðÿ 1922 ã.
l Êîíñòèòóöèÿ ÑÑÑÐ (31 ÿíâàðÿ 1924 ã.)
ÂÍÓÒÐÈÏÎËÈÒÈ×ÅÑÊÀß ÁÎÐÜÁÀ
ÇÀ ÂËÀÑÒÜ Â 20-å ãã.
Ñòðàíà Ñîâåòîâ â 20—30-å ãã. XX â. 237
Ïèñüìî
Â.È. Ëåíèíà
ê ñúåçäó 23.12.1922 ã. —
4.01.1923 ã.
l Õàðàêòåðèñòèêà ðóêîâîäèòåëåé
áîëüøåâèñòñêîé ïàðòèè
l Êðèòèêà È.Â. Ñòàëèíà è ïðåäëîæå-
íèå î åãî ïåðåìåùåíèè ñ ïîñòà ãåíå-
ðàëüíîãî ñåêðåòàðÿ ÖÊ ÐÊÏ(á)
Ïðè÷èíû
âíóòðèïîëèòè÷åñêîé
áîðüáû
l Ëè÷íîå ñîïåðíè÷åñòâî ïîëèòè÷å-
ñêèõ ëèäåðîâ çà âëàñòü â ïàðòèè è
ñòðàíå
l Ðàçëè÷èå âçãëÿäîâ íà ïóòè ðàçâèòèÿ
ÑÑÑÐ
l Îòñóòñòâèå ëåãàëüíîé îïïîçèöèè
Áîðüáà ìåæäó ïîëèòè-
÷åñêèìè ëèäåðàìè:
1. Ñòàëèí
2. Òðîöêèé
3. Çèíîâüåâ è Êàìåíåâ
4. Áóõàðèí è Ðûêîâ
Ôàçû âíóòðèïîëèòè÷åñêîé áîðüáû
Ñòàëèí + Êàìåíåâ è Çèíîâüåâ ïðîòèâ Òðîöêîãî (1923—1925)
Ñòàëèí + Áóõàðèí è Ðûêîâ ïðîòèâ Êàìåíåâà è Çèíîâüåâà
(1925—1927). Èñêëþ÷åíèå Êàìåíåâà è Çèíîâüåâà èç ïàðòèè
Ñòàëèí ïðîòèâ Áóõàðèíà è Ðûêîâà (1927—1930). Óäàëåíèå Áóõà-
ðèíà è Ðûêîâà ñ ðóêîâîäÿùèõ ïîñòîâ
Îðãàíèçàöèÿ ïðîòèâ Êàìåíåâà, Çèíîâüåâà, Áóõàðèíà,
Ðûêîâà â 1935—1938 ãã. ïóáëè÷íûõ ïîëèòè÷åñêèõ ïðîöåññîâ.
Îñóæäåíû è ðàññòðåëÿíû
ÏÐÈ×ÈÍÛ ËÈÊÂÈÄÀÖÈÈ ÍÝÏÀ
Ïðè÷èíû ëèêâèäàöèè íýïà
238 Îòå÷åñòâåííàÿ èñòîðèÿ â ñõåìàõ è òàáëèöàõ
1923 ã. — Êðèçèñ ñáûòà
Êðèçèñû
íýïà
1925 ã.
1927/28 ã.
Òîâàðíûé êðèçèñ è
êðèçèñ õëåáîçàãîòîâîê
⎫
⎬
⎭
ÏÐÈ×ÈÍÛ
Ïåðèîäè÷åñêîå îáîñòðåíèå ïðîòèâîðå÷èé íýïà â ñôåðàõ:
ýêîíîìèêè
l ìåæäó îáùåñòâåí-
íî-ãîñóäàðñòâåí-
íûì, èíäèâèäó-
àëüíî-êðåñòüÿí-
ñêèì è ÷àñòíûì
ñåêòîðàìè ýêîíî-
ìèêè
l ìåæäó äèðåêòèâ-
íî-ïëàíîâûìè è
ðûíî÷íûìè íà÷à-
ëàìè â ýêîíîìèêå
l ìåæäó ãîñïîä-
ñòâóþùèìè êîì-
ìóíèñòè÷åñêèìè
èäåÿìè è ðåàëüíîé
ïðàêòèêîé íýïà
l ìåæäó àâòîðèòàð-
íîé ïîëèòè÷åñêîé
ñèñòåìîé è ïëþðà-
ëèñòè÷åñêèìè
ýêîíîìè÷åñêèìè
îòíîøåíèÿìè
l ìåæäó ñîöèàëüíû-
ìè ãðóïïàìè
âñëåäñòâèå ïîÿâëå-
íèÿ èìóùåñòâåí-
íîãî íåðàâåíñòâà
l íåãàòèâíîå îòíî-
øåíèå ê «íýïìà-
íàì» êàê ê «÷óæäî-
êëàññîâûì», ýêñ-
ïëóàòàòîðñêèì
ýëåìåíòàì
ñîöèàëüíûõ
îòíîøåíèé
ïîëèòèêè è
èäåîëîãèè
Äîìèíèðîâàíèå â îáùåñòâå áîëüøåâèñòñêîé óñòàíîâêè íà âðå-
ìåííûé è ïåðåõîäíûé õàðàêòåð íýïà, íà íåðûíî÷íûé âåêòîð
ðàçâèòèÿ ýêîíîìèêè
Âíóòðèïîëèòè÷åñêàÿ áîðüáà çà âëàñòü â 20-å ãã.
è ïîáåäà ñòîðîííèêîâ ñâåðòûâàíèÿ íýïà
Îòõîä îò íýïîâñêèõ ïðèíöèïîâ ãîñïîëèòèêè â äåðåâíå âñëåä-
ñòâèå ïðèíÿòèÿ ïàðòèéíîãî ðåøåíèÿ î ïðîâåäåíèè ìîäåðíèçà-
öèè ýêîíîìèêè çà ñ÷åò ïðèíóäèòåëüíîãî èçúÿòèÿ è ïåðåêà÷êè
ñðåäñòâ èç ñåëüñêîãî õîçÿéñòâà íà íóæäû èíäóñòðèàëèçàöèè
Ñàìîèçîëÿöèÿ ñîâåòñêîé ýêîíîìèêè è îòñóòñòâèå øèðîêèõ
ýêîíîìè÷åñêèõ ñâÿçåé ñ ìèðîâûì ñîîáùåñòâîì
ÈÍÄÓÑÒÐÈÀËÈÇÀÖÈß Â ÑÑÑÐ
I—III ïÿòèëåòêè
Ñòðàíà Ñîâåòîâ â 20—30-å ãã. XX â. 239
Öåëè Îñîáåííîñòè
l Ïðåîäîëåíèå òåõíèêî-
ýêîíîìè÷åñêîé îòñòà-
ëîñòè ñòðàíû
l Äîñòèæåíèå ýêîíîìè-
÷åñêîé íåçàâèñèìîñòè
l Ñîçäàíèå ìîùíîé òÿ-
æåëîé è îáîðîííîé
ïðîìûøëåííîñòè
l Ôîðìèðîâàíèå ìàøèí-
íî-òåõíè÷åñêîé áàçû â
ñåëüñêîì õîçÿéñòâå äëÿ
ïðîâåäåíèÿ êîëëåêòè-
âèçàöèè
Ñòàëèíñêèéâàðèàíòìîäåðíèçàöèèñòðàíû
Èòîãè è ïîñëåäñòâèÿ
l Ðåêîíñòðóèðîâàíà ìà-
òåðèàëüíî-òåõíè÷å-
ñêàÿ áàçà íàðîäíîãî
õîçÿéñòâà
l Ñîçäàíû íîâûå îòðàñ-
ëè ïðîìûøëåííîñòè
l Äîñòèãíóòà ýêîíîìè-
÷åñêàÿ íåçàâèñèìîñòü
ñòðàíû
l Ëèêâèäèðîâàíà áåçðà-
áîòèöà
l Ñêëàäûâàíèå â ñòðàíå
àäìèíèñòðàòèâíî-êî-
ìàíäíîé ñèñòåìû
óïðàâëåíèÿ
l Óêðåïëåíèå îáîðîíî-
ñïîñîáíîñòè ñòðàíû
l Ñòèìóëèðîâàíèå ýêñ-
òåíñèâíîãî ðàçâèòèÿ
ýêîíîìèêè
l Ðàçâèòèå âíåýêîíîìè-
÷åñêèõ ôîðì ïðèíóæäå-
íèÿ
l Âûñîêèå òåìïû èíäóñò-
ðèàëèçàöèè
l Ñæàòûå èñòîðè÷åñêèå
ñðîêè
l Àêöåíò íà ðàçâèòèå òÿ-
æåëîé ïðîìûøëåííîñòè
â óùåðá ëåãêîé
l Îñóùåñòâëåíèå èíäóñò-
ðèàëèçàöèè çà ñ÷åò âíóò-
ðåííèõ èñòî÷íèêîâ íà-
êîïëåíèÿ (ïåðåêà÷êà
ñðåäñòâ èç äåðåâíè, çàé-
ìû ó íàñåëåíèÿ è äð.)
ÊÎËËÅÊÒÈÂÈÇÀÖÈß ÑÅËÜÑÊÎÃÎ ÕÎÇßÉÑÒÂÀ
Êîëëåêòèâèçàöèÿ ñåëüñêîãî õîçÿéñòâà
240 Îòå÷åñòâåííàÿ èñòîðèÿ â ñõåìàõ è òàáëèöàõ
Ñîçäàíèå â êîðîòêèé ñðîê êðóïíûõ êîëëåê-
òèâíûõ õîçÿéñòâ ñ öåëüþ ïðåîäîëåíèÿ çàâè-
ñèìîñòè ãîñóäàðñòâà îò åäèíîëè÷íûõ êðå-
ñòüÿíñêèõ õîçÿéñòâ â äåëå õëåáîçàãîòîâîê
Îáåñïå÷åíèå èíäóñòðèàëèçàöèè äå-
øåâîé ðàáî÷åé ñèëîé çà ñ÷åò ìàññî-
âîãî óõîäà êðåñòüÿí èç äåðåâíè
Öåëè
Ëèêâèäàöèÿ
êóëà÷åñòâà êàê êëàññà
Ïåðåêà÷êà ñðåäñòâ èç àãðàðíîãî ñåê-
òîðà ýêîíîìèêè â ïðîìûøëåííûé íà
íóæäû èíäóñòðèàëèçàöèè
Êðèçèñ õëåáîçàãîòîâîê â ñòðàíå â 1927—1928 ãã.
Ïîäõîäû ê åãî ëèêâèäàöèè â ïàðòèéíî-ãîñóäàðñòâåííîì ðóêîâîäñòâå
Èòîãè è ïîñëåäñòâèÿ êîëëåêòèâèçàöèè
Ñòàëèí
×ðåçâû÷àéíî ðåïðåññèâíûå ìåðû
Áóõàðèí
Ýêîíîìè÷åñêèå ìåðû
Îñóùåñòâëåíèå êîëëåêòèâèçàöèè
1928 ã. — íà÷àëî ôîðñèðîâàííîãî ñîçäàíèÿ êîëõîçîâ
1929 ã. — «ñïëîøíàÿ êîëëåêòèâèçàöèÿ», «ãîä âåëèêîãî ïåðåëîìà»
1930 ã. — ëèêâèäàöèÿ êóëà÷åñòâà êàê êëàññà, «ãîëîâîêðóæåíèå îò óñïåõîâ»
1934 ã. — íà÷àëî çàâåðøàþùåãî ýòàïà ñîçäàíèÿ êîëõîçîâ
1935 ã. — ïðèíÿòèå íîâîãî óñòàâà êîëõîçîâ
1937 ã. — çàâåðøåíèå êîëëåêòèâèçàöèè. 93% êðåñòüÿíñêèõ õîçÿéñòâ
îáúåäèíåíû â êîëõîçû
Ãîëîä 1932—1933 ãã.
(óìåðëè îò 5 äî 7 ìëí ÷åë.)
Ôàêòè÷åñêîå ïðèîñòàíîâëåíèå êîëëåêòèâèçàöèè
Çàìåäëåíèå òåìïîâ ðîñòà ñåëüñêîõîçÿéñòâåííîãî ïðîèçâîäñòâà
è ïîñòîÿííîå îáîñòðåíèå ïðîäîâîëüñòâåííîé ïðîáëåìû â ñòðàíå
Óíè÷òîæåíèå ÷àñòíîãî ñåêòîðà
â ñåëüñêîì õîçÿéñòâå
Ïîòåðÿ ýêîíîìè÷åñêèõ ñòèìóëîâ ê
òðóäó â ñåëüñêîì õîçÿéñòâå
Ëèêâèäàöèÿ ñëîÿ çàæèòî÷íûõ
êðåñòüÿí
Îò÷óæäåíèå êðåñòüÿí îò
ñîáñòâåííîñòè è çåìëè
ÏÐÈ×ÈÍÛ ÔÎÐÌÈÐÎÂÀÍÈß ÊÓËÜÒÀ
ËÈ×ÍÎÑÒÈ È ÌÀÑÑÎÂÛÕ ÐÅÏÐÅÑÑÈÉ
Ñòðàíà Ñîâåòîâ â 20—30-å ãã. XX â. 241
ìàññîâûõ
ðåïðåññèé
ôîðìèðîâàíèÿ
êóëüòà ëè÷íîñòè
Ïðè÷èíû
Ðåïðåññèè êàê èíñòðóìåíò ñî-
õðàíåíèÿ ðåæèìà ëè÷íîé âëà-
ñòè Ñòàëèíà îò åãî âîçìîæíûõ
ïðîòèâíèêîâ
Ðåïðåññèè êàê ãëàâíàÿ ôîðìà
âíåýêîíîìè÷åñêîãî ïðèíóæäå-
íèÿ íàñåëåíèÿ
Ðåïðåññèè êàê îïðåäåëÿþùåå
óñëîâèå ñïëî÷åíèÿ, ñîõðàíåíèÿ
è óêðåïëåíèÿ òîòàëèòàðíîãî
îáùåñòâà ñîâåòñêîãî òèïà
Ïîòðåáíîñòè â èäåîëîãè÷å-
ñêîì îáåñïå÷åíèè ôóíêöèî-
íèðîâàíèÿ òîòàëèòàðíîé ñèñ-
òåìû
Íèçêèé óðîâåíü êóëüòóðû
ìàññ, äîïóñêàâøèé ñóùåñòâî-
âàíèå íàðîäíîé âåðû â âåëè-
÷èå è íåïîãðåøèìîñòü âîæäÿ
Ëè÷íûå êà÷åñòâà Ñòàëèíà
ÕÀÐÀÊÒÅÐÍÛÅ ×ÅÐÒÛ
ÑÎÂÅÒÑÊÎÃÎ ÎÁÙÅÑÒÂÀ Â 30-å ãã.
 ýêîíîìè÷åñêîé
ñôåðå
Ïîëíîå ïîä÷èíå-
íèå ïðîèçâîäèòå-
ëÿ ãîñóäàðñòâó
Îòñóòñòâèå ñâî-
áîäû òðóäà è çà-
ìåíà åå âíåýêî-
íîìè÷åñêèì ïðè-
íóæäåíèåì
Ìîíîïîëèÿ ãîñó-
äàðñòâà íà ñðåä-
ñòâà ïðîèçâîäñòâà
Ìèëèòàðèçàöèÿ
ýêîíîìèêè
Ãîñóäàðñòâåííîå
ðåãóëèðîâàíèå
èìóùåñòâåííûõ
îòíîøåíèé
 ïîëèòè÷åñêîé
ñôåðå
Îäíîïàðòèé-
íàÿ ñèñòåìà
Ñðàùèâàíèå
ïàðòèéíîãî è
ãîñóäàðñòâåí-
íîãî àïïàðàòîâ
Óíèôèêàöèÿ
âñåé îáùåñò-
âåííîé æèçíè
Îòñóòñòâèå ðå-
àëüíûõ ñâîáîä
â îáùåñòâå
Íàëè÷èå ìîù-
íîãî ðåïðåñ-
ñèâíîãî àïïà-
ðàòà
 ñôåðå
íàöèîíàëüíûõ
îòíîøåíèé
Ôåäåðàòèâíîå
ãîñóäàðñòâî ïî
ôîðìå, óíèòàð-
íîå ïî ñóòè
Òåíäåíöèÿ ê
ðóñèôèêàöèè
íàðîäîâ ÑÑÑÐ
Îãðàíè÷åíèå
ïîëèòè÷åñêèõ è
ýêîíîìè÷åñêèõ
ïðàâ ñîþçíûõ è
àâòîíîìíûõ
ðåñïóáëèê
 äóõîâíîé
ñôåðå
Ãîñïîäñòâî
ïàðòèéíîé
ìîíîèäåîëî-
ãèè
Ïîëíûé ãîñó-
äàðñòâåííûé
êîíòðîëü íàä
îáðàçîâàíèåì
è ñðåäñòâàìè
ìàññîâîé èí-
ôîðìàöèè
Óíèôèêàöèÿ
äóõîâíîé
æèçíè
Äèêòàò
àòåèçìà
ÂÍÅØÍßß ÏÎËÈÒÈÊÀ ÑÑÑÐ
È ÌÅÆÄÓÍÀÐÎÄÍÛÅ ÎÒÍÎØÅÍÈß Â 30-å ãã.
Âíåøíÿÿ ïîëèòèêà ÑÑÑÐ è ìåæäóíàðîäíûå îòíîøåíèÿ â 30-å ãã.
242 Îòå÷åñòâåííàÿ èñòîðèÿ â ñõåìàõ è òàáëèöàõ
Êðàõ ïîëèòèêè
êîëëåêòèâíîé
áåçîïàñíîñòè
l Âçàèìíîå íåäîâåðèå ÑÑÑÐ
è åâðîïåéñêèõ äåðæàâ
l Ïîëèòèêà ôàøèñòñêîé Ãåð-
ìàíèè, íàïðàâëåííàÿ íà ëè-
êâèäàöèþ Âåðñàëüñêîé ñèñ-
òåìû âîåííûì ïóòåì
Ðåçóëüòàòû
Ñðûâ àíãëî-ôðàíêî-ñîâåòñêèõ ïåðåãîâîðîâ
Ñîâåòñêî-
ãåðìàíñêèé ïàêò
î íåíàïàäåíèè
+
Ñåêðåòíûé
ïðîòîêîë
23.08.1939 ã.
l Îòñðî÷êà âîåííîãî ñòîëê-
íîâåíèÿ ñòîðîí
l Ôàêòè÷åñêîå ðàçäåëåíèå
ñôåð âëèÿíèÿ ìåæäó ÑÑÑÐ
è Ãåðìàíèåé â Âîñòî÷íîé
Åâðîïå
l Ñïîñîáñòâîâàë íà÷àëó Âòî-
ðîé ìèðîâîé âîéíû
Äîãîâîð
î äðóæáå è ãðàíèöàõ
ñ Ãåðìàíèåé
28.09.1939 ã.
l Âîéíà çà óêðåïëåíèå ãðàíèö è
ðàñøèðåíèå òåððèòîðèé
l Î÷åíü òÿæåëàÿ ïîáåäà Êðàñ-
íîé Àðìèè, ïîêàçàâøàÿ ñëà-
áóþ áîåâóþ è òåõíè÷åñêóþ
ïîäãîòîâêó âîéñê
l Èñêëþ÷åíèå ÑÑÑÐ èç Ëèãè
Íàöèé êàê ãîñóäàðñòâà, ñîâåð-
øèâøåãî àêò àãðåññèè
Ñîâåòñêî-
ôèíñêàÿ âîéíà
30.11.1939 ã. —
12.03.1940 ã.
Ãåðìàíèÿ
Èòàëèÿ
ßïîíèÿ
Áëîê
ôàøèñòñêèõ
ãîñóäàðñòâ
Ðàçâÿçûâàíèå Âòîðîé
ìèðîâîé âîéíû
(1939—1945)
èíèöèàòîð
ÂÅËÈÊÀß ÎÒÅ×ÅÑÒÂÅÍÍÀß ÂÎÉÍÀ
(1941—1945 ãã.)
Âåëèêàÿ Îòå÷åñòâåííàÿ âîéíà (1941—1945 ãã.)
ÏÐÈ×ÈÍÛ ÍÅÓÄÀ× ÊÐÀÑÍÎÉ ÀÐÌÈÈ
 ÍÀ×ÀËÜÍÛÉ ÏÅÐÈÎÄ ÂÎÉÍÛ
Ðåïðåññèè â àðìèè íàêàíóíå âîéíû ñðåäè êîìàíäíîãî
ñîñòàâà
Îøèáêè è ïðîñ÷åòû â îòíîøåíèè ñðîêîâ íà÷àëà
âîéíû
Âîåííàÿ äîêòðèíà, êîòîðàÿ ïðåäóñìàòðèâàëà âîåííûå
äåéñòâèÿ òîëüêî íà ÷óæîé òåððèòîðèè
Îïîçäàíèå ñ ïðèâåäåíèåì âîéñê â áîåâóþ ãîòîâíîñòü
Äåìîíòàæ ñòàðûõ è îòñóòñòâèå íîâûõ óêðåïëåíèé íà
ãðàíèöå
ÌÅÐÛ ÏÎ ÎÐÃÀÍÈÇÀÖÈÈ
ÎÒÏÎÐÀ ÔÀØÈÑÒÑÊÎÉ ÀÃÐÅÑÑÈÈ
Äèðåêòèâà Ñîâíàðêîìà ÑÑÑÐ è ÖÊ ÂÊÏ(á) îò
29.06.1941 ã. — ïðîãðàììà ïðåâðàùåíèÿ ñòðàíû â åäè-
íûé âîåííûé ëàãåðü
Îáðàçîâàíèå Ãîñóäàðñòâåííîãî êîìèòåòà îáîðîíû êàê
÷ðåçâû÷àéíîãî îðãàíà, ñîñðåäîòî÷èâøåãî âñþ ïîëíîòó
âëàñòè â ñòðàíå â ïåðèîä âîéíû
Ñîçäàíèå Ñòàâêè Ãëàâíîãî êîìàíäîâàíèÿ (ïåðåèìåíî-
âàííîé â Ñòàâêó Âåðõîâíîãî ãëàâíîêîìàíäîâàíèÿ)
Ïðîâåäåíèå âñåîáùåé ìîáèëèçàöèè. Ââåäåíèå âîåííî-
ãî ïîëîæåíèÿ
Îñóùåñòâëåíèå ýâàêóàöèè. Ïåðåñòðîéêà ýêîíîìèêè íà
âîåííûé ëàä
Îðãàíèçàöèÿ ïîäïîëüíîãî è ïàðòèçàíñêîãî ñîïðîòèâ-
ëåíèÿ â îêêóïèðîâàííûõ ðàéîíàõ
Âåëèêàÿ Îòå÷åñòâåííàÿ âîéíà (1941—1945 ãã.) 243
Áèòâà çà Ìîñêâó
ÁÈÒÂÀ ÇÀ ÌÎÑÊÂÓ
30 ñåíòÿáðÿ 1941 ã. — 20 àïðåëÿ 1942 ã.
Íàñòóïëåíèå íåìöåâ. Îïåðàöèÿ «Òàéôóí»
244 Îòå÷åñòâåííàÿ èñòîðèÿ â ñõåìàõ è òàáëèöàõ
Íà÷àëî —
30 ñåíòÿáðÿ
1941 ã.
Ïîïûòêà âçÿòü ñòîëèöó ïðè ïîìîùè
ëîáîâîé àòàêè â öåíòðàëüíîé ÷àñòè
ôðîíòà
l Îêðóæåíèå ñîâåòñêèõ âîéñê â ðàéîíå Âÿçüìû
l Íàçíà÷åíèå Ã.Ê. Æóêîâà êîìàíäóþùèì Çàïàäíûì
ôðîíòîì, îáîðîíÿâøèì Ìîñêâó (10.10.1941 ã.)
l Çàõâàò ïðîòèâíèêîì Ìîæàéñêà (18.10.1941 ã.) è Âî-
ëîêîëàìñêà (27.10.1941 ã.)
l 19.10.1941 ã. — ââåäåíèå îñàäíîãî ïîëîæåíèÿ
â Ìîñêâå
l Ïîäòÿãèâàíèå ðåçåðâîâ ê Ìîñêâå èç ãëóáèíû ñòðàíû
(58 ñòðåëêîâûõ è 15 êàâàëåðèéñêèõ äèâèçèé)
l 30.10.1941 ã. — îñòàíîâëåíî ïåðâîå íàñòóïëåíèå
âðàãà íà Ìîñêâó
Íîâîå íàñòóïëåíèå
íåìöåâ
ñ 15 íîÿáðÿ 1941 ã.
Ïîïûòêà âçÿòü ñòîëèöó ïðè ïîìî-
ùè ôëàíãîâûõ óäàðîâ ñ ñåâåðà (èç
Êëèíà) è ñ þãà (èç Òóëû)
l Çàõâàò ïðîòèâíèêîì Ñîëíå÷íîãîðñêà (24.11.1941 ã.)
l Òóëó ôàøèñòàì âçÿòü íå óäàëîñü, è èõ íàñòóïëåíèå
áûëî ïðèîñòàíîâëåíî
5—6 äåêàáðÿ 1941 ã. — íà÷à-
ëî êîíòðíàñòóïëåíèÿ Êðàñ-
íîé Àðìèè
ßíâàðü 1942 ã. — îáùåå íà-
ñòóïëåíèå Êðàñíîé Àðìèè
Àïðåëü 1942 ã. — çàâåðøå-
íèå Ìîñêîâñêîãî ñðàæåíèÿ,
îñâîáîæäåíèå Ìîñêîâñêîé
è Òóëüñêîé îáëàñòåé
Çíà÷åíèå ïîáåäû
l Ñðûâ áëèöêðèãà
l Ïåðâîå êðóïíîå ïîðàæå-
íèå Ãåðìàíèè âî Âòîðîé
ìèðîâîé âîéíå
l È ïåðâàÿ ïîáåäà, ñïî-
ñîáñòâîâàâøàÿ óêðåïëå-
íèþ ìîðàëüíî-ïñèõîëî-
ãè÷åñêîãî íàñòðîÿ ñîâåò-
ñêèõ ëþäåé
ÊÎÐÅÍÍÎÉ ÏÅÐÅËÎÌ Â ÕÎÄÅ ÂÎÉÍÛ
Âåëèêàÿ Îòå÷åñòâåííàÿ âîéíà (1941—1945 ãã.) 245
Ñòàëèíãðàäñêàÿ áèòâà
(17.07.1942 ã. — 2.02.1943 ã.)
Êóðñêàÿ áèòâà
(5.07—23.08.1943 ã.)
l Èþëü 1942 ã. — ñîçäàíèå
Ñòàëèíãðàäñêîãî ôðîíòà
l Àâãóñò — ñåíòÿáðü
1942 ã. — áîè íà ïîäñòóïàõ
è â ñàìîì ãîðîäå
l 19—20 íîÿáðÿ 1942 ã. —
íàñòóïëåíèå Êðàñíîé Àð-
ìèè ñèëàìè Þãî-Çàïàäíî-
ãî, Äîíñêîãî, Ñòàëèíãðàä-
ñêîãî ôðîíòîâ
l 23 íîÿáðÿ 1942 ã. — îêðó-
æåíèå 22 íåìåöêèõ äèâè-
çèé (330 òûñ. ÷åë.) â ðàé-
îíå ã. Êàëà÷
l 10 ÿíâàðÿ — 2 ôåâðàëÿ
1943 ã. — ëèêâèäàöèÿ îê-
ðóæåííîé ãðóïïèðîâêè
ïîä Ñòàëèíãðàäîì
l Îáîðîíèòåëüíûå áîè íà
Êóðñêîé äóãå, à çàòåì ïå-
ðåõîä Êðàñíîé Àðìèè â
íàñòóïëåíèå (12—15 èþëÿ
1943 ã.)
l 12 èþëÿ 1943 ã. — êðóï-
íåéøåå òàíêîâîå ñðàæåíèå
âî Âòîðîé ìèðîâîé âîéíå
ïîä Ïðîõîðîâêîé — 1200
òàíêîâ ñ îáåèõ ñòîðîí
l Îñâîáîæäåíèå ã. Îðëà
è ã. Áåëãîðîäà (5 àâãóñòà
1943 ã.). Ïåðâûé ñàëþò â
Ìîñêâå
l Îñâîáîæäåíèå ã. Õàðüêîâà
(23 àâãóñòà 1943 ã.)
Ñðàæåíèå çà Äíåïð è îñâîáîæäåíèå
Ëåâîáåðåæíîé Óêðàèíû
(25.08. —22.12.1943 ã.)
Âîåííûå îïåðàöèè
l ×åðíèãîâñêî-Ïðèïÿòñêàÿ l Êèåâñêàÿ l Äîíáàññêàÿ
Çíà÷åíèå êîðåííîãî ïåðåëîìà — ïåðåõîä ñòðàòåãè÷åñêîé
âîåííîé èíèöèàòèâû ê Êðàñíîé Àðìèè
Ïàðòèçàíñêîå äâèæåíèå
ÏÀÐÒÈÇÀÍÑÊÎÅ ÄÂÈÆÅÍÈÅ
Ïàðòèçàíñêîå äâèæåíèå — âîîðóæåííàÿ áîðüáà ïðîòèâ íåìåö-
êî-ôàøèñòñêèõ çàõâàò÷èêîâ íà âðå-
ìåííî îêêóïèðîâàííûõ òåððèòîðèÿõ
246 Îòå÷åñòâåííàÿ èñòîðèÿ â ñõåìàõ è òàáëèöàõ
Öåíòðàëüíûé øòàá ïàð-
òèçàíñêîãî äâèæåíèÿ
ñîçäàí 30 ìàÿ 1942 ã.
Äåéñòâîâàë äî 13 ìàÿ
1944 ã.
Ðóêîâîäñòâî,
êîîðäèíàöèÿ,
ñíàáæåíèå
Ôîðìû áîðüáû
Ðåéäû ïî òûëàì ïðîòèâíèêà
Äèâåðñèè íà êîììóíèêàöèÿõ
Ñîçäàíèå ïàðòèçàíñêèõ êðàåâ
Âî âðåìÿ âîéíû â òûëó âðàãà äåéñòâîâàëî ñâûøå 6200
ïàðòèçàíñêèõ îòðÿäîâ è ïîäïîëüíûõ ãðóïï, â êîòîðûõ
ñðàæàëèñü áîëåå 1 ìëí ÷åëîâåê
Ñ âåñíû 1943 ã. äåéñòâèÿ ïàðòèçàí ñòàëè êîîðäèíèðî-
âàòüñÿ ñ íàñòóïàòåëüíûìè îïåðàöèÿìè Êðàñíîé Àðìèè
Íàèáîëåå èçâåñòíûå êîìàíäèðû ïàðòèçàíñêèõ ñîåäèíåíèé:
l Ñ.À. Êîâïàê
l À.Í. Ñàáóðîâ
l À.Ô. Ôåäîðîâ
l Ï.Ï. Âåðøèãîðà
l Ä.Í. Ìåäâåäåâ
ÒÛË Â ÏÅÐÈÎÄ ÂÎÉÍÛ
Âåëèêàÿ Îòå÷åñòâåííàÿ âîéíà (1941—1945 ãã.) 247
×ðåçâû÷àéíûå ìåðû
Òðóäîâîé ãåðîèçì
íàðîäà
l Ýâàêóàöèÿ íà âîñòîê ïðîìûøëåííîñòè
l Ââåäåíèå îáÿçàòåëüíûõ ñâåðõóðî÷íûõ ðàáîò,
11-÷àñîâîãî ðàáî÷åãî äíÿ, îòìåíà îòïóñêîâ
l Òðóäîâàÿ ìîáèëèçàöèÿ ïðèðàâíåíà ê âîåííîé
l Ïðèêðåïëåíèå ðàáîòíèêîâ ê ïðåäïðèÿòèÿì
l Óæåñòî÷åíèå ñàíêöèé çà íàðóøåíèÿ òðóäîâîé
äèñöèïëèíû
l Äâèæåíèå ñêîðîñòíèêîâ (çà âûïîëíåíèå 2—3
íîðì) è çà îâëàäåíèå ñìåæíûìè ïðîôåññèÿìè
Ê êîíöó 1942 ã. óäàëîñü ïðåâçîéòè óòðà÷åííûå âîåííûå
ìîùíîñòè è áåñïåðåáîéíî ñíàáæàòü àðìèþ
 èòîãå
«Âñå äëÿ ôðîíòà,
âñå äëÿ ïîáåäû!»
Îñâîáîæäåíèå îòå÷åñòâåííûõ òåððèòîðèé â 1944 ã.
ÎÑÂÎÁÎÆÄÅÍÈÅ ÎÒÅ×ÅÑÒÂÅÍÍÛÕ
ÒÅÐÐÈÒÎÐÈÉ Â 1944 ã.
Âîåííàÿ îïåðàöèÿ Äàòà
Ñíÿòèå áëîêàäû Ëåíèíãðàäà 14—27 ÿíâàðÿ
Êîðñóíü-Øåâ÷åíêîâñêàÿ 24 ÿíâàðÿ — 17 ôåâðàëÿ
Îñâîáîæäåíèå Êðûìà 8 àïðåëÿ — 9 ìàÿ
Íàñòóïëåíèå â Êàðåëèè è âûâîä
èç âîéíû Ôèíëÿíäèè
10 èþíÿ — 19 ñåíòÿáðÿ
Îïåðàöèÿ «Áàãðàòèîí» — îñâîáî-
æäåíèå Áåëîðóññèè
23 èþíÿ — 19 ñåíòÿáðÿ
Ëüâîâñêî-Ñàíäîìèðñêàÿ 23 èþíÿ — 29 àâãóñòà
ßññêî-Êèøèíåâñêàÿ 20—29 àâãóñòà
Îñâîáîæäåíèå Ïðèáàëòèêè 14 ñåíòÿáðÿ — 24 íîÿáðÿ
Îñâîáîæäåíèå Çàïîëÿðüÿ (Ïåòåà-
ìî-Êèðêåíåññêàÿ îïåðàöèÿ)
7—29 îêòÿáðÿ
ÍÀ×ÀËÎ ÎÑÂÎÁÎÆÄÅÍÈß ÅÂÐÎÏÅÉÑÊÈÕ ÑÒÐÀÍ
Áîëãàðèÿ
Ðóìûíèÿ
Þãîñëàâèÿ — îêòÿáðü
Âåíãðèÿ — îêòÿáðü 1944 ã. — ôåâðàëü 1945 ã.
248 Îòå÷åñòâåííàÿ èñòîðèÿ â ñõåìàõ è òàáëèöàõ
ñåíòÿáðü
⎫
⎬
⎭
ÇÀÂÅÐØÀÞÙÈÉ ÝÒÀÏ
È ÐÀÇÃÐÎÌ ÔÀØÈÑÒÑÊÎÉ ÃÅÐÌÀÍÈÈ
Âèñëî-Îäåðñêàÿ âîåííàÿ îïåðàöèÿ
12 ÿíâàðÿ — 3 ôåâðàëÿ 1945 ã.
Îñâîáîæäåíèå Ïîëüøè è ïåðåíîñ âîåííûõ äåéñòâèé
íà òåððèòîðèþ Ãåðìàíèè
Øòóðì Áåðëèíà 16 àïðåëÿ — 2 ìàÿ 1945 ã.
Ïîäïèñàíèå àêòà î áåçîãîâîðî÷íîé êàïèòóëÿöèè Ãåðìàíèè
8 ìàÿ 1945 ã.
ÑÎÇÄÀÍÈÅ ÀÍÒÈÃÈÒËÅÐÎÂÑÊÎÉ ÊÎÀËÈÖÈÈ
ÎÑÍÎÂÍÛÅ ÝÒÀÏÛ
Ñîâåòñêî-àíãëèéñêîå ñîãëàøåíèå î ñîâìåñòíûõ äåéñòâèÿõ â âîéíå ïðîòèâ
Ãåðìàíèè (12 èþëÿ 1941 ã. Ìîñêâà)
Ìîñêîâñêàÿ êîíôåðåíöèÿ ìèíèñòðîâ èíîñòðàííûõ äåë ÑÑÑÐ,
Àíãëèè è ÑØÀ (29 ñåíòÿáðÿ — 1 îêòÿáðÿ 1941 ã.)
Íà÷àëî âîåííûõ ïîñòàâîê â ÑÑÑÐ ïî ëåíä-ëèçó èç ÑØÀ
Ïîäïèñàíèå Âàøèíãòîíñêîé äåêëàðàöèè 26 ãîñóäàðñòâ
î öåëÿõ âîéíû ïðîòèâ ôàøèçìà (1 ÿíâàðÿ 1942 ã.)
Ñîâåòñêî-àíãëèéñêèé äîãîâîð î ñîþçå â âîéíå ïðîòèâ Ãåðìàíèè
(26 ìàÿ 1942 ã. Ëîíäîí)
Ñîâåòñêî-àìåðèêàíñêîå ñîãëàøåíèå î ïðèíöèïàõ âçàèìíîé ïîìîùè â âåäå-
íèè âîéíû ïðîòèâ àãðåññèè (11 èþíÿ 1942 ã. Âàøèíãòîí)
Ñîâåòñêî-ôðàíöóçñêèé äîãîâîð î ñîþçå è âçàèìíîé ïîìîùè
(10 äåêàáðÿ 1944 ã. Ìîñêâà)
Âåëèêàÿ Îòå÷åñòâåííàÿ âîéíà (1941—1945 ãã.) 249
Íàðîäíîå âîñ-
ñòàíèå â Ïðàãå
Òàíêîâûé ðåéä
ñîâåòñêèõ âîéñê
5—9 ìàÿ
1945 ã.
Îñâîáîæäåíèå
×åõîñëîâàêèè
ÌÅÆÄÓÍÀÐÎÄÍÛÅ ÊÎÍÔÅÐÅÍÖÈÈ ÃËÀÂ
ÄÅÐÆÀÂ ÑÑÑÐ, ÂÅËÈÊÎÁÐÈÒÀÍÈÈ È ÑØÀ
Òåãåðàíñêàÿ
êîíôåðåíöèÿ 28.11—
01.12.1943 ã.
Ñòàëèí, ×åð÷èëëü,
Ðóçâåëüò
Îñíîâíûå ðåøåíèÿ
Ïðèíÿòà äåêëàðàöèÿ î ñîâìåñòíûõ äåéñòâèÿõ â âîé-
íå ïðîòèâ Ãåðìàíèè
Ðåøåí âîïðîñ îá îòêðûòèè âòîðîãî ôðîíòà â Åâðîïå
â òå÷åíèå ìàÿ 1944 ã.
Îáñóæäåí âîïðîñ î ïîñëåâîåííûõ ãðàíèöàõ
Ïîëüøè
Ãîòîâíîñòü ÑÑÑÐ âñòóïèòü â âîéíó ñ ßïîíèåé ïîñëå
ðàçãðîìà Ãåðìàíèè
Êðûìñêàÿ (ßëòèíñêàÿ)
êîíôåðåíöèÿ
04—11.02.1945 ã.
Ñòàëèí, ×åð÷èëëü,
Ðóçâåëüò
Ñîãëàñîâàíû ïëàíû ðàçãðîìà è óñëîâèé áåçîãîâî-
ðî÷íîé êàïèòóëÿöèè Ãåðìàíèè
Íàìå÷åíû îñíîâíûå ïðèíöèïû îáùåé ïîëèòèêè â
îòíîøåíèè ïîñëåâîåííîé îðãàíèçàöèè ìèðà
Ïðèíÿòû ðåøåíèÿ î ñîçäàíèè â Ãåðìàíèè çîí îêêó-
ïàöèè, îáùåãåðìàíñêîãî êîíòðîëüíîãî îðãàíà è î
âçûñêàíèè ðåïàðàöèé
Ðåøåíî ñîçäàòü Ó÷ðåäèòåëüíóþ êîíôåðåíöèþ ïî
âûðàáîòêå Óñòàâà ÎÎÍ
Ðåøåí âîïðîñ î âîñòî÷íûõ ãðàíèöàõ Ïîëüøè
ÑÑÑÐ ïîäòâåðäèë ñîãëàñèå âñòóïèòü â âîéíó
ñ ßïîíèåé ÷åðåç 3 ìåñÿöà ïîñëå êàïèòóëÿöèè
Ãåðìàíèè
4 Ä =
1. Äåíàöèôèêàöèÿ
2. Äåìîêðàòèçàöèÿ
3. Äåìèëèòàðèçàöèÿ
4. Äåìîíîïîëèçàöèÿ
Áåðëèíñêàÿ
(Ïîòñäàìñêàÿ)
êîíôåðåíöèÿ
17.07—02.08.1945
Ñòàëèí, Òðóìýí,
×åð÷èëëü — Ýòòëè
Îáñóæäåíû îñíîâíûå ïðîáëåìû ïîñëåâîåííîãî óñò-
ðîéñòâà ìèðà
Ïðèíÿòî ðåøåíèå î ñèñòåìå ÷åòûðåõñòîðîííåé îê-
êóïàöèè Ãåðìàíèè è îá óïðàâëåíèè Áåðëèíîì
Ñîçäàí Ìåæäóíàðîäíûé âîåííûé òðèáóíàë äëÿ
ñóäà íàä ãëàâíûìè íàöèñòñêèìè âîåííûìè
ïðåñòóïíèêàìè
Ðåøåí âîïðîñ î çàïàäíûõ ãðàíèöàõ Ïîëüøè
Ïåðåäà÷à ÑÑÑÐ áûâøåé Âîñòî÷íîé Ïðóññèè
ñ ã. Êåíèãñáåðãîì
Ðåøåí âîïðîñ î ðåïàðàöèÿõ è óíè÷òîæåíèè
ãåðìàíñêèõ ìîíîïîëèé
250 Îòå÷åñòâåííàÿ èñòîðèÿ â ñõåìàõ è òàáëèöàõ
ÏÎÁÅÄÀ
Ïîáåäà
Âåëèêàÿ Îòå÷åñòâåííàÿ âîéíà (1941—1945 ãã.) 251
Èñòî÷íèêè Èòîãè
Ìàññîâûé ãåðîèçì è
ñàìîîòâåðæåííîñòü
ëþäåé
Åäèíñòâî ôðîíòà è
òûëà
Óñïåõè ïàðòèçàíñêîãî
äâèæåíèÿ
Âîçðîñøåå âîåííîå
èñêóññòâî ïîëêîâîäöåâ
Ðàçãðîì ôàøèçìà
Óêðåïëåíèå
ìåæäóíàðîäíîãî
àâòîðèòåòà ÑÑÑÐ
Ðàñøèðåíèå ãðàíèö
ñòðàíû
Íà÷àëî ñîçäàíèÿ
ìèðîâîé ñèñòåìû
ñîöèàëèçìà
ÖÅÍÀ ÏÎÁÅÄÛ ÑÎÂÅÒÑÊÎÃÎ ÍÀÐÎÄÀ Â ÂÎÉÍÅ
Ïîòåðè â Âåëèêîé
Îòå÷åñòâåííîé âîéíå 27 ìëí ÷åë.
1946 ã. È.Â. Ñòàëèí — 7 ìëí ÷åë.
1956 ã. Í.Ñ. Õðóùåâ — 20 ìëí ÷åë.
1985 ã. Ì.Ñ. Ãîðáà÷åâ — 27 ìëí ÷åë.
1995 ã. Á.Í. Åëüöèí — 26,6 ìëí ÷åë.
14ìëí÷åë.
ïîòåðèâáîåâûõ
äåéñòâèÿõ
13ìëí÷åë.
ìèðíûåæèòåëè
Âîåííûå ïîòåðè Ãåðìàíèè — 6,7 ìëí ÷åë.
Ñîîòíîøåíèå ïîãèáøèõ:
1 : 2
ãåðìàíñêèé ñîëäàò ðóññêèõ ñîëäàòà
Ïóòü ê ïðàâäèâûì
öèôðàì
ÏÎÑËÅÂÎÅÍÍÎÅ ÐÀÇÂÈÒÈÅ
ÑÒÐÀÍÛ (1945—1953 ãã.)
Ïîñëåâîåííîå ðàçâèòèå ñòðàíû (1945—1953 ãã.)ÂÎÑÑÒÀÍÎÂËÅÍÈÅ
È ÐÀÇÂÈÒÈÅ ÍÀÐÎÄÍÎÃÎ ÕÎÇßÉÑÒÂÀ
Âîññòàíîâëåíèå è ðàçâèòèå íàðîäíîãî õîçÿéñòâà
252 Îòå÷åñòâåííàÿ èñòîðèÿ â ñõåìàõ è òàáëèöàõ
Âîññòàíîâëåíèå
ðàçðóøåííîãî
õîçÿéñòâà
Èäåîëîãè÷åñêîå
çàêðåïîùåíèå
îáùåñòâåííîãî
ñîçíàíèÿ
Òðóäîâîé
ãåðîèçì
íàðîäà
Òðóäíîñòè
è ëèøåíèÿ
íàñåëåíèÿ
Âåðà â
ñâåòëîå
áóäóùåå
Êóðñ íà êîì-
ìóíèñòè÷å-
ñêîå ñòðîè-
òåëüñòâî
Ïàðòèéíî-ãî-
ñóäàðñòâåí-
íîå äàâëåíèå
íà òâîð÷å-
ñêóþ èíòåë-
ëèãåíöèþ
ÀÏÎÃÅÉ
ÑÒÀËÈÍÈÇÌÀ
1945—1953 ãã.
Óêðåïëåíèå
àäìèíèñòðàòèâíî-
êîìàíäíîé ñèñòåìû
è òîòàëèòàðíî-
áþðîêðàòè÷åñêîé
ñòðóêòóðû âëàñòè
Íîâûé âèòîê ðåïðåññèé â ñòðàíå:
l ÃÓËÀÃ äëÿ âîåííîïëåííûõ
l «Ëåíèíãðàäñêîå äåëî»
l «Äåëî âðà÷åé»
Îáîñòðåíèå ìåæäóíàðîäíûõ îòíîøåíèé
è íà÷àëî «õîëîäíîé âîéíû»
Ñîçäàíèå ñîöèàëèñòè÷åñêîãî ëàãåðÿ è áîðüáà äâóõ
îáùåñòâåííî-ïîëèòè÷åñêèõ ñèñòåì
Ïîñëåâîåííîå ðàçâèòèå ñòðàíû (1945—1953 ãã.) 253
IV ïÿòèëåòíèé ïëàí
(1946—1950)
Ïëàí âîññòàíîâëåíèÿ
è ðàçâèòèÿ ýêîíîìèêè ÑÑÑÐ
l Âîññòàíîâëåíî è ïîñòðîåíî 6200 ïðîìûøëåí-
íûõ ïðåäïðèÿòèé
l Äîâîåííûé óðîâåíü ïðîìûøëåííîãî ïðîèç-
âîäñòâà äîñòèãíóò â 1948 ã.
l Àêöåíò íà ïðèðîñò ïîêàçàòåëåé ïî ïðîèçâîä-
ñòâó ìåòàëëà, òîïëèâà è ïðîìûøëåííîãî ñû-
ðüÿ â óùåðá ïðîèçâîäñòâó òîâàðîâ íàðîäíîãî
ïîòðåáëåíèÿ
l Äåíåæíàÿ ðåôîðìà è îòìåíà êàðòî÷íîé ñèñ-
òåìû (äåêàáðü 1947 ã.)
Íàèáîëåå êðóïíûå
ïðîìûøëåííûå îáúåêòû
Âîññòàíîâëåíû Ïîñòðîåíû
l Äíåïðîãýñ
l «Çàïîðîæñòàëü»
l Äîíåöêèé
óãîëüíûé áàññåéí
l «Àçîâñòàëü» è äð.
l Êîëîìåíñêèé çàâîä
òÿæåëîãî ìàøèíî-
ñòðîåíèÿ
l Êàëóæñêèé òóðáèí-
íûé çàâîä
l Ãàçîïðîâîä Ñàðà-
òîâ — Ìîñêâà
Ñåðüåçíîå îòñòàâàíèå
ñåëüñêîãî õîçÿéñòâà
Äîâîåííûé óðîâåíü ñåëüñêîõî-
çÿéñòâåííîãî ïðîèçâîäñòâà äîñ-
òèãíóò òîëüêî â íà÷àëå 50-õ ãã.
ÍÎÂÛÉ ÂÈÒÎÊ ÏÎËÈÒÈ×ÅÑÊÈÕ ÐÅÏÐÅÑÑÈÉ
254 Îòå÷åñòâåííàÿ èñòîðèÿ â ñõåìàõ è òàáëèöàõ
Ïðè÷èíû
l Îòêàç îò äîïóùåíèé áîëü-
øåé ñòåïåíè ñâîáîäû â íåêî-
òîðûõ ñôåðàõ îáùåñòâåííîé
æèçíè, ñâÿçàííûõ ñ ïîáåäîé
ñîâåòñêîãî íàðîäà â Âåëèêîé
Îòå÷åñòâåííîé âîéíå
l Ðåïðåññèè êàê îïðàâäà-
íèå íåóäà÷ â ïîñëåâî-
åííîì âîññòàíîâëåíèè
è ñ öåëüþ íàãíåòàíèÿ â
ñòðàíå àòìîñôåðû âñå-
îáùåãî ñòðàõà
l Ðåïðåññèè êàê îòðàæåíèå áîðü-
áû çà âëàñòü â ïîëèòè÷åñêîì
ðóêîâîäñòâå
l Ðåïðåññèè ïî îòíîøåíèþ ê ðåïàòðèèðîâàííûì
âîåííîïëåííûì (1945—1946)
l Ôàáðèêàöèÿ òàê íàçûâàåìîãî «Ëåíèíãðàäñêîãî
äåëà», â ðåçóëüòàòå êîòîðîãî áûëè
ðåïðåññèðîâàíû âèäíûå ãîñóäàðñòâåííûå è
ïàðòèéíûå ðàáîòíèêè (Í.À. Âîçíåñåíñêèé,
À.À. Êóçíåöîâ, Ï.Ñ. Ïîïêîâ, Ì.È. Ðîäèîíîâ è
äð., 1949—1950 ãã.)
l Êàìïàíèÿ ïîä âèäîì áîðüáû ñ «áåçðîäíûì
êîñìîïîëèòèçìîì» ïðèâåëà ê àðåñòàì è
îñóæäåíèþ åâðåéñêîé èíòåëëèãåíöèè
(Ñ. Ëîçîâñêèé, Á. Øèìåëèàíîâè÷, Ë. Êâèòêî,
Ï. Æåì÷óæèíà è äð.)
l «Äåëî âðà÷åé» (ÿíâàðü 1953 ã.), îáâèíåííûõ â
ñîçäàíèè òåððîðèñòè÷åñêîé ãðóïïû è
ïðè÷àñòíîñòè ê èíîñòðàííûì ðàçâåäêàì
ÌÅÆÄÓÍÀÐÎÄÍÎÅ ÏÎËÎÆÅÍÈÅ È ÂÍÅØÍßß
ÏÎËÈÒÈÊÀ ÑÑÑÐ Â 1945—1953 ãã.
Ìåæäóíàðîäíîå ïîëîæåíèå è âíåøíÿÿ ïîëèòèêà ÑÑÑÐ
Ïîñëåâîåííîå ðàçâèòèå ñòðàíû (1945—1953 ãã.) 255
Íîâàÿ ðàññòàíîâêà ñèë
íà ìåæäóíàðîäíîé àðåíå
Ðàçíîãëàñèÿ ñ çàïàäíû-
ìè ãîñóäàðñòâàìè
Ðàñøèðåíèå âëèÿíèÿ
ÑÑÑÐ â ìèðå (Âîñòî÷íàÿ
Åâðîïà, Êèòàé)
Ðàçäåëåíèå ìèðà íà äâå
ïðîòèâîáîðñòâóþùèå
ñèñòåìû: êàïèòàëèçì
è ñîöèàëèçì
Îáðàçîâàíèå ÎÎÍ
(îêòÿáðü 1945 ã.)
Ñîçäàíèå ÑÝÂ
(ÿíâàðü 1949 ã.)
Ñîçäàíèå Êîìèíôîðìà
(îáúåäèíåíèå êîììóíè-
ñòè÷åñêèõ è ðàáî÷èõ
ïàðòèé) ïîä ðóêîâîä-
ñòâîì ÑÑÑÐ, ñåíòÿáðü
1948 ã.
Îáîñòðåíèå è ðàçðûâ îò-
íîøåíèé ìåæäó ÑÑÑÐ è
Þãîñëàâèåé
ïðèâîäÿò
ê «õîëîäíîé âîéíå»
«ÕÎËÎÄÍÀß ÂÎÉÍÀ»
— ýòî ñîñòîÿíèå ýêîíîìè÷åñêîé, èäåîëîãè÷åñêîé è
«ïîëóâîåííîé» êîíôðîíòàöèè ìåæäó äâóìÿ ñèñòå-
ìàìè (ñîöèàëèçìîì è êàïèòàëèçìîì)
256 Îòå÷åñòâåííàÿ èñòîðèÿ â ñõåìàõ è òàáëèöàõ
ÑÑÑÐ è
ñîöèàëèñòè÷åñêèå
ñòðàíû
ÑØÀ è ñòðàíû
Çàïàäà
«Îáðàç
âðàãà»
Ìàíèôåñò ïðîòèâîñòîÿíèÿ
Ðå÷ü Ó. ×åð÷èëëÿ «Ìóñêóëû
ìèðà» (5 ìàðòà 1946 ã., ã. Ôóëòîí,
ÑØÀ), â êîòîðîé îí
ïðèçâàë çàïàäíûå
ñòðàíû áîðîòüñÿ
ñ «ýêñïàíñèåé
òîòàëèòàðíîãî
êîììóíèçìà»
Ñîçäàíèå
Îðãàíèçàöèè
Âàðøàâñêîãî
äîãîâîðà (1955)
Ñîçäàíèå
ñîâåòñêîé
àòîìíîé
áîìáû (1949)
Ñîçäàíèå
ÍÀÒÎ (1949)
Ïëàíû
àòîìíûõ
áîìáàðäèðîâîê
ÑÑÑÐ
Ðàñêîë Ãåðìàíèè
íà äâà ãîñóäàðñòâà:
ÔÐÃ è ÃÄÐ (1949)
Âîéíà â Êîðåå
(1950—1953)
ÓÑÈËÅÍÈÅ ÊÎÍÒÐÎËß
ÍÀÄ ÄÓÕÎÂÍÎÉ ÆÈÇÍÜÞ ÎÁÙÅÑÒÂÀ
Óñèëåíèå êîíòðîëÿ íàä äóõîâíîé æèçíüþ îáùåñòâà
À.À. Æäàíîâ (äî 1948 ã.)
Ïîñëåâîåííîå ðàçâèòèå ñòðàíû (1945—1953 ãã.) 257
Âñåîáùèé êîíòðîëü
çà èíòåëëåêòóàëüíîé
äåÿòåëüíîñòüþ
Äîãìàòè÷åñêîå
äàâëåíèå
ïàðòèéíîé
èäåîëîãèè íà âñå
ñòîðîíû äóõîâíîé
æèçíè îáùåñòâàÌ.À. Ñóñëîâ
14 àâãóñòà 1946 ã. — ïîñòàíîâëåíèå ÖÊ ÂÊÏ(á)
«Î æóðíàëàõ «Çâåçäà» è «Ëåíèíãðàä».
Çàïðåò íà ïóáëèêàöèþ ïðîèçâåäåíèé
À. Àõìàòîâîé è Ì. Çîùåíêî
4 ñåíòÿáðÿ 1946 ã. — çàïðåòû íà êèíîôèëüìû Ë. Ëóêîâà
«Áîëüøàÿ æèçíü» è Ñ. Ýéçåíøòåéíà
«Èâàí Ãðîçíûé» (÷. II)
10 ôåâðàëÿ 1948 ã. — ïîñòàíîâëåíèå ÖÊ ÂÊÏ(á)
«Îá óïàäíè÷åñêèõ ÿâëåíèÿõ â
ñîâåòñêîé ìóçûêå». Êðèòèêà
êîìïîçèòîðîâ Ä.Ä. Øîñòàêîâè÷à,
Ñ.Ñ. Ïðîêîôüåâà è äð.
Àâãóñò 1948 ã. — çàïðåò ãåíåòèêè. Çàñèëüå
Ò.Ä. Ëûñåíêî â ñåëüñêîõîçÿéñòâåííîé
è áèîëîãè÷åñêîé íàóêå.
Ðàçðûâ ñ ìèðîâîé íàóêîé
1949 ã. — øèðîêàÿ êàìïàíèÿ ïî
«ðàçîáëà÷åíèþ» «êîñìîïîëèòèçìà»
â íàóêå è êóëüòóðå
1951—1952 ã. — êàìïàíèÿ ïðîòèâ íàöèîíàëüíûõ
ýïîñîâ ìóñóëüìàíñêèõ íàðîäîâ
ÑÑÑÐ Â 1953—1964 ãã.
ÑÑÑÐ â 1953—1964 ãã.
258 Îòå÷åñòâåííàÿ èñòîðèÿ â ñõåìàõ è òàáëèöàõ
ÐÅÔÎÐÌÀÒÎÐÑÊÈÅ ÏÎÏÛÒÊÈ Â ÐÀÌÊÀÕ
ÊÎÌÀÍÄÍÎ-ÀÄÌÈÍÈÑÒÐÀÒÈÂÍÎÉ ÑÈÑÒÅÌÛ
Ðåôîðìû
óïðàâëåíèÿ
íàðîäíûì
õîçÿéñòâîì
Ýêîíîìè÷åñêèå
«ïðîáóêñîâêè»
è ìèô î ñâåòëîì
êîììóíèñòè÷åñêîì
áóäóùåì
Ìåðû ïî
óëó÷øåíèþ
æèçíè
ñîâåòñêèõ ëþäåé
Ïîâûøåíèå
ðîçíè÷íûõ öåí.
Òðàãåäèÿ
â Íîâî÷åðêàññêå
«Îòòåïåëü»
â êóëüòóðíîé
æèçíè
Óñèëåíèå
êîíòðîëÿ ñî
ñòîðîíû ïàðòèé-
íîãî àïïàðàòà
çà äåÿòåëüíîñòüþ
òâîð÷åñêîé
èíòåëëèãåíöèè
Íîâûå ðåàëüíîñòè
âíåøíåé ïîëèòèêè.
Ìèðíîå ñîñóùåñòâîâàíèå
è ðàñøèðåíèå
ñîòðóäíè÷åñòâà
ñ çàðóáåæíûìè ñòðàíàìè
Ãîíêà âîîðóæåíèé.
Ââîä âîéñê ñòðàí
Âàðøàâñêîãî äîãîâîðà
â Âåíãðèþ.
Êàðèáñêèé êðèçèñ
Íåïîñëåäîâàòåëüíûé è ïðîòèâîðå÷èâûé õàðàêòåð
ïðåîáðàçîâàíèé
ÐÀÇÎÁËÀ×ÅÍÈÅ
ÊÓËÜÒÀ
ËÈ×ÍÎÑÒÈ
ÑÒÀËÈÍÀ
È ÍÀ×ÀËÎ
ÎÁÍÎÂËÅÍÈß
ÂÎ ÂÑÅÕ ÑÔÅÐÀÕ
ÎÁÙÅÑÒÂÅÍÍÎÉ
ÆÈÇÍÈ.
«ÎÒÒÅÏÅËÜ»
ÁÎÐÜÁÀ ÇÀ ÂËÀÑÒÜ
ÏÎÑËÅ ÑÌÅÐÒÈ ÑÒÀËÈÍÀ
Áîðüáà çà âëàñòü ïîñëå ñìåðòè Ñòàëèíà
Ñìåðòü Ñòàëèíà 5 ìàðòà 1953 ã.
ÑÑÑÐ â 1953—1964 ãã. 259
Ë.Ï. Áåðèÿ
ïåðâûé çàì. ïðåä-
ñîâìèíà, âíîâü
âîçãëàâèë ÌÂÄ
Ã.Ì. Ìàëåíêîâ
Ïðåäñåäàòåëü
Ñîâåòà Ìèíèñòðîâ
ÑÑÑÐ
Í.Ñ. Õðóùåâ
ñåêðåòàðü ÖÊ ÊÏÑÑ,
ðóêîâîäñòâî âñåìè
ïàðòèéíûìè äåëàìè
Àêòèâíîñòü, íàïðàâëåííàÿ
íà ñìÿã÷åíèå ðåæèìà:
l Ðåàáèëèòàöèÿ ïî «äåëó
âðà÷åé»
l Èíèöèàòîð ìàññîâîé àì-
íèñòèè
l Ñòðåìëåíèå îãðàíè÷èòü
âìåøàòåëüñòâî ïàðòèé-
íûõ îðãàíîâ â õîç. äåëà
Ýòî èñòîëêîâû-
âàëîñü êàê
ñòðåìëåíèå ê çà-
õâàòó âëàñòè
Îáúåäèíåíèå
ñ öåëüþ
óñòðàíåíèÿ
Áåðèè
Àðåñò
26 èþíÿ
1953 ã., ñóä,
ðàññòðåë
Ã.Ì. Ìàëåíêîâ
8 ôåâðàëÿ
1955 ã. —
îòñòàâêà
Í.Ñ. Õðóùåâ
Ðàçãðîì
ïðîòèâíèêîâ
è óïðî÷åíèå
ïîçèöèé
Èþíü 1957 ã. — ïîïûòêà ïðîòèâíèêîâ Õðóùåâà
(Ìîëîòîâ, Êàãàíîâè÷, Ìàëåíêîâ) îòñòðàíèòü åãî
îò âëàñòè íà ïëåíóìå ÖÊ ÊÏÑÑ
Ðàçíîãëàñèÿ ïî
ýêîíîìè÷åñêèì
è ñîöèàëüíî-
ïîëèòè÷åñêèì
âîïðîñàì
Ñ 13 ñåíòÿáðÿ
1953 ã.
Ïåðâûé
ñåêðåòàðü
ÖÊ ÊÏÑÑ
Ñ 27 ìàðòà
1958 ã.
Ïðåäñåäàòåëü
Ñîâåòà
Ìèíèñòðîâ
ÑÑÑÐ
Áîðüáà
Ðàññòàíîâêà ñèë â ðóêîâîäñòâå ñòðàíîé
ÐÀÇÎÁËÀ×ÅÍÈÅ ÊÓËÜÒÀ ËÈ×ÍÎÑÒÈ
260 Îòå÷åñòâåííàÿ èñòîðèÿ â ñõåìàõ è òàáëèöàõ
Ïîáåäà â âîéíå íå ïðèíåñëà ñâîáîäû è óëó÷øåíèÿ æèçíè
Ñìåðòü Ñòàëèíà îñëàáèëà ñòðàõ ïåðåä ãîñóäàðñòâîì è ðå-
ïðåññèÿìè
Âîññòàíèÿ â ñèñòåìå ÃÓËÀÃà â 1953—1956 ãã.
Íàçðåâàíèå ñîöèàëüíîãî ïðîòåñòà â îáùåñòâå
Îñóæäåíèå êóëüòà êàê ñðåäñòâî áîðüáû çà âëàñòü â âûñ-
øèõ ýøåëîíàõ âëàñòè
Ïðåäïîñûëêè
Íåîáõîäèìîñòü ïåðåìåí â îáùåñòâå
Ïàðòèéíàÿ îöåíêà 1956 ã.
Ñëîæíàÿ ìåæäóíàðîäíàÿ è âíóò-
ðåííÿÿ îáñòàíîâêà, òðåáîâàâøàÿ
îãðàíè÷åíèÿ äåìîêðàòèè
Ëè÷íîñòíûå êà÷åñòâà Ñòàëèíà,
ñûãðàâøèå ðåøàþùóþ ðîëü â îð-
ãàíèçàöèè ðåïðåññèé è çëîóïîò-
ðåáëåíèè âëàñòüþ
Ñîâðåìåííàÿ îöåíêà
Êðèòèêà êóëüòà, íî
íå ñèñòåìû
Êóëüò ëè÷íîñòè ÿâ-
ëÿåòñÿ íåîáõîäèìûì
àòðèáóòîì ñîöèàëè-
ñòè÷åñêîé ñèñòåìû
Èçâðàùåíèå Ñòàëèíûì èäåàëîâ ñîöèàëèçìà
XX ñúåçä ÊÏÑÑ
Ôåâðàëü 1956 ã.
Ñåêðåòíûé äîêëàä Í.Ñ. Õðóùåâà
«Î êóëüòå ëè÷íîñòè è åãî ïîñëåäñòâèÿõ»
ðàññòðåëû ìèðíûõ äåìîíñòðàöèé â Òáèëèñè
(ìàðò 1956 ã.) è Íîâî÷åðêàññêå (èþíü 1962 ã.)
XX ñúåçä ÊÏÑÑ
Äîêëàä Í.Ñ. Õðóùåâà î
êóëüòå ëè÷íîñòè
Ïîñòàíîâëåíèå ÖÊ
ÊÏÑÑ îò 30 èþíÿ 1956 ã.
«Î ïðåîäîëåíèè êóëüòà
ëè÷íîñòè è åãî
ïîñëåäñòâèé»
Ðåàáèëèòà-
öèÿ æåðòâ
ìàññîâûõ
ïîëèò. ðå-
ïðåññèé
+
Êðèòèêà êóëüòà, íî íå ñèñòåìû
Îïðåäåëÿëèñü äîçâîëåííûå ðàìêè êðèòèêè äåÿ-
òåëüíîñòè Ñòàëèíà è ñòàëèíùèíû
Ïîäàâëåíèå è ðåïðåññèè ïðîòèâ òåõ, êòî â ñâîåé
êðèòèêå íå îãðàíè÷èâàëñÿ äîçâîëåííûìè ðàìêàìè
⎫
⎬
⎭
Ïðè÷èíû
ÐÅÔÎÐÌÛ Í.Ñ. ÕÐÓÙÅÂÀ
 ÑÔÅÐÅ ÓÏÐÀÂËÅÍÈß ÏÐÎÌÛØËÅÍÍÎÑÒÜÞ
Ðåôîðìû Í.Ñ. Õðóùåâà â ñôåðå óïðàâëåíèÿ ïðîìûøëåííîñòüþ
ÑÑÑÐ â 1953—1964 ãã. 261
Äåöåíòðàëèçàöèÿ óïðàâëåíèÿ ýêîíîìèêîé è
ïåðåñòðîéêà ðóêîâîäñòâà ïðîìûøëåííîñòüþ ñ
îòðàñëåâîãî ïðèíöèïà íà òåððèòîðèàëüíûé
Ëèêâèäàöèÿ 10 êðóïíûõ ïðîìûøëåííûõ
ìèíèñòåðñòâ è çàìåíà èõ òåððèòîðèàëüíûìè
óïðàâëåíèÿìè — ñîâíàðõîçàìè, êîòîðûå
ðóêîâîäèëè ïðåäïðèÿòèÿìè íà ìåñòàõ
Èçìåíåíèÿ äàëè êðàòêîâðåìåííûé ýôôåêò, à
çàòåì ñòàëè ïîÿâëÿòüñÿ îáîñîáëåí÷åñêèå
òåíäåíöèè, íàðóøàëàñü åäèíàÿ òåõíè÷åñêàÿ
ïîëèòèêà
Óêðóïíåíèå ñîâíàðõîçîâ. Ñîçäàíèå Ñîâåòà
íàðîäíîãî õîçÿéñòâà ÑÑÑÐ è ñîþçíûõ
ðåñïóáëèê, à òàêæå ãîñêîìèòåòîâ ïî îòðàñëÿì
ïðîìûøëåííîñòè êàê ïîïûòêà ïðåîäîëåíèÿ
íåãàòèâíûõ òåíäåíöèé â ýêîíîìèêå
Ðåôîðìà íå ïðèíåñëà êàðäèíàëüíûõ èçìåíåíèé
â ýêîíîìèêå, à ëèøü óñèëèëà ïðîìûøëåííî-
óïðàâëåí÷åñêóþ íåðàçáåðèõó
1957 ã.
1962 ã.
Èòîãè
ÐÅÔÎÐÌÛ Í.Ñ. ÕÐÓÙÅÂÀ
 ÎÁËÀÑÒÈ ÑÅËÜÑÊÎÃÎ ÕÎÇßÉÑÒÂÀ
262 Îòå÷åñòâåííàÿ èñòîðèÿ â ñõåìàõ è òàáëèöàõ
1953—1958 ãã. 1958—1964 ãã.
Îæèâëåíèå ñåëüñêîõîçÿé-
ñòâåííîãî ïðîèçâîäñòâà
Óñèëåíèå àäìèíèñòðàòèâíî-
ãî äàâëåíèÿ íà àãðàðíûé
ñåêòîð
Ïîâûøåíèå ìàòåðèàëü-
íîé çàèíòåðåñîâàííîñòè
êîëõîçîâ
Ëèêâèäàöèÿ ÌÒÑ
è ïðîäàæà òåõíèêè
êîëõîçàì (1958)
Ñïèñàíèå äîëãîâ è ñíè-
æåíèå íàëîãîâîãî áðåìå-
íè ñ êîëõîçîâ
Óêðóïíåíèå êîëõîçîâ
è ñîçäàíèå êðóïíûõ
àãðîõîçÿéñòâ
Ðàñøèðåíèå õîçÿéñòâåí-
íîé ñàìîñòîÿòåëüíîñòè
êîëõîçîâ
Íåîáîñíîâàííîå
ðàñøèðåíèå ïîñåâîâ
êóêóðóçû
Óêðåïëåíèå ìàòåðèàëüíî-
òåõíè÷åñêîé áàçû êîëõî-
çîâ
Ãîíåíèÿ íà ïîäñîáíûå
ëè÷íûå õîçÿéñòâà
êîëõîçíèêîâ
Îñâîåíèå öåëèíû Íåîáîñíîâàííûå çàäàíèÿ
ïî çàãîòîâêå ìÿñà,
çíà÷èòåëüíîå ñîêðàùåíèå
ïîãîëîâüÿ ñêîòà
«ÄîãîíèìèïåðåãîíèìÀìåðèêó»
Ïàäåíèå ñåëüñêîõîçÿéñòâåííîãî ïðîèçâîäñòâà
Óõóäøåíèå ñíàáæåíèÿ íàñåëåíèÿ ïðîäóêòàìè ïèòàíèÿ
Íà÷àëî èìïîðòà çåðíà èç-çà ãðàíèöû
ÍÀÓÊÀ Â 1953—1964 ãã.
Íàóêà â 1953—1964 ãã.
ÑÑÑÐ â 1953—1964 ãã. 263
Äîñòèæåíèÿ íàó÷íî-
òåõíè÷åñêîé ðåâîëþöèè
Îñîáåííîñòè
Ðàçâèòèå ïðåèìóùåñòâåííî â
ðàìêàõ âîåííî-ïðîìûøëåííîãî
êîìïëåêñà
Îñâîåíèå êîñìîñà Àòîìíàÿ ýíåðãèÿ
Ïåðâûé
èñêóññòâåí-
íûé ñïóò-
íèê Çåìëè
(4.10.1957)
Íà÷àëî
ïîëåòîâ
â êîñìîñ —
Þ. Ãàãàðèí
(12.04.1961)
Ïåðâàÿ â ìè-
ðå àòîìíàÿ
ýëåêòðîñòàí-
öèÿ â Îáíèí-
ñêå (1954)
Àòîìíûé
ëåäîêîë
«Ëåíèí»
(1959)
Ðàçâèòèå õèìè÷åñêîé
ïðîìûøëåííîñòè
Èñïûòàíèå âîäîðîäíîé
áîìáû (1953)
Ðàñøèðåíèå ñåòè ÍÈÈ.
Ñîçäàíèå Ñèáèðñêîãî
ôèëèàëà ÀÍ ÑÑÑÐ
ÐÅÔÎÐÌÀ Â ÑÔÅÐÅ ÎÁÐÀÇÎÂÀÍÈß 1958 ã.
264 Îòå÷åñòâåííàÿ èñòîðèÿ â ñõåìàõ è òàáëèöàõ
Óêðåïëåíèå ñâÿçè øêîëû
è ïðîèçâîäñòâà
l Îòêàç îò îáÿçàòåëüíîãî ñåìè-
ëåòíåãî è ïîëíîãî äåñÿòèëåòíå-
ãî îáðàçîâàíèÿ
l Ââåäåíèå îáÿçàòåëüíîãî âîñü-
ìèëåòíåãî îáó÷åíèÿ. Ïîëó÷åíèå
ñðåäíåãî îáðàçîâàíèÿ ÷åðåç:
l Ïîëó÷åíèå âûñøåãî îáðàçîâà-
íèÿ òîëüêî ïðè íàëè÷èè ïðîèç-
âîäñòâåííîãî ñòàæà
l Âîçðàñòàíèå òåêó÷åñòè êàäðîâ
íà ïðîèçâîäñòâå
l Íèçêèé óðîâåíü òðóäîâîé è
ïðîèçâîäñòâåííîé äèñöèïëèíû
ìîëîäåæè
Òðåõãîäè÷íûå
ñðåäíèå øêîëû
ñ îáÿçàòåëüíûì
ïðîèçâîäñòâåí-
íûì îáó÷åíèåì
Òåõíèêóìû
Ïîñëåäñòâèÿ
Îñíîâíûå
íàïðàâëåíèÿ
Öåëü
ØÐÌ
ÏÎÂÛØÅÍÈÅ ÆÈÇÍÅÍÍÎÃÎ
ÓÐÎÂÍß ÍÀÑÅËÅÍÈß
Ïîâûøåíèå æèçíåííîãî óðîâíÿ íàñåëåíèÿ
Îñíîâíûå ìåðû
ÑÑÑÐ â 1953—1964 ãã. 265
Ïîâûøåíèå
ìèíèìàëüíîé
çàðïëàòû íà 35%
Óâåëè÷åíèå ðàçìåðà
ïåíñèé ïî ñòàðîñòè
â 2 ðàçà è ñíèæåíèå
íà 5 ëåò ïåíñèîííîãî
âîçðàñòà
Óñòàíîâëåíèå
ñåìè÷àñîâîãî ðàáî÷åãî
äíÿ
Ââåäåíèå äåíåæíîé
îïëàòû òðóäà
êîëõîçíèêîâ
Ðàçâåðòûâàíèå ìàññîâîãî
æèëèùíîãî ñòðîèòåëüñòâà
è ïîîùðåíèå ñîçäàíèÿ
æèëèùíî-ñòðîèòåëüíûõ
êîîïåðàòèâîâ
ÂÎ ÂËÀÑÒÈ ÈÄÅÎËÎÃÈ×ÅÑÊÈÕ ÑÒÅÐÅÎÒÈÏÎÂ
266 Îòå÷åñòâåííàÿ èñòîðèÿ â ñõåìàõ è òàáëèöàõ
Íûíåøíåå ïîêîëåíèå ñîâåòñêèõ
ëþäåé áóäåò æèòü ïðè êîììóíèçìå
Í.Ñ. Õðóùåâ
XXII ñúåçä ÊÏÑÑ (îêòÿáðü 1961 ã.)
Óãëóáëåíèå
äåñòàáèëèçàöèè
îáùåñòâà
Ïðèíÿòèå íîâîé ïðîãðàììû
ÊÏÑÑ Ô
ïðîãðàììû ñòðîèòåëüñòâà
êîììóíèçìà
Íàöåëèâàíèå îáùåñòâà íà
âûïîëíåíèå òðåõ çàäà÷:
1. Ñîçäàíèå ìàòåðèàëüíî-
òåõíè÷åñêîé áàçû êîììóíèçìà
2. Ôîðìèðîâàíèå íîâûõ
êîììóíèñòè÷åñêèõ îáùåñòâåííûõ
îòíîøåíèé
3. Âîñïèòàíèå íîâîãî ÷åëîâåêà
Ýôåìåðíîñòü è óòîïè÷íîñòü
áëàãîðîäíûõ óñòðåìëåíèé
ïàðòèéíûõ ðóêîâîäèòåëåé ïîêàçàë
ïå÷àëüíûé ñîâåòñêèé
èñòîðè÷åñêèé îïûò
Ñòðåìëåíèå
Í.Ñ. Õðóùåâà «îá-
ëàãîäåòåëüñò-
âîâàòü»
è «îñ÷àñòëèâèòü»
íàðîä
⎫
⎬
⎭
«ÎÒÒÅÏÅËÜ» Â ÊÓËÜÒÓÐÍÎÉ ÆÈÇÍÈ
È ÅÅ ÎÃÐÀÍÈ×ÅÍÍÛÉ ÕÀÐÀÊÒÅÐ
Îñîáåííîñòè
Íàèáîëåå çíà÷èìûå
êóëüòóðíûå ÿâëåíèÿ
Ïðîòèâîðå÷èâîñòü «Îòòåïåëü» â ëèòåðàòóðå
(È. Ýðåíáóðã, Â. Äóäèíöåâ,
À. Òâàðäîâñêèé,
À. Ñîëæåíèöûí è äð.)
Êîíòðîëü ïàðòèéíîãî
àïïàðàòà çà äåÿòåëüíî-
ñòüþ òâîð÷åñêîé èíòåë-
ëèãåíöèè
Ïîÿâëåíèå íîâûõ òåàòðàëü-
íûõ êîëëåêòèâîâ (ìîñêîâñêèå
òåàòðû íà Òàãàíêå,
«Ñîâðåìåííèê»)
Íèçêèé õóäîæåñòâåí-
íûé âêóñ âëàñòè
Íà÷àëî âûõîäà â ñâåò íîâûõ
ëèòåðàòóðíûõ æóðíàëîâ
(«Þíîñòü», «Èíîñòðàííàÿ
ëèòåðàòóðà», «Ìîëîäàÿ
ãâàðäèÿ»)
Ïîÿâëåíèå îïðåäåëåííîé
ñâîáîäû òâîð÷åñòâà â ðàìêàõ
ãîñóäàðñòâåííîãî ñîöèàëèçìà
«Îòòåïåëü» â êóëüòóðíîé æèçíè è åå îãðàíè÷åííûé õàðàêòåð
ÑÑÑÐ â 1953—1964 ãã. 267
Ãîíåíèÿ íà Á. Ïàñòåðíàêà
çà ðîìàí «Äîêòîð Æèâàãî»
Âîçîáíîâëåíèå àðåñòîâ
çà «àíòèñîâåòñêóþ
äåÿòåëüíîñòü» — «Äåëî
ìîëîäûõ èñòîðèêîâ»
Ãîíåíèÿ íà ñâîáîäîëþáè-
âûõ õóäîæíèêîâ (Á. Æóòîâ-
ñêèé, Ý. Íåèçâåñòíûé è äð.)
ÍÎÂÛÅ ÐÅÀËÜÍÎÑÒÈ
ÂÍÅØÍÅÉ ÏÎËÈÒÈÊÈ
268 Îòå÷åñòâåííàÿ èñòîðèÿ â ñõåìàõ è òàáëèöàõ
Ëèáåðàëèçàöèÿ
âíåøíåïîëèòè÷åñêîãî
êóðñà
Ïðîäîëæåíèå «õîëîäíîé
âîéíû» è âîçíèêíîâåíèå
êîíôëèêòíûõ ñèòóàöèé â
ìåæäóíàðîäíûõ îòíîøåíèÿõ
Íîðìàëèçàöèÿ
îòíîøåíèé
ñ Þãîñëàâèåé
(1954—1955)
Ñîçäàíèå âîåííî-ïîëèòè÷å-
ñêîé îðãàíèçàöèè
ñîö. ñòðàí — Âàðøàâñêîãî
äîãîâîðà (1955)
Ïîäïèñàíèå ìèðíîãî
äîãîâîðà ñ Àâñòðèåé (1955)
Ïîëèòèêà ìèðíîãî ñîñóùå-
ñòâîâàíèÿ: ïîïûòêè äîáèòü-
ñÿ êîìïðîìèññà ñ çàïàäíûìè
ñòðàíàìè ïî âîïðîñàì ðàçî-
ðóæåíèÿ
Ïîäàâëåíèå íàðîäíîãî
âîññòàíèÿ â Âåíãðèè (1956)
Áåðëèíñêèé âîïðîñ:
îáîñòðåíèå îòíîøåíèé
è âîçâåäåíèå
ðàçäåëèòåëüíîé
Áåðëèíñêîé ñòåíû (1961)
Êàðèáñêèé êðèçèñ (1962),
ÿäåðíîå ïðîòèâîñòîÿíèå
ÑØÀ è ÑÑÑÐ
Âñòðå÷à
Õðóùåâà è
Ýéçåíõàóýðà
(1959)
Îäíîñòîðîí-
íåå ñîêðàùå-
íèå Ñîâåò-
ñêîé Àðìèè
Çàêëþ÷åíèå äîãîâîðà ìåæäó ÑÑÑÐ, ÑØÀ è
Âåëèêîáðèòàíèåé î çàïðåùåíèè ÿäåðíûõ
èñïûòàíèé â àòìîñôåðå è ïîä âîäîé (1963)
Óõóäøåíèå îòíîøåíèé ñ Êèòàåì è Àëáàíèåé íà÷èíàÿ ñ 1960 ã.
ÍÀÐÀÑÒÀÍÈÅ ÍÅÄÎÂÎËÜÑÒÂÀ
 ÎÁÙÅÑÒÂÅ È ÎÒÑÒÀÂÊÀ Í.Ñ. ÕÐÓÙÅÂÀ
Íàðàñòàíèå íåäîâîëüñòâà â îáùåñòâå è îòñòàâêà Í.Ñ. Õðóùåâà
ÑÑÑÐ â 1953—1964 ãã. 269
Íåäîâîëüñòâî ïîëèòèêîé Í.Ñ. Õðóùåâà îõâàòèëî
ìíîãèå ñëîè íàñåëåíèÿ
Ãîðîæàíå íåäîâîëüíû ïîâûøåíèåì öåí íà
ïðîäîâîëüñòâèå è ôàêòè÷åñêèì åãî
íîðìèðîâàíèåì
Ñåëüñêèå
æèòåëè
íåäîâîëüíû óðåçàíèåì ëè÷íûõ
ïîäñîáíûõ õîçÿéñòâ
Âåðóþùèå íåäîâîëüíû äèêòàòîì àòåèçìà è
íîâîé âîëíîé çàêðûòèÿ õðàìîâ
Èíòåëëè-
ãåíöèÿ
íåäîâîëüíà íåïîñëåäîâàòåëüíî-
ñòüþ êóëüòóðíîé «îòòåïåëè»
Âîåííûå íåäîâîëüíû îáâàëüíûì ñîêðàùå-
íèåì Âîîðóæåííûõ Ñèë
×èíîâíèêè
ïàðòèéíî-
ãîñóäàðñò-
âåííîãî
àïïàðàòà
íåäîâîëüíû ïîñòîÿííîé ïåðåòðÿ-
ñêîé êàäðîâ è íåïðîäóìàííûìè
ðåîðãàíèçàöèÿìè
Ïîòåðÿ Í.Ñ. Õðóùåâûì
ïîääåðæêè ñî ñòîðîíû
áþðîêðàòè÷åñêîãî àïïàðàòà +
ðàñïëàòà çà óäàð ïî ñòàëèíèçìó
Îðãàíèçàòîðû ñìåùåíèÿ:
Ë.È. Áðåæíåâ, Ì.À. Ñóñëîâ,
À.Í. Øåëåïèí, Í.Â. Ïîäãîð-
íûé, Â.À. Ñåìè÷àñòíûé è äð.
Ñìåùåíèå Í.Ñ. Õðóùåâà ñî âñåõ
ïîñòîâ 14 îêòÿáðÿ 1964 ã.
Ïîäàâëåíèå âîéñêàìè
âûñòóïëåíèÿ ðàáî÷èõ
â Íîâî÷åðêàññêå
1—2 èþíÿ 1962 ã.
ÑÎÂÅÒÑÊÈÉ ÑÎÞÇ Â 1965—1985 ãã.
Ñîâåòñêèé Ñîþç â 1965—1985 ãã.
270 Îòå÷åñòâåííàÿ èñòîðèÿ â ñõåìàõ è òàáëèöàõ
«Ìèíè-çàñòîé»:
Ê.Ó. ×åðíåíêî
ÝÊÎÍÎÌÈÊÀ ÏÎËÈÒÈÊÀ
Íåçàâåðøåí-
íàÿ ýêîíîìè-
÷åñêàÿ ðåôîð-
ìà 1965 ã.
Âîçâðàò
ê ñêðûòîìó
ñòàëèíèçìó
Ïîëíàÿ áþðî-
êðàòèçàöèÿ
âëàñòè
Ïàäåíèå òåì-
ïîâ ýêîíîìè-
÷åñêîãî ðîñòà
Êðèçèñ â àãðàðíîì ñåêòîðå
è îáîñòðåíèå ïðîäîâîëüñò-
âåííîé ïðîáëåìû
Äèêòàò ïàð-
òèéíî-ãîñóä.
àïïàðàòà
Îòñòàâàíèå â
îáëàñòè ÍÒÐ
Ãåðîíòîêðàòèÿ
(âëàñòü «ñòàðåéøèõ»)
ÑÎÖÈÀËÜÍÀß È ÄÓÕÎÂÍÀß ÆÈÇÍÜ ÎÁÙÅÑÒÂÀ
ÄÂÈÆÅÍÈÅ ÄÈÑÑÈÄÅÍÒÎÂ
Íèçêèé óðîâåíü áëàãî-
ñîñòîÿíèÿ íàñåëåíèÿ
Æèëèùíûå
è ýêîëîãè÷åñêèå
ïðîáëåìû
Óðàâíèòåëüíîñòü
â ðàñïðåäåëåíèè
Èäåîëîãè÷åñêèé äîãìàòèçì
«ðàçâèòîãî ñîöèàëèçìà»
Óòðàòà îáùåñòâîì íðàâ-
ñòâåííûõ îðèåíòèðîâ
Áîðüáà ñ èíàêî-
ìûñëèåì. Çàáâå-
íèå ðåëèãèè
«Ìàÿòíèê
íàäåæäû»:
Þ.Â. Àíäðîïîâ
ÏÎËÈÒÈ×ÅÑÊÎÅ ÐÀÇÂÈÒÈÅ
ÑÒÐÀÍÛ Â 1965—1985 ãã.
Ïîëèòè÷åñêîå ðàçâèòèå ñòðàíû â 1965—1985 ãã.
Ñîâåòñêèé Ñîþç â 1965—1985 ãã. 271
Ñìåíà
ïîëèòè÷åñêîãî
êóðñà
Ïðèõîä ê âëàñòè íîâîãî
ðóêîâîäñòâà
Ë.È. Áðåæíåâ
À.Í. Êîñûãèí
Îòñòàâêà
Í.Ñ. Õðóùåâà
îêòÿáðü 1964 ã.
⎫
⎬
⎭
Âîçâðàò ê ñêðûòîìó ñòàëèíèçìó
Êîíñòèòóöèÿ
ÑÑÑÐ 1977 ã.
Êîíöåïöèÿ ðàçâèòîãî
ñîöèàëèçìà
Çàêîíîäàòåëüíîå çàêðåïëåíèå ðóêîâîäÿùåé ðîëè ÊÏÑÑ â
îáùåñòâå (ñò. 6 Êîíñòèòóöèè)
Ôàêòè÷åñêàÿ ïîäìåíà ïàðòèéíûì àïïàðàòîì
ñîâåòñêèõ îðãàíîâ ãîñóäàðñòâåííîé âëàñòè
Âîçíèêíîâåíèå ôîðì ïðîòåñòà
è íåñîãëàñèÿ â îáùåñòâå
Äâèæåíèå
äèññèäåíòîâ
ïðàâîçàùèòíîåðåëèãèîçíîåíàöèîíàëüíîå
Ïîÿâëåíèå
«Ñàìèçäàòà»
ÑÈÑÒÅÌÀ ÏÀÐÒÈÉÍÎ-ÃÎÑÓÄÀÐÑÒÂÅÍÍÎÃÎ
ÓÏÐÀÂËÅÍÈß Â ÑÑÑÐ
272 Îòå÷åñòâåííàÿ èñòîðèÿ â ñõåìàõ è òàáëèöàõ
Ñúåçä ÊÏÑÑ
ÖÊ ÊÏÑÑ Ô
Ïîëèòáþðî
ÖÊ Êîìïàðòèé
ñîþçíûõ ðåñïóáëèê
Îáêîìû
Ãîðêîìû
Ðàéêîìû
Ïåðâè÷íûå
ïàðòîðãàíèçàöèè
Ñèñòåìà îðãàíîâ
ãîñóäàðñòâåííîé âëàñòè
⎫
⎬
⎭
Ñèñòåìà îðãàíîâ
ïàðòèéíîé âëàñòè
Âåðõîâíûé Ñîâåò ÑÑÑÐ
Ñîâåò Ñîþçà Ñîâåò
Íàöèîíàëüíîñòåé
Âåðõîâíûé Ñîâåò ñîþçíîé ðåñïóáëèêè
Êðàåâîé
Ñîâåò
íàðîäíûõ
äåïóòàòîâ
Âåðõîâíûé
Ñîâåò àâòî-
íîìíîé ðåñ-
ïóáëèêè
Ãîðîäñêîé
Ñîâåò íà-
ðîäíûõ äå-
ïóòàòîâ
Îáëàñò-
íîé Ñîâåò
íàðîäíûõ
äåïóòàòîâ
Ðàéîííûé Ñîâåò íàðîäíûõ
äåïóòàòîâ
Ñåëüñêèé Ñîâåò íàðîäíûõ
äåïóòàòîâ
Ïîñåëêîâûé Ñîâåò
íàðîäíûõ äåïóòàòîâ
Äèðåêòèâíûåóêàçàíèÿ
Ñèñòåìà îðãàíîâ ãîñóäàðñòâåííîãî óïðàâëåíèÿ
Ñîþçíî-ðåñïóáëèêàí-
ñêèå ìèíèñòåðñòâà è
ãîñóäàðñòâåííûå êî-
ìèòåòû ñîþçíûõ ðåñ-
ïóáëèê
Îáùåñîþçíûå ìèíè-
ñòåðñòâà è ãîñóäàðñò-
âåííûå êîìèòåòû
ÑÑÑÐ
Ñîþçíî-ðåñïóáëèêàí-
ñêèå ìèíèñòåðñòâà è
ãîñóäàðñòâåííûå êî-
ìèòåòû
Ñîâåòû ìèíèñòðîâ
ñîþçíûõ ðåñïóáëèê
Îáúåäèíåíèÿ,
ïðåäïðèÿòèÿ,
ó÷ðåæäåíèÿ ñîþçíîãî
ïîä÷èíåíèÿ
Îáúåäèíåíèÿ,
ïðåäïðèÿòèÿ,
ó÷ðåæäåíèÿ
Îáúåäèíåíèÿ, ïðåä-
ïðèÿòèÿ, ó÷ðåæäåíèÿ
ðåñïóáëèêàíñêîãî
ïîä÷èíåíèÿ
Ñîâåò Ìèíèñòðîâ
ÑÑÑÐ
ÝÊÎÍÎÌÈ×ÅÑÊÀß ÐÅÔÎÐÌÀ 1965 ã.
Ýêîíîìè÷åñêàÿ ðåôîðìà 1965 ã.
Ñóùíîñòü
ðåôîðìû
Âîçâðàò ê îòðàñëåâîé ñèñòåìå óïðàâëå-
íèÿ ïðîìûøëåííîñòüþ
Âíåäðåíèå ýëåìåíòîâ õîçðàñ÷åòà â äåÿ-
òåëüíîñòü ïðåäïðèÿòèé ïðè ñîõðàíåíèè
àäìèíèñòðàòèâíî-êîìàíäíîé ñèñòåìû
Ñîäåðæàíèå
ðåôîðìû
Îöåíêà ýêîíîìè÷åñêîé äåÿòåëüíîñòè íå
ïî âàëîâîé, à ïî ðåàëèçîâàííîé ïðîäóê-
öèè
Ñîçäàíèå èç ÷àñòè ïðèáûëè ôîíäîâ
ýêîíîìè÷åñêîãî ñòèìóëèðîâàíèÿ
Âíåäðåíèå ýëåìåíòîâ îïòîâîé òîðãîâëè
Ïðè÷èíû
íåóäà÷
ðåôîðìû
Ðåôîðìà íå çàòðîíóëà îñíîâ ýêîíîìè-
÷åñêîãî áàçèñà ñîâåòñêîé ñèñòåìû
Îòñóòñòâèå ïîääåðæêè ñî ñòîðîíû ïàð-
òèéíîãî ðóêîâîäñòâà
Ïðèîðèòåò èäåîëîãèè íàä ýêîíîìèêîé
Ïðîòèâîðå÷èÿ ìåæäó äèðåêòèâíûì âå-
äîìñòâåííûì óïðàâëåíèåì è ýëåìåíòà-
ìè ñàìîñòîÿòåëüíîñòè ïðåäïðèÿòèé
Ñîâåòñêèé Ñîþç â 1965—1985 ãã. 273
ÊÐÈÇÈÑÍÛÅ ßÂËÅÍÈß
 ÝÊÎÍÎÌÈ×ÅÑÊÎÉ ÑÔÅÐÅ
Ïðîìûøëåííîñòü Ñåëüñêîå õîçÿéñòâî
Ïîñòîÿííîå åæåãîäíîå ñíèæå-
íèå òåìïîâ ýêîíîìè÷åñêîãî
ðàçâèòèÿ
Óâåëè÷åíèå êàïèòàëîâëî-
æåíèé â àãðàðíûé ñåêòîð,
ñïèñàíèå äîëãîâ íå ñìîãëè
âûâåñòè åãî èç êðèçèñà
Îòñòàâàíèå â íàó÷íî-òåõíè÷å-
ñêîì ïðîãðåññå îò ðàçâèòûõ çà-
ïàäíûõ ñòðàí
Ðîñò çàêóïîê ïðîäîâîëüñò-
âèÿ ïî èìïîðòó
Ïðèîðèòåò ýêñòåíñèâíûõ
ôîðì ýêîíîìè÷åñêîãî ðàçâè-
òèÿ
Óõóäøåíèå ýêîëîãè÷åñêîãî
ñîñòîÿíèÿ çåìåëü âñëåäñò-
âèå îáøèðíîé õèìèçàöèè è
ìåëèîðàöèè
Ïîïûòêè ìîäåðíèçàöèè óòâåð-
äèâøèõñÿ ôîðì õîçÿéñòâîâà-
íèÿ è ïëàíèðîâàíèÿ íîñèëè
ôîðìàëüíî-ïîêàçíîé õàðàêòåð
è íå çàòðàãèâàëè ãëóáèííûõ
îòíîøåíèé ýêîíîìè÷åñêîãî
áàçèñà
Íåóäà÷íûå ïîïûòêè ïåðå-
ëîìèòü ñèòóàöèþ â ñåëü-
ñêîì õîçÿéñòâå ïóòåì ñîç-
äàíèÿ àãðîïðîìûøëåííûõ
êîìïëåêñîâ (ÀÏÊ)
274 Îòå÷åñòâåííàÿ èñòîðèÿ â ñõåìàõ è òàáëèöàõ
Ïðè÷èíû
Íåýôôåêòèâíîñòü
ñîâåòñêîé
ýêîíîìè÷åñêîé
ñèñòåìû
Ãîñïîäñòâî
àäìèíèñòðàòèâíî-
êîìàíäíîé
ñèñòåìû
Îòñóòñòâèå ó íà-
ñåëåíèÿ ðåàëüíûõ
ýêîíîìè÷åñêèõ
ñòèìóëîâ ê òðóäó
Ãîñïîäñòâî ãîñó-
äàðñòâåííîé è îò-
ñóòñòâèå ÷àñòíîé
ñîáñòâåííîñòè
Îòñóòñòâèå íîð-
ìàëüíîé êîíêóðåí-
òîñïîñîáíîé ýêî-
íîìè÷åñêîé ñðåäû
Îòðèöàíèå
îñíîâ
ðûíî÷íîãî
õîçÿéñòâà
ÊÐÈÇÈÑÍÛÅ ßÂËÅÍÈß Â ÑÎÖÈÀËÜÍÎÉ
È ÄÓÕÎÂÍÎÉ ÑÔÅÐÀÕ Â 1965—1985 ãã.
Êðèçèñíûå ÿâëåíèÿ â ñîöèàëüíîé è äóõîâíîé ñôåðàõ â 1965—
1985 ãã.
Ñîâåòñêèé Ñîþç â 1965—1985 ãã. 275
Ïðåîáëàäàíèå
óðàâíèòåëüíîãî
ïðèíöèïà â
ðàñïðåäåëåíèè
ìàòåðèàëüíûõ áëàã
ñðåäè îñíîâíîé
ìàññû íàñåëåíèÿ
Îñòàòî÷íûé
ïðèíöèï
âûäåëåíèÿ
ñðåäñòâ íà
ñîöèàëüíûå
íóæäû
Îñîáî
ïðèâèëåãèðîâàííîå
ïîëîæåíèå ïàðòèéíî-
ãîñóäàðñòâåííîé
íîìåíêëàòóðû ïðè
ðàñïðåäåëåíèè
ìàòåðèàëüíûõ áëàã
Ñîöèàëüíàÿ
Äóõîâíàÿ
ñôåðà
Ðîñò íåãàòèâ-
íûõ ÿâëåíèé
â ñîöèàëüíîé
ñôåðå (ïüÿí-
ñòâî, âçÿòî÷-
íè÷åñòâî,
êîððóïöèÿ)
Ïðîãðåññèðóþ-
ùåå ðàññîãëàñî-
âàíèå èíòåðå-
ñîâ ðàçëè÷íûõ
ñîöèàëüíûõ
ãðóïï
â îáùåñòâå
Äèêòàò
àòåèçìà è
çàáâåíèå
ðåëèãèè
Óòðàòà
îáùåñòâîì
íðàâñòâåííûõ
îðèåíòèðîâ
Ðàñïðîñòðà-
íåíèå èæäè-
âåí÷åñêèõ
íàñòðîåíèé
ó ÷àñòè íàñå-
ëåíèÿ
Ãîñïîäñòâî
ìàðêñèñòñêî-
ëåíèíñêîé
èäåîëîãèè è ïî-
äàâëåíèå âñÿêî-
ãî èíàêîìûñëèÿ
ÂÍÅØÍßß ÏÎËÈÒÈÊÀ ÑÑÑÐ Â 1965—1985 ãã.
Âíåøíÿÿ ïîëèòèêà ÑÑÑÐ â 1965—1985 ãã.
Ðåàëèçàöèÿ òðåõ îñíîâíûõ çàäà÷ â îáëàñòè
ìåæäóíàðîäíûõ îòíîøåíèé â ñîîòâåòñòâèè ñ
ñîâåòñêîé âíåøíåïîëèòè÷åñêîé äîêòðèíîé
Óñòðàíåíèå óãðîçû ðàñïàäà ñîöèàëèñòè÷åñêîãî
ëàãåðÿ è òåñíîå åãî ñïëî÷åíèå â ïîëèòè÷åñêîì,
ýêîíîìè÷åñêîì è âîåííîì îòíîøåíèè
l Ââîä âîéñê ÎÂÄ â ×åõîñëîâàêèþ è ïîäàâëåíèå
«ïðàæñêîé âåñíû» (1968)
l «Äîêòðèíà Áðåæíåâà» îá «îãðàíè÷åííîì
ñóâåðåíèòåòå» ñîöèàëèñòè÷åñêèõ ñòðàí â
óñëîâèÿõ îïàñíîñòè, íàâèñøåé íàä ìèðîâîé
ñîöèàëèñòè÷åñêîé ñèñòåìîé
l Ïîìîùü Âüåòíàìó âî âðåìÿ àãðåññèè ÑØÀ
(1964—1973)
l Óãëóáëåíèå âîåííî-ïîëèòè÷åñêîãî (ÎÂÄ) è
ýêîíîìè÷åñêîãî (ÑÝÂ) ñîòðóäíè÷åñòâà
Ïîääåðæêà êîììóíèñòè÷åñêèõ, íàöèîíàëüíî-
îñâîáîäèòåëüíûõ è ïðîñîâåòñêèõ äâèæåíèé è
ðåæèìîâ
l Ïîëèòè÷åñêàÿ ïîääåðæêà, ýêîíîìè÷åñêàÿ è
âîåííàÿ ïîìîùü ñòðàíàì Àçèè è Àôðèêè (Èðàê,
Ñèðèÿ, Ëèâèÿ, Àíãîëà, Ýôèîïèÿ, Ìîçàìáèê,
Þæíûé Éåìåí è äð.)
l Ñîâåòñêàÿ èíòåðâåíöèÿ â Àôãàíèñòàí (ñ äåêàáðÿ
1979 ã.)
l Ìåæäóíàðîäíûå ñîâåùàíèÿ êîììóíèñòè÷åñêèõ
è ðàáî÷èõ ïàðòèé (1965 è 1969)
276 Îòå÷åñòâåííàÿ èñòîðèÿ â ñõåìàõ è òàáëèöàõ

‚
Íîðìàëèçàöèÿ îòíîøåíèé ìåæäó Âîñòîêîì
è Çàïàäîì (ðàçðÿäêà ìåæäóíàðîäíîé
íàïðÿæåííîñòè è åå ïðåäåëû)
Ñîâåòñêèé Ñîþç â 1965—1985 ãã. 277
ƒ
Äîñòèæåíèå
âîåííîãî ïàðèòåòà
ÑÑÑÐ — ÑØÀ,
ÎÂÄ — ÍÀÒÎ
Äîãîâîð î íåðàñïðîñòðàíåíèè
ÿäåðíîãî îðóæèÿ ìåæäó ÑÑÑÐ,
ÑØÀ, Âåëèêîáðèòàíèåé (1968)
Äîãîâîð ìåæäó ÑÑÑÐ è ÑØÀ
îá îãðàíè÷åíèè ñèñòåì
ïðîòèâîðàêåòíîé îáîðîíû è
ÎÑÂ-1 (1972)
Ïðîãðàììà ìèðà — èíèöèàòèâû XXIV (1971)
è XXV (1976) ñúåçäîâ ÊÏÑÑ
Óêðåïëåíèå
áåçîïàñíîñòè
â Åâðîïå
Çàêëþ÷èòåëüíûé àêò
Ñîâåùàíèÿ ïî
áåçîïàñíîñòè è
ñîòðóäíè÷åñòâó â
Åâðîïå — ïîäïèñàí â
Õåëüñèíêè 01.08.1975 ã.
ðóêîâîäèòåëÿìè
ñòðàí Åâðîïû, ÑØÀ
è Êàíàäû
Àêòèâíîå
ó÷àñòèå
ÑÑÑÐ
Åâðîïåéñêîå ñîâåùàíèå ïî
áåçîïàñíîñòè è ñîòðóäíè÷åñòâó
â Åâðîïå (1972—1975)
Ïîäïèñàíèå äîãîâîðîâ ÑÑÑÐ ñ
ÔÐÃ, ÔÐÃ ñ ÏÍÐ, ÔÐÃ ñ ÃÄÐ
Êîíåö ðàçðÿäêè è íàãíåòàíèå
íàïðÿæåííîñòè. Êîíåö 70-õ —
íà÷àëî 80-õ ãã.
Ââîä ñîâåòñêèõ âîéñê â
Àôãàíèñòàí
Íîâûé âèòîê ãîíêè
âîîðóæåíèé
«ÌÀßÒÍÈÊ ÍÀÄÅÆÄÛ»: Þ.Â. ÀÍÄÐÎÏÎÂ
(13 íîÿáðÿ 1982 ã. — 9 ôåâðàëÿ 1984 ã.)
278 Îòå÷åñòâåííàÿ èñòîðèÿ â ñõåìàõ è òàáëèöàõ
Ïîïûòêà ðåàíèìàöèè
àãîíèçèðóþùåé
îáùåñòâåííîé ñèñòåìû
ïðè ïîìîùè
÷ðåçâû÷àéíûõ
àäìèíèñòðàòèâíûõ
ìåð
Áîðüáà ñ êîððóïöèåé
Ñåðüåçíûå êàäðîâûå
ïåðåñòàíîâêè:
çà 15 ìåñÿöåâ ñìåíåíî
17 ìèíèñòðîâ è
37 ïåðâûõ ñåêðåòàðåé
îáêîìîâ ïàðòèé
Ââåäåíèå ìåð
ïî óêðåïëåíèþ
òðóäîâîé, ïëàíîâîé
è ãîñóäàðñòâåííîé
äèñöèïëèíû
«ÌÈÍÈ-ÇÀÑÒÎÉ»: Ê.Ó. ×ÅÐÍÅÍÊÎ
(10 ôåâðàëÿ 1984 ã. — 10 ìàðòà 1985 ã.)
Âîçâðàò ê áðåæíåâñêèì
òðàäèöèÿì
Ðàçâîðà÷èâàíèå
èäåîëîãè÷åñêîé
êàìïàíèè ïîä ôëàãîì
«ñîâåðøåíñòâîâàíèÿ
ðàçâèòîãî ñîöèàëèçìà»
Ñóùåñòâåííîå ñíèæåíèå
áîëüøèíñòâà ýêîíîìè÷åñêèõ
ïîêàçàòåëåé,
õàðàêòåðèçóþùèõ ðàçâèòèå
íàðîäíîãî õîçÿéñòâà
ÏÅÐÅÑÒÐÎÉÊÀ (1985—1991 ãã.)
Ïåðåñòðîéêà (1985—1991 ãã.)ÎÑÍÎÂÍÛÅ ÝÒÀÏÛ
Îñíîâíûå ýòàïû1. 1985—1987 ãã.
l Êóðñ íà «óñêîðåíèå» ñîöèàëüíî-ýêîíîìè÷åñêîãî ðàçâèòèÿ
ñòðàíû
l Íåóäà÷à ïðåîáðàçîâàíèé òðàäèöèîííûìè êîìàíäíî-
àäìèíèñòðàòèâíûìè ìåðàìè
l Ñìåíà ìîäåëè ðåôîðìèðîâàíèÿ: îò «óñêîðåíèÿ» ê
«ïåðåñòðîéêå»
l Ïîïûòêè ýêîíîìè÷åñêèõ ðåôîðì ïóòåì ïåðåñòðîéêè
óïðàâëåíèÿ íàðîäíûì õîçÿéñòâîì
l Ïðåäîñòàâëåíèå ïðåäïðèÿòèÿì ñàìîñòîÿòåëüíîñòè è ïåðåâîä
èõ íà õîçðàñ÷åò
2. 1988—1989 ãã.
l Íà÷àëî ðàçâèòèÿ ÷àñòíîé èíèöèàòèâû (èíäèâèäóàëüíàÿ
òðóäîâàÿ äåÿòåëüíîñòü, ïîÿâëåíèå êîîïåðàòèâîâ)
l Íà÷àëî ðåôîðìû ïîëèòè÷åñêîé ñèñòåìû
l Ïîëèòè÷åñêîå ïðîáóæäåíèå îáùåñòâà è åãî ðàñêîë íà
äåìîêðàòîâ è êîììóíèñòîâ
l Îáîñòðåíèå áîðüáû îáùåñòâåííî-ïîëèòè÷åñêèõ ñèë
l Ïåðåñòðîå÷íûå ïðîöåññû ïðèîáðåòàþò àâòîíîìíûé,
íåóïðàâëÿåìûé õàðàêòåð
l Ñàìîïîäðûâ è ñàìîóñòðàíåíèå âëàñòè
l Íà÷àëî êîíôëèêòîâ â ñôåðå ìåæíàöèîíàëüíûõ îòíîøåíèé
l Óñèëåíèå áîðüáû çà âëàñòü ìåæäó ðåñïóáëèêàíñêèìè
ïîëèòè÷åñêèìè ýëèòàìè è óíèòàðíûì öåíòðîì
3. 1990—1991 ãã.
l Êðèçèñ è êðàõ ïåðåñòðîéêè
l Óãëóáëåíèå ðåôîðìû ïîëèòè÷åñêîé ñèñòåìû
l Îòìåíà ìîíîïîëüíîãî ïðàâà ÊÏÑÑ íà âëàñòü
l Ó÷ðåæäåíèå ïîñòà Ïðåçèäåíòà ÑÑÑÐ
l Âûðàáîòêà ïóòåé ïåðåõîäà ê ðûíî÷íîé ýêîíîìèêå
l Íàðàñòàíèå ïîëèòè÷åñêîãî ïðîòèâîáîðñòâà
l Àâãóñòîâñêèé ïóò÷ 1991 ã.
l Îáâàëüíûé ðàñïàä îáùåñòâåííûõ ñòðóêòóð è ãîñóäàðñòâà
Ïåðåñòðîéêà (1985—1991 ãã.) 279
280 Îòå÷åñòâåííàÿ èñòîðèÿ â ñõåìàõ è òàáëèöàõ
Öåëè
Ñîâåðøåíñòâîâàíèå ñîöèàëèçìà,
î÷èùåíèå åãî îò ñòàëèíèçìà è
âîçâðàò ê ëåíèíñêèì èñòîêàì
Îñóùåñòâëåíèå
Îáîñòðåíèå
ìåæíàöèîíàëüíûõ
ïðîòèâîðå÷èé.
Ïîäãîòîâêà íîâîãî
Ñîþçíîãî äîãîâîðà
Ðåôîðìà
ïîëèòè-
÷åñêîé
ñèñòåìû è
ÊÏÑÑ
Óñêîðåíèå ñîöèàëü-
íî-ýêîíîìè÷åñêîãî
ðàçâèòèÿ. Ïîïûòêà
ââåäåíèÿ õîçðàñ÷åòà
ïðåäïðèÿòèé
Àâãóñòîâñêèå ñîáûòèÿ 1991 ã.
Èòîãè
Ðàñïàä ÑÑÑÐ
è îáðàçîâàíèå
ÑÍÃ
Ëèêâèäàöèÿ òîòà-
ëèòàðíîé ñèñòåìû
è ìîíîïîëèè
ÊÏÑÑ íà âëàñòü
Íà÷àëî
ïåðåõîäà
ê ðûíî÷íîé
ýêîíîìèêå
Ïåðåñòðîéêà (1985—1991 ãã.) 281
ÏÐÅÄÏÎÑÛËÊÈ ÏÅÐÅÑÒÐÎÉÊÈ
Ïðîòèâíèêè
Ì.Ñ. Ãîðáà÷åâà
Ïåðåñòðîéêà
Çàãîâîð ìèðîâîãî
èìïåðèàëèçìà è ìàñîíñòâà
ñ öåëüþ îñëàáëåíèÿ è
ðàçâàëà «âåëèêîé äåðæàâû»
Ðàçëè÷íûå
òî÷êè çðåíèÿ
Ì.Ñ. Ãîðáà÷åâ è
åãî ñòîðîííèêè
Îáúåêòèâíàÿ íåîáõîäè-
ìîñòü, îáóñëîâëåííàÿ êðè-
çèñíûìè ÿâëåíèÿìè âî âñåõ
ñôåðàõ æèçíè îáùåñòâà
ÏÅÐÅÑÒÐÎÅ×ÍÎÅ ÓÑÊÎÐÅÍÈÅ
Ïåðåñòðîå÷íîå óñêîðåíèå
282 Îòå÷åñòâåííàÿ èñòîðèÿ â ñõåìàõ è òàáëèöàõ
Àïðåëüñêèé (1985)
ïëåíóì ÖÊ ÊÏÑÑ
Íàó÷íî-òåõíè÷åñêîå
îáíîâëåíèå
ïðîèçâîäñòâà
Àêòèâèçàöèÿ äåÿòåëüíîñòè
ïîëèòè÷åñêèõ è
îáùåñòâåííûõ èíñòèòóòîâ
Äîñòèæåíèå ìèðîâîãî
óðîâíÿ ïðîèçâîäèòåëüíî-
ñòè òðóäà
Ñîâåðøåíñòâîâàíèå
ýêîíîìè÷åñêèõ îòíîøåíèé
Àêöåíò íà óñêîðåíèå íàó÷íî-òåõíè÷åñêîãî ïðîãðåññà
Îñíîâíûå êàïèòàëîâëîæåíèÿ —
â îòå÷åñòâåííîå ìàøèíîñòðîåíèå
Íèêàêîãî óñêîðåíèÿ íå ïîëó÷èëîñü, êàðäèíàëüíûõ
èçìåíåíèé â ýêîíîìèêå íå ïðîèçîøëî
Íåóäà÷à ïðåîáðàçîâàíèé ïîñðåäñòâîì òðàäèöèîííûõ
êîìàíäíî-àäìèíèñòðàòèâíûõ ìåð
Êóðñ íà óñêîðåíèå
ñîöèàëüíî-ýêîíîìè÷åñêîãî
ðàçâèòèÿ ñòðàíû
Íî
ÏÎÏÛÒÊÈ ÝÊÎÍÎÌÈ×ÅÑÊÈÕ ÐÅÔÎÐÌ
 ÏÅÐÈÎÄ ÏÅÐÅÑÒÐÎÉÊÈ (1987—1988)
Ïåðåñòðîéêà (1985—1991 ãã.) 283
Èþíüñêèé
ïëåíóì
ÖÊ ÊÏÑÑ (1987)
Óòâåðæäåíû îñíîâíûå
íàïðàâëåíèÿ ïåðåñòðîéêè
óïðàâëåíèÿ ýêîíîìèêîé
Ïðåäîñòàâëåíèå
ñàìîñòîÿòåëüíîñòè
ïðåäïðèÿòèÿì è ïåðåâîä
èõ íà õîçðàñ÷åò
Ñîêðàùåíèå ïëàíîâûõ
ïîêàçàòåëåé
Çàêîí
«Î ãîñóäàðñòâåííîì
ïðåäïðèÿòèè
(îáúåäèíåíèè)» 1987 ã.
Íà÷àëî ðàçâèòèÿ
ñôåðû ÷àñòíîé
èíèöèàòèâû
Çàêîíû:
«Îá èíäèâèäóàëüíîé òðóäî-
âîé äåÿòåëüíîñòè» (1988)
«Î êîîïåðàöèè» (1988)
Ñîçäàíèå êîîïåðàòèâîâ
Âðàæäåáíîñòü è
íåäîâåðèå ñî ñòîðîíû
îáùåñòâåííîãî ìíåíèÿ
Ñèòóàöèÿ â íàðîäíîì õîçÿéñòâå ïðîäîëæàëà óõóäøàòüñÿ
Íî
ÍÀ ÏÎÄÑÒÓÏÀÕ Ê ÐÛÍÎ×ÍÎÉ ÝÊÎÍÎÌÈÊÅ
Íà ïîäñòóïàõ ê ðûíî÷íîé ýêîíîìèêå
284 Îòå÷åñòâåííàÿ èñòîðèÿ â ñõåìàõ è òàáëèöàõ
Ïðàâèòåëüñòâåííàÿ
ïðîãðàììà
Í.È. Ðûæêîâ
Ë.È. Àáàëêèí
Ïðîãðàììà
«500 äíåé»
Ñ.Ñ. Øàòàëèí
Ã.À. ßâëèíñêèé
Ïîýòàïíîå ââåäåíèå
ðûíî÷íûõ ìåõàíèç-
ìîâ, ðàññ÷èòàííîå
íà 6 ëåò
Áûñòðûé ïåðåõîä
â òå÷åíèå 1,5 ëåò
Îáñóæäåíèå â Âåðõîâíîì Ñîâåòå ÑÑÑÐ
îñåíüþ 1990 ã.
Íè îäèí èç âàðèàíòîâ íå ïîëó÷èë
ïîääåðæêè, è Ì.Ñ. Ãîðáà÷åâó ïîðó÷àþò
îáúåäèíèòü îáå ïðîãðàììû
Îñíîâíûå íàïðàâëåíèÿ ïî ñòàáèëèçàöèè
íàðîäíîãî õîçÿéñòâà è ïåðåõîäó ê
ðûíî÷íîé ýêîíîìèêå
Äåêëàðàöèÿ î íàìåðåíèÿõ,
à íå ïðîãðàììà ïåðåõîäà ê
ðûíî÷íîé ýêîíîìèêå
Îòêàç ñîþçíûõ
ðåñïóáëèê ïðèíèìàòü
åå ê èñïîëíåíèþ
Âàðèàíòû ïåðåõîäà
ê ðûíî÷íîé ýêîíîìèêå
ÐÅÔÎÐÌÀ ÏÎËÈÒÈ×ÅÑÊÎÉ ÑÈÑÒÅÌÛ ÑÑÑÐ
Ïåðåñòðîéêà (1985—1991 ãã.) 285
ßíâàðñêèé ïëåíóì
ÖÊ ÊÏÑÑ (1987)
XIX Âñåñîþçíàÿ
êîíôåðåíöèÿ ÊÏÑÑ
(26 èþíÿ — 1 èþëÿ 1988 ã.)
Óòâåðæäåíèå ïðèíöèïîâ äå-
ìîêðàòèè â êà÷åñòâå îñíîâ
ðàçâèòèÿ è ôóíêöèîíèðîâà-
íèÿ ïîëèòè÷åñêèõ îòíîøå-
íèé â îáùåñòâå
Èìïóëüñ
äëÿ ðåôîðì
â ïîëèòè÷åñêîé ñôåðå
Îñíîâíûå íàïðàâëåíèÿ
Ðàäèêàëüíîå èçìåíåíèå èçáèðàòåëüíîé ñèñòåìû è âíåäðåíèå â
íåå äåìîêðàòè÷åñêèõ ïðèíöèïîâ
Óñòàíîâëåíèå äâóõóðîâíåâîé ñèñòåìû âûñøåé çàêîíîäàòåëüíîé
âëàñòè â ñòðàíå — Ñúåçäà íàðîäíûõ äåïóòàòîâ è Âåðõîâíîãî Ñî-
âåòà ÑÑÑÐ, èçáèðàåìîãî èç ÷èñëà äåïóòàòîâ Ñúåçäà
Ïðÿìîå ïðåäñòàâèòåëüñòâî îáùåñòâåííûõ îðãàíèçàöèé â âûñøèõ
îðãàíàõ çàêîíîäàòåëüíîé âëàñòè. Èç 2250 äåïóòàòîâ Ñúåçäà íà-
ðîäíûõ äåïóòàòîâ 750 èçáèðàëèñü îò ÊÏÑÑ, êîìñîìîëà, ïðîô-
ñîþçîâ è äðóãèõ îáùåñòâåííûõ îðãàíèçàöèé
Ïðåâðàùåíèå Âåðõîâíîãî Ñîâåòà ÑÑÑÐ â ïîñòîÿííî äåéñòâóþ-
ùèé ïàðëàìåíò
Ñîçäàíèå íîâîãî îðãàíà ïðàâîâîãî êîíòðîëÿ — Êîìèòåòà êîí-
ñòèòóöèîííîãî íàäçîðà
Ëèêâèäàöèÿ ìîíîïîëüíîãî ïðàâà ÊÏÑÑ íà âëàñòü ïóòåì îòìåíû
6-é ñòàòüè Êîíñòèòóöèè, çàêðåïëÿâøåé ðóêîâîäÿùóþ ðîëü ïàð-
òèè â îáùåñòâå
Íà÷àëî ñòàíîâëåíèÿ ìíîãîïàðòèéíîé ñèñòåìû
Ó÷ðåæäåíèå ïîñòà Ïðåçèäåíòà ÑÑÑÐ è èçáðàíèå III Ñúåçäîì íà-
ðîäíûõ äåïóòàòîâ â ìàðòå 1990 ã. íà ýòó äîëæíîñòü Ì.Ñ. Ãîðáà÷åâà
Èçìåíåíèå ñòðóêòóðû âûñøåé èñïîëíèòåëüíîé âëàñòè. Ðåîðãà-
íèçàöèÿ ïðàâèòåëüñòâà è ñîçäàíèå Êàáèíåòà ìèíèñòðîâ, ïîä÷è-
íåííîãî Ïðåçèäåíòó
ÁÎÐÜÁÀ ÎÁÙÅÑÒÂÅÍÍÎ-ÏÎËÈÒÈ×ÅÑÊÈÕ
ÑÈË Â ÏÅÐÈÎÄ ÏÅÐÅÑÒÐÎÉÊÈ
Áîðüáà îáùåñòâåííî-ïîëèòè÷åñêèõ äâèæåíèé â ïåðèîä
ïåðåñòðîéêè
286 Îòå÷åñòâåííàÿ èñòîðèÿ â ñõåìàõ è òàáëèöàõ
Öåíòð
Ì.Ñ. Ãîðáà÷åâ
Áîðüáà çà âëàñòü
Áîðüáà çà ðàçëè÷íûå ïóòè ðàçâèòèÿ ñòðàíû
Ðàäèêàëüíûå
äåìîêðàòû —
Á.Í. Åëüöèí è äð.
Îðòîäîêñàëüíûå
êîììóíèñòû —
Å.Ê. Ëèãà÷åâ è äð.
Îøèáêè
Êîëåáàíèÿ
Ïðîñ÷åòû
ÍÎÂÎÅ ÏÎËÈÒÈ×ÅÑÊÎÅ ÌÛØËÅÍÈÅ Â ÑÔÅÐÅ
ÌÅÆÄÓÍÀÐÎÄÍÛÕ ÎÒÍÎØÅÍÈÉ
Îñíîâíûå òåíäåíöèè ìèðîâîãî ðàçâèòèÿ â êîíöå XX â.
Ïåðåñòðîéêà (1985—1991 ãã.) 287
Èíòåðíàöèîíàëèçàöèÿ
õîçÿéñòâåííîé è
îáùåñòâåííîé æèçíè.
Âçàèìîñâÿçü ãîñóäàðñòâ è
íàðîäîâ, ôîðìèðîâàíèå
öåëîñòíîãî ìèðîâîãî
ñîîáùåñòâà
Îãðîìíûå çàïàñû ÿäåðíîãî
îðóæèÿ. Íàäâèãàþùàÿñÿ
ýêîëîãè÷åñêàÿ êàòàñòðîôà
Ñòàâèòñÿ âîïðîñ î áóäóùåì ÷åëîâå÷åñòâà è î
íåîáõîäèìîñòè êîëëåêòèâíîé ñòðàòåãèè âûæèâàíèÿ
Áåçîïàñíîñòü è ñîòðóäíè÷åñòâî íå ìîãóò áûòü
äîñòèãíóòû â ðàìêàõ ïðåæíåé ìåæäóíàðîäíîé
ñèñòåìû, â îñíîâå êîòîðîé ëåæàë áàëàíñ ñèë. Ñèñòåìó
íåîáõîäèìî ïåðåñòðîèòü, âçÿâ çà îñíîâó áàëàíñ
èíòåðåñîâ íà áàçå îáùå÷åëîâå÷åñêèõ öåííîñòåé
Íîâîå ïîëèòè÷åñêîå ìûøëåíèå — ñîâîêóïíîñòü èäåé
è ïîäõîäîâ, âûðàæàþùèõ îáùèå èíòåðåñû ëþäåé
íåçàâèñèìî îò èõ ãîñóäàðñòâåííîé è íàöèîíàëüíîé
ïðèíàäëåæíîñòè è îáåñïå÷èâàþùèõ âûæèâàíèå
÷åëîâå÷åñòâà â ÿäåðíî-êîñìè÷åñêèé âåê
Õàðàêòåðíûå ÷åðòû
Äåèäåîëîãèçàöèÿ ìåæãîñóäàðñòâåííûõ îòíîøåíèé
Ïðèîðèòåò îáùå÷åëîâå÷åñêèõ öåííîñòåé
Ïðèçíàíèå îáùåïðèíÿòûõ íîðì ìîðàëè êàê
îáÿçàòåëüíîãî êðèòåðèÿ âñÿêîé ïîëèòèêè
Ì.Ñ.Ãîðáà÷åâ
ÂÍÅØÍßß ÏÎËÈÒÈÊÀ ÑÑÑÐ Â 1985—1991 ãã.
Âíåøíÿÿ ïîëèòèêà ÑÑÑÐ â 1985—1991 ãã.
288 Îòå÷åñòâåííàÿ èñòîðèÿ â ñõåìàõ è òàáëèöàõ
Íîâîå ïîëèòè÷åñêîå
ìûøëåíèå
Ñîâåòñêî-àìåðèêàíñêèå
äîãîâîðû
l Óëó÷øåíèå
îòíîøåíèé
ñ çàïàäíûìè
ñòðàíàìè
l Î ëèêâèäàöèè
ðàêåò ñðåäíåé
è ìåíüøåé
äàëüíîñòè (1987)
l Î ñîêðàùåíèè è
îãðàíè÷åíèè
ñòðàòåãè÷åñêèõ
íàñòóïàòåëüíûõ
âîîðóæåíèé (1991)
l Äîãîâîð îá îáû÷íûõ
âîîðóæåííûõ ñèëàõ
â Åâðîïå (1990)
Ëèêâèäàöèÿ ãîíêè
âîîðóæåíèé
Îòêàç îò âìåøàòåëüñòâà
âî âíóòðåííèå äåëà
áðàòñêèõ ñòðàí
l Îáúåäèíåíèå Ãåðìàíèè
(1989—1990)
l Ïàäåíèå ïðîñîâåòñêèõ ðåæèìîâ
â ñòðàíàõ Âîñòî÷íîé Åâðîïû
l Ëèêâèäàöèÿ ÑÝÂ è ÎÂÄ
l Âûâîä ñîâåòñêèõ âîéñê èç
Àôãàíèñòàíà (ìàé 1988 ã. —
ôåâðàëü 1989 ã.)
ÎÁÎÑÒÐÅÍÈÅ ÌÅÆÍÀÖÈÎÍÀËÜÍÛÕ
ÎÒÍÎØÅÍÈÉ Â ÏÅÐÈÎÄ ÏÅÐÅÑÒÐÎÉÊÈ
Ïåðåñòðîéêà (1985—1991 ãã.) 289
Ýêîíîìè÷åñêèé
êðèçèñ, îõâàòèâøèé
âñå îòðàñëè íàðîäíîãî
õîçÿéñòâà
Íåïîñëåäîâàòåëüíîñòü
è ïðîòèâîðå÷èâîñòü
íàöèîíàëüíîé
ïîëèòèêè
Óãëóáëåíèå
ìåæíàöèîíàëüíûõ
ïðîòèâîðå÷èé
 óñëîâèÿõ ðàçâèòèÿ ãëàñíîñòè è äåìîêðàòèè
îíè ïðèâîäÿò ê îòêðûòûì íàöèîíàëüíûì
êîíôëèêòàì
l Ìèòèíãè è
äåìîíñòðàöèè â Àëìà-
Àòå (Êàçàõñòàí) ïðîòèâ
ðóñèôèêàöèè (1986)
l Ñîçäàíèå íàðîäíûõ
ôðîíòîâ â ñîþçíûõ
ðåñïóáëèêàõ,
ïðåâðàòèâøèõñÿ â
öåíòðû ñåïàðàòèñòñêèõ
äâèæåíèé — ñ 1988 ã.
l Âîîðóæåííûå
ñòîëêíîâåíèÿ â
Àáõàçèè — ñ 1989 ã.
l Êàðàáàõñêàÿ ïðîáëåìà,
êîíôëèêò ìåæäó
Àðìåíèåé è
Àçåðáàéäæàíîì —
ñ 1988 ã.
l Âîëíåíèÿ â
Óçáåêèñòàíå è
êîíôëèêò ìåæäó
òóðêàìè-ìåñõåòèíöàìè
è óçáåêàìè (1989)
l Ìåæýòíè÷åñêèå
ñòîëêíîâåíèÿ â
Êèðãèçèè (1989)
ÏÐÅÄÏÎÑÛËÊÈ ÐÀÑÏÀÄÀ ÑÑÑÐ
Ïðåäïîñûëêè ðàñïàäà ÑÑÑÐ
290 Îòå÷åñòâåííàÿ èñòîðèÿ â ñõåìàõ è òàáëèöàõ
Çàðîæäåíèå íàöèîíàëüíîãî
ñåïàðàòèçìà è ðåãèîíàëüíîãî
ýêîíîìè÷åñêîãî
èçîëÿöèîíèçìà âñëåäñòâèå
íåýôôåêòèâíîñòè ñîâåòñêîé
ýêîíîìè÷åñêîé ñèñòåìû è
íåóäà÷è ýêîíîìè÷åñêèõ
ðåôîðì â ïåðèîä
ïåðåñòðîéêè
Áîðüáà çà âëàñòü
ìåæäó öåíòðàëüíûìè
è íàöèîíàëüíî-
ðåãèîíàëüíûìè
ïîëèòè÷åñêèìè
ýëèòàìè
Êðèçèñ êîììóíèñòè÷åñêîé
èäåîëîãèè, îñëàáëåíèå
ÊÏÑÑ è ïîñëåäóþùàÿ
ëèêâèäàöèÿ òîòàëèòàðíîé
ñèñòåìû è ïàðòèéíî-
ïîëèòè÷åñêîé ìîíîïîëèè
íà âëàñòü, ñîñòàâëÿâøèõ
îñíîâó ÑÑÑÐ
Îòñóòñòâèå ðàçóìíîãî
áàëàíñà â ïîëíîìî÷èÿõ
öåíòðà è íàöèîíàëüíûõ
ðåñïóáëèê. Äèêòàò
öåíòðàëüíîé âëàñòè â
îòíîøåíèè íàöèîíàëüíî-
ãîñóäàðñòâåííûõ
îáðàçîâàíèé
ÐÀÑÏÀÄÑÑÑÐ
ÑîþçíûåðåñïóáëèêèÄàòûïðèíÿòèÿäîêóìåíòîâ
îãîñóäàðñòâåííîìñóâåðåíèòåòå
Äàòûïðîâîçãëàøåíèÿ
íåçàâèñèìîñòè
Äàòûïðåêðàùåíèÿäåÿòåëüíîñòè
ðåñïóáëèêàíñêèõêîìèòåòîâÊÏÑÑ
Àçåðáàéäæàí23ñåíòÿáðÿ1989ã.30àâãóñòà1991ã.14ñåíòÿáðÿ1991ã.
Àðìåíèÿ28ìàÿ1989ã.23ñåíòÿáðÿ1991ã.7ñåíòÿáðÿ1991ã.
Áåëîðóññèÿ27èþëÿ1990ã.25àâãóñòà1991ã.25àâãóñòà1991ã.
Ãðóçèÿ9ìàðòà1990ã.9àïðåëÿ1991ã.26àâãóñòà1991ã.
Êàçàõñòàí25îêòÿáðÿ1990ã.16äåêàáðÿ1991ã.7ñåíòÿáðÿ1991ã.
Êèðãèçèÿ15äåêàáðÿ1990ã.31àâãóñòà1991ã.31àâãóñòà1991ã.
Ëàòâèÿ28èþëÿ1989ã.21àâãóñòà1991ã.10ñåíòÿáðÿ1991ã.
Ëèòâà18ìàÿ1989ã.11ìàðòà1991ã.23àâãóñòà1991ã.
Ìîëäàâèÿ23èþíÿ1990ã.27àâãóñòà1991ã.24àâãóñòà1991ã.
Ðîññèÿ12èþíÿ1990ã.12äåêàáðÿ1991ã.6íîÿáðÿ1991ã.
Òàäæèêèñòàí24àâãóñòà1990ã.9ñåíòÿáðÿ1991ã.2îêòÿáðÿ1991ã.
Òóðêìåíèÿ22àâãóñòà1990ã.27îêòÿáðÿ1991ã.26àâãóñòà1991ã.
Óçáåêèñòàí20èþíÿ1990ã.31àâãóñòà1991ã.14ñåíòÿáðÿ1991ã.
Óêðàèíà16èþíÿ1990ã.24àâãóñòà1991ã.30àâãóñòà1991ã.
Ýñòîíèÿ16íîÿáðÿ1988ã.20àâãóñòà1991ã.22àâãóñòà1991ã.
Ïåðåñòðîéêà (1985—1991 ãã.) 291
ÊÐÀÕ ÏÅÐÅÑÒÐÎÉÊÈ È ËÈÊÂÈÄÀÖÈß
ÑÎÖÈÀËÈÇÌÀ Â ÑÑÑÐ
Êðàõ ïåðåñòðîéêè è ëèêâèäàöèÿ ñîöèàëèçìà â ÑÑÑÐ
Ïðè÷èíû
Îòñóòñòâèå îáîñíîâàííîé êîíöåïöèè
ïåðåñòðîéêè
Äåâàëüâàöèÿ êîììóíèñòè÷åñêîé èäåè
Íåóäà÷íûå ïîïûòêè ýêîíîìè÷åñêîãî
ðåôîðìèðîâàíèÿ è ïàäåíèå æèçíåííîãî
óðîâíÿ íàñåëåíèÿ
Ðàñêîë â ïàðòèéíî-ãîñóäàðñòâåííîì
ðóêîâîäñòâå ñòðàíû
292 Îòå÷åñòâåííàÿ èñòîðèÿ â ñõåìàõ è òàáëèöàõ
ÏÐÎÒÈÂÎÐÅ×ÈÂÛÉ ÕÀÐÀÊÒÅÐ
ÈÒÎÃÎÂ ÏÅÐÅÑÒÐÎÉÊÈ
Ïåðåñòðîéêà (1985—1991 ãã.) 293
l Ðàçðóøåíèå òîòàëèòàðíîé ñèñòåìû
l Ñîçäàíèå ïîñòîÿííî äåéñòâóþùåãî ïàðëàìåíòà
l Íà÷àëî äåìèëèòàðèçàöèè ñòðàíû
l Ëèêâèäàöèÿ ãîíêè âîîðóæåíèé è âîåííîãî
ïðîòèâîñòîÿíèÿ äåðæàâ
l Óòâåðæäåíèå ïîëèòè÷åñêèõ ñâîáîä, ñâîáîäû
ñîâåñòè è âåðîèñïîâåäàíèÿ
Ðåçóëüòàòû
l Îáîñòðåíèå ìåæíàöèîíàëüíûõ ïðîòèâîðå÷èé
l Ðàñïàä ÑÑÑÐ
l Óõóäøåíèå ïðîäîâîëüñòâåííîãî îáåñïå÷åíèÿ ñòðàíû
l Îñëàáëåíèå âëàñòè â öåíòðå è íà ìåñòàõ
Íåãàòèâíûå
Ïîçèòèâíûå
ÐÎÑÑÈÉÑÊÀß ÔÅÄÅÐÀÖÈß
ÍÀ ÐÓÁÅÆÅ XX—XXI ââ.
Ðîññèéñêàÿ Ôåäåðàöèÿ íà ðóáåæå XX—XXI ââ.
I. 1990—1991 ãã.
l Ïðèíÿòèå äåêëàðàöèè «Î ãîñóäàðñòâåííîì ñóâåðåíèòåòå»
l Ïðîòèâîðå÷èÿ è áîðüáà ñîþçíîãî öåíòðà è ðîññèéñêîé
âëàñòè
l Àâãóñòîâñêèé êðàõ ñîöèàëüíî-ïîëèòè÷åñêîé ñèñòåìû
l Ðàñïàä ÑÑÑÐ
l Íà÷àëî ñóâåðåííîãî ðàçâèòèÿ Ðîññèéñêîé Ôåäåðàöèè
II. 1992—1993 ãã.
l Íà÷àëî ðàäèêàëüíîé ýêîíîìè÷åñêîé ðåôîðìû «Øîêîâàÿ
òåðàïèÿ» Å. Ò. Ãàéäàðà
l Ïîëèòè÷åñêàÿ áîðüáà è ïðîòèâîñòîÿíèå çàêîíîäàòåëüíîé è
èñïîëíèòåëüíîé âëàñòåé
l Êðèçèñ ãîñóäàðñòâåííîé âëàñòè âåñíîé 1993 ã.
l Âîîðóæåííîå ïðîòèâîñòîÿíèå âëàñòåé îñåíüþ 1993 ã.
l Êîíñòèòóöèîííàÿ ðåôîðìà è äåìîíòàæ ñîâåòñêîé ñèñòåìû
l Ñòàíîâëåíèå ðåæèìà àâòîðèòàðíîé äåìîêðàòèè Á.Í.
Åëüöèíà
l Îáîñòðåíèå ñîöèàëüíûõ ïðîòèâîðå÷èé â îáùåñòâå
l Ïðèâàòèçàöèÿ: çàìûñåë è ðåàëüíîñòü
III. 1994—1999 ãã.
l Ñòàíîâëåíèå íîâîé îáùåñòâåííî-ïîëèòè÷åñêîé è
ñîöèàëüíî-ýêîíîìè÷åñêîé ñèñòåìû
l Ñêëàäûâàíèå «îëèãàðõè÷åñêîãî êàïèòàëèçìà»
l Ïåðâàÿ ÷å÷åíñêàÿ âîéíà
l Èëëþçèÿ ñòàáèëèçàöèè è «äåôîëò» àâãóñòà 1998 ã.
l Íà÷àëî ýêîíîìè÷åñêîãî ðîñòà
l Êîíåö «ýïîõè Åëüöèíà»
IV. 2000—2008 ãã.
l Ïðåçèäåíòñòâî Â.Â. Ïóòèíà
l Äîñòèæåíèå ïîëèòè÷åñêîé ñòàáèëèçàöèè â îáùåñòâå
l Óêðåïëåíèå âåðòèêàëè ãîñóäàðñòâåííîé âëàñòè
l Âòîðàÿ ÷å÷åíñêàÿ âîéíà
l Èçáðàíèå è íà÷àëî äåÿòåëüíîñòè ïðåçèäåíòà Ä.À. Ìåäâåäåâà
294 Îòå÷åñòâåííàÿ èñòîðèÿ â ñõåìàõ è òàáëèöàõ
ÐÀÄÈÊÀËÜÍÛÅ
ÝÊÎÍÎÌÈ×ÅÑÊÈÅ ÐÅÔÎÐÌÛ
Ðîññèéñêàÿ Ôåäåðàöèÿ íà ðóáåæå XX—XXI ââ. 295
Ïðîòèâîñòîÿíèå âëàñòåé
Çàêîíîäàòåëüíàÿ
âëàñòü
(Âåðõîâíûé Ñîâåò
è Ñúåçä íàðîäíûõ
äåïóòàòîâ)
Èñïîëíèòåëüíàÿ
âëàñòü (Ïðåçèäåíò
è Ïðàâèòåëüñòâî)
Îáîñòðåíèåñîöèàëüíûõ
ïðîáëåìâîáùåñòâå
Òðè êðèçèñà
1. Äåêàáðü 1992 ã. — Îòñòàâêà
Å.Ò. Ãàéäàðà
2. Ìàðò — àïðåëü 1993 ã. — Ïîïûòêà
îòðåøåíèÿ Ïðåçèäåíòà îò äîëæíîñòè
è ðåôåðåíäóì î äîâåðèè âëàñòÿì
3. Ñåíòÿáðü — îêòÿáðü 1993 ã. — âîîðó-
æåííîå ïðîòèâîñòîÿíèå âëàñòåé.
Ïîáåäà Á.Í. Åëüöèíà
Êîíñòèòóöèîííàÿ ðåôîðìà 1993 ã.
Ïðèíÿòèå íîâîé Êîíñòèòóöèè
Ðîññèéñêîé Ôåäåðàöèè
Äåñîâåòèçàöèÿ ñèñòåìû
ïðåäñòàâèòåëüíûõ îðãàíîâ âëàñòè
Ôåäåðàëüíîå ñîáðàíèå
Ãîñóäàðñòâåííàÿ
Äóìà
Ñîâåò
Ôåäåðàöèè
Ñòàíîâëåíèåìíîãîïàðòèéíîé
ñèñòåìû
ÐÀÄÈÊÀËÜÍÛÅ ÝÊÎÍÎÌÈ×ÅÑÊÈÅ ÐÅÔÎÐÌÛ
Ðàäèêàëüíûå ýêîíîìè÷åñêèå ðåôîðìû
296 Îòå÷åñòâåííàÿ èñòîðèÿ â ñõåìàõ è òàáëèöàõ
Ïåðåõîä ê
ðûíî÷íîé
ýêîíîìèêå
«Øîêîâàÿ
òåðàïèÿ»ñ 1 ÿíâàðÿ 1992 ã.
Îñíîâíûå íàïðàâëåíèÿ
ýêîíîìè÷åñêîé ðåôîðìû
Ëèáåðàëèçàöèÿ öåí è îòêàç îò èõ
ãîñóäàðñòâåííîãî ðåãóëèðîâàíèÿ
Äîñòèæåíèå ôèíàíñîâîé
ñòàáèëèçàöèè, ïîäàâëåíèå èíôëÿöèè
Ñîçäàíèå óñòîé÷èâîé íàöèîíàëüíîé
âàëþòû, äîñòèæåíèå âíóòðåííåé
êîíâåðòèðóåìîñòè ðóáëÿ
Ëèáåðàëèçàöèÿ âíåøíåýêîíîìè÷åñêîé
äåÿòåëüíîñòè
Ñòèìóëèðîâàíèå ñòðóêòóðíîé
ïåðåñòðîéêè â ïðîìûøëåííîñòè
â ðåçóëüòàòå çàäåéñòâîâàíèÿ
ðûíî÷íûõ ìåõàíèçìîâ
Ïðèâàòèçàöèÿ ãîñóäàðñòâåííîé
ñîáñòâåííîñòè è ñîçäàíèå
êëàññà ñîáñòâåííèêîâ
Ðåôîðìû Å.Ò. Ãàéäàðà
ÎÁÎÑÒÐÅÍÈÅ ÑÎÖÈÀËÜÍÛÕ ÏÐÎÁËÅÌ
 ÑÎÂÐÅÌÅÍÍÎÉ ÐÎÑÑÈÈ
Îñóùåñòâëåíèå ýêîíîìè÷åñêèõ ðåôîðì
Ðîññèéñêàÿ Ôåäåðàöèÿ íà ðóáåæå XX—XXI ââ. 297
îáîñòðåíèþ áîëüøèíñòâà
ñîöèàëüíûõ ïðîáëåì
ï
ð
è
â
å
ë
î
ê
Ïîÿâëåíèå
áåçðàáîòèöû
è åå ðîñò
Õðîíè÷åñêèå çà-
äåðæêè ñ âûïëà-
òîé çàðïëàòû
Ïàäåíèå æèçíåí-
íîãî óðîâíÿ çíà-
÷èòåëüíîé ÷àñòè
íàñåëåíèÿ
Îáîñòðåíèå êðè-
ìèíàëüíîé îáñòà-
íîâêè â îáùåñòâå
Óõóäøåíèå äåìîãðà-
ôè÷åñêîé ñèòóàöèè.
Ïàäåíèå ðîæäàåìî-
ñòè, óâåëè÷åíèå
ñìåðòíîñòè
ÈÒÎÃÈ ÂÑÅÐÎÑÑÈÉÑÊÎÃÎ
ÐÅÔÅÐÅÍÄÓÌÀ 25 ÀÏÐÅËß 1993 ã.
Èòîãè âñåðîññèéñêîãî ðåôåðåíäóìà 25 àïðåëÿ 1993 ã.
Âîïðîñû
ðåôåðåíäóìà
×èñëî
ãðàæäàí,
âíåñåííûõ
â ñïèñêè
äëÿ ãîëî-
ñîâàíèÿ
×èñëî
ãðàæäàí,
ïðèíÿâ-
øèõ
ó÷àñòèå
â ãîëîñî-
âàíèè
×èñëî
ãðàæäàí,
îòâåòèâ-
øèõ «äà»
×èñëî
ãðàæäàí,
îòâåòèâ-
øèõ «íåò»
1. Äîâåðÿåòå ëè Âû
Ïðåçèäåíòó Ðîññèé-
ñêîé Ôåäåðàöèè
Á.Í. Åëüöèíó?
107 310 374 68 869 947 40 405 811 26 995 268
2. Îäîáðÿåòå ëè Âû ñî-
öèàëüíî-ýêîíîìè-
÷åñêóþ ïîëèòèêó,
îñóùåñòâëÿåìóþ
Ïðåçèäåíòîì è Ïðà-
âèòåëüñòâîì Ðîñ-
ñèéñêîé Ôåäåðàöèè
ñ 1992 ãîäà?
107 310 374 68 759 866 36 476 202 30 640 781
3. Ñ÷èòàåòå ëè Âû íå-
îáõîäèìûì ïðîâåäå-
íèå äîñðî÷íûõ âû-
áîðîâ Ïðåçèäåíòà
Ðîññèéñêîé Ôåäåðà-
öèè?
107 310 374 68 762 529 34 027 310 32 418 972
4. Ñ÷èòàåòå ëè Âû íå-
îáõîäèìûì ïðîâåäå-
íèå äîñðî÷íûõ âû-
áîðîâ íàðîäíûõ äå-
ïóòàòîâ Ðîññèéñêîé
Ôåäåðàöèè?
107 310 374 68 832 060 46 232 197 20 712 605
298 Îòå÷åñòâåííàÿ èñòîðèÿ â ñõåìàõ è òàáëèöàõ
ÂÛÁÎÐÛ Â ÃÎÑÓÄÀÐÑÒÂÅÍÍÓÞ ÄÓÌÓ
ÐÎÑÑÈÉÑÊÎÉ ÔÅÄÅÐÀÖÈÈ
Ðåçóëüòàòû ïîëèòè÷åñêèõ ïàðòèé,
ïîáåäèâøèõ â 1993 ã.
Ðîññèéñêàÿ Ôåäåðàöèÿ íà ðóáåæå XX—XXI ââ. 299
ÂÛÁÎÐÛ Â ÃÎÑÓÄÀÐÑÒÂÅÍÍÓÞ
ÄÓÌÓ ÐÎÑÑÈÉÑÊÎÉ ÔÅÄÅÐÀÖÈÈ
Ðåçóëüòàòû ïîëèòè÷åñêèõ ïàðòèé,
ïîáåäèâøèõ â 1995 ã.
Ðàñïðåäåëåíèå èçáèðàòåëåé â Ãîñóäàðñòâåííóþ Äóìó â 1995 ã.
300 Îòå÷åñòâåííàÿ èñòîðèÿ â ñõåìàõ è òàáëèöàõ
ÂÛÁÎÐÛ Â ÃÎÑÓÄÀÐÑÒÂÅÍÍÓÞ
ÄÓÌÓ ÐÎÑÑÈÉÑÊÎÉ ÔÅÄÅÐÀÖÈÈ
Ðåçóëüòàòû ïîëèòè÷åñêèõ ïàðòèé,
ïîáåäèâøèõ â 1999 ã.
Ðîññèéñêàÿ Ôåäåðàöèÿ íà ðóáåæå XX—XXI ââ. 301
ÂÛÁÎÐÛ Â ÃÎÑÓÄÀÐÑÒÂÅÍÍÓÞ
ÄÓÌÓ ÐÎÑÑÈÉÑÊÎÉ ÔÅÄÅÐÀÖÈÈ
Ðåçóëüòàòû ïîëèòè÷åñêèõ ïàðòèé,
ïîáåäèâøèõ â 2003 ã.
Ïàðòèè è èçáèðàòåëüíûå
áëîêè
Ïðîöåíò
ãîëîñîâ
Êîëè÷åñòâî ìàíäàòîâ
ïî ïàðòèéíûì
ñïèñêàì
ïî îäíîìàíäàòíûì
îêðóãàì
âñåãî
«Åäèíàÿ Ðîññèÿ» 37,57 120 105 225
ÊÏÐÔ 12,61 40 12 52
ËÄÏÐ 11,45 36 0 36
«Ðîäèíà» 9,02 29 8 38
Äðóãèå — — 33 33
Ïðåäñåäàòåëü Ãîñóäàðñòâåííîé Äóìû ÐÔ – Á.Â. Ãðûçëîâ
(ñ äåêàáðÿ 2003)
ÐÅÇÓËÜÒÀÒÛ ÏÎËÈÒÈ×ÅÑÊÈÕ ÏÀÐÒÈÉ,
ÏÎÁÅÄÈÂØÈÕ Â 2007 Ã.
Ïîëèòè÷åñêèå
ïàðòèè
Ïðîöåíò ãîëîñîâ
Êîëè÷åñòâî äåïóòàòñêèõ ìàíäàòîâ
ïî ïàðòèéíûì ñïèñêàì
«Åäèíàÿ Ðîññèÿ» 64,30 315
ÊÏÐÔ 11,57 57
ËÄÏÐ 8,14 40
Ñïðàâåäëèâàÿ Ðîññèÿ:
Ðîäèíà/Ïåíñèîíåðû/
Æèçíü
7,74 38
Äðóãèå — —
Ïðåäñåäàòåëü Ãîñóäàðñòâåííîé Äóìû ÐÔ – Á.Â. Ãðûçëîâ
(ñ äåêàáðÿ 2007)
302 Îòå÷åñòâåííàÿ èñòîðèÿ â ñõåìàõ è òàáëèöàõ
Ðîññèéñêàÿ Ôåäåðàöèÿ íà ðóáåæå XX—XXI ââ. 303
ÏÐÅÇÈÄÅÍÒÑÊÈÅ ÂÛÁÎÐÛ
 ÐÎÑÑÈÉÑÊÎÉ ÔÅÄÅÐÀÖÈÈ. 1990-å ãã.
Êîëè÷åñòâî ãîëîñîâ èçáèðàòåëåé,
îòäàííûõ çà êàíäèäàòîâ â ïðåçèäåíòû (â %)
ÝÊÎÍÎÌÈ×ÅÑÊÀß È ÑÎÖÈÀËÜÍÀß
ÏÎËÈÒÈÊÀ ÏÐÀÂÈÒÅËÜÑÒÂÀ ÐÎÑÑÈÉÑÊÎÉ
ÔÅÄÅÐÀÖÈÈ Â 1992—2008 ãã.
Ïðåäñåäàòåëü
Ïðàâèòåëüñòâà
Îñíîâíûå
íàïðàâëåíèÿ ïîëèòèêè
Ïîñëåäñòâèÿ
Åëüöèí Á.Í. (06.11.1991—
15.06.1992 — îäíîâðåìåííî
ñ ïîñòîì
Ïðåçèäåíòà ÐÔ)
Íà÷àëî ðàäèêàëüíîé ýêîíî-
ìè÷åñêîé ðåôîðìû — «øî-
êîâàÿ òåðàïèÿ»
Ðåçêèé ñïàä ïðîèçâîäñòâà.
Ïàäåíèå æèçíåííîãî óðîâ-
íÿ çíà÷èòåëüíîé ÷àñòè íà-
ñåëåíèÿ. Ïîÿâëåíèå áåçðà-
áîòèöû. Ìàññîâûå çàäåðæ-
êè ñ âûïëàòîé çàðïëàòû
Ãàéäàð Å.Ò. (15.06.1992—
14.12.1992 — è.î. ïðåäñåäà-
òåëÿ Ïðàâèòåëüñòâà)
×åðíîìûðäèí Â.Ñ.
(14.12.1992—23.03.1998)
Äîñòèæåíèå òîâàðíîãî èçî-
áèëèÿ. Ïðèâëå÷åíèå èíî-
ñòðàííûõ èíâåñòèöèé. Ñòà-
áèëèçàöèÿ êóðñà ðóáëÿ. Íà-
÷àëî ïðèâàòèçàöèè
Ðîñò òåíåâîé ýêîíîìèêè.
Ðàñöâåò è êðàõ ôèíàíñîâûõ
ïèðàìèä. Êîììåðöèàëèçà-
öèÿ íàóêè è êóëüòóðû
Êèðèåíêî Ñ.Â.
(24.04.1998—23.08.1998)
Ïîïûòêà ñáàëàíñèðîâàòü
ãîñóäàðñòâåííûé áþäæåò
Ôèíàíñîâî-áàíêîâñêèé
êðèçèñ («äåôîëò»)
17.08.1998. Îáîñòðåíèå
ýíåðãåòè÷åñêîãî êðèçèñà
Ïðèìàêîâ Å.Ì.
(11.09.1998—12.05.1999)
Óäåðæàíèå êóðñà ðóáëÿ.
Ñòàáèëèçàöèÿ ïîëîæåíèÿ â
îáùåñòâå. Ïîãàøåíèå äîë-
ãîâ ïî çàðïëàòàì è ïåíñè-
ÿì. Àíòèêîððóïöèîííûå
óãîëîâíûå äåëà
Íà÷àëî ïðîìûøëåííîãî
ðîñòà â ñòðàíå. Íàïðÿæåí-
íîñòü â îòíîøåíèÿõ ñ Çàïà-
äîì è íåóäà÷è â ïåðåãîâîð-
íîì ïðîöåññå ñ ÌÂÔ
Ñòåïàøèí Ñ.Â.
(19.05.1999—09.08.1999)
Ïîëó÷åíèå êðåäèòîâ îò çà-
ïàäíûõ ñòðàí. Ðåñòðóêòóðè-
çàöèÿ äîëãîâ áûâøåãî
ÑÑÑÐ
Îáîñòðåíèå ñèòóàöèè íà
Ñåâåðíîì Êàâêàçå
Ïóòèí Â.Â.
(16.08.1999—17.05.2000)
Êóðñ íà ñòàáèëèçàöèþ ïî-
ëèòè÷åñêèõ è ñîöèàëüíûõ
îòíîøåíèé
Íà÷àëî êîíòðòåððîðèñòè÷å-
ñêîé îïåðàöèè â ×å÷íå è
Äàãåñòàíå (âòîðàÿ ÷å÷åí-
ñêàÿ âîéíà)
Êàñüÿíîâ Ì.Ì.
(17.05.2000 — 24.02.2004)
Ïðîâåäåíèå íàëîãîâîé ðå-
ôîðìû. Ââåäåíèå 13%-ãî ïî-
äîõîäíîãî íàëîãà è åäèíîãî
ñîöèàëüíîãî íàëîãà. Íà÷àëî
ïåíñèîííîé ðåôîðìû
Ñîêðàùåíèå îáúåìà áàðòå-
ðà â ýêîíîìèêå. Ñíèæåíèå
áåçðàáîòèöû. Ðîñò çàðïëàòû
Ôðàäêîâ Ì. Ì.
(05.03.2004 — 12.09.2007)
Ïðîâåäåíèå àäìèíèñòðà-
òèâíîé ðåôîðìû. Ìîíåòà-
ðèçàöèÿ ñîöèàëüíûõ ëüãîò
Ñòàáèëèçàöèÿ ñîöèàëüíî-
ýêîíîìè÷åñêîãî ïîëîæåíèÿ
Çóáêîâ Â.À.
(14.09.2007–7.05.2008)
Ïðîäîëæåíèå êóðñà íà ñòà-
áèëèçàöèþ ñîöèàëüíî-ýêî-
íîìè÷åñêîãî ïîëîæåíèÿ â
ñòðàíå
Ðîñò ïåíñèé è çàðïëàò. Óâå-
ëè÷åíèå ïîêàçàòåëåé ýêî-
íîìè÷åñêîãî ðîñòà
Ïóòèí Â.Â.
(08.05.2008— íàñòîÿùåå
âðåìÿ
Íà÷àëî ðåàëèçàöèè ïðî-
ãðàììû ñîöèàëüíî-ýêîíî-
ìè÷åñêîãî ðàçâèòèÿ ÐÔ äî
2020 ã.
304 Îòå÷åñòâåííàÿ èñòîðèÿ â ñõåìàõ è òàáëèöàõ
ÏÐÅÇÈÄÅÍÒÑÊÈÅ ÂÛÁÎÐÛ
 ÐÎÑÑÈÉÑÊÎÉ ÔÅÄÅÐÀÖÈÈ. 2000-å ãã.
Êîëè÷åñòâî ãîëîñîâ èçáèðàòåëåé,
îòäàííûõ çà êàíäèäàòîâ â ïðåçèäåíòû (â %)
Êàíäèäàòû
2000 ã. 2004 ã. 2008 ã.
26 ìàðòà 14 ìàðòà 2 ìàðòà
Â.Â. Ïóòèí 52,94 71,31 —
Ê.À. Òèòîâ 1,47 — —
Ý.À. Ïàìôèëîâà 1,01 — —
Ñ.Ñ. Ãîâîðóõèí 0,44 — —
Þ.È. Ñêóðàòîâ 0,43 — —
À.È. Ïîäáåðåçêèí 0,13 — —
Ó.À. Äæàáðàèëîâ 0,10 — —
Í.Ì. Õàðèòîíîâ — 13,69 —
Ñ.Þ. Ãëàçüåâ — 4,1 —
È.Ì. Õàêàìàäà — 3,84 —
Î.Â. Ìàëûøêèí — 2,02 —
Ñ.Ì. Ìèðîíîâ — 0,75 —
Ä.À. Ìåäâåäåâ — — 70,28
Ã.À. Çþãàíîâ — — 17,72
Â.Â. Æèðèíîâñêèé — — 9,35
À.Â. Áîãäàíîâ — — 1,30
Ðîññèéñêàÿ Ôåäåðàöèÿ íà ðóáåæå XX—XXI ââ. 305
306 Îòå÷åñòâåííàÿ èñòîðèÿ â ñõåìàõ è òàáëèöàõ
ÎÑÍÎÂÍÛÅ ÍÀÏÐÀÂËÅÍÈß ÏÎËÈÒÈÊÈ
ÏÐÅÇÈÄÅÍÒÀ ÐÔ Â.Â. ÏÓÒÈÍÀ Â 2000—2008 ãã.
 ïîëèòèêî-
ãîñóäàðñòâåííîé
ñôåðå
 ñîöèàëüíî-
ýêîíîìè÷åñêîé
ñôåðå
 ñôåðå ìåæäóíàðîä-
íûõ îòíîøåíèé è
âíåøíåé ïîëèòèêè
Óêðåïëåíèå âåðòèêàëè ãî-
ñóäàðñòâåííîé âëàñòè è
äîñòèæåíèå ïîëèòè÷åñêîé
ñòàáèëüíîñòè â îáùåñòâå:
Ïðîäîëæåíèå êóðñà íà
ëèáåðàëèçàöèþ ýêîíî-
ìèêè:
Ïðèíÿòèå íîâîé êîí-
öåïöèè âíåøíåé ïî-
ëèòèêè Ðîññèè, èñõî-
äÿ èç ìíîãîïîëÿðíîé
ñèñòåìû ìåæäóíàðîä-
íûõ îòíîøåíèé
l ñîçäàíèå 7 ôåäåðàëüíûõ
îêðóãîâ âî ãëàâå ñ ïîë-
íîìî÷íûìè ïðåäñòàâè-
òåëÿìè ïðåçèäåíòà
l îñëàáëåíèå áþðî-
êðàòè÷åñêîé îïåêè è
êîíòðîëÿ ñî ñòîðî-
íû ãîñóäàðñòâà çà
ïðåäïðèíèìàòåëü-
ñêîé äåÿòåëüíîñòüþ
Ðàçâèòèå
ïàðòíåðñêèõ
îòíîøåíèé
ñî âñåìè ñòðàíàìè
ìèðà
l èçìåíåíèå ïðèíöèïà
ôîðìèðîâàíèÿ âåðõíåé
ïàëàòû Ôåäåðàëüíîãî
ñîáðàíèÿ — Ñîâåòà Ôå-
äåðàöèè — è ïðåâðàùå-
íèå åãî â ïîñòîÿííî
äåéñòâóþùèé çàêîíîäà-
òåëüíûé îðãàí
l ïðèíÿòèå ìåð, íà-
ïðàâëåííûõ íà ïîä-
äåðæêó ìàëîãî áèç-
íåñà
l íà÷àëî ðåàëèçàöèè
íàöèîíàëüíûõ ïðî-
åêòîâ
Ïîääåðæêà çàïàäíûõ
ñòðàí â áîðüáå ñ ìåæ-
äóíàðîäíûì
òåððîðèçìîì
l ñîçäàíèå Ãîñóäàðñòâåí-
íîãî ñîâåòà ÐÔ êàê ñî-
âåùàòåëüíî-êîíñóëüòà-
òèâíîãî îðãàíà ãëàâ
ñóáúåêòîâ ÐÔ ïðè Ïðå-
çèäåíòå ÐÔ
l îñóùåñòâëåíèå àäìèíè-
ñòðàòèâíîé ðåôîðìû
l ñîêðàùåíèå íàëîãî-
âîãî áðåìåíè, ââåäå-
íèå 13%-ãî ïîäîõîä-
íîãî íàëîãà
l íà÷àëî ñîöèàëüíûõ
ðåôîðì (ïåíñèîí-
íîé ñèñòåìû, çäðà-
âîîõðàíåíèÿ, ìîíå-
òàðèçàöèÿ ëüãîò)
ÃËÀÂÍÛÅ ÏÐÈÍÖÈÏÛ ÃÎÑÓÄÀÐÑÒÂÅÍÍÎÉ
ÏÎËÈÒÈÊÈ Â.Â. ÏÓÒÈÍÀ
Ðîññèéñêàÿ Ôåäåðàöèÿ íà ðóáåæå XX—XXI ââ. 307
308 Îòå÷åñòâåííàÿ èñòîðèÿ â ñõåìàõ è òàáëèöàõ
Îñíîâíûå íàïðàâëåíèÿ
Îòíîøåíèÿ
ñî ñòðàíàìè
ÑÍÃ
Åâðîïà,
ÍÀÒÎ,
Ðîññèÿ
Ðîññèéñêî-
àìåðèêàíñêèå
îòíîøåíèÿ
Îòíîøåíèÿ ñî ñòðàíà-
ìè Àçèè, Àôðèêè
è Ëàòèíñêîé Àìåðèêè
Ðàâíîïðàâ-
íûå îòíîøå-
íèÿ ñîãëàñî-
âàíèÿ ýêîíî-
ìè÷åñêèõ,
ïîëèòè÷å-
ñêèõ, âîåí-
íûõ è äðóãèõ
âîïðîñîâ
Ðàñøèðåíèå
ÍÀÒÎ íà
Âîñòîê. Ñîç-
äàíèå Ñîâå-
òà Ðîññèÿ —
ÍÀÒÎ äëÿ
ñîâìåñòíîãî
ðåøåíèÿ âî-
ïðîñîâ
Ñîêðàùåíèå
ñòðàòåãè÷å-
ñêèõ íàñòóïà-
òåëüíûõ âîî-
ðóæåíèé
ÑÍÂ-2
ÑÍÂ-3
Ñîòðóäíè-
÷åñòâî â
áîðüáå ñ
ìåæäóíà-
ðîäíûì
òåððîðèç-
ìîì
Äîãîâîð
î ïàðò-
íåðñòâå ñ
Êèòàåì
Îñîáåííîñòè
Êîíöåïöèÿ âíåøíåé
ïîëèòèêè 2000 ã.
Ðîññèÿ — âåëèêàÿ
åâðàçèéñêàÿ äåðæàâà,
íåñóùàÿ îòâåòñòâåííîñòü çà
ïîääåðæàíèå ìèðîâîé
áåçîïàñíîñòè
Ñìåíà ïàðàäèãì â
ìèðîâîé ïîëèòèêå
ââèäó îêîí÷àíèÿ
«õîëîäíîé âîéíû».
Ïåðåõîä îò áèïîëÿðíîé
ñèñòåìû
ìåæäóíàðîäíûõ
îòíîøåíèé ê
ìíîãîïîëÿðíîé.
Ïîÿâëåíèå íîâîãî
íàïðàâëåíèÿ âíåøíåé
ïîëèòèêè — îòíîøåíèÿ
ñ ÑÍÃ
Âíåøíÿÿ ïîëèòèêà ñîâðåìåííîé Ðîññèè
ÈÒÎÃÈ ÂÑÅÐÎÑÑÈÉÑÊÎÉ
ÏÅÐÅÏÈÑÈ ÍÀÑÅËÅÍÈß 2002 ã.
145,2 ìëí ÷åëîâåê ñ÷èòàþòñÿ ãðàæäàíàìè Ðîññèè
106,4 ìëí ÷åëîâåê (73%) — ãîðîæàíå
38,8 ìëí ÷åëîâåê (27%) — ñåëüñêèå æèòåëè
ÍÀÖÈÎÍÀËÜÍÛÉ ÑÎÑÒÀÂ
(òûñ. ÷åëîâåê)
Ðîññèéñêàÿ Ôåäåðàöèÿ íà ðóáåæå XX—XXI ââ. 309
Ðóññêèå
115 868,5
(79,8%)
Äðóãèå íàöèîíàëüíîñòè
27 838,1
(19,2%)
Íàöèîíàëüíàÿ
ïðèíàäëåæíîñòü íå óêàçàíà
1457,7
(1,0%)
Òàòàðû
Óêðàèíöû
Áàøêèðû 1673,8 (6,0%)
×óâàøè 1637,2 (5,9%)
×å÷åíöû 1361,0 (4,9%)
Àðìÿíå 1130,2 (4,1%)
Ìîðäâà 844,5 (3,0%)
Áåëîðóñû 814,7 (2,9%)
Àâàðöû 757,1 (2,7%)
Êàçàõè 655,1 (2,4%)
Óäìóðòû 636,9 (2,3%)
Àçåðáàéäæàíöû 621,5 (2,2%)
Ìàðèéöû 604,8 (2,2%)
Íåìöû 597,1 (2,1%)
Êàáàðäèíöû 520,1 (1,9%)
Îñåòèíû 514,9 (1,8%)
Äàðãèíöû 510,2 (1,8%)
Áóðÿòû 445,3 (1,6%)
ßêóòû 444,0 (1,6%)
Êóìûêè 422,5 (1,5%)
Èíãóøè 411,8 (1,5%)
Ëåçãèíû 411,6 (1,5%)
Èíûå
5558,0 (20,0%)
2943,5 (10,6)
4322,5 (15,5%)
ÈÇÌÅÍÅÍÈÅ×ÈÑËÅÍÍÎÑÒÈ
ÃÎÐÎÄÑÊÎÃÎÈÑÅËÜÑÊÎÃÎÍÀÑÅËÅÍÈß
310 Îòå÷åñòâåííàÿ èñòîðèÿ â ñõåìàõ è òàáëèöàõ
—âñåíàñåëåíèå
160—
140—
120—
100—
80—
60—
40—
20—
0
Ãîðîäñêîå
Ñåëüñêîå
117
130
137
147
145
5649
42
3939
61
81
95
108106
Ìëí÷åëîâåê
1959ã.1970ã.1979ã.1989ã.2002ã.
ÓÐÎÂÅÍÜÎÁÐÀÇÎÂÀÍÈßÍÀÑÅËÅÍÈß
Ðîññèéñêàÿ Ôåäåðàöèÿ íà ðóáåæå XX—XXI ââ. 311
050100150200250300
Âûñøåå
ïðîôåññèîíàëüíîå
Íåïîëíîåâûñøåå
ïðîôåññèîíàëüíîå
Ñðåäíåå
ïðîôåññèîíàëüíîå
Íà÷àëüíîå
ïðîôåññèîíàëüíîå
Ñðåäíåå(ïîëíîå)
îáùåå
Îñíîâíîå
îáùåå
Íà÷àëüíîå
îáùåå
Íåèìåþòíà÷àëüíîãî
îáùåãîîáðàçîâàíèÿ
(Íà1000÷åëîâåê
ââîçðàñòå
15ëåòèáîëåå)
2002ã.
1989ã.
ÊÀÊ ÌÛ ÇÀÐÀÁÀÒÛÂÀÅÌ ÍÀ ÆÈÇÍÜ
312 Îòå÷åñòâåííàÿ èñòîðèÿ â ñõåìàõ è òàáëèöàõ
1 — Äîõîä îò òðóäîâîé äåÿòåëüíîñòè (êðîìå ðàáîòû â
ëè÷íîì ïîäñîáíîì õîçÿéñòâå)
2 — Ëè÷íîå ïîäñîáíîå õîçÿéñòâî
3 — Ñòèïåíäèÿ
4 — Ïåíñèÿ (êðîìå ïåíñèè ïî èíâàëèäíîñòè)
5 — Ïåíñèÿ ïî èíâàëèäíîñòè
6 — Ïîñîáèå (êðîìå ïîñîáèÿ ïî áåçðàáîòèöå)
7 — Ïîñîáèå ïî áåçðàáîòèöå
8 — Äðóãîé âèä ãîñóäàðñòâåííîãî îáåñïå÷åíèÿ
9 — Ñáåðåæåíèÿ
10 — Äîõîä îò ñäà÷è âíàåì èëè â àðåíäó èìóùåñòâà
11 — Íà èæäèâåíèè îòäåëüíûõ ëèö
12 — Èíîé èñòî÷íèê
13 — Íå óêàçàâøèå èñòî÷íèê ñðåäñòâ ê ñóùåñòâîâàíèþ
70 000
60 000
50 000
40 000
30 000
20 000
10 000
0
Òûñ.
÷åë.
1
2
3
4
5
6
11
7 8
9 10
12 13
×ÈÑËÎÆÅÍÙÈÍÍÀ1000ÌÓÆ×ÈÍ
Ðîññèéñêàÿ Ôåäåðàöèÿ íà ðóáåæå XX—XXI ââ. 313
1270—
1250—
1230—
1210—
1190—
1170—
1150—
1130—
1110—
1090—
1070
Êîëè÷åñòâîæåíùèí
1226
1261
1183
1218
1170
1183
1145
1125
1167
1101
1959ã.1970ã.1979ã.1989ã.2002ã.
Âñåíàñåëåíèå
1243
1196
1174
1140
1147
—ãîðîäñêîå—ñåëüñêîå
ÑÅÌÅÉÍÛÅÈÎÄÈÍÎÊÈÅ
314 Îòå÷åñòâåííàÿ èñòîðèÿ â ñõåìàõ è òàáëèöàõ314 Îòå÷åñòâåííàÿ èñòîðèÿ â ñõåìàõ è òàáëèöàõ
700—
600—
500—
400—
300—
200—
100—
0
Íèêîãäàíå
ñîñòîÿâøèå
âáðàêå
Ñîñòîÿùèå
âáðàêå
ÂäîâûåÐàçâåäåííûåè
ðàçîøåäøèåñÿ
Íà1000÷åëîâåê
ââîçðàñòå16ëåòèáîëåå
1989ã.2002ã.(Ïîäàííûìïåðåïèñåéíàñåëåíèÿ)
×åëîâåê
Ðîññèéñêàÿ Ôåäåðàöèÿ íà ðóáåæå XX—XXI ââ. 315
ÍÎÂÛÉ ÏÎÐßÄÎÊ ÎÒÁÎÐÀ ÊÀÍÄÈÄÀÒÎÂ
È ÈÇÁÐÀÍÈß ÃÓÁÅÐÍÀÒÎÐÎÂ Ñ 2005 ã.
316 Îòå÷åñòâåííàÿ èñòîðèÿ â ñõåìàõ è òàáëèöàõ
* Ìåõàíèçì ðîñïóñêà Çàêîíîäàòåëüíîãî ñîáðàíèÿ â ñëó÷àå îòêëîíåíèÿ ïðåçèäåíòñêîé êàíäèäàòóðû ïîêà
þðèäè÷åñêè íå îôîðìëåí.
* Îñóùåñòâëÿåò ñîäåéñòâèå îðãàíàì ãîñóäàðñòâåííîé âëàñòè è ìåñòíîãî ñàìîóïðàâëåíèÿ â ïðîâåäåíèè
ãîñóäàðñòâåííîé ïîëèòèêè.
Ðîññèéñêàÿ Ôåäåðàöèÿ íà ðóáåæå XX—XXI ââ. 317
318 Îòå÷åñòâåííàÿ èñòîðèÿ â ñõåìàõ è òàáëèöàõ
Ñïðàâî÷íîå èçäàíèå
ÍÀÃËßÄÍÎ È ÄÎÑÒÓÏÍÎ
Êèðèëëîâ Âèêòîð Âàñèëüåâè÷
ÎÒÅ×ÅÑÒÂÅÍÍÀß ÈÑÒÎÐÈß
 ÑÕÅÌÀÕ È ÒÀÁËÈÖÀÕ
Äèðåêòîð ðåäàêöèè È.Å. Ôåäîñîâà
Îòâåòñòâåííûé ðåäàêòîð À.Â. Æèëèíñêàÿ
Íàó÷íûé ðåäàêòîð Ò.Â. Ôîìèíà
Âåäóùèé ðåäàêòîð Ò.À. Ñóäàêîâà
Õóäîæåñòâåííûé ðåäàêòîð Å.Â. Áðûí÷èê
Òåõíè÷åñêèé ðåäàêòîð Í.È. Òðîñòÿíñêàÿ
Êîìïüþòåðíàÿ âåðñòêà È.À. Êîíäðàòþê
Êîððåêòîð Í.Â. Äðóõ
Ïîäïèñàíî â ïå÷àòü 19.03.2010. Ôîðìàò 60x901
/16
.
Ãàðíèòóðà «Òàéìñ». Ïå÷àòü îôñåòíàÿ. Óñë. ïå÷. ë. 20,0.
Òèðàæ 3000 ýêç. Çàêàç .
249  отечественная история в схемах и таблицах кириллов в.в-2009 -320с

249 отечественная история в схемах и таблицах кириллов в.в-2009 -320с

  • 2.
  • 3.
    ÓÄÊ 373.167.1:94(47) ÁÁÊ 63.3(2) Ê43 Êèðèëëîâ Â. Â. Ê 43 Îòå÷åñòâåííàÿ èñòîðèÿ â ñõåìàõ è òàáëèöàõ / Â. Â. Êèðèëëîâ. — Ì. : Ýêñìî, 2009. — 320 ñ. — (Íàãëÿäíî è äîñòóïíî). ISBN 978-5-699-37207-2 Êóðñ îòå÷åñòâåííîé èñòîðèè â ñõåìàõ è òàáëèöàõ ïðåäñòàâëÿåò ñîáîé ó÷åáíîå ïîñî- áèå, â êîòîðîì â ñæàòîé, êîíöåíòðèðîâàííîé ôîðìå äàþòñÿ îñíîâíûå ñâåäåíèÿ î ïðî- øëîì íàøåé ñòðàíû. Èñïîëüçîâàíèå ýëåìåíòîâ íàãëÿäíî-ãðàôè÷åñêîãî õàðàêòåðà ïîçâîëÿåò ëó÷øå ïî- íÿòü è óñâîèòü ìàòåðèàë, ïðèáëèçèòüñÿ ê ïîñòèæåíèþ ñëîæíîãî è ïðîòèâîðå÷èâîãî èñòîðè÷åñêîãî ïðîöåññà.  ñîäåðæàíèå ââîäÿòñÿ òàêæå èñòîðèêî-ýòèìîëîãè÷åñêèå êîìïîíåíòû, îáúÿñíÿþùèå êëþ÷åâûå òåðìèíû è ïîíÿòèÿ. Ìàòåðèàë ïðåäñòàâëåí â àâòîðñêîé ðåäàêöèè íà îñíîâàíèè ãîñóäàðñòâåííûõ îáðà- çîâàòåëüíûõ ñòàíäàðòîâ ñðåäíåé è âûñøåé øêîëû. Íàñòîÿùåå èçäàíèå ìîæåò áûòü ïîëåçíî äëÿ ïîäãîòîâêè ê åäèíîìó ãîñóäàðñòâåí- íîìó ýêçàìåíó ïðåïîäàâàòåëÿì, øêîëüíèêàì, ñòóäåíòàì, âñåì èíòåðåñóþùèìñÿ èñòî- ðèåé Ðîññèè. ÓÄÊ 373.167.1:94(47) ÁÁÊ 63.3(2) © Êèðèëëîâ Â.Â., 2009 ISBN 978-5-699-37207-2 © ÎÎÎ «Èçäàòåëüñòâî «Ýêñìî», 2009
  • 4.
    ÑÎÄÅÐÆÀÍÈÅ Îò àâòîðà .. . . . . . . . . . . . . . . . . . . . . . . . . 5 ×òî òàêîå èñòîðèÿ . . . . . . . . . . . . . . . . . . . . . 7 Ñëàâÿíå â VI—VIII ââ. . . . . . . . . . . . . . . . . . . 10 Äðåâíÿÿ Ðóñü . . . . . . . . . . . . . . . . . . . . . . . 12 Óäåëüíàÿ Ðóñü . . . . . . . . . . . . . . . . . . . . . . . 30 Ìîñêîâñêàÿ Ðóñü . . . . . . . . . . . . . . . . . . . . . 43 Ðîññèÿ â ýïîõó Èâàíà Ãðîçíîãî . . . . . . . . . . . . . . 60 Ñìóòíîå âðåìÿ. . . . . . . . . . . . . . . . . . . . . . . 67 Ðîññèÿ â XVII â. . . . . . . . . . . . . . . . . . . . . . . 78 Ýïîõà ïåòðîâñêèõ ïðåîáðàçîâàíèé . . . . . . . . . . . . 103 Äâîðöîâûå ïåðåâîðîòû XVIII â. . . . . . . . . . . . . . . 118 Ðîññèÿ âî âòîðîé ïîëîâèíå XVIII â.. . . . . . . . . . . . 126 Ðîññèÿ â ïåðâîé ïîëîâèíå XIX â. . . . . . . . . . . . . . 136 Ðîññèÿ âî âòîðîé ïîëîâèíå XIX â. . . . . . . . . . . . . 174 Ðîññèÿ â íà÷àëå XX â. . . . . . . . . . . . . . . . . . . 200 Ðåâîëþöèÿ 1917 ã. è Ãðàæäàíñêàÿ âîéíà . . . . . . . . . 218 Ñòðàíà Ñîâåòîâ â 20—30 ãã. XX â. . . . . . . . . . . . . . 234 Âåëèêàÿ Îòå÷åñòâåííàÿ âîéíà (1941—1945 ãã.) . . . . . . . 242
  • 5.
    Ïîñëåâîåííîå ðàçâèòèå ñòðàíû(1945—1953 ãã.) . . . . . . 252 ÑÑÑÐ â 1953—1964 ãã. . . . . . . . . . . . . . . . . . . 258 Ñîâåòñêèé Ñîþç â 1965—1985 ãã. . . . . . . . . . . . . . 270 Ïåðåñòðîéêà (1985—1991 ãã.) . . . . . . . . . . . . . . . 281 Ðîññèéñêàÿ Ôåäåðàöèÿ íà ðóáåæå XX—XXI ââ. . . . . . . 296 4
  • 6.
    Îò àâòîðà  íàñòîÿùåìó÷åáíîì ïîñîáèè êîìïàêòíî è â õðîíîëîãè÷å- ñêîé ïîñëåäîâàòåëüíîñòè â ôîðìå ñõåì è òàáëèö ïðåäñòàâëåíû îñíîâíûå ñîáûòèÿ è âåõè îòå÷åñòâåííîé èñòîðèè â êîíòåêñòå èõ ïðè÷èííî-ñëåäñòâåííûõ ñâÿçåé. Ìû èñõîäèì èç òîãî, ÷òî òåêñòû áîëüøèíñòâà ñîâðåìåííûõ ó÷åáíèêîâ ïî èñòîðèè, êàê áû èíòåðåñíî îíè íè áûëè íàïèñà- íû, âñå-òàêè íå äàþò ÷åòêîãî âîñïðèÿòèÿ, ïîíèìàíèÿ è óÿñíå- íèÿ ñëîæíûõ ïðîöåññîâ èñòîðè÷åñêîãî ïðîøëîãî. Ýòîìó ïðè- çâàíû ïîìî÷ü ñðåäñòâà ãðàôè÷åñêîé íàãëÿäíîñòè, ïðè ïîìîùè êîòîðûõ êàê áû «ôîòîãðàôèðóåòñÿ» êàæäàÿ òåìà. Ïîäîáíûé ïîäõîä áàçèðóåòñÿ íà òîì, ÷òî ó ÷åëîâåêà â åãî âîñïðèÿòèè îêðó- æàþùåé äåéñòâèòåëüíîñòè äîìèíèðóåò çðèòåëüíàÿ ïàìÿòü, íå- çàìåíèìàÿ â òîì ÷èñëå è ïðè èçó÷åíèè èñòîðèè. Èñïîëüçîâàíèå ñõåì è òàáëèö ïîìîæåò ëó÷øåìó çàïîìèíà- íèþ äàò è ñóùíîñòè èñòîðè÷åñêèõ ñîáûòèé, ðàçâèòèþ ïàìÿòè, ëîãè÷åñêîãî ìûøëåíèÿ, àíàëèòè÷åñêèõ ñïîñîáíîñòåé, ôîðìè- ðîâàíèþ ìèðîâîççðåíèÿ. Ïîñîáèå îðèåíòèðîâàíî êàê íà ó÷àùèõñÿ, òàê è íà ïðåïîäà- âàòåëåé è âñåõ èíòåðåñóþùèõñÿ èñòîðèåé Ðîññèè. Ìåòîäèêà ðàáîòû ñ ïîñîáèåì ïðåäïîëàãàåò ñëåäóþùèå ôîð- ìû ó÷åáíîé äåÿòåëüíîñòè: — ñàìîñòîÿòåëüíîå èçó÷åíèå ñîîòâåòñòâóþùåé òåìû ïî ðàç- äåëàì ó÷åáíèêà, à çàòåì çàêðåïëåíèå åå ïî ïðåäëîæåííûì ñõå- ìàì è òàáëèöàì; — èñïîëüçîâàíèå ïîñîáèÿ êàê êðàòêîãî àííîòèðîâàííîãî ñèñòåìàòèçèðîâàííîãî ñïðàâî÷íèêà ïî îòå÷åñòâåííîé èñòîðèè äëÿ ïîäãîòîâêè ê ñäà÷å ýêçàìåíîâ ïî òðàäèöèîííîé ôîðìå, à òàêæå â ôîðìå ÅÃÝ (åäèíîãî ãîñóäàðñòâåííîãî ýêçàìåíà).
  • 7.
    Ñîäåðæàíèå ðÿäà òàáëèö,âêëþ÷àþùåå äåòàëüíîå ïîýòàïíîå îïèñàíèå õîäà íåêîòîðûõ ïðîöåññîâ è ñîáûòèé, âûõîäèò çà ðàì- êè ó÷åáíîãî ìàòåðèàëà ó÷åáíèêîâ; îíî ìîæåò èñïîëüçîâàòüñÿ êàê äîïîëíèòåëüíûé ìàòåðèàë, ðàñøèðÿþùèé ïîçíàíèÿ â îá- ëàñòè èñòîðèè Ðîññèè. ×òî òàêîå èñòîðèÿ 6 Îòå÷åñòâåííàÿ èñòîðèÿ â ñõåìàõ è òàáëèöàõ
  • 8.
    ×ÒÎ ÒÀÊÎÅ ÈÑÒÎÐÈß (ãðå÷.historia — ðàññêàç î ïðîøåäøåì, îá óçíàííîì) I. Ïðîöåññ ðàçâèòèÿ ïðèðîäû è îáùåñòâà II. Êîìïëåêñ îáùåñòâåííûõ íàóê, èçó÷àþùèõ ïðîøëîå ÷åëîâå÷åñòâà âî âñåé åãî êîíêðåòíîñòè è ìíîãîîáðàçèè Èñòîðèÿ — ñâèäåòåëü ïðîøëîãî, ñâåò èñòèíû, æèâàÿ ïàìÿòü, ó÷èòåëü æèçíè, âåñòíèê ñòàðèíû. Öèöåðîí  èñòîðèè ÷åðïàåì ìû ìóäðîñòü... Ô. Áýêîí Áåç çíàíèÿ èñòîðèè ìû äîëæíû ïðèçíàòü ñåáÿ ñëó÷àéíîñòÿìè, íå çíàÿ, êàê è çà÷åì ìû æèâåì, êàê è ê ÷åìó äîëæíû ñòðåìèòüñÿ. B.Î. Êëþ÷åâñêèé Èñòîðèÿ ó÷èò äàæå òåõ, êòî ó íåå íå ó÷èòñÿ. Îíà èõ ïðîó÷èâàåò çà íåâåæåñòâî è ïðåíåáðåæåíèå. Â.Î. Êëþ÷åâñêèé Èñòîðèÿ â íåêîòîðîì ñìûñëå åñòü ñâÿùåííàÿ êíèãà íàðîäîâ: ãëàâíàÿ, íåîáõîäèìàÿ; çåðêàëî èç áûòèÿ è äåÿòåëüíîñòè; çàâåò ïðåäêîâ ïîòîìñòâó; äîïîëíåíèå èçúÿñíåíèÿ íàñòîÿùåãî è ïðèìåð ïðîøëîãî. Í.Ì. Êàðàìçèí Äëÿ ÷åãî íóæíà èñòîðèÿ? — Äëÿ ÷åëîâå÷åñêîãî ñàìîïîçíàíèÿ. Ð. Äæ. Êîëëèíãâóä
  • 9.
    ÈÑÒÎÐÈ×ÅÑÊÈÅ ÈÑÒÎ×ÍÈÊÈ âñå îáúåêòû,íåïîñðåäñòâåííî îòðàæàþùèå èñòîðè÷åñêèé ïðîöåññ è äàþùèå âîçìîæíîñòü èçó÷àòü ïðîøëîå ÷åëîâå÷åñòâà 8 Îòå÷åñòâåííàÿ èñòîðèÿ â ñõåìàõ è òàáëèöàõ Êëàññèôèêàöèÿèñòîðè÷åñêèõèñòî÷íèêîâ Ëèíãâèñòè÷åñêèå: äàííûåÿçûêà Ýòíîãðàôè÷åñêèå: îáðÿäûèîáû÷àè Âåùåñòâåííûå: îðóäèÿòðóäà, ïðåäìåòûáûòà, îðóæèå, ñòðîèòåëüíûå ñîîðóæåíèÿèäð. Óñòíûå— ôîëüêëîð: áûëèíû, ñêàçêè,ïåñíè èäð. Ïèñüìåííûå Ãîñóäàðñòâåííî-àêòîâûå: þðèäè÷åñêèåíîðìû, äîãîâîðû,ïîñòàíîâëåíèÿ èäð. Îïèñàòåëüíûå: ëåòîïèñè,æèòèÿ,ïèñüìà, äíåâíèêè,îïèñàíèÿèäð.
  • 10.
    ÂÑÏÎÌÎÃÀÒÅËÜÍÛÅ ÈÑÒÎÐÈ×ÅÑÊÈÅ ÄÈÑÖÈÏËÈÍÛ èçó÷àþòîïðåäåëåííûå âèäû èëè îòäåëüíûå ôîðìû è ñîäåðæàíèÿ èñòîðè÷åñêèõ èñòî÷íèêîâ Ãåíåàëîãèÿ (îò ãðå÷. — ðîäîñëîâíàÿ) Íàóêà î ïðîèñõîæäåíèè, âîçíèêíîâåíèè è ðàçâèòèè ðîäñòâåííûõ îòíîøåíèé Ãåðàëüäèêà (ëàò. heraldus — ãëàøàòàé) Íàóêà, èçó÷àþùàÿ ãåðáû êàê èñòîðè÷åñêèé èñòî÷íèê Äèïëîìàòèêà (ãðå÷. diploma — äîêóìåíò) Íàóêà, èçó÷àþùàÿ ïðîèñõîæäåíèå, ôîðìó è ñîäåðæàíèå, à òàêæå ôóíêöèîíèðîâàíèå äîêóìåíòîâ ïðàâîâîãî õàðàêòåðà Ìåòðîëîãèÿ (ãðå÷. metron — ìåðà è logos — íàóêà) Íàóêà, èçó÷àþùàÿ óïîòðåáëÿâøèåñÿ â ïðîøëîì ìåðû äëèíû, ïëîùàäè, îáúåìà, âåñà — â èõ èñòîðè÷åñêîì ðàçâèòèè Îíîìàñòèêà (ãðå÷. onoma — èìÿ, íàèìåíî- âàíèå) Íàóêà, èçó÷àþùàÿ èìåíà ñîáñòâåííûå, èñ- òîðèþ èõ âîçíèêíîâåíèÿ. Èìååò íåñêîëüêî ðàçäåëîâ: òîïîíèìèêà — èçó÷àåò ãåîãðàôè÷åñêèå íà- çâàíèÿ; àíòðîïîíèìèêà — èçó÷àåò ëè÷íûå èìåíà ëþäåé; ýòíîíèìèêà — èçó÷àåò íàçâàíèÿ ïëåìåí, íàðîäîâ è äðóãèõ ýòíè÷åñêèõ îáùíîñòåé; òåîíèìèêà — èçó÷àåò èìåíà áîãîâ Íóìèçìàòèêà (ëàò. numisma — ìîíåòà) Íàóêà, èçó÷àþùàÿ èñòîðèþ ìîíåòíîé ÷å- êàíêè è äåíåæíîãî îáðàùåíèÿ ïî ìîíåòàì, äåíåæíûì ñëèòêàì è äð. Ïàëåîãðàôèÿ (ãðå÷. palos — äðåâíèé è grafo — ïèøó) Íàóêà, èçó÷àþùàÿ âíåøíèå ïðèçíàêè ðó- êîïèñíûõ èñòî÷íèêîâ â èõ èñòîðè÷åñêîì ðàçâèòèè (ïî÷åðêè, çíàêè ïèñüìà, ÷åðíèëà è äð.) Ñôðàãèñòèêà (ãðå÷. sphragis — ïå÷àòü) Íàóêà, èçó÷àþùàÿ ïå÷àòè Õðîíîëîãèÿ (ãðå÷. chronos — âðåìÿ è logos — íàóêà) Íàóêà, èçó÷àþùàÿ ñèñòåìû ëåòîñ÷èñëåíèÿ è êàëåíäàðè ðàçëè÷íûõ íàðîäîâ Ýòèìîëîãèÿ (ãðå÷. etymon — èñòèíà, èñòèííîå çíà÷åíèå ñëîâà) Ðàçäåë ÿçûêîâåäåíèÿ, çàíèìàþùèéñÿ èçó- ÷åíèåì ïåðâîíà÷àëüíîé ñëîâîîáðàçîâà- òåëüíîé ñòðóêòóðû ñëîâà è âûÿâëåíèåì ýëåìåíòîâ åãî äðåâíåãî çíà÷åíèÿ ×òî òàêîå èñòîðèÿ 9
  • 11.
    ÑËÀÂßÍÅ Â VI—VIIIââ. ÊÎÍÖÅÏÖÈÈ ÏÐÎÈÑÕÎÆÄÅÍÈß È ÏÐÀÐÎÄÈÍÛ ÑËÀÂßÍ 10 Îòå÷åñòâåííàÿ èñòîðèÿ â ñõåìàõ è òàáëèöàõ Ìèãðàöèîííàÿ (Ïðèøëè íà Âîñòî÷íî- Åâðîïåéñêóþ ðàâíèíó) Àâòîõòîííàÿ «äóíàéñêàÿ» (Ñ.Ì. Ñîëîâüåâ, Â.Î. Êëþ÷åâñêèé) «ïðèáàëòèéñêàÿ» (Ì.Â. Ëîìîíîñîâ, À.Ã. Êóçüìèí) Ñëàâÿíå êàê ýòíîñ ñôîðìèðîâàëèñü íà òåððèòîðèè Âîñòî÷íî- Åâðîïåéñêîé ðàâíèíû è ÿâëÿëèñü èñêîííûì íàñåëåíèåì (Á.À. Ðûáàêîâ)
  • 12.
    Ñ ëàâÿíå â VI—VIIIââ. Îñíîâíûå âîñòî÷íîñëàâÿíñêèå ïëåìåíà è ìåñòà èõ ðàññåëåíèÿ Êðèâè÷è Âåðõîâüÿ ðåê Âîëãè, Äíåïðà, Çàïàäíîé Äâèíû Âÿòè÷è Ïî ðåêå Îêà Èëüìåíñêèå ñëîâåíå Âîêðóã îçåðà Èëüìåíü è ïî ðåêå Âîëõîâ Ðàäèìè÷è Ïî ðåêå Ñîæ Äðåâëÿíå Ïî ðåêå Ïðèïÿòü Äðåãîâè÷è Ìåæäó ðåêàìè Ïðèïÿòü è Áåðåçèíà Ïîëÿíå Ïî çàïàäíîìó áåðåãó ðåêè Äíåïð Óëè÷è è òèâåðöû Þãî-çàïàä Âîñòî÷íî-Åâðîïåéñêîé ðàâíèíû Ñåâåðÿíå Ïî ñðåäíåìó òå÷åíèþ ðåêè Äíåïð è ïî ðåêå Äåñíà Ñëàâÿíå â VI—VIII ââ. 11 ÂÎÑÒÎ×ÍÛÅ ÑËÀÂßÍÅ Â ÄÐÅÂÍÎÑÒÈ ßçû÷åñòâî ÇàíÿòèÿÎáùåñòâåííîå óñòðîéñòâî Ðîäîâàÿ îáùèíà Ñîñåäñêàÿ îáùèíà Çåìëåäåëèå Îõîòà Ðûáîëîâñòâî Áîðòíè÷åñòâî Âåðîâàíèÿ Êóëüò ïðåäêîâ Ïîêëîíåíèå ÿâëåíèÿì ïðèðîäû Çåìëåäåëü÷åñêèå êóëüòû Ñîþçû ñëàâÿíñêèõ ïëåìåí Ñëàâèÿ Êóÿâèÿ Àðòàíèÿ
  • 13.
    ÄÐÅÂÍßß ÐÓÑÜ Äðåâíÿÿ ÐóñüÐÓÑÜ 12Îòå÷åñòâåííàÿ èñòîðèÿ â ñõåìàõ è òàáëèöàõ
  • 14.
    ÎÁÐÀÇÎÂÀÍÈÅ ÄÐÅÂÍÅÐÓÑÑÊÎÃÎ ÃÎÑÓÄÀÐÑÒÂÀ Êîíöåïöèèïðîèñõîæäåíèÿ ãîñóäàðñòâà Òåîðèè âîçíèêíîâåíèÿ ãîñóäàðñòâà ó âîñòî÷íûõ ñëàâÿí Ñëàâÿíñêàÿ (àíòèíîðìàííñêàÿ) Îòðèöàåòñÿ ðîëü âàðÿ- ãîâ â îáðàçîâàíèè äðåâíåðóññêîãî ãîñó- äàðñòâà è ïðèçâàíèå èõ íà êíÿæåíèå Öåíòðèñòñêàÿ Äðåâíåðóññêîå ãîñó- äàðñòâî âîçíèêëî êàê ðåçóëüòàò âíóò- ðåííåãî îáùåñòâåí- íîãî ðàçâèòèÿ ñëà- âÿí, íî è ïðè ó÷à- ñòèè âàðÿãîâ Íîðìàííñêàÿ Äðåâíåðóññêîå ãîñó- äàðñòâî ñîçäàíî íîð- ìàííàìè (âàðÿãàìè) ñ äîáðîâîëüíîãî ñîãëà- ñèÿ ñëàâÿí Ì.Â. Ëîìîíîñîâ Á.À. Ðûáàêîâ À.Ë. Þðãàíîâ Ë.À. Êàöâà è áîëüøèíñòâî ñîâðåìåííûõ èñòîðèêîâ Ã.Ç. Áàéåð À.Ë. Øëåöåð XVIII â. Ã.Ô. Ìèëëåð Í.Ì. Êàðàìçèí Ñ.Ì. Ñîëîâüåâ XIX â. Äðåâíÿÿ Ðóñü 13 Äîãîâîðíàÿ Ãîñóäàðñòâî âîçíèêàåò â ïåðèîä ðàñïàäà ðîäîâûõ îòíîøåíèé â ðåçóëüòàòå ïîÿâëåíèÿ èìóùåñòâåííîãî íåðàâåíñòâà, ñîöèàëüíîé äèôôåðåíöèàöèè, ñîáñòâåííîñòè íà îðóäèÿ òðóäà è çåìëþ è ò. ä. Ãîñóäàðñòâî âîçíèêàåò âñëåäñòâèå äîãîâîðà ìåæäó ëþäüìè Êëàññîâàÿ
  • 15.
    ÄÈÍÀÑÒÈß ÐÞÐÈÊÎÂÈ×ÅÉ (IX—XIIââ.) 14 Îòå÷åñòâåííàÿ èñòîðèÿ â ñõåìàõ è òàáëèöàõ Ðþðèê [Òðóâîð, Ñèíåóñ] 862—879 Îëåã 879—912 Èãîðü I 912—945 Îëüãà 945—969 Ñâÿòîñëàâ 964—972 ßðîïîëê 972—980 Îëåã óì. 977 Âëàäèìèð Ñâÿòîé 980—1015 Ñâÿòîïîëê I Îêàÿííûé 1015—1019 ßðîñëàâ Ìóäðûé 1019—1054 Áîðèñ óì. 1015 Ãëåá óì. 1015 Âëàäèìèð óì. 1032 Ñâÿòîñëàâ II 1073—1076 Èçÿñëàâ I 1054—1068, 1069—1073, 1077—1078 Âñåâîëîä I 1078—1093 Îëåã óì.1115 Äàâèä óì. 1123 Ñâÿòîïîëê II 1093—1113 Âëàäèìèð Ìîíîìàõ 1113—1125 Ðîñòèñëàâ Âîëîäàðü Âñåâîëîä II 1139—1146 Èãîðü II 1146 Èçÿñëàâ III 1157—1159 Ìñòèñëàâ Âåëèêèé 1125—1132 ßðîïîëê II 1132—1139 Þðèé Äîëãîðóêèé 1149—1150 1155—1157 Âëàäèìèð Èçÿñëàâ II 1146—1149 1150—1153 Ðîñòèñëàâ 1154—1156 1159—1167 Àíäðåé Áîãîëþáñêèé 1157—1174 Ìèõàèë 1175—1176 Âñåâîëîä Áîëüøîå Ãíåçäî 1176—1212 ßðîñëàâ Îñòðîìûñë óì. 1187 Ìñòèñëàâ II 1167—1169 ßðîñëàâ óì. 1175 Ðîìàí Ãàëèöêèé óì. 1205 Âàñèëüêî óì. 1271 Äàíèèë Ãàëèöêèé óì. 1264 Êîíñòàíòèí 1216—1218 Þðèé II 1212—1216 1218—1238 ßðîñëàâ II 1238—1246 Ñâÿòîñëàâ 1246—1247 Ìèõàèë 1247—1248 Àíäðåé 1248—1252 Âàñèëèé Êîñòðîìñêîé 1272—1276 ßðîñëàâ III 1263—1272 Àëåêñàíäð Íåâñêèé 1252—1263
  • 16.
    ÏÅÐÂÛÅ ÊÍßÇÜß Äðåâíÿÿ Ðóñü15 Ðþðèê 862—879 ãã. Ø Ðîäîíà÷àëüíèê äèíàñòèè Ðþðèêîâè÷åé, ïåðâûé äðåâíåðóññêèé êíÿçü Ø Ñîãëàñíî «Ïîâåñòè âðåìåííûõ ëåò» ïðèçâàí íà êíÿæåíèå â 862 ã. èëüìåíñêèìè ñëîâåíàìè, ÷óäüþ è âåñüþ èç âàðÿæñêèõ çåìåëü Ø Êíÿæèë â Ëàäîãå, à çàòåì âî âñåõ íîâãîðîäñêèõ çåìëÿõ Ø Ïåðåä ñìåðòüþ ïåðåäàë âëàñòü ñâîåìó ðîäñòâåííèêó (èëè ñòàðøåìó äðóæèííèêó) — Îëåãó Êíÿçü — âîæäü ïëåìåíè, ïðàâèòåëü ãîñóäàðñòâà èëè ãîñóäàðñòâåííîãî îáðàçîâàíèÿ Âîçìîæíàÿ ýòèìîëîãèÿ Îò áîëãàðñê. êíåç — ñòàðåéøèíà Îò ôèíñê. kuningas — êîðîëü
  • 17.
    16 Îòå÷åñòâåííàÿ èñòîðèÿâ ñõåìàõ è òàáëèöàõ Îëåã 879—912 ãã. Ø Â 882 ã. çàõâàòèë Êèåâ è ñäåëàë åãî ñòîëèöåé äðåâíåðóññêîãî ãîñóäàðñòâà, óáèâ êíÿæèâøèõ òàì ðàíåå Àñêîëüäà è Äèðà Ø Ïåðâûé ðåàëüíûé ïðàâèòåëü Äðåâíåé Ðóñè, îáúåäèíèâøèé çåìëè ñëàâÿíñêèõ ïëåìåí âäîëü ïóòè «èç âàðÿã â ãðåêè» Ø Ïîä÷èíèë ñåáå ïëåìåíà äðåâëÿí, ñåâåðÿí, ðàäèìè÷åé Ø Óïðî÷èë âíåøíåïîëèòè÷åñêîå ïîëîæåíèå.  907 ã. ñîâåðøèë óñïåøíûé âîåííûé ïîõîä íà Êîíñòàíòèíîïîëü, èòîãîì êîòîðîãî ñòàëè âûãîäíûå äëÿ Ðóñè äâà ìèðíûõ äîãîâîðà (907 è 911 ãã.)
  • 18.
    Ïåðâûå êíÿçüÿ Äðåâíÿÿ Ðóñü17 Èãîðü 912—945 ãã. Ø Îòðàçèë íàáåãè êî÷åâíèêîâ-ïå÷åíåãîâ Ø Ðàñøèðèë ãðàíèöû Äðåâíåðóññêîãî ãîñóäàðñòâà, ïîä÷èíèâ ïëåìÿ óëè÷åé è ñïîñîáñòâîâàâ îñíîâàíèþ ðóññêèõ ïîñåëåíèé íà Òàìàíñêîì ïîëóîñòðîâå Ø Îðãàíèçîâàë âîåííûå ïîõîäû ïðîòèâ Âèçàíòèè 1. 941 ã. — çàêîí÷èëñÿ íåóäà÷åé 2. 944 ã. — çàêëþ÷åíèå âçàèìîâûãîäíîãî äîãîâîðà Óáèò äðåâëÿíàìè ïðè ñáîðå äàíè â 945 ã.
  • 19.
    ÎËÜÃÀ È ÑÂßÒÎÑËÀ 18Îòå÷åñòâåííàÿ èñòîðèÿ â ñõåìàõ è òàáëèöàõ Îëüãà 945—969 ãã. Æåíà êíÿçÿ Èãîðÿ, ïðàâèëà íà Ðóñè â ïåðèîä ìàëîëåòñòâà ñûíà Ñâÿòîñëàâà è âî âðåìÿ åãî âîåííûõ ïîõîäîâ Ø Âïåðâûå óñòàíîâèëà ÷åòêèé ïîðÿäîê ñáîðà äàíè («ïîëþäüÿ») ïóòåì ââåäåíèÿ: 1) óðîêîâ — îïðåäåëåíèÿ òî÷íûõ ðàçìåðîâ äàíè 2) ïîãîñòîâ — óñòàíîâëåíèÿ ìåñò ñáîðà äàíè Ø Ïîåçäêà â Âèçàíòèþ (957) è ïðèíÿòèå õðèñòèàíñòâà ïîä èìåíåì Åëåíà Ø  968 ã. ðóêîâîäèëà çàùèòîé Êèåâà îò ïå÷åíåãîâ Ñâÿòîñëàâ 964—972 ãã. Ñûí êíÿçÿ Èãîðÿ è êíÿãèíè Îëüãè. Ïðàâèòåëü Äðåâíåðóññêîãî ãîñóäàðñòâà â 964—972 ãã. Èíèöèàòîð è ðóêîâîäèòåëü ìíîãèõ âîåííûõ ïîõîäîâ Ø Ðàçãðîì Õàçàðñêîãî êàãàíàòà è åãî ñòîëèöû Èòèëü (965) Ø Ïîõîäû â Äóíàéñêóþ Áóëãàðèþ. Âîéíû ñ Âèçàíòèåé (968—971) Ø Âîåííûå ñòîëêíîâåíèÿ ñ ïå÷åíåãàìè (969—972) Ø Äîãîâîð ìåæäó Ðóñüþ è Âèçàíòèåé (971) Óáèò ïå÷åíåãàìè âî âðåìÿ âîçâðàùåíèÿ èç Áîëãàðèè â 972 ã. íà äíåïðîâñêèõ ïîðîãàõ
  • 20.
    Äðåâíÿÿ Ðóñü 19 ÂëàäèìèðI Ñâÿòîé 980—1015 ãã. Ø 980 ã. — ßçû÷åñêàÿ ðåôîðìà êíÿçÿ Âëàäèìèðà. Ñîçäàíèå ïàíòåîíà ÿçû÷åñêèõ áîãîâ âî ãëàâå ñ Ïåðóíîì (ïîïûòêà ïðèñïîñîáèòü ÿçû÷åñòâî ê ïîòðåáíîñòÿì Äðåâíåðóññêîãî ãîñóäàðñòâà è îáùåñòâà çàâåðøèëàñü íåóäà÷åé) Ø 988 ã. — Ïðèíÿòèå õðèñòèàíñòâà Ø Ïåðâàÿ ìåæäîóñîáíàÿ âîéíà çà âëàñòü ìåæäó ñûíîâüÿìè Ñâÿòîñëàâà — Âëàäèìèðîì è ßðîïîëêîì (972—980). Ïîáåäà Âëàäèìèðà è óòâåðæäåíèå åãî íà êèåâñêîì ïðåñòîëå Ø Äàëüíåéøåå ðàñøèðåíèå è óêðåïëåíèå Äðåâíåðóññêîãî ãîñóäàðñòâà. Âëàäèìèð îêîí÷àòåëüíî ïîêîðèë ðàäèìè÷åé, ñîâåðøèë óñïåøíûå ïîõîäû ïðîòèâ ïîëÿêîâ, ïå÷åíåãîâ, îñíîâàë íîâûå êðåïîñòè-ãîðîäà (Ïåðåÿñëàâëü, Áåëãîðîä è äð.)
  • 21.
    ßÇÛ×ÅÑÒÂÎ ÍÀ ÐÓÑÈ 20Îòå÷åñòâåííàÿ èñòîðèÿ â ñõåìàõ è òàáëèöàõ ßçû÷åñòâî (îò öåðêîâíîñëàâÿíñêîãî ÿçûöû — íàðîäû, èíîçåìöû) — îáîçíà÷åíèå íåõðèñòèàíñêèõ ïîëèòåèñòè÷åñêèõ ðåëèãèé Ïîêëîíåíèå ÿâëåíèÿì ïðèðîäû Çåìëåäåëü÷åñêèå êóëüòû Êóëüò ïðåäêîâ ßçû÷åñêèå áîãè: Ïåðóí — áîã ìîëíèé, ãðîìà, âîéíû Äàæäüáîã — áîã ñîëíöà Ñòðèáîã — áîã âåòðà Ñâàðîã — áîã íåáà Âåëåñ — áîã ñêîòà Ìàêîøü (Ìîêîøü) — áîãèíÿ ïëîäîðîäèÿ è ïîêðîâèòåëüíèöà ðîäà
  • 22.
    ÏÐÈÍßÒÈÅ ÕÐÈÑÒÈÀÍÑÒÂÀ ÍÀÐÓÑÈ Äðåâíÿÿ Ðóñü 21 988 ã. ÏÐÈ×ÈÍÛ Íåîáõîäèìîñòü óêðåïëåíèÿ âëàñòè êèåâñêîãî êíÿçÿ è ïîòðåáíîñòü ãîñóäàðñòâåííîãî îáúåäèíåíèÿ íà íîâîé äóõîâíîé îñíîâå Íåîáõîäèìîñòü ïðèîáùåíèÿ Ðóñè ê îáùååâðîïåéñêèì ïîëèòè÷åñêèì ðåàëèÿì, äóõîâíûì è êóëüòóðíûì öåííîñòÿì Îïðàâäàíèå ñîöèàëüíîãî íåðàâåíñòâà ÇÍÀ×ÅÍÈÅ Óêðåïèëî ãîñóäàðñòâî è âëàñòü êíÿçÿ Ïîâûñèëî ìåæäóíàðîäíûé àâòîðèòåò Ðóñè Ñïîñîáñòâîâàëî ïðèîáùåíèþ Ðóñè ê âèçàíòèéñêîé êóëüòóðå
  • 23.
    22 Îòå÷åñòâåííàÿ èñòîðèÿâ ñõåìàõ è òàáëèöàõ Ñïîñîáñòâîâàë ðàñöâåòó Äðåâíåðóññêîãî ãîñóäàðñòâà Ïîêðîâèòåëü ïðîñâåùåíèÿ è ñòðîèòåëüñòâà Êíÿçü ßðîñëàâ Ìóäðûé 1019—1054 ãã. Åäèíîâëàñòíûé ïðàâèòåëü Äðåâíåé Ðóñè Óòâåðäèëñÿ íà êèåâñêîì ïðåñòîëå ïîñëå äëèòåëüíûõ óñîáèö ñî Ñâÿòîïîëêîì Îêàÿííûì è Ìñòèñëàâîì Òìóòàðàêàíñêèì Ñïîñîáñòâîâàë âîçâûøåíèþ ìåæäóíàðîäíîãî àâòîðèòåòà Ðóñè Óñòàíîâèë øèðîêèå äèíàñòè÷åñêèå ñâÿçè ñ åâðîïåéñêèìè è âèçàíòèéñêèì äâîðàìè Îñóùåñòâëÿë âîåííûå ïîõîäû Ø â Ïðèáàëòèêó Ø â ïîëüñêî- ëèòîâñêèå çåìëè Ø â Âèçàíòèþ Ø Îêîí÷àòåëüíî ðàçãðîìèë ïå÷åíåãîâ Îñíîâàòåëü ïèñüìåííîãî ðóññêîãî çàêîíîäàòåëüñòâà «Ðóññêàÿ Ïðàâäà» «Ïðàâäà ßðîñëàâà»
  • 24.
    Êèåâñêèé 1113—1125 ãã.êíÿçü Äðåâíÿÿ Ðóñü 23 Êíÿçü Âëàäèìèð II Ìîíîìàõ 1053—1125 ãã. Âíóê ßðîñëàâà Ìóäðîãî, ñûí êíÿçÿ Âñåâîëîäà I è Ìàðèè, äî÷åðè âèçàíòèéñêîãî èìïåðàòîðà Êîíñòàíòèíà IX Ìîíîìàõà. Êíÿçü cìîëåíñêèé (ñ 1067 ã.), ÷åðíèãîâñêèé (ñ 1078 ã.), ïåðåÿñëàâñêèé (ñ 1093 ã.), âåëèêèé êèåâñêèé êíÿçü (ñ 1113 ã.) Ø Îðãàíèçàòîð óñïåøíûõ ïîõîäîâ êíÿçåé ïðîòèâ ïîëîâöåâ (1103, 1109, 1111) Ø Âûñòóïàë çà åäèíñòâî Ðóñè. Ó÷àñòíèê ñúåçäà äðåâíåðóññêèõ êíÿçåé â Ëþáå÷å (1097), íà êîòîðîì ðàññìàòðèâàëèñü âîïðîñû ïàãóáíîñòè ìåæäîóñîáèö, ïðèíöèïû âëàäåíèÿ è íàñëåäîâàíèÿ êíÿæåñêèõ çåìåëü Ø Áûë ïðèçâàí íà êíÿæåíèå â Êèåâ âî âðåìÿ íàðîäíîãî âîññòàíèÿ 1113 ã., ïîñëåäîâàâøåãî ïîñëå ñìåðòè Ñâÿòîïîëêà II Ø Ââåë â äåéñòâèå «Óñòàâ Âëàäèìèðà Ìîíîìàõà», ãäå â çàêîíîäàòåëüíîì ïîðÿäêå áûëè îãðàíè÷åíû ïðîöåíòû ïî çàéìàì è çàïðåùåíî îáðàùàòü â ðàáñòâî îòðàáàòûâàþùèõ äîëã çàâèñèìûõ ëþäåé Ø Îñòàíîâèë ðàñïàä Äðåâíåðóññêîãî ãîñóäàðñòâà. Íàïèñàë «Ïîó÷åíèå», â êîòîðîì îñóæäàë óñîáèöû è ïðèçûâàë ê åäèíñòâó ðóññêîé çåìëè Ø Ïðîäîëæèë ïîëèòèêó óêðåïëåíèÿ äèíàñòè÷åñêèõ ñâÿçåé ñ Åâðîïîé. Áûë æåíàò íà äî÷åðè àíãëèéñêîãî êîðîëÿ Ãàðîëüäà II — Ãèòå
  • 25.
    ÊÎÍÖÅÏÖÈÈ ÑÎÖÈÀËÜÍÎ-ÝÊÎÍÎÌÈ×ÅÑÊÎÃÎ ÐÀÇÂÈÒÈß ÄÐÅÂÍÅÉÐÓÑÈ Ðàííåêëàññîâûé õà- ðàêòåð äðåâíåðóññêîãî îáùåñòâà, â ñîöèàëü- íîì ñòðîå êîòîðîãî ñî÷åòàëèñü ýëåìåíòû ðîäîâîãî, ðàáîâëà- äåëü÷åñêîãî è ôåî- äàëüíîãî îáùåñòâ Ðàííåôåîäàëüíûé õà- ðàêòåð äðåâíåðóññêîãî îáùåñòâà, êîòîðîå íà- õîäèëîñü íà íà÷àëü- íîé ñòàäèè ôåîäàëü- íîãî ðàçâèòèÿ Êíÿæåñêî-îáùèííûé õàðàêòåð äðåâíåðóñ- ñêîãî îáùåñòâà, êîòî- ðîå ñòîÿëî åùå íà ïî- ðîãå ôåîäàëüíîãî ñòðîÿ È.ß. Ôðîÿíîâ Á.Ä. Ãðåêîâ Á.À. Ðûáàêîâ À.À. Çèìèí Þ.Ã. Àëåêñååâ 24 Îòå÷åñòâåííàÿ èñòîðèÿ â ñõåìàõ è òàáëèöàõ
  • 26.
    ÑÎÖÈÀËÜÍÀß ÑÒÐÓÊÒÓÐÀ ÈÎÑÍÎÂÍÛÅ ÊÀÒÅÃÎÐÈÈ ÍÀÑÅËÅÍÈß Äðåâíÿÿ Ðóñü 25 Íèçøèå ñîñëîâèÿ Ñëóæèòåëè êóëüòà Âîëõâû (ÿçû÷åñêèå æðåöû äî ïðèíÿòèÿ õðèñòèàíñòâà) Ïðàâîñëàâíîå äóõîâåíñòâî (ñ X â.) Êíÿçüÿ Áîÿðå Äðóæèííèêè Âîæäè ïëåìåí, ïîçæå — ïðàâèòåëè ãîñóäàðñòâåííûõ îáðàçîâàíèé Ïîòîìêè ðîäîïëåìåí- íîé çíàòè, âîåâîäû, íàìåñòíèêè îáëàñòåé Âîèíû êíÿæåñêèõ îòðÿäîâ, âûïîëíÿâøèå òàêæå óïðàâëåí÷åñêèå ôóíêöèè Âûñøèå ñîñëîâèÿ Ëþäè Õîëîïû Ãðàäñêèå ëþäè Ñâîáîäíûå êðåñòüÿíå — îáùèííèêè. Çàâèñèìàÿ ñîöèàëüíàÿ ãðóïïà, áëèçêàÿ ê ðàáàì Ãîðîæàíå Êóïöû (ãîñòè) Ðåìåñëåí- íèêè Ñìåðäû Çàâèñèìûå êðåñòüÿíå, íåñøèå ïîâèííîñòü â îòíîøåíèè êíÿçÿ Çàêóïû Ñìåðäû, âçÿâøèå ó äðóãîãî çåìëåâëàäåëüöà ññóäó («êóïó») ñêîòîì, îðóäèÿìè òðóäà è ò.ï. è îáÿçàííûå îòðàáîòàòü ýòîò äîëã Ðÿäîâè÷è Ñìåðäû, çàêëþ÷èâøèå ñ çåìëåâëàäåëüöåì äîãîâîð («ðÿä») îá óñëîâèÿõ ñâîåé ðàáîòû íà íåãî Êóïöû (ãîñòè)×åëÿäü (âîåííî- ïëåííûå) Äîëãîâûå õîëîïû
  • 27.
    ÃÎÐÎÄÀ, ÒÎÐÃÎÂËß ÈÐÅÌÅÑËÎ ÄÐÅÂÍÅÉ ÐÓÑÈ èìåííûõ êíÿæåíèé (àäìèíèñòðàòèâíûå öåíòðû) îòïðàâëåíèÿ êóëüòîâ (ðîäîâûå öåíòðû ïëåìåí) ïåðåñå÷åíèÿ òîðãîâûõ ïóòåé (òîðãîâî-ðåìåñëåííûå öåíòðû) t Õ — íà÷àëî XI â. ≈ 30 ãîðîäîâ t ñåðåäèíà XI — ïåðâàÿ ïîëîâèíà XII â. ≈ 42 ãîðîäà t ñåðåäèíà XIII â. ≈ 62 ãîðîäà êóïöû («ãîñòè») Îñíîâíûå íàïðàâëåíèÿ Èçãîòîâëåíèå þâåëèðíûõ èçäåëèé è óêðàøåíèé Èçãîòîâëåíèå ïðåäìåòîâ áûòà Èçãîòîâëåíèå ïðåäìåòîâ èç ìåòàëëà (îðóæèå, êîëü÷óãè, çàìêè) 26 Îòå÷åñòâåííàÿ èñòîðèÿ â ñõåìàõ è òàáëèöàõ Ãîðîäà âîçíèêàþò êàê öåíòðû Òîðãîâëÿ íà Ðóñè Âûâîç (ýêñïîðò) t âîñê t ïóøíèíà t ëåí t êîæà t êîëü÷óãè, çàìêè t èçäåëèÿ èç êîñòè t ÷åëÿäü Ââîç (èìïîðò) t äîðîãèå òêàíè t îðóæèå t öåðêîâíàÿ óòâàðü t óêðàøåíèÿ t äðàãîöåííûå êàìíè t ïðÿíîñòè Ðåìåñëî íà Ðóñè áîëåå 60 ñïåöèàëüíîñòåé
  • 28.
    ÓÏÐÀÂËÅÍÈÅ ÄÐÅÂÍÅÐÓÑÑÊÈÌ ÃÎÑÓÄÀÐÑÒÂÎÌ Äðåâíÿÿ Ðóñü27 Âåëèêèé êíÿçü Ìåñòíûå (óäåëüíûå) êíÿçüÿ Ïîñàäíèêè Âîëîñòèòåëè Ñîâåò ïðè êíÿçå (Äóìà) Áîÿðå, âûñøåå äóõîâåíñòâî Âå÷å Äðóæèíà Ñòàðøàÿ (Çíàòü) Ìëàäøàÿ (Ãðèäè)
  • 29.
    Îñíîâíûå ðåäàêöèè, äîøåäøèå äîíàøåãî âðåìåíè Ñîñòàâíûå ÷àñòè Êðàòêàÿ Ïðàâäà XI â. I. Ïðàâäà ßðîñëàâà (ñòàòüè 1—18) II. Ïðàâäà ßðîñëàâè÷åé (ñòàòüè 19—41) Ïðîñòðàííàÿ Ïðàâäà XII â. I è II. Ïðàâäà ßðîñëàâà è ßðîñëàâè÷åé (ñòàòüè 1—52) III. Óñòàâ Âëàäèìèðà Ìîíîìàõà (ñòàòüè 53—121) Ñîêðàùåííàÿ Ïðàâäà XV â. Âêëþ÷àåò ðÿä ïåðåðàáîòàííûõ ñòàòåé Ïðîñòðàííîé Ïðàâäû 28 Îòå÷åñòâåííàÿ èñòîðèÿ â ñõåìàõ è òàáëèöàõ ÐÓÑÑÊÀß ÏÐÀÂÄÀ ïåðâûé äðåâíèé ïèñüìåííûé ñâîä ðóññêèõ çàêîíîâ
  • 30.
    Äðåâíÿÿ Ðóñü 29 ÊíÿçüÌñòèñëàâ Âåëèêèé 1076—1132 ãã. Ñûí Âëàäèìèðà Ìîíîìàõà Êíÿçü íîâãîðîäñêèé (1088—1093 è 1095—1117), ðîñòîâñêèé è ñìîëåíñêèé (1093—1095), áåëãîðîäñêèé è ñîïðàâèòåëü Âëàäèìèðà Ìîíîìàõà â Êèåâå (1117—1125) Ø Ïðîäîëæèë ïîëèòèêó Âëàäèìèðà Ìîíîìàõà è ñóìåë ñîõðàíèòü åäèíîå Äðåâíåðóññêîå ãîñóäàðñòâî Ø Ïðèñîåäèíèë ê Êèåâó Ïîëîöêîå êíÿæåñòâî (1127) Ø Îðãàíèçîâàë óñïåøíûå ïîõîäû ïðîòèâ ïîëîâöåâ, Ëèòâû, ÷åðíèãîâñêîãî êíÿçÿ Îëåãà Ñâÿòîñëàâîâè÷à Ïîñëå åãî ñìåðòè ïî÷òè âñå êíÿæåñòâà âûõîäÿò èç ïîâèíîâåíèÿ Êèåâó. Íàñòóïàåò óäåëüíûé ïåðèîä — ôåîäàëüíàÿ ðàçäðîáëåííîñòü Êèåâñêèé 1125—1132 ãã. êíÿçü
  • 31.
    ÓÄÅËÜÍÀß ÐÓÑÜ Óäåëüíàÿ ÐóñüÐÀÇÄÐÎÁËÅÍÍÎÑÒÜÍÀ ÐÓÑÈ Â XII—XIII ââ. Ïðè÷èíû 1. Ñîõðàíåíèå çíà÷èòåëüíîé ïëåìåííîé ðàçîáùåííîñòè â óñëîâèÿõ ãîñïîäñòâà íàòóðàëüíîãî õîçÿéñòâà 2. Ðàçâèòèå ôåîäàëüíîé ñîáñòâåííîñòè íà çåìëþ è ðîñò óäåëüíîãî, êíÿæåñêî-áîÿðñêîãî çåìëåâëàäåíèÿ 3. Áîðüáà çà âëàñòü ìåæäó êíÿçüÿìè è ôåîäàëüíûå ìåæäîóñîáèöû 4. Ïîñòîÿííûå íàáåãè êî÷åâíèêîâ è îòòîê íàñåëåíèÿ íà ñåâåðî-âîñòîê Ðóñè 5. Óïàäîê òîðãîâëè ïî Äíåïðó âñëåäñòâèå ïîëîâåöêîé îïàñíîñòè è óòðàòû Âèçàíòèåé ãëàâåíñòâóþùåé ðîëè â ìåæäóíàðîäíîé òîðãîâëå 6. Ðîñò ãîðîäîâ êàê öåíòðîâ óäåëüíûõ çåìåëü Ïîñëåäñòâèÿ Ïîçèòèâíûå Íåãàòèâíûå ü Ðàñöâåò ãîðîäîâ â óäåëüíûõ çåìëÿõ ü Ñêëàäûâàíèå íîâûõ òîðãîâûõ ïóòåé ü Ïîñòîÿííûå êíÿæåñêèå óñî- áèöû ü Äðîáëåíèå êíÿæåñòâ ìåæäó íàñëåäíèêàìè ü Îñëàáëåíèå îáîðîíîñïîñîá- íîñòè è ïîëèòè÷åñêîãî åäèí- ñòâà ñòðàíû 30 Îòå÷åñòâåííàÿ èñòîðèÿ â ñõåìàõ è òàáëèöàõ Ïîíÿòèå Èñòîðè÷åñêèé ïåðèîä â èñòîðèè Ðóñè, êîòîðûé õàðàêòåðèçóåòñÿ òåì, ÷òî, ôîðìàëüíî íàõîäÿñü â ñîñòàâå Êèåâñêîé Ðóñè, óäåëüíûå êíÿæåñòâà ïîñòåïåííî îáîñîáëÿþòñÿ îò Êèåâà
  • 32.
    Îáîñîáëåíèå îò Êèåâà â30-å ãã. XII â. Òåððèòîðèÿ: Ñåâåðî-Âîñòî÷íàÿ Ðóñü, ìåæäóðå÷üå Îêè è Âîëãè Îñîáåííîñòè ðàçâèòèÿ â óäåëüíûé ïåðèîä: 1. Îñíîâíàÿ îòðàñëü õîçÿéñòâà — çåìëåäåëèå âñëåäñòâèå îáèëèÿ ïëîäîðîäíûõ çåìåëü, ïðèãîäíûõ äëÿ ðàñòåíèåâîäñòâà 2. Ïîñòîÿííûé ïðèòîê íàñåëåíèÿ â ïîèñêàõ çàùèòû îò íàáåãîâ êî÷åâíèêîâ è íîðìàëüíûõ óñëîâèé äëÿ âåäåíèÿ õîçÿéñòâà 3. Íàõîæäåíèå êíÿæåñòâà íà ïåðåñå÷åíèè òîðãîâûõ ïóòåé (ïî ðåêàì Îêà è Âîëãà) 4. Áûñòðûé ðîñò ãîðîäîâ ñòàðûå: Âëàäèìèð, Ñóçäàëü, Ðîñòîâ, ßðîñëàâëü íîâûå: Ìîñêâà, Êîñòðîìà, Ïåðåÿñëàâëü-Çàëåññêèé 5. Íåîãðàíè÷åííûé õàðàêòåð âëàñòè êíÿçÿ è ñîâåùàòåëüíûå ïîëíîìî÷èÿ âå÷å Ïîëèòè÷åñêàÿ ñòðóêòóðà Êíÿçü Âå÷å Áîÿðñòâî Óäåë (óäåëüíîå êíÿæåñòâî) — êíÿæåñêîå âëàäåíèå íà Ðóñè â XII—XVI ââ. Óäåëüíàÿ Ðóñü 31 ÂËÀÄÈÌÈÐÎ-ÑÓÇÄÀËÜÑÊÎÅ ÊÍ߯ÅÑÒÂÎ
  • 33.
    Âëàäèìèðî-Ñóçäàëüñêîå êíÿæåñòâî 32 Îòå÷åñòâåííàÿèñòîðèÿ â ñõåìàõ è òàáëèöàõ Êíÿçü Þðèé Äîëãîðóêèé 1125—1157 ãã. Êíÿçü ðîñòîâñêèé, ñóçäàëüñêèé, ïåðåÿñëàâñêèé è âåëèêèé êíÿçü êèåâñêèé. Øåñòîé ñûí Âëàäèìèðà Ìîíîìàõà l Ïðè æèçíè Âëàäèìèðà Ìîíîìàõà ïðàâèë â Ðîñòîâî-Ñóçäàëüñêîé çåìëå l Ñòàâ ñàìîñòîÿòåëüíûì, â 1125 ã. ïåðåíåñ ñòîëèöó èç Ðîñòîâà â Ñóçäàëü l Ïðîâîäèë àêòèâíóþ ãðàäîñòðîèòåëüíóþ ïîëèòèêó. Îñíîâàòåëü ãîðîäîâ Þðüåâà- Ïîëüñêîãî, Äìèòðîâà, Çâåíèãîðîäà è äð. l Ñ÷èòàåòñÿ îñíîâàòåëåì Ìîñêâû (1147), ò.ê. â ñâÿçè ñ åãî èìåíåì «Ìîñêîâ» âïåðâûå óïîìèíàåòñÿ â ëåòîïèñè l Áîðîëñÿ çà êèåâñêèé ïðåñòîë è çàíèìàë åãî ñ 1149 ïî 1151 ã. è ñ 1155 ïî 1157 ã. Îòðàâëåí, ïî ïðåäàíèþ, êèåâñêèìè áîÿðàìè
  • 34.
    Óäåëüíàÿ Ðóñü 33 ÊíÿçüÀíäðåé Áîãîëþáñêèé 1157—1174 ãã. Ñûí Þðèÿ Äîëãîðóêîãî l Áûë ïîñàæåí îòöîì â Âûøãîðîäå áëèç Êèåâà, íî â 1155 ã. ñàìîâîëüíî ïîêèíóë åãî è îáîñíîâàëñÿ âî Âëàäèìèðå, ãäå â 1157 ã. ñòàë «ñàìîâëàñòöåì» Âëàäèìèðî- Ñóçäàëüñêîé çåìëè l Ñòðåìèëñÿ ê öåðêîâíîé ñàìîñòîÿòåëüíîñòè îò Êèåâà, ïûòàëñÿ ñîçäàòü îáîñîáëåííóþ Âëàäèìèðñêóþ ìåòðîïîëèþ, íî Êîíñòàíòèíîïîëüñêàÿ öåðêîâü ýòîãî íå ðàçðåøèëà l Ñïîñîáñòâîâàë ñòàíîâëåíèþ íà Ðóñè êóëüòà Áîãîðîäèöû.  1155 ã. âûâåç èç Âûøãîðîäà èêîíó, íûíå ýòî îäíà èç ñàìûõ ïî÷èòàåìûõ ñâÿòûíü — Âëàäèìèðñêàÿ èêîíà Áîæüåé Ìàòåðè l Ðàçâèâàë èäåþ áîãîèçáðàííîñòè Âëàäèìèðî- Ñóçäàëüñêîãî êíÿæåñòâà è áûë èíèöèàòîðîì óñòàíîâëåíèÿ íîâûõ ïðàçäíèêîâ — Ñïàñà (1 àâãóñòà) è Ïîêðîâà (1 îêòÿáðÿ) l Ñ 1159 ã. áîðîëñÿ çà ïîä÷èíåíèå Íîâãîðîäà, âîåâàë ñ âîëæñêèìè áóëãàðàìè l  1169—1170 ãã. âðåìåííî ïîä÷èíèë ñâîåé âëàñòè Êèåâ è Íîâãîðîä l Ïîëèòèêà Àíäðåÿ Áîãîëþáñêîãî, åãî æåëàíèå ïðàâèòü åäèíîëè÷íî âîøëè â ïðîòèâîðå÷èå ñ âå÷åâûìè è áîÿðñêèìè òðàäèöèÿìè.  ðåçóëüòàòå ïðîòèâ íåãî áûë ñîñòàâëåí çàãîâîð, è â 1174 ã. îí áûë óáèò ñâîèì áëèæàéøåì îêðóæåíèåì
  • 35.
    34 Îòå÷åñòâåííàÿ èñòîðèÿâ ñõåìàõ è òàáëèöàõ Êíÿçü Âñåâîëîä III Áîëüøîå Ãíåçäî 1176—1212 ãã. Ñûí Þðèÿ Äîëãîðóêîãî Íàèâûñøèé ðàñöâåò êíÿæåñòâà Áîëüøàÿ ñåìüÿ — 12 äåòåé l Ïðîäîëæèë ïîëèòèêó áðàòà, êíÿçÿ Àíäðåÿ Áîãîëþáñêîãî, óïðî÷èâ ñâîþ âëàñòü â êíÿæåñòâå è àâòîðèòåò íà Ðóñè l Ïîä÷èíèë ñâîåé âëàñòè Êèåâ, ×åðíèãîâ, Ðÿçàíü, Íîâãîðîä l Óñïåøíî âîåâàë ñ Âîëæñêîé Áóëãàðèåé è ïîëîâöàìè l Ïðè íåì óòâåðäèëñÿ òèòóë Âåëèêîãî êíÿçÿ Âëàäèìèðñêîãî, êîòîðûé ïîñòåïåííî ïîëó÷àåò ïðèçíàíèå âî âñåõ ðóññêèõ êíÿæåñòâàõ, ÷òî íàøëî îòðàæåíèå â ëåòîïèñÿõ l Ñòðîèòåëüñòâî âî Âëàäèìèðå Äìèòðîâñêîãî ñîáîðà è ïåðåñòðîéêà Óñïåíñêîãî õðàìà
  • 36.
    ÂÅËÈÊÈÉ ÍÎÂÃÎÐÎÄ (Íîâãîðîäñêàÿ áîÿðñêàÿðåñïóáëèêà) Îñîáåííîñòè ðàçâèòèÿ â óäåëüíûé ïåðèîä 1. Âåäóùèå îòðàñëè õîçÿéñòâà — òîðãîâëÿ è ðåìåñëî 2. Ñëàáîå ðàçâèòèå çåìëåäåëèÿ âñëåäñòâèå ìàëîãî ïëîäîðîäèÿ çåìëè è ñóðîâûõ êëèìàòè÷åñêèõ óñëîâèé 3. Øèðîêîå ðàçâèòèå ïðîìûñëîâ: ñîëåâàðåíèå, ïðîèçâîäñòâî æåëåçà, ðûáîëîâñòâî, îõîòà è ïð. 4. Îñîáîå ãîñóäàðñòâåííî-óïðàâëåí÷åñêîå óñòðîéñòâî Íîâãîðîäà Óïðàâëåíèå Íîâãîðîäñêîé áîÿðñêîé ðåñïóáëèêîé ïðèãëàøàëñÿ (ðåçèäåíöèÿ âíå ãîðîäà) Ôóíêöèè: 1. Çàùèòà Íîâãîðîäà îò âíåøíèõ âðàãîâ 2. Ñáîð äàíè Ïîëèòè÷åñêàÿ ñòðóêòóðà Âå÷å Áîÿðñòâî Êíÿçü Óäåëüíàÿ Ðóñü 35 Êíÿçü ÂÅ×Å Âëàäûêà Ãëàâà íîâãîðîäñêîé åïàðõèèÁîÿðñêèé ñîâåò, èëè «300 çîëîòûõ ïîÿñîâ» Ïîñàäíèê ãëàâà ãîðîäñêîãî óïðàâëåíèÿ Òûñÿöêèé ãëàâà ãîðîäñêîãî îïîë÷åíèÿ Ñòàðîñòû ÷àñòåé (êîíöîâ) ãîðîäà Ñòàðîñòû óëèö ⎫ ⎬ ⎭
  • 37.
    Òåððèòîðèÿ Þãî-Çàïàäà Ðóñè,ìåæäó ðåêàìè Äíåïð è Ïðóò, Êàðïàòû Îñîáåííîñòè ðàçâèòèÿ â óäåëüíûé ïåðèîä 1. Ñòàðèííûé öåíòð ðóññêîãî ïàøåííîãî çåìëåäåëèÿ âñëåäñòâèå îáèëèÿ ïëîäîðîäíûõ çåìåëü 2. Ðàçâèòèå äîáû÷è êàìåííîé ñîëè è ñíàáæåíèå eþ òåððèòîðèè Þæíîé Ðóñè 3. Àêòèâíàÿ âíåøíÿÿ òîðãîâëÿ è ðîñò ãîðîäîâ 4. Áîðüáà çà ãëàâåíñòâî íà Ðóñè è îâëàäåíèå Êèåâîì Ïîëèòè÷åñêàÿ ñòðóêòóðà Âå÷å Êíÿçü Áîÿðñòâî 36 Îòå÷åñòâåííàÿ èñòîðèÿ â ñõåìàõ è òàáëèöàõ ÃÀËÈÖÊÎ-ÂÎËÛÍÑÊÎÅ ÊÍ߯ÅÑÒÂÎ
  • 38.
    ÁÎÐÜÁÀ ÐÓÑÈ ÑÈÍÎÇÅÌÍÛÌÈ ÍÀØÅÑÒÂÈßÌÈ Â XIII â. Áîðüáà ñåâåðî-çàïàäíîé Ðóñè ñ àãðåññèåé øâåäñêèõ è íåìåöêèõ ðûöàðåé â XIII â. Óäåëüíàÿ Ðóñü 37 ØÂÅÖÈß Âòîðæåíèå ôëîòà è âûñàäêà íà áåðåã â óñòüå ðåêè Íåâû ñ öåëüþ çàõâàòà ãîðîäîâ Ñòàðàÿ Ëàäîãà è Íîâãîðîä Öåëè 1. Çàõâàò íîâûõ çåìåëü 2. Ðàñïðîñòðàíåíèå êàòîëè÷åñòâà ÏÐÈÁÀËÒÈÊÀ Îñíîâàíèå ðûöàðñêèõ îðäåíîâ êðåñòîíîñöåâ 15 èþëÿ 1240 ã. ÍÅÂÑÊÀß ÁÈÒÂÀ Íåîæèäàííîå è ìîëíèåíîñíîå íàïàäåíèå íà øâåäîâ íîâãîðîäñêèõ âîèíîâ âî ãëàâå ñ êíÿçåì Àëåêñàíäðîì ßðîñëàâè÷åì Îðäåí ìå÷åíîñöåâ 1202 ã. Òåâòîíñêèé îðäåí 1226 ã. îáúåäèíÿþòñÿ â Ëèâîíñêèé îðäåí 1237 ã. 1240 ã. 1241 ã. ⎫ ⎬ ⎭ Çàõâàò Ïñêîâñêîé çåìëè Óñïåøíûå áîåâûå äåéñòâèÿ ðóññêèõ âîèíîâ âî ãëàâå ñ êíÿçåì Àëåêñàíäðîì Íåâñêèì 1242 ã. 5 àïðåëÿ Áèòâà íà ×óäñêîì îçåðå (Ëåäîâîå ïîáîèùå) Ðàçãðîì ðûöàðåé è ïðåäîòâðàùåíèå èõ äàëüíåéøåãî âòîðæåíèÿ â ðóññêèå çåìëè Áëåñòÿùàÿ ïîáåäà ðóññêèõ äðóæèí ⎫ ⎬ ⎭ ⎫ ⎬ ⎭
  • 39.
    (31 ìàÿ 1223ã.) l Êîòÿí — õàí çà- ïàäíîãî ñîþçà ïîëîâåöêèõ ïëå- ìåí l Þðèé Êîí÷àêî- âè÷ — õàí êàâ- êàçñêèõ ïîëîâ- öåâ l Ìñòèñëàâ Ðîìàíîâè÷ Êèåâñêèé l Ìñòèñëàâ Ñâÿòîñëàâîâè÷ ×åðíèãîâñêèé l Ìñòèñëàâ Ìñòèñëàâîâè÷ Óäàòíûé (Óäà÷ëèâûé) l Äàíèëî Ðîìàíîâè÷ Âîëûíñêèé Îòñóòñòâèå åäèíñòâà â ðóññêîì ñòàíå è íåñîãëàñîâàííîñòü âî âðåìÿ áîåâûõ äåéñòâèé 38 Îòå÷åñòâåííàÿ èñòîðèÿ â ñõåìàõ è òàáëèöàõ ÌÎÍÃÎËÛ È ÐÓÑÑÊÈÅ: ÏÅÐÂÎÅ ÑÒÎËÊÍÎÂÅÍÈÅ Áèòâà íà ðåêå Êàëêå Êîàëèöèÿ ïîëîâåöêèõ è ðóññêèõ õàíîâ êíÿçåé Ïîðàæåíèå ðóññêî- ïîëîâåöêèõ âîéñê Ìîíãîëüñêèå îòðÿäû âî ãëàâå ñ Äæåáå è Ñóäåáååì ⎫ ⎬ ⎭ Ïîãèáëè
  • 40.
    ÇÀÂÎÅÂÀÍÈß ÌÎÍÃÎËÎÂ Ê 1211ã. Çåìëè áóðÿò, ÿêóòîâ, êèðãèçîâ, óéãóð Ê 1217 ã. Ñåâåðíûé Êèòàé 1219—1221 ãã. Ñðåäíÿÿ Àçèÿ 1220—1222 ãã. Çàêàâêàçüå 1223 ã. Âòîðæåíèå â ïîëîâåöêèå ñòåïè è áèòâà íà ðåêå Êàëêå 1236 ã. Âîëæñêàÿ Áóëãàðèÿ 1237—1240 ãã. Ðóññêèå çåìëè 1241—1242 ãã. Ïîïûòêà âòîðæåíèÿ â Âîñòî÷íóþ Åâðîïó (Ïîëüøà, Âåíãðèÿ, ×åõèÿ) Óäåëüíàÿ Ðóñü 39 1206 ã. — îáðàçîâàíèå ìîíãîëüñêîãî âîåííî-êî÷åâîãî ãîñóäàðñòâà, îðèåíòèðîâàííîãî íà àãðåññèþ è çàõâàò ÷óæèõ òåððèòîðèé, âî ãëàâå ñ Òåìó÷æèíîì (×èíãèñõàíîì)
  • 41.
    1237 ã. ÐàçîðåíèåÐÿçàíñêîãî êíÿæåñòâà 1238 ã. Âòîðæåíèå âî Âëàäèìèðî-Ñóçäàëüñêîå êíÿæåñòâî 4 ìàðòà 1238 ã. Ñðàæåíèå íà ðåêå Ñèòè. Ïîðàæåíèå äðóæèí Âëàäèìèðñêîãî, Ðîñòîâñêîãî, ßðîñëàâñêîãî, Óãëè÷åñêîãî è Þðüåâñêîãî êíÿæåñòâ 1239 ã. Ïîêîðåíèå ×åðíèãîâñêîãî è Ïåðåÿñëàâñêîãî êíÿæåñòâ 1240 ã. Çàõâàò Êèåâñêîãî êíÿæåñòâà 6 äåê. 1240 ã. Ðàçîðåíèå Êèåâà 1241 ã. Ðàçðóøèòåëüíûé ïîõîä ÷åðåç Ãàëèöêîå è Âîëûíñêîå êíÿæåñòâà â Âîñòî÷íóþ Åâðîïó è íà Áàëêàíû Ýòèìîëîãèÿ Õàí [ñ òóðåöê., óéãóðñê. — èìïåðàòîð] Îðäà [îò äðåâíåðóññê. — ñòàí, êî÷åâüå, îò ìîíãîëüñê. — äâîð, ëàãåðü, ñòîÿíêà] — îáúåäèíåíèå êî÷åâûõ ïëåìåí ïîä âëàñòüþ õàíà 40 Îòå÷åñòâåííàÿ èñòîðèÿ â ñõåìàõ è òàáëèöàõ ÏÎÕÎÄ ÕÀÍÀ ÁÀÒÛß ÍÀ ÐÓÑÜ 1243 ã. — îáðàçîâàíèå íà þãî-âîñòî÷íûõ ãðàíèöàõ Ðóñè íîâîãî ãîñóäàðñòâà — Çîëîòàÿ Îðäà
  • 42.
    ÏÐÈ×ÈÍÛ ÏÎÐÀÆÅÍÈß ÐÓÑÈ ÁÎÐÜÁÅ Ñ ÌÎÍÃÎËÀÌÈ Óäåëüíàÿ Ðóñü 41 Ðàçäðîáëåííîñòü è îòñóòñòâèå åäèíñòâà â ðóññêèõ çåìëÿõ Âûñîêîå âîèíñêîå ìàñòåðñòâî ìîíãîëüñêîãî âîéñêà Ñòîëêíîâåíèå äâóõ ðàçëè÷íûõ òèïîâ ñîöèàëüíî-ýêîíîìè÷åñêîé è ïîëèòè÷åñêîé îðãàíèçàöèè îáùåñòâà 1-é òèï Ðóñü — îñåäëî- çåìëåäåëü÷åñêèé 2-é òèï Ìîíãîëèÿ — êî÷åâîé, îðèåíòèðîâàííûé íà âîåííûå çàâîåâàíèÿ
  • 43.
    ÌÎÍÃÎËÎ-ÒÀÒÀÐÑÊÎÅ ÈÃÎ ÍÀÐÓÑÈ ÑÓÆÄÅÍÈß È ÎÖÅÍÊÈ (îñíîâíûå òî÷êè çðåíèÿ íà âçàèìîîòíîøåíèÿ Ðóñè è Îðäû â XIII—XV ââ.) 1. Òðàäèöèîííàÿ îöåíêà Ñ.Ì. Ñîëîâüåâ, Â.Î. Êëþ÷åâñêèé è áîëüøèíñòâî èñòîðèêîâ Èãî äëÿ Ðóñè ÿâëÿëîñü áîëüøèì áåäñòâèåì ñèñòåìà îòíîøåíèé çàâîåâàòåëåé (ìîíãîëîâ) è ïîáåæäåííûõ (ðóññêèõ), êîòîðàÿ ïðîÿâëÿëàñü â: — Ïîëèòè÷åñêîé çàâèñèìîñòè ðóññêèõ êíÿçåé îò õàíîâ Çîëîòîé Îðäû, âûäàâàâøèõ ÿðëûêè (ãðàìîòû) íà ïðàâî êíÿæåíèÿ â ðóññêèõ çåìëÿõ; — Äàííè÷åñêîé çàâèñèìîñòè Ðóñè îò Îðäû. Ðóñü ïëàòèëà äàíü Çîëîòîé Îðäå (ïðîäîâîëüñòâèåì, ðåìåñëåííûìè èçäåëèÿìè, äåíüãàìè, íeâoëüíèêaìè); — Âîåííîé çàâèñèìîñòè — ïîñòàâêîé ðóññêèõ âîèíîâ â ìîíãîëüñêèå âîéñêà. 2. Èãà íà Ðóñè íå áûëî Ë.Í. Ãóìèëåâ Ñóùåñòâîâàëè ñîþçíè÷åñêèå îòíîøåíèÿ Ðóñè è Îðäû. Ðóñü ïëàòèëà äàíü, à Îðäà âçàìåí îáåñïå÷èâàëà áåçîïàñíîñòü ðóññêèõ êíÿæåñòâ. 3. Òàê íàçûâàåìîå ìîíãîëî-òàòàðñêîå èãî — ïðîñòî ñïåöèôè÷åñêèé ïåðèîä â èñòîðèè ðóññêîãî ãîñóäàðñòâà, êîãäà ñòðàíà áûëà ðàçäåëåíà íà äâå ÷àñòè Ìèðíîå ãðàæäàíñêîå íàñåëåíèå, óïðàâëÿåìîå êíÿçüÿìè Ïîñòîÿííîå ðåãóëÿðíîå âîéñêî — Îðäà ïîä óïðàâëåíèåì âîåíà÷àëüíèêîâ — õàíîâ Ýòîé òî÷êè çðåíèÿ ïðèäåðæèâàþòñÿ À. Ôîìåíêî, Â. Íîñîâñêèé. Ýòèìîëîãèÿ Èãî Îò äðåâíåñëàâ. — èãî ÿðìî Îò ëàò. jugum — ãíåò, ãîñïîäñòâî, âëàäû÷åñòâî, ñâÿçàííîå ñ ïîðàáîùåíèåì, óãíåòåíèåì ïîäâëàñòíûõ ëþäåé 42 Îòå÷åñòâåííàÿ èñòîðèÿ â ñõåìàõ è òàáëèöàõ
  • 44.
    ÌÎÑÊÎÂÑÊÀß ÐÓÑÜ Ìîñêîâñêàÿ ÐóñüÌîñêîâñêèåóäåëüíûå êíÿçüÿ è öàðè â XIII — íà÷àëå XVII ââ. Äàíèèë Àëåêñàíäðîâè÷ (1276—1303) Þðèé (1303—1325) Èâàí I Êàëèòà (1325—1340) Ñåìåí Ãîðäûé (1340—1353) Èâàí II Êðàñíûé (1353—1359) | Äìèòðèé Äîíñêîé (1359—1389) Âàñèëèé I (1389—1425) Þðèé Çâåíèãîðîäñêèé (1433—1434) Âàñèëèé II Òåìíûé (1425—1462) Âàñèëèé Êîñîé (1434) Äìèòðèé Øåìÿêà (1446—1447) Èâàí III (1462—1505) Âàñèëèé III (1505—1533) Èâàí IV Ãðîçíûé (1533—1584) Ôåäîð (1584—1598) Áîðèñ Ãîäóíîâ (1598—1605) Ëæåäìèòðèé I (1605—1606) Âàñèëèé Øóéñêèé (1606—1610) Ñåìèáîÿðùèíà (1610—1613) Ìîñêîâñêàÿ Ðóñü 43 Äèíàñòè÷åñêàÿ âîéíà çà âëàñòü
  • 45.
    ÎÁÐÀÇÎÂÀÍÈÅ ÌÎÑÊÎÂÑÊÎÃÎ ÊÍ߯ÅÑÒÂÀ 1147ã. — ïåðâîå óïîìèíàíèå â ëåòîïèñè î Ìîñêâå Âëàäèìèðî-Ñóçäàëüñêîå êíÿæåñòâî Ïåðåÿñëàâñêîå êíÿæåñòâî ÌÎÑÊÎÂÑÊÎÅ ÊÍ߯ÅÑÒÂÎ ñ 1276 ã. Òâåðñêîå êíÿæåñòâî ñ 1246 ã. 44 Îòå÷åñòâåííàÿ èñòîðèÿ â ñõåìàõ è òàáëèöàõ
  • 46.
    ÍÀ×ÀËÎ ÎÁÚÅÄÈÍÈÒÅËÜÍÛÕ ÏÐÎÖÅÑÑΠÂÐÓÑÑÊÈÕ ÇÅÌËßÕ Â XIII—XIV ââ. Ïîëèöåíòðè÷åñêèé õàðàêòåð îáúåäèíèòåëüíûõ ïðîöåññîâ, êîãäà ëèäåðàìè ñòàíîâèëèñü: — Ãàëèöêî-Âîëûíñêàÿ Ðóñü — Âåëèêîå êíÿæåñòâî Ëèòîâñêîå — Òâåðñêîå êíÿæåñòâî — Ìîñêîâñêîå êíÿæåñòâî Ïðè÷èíû âîçâûøåíèÿ Ìîñêîâñêàÿ Ðóñü 45 Ëè÷íîñòíûå êà÷åñòâà ïåðâûõ ìîñêîâñêèõ êíÿçåé, èõ ïîëèòè÷åñêàÿ ëîâêîñòü è õîçÿéñòâåííîñòü Âûãîäíîå ãåîãðàôè÷åñêîå ïîëîæåíèå, äàâàâøåå ïðèòîê íàñåëåíèÿ, òîðãîâûå è ïîëèòè÷åñêèå ïðåèìóùåñòâà Ïîääåðæêà ñî ñòîðîíû Öåðêâè è ïåðåíîñ öåíòðà ðóññêîãî ïðàâîñëàâèÿ èç Âëàäèìèðà â Ìîñêâó Ñîäåéñòâèå Îðäû Âûäà÷à ÿðëûêîâ íà êíÿæåíèå
  • 47.
    ÁÎÐÜÁÀ ÇÀ ËÈÄÅÐÑÒÂΠÏÎËÈÒÈ×ÅÑÊÎÌ ÎÁÚÅÄÈÍÅÍÈÈ ÑÅÂÅÐÎ-ÂÎÑÒÎ×ÍÎÉ ÐÓÑÈ 46 Îòå÷åñòâåííàÿ èñòîðèÿ â ñõåìàõ è òàáëèöàõ Ñîïåðíè÷åñòâî Ìîñêâà Òâåðü Îñíîâíûå íàïðàâëåíèÿ Îòíîøåíèÿ ñ Öåðêîâüþ Áîðüáà çà âåëèêîå êíÿæåíèå Îòíîøåíèÿ ñ Îðäîé Ïîëèòè÷åñêèé ñîþç Ìîñêâû è Ïðàâîñëàâíîé öåðêâè Äâà ýòàïà 1. Ìîñêâà — âåðíûé äàííèê Îðäû (Äàíèèë, Þðèé, Èâàí I, Ñåìåí, Èâàí II) 2. Ìîñêâà âî ãëàâå íàöèîíàëüíî- îñâîáîäèòåëüíîé áîðüáû (Äìèòðèé, Èâàí III)
  • 48.
    Ìîñêîâñêèå êíÿçüÿÌÎÑÊÎÂÑÊÈÅ ÊÍßÇÜß Íà÷àëîðàñøèðåíèÿ òåððèòîðèè Ìîñêîâñêîãî êíÿæåñòâà Êîëîìíà (1300) Ïåðåÿñëàâñêîå êíÿæåñòâî (1302) Îñíîâàë â 1298—1300 ãã. Äàíèëîâ ìîíàñòûðü, ãäå è áûë ïîõîðîíåí. Ìîñêîâñêàÿ Ðóñü 47 Äàíèèë Àëåêñàíäðîâè÷ 1276—1303 ãã. Ïåðâûé ìîñêîâñêèé êíÿçü, ìëàäøèé ñûí Àëåêñàíäðà Íåâñêîãî Ïðèñîåäèíåíî ê Ìîñêâå
  • 49.
    Ìîæàéñê (1303)  1314ã. ïðèãëàøåí íà êíÿæåíèå â Íîâãîðîäå 48 Îòå÷åñòâåííàÿ èñòîðèÿ â ñõåìàõ è òàáëèöàõ Þðèé Äàíèëîâè÷ 1303—1325 ãã. Ðàñøèðåíèå ïðåäåëîâ Ìîñêîâñêîãî êíÿæåñòâà Ïåðâûì èç ìîñêîâñêèõ êíÿçåé âñòóïèë â áîðüáó çà ÿðëûê âåëèêîãî âëàäèìèðñêîãî êíÿæåíèÿ ñ òâåðñêèìè êíÿçüÿìè Ïðèñîåäèíåíû: Ïîëó÷èë ÿðëûê è æåíèëñÿ íà ñåñòðå îðäûíñêîãî õàíà Óçáåêà (1317) Óáèò â Îðäå â 1325 ã. òâåðñêèì êíÿçåì Äìèòðèåì Ìèõàéëîâè÷åì Ãðîçíûå î÷è
  • 50.
    Ìîñêîâñêàÿ Ðóñü 49 ÈâàíI Äàíèëîâè÷ Êàëèòà 1325—1340 ãã. Îñíîâíûå íàïðàâëåíèÿ äåÿòåëüíîñòè Ðåàëèçàöèÿ äâóõ ïðèíöèïîâ: Ìèð Ïîðÿäîêè Ðàñøèðåíèå ãðàíèö Ìîñêîâñêîãî êíÿæåñòâà Ïîääåðæàíèå õîðîøèõ îòíîøåíèé ñ Îðäîé Òåñíîå ñîòðóäíè÷åñòâî ñ Ïðàâîñëàâíîé öåðêîâüþ Èâàí Êàëèòà çàëîæèë îñíîâû áóäóùåãî ìîãóùåñòâà Ìîñêîâñêîãî ãîñóäàðñòâà l Ïîêóïêà êðóïíûõ òåððèòîðèé — Ãàëè÷, Óãëè÷, Áåëîîçåðî (1328) Ïðèñîåäèíåíèå ÷àñòè Ðîñòîâñêîãî êíÿæåñòâà (1331) l Áîðüáà ñ Òâåðüþ çà ÿðëûê l Ó÷àñòèå âìåñòå ñ îðäûíñêèì âîéñêîì â êàðàòåëüíîì ïîõîäå ïðîòèâ Òâåðè (1327) l Ïîëó÷åíèå ïðàâà ñáîðà äàíè ñ ðóññêèõ çåìåëü è äîñòàâêè åå â Îðäó l Ïåðåíîñ öåíòðà ðóññêîãî ïðàâîñëàâèÿ èç Âëàäèìèðà â Ìîñêâó (ñ 1328) l Ñòðîèòåëüñòâî ïÿòè áåëîêàìåííûõ õðàìîâ â Ìîñêâå (ñ 1326 ïî 1333)
  • 51.
    Ïðîäîëæåíèå ïîëèòèêè ÈâàíàÊàëèòû Ïîäíÿë çíà÷åíèå Ìîñêâû äî óðîâíÿ îáùåðóññêîé ñòîëèöû 50 Îòå÷åñòâåííàÿ èñòîðèÿ â ñõåìàõ è òàáëèöàõ Ñåìåí Ãîðäûé 1340—1353 ãã. Õîðîøèå îòíîøåíèÿ ñ Îðäîé Îáëàäàíèå ÿðëûêîì íà âåëèêîå êíÿæåíèå Ïðîâåäåíèå óðàâíîâåøåííîé âíåøíåé ïîëèòèêè Ïîä÷èíåíèå Íîâãîðîäà ïîñðåäñòâîì íàçíà÷åíèÿ ìîñêîâñêèõ íàìåñòíèêîâ Îòñóòñòâèå âîåííûõ ñòîëêíîâåíèé ñ ñîñåäíèìè êíÿæåñòâàìè
  • 52.
    Ìîñêîâñêàÿ Ðóñü 51 ÈâàíII Êðàñíûé 1353—1359 ãã. Ïðîäîëæåíèå ïîëèòèêè Èâàíà Êàëèòû è Ñåìåíà Ãîðäîãî Îáëàäàíèå ÿðëûêîì íà âåëèêîå êíÿæåíèå Íà÷àëî âîåííûõ ñòîëêíîâåíèé ñ Ëèòâîé Ïðîâåäåíèå ìèðîëþáèâîé ïîëèòèêè â îòíîøåíèè ñîïðåäåëüíûõ êíÿæåñòâ
  • 53.
    Îáúåäèíåíèå Ìîñêîâñêîãî è Âëàäèìèðñêîãî êíÿæåñòâ Ãëàâíûå íàïðàâëåíèÿ ïîëèòèêè Áîðüáà çàëèäåðñòâî íà Ðóñè ÏÐÎÒÈÂÎÁÎÐÑÒÂÎ ñ Îðäîé ñ Ëèòâîé ñ Òâåðüþ ñ Ðÿçàíüþ Ñòðåìëåíèå îñëàáèòü çàâèñèìîñòü ðóññêèõ êíÿæåñòâ îò Îðäû Áîðüáà ñ Ìàìàåì, êîòîðîãî íà Ðóñè ñ÷èòàëè óçóðïàòîðîì âëàñòè â Îðäå |  ñâÿçè ñ ëèòîâñêîé ýêñïàíñèåé íà ðóññêèå çåìëè | 1368 ã. 1370 ã. 1372 ã. | Çà ÿðëûê íà âåëèêîå êíÿæåíèå | 1375 ã. — Ïîáåäà Äìèòðèÿ Èâàíîâè÷à | Ïî ïîâîäó ñïîðíûõ òåððèòîðèé | 1371 ã. 1378 ã. — 1380 ã. — 1382 ã. — Ïîáåäà Äìèòðèÿ Èâàíîâè÷à íàä îðäûíöàìè íà ðåêå Âîæå Êóëèêîâñêàÿ áèòâà Ðàçîðåíèå Òîõòàìûøåì Ìîñêâû 52 Îòå÷åñòâåííàÿ èñòîðèÿ â ñõåìàõ è òàáëèöàõ Äìèòðèé Èâàíîâè÷ Äîíñêîé 1359—1389 ãã. ⎫ ⎬ ⎭ Âòîðæåíèå ëèòîâñêèõ âîéñê â ìîñêîâñêèå çåìëè ⎫ ⎬ ⎭ Ñîþçíèêè â áîðüáå ñ Ìîñêâîé ⎫ ⎬ ⎭ Âñå ýòè àòàêè áûëè îòáèòû
  • 54.
    Ìîñêîâñêàÿ Ðóñü 53 ÊÓËÈÊÎÂÑÊÀßÁÈÒÂÀ 8 ñåíòÿáðÿ 1380 ã. Ðóñü Îðäà Áëàãîñëîâåíèå Ñåðãèÿ Ðàäîíåæñêîãî Ïîõîä Ìàìàÿ íà Ðóñü Ñáîð ðóññêèõ âîéñê â Êîëîìíå âî ãëàâå ñ ìîñêîâñêèì êíÿçåì Äìèòðèåì Èâàíîâè÷åì ñîþçíèêè ü ßãàéëî, ëèòîâñêèé êíÿçü ü Îëåã, ðÿçàíñêèé êíÿçü Õîä áèòâû ü Ïîåäèíîê Ïåðåñâåòà è ×åëóáåÿ (îáà ïîãèáëè) ü Ëîáîâàÿ ñõâàòêà ïðîòèâîáîðñòâóþùèõ ñòîðîí ü Îòñòóïëåíèå ðóññêîãî ïîëêà ëåâîé ðóêè, êîòîðûé çàìàíèâàë êîííèöó ïðîòèâíèêà ïîä óäàð çàñàäíîãî ïîëêà ü Âíåçàïíûé óäàð â òûë è ôëàíã îðäûíöåâ ü Ïàíè÷åñêîå áåãñòâî âîéñê Ìàìàÿ Çíà÷åíèå áèòâû ü Êðàõ îðäûíñêî-ëèòîâñêèõ ïëàíîâ îñëàáëåíèÿ Ðóñè ü Èìïóëüñ ê äàëüíåéøåìó îáúåäèíåíèþ ðóññêèõ çåìåëü ïîä âëàñòüþ Ìîñêâû ü Ñîçäàíèå ïðåäïîñûëîê äëÿ îñâîáîæäåíèÿ Ðóñè îò îðäûíñêîé çàâèñèìîñòè P.S. Îñòàòêè Ìàìàåâà âîéñêà áûëè ðàçãðîìëåíû â Îðäå ×èíãèñèäîì Òîõòàìûøåì, óòâåðäèâøèìñÿ íà õàíñêîì ïðåñòîëå
  • 55.
    ÎÑÍÎÂÍÛÅ ÍÀÏÐÀÂËÅÍÈß ÄÅßÒÅËÜÍÎÑÒÈ: ÎÐÄÀËÈÒÂÀ 54 Îòå÷åñòâåííàÿ èñòîðèÿ â ñõåìàõ è òàáëèöàõ Ñëîæíûå è ïðîòèâîðå÷èâûå îòíîøåíèÿ ü 1408 ã. — Ïîõîä îðäûíñêîãî âîåíà÷àëüíèêà Åäèãåÿ íà Ðóñü è îñàäà Ìîñêâû ü Ïðèìèðåíèå ñ Îðäîé è ïîëó÷åíèå ÿðëûêà íà âåëèêîå êíÿæåíèå ü Óñòàíîâèë äèíàñòè÷åñêèå îòíîøåíèÿ (áûë æåíàò íà ëèòîâñêîé êíÿæíå Ñîôüå Âèòîâòîâíå) ü Ïðîòèâîðå÷èÿ ìåæäó Ìîñêâîé è Ëèòâîé èç-çà âëèÿíèÿ íà Íîâãîðîä Äàëüíåéøèé ðîñò Ìîñêîâñêîãî êíÿæåñòâà Ïðèñîåäèíåíû Ìóðîìñêîå è Íèæåãîðîäñêîå êíÿæåñòâà è çåìëè Êîìè ïî ðåêå Âû÷åãäà 1395 ã. — Âòîðæåíèå íà Ðóñü âîéñê ïðàâèòåëÿ ñðåäíåàçè- àòñêîãî ãîñóäàðñòâà Òàìåð- ëàíà (Òèìóðà). Äâóõíåäåëü- íîå ïðîòèâîñòîÿíèå áëèç Êîëîìíû, ïîñëå ÷åãî Òèìóð íåîæèäàííî ïîêèíóë ðóñ- ñêèå çåìëè ⎫ ⎬ ⎭ Èçáàâëåíèå áûëî ïðèïèñàíî çàñòóïíè÷åñòâó ÷óäîòâîðíîé èêîíû Âëàäèìèðñêîé Áîãîìàòåðè, ïåðåâåçåííîé â ýòî âðåìÿ èç Âëàäèìèðà â Ìîñêâó Âàñèëèé I Äìèòðèåâè÷ 1389—1425 ãã.
  • 56.
    ÄÈÍÀÑÒÈ×ÅÑÊÀß ÂÎÉÍÀ ÂÌÎÑÊÎÂÑÊÎÌ ÊÍ߯ÅÑÒÂÅ ÂÎ ÂÒÎÐÎÉ ÒÐÅÒÈ XV â. 1425—1453 ãã. Ìîñêîâñêàÿ Ðóñü 55 ÏÐÅÄÏÎÑÛËÊÈ Áîðüáà ñåìåéíîãî (ïðÿìîãî — îò îòöà ê ñûíó) è ðîäîâîãî (íåïðÿìîãî — ïî ñòàðøèíñòâó â ðîäå — îò áðàòà ê áðàòó) íà÷àë â íàñëåäîâàíèè êíÿæåñêîãî ïðåñòîëà Ïðîòèâîðå÷èâûé òåêñò çàâåùàíèÿ Äìèòðèÿ Äîíñêîãî, äàâàâøèé âîçìîæíîñòü åãî òðàêòîâêè ñ ðàçíûõ íàñëåäñòâåííûõ ïîçèöèé Ëè÷íîå ñîïåðíè÷åñòâî çà âëàñòü â Ìîñêâå ïîòîìêîâ êíÿçÿ Äìèòðèÿ Äîíñêîãî Äìèòðèé Äîíñêîé Âàñèëèé I Âàñèëèé II Òåìíûé Èâàí III Þðèé Ãàëèöêèé è Çâåíèãîðîäñêèé Âàñèëèé Êîñîé Äìèòðèé Øåìÿêà Âàñèëèé II 1425—1462 ãã.
  • 57.
    ÕÎÄ ÄÈÍÀÑÒÈ×ÅÑÊÎÉ ÂÎÉÍÛ 1425—1431ãã. Çàíÿòèå Âàñèëèåì II ìîñêîâñêîãî ïðåñòîëà áåç õàíñêîãî ÿðëûêà. Ïðåòåíçèè Þðèÿ Çâåíèãîðîäñêîãî íà ìîñêîâñêîå êíÿ- æåíèå 1431 ã. Ïîëó÷åíèå Âàñèëèåì II îðäûíñêîãî ÿðëûêà íà ìîñêîâ- ñêèé êíÿæåñêèé ïðåñòîë 1433 ã. Ñêàíäàë âî âðåìÿ ñâàäüáû Âàñèëèÿ II è áîðîâñêîé êíÿæ- íû Ìàðèè ßðîñëàâíû, êîãäà äâîþðîäíûé áðàò Âàñèëèé Êîñîé íàäåâàåò ñèìâîë âåëèêîêíÿæåñêîé âëàñòè — çîëî- òîé ïîÿñ. Êîíôëèêò è íà÷àëî âîåííûõ äåéñòâèé 1434 ã. ìàðò—èþíü Âîåííîå ïîðàæåíèå Âàñèëèÿ II. Þðèé Çâåíèãîðîäñêèé çàíèìàåò Ìîñêâó, íà÷èíàåò ÷åêà- íèòü ìîíåòó ñ èçîáðàæåíèåì Ãåîðãèÿ Ïîáåäîíîñöà. Íî íåîæèäàííî óìèðàåò â Ìîñêâå 1434 ã. èþíü Àâàíòþðà Âàñèëèÿ Êîñîãî, êîòîðûé çàíèìàåò ìîñêîâ- ñêèé ïðåñòîë áåç ñîãëàñèÿ ñâîèõ ðîäñòâåííèêîâ. Åãî íå ïîääåðæàëè äàæå áðàòüÿ — Äìèòðèé Øåìÿêà è Äìèòðèé Êðàñíûé. Ìîñêîâñêèé êíÿæåñêèé ïðåñòîë âíîâü ïåðåõîäèò ê Âà- ñèëèþ II 1436 ã. Êíÿçü Âàñèëèé Êîñîé ïûòàåòñÿ ïðîäîëæèòü âîîðóæåí- íóþ áîðüáó, íî òåðïèò ðåøèòåëüíîå ïîðàæåíèå îò Âàñè- ëèÿ II. Åãî çàõâàòûâàþò è îñëåïëÿþò (îòñþäà ïðîçâè- ùå — Êîñîé). Íîâîå îáîñòðåíèå îòíîøåíèé ìåæäó Âàñèëèåì II è Äìèòðèåì Øåìÿêîé 1445 ã. Ïëåíåíèå Âàñèëèÿ II êàçàíñêèìè òàòàðàìè. Ïåðåõîä âëàñòè â Ìîñêâå ê Äìèòðèþ Øåìÿêå. Âîçâðàò Âàñèëèÿ II èç ïëåíà è èçãíàíèå Øåìÿêè èç Ìî- ñêâû 1446 ã. Çàõâàò è îñëåïëåíèå Âàñèëèÿ II ñòîðîííèêàìè Äìèòðèÿ Øåìÿêè. Âòîðîå êíÿæåíèå Äìèòðèÿ Øåìÿêè â Ìîñêâå. Ññûëêà Âàñèëèÿ II â Óãëè÷, à çàòåì â Âîëîãäó 1447 ã. Çàêëþ÷åíèå Âàñèëèåì II ñîþçà ñ òâåðñêèì êíÿçåì Áîðè- ñîì Àëåêñàíäðîâè÷åì äëÿ áîðüáû ñ Äìèòðèåì Øåìÿêîé, êîòîðûé â èòîãå áûë îêîí÷àòåëüíî èçãíàí èç Ìîñêâû 1448—1450 ãã. Íåóäà÷íûå âîåííûå ïîïûòêè Äìèòðèÿ Øåìÿêè ñâåðã- íóòü Âàñèëèÿ II 1453 ã. Ñìåðòü êíÿçÿ Äìèòðèÿ Øåìÿêè â Íîâãîðîäå. Îêîí÷àíèå äèíàñòè÷åñêîé âîéíû 56 Îòå÷åñòâåííàÿ èñòîðèÿ â ñõåìàõ è òàáëèöàõ
  • 58.
    ÏÐÅÄÏÎÑÛËÊÈ ÎÁÚÅÄÈÍÅÍÈß ÐÓÑÑÊÈÕ ÇÅÌÅËÜ ÅÄÈÍÎÅ ÃÎÑÓÄÀÐÑÒÂÎ Ìîñêîâñêàÿ Ðóñü 57 ÑÎÖÈÀËÜÍÎ- ÝÊÎÍÎÌÈ×ÅÑÊÈÅ ÏÎËÈÒÈ×ÅÑÊÈÅ ÄÓÕÎÂÍÛÅ Ðàçâèòèå ôåîäàëüíîãî çåìëåâëàäåíèÿ Ñòðåìëåíèå áîÿð ïðèîáðåòàòü âîò÷èíû çà ïðåäåëàìè ñâîèõ êíÿæåñòâ Íàëè÷èå îáùåé îôèöèàëüíîé ðåëèãèè — ïðàâîñëàâèÿ — âî âñåõ ðóññêèõ çåìëÿõ Îñîçíàíèå íåîáõîäèìîñòè äóõîâíîãî è êóëüòóðíîãî åäèíñòâà Ðóñè Óêðåïëåíèå íà Ðóñè âëàñòè è ëèäåðñòâà ìîñêîâñêèõ êíÿçåé Íåîáõîäèìîñòü îñâîáîæäåíèÿ îò îðäûíñêîãî èãà
  • 59.
    58 Îòå÷åñòâåííàÿ èñòîðèÿâ ñõåìàõ è òàáëèöàõ Èâàí III Âàñèëüåâè÷ 1462—1505 ãã. ÎÑÍÎÂÍÛÅ ÍÀÏÐÀÂËÅÍÈß ÄÅßÒÅËÜÍÎÑÒÈ Îáúåäèíåíèå ðóññêèõ çåìåëü ïîä âëàñòüþ Ìîñêâû Îñâîáîæäåíèå Ðóñè îò îðäûíñêîé çàâèñèìîñòè Ñîçäàíèå ñâîäà çàêîíîâ åäèíîãî ãîñóäàðñòâà Ïóòè Ñóäåáíèê 1497 ã. 1480 ã. Âîåííûé Ïðîòèâîñòîÿíèå íà ð. Óãðå ñ õàíîì Àõìàòîì Ïàäåíèå îðäûíñêîãî èãà Óñòàíàâëèâàåòñÿ åäèíûé ñðîê ïåðåõîäà çàâèñèìûõ êðåñòüÿí îò îäíîãî âëàäåëüöà ê äðóãîìó — íåäåëÿ äî è íåäåëÿ ïîñëå Þðüåâà äíÿ — Âåëèêèé Íîâãîðîä (1478) — Òâåðñêîå êíÿæåñòâî (1485) Ïðèñÿãà Íàñëåäîâàíèå — ßðîñëàâñêîå êíÿæåñòâî (1463) — Ðîñòîâñêîå êíÿæåñòâî (1474) — Äìèòðîâ (1472) — Âîëîãäà (1481) — Óãëè÷ (1491) Ñ 1485 ã. Èâàí III — ãîñóäàðü âñåÿ Ðóñè
  • 60.
    Ìîñêîâñêàÿ Ðóñü 59 ÂàñèëèéIII Èâàíîâè÷ 1505—1533 ãã. ÎÑÍÎÂÍÛÅ ÍÀÏÐÀÂËÅÍÈß ÄÅßÒÅËÜÍÎÑÒÈ Çàâåðøåíèå îáúåäèíåíèÿ ðóññêèõ çåìåëü Âîéíà ñ Ëèòâîé 1512—1522 ãã. Ñëîæíûå îòíîøåíèÿ ñ Êðûìñêèì è Êàçàíñêèì õàíñòâàìè Ðÿçàíü (1521) Ñìîëåíñê (1514) Ïñêîâ (1510) 1521 ã. — Íàáåã êðûìñêèõ òàòàð íà Ìîñêâó Ïîáåäà 1514 ã. Ïîðàæåíèå ðóññêèõ âîéñê ïîä Ñìîëåíñêîì Îðøåé
  • 61.
    ÐÎÑÑÈß Â ÝÏÎÕÓÈÂÀÍÀ ÃÐÎÇÍÎÃÎ 1533—1584 ãã. ÍÀ×ÀËÎ ÏÐÀÂËÅÍÈß ÈÂÀÍÀ IV I. II. III. 60 Îòå÷åñòâåííàÿ èñòîðèÿ â ñõåìàõ è òàáëèöàõ Ðåãåíòñòâî êíÿãèíè Åëåíû Ãëèíñêîé 1533—1538 ãã. Áîðüáà çà âëàñòü ñ áðàòüÿìè Âàñèëèÿ III: Þðèåì Äìèòðîâñêèì è Àíäðååì Ñòàðèöêèì è Ì. È. Ãëèíñêèì, äÿäåé Èâàíà IV êàçíåíû Ðåôîðìû Ø Äåíåæíàÿ (óòâåðæäåíèå åäèíîé îáùåãîñóäàðñòâåííîé ñèñòåìû ñ÷åòà. Ââåäåíèå êîïåéêè) Ø Óíèôèêàöèÿ âñåõ ìåð Ø Óêðåïëåíèå Ìîñêâû Ñòðîèòåëüñòâî ñòåí Êèòàé-ãîðîäà ⎫ ⎬ ⎭ Áîÿðñêîå ïðàâëåíèå 1538—1547 ãã. Áîðüáà çà âëàñòü áîÿðñêèõ ãðóïïèðîâîê Øóéñêèõ è Áåëüñêèõ Ïàãóáíîå âëèÿíèå íà Èâàíà IV Äåñòàáèëèçàöèÿ ïîëîæåíèÿ â ñòðàíå 16.01.1547 ã. — ïî âèçàíòèéñêîìó îáðàçöó â Óñïåíñêîì ñîáîðå Ìîñêîâñêîãî Êðåìëÿ Öàðü è âåëèêèé êíÿçü âñåÿ Ðóñè Âåí÷àíèå Èâàíà IV íà öàðñòâî Ýòèìîëîãèÿ ⎫ ⎬ ⎭ Öàðü — îò ëàò. öåçàðü Íàñëåäñòâåííûé ìîíàðõ, ãîñóäàðü
  • 62.
    Ðîññèÿ â ýïîõóÈâàíà ÃðîçíîãîÂÍÓÒÐÅÍÍßß ÏÎËÈÒÈÊÀ ÈÂÀÍÀ ÃÐÎÇÍÎÃÎ Ðåôîðìû «Èçáðàííîé ðàäû» (1548/9—1560) Ïåðñîíàëèè: À. Àäàøåâ À. Êóðáñêèé È. Âèñêîâàòûé ñâÿùåííèê Ñèëüâåñòð ìèòðîïîëèò Ìàêàðèé 1. Ñîçäàíû ïðèêàçû: t ×åëîáèòíûé t Ïîñîëüñêèé t Ïîìåñòíûé t Ðàçðÿäíûé t Ðàçáîéíûé t Çåìñêèé 2. Ïðàâîâàÿ ðåôîðìà — ââåäåí â äåéñòâèå íîâûé ñâîä çàêîíîâ — Ñóäåáíèê Èâàíà IV (1550) 3. Öåðêîâíàÿ ðåôîðìà 4. Âîåííàÿ ðåôîðìà Ðîññèÿ â ýïîõó Èâàíà Ãðîçíîãî 61 Íàïðàâëåíû íà ñîçäàíèå åäèíîãî öåíòðàëèçîâàííîãî ãîñóäàðñòâà Îðãàíû öåíòðàëüíîãî ãîñóäàðñòâåííîãî óïðàâëåíèÿ Óíèôèêàöèÿ îáðÿäîâ Ðóññêîé ïðàâîñëàâíîé öåðêâè Ñòîãëàâûé ñîáîð 1551 ã. Ïðîñâåùåíèå — îäíà èç âàæíåéøèõ çàäà÷ Öåðêâè Êàíîíèçàöèÿ íîâûõ ñâÿòûõ Óæåñòî÷åíèå äèñöèïëèíû â ñðåäå äóõîâåíñòâà Ïîïûòêà ôîðìèðîâàíèÿ «Èçáðàííîé òûñÿ÷è» Ñîçäàíèå ñòðåëåöêîãî âîéñêà (1550) Ââåäåíèå Óëîæåíèÿ î ñëóæáå (1556)
  • 63.
    5. Îãðàíè÷åíèå ìåñòíè÷åñòâà(1550) 6. Ðåôîðìà ìåñòíîãî óïðàâëåíèÿ 62 Îòå÷åñòâåííàÿ èñòîðèÿ â ñõåìàõ è òàáëèöàõ Ïðè÷èíû ïàäåíèÿ «Èçáðàííîé ðàäû» 1560 ã. Ìåñòíè÷åñòâî: Ïîðÿäîê çàìåùåíèÿ âûñøèõ äîëæíîñòåé â çàâèñèìîñòè îò çíàòíîñòè ðîäà è âàæíîñòè äîëæíîñòè, çàíèìàåìîé ïðåäêàìè Ìîëîäûå áîÿðå äîëæíû áûëè íà÷èíàòü ñëóæáó íà íåçíà÷èòåëüíûõ äîëæíîñòÿõ, íî áåç çàïèñè â ôàìèëüíûå ìåñòíè÷åñêèå êíèãè I Çåìñêèé ñîáîð (1549) Ñîáîð ïðèìèðåíèÿ Îãðàíè÷åíèå âëàñòè êîðìëåíùèêîâ, íàìåñòíèêîâ è âîëîñòèòåëåé íà ìåñòàõ Âûáîðíûå ãóáíûå è çåìñêèå ñòàðîñòû Ïåðåäà÷à óïðàâëåí÷åñêèõ è ñóäåáíûõ ôóíêöèé îò êîðìëåíùèêîâ ê âûáîðíûì äîëæíîñòíûì ëèöàì ?! Èâàí IV ?! «Èçáðàííàÿ ðàäà» âèíîâíà â îòðàâëåíèè öàðèöû Àíàñòàñèè Ðàçíîãëàñèÿ Èâàíà IV ñ ÷ëåíàìè «Èçáðàííîé ðàäû» ïî âîïðîñàì îñóùåñòâëåíèÿ âíåøíåé è âíóòðåííåé ïîëèòèêè
  • 64.
    ÎÏÐÈ×ÍÈÍÀ 1565—1572 ãã. Ýòèìîëîãèÿ Îò äðåâíåðóññê.— îïðè÷ü — êðîìå Ðîññèÿ â ýïîõó Èâàíà Ãðîçíîãî 63 3 ôåâðàëÿ 1565 ã. ïðèíÿò óêàç î ââåäåíèè îïðè÷íèíû, â ñîîòâåòñòâèè ñ êîòîðûì ñòðàíà áûëà ðàçäåëåíà íà äâå ÷àñòè Ôîðìó «îïðè÷à» êàê îáîñîáëåííîé òåððèòîðèè èñïîëüçîâàë Èâàí IV Ãðîçíûé äëÿ îñóùåñòâëåíèÿ îñîáîé ïîëèòèêè — îïðè÷íèíû  ñðåäíåâåêîâîé Ðóñè — çåìåëüíûé óäåë, âûäåëÿâøèéñÿ êíÿæåñêîé âäîâå ÎÏÐÈ×ÍÈÍÀ — îäíî èç ñàìûõ çàãàäî÷íûõ è ñëîæíûõ ÿâëåíèé îòå÷åñòâåííîé èñòîðèè Ó÷ðåæäåíèå ýòî âñåãäà êà- çàëîñü ñòðàííûì, êàê òåì, êòî ñòðàäàë îò íåãî, òàê è òåì, êòî åãî èññëåäîâàë. Â.Î. Êëþ÷åâñêèé «ÎÏÐÈ×ÍÈÍÀ» Âî ãëàâå ñ Èâàíîì IV Îïðè÷íîå âîéñêî «ÇÅÌÙÈÍÀ» âî ãëàâå ñ Áîÿðñêîé äóìîé Òåððîð ïî âñåé ñòðàíå
  • 65.
    ÎÏÐÈ×ÍÈÍÀ  ÎÖÅÍÊÀ ÈÑÒÎÐÈÊΠÑóùíîñòüîïðè÷íèíû Ñëåäñòâèå ïñèõè÷åñêîãî ðàññòðîéñòâà Èâàíà IV Í.Ì. Êàðàìçèí Áîðüáà è óòâåðæäåíèå íîâûõ ãîñóäàðñòâåííûõ íà÷àë ïðîòèâ ñòàðûõ ðîäîâûõ Ñ.Ì. Ñîëîâüåâ Àíòèáîÿðñêàÿ íàïðàâëåííîñòü îïðè÷íèíû Ñ.Ô. Ïëàòîíîâ Ñâåðõöåíòðàëèçàöèÿ ãîñóäàðñòâåííîé âëàñòè Â.Î. Êëþ÷åâñêèé Àíòèóäåëüíûé è àíòèêðåñòüÿíñêèé õàðàêòåð îïðè÷íèíû À.À.Çèìèí Â.Á. Êîáðèí Îïðè÷íèíà êàê ñðåäñòâî ïîäàâëåíèÿ íåäîâîëüñòâà â ñòðàíå íåïîïóëÿðíîé Ëèâîíñêîé âîéíîé À.Ë. Õîðîøêåâè÷ Îïðè÷íèíà — ðåïåòèöèÿ «Ñòðàøíîãî Ñóäà» íà çåìëå À.Ì. Ïàí÷åíêî À.Ë. Þðãàíîâ 64 Îòå÷åñòâåííàÿ èñòîðèÿ â ñõåìàõ è òàáëèöàõ ÏÎÑËÅÄÑÒÂÈß ÎÏÐÈ×ÍÈÍÛ ÏÎËÈÒÈ×ÅÑÊÈÅ ÑÎÖÈÀËÜÍÎ- ÝÊÎÍÎÌÈ×ÅÑÊÈÅ Óêðåïëåíèå ðåæèìà ëè÷íîé âëàñòè öàðÿ Ëèêâèäàöèÿ ïåðåæèòêîâ óäåëüíîé ñèñòåìû Õîçÿéñòâåííîå ðàçîðåíèå ñòðàíû Íà÷àëî ïðîöåññà ãîñóäàðñòâåííîãî çàêðåïîùåíèÿ êðåñòüÿí
  • 66.
    ÂÍÅØÍßß ÏÎËÈÒÈÊÀ ÈÂÀÍÀÃÐÎÇÍÎÃÎ Áîðüáà ñ Êðûìñêèì õàíñòâîì Ëèâîíñêàÿ âîéíà 1558—1583 ãã. Ðàñøèðåíèå ãðàíèö ðóññêîãî ãîñóäàðñòâà Ïîïûòêà Ðîññèè óòâåðäèòüñÿ â Ïðèáàëòèêå Îñíîâíûå ýòàïû Õîä âîéíû 1558—1561 ãã. Âòîðæåíèå ðóññêèõ âîéñê â Ëèâîíèþ. Çàõâàò Íàðâû è Äåðïòà Ðàñïàä Ëèâîíñêîãî îðäåíà (1561) 1561—1569 ãã. Ïîðàæåíèå ðóññêèõ âîéñê ïîä Ïîëîöêîì è Îðøåé Ïåðåõîä êíÿçÿ Êóðáñêîãî íà ñòîðîíó Ëèòâû Îáúåäèíåíèå Ïîëüøè è Ëèòâû â Ðå÷ü Ïîñïîëèòóþ (1569) Âûñòóïëåíèå â âîéíå ïðîòèâ Ðîññèè êîàëèöèè åâðîïåéñêèõ ãîñóäàðñòâ — Äàíèè, Øâåöèè è Ðå÷è Ïîñïîëèòîé 1569—1583 ãã. Âòîðæåíèå Ïîëüøè â ðóññêèå çåìëè è çàõâàò Ïîëîöêà (1579) Îñàäà è ãåðîè÷åñêàÿ îáîðîíà Ïñêîâà (1581—1582) Íàñòóïëåíèå Øâåöèè íà Íàðâó è Íîâãîðîäñêèå çåìëè (1579) Ðîññèÿ â ýïîõó Èâàíà Ãðîçíîãî 65 Îñíîâíûå íàïðàâëåíèÿ Þæíîå Çàïàäíîå Âîñòî÷íîå 1559 ã. — Íåóäà÷íûé ïîõîä ðóññêîãî âîéñêà íà Êðûì 1571 ã. 1572 ã. Íàáåãè êðûì- ñêîãî õàíà íà Ìîñêâó 1552 ã. — Ïðèñîåäèíå- íèå Êàçàíñêîãî õàíñòâà 1556 ã. — Ïðèñîåäèíå- íèå Àñòðàõàíñêîãî õàíñòâà 1581—1585 ãã. — Ïîõîä Åðìàêà â Ñèáèðü 1582 ã. Ïåðåìèðèå íà 10 ëåò ñ Ïîëüøåé â ßìå- Çàïîëüñêîì: Ðîññèÿ óñòóïèëà Ïîëüøå âñþ Ëèâîíèþ è Ïîëîöê Èòîãè Ïîðàæåíèå Ðîññèè â Ëèâîíñêîé âîéíå 1583 ã. Ïåðåìèðèå íà 10 ëåò ñî Øâåöèåé íà ðåêå Ïëþññå: Ðîññèÿ áûëà âûíóæäåíà îòäàòü ãîðîäà ßì, Êîïîðüå, Èâàíãîðîä, Íàðâó
  • 67.
    ÐÎÑÑÈß Â ÊÎÍÖÅXVI â. 66 Îòå÷åñòâåííàÿ èñòîðèÿ â ñõåìàõ è òàáëèöàõ Öàðü Ôåäîð Èâàíîâè÷ 1584—1598 ãã. Òèõèé è áîãîáîÿçíåííûé ìîíàðõ, íåñïîñîáíûé ê ãîñóäàðñòâåííîìó óïðàâëåíèþ Ðåàëüíàÿ âëàñòü ó Áîðèñà Ãîäóíîâà, øóðèíà öàðÿ Âíåøíÿÿ ïîëèòèêà: ü 1591 ã. — îòáèò íàáåã íà Ìîñêâó êðûìñêîãî õàíà. ü 1590—1593 ãã. — Ðóññêî-øâåäñêàÿ âîéíà — Ðîññèÿ âåðíóëà ðàíåå óòðà÷åííûå çåìëè è ãîðîäà ßì, Èâàíãîðîä, Êîïîðüå, Êîðåëà 1589 ã. — Ó÷ðåæäåíèå ïàòðèàðøåñòâà Àâòîêåôàëèÿ (íåçàâèñèìîñòü) Ðóññêîé ïðàâîñëàâíîé öåðêâè îò êîíñòàíòèíîïîëüñêîé Èîâ — ïåðâûé ïàòðèàðõ ðóññêîé ïðàâîñëàâíîé öåðêâè 1591 ã. «Óãëè÷ñêîå äåëî» Ãèáåëü öàðåâè÷à Äìèòðèÿ Ïðåñå÷åíèå ìóæñêîé âåòâè ìîñêîâñêîãî êíÿæåñêî-öàðñêîãî äîìà Âåðñèè ãèáåëè Ñìóòà Óáèò ñ ñàíêöèè Áîðèñà Ãîäóíîâà Íåñ÷àñòíûé ñëó÷àé Ëæåäìèòðèé«×óäåñíîå ñïàñåíèå»
  • 68.
    Ñìóòíîå âðåìÿÑÌÓÒÍÎÅ ÂÐÅÌß Ñìóòíîåâðåìÿ 67 Ïîñëåäñòâèÿ ðàçîðåíèÿ ñòðàíû â ïåðèîä îïðè÷íèíû Îáîñòðåíèå ñîöèàëüíîé ñèòóàöèè âñëåäñòâèå ïðîöåññîâ ãîñóäàðñòâåííîãî çàêðåïîùåíèÿ êðåñòüÿí Êðèçèñ äèíàñòèè: ïðåñå÷åíèå ìóæñêîé âåòâè ïðàâÿùåãî êíÿæåñêî-öàðñêîãî ìîñêîâñêîãî äîìà Êðèçèñ âëàñòè: óñèëåíèå áîðüáû çà âåðõîâíóþ âëàñòü ñðåäè çíàòíûõ áîÿðñêèõ ôàìèëèé. Ïîÿâëåíèå ñàìîçâàíöåâ Ïðåòåíçèè Ïîëüøè íà ðóññêèå çåìëè è ïðåñòîë Ãîëîä 1601—1603 ãã. Ãèáåëü ëþäåé è âñïëåñê ìèãðàöèè âíóòðè ñòðàíû ÑÌÓÒÀ — âîçìóùåíèå, âîññòàíèå, ìÿòåæ, êðàìîëà, îáùåå íåïîâèíîâåíèå, ðàçäîð ìåæ íàðîäîì è âëàñòüþ. Â.È. Äàëü ÑÌÓÒÍÎÅ ÂÐÅÌß — ýïîõà ñîöèàëüíî-ïîëèòè÷åñêîãî, ýêîíîìè÷åñêîãî è äèíàñòè÷åñêîãî êðèçèñà. Ñîïðîâîæäàëàñü íàðîäíûìè âîññòàíèÿìè, ïðàâëåíèåì ñàìîçâàíöåâ, ðàçðóøåíèåì ãîñóäàðñòâåííîé âëàñòè, ïîëüñêî-øâåäñêî- ëèòîâñêîé èíòåðâåíöèåé, ðàçîðåíèåì ñòðàíû ÏÐÈ×ÈÍÛ ÑÌÓÒÍÎÃÎ ÂÐÅÌÅÍÈ
  • 69.
    ÎÒÅ×ÅÑÒÂÅÍÍÛÅ ÈÑÒÎÐÈÊÈ ÎÏÐÈ×ÈÍÀÕ È ÑÓÙÍÎÑÒÈ ÑÌÓÒÍÎÃÎ ÂÐÅÌÅÍÈ Â ÐÎÑÑÈÈ ÍÀ ÐÓÁÅÆÅ XVI—XVII ââ. Í.Ì. Êàðàìçèí Ðàçâðàò âñåõ ñôåð ðóññêîãî îáùåñòâà Ñ.Ì. Ñîëîâüåâ Íðàâñòâåííîå è ìîðàëüíîå ðàçëîæåíèå îáùåñòâà Í.È. Êîñòîìàðîâ Ñëåäñòâèå êàòîëè÷åñêîé èíòðèãè Â.Î. Êëþ÷åâñêèé Ñ.Ô. Ïëàòîíîâ Ñìóòà — ýòî ñîöèàëüíîå äâèæåíèå, çàðîäèâøååñÿ â âåðõàõ ðóññêîãî îáùåñòâà è ïîñòåïåííî âòÿíóâøåå â ñâîþ îðáèòó øèðîêèå ñëîè íàñåëåíèÿ Ñîâåòñêàÿ èñòîðèîãðàôèÿ (È.È. Ñìèðíîâ, Â.È. Áóãàíîâ, Â.È. Êîðåöêèé è äð.) Ñìóòà — ýòî âûñøàÿ ôîðìà áîðüáû óãíåòåííûõ ïðîòèâ ýêñïëóàòàòîðîâ Ñîâðåìåííàÿ èñòîðèîãðàôèÿ (Ð.Ã. Ñêðûííèêîâ, À.Ë. Ñòàíèñëàâñêèé) Ñìóòà — ýòî ãðàæäàíñêàÿ âîéíà â Ðîññèè 68 Îòå÷åñòâåííàÿ èñòîðèÿ â ñõåìàõ è òàáëèöàõ
  • 70.
    ÌÅÆÄÈÍÀÑÒÈ×ÅÑÊÎÅ ÏÐÀÂËÅÍÈÅ ÂÏÅÐÈÎÄ ÑÌÓÒÍÎÃÎ ÂÐÅÌÅÍÈ (êîíåö XVI — íà÷àëî XVII ââ.) Áîðèñ Ãîäóíîâ 1598—1605 Ôåäîð Ãîäóíîâ 1605 Ëæåäìèòðèé I (Ãðèãîðèé Îòðåïüåâ) 1605—1606 Âàñèëèé Øóéñêèé 1606—1610 Ñåìèáîÿðùèíà 1. Ô.È. Ìñòèñëàâñêèé 2. È.Ì. Âîðîòûíñêèé 3. À.Â. Òðóáåöêîé 4. À.Â. Ãîëèöûí 5. Á.Ì. Ëûêîâ 6. È.Í. Ðîìàíîâ 7. Ô.È. Øåðåìåòåâ 1610—1613 Ñìóòíîå âðåìÿ 69
  • 71.
    Ãîëîä 1601— 1603 ãã. 70 Îòå÷åñòâåííàÿèñòîðèÿ â ñõåìàõ è òàáëèöàõ ÖÀÐÜ ÁÎÐÈÑ ÃÎÄÓÍΠ1598—1605 ãã. Èçáðàí öàðåì íà Çåìñêîì ñîáîðå Ðàñïðàâà ñ áîÿðñêîé îïïîçèöèåé Ññûëêà áîÿð Ðîìàíîâûõ (1600) — ×àñòè÷íîå ðàçðåøåíèå êðåñòüÿíñêèõ ïåðåõîäîâ — Áåñïëàòíàÿ ðàçäà÷à õëåáà èç öàðñêèõ çàêðîìîâ Âîññòàíèå ïîä ïðåäâîäèòåëü- ñòâîì Õëîïêà Êîñîëàïà (1603—1604) Ïîäàâëåíî ñ áîëüøèì òðóäîì Áîðèñ Ãîäóíîâ 13 àïðåëÿ 1605 ã. — âíåçàïíàÿ ñìåðòü Áîðüáà ñ ñàìîçâàíöåì Ëæåäìèòðèåì I, âòîðãøèìñÿ â ïðåäåëû Ðîññèè èç Ïîëüøè â îêòÿáðå 1604 ã. Ïðåñòîë íàñëåäóåò Ôåäîð Áîðèñîâè÷ Ãîäóíîâ (àïðåëü — èþíü 1605 ã.) Ïåðåõîä öàðñêîãî âîéñêà íà ñòîðîíó ñàìîçâàíöà Óáèò ñòîðîííèêàìè Ëæåäìèòðèÿ I Ãîëîä 1601—1603 ãã.
  • 72.
    Ñìóòíîå âðåìÿ 71 ÏÐÀÂËÅÍÈÅËÆÅÄÌÈÒÐÈß I 1605—1606 ãã. Ãðèãîðèé Îòðåïüåâ ÏÎÏÛÒÊÈ ÏÐÎÂÅÄÅÍÈß ÑÀÌÎÑÒÎßÒÅËÜÍÎÉ ÏÎËÈÒÈÊÈ Îñëîæíåíèå îòíîøåíèé ñ Ïîëüøåé, ïåðåä êîòîðîé îí èìåë îáÿçàòåëüñòâà, íî íå ñïåøèë èõ âûïîëíÿòü Ïîæàëîâàíèå çåìëÿìè è äåíüãàìè ñëóæèëûõ ëþäåé è ïîëüñêèõ íàåìíèêîâ Îñâîáîæäåíèå îò çàâèñèìîñòè ðÿäà êàòåãîðèé êðåñòüÿí è õîëîïîâ Ïðîòèâîðå÷èÿ ñ ìîñêîâñêèìè áîÿðàìè âî ãëàâå ñ Â.È. Øóéñêèì Ñâàäüáà ñ Ìàðèíîé Ìíèøåê 8 ìàÿ 1606 ã. Íàïðÿæåííûå îòíîøåíèÿ ïîëÿêîâ è æèòåëåé Ìîñêâû Âîçâðàò èç ññûëêè áîÿð Ðîìàíîâûõ Óáèéñòâî â Êðåìëå Ëæåäìèòðèÿ I 17 ìàÿ 1606 ã. Ñêëàäûâàíèåçàãîâîðà ïðîòèâËæåäìèòðèÿI
  • 73.
    ÏÐÀÂËÅÍÈÅ ÂÀÑÈËÈß ØÓÉÑÊÎÃÎ (1606—1610ãã.) Ïðàâëåíèå Âàñèëèÿ Øóéñêîãî 72 Îòå÷åñòâåííàÿ èñòîðèÿ â ñõåìàõ è òàáëèöàõ 19 ìàÿ 1606 ã. èçáðàí â Ìîñêâå öàðåì íà èìïðîâèçèðîâàííîì Çåìñêîì ñîáîðå, ñîçâàííîì åãî ñòîðîííèêàìè Óãëóáëåíèå ãðàæäàíñêîé âîéíû è íà÷àëî îòêðûòîé èíòåðâåíöèè Äâèæåíèå ïîä ïðåäâîäèòåëüñòâîì Èâàíà Áîëîòíèêîâà (1606—1607) Íîâûé ñàìîçâàíåö — Ëæåäìèòðèé II, «Òóøèíñêèé âîð» (1607—1610) Íà÷àëî îòêðûòîé ïîëüñêîé èíòåðâåíöèè (1609—1610) Áîðüáà çà âëàñòü ìåæäó áîÿðñêèìè ãðóïïèðîâêàìè Ñâåðæåíèå ñ ïðåñòîëà Âàñèëèÿ Øóéñêîãî 17 èþëÿ 1610 ã. ÑÅÌÈÁÎßÐÙÈÍÀ
  • 74.
    Ñìóòíîå âðåìÿ 73 Äâèæåíèåïîä ïðåäâîäèòåëüñòâîì Èâàíà Áîëîòíèêîâà (1606—1607) Èâàí Áîëîòíèêîâ — âîåííûé õîëîï êíÿçÿ À.À. Òåëÿòåâñêîãî I ýòàï: àâãóñò — äåêàáðü 1606 ã. ü Ïîáåäà âîññòàâøèõ ïîä Êðîìàìè è çàõâàò Òóëû, Êàëóãè, Åëüöà, Êàøèðû ü Ïîäõîä ê Ìîñêâå è ïîïûòêè åå øòóðìà (íîÿáðü — íà÷. äåêàáðÿ) ü 2 äåêàáðÿ 1606 ã. — ïîðàæåíèå âîéñê Áîëîòíèêîâà ïîä Ìîñêâîé è èõ îòõîä â Êàëóãó, à çàòåì â Òóëó II ýòàï: ÿíâàðü — ìàé 1607 ã. ü Îñàäà ïðàâèòåëüñòâåííûìè âîéñêàìè Êàëóãè. Óõîä Áîëîòíèêîâà â Òóëó III ýòàï: èþíü — îêòÿáðü 1607 ã. ü Îñàäà âîéñêàìè Â.È. Øóéñêîãî Òóëû. Ïëåíåíèå Áîëîòíèêîâà è «öàðåâè÷à Ïåòðà» (ñàìîçâàíöà — Èëåéêè Ìóðîìöà) Øèðîêîå ñîöèàëüíîå äâèæåíèå â ïîääåðæêó «öàðÿ Äìèòðèÿ Èâàíîâè÷à» (Ëæåäìèòðèÿ) Ñòðåìëåíèå ê ïîâûøåíèþ ñîöèàëüíîãî ñòàòóñà ó÷àñòíèêîâ äâèæåíèÿ Ñîöèàëüíûé ñîñòàâ Ø Êðåñòüÿíå Ø Õîëîïû Ø Ñëóæèëûå ëþäè Ø Êàçàêè Ø Îòäåëüíûå áîÿðå — ïðîòèâíèêè Øóéñêîãî: êíÿçüÿ Ã. Øàõîâñêîé À. Òåëÿòåâñêèé È. Ìîññàëüñêèé Æåñòîêàÿ ðàñïðàâà ñ âîññòàâøèìè. 6 ÒÛÑß× ÊÀÇÍÅÍÎ. Áîëîòíèêîâ ñîñëàí íà ñåâåð, â Êàðãîïîëü, ãäå áûë óòîïëåí
  • 75.
    Ïîõîä íà Ìîñêâóè ðàñïîëîæåíèå ëàãåðåì â ñåëå Òóøèíî (èþíü 1608 ã.) Îòêàç Ðå÷è Ïîñïîëèòîé â óñëîâèÿõ îòêðûòîé èíòåðâåíöèè îò ïîääåðæêè Ëæåäìèòðèÿ II Ðàñïàä «òóøèíñêîãî ëàãåðÿ» è áåãñòâî ñàìîçâàíöà â Êàëóãó (äåêàáðü 1609 ã.) Íîâàÿ ïîïûòêà Ëæåäìèòðèÿ II âçÿòü Ìîñêâó (èþíü — àâãóñò 1610 ã.) Óáèéñòâî Ëæåäìèòðèÿ II íà îõîòå ïîä Êàëóãîé êíÿçåì Ï. Óðóñîâûì (íà÷àëüíèêîì åãî ëè÷íîé îõðàíû) (11 äåêàáðÿ 1610 ã.) 74 Îòå÷åñòâåííàÿ èñòîðèÿ â ñõåìàõ è òàáëèöàõ Áîðüáà ñ íîâûì ñàìîçâàíöåì Ëæåäìèòðèåì II — «Òóøèíñêèì âîðîì» 1607—1610 ãã. Ëæåäìèòðèé II Âàñèëèé Øóéñêèé Èþëü 1607 ã. — Ïîÿâëåíèå â ãîðîäå Ñòàðîäóá íîâîãî ñàìîçâàíöà — Ëæåäìèòðèÿ II Îñíîâà âîéñêà: ïîëÿêè è êàçàêè âî ãëàâå ñ È. Çàðóöêèì Óñòàíîâëåíèå ñâîåîáðàçíîãî äâîåâëàñòèÿ â ñòðàíå Â. Øóéñêèé çàêëþ÷àåò ñî Øâåöèåé äîãîâîð î âîåííîé ïîìîùè (ôåâðàëü 1609 ã.). Ðóññêî-øâåäñêèå îòðÿäû âî ãëàâå ñ Ì. Ñêîïèíûì- Øóéñêèì ñíèìàþò îñàäó ñòîëèöû Òóøèíî — Ìîñêâà 1608—1609 ãã.
  • 76.
    Ñìóòíîå âðåìÿ 75 ÎÒÊÐÛÒÀßÈÍÒÅÐÂÅÍÖÈß Ñåìèáîÿðùèíà ü Ñåíòÿáðü 1609 ã. — Âòîðæåíèå Ïîëüøè â Ðîññèþ. Îñàäà Ñìîëåíñêà (21 ìåñÿö) ü Èþíü 1610 ã. — Äâèæåíèå ïîëüñêèõ âîéñê ê Ìîñêâå. Ïîðàæåíèå âîéñê Â.È. Øóéñêîãî ïîä Ìîæàéñêîì Ñâåðæåíèå Âàñèëèÿ Øóéñêîãî ñ ïðåñòîëà 17 èþëÿ 1610 ã. ü Ñåíòÿáðü 1610 ã. — Ââîä ïîëüñêèõ âîéñê â Ìîñêâó ñ ñîãëàñèÿ Ñåìèáîÿðùèíû ü Èþíü 1611 ã. — Ïàäåíèå Ñìîëåíñêà Ïåðåõîä âëàñòè ê áîÿðñêîìó ïðàâèòåëüñòâó 1. Ô.È. Ìñòèñëàâñêèé 2. È.Ì. Âîðîòûíñêèé 3. À.Â. Òðóáåöêîé 4. À.Â. Ãîëèöûí 5. Á.Ì. Ëûêîâ 6. È.Í. Ðîìàíîâ 7. Ô.È. Øåðåìåòåâ Ïðåäëîæåíèå çàíÿòü ðóññêèé ïðåñòîë ïîëüñêîìó êîðîëåâè÷ó Âëàäèñëàâó 1610—1611 ãã. Îêêóïàöèÿ Øâåöèåé ñåâåðî-çàïàäà Ðîññèè è çàõâàò Íîâãîðîäà (16 èþíÿ 1611 ã.) Ïðåòåíçèè øâåäñêîãî ïðèíöà Êàðëà Ôèëèïïà íà ðóññêèé ïðåñòîë
  • 77.
    Ïåðâîå îïîë÷åíèå (ÿíâàðü— èþëü 1611 ã.) Ñîñòàâ è ðóêîâîäèòåëè Õðîíèêà ôàêòîâ Áûâøèå îòðÿäû «òóøèíñêîãî ëàãåðÿ» âî ãëàâå ñ Ï.Ï. Ëÿïóíîâûì, Ä.Ò. Òðóáåöêèì, à òàêæå êàçàêè È.Ì. Çàðóöêîãî Ñîçäàëè âðåìåííûé îðãàí âëàñòè — Ñîâåò âñåÿ çåìëè Îïîë÷åíèå íà÷àëî ôîðìèðî- âàòüñÿ íà Ðÿçàíñêîé çåìëå.  ìàðòå 1611 ã. îñàäèëî Ìîñêâó, çàíÿâ ÷àñòü ãîðîäà, íî èçãíàòü ïîëÿêîâ íå óäà- ëîñü. Âíóòðè îïîë÷åíèÿ âîçíèêëè ïðîòèâîðå÷èÿ ìåæäó äâîðÿíàìè è êàçàêàìè.  ðåçóëüòàòå ðóêîâîäè- òåëü îïîë÷åíèÿ Ï.Ï. Ëÿïóíîâ 22 èþëÿ 1611 ã. áûë óáèò êàçàêàìè. Ïåðâîå îïîë÷åíèå ðàñïàëîñü Âòîðîå îïîë÷åíèå (ñåíòÿáðü 1611 ã. — îêòÿáðü 1612 ã.) Ñîñòàâ è ðóêîâîäèòåëè Õðîíèêà ôàêòîâ Çåìñêîå íàðîäíîå îïîë÷åíèå âî ãëàâå ñ Ä.Ì. Ïîæàðñêèì è Ê.Ì. Ìèíèíûì Âîçãëàâèëè íîâûé Ñîâåò âñåÿ çåìëè Èíèöèàòîðîì ñîçäàíèÿ îïîë÷åíèÿ ñòàë çåìñêèé ñòàðîñòà Íèæíåãî Íîâãîðîäà Ê.Ì. Ìèíèí Ìàðò 1612 ã. — âûñòóïëåíèå îïîë÷åíèÿ èç Íèæíåãî Íîâãîðîäà â ßðîñëàâëü. Èþëü 1612 ã. — íà÷àëî ïîõîäà íà Ìîñêâó. 22—24 àâãóñòà 1612 ã. — ðàçãðîì îïîë÷åíèåì ïîëÿêîâ ãåòìàíà Õîò- êåâè÷à ó ñòåí Ìîñêâû. 22—26 îêòÿáðÿ 1612 ã. — øòóðì Êèòàé-ãîðîäà è Êðåìëÿ îáúåäè- íåííûìè ñèëàìè îïîë÷åíöåâ è ïðèñîåäèíèâøèõñÿ ê íèì êàçàêîâ êíÿçÿ Ä.Ò. Òðóáåöêîãî. Êàïèòóëÿ- öèÿ ïîëüñêîãî ãàðíèçîíà è ïîëíîå îñâîáîæäåíèå Ìîñêâû 76 Îòå÷åñòâåííàÿ èñòîðèÿ â ñõåìàõ è òàáëèöàõ ÍÀÐÎÄÍÎÅ ÎÏÎË×ÅÍÈÅ Ðàçâåðòûâàíèå íàöèîíàëüíî-îñâîáîäèòåëüíîãî äâèæåíèÿ ïðîòèâ èíòåðâåíòîâ
  • 78.
    ÂÎÖÀÐÅÍÈÅ ÄÈÍÀÑÒÈÈ ÐÎÌÀÍÎÂÛÕ. ÇÀÂÅÐØÅÍÈÅÑÌÓÒÛ 1614 ã. 1617 ã. 1618 ã. Ñìóòíîå âðåìÿ 77 Çåìñêèé ñîáîð ÿíâàðü — ôåâðàëü 1613 ã. ïðåòåíäåíòû íà ïðåñòîë l Â.Â. Ãîëèöûí l Ä.Ò. Òðóáåöêîé l Ä.Ì. Âîðîòûíñêèé l Ä.Ì. Ïîæàðñêèé l Â.È. Øóéñêèé l Âëàäèñëàâ Ïîëüñêèé l Êàðë Ôèëèïï øâåäñêèé l «Âîð¸íîê Èâàøêà» (ñûí Ëæåäìèòðèÿ II è Ìàðèíû Ìíèøåê) l Ì.Ô. Ðîìàíîâ Ìèõàèë Ôåäîðîâè÷ Ðîìàíîâ 21 ôåâðàëÿ 1613 ã. èçáðàíèå öàðÿ Çàâåðøåíèå Ñìóòû è îñâîáîæäåíèå ñòðàíû îò èíòåðâåíòîâ Ñõâà÷åíû è êàçíåíû àòàìàí È.Ì. Çàðóöêèé è «âîð¸íîê Èâàøêà» Ñòîëáîâñêèé ìèð ñî Øâåöèåé. Ðîññèè âîçâðàùåí Íîâãîðîä. Øâåöèÿ ñîõðàíèëà çà ñîáîé áàëòèéñêîå ïîáåðåæüå Âîåííûé ïîõîä êîðîëåâè÷à Âëàäèñëàâà íà Ìîñêâó, îòðàæåííûé ðóññêèìè âîéñêàìè. Äåóëèíñêîå ïåðåìèðèå ñ Ïîëüøåé íà 14 1/2 ëåò. Çà Ïîëüøåé îñòàëèñü Ñìîëåíñê è ×åðíèãîâ
  • 79.
    ÐÎÑÑÈß Â XVIIâ. Ðîññèÿ â XVII â.ÐÎÌÀÍÎÂÛ ÍÀ ÐÎÑÑÈÉÑÊÎÌ ÏÐÅÑÒÎËÅ (1613—1917) ÌÈÕÀÈË ÔÅÄÎÐÎÂÈ× 1613—1645 | Ìàðèÿ Ìèëîñëàâñêàÿ ÀËÅÊÑÅÉ ÌÈÕÀÉËÎÂÈ× Íàòàëüÿ Íàðûøêèíà 1645—1676 78 Îòå÷åñòâåííàÿ èñòîðèÿ â ñõåìàõ è òàáëèöàõ ÔÅÄÎÐ 1676—1682 ÈÂÀÍ V 1682—1696 ÑÎÔÜß 1682—1689 Åâäîêèÿ Ëîïóõèíà Àëåêñåé Ïåòð II 1727—1730 ÏÅÒÐ I 1682—1725 ÅÊÀÒÅÐÈÍÀ I 1725—1727 ÀÍÍÀ ËÅÎÏÎËÜÄÎÂÍÀ 1740—1741 ÅêàòåðèíàÀÍÍÀ ÈÎÀÍÍÎÂÍÀ 1730—1740 ÈÂÀÍ VI ÀÍÒÎÍÎÂÈ× 1740—1741 Àííà ÅËÈÇÀÂÅÒÀ 1741—1761 ÏÅÒÐ III 1761—1762 ÅÊÀÒÅÐÈÍÀ II 1762—1796 ÏÀÂÅË I 1796—1801 ÀËÅÊÑÀÍÄÐ I 1801—1825 ÍÈÊÎËÀÉ I 1825—1855 ÀËÅÊÑÀÍÄÐ II 1855—1881 ÀËÅÊÑÀÍÄÐ III 1881—1894 ÍÈÊÎËÀÉ II 1894—1917
  • 80.
    ÏÐÀÂËÅÍÈÅ ÖÀÐß ÌÈÕÀÈËÀÔÅÄÎÐÎÂÈ×À 1613—1645 ãã. Ðîññèÿ â XVII â. 79 Îñíîâíûå íàïðàâëåíèÿ ïîëèòèêè Êóðñ íà ïðèìèðåíèå â ñòðàíå, ðàçîðåííîé â Ñìóòíîå âðåìÿ Ïðåîäîëåíèå õîçÿéñòâåííîãî ðàçîðåíèÿ, âîññòàíîâëåíèå ãîñóäàðñòâåííîñòè, óïîðÿäî÷åíèå ñèñòåìû óïðàâëåíèÿ — ââåäåíèå âîåâîäñêîãî ïðàâëåíèÿ íà ìåñòàõ Ñìîëåíñêàÿ âîéíà 1632—1634 ãã. Îïîðà â óïðàâëåíèè ñòðàíîé íà Áîÿðñêóþ äóìó è Çåìñêèå ñîáîðû Ñîïðàâëåíèå ñûíà è îòöà 1619—1633 ãã. Öàðÿ Ìèõàèëà Ôåäîðîâè÷à Ðîìàíîâà Ïàòðèàðõà Ôèëàðåòà (â ìèðó Ôåäîðà Íèêèòè÷à Ðîìàíîâà)
  • 81.
    80 Îòå÷åñòâåííàÿ èñòîðèÿâ ñõåìàõ è òàáëèöàõ ÝÊÎÍÎÌÈ×ÅÑÊÎÅ ÐÀÇÂÈÒÈÅ ÐÎÑÑÈÈ Â XVII â. ÍÎÂÛÅ ßÂËÅÍÈß Â ÕÎÇßÉÑÒÂÅÍÍÎÉ ÆÈÇÍÈ Ïðåîáðàçîâàíèå ðåìåñëà â ìåëêîòîâàðíîå ïðîèçâîäñòâî Ðàçâèòèå ñïåöèàëèçàöèè îòäåëüíûõ òåððèòîðèé è ðîñò òîðãîâîãî îáîðîòà Âîçíèêíîâåíèå Öåíòðîâ õóäîæåñòâåííîãî ïðîèçâîäñòâà (Õîõëîìà) Îáùåðîññèéñêèõ ÿðìàðîê (Ìàêàðüåâñêàÿ, Èðáèòñêàÿ) Ïîÿâëåíèå ìàíóôàêòóð Êàçåííûå Îðóæåéíàÿ ïàëàòà, Õàìîâíûé äâîð ×àñòíîâëàäåëü÷åñêèå Ìåòàëëóðãè÷åñêèå ïðîèçâîäñòâà (Òóëà, Êàøèðà, Óðàë) Íà÷àëî ñêëàäûâàíèÿ âñåðîññèéñêîãî ðûíêà
  • 82.
    ÏÐÀÂËÅÍÈÅ ÖÀÐß ÀËÅÊÑÅßÌÈÕÀÉËÎÂÈ×À 1645—1676 ãã. Ðîññèÿ â XVII â. 81 Îãðàíè÷åíèå âëàñòè Áîÿðñêîé äóìû — ñîçäàíèå Ïðèêàçà òàéíûõ äåë (ñ 1654) Îñíîâíûå íàïðàâëåíèÿ ïîëèòèêè Ñîáîðíîå óëîæåíèå 1649 ã. Ãîñóäàðñòâåííîå çàêðåïîùåíèå êðåñòüÿíñòâà Ðåôîðìû ïàòðèàðõà Íèêîíà. Öåðêîâíûé ðàñêîë Âõîæäåíèå Óêðàèíû â ñîñòàâ Ðîññèè (1654) Ñîöèàëüíûå ïîòðÿñåíèÿ Êàçàöêî-êðåñòüÿíñêàÿ âîéíà ïîä ïðåäâîäèòåëüñòâîì Ñòåïàíà Ðàçèíà (1670—1671) Ãîðîäñêèå âîññòàíèÿ ü «Ñîëÿíîé áóíò» (1648) ü Âîññòàíèå ïîñàäñêèõ ëþäåé â Ïñêîâå è Íîâãîðîäå (1650) ü «Ìåäíûé áóíò» (1662) Âíåøíÿÿ ïîëèòèêà Âîéíû ü Ðóññêî-ïîëüñêàÿ (1654—1667) ü Ðóññêî-øâåäñêàÿ (1656—1661)
  • 83.
    ÇÀÊÐÅÏÎÙÅÍÈÅ ÐÓÑÑÊÎÃÎ ÊÐÅÑÒÜßÍÑÒÂÀ 82Îòå÷åñòâåííàÿ èñòîðèÿ â ñõåìàõ è òàáëèöàõ Ïðè÷èíû Íèçêàÿ ïðîèçâîäèòåëüíîñòü êðåñòüÿíñêèõ õîçÿéñòâ Ýêîíîìè÷åñêàÿ çàâèñèìîñòü êðåñòüÿí îò ôåîäàëîâ Ïîñòîÿííî âîçíèêàâøèå ðàñõîäû íà ïîääåðæàíèå îáîðîíîñïîñîáíîñòè ñòðàíû è íåîáõîäèìîñòü óêðåïëåíèÿ åå îñíîâû — ñëóæèëîãî ñîñëîâèÿ — ïîìåùèêîâ-çåìëåâëàäåëüöåâ Íåîáõîäèìîñòü îáåñïå÷åíèÿ ãîñïîäñòâóþùèõ ñëîåâ áåñïëàòíîé ðàáî÷åé ñèëîé ïóòåì ïðèêðåïëåíèÿ êðåñòüÿí ê çåìëå è ôåîäàëó Êðåïîñòíîå ïðàâî — íàèáîëåå òÿæåëàÿ ôîðìà çàâèñèìîñòè êðåñòüÿí îò ïîìåùèêîâ, âëàñòü êîòîðûõ ðàñïðîñòðàíÿëàñü íà ëè÷íîñòü, òðóä è èìóùåñòâî ïðèíàäëåæàâøèõ èì êðåñòüÿí
  • 84.
    Ðîññèÿ â XVIIâ. 83 Çàêðåïîùåíèå ðóññêîãî êðåñòüÿíñòâà Èñòîðè÷åñêèå êîíöåïöèè «Áåçóêàçíîå çàêðåïîùåíèå êðåñòüÿí» «Óêàçíîå çàêðåïîùåíèå êðåñòüÿí» Êðåïîñòíîå ïðàâî ââåäåíî ïî èíèöèàòèâå ãîñóäàðñòâåííîé âëàñòè, èñõîäÿ èç ïîòðåáíîñòåé îáîðîíîñïîñîáíîñòè ñòðàíû è äëÿ îáåñïå÷åíèÿ ñëóæèëîãî ñîñëîâèÿ. Í.Ì. Êàðàìçèí, Ñ.Ì. Ñîëîâüåâ, Í.È. Êîñòîìàðîâ, Ñ.Á. Âåñåëîâñêèé, Á.Ä. Ãðåêîâ, Ð.Ã. Ñêðûííèêîâ è äð. Êðåïîñòíîå ïðàâî åñòü ñëåäñòâèå ðåàëüíûõ æèçíåííûõ óñëîâèé ñòðàíû, îôîðìëåííîå ãîñóäàðñòâîì ëèøü þðèäè÷åñêè. Â.Î. Êëþ÷åâñêèé, Ì.Ï. Ïîãîäèí, Ì.À. Äüÿêîíîâ Îñíîâíûå ýòàïû çàêðåïîùåíèÿ ðóññêîãî êðåñòüÿíñòâà â XVI—XVII ââ. Óêàç Èâàíà IV Ãðîçíîãî «Î çàïîâåäíûõ ëåòàõ» Ââåäåíèå çàïðåòà íà êðåñòüÿíñêèå ïåðåõîäû â Þðüåâ äåíü Óêàç Ôåäîðà Èâàíîâè÷à «Îá óðî÷íûõ ëåòàõ» Óñòàíîâëåíèå 5-ëåòíåãî ãîñóäàðñòâåííîãî ñûñêà áåãëûõ êðåñòüÿí 1581 ã. 1597 ã. 1637—1641 ãã. Óêàçû Ìèõàèëà Ôåäîðîâè÷à Óâåëè÷åíèå ñðîêà ãîñóäàðñòâåííîãî ñûñêà äî 9, à çàòåì äî 15 ëåò Ñîáîðíîå óëîæåíèå Àëåêñåÿ Ìèõàéëîâè÷à 1649 ã. Óñòàíîâëåíèå áåññðî÷íîãî ñûñêà áåãëûõ êðåñòüÿí. Îêîí÷àòåëüíîå (áåññðî÷íîå), ïîëíîå (ïîòîìñòâåííîå) çàêðåïîùåíèå êðåñòüÿí Îêîí÷àòåëüíîå þðèäè÷åñêîå îôîðìëåíèå êðåïîñòíîãî ïðàâà
  • 85.
    Êîäåêñ îòå÷åñòâåííîãî ôåîäàëüíîãî ïðàâà,ðåãóëèðîâàâøèé îòíîøåíèÿ â îñíîâíûõ ñôåðàõ æèçíè îáùåñòâà 84 Îòå÷åñòâåííàÿ èñòîðèÿ â ñõåìàõ è òàáëèöàõ ÑÎÁÎÐÍÎÅ ÓËÎÆÅÍÈÅ 1649 ã. 25 ãëàâ 967 ñòàòåé Ïåðâûé ñâîä çàêîíîâ, îòïå÷àòàííûé òèïîãðàôñêèì ñïîñîáîì Îêîí÷àòåëüíîå þðèäè÷åñêîå çàêðåïîùåíèå êðåñòüÿíñòâà Çàêîíîäàòåëüíîå çàêðåïëåíèå ïðîöåññà ñòàíîâëåíèÿ àáñîëþòíîé ìîíàðõèè Îôîðìëåíèå ñîñëîâíîé ñòðóêòóðû îáùåñòâà Ïðèêðåïëåíèå æèòåëåé ïîñàäà (ãîðîäà) ê «òÿãëó» è ìåñòó æèòåëüñòâà Ãëàâà II «Î ãîñóäàðüñêîé ÷åñòè è êàê åãî ãîñóäàðüñêîå çäîðîâüå îáåðåãàòü» Ðåãëàìåíòàöèÿ ïðàâ è îáÿçàííîñòåé âñåõ ñîñëîâèé
  • 86.
    ÇÅÌÑÊÈÅ ÑÎÁÎÐÛ ÂXVI—XVII ââ. 1549 ã. Ïåðâûé Çåìñêèé ñîáîð áûë ñîçâàí ïðè Èâàíå IV Ãðîçíîì è ïîëó÷èë íàçâàíèå «ñîáîð ïðèìèðåíèÿ», òàê êàê ðàññìàòðèâàë ïðîáëåìû îòìåíû êîðìëåíèé è ïðåñå÷åíèå çëîóïîòðåáëåíèé íàìåñòíèêîâ è âîëîñòèòåëåé 1566 ã. Ñîçâàí äëÿ îáñóæäåíèÿ âîïðîñà î ïðîäîëæåíèè Ëèâîíñêîé âîéíû 1598 ã. Èçáðàíèå íà Çåìñêîì ñîáîðå íîâîãî öàðÿ Áîðèñà Ãîäóíîâà 1613 ã. Çåìñêèé ñîáîð çàâåðøèë Ñìóòíîå âðåìÿ è èçáðàë íà öàðñòâî Ìèõàèëà Ôåäîðîâè÷à Ðîìàíîâà 1613—1622 ãã. Çåìñêèå ñîáîðû çàñåäàþò ïî÷òè íåïðåðûâíî è ïîìîãàþò Ìèõàèëó Ðîìàíîâó â óïðàâëåíèè ãîñóäàðñòâîì 1642 ã. Ñîçâàí äëÿ ðåøåíèÿ Àçîâñêîãî âîïðîñà. Êàçàêè ñàìîñòîÿòåëüíî çàõâàòèëè êðåïîñòü Àçîâ è ïðåäëîæèëè ïðèíÿòü åå â ñîñòàâ Ðîññèè, ÷òî ãðîçèëî âîéíîé ñ Òóðöèåé. Ñîáîð ïîñòàíîâèë âåðíóòü Àçîâ 1648—1649 ãã. Óòâåðæäåíèå íîâîãî ñâîäà çàêîíîâ — Ñîáîðíîãî óëîæåíèÿ Àëåêñåÿ Ìèõàéëîâè÷à 1653 ã. Ðåøåíèå Çåìñêîãî ñîáîðà î âîññîåäèíåíèè Óêðàèíû ñ Ðîññèåé 1682—1684 ãã. Óãàñàíèå çåìñêîé äåÿòåëüíîñòè. Áîðüáà çà âëàñòü è ìíîãî÷èñëåííûå ñîñëîâíûå ñîâåùàíèÿ ïî ðàçíûì âîïðîñàì, êîòîðûå íåêîòîðûå èññëåäîâàòåëè ñ÷èòàþò Çåìñêèìè ñîáîðàìè ! Ñ ýâîëþöèåé ãîñóäàðñòâåííîãî ñòðîÿ Ðîññèè îò ñîñëîâíî-ïðåäñòàâèòåëüñêîé ìîíàðõèè ê àáñîëþòèçìó Çåìñêèå ñîáîðû ïðåêðàùàþò ñâîþ äåÿòåëüíîñòü ! Ðîññèÿ â XVII â. 85
  • 87.
    Çåìñêèå ñîáîðû âXVI—XVII ââ.ÂÛÑØÈÅ ÑÎÑËÎÂÍÎ-ÏÐÅÄÑÒÀÂÈÒÅËÜÍÛÅ Ó×ÐÅÆÄÅÍÈß 86 Îòå÷åñòâåííàÿ èñòîðèÿ â ñõåìàõ è òàáëèöàõ Ñîñòàâ Çåìñêèõ ñîáîðîâ: 300—400 ÷åë. Öàðü Çåìñêèé ñîáîð «Îñâÿùåííûé ñîáîð» (âûñøåå äóõîâåíñòâî) Áîÿðñêàÿ äóìà Âûáîðíàÿ êóðèÿ (÷àñòü) ÌîñêîâñêèåäâîðÿíåÃîñóäàðåâàäâîðà Ìîñêîâñêàÿïðèêàçíàÿàäìèíèñòðàöèÿ Âûáîðíîåèãîðîäîâîåóåçäíîå äâîðÿíñòâî Ìîñêîâñêàÿãîñòèíàÿèñóêîííàÿñîòíè Òîðãîâî-ðåìåñëåííûåëþäèòÿãëûõ ñëîáîäÌîñêîâñêîãîïîñàäà «Ñëóæèëûåëþäèïîïðèáîðó»—êàçàêè, ñòðåëüöû,ãîñóäàðñòâåííûåêðåñòüÿíå (òîëüêîíàÑîáîðå1613ã.)
  • 88.
    ÃÎÑÓÄÀÐÑÒÂÅÍÍÎÅ ÓÏÐÀÂËÅÍÈÅ Ïîñòîÿííûå Ðîññèÿ âXVII â. 87 Öàðü Çåìñêèå ñîáîðû Ïàòðèàðõ Ïàòðèàðøèå ïðèêàçûÁîÿðñêàÿ äóìà ÏÐÈÊÀÇÛ Ñ÷åòíûé Òàéíûõ äåëÂðåìåííûå Ðàçðÿäíûé Ïóøêàðñêèé Êàçåííûé Ñòðåëåöêèé Ïîìåñòíûé Ïîñîëüñêèé Ìåñòíîå óïðàâëåíèå Ñòàðîñòû Âîåâîäû Ãóáíûå Çåìñêèå Ïðèêàçíàÿ (ñúåçæàÿ) èçáà Ãîëîâû (îñàäíûå, îáúåçæèå, êàáàöêèå è äð.)
  • 89.
    ÑÎÖÈÀËÜÍÎ-ÑÎÑËÎÂÍÀß ÑÒÐÓÊÒÓÐÀ ÐÎÑÑÈÉÑÊÎÃÎ ÎÁÙÅÑÒÂÀ XVII â. I. Ïðèâèëåãèðîâàííûå ñîñëîâèÿ II. Çàâèñèìûå ñîñëîâèÿ 88 Îòå÷åñòâåííàÿ èñòîðèÿ â ñõåìàõ è òàáëèöàõ Ôåîäàëû Ñâåòñêèå «Äóìíûå ÷èíû» — áîÿðå, îêîëüíè÷üè, äóìíûå äâîðÿíå è äüÿêè «×èíû ãîðîäîâûå» — ïðîâèíöèàëüíûå äâîðÿíå — äåòè áîÿðñêèå «×èíû ìîñêîâñêèå» — ñòîëüíèêè, ñòðÿï÷èå, ìîñêîâñêèå äâîðÿíå Äóõîâíûå Äóõîâåíñòâî Êðåñòüÿíå «Òÿãëûå ëþäè» ×àñòíîâëàäåëü÷åñêèå, ïîìåùè÷üè, êðåïîñòíûå Óäåëüíûå è äâîðöîâûå, ïðèíàäëåæàùèå öàðñêîé ñåìüå ×åðíîñîøíûå, íåêðåïîñòíûå, ñâîáîäíûå îáùèííèêè Æèòåëè ïîñàäà Ðåìåñëåííèêè Êóïöû 1. Ñóêîííàÿ ñîòíÿ 2. Ãîñòèíàÿ ñîòíÿ Õîëîïû Ïîëíûå Êàáàëüíûå «Ñëóæèëûå ëþäè ïî ïðèáîðó» 1. Ñòðåëüöû 2. Êàçàêè 3. Ïóøêàðè Ñîñëîâèå — ñîöèàëüíàÿ ãðóïïà, îáëàäàþùàÿ çàêðåïëåííûìè â îáû÷àå èëè çàêîíå è ïåðåäàâàåìûìè ïî íàñëåäñòâó ïðàâàìè è îáÿçàííîñòÿìè
  • 90.
    ÖÅÐÊÎÂÍÛÉ ÐÀÑÊÎË Ðîññèÿ âXVII â. 89 Ðåôîðìû ïàòðèàðõà Íèêîíà Òåîðèÿ «Ìîñêâà — òðåòèé Ðèì» Èñïðàâëåíèå áîãîñëóæåáíûõ êíèã ïî ãðå÷åñêèì îáðàçöàì Èçìåíåíèå îáðÿäíîñòè Ðóññêîé ïðàâîñëàâíîé öåðêâè Ââåäåíèå òðîåïåðñòèÿ ïðè êðåñòíîì çíàìåíèè Ðàñêîë Îôèöèàëüíàÿ Ïðàâîñëàâíàÿ öåðêîâü Öåðêîâíûé ñîáîð 1666—1667 ãã., íà÷àëî ðàñêîëà Ñòàðîîáðÿä÷åñòâî Àââàêóì Ñîëîâåöêîå âîññòàíèå 1668—1676 ãã. ÏÐÈ×ÈÍÛ 1. Ïðîòèâîðå÷èÿ â öåðêîâíîé ñðåäå 2. Ïñèõîëîãè÷åñêàÿ íåãîòîâíîñòü ÷àñòè âåðóþùèõ ê âîñïðèÿòèþ ðåëèãèîçíûõ íîâøåñòâ
  • 91.
    1. Çàêðåïîùåíèå êðåñòüÿíè ðîñò èõ ïîâèííîñòåé 2. Óñèëåíèå íàëîãîâîãî ãíåòà 3. Ïîïûòêà îãðàíè÷åíèÿ êàçà÷üåé âîëüíîñòè 4. Öåðêîâíûé ðàñêîë è ïðåñëåäîâàíèå ñòàðîîáðÿäöåâ 90 Îòå÷åñòâåííàÿ èñòîðèÿ â ñõåìàõ è òàáëèöàõ ÍÀÐÎÄÍÛÅ ÂÎÑÑÒÀÍÈß Áóíòàøíûé âåê Îñíîâíûå ïðè÷èíû Ãîðîäñêèå âîññòàíèÿ «Ñîëÿíîé áóíò» 1648 ã. Ïñêîâ, Íîâãîðîä 1650 ã. «Ìåäíûé áóíò» 1662 ã. Êàçàöêî-êðåñòüÿíñêîå âîññòàíèå ïîä ïðåäâîäèòåëüñòâîì Ñòåïàíà Ðàçèíà 1667—1671 ãã.
  • 92.
    ÃÎÐÎÄÑÊÈÅ ÂÎÑÑÒÀÍÈß Ðîññèÿ âXVII â. 91 1—10 èþíÿ 1648 ã. «Ñîëÿíîé áóíò» â Ìîñêâå Íàðîäíîå âîçìóùåíèå ïîëèòèêîé öàðñêîãî ïðàâèòåëüñòâà âî ãëàâå ñ Á.È. Ìîðîçîâûì, êîòîðîå â 1646 ã. ââåëî íàëîã íà ñîëü, íî èç-çà ìàññîâûõ ïðîòåñòîâ îí áûë îòìåíåí â ôåâðàëå 1647 ã.  1648 ã. ïðàâèòåëüñòâî ðåøèëî âçûñêàòü çà 2 ãîäà íåäîèìîê ñ íàñåëåíèÿ (òàê íàçûâàåìûå ñòðåëåöêèå è ÿìñêèå äåíüãè), ÷òî è âûçâàëî ñîöèàëüíûé âçðûâ â ñòîëèöå. Ïîñëåäîâàë ðàçãðîì äâîðîâ ìîñêîâñêîé çíàòè, óáèéñòâî âîññòàâøèìè ãëàâ Çåìñêîãî ïðèêàçà (Ë. Ïëåùååâà) è Ïóøêàðñêîãî ïðèêàçà (Ï. Òðàõàíèîòîâà), äüÿêà Í. ×èñòîãî. Âëàñòè ïîøëè íà óñòóïêè: ó÷àñòâîâàâøèì â âîññòàíèè ñòðåëüöàì âîçâðàòèëè ïî 8 ðóáëåé, áûëî ïðèíÿòî ðåøåíèå î ñîçûâå Çåìñêîãî ñîáîðà äëÿ ñîñòàâëåíèÿ íîâîãî óëîæåíèÿ Âîññòàíèÿ  Ïñêîâå (ôåâð. — àâã. 1650 ã.) è â Íîâãîðîäå (ìàðò — àïðåëü 1650 ã.) Íàðîäíîå íåäîâîëüñòâî ðîñòîì öåí íà õëåá è ïåðåäà÷åé õëåáíûõ çàïàñîâ Øâåöèè â êà÷åñòâå êîìïåíñàöèè çà óõîä íàñåëåíèÿ ñ îòîøåäøèõ Øâåöèè ðóññêèõ çåìåëü. Ïåðåõîä âëàñòè â ãîðîäàõ îò öàðñêèõ íàìåñòíèêîâ ê çåìñêèì ñòàðîñòàì Íîâãîðîäöû íå ïðîÿâèëè ñòîéêîãî ñîïðîòèâëåíèÿ, îòêðûëè âîðîòà ãîðîäà. Èíèöèàòîðû âîññòàíèÿ áûëè çàêëþ÷åíû ïîä ñòðàæó Óñìèðåíèå âîññòàíèé öàðñêèìè âîéñêàìè âî ãëàâå ñ êíÿçåì È.Í. Õîâàíñêèì Ïñêîâ. Òðåõìåñÿ÷íàÿ îáîðîíà ãîðîäà. Ïðåêðàùåíèå ñîïðîòèâëåíèÿ ïîñëå ïåðåãîâîðîâ ñ äåëåãàöèåé Çåìñêîãî ñîáîðà 25—26 èþëÿ 1662 ã. — «Ìåäíûé áóíò» â Ìîñêâå Ïîâîäîì ê âîññòàíèþ ïîñëóæèëà äåíåæíàÿ ðåôîðìà 1654 ã. — ââåäåíèå ìåäíûõ äåíåã, ïðèðàâíåííûõ ê ñåðåáðÿíûì. Ñ òå÷åíèåì âðåìåíè ýòî ïðèâåëî ê ñåðüåçíîìó èõ îáåñöåíèâàíèþ, ÷òî ðåçêî ñíèçèëî ïîêóïàòåëüíóþ ñïîñîáíîñòü íàñåëåíèÿ. Ïî Ìîñêâå áûëè ðàñêëååíû ïðîêëàìàöèè («âîðîâñêèå ïèñüìà»), â êîòîðûõ áëèçêèå ê öàðþ ëþäè: áîÿðå È.Ä. è È.Ì. Ìèëîñëàâñêèå, îêîëüíè÷èé Ô.È. Ðòèùåâ, êóïåö Â. Øîðèí — îáâèíÿëèñü â ñãîâîðå ñ ïîëÿêàìè ïî ÷åêàíêå ìåäíûõ äåíåã ñ öåëüþ ðàçîðåíèÿ Ðîññèè. Òîëïà äâèíóëàñü â Êîëîìåíñêîå, ãäå íàõîäèëñÿ öàðü Àëåêñåé Ìèõàéëîâè÷, âñòóïèâøèé â ïåðåãîâîðû ñ âîññòàâøèìè. Íî çàòåì áûëè âûçâàíû âåðíûå öàðþ ñòðåëåöêèå ïîëêè, ïîäàâèâøèå âûñòóïëåíèå æèòåëåé Ìîñêîâñêîãî ïîñàäà. Ìíîãèå ëþäà áûëè ñõâà÷åíû è êàçíåíû  1663 ã. âûïóñê ìåäíûõ äåíåã áûë ïðåêðàùåí
  • 93.
    ÊÀÇÀÖÊÎ-ÊÐÅÑÒÜßÍÑÊÎÅ ÂÎÑÑÒÀÍÈÅ ÏÎÄ ÏÐÅÄÂÎÄÈÒÅËÜÑÒÂÎÌÑÒÅÏÀÍÀ ÐÀÇÈÍÀ 1667—1671 ãã. I ýòàï 1667—1669 ãã. «Ïîõîä çà çèïóíàìè» Ïîõîä êàçàêîâ è áåãëûõ êðåñòüÿí âî ãëàâå ñ Ðàçèíûì ñ Äîíà íà Âîëãó è Êàñïèéñêîå ìîðå. Çàõâàò òîðãîâûõ êàðàâàíîâ ðóññêèõ è ïåðñèäñêèõ êóïöîâ. Ïîõîä íà âîñòî÷íîå ïîáåðåæüå Êàñïèéñêîãî ìîðÿ. Ïîáåäà íàä ôëîòîì ïåðñèäñêîãî õàíà. Âîçâðàò íà Äîí ñ áîãàòîé äîáû÷åé II ýòàï 1670—1671 ãã. Àíòèêðåïîñòíè÷åñêîå âûñòóïëåíèå ÖÅËÈ — çàõâàò Ìîñêâû — óíè÷òîæåíèå áîÿð è äâîðÿí — ëèêâèäàöèÿ êðåïîñòíîãî ïðàâà — óñòàíîâëåíèå êàçàöêîãî óêëàäà æèçíè ïî âñåé ñòðàíå Àïðåëü — èþëü 1670 ã. — ïîõîä Ðàçèíà íà Âîëãó. Âçÿòèå êàçàêàìè Öàðèöûíà, Êàìûøèíà è ×åðíîãî ßðà. Øòóðì è îâëàäåíèå Àñòðàõàíüþ (22 èþíÿ). Êàçíü âîññòàâøèìè âîåâîäû È.Ñ. Ïðîçîðîâñêîãî è 500 äâîðÿí è ïðèêàçíûõ. Ðàñïðîñòðàíåíèå âîññòàíèÿ íà Ïîâîëæüå. Àâãóñò — ñåíòÿáðü 1670 ã. — äâèæåíèå âîññòàâøèõ èç Àñòðàõàíè ââåðõ ïî Âîëãå. Âçÿòèå áåç áîÿ Ñàðàòîâà è Ñàìàðû. Îñàäà ïîâñòàíöàìè Ñèìáèðñêà, ãäå ðàçâåðíóëèñü ðåøàþùèå ñðàæåíèÿ. Ïîðàæåíèå Ñ. Ðàçèíà (1 îêòÿáðÿ 1670 ã.) è óõîä åãî ñ îòðÿäîì êàçàêîâ íà Äîí. 14 àïðåëÿ 1671 ã. — çàõâàò Ñ. Ðàçèíà êàçàöêîé ñòàðøèíîé è âûäà÷à åãî öàðñêèì âëàñòÿì. 6 èþíÿ 1671 ã. — êàçíü Ñ. Ðàçèíà â Ìîñêâå 92 Îòå÷åñòâåííàÿ èñòîðèÿ â ñõåìàõ è òàáëèöàõ
  • 94.
    ÂÍÅØÍßß ÏÎËÈÒÈÊÀ Âíåøíÿÿ ïîëèòèêà Ðîññèÿâ XVII â. 93 ÎÑÍÎÂÍÛÅ ÍÀÏÐÀÂËÅÍÈß Ñåâåðî-çàïàäíîå Þãî-çàïàäíîå Þæíîå Âîñòî÷íîå Áîðüáà ñî Øâåöèåé çà âûõîä ê Áàëòèéñêîìó ìîðþ Ïðèñîåäèíåíèå Óêðàèíû ê Ðîññèè Áîðüáà ñ Êðûìîì è Òóðöèåé Îñâîåíèå Ñèáèðè Ðóññêî-øâåäñêàÿ âîéíà 1656—1661 ãã. Ñìîëåíñêàÿ âîéíà 1632—1634 ãã. Ðóññêî-òóðåöêàÿ âîéíà 1677—1681 ãã. Ðóññêî-ïîëüñêàÿ âîéíà 1654—1667 ãã. «Âå÷íûé ìèð» 1686 ã.
  • 95.
    94 Îòå÷åñòâåííàÿ èñòîðèÿâ ñõåìàõ è òàáëèöàõ ÞÃÎ-ÇÀÏÀÄÍÎÅ ÍÀÏÐÀÂËÅÍÈÅ ÂÍÅØÍÅÉ ÏÎËÈÒÈÊÈ Ñìîëåíñêàÿ âîéíà 1632—1634 ãã. Ïîïûòêà Ðîññèè âåðíóòü ðóññêèå çåìëè (ïðåæäå âñåãî Ñìîëåíñê), çàõâà÷åííûå Ïîëüøåé â ïåðèîä Ñìóòíîãî âðåìåíè Õîä âîéíû ü  äåêàáðå 1632 ã. ðóññêèå âîéñêà ïîä êîìàíäîâàíèåì áîÿðèíà Ì.Á. Øåèíà íà÷àëè 8-ìåñÿ÷íóþ îñàäó Ñìîëåíñêà, íî âçÿòü ãîðîä íå óäàëîñü ü  àâãóñòå 1633 ã. ê Ñìîëåíñêó ïîäîøëè îñíîâíûå ñèëû ïîëüñêîé àðìèè âî ãëàâå ñ íîâûì êîðîëåì Âëàäèñëàâîì, è ðóññêèå âîéñêà ïîïàëè â îêðóæåíèå ü  ôåâðàëå 1634 ã. ðóññêèå âîéñêà, íå äîæäàâøèñü ïîìîùè èç Ìîñêâû, êàïèòóëèðîâàëè, îñòàâèâ ïîëÿêàì âñþ àðòèëëåðèþ è çíàìåíà. Ïîçæå êîìàíäóþùèé ðóññêîé àðìèåé Ì.Á. Øåèí áûë îáâèíåí â èçìåíå è êàçíåí ü Ëèêâèäèðîâàâ îñíîâíûå ðóññêèå ñèëû ïîä Ñìîëåíñêîì, Âëàäèñëàâ äâèíóëñÿ â ïîõîä äà Ìîñêâó. Íî íà åãî ïóòè âñòàëà íåáîëüøàÿ êðåïîñòü Áåëàÿ, óïîðíàÿ îáîðîíà êîòîðîé â ôåâðàëå — ìàðòå 1634 ã. îñòàíîâèëà ïîëüñêîå íàñòóïëåíèå. Íà÷àëèñü ìèðíûå ïåðåãîâîðû ü  èþíå 1634 ã. áûë ïîäïèñàí Ïîëÿíîâñêèé (áëèç ðåêè Ïîëÿíîâêà) ìèðíûé äîãîâîð, â ñîîòâåòñòâèè ñ êîòîðûì Ïîëüøà ñîõðàíÿëà çà ñîáîé Ñìîëåíñêèå çåìëè, íî Âëàäèñëàâ îòêàçûâàëñÿ îò ïðèòÿçàíèé íà ìîñêîâñêèé ïðåñòîë è ïðèçíàâàë Ìèõàèëà Ôåäîðîâè÷à Ðîìàíîâà çàêîííûì öàðåì
  • 96.
    ÂÕÎÆÄÅÍÈÅ ÓÊÐÀÈÍÛ ÂÑÎÑÒÀ ÐÎÑÑÈÈ I. I ýòàï. 1648—1649 ãã. Íàðîäû, ïðîæèâàâøèå íà òåððèòîðèÿõ, âõîäèâøèõ ðàíåå â Äðåâíåðóññêîå ãîñóäàðñòâî, èñïûòûâàëè â Ðå÷è Ïîñïîëèòîé ñîöèàëüíîå, íàöèîíàëüíîå è ðåëèãèîçíîå óãíåòåíèå.  1648 ã. êàçàêè âî ãëàâå ñ Á. Õìåëüíèöêèì íà÷àëè îñâîáîäèòåëüíóþ áîðüáó ñ Ïîëüøåé, â êîòîðîé ïðèíèìàëè ó÷àñòèå óêðàèíñêèå è áåëîðóññêèå êðåñòüÿíå. Êàçàêè â 1648 ã. äîáèëèñü ðÿäà âïå÷àòëÿþùèõ ïîáåä (ïîä Êîðñóíåì, Ïèëÿâöàìè) è çàíÿëè Êèåâ. Èòîãîì ýòîãî ýòàïà ñòàëî çàêëþ÷åíèå â àâãóñòå 1649 ã. Çáðîâñêîãî ìèðíîãî äîãîâîðà ñ Ïîëüøåé, ïî êîòîðîìó êàçàêè ïîëó÷àëè ñàìîñòîÿòåëüíîå ãîñóäàðñòâåííîå óïðàâëåíèå âî ãëàâå ñ ãåòìàíîì Á. Õìåëüíèöêèì â Êèåâñêîì, ×åðíèãîâñêîì è Âðîöëàâñêîì âîåâîäñòâàõ II ýòàï. 1650—1651 ãã. Ìèð îêàçàëñÿ íåïðî÷íûì, è âîåííûå äåéñòâèÿ âîçîáíîâèëèñü, íî îêàçàëèñü íåóäà÷íûìè äëÿ êàçàêîâ Á. Õìåëüíèöêîãî. Îíè ïîòåðïåëè â èþíå 1651 ã. òÿæåëîå ïîðàæåíèå ïîä Áåðåñòå÷êîì è áûëè âûíóæäåíû çàêëþ÷èòü â äåêàáðå 1651 ã. íîâûé ìèðíûé äîãîâîð â Áåëîé Öåðêâè, ïî êîòîðîìó âëàñòü ãåòìàíà ñîõðàíÿëàñü òîëüêî â Êèåâå III ýòàï. 1653—1654 ãã. Á. Õìåëüíèöêèé, ïîíèìàÿ, ÷òî êàçàêàì ñàìîñòîÿòåëüíî íå ñïðàâèòüñÿ ñ Ïîëüøåé, îáðàòèëñÿ ê ïðàâèòåëüñòâó Ðîññèè ñ ïðîñüáîé ïðèíÿòü Óêðàèíó â åå ñîñòàâ. 1 îêòÿáðÿ 1653 ã. — Çåìñêèé ñîáîð ïðèíÿë ðåøåíèå î âêëþ÷åíèè Óêðàèíû â ñîñòàâ Ðîññèè è îá îáúÿâëåíèè âîéíû Ïîëüøå. 8 ÿíâàðÿ 1654 ã. — â ãîðîäå Ïåðåÿñëàâëå Ñîâåò (Ðàäà), íà êîòîðîì ñîáðàëèñü âûáîðíûå ïðåäñòàâèòåëè îò âñåõ ñîñëîâèé óêðàèíñêîãî íàñåëåíèÿ, åäèíîäóøíî âûñêàçàëñÿ çà âõîæäåíèå Óêðàèíû â ñîñòàâ Ðîññèè Ðîññèÿ â XVII â. 95 Îñâîáîäèòåëüíàÿ âîéíà óêðàèíñêîãî íàðîäà ñ Ðå÷üþ Ïîñïîëèòîé çà ñîçäàíèå óêðàèíñêîé ãîñóäàðñòâåííîñòè
  • 97.
    II. Çàêëþ÷åíèå «Âå÷íîãî ìèðà»â Ìîñêâå Ïåðåõîä îò êîíôðîíòàöèè ê ìèðíûì ñîþçíè÷åñêèì îòíîøåíèÿì ìåæäó Ðîññèåé è Ïîëüøåé 96 Îòå÷åñòâåííàÿ èñòîðèÿ â ñõåìàõ è òàáëèöàõ ÐÓÑÑÊÎ-ÏÎËÜÑÊÀß ÂÎÉÍÀ 1654—1667 ãã. Ñëåäñòâèå âõîæäåíèÿ Óêðàèíû â ñîñòàâ Ðîññèè Êàìïàíèÿ 1657—1662 ãã. ü  1657 ã. óìåð Á. Õìåëüíèöêèé, à íîâûé ãåòìàí È. Âûãîâñêèé çàêëþ÷èë ñîþç ñ Ïîëüøåé. Ýòî ñïîñîáñòâîâàëî âîçîáíîâëåíèþ ðóññêî-ïîëüñêîé âîéíû, êîòîðàÿ ïðèíÿëà çàòÿæíîé õàðàêòåð ü  1659 ã. êàçàêè ñâåðãëè ãåòìàíà È. Âûãîâñêîãî è âíîâü ïîäòâåðäèëè ïðè- ñÿãó ìîñêîâñêîìó öàðþ. Ãåòìàíîì ñòàë ñûí Õìåëüíèöêîãî — Þðèé ü  1660—1662 ãã. ðÿä ñóùåñòâåííûõ ïîðàæåíèé òåðïèò ðóññêàÿ àðìèÿ — ó Ãóáàðåâî è ×óäíîâà (1660), ïðè Êóøëèêàõ (1661), ïîëÿêè çàõâàòûâàþò Âèëüíî (1662). Ïîòåðÿ Ðîññèåé ðàíåå çàõâà÷åííûõ òåððèòîðèé Ëèòâû è Áå- ëîðóññèè Êàìïàíèÿ 1654—1656 ãã. ü 1654 ã. — Âçÿòèå ðóññêèìè âîéñêàìè Ñìîëåíñêà, Ïîëîöêà è Âèòåáñêà ü 1655 ã. — Óñïåõè ðóññêî-óêðàèíñêèõ âîéñê — çàõâàò ãîðîäîâ Ìèíñê è Âèëüíî ü 1656 ã. — Çàêëþ÷åíèå ïåðåìèðèÿ ìåæäó Ðîññèåé è Ïîëüøåé ââèäó âîåííîé óãðîçû îáåèì ñòðàíàì ñî ñòîðîíû Øâåöèè Êàìïàíèÿ 1663—1667 ãã. ü 1663—1664 ãã. — Ðóññêî-ïîëüñêèå ñðàæåíèÿ ñ ïåðåìåííûì óñïåõîì íà ïðà- âîáåðåæíîé Óêðàèíå ü 1665 ã. — Ïîáåäû ðóññêî-óêðàèíñêèõ âîéñê ïîä Êîðñóíåì è Áåëîé Öåðêî- âüþ ü 1666 ã. — Íà÷àëî ðóññêî-ïîëüñêèõ ïåðåãîâîðîâ î ìèðå ü ßíâàðü 1667 ã. — Ïîäïèñàíèå Àíäðóñîâñêîãî (áëèç Ñìîëåíñêà) ïåðåìèðèÿ ìåæäó Ðîññèåé è Ïîëüøåé íà 13 ëåò, â ñîîòâåòñòâèè ñ êîòîðûì: Ðîññèÿ ïîëó÷àëà Ñìîëåíñêóþ è ×åðíèãîâñêî-Ñåâåðñêóþ çåìëè, óòðà÷åííûå â Ñìóòíîå âðåìÿ, à òàêæå Ëåâîáåðåæíóþ Óêðàèíó ñ Êèåâîì 1686 ã.
  • 98.
    Õîä âîéíû ü 1656ã. — Óñïåøíûå âîåííûå äåéñòâèÿ ðóññêèõ âîéñê â Ïðèáàëòèêå — âçÿòèå êðåïîñòåé Íîòåáóðã (Îðåøåê), Íèåíøàíö, Äèíàáóðã (Äàóãàâïèëñ), Äåðïò (Òàðòó) ü Àâãóñò — îêòÿáðü 1656 ã. — Íåóäà÷íàÿ îñàäà Ðèãè ü 1657 ã. — Âûòåñíåíèå øâåäàìè ðóññêèõ âîéñê èç Êàðåëèè è Ëèâîíèè ü 1658 ã. — Çàõâàò ðóññêîé àðìèåé ßìáóðãà è íåóäà÷à ñ îñàäîé Íàðâû. Çàêëþ÷åíèå â Âàëøëåñàðå ïåðåìèðèÿ íà 3 ãîäà Ðîññèÿ â XVII â. 97 Ïðè÷èíû ü Ñòðåìëåíèå Ðîññèè îâëàäåòü ïðèáàëòèéñêèìè çåìëÿìè è ïîëó÷èòü âûõîä â Áàëòèéñêîå ìîðå ü Ïðîòèâîäåéñòâèå øâåäñêîé ýêñïàíñèè â Ïîëüøå, Ëèòâå è Óêðàèíå ÐÓÑÑÊÎ-ØÂÅÄÑÊÀß ÂÎÉÍÀ 1656—1661 ãã. 1661 ã. — Êàðäèññêèé ìèðíûé äîãîâîð. Ðîññèÿ îòêàçûâàëàñü îò çåìåëü, çàâîåâàííûõ â Ïðèáàëòèêå ðàíåå â ýòîé âîéíå ÑÅÂÅÐÎ-ÇÀÏÀÄÍÎÅ ÍÀÏÐÀÂËÅÍÈÅ ÂÍÅØÍÅÉ ÏÎËÈÒÈÊÈ
  • 99.
    ÞÆÍÎÅ ÍÀÏÐÀÂËÅÍÈÅ ÂÍÅØÍÅÉ ÏÎËÈÒÈÊÈ 98Îòå÷åñòâåííàÿ èñòîðèÿ â ñõåìàõ è òàáëèöàõ Áîðüáà ñ Êðûìîì è Òóðöèåé Íàïðÿæåííûå îòíîøåíèÿ Ðîññèè è Êðûìñêîãî õàíñòâà Êðûìñêîå õàíñòâî — âàññàë Îñìàíñêîé èìïåðèè Ïîìèíêè — äàíü Ðîññèè Êðûìó Íàáåãè íà ðóññêèå çåìëè Ñòðîèòåëüñòâî Ðîññèåé çàñå÷íîé ÷åðòû íà þæíûõ ðóáåæàõ äëÿ îáîðîíû îò íàáåãîâ êðûìñêèõ òàòàð Çàñå÷íàÿ ÷åðòà — ñèñòåìà íåïðåðûâíûõ óêðåïëåíèé — ãîðîäêîâ è ãîðîäîâ Îáåñïå÷åíèå áåçîïàñíîñòè «Ñïîëçàíèå» ãðàíèö íà þã Âêëþ÷åíèå â õîçÿéñòâåííûé îáîðîò çåìåëü «Äèêîãî ïîëÿ»
  • 100.
    ÐÓÑÑÊÎ-ÒÓÐÅÖÊÀß ÂÎÉÍÀ 1677—1681 ãã. Âîåííûåäåéñòâèÿ çà êîíòðîëü íàä Þæíîé Óêðàèíîé l  1676 ã. ðóññêèå âîéñêà çàõâàòèëè êðåïîñòü ×èãèðèí è ïëåíèëè îñìàíñêîãî ñòàâëåííèêà — ãåòìàíà Ïåòðà Äîðîøåíêî 1. Àâãóñò 1677 ã. — Ñòîéêàÿ îáîðîíà ðóññêî-óêðàèíñêèì ãàðíèçîíîì êðåïîñòè ×èãèðèí è ðàçãðîì ðóññêî- óêðàèíñêîé àðìèåé ïîä êîìàíäîâàíèåì Ãðèãîðèÿ Ðîìàäàíîâñêîãî è ãåòìàíà Èâàíà Ñàìîéëîâè÷à 2. Èþëü — àâãóñò 1678 ã. — Íîâîå ðóññêî-óêðàèíñêî- òóðåöêîå ñðàæåíèå çà ×èãèðèí. Ðàçîðåíèå ãîðîäà òóðêàìè è îòõîä ðóññêèõ âîéñê Ïðåêðàùåíèå àêòèâíûõ áîåâûõ äåéñòâèé è íà÷àëî ñ 1679 ã. ìèðíûõ ïåðåãîâîðîâ ßíâàðü 1681 ã. — çàêëþ÷åíèå Áàõ÷èñàðàéñêîãî ìèðíîãî äîãîâîðà Óñëîâèÿ: l Òóðöèÿ è Êðûì ïðèçíàâàëè âõîæäåíèå Ëåâîáåðåæíîé Óêðàèíû ñ Êèåâîì â ñîñòàâ Ðîññèè l Ïðàâîáåðåæíàÿ Óêðàèíà îñòàâàëàñü çà Îñìàíñêîé èìïåðèåé Ðîññèÿ â XVII â. 99
  • 101.
    Ðóññêèå ïåðâîïðîõîäöû Ñèáèðè üÑåìåí Äåæíåâ (1605—1673) — ñîâåðøèë êðóïíîå ãåîãðàôè÷åñêîå îòêðûòèå: â 1648 ã. îñóùåñòâèë ïëàâàíèå âäîëü ×óêîòñêîãî ïîëóîñòðîâà è îòêðûë ïðîëèâ, îòäåëÿþùèé Àçèþ îò Ñåâåðíîé Àìåðèêè ü Âàñèëèé Ïîÿðêîâ — â 1643—1646 ãã. âî ãëàâå îòðÿäà êàçàêîâ ïðîøåë èç ßêóòñêà ïî ðåêàì Ëåíà, Àëäàí, âûøåë ïî Àìóðó â Îõîòñêîå ìîðå, à çàòåì âåðíóëñÿ â ßêóòñê ü Åðîôåé Õàáàðîâ (1610—1667) — â 1649—1650 ãã. îñóùåñòâèë ïîõîä â Äàóðèþ, îñâîèë çåìëè ïî ðåêå Àìóð è ñîñòàâèë èõ êàðòû (÷åðòåæ) ü Âëàäèìèð Àòëàñîâ — â 1696—1697 ãã. ïðåäïðèíÿë ýêñïåäèöèþ íà Êàì÷àòêó, â ðåçóëüòàòå ÷åãî îíà áûëà ïðèñîåäèíåíà ê Ðîññèè 100 Îòå÷åñòâåííàÿ èñòîðèÿ â ñõåìàõ è òàáëèöàõ ÂÎÑÒÎ×ÍÎÅ ÍÀÏÐÀÂËÅÍÈÅ ÂÍÅØÍÅÉ ÏÎËÈÒÈÊÈ Îñâîåíèå Ñèáèðè ü Ïðèñîåäèíåíèå Çàïàäíîé Ñèáèðè (ïî- êîðåíèå Ñèáèðñêîãî õàíñòâà â êîíöå XVI â.) ü Ïðîíèêíîâåíèå â Ñèáèðü çåìëåïðîõîä- öåâ è ïðîìûøëåííèêîâ, à òàêæå ïðåä- ñòàâèòåëåé öàðñêîé âëàñòè ü Îñíîâàíèå ïîñåëåíèé è êðåïîñòåé: — Åíèñåéñêèé (1618) — Êðàñíîÿðñêèé (1628) — Èëèìñêèé (1630) îñòðîãè— ßêóòñêèé (1632) — Èðêóòñêèé (1652) — Ñåëåíãèíñêèé (1665) — Ñîçäàíèå Ñèáèðñêîãî ïðèêàçà. Ðàçäå- ëåíèå Ñèáèðè íà 19 óåçäîâ, êîòîðûìè óïðàâëÿëè âîåâîäû, íàçíà÷àåìûå èç Ìîñêâû (1637) ⎫ ⎬ ⎭ Êîðåííûå íàðîäû Ýâåíêè, íåíöû, õàíòû, ìàíñè, ÿêóòû, áóðÿòû, ÷óê÷è, èòåëüìåíû è äð. Îñíîâíûå çàíÿòèÿ Ñêîòîâîäñòâî, îõîòà, ðûáîëîâñòâî Ãîñïîäñòâî ðîäîïëåìåííûõ îòíîøåíèé
  • 102.
    ÏÐÀÂËÅÍÈÅ ÖÀÐß ÔÅÄÎÐÀÀËÅÊÑÅÅÂÈ×À 1676—1682 ãã. Óñèëåíèå ñàìîäåðæàâèÿ Ðîññèÿ â XVII â. 101 Îñíîâíûå íàïðàâëåíèÿ ïîëèòèêè: Âîåííî-îêðóæíàÿ ðåôîðìà 1680 ã. Îòìåíà ìåñòíè÷åñòâà 1682 ã. Ðóññêî-òóðåöêàÿ âîéíà 1677—1681 ãã. Ïðîåêòû ïåðåñòðîéêè àäìèíèñòðàòèâíî- öåðêîâíîãî óïðàâëåíèÿ ñòðàíû 1681—1682 ãã. Ïðàêòè÷åñêè íå áûëè ðåàëèçîâàíû èç-çà ñîïðîòèâëåíèÿ öåðêâè è ââèäó ðàííåé ñìåðòè öàðÿ Öåëü
  • 103.
    Âîöàðåíèå Ïåòðà I 102Îòå÷åñòâåííàÿ èñòîðèÿ â ñõåìàõ è òàáëèöàõ ÏÐÀÂËÅÍÈÅ ÖÀÐÅÂÍÛ ÑÎÔÜÈ 1682—1689 ãã. Áîðüáà çà âëàñòü Ìèëîñëàâñêèå Íàðûøêèíû Ñòðåëåöêèé áóíò 1682 ã. Óñòàíîâëåíèå ñîïðàâëåíèÿ öàðåé Èâàíà V è Ïåòðà I ïðè ðåãåíòñòâå Ñîôüè Àëåêñååâíû â ïåðèîä èõ ìàëîëåòñòâà 1689 ã. Ïîïûòêà î÷åðåäíîãî ñòðåëåöêîãî áóíòà Îòñòðàíåíèå Ñîôüè îò âëàñòè è çàòî÷åíèå åå â ìîíàñòûðü Ïîáåäà Íàðûøêèíûõ è íà÷àëî ýïîõè ïðàâëåíèÿ Ïåòðà I Â.Â. Ãîëèöûí — ôàâîðèò Ñîôüè Íåóäà÷íûå âîåííûå ïîõîäû ïðîòèâ Êðûìà 1689 ã.1687 ã.
  • 104.
    ÝÏÎÕÀ ÏÅÒÐÎÂÑÊÈÕ ÏÐÅÎÁÐÀÇÎÂÀÍÈÉ Ýïîõàïåòðîâñê èõ ïðåîáðàç îâàíèé Ýïîõà ïåòðîâñêèõ ïðåîáðàçîâàíèé 103 ÏÐÅÄÏÎÑÛËÊÈ ÐÅÔÎÐÌ ÏÅÒÐÀ I Îòñòàâàíèå Ðîññèè â ñîöèàëüíî- ýêîíîìè÷åñêîì, âîåííîì è êóëüòóðíîì îòíîøåíèè îò åâðîïåéñêèõ ñòðàí Àêòèâíî-âîëåâàÿ äåÿòåëüíîñòü Ïåòðà I, îðèåíòèðîâàíèå íà ïðåîáðàçîâàíèÿ â ñòðàíå Îñîçíàíèå íåîáõîäèìîñòè ðåôîðì ñ èñïîëüçîâàíèåì åâðîïåéñêîãî îïûòà Ïðåäøåñòâóþùåå ðàçâèòèå ñòðàíû â XVII â. Ïîïûòêè ðåôîðì öàðåé Àëåêñåÿ Ìèõàéëîâè÷à è Ôåäîðà Àëåêñååâè÷à Ïîåçäêà Ïåòðà I â Åâðîïó — «Âåëèêîå ïîñîëüñòâî» 1697—1698 ãã.
  • 105.
    ÑÓÙÍÎÑÒÜ È ÎÑÎÁÅÍÍÎÑÒÈÏÅÒÐÎÂÑÊÈÕ ÏÐÅÎÁÐÀÇÎÂÀÍÈÉ Ñëóæåíèÿ îòå÷åñòâó êàê âûñøåé öåííîñòè äëÿ ìîíàðõà Îáùåãî áëàãà, «íàðîäíîé ïîëüçû» êàê öåëè ýòîãî ñëóæåíèÿ Ïðàêòèöèçìà è ðàöèîíàëèçìà êàê îñíîâû äåÿòåëüíîñòè Ìàñøòàáíîñòü ðåôîðì è ðàñïðîñòðàíåíèå íîâøåñòâ íà ðàçëè÷íûå ñôåðû æèçíè Áåññèñòåìíîñòü, îòñóòñòâèå êàêîãî-ëèáî ïëàíà ðåôîðì Î ìîùíûé âëàñòåëèí ñóäüáû, Íå òàê ëè òû íàä ñàìîé áåçäíîé Íà âûñîòå óçäîé æåëåçíîé Ðîññèþ ïîäíÿë íà äûáû? À.Ñ. Ïóøêèí 104 Îòå÷åñòâåííàÿ èñòîðèÿ â ñõåìàõ è òàáëèöàõ  îñíîâó ïðåîáðàçîâàíèé Ïåòðà I áûëè ïîëîæåíû èäåè: Îñîáåííîñòè ðåôîðì Ïåòðà I
  • 106.
    ÎÑÍÎÂÍÛÅ ÍÀÏÐÀÂËÅÍÈß ÂÍÅØÍÅÉ ÏÎËÈÒÈÊÈÏÅÒÐÀ I 1. Åâðîïåéñêîå Áîðüáà çà âûõîä â Åâðîïó ÷åðåç Áàëòèéñêîå ìîðå — Ñåâåðíàÿ âîéíà 1700—1721 ãã. Óêðåïëåíèå ïîçèöèé Ðîññèè â Åâðîïå. Çàãðàíè÷íûå ïîåçäêè Ïåòðà I. Íà÷àëî äèíàñòè÷åñêèõ ñâÿçåé ñ ãåðìàíñêèìè ãîñóäàðñòâàìè 2. Àçèàòñêîå Áîðüáà ñ Òóðöèåé çà óòâåðæäåíèå ïðèñóòñòâèÿ Ðîññèè íà ×åðíîì ìîðå. Àçîâñêèå ïîõîäû 1695—1696 ãã. Ïðóòñêèé ïîõîä Ïåòðà I â 1710—1711 ãã. Ïåðñèäñêèé ïîõîä Ïåòðà I â 1723—1724 ãã. Ýïîõà ïåòðîâñêèõ ïðåîáðàçîâàíèé 105
  • 107.
    ÑÅÂÅÐÍÀß ÂÎÉÍÀ (1700—1721) êàê óñêîðèòåëüïåòðîâñêèõ ðåôîðì Ïðè÷èíû âîéíû: 1. Èìïåðñêàÿ ïîëèòèêà Øâåöèè è ñòðåìëåíèå ê ãîñïîäñòâó íà Áàëòèêå 2. Íåîáõîäèìîñòü ïîëó÷åíèÿ Ðîññèåé âûõîäà â Åâðîïó ÷åðåç Áàëòèéñêîå ìîðå è ïðèáàëòèéñêèå òåððèòîðèè 3. Ãåîïîëèòè÷åñêèå ïðîòèâîðå÷èÿ Øâåöèè ñ åâðîïåéñêèìè äåðæàâàìè Îñíîâíûå ýòàïû 1. «Äàòñêèé» (1700—1701) Íàïàäåíèå Øâåöèè íà Äàíèþ è âûâîä åå èç âîéíû è Ñåâåðíîãî ñîþçà. Ïîðàæåíèå ðóññêîé àðìèè ïîä Íàðâîé (íîÿáðü 1700 ã.) 2. «Ïîëüñêèé» (1701—1706) Âîåííûå äåéñòâèÿ Øâåöèè â Åâðîïå íà òåððèòîðèè Ñàêñîíèè è Ïîëüøè. Ïîðàæåíèå ñàêñîíñêîãî êóðôþðñòà Àâãóñòà II, îòêàç îò ïîëüñêîé êîðîíû è âûõîä èç Ñåâåðíîãî ñîþçà Óñïåõè ðóññêèõ âîéñê â Ïðèáàëòèêå Îðåøåê (Øëèññåëüáóðã) — 1702 ã. l Âçÿòèå êðåïîñòåé Íàðâà — 1704 ã. Òàðòó — 1704 ã. l Îñíîâàíèå Ñàíêò-Ïåòåðáóðãà — 16 (27) ìàÿ 1703 ã. 106 Îòå÷åñòâåííàÿ èñòîðèÿ â ñõåìàõ è òàáëèöàõ
  • 108.
    3. «Ðóññêèé» (1707—1709) Áîåâûåäåéñòâèÿ â Ðîññèè ïîñëå ïîâòîðíîãî âòîðæåíèÿ øâåäñêîé àðìèè Ïîáåäû ðóññêîé àðìèè: — ó äåð. Ëåñíàÿ — ñåíòÿáðü 1708 ã. — ïîä Ïîëòàâîé — 27 èþíÿ 1709 ã. Áåãñòâî îñòàòêîâ øâåäñêîé àðìèè âî ãëàâå ñ êîðîëåì Êàðëîì XII â òóðåöêèå âëàäåíèÿ 4. «Òóðåöêèé» (1709—1714) Ïðóòñêèé ïîõîä ðóññêîé àðìèè âî ãëàâå ñ Ïåòðîì I — 1710— 1711 ãã. Ïîðàæåíèå Ðîññèè Âîçîáíîâëåíèå âîåííûõ äåéñòâèé â Ïðèáàëòèêå. Çàõâàò ðóññêèìè âîéñêàìè Ðèãè, Âûáîðãà è Ðåâåëÿ — 1710 ã. Ïåðåíîñ âîåííûõ äåéñòâèé íà òåððèòîðèþ Ñêàíäèíàâèè è àêâàòîðèþ Áàëòèéñêîãî ìîðÿ 5. «Íîðâåæñêî-øâåäñêèé» (1714—1721) Ïîáåäû ðóññêîãî ôëîòà íà ìîðå: — ó ìûñà Ãàíãóò — 1714 ã. — ó î-âà Ãðåíãàì — 1720 ã. Çàâåðøåíèå Ñåâåðíîé âîéíû Ýïîõà ïåòðîâñêèõ ïðåîáðàçîâàíèé 107 Çàêëþ÷åíèå Íèøòàäòñêîãî ìèðíîãî äîãîâîðà — 30 àâãóñòà 1721 ã. Ïîáåäà Ðîññèè Îñíîâíûå óñëîâèÿ Ðîññèÿ ïîëó÷àëà òåððèòîðèè Ïðèáàëòèêè (Ëèôëÿíäèÿ, Ýñòëÿíäèÿ, Èíãåðìàíëàíäèÿ), ÷àñòü Êàðåëèè è âûõîä â Áàëòèéñêîå ìîðå Ðîññèÿ îáÿçûâàëàñü óïëàòèòü Øâåöèè äåíåæíóþ êîìïåíñàöèþ è âîçâðàòèòü Ôèíëÿíäèþ
  • 109.
    108 I 1. : XVII .— 30 . XVIII . — 200 - I: ✔ 1703 . — , ✔ 1721 . — . 2. 3. : ✔ ( , , , , , , .); ✔ — - , , ,
  • 110.
    - I 109 1704 . 1721 . 1711. - — 1718— — — 1721 . — 1708— 1710 . . 1722 . 1700 . — - 1720 . — 1714 . 1722 .
  • 111.
    I 1. 2. 3. 4. 5. 110 . 1705 1874 . . : —(1701) — (1712) — (1701) — (1707) . , , - :
  • 112.
  • 113.
  • 114.
  • 115.
    114 1 2 3 4 5 6 7 8 9 10 11 12 13 14 - - - - ( 1722 1799 .) - - (1740 .) - ( 1740 .) - 1- 2- . . ( 1884 .) - - - 3- ( 1732 .) ( 1732 .) - ( 1884 .) ( 1885 .) ( 1885 .) ( 1885 .) (1732—1796 .) ( 1731 .) - ( 1732 .) (1796—1885 .) - - ( 1884 .) - ( 1884 .) -
  • 116.
  • 117.
  • 118.
    117 ( . ., . . , . . , . . .) , ( . . , . . , . . , . . ) ( ) , ( . . , . . , . . , . . ) . . I , ... , ... , ... I , - ( . . , . . )
  • 119.
    ДВОРЦОВЫЕ ПЕРЕВОРОТЫ XVIIIв. 1. 2. — - , 3. I — ( , ), — , , 118 , I ,
  • 120.
    I 1725—1727 . . . (81726 .) . : . . , . . , . . , . . , . . , . . , I (1725) . - 119XVIII . II 1727—1730 . . . 1727 . « » 14- II 1730 . II . .
  • 121.
    120 1730—1740 . « » «» - — , : 1. — (1730) — (1731) 2. — (1730—1731) — 25 (1736) — 3. — ( 5 ) — ( 22 ) « » . ,
  • 122.
  • 123.
    122 1741—1761 . : . . .. , (1755) — ( , , ) — (1753) — ( 1744—1747 . ) — (1753) — (1754) 1742 . — 1747 . — 1760 . —
  • 124.
    III 1761 — 1762. 123XVIII . , ( II, . . , . . ) , , , « » (18 1762 .) — (19 1762 .) , (21 1762 .) , II , ( . . , . . , . . )
  • 125.
    1. - - 1733—1735. 1735—1739 . 2. - 1741—1743 . 3. 1756—1763 . 124 . III . , . . . . 1741—1742 . - — . . . . . — , , . . — .
  • 126.
    125XVIII . 1756—1763 . 1756. 1757 . . - II 1758 . 1759 - 1760 . 1761 . - . 1762 II 1763 . . . - (175) - (1756)
  • 127.
    РОССИЯ ВО ВТОРОЙПОЛОВИНЕ XVIII в. II 1762—1796 . , , , - - II : 1763 . , , ( 1764 . ) 1764 . : « 1775 . » : « 1785 . » : « 1785 . , » — : « 1782 . , », - : — 1769 . . : 1786 . 1775 . 126
  • 128.
  • 129.
  • 130.
    129XVIII . - 1773—1775 . , «III» ( . ) , , I : 1773 — 1774 . 6- II : — 1774 . 12—17 1774 . — . , . . III : 1774 — 1775 . 31 1774 . — 25 1774 . — 18 1774 . — 10 1775 . — — . -
  • 131.
    130 - XVIII . - 1. - 2., 3. , , 4. (1783) 5. - . -
  • 132.
  • 133.
    I — 1772. II — 1793 . - - . — 1794 . — III —1795 . , - , , , 1786—1794 . II 132 ✓ ✓ ✓ ✓
  • 134.
    - 1768—1774 . .. . . 4,5 . 133XVIII . 1770. 1774 . — -
  • 135.
    - 1787—1791 . 1787. 1788 . . . 1789 . . . 1790 ., 1791 . . . , 134 1791 . — — 1783 . +
  • 136.
    РОССИЯ НА РУБЕЖЕXVIII—XIX вв. I 1796—1801 . 1797—1800 . 1800—1801 . 135XVIII . 1798 . — . . 1799 . — . . - . . . (7.04.1797) - ( -, -, -) . 1 . = 4 (530 . 4 ) , I. 1801 .
  • 137.
    136 РОССИЯ В ПЕРВОЙПОЛОВИНЕ XIX в. I (1801—1825) I. 1. : ) , ) 2. ( 1832 .): ) , ) 3. : ) ( ), ) 4. : ) 1- , ) 2- , ) 3- II. 1. 2. III. 1. 2. : ) , ) , ) XVI . 6,5 XVII . 10,5 XVIII . 15,5 XVIII . 37,0 XIX . 40,0
  • 138.
    137XIX . - - — . 1810—1811 .— . 1815 . — « » : 1837 . — — 1851 . — — — . , , - . 1825 . — 415 . . — . XIX .
  • 139.
    138 I « ». . . + « » (1801—1803) .. . . . . . . 15.03 — . 2.04 — — 12.12 — — 8.09 — 20.02 — « »: 6 , 4 : , , (1802), (1803), (1804), (1804), 1819 . — (1805) (1811) 1802—1804 . 1801 . 1802 . 1803 .
  • 140.
    139XIX . . . (1812 .) , , - I . . , (1801—1809) 1.01.1810 . . 35 ., — - + « » ( , , . ) « » ( , . ) : 1809 . . . (1772—1839) , — « » !!
  • 141.
    140 , I 1803 . —« » — 1816 . — ( ) 1817 . — ( ) 1819 . — ( ) 1. . . (1818) — 2. . . (1819) —
  • 142.
    141XIX . 1807 . « »— , . . (1810) — , — . . (1769—1834) , , , . : (1819), (1831) 1818 . : (1810—1857)
  • 143.
    142 1815 . 1818. I, , . . 1821 . , . ( ) « » : 1. 2. 12
  • 144.
    143XIX . 3- 4- - 1807. 1812 . - 1804—1805 . - 1806—1812 . - 1808—1809 .
  • 145.
    144 30 1809 . . , I 1805. , , 20 1805 . — - 3- 1806—1807 . , , 26—27 1807 . — - 2 1807 . — . . 25 1807 . - : — — ,
  • 146.
    145XIX . 1808 .— ( . ) 1809 . — . ( , , ) — 1809 . — ( , ) . 5 1809 . — : 1. 2. - 1808—1809 .
  • 147.
    146 - 1804—1813 . ( ) 1804. ( ), 1804 . 1805 . 1806 . ( . ) 1807 . 1808—1809 . ( ). ( , ) 1810—1811 . 1812—1813 . — (1812) (1813) — . (1813), : 1. 2. - 1806—1812 . : - . - — 1806 . ( . ) 1807 . ( ) — . 1807 . : 1. ( . . ) 2. ( . ) 1807—1808 . - 1809—1810 . . (1810) . ( . ) 1811 . . - . (1812) : 1. , 2. —
  • 148.
    1812 . 147XIX . : - , , — I , — , . : ~700. . ( ) : 1- — . . . 2- — . . . 3- — . . . — , , , , , « » : 647 . ., I , , 448 . .
  • 149.
    12 1812 .. . 27—28 . . 15 . . 3- . . - . 2 - . . . 1- 2- 4—5 . 8 . . 17 . . 24 26 1 . 2 . 6 11 12 19 . . . 22 2 . 3—6 . 14—16 . . 3 « » . 14 25 I 148
  • 150.
    149XIX . — — ( .) 44 . . 58,5 . . 1. . . 2. 3. « », 26 1812 . 132 . . 640 135 . . 587 110 .
  • 151.
    150 1812 . ( ., . , . .) I 6 18 1812 . ( ) ( . — , . — . .) (30 .) (14 .)
  • 152.
  • 153.
    152 1813 . .. — 1813 . , 1813 . . . — 1813 . . — 1813 . 5- , , , . 4—7 1813 . « » . 18 1814 . 5- . 18 1814 . 30 1814 . . — 1814 . , , , 1813—1814 .
  • 154.
    «100 » — 1815 . . 153XIX. 1814 . — 1815 . • , 1792 . • • • , . 14 1815 . : , , : , , — 1818 . . . . I , — 1820 . . , — 1821 . , , , — 1822 . . . . . . ⎧ ⎪ ⎪ ⎪ ⎪ ⎪ ⎨ ⎪ ⎪ ⎪ ⎪ ⎪ ⎩
  • 155.
  • 156.
    155XIX . , ,, « » 1816—1817 . 30 . . . , . . , . . - , . . - , . . , . . , « » 1818—1821 . , 200 . « » , , . 1821—1825 . , . . , . . , . . . « » . . . . — , — 5 , 5 . . . . — . 1822—1825 . . . , . . , . . , . . , . . , . . , . . . « » . . . , , . . . — , — . . 1823—1825 . - 1825 . . , . , . , . . .
  • 157.
    156 « » . . «» . . . 13 2 10 3 . 10—15 , ,
  • 158.
    157XIX . « ». . « » . . , - , ,
  • 159.
    158 I. . • 191825 . I. , 1822 . , . . , I, . . • 13 1825 . . . . , I, « », : √ √ , ... √ √ √ 14 1825 . . (29 1825 . — 3 1826 .) • 13 1825 . . . • 24 1825 . . - . - • 25 1825 . , • 29 1825 . . - . — , , • 3 1826 . . . - . - • 14 1825 . , - , , ( ) 3000 30 , , . : • « » • , . . . . • I ( ) ( . . ) , . - . • I . ⎧ ⎪ ⎪ ⎪ ⎪ ⎪ ⎪ ⎪ ⎪ ⎨ ⎪ ⎪ ⎪ ⎪ ⎪ ⎪ ⎪ ⎪ ⎩
  • 160.
    159XIX . •579 . •318. •289 . •121 . •5 . 13 1826 . ( . . , . . - , . . - , . . , . . ) , • • •
  • 161.
    160 I . — II. — 1826 . III . — 1826 . IV . — 1828 . . V . — 1836 . VI . — 1842 . . - III (1826) II — . . . . ➢ 1830 . « » 45 , 1649 1825 . ➢ 1833 . « » 15 ,
  • 162.
    161XIX . I (1825—1855) ..1839—1843 (1826 1828) — « » (1834). — . . — —
  • 163.
    162 ➢ . ( ,, ) ➢ ➢ ➢ , . . (1837—1841)
  • 164.
    I (1825—1855) (1847—1848) « »— 1842 . — « » 163XIX .
  • 165.
  • 166.
    165XIX . 30—50- . - - 20—40- .. , . . , . . , . . , . . , . . , . . . . . , . . . . , . . . . , . . , . . . . . , . . , . . , . . , . . , . . , . . . . . , . . , . .
  • 167.
    166 20—40- . , , 1826—1827 ., , , 6. . - , , . - . I - , - . , , 11- , 1830— 1832 ., . . - . - , 1831—1839 ., . . , . . , . . , . . , . . , , . . , - « - ». - . - , 1831—1834 ., . . , . . , . . , . . , . - . . , , , 1845—1849 ., , , , . . - , . . - , . . , . . , . . , . . , . . , . . , . . . . - . . « , », - - . - , , - . - - . , - , - , - , 1845—1847 ., . . , . . , . . , . . , . . , - . . ,
  • 168.
  • 169.
    168 I (1825—1855) . — « » 1830— 1831. 1815 . 1849 . ( ) 1853— 1856 . - 1828— 1829 . - 1826— 1828 . 1817— 1864 . — -
  • 170.
    169XIX . - 1826—1828 . - 1828—1829. • 1826 . — - - • — 1826 . — - . . . - • 1827 . — - . . . - • 1827 . — • 1827 . — - • • - , - 1813 . • • • : • — - - ( - — . . ) • — — - - • — - • — — - . . . - , , - , . 1 8 2 8 . • — - . . . • — - ➢ 1828 . — - 1. - ( ) 2. 3. 20 . • — - . . . - 1 8 2 8 . ➢ 1829 . — 1. 2. 3. , , 4. 33 .
  • 171.
    1817—1864 . 170 • • I 1817—1819 . . .. - II 1819—1824 . . III 1824—1828 . . (1824). - . . . . . . - (1816—1827) . . . (1827— 1831) IV 1828—1833 . — . - — , . 1829 . . 1832 . V 1834—1859 . « » » (1799—1871). . - , . . 25 1859 . — - . . . VI 1859—1864 . • • • — « » . « » — .
  • 172.
    171XIX . ( ) 1853—1856. • , - - • - - • , ( ) - ( ) , . , , . I 1853 . — - I 1853 . — 1854 . - . II 1854 . — 1856 . , , , , - , , - . - , -
  • 173.
    172 ( ) 1853 15 20 18 - .. 1854 22 11 , 19 10 5 9 9 14 6 13 27 18 2—6 8 13 5—13 23 1855 5 28 — 8 13 25 5 4 5—8 23 26 27 . . 30 16 1856 6
  • 174.
  • 175.
    172 ( ) 1853 15 20 18 - .. 1854 22 11 , 19 10 5 9 9 14 6 13 27 18 2—6 8 13 5—13 23 1855 5 28 — 8 13 25 5 4 5—8 23 26 27 . . 30 16 1856 6
  • 176.
  • 177.
    ÐÎÑÑÈß ÂÎ ÂÒÎÐÎÉÏÎËÎÂÈÍÅ XIX â. Ðîññèÿ âî âòîðîé ïîëîâèíå XIX â.ÏÐÀÂËÅÍÈÅ ÀËÅÊÑÀÍÄÐÀ II (1855—1881) Ïðàâëåíèå Àëåêñàíäðà II (1855—1881) ÎÑÍÎÂÍÛÅ ÍÀÏÐÀÂËÅÍÈß ÂÍÓÒÐÅÍÍÅÉ ÏÎËÈÒÈÊÈ «ÂÅËÈÊÈÅ ÐÅÔÎÐÌÛ» 60—70-õ ãã. XIX â. 174 Îòå÷åñòâåííàÿ èñòîðèÿ â ñõåìàõ è òàáëèöàõ Îòìåíà êðåïîñòíîãî ïðàâà 1861 ã. Ñóäåáíàÿ ðåôîðìà 1864 ã. Ãîðîäñêàÿ ðåôîðìà 1864 ã. Çåìñêàÿ ðåôîðìà 1864 ã. Âîåííàÿ ðåôîðìà 1861 ã. Ðåôîðìà íàðîäíîãî îáðàçîâàíèÿ 1863—1964 ãã.
  • 178.
    ÏÐÈ×ÈÍÛ ÎÒÌÅÍÛ ÊÐÅÏÎÑÒÍÎÃÎ ÏÐÀÂÀ ÐÎÑÑÈÈ Ðîññèÿ âî âòîðîé ïîëîâèíå XIX â. 175 Êðèçèñ ôåîäàëüíî-êðåïîñòíè÷åñêîé ñèñòåìû õîçÿéñòâà è ýêîíîìè÷åñêàÿ èñ÷åðïàííîñòü åå äàëüíåéøåãî ðàçâèòèÿ Ïðîÿâëåíèå êðèçèñà Ñîêðàùåíèå ýêñïîðòà ðóññêîãî õëåáà çà ãðàíèöó Êðåñòüÿíñêèå ïîâèííîñòè — áàðùèíà è îáðîê — äîñòèãëè íàèâûñøåãî ïðåäåëà Êðèçèñ äâîðÿíñòâà êàê ñîñëîâèÿ 3,5% äâîðÿí áûëè áåñïîìåñòíûìè 45,9% äâîðÿí èìåëè ìåíåå 20 äóø êðåïîñòíûõ Ñîöèàëüíàÿ íàïðÿæåííîñòü â ñòðàíå è ìàññîâûå êðåñòüÿíñêèå âûñòóïëåíèÿ çà îòìåíó êðåïîñòíîãî ïðàâà, ïðèíÿâøèå â ïåðèîä Êðûìñêîé âîéíû ôîðìó ñàìîâîëüíîãî óõîäà îò ïîìåùèêà â îïîë÷åíèå, çà ó÷àñòèå â êîòîðîì ÿêîáû ïîëàãàëàñü ñâîáîäà îò êðåïîñòíîé çàâèñèìîñòè Ïîðàæåíèå Ðîññèè â Êðûìñêîé âîéíå, âûçâàííîå åå âîåííî-ýêîíîìè÷åñêîé îòñòàëîñòüþ, è îáùåñòâåííîå îñîçíàíèå íåîáõîäèìîñòè ðåôîðì â ñòðàíå
  • 179.
    ÏÎÄÃÎÒÎÂÊÀ ÊÐÅÑÒÜßÍÑÊÎÉ ÐÅÔÎÐÌÛ 3ÿíâàðÿ 1857 ã. Ñîçäàí Ñåêðåòíûé êîìèòåò ïî êðåñòüÿíñêîìó äå- ëó, êóäà âîøëè âûñøèå ñàíîâíèêè ãîñóäàðñòâà è êîòîðûé â òå÷åíèå ãîäà ðàññìàòðèâàë ïðîåêòû êðå- ñòüÿíñêîé ðåôîðìû, îñòàâøèåñÿ îò ïðåäûäóùèõ öàðñòâîâàíèé 20 íîÿáðÿ 1857 ã. Ðåñêðèïò Àëåêñàíäðà II âèëåíñêîìó ãåíåðàë-ãó- áåðíàòîðó Â. È. Íàçèìîâó îá ó÷ðåæäåíèè ãóáåðí- ñêèõ êîìèòåòîâ äëÿ ïîäãîòîâêè ïðîåêòîâ êðåñòü- ÿíñêîé ðåôîðìû 5 äåêàáðÿ 1857 ã. Ðåñêðèïò Àëåêñàíäðà II ãåíåðàë-ãóáåðíàòîðó Ïå- òåðáóðãà Ï. È. Èãíàòüåâó îá ó÷ðåæäåíèè ãóáåðí- ñêèõ êîìèòåòîâ äëÿ ïîäãîòîâêè ïðîåêòîâ êðåñòü- ÿíñêîé ðåôîðìû 8 ÿíâàðÿ 1858 ã. Ïðåîáðàçîâàíèå Ñåêðåòíîãî êîìèòåòà â Ãëàâíûé êîìèòåò ïî êðåñòüÿíñêîìó äåëó. Ñîçäàíèå àíàëî- ãè÷íûõ êîìèòåòîâ â 46 ãóáåðíèÿõ. Îáñóæäåíèå ïðîáëåì îòìåíû êðåïîñòíîãî ïðàâà ñòàëî íîñèòü ãëàñíûé è îòêðûòûé õàðàêòåð 17 ôåâðàëÿ 1859 ã. Ñîçäàíèå ðåäàêöèîííûõ êîìèññèé ïðè Ãëàâíîì êîìèòåòå âî ãëàâå ñ ãåíåðàëîì ß. È. Ðîñòîâöåâûì äëÿ ðàññìîòðåíèÿ ìàòåðèàëîâ, ïðåäñòàâëåííûõ ãó- áåðíñêèìè êîìèòåòàìè, è äëÿ ñîñòàâëåíèÿ ïðàâî- âûõ àêòîâ, ðåãëàìåíòèðóþùèõ îòìåíó êðåïîñòíî- ãî ïðàâà 10 îêòÿáðÿ 1860 ã. Ðîñïóñê ðåäàêöèîííûõ êîìèññèé è ïåðåäà÷à äî- êóìåíòîâ ïî êðåñòüÿíñêîé ðåôîðìå ñíà÷àëà â Ãëàâíûé êîìèòåò, à çàòåì â Ãîñóäàðñòâåííûé ñî- âåò äëÿ îáñóæäåíèÿ 19 ôåâðàëÿ 1861 ã. Èìïåðàòîð ïîäïèñàë îñíîâíûå ïðàâîâûå äîêó- ìåíòû ïî êðåñòüÿíñêîé ðåôîðìå (âñåãî èõ áûëî 17), ãëàâíûå èç êîòîðûõ: l Ìàíèôåñò «Î âñåìèëîñòèâåéøåì äàðîâàíèè êðåïî- ñòíûì ëþäÿì ïðàâ ñîñòîÿíèÿ ñâîáîäíûõ ñåëüñêèõ îáûâàòåëåé è îá óñòðîéñòâå èõ áûòà» l «Îáùåå ïîëîæåíèå î êðåñòüÿíàõ, âûøåäøèõ èç êðå- ïîñòíîé çàâèñèìîñòè» l «Ïîëîæåíèå î âûêóïå êðåñòüÿíàìè, âûøåäøèìè èç êðåïîñòíîé çàâèñèìîñòè, èõ óñàäåáíîé îñåäëîñòè, î ñîäåéñòâèè ïðàâèòåëüñòâà â ïðèîáðåòåíèè èìè â ñîáñòâåííîñòü ïîëåâûõ óãîäèé» 176 Îòå÷åñòâåííàÿ èñòîðèÿ â ñõåìàõ è òàáëèöàõ
  • 180.
    Ðîññèÿ âî âòîðîéïîëîâèíå XIX â. 177 Öåíòðàëüíûå è ìåñòíûå ó÷ðåæäåíèÿ Ðîññèè, çàíèìàâøèåñÿ ïîäãîòîâêîé êðåñòüÿíñêîé ðåôîðìû Èìïåðàòîð Àëåêñàíäð II Ñåêðåòíûé êîìèòåò ïî êðåñòüÿíñêîìó äåëó (ÿíâàðü 1857 ã. — ÿíâàðü 1858 ã.) Ãëàâíûé êîìèòåò ïî êðåñòüÿíñêîìó äåëó (ÿíâàðü 1858 ã. — ôåâðàëü 1861 ã.) Ãîñóäàðñòâåííûé ñîâåò (îêòÿáðü 1860 ã. — ôåâðàëü 1861 ã.) îáñóæäàë äîêóìåíòû êðåñòüÿíñêîé ðåôîðìû Ðåäàêöèîííûå êîìèññèè (ôåâðàëü 1859 ã. — îêòÿáðü 1860 ã.) Ãóáåðíñêèå äâîðÿíñêèå êîìèòåòû ïî óëó÷øåíèþ áûòà ïîìåùè÷üèõ êðåñòüÿí
  • 181.
    ÎÑÍÎÂÍÛÅ ÏÎËÎÆÅÍÈß ÊÐÅÑÒÜßÍÑÊÎÉ ÐÅÔÎÐÌÛ1861 ã. l Êðåñòüÿíå ïîëó÷àëè ëè÷íóþ ñâîáîäó è íàäåëÿëèñü îáùåãðàæäàíñêèìè ïðàâàìè l Êðåñòüÿíå îñâîáîæäàëèñü ñ çåìëåé, ò. å. ñ ïîëåâûì íàäåëîì, ðàçìåð êîòîðîãî â çàâèñèìîñòè îò ðåãèîíà Ðîññèè (÷åðíîçåìíûå, íå÷åðíîçåìíûå, ñòåïíûå ãóáåðíèè) áûë ðàçíûé è êîëåáàëñÿ îò 3 äî 12 äåñÿòèí 1 äåñÿòèíà = 1,1 ãà ìåðà ïëîùàäè l Êðåñòüÿíå ïîëó÷àëè çåìëþ íå áåçâîçìåçäíî, à äîëæíû áûëè åå âû- êóïàòü ó ïîìåùèêà. Äî ñîâåðøåíèÿ âûêóïíîé ñäåëêè êðåñòüÿíå ñ÷èòàëèñü «âðåìåííîîáÿçàííûìè» è áûëè îáÿçàíû âûïîëíÿòü ïðåæíèå ïîâèííîñòè — áàðùèíó è îáðîê l Ðàçìåð âûêóïà çà çåìëþ óñòàíàâëèâàëñÿ â çàâèñèìîñòè îò âåëè÷èíû äåíåæíîãî îáðîêà êðåñòüÿíèíà è ïðèðàâíèâàëñÿ ê êàïèòàëó, êîòî- ðûé â áàíêå äîëæåí äàâàòü äîõîä â 6% ãîäîâûõ. Íàïðèìåð, åñëè â íå÷åðíîçåìíûõ ãóáåðíèÿõ îáðîê ñîñòàâëÿë â ñðåä- íåì 10 ðóá. â ãîä, òî âûêóïíàÿ ñóììà äîëæíà áûëà ñîñòàâëÿòü: 10 ðóá. = 6% X = (10 õ 100) : 6 = 166 ðóá. 66 êîï. X ðóá. = 100% 20% âûêóïíîé ñóììû êðåñòüÿíèí äîëæåí áûë ñàìîñòîÿòåëüíî âû- ïëàòèòü ïîìåùèêó åäèíîâðåìåííî. 80% âûêóïíîé ñóììû äàâàëî â äîëãîñðî÷íûé êðåäèò ãîñóäàðñòâî — íà 49 ëåò ïîä 6% ãîäîâûõ l Êðåñòüÿíå â òå÷åíèå 9 ëåò (äî 1870 ã.) íå ìîãëè îòêàçàòüñÿ îò ñâîåãî çåìåëüíîãî íàäåëà è ïîêèíóòü ñåëüñêóþ îáùèíó l Êðåñòüÿíå, â ïîëüçîâàíèè êîòîðûõ áûëî áîëüøå çåìëè, ÷åì ïðåäóñìàòðèâàëîñü íîðìàìè ðåôîðìû, äîëæíû áûëè âåðíóòü èçëèøêè ïîìåùèêó — òàê íàçûâàåìûå «îòðåçêè» 178 Îòå÷åñòâåííàÿ èñòîðèÿ â ñõåìàõ è òàáëèöàõ ⎫ ⎬ ⎭ Ìåõàíèçì ðåàëèçàöèè êðåñòüÿíñêîé ðåôîðìû Ó÷ðåæäàëñÿ ñïåöèàëüíûé èíñòèòóò ìèðîâûõ ïîñðåäíèêîâ, íàçíà÷àâøèõñÿ èç äâîðÿí, êîòîðûå â òå÷åíèå äâóõ ëåò ñîâìåñòíî ñ ñåëüñêèìè ñòàðîñòàìè ñîñòàâëÿëè óñòàâíûå ãðàìîòû, ãäå îïðåäåëÿëèñü óñëîâèÿ îñâîáîæäåíèÿ êàæäîé êîíêðåòíîé êðåñòüÿíñêîé ñåìüè
  • 182.
    Ðîññèÿ âî âòîðîéïîëîâèíå XIX â. 179 ÐÅÔÎÐÌÀ ÄÅÐÅÂÍÈ ÓÄÅËÜÍÎÉ ÃÎÑÓÄÀÐÑÒÂÅÍÍÎÉ l Îñâîáîæäåíû îò ëè÷íîé çàâèñèìîñòè åùå â 1858 ã. l Ïîçåìåëüíîå óñòðîéñòâî, ïîâèííîñòè è âûêóï îïðåäåëåíû «Ïîëîæåíèåì...» îò 26 èþíÿ 1863 ã. l Óäåëüíûå êðåñòüÿíå ïîëó÷èëè íàäåëû, êîòîðûìè ïîëüçîâàëèñü äî ðåôîðìû l Îáðî÷íàÿ ïîäàòü áûëà ïðåîáðàçîâàíà â âûêóïíûå ïëàòåæè â ïîëüçó öàðñêîé ñåìüè l 24 íîÿáðÿ 1866 ã. — èçäàíèå çàêîíà î ïîçåìåëüíîì óñòðîéñòâå ãîñóäàðñòâåííûõ êðåñòüÿí l 12 èþíÿ 1886 ã. — ãîñóäàðñòâåííûå êðåñòüÿíå ïåðåâåäåíû íà âûêóïíûå ïëàòåæè l Ãîñóäàðñòâåííûå êðåñòüÿíå â ñâîå ðàñïîðÿæåíèå ïîëó÷èëè òå æå çåìëè, êîòîðûìè ïîëüçîâàëèñü ðàíåå
  • 183.
    ÑÓÄÅÁÍÀß ÐÅÔÎÐÌÀ 1864ã. 180 Îòå÷åñòâåííàÿ èñòîðèÿ â ñõåìàõ è òàáëèöàõ Ââîäèëñÿ áåññîñëîâíûé õàðàêòåð ñóäåáíîé äåÿòåëüíîñòè, ò. å. ôîðìàëüíîå ðàâåíñòâî âñåõ ñîñëîâèé ïåðåä çàêîíîì Ïðîâîçãëàøàëàñü íåñìåíÿåìîñòü ñóäåé è íåçàâèñèìîñòü èõ îò àäìèíèñòðàòèâíûõ âëàñòåé Ââîäèëàñü ãëàñíîñòü è ñîñòÿçàòåëüíîñòü ñóäîïðîèçâîäñòâà Ó÷ðåæäàëàñü àäâîêàòóðà (ïðèñÿæíûå èëè ÷àñòíûå ïîâåðåííûå) Ñîçäàâàëñÿ èíñòèòóò ïðèñÿæíûõ çàñåäàòåëåé äëÿ ðàññìîòðåíèÿ ñëîæíûõ óãîëîâíûõ äåë Ââîäèëàñü âûáîðíîñòü íåêîòîðûõ ñóäåáíûõ îðãàíîâ (ìèðîâûå ñóäüè) Èçìåíåíà ñèñòåìà ïðåäâàðèòåëüíîãî ñëåäñòâèÿ. Òåïåðü îíî îñóùåñòâëÿëîñü íå ïîëèöèåé, à ñóäåáíûìè ñëåäîâàòåëÿìè, âõîäèâøèìè â ñîñòàâ îêðóæíûõ ñóäîâ Óïðîùåíà ñèñòåìà ñóäîïðîèçâîäñòâà è ñîêðàùåíî ÷èñëî ñóäåáíûõ èíñòàíöèé
  • 184.
    ÑÓÄÅÁÍÀß ÑÈÑÒÅÌÀ ÐÎÑÑÈÈ ÏÎÐÅÔÎÐÌÅ 1864 ã. Ðîññèÿ âî âòîðîé ïîëîâèíå XIX â. 181 Èìïåðàòîð Ñåíàò Íàäçîðíûå è êîíòðîëèðóþùèå ôóíêöèè Ñúåçä ìèðîâûõ ñóäåé Ñóäåáíàÿ ïàëàòà Ìèðîâîé ñóä Îêðóæíîé ñóä Îñîáûå ñóäû âîëîñòíîé äëÿ êðåñòüÿí äëÿ äóõîâåíñòâà äëÿ âîåííûõ äëÿ âûñøèõ ñàíîâíèêîâ Èçáèðàåòñÿ Óåçäíûì çåìñêèì ñîáðàíèåì Íàçíà÷àåòñÿ èìïåðàòîðîì
  • 185.
    ÇÅÌÑÊÀß ÐÅÔÎÐÌÀ 1864ã. 182 Îòå÷åñòâåííàÿ èñòîðèÿ â ñõåìàõ è òàáëèöàõ Ñîçäàíèå â óåçäàõ è ãóáåðíèÿõ âûáîðíûõ îðãàíîâ ìåñòíîãî ñàìîóïðàâëåíèÿ çåìñòâ Ïðèíöèïû Îòäåëåíèå çåìñòâ îò àäìèíèñòðàòèâíîé âëàñòè Âñåñîñëîâíîå âûáîðíîå çåìñêîå ïðåäñòàâèòåëüñòâî Õîçÿéñòâåííî- ôèíàíñîâàÿ ñàìîñòîÿòåëüíîñòü çåìñòâ Çåìñêîå ñàìîóïðàâëåíèå Ïîëíîìî÷èÿ çåìñòâ Âîïðîñû ìåñòíîãî õîçÿéñòâåííîãî çíà÷åíèÿ (ñòðîèòåëüñòâî äîðîã, øêîë, áîëüíèö, ðàçâèòèå ìåñòíîé ïðîìûøëåííîñòè, îáåñïå÷åíèå ïðîäîâîëüñòâèåì è ò. ä. Ïðåäñåäàòåëü Ãóáåðíñêîå çåìñêîå ñîáðàíèå Ïðåäñåäàòåëü Ãóáåðíñêàÿ çåìñêàÿ óïðàâà Ïðåäñåäàòåëü Óåçäíîå çåìñêîå ñîáðàíèå Ïðåäñåäàòåëü Óåçäíàÿ çåìñêàÿ óïðàâà Âûáîðû ãëàñíûõ (äåïóòàòîâ îò çåìñòâ) 1 ðàç â 3 ãîäà ïî èçáèðàòåëüíûì êóðèÿì Çåìëåâëàäåëü÷åñêàÿ Êðóïíûå è ñðåäíèå çåìåëüíûå ñîáñòâåííèêè Ãîðîäñêàÿ Ãîðîäñêèå ñîáñòâåííèêè Êðåñòüÿíñêàÿ Ñåëüñêèå êðåñòüÿíñêèå îáùåñòâà
  • 186.
    ÃÎÐÎÄÑÊÀß ÐÅÔÎÐÌÀ 1870ã. Ââåäåíèå ãîðîäñêîãî ñàìîóïðàâëåíèÿ ïî òèïó çåìñêîãî Ðîññèÿ âî âòîðîé ïîëîâèíå XIX â. 183 ÑÒÐÓÊÒÓÐÀ ÃÎÐÎÄÑÊÎÃÎ ÑÀÌÎÓÏÐÀÂËÅÍÈß Ãîðîäñêàÿ äóìà Ãëàñíûå Ãîðîäñêàÿ óïðàâà Ãîðîäñêîé ãîëîâà I èçáèðàòåëüíîå ñîáðàíèå (êðóïíûå íàëîãîïëà- òåëüùèêè) II èçáèðàòåëüíîå ñîáðàíèå (ñðåäíèå íàëîãîïëà- òåëüùèêè) III èçáèðàòåëüíîå ñîáðàíèå (ìåëêèå íàëîãîïëà- òåëüùèêè) Âûáîðû ðàç â ÷åòûðå ãîäà
  • 187.
    ÂÎÅÍÍÀß ÐÅÔÎÐÌÀ (1861—1874ãã.) 184 Îòå÷åñòâåííàÿ èñòîðèÿ â ñõåìàõ è òàáëèöàõ Ãåíåðàë Ä. À. Ìèëþòèí Îñíîâíûå íàïðàâëåíèÿ Ñîêðàùåíèå ÷èñëåííîñòè ðóññêîé àðìèè Ðàñøèðåíèå ñåòè âîåííî-ó÷åáíûõ çàâåäåíèé äëÿ ïîäãîòîâêè îôèöåðñêîãî ñîñòàâà (1863—1864 ãã. — ñîçäàíèå âîåííûõ ãèìíàçèé è þíêåðñêèõ ó÷èëèù) Ââåäåíèå íîâûõ âîèíñêèõ óñòàâîâ Îñóùåñòâëåíèå ïåðåâîîðóæåíèÿ àðìèè Ó÷ðåæäåíà ñèñòåìà âîåííûõ îêðóãîâ â öåëÿõ ñîâåðøåíñòâîâàíèÿ âîåííîãî óïðàâëåíèÿ Îòìåíà ðåêðóòñêîé ñèñòåìû êîìïëåêòîâàíèÿ àðìèè è ââåäåíèå âñåîáùåé âîèíñêîé ïîâèííîñòè (ñ 1 ÿíâàðÿ 1874 ã.)
  • 188.
    ÐÅÔÎÐÌÛ Â ÎÁËÀÑÒÈ ÍÀÐÎÄÍÎÃÎÎÁÐÀÇÎÂÀÍÈß 1863—1864 ãã. Ðîññèÿ âî âòîðîé ïîëîâèíå XIX â. 185 Èçìåíåíèÿ â ñèñòåìå îáðàçîâàíèÿ Íà÷àëüíîå Ñðåäíåå Âûñøåå «Ïîëîæåíèå î íà÷àëüíûõ íàðîäíûõ ó÷èëèùàõ» (14 èþíÿ 1864 ã.) «Óñòàâ ãèìíàçèé è ïðîãèìíàçèé» (19 íîÿáðÿ 1864 ã.) «Óíèâåðñè- òåòñêèé óñòàâ» (18 èþíÿ 1863 ã.) Ëèêâèäà- öèÿ ãîñó- äàðñòâåí- íî-öåð- êîâíîé ìîíîïî- ëèè íà îá- ðàçîâàíèå Ó÷åáíûå çàâå- äåíèÿ ðàçðå- øåíî îòêðû- âàòü çåìñòâàì, îáùåñòâåííûì îðãàíèçàöèÿì è ÷àñòíûì ëè- öàì Ïðîãèì- íàçèè: ñî- êðàùåí- íûé ñðîê îáó÷åíèÿ 4 ãîäà Àâòîíîìèÿ Ñîçäàâàëèñü ñîâåòû óíèâåðñèòåòîâ, ðåøàâøèå âñå âíóòðåííèå âîïðîñû Èçáðàíèå ðåêòîðà è ïðåïîäàâà- òåëåé Ãèìíàçèè Êëàññè÷åñêèå Ðåàëüíûå Ãîòîâèëè ê ïîñòóïëåíèþ â óíèâåðñèòåò Ãîòîâèëè ê ïîñòóïëåíèþ â âûñøèå òåõíè÷åñêèå ó÷åáíûå çàâåäåíèÿ
  • 189.
    ÎÁÙÅÑÒÂÅÍÍÛÅ ÄÂÈÆÅÍÈß 186 Îòå÷åñòâåííàÿèñòîðèÿ â ñõåìàõ è òàáëèöàõ Êîíñåðâàòîðû Ðåâîëþöèîíåðû Ëèáåðàëû Ïåðåõîä Ì.Í. Êàòêîâà â ãàçåòó «Ìîñêîâñêèå âåäîìîñòè» è ïðåâðàùåíèå åå â ðóïîð êîíñåðâàòîðîâ ñ 1862 ã. Ñòðåìëåíèå îãðàäèòü öàðñêóþ âëàñòü îò âëèÿíèÿ ëèáåðàëüíîé áþðîêðàòèè è ñêîððåêòèðîâàòü ðåôîðìû â èíòåðåñàõ äâîðÿíñòâà Äâèæåíèå íàðîäíèêîâ Çàïàäíèêè «Ðóññêèé âåñòíèê» 1856—1861 ãã. Ì. Í. Êàòêîâ «Âåñòíèê Åâðîïû» ñ 1866 ã. Ì. Ì. Ñòàñþëåâè÷ Ñëàâÿíîôèëû «Ðóññêàÿ áåñåäà» ñ 1856 ã. À.È. Êîøåëåâ Çåìñêèé êîíñòèòóöèîíàëèçì 1879—1881 ãã. È.È. Ïåòðóíêåâè÷ Ñ.À. Ìóðîìöåâ Òðåáîâàíèÿ Ðàñøèðåíèå ïðàâ çåìñòâ è ñîçäàíèå öåíòðàëüíûõ ïðåäñòàâèòåëüíûõ ó÷ðåæäåíèé. Ââåäåíèå ãðàæäàíñêèõ ñâîáîä Íàäåæäû íà ñîòðóäíè÷åñòâî ñ âåðõîâíîé âëàñòüþ Ì.Ò. Ëîðèñ- Ìåëèêîâ Ïå÷àòíûå îðãàíû
  • 190.
    Ðîññèÿ âî âòîðîéïîëîâèíå XIX â. 187 ÐÅÂÎËÞÖÈÎÍÍÛÅ ÄÂÈÆÅÍÈß Ïðè÷èíû âîçíèê- íîâåíèÿ: Íåäîâîëüñòâî ðåôîðìàìè 60—70-õ ãã. XIX â. ó ÷àñòè ðàäèêàëüíî íàñòðîåííîé èíòåëëèãåíöèè Áóíòàðñêîå (àíàðõèñòñêîå) Ì.À. Áàêóíèí Ïðîïàãàíäèñòñêîå Ï.Ë. Ëàâðîâ Çàãîâîðùè÷åñêîå Ï.Í. Òêà÷åâ Êðåñòüÿíèí ïî ñâîåé ïðèðîäå — áóíòàðü, îí ãîòîâ ê ðåâîëþöèè. Èíòåëëèãåíöèÿ äîëæíà èäòè â íàðîä è ñïîñîá- ñòâîâàòü ñëèÿíèþ îò- äåëüíûõ êðåñòüÿíñêèõ áóíòîâ â îáùåðîññèé- ñêóþ ðåâîëþöèþ. Ãîñó- äàðñòâî — ýòî èñòî÷- íèê ýêñïëóàòàöèè, ïî- ýòîìó åãî íàäî óíè÷òîæèòü. Âìåñòî ãî- ñóäàðñòâà ñîçäàåòñÿ ñî- þç ñàìîóïðàâëÿþùèõñÿ îáùèí Êðåñòüÿíèí íå ãî- òîâ ê ðåâîëþöèè. Èíòåëëèãåíöèÿ äîëæíà èäòè â íà- ðîä, íåñòè ðåâîëþ- öèîííûå è ñîöèàëè- ñòè÷åñêèå èäåè. Äëÿ áîëüøåé ýôôåêòèâ- íîñòè ïðîïàãàíäû íóæíî ñîçäàòü ðåâî- ëþöèîííóþ îðãàíè- çàöèþ Êðåñòüÿíèí íå ãî- òîâ ê ðåâîëþöèè, íî àãèòàöèÿ íå äàñò áûñòðûõ ðåçóëüòà- òîâ. Ñàìîäåðæàâèå ëèøåíî îïîðû â íà- ðîäå. Ïîýòîìó íåîá- õîäèìî ñîçäàòü ðå- âîëþöèîííóþ îðãà- íèçàöèþ, êîòîðàÿ ïîäãîòîâèò è îñóùå- ñòâèò çàõâàò âëàñòè. Ýòî äàñò òîë÷îê ðå- âîëþöèè Íàðîäíè÷åñòâî Èäåéíûå òå÷åíèÿ
  • 191.
    ÐÅÂÎËÞÖÈÎÍÍÛÅ ÄÂÈÆÅÍÈß 188 Îòå÷åñòâåííàÿèñòîðèÿ â ñõåìàõ è òàáëèöàõ Äåÿòåëüíîñòü íàðîäíèêîâ «Çåìëÿ è âîëÿ» — òàéíîå îáùåñòâî, äåéñòâîâàâøåå â 1861—1864 ãã. Îðãàíèçàòîðû: Í.À. è À.À. Ñåðíî-Ñîëîâüåâè÷è, Í.Í. Îáðó÷åâ, À.À. Ñëåïöîâ, Í.È. Óòèí è äð. Èäåéíîå âëèÿíèå À.È. Ãåðöåíà è Í.Ã. ×åðíûøåâñêîãî ÐÅÂÎËÞÖÈÎÍÍÛÅ ÍÀÐÎÄÍÈ×ÅÑÊÈÅ ÊÐÓÆÊÈ Îðãàíèçàöèÿ Í.À. Èøóòèíà — È.À. Õóäÿêîâà (1863—1866). Òåððîðèñòè÷å- ñêàÿ ãðóïïà «Àä». Àïðåëü 1866 ã. — ïîêóøåíèå Ä. Êàðàêîçîâà íà Àëåêñàíäðà II «×àéêîâöû» — êðóæîê Ì.À. Íàòàíñîíà — Í.Â. ×àéêîâñêîãî â Ïåòåðáóðãå.  1871 ã. îáúåäèíèëèñü ñ êðóæ- êîì Ñ.Ë. Ïåðîâñêîé. Èíèöèà- òîðû «õîæäåíèÿ â íàðîä».  1874 ã. ìíîãèå ÷ëåíû êðóæêà îñóæäåíû ïî «ïðîöåññó 193-õ». «Íàðîäíàÿ ðàñïðàâà» Ñ.Ã. Íå÷àåâà (1869— 1871). Óáèéñòâî ÷ëåíà îðãàíèçàöèè È. Èâàíîâà äëÿ ïîäíÿ- òèÿ àâòîðèòåòà è óêðåïëåíèÿ äèñöèïëèíû «Õîæäåíèå â íàðîä» 1873—1875 ãã. «Çåìëÿ è âîëÿ» (1876—1879) Ã.Â. Ïëåõàíîâ, À.Ä. Ìèõàéëîâ, Â.Í. Ôèãíåð, Ñ.Ë. Ïåðîâñêàÿ, Í.À. Ìîðîçîâ, Ñ.Ì. Êðàâ÷èíñêèé Ïðîïàãàíäà Äåìîíñòðàöèÿ ó Êàçàíñêîãî ñîáîðà â Ïå- òåðáóðãå (1876) Òåððîð Ïîêóøåíèÿ Â. Çàñóëè÷ íà ãåí. Ô.Ô. Òðåïîâà (1878) è À. Ñîëîâüåâà íà Àëåêñàíäðà II (1879) ÐàñêîëÏðîïàãàíäà Òåððîð «×åðíûé ïåðåäåë» Ã.Â. Ïëåõàíîâ, Ë.Ã. Äåé÷, Â.È. Çàñóëè÷ è äð. Ñ 1880 ã. — ëèäåðû â ýìèãðàöèè  1883 ã. îñíîâàëè ãðóïïó «Îñâîáîæäåíèå òðóäà» «Íàðîäíàÿ âîëÿ» Âî ãëàâå — èñïîëíèòåëüíûé êîìèòåò (À.È. Æåëÿáîâ, À.Ä. Ìèõàéëîâ, Ñ.Ë. Ïåðîâñêàÿ è äð.) Ïîäãîòîâèëè è îñóùåñòâèëè âîñåìü ïîêóøåíèé íà öàðÿ 1 ìàðòà 1881 ã. — óáèéñòâî Àëåêñàíäðà II Ðàçãðîì îðãàíèçàöèè. Êàçíü ðóêîâîäèòåëåé íàðîäîâîëüöåâ
  • 192.
    ÎÑÍÎÂÍÛÅÍÀÏÐÀÂËÅÍÈßÂÍÅØÍÅÉÏÎËÈÒÈÊÈÐîññèÿ âî âòîðîéïîëîâèíå XIX â. 189 Åâðîïåéñêàÿ ïîëèòèêà Âîñòî÷íûéêðèçèñ 70-õãã.XIXâ. Ðàñøèðåíèåãåîïîëèòè÷åñêîãî ïðîñòðàíñòâàÐîññèèè ïðèñîåäèíåíèåÑðåäíåéÀçèè Äàëüíåâîñòî÷íàÿ ïîëèòèêà Îáîñòðåíèå ìåæäóíàðîäíîé îáñòàíîâêè, Ôðàíêî- ïðóññêàÿâîéíà Îáðàçîâàíèå Ãåðìàíñêîé èìïåðèè1871ã. Öåëè:ÂûõîäÐîññèè èçìåæäóíàðîäíîé èçîëÿöèèèâîññòà- íîâëåíèåñòàòóòàâå- ëèêîéäåðæàâû Îêòÿáðü1870 Ìàðò1871ã. Ëîíäîíñêàÿêîíâåíöèÿ. Ïåðåñìîòðóñëîâèé Ïàðèæñêîãîìèðà. Äèïëîìàòè÷åñêàÿ ïîáåäàÐîññèè «Ñîþçòðåõèìïåðàòîðîâ» (1873—1878) Ãåðìàíèÿ,Ðîññèÿ, Àâñòðî-Âåíãðèÿ Ðóññêî- òóðåöêàÿ âîéíà 1877— 1878ãã. Ñàí- Ñòåôàí- ñêèéìèð Êðèçèñèðàñïàä «Ñîþçàòðåõ èìïåðàòîðîâ» (1878) Áåðëèí- ñêèé êîíãðåññ 1866— 1868ãã. Áóõàðà 1873ã. Õèâà 1865— 1875ãã. Êîêàíä Ñîçäàíèå Òóðêåñòàíñêîãî ãåíåðàë- ãóáåðíàòîðñòâà ⎫ ⎬ ⎭ Âàññàëüíàÿ çàâèñèìîñòü îòÐîññèè Ðóññêî-êèòàéñêèå îòíîøåíèÿ Ðóññêî-ÿïîíñêèå îòíîøåíèÿ 1858—1860ãã.1855—1875ãã. Äîãîâîðûñ Êèòàåìî ãðàíèöåïî ðåêåÀìóð Äîãî- âîðûñ ßïî- íèåé À É Ã Ó Í Ñ Ê È É Ï Å Ê È Í Ñ Ê È É ÎòêàçÐîññèèîò óíèçèòåëüíûõñòàòåé Ïàðèæñêîãîìèðà 1856ã. Ñ È Ì Î Ä À Ï Å Ò Å Ð Á Ó Ð Ã Êóðèëû—òåððè- òîðèÿÐîññèè, Ñàõàëèí—ñî- âìåñòíîåâëàäå- íèåÐîññèèè ßïîíèè Êóðèëû— òåððèòîðèÿ ßïîíèè, Ñàõàëèí— âëàäåíèå Ðîññèè Ðóññêî-àìåðèêàíñêèå îòíîøåíèÿ Ïðîäàæàâ1867ã.Ðîññèåé ÀëÿñêèïðàâèòåëüñòâóÑØÀ çà7,2ìëíäîëëàðîâ
  • 193.
    ÐÓÑÑÊÎ-ÒÓÐÅÖÊÀß ÂÎÉÍÀ 1877—1878 ãã. ÎáîñòðåíèåÂîñòî÷íîãî âîïðîñà è íà÷àëî âîéíû 190 Îòå÷åñòâåííàÿ èñòîðèÿ â ñõåìàõ è òàáëèöàõ Ïðè÷èíû âîéíû 1. Îáîñòðåíèå âîñòî÷íîãî âîïðîñà è ñòðåìëåíèå Ðîññèè èã- ðàòü àêòèâ- íóþ ðîëü â ìåæäóíà- ðîäíîé ïîëèòèêå 2. Ïîääåðæêà Ðîññèåé íà- öèîíàëüíî- îñâîáîäè- òåëüíîãî äâèæåíèÿ áàëêàíñêèõ íàðîäîâ ïðîòèâ Òóð- öèè 3. Îòêàç Òóð- öèè óäîâëå- òâîðèòü óëüòèìàòóì Ðîññèè î ïðåêðàùå- íèè áîåâûõ äåéñòâèé â Ñåðáèè Ãîä Ñîáûòèå 1875 ã. Âîññòàíèå â Áîñíèè è Ãåðöåãîâèíå Àïðåëü 1876 ã. Âîññòàíèå â Áîëãàðèè Èþíü 1876 ã. Ñåðáèÿ è ×åðíîãîðèÿ îáúÿâëÿþò âîéíó Òóðöèè, â Ðîññèè èäåò ñáîð ñðåäñòâ íà ïîìîùü âîññòàâøèì è çàïèñü äîáðîâîëüöåâ Îêòÿáðü 1876 ã. Ðàçãðîì ñåðáñêîé àðìèè ïîä Äüþíèøåì; Ðîññèÿ ïðåäúÿâëÿåò Òóðöèè óëüòèìàòóì ïðåêðàòèòü áîåâûå äåéñòâèÿ ßíâàðü 1877 ã. Êîíôåðåíöèÿ ïîñëîâ åâðî- ïåéñêèõ ñòðàí â Êîíñòàí- òèíîïîëå. Íåóäàâøàÿñÿ ïî- ïûòêà ðàçðåøåíèÿ êðèçèñà Ìàðò 1877 ã. Åâðîïåéñêèå äåðæàâû ïîä- ïèñàëè Ëîíäîíñêèé ïðîòî- êîë, îáÿçûâàþùèé Òóðöèþ ïðîâåñòè ðåôîðìû, íî òà îòâåðãëà ýòî ïðåäëîæåíèå 12 àïðåëÿ 1877 ã. Àëåêñàíäð II ïîäïèñàë ìàíèôåñò î íà÷àëå âîéíû ñ Òóðöèåé
  • 194.
    ÐÓÑÑÊÎ-ÒÓÐÅÖÊÀß ÂÎÉÍÀ 1877—1878ãã. Õîä âîåííûõ äåéñòâèé íà òåððèòîðèè Áîëãàðèè è â Çàêàâêàçüå 1877 ã. 12 àïðåëÿ Âçÿòèå ðóññêèìè âîéñêàìè òóðåöêèõ êðåïîñòåé íà Äóíàå 12 àïðåëÿ Ïåðåõîä ðóññêèõ âîéñê ÷åðåç ðóññêî-òóðåöêóþ ãðàíèöó íà Êàâêàçå 18 àïðåëÿ Âçÿòèå Áàÿçåòà 22 ìàÿ Óñòàíîâëåíèå áëîêàäû Êàðñà 7—28 èþíÿ Îáîðîíà Áàÿçåòà ðóññêèì îòðÿäîì êàïèòàíà Øòîêîâè÷à 15 èþíÿ Ïåðåïðàâà àâàíãàðäà ðóññêîé àðìèè ÷åðåç Äóíàé ó Çèìíèöû 30 èþíÿ — 2 èþëÿ Ïåðåõîä ÷åðåç Áàëêàíû ïåðåäîâîãî îòðÿäà âî ãëàâå ñ ãåíåðàëîì È.Â. Ãóðêî 7 èþëÿ Âçÿòèå Øèïêèíñêîãî ïåðåâàëà îòðÿäîì ãåíåðàëà È.Â. Ãóðêî 20 èþëÿ — 31 àâã. Øòóðì Ïëåâíû ðóññêèìè âîéñêàìè 12 îêò. — 28 íîÿáðÿ Áëîêàäà Ïëåâíû 6 íîÿáðÿ Øòóðì Êàðñà ðóññêèìè âîéñêàìè 28 íîÿáðÿ Ïëåíåíèå ãàðíèçîíà Ïëåâíû 13—19 äåêàáðÿ Ïåðåõîä ÷åðåç Áàëêàíû çàïàäíîãî îòðÿäà ãåíåðàëà È.Â. Ãóðêî 23 äåêàáðÿ Âçÿòèå Ñîôèè âîéñêàìè ãåíåðàëà È.Â. Ãóðêî 23—27 äåêàáðÿ Ïåðåõîä ÷åðåç Áàëêàíû îòðÿäîâ Ñâÿòîïîëê-Ìèðñêîãî è ãåíåðàëà Ä.Ì. Ñêîáåëåâà 27 äåêàáðÿ Ñðàæåíèå ó äåðåâíè Øèïêà, âçÿòèå ðóññêèìè âîéñêàìè ñòàâêè ã. Êàçàíëûêà 28 äåêàáðÿ Ñðàæåíèå ó Øåéíîâî, Øèïêè è íà Øèïêèíñêîì ïåðåâàëå. Âçÿòèå â ïëåí òóðåöêîé àðìèè Âåññåëÿ-ïàøè 30 äåêàáðÿ Óñòàíîâëåíèå áëîêàäû Ýðçóðóìà 31 äåê. — 3 ÿíâ. 1878 ã. Íàñòóïëåíèå àâàíãàðäà ãåíåðàëà È.Â. Ãóðêî íà Ôèëèïïîïîëü è âçÿòèå ãîðîäà ïîñëå ïîðàæåíèÿ àðìèè Ñóëåéìàíà-ïàøè 1878 ã. 8 ÿíâàðÿ Âçÿòèå Àäðèàíîïîëÿ ðóññêèìè âîéñêàìè 10 ôåâðàëÿ Âçÿòèå Ýðçóðóìà ðóññêèìè âîéñêàìè 12 ôåâðàëÿ Âçÿòèå Ñàí-Ñòåôàíî ðóññêèìè âîéñêàìè Èòîãè âîéíû Ðîññèÿ âî âòîðîé ïîëîâèíå XIX â. 191 Ïðîäîëæåíèå Ñàí-Ñòåôàíñêèé ìèðíûé äîãîâîð 19 ôåâðàëÿ 1878 ã. Áåðëèíñêèé òðàêòàò 1 èþëÿ 1878 ã. 1. Òóðöèÿ âûïëà÷èâàëà Ðîññèè áîëüøóþ êîíòðèáóöèþ 1. Óìåíüøåíà ñóììà êîíòðèáóöèè 2. Áîëãàðèÿ ïðåâðàùàëàñü â àâòîíîìíîå êíÿæåñòâî, åæåãîäíî óïëà÷èâàþùåå Òóðöèè ïîñèëüíóþ äàíü 2. Íåçàâèñèìîñòü ïîëó÷èëà òîëüêî Ñåâåðíàÿ Áîëãàðèÿ, à Þæíàÿ îñòàëàñü ïîä âëàñòüþ Òóðöèè 3. Ñåðáèÿ, ×åðíîãîðèÿ è Ðóìûíèÿ ïðèîáðåëè ïîëíóþ íåçàâèñèìîñòü, èõ òåððèòîðèÿ çíà÷èòåëüíî óâåëè÷èâàëàñü 3. Òåððèòîðèàëüíûå ïðèîáðåòåíèÿ Ñåðáèè è ×åðíîãîðèè óìåíüøèëèñü. Îíè, à òàêæå Ðóìûíèÿ ïîëó÷àëè íåçàâèñèìîñòü 4. Ðîññèÿ ïîëó÷àëà Áåññàðàáèþ, Êàðñ, Áàÿçåò, Àðäàãàí, Áàòóì 4. Àâñòðî-Âåíãðèÿ îêêóïèðîâàëà Áîñíèþ è Ãåðöåãîâèíó, à Àíãëèÿ — Êèïð Íåäîâîëüñò- âî åâðîïåé- ñêèõ äåðæàâ è îêàçàíèå äàâëåíèÿ íà Ðîññèþ. Ïåðåäà÷à ñòàòåé äîãî- âîðà íà îá- ñóæäåíèå ìåæäóíà- ðîäíîãî êîíãðåññà
  • 195.
    ÑÎÖÈÀËÜÍÎ-ÝÊÎÍÎÌÈ×ÅÑÊÎÅ ÐÀÇÂÈÒÈÅ Â ÏÎÐÅÔÎÐÌÅÍÍÛÉÏÅÐÈÎÄ ÐÀÇÂÈÒÈÅ ÊÀÏÈÒÀËÈÇÌÀ  ÐÎÑÑÈÈ 192 Îòå÷åñòâåííàÿ èñòîðèÿ â ñõåìàõ è òàáëèöàõ  ñåëüñêîì õîçÿéñòâå  ïðîìûøëåííîñòè Ïðóññêèé ïóòü Àìåðèêàíñêèé ïóòü Ãóáåðíèè Öåíòðàëüíîé Ðîññèè Ðàéîíû Ñèáè- ðè, ðóññêîãî Ñåâåðà, ðàññåëåíèå êàçà÷åñòâà Ýâîëþöèÿ ïî- ìåùè÷üåãî õî- çÿéñòâà â êà- ïèòàëèñòè÷å- ñêîå ïðè ñîõðàíåíèè ôåîäàëüíîé ýêñïëóàòàöèè êðåñòüÿí Âîâëå÷åíèå êðåñòüÿíñêèõ (ôåðìåð- ñêèõ) õî- çÿéñòâ â êàïèòàëè- ñòè÷åñêèå îòíîøåíèÿ Ïåðåõîä íà íàåìíûé òðóä Àêòèâèçà- öèÿ æåëåç- íîäîðîæ- íîãî ñòðîè- òåëüñòâà Çàâåðøåíèå ïðîìûøëåííîãî ïåðåâîðîòà
  • 196.
    ÑÎÖÈÀËÜÍÎ-ÝÊÎÍÎÌÈ×ÅÑÊÎÅ ÐÀÇÂÈÒÈÅ Â ÏÎÐÅÔÎÐÌÅÍÍÛÉÏÅÐÈÎÄ Àãðàðíûé ñåêòîð Ñåëüñêîå õîçÿéñòâî — ãëàâíàÿ îòðàñëü ñòðàíû Îñíîâíûå ÷åðòû Ðîññèÿ âî âòîðîé ïîëîâèíå XIX â. 193 Ñîõðàíåíèå ôåîäàëüíûõ ïåðåæèòêîâ Ïðåîáëàäàíèå ýêñòåíñèâíîãî ïóòè ðàçâèòèÿ Ðàçâèòèå êàïèòàëèñòè÷åñêèõ îòíîøåíèé â äåðåâíå Îòðàáîòêè Äîìèíè- ðîâàíèå îáùèííûõ ïîðÿäêîâ â äåðåâíå Ìàëîçåìåëüå êðåñòüÿí Ãîñïîäñòâî ïîìåùè÷üå- ãî çåìëåâëà- äåíèÿ Ðîñò òîâàðíîñòè ñåëüñêîõîçÿéñòâåí- íîãî ïðîèçâîäñòâà ÎÑÍÎÂÍÛÅ ÔÎÐÌÛ ÏÎÌÅÙÈ×ÜÈÕ ÕÎÇßÉÑÒ Îòðàáîòî÷íàÿ ñèñòåìà Òðóä âðåìåííîîáÿçàííûõ Êàïèòàëèñòè÷åñêàÿ ñèñòåìà Íàåìíûé òðóä Ñìåøàííàÿ ñèñòåìà Ðàçíûå ðàáîòû âûïîëíÿëèñü è âðåìåííîîáÿçàííûìè, è íàåìíûìè ðàáî÷èìè Ïîìåùè÷üè õîçÿéñòâà
  • 197.
    ÎÑÎÁÅÍÍÎÑÒÈ ÏÐÎÌÛØËÅÍÍÎÃÎ ÐÀÇÂÈÒÈß Ñæàòûå èñòîðè÷åñêèåñðîêè è âûñîêèå òåìïû ðàçâèòèÿ ðîññèéñêîé ïðîìûøëåííîñòè Îãðîìíàÿ ðîëü ãîñóäàðñòâà â ðàçâèòèè ýêîíîìèêè Øèðîêîå ïðèâëå÷åíèå â ðîññèéñêóþ ýêîíîìèêó èíîñòðàííîãî êàïèòàëà Ñîõðàíåíèå ôåîäàëüíûõ è ðàííåêàïèòàëèñòè÷åñêèõ ôîðì ýêñïëóàòàöèè Íåðàâíîìåðíîñòü ýêîíîìè÷åñêîãî ðàçâèòèÿ 194 Îòå÷åñòâåííàÿ èñòîðèÿ â ñõåìàõ è òàáëèöàõ Ïÿòü ïðîìûøëåííûõ ðåãèîíîâ Îñòàëüíàÿ ÷àñòü ñòðàíû — ïðåîáëàäàíèå àãðàðíî-êóñòàðíîãî ïðîèçâîäñòâà Ñòàðûå: Ñåâåðî-Çàïàä, Óðàë, Öåíòð Ðîññèè Íîâûå: Äîíáàññ, Áàêó
  • 198.
    ÈÇÌÅÍÅÍÈß Â ÑÎÖÈÀËÜÍÎ-ÑÎÑËÎÂÍÎÉ ÑÒÐÓÊÒÓÐÅÐÎÑÑÈÉÑÊÎÃÎ ÎÁÙÅÑÒÂÀ Ðîññèÿ âî âòîðîé ïîëîâèíå XIX â. 195 Ñîñëîâèÿ Ïðèâèëåãèðîâàííûå Íåïðèâèëåãèðîâàííûå Äâîðÿíå Ïî÷åòíûå ãðàæäàíå Äóõîâåíñòâî Êóïöû Ìåùàíå Êðåñòüÿíå Ïîòîìñòâåííûå Ëè÷íîå Ïîòîìñòâåííûå Çàëè÷íûåçàñëóãè ×åðíîå(ìîíàõè) Áåëîå 1-éãèëüäèè 2-éãèëüäèè 3-éãèëüäèè Ïðîòèâîðå÷èÿ ìåæäó ñîñëîâíûì è êëàññîâûì äåëåíèåì îáùåñòâà Ïåðåæèòêè ôåîäàëüíûõ îòíîøåíèé Êëàññû Ïîìåùèêè Êðåñòüÿíå Áóðæóàçèÿ Ðàáî÷èå Íå âñå äâîðÿíå áûëè ïîìåùèêàìè. ×àñòü èõ íå èìåëà ïîìåñ- òèé, áûëà ïðåäñòàâ- ëåíà ÷èíîâíèêàìè è ïîëó÷èëà äâîðÿíñòâî ïî âûñëóãå Ðàññëîåíèå íà: â êóëàêîâ â ñåðåäíÿêîâ â áåäíÿêîâ Íîâûå êëàññû ðàçâèâàþùåãîñÿ êàïèòàëèçìà Ïî÷åòíûå ãðàæäàíå Êóïöû Ìåùàíå Äâîðÿíå Êðåñòüÿíå Áóðæóàçèÿ Ôîðìèðîâàíèå ðàáî÷åãî êëàññà è áóðæóàçèè Ðàáî÷èå Êðåñòüÿíå Ìåùàíå
  • 199.
    ÐÎÑÑÈßÂÎÂÒÎÐÎÉÏÎËÎÂÈÍÅXIXâ. ÐîññèÿâîâòîðîéïîëîâèíåXIXâ.ÏÐÀÂËÅÍÈÅÀËÅÊÑÀÍÄÐÀIII(1881—1894) ÏðàâëåíèåÀëåêñàíäðàIII(1881—1894)ÂÍÓÒÐÅÍÍßßÏÎËÈÒÈÊÀ 196 Îòå÷åñòâåííàÿ èñòîðèÿâ ñõåìàõ è òàáëèöàõ Èäåîëîãè: Ê.Ï.Ïîáåäîíîñöåâ, Ä.À.Òîëñòîé, Â.Ï.Ìåùåðñêèé Êîíòððåôîðìû—ïðèíÿòîåâèñòîðè÷åñêîéëèòåðàòóðåíàçâàíèåìåðîïðèÿòèé ïðàâèòåëüñòâàÀëåêñàíäðàIIIïîïåðåñìîòðóèòîãîâðåôîðì60-õãã. Îñíîâíûåíàïðàâëåíèÿ Îãðàíè÷åíèåçåìñêîãîè ãîðîäñêîãîñàìîóïðàâëåíèÿ Óñèëåíèåïîëèöåéñêîãîðåæèìàèëèêâèäàöèÿ íåêîòîðûõïîëîæåíèéñóäåáíîéðåôîðìû1864ã. Ââåäåíèåäîïîëíèòåëüíûõîãðàíè÷åíèé âñôåðåïå÷àòèèîáðàçîâàíèÿ Ó÷ðåæäåíèå äîëæíîñòåé çåìñêèõó÷àñò- êîâûõíà÷àëü- íèêîâ Íîâîå«Ïîëî- æåíèåîãó- áåðíñêèõè óåçäíûõçåì- ñêèõó÷ðåæäå- íèÿõ»(1890) Íîâîå«Ãîðî- äîâîåïîëîæå- íèå»(1892) «Ïîëîæåíèåîìåðàõê îõðàíåíèþãîñ.ïîðÿä- êàèîáùåñòâåííîãî ñïîêîéñòâèÿ»(1884)— ÷ðåçâû÷àéíûéçàêîí äëÿáîðüáûñðåâîëþ- öèîííûìäâèæåíèåì Îãðàíè÷åíàîòêðûòîñòü ñóäîïðîèçâîäñòâàïî ïîëèò.äåëàì(1887) Ëèêâèäèðîâàíûìèðî- âûåñóäû(1889) Íîâûå«Âðåìåííûå ïðàâèëàîïå÷àòè» (1882)—ëþáîéïå÷àò- íûéîðãàíìîæíîçà- êðûòü Íîâûéóíèâåðñèòåò- ñêèéóñòàâ(1884) ÖèðêóëÿðÌèí.ïðî- ñâåùåíèÿ«Îêóõàðêè- íûõäåòÿõ»(1887) Êîíòðîëüçà êðåñòüÿí- ñêèìñàìî- óïðàâëåíèåì Ðåøåíèåçå- ìåëüíûõâî- ïðîñîâ Èçìåíåíèÿâçåì- ñêîéèçáèðàòåëü- íîéñèñòåìå Óâåëè÷åíèå÷èñëà äåïóòàòîâîòäâîðÿí èèõñîêðàùåíèåîò äðóãèõñîñëîâèé Èçìåíåíèåâãîðîäñêîé èçáèðàòåëüíîéñèñòåìå Îòñòðàíåíèåîòâûáîðîâ ìåëêèõñîáñòâåííèêîâââèäó ïîâûøåíèÿèìóùåñòâåííîãî öåíçà,íåîáõîäèìîãîäëÿ ó÷àñòèÿââûáîðíîìïðîöåññå Ñîçäàíûîõðàí- íûåîòäåëåíèÿ Ââîäèòñÿïîëè- òè÷åñêèéñûñê Ëèêâèäàöèÿàâòîíîìèè Îãðàíè÷åíèåäëÿïîñòóïëåíèÿâ ãèìíàçèèäåòåéíèçøèõñîñëîâèé
  • 200.
    ÝÊÎÍÎÌÈ×ÅÑÊÎÅÐÀÇÂÈÒÈÅÂ80—90-åãã.XIXâ.Ðîññèÿ âî âòîðîéïîëîâèíå XIX â. 197 Êóðñíàìîäåðíèçàöèþ ïðîìûøëåííîñòè Ðåôîðìàòîðñêàÿäåÿòåëüíîñòü ÍèêîëàéÕðèñòèàíîâè÷Áóíãå(1823—1895) Ìèíèñòðôèíàíñîââ1881—1886ãã. ÏðåäñåäàòåëüÊàáèíåòàìèíèñòðîââ1887— 1895ãã. Ñòîðîííèêïîëèòèêèïðîòåêöèîíèçìà;îñíîâ- íûåìåðû: âÏîâûøåíèåòàìîæåííûõïîøëèí âÏîääåðæêà÷àñòíûõàêöèîíåðíûõáàíêîâ âÐåôîðìèðîâàíèåñèñòåìûíàëîãîîáëîæåíèÿ èââåäåíèåíîâûõíàëîãîâíàíåäâèæè- ìîñòü,òîðãîâëþ,ïðîìûñëû,äåíåæíûåîïå- ðàöèè Ïîëèòèêàâêðåñòüÿíñêîìâîïðîñå: âËèêâèäàöèÿ«âðåìåííîîáÿçàííîãîñîñòîÿ- íèÿ»èïîíèæåíèåâûêóïíûõïëàòåæåé (1881) âÑîçäàíèåÊðåñòüÿíñêîãîáàíêàäëÿëüãîò- íîãîêðåäèòîâàíèÿêðåñòüÿí(1882) âÎòìåíàïîäóøíîéïîäàòè(1885) ÈâàíÀëåêñååâè÷Âûøåãðàäñêèé (1831—1895) Ìèíèñòðôèíàíñîââ1887—1892ãã. Ïðîäîëæàåòïîëèòèêó ïðîòåêöèîíèçìà: âÏðèíÿòíîâûéïîâûøåííûé òàìîæåííûéòàðèô(1891) âÏîâûøåíûêîñâåííûåíàëîãèè ðàñøèðåíîíàëîãîîáëîæåíèå òîðãîâûõèïðîìûøëåííûõ ïðåäïðèÿòèé âÓñèëåíèåðîëèãîñóäàðñòâàâ ðåãóëèðîâàíèèõîç.äåÿòåëüíîñòè ÷àñòíîãîïðåäïðèíèìàòåëüñòâà âÏîä÷èíåíèå÷àñòíûõæåëåçíûõ äîðîããîñóäàðñòâó ÄÎÁÈËÑßÓÑÒÎÉ×ÈÂÎÑÒÈ ÔÈÍÀÍÑÎÂÎÉÑÈÑÒÅÌÛ ÑåðãåéÞëüåâè÷Âèòòå(1849—1915) Ìèíèñòðôèíàíñîââ1892—1903ãã. ÏðåäñåäàòåëüÊîìèòåòàìèíèñòðîâñ1903ã., ïðåäñåäàòåëüÑîâåòàìèíèñòðîââ1905—1906ãã. Ñòîðîííèêóñêîðåííîãîïðîìûøëåííîãîðàçâè- òèÿ. Îñíîâíûåíàïðàâëåíèÿýêîíîìè÷åñêîé ïîëèòèêè: âÆåñòêàÿíàëîãîâàÿïîëèòèêà,óâåëè÷åíèå êîñâåííûõíàëîãîâ,ââåäåíèåãîñ.âèííîé ìîíîïîëèè(1894) âÏðîòåêöèîíèçì,ïðèçâàííûéçàùèòèòü ðîññèéñêóþïðîìûøëåííîñòüîò èíîñòðàííûõêîíêóðåíòîâ âÔèíàíñîâàÿðåôîðìà(1897).Ââåäåíèå çîëîòîãîîáåñïå÷åíèÿðóáëÿèåãîñâîáîäíàÿ êîíâåðòàöèÿ âØèðîêîåïðèâëå÷åíèåâñòðàíó èíîñòðàííîãîêàïèòàëà
  • 201.
    ÐÀÁÎ×ÅÅ ÄÂÈÆÅÍÈÅ ÈÍÀ×ÀËÎ ÐÀÑÏÐÎÑÒÐÀÍÅÍÈß ÌÀÐÊÑÈÇÌÀ Ïåðâûå ðàáî÷èå îðãàíèçàöèè â Ðîññèè Íàçâàíèå îðãàíèçàöèè Ãîäû è ìåñòî ñóùåñòâîâàíèÿ Ðóêîâîäèòå- ëè Ïðîãðàììà Äåÿòåëüíîñòü «Þæíîðîñ- ñèéñêèé ñî- þç ðàáî÷èõ» 1875—1876 ãã. Îäåññà Å.Î. Çà- ñëàâñêèé Îê. 60 ÷åë. Áîðüáà ñ ñóùåñòâóþùèì ïî- ëèòè÷åñêèì ñòðîåì. Âëèÿíèå íàðîäíè÷åñêîé èäåîëîãèè Ïðîïàãàíäèñò- ñêàÿ äåÿòåëü- íîñòü «Ñåâåðíûé ñîþç ðóñ- ñêèõ ðàáî- ÷èõ» 1878—1880 ãã. Ïåòåðáóðã Â.Ï. Îá- íîðñêèé Ñ.Í. Õàëòó- ðèí Îê. 200 ÷åë. Ëèêâèäàöèÿ ñóùåñòâóþùåãî ñòðîÿ. Áîðüáà çà ïîëèòè÷å- ñêóþ ñâîáîäó. Ñîëèäàðíîñòü ðàáî÷èõ âñåõ ñòðàí. Âëèÿíèå íàðîäíèêîâ Ó÷àñòèå â ñòà÷êàõ. Èçäà- íèå ïðîêëàìà- öèé è ëèñòêà «Ðàáî÷àÿ çàðÿ» Ñòà÷êè Ìàðêñèñòñêèå êðóæêè â Ðîññèè Êðóæîê Ãîä, ìåñòî Ðóêîâîäèòåëè Äåÿòåëüíîñòü Êðóæîê Áëàãîåâà 1883—1885 ãã., Ïåòåðáóðã Ä. Áëàãîåâ Èçó÷åíèå ìàðêñèçìà, ïðîïàãàíäà åãî ñðåäè ðàáî÷èõ, èçäàíèå ãàçåòû «Ðàáî÷èé». Êðóæîê ðàñêðûò ïîëèöèåé «Òîâàðèùåñòâî ñàíêò-ïåòåðáóðã- ñêèõ ìàñòåðîâ» 1885—1888 ãã., Ïåòåðáóðã Ï.Â. Òî÷èññêèé Ïðîïàãàíäà ìàðêñèçìà ñðåäè ðàáî÷èõ Êðóæîê Ôåäîñåå- âà 1888 ã., Êàçàíü Í.Å. Ôåäîñååâ Ïðîïàãàíäà ìàðêñèçìà ñðåäè ðàáî- ÷èõ è ñòóäåíòîâ. Îðãàíèçàöèÿ ñòó- äåí÷åñêèõ âîëíåíèé â Êàçàíñêîì óíèâåðñèòåòå.  ýòîì êðóæêå ê ìàð- êñèçìó ïðèîáùèëñÿ Â.È. Óëüÿíîâ (Ëåíèí) Êðóæîê Áðóñíåâà 1889—1892 ãã., Ïåòåðáóðã Ì.È. Áðóñíåâ Ïðîïàãàíäà ìàðêñèçìà, ñîçäàíèå ðàáî÷èõ êðóæêîâ. Îðãàíèçàöèÿ äå- ìîíñòðàöèè è ìàåâêè â 1891 ã. 198 Îòå÷åñòâåííàÿ èñòîðèÿ â ñõåìàõ è òàáëèöàõ 1872 ã. Êðåíãîëüìñêàÿ ìàíóôàêòóðà (Íàðâà) 1885 ã. Íèêîëüñêàÿ ìàíóôàêòóðà â Îðåõîâî-Çóåâî (Ìîðîçîâñêàÿ ñòà÷êà)
  • 202.
    ÂÍÅØÍßßÏÎËÈÒÈÊÀÐîññèÿ âî âòîðîéïîëîâèíå XIX â. 199 Îñëàáëåíèåðîññèéñêî- ãîâëèÿíèÿíàÁàëêàíàõ Îáîñòðå- íèåîòíî- øåíèéñ Áîëãàðèåé èðàçðûâ äèïëîìà- òè÷åñêèõ îòíîøåíèé â1886ã. Àçèàòñêàÿ ïîëèòèêà Óñèëåíèå ãåðìàíî- àâñòðèé- ñêîãî âëèÿíèÿ âäàííîì ðåãèîíå Ñáëèæåíèå ÐîññèèèÔðàíöèè Ðîññèéñêî-ãåðìàíñêèå îòíîøåíèÿ «Äîãîâîð ïåðåñòðàõîâêè» Ðîññèèè Ãåðìàíèè(1887) Îáîñòðåíèå ýêîíîìè÷åñêèõ îòíîøåíèé. Òàìîæåííàÿ âîéíà ñ1890ã. Ïîëèòè÷åñêîå ñîãëàøåíèå1891ã. Âîåííàÿ êîíâåíöèÿ1892ã. Îôîðìëåíèå ðóññêî- ôðàíöóçñêîãî ñîþçà Çàâåðøåíèåïðèñîå- äèíåíèÿÑðåäíåé Àçèè.Ïîêîðåíèå òóðêìåíñêèõïëåìåí èâçÿòèåÀøõàäàáà (1881—1882) Óñòàíîâëåíèåãðà- íèöÐîññèèèÀôãà- íèñòàíà,êîòîðûé ÿâëÿëñÿïðîòåêòîðà- òîìÀíãëèè (1885—1895) Íà÷àëîñáëèæåíèÿñÀíãëèåé ÂîçíèêíîâåíèåâÅâðîïå ïðîòèâîáîðñòâóþùèõ âîåííî-ïîëèòè÷åñêèõ áëîêîââêîíöåXIXâ. Îáðàçîâàíèå «Òðîéñòâåííîãî ñîþçà»— Ãåðìàíèÿ, Àâñòðî-Âåíãðèÿè Èòàëèÿ—1882ã.
  • 203.
    ÐÎÑÑÈß Â ÍÀ×ÀËÅXX â. Ðîññèÿ â íà÷àëå XX â.ÝÊÎÍÎÌÈ×ÅÑÊÎÅ ÐÀÇÂÈÒÈÅ ÐÎÑÑÈÈ Â ÍÀ×ÀËÅ XX ÂÅÊÀ Ýêîíîìè÷åñêîå ðàçâèòèå Ðîññèè â íà÷àëå XX âåêàÎñîáåííîñòè ýêîíîìè÷åñêîãî ðàçâèòèÿ 200 Îòå÷åñòâåííàÿ èñòîðèÿ â ñõåìàõ è òàáëèöàõ Ñêëàäûâàíèå ñèñòåìû ãî- ñóäàðñòâåí- íî-ìîíîïî- ëèñòè÷åñêîãî êàïèòàëèçìà Øèðîêîå âíåäðåíèå èíîñòðàí- íîãî êàïè- òàëà Ìíîãîóê- ëàäíîñòü ýêîíîìèêè Âûñîêîðàç- âèòàÿ ïðî- ìûøëåí- íîñòü è ôè- íàíñîâî- áàíêîâñêàÿ ñèñòåìà ×àñòíîêà- ïèòàëèñòè- ÷åñêèé óê- ëàä (ôàá- ðèêè è çàâîäû, ïîìåùè÷üè è êóëàöêèå õîçÿéñòâà) Îòñòàâàíèå àãðàðíîãî ñåêòîðà, ñî- õðàíåíèå ôåîäàëüíûõ ïåðåæèòêîâ Ïîëóíàòó- ðàëüíûé (êðåñòüÿí- ñêèé) óêëàä Ìåëêîòî- âàðíûé óê- ëàä (êóñ- òàðíî-ðå- ìåñëåííîå ïðîèçâîä- ñòâî) ñ î ÷ å ò à í è å
  • 204.
    ÎÁÐÀÇÎÂÀÍÈÅ ÏÎËÈÒÈ×ÅÑÊÈÕ ÏÀÐÒÈÉ ÂÊÎÍÖÅ XIX — ÍÀ×ÀËÅ XX â. Îáðàçîâàíèå ïîëèòè÷åñêèõ ïàðòèé Ðîññèÿ â íà÷àëå XX â. 201 Êëàññèôèêàöèÿ ïîëèòè÷åñêèõ ïàðòèé ïî íàïðàâëåíèÿì Ñîöèàëèñòè÷åñêèå (ðåâîëþöèîííûå) ïîëèòè÷åñêèå ïàðòèè Ëèáåðàëüíûå ïîëèòè÷åñêèå ïàðòèè Êîíñåðâàòèâíî- òðàäèöèîíàëèñòñêèå ïàðòèè Ñîöèàëèñòè÷åñêèå (ðåâîëþöèîííûå) ïîëèòè÷åñêèå ïàðòèè Ñîöèàë-äåìîêðàòû Íåîíàðîäíèêè Íàöèîíàëüíûå ñîöèàë- äåìîêðàòè÷åñêèå ïàðòèè ÁÓÍÄ Ðåâîëþöèîííàÿ óêðàèíñêàÿ ïàðòèÿ Ñîöèàë- äåìîêðàòè÷åñêàÿ ïàðòèÿ «Ãí÷àê» («Êîëîêîë») Àðìåíèÿ Ñîöèàë- äåìîêðàòè÷åñêàÿ ïàðòèÿ Ëèòâû Ýñòîíñêèé ñîöèàë- äåìîêðàòè÷åñêèé ñîþç ÐÑÄÐÏ Áîëüøåâèêè Ìåíüøåâèêè Àíàðõèñòû Ñîöèàëèñòû- ðåâîëþöèîíåðû (ýñåðû) Áåëîðóññêàÿ ñîöèàëèñòè÷åñêàÿ ãðîìàäà Íàöèîíàëüíûå íåîíàðîäíè÷åñêèå ïàðòèè «Äàøíàêöóòþí» (Àðìåíèÿ) Ïîëüñêàÿ ñîöèàëèñòè÷åñêàÿ ïàðòèÿ
  • 205.
    ÑÎÖÈÀË-ÄÅÌÎÊÐÀÒÛ ÐÑÄÐÏ 202 Îòå÷åñòâåííàÿ èñòîðèÿâ ñõåìàõ è òàáëèöàõ Îáðàçîâàëàñü â 1898 ã. Âîññîçäàíà â 1903 ã. Áîëüøåâèêè Ìåíüøåâèêè Ëèäåðû: Â.È. Ëåíèí Ã.Å. Çèíîâüåâ Ëèäåðû: Ã.Â. Ïëåõàíîâ Þ.Î. Ìàðòîâ II ñúåçä ÐÑÄÐÏ (1903) Ïðèíÿòû ïðîãðàììà è óñòàâ. Ñîçäàíû ðóêîâîäÿùèå îðãàíû l Îïîðà â èäåîëîãèè íà ðàç- íûå ïëàñòû ìàðêñèçìà l Ðàçëè÷èÿ â îöåíêå ïîëèòè- ÷åñêîé è ñîöèàëüíî-ýêîíî- ìè÷åñêîé îáñòàíîâêè â Ðîññèè l Ðàçíîãëàñèÿ ïî ñòðàòåãè÷å- ñêèì è òàêòè÷åñêèì âîïðî- ñàì ïîëèòè÷åñêîãî ïîâåäå- íèÿ ïàðòèè l Ðàçëè÷íûå ïîäõîäû ê âî- ïðîñàì ïàðòèéíîãî ñòðîè- òåëüñòâà l Ëè÷íîå ñîïåðíè÷åñòâî ëè- äåðîâ çà âëàñòü â ïàðòèè ÏÐÈ×ÈÍÛ ÐÀÑÊÎËÀ
  • 206.
    ÍÅÎÍÀÐÎÄÍÈÊÈ ÏÀÐÒÈß ÑÎÖÈÀËÈÑÒÎÂ- ÐÅÂÎËÞÖÈÎÍÅÐΠ(ÝÑÅÐÛ) Îáðàçîâàëàñüâ 1902 ã. Ðàçìåæåâàíèå Ðîññèÿ â íà÷àëå XX â. 203 Ëåâûå ýñåðû (1917) Ïðàâûå ýñåðû Íàðîäíûå ñîöèàëèñòû (1906) Ñîþç ýñýðîâ- ìàêñèìàëèñòîâ (1906) ÎÁÐÀÇÎÂÀÍÈÅ ÀÍÀÐÕÈ×ÅÑÊÈÕ ÃÐÓÏÏ Àíàðõèñòû Àíàðõî- êîììóíèñòû (1903—1906) Àíàðõî- èíäèâèäóàëèñòû (1905) Àíàðõî- ñèíäèêàëèñòû (1905—1906)
  • 207.
    ËÈÁÅÐÀËÜÍÛÅ ÏÎËÈÒÈ×ÅÑÊÈÅ ÏÀÐÒÈÈ 204Îòå÷åñòâåííàÿ èñòîðèÿ â ñõåìàõ è òàáëèöàõ Êîíñòèòóöèîííî- äåìîêðàòè÷åñêàÿ ïàðòèÿ íàðîäíîé ñâîáîäû (êàäåòû) (1905) Ïàðòèÿ äåìîêðàòè÷åñêèõ ðåôîðì (1905) Ïàðòèÿ ìèðíîãî îáíîâëåíèÿ (1906) Ñîþç «17 îêòÿáðÿ» (îêòÿáðèñòû) (1906) Ïðîãðåññèâíàÿ ïàðòèÿ (ïðîãðåññèñòû) (1912) Êîíñåðâàòèâíî-òðàäèöèîíàëèñòñêèå (îõðàíèòåëüíî-ñàìîäåðæàâíûå) ïîëèòè÷åñêèå ïàðòèè ×åðíîñîòåííûå îðãàíèçàöèè l Ñîþç ðóññêîãî íàðîäà l Ðóññêèé íàðîäíûé ñîþç èìåíè Ìèõàèëà Àðõàíãåëà l Ðóññêàÿ ìîíàðõè÷åñêàÿ ïàðòèÿ l Ñîþç ðóññêèõ ëþäåé Íàöèîíàëèñòû l Ïàðòèÿ íàöèîíàëèñòîâ (ñ ÿíâàðÿ 1910 ã. Âñåðîññèéñêèé íàöèîíàëüíûé ñîþç) l Âñåðîññèéñêèé ñîþç çåìåëüíûõ ñîáñòâåííèêîâ Îáðàçîâàëèñü, íà÷èíàÿ ñ 1905 ã.
  • 208.
    ÐÓÑÑÊÎ-ßÏÎÍÑÊÀß ÂÎÉÍÀ 1904—1905ãã. Ïðè÷èíû: ïðîòèâîñòîÿíèå Ðîññèè è ßïîíèè íà Äàëüíåì Âîñòîêå, âîéíà âñïûõíóëà âñëåäñòâèå îáîñòðåíèÿ ïðîòèâîðå÷èé ÏÐÎÒÈÂÎÐÅ×Èß Ðîññèÿ â íà÷àëå XX â. 205 Ýêîíîìè÷åñêèå Ïîëèòè÷åñêèå l ÊÂÆÄ è ðîññèéñêàÿ ýêîíîìè÷åñêàÿ ýêñ- ïàíñèÿ â Ìàíü÷æóðèè l Àðåíäà Ðîññèåé Ëÿî- äóíñêîãî ïîëóîñòðîâà è Ïîðò-Àðòóðà l Áîðüáà çà ñôåðû âëèÿ- íèÿ â Êèòàå è Êîðåå l Âîéíà êàê ñðåäñòâî îòâëå÷åíèÿ îò ðåâîëþ- öèîííîãî äâèæåíèÿ â Ðîññèè Õîä âîåííûõ äåéñòâèé Íà ìîðå l 27.01.1904 ã. Íàïàäåíèå ÿïîíöåâ íà ðóññêèé ôëîò (ãèáåëü êðåéñåðà «Âàðÿã») l 31.03.1904 ã. Ãèáåëü êîìàíäóþùåãî Òèõîîêåàíñêèì ôëîòîì Ñ.Î. Ìàêàðîâà l 14—15.05.1905 ã. Ïîðàæåíèå 2-é Òèõî- îêåàíñêîé ýñêàäðû ó î. Öóñèìà Íà ñóøå l 27.01—20.12.1904 ã. Îáîðîíà âîåííî-ìîð- ñêîé êðåïîñòè Ïîðò- Àðòóð l 11—21.08.1904 ã. Ëÿîäóíñêàÿ âîåííàÿ îïåðàöèÿ. Ïîðàæåíèå ðóññêèõ âîéñê l 6—25.02.1905 ã. Ïîðàæåíèå ðóññêèõ âîéñê ïîä Ìóêäåíîì (Ìàíü÷æóðèÿ) l Êîðåÿ ïðèçíàâàëàñü ñôåðîé âëèÿíèÿ ßïîíèè l ßïîíèÿ ïîëó÷èëà âî âëàäåíèå Þæíûé Ñàõàëèí l ßïîíèÿ ïîëó÷èëà ïðàâî ðûáíîãî ïðîìûñëà âäîëü ðóññêèõ áåðåãîâ l Ðîññèÿ ïåðåäàëà ßïîíèè â àðåíäó Ëÿîäóíñêèé ïîëóîñòðîâ è Ïîðò-Àðòóð Ïîðòñìóòñêèé äîãîâîð Ïîðàæåíèå Ðîññèè 23.08.1905 ã. Íåñîñòîÿòåëüíîñòü âûñøåãî ãîñóäàðñòâåí- íîãî è âîåííîãî ðóêîâîäñòâà ãëàâíàÿ ïðè÷èíà
  • 209.
    ÐÅÂÎËÞÖÈß 1905—1907 ãã. Ðåâîëþöèÿ1905—1907 ãã. 206 Îòå÷åñòâåííàÿ èñòîðèÿ â ñõåìàõ è òàáëèöàõ Ïðè÷èíû Ïðîòèâîñòîÿíèå ñàìîäåðæàâèÿ è îáùåñòâà, âûçâàííîå îòñóòñòâèåì ïîëèòè÷åñêèõ ñâîáîä è ïàðëàìåíòà êàê ôîðìû ïðåäñòàâèòåëüíîé âëàñòè Íåðåøåííîñòü àãðàðíîãî âîïðîñà: ãîñïîäñòâî ïîìåùè÷üåãî çåìëåâëàäåíèÿ, ìàëîçåìåëüå êðåñòüÿí, ñîõðàíåíèå âûêóïíûõ ïëàòåæåé «Îíè — â íàðóøåíèè ðàâíîâåñèÿ ìåæäó èäåéíûìè ñòðåìëåíèÿìè ðóññêîãî ìûñëÿùåãî îáùåñòâà è íûíåøíèìè ôîðìàìè åãî æèçíè. Ðîññèÿ ïåðåðîñëà ôîðìó ñóùåñòâóþùåãî ñòðîÿ. Îíà ñòðåìèòñÿ ê ñòðîþ ïðàâîâîìó íà îñíîâå ãðàæäàíñêîé ñâîáîäû» Ñ.Þ. Âèòòå Óõóäøåíèå ïîëîæåíèÿ ðàáî÷èõ âñëåäñòâèå îáîñòðåíèÿ êîíôëèêòà ìåæäó òðóäîì è êàïèòàëîì Êðèçèñ èìïåðñêîé ñèñòåìû îòíîøåíèé ìåæäó öåíòðîì è ïðîâèíöèåé, ìåæäó ìåòðîïîëèåé è íàöèîíàëüíûìè ðàéîíàìè Íåóäà÷íûé õîä è ïîðàæåíèå Ðîññèè â Ðóññêî-ÿïîíñêîé âîéíå 1904—1905 ãã. 11 2 3 4 5
  • 210.
    ÕÀÐÀÊÒÅÐ È ÖÅËÈ ÐÅÂÎËÞÖÈÈ1905—1907 ãã. Õàðàêòåð ïåðâîé ðóññêîé ðåâîëþöèè — áóðæóàçíî- äåìîêðàòè÷åñêèé. Ïî ñîñòàâó ó÷àñòíèêîâ îíà áûëà îáùåíàðîäíîé Öåëè ðåâîëþöèè l Ñâåðæåíèå ñàìîäåðæàâèÿ l Óñòàíîâëåíèå äåìîêðàòè÷åñêîé ðåñïóáëèêè l Ââåäåíèå äåìîêðàòè÷åñêèõ ñâîáîä l Ëèêâèäàöèÿ ïîìåùè÷üåãî çåìëåâëàäåíèÿ è íàäåëåíèå êðåñòüÿí çåìëåé l Ñîêðàùåíèå ïðîäîëæèòåëüíîñòè ðàáî÷åãî äíÿ äî 8 ÷àñîâ l Ïðèçíàíèå ïðàâ ðàáî÷èõ íà ñòà÷êè è ñîçäàíèå ïðîôåññèîíàëüíûõ ñîþçîâ ÝÒÀÏÛ ÐÅÂÎËÞÖÈÈ 1905—1907 ãã. I ßíâàðü — ñåíòÿáðü 1905 ã. II Îêòÿáðü — äåêàáðü 1905 ã. III ßíâàðü 1906 ã. — èþíü 1907 ã. Íà÷àëî è ðàçâèòèå ðåâîëþöèè ïî âîñõîäÿùåé ëèíèè Âûñøèé ïîäúåì ðåâîëþöèè Ñïàä è îòñòóïëåíèå ðåâîëþöèè Ðîññèÿ â íà÷àëå XX â. 207
  • 211.
    I ÝÒÀÏ ÐÅÂÎËÞÖÈÈ ÿíâàðü— ñåíòÿáðü 1905 ã. 208 Îòå÷åñòâåííàÿ èñòîðèÿ â ñõåìàõ è òàáëèöàõ «Êðîâàâîå âîñêðåñåíüå» 9 ÿíâàðÿ 1905 ã. Ðåâîëþöèîííûõ âûñòóïëåíèé Èìïóëüñ äëÿ Ðåàêöèÿ âåðõîâíîé âëàñòè Îáåùàíèÿ è ïîëóìåðû l 18 ôåâðàëÿ 1905 ã. — ðåñêðèïò Íèêîëàÿ II ñ îáåùàíèÿìè ðåôîðì l 6 àâãóñòà 1905 ã. — óêàç Íèêîëàÿ II îá ó÷ðåæäåíèè Ãîñó- äàðñòâåííîé äóìû (ò.í. «Áóëûãèíñêîé») l Ñòà÷êà ðàáî÷èõ â Èâàíîâî-Âîçíåñåí- ñêå è âîçíèêíîâåíèå ñîâåòà ðàáî÷èõ óïîë- íîìî÷åííûõ (ìàé — èþíü 1905 ã.) l Âîññòàíèå íà áðîíå- íîñöå «Ïîòåìêèí» (èþíü 1905 ã.) l Ñúåçäû çåìñêèõ ïðåäñòàâèòåëåé è Âñåðîññèéñêèé êðå- ñòüÿíñêèé ñúåçä — òðåáîâàíèå êîíñòèòó- öèîííûõ ðåôîðì (ìàé — èþíü 1905 ã.) Óñèëåíèå ðåâîëþöèîííîãî äâèæåíèÿ
  • 212.
    II ÝÒÀÏ ÐÅÂÎËÞÖÈÈ îêòÿáðü— äåêàáðü 1905 ã. Âûñøèé ïîäúåì ðåâîëþöèè Ðîññèÿ â íà÷àëå XX â. 209 Îáðàçîâàíèå ïîëèòè÷åñêèõ ïàðòèé Ðåâîëþöèîííûå ñîáûòèÿ Äåéñòâèÿ âåðõîâíîé âëàñòè Êàäåòû, îêòÿá- ðèñòû ×åðíî- ñîòåí- íûå îð- ãàíèçà- öèè Îáðàçîâàíèå Ñî- âåòîâ ðàáî÷èõ äåïóòàòîâ â Ìî- ñêâå è Ïåòåðáóð- ãå (íîÿáðü — äå- êàáðü 1905 ã.) Âñåðîññèéñêàÿ ïîëèòè÷åñêàÿ ñòà÷êà (ñåí- òÿáðü — îêòÿáðü 1905 ã.) Âîññòàíèå íà ôëîòå (Ñåâàñòîïîëü, Êðîíøòàäò — îêòÿáðü-íîÿáðü 1905 ã.) Äåêàáðüñêîå âîîðóæåííîå âîññòàíèå â Ìîñêâå 17 îêòÿáðÿ 1905 ã. — öàð- ñêèé ìàíèôåñò «Îá óñîâåðøåí- ñòâîâàíèè ãîñó- äàðñòâåííîãî ïîðÿäêà» Èçäàíèå íîâîãî çàêîíà î âûáî- ðàõ â I Ãîñóäàð- ñòâåííóþ äóìó (11 äåêàá- ðÿ 1905 ã.) Ïîäàâëåíèå ñ ïîìîùüþ âîéñê (15—18 äåêàáðÿ 1905 ã.)
  • 213.
    III ÝÒÀÏ. ÑÏÀÄÐÅÂÎËÞÖÈÈ. ßíâàðü 1906 — èþíü 1907 ã. Ðåâîëþöèîííûå âûñòóïëåíèÿ Ïàðëàìåíòñêàÿ áîðüáà Äåéñòâèÿ âåðõîâíîé âëàñòè l Ìàññîâûå êðåñòüÿí- ñêèå âîëíåíèÿ (èþíü 1906 ã.) l Âûáîðû â I Ãîñóäàðñòâåííóþ äóìó (26.03 è 20.04.1906 ã.) l Ïðåîáðàçîâàíèå Ãîñó- äàðñòâåííîãî ñîâåòà â âåðõíþþ ïàëàòó ïàðëà- ìåíòà (26.02.1906 ã.) l Âîññòàíèå ñîëäàò è ìîðÿêîâ Áàëòèéñêî- ãî ôëîòà â Ñâåàáîð- ãå, Êðîíøòàäòå è Ðå- âåëå (èþëü 1906 ã.) l Íà÷àëî ðàáîòû I Ãî- ñóäàðñòâåííîé äóìû (27.04.1906 ã.) l Èçäàíèå «Îñíîâíûõ çà- êîíîâ Ðîññèéñêîé èìïå- ðèè», îïðåäåëÿâøèõ ïîëíîìî÷èÿ Ãîññîâåòà è Ãîñäóìû (23.04.1906 ã.) l Äóìñêèé àäðåñ èì- ïåðàòîðó ñ òðåáîâà- íèåì ââåäåíèÿ êîí- ñòèòóöèîííîãî ïðàâ- ëåíèÿ (05.05.1906 ã.) l Èçäàíèå «Âðåìåííûõ ïðàâèë», ðàçðåøàâøèõ ñîçäàíèå ïðîôñîþçîâ (04.03.1906 ã.) l Âûáîðãñêîå âîççâà- íèå 182 äåïóòàòîâ â çíàê ïðîòåñòà ïðî- òèâ ðîñïóñêà I Ãîñó- äàðñòâåííîé äóìû (10.07.1906 ã.) l Ïîêóøåíèå íà Ï.À. Ñòîëûïèíà (12.08.1906 ã.) l Ñîçäàíèå âîåííî-ïîëå- âûõ ñóäîâ (19.08.1906 l Äåÿòåëüíîñòü II Ãî- ñóäàðñòâåííîé äóìû (20.02—2.06.1907 ã.) l Íà÷àëî àãðàðíîé ðåôîð- ìû Ï.À. Ñòîëûïèíà. Èç- äàíèå öàðñêîãî óêàçà, ïðåäîñòàâëÿâøåãî êðå- ñòüÿíèíó ïðàâî âûõîäà èç îáùèíû ñ ïðèíàäëå- æàâøèì åìó çåìåëüíûì íàäåëîì (09.11.1906 ã.) l Ðîñïóñê II Ãîñóäàð- ñòâåííîé äóìû è ââåäåíèå â äåéñòâèå íîâîãî èçáèðàòåëü- íîãî çàêîíà (03.06.1907 ã.) ÇÀÂÅÐØÅÍÈÅ ÏÅÐÂÎÉ ÐÓÑÑÊÎÉ ÐÅÂÎËÞÖÈÈ 210 Îòå÷åñòâåííàÿ èñòîðèÿ â ñõåìàõ è òàáëèöàõ
  • 214.
    ÈÒÎÃÈ ÏÅÐÂÎÉ ÐÓÑÑÊÎÉ ÐÅÂÎËÞÖÈÈ1905—1907 ãã. Ðîññèÿ â íà÷àëå XX â. 211 Íà÷àëî äâèæåíèÿ Ðîññèè ê êîíñòèòóöèîííîé ìîíàðõèè è ïðàâîâîìó ãîñóäàðñòâó Ñîçäàíèå Ãîñóäàðñòâåííîé äóìû Ðåôîðìà Ãîñóäàðñòâåííîãî ñîâåòà — ïðåîáðàçîâàíèå åãî â âåðõíþþ ïàëàòó ïàðëàìåíòà Óòâåðæäåíèå «Îñíîâíûõ çàêîíîâ Ðîññèéñêîé èìïåðèè» Ïðîâîçãëàøåíèå ñâîáîäû ñëîâà Ðàçðåøåíèå ñîçäàâàòü ïðîôñîþçû ×àñòè÷íàÿ ïîëèòè÷åñêàÿ àìíèñòèÿ Ñòîëûïèíñêèå ðåôîðìû Îòìåíà âûêóïíûõ ïëàòåæåé äëÿ êðåñòüÿí
  • 215.
    ÂÛÁÎÐÛ Â ÃÎÑÓÄÀÐÑÒÂÅÍÍÓÞ ÄÓÌÓ Âûáîðûâ Ãîñóäàðñòâåííóþ äóìó 212 Îòå÷åñòâåííàÿ èñòîðèÿ â ñõåìàõ è òàáëèöàõ Ãîñóäàðñòâåííàÿ äóìà ÄÅÏÓÒÀÒÛ Âûáîðùèêè ãóáåðíñêîãî èçáèðàòåëüíîãî ñîáðàíèÿ Èçáèðàòåëüíûå êóðèè Çåìëåäåëü÷åñêàÿ Ãîðîäñêàÿ Êðåñòüÿíñêàÿ Ðàáî÷àÿ 1 2 3 4 Çåìëåäåëüöû- ïîìåùèêè 1 âûáîðùèê îò 2 òûñ. ïîìåùèêîâ (çàêîí îò 11 äåêàáðÿ 1905 ã.) 230 ïîìåùèêîâ (çàêîí îò 3 èþíÿ 1907 ã.) Ãîðîæàíå 1 âûáîðùèê îò 7 òûñ. ãîðîæàí 90 òûñ. ðàáî÷èõ (1905) 60 òûñ. êðåñòüÿí (1907) 30 òûñ. êðåñòüÿí (1905) Óïîëíîìî÷åí- íûå ðàáî÷èõ Óïîëíîìî÷åí- íûå âîëîñòåé Âîëîñòíûå ñõîäû Âûáîðû óïîë- íîìî÷åííûõ 1 âûáîðùèê îò 125 òûñ. ðàáî÷èõ (1907)
  • 216.
    ÃÎÑÓÄÀÐÑÒÂÅÍÍÀß ÄÓÌÀ ÈÎÏÛÒ ÐÎÑÑÈÉÑÊÎÃÎ ÏÀÐËÀÌÅÍÒÀÐÈÇÌÀ (1906—1917) Âðåìÿ ðàáîòû Ïàðòèéíî-ïîëèòè÷åñêèé ñîñòàâ Ðóêîâîäñòâî Ãîñóäàðñòâåííîé äóìû Îñíîâíûå âîïðîñû â íàïðàâëåíèÿ äåÿòåëüíîñòè 24 àïðåëÿ — 8 èþëÿ 1906 ã. I Ãîñóäàðñò- âåííàÿ äóìà Êàäåòû — 161; òðóäîâè- êè — 97; ìèðíîîáíîâëåí- öû — 25; ñ.-ä. — 17; Ïàðòèÿ äåìîêðàòè÷åñêèõ ðåôîðì — 14; ïðîãðåññè- ñòû — 12; áåñïàðòèé- íûå — 103; Ïàðòèÿ ñîþçà àâòîíîìèñòîâ: ïîëüñêîå êîëî — 32; ýñòîíñêàÿ ãðóïïà — 5; ëàòûøñêàÿ ãðóïïà — 6; ãðóïïà çàïàä- íûõ îêðàèí — 20; ëèòîâ- ñêàÿ ãðóïïà — 7. Âñåãî: 499 äåïóòàòîâ Ïðåäñåäàòåëü — Ñ.À. Ìóðîìöåâ (êàäåò) l Ïðîáëåìà ñîçäàíèÿ «îò- âåòñòâåííîãî ïåðåä Ãî- ñóäàðñòâåííîé äóìîé ìèíèñòåðñòâà» l Öåíòðàëüíûé âîïðîñ — àãðàðíûé Âñå îòêëîíåíî âåðõîâ- íîé âëàñòüþ, è Ãîñóäàð- ñòâåííàÿ äóìà áûëà ðàñïóùåíà 20 ôåâðà- ëÿ — 2 èþíÿ 1907 ã. II Ãîñóäàð- ñòâåííàÿ äóìà Òðóäîâèêè — 104; êàäå- òû — 98; ñ.-ä. — 65; ýñå- ðû — 37; ïðàâûå — 22; íà- ðîäíûå ñîöèàëèñòû — 16; óìåðåííûå è îêòÿáðè- ñòû — 32; Ïàðòèÿ äåìî- êðàòè÷åñêèõ ðåôîðì — 1; áåñïàðòèéíûå — 50; íà- öèîíàëüíûå ãðóïïû — 76; êàçà÷üÿ ãðóïïà — 17. Âñåãî: 518 äåïóòàòîâ Ïðåäñåäàòåëü — À.Ô. Ãîëîâèí (êàäåò) l Öåíòðàëüíûé âîïðîñ — àãðàðíûé (ïðîåêòû êà- äåòîâ, òðóäîâèêîâ, ñ.-ä.) l Îòêàç ïîääåðæàòü ñòî- ëûïèíñêèå àãðàðíûå ðå- ôîðìû Ðàñïóùåíà ïî óêàçó öàðÿ îò 3 èþíÿ 1907 ã., ïîñëå ÷åãî áûë ââåäåí â äåéñò- âèå íîâûé èçáèðàòåëü- íûé çàêîí 1 íîÿáðÿ 1907 ã. — 9 èþíÿ 1912 ã. Ill Ãîñóäàð- ñòâåííàÿ äóìà Îêòÿáðèñòû — 136; íàöèî- íàëèñòû — 90; ïðàâûå — 51; êàäåòû — 53; ïðîãðåñ- ñèñòû è ìèðíîîáíîâëåí- öû — 39; ñ.-ä. — 19; òðóäî- âèêè — 13; áåñïàðòèé- íûå — 15; íàöèîíàëüíûå ãðóïïû — 26. Âñåãî: 442 äåïóòàòà Ïðåäñåäàòåëè: Í.À. Õîìÿêîâ (îêòÿáðèñò, 1907—1910); À.È. Ãó÷êîâ (îê- òÿáðèñò, 1910— 1911); Ì.Â. Ðîä- çÿíêî (îêòÿáðèñò, 1911—1912) l Óòâåðæäåíî àãðàðíîå çà- êîíîäàòåëüñòâî ïî ðå- ôîðìå Ñòîëûïèíà (1910) l Ïðèíÿòî ðàáî÷åå çàêî- íîäàòåëüñòâî l Îãðàíè÷åíà àâòîíîìèÿ Ôèíëÿíäèè 15 íîÿáðÿ 1912 ã. — 6 îêòÿáðÿ 1917 ã. IV Ãîñóäàð- ñòâåííàÿ äóìà Îêòÿáðèñòû — 98; íàöèî- íàëèñòû è óìåðåííûå ïðà- âûå — 88; ãðóïïà öåí- òðà — 33; ïðàâûå — 65; êàäåòû — 52; ïðîãðåññè- ñòû — 48; ñ.-ä. — 14; òðóäîâèêè — 10; áåñïàð- òèéíûå — 7; íàöèîíàëü- íûå ãðóïïû — 21. Âñåãî: 442 äåïóòàòà Ïðåäñåäàòåëü — Ì.Â. Ðîäçÿíêî (îêòÿáðèñò, 1912—1917) l Ïîääåðæêà ó÷àñòèÿ Ðîñ- ñèè â Ïåðâîé ìèðîâîé âîéíå l Ñîçäàíèå â Äóìå ò.í. «Ïðîãðåññèâíîãî áëîêà» (1915) è åãî êîíôðîíòà- öèÿ ñ öàðåì è ïðàâè- òåëüñòâîì Ðîññèÿ â íà÷àëå XX â. 213
  • 217.
    ÒÐÅÒÜÅÈÞÍÜÑÊÀß ÏÎËÈÒÈ×ÅÑÊÀß ÑÈÑÒÅÌÀ (1907—1914) Òðåòüåèþíüñêàÿïîëèòè÷åñêàÿ ñèñòåìà (1907—1914) 214 Îòå÷åñòâåííàÿ èñòîðèÿ â ñõåìàõ è òàáëèöàõ 3 èþíÿ 1907 ã. — ðîñïóñê II Ãîñóäàðñòâåííîé äóìû è ââåäåíèå íîâîãî èçáèðàòåëüíîãî çàêîíà áåç îäîáðåíèÿ åãî ïàðëàìåíòîì, ÷òî ÿâèëîñü íàðóøåíèåì Ìàíèôåñòà 17 îêòÿáðÿ 1905 ã. Ñóùíîñòü Ñî÷åòàíèå äâóõ îñíîâíûõ íàïðàâëåíèé âî âíóòðåííåé ïîëèòèêå Ïîäàâëåíèå ðåâîëþöèîííûõ âûñòóïëåíèé Ïðîâåäåíèå ðåôîðì äëÿ ðàñøèðåíèÿ ñîöèàëüíîé îïîðû ñàìîäåðæàâèÿ Ñîþç öàðÿ, äâîðÿí, êðóïíîé áóðæóàçèè Ãîñóäàðñòâåííàÿ äóìà Âçàèìîäåéñòâèå Ëàâèðîâàíèå
  • 218.
    ÑÒÎËÛÏÈÍÑÊÀß ÀÃÐÀÐÍÀß ÐÅÔÎÐÌÀ (1906—1911ãã.) Ðåôîðìà íàäåëüíîãî êðåñòüÿíñêîãî çåìëåâëàäåíèÿ. Öåëü — ñîçäàíèå êëàññà çåìåëüíûõ ñîáñòâåííèêîâ êàê ñîöèàëüíîé îïîðû ñàìîäåðæàâèÿ è ïðîòèâíèêà ðåâîëþöèîííûõ äâèæåíèé «Ñíà÷àëà óñïîêîåíèå, ïîòîì ðåôîðìà» Ï.À. Ñòîëûïèí Ðîññèÿ â íà÷àëå XX â. 215 Èòîãè l Ê 1916 ã. èç îá- ùèíû âûäåëè- ëîñü 25—27% êðåñòüÿíñêèõ äâîðîâ l Ðîñò ñåëüñêîõî- çÿéñòâåííîãî ïðîèçâîäñòâà è óâåëè÷åíèå ýêñ- ïîðòà õëåáà çà ãðàíèöó Ñîñòàâíûå ÷àñòè àãðàðíîé ðåôîðìû l Ðàçðåøåíèå âûõîäà êðåñòü- ÿí èç îáùèíû ñ ïðàâîì çà- êðåïëåíèÿ â ÷àñòíóþ ñîá- ñòâåííîñòü ïðèíàäëåæàâ- øèõ èì çåìåëüíûõ íàäåëîâ â ôîðìå õóòîðà èëè îòðóáà l Ïåðåäà÷à Êðåñòüÿíñêîìó áàíêó êàçåííûõ çåìåëü äëÿ ïðîäàæè èõ íóæäàþùèìñÿ êðåñòüÿíàì l Îðãàíèçàöèÿ ïåðåñåëåí÷å- ñêîãî äâèæåíèÿ â Çàïàäíóþ Ñèáèðü ñ öåëüþ íàäåëåíèÿ áåççåìåëüíûõ è ìàëîçå- ìåëüíûõ êðåñòüÿí çåìëåé l Øèðîêîå ñòðîèòåëüñòâî ñåëüñêèõ øêîë è âîâëå÷å- íèå â ñèñòåìó íàðîäíîãî îáðàçîâàíèå îãðîìíûõ ìàññ íàñåëåíèÿ Ïðè÷èíû íåçàâåðøåííîñòè ðåôîðìû l Íåçíà÷èòåëüíûå âðåìåííûå ñðîêè l Ñîïðîòèâëåíèå ñî ñòîðîíû ïðàâûõ è ëåâûõ ïîëèòè÷åñêèõ ñèë l Ñëîæíûå âçàèìîîò- íîøåíèÿ îêðóæåíèÿ öàðÿ è Ï.À. Ñòîëû- ïèíà Ïîñëåäñòâèÿ l Óñêîðåíèå ïðîöåññà ðàññëîåíèÿ êðåñòüÿíñòâà l Ðàçðóøåíèå êðåñòüÿíñêèé îáùèíû Çíà÷èòåëüíàÿ ÷àñòü êðåñòüÿíñòâà íå ïðèíÿëà ðåôîðìû Ïðîòèâîðå÷èâûå ðåçóëüòàòû ðåôîðìû Óáèéñòâî Ï.À. Ñòîëûïèíà — ñåíòÿáðü 1911 ã.
  • 219.
    ÂÛÑØÈÅÈÖÅÍÒÐÀËÜÍÛÅÃÎÑÓÄÀÐÑÒÂÅÍÍÛÅ Ó×ÐÅÆÄÅÍÈßÐÎÑÑÈÈÑ1905ÏÎ1917ã. Âûñøèåèöåíòðàëüíûåãîñóäàðñòâåííûåó÷ðåæäåíèÿÐîññèè 216 Îòå÷åñòâåííàÿ èñòîðèÿâ ñõåìàõ è òàáëèöàõ ÌÈÍÈÑÒÅÐÑÒ- ÂÎÂÍÓÒÐÅÍ- ÍÈÕÄÅË (1802—1917) ÌÈÍÈÑÒÅÐÑÒ- ÂÎÞÑÒÈÖÈÈ (1802—1917) ÈÌÏÅÐÀÒÎÐ ÑÂßÒÅÉØÈÉ ÑÈÍÎÄ (1721—1918) ÏÐÀÂÈÒÅËÜÑÒÂÓÞ- ÙÈÉÑÅÍÀÒ (1711—1917) ÃÎÑÓÄÀÐÑÒ- ÂÅÍÍÀßÄÓÌÀ (1906—1917) ÎÁÅÐ- ÏÐÎ- ÊÓÐÎÐ ÃÅÍÅÐÀË- ÏÐÎÊÓÐÎÐ ÏÐÅÄÑÅ- ÄÀÒÅËÜ ÏÐÅÄÑÅ- ÄÀÒÅËÜ ÃÎÑÓÄÀÐÑÒÂÅÍ- ÍÛÉÑÎÂÅÒ (1810—1916—1917) ÏÐÅÄÑÅ- ÄÀÒÅËÜ ÃËÀÂÍÎ- ÓÏÐÀÂ- ËßÞÙÈÉ ÓÏÐÀÂ- ËßÞÙÈÉ ÑÎÁÑÒÂÅÍÍÀß Å.È.Â. ÊÀÍÖÅËßÐÈß ÑÎÁÑÒÂÅÍÍÀßÅ.È.Â. ÊÀÍÖÅËßÐÈßÏÎÓ×- ÐÅÆÄÅÍÈßÌÈÌÏ. ÌÀÐÈÈ(1880—1917) ÍÀ×ÀËÜÍÈÊ ÌÈÍÈÑÒÅÐÑÒ- ÂÎÔÈÍÀÍÑΠ(1802—1917) ÃÎÑÓÄÀÐÑÒ- ÂÅÍÍÛÉ ÊÎÍÒÐÎËÜ (1836—1917) ÃËÀÂÍÎÅ ÓÏÐÀÂËÅÍÈÅ ÇÅÌËÅÓÑÒ- ÐÎÉÑÒÂÀÈ ÇÅÌËÅÄÅËÈß (1905—1917) ÊÀÍÖÅËßÐÈßÅ.È.Â.ÏÎ ÏÐÈÍßÒÈÞÏÐÎØÅÍÈÉ, ÍÀÂÛÑÎ×ÀÉØÅÅÈÌß ÏÐÈÍÎÑÈÌÛÕ(1895—1917) ÑÎÂÅÒÃÎÑÓÄÀÐÑÒ- ÂÅÍÍÎÉÎÁÎÐÎÍÛ (1905—1909) ÃËÀÂÍÎÅ ÓÏÐÀÂËÅÍÈÅ ÃÎÑÓÄÀÐÑÒ- ÂÅÍÍÎÃÎ ÊÎÍÍÎÇÀÂÎÄ- ÑÒÂÀ (1881—1917) ÌÈÍÈÑÒÅÐÑÒ- ÂÎÏÓÒÅÉÑÎ- ÎÁÙÅÍÈß (1865—1917) ÌÈÍÈÑÒÅÐÑÒ- ÂÎÒÎÐÃÎÂËÈ ÈÏÐÎÌÛØ- ËÅÍÍÎÑÒÈ (1905—1917) ÌÈÍÈÑÒÅÐÑÒ- ÂÎÍÀÐÎÄÍÎÃÎ ÏÐÎÑÂÅÙÅ- ÍÈß(1802—1917) ÂÎÅÍÍÎÅÌÈ- ÍÈÑÒÅÐÑÒÂÎ (1802—1917) ÃËÀÂÍÎÅ ÓÏÐÀÂËÅÍÈÅ ÃÅÍÅÐÀËÜÍÎ- ÃÎØÒÀÁÀ (1905—1910) ÌÎÐÑÊÎÅÌÈ- ÍÈÑÒÅÐÑÒ- ÂÎ(1802—1917) ÌÈÍÈÑÒÐ ÌÈÍÈÑÒÐ ÌÈÍÈÑÒÐ ÃÎÑÓÄÀÐÑÒ. ÊÎÍÒÐÎËÅÐ ÃËÀÂÍÎÓÏ- ÐÀÂËßÞÙÈÉ ÃËÀÂÍÎÓÏ- ÐÀÂËßÞÙÈÉ ÌÈÍÈÑÒÐ ÌÈÍÈÑÒÅÐÑÒ- ÂÎÈÌÏÅÐÀ- ÒÎÐÑÊÎÃÎÄÂÎ- ÐÀ(1826—1917) ÌÈÍÈÑÒÅÐÑÒ- ÂÎÈÍÎÑÒÐÀÍ- ÍÛÕÄÅË (1802—1917) ÌÈÍÈÑÒÐ ÌÈÍÈÑÒÐ ÌÈÍÈÑÒÐ ÍÀ×ÀËÜÍÈÊ ÃÅÍÅÐÀËÜ- ÍÎÃÎØÒÀÁÀ ÌÈÍÈÑÒÐ ÌÈÍÈÑÒÐ ÌÈÍÈÑÒÐ ÑÎÂÅÒ ÌÈÍÈÑÒÐΠ(1905—1917) Ãîñóäàðñòâåííûåó÷ðåæäåíèÿ, îáíîâëåííûåèðåôîðìèðîâàííûå Íîâûåãîñóäàðñòâåííûå ó÷ðåæäåíèÿ
  • 220.
    ÐÎÑÑÈß Â ÏÅÐÂÎÉ ÌÈÐÎÂÎÉÂÎÉÍÅ (1914—1918) Ïðè÷èíû Ïåðâîé ìèðîâîé âîéíû Ðîññèÿ â íà÷àëå XX â. 217 Ïðîòèâîðå÷èÿ èç-çà êîëîíèé, ñôåð âëèÿíèÿ, ðûíêîâ ñáûòà Òðîéñòâåííûé ñîþç l Ãåðìàíèÿ l Àâñòðî-Âåíãðèÿ l Èòàëèÿ (ñ 1915 ã. Òóðöèÿ) Àíòàíòà l Àíãëèÿ l Ôðàíöèÿ l Ðîññèÿ l 1914 ã. Âîåííàÿ êàìïàíèÿ íå ïðèíåñëà ðåøàþùåãî óñïåõà íè îäíîé èç ñòîðîí l 1915 ã. Ïîðàæåíèÿ ðóññêîé àðìèè â âîåííîé êàìïàíèè. Ðîññèÿ ïîòåðÿëà Ïîëüøó, ÷àñòü Ïðèáàëòèêè, Áåëîðóññèè è Óêðàèíû l 1916 ã. Îñíîâíûå âîåííûå äåéñòâèÿ íà Çàïàäíîì ôðîíòå. Ìàé — èþíü 1916 ã. — «Áðóñèëîâñêèé ïðîðûâ» íà Þãî-Çàïàäíîì ôðîíòå ïðîòèâ Àâñòðî-Âåíãðèè l 1917 ã. Ïîðàæåíèå ðóññêèõ âîéñê â óñëîâèÿõ ðåâîëþöèè. Ïåðåãîâîðû áîëüøåâèêîâ ñ Ãåðìàíèåé î ìèðå l 1918 ã. Ìàðò. Ñåïàðàòíûé ìèð Ñîâåòñêîé Ðîññèè ñ Ãåðìàíèåé Íîÿáðü. Ïîðàæåíèå Ãåðìàíèè è åå ñîþçíèêîâ îò Àíòàíòû Ãåîïîëèòè÷åñêèå ïðîòèâîðå÷èÿ
  • 221.
    ÐÅÂÎËÞÖÈÈ 1917 ã. ÈÃÐÀÆÄÀÍÑÊÀß ÂÎÉÍÀ Ðåâîëþöèè 1917 ã. è Ãðàæäàíñêàÿ âîéíà ÔÅÂÐÀËÜÑÊÀß ÁÓÐÆÓÀÇÍÎ-ÄÅÌÎÊÐÀÒÈ×ÅÑÊÀß ÐÅÂÎËÞÖÈß 1917 ã. Ôåâðàëüñêàÿ áóðæóàçíî-äåìîêðàòè÷åñêàÿ ðåâîëþöèÿ 1917 ã. 218 Îòå÷åñòâåííàÿ èñòîðèÿ â ñõåìàõ è òàáëèöàõ Ïðè÷èíû Êðèçèñ «âåðõîâ» Êðèçèñ «íèçîâ» l Âîåííûå ïîðàæåíèÿ l ×àñòàÿ ñìåíÿåìîñòü ìèíèñòðîâ l «Ðàñïóòèíùèíà» l Óñèëåíèå ñòà÷å÷íîãî è àíòèâîåííîãî äâèæåíèÿ l Ïðîäîâîëüñòâåííûé êðè- çèñ çèìîé 1917 ã. Ðåâîëþöèÿ êàê ðåçóëüòàò îáùåíà- öèîíàëüíîãî êðèçèñà è íåñïîñîá- íîñòè âåðõîâíîé âëàñòè ñïðàâèòü- ñÿ ñ íàçðåâøèìè ïðîáëåìàìè Ïåðâàÿ ìèðîâàÿ âîéíà, îáîñò- ðèâøàÿ âñå ïðîáëåìû è óñêî- ðèâøàÿ ðåâîëþöèþ 22.02.1917 ã. l Îáúÿâëåíèå îá óâîëüíåíèè 30 òûñ. ðàáî÷èõ íà Ïóòèëîâñêîì çàâîäå â Ïåòðîãðàäå 23—25.02.1917 ã. l Âñåîáùàÿ çàáàñòîâêà â Ïåòðîãðàäå 26—27.02.1917 ã. l Ïåðåõîä âîéñê íà ñòîðîíó áàñòóþùèõ l Ôîðìèðîâàíèå äâóõ öåíòðîâ âëàñòè 02.03.1917 ã. l Îòðå÷åíèå Íèêîëàÿ II îò ïðåñòîëà l Îáðàçîâàíèå Âðåìåííîãî ïðàâèòåëüñòâà Îñíîâíûå ñîáûòèÿ Ïåòðîãðàä- ñêèé Ñîâåò ðàáî÷èõ è ñîëäàòñêèõ äåïóòàòîâ Âðåìåííûé êîìèòåò IV Ãîñóäàðñò- âåííîé äóìû Èòîãè l Ëèêâèäàöèÿ ìîíàðõèè l Îòêðûò ïóòü äëÿ äåìîêðàòè÷åñêîãî ðàçâèòèÿ ñòðàíû l Îáðàçîâàíèå äâîåâëàñòèÿ Èìïóëüñ äëÿ çàáàñòîâî÷íîãî äâèæåíèÿ
  • 222.
    ÄÂÎÅÂËÀÑÒÈÅ Ïðè÷èíû è ñóùíîñòü Ïåðåïëåòåíèå äâóõòå÷åíèé Ôåâðàëüñêîé ðåâîëþöèè è äâóõ âåòâåé âëàñòè ïîñëå åå ïîáåäû Ðåâîëþöèè 1917 ã. è Ãðàæäàíñêàÿ âîéíà 219 Ðåâîëþöèîííî- ñîöèàëèñòè÷åñêîå Áóðæóàçíî- ëèáåðàëüíîå Âëàñòü Ñîâåòîâ ðàáî÷èõ, ñîëäàòñêèõ è êðåñòüÿíñêèõ äåïóòàòîâ Âëàñòü Âðåìåííîãî ïðàâèòåëüñòâà Áîëüøåâèêè «Âñÿ âëàñòü Ñîâåòàì!» «Íèêàêîé ïîääåðæêè Âðåìåííîìó ïðàâèòåëüñòâó!» Ýñåðû Ìåíüøåâèêè Êàäåòû Îêòÿáðèñòû Ýñåðû Ìåíüøåâèêè
  • 223.
    ÂÐÅÌÅÍÍÎÅ ÏÐÀÂÈÒÅËÜÑÒÂÎ Â 1917ã. È ÅÃÎ ÊÐÈÇÈÑÛ Âðåìåííîå ïðàâèòåëüñòâî â 1917 ã. è åãî êðèçèñû Âðåìÿ ïðåáûâàíèÿ ó âëàñòè Ïðåäñåäàòåëü ïðàâèòåëüñòâà Ïàðòèéíî- ïîëèòè÷åñêèé ñîñòàâ Ïðè÷èíû êðèçèñà 2 ìàðòà — 6 ìàÿ 1917 ã. Êíÿçü Ã.Å. Ëüâîâ Êàäåòû, îêòÿáðèñòû, ïðîãðåññèñòû, áåñïàðòèéíûå Íîòà Í.Ï. Ìè- ëþêîâà ñîþç- íèêàì ïî ïî- âîäó ïðîäîëæå- íèÿ ó÷àñòèÿ Ðîññèè â âîéíå 6 ìàÿ — 24 èþëÿ 1917 ã. Êíÿçü Ã.Å. Ëüâîâ Êàäåòû, ýñåðû, ìåíüøåâèêè Ðàçíîãëàñèÿ â ïðàâèòåëüñòâå. Íåóäà÷íîå íà- ñòóïëåíèå íà ôðîíòå. Èþëü- ñêèå ñîáûòèÿ â Ïåòðîãðàäå 24 èþëÿ — 25 ñåíòÿáðÿ 1917 ã. (1—25 ñåíòÿá- ðÿ 1917 ã. — äèðåêòîðèÿ) À.Ô. Êåðåí- ñêèé Êàäåòû, ýñåðû, ìåíüøåâèêè Óãëóáëåíèå ñîöèàëüíî- ýêîíîìè÷åñêî- ãî è ïîëèòè÷å- ñêîãî êðèçèñà â ñòðàíå 25 ñåíòÿáðÿ — 25 îêòÿáðÿ 1917 ã. À.Ô. Êåðåí- ñêèé Êàäåòû, ýñåðû, ìåíüøåâèêè Âçÿòèå âëàñòè áîëüøåâèêàìè 220 Îòå÷åñòâåííàÿ èñòîðèÿ â ñõåìàõ è òàáëèöàõ
  • 224.
    ÈÞËÜÑÊÈÉ ÊÐÈÇÈÑ 1917ã.  ÏÅÒÐÎÃÐÀÄÅ Ðàçëè÷íûå îöåíêè Ðåâîëþöèè 1917 ã. è Ãðàæäàíñêàÿ âîéíà 221 Èþëüñêèå ñîáûòèÿ 3—4 èþëÿ Ïîïûòêà áîëüøåâèêîâ çàõâàòèòü âëàñòü l Äåìîíñòðàöèè ðàáî÷èõ, ñîëäàò, ìàòðîñîâ ïîä ëî- çóíãàìè «Äîëîé Âðåìåí- íîå ïðàâèòåëüñòâî!» è «Âñÿ âëàñòü Ñîâåòàì!» l Áåñïîðÿäêè â ãîðîäå è ðàññòðåë äåìîíñòðàöèè ïî ïðèêàçó Âðåìåííîãî ïðàâèòåëüñòâà è ñàíê- öèè Ïåòðîãðàäñêîãî Ñî- âåòà Ïðîâîêàöèÿ Âðåìåííîãî ïðàâèòåëüñòâà ñ öåëüþ äèñêðåäèòàöèè áîëüøåâèêîâ Ëèêâèäàöèÿ äâîåâëàñòèÿ Ðåïðåññèè ïðîòèâ áîëüøåâèêîâ VI ñúåçä ïàðòèè áîëüøåâèêîâ (26 èþëÿ — 3 àâãóñòà 1917 ã., Ïåòðîãðàä) Êóðñ íà âîîðóæåííîå âîññòàíèå Îáðàçîâàíèå êîàëèöèîííîãî Âðåìåííîãî ïðàâèòåëüñòâà âî ãëàâå ñ À.Ô. Êåðåíñêèì ⎫ ⎬ ⎭
  • 225.
    222 Îòå÷åñòâåííàÿ èñòîðèÿâ ñõåìàõ è òàáëèöàõ
  • 226.
    ÊÎÐÍÈËÎÂÑÊÈÉ ÌßÒÅÆ 25—31 ÀÂÃÓÑÒÀ1917 ã. Êîðíèëîâñêèé ìÿòåæ 25—31 àâãóñòà 1917 ã. Ðåâîëþöèè 1917 ã. è Ãðàæäàíñêàÿ âîéíà 223 l Óñòàíîâëåíèå âîåííîé äèêòàòóðû l Ïîäàâëåíèå ðåâîëþöèîí- íîãî äâèæåíèÿ l Äîâåäåíèå âîéíû äî ïî- áåäíîãî êîíöà l Âûâîä ñòðàíû èç êðèçèñà l Ë.Ã. Êîðíèëîâ êàê âåð- õîâíûé ãëàâíîêîìàí- äóþùèé ñíÿë âîéñêà ñ ôðîíòà è íàïðàâèë èõ íà Ïåòðîãðàä Öåëè Õîä Âðåìåííîå ïðàâèòåëüñòâî è Ñîâåòû, âñå ðåâîëþöèîííûå ñèëû îáúåäèíèëèñü è ëèêâèäèðîâàëè ìÿòåæ ïðè ïîìîùè: l àãèòàöèîííûõ ìåð l ðåâîëþöèîííîãî ñàáîòàæà æåëåçíîäîðîæíèêîâ l ÷àñòè÷íûõ âîåííûõ äåéñòâèé Ïîñëåäñòâèÿ Ë.Ã. Êîðíèëîâ è åãî ñïîäâèæíèêè àðåñòîâàíû l Óãëóáëåíèå ñîöèàëüíî-ýêîíî- ìè÷åñêîãî è ïîëèòè÷åñêîãî êðè- çèñà â ñòðàíå l Óñèëåíèå ïîçèöèé áîëüøåâèêîâ è íà÷àëî áîëüøåâèçàöèè Ñîâåòîâ l Ïàðàëè÷ âëàñòè
  • 227.
    224 Îòå÷åñòâåííàÿ èñòîðèÿâ ñõåìàõ è òàáëèöàõ Àëüòåðíàòèâû îáùåñòâåííîãî ðàçâèòèÿ Âîåííàÿ äèêòàòóðà Âëàñòü Âðåìåííîãî ïðàâèòåëüñòâà Äèêòàòóðà áîëüøåâèêîâ Àíàðõè÷åñêèé áóíò è ðàñïàä ñòðàíû ÏÐÈÕÎÄ ÁÎËÜØÅÂÈÊÎÂ Ê ÂËÀÑÒÈ Â ÏÅÒÐÎÃÐÀÄÅ Ïîäãîòîâêà âîññòàíèÿ Òåîðåòè÷åñêàÿ Îðãàíèçàöèîííàÿ Âîåííî-òåõíè÷åñêàÿ Ñòàòüè Â. È. Ëåíèíà — «Áîëüøåâèêè äîëæíû âçÿòü âëàñòü»; — «Ìàðêñèçì è âîñ- ñòàíèå»; — «Ñîâåòû ïîñòî- ðîííåãî»; — «Ïèñüìî ÷ëåíàì ÖÊ ÐÑÄÐÏ (á)» Ñîçäàíèå Âîåííî-ðåâî- ëþöèîííîãî êîìèòåòà ïðè Ïåòðîãðàäñêîì Ñîâåòå êàê øòàáà ïî ïîäãîòîâêå âîññòàíèÿ. ÂÐÊ íàõî- äèëñÿ ïîä êîíòðîëåì áîëüøåâèêîâ Ðåøåíèå ÖÊ (10.10 è 16.10) î âçÿòèè âëàñòè Îðãàíèçàöèÿ îòðÿäîâ Êðàñíîé ãâàðäèè Íàçíà÷åíèå êîìèñ- ñàðîâ ÂÐÊ â âîèí- ñêèå ÷àñòè Ïåòðî- ãðàäà Ïåðåõîä Ïåòðîãðàäñêîãî ãàðíèçîíà íà ñòîðîíó ÂÐÊ è Ïåòðîãðàäñêîãî Ñîâåòà Õîä âîññòàíèÿ è çàõâàò âëàñòè áîëüøåâèêàìè 24.10.1917 ã. — Çàïîçäàëûå ìåðû Âðåìåííîãî ïðàâèòåëü- ñòâà ïî ïðîòèâîäåéñòâèþ áîëüøåâèêàì. Çàõâàò îòðÿäàìè Êðàñíîé ãâàðäèè ñòðàòå- ãè÷åñêèõ ïóíêòîâ ãîðîäà 25.10.1917 ã. — Âîççâàíèå ÂÐÊ ê ãðàæäàíàì Ðîññèè. Îò- êðûòèå II Âñåðîññèéñêîãî ñúåçäà Ñîâåòîâ 26.10.1917 ã. — Øòóðì Çèìíåãî äâîðöà — àðåñò Âðåìåí- íîãî ïðàâèòåëüñòâà
  • 228.
    ÎÊÒßÁÐÜÑÊÀß ÐÅÂÎËÞÖÈß 1917 ã. Ðåâîëþöèè1917 ã. è Ãðàæäàíñêàÿ âîéíà 225 Ñëîæíîå ìíîãîóðîâíåâîå èñòîðè÷åñêîå ÿâëåíèå Ïîïûòêà áîëüøåâèêîâ ñîçäàòü íîâóþ ñîöèàëüíóþ ñèñòåìó Îãðîìíîå âëèÿíèå íà ðàçâèòèå ìèðîâîãî ñîîáùåñòâà Àãðàðíàÿ Ïðîëåòàðñêî- áåäíÿöêàÿ Íàöèîíàëüíî- îñâîáîäèòåëüíàÿ Àíòèâîåííàÿ Îáùåäåìîêðàòè÷åñêàÿ Ñî÷åòàíèå ðàçëè÷íûõ òèïîâ ðåâîëþöèè
  • 229.
    II ÂÑÅÐÎÑÑÈÉÑÊÈÉ ÑÚÅÇÄ ÑÎÂÅÒÎÂ25—27.10.1917 ã. II Âñåðîññèéñêèé ñúåçä Ñîâåòîâ 25—27.10.1917 ã. 226 Îòå÷åñòâåííàÿ èñòîðèÿ â ñõåìàõ è òàáëèöàõ Ñîñòàâ: 625 äåïóòàòà 390 — áîëüøåâèêè 179 — ëåâûå ýñåðû îñòàëüíûå — ïðàâûå ýñåðû, ìåíüøåâèêè è äð. Íåóäà÷íàÿ ïîïûòêà ýñå- ðîâ è ìåíüøåâèêîâ ñîç- äàòü îäíîðîäíîå ñîöèàëè- ñòè÷åñêîå ïðàâèòåëüñòâî Ïîêèíóëè ñúåçä â çíàê ïðîòåñòà ïðîòèâ âîîðó- æåííîãî âûñòóïëåíèÿ áîëüøåâèêîâ Îñíîâíûå ðåøåíèÿ 1. Ïðèíÿòû Äåêðåòû î ìèðå î çåìëå 2. Ïðîâîçãëàøåíèå Ðåñïóá- ëèêè Ñîâåòîâ 3. Îáðàçîâàíû íîâûå âûñ- øèå îðãàíû âëàñòè ÑÍÊ — Ñîâåò Íàðîäíûõ Êîìèññàðîâ âî ãëàâå ñ Â.È. Ëåíèíûì ÂÖÈÊ — Âñåðîññèéñêèé Öåíòðàëüíûé Èñïîëíèòåëüíûé Êîìèòåò âî ãëàâå ñ Ë.Á. Êàìåíåâûì, ñ 8.11.1917 ã. ïðåäñåäàòåëü ÂÖÈÊ — ß.Ì. Ñâåðäëîâ
  • 230.
    Ó×ÐÅÄÈÒÅËÜÍÎÅ ÑÎÁÐÀÍÈÅ ÂÐÎÑÑÈÈ Ðåâîëþöèè 1917 ã. è Ãðàæäàíñêàÿ âîéíà 227 Èäåÿ Òðåáîâàíèå ñîçûâà Ó÷ðåäèòåëü- íîãî ñîáðàíèÿ áûëî ïðîãðàììîé âñåõ ïîëèòè÷åñêèõ ïàðòèé, îï- ïîçèöèîííûõ ñàìîäåðæàâèþ Çàêîí Ïîëîæåíèå î âûáîðàõ â Ó÷ðå- äèòåëüíîå ñîáðàíèå óòâåðæäå- íî â àâãóñòå 1917 ã. Âñåîáùåå, ïðÿìîå, ðàâíîå èçáèðàòåëüíîå ïðàâî ïðè òàéíîì ãîëîñîâà- íèè. Îòñóòñòâèå öåíçîâ, êðîìå âîçðàñòíîãî (äëÿ âñåõ ñ 20 ëåò, äëÿ âîåííîñëóæàùèõ ñ 18 ëåò) Âðåìÿ Âûáîðû ïðîøëè 12 è 19 íîÿáðÿ 1917 ã. Èòîãè âûáîðîâ 715 äåïóòàòîâ: 40% — ýñåðû 23,9% — áîëüøåâèêè 2,3% — ìåíüøåâèêè 4,7% — êàäåòû è äð. 13 ÷àñîâ ðàáîòû 5 ÿíâàðÿ 1917 ã. ñî- çûâ â Ïåòðîãðàäå Ó÷ðåäèòåëüíîãî ñîá- ðàíèÿ; ïðåäñåäàòåëü Â.Ì. ×åðíîâ Ðàçãîí Ó÷ðåäèòåëüíîãî ñîáðàíèÿ áîëüøåâèêàìè 6 ÿíâàðÿ 1918 ã. Îòâåðãíóò ïóòü ãðàæäàí- ñêîãî ìèðà è äåìîêðàòè- ÷åñêîãî ðàçâèòèÿ ñòðàíû Îòêàç îò ïðåäëîæåíèÿ áîëüøåâèêîâ óòâåðäèòü «Äåêëàðàöèþ ïðàâ òðóäÿùåãîñÿ è ýêñïëóàòèðóåìîãî íàðîäà», ò.å. ïðèçíàòü íàä ñîáîé ñîâåòñêóþ âëàñòü è óòâåðäèòü åå äåêðåòû
  • 231.
    ÂÛÕÎÄ ÐÎÑÑÈÈ ÈÇÏÅÐÂÎÉ ÌÈÐÎÂÎÉ ÂÎÉÍÛ. ÁÐÅÑÒÑÊÈÉ ÌÈÐ Ñ ÃÅÐÌÀÍÈÅÉ Âûõîä Ðîññèè èç Ïåðâîé ìèðîâîé âîéíû. Áðåñòñêèé ìèð ñ Ãåðìàíèåé Îñíîâà: Äåêðåò î ìèðå — 26.11.1917 ã. 228 Îòå÷åñòâåííàÿ èñòîðèÿ â ñõåìàõ è òàáëèöàõ Ðåàëèçàöèÿ Ïåðåìèðèå â Áðåñò-Ëèòîâ- ñêå — 2.12.1917 ã. è ïåðåãî- âîðû î ñåïàðàòíîì ìèðå Äåáàòû î ìèðå Çàòÿãèâàíèå ïåðåãîâîðîâ — òàêòèêà áîëüøåâèêîâ Áîëüøåâèêè Äðóãèå ïîëèòè÷åñêèå ñèëû «Ëåâûå êîììóíèñòû» (Áóõàðèí) ïðî- òèâ ìèðà, çà ðå- âîëþöèîííóþ âîéíó Òðîöêèé: «Íè âîéíû, íè ìèðà!» Ïðîòèâ ìèðà ñ Ãåðìàíèåé Ëåíèí: «Ìèð ëþáîé öåíîé!» l Óëüòèìàòóì Ãåðìàíèè è íàñòóïëåíèå åå âîéñê ïî âñåìó ôðîíòó l Ïîäïèñàíèå ìèðíîãî äîãîâîðà 03.03.1918 ã. íà î÷åíü òÿæåëûõ äëÿ Ðîññèè óñëîâèÿõ: 1. Ïîòåðÿ çàïàäíûõ òåððèòîðèé 2. Âûïëàòà Ðîññèåé êîíòðèáóöèè 3. Ïîòåðÿ ôëîòà è äð.
  • 232.
    ÏÐÈ×ÈÍÛ È ÍÀ×ÀËÎ ÃÐÀÆÄÀÍÑÊÎÉÂÎÉÍÛ Îáîñòðåíèå ñîöèàëüíî-ýêîíîìè÷åñêèõ è ïîëèòè÷å- ñêèõ ïðîòèâîðå÷èé â ðåçóëüòàòå ñìåíû âëàñòè è èçìå- íåíèÿ ôîðìû ñîáñòâåííîñòè Äîìèíèðîâàíèå â îáùåñòâå ïñèõîëîãè÷åñêîé óñòàíîâ- êè íà êîíôðîíòàöèþ è ðåøåíèå âîïðîñîâ ïîëèòèêè è ïîâñåäíåâíîé æèçíè ñ îðóæèåì â ðóêàõ Êðàõ äåìîêðàòè÷åñêîé àëüòåðíàòèâû ðàçâèòèÿ ñòðàíû â ñâÿçè ñ ðàçãîíîì Ó÷ðåäèòåëüíîãî ñîáðàíèÿ áîëüøå- âèêàìè Îòñóòñòâèå îïûòà ïîëèòè÷åñêîãî è ñîöèàëüíîãî êîì- ïðîìèññà ìåæäó ðàçëè÷íûìè ïîëèòè÷åñêèìè ñèëàìè è ñîöèàëüíûìè ãðóïïàìè Íåïðèíÿòèå ïîëèòè÷åñêèìè ïðîòèâíèêàìè áîëüøåâè- êîâ Áðåñòñêîãî ìèðà ñ Ãåðìàíèåé Ýêîíîìè÷åñêàÿ ïîëèòèêà áîëüøåâèêîâ â äåðåâíå âåñ- íîé — ëåòîì 1918 ã. Èíîñòðàííîå âîåííîå âìåøàòåëüñòâî âî âíóòðåííèå äåëà Ðîññèè Ðàçëè÷íûå òî÷êè çðåíèÿ íà âðåìÿ íà÷àëà Ãðàæäàíñêîé âîéíû Ðåâîëþöèè 1917 ã. è Ãðàæäàíñêàÿ âîéíà 229 Îêòÿáðü 1917 ã. Ïðèõîä áîëüøå- âèêîâ ê âëàñòè Ôåâðàëü 1917 ã. Ñâåðæåíèå ñàìîäåðæàâèÿ Ìàé 1918 ã. Ìÿòåæ ÷åõîñëîâàöêîãî êîðïóñà â Ðîññèè
  • 233.
    ÁÅËÛÅ È ÊÐÀÑÍÛÅ ÂÃÐÀÆÄÀÍÑÊÎÉ ÂÎÉÍÅ Áåëûå è êðàñíûå â Ãðàæäàíñêîé âîéíå 1918 ã. 230 Îòå÷åñòâåííàÿ èñòîðèÿ â ñõåìàõ è òàáëèöàõ Èíîñòðàííàÿ èíòåðâåíöèÿ (ÑØÀ, Àíãëèÿ, Ôðàíöèÿ, ßïîíèÿ) Ðàñïàä èì- ïåðèè. Ìÿ- òåæ ÷åõîñëî- âàöêîãî êîð- ïóñà Òåððîð Áåëûé Êðàñíûé Îñíîâíàÿ ìàññà íàñåëåíèÿ — êðåñòüÿíñòâî Êîëåáàíèÿ Áåëûå Êðàñíûå 1919 ã. ãîä áåëûõ 1920 ã. ãîä êðàñíûõ Çåìåëüíûé âîïðîñ Âîçìîæíûé ÷àñòè÷íûé âîçâðàò ê ïîìåùè÷üåìó çåìëåâëàäåíèþ l Äåêðåò î çåìëå 1917 ã. l Êîìáåäû 1918 ã. l Ïðîäðàçâåðñòêà 1919 ã. Êðåñòüÿíñòâî â áîëüøèíñòâå ñâîåì ïîääåðæàëî ñîâåòñêóþ âëàñòü Ãðàæäàíñêàÿ âîéíà — ïîäâèã è òðàãåäèÿ ïîáåäèòåëåé è ïîáåæäåííûõ
  • 234.
    Ðåâîëþöèè 1917 ã.è Ãðàæäàíñêàÿ âîéíà 231 ÏÐÈ×ÈÍÛ ÏÎÁÅÄÛ ÁÎËÜØÅÂÈÊΠ ÃÐÀÆÄÀÍÑÊÎÉ ÂÎÉÍÅ Êîíòðîëü íàä öåíòðàëüíîé ÷àñòüþ ñòðàíû Ïîä÷èíåíèå âñåé æèçíè îáùåñòâà èíòåðåñàì âîîðóæåííîé áîðüáû Èñïîëüçîâàíèå ïðîòèâîðå÷èé â ðÿäàõ ïðîòèâíèêà, ó êîòîðîãî îòñóòñòâîâàëî âîåííîå, èäåéíî-ïîëèòè÷åñêîå è ñîöèàëüíîå åäèíñòâî Öåìåíòèðóþùàÿ ðîëü áîëüøåâèñòñêîé ïàðòèè Óñïåõè â ãîñóäàðñòâåííîì ñòðîèòåëüñòâå Ïîääåðæêà áîëüøåâèêîâ ñî ñòîðîíû ïîäàâëÿþùåé ÷àñòè íàñåëåíèÿ — êðåñòüÿíñòâà
  • 235.
    ÃÐÀÆÄÀÍÑÊÀß ÂÎÉÍÀ ÂÐÎÑÑÈÈ Ðåâîëþöèÿ 1917 ã. è Ãðàæäàíñêàÿ âîéíà Ýòàïû Îñíîâíûå ñîáûòèÿ íà ôðîíòå â òûëó Ìàé — íîÿáðü 1918 ã. Âîñòîê: 25 ìàÿ — âûñòóïëåíèå ×åõîñëîâàöêîãî êîðïóñà. Þã — ôîðìèðîâàíèå è ïåðâûå áîåâûå äåéñòâèÿ Äîáðîâîëü÷å- ñêîé àðìèè (Êàëåäèí — Êîðíè- ëîâ — Äåíèêèí) — çàõâàò Åêà- òåðèíîäàðà, íàñòóïëåíèå Êðàñ- íîâà íà Öàðèöûí, çàõâàò êàçàêàìè Äóòîâà Îðåíáóðãà. Çàïàä — íàðóøåíèå óñëîâèé Áðåñòñêîãî ìèðà Ãåðìàíèåé, îêêóïàöèÿ Áåññàðàáèè Ðóìûíèåé. Ñåâåð — äåñàíò Àíòàíòû. Ê ñåí- òÿáðþ áîëüøåâèêè êîíòðîëèðó- þò òîëüêî ÷åòâåðòü òåððèòîðèè Ðîññèè. Ãëàâíûé ôðîíò — Âîñ- òî÷íûé. Àâãóñò — íà÷àëî íàñòóïëåíèÿ íà Âîñòî÷íîì ôðîíòå, ñåí- òÿáðü — îêòÿáðü — âçÿòû Êà- çàíü, Ñèìáèðñê, Ñàìàðà. Îáîðîíà Öàðèöûíà Ñîçäàíèå Êðàñíîé Àðìèè: ê ëå- òó ÐÊÊÀ íàñ÷èòûâàåò 300 òûñ. äîáðîâîëüöåâ. 29.05 — ïåðåõîä ê ìîáèëèçàöè- ÿì — îáÿçàòåëüíîìó íàáîðó â àðìèþ. Èþëü — âñåîáùàÿ âîèíñêàÿ ïî- âèííîñòü (18—40 ëåò). Ñåíòÿáðü — ñîçäàíèå ÐÂÑÐ, îï- ðåäåëåíèå ñòðóêòóðû âîéñê è òðè ôðîíòà: Ñåâåðíûé, Âîñòî÷- íûé (ñ ëåòà 1918), Þæíûé, à çàòåì è Çàïàäíûé îáîðîíèòåëü- íûé ðàéîí. Ìàé — ââåäåíèå ïðîäîâîëüñò- âåííîé äèêòàòóðû (ïðîäîòðÿäû, êîìáåäû — äî 2.12). 6—7 èþëÿ — âûñòóïëåíèÿ ëåâûõ ýñåðîâ. Èþëü — ðàññòðåë öàðñêîé ñå- ìüè â Åêàòåðèíáóðãå. 30 àâãóñòà — ïîêóøåíèå íà Ëå- íèíà. 5 ñåíòÿáðÿ — ïîñòàíîâëåíèå ÑÍÊ îá «îáåñïå÷åíèè òûëà ïó- òåì òåððîðà» Íîÿáðü 1918 — ìàðò 1919 ã. Àêòèâèçàöèÿ èíòåðâåíöèè â ñâÿçè ñ îêîí÷àíèåì Ïåðâîé ìè- ðîâîé âîéíû. Áîðüáà ñ èíòåð- âåíòàìè, íà÷àëî âûâîäà èõ âîéñê ñ þãà Óêðàèíû. Óñòàíîâ- ëåíèå ñîâåòñêîé âëàñòè íà òåð- ðèòîðèÿõ, îñâîáîæäåííûõ îò íåìåöêèõ âîéñê. Îñíîâíîé ôðîíò — Þæíûé. ßíâàðü — ïîáåäà íàä âîéñêàìè Êðàñíîâà, Äîíñêàÿ àðìèÿ âëè- âàåòñÿ â ñîñòàâ Âîîðóæåííûõ ñèë þãà Ðîññèè ïîä êîìàíäîâà- íèåì Äåíèêèíà. 18.11.1918 ã. — êîë÷àêîâñêèé ïåðåâîðîò — ñâåðæåíèå Äèðåê- òîðèè. Êîë÷àê — âåðõîâíûé ïðàâèòåëü Ðîññèè è ãëàâêîâåðõ 30 íîÿáðÿ — ñîçäàíèå Ñîâåòà ðàáî÷åé è êðåñòüÿíñêîé îáîðî- íû — ÷ðåçâû÷àéíîãî ïðàâè- òåëüñòâåííîãî îðãàíà. ÐÂÑÐ ïîä÷èíÿåòñÿ íåïîñðåäñò- âåííî Ñîâåòó îáîðîíû è ÂÖÈÊ. Ê êîíöó 1919 ã. ÷èñëåí- íîñòü Êðàñíîé Àðìèè — îêîëî 1500 òûñ. 10 äåêàáðÿ — ïðèíÿòèå ÊÇîÒ ÐÑÔÑÐ è ââåäåíèå âñåîáùåé òðóäîâîé ïîâèííîñòè (16—50 ëåò). 11 ÿíâàðÿ 1919 ã. — ââåäåíèå ïðîäðàçâåðñòêè 232 Îòå÷åñòâåííàÿ èñòîðèÿ â ñõåìàõ è òàáëèöàõ
  • 236.
    Ìàðò 1919 — ìàðò 1920 ã. Âåñíà— ëåòî: ãëàâíûé ôðîíò — Âîñòî÷- íûé (ìàññîâàÿ àðìèÿ Êîë÷àêà — ñâûøå 300 òûñ. ÷åëîâåê). Ìàðò — ïåðåõîä êîë÷àêîâöåâ â íàñòóï- ëåíèå. 28 àïðåëÿ — 20 èþíÿ — êîíòðíàñòóïëå- íèå ÷àñòåé Êðàñíîé Àðìèè (Ôðóíçå, Êàìåíåâ), ïåðåðîñøåå â íàñòóïëåíèå ïî âñåìó Âîñòî÷íîìó ôðîíòó. 21 èþíÿ — 7 ÿíâàðÿ — ðàçãðîì àðìèè Êîë÷àêà, âîññòàíîâëåíèå ñîâåòñêîé âëà- ñòè â Ñèáèðè è íà Äàëüíåì Âîñòîêå.  ìàå è îêòÿáðå 1919 ã. âîéñêà Þäåíè÷à ïûòàþòñÿ âçÿòü Ïåòðîãðàä. 19.05.1919 ã. — íà÷àëî íàñòóïëåíèÿ àð- ìèè Äåíèêèíà íà Þæíîì ôðîíòå (îêî- ëî 160 òûñ. ÷åëîâåê, òàíêè, áðîíåïîåçäà, àýðîïëàíû, êîííûå êîðïóñà). 3 èþëÿ — Ìîñêîâñêàÿ äèðåêòèâà Äåíè- êèíà. Îñåíüþ Þæíûé ôðîíò ñòàíîâèò- ñÿ ãëàâíûì. 11 îêòÿáðÿ — 18 íîÿáðÿ — êîíòðíàñòóï- ëåíèå Êðàñíîé Àðìèè, êîòîðîå ïðîäîë- æåíî äåéñòâèÿìè Þæíîãî è Þãî- Âîñòî÷íîãî ôðîíòîâ. Îñòàòêè äåíèêèí- ñêèõ âîéñê óêðûëèñü â Êðûìó. 4.04.1920 ã. Äåíèêèí îáúÿâèë ñâîèì ïðååìíèêîì Âðàíãåëÿ è ïîêèíóë Ðîñ- ñèþ Ìàðò — VIII ñúåçä ÐÊÏ(á) — îñóæäåíèå «âîåííîé îïïîçèöèè», êóðñ íà «ñîþç ñ ñåðåäíÿ- êîì». ×èñëåííîñòü ÐÊÊÀ: âåñíà 1919 — îêîëî 1800 òûñ., îêòÿáðü 1919 — 3 ìëí. ÷åëîâåê, 77% èç íèõ êðåñòüÿíå. Ìàññîâûå ìîáèëèçàöèè. II ñúåçä ÐÊÑÌ — ìîáè- ëèçàöèÿ ìîëîäåæè îò 16 ëåò Àïðåëü — íîÿáðü 1920 ã. 25.04 — 18.10.1920 ã. — ñîâåòñêî-ïîëü- ñêàÿ âîéíà. Äåéñòâèÿ Çàïàäíîãî (Òóõà- ÷åâñêèé) è Þãî-Çàïàäíîãî (Åãîðîâ) ôðîíòîâ. Îñâîáîæäåíèå Óêðàèíû, íà- ñòóïëåíèÿ ïî ðàñõîäÿùèìñÿ íàïðàâëå- íèÿì íà Âàðøàâó è Ëüâîâ. 18.03.1921 ã. — ìèðíûé äîãîâîð â Ðèãå. Çàïàäíàÿ Óêðàèíà è Çàïàäíàÿ Áåëîðóñ- ñèÿ îòõîäÿò ê Ïîëüøå. Àïðåëü — íîÿáðü — ðàçãðîì âîéñê Âðàí- ãåëÿ â Êðûìó. Øòóðì Ïåðåêîïà. Áåãñò- âî áåëûõ èç Êðûìà — ïåðâàÿ âîëíà ýìèãðàöèè (îêîëî 100 òûñ. ÷åëîâåê) ×èñëåííîñòü ÐÊÊÀ íà 1.11.1920 ã. — 5,5 ìëí ÷åëîâåê. Ðàçâîðà÷èâàþòñÿ àíòè- áîëüøåâèñòñêèå âûñòóï- ëåíèÿ êðåñòüÿí — «ìàëàÿ Ãðàæäàíñêàÿ âîéíà»; ýêîíîìè÷åñêèå òðåáîâà- íèÿ — îòìåíà âîåííîãî êîììóíèçìà, ïîëèòè÷å- ñêèå òðåáîâàíèÿ — Ñîâå- òû áåç êîììóíèñòîâ. Æåñòîêîå ïîäàâëåíèå âñåõ âûñòóïëåíèé 1921— 1922 ãã. Çàâåðøåíèå Ãðàæäàíñêîé âîéíû íà îê- ðàèíàõ Ðîññèè «Ìàëàÿ Ãðàæäàíñêàÿ âîéíà»: âîññòàíèÿ êðå- ñòüÿí. 28.02—18.03.1921 ã. — Êðîíøòàäòñêîå âîññòà- íèå. Óñòàíîâëåíèå Ñî- âåòñêîé âëàñòè â Ñðåä- íåé Àçèè, â Çàêàâêàçüå, íà Äàëüíåì Âîñòîêå Ðåâîëþöèÿ 1917 ã. è Ãðàæäàíñêàÿ âîéíà 233
  • 237.
    234 Îòå÷åñòâåííàÿ èñòîðèÿâ ñõåìàõ è òàáëèöàõ Âîéíà Êîììóíèñòè÷åñêàÿ äîêòðèíà Ââåäåíèå äèðåêòèâíî-÷ðåç- âû÷àéíûõ ìåòîäîâ ãîñóäàð- ñòâåííîãî ðåãóëèðîâàíèÿ ïî- ëèòè÷åñêèõ è ñîöèàëüíî- ýêîíîìè÷åñêèõ ïðîöåññîâ â óñëîâèÿõ âîåííîãî ðàçîðåíèÿ Êîíöåïòóàëüíàÿ îðèåíòàöèÿ íà ñîçäàíèå íåðûíî÷íîãî îáùåñòâà Íàöèîíàëèçàöèÿ ïðîìûø- ëåííîñòè Ââåäåíèå âñåîáùåé òðóäî- âîé ïîâèííîñòè Íàòóðàëèçàöèÿ è óðàâíè- òåëüíîñòü â çàðïëàòå è áåñ- ïëàòíîñòü ãîñóäàðñòâåííûõ óñëóã Ïîïûòêà ââåäåíèÿ ïðÿìîãî ïðîäóêòîîáìåíà ìåæäó ãî- ðîäîì è äåðåâíåé Ìåðû «âîåííîãî êîììóíèçìà» Ïðîäðàçâåðñòêà íà îñíîâíûå ñ/õ ïðîäóêòû Çàïðåò ÷àñòíîé òîðãîâëè, ðàñ- ïðåäåëåíèå ïî êàðòî÷êàì è êëàññîâîìó ïðèíöèïó Çàïðåùåíèå àðåíäû çåìëè è íàåìíîãî òðóäà â ñ/õ Ïîëèòè÷åñêàÿäèêòàòóðà áîëüøåâèêîâ Ïîñëåäñòâèÿ Òÿæåëûé ýêîíîìè÷åñêèé è ñîöèàëüíûé êðèçèñ Ìàññîâûå êðåñòüÿíñêèå âîññòàíèÿ Óãðîçà îñíîâàì ñîâåòñêîé âëàñòè Ïåðåõîä ê íýïó «ÂÎÅÍÍÛÉ ÊÎÌÌÓÍÈÇÌ» (1918—1920) «Âîåííûé êîììóíèçì» (1918—1920) êàê âíóòðåííÿÿ ïîëèòèêà ñîâåòñêîãî ãîñóäàðñòâà â ïåðèîä Ãðàæäàíñêîé âîéíû è èíòåðâåíöèè Èñòîêè
  • 238.
    ÑÒÐÀÍÀ ÑÎÂÅÒΠÂ20—30-å ãã. XX â. Ñòðàíà Ñîâåòîâ â 20—30-å ãã. XX â. ÍÎÂÀß ÝÊÎÍÎÌÈ×ÅÑÊÀß ÏÎËÈÒÈÊÀ (ÍÝÏ) Ñòðàíà Ñîâåòîâ â 20—30-å ãã. XX â. 235 1921 ã. ÍÝÏ 1928—1929 ãã. àäìèíèñòðàòèâíûå ðûíî÷íûå Ìåòîäû õîçÿéñòâîâàíèÿ ⎫ ⎬ ⎭ ⎫ ⎬ ⎭ Ñî÷åòàíèå Ïðîòèâîðå÷èâîñòü Äâîéñòâåííîñòü Õàðàêòåðíûå ÷åðòû íýïà l Çàìåíà ïðîäðàçâåðñòêè íàòóðàëüíûì íàëîãîì l Âîññòàíîâëåíèå òîðãîâëè (ãî- ñóäàðñòâåííîé, êîîïåðàòèâ- íîé, ÷àñòíîé) è òîâàðíî-äå- íåæíûõ îòíîøåíèé â êà÷åñòâå îñíîâíîãî ìåõàíèçìà ôóíê- öèîíèðîâàíèÿ ýêîíîìèêè l Óêðåïëåíèå ôèíàíñîâîé ñèñ- òåìû, ïåðåõîä ê äåíåæíîé çàðïëàòå, îòìåíà áåñïëàòíûõ óñëóã l Ïåðåâîä ÷àñòè ãîñóäàðñòâåí- íûõ ïðåäïðèÿòèé íà õîçðàñ÷åò è ñîçäàíèå êðóïíûõ òðåñòîâ êàê îñíîâíûõ óïðàâëåí÷åñêî- ïðîèçâîäñòâåííûõ çâåíüåâ â îòðàñëÿõ ïðîìûøëåííîñòè l Äîïóñê ÷àñòíîãî êàïèòà- ëà â ýêîíîìèêó ïðè ñî- õðàíåíèè «êîìàíäíûõ âûñîò» â ðóêàõ ãîñóäàðñò- âà (àðåíäà ãîñïðåäïðèÿ- òèé ÷àñòíûìè ëèöàìè, êîíöåññèè, ñîçäàíèå ñìåøàííûõ îáùåñòâ ñ ó÷àñòèåì èíîñòðàííîãî êàïèòàëà) l Ðàçðåøåíèå àðåíäû çåì- ëè è ïðèìåíåíèÿ íàåì- íîãî òðóäà â ñåëüñêîì õî- çÿéñòâå l Îòìåíà òðóäîâîé ïîâèí- íîñòè, îáåñïå÷åíèå ïðî- ìûøëåííîñòè ðàáî÷åé ñèëîé ÷åðåç áèðæè òðóäà
  • 239.
    ÎÁÐÀÇÎÂÀÍÈÅ ÑÑÑÐ Îáðàçîâàíèå ÑÑÑÐ 236Îòå÷åñòâåííàÿ èñòîðèÿ â ñõåìàõ è òàáëèöàõ Ïðåäïîñûëêè îáðàçîâàíèÿ l Îáùèå õîçÿéñòâåííûå ñâÿçè è èñ- òîðè÷åñêè ñëîæèâøååñÿ ðàçäåëå- íèå òðóäà ìåæäó ðåñïóáëèêàìè l Ñòðåìëåíèå ê åäèíîé âíåøíåé áåçîïàñíîñòè ðåñïóáëèê l Îäíîòèïíîñòü ãîñóäàðñòâåííîãî óñòðîéñòâà è íàõîæäåíèå ó âëàñòè â ðåñïóáëèêàõ åäèíîé ïîëèòè÷å- ñêîé ïàðòèè Ïðîåêòû îáúåäèíåíèÿ l Ëåíèí Ôåäåðàòèâíîå óñòðîéñòâî — ðàâíîïðàâèå ñîþçíûõ ðåñ- ïóáëèê â ðàìêàõ íîâîãî ãî- ñóäàðñòâà l Ñòàëèí Àâòîíîìèçàöèÿ — âõîæ- äåíèå ðåñïóáëèê â ñî- ñòàâ ÐÑÔÑÐ l Äåêëàðàöèÿ îá îáðàçîâàíèè ÑÑÑÐ â ñîñòàâå ÐÑÔÑÐ, ÓÑÑÐ, ÁÑÑÐ, ÇÑÔÑÐ (Ãðóçèÿ, Àðìå- íèÿ, Àçåðáàéäæàí). Óòâåðæäåíà íà I Âñåñîþçíîì ñúåçäå Ñîâåòîâ — 30 äåêàáðÿ 1922 ã. l Êîíñòèòóöèÿ ÑÑÑÐ (31 ÿíâàðÿ 1924 ã.)
  • 240.
    ÂÍÓÒÐÈÏÎËÈÒÈ×ÅÑÊÀß ÁÎÐÜÁÀ ÇÀ ÂËÀÑÒÜ 20-å ãã. Ñòðàíà Ñîâåòîâ â 20—30-å ãã. XX â. 237 Ïèñüìî Â.È. Ëåíèíà ê ñúåçäó 23.12.1922 ã. — 4.01.1923 ã. l Õàðàêòåðèñòèêà ðóêîâîäèòåëåé áîëüøåâèñòñêîé ïàðòèè l Êðèòèêà È.Â. Ñòàëèíà è ïðåäëîæå- íèå î åãî ïåðåìåùåíèè ñ ïîñòà ãåíå- ðàëüíîãî ñåêðåòàðÿ ÖÊ ÐÊÏ(á) Ïðè÷èíû âíóòðèïîëèòè÷åñêîé áîðüáû l Ëè÷íîå ñîïåðíè÷åñòâî ïîëèòè÷å- ñêèõ ëèäåðîâ çà âëàñòü â ïàðòèè è ñòðàíå l Ðàçëè÷èå âçãëÿäîâ íà ïóòè ðàçâèòèÿ ÑÑÑÐ l Îòñóòñòâèå ëåãàëüíîé îïïîçèöèè Áîðüáà ìåæäó ïîëèòè- ÷åñêèìè ëèäåðàìè: 1. Ñòàëèí 2. Òðîöêèé 3. Çèíîâüåâ è Êàìåíåâ 4. Áóõàðèí è Ðûêîâ Ôàçû âíóòðèïîëèòè÷åñêîé áîðüáû Ñòàëèí + Êàìåíåâ è Çèíîâüåâ ïðîòèâ Òðîöêîãî (1923—1925) Ñòàëèí + Áóõàðèí è Ðûêîâ ïðîòèâ Êàìåíåâà è Çèíîâüåâà (1925—1927). Èñêëþ÷åíèå Êàìåíåâà è Çèíîâüåâà èç ïàðòèè Ñòàëèí ïðîòèâ Áóõàðèíà è Ðûêîâà (1927—1930). Óäàëåíèå Áóõà- ðèíà è Ðûêîâà ñ ðóêîâîäÿùèõ ïîñòîâ Îðãàíèçàöèÿ ïðîòèâ Êàìåíåâà, Çèíîâüåâà, Áóõàðèíà, Ðûêîâà â 1935—1938 ãã. ïóáëè÷íûõ ïîëèòè÷åñêèõ ïðîöåññîâ. Îñóæäåíû è ðàññòðåëÿíû
  • 241.
    ÏÐÈ×ÈÍÛ ËÈÊÂÈÄÀÖÈÈ ÍÝÏÀ Ïðè÷èíûëèêâèäàöèè íýïà 238 Îòå÷åñòâåííàÿ èñòîðèÿ â ñõåìàõ è òàáëèöàõ 1923 ã. — Êðèçèñ ñáûòà Êðèçèñû íýïà 1925 ã. 1927/28 ã. Òîâàðíûé êðèçèñ è êðèçèñ õëåáîçàãîòîâîê ⎫ ⎬ ⎭ ÏÐÈ×ÈÍÛ Ïåðèîäè÷åñêîå îáîñòðåíèå ïðîòèâîðå÷èé íýïà â ñôåðàõ: ýêîíîìèêè l ìåæäó îáùåñòâåí- íî-ãîñóäàðñòâåí- íûì, èíäèâèäó- àëüíî-êðåñòüÿí- ñêèì è ÷àñòíûì ñåêòîðàìè ýêîíî- ìèêè l ìåæäó äèðåêòèâ- íî-ïëàíîâûìè è ðûíî÷íûìè íà÷à- ëàìè â ýêîíîìèêå l ìåæäó ãîñïîä- ñòâóþùèìè êîì- ìóíèñòè÷åñêèìè èäåÿìè è ðåàëüíîé ïðàêòèêîé íýïà l ìåæäó àâòîðèòàð- íîé ïîëèòè÷åñêîé ñèñòåìîé è ïëþðà- ëèñòè÷åñêèìè ýêîíîìè÷åñêèìè îòíîøåíèÿìè l ìåæäó ñîöèàëüíû- ìè ãðóïïàìè âñëåäñòâèå ïîÿâëå- íèÿ èìóùåñòâåí- íîãî íåðàâåíñòâà l íåãàòèâíîå îòíî- øåíèå ê «íýïìà- íàì» êàê ê «÷óæäî- êëàññîâûì», ýêñ- ïëóàòàòîðñêèì ýëåìåíòàì ñîöèàëüíûõ îòíîøåíèé ïîëèòèêè è èäåîëîãèè Äîìèíèðîâàíèå â îáùåñòâå áîëüøåâèñòñêîé óñòàíîâêè íà âðå- ìåííûé è ïåðåõîäíûé õàðàêòåð íýïà, íà íåðûíî÷íûé âåêòîð ðàçâèòèÿ ýêîíîìèêè Âíóòðèïîëèòè÷åñêàÿ áîðüáà çà âëàñòü â 20-å ãã. è ïîáåäà ñòîðîííèêîâ ñâåðòûâàíèÿ íýïà Îòõîä îò íýïîâñêèõ ïðèíöèïîâ ãîñïîëèòèêè â äåðåâíå âñëåä- ñòâèå ïðèíÿòèÿ ïàðòèéíîãî ðåøåíèÿ î ïðîâåäåíèè ìîäåðíèçà- öèè ýêîíîìèêè çà ñ÷åò ïðèíóäèòåëüíîãî èçúÿòèÿ è ïåðåêà÷êè ñðåäñòâ èç ñåëüñêîãî õîçÿéñòâà íà íóæäû èíäóñòðèàëèçàöèè Ñàìîèçîëÿöèÿ ñîâåòñêîé ýêîíîìèêè è îòñóòñòâèå øèðîêèõ ýêîíîìè÷åñêèõ ñâÿçåé ñ ìèðîâûì ñîîáùåñòâîì
  • 242.
    ÈÍÄÓÑÒÐÈÀËÈÇÀÖÈß Â ÑÑÑÐ I—IIIïÿòèëåòêè Ñòðàíà Ñîâåòîâ â 20—30-å ãã. XX â. 239 Öåëè Îñîáåííîñòè l Ïðåîäîëåíèå òåõíèêî- ýêîíîìè÷åñêîé îòñòà- ëîñòè ñòðàíû l Äîñòèæåíèå ýêîíîìè- ÷åñêîé íåçàâèñèìîñòè l Ñîçäàíèå ìîùíîé òÿ- æåëîé è îáîðîííîé ïðîìûøëåííîñòè l Ôîðìèðîâàíèå ìàøèí- íî-òåõíè÷åñêîé áàçû â ñåëüñêîì õîçÿéñòâå äëÿ ïðîâåäåíèÿ êîëëåêòè- âèçàöèè Ñòàëèíñêèéâàðèàíòìîäåðíèçàöèèñòðàíû Èòîãè è ïîñëåäñòâèÿ l Ðåêîíñòðóèðîâàíà ìà- òåðèàëüíî-òåõíè÷å- ñêàÿ áàçà íàðîäíîãî õîçÿéñòâà l Ñîçäàíû íîâûå îòðàñ- ëè ïðîìûøëåííîñòè l Äîñòèãíóòà ýêîíîìè- ÷åñêàÿ íåçàâèñèìîñòü ñòðàíû l Ëèêâèäèðîâàíà áåçðà- áîòèöà l Ñêëàäûâàíèå â ñòðàíå àäìèíèñòðàòèâíî-êî- ìàíäíîé ñèñòåìû óïðàâëåíèÿ l Óêðåïëåíèå îáîðîíî- ñïîñîáíîñòè ñòðàíû l Ñòèìóëèðîâàíèå ýêñ- òåíñèâíîãî ðàçâèòèÿ ýêîíîìèêè l Ðàçâèòèå âíåýêîíîìè- ÷åñêèõ ôîðì ïðèíóæäå- íèÿ l Âûñîêèå òåìïû èíäóñò- ðèàëèçàöèè l Ñæàòûå èñòîðè÷åñêèå ñðîêè l Àêöåíò íà ðàçâèòèå òÿ- æåëîé ïðîìûøëåííîñòè â óùåðá ëåãêîé l Îñóùåñòâëåíèå èíäóñò- ðèàëèçàöèè çà ñ÷åò âíóò- ðåííèõ èñòî÷íèêîâ íà- êîïëåíèÿ (ïåðåêà÷êà ñðåäñòâ èç äåðåâíè, çàé- ìû ó íàñåëåíèÿ è äð.)
  • 243.
    ÊÎËËÅÊÒÈÂÈÇÀÖÈß ÑÅËÜÑÊÎÃÎ ÕÎÇßÉÑÒÂÀ Êîëëåêòèâèçàöèÿñåëüñêîãî õîçÿéñòâà 240 Îòå÷åñòâåííàÿ èñòîðèÿ â ñõåìàõ è òàáëèöàõ Ñîçäàíèå â êîðîòêèé ñðîê êðóïíûõ êîëëåê- òèâíûõ õîçÿéñòâ ñ öåëüþ ïðåîäîëåíèÿ çàâè- ñèìîñòè ãîñóäàðñòâà îò åäèíîëè÷íûõ êðå- ñòüÿíñêèõ õîçÿéñòâ â äåëå õëåáîçàãîòîâîê Îáåñïå÷åíèå èíäóñòðèàëèçàöèè äå- øåâîé ðàáî÷åé ñèëîé çà ñ÷åò ìàññî- âîãî óõîäà êðåñòüÿí èç äåðåâíè Öåëè Ëèêâèäàöèÿ êóëà÷åñòâà êàê êëàññà Ïåðåêà÷êà ñðåäñòâ èç àãðàðíîãî ñåê- òîðà ýêîíîìèêè â ïðîìûøëåííûé íà íóæäû èíäóñòðèàëèçàöèè Êðèçèñ õëåáîçàãîòîâîê â ñòðàíå â 1927—1928 ãã. Ïîäõîäû ê åãî ëèêâèäàöèè â ïàðòèéíî-ãîñóäàðñòâåííîì ðóêîâîäñòâå Èòîãè è ïîñëåäñòâèÿ êîëëåêòèâèçàöèè Ñòàëèí ×ðåçâû÷àéíî ðåïðåññèâíûå ìåðû Áóõàðèí Ýêîíîìè÷åñêèå ìåðû Îñóùåñòâëåíèå êîëëåêòèâèçàöèè 1928 ã. — íà÷àëî ôîðñèðîâàííîãî ñîçäàíèÿ êîëõîçîâ 1929 ã. — «ñïëîøíàÿ êîëëåêòèâèçàöèÿ», «ãîä âåëèêîãî ïåðåëîìà» 1930 ã. — ëèêâèäàöèÿ êóëà÷åñòâà êàê êëàññà, «ãîëîâîêðóæåíèå îò óñïåõîâ» 1934 ã. — íà÷àëî çàâåðøàþùåãî ýòàïà ñîçäàíèÿ êîëõîçîâ 1935 ã. — ïðèíÿòèå íîâîãî óñòàâà êîëõîçîâ 1937 ã. — çàâåðøåíèå êîëëåêòèâèçàöèè. 93% êðåñòüÿíñêèõ õîçÿéñòâ îáúåäèíåíû â êîëõîçû Ãîëîä 1932—1933 ãã. (óìåðëè îò 5 äî 7 ìëí ÷åë.) Ôàêòè÷åñêîå ïðèîñòàíîâëåíèå êîëëåêòèâèçàöèè Çàìåäëåíèå òåìïîâ ðîñòà ñåëüñêîõîçÿéñòâåííîãî ïðîèçâîäñòâà è ïîñòîÿííîå îáîñòðåíèå ïðîäîâîëüñòâåííîé ïðîáëåìû â ñòðàíå Óíè÷òîæåíèå ÷àñòíîãî ñåêòîðà â ñåëüñêîì õîçÿéñòâå Ïîòåðÿ ýêîíîìè÷åñêèõ ñòèìóëîâ ê òðóäó â ñåëüñêîì õîçÿéñòâå Ëèêâèäàöèÿ ñëîÿ çàæèòî÷íûõ êðåñòüÿí Îò÷óæäåíèå êðåñòüÿí îò ñîáñòâåííîñòè è çåìëè
  • 244.
    ÏÐÈ×ÈÍÛ ÔÎÐÌÈÐÎÂÀÍÈß ÊÓËÜÒÀ ËÈ×ÍÎÑÒÈÈ ÌÀÑÑÎÂÛÕ ÐÅÏÐÅÑÑÈÉ Ñòðàíà Ñîâåòîâ â 20—30-å ãã. XX â. 241 ìàññîâûõ ðåïðåññèé ôîðìèðîâàíèÿ êóëüòà ëè÷íîñòè Ïðè÷èíû Ðåïðåññèè êàê èíñòðóìåíò ñî- õðàíåíèÿ ðåæèìà ëè÷íîé âëà- ñòè Ñòàëèíà îò åãî âîçìîæíûõ ïðîòèâíèêîâ Ðåïðåññèè êàê ãëàâíàÿ ôîðìà âíåýêîíîìè÷åñêîãî ïðèíóæäå- íèÿ íàñåëåíèÿ Ðåïðåññèè êàê îïðåäåëÿþùåå óñëîâèå ñïëî÷åíèÿ, ñîõðàíåíèÿ è óêðåïëåíèÿ òîòàëèòàðíîãî îáùåñòâà ñîâåòñêîãî òèïà Ïîòðåáíîñòè â èäåîëîãè÷å- ñêîì îáåñïå÷åíèè ôóíêöèî- íèðîâàíèÿ òîòàëèòàðíîé ñèñ- òåìû Íèçêèé óðîâåíü êóëüòóðû ìàññ, äîïóñêàâøèé ñóùåñòâî- âàíèå íàðîäíîé âåðû â âåëè- ÷èå è íåïîãðåøèìîñòü âîæäÿ Ëè÷íûå êà÷åñòâà Ñòàëèíà ÕÀÐÀÊÒÅÐÍÛÅ ×ÅÐÒÛ ÑÎÂÅÒÑÊÎÃÎ ÎÁÙÅÑÒÂÀ  30-å ãã.  ýêîíîìè÷åñêîé ñôåðå Ïîëíîå ïîä÷èíå- íèå ïðîèçâîäèòå- ëÿ ãîñóäàðñòâó Îòñóòñòâèå ñâî- áîäû òðóäà è çà- ìåíà åå âíåýêî- íîìè÷åñêèì ïðè- íóæäåíèåì Ìîíîïîëèÿ ãîñó- äàðñòâà íà ñðåä- ñòâà ïðîèçâîäñòâà Ìèëèòàðèçàöèÿ ýêîíîìèêè Ãîñóäàðñòâåííîå ðåãóëèðîâàíèå èìóùåñòâåííûõ îòíîøåíèé  ïîëèòè÷åñêîé ñôåðå Îäíîïàðòèé- íàÿ ñèñòåìà Ñðàùèâàíèå ïàðòèéíîãî è ãîñóäàðñòâåí- íîãî àïïàðàòîâ Óíèôèêàöèÿ âñåé îáùåñò- âåííîé æèçíè Îòñóòñòâèå ðå- àëüíûõ ñâîáîä â îáùåñòâå Íàëè÷èå ìîù- íîãî ðåïðåñ- ñèâíîãî àïïà- ðàòà  ñôåðå íàöèîíàëüíûõ îòíîøåíèé Ôåäåðàòèâíîå ãîñóäàðñòâî ïî ôîðìå, óíèòàð- íîå ïî ñóòè Òåíäåíöèÿ ê ðóñèôèêàöèè íàðîäîâ ÑÑÑÐ Îãðàíè÷åíèå ïîëèòè÷åñêèõ è ýêîíîìè÷åñêèõ ïðàâ ñîþçíûõ è àâòîíîìíûõ ðåñïóáëèê  äóõîâíîé ñôåðå Ãîñïîäñòâî ïàðòèéíîé ìîíîèäåîëî- ãèè Ïîëíûé ãîñó- äàðñòâåííûé êîíòðîëü íàä îáðàçîâàíèåì è ñðåäñòâàìè ìàññîâîé èí- ôîðìàöèè Óíèôèêàöèÿ äóõîâíîé æèçíè Äèêòàò àòåèçìà
  • 245.
    ÂÍÅØÍßß ÏÎËÈÒÈÊÀ ÑÑÑÐ ÈÌÅÆÄÓÍÀÐÎÄÍÛÅ ÎÒÍÎØÅÍÈß Â 30-å ãã. Âíåøíÿÿ ïîëèòèêà ÑÑÑÐ è ìåæäóíàðîäíûå îòíîøåíèÿ â 30-å ãã. 242 Îòå÷åñòâåííàÿ èñòîðèÿ â ñõåìàõ è òàáëèöàõ Êðàõ ïîëèòèêè êîëëåêòèâíîé áåçîïàñíîñòè l Âçàèìíîå íåäîâåðèå ÑÑÑÐ è åâðîïåéñêèõ äåðæàâ l Ïîëèòèêà ôàøèñòñêîé Ãåð- ìàíèè, íàïðàâëåííàÿ íà ëè- êâèäàöèþ Âåðñàëüñêîé ñèñ- òåìû âîåííûì ïóòåì Ðåçóëüòàòû Ñðûâ àíãëî-ôðàíêî-ñîâåòñêèõ ïåðåãîâîðîâ Ñîâåòñêî- ãåðìàíñêèé ïàêò î íåíàïàäåíèè + Ñåêðåòíûé ïðîòîêîë 23.08.1939 ã. l Îòñðî÷êà âîåííîãî ñòîëê- íîâåíèÿ ñòîðîí l Ôàêòè÷åñêîå ðàçäåëåíèå ñôåð âëèÿíèÿ ìåæäó ÑÑÑÐ è Ãåðìàíèåé â Âîñòî÷íîé Åâðîïå l Ñïîñîáñòâîâàë íà÷àëó Âòî- ðîé ìèðîâîé âîéíû Äîãîâîð î äðóæáå è ãðàíèöàõ ñ Ãåðìàíèåé 28.09.1939 ã. l Âîéíà çà óêðåïëåíèå ãðàíèö è ðàñøèðåíèå òåððèòîðèé l Î÷åíü òÿæåëàÿ ïîáåäà Êðàñ- íîé Àðìèè, ïîêàçàâøàÿ ñëà- áóþ áîåâóþ è òåõíè÷åñêóþ ïîäãîòîâêó âîéñê l Èñêëþ÷åíèå ÑÑÑÐ èç Ëèãè Íàöèé êàê ãîñóäàðñòâà, ñîâåð- øèâøåãî àêò àãðåññèè Ñîâåòñêî- ôèíñêàÿ âîéíà 30.11.1939 ã. — 12.03.1940 ã. Ãåðìàíèÿ Èòàëèÿ ßïîíèÿ Áëîê ôàøèñòñêèõ ãîñóäàðñòâ Ðàçâÿçûâàíèå Âòîðîé ìèðîâîé âîéíû (1939—1945) èíèöèàòîð
  • 246.
    ÂÅËÈÊÀß ÎÒÅ×ÅÑÒÂÅÍÍÀß ÂÎÉÍÀ (1941—1945ãã.) Âåëèêàÿ Îòå÷åñòâåííàÿ âîéíà (1941—1945 ãã.) ÏÐÈ×ÈÍÛ ÍÅÓÄÀ× ÊÐÀÑÍÎÉ ÀÐÌÈÈ Â ÍÀ×ÀËÜÍÛÉ ÏÅÐÈÎÄ ÂÎÉÍÛ Ðåïðåññèè â àðìèè íàêàíóíå âîéíû ñðåäè êîìàíäíîãî ñîñòàâà Îøèáêè è ïðîñ÷åòû â îòíîøåíèè ñðîêîâ íà÷àëà âîéíû Âîåííàÿ äîêòðèíà, êîòîðàÿ ïðåäóñìàòðèâàëà âîåííûå äåéñòâèÿ òîëüêî íà ÷óæîé òåððèòîðèè Îïîçäàíèå ñ ïðèâåäåíèåì âîéñê â áîåâóþ ãîòîâíîñòü Äåìîíòàæ ñòàðûõ è îòñóòñòâèå íîâûõ óêðåïëåíèé íà ãðàíèöå ÌÅÐÛ ÏÎ ÎÐÃÀÍÈÇÀÖÈÈ ÎÒÏÎÐÀ ÔÀØÈÑÒÑÊÎÉ ÀÃÐÅÑÑÈÈ Äèðåêòèâà Ñîâíàðêîìà ÑÑÑÐ è ÖÊ ÂÊÏ(á) îò 29.06.1941 ã. — ïðîãðàììà ïðåâðàùåíèÿ ñòðàíû â åäè- íûé âîåííûé ëàãåðü Îáðàçîâàíèå Ãîñóäàðñòâåííîãî êîìèòåòà îáîðîíû êàê ÷ðåçâû÷àéíîãî îðãàíà, ñîñðåäîòî÷èâøåãî âñþ ïîëíîòó âëàñòè â ñòðàíå â ïåðèîä âîéíû Ñîçäàíèå Ñòàâêè Ãëàâíîãî êîìàíäîâàíèÿ (ïåðåèìåíî- âàííîé â Ñòàâêó Âåðõîâíîãî ãëàâíîêîìàíäîâàíèÿ) Ïðîâåäåíèå âñåîáùåé ìîáèëèçàöèè. Ââåäåíèå âîåííî- ãî ïîëîæåíèÿ Îñóùåñòâëåíèå ýâàêóàöèè. Ïåðåñòðîéêà ýêîíîìèêè íà âîåííûé ëàä Îðãàíèçàöèÿ ïîäïîëüíîãî è ïàðòèçàíñêîãî ñîïðîòèâ- ëåíèÿ â îêêóïèðîâàííûõ ðàéîíàõ Âåëèêàÿ Îòå÷åñòâåííàÿ âîéíà (1941—1945 ãã.) 243
  • 247.
    Áèòâà çà Ìîñêâó ÁÈÒÂÀÇÀ ÌÎÑÊÂÓ 30 ñåíòÿáðÿ 1941 ã. — 20 àïðåëÿ 1942 ã. Íàñòóïëåíèå íåìöåâ. Îïåðàöèÿ «Òàéôóí» 244 Îòå÷åñòâåííàÿ èñòîðèÿ â ñõåìàõ è òàáëèöàõ Íà÷àëî — 30 ñåíòÿáðÿ 1941 ã. Ïîïûòêà âçÿòü ñòîëèöó ïðè ïîìîùè ëîáîâîé àòàêè â öåíòðàëüíîé ÷àñòè ôðîíòà l Îêðóæåíèå ñîâåòñêèõ âîéñê â ðàéîíå Âÿçüìû l Íàçíà÷åíèå Ã.Ê. Æóêîâà êîìàíäóþùèì Çàïàäíûì ôðîíòîì, îáîðîíÿâøèì Ìîñêâó (10.10.1941 ã.) l Çàõâàò ïðîòèâíèêîì Ìîæàéñêà (18.10.1941 ã.) è Âî- ëîêîëàìñêà (27.10.1941 ã.) l 19.10.1941 ã. — ââåäåíèå îñàäíîãî ïîëîæåíèÿ â Ìîñêâå l Ïîäòÿãèâàíèå ðåçåðâîâ ê Ìîñêâå èç ãëóáèíû ñòðàíû (58 ñòðåëêîâûõ è 15 êàâàëåðèéñêèõ äèâèçèé) l 30.10.1941 ã. — îñòàíîâëåíî ïåðâîå íàñòóïëåíèå âðàãà íà Ìîñêâó Íîâîå íàñòóïëåíèå íåìöåâ ñ 15 íîÿáðÿ 1941 ã. Ïîïûòêà âçÿòü ñòîëèöó ïðè ïîìî- ùè ôëàíãîâûõ óäàðîâ ñ ñåâåðà (èç Êëèíà) è ñ þãà (èç Òóëû) l Çàõâàò ïðîòèâíèêîì Ñîëíå÷íîãîðñêà (24.11.1941 ã.) l Òóëó ôàøèñòàì âçÿòü íå óäàëîñü, è èõ íàñòóïëåíèå áûëî ïðèîñòàíîâëåíî 5—6 äåêàáðÿ 1941 ã. — íà÷à- ëî êîíòðíàñòóïëåíèÿ Êðàñ- íîé Àðìèè ßíâàðü 1942 ã. — îáùåå íà- ñòóïëåíèå Êðàñíîé Àðìèè Àïðåëü 1942 ã. — çàâåðøå- íèå Ìîñêîâñêîãî ñðàæåíèÿ, îñâîáîæäåíèå Ìîñêîâñêîé è Òóëüñêîé îáëàñòåé Çíà÷åíèå ïîáåäû l Ñðûâ áëèöêðèãà l Ïåðâîå êðóïíîå ïîðàæå- íèå Ãåðìàíèè âî Âòîðîé ìèðîâîé âîéíå l È ïåðâàÿ ïîáåäà, ñïî- ñîáñòâîâàâøàÿ óêðåïëå- íèþ ìîðàëüíî-ïñèõîëî- ãè÷åñêîãî íàñòðîÿ ñîâåò- ñêèõ ëþäåé
  • 248.
    ÊÎÐÅÍÍÎÉ ÏÅÐÅËÎÌ ÂÕÎÄÅ ÂÎÉÍÛ Âåëèêàÿ Îòå÷åñòâåííàÿ âîéíà (1941—1945 ãã.) 245 Ñòàëèíãðàäñêàÿ áèòâà (17.07.1942 ã. — 2.02.1943 ã.) Êóðñêàÿ áèòâà (5.07—23.08.1943 ã.) l Èþëü 1942 ã. — ñîçäàíèå Ñòàëèíãðàäñêîãî ôðîíòà l Àâãóñò — ñåíòÿáðü 1942 ã. — áîè íà ïîäñòóïàõ è â ñàìîì ãîðîäå l 19—20 íîÿáðÿ 1942 ã. — íàñòóïëåíèå Êðàñíîé Àð- ìèè ñèëàìè Þãî-Çàïàäíî- ãî, Äîíñêîãî, Ñòàëèíãðàä- ñêîãî ôðîíòîâ l 23 íîÿáðÿ 1942 ã. — îêðó- æåíèå 22 íåìåöêèõ äèâè- çèé (330 òûñ. ÷åë.) â ðàé- îíå ã. Êàëà÷ l 10 ÿíâàðÿ — 2 ôåâðàëÿ 1943 ã. — ëèêâèäàöèÿ îê- ðóæåííîé ãðóïïèðîâêè ïîä Ñòàëèíãðàäîì l Îáîðîíèòåëüíûå áîè íà Êóðñêîé äóãå, à çàòåì ïå- ðåõîä Êðàñíîé Àðìèè â íàñòóïëåíèå (12—15 èþëÿ 1943 ã.) l 12 èþëÿ 1943 ã. — êðóï- íåéøåå òàíêîâîå ñðàæåíèå âî Âòîðîé ìèðîâîé âîéíå ïîä Ïðîõîðîâêîé — 1200 òàíêîâ ñ îáåèõ ñòîðîí l Îñâîáîæäåíèå ã. Îðëà è ã. Áåëãîðîäà (5 àâãóñòà 1943 ã.). Ïåðâûé ñàëþò â Ìîñêâå l Îñâîáîæäåíèå ã. Õàðüêîâà (23 àâãóñòà 1943 ã.) Ñðàæåíèå çà Äíåïð è îñâîáîæäåíèå Ëåâîáåðåæíîé Óêðàèíû (25.08. —22.12.1943 ã.) Âîåííûå îïåðàöèè l ×åðíèãîâñêî-Ïðèïÿòñêàÿ l Êèåâñêàÿ l Äîíáàññêàÿ Çíà÷åíèå êîðåííîãî ïåðåëîìà — ïåðåõîä ñòðàòåãè÷åñêîé âîåííîé èíèöèàòèâû ê Êðàñíîé Àðìèè
  • 249.
    Ïàðòèçàíñêîå äâèæåíèå ÏÀÐÒÈÇÀÍÑÊÎÅ ÄÂÈÆÅÍÈÅ Ïàðòèçàíñêîåäâèæåíèå — âîîðóæåííàÿ áîðüáà ïðîòèâ íåìåö- êî-ôàøèñòñêèõ çàõâàò÷èêîâ íà âðå- ìåííî îêêóïèðîâàííûõ òåððèòîðèÿõ 246 Îòå÷åñòâåííàÿ èñòîðèÿ â ñõåìàõ è òàáëèöàõ Öåíòðàëüíûé øòàá ïàð- òèçàíñêîãî äâèæåíèÿ ñîçäàí 30 ìàÿ 1942 ã. Äåéñòâîâàë äî 13 ìàÿ 1944 ã. Ðóêîâîäñòâî, êîîðäèíàöèÿ, ñíàáæåíèå Ôîðìû áîðüáû Ðåéäû ïî òûëàì ïðîòèâíèêà Äèâåðñèè íà êîììóíèêàöèÿõ Ñîçäàíèå ïàðòèçàíñêèõ êðàåâ Âî âðåìÿ âîéíû â òûëó âðàãà äåéñòâîâàëî ñâûøå 6200 ïàðòèçàíñêèõ îòðÿäîâ è ïîäïîëüíûõ ãðóïï, â êîòîðûõ ñðàæàëèñü áîëåå 1 ìëí ÷åëîâåê Ñ âåñíû 1943 ã. äåéñòâèÿ ïàðòèçàí ñòàëè êîîðäèíèðî- âàòüñÿ ñ íàñòóïàòåëüíûìè îïåðàöèÿìè Êðàñíîé Àðìèè Íàèáîëåå èçâåñòíûå êîìàíäèðû ïàðòèçàíñêèõ ñîåäèíåíèé: l Ñ.À. Êîâïàê l À.Í. Ñàáóðîâ l À.Ô. Ôåäîðîâ l Ï.Ï. Âåðøèãîðà l Ä.Í. Ìåäâåäåâ
  • 250.
    ÒÛË Â ÏÅÐÈÎÄÂÎÉÍÛ Âåëèêàÿ Îòå÷åñòâåííàÿ âîéíà (1941—1945 ãã.) 247 ×ðåçâû÷àéíûå ìåðû Òðóäîâîé ãåðîèçì íàðîäà l Ýâàêóàöèÿ íà âîñòîê ïðîìûøëåííîñòè l Ââåäåíèå îáÿçàòåëüíûõ ñâåðõóðî÷íûõ ðàáîò, 11-÷àñîâîãî ðàáî÷åãî äíÿ, îòìåíà îòïóñêîâ l Òðóäîâàÿ ìîáèëèçàöèÿ ïðèðàâíåíà ê âîåííîé l Ïðèêðåïëåíèå ðàáîòíèêîâ ê ïðåäïðèÿòèÿì l Óæåñòî÷åíèå ñàíêöèé çà íàðóøåíèÿ òðóäîâîé äèñöèïëèíû l Äâèæåíèå ñêîðîñòíèêîâ (çà âûïîëíåíèå 2—3 íîðì) è çà îâëàäåíèå ñìåæíûìè ïðîôåññèÿìè Ê êîíöó 1942 ã. óäàëîñü ïðåâçîéòè óòðà÷åííûå âîåííûå ìîùíîñòè è áåñïåðåáîéíî ñíàáæàòü àðìèþ  èòîãå «Âñå äëÿ ôðîíòà, âñå äëÿ ïîáåäû!»
  • 251.
    Îñâîáîæäåíèå îòå÷åñòâåííûõ òåððèòîðèéâ 1944 ã. ÎÑÂÎÁÎÆÄÅÍÈÅ ÎÒÅ×ÅÑÒÂÅÍÍÛÕ ÒÅÐÐÈÒÎÐÈÉ Â 1944 ã. Âîåííàÿ îïåðàöèÿ Äàòà Ñíÿòèå áëîêàäû Ëåíèíãðàäà 14—27 ÿíâàðÿ Êîðñóíü-Øåâ÷åíêîâñêàÿ 24 ÿíâàðÿ — 17 ôåâðàëÿ Îñâîáîæäåíèå Êðûìà 8 àïðåëÿ — 9 ìàÿ Íàñòóïëåíèå â Êàðåëèè è âûâîä èç âîéíû Ôèíëÿíäèè 10 èþíÿ — 19 ñåíòÿáðÿ Îïåðàöèÿ «Áàãðàòèîí» — îñâîáî- æäåíèå Áåëîðóññèè 23 èþíÿ — 19 ñåíòÿáðÿ Ëüâîâñêî-Ñàíäîìèðñêàÿ 23 èþíÿ — 29 àâãóñòà ßññêî-Êèøèíåâñêàÿ 20—29 àâãóñòà Îñâîáîæäåíèå Ïðèáàëòèêè 14 ñåíòÿáðÿ — 24 íîÿáðÿ Îñâîáîæäåíèå Çàïîëÿðüÿ (Ïåòåà- ìî-Êèðêåíåññêàÿ îïåðàöèÿ) 7—29 îêòÿáðÿ ÍÀ×ÀËÎ ÎÑÂÎÁÎÆÄÅÍÈß ÅÂÐÎÏÅÉÑÊÈÕ ÑÒÐÀÍ Áîëãàðèÿ Ðóìûíèÿ Þãîñëàâèÿ — îêòÿáðü Âåíãðèÿ — îêòÿáðü 1944 ã. — ôåâðàëü 1945 ã. 248 Îòå÷åñòâåííàÿ èñòîðèÿ â ñõåìàõ è òàáëèöàõ ñåíòÿáðü ⎫ ⎬ ⎭
  • 252.
    ÇÀÂÅÐØÀÞÙÈÉ ÝÒÀÏ È ÐÀÇÃÐÎÌÔÀØÈÑÒÑÊÎÉ ÃÅÐÌÀÍÈÈ Âèñëî-Îäåðñêàÿ âîåííàÿ îïåðàöèÿ 12 ÿíâàðÿ — 3 ôåâðàëÿ 1945 ã. Îñâîáîæäåíèå Ïîëüøè è ïåðåíîñ âîåííûõ äåéñòâèé íà òåððèòîðèþ Ãåðìàíèè Øòóðì Áåðëèíà 16 àïðåëÿ — 2 ìàÿ 1945 ã. Ïîäïèñàíèå àêòà î áåçîãîâîðî÷íîé êàïèòóëÿöèè Ãåðìàíèè 8 ìàÿ 1945 ã. ÑÎÇÄÀÍÈÅ ÀÍÒÈÃÈÒËÅÐÎÂÑÊÎÉ ÊÎÀËÈÖÈÈ ÎÑÍÎÂÍÛÅ ÝÒÀÏÛ Ñîâåòñêî-àíãëèéñêîå ñîãëàøåíèå î ñîâìåñòíûõ äåéñòâèÿõ â âîéíå ïðîòèâ Ãåðìàíèè (12 èþëÿ 1941 ã. Ìîñêâà) Ìîñêîâñêàÿ êîíôåðåíöèÿ ìèíèñòðîâ èíîñòðàííûõ äåë ÑÑÑÐ, Àíãëèè è ÑØÀ (29 ñåíòÿáðÿ — 1 îêòÿáðÿ 1941 ã.) Íà÷àëî âîåííûõ ïîñòàâîê â ÑÑÑÐ ïî ëåíä-ëèçó èç ÑØÀ Ïîäïèñàíèå Âàøèíãòîíñêîé äåêëàðàöèè 26 ãîñóäàðñòâ î öåëÿõ âîéíû ïðîòèâ ôàøèçìà (1 ÿíâàðÿ 1942 ã.) Ñîâåòñêî-àíãëèéñêèé äîãîâîð î ñîþçå â âîéíå ïðîòèâ Ãåðìàíèè (26 ìàÿ 1942 ã. Ëîíäîí) Ñîâåòñêî-àìåðèêàíñêîå ñîãëàøåíèå î ïðèíöèïàõ âçàèìíîé ïîìîùè â âåäå- íèè âîéíû ïðîòèâ àãðåññèè (11 èþíÿ 1942 ã. Âàøèíãòîí) Ñîâåòñêî-ôðàíöóçñêèé äîãîâîð î ñîþçå è âçàèìíîé ïîìîùè (10 äåêàáðÿ 1944 ã. Ìîñêâà) Âåëèêàÿ Îòå÷åñòâåííàÿ âîéíà (1941—1945 ãã.) 249 Íàðîäíîå âîñ- ñòàíèå â Ïðàãå Òàíêîâûé ðåéä ñîâåòñêèõ âîéñê 5—9 ìàÿ 1945 ã. Îñâîáîæäåíèå ×åõîñëîâàêèè
  • 253.
    ÌÅÆÄÓÍÀÐÎÄÍÛÅ ÊÎÍÔÅÐÅÍÖÈÈ ÃËÀ ÄÅÐÆÀÂÑÑÑÐ, ÂÅËÈÊÎÁÐÈÒÀÍÈÈ È ÑØÀ Òåãåðàíñêàÿ êîíôåðåíöèÿ 28.11— 01.12.1943 ã. Ñòàëèí, ×åð÷èëëü, Ðóçâåëüò Îñíîâíûå ðåøåíèÿ Ïðèíÿòà äåêëàðàöèÿ î ñîâìåñòíûõ äåéñòâèÿõ â âîé- íå ïðîòèâ Ãåðìàíèè Ðåøåí âîïðîñ îá îòêðûòèè âòîðîãî ôðîíòà â Åâðîïå â òå÷åíèå ìàÿ 1944 ã. Îáñóæäåí âîïðîñ î ïîñëåâîåííûõ ãðàíèöàõ Ïîëüøè Ãîòîâíîñòü ÑÑÑÐ âñòóïèòü â âîéíó ñ ßïîíèåé ïîñëå ðàçãðîìà Ãåðìàíèè Êðûìñêàÿ (ßëòèíñêàÿ) êîíôåðåíöèÿ 04—11.02.1945 ã. Ñòàëèí, ×åð÷èëëü, Ðóçâåëüò Ñîãëàñîâàíû ïëàíû ðàçãðîìà è óñëîâèé áåçîãîâî- ðî÷íîé êàïèòóëÿöèè Ãåðìàíèè Íàìå÷åíû îñíîâíûå ïðèíöèïû îáùåé ïîëèòèêè â îòíîøåíèè ïîñëåâîåííîé îðãàíèçàöèè ìèðà Ïðèíÿòû ðåøåíèÿ î ñîçäàíèè â Ãåðìàíèè çîí îêêó- ïàöèè, îáùåãåðìàíñêîãî êîíòðîëüíîãî îðãàíà è î âçûñêàíèè ðåïàðàöèé Ðåøåíî ñîçäàòü Ó÷ðåäèòåëüíóþ êîíôåðåíöèþ ïî âûðàáîòêå Óñòàâà ÎÎÍ Ðåøåí âîïðîñ î âîñòî÷íûõ ãðàíèöàõ Ïîëüøè ÑÑÑÐ ïîäòâåðäèë ñîãëàñèå âñòóïèòü â âîéíó ñ ßïîíèåé ÷åðåç 3 ìåñÿöà ïîñëå êàïèòóëÿöèè Ãåðìàíèè 4 Ä = 1. Äåíàöèôèêàöèÿ 2. Äåìîêðàòèçàöèÿ 3. Äåìèëèòàðèçàöèÿ 4. Äåìîíîïîëèçàöèÿ Áåðëèíñêàÿ (Ïîòñäàìñêàÿ) êîíôåðåíöèÿ 17.07—02.08.1945 Ñòàëèí, Òðóìýí, ×åð÷èëëü — Ýòòëè Îáñóæäåíû îñíîâíûå ïðîáëåìû ïîñëåâîåííîãî óñò- ðîéñòâà ìèðà Ïðèíÿòî ðåøåíèå î ñèñòåìå ÷åòûðåõñòîðîííåé îê- êóïàöèè Ãåðìàíèè è îá óïðàâëåíèè Áåðëèíîì Ñîçäàí Ìåæäóíàðîäíûé âîåííûé òðèáóíàë äëÿ ñóäà íàä ãëàâíûìè íàöèñòñêèìè âîåííûìè ïðåñòóïíèêàìè Ðåøåí âîïðîñ î çàïàäíûõ ãðàíèöàõ Ïîëüøè Ïåðåäà÷à ÑÑÑÐ áûâøåé Âîñòî÷íîé Ïðóññèè ñ ã. Êåíèãñáåðãîì Ðåøåí âîïðîñ î ðåïàðàöèÿõ è óíè÷òîæåíèè ãåðìàíñêèõ ìîíîïîëèé 250 Îòå÷åñòâåííàÿ èñòîðèÿ â ñõåìàõ è òàáëèöàõ
  • 254.
    ÏÎÁÅÄÀ Ïîáåäà Âåëèêàÿ Îòå÷åñòâåííàÿ âîéíà(1941—1945 ãã.) 251 Èñòî÷íèêè Èòîãè Ìàññîâûé ãåðîèçì è ñàìîîòâåðæåííîñòü ëþäåé Åäèíñòâî ôðîíòà è òûëà Óñïåõè ïàðòèçàíñêîãî äâèæåíèÿ Âîçðîñøåå âîåííîå èñêóññòâî ïîëêîâîäöåâ Ðàçãðîì ôàøèçìà Óêðåïëåíèå ìåæäóíàðîäíîãî àâòîðèòåòà ÑÑÑÐ Ðàñøèðåíèå ãðàíèö ñòðàíû Íà÷àëî ñîçäàíèÿ ìèðîâîé ñèñòåìû ñîöèàëèçìà ÖÅÍÀ ÏÎÁÅÄÛ ÑÎÂÅÒÑÊÎÃÎ ÍÀÐÎÄÀ  ÂÎÉÍÅ Ïîòåðè â Âåëèêîé Îòå÷åñòâåííîé âîéíå 27 ìëí ÷åë. 1946 ã. È.Â. Ñòàëèí — 7 ìëí ÷åë. 1956 ã. Í.Ñ. Õðóùåâ — 20 ìëí ÷åë. 1985 ã. Ì.Ñ. Ãîðáà÷åâ — 27 ìëí ÷åë. 1995 ã. Á.Í. Åëüöèí — 26,6 ìëí ÷åë. 14ìëí÷åë. ïîòåðèâáîåâûõ äåéñòâèÿõ 13ìëí÷åë. ìèðíûåæèòåëè Âîåííûå ïîòåðè Ãåðìàíèè — 6,7 ìëí ÷åë. Ñîîòíîøåíèå ïîãèáøèõ: 1 : 2 ãåðìàíñêèé ñîëäàò ðóññêèõ ñîëäàòà Ïóòü ê ïðàâäèâûì öèôðàì
  • 255.
    ÏÎÑËÅÂÎÅÍÍÎÅ ÐÀÇÂÈÒÈÅ ÑÒÐÀÍÛ (1945—1953ãã.) Ïîñëåâîåííîå ðàçâèòèå ñòðàíû (1945—1953 ãã.)ÂÎÑÑÒÀÍÎÂËÅÍÈÅ È ÐÀÇÂÈÒÈÅ ÍÀÐÎÄÍÎÃÎ ÕÎÇßÉÑÒÂÀ Âîññòàíîâëåíèå è ðàçâèòèå íàðîäíîãî õîçÿéñòâà 252 Îòå÷åñòâåííàÿ èñòîðèÿ â ñõåìàõ è òàáëèöàõ Âîññòàíîâëåíèå ðàçðóøåííîãî õîçÿéñòâà Èäåîëîãè÷åñêîå çàêðåïîùåíèå îáùåñòâåííîãî ñîçíàíèÿ Òðóäîâîé ãåðîèçì íàðîäà Òðóäíîñòè è ëèøåíèÿ íàñåëåíèÿ Âåðà â ñâåòëîå áóäóùåå Êóðñ íà êîì- ìóíèñòè÷å- ñêîå ñòðîè- òåëüñòâî Ïàðòèéíî-ãî- ñóäàðñòâåí- íîå äàâëåíèå íà òâîð÷å- ñêóþ èíòåë- ëèãåíöèþ ÀÏÎÃÅÉ ÑÒÀËÈÍÈÇÌÀ 1945—1953 ãã. Óêðåïëåíèå àäìèíèñòðàòèâíî- êîìàíäíîé ñèñòåìû è òîòàëèòàðíî- áþðîêðàòè÷åñêîé ñòðóêòóðû âëàñòè Íîâûé âèòîê ðåïðåññèé â ñòðàíå: l ÃÓËÀà äëÿ âîåííîïëåííûõ l «Ëåíèíãðàäñêîå äåëî» l «Äåëî âðà÷åé» Îáîñòðåíèå ìåæäóíàðîäíûõ îòíîøåíèé è íà÷àëî «õîëîäíîé âîéíû» Ñîçäàíèå ñîöèàëèñòè÷åñêîãî ëàãåðÿ è áîðüáà äâóõ îáùåñòâåííî-ïîëèòè÷åñêèõ ñèñòåì
  • 256.
    Ïîñëåâîåííîå ðàçâèòèå ñòðàíû(1945—1953 ãã.) 253 IV ïÿòèëåòíèé ïëàí (1946—1950) Ïëàí âîññòàíîâëåíèÿ è ðàçâèòèÿ ýêîíîìèêè ÑÑÑÐ l Âîññòàíîâëåíî è ïîñòðîåíî 6200 ïðîìûøëåí- íûõ ïðåäïðèÿòèé l Äîâîåííûé óðîâåíü ïðîìûøëåííîãî ïðîèç- âîäñòâà äîñòèãíóò â 1948 ã. l Àêöåíò íà ïðèðîñò ïîêàçàòåëåé ïî ïðîèçâîä- ñòâó ìåòàëëà, òîïëèâà è ïðîìûøëåííîãî ñû- ðüÿ â óùåðá ïðîèçâîäñòâó òîâàðîâ íàðîäíîãî ïîòðåáëåíèÿ l Äåíåæíàÿ ðåôîðìà è îòìåíà êàðòî÷íîé ñèñ- òåìû (äåêàáðü 1947 ã.) Íàèáîëåå êðóïíûå ïðîìûøëåííûå îáúåêòû Âîññòàíîâëåíû Ïîñòðîåíû l Äíåïðîãýñ l «Çàïîðîæñòàëü» l Äîíåöêèé óãîëüíûé áàññåéí l «Àçîâñòàëü» è äð. l Êîëîìåíñêèé çàâîä òÿæåëîãî ìàøèíî- ñòðîåíèÿ l Êàëóæñêèé òóðáèí- íûé çàâîä l Ãàçîïðîâîä Ñàðà- òîâ — Ìîñêâà Ñåðüåçíîå îòñòàâàíèå ñåëüñêîãî õîçÿéñòâà Äîâîåííûé óðîâåíü ñåëüñêîõî- çÿéñòâåííîãî ïðîèçâîäñòâà äîñ- òèãíóò òîëüêî â íà÷àëå 50-õ ãã.
  • 257.
    ÍÎÂÛÉ ÂÈÒÎÊ ÏÎËÈÒÈ×ÅÑÊÈÕÐÅÏÐÅÑÑÈÉ 254 Îòå÷åñòâåííàÿ èñòîðèÿ â ñõåìàõ è òàáëèöàõ Ïðè÷èíû l Îòêàç îò äîïóùåíèé áîëü- øåé ñòåïåíè ñâîáîäû â íåêî- òîðûõ ñôåðàõ îáùåñòâåííîé æèçíè, ñâÿçàííûõ ñ ïîáåäîé ñîâåòñêîãî íàðîäà â Âåëèêîé Îòå÷åñòâåííîé âîéíå l Ðåïðåññèè êàê îïðàâäà- íèå íåóäà÷ â ïîñëåâî- åííîì âîññòàíîâëåíèè è ñ öåëüþ íàãíåòàíèÿ â ñòðàíå àòìîñôåðû âñå- îáùåãî ñòðàõà l Ðåïðåññèè êàê îòðàæåíèå áîðü- áû çà âëàñòü â ïîëèòè÷åñêîì ðóêîâîäñòâå l Ðåïðåññèè ïî îòíîøåíèþ ê ðåïàòðèèðîâàííûì âîåííîïëåííûì (1945—1946) l Ôàáðèêàöèÿ òàê íàçûâàåìîãî «Ëåíèíãðàäñêîãî äåëà», â ðåçóëüòàòå êîòîðîãî áûëè ðåïðåññèðîâàíû âèäíûå ãîñóäàðñòâåííûå è ïàðòèéíûå ðàáîòíèêè (Í.À. Âîçíåñåíñêèé, À.À. Êóçíåöîâ, Ï.Ñ. Ïîïêîâ, Ì.È. Ðîäèîíîâ è äð., 1949—1950 ãã.) l Êàìïàíèÿ ïîä âèäîì áîðüáû ñ «áåçðîäíûì êîñìîïîëèòèçìîì» ïðèâåëà ê àðåñòàì è îñóæäåíèþ åâðåéñêîé èíòåëëèãåíöèè (Ñ. Ëîçîâñêèé, Á. Øèìåëèàíîâè÷, Ë. Êâèòêî, Ï. Æåì÷óæèíà è äð.) l «Äåëî âðà÷åé» (ÿíâàðü 1953 ã.), îáâèíåííûõ â ñîçäàíèè òåððîðèñòè÷åñêîé ãðóïïû è ïðè÷àñòíîñòè ê èíîñòðàííûì ðàçâåäêàì
  • 258.
    ÌÅÆÄÓÍÀÐÎÄÍÎÅ ÏÎËÎÆÅÍÈÅ ÈÂÍÅØÍßß ÏÎËÈÒÈÊÀ ÑÑÑÐ Â 1945—1953 ãã. Ìåæäóíàðîäíîå ïîëîæåíèå è âíåøíÿÿ ïîëèòèêà ÑÑÑÐ Ïîñëåâîåííîå ðàçâèòèå ñòðàíû (1945—1953 ãã.) 255 Íîâàÿ ðàññòàíîâêà ñèë íà ìåæäóíàðîäíîé àðåíå Ðàçíîãëàñèÿ ñ çàïàäíû- ìè ãîñóäàðñòâàìè Ðàñøèðåíèå âëèÿíèÿ ÑÑÑÐ â ìèðå (Âîñòî÷íàÿ Åâðîïà, Êèòàé) Ðàçäåëåíèå ìèðà íà äâå ïðîòèâîáîðñòâóþùèå ñèñòåìû: êàïèòàëèçì è ñîöèàëèçì Îáðàçîâàíèå ÎÎÍ (îêòÿáðü 1945 ã.) Ñîçäàíèå ÑÝ (ÿíâàðü 1949 ã.) Ñîçäàíèå Êîìèíôîðìà (îáúåäèíåíèå êîììóíè- ñòè÷åñêèõ è ðàáî÷èõ ïàðòèé) ïîä ðóêîâîä- ñòâîì ÑÑÑÐ, ñåíòÿáðü 1948 ã. Îáîñòðåíèå è ðàçðûâ îò- íîøåíèé ìåæäó ÑÑÑÐ è Þãîñëàâèåé ïðèâîäÿò ê «õîëîäíîé âîéíå»
  • 259.
    «ÕÎËÎÄÍÀß ÂÎÉÍÀ» — ýòîñîñòîÿíèå ýêîíîìè÷åñêîé, èäåîëîãè÷åñêîé è «ïîëóâîåííîé» êîíôðîíòàöèè ìåæäó äâóìÿ ñèñòå- ìàìè (ñîöèàëèçìîì è êàïèòàëèçìîì) 256 Îòå÷åñòâåííàÿ èñòîðèÿ â ñõåìàõ è òàáëèöàõ ÑÑÑÐ è ñîöèàëèñòè÷åñêèå ñòðàíû ÑØÀ è ñòðàíû Çàïàäà «Îáðàç âðàãà» Ìàíèôåñò ïðîòèâîñòîÿíèÿ Ðå÷ü Ó. ×åð÷èëëÿ «Ìóñêóëû ìèðà» (5 ìàðòà 1946 ã., ã. Ôóëòîí, ÑØÀ), â êîòîðîé îí ïðèçâàë çàïàäíûå ñòðàíû áîðîòüñÿ ñ «ýêñïàíñèåé òîòàëèòàðíîãî êîììóíèçìà» Ñîçäàíèå Îðãàíèçàöèè Âàðøàâñêîãî äîãîâîðà (1955) Ñîçäàíèå ñîâåòñêîé àòîìíîé áîìáû (1949) Ñîçäàíèå ÍÀÒÎ (1949) Ïëàíû àòîìíûõ áîìáàðäèðîâîê ÑÑÑÐ Ðàñêîë Ãåðìàíèè íà äâà ãîñóäàðñòâà: ÔÐà è ÃÄÐ (1949) Âîéíà â Êîðåå (1950—1953)
  • 260.
    ÓÑÈËÅÍÈÅ ÊÎÍÒÐÎËß ÍÀÄ ÄÓÕÎÂÍÎÉÆÈÇÍÜÞ ÎÁÙÅÑÒÂÀ Óñèëåíèå êîíòðîëÿ íàä äóõîâíîé æèçíüþ îáùåñòâà À.À. Æäàíîâ (äî 1948 ã.) Ïîñëåâîåííîå ðàçâèòèå ñòðàíû (1945—1953 ãã.) 257 Âñåîáùèé êîíòðîëü çà èíòåëëåêòóàëüíîé äåÿòåëüíîñòüþ Äîãìàòè÷åñêîå äàâëåíèå ïàðòèéíîé èäåîëîãèè íà âñå ñòîðîíû äóõîâíîé æèçíè îáùåñòâàÌ.À. Ñóñëîâ 14 àâãóñòà 1946 ã. — ïîñòàíîâëåíèå ÖÊ ÂÊÏ(á) «Î æóðíàëàõ «Çâåçäà» è «Ëåíèíãðàä». Çàïðåò íà ïóáëèêàöèþ ïðîèçâåäåíèé À. Àõìàòîâîé è Ì. Çîùåíêî 4 ñåíòÿáðÿ 1946 ã. — çàïðåòû íà êèíîôèëüìû Ë. Ëóêîâà «Áîëüøàÿ æèçíü» è Ñ. Ýéçåíøòåéíà «Èâàí Ãðîçíûé» (÷. II) 10 ôåâðàëÿ 1948 ã. — ïîñòàíîâëåíèå ÖÊ ÂÊÏ(á) «Îá óïàäíè÷åñêèõ ÿâëåíèÿõ â ñîâåòñêîé ìóçûêå». Êðèòèêà êîìïîçèòîðîâ Ä.Ä. Øîñòàêîâè÷à, Ñ.Ñ. Ïðîêîôüåâà è äð. Àâãóñò 1948 ã. — çàïðåò ãåíåòèêè. Çàñèëüå Ò.Ä. Ëûñåíêî â ñåëüñêîõîçÿéñòâåííîé è áèîëîãè÷åñêîé íàóêå. Ðàçðûâ ñ ìèðîâîé íàóêîé 1949 ã. — øèðîêàÿ êàìïàíèÿ ïî «ðàçîáëà÷åíèþ» «êîñìîïîëèòèçìà» â íàóêå è êóëüòóðå 1951—1952 ã. — êàìïàíèÿ ïðîòèâ íàöèîíàëüíûõ ýïîñîâ ìóñóëüìàíñêèõ íàðîäîâ
  • 261.
    ÑÑÑÐ Â 1953—1964ãã. ÑÑÑÐ â 1953—1964 ãã. 258 Îòå÷åñòâåííàÿ èñòîðèÿ â ñõåìàõ è òàáëèöàõ ÐÅÔÎÐÌÀÒÎÐÑÊÈÅ ÏÎÏÛÒÊÈ Â ÐÀÌÊÀÕ ÊÎÌÀÍÄÍÎ-ÀÄÌÈÍÈÑÒÐÀÒÈÂÍÎÉ ÑÈÑÒÅÌÛ Ðåôîðìû óïðàâëåíèÿ íàðîäíûì õîçÿéñòâîì Ýêîíîìè÷åñêèå «ïðîáóêñîâêè» è ìèô î ñâåòëîì êîììóíèñòè÷åñêîì áóäóùåì Ìåðû ïî óëó÷øåíèþ æèçíè ñîâåòñêèõ ëþäåé Ïîâûøåíèå ðîçíè÷íûõ öåí. Òðàãåäèÿ â Íîâî÷åðêàññêå «Îòòåïåëü» â êóëüòóðíîé æèçíè Óñèëåíèå êîíòðîëÿ ñî ñòîðîíû ïàðòèé- íîãî àïïàðàòà çà äåÿòåëüíîñòüþ òâîð÷åñêîé èíòåëëèãåíöèè Íîâûå ðåàëüíîñòè âíåøíåé ïîëèòèêè. Ìèðíîå ñîñóùåñòâîâàíèå è ðàñøèðåíèå ñîòðóäíè÷åñòâà ñ çàðóáåæíûìè ñòðàíàìè Ãîíêà âîîðóæåíèé. Ââîä âîéñê ñòðàí Âàðøàâñêîãî äîãîâîðà â Âåíãðèþ. Êàðèáñêèé êðèçèñ Íåïîñëåäîâàòåëüíûé è ïðîòèâîðå÷èâûé õàðàêòåð ïðåîáðàçîâàíèé ÐÀÇÎÁËÀ×ÅÍÈÅ ÊÓËÜÒÀ ËÈ×ÍÎÑÒÈ ÑÒÀËÈÍÀ È ÍÀ×ÀËÎ ÎÁÍÎÂËÅÍÈß ÂÎ ÂÑÅÕ ÑÔÅÐÀÕ ÎÁÙÅÑÒÂÅÍÍÎÉ ÆÈÇÍÈ. «ÎÒÒÅÏÅËÜ»
  • 262.
    ÁÎÐÜÁÀ ÇÀ ÂËÀÑÒÜ ÏÎÑËÅÑÌÅÐÒÈ ÑÒÀËÈÍÀ Áîðüáà çà âëàñòü ïîñëå ñìåðòè Ñòàëèíà Ñìåðòü Ñòàëèíà 5 ìàðòà 1953 ã. ÑÑÑÐ â 1953—1964 ãã. 259 Ë.Ï. Áåðèÿ ïåðâûé çàì. ïðåä- ñîâìèíà, âíîâü âîçãëàâèë ÌÂÄ Ã.Ì. Ìàëåíêîâ Ïðåäñåäàòåëü Ñîâåòà Ìèíèñòðîâ ÑÑÑÐ Í.Ñ. Õðóùåâ ñåêðåòàðü ÖÊ ÊÏÑÑ, ðóêîâîäñòâî âñåìè ïàðòèéíûìè äåëàìè Àêòèâíîñòü, íàïðàâëåííàÿ íà ñìÿã÷åíèå ðåæèìà: l Ðåàáèëèòàöèÿ ïî «äåëó âðà÷åé» l Èíèöèàòîð ìàññîâîé àì- íèñòèè l Ñòðåìëåíèå îãðàíè÷èòü âìåøàòåëüñòâî ïàðòèé- íûõ îðãàíîâ â õîç. äåëà Ýòî èñòîëêîâû- âàëîñü êàê ñòðåìëåíèå ê çà- õâàòó âëàñòè Îáúåäèíåíèå ñ öåëüþ óñòðàíåíèÿ Áåðèè Àðåñò 26 èþíÿ 1953 ã., ñóä, ðàññòðåë Ã.Ì. Ìàëåíêîâ 8 ôåâðàëÿ 1955 ã. — îòñòàâêà Í.Ñ. Õðóùåâ Ðàçãðîì ïðîòèâíèêîâ è óïðî÷åíèå ïîçèöèé Èþíü 1957 ã. — ïîïûòêà ïðîòèâíèêîâ Õðóùåâà (Ìîëîòîâ, Êàãàíîâè÷, Ìàëåíêîâ) îòñòðàíèòü åãî îò âëàñòè íà ïëåíóìå ÖÊ ÊÏÑÑ Ðàçíîãëàñèÿ ïî ýêîíîìè÷åñêèì è ñîöèàëüíî- ïîëèòè÷åñêèì âîïðîñàì Ñ 13 ñåíòÿáðÿ 1953 ã. Ïåðâûé ñåêðåòàðü ÖÊ ÊÏÑÑ Ñ 27 ìàðòà 1958 ã. Ïðåäñåäàòåëü Ñîâåòà Ìèíèñòðîâ ÑÑÑÐ Áîðüáà Ðàññòàíîâêà ñèë â ðóêîâîäñòâå ñòðàíîé
  • 263.
    ÐÀÇÎÁËÀ×ÅÍÈÅ ÊÓËÜÒÀ ËÈ×ÍÎÑÒÈ 260Îòå÷åñòâåííàÿ èñòîðèÿ â ñõåìàõ è òàáëèöàõ Ïîáåäà â âîéíå íå ïðèíåñëà ñâîáîäû è óëó÷øåíèÿ æèçíè Ñìåðòü Ñòàëèíà îñëàáèëà ñòðàõ ïåðåä ãîñóäàðñòâîì è ðå- ïðåññèÿìè Âîññòàíèÿ â ñèñòåìå ÃÓËÀÃà â 1953—1956 ãã. Íàçðåâàíèå ñîöèàëüíîãî ïðîòåñòà â îáùåñòâå Îñóæäåíèå êóëüòà êàê ñðåäñòâî áîðüáû çà âëàñòü â âûñ- øèõ ýøåëîíàõ âëàñòè Ïðåäïîñûëêè Íåîáõîäèìîñòü ïåðåìåí â îáùåñòâå Ïàðòèéíàÿ îöåíêà 1956 ã. Ñëîæíàÿ ìåæäóíàðîäíàÿ è âíóò- ðåííÿÿ îáñòàíîâêà, òðåáîâàâøàÿ îãðàíè÷åíèÿ äåìîêðàòèè Ëè÷íîñòíûå êà÷åñòâà Ñòàëèíà, ñûãðàâøèå ðåøàþùóþ ðîëü â îð- ãàíèçàöèè ðåïðåññèé è çëîóïîò- ðåáëåíèè âëàñòüþ Ñîâðåìåííàÿ îöåíêà Êðèòèêà êóëüòà, íî íå ñèñòåìû Êóëüò ëè÷íîñòè ÿâ- ëÿåòñÿ íåîáõîäèìûì àòðèáóòîì ñîöèàëè- ñòè÷åñêîé ñèñòåìû Èçâðàùåíèå Ñòàëèíûì èäåàëîâ ñîöèàëèçìà XX ñúåçä ÊÏÑÑ Ôåâðàëü 1956 ã. Ñåêðåòíûé äîêëàä Í.Ñ. Õðóùåâà «Î êóëüòå ëè÷íîñòè è åãî ïîñëåäñòâèÿõ» ðàññòðåëû ìèðíûõ äåìîíñòðàöèé â Òáèëèñè (ìàðò 1956 ã.) è Íîâî÷åðêàññêå (èþíü 1962 ã.) XX ñúåçä ÊÏÑÑ Äîêëàä Í.Ñ. Õðóùåâà î êóëüòå ëè÷íîñòè Ïîñòàíîâëåíèå ÖÊ ÊÏÑÑ îò 30 èþíÿ 1956 ã. «Î ïðåîäîëåíèè êóëüòà ëè÷íîñòè è åãî ïîñëåäñòâèé» Ðåàáèëèòà- öèÿ æåðòâ ìàññîâûõ ïîëèò. ðå- ïðåññèé + Êðèòèêà êóëüòà, íî íå ñèñòåìû Îïðåäåëÿëèñü äîçâîëåííûå ðàìêè êðèòèêè äåÿ- òåëüíîñòè Ñòàëèíà è ñòàëèíùèíû Ïîäàâëåíèå è ðåïðåññèè ïðîòèâ òåõ, êòî â ñâîåé êðèòèêå íå îãðàíè÷èâàëñÿ äîçâîëåííûìè ðàìêàìè ⎫ ⎬ ⎭ Ïðè÷èíû
  • 264.
    ÐÅÔÎÐÌÛ Í.Ñ. ÕÐÓÙÅÂÀ ÂÑÔÅÐÅ ÓÏÐÀÂËÅÍÈß ÏÐÎÌÛØËÅÍÍÎÑÒÜÞ Ðåôîðìû Í.Ñ. Õðóùåâà â ñôåðå óïðàâëåíèÿ ïðîìûøëåííîñòüþ ÑÑÑÐ â 1953—1964 ãã. 261 Äåöåíòðàëèçàöèÿ óïðàâëåíèÿ ýêîíîìèêîé è ïåðåñòðîéêà ðóêîâîäñòâà ïðîìûøëåííîñòüþ ñ îòðàñëåâîãî ïðèíöèïà íà òåððèòîðèàëüíûé Ëèêâèäàöèÿ 10 êðóïíûõ ïðîìûøëåííûõ ìèíèñòåðñòâ è çàìåíà èõ òåððèòîðèàëüíûìè óïðàâëåíèÿìè — ñîâíàðõîçàìè, êîòîðûå ðóêîâîäèëè ïðåäïðèÿòèÿìè íà ìåñòàõ Èçìåíåíèÿ äàëè êðàòêîâðåìåííûé ýôôåêò, à çàòåì ñòàëè ïîÿâëÿòüñÿ îáîñîáëåí÷åñêèå òåíäåíöèè, íàðóøàëàñü åäèíàÿ òåõíè÷åñêàÿ ïîëèòèêà Óêðóïíåíèå ñîâíàðõîçîâ. Ñîçäàíèå Ñîâåòà íàðîäíîãî õîçÿéñòâà ÑÑÑÐ è ñîþçíûõ ðåñïóáëèê, à òàêæå ãîñêîìèòåòîâ ïî îòðàñëÿì ïðîìûøëåííîñòè êàê ïîïûòêà ïðåîäîëåíèÿ íåãàòèâíûõ òåíäåíöèé â ýêîíîìèêå Ðåôîðìà íå ïðèíåñëà êàðäèíàëüíûõ èçìåíåíèé â ýêîíîìèêå, à ëèøü óñèëèëà ïðîìûøëåííî- óïðàâëåí÷åñêóþ íåðàçáåðèõó 1957 ã. 1962 ã. Èòîãè
  • 265.
    ÐÅÔÎÐÌÛ Í.Ñ. ÕÐÓÙÅÂÀ ÂÎÁËÀÑÒÈ ÑÅËÜÑÊÎÃÎ ÕÎÇßÉÑÒÂÀ 262 Îòå÷åñòâåííàÿ èñòîðèÿ â ñõåìàõ è òàáëèöàõ 1953—1958 ãã. 1958—1964 ãã. Îæèâëåíèå ñåëüñêîõîçÿé- ñòâåííîãî ïðîèçâîäñòâà Óñèëåíèå àäìèíèñòðàòèâíî- ãî äàâëåíèÿ íà àãðàðíûé ñåêòîð Ïîâûøåíèå ìàòåðèàëü- íîé çàèíòåðåñîâàííîñòè êîëõîçîâ Ëèêâèäàöèÿ ÌÒÑ è ïðîäàæà òåõíèêè êîëõîçàì (1958) Ñïèñàíèå äîëãîâ è ñíè- æåíèå íàëîãîâîãî áðåìå- íè ñ êîëõîçîâ Óêðóïíåíèå êîëõîçîâ è ñîçäàíèå êðóïíûõ àãðîõîçÿéñòâ Ðàñøèðåíèå õîçÿéñòâåí- íîé ñàìîñòîÿòåëüíîñòè êîëõîçîâ Íåîáîñíîâàííîå ðàñøèðåíèå ïîñåâîâ êóêóðóçû Óêðåïëåíèå ìàòåðèàëüíî- òåõíè÷åñêîé áàçû êîëõî- çîâ Ãîíåíèÿ íà ïîäñîáíûå ëè÷íûå õîçÿéñòâà êîëõîçíèêîâ Îñâîåíèå öåëèíû Íåîáîñíîâàííûå çàäàíèÿ ïî çàãîòîâêå ìÿñà, çíà÷èòåëüíîå ñîêðàùåíèå ïîãîëîâüÿ ñêîòà «ÄîãîíèìèïåðåãîíèìÀìåðèêó» Ïàäåíèå ñåëüñêîõîçÿéñòâåííîãî ïðîèçâîäñòâà Óõóäøåíèå ñíàáæåíèÿ íàñåëåíèÿ ïðîäóêòàìè ïèòàíèÿ Íà÷àëî èìïîðòà çåðíà èç-çà ãðàíèöû
  • 266.
    ÍÀÓÊÀ  1953—1964ãã. Íàóêà â 1953—1964 ãã. ÑÑÑÐ â 1953—1964 ãã. 263 Äîñòèæåíèÿ íàó÷íî- òåõíè÷åñêîé ðåâîëþöèè Îñîáåííîñòè Ðàçâèòèå ïðåèìóùåñòâåííî â ðàìêàõ âîåííî-ïðîìûøëåííîãî êîìïëåêñà Îñâîåíèå êîñìîñà Àòîìíàÿ ýíåðãèÿ Ïåðâûé èñêóññòâåí- íûé ñïóò- íèê Çåìëè (4.10.1957) Íà÷àëî ïîëåòîâ â êîñìîñ — Þ. Ãàãàðèí (12.04.1961) Ïåðâàÿ â ìè- ðå àòîìíàÿ ýëåêòðîñòàí- öèÿ â Îáíèí- ñêå (1954) Àòîìíûé ëåäîêîë «Ëåíèí» (1959) Ðàçâèòèå õèìè÷åñêîé ïðîìûøëåííîñòè Èñïûòàíèå âîäîðîäíîé áîìáû (1953) Ðàñøèðåíèå ñåòè ÍÈÈ. Ñîçäàíèå Ñèáèðñêîãî ôèëèàëà ÀÍ ÑÑÑÐ
  • 267.
    ÐÅÔÎÐÌÀ  ÑÔÅÐÅÎÁÐÀÇÎÂÀÍÈß 1958 ã. 264 Îòå÷åñòâåííàÿ èñòîðèÿ â ñõåìàõ è òàáëèöàõ Óêðåïëåíèå ñâÿçè øêîëû è ïðîèçâîäñòâà l Îòêàç îò îáÿçàòåëüíîãî ñåìè- ëåòíåãî è ïîëíîãî äåñÿòèëåòíå- ãî îáðàçîâàíèÿ l Ââåäåíèå îáÿçàòåëüíîãî âîñü- ìèëåòíåãî îáó÷åíèÿ. Ïîëó÷åíèå ñðåäíåãî îáðàçîâàíèÿ ÷åðåç: l Ïîëó÷åíèå âûñøåãî îáðàçîâà- íèÿ òîëüêî ïðè íàëè÷èè ïðîèç- âîäñòâåííîãî ñòàæà l Âîçðàñòàíèå òåêó÷åñòè êàäðîâ íà ïðîèçâîäñòâå l Íèçêèé óðîâåíü òðóäîâîé è ïðîèçâîäñòâåííîé äèñöèïëèíû ìîëîäåæè Òðåõãîäè÷íûå ñðåäíèå øêîëû ñ îáÿçàòåëüíûì ïðîèçâîäñòâåí- íûì îáó÷åíèåì Òåõíèêóìû Ïîñëåäñòâèÿ Îñíîâíûå íàïðàâëåíèÿ Öåëü ØÐÌ
  • 268.
    ÏÎÂÛØÅÍÈÅ ÆÈÇÍÅÍÍÎÃÎ ÓÐÎÂÍß ÍÀÑÅËÅÍÈß Ïîâûøåíèåæèçíåííîãî óðîâíÿ íàñåëåíèÿ Îñíîâíûå ìåðû ÑÑÑÐ â 1953—1964 ãã. 265 Ïîâûøåíèå ìèíèìàëüíîé çàðïëàòû íà 35% Óâåëè÷åíèå ðàçìåðà ïåíñèé ïî ñòàðîñòè â 2 ðàçà è ñíèæåíèå íà 5 ëåò ïåíñèîííîãî âîçðàñòà Óñòàíîâëåíèå ñåìè÷àñîâîãî ðàáî÷åãî äíÿ Ââåäåíèå äåíåæíîé îïëàòû òðóäà êîëõîçíèêîâ Ðàçâåðòûâàíèå ìàññîâîãî æèëèùíîãî ñòðîèòåëüñòâà è ïîîùðåíèå ñîçäàíèÿ æèëèùíî-ñòðîèòåëüíûõ êîîïåðàòèâîâ
  • 269.
    ÂÎ ÂËÀÑÒÈ ÈÄÅÎËÎÃÈ×ÅÑÊÈÕÑÒÅÐÅÎÒÈÏΠ266 Îòå÷åñòâåííàÿ èñòîðèÿ â ñõåìàõ è òàáëèöàõ Íûíåøíåå ïîêîëåíèå ñîâåòñêèõ ëþäåé áóäåò æèòü ïðè êîììóíèçìå Í.Ñ. Õðóùåâ XXII ñúåçä ÊÏÑÑ (îêòÿáðü 1961 ã.) Óãëóáëåíèå äåñòàáèëèçàöèè îáùåñòâà Ïðèíÿòèå íîâîé ïðîãðàììû ÊÏÑÑ Ô ïðîãðàììû ñòðîèòåëüñòâà êîììóíèçìà Íàöåëèâàíèå îáùåñòâà íà âûïîëíåíèå òðåõ çàäà÷: 1. Ñîçäàíèå ìàòåðèàëüíî- òåõíè÷åñêîé áàçû êîììóíèçìà 2. Ôîðìèðîâàíèå íîâûõ êîììóíèñòè÷åñêèõ îáùåñòâåííûõ îòíîøåíèé 3. Âîñïèòàíèå íîâîãî ÷åëîâåêà Ýôåìåðíîñòü è óòîïè÷íîñòü áëàãîðîäíûõ óñòðåìëåíèé ïàðòèéíûõ ðóêîâîäèòåëåé ïîêàçàë ïå÷àëüíûé ñîâåòñêèé èñòîðè÷åñêèé îïûò Ñòðåìëåíèå Í.Ñ. Õðóùåâà «îá- ëàãîäåòåëüñò- âîâàòü» è «îñ÷àñòëèâèòü» íàðîä ⎫ ⎬ ⎭
  • 270.
    «ÎÒÒÅÏÅËÜ»  ÊÓËÜÒÓÐÍÎÉÆÈÇÍÈ È ÅÅ ÎÃÐÀÍÈ×ÅÍÍÛÉ ÕÀÐÀÊÒÅÐ Îñîáåííîñòè Íàèáîëåå çíà÷èìûå êóëüòóðíûå ÿâëåíèÿ Ïðîòèâîðå÷èâîñòü «Îòòåïåëü» â ëèòåðàòóðå (È. Ýðåíáóðã, Â. Äóäèíöåâ, À. Òâàðäîâñêèé, À. Ñîëæåíèöûí è äð.) Êîíòðîëü ïàðòèéíîãî àïïàðàòà çà äåÿòåëüíî- ñòüþ òâîð÷åñêîé èíòåë- ëèãåíöèè Ïîÿâëåíèå íîâûõ òåàòðàëü- íûõ êîëëåêòèâîâ (ìîñêîâñêèå òåàòðû íà Òàãàíêå, «Ñîâðåìåííèê») Íèçêèé õóäîæåñòâåí- íûé âêóñ âëàñòè Íà÷àëî âûõîäà â ñâåò íîâûõ ëèòåðàòóðíûõ æóðíàëîâ («Þíîñòü», «Èíîñòðàííàÿ ëèòåðàòóðà», «Ìîëîäàÿ ãâàðäèÿ») Ïîÿâëåíèå îïðåäåëåííîé ñâîáîäû òâîð÷åñòâà â ðàìêàõ ãîñóäàðñòâåííîãî ñîöèàëèçìà «Îòòåïåëü» â êóëüòóðíîé æèçíè è åå îãðàíè÷åííûé õàðàêòåð ÑÑÑÐ â 1953—1964 ãã. 267 Ãîíåíèÿ íà Á. Ïàñòåðíàêà çà ðîìàí «Äîêòîð Æèâàãî» Âîçîáíîâëåíèå àðåñòîâ çà «àíòèñîâåòñêóþ äåÿòåëüíîñòü» — «Äåëî ìîëîäûõ èñòîðèêîâ» Ãîíåíèÿ íà ñâîáîäîëþáè- âûõ õóäîæíèêîâ (Á. Æóòîâ- ñêèé, Ý. Íåèçâåñòíûé è äð.)
  • 271.
    ÍÎÂÛÅ ÐÅÀËÜÍÎÑÒÈ ÂÍÅØÍÅÉ ÏÎËÈÒÈÊÈ 268Îòå÷åñòâåííàÿ èñòîðèÿ â ñõåìàõ è òàáëèöàõ Ëèáåðàëèçàöèÿ âíåøíåïîëèòè÷åñêîãî êóðñà Ïðîäîëæåíèå «õîëîäíîé âîéíû» è âîçíèêíîâåíèå êîíôëèêòíûõ ñèòóàöèé â ìåæäóíàðîäíûõ îòíîøåíèÿõ Íîðìàëèçàöèÿ îòíîøåíèé ñ Þãîñëàâèåé (1954—1955) Ñîçäàíèå âîåííî-ïîëèòè÷å- ñêîé îðãàíèçàöèè ñîö. ñòðàí — Âàðøàâñêîãî äîãîâîðà (1955) Ïîäïèñàíèå ìèðíîãî äîãîâîðà ñ Àâñòðèåé (1955) Ïîëèòèêà ìèðíîãî ñîñóùå- ñòâîâàíèÿ: ïîïûòêè äîáèòü- ñÿ êîìïðîìèññà ñ çàïàäíûìè ñòðàíàìè ïî âîïðîñàì ðàçî- ðóæåíèÿ Ïîäàâëåíèå íàðîäíîãî âîññòàíèÿ â Âåíãðèè (1956) Áåðëèíñêèé âîïðîñ: îáîñòðåíèå îòíîøåíèé è âîçâåäåíèå ðàçäåëèòåëüíîé Áåðëèíñêîé ñòåíû (1961) Êàðèáñêèé êðèçèñ (1962), ÿäåðíîå ïðîòèâîñòîÿíèå ÑØÀ è ÑÑÑÐ Âñòðå÷à Õðóùåâà è Ýéçåíõàóýðà (1959) Îäíîñòîðîí- íåå ñîêðàùå- íèå Ñîâåò- ñêîé Àðìèè Çàêëþ÷åíèå äîãîâîðà ìåæäó ÑÑÑÐ, ÑØÀ è Âåëèêîáðèòàíèåé î çàïðåùåíèè ÿäåðíûõ èñïûòàíèé â àòìîñôåðå è ïîä âîäîé (1963) Óõóäøåíèå îòíîøåíèé ñ Êèòàåì è Àëáàíèåé íà÷èíàÿ ñ 1960 ã.
  • 272.
    ÍÀÐÀÑÒÀÍÈÅ ÍÅÄÎÂÎËÜÑÒÂÀ  ÎÁÙÅÑÒÂÅÈ ÎÒÑÒÀÂÊÀ Í.Ñ. ÕÐÓÙÅÂÀ Íàðàñòàíèå íåäîâîëüñòâà â îáùåñòâå è îòñòàâêà Í.Ñ. Õðóùåâà ÑÑÑÐ â 1953—1964 ãã. 269 Íåäîâîëüñòâî ïîëèòèêîé Í.Ñ. Õðóùåâà îõâàòèëî ìíîãèå ñëîè íàñåëåíèÿ Ãîðîæàíå íåäîâîëüíû ïîâûøåíèåì öåí íà ïðîäîâîëüñòâèå è ôàêòè÷åñêèì åãî íîðìèðîâàíèåì Ñåëüñêèå æèòåëè íåäîâîëüíû óðåçàíèåì ëè÷íûõ ïîäñîáíûõ õîçÿéñòâ Âåðóþùèå íåäîâîëüíû äèêòàòîì àòåèçìà è íîâîé âîëíîé çàêðûòèÿ õðàìîâ Èíòåëëè- ãåíöèÿ íåäîâîëüíà íåïîñëåäîâàòåëüíî- ñòüþ êóëüòóðíîé «îòòåïåëè» Âîåííûå íåäîâîëüíû îáâàëüíûì ñîêðàùå- íèåì Âîîðóæåííûõ Ñèë ×èíîâíèêè ïàðòèéíî- ãîñóäàðñò- âåííîãî àïïàðàòà íåäîâîëüíû ïîñòîÿííîé ïåðåòðÿ- ñêîé êàäðîâ è íåïðîäóìàííûìè ðåîðãàíèçàöèÿìè Ïîòåðÿ Í.Ñ. Õðóùåâûì ïîääåðæêè ñî ñòîðîíû áþðîêðàòè÷åñêîãî àïïàðàòà + ðàñïëàòà çà óäàð ïî ñòàëèíèçìó Îðãàíèçàòîðû ñìåùåíèÿ: Ë.È. Áðåæíåâ, Ì.À. Ñóñëîâ, À.Í. Øåëåïèí, Í.Â. Ïîäãîð- íûé, Â.À. Ñåìè÷àñòíûé è äð. Ñìåùåíèå Í.Ñ. Õðóùåâà ñî âñåõ ïîñòîâ 14 îêòÿáðÿ 1964 ã. Ïîäàâëåíèå âîéñêàìè âûñòóïëåíèÿ ðàáî÷èõ â Íîâî÷åðêàññêå 1—2 èþíÿ 1962 ã.
  • 273.
    ÑÎÂÅÒÑÊÈÉ ÑÎÞÇ Â1965—1985 ãã. Ñîâåòñêèé Ñîþç â 1965—1985 ãã. 270 Îòå÷åñòâåííàÿ èñòîðèÿ â ñõåìàõ è òàáëèöàõ «Ìèíè-çàñòîé»: Ê.Ó. ×åðíåíêî ÝÊÎÍÎÌÈÊÀ ÏÎËÈÒÈÊÀ Íåçàâåðøåí- íàÿ ýêîíîìè- ÷åñêàÿ ðåôîð- ìà 1965 ã. Âîçâðàò ê ñêðûòîìó ñòàëèíèçìó Ïîëíàÿ áþðî- êðàòèçàöèÿ âëàñòè Ïàäåíèå òåì- ïîâ ýêîíîìè- ÷åñêîãî ðîñòà Êðèçèñ â àãðàðíîì ñåêòîðå è îáîñòðåíèå ïðîäîâîëüñò- âåííîé ïðîáëåìû Äèêòàò ïàð- òèéíî-ãîñóä. àïïàðàòà Îòñòàâàíèå â îáëàñòè ÍÒÐ Ãåðîíòîêðàòèÿ (âëàñòü «ñòàðåéøèõ») ÑÎÖÈÀËÜÍÀß È ÄÓÕÎÂÍÀß ÆÈÇÍÜ ÎÁÙÅÑÒÂÀ ÄÂÈÆÅÍÈÅ ÄÈÑÑÈÄÅÍÒΠÍèçêèé óðîâåíü áëàãî- ñîñòîÿíèÿ íàñåëåíèÿ Æèëèùíûå è ýêîëîãè÷åñêèå ïðîáëåìû Óðàâíèòåëüíîñòü â ðàñïðåäåëåíèè Èäåîëîãè÷åñêèé äîãìàòèçì «ðàçâèòîãî ñîöèàëèçìà» Óòðàòà îáùåñòâîì íðàâ- ñòâåííûõ îðèåíòèðîâ Áîðüáà ñ èíàêî- ìûñëèåì. Çàáâå- íèå ðåëèãèè «Ìàÿòíèê íàäåæäû»: Þ.Â. Àíäðîïîâ
  • 274.
    ÏÎËÈÒÈ×ÅÑÊÎÅ ÐÀÇÂÈÒÈÅ ÑÒÐÀÍÛ Â1965—1985 ãã. Ïîëèòè÷åñêîå ðàçâèòèå ñòðàíû â 1965—1985 ãã. Ñîâåòñêèé Ñîþç â 1965—1985 ãã. 271 Ñìåíà ïîëèòè÷åñêîãî êóðñà Ïðèõîä ê âëàñòè íîâîãî ðóêîâîäñòâà Ë.È. Áðåæíåâ À.Í. Êîñûãèí Îòñòàâêà Í.Ñ. Õðóùåâà îêòÿáðü 1964 ã. ⎫ ⎬ ⎭ Âîçâðàò ê ñêðûòîìó ñòàëèíèçìó Êîíñòèòóöèÿ ÑÑÑÐ 1977 ã. Êîíöåïöèÿ ðàçâèòîãî ñîöèàëèçìà Çàêîíîäàòåëüíîå çàêðåïëåíèå ðóêîâîäÿùåé ðîëè ÊÏÑÑ â îáùåñòâå (ñò. 6 Êîíñòèòóöèè) Ôàêòè÷åñêàÿ ïîäìåíà ïàðòèéíûì àïïàðàòîì ñîâåòñêèõ îðãàíîâ ãîñóäàðñòâåííîé âëàñòè Âîçíèêíîâåíèå ôîðì ïðîòåñòà è íåñîãëàñèÿ â îáùåñòâå Äâèæåíèå äèññèäåíòîâ ïðàâîçàùèòíîåðåëèãèîçíîåíàöèîíàëüíîå Ïîÿâëåíèå «Ñàìèçäàòà»
  • 275.
    ÑÈÑÒÅÌÀ ÏÀÐÒÈÉÍÎ-ÃÎÑÓÄÀÐÑÒÂÅÍÍÎÃÎ ÓÏÐÀÂËÅÍÈß ÂÑÑÑÐ 272 Îòå÷åñòâåííàÿ èñòîðèÿ â ñõåìàõ è òàáëèöàõ Ñúåçä ÊÏÑÑ ÖÊ ÊÏÑÑ Ô Ïîëèòáþðî ÖÊ Êîìïàðòèé ñîþçíûõ ðåñïóáëèê Îáêîìû Ãîðêîìû Ðàéêîìû Ïåðâè÷íûå ïàðòîðãàíèçàöèè Ñèñòåìà îðãàíîâ ãîñóäàðñòâåííîé âëàñòè ⎫ ⎬ ⎭ Ñèñòåìà îðãàíîâ ïàðòèéíîé âëàñòè Âåðõîâíûé Ñîâåò ÑÑÑÐ Ñîâåò Ñîþçà Ñîâåò Íàöèîíàëüíîñòåé Âåðõîâíûé Ñîâåò ñîþçíîé ðåñïóáëèêè Êðàåâîé Ñîâåò íàðîäíûõ äåïóòàòîâ Âåðõîâíûé Ñîâåò àâòî- íîìíîé ðåñ- ïóáëèêè Ãîðîäñêîé Ñîâåò íà- ðîäíûõ äå- ïóòàòîâ Îáëàñò- íîé Ñîâåò íàðîäíûõ äåïóòàòîâ Ðàéîííûé Ñîâåò íàðîäíûõ äåïóòàòîâ Ñåëüñêèé Ñîâåò íàðîäíûõ äåïóòàòîâ Ïîñåëêîâûé Ñîâåò íàðîäíûõ äåïóòàòîâ Äèðåêòèâíûåóêàçàíèÿ Ñèñòåìà îðãàíîâ ãîñóäàðñòâåííîãî óïðàâëåíèÿ Ñîþçíî-ðåñïóáëèêàí- ñêèå ìèíèñòåðñòâà è ãîñóäàðñòâåííûå êî- ìèòåòû ñîþçíûõ ðåñ- ïóáëèê Îáùåñîþçíûå ìèíè- ñòåðñòâà è ãîñóäàðñò- âåííûå êîìèòåòû ÑÑÑÐ Ñîþçíî-ðåñïóáëèêàí- ñêèå ìèíèñòåðñòâà è ãîñóäàðñòâåííûå êî- ìèòåòû Ñîâåòû ìèíèñòðîâ ñîþçíûõ ðåñïóáëèê Îáúåäèíåíèÿ, ïðåäïðèÿòèÿ, ó÷ðåæäåíèÿ ñîþçíîãî ïîä÷èíåíèÿ Îáúåäèíåíèÿ, ïðåäïðèÿòèÿ, ó÷ðåæäåíèÿ Îáúåäèíåíèÿ, ïðåä- ïðèÿòèÿ, ó÷ðåæäåíèÿ ðåñïóáëèêàíñêîãî ïîä÷èíåíèÿ Ñîâåò Ìèíèñòðîâ ÑÑÑÐ
  • 276.
    ÝÊÎÍÎÌÈ×ÅÑÊÀß ÐÅÔÎÐÌÀ 1965ã. Ýêîíîìè÷åñêàÿ ðåôîðìà 1965 ã. Ñóùíîñòü ðåôîðìû Âîçâðàò ê îòðàñëåâîé ñèñòåìå óïðàâëå- íèÿ ïðîìûøëåííîñòüþ Âíåäðåíèå ýëåìåíòîâ õîçðàñ÷åòà â äåÿ- òåëüíîñòü ïðåäïðèÿòèé ïðè ñîõðàíåíèè àäìèíèñòðàòèâíî-êîìàíäíîé ñèñòåìû Ñîäåðæàíèå ðåôîðìû Îöåíêà ýêîíîìè÷åñêîé äåÿòåëüíîñòè íå ïî âàëîâîé, à ïî ðåàëèçîâàííîé ïðîäóê- öèè Ñîçäàíèå èç ÷àñòè ïðèáûëè ôîíäîâ ýêîíîìè÷åñêîãî ñòèìóëèðîâàíèÿ Âíåäðåíèå ýëåìåíòîâ îïòîâîé òîðãîâëè Ïðè÷èíû íåóäà÷ ðåôîðìû Ðåôîðìà íå çàòðîíóëà îñíîâ ýêîíîìè- ÷åñêîãî áàçèñà ñîâåòñêîé ñèñòåìû Îòñóòñòâèå ïîääåðæêè ñî ñòîðîíû ïàð- òèéíîãî ðóêîâîäñòâà Ïðèîðèòåò èäåîëîãèè íàä ýêîíîìèêîé Ïðîòèâîðå÷èÿ ìåæäó äèðåêòèâíûì âå- äîìñòâåííûì óïðàâëåíèåì è ýëåìåíòà- ìè ñàìîñòîÿòåëüíîñòè ïðåäïðèÿòèé Ñîâåòñêèé Ñîþç â 1965—1985 ãã. 273
  • 277.
    ÊÐÈÇÈÑÍÛÅ ßÂËÅÍÈß Â ÝÊÎÍÎÌÈ×ÅÑÊÎÉÑÔÅÐÅ Ïðîìûøëåííîñòü Ñåëüñêîå õîçÿéñòâî Ïîñòîÿííîå åæåãîäíîå ñíèæå- íèå òåìïîâ ýêîíîìè÷åñêîãî ðàçâèòèÿ Óâåëè÷åíèå êàïèòàëîâëî- æåíèé â àãðàðíûé ñåêòîð, ñïèñàíèå äîëãîâ íå ñìîãëè âûâåñòè åãî èç êðèçèñà Îòñòàâàíèå â íàó÷íî-òåõíè÷å- ñêîì ïðîãðåññå îò ðàçâèòûõ çà- ïàäíûõ ñòðàí Ðîñò çàêóïîê ïðîäîâîëüñò- âèÿ ïî èìïîðòó Ïðèîðèòåò ýêñòåíñèâíûõ ôîðì ýêîíîìè÷åñêîãî ðàçâè- òèÿ Óõóäøåíèå ýêîëîãè÷åñêîãî ñîñòîÿíèÿ çåìåëü âñëåäñò- âèå îáøèðíîé õèìèçàöèè è ìåëèîðàöèè Ïîïûòêè ìîäåðíèçàöèè óòâåð- äèâøèõñÿ ôîðì õîçÿéñòâîâà- íèÿ è ïëàíèðîâàíèÿ íîñèëè ôîðìàëüíî-ïîêàçíîé õàðàêòåð è íå çàòðàãèâàëè ãëóáèííûõ îòíîøåíèé ýêîíîìè÷åñêîãî áàçèñà Íåóäà÷íûå ïîïûòêè ïåðå- ëîìèòü ñèòóàöèþ â ñåëü- ñêîì õîçÿéñòâå ïóòåì ñîç- äàíèÿ àãðîïðîìûøëåííûõ êîìïëåêñîâ (ÀÏÊ) 274 Îòå÷åñòâåííàÿ èñòîðèÿ â ñõåìàõ è òàáëèöàõ Ïðè÷èíû Íåýôôåêòèâíîñòü ñîâåòñêîé ýêîíîìè÷åñêîé ñèñòåìû Ãîñïîäñòâî àäìèíèñòðàòèâíî- êîìàíäíîé ñèñòåìû Îòñóòñòâèå ó íà- ñåëåíèÿ ðåàëüíûõ ýêîíîìè÷åñêèõ ñòèìóëîâ ê òðóäó Ãîñïîäñòâî ãîñó- äàðñòâåííîé è îò- ñóòñòâèå ÷àñòíîé ñîáñòâåííîñòè Îòñóòñòâèå íîð- ìàëüíîé êîíêóðåí- òîñïîñîáíîé ýêî- íîìè÷åñêîé ñðåäû Îòðèöàíèå îñíîâ ðûíî÷íîãî õîçÿéñòâà
  • 278.
    ÊÐÈÇÈÑÍÛÅ ßÂËÅÍÈß ÂÑÎÖÈÀËÜÍÎÉ È ÄÓÕÎÂÍÎÉ ÑÔÅÐÀÕ Â 1965—1985 ãã. Êðèçèñíûå ÿâëåíèÿ â ñîöèàëüíîé è äóõîâíîé ñôåðàõ â 1965— 1985 ãã. Ñîâåòñêèé Ñîþç â 1965—1985 ãã. 275 Ïðåîáëàäàíèå óðàâíèòåëüíîãî ïðèíöèïà â ðàñïðåäåëåíèè ìàòåðèàëüíûõ áëàã ñðåäè îñíîâíîé ìàññû íàñåëåíèÿ Îñòàòî÷íûé ïðèíöèï âûäåëåíèÿ ñðåäñòâ íà ñîöèàëüíûå íóæäû Îñîáî ïðèâèëåãèðîâàííîå ïîëîæåíèå ïàðòèéíî- ãîñóäàðñòâåííîé íîìåíêëàòóðû ïðè ðàñïðåäåëåíèè ìàòåðèàëüíûõ áëàã Ñîöèàëüíàÿ Äóõîâíàÿ ñôåðà Ðîñò íåãàòèâ- íûõ ÿâëåíèé â ñîöèàëüíîé ñôåðå (ïüÿí- ñòâî, âçÿòî÷- íè÷åñòâî, êîððóïöèÿ) Ïðîãðåññèðóþ- ùåå ðàññîãëàñî- âàíèå èíòåðå- ñîâ ðàçëè÷íûõ ñîöèàëüíûõ ãðóïï â îáùåñòâå Äèêòàò àòåèçìà è çàáâåíèå ðåëèãèè Óòðàòà îáùåñòâîì íðàâñòâåííûõ îðèåíòèðîâ Ðàñïðîñòðà- íåíèå èæäè- âåí÷åñêèõ íàñòðîåíèé ó ÷àñòè íàñå- ëåíèÿ Ãîñïîäñòâî ìàðêñèñòñêî- ëåíèíñêîé èäåîëîãèè è ïî- äàâëåíèå âñÿêî- ãî èíàêîìûñëèÿ
  • 279.
    ÂÍÅØÍßß ÏÎËÈÒÈÊÀ ÑÑÑР1965—1985 ãã. Âíåøíÿÿ ïîëèòèêà ÑÑÑÐ â 1965—1985 ãã. Ðåàëèçàöèÿ òðåõ îñíîâíûõ çàäà÷ â îáëàñòè ìåæäóíàðîäíûõ îòíîøåíèé â ñîîòâåòñòâèè ñ ñîâåòñêîé âíåøíåïîëèòè÷åñêîé äîêòðèíîé Óñòðàíåíèå óãðîçû ðàñïàäà ñîöèàëèñòè÷åñêîãî ëàãåðÿ è òåñíîå åãî ñïëî÷åíèå â ïîëèòè÷åñêîì, ýêîíîìè÷åñêîì è âîåííîì îòíîøåíèè l Ââîä âîéñê ÎÂÄ â ×åõîñëîâàêèþ è ïîäàâëåíèå «ïðàæñêîé âåñíû» (1968) l «Äîêòðèíà Áðåæíåâà» îá «îãðàíè÷åííîì ñóâåðåíèòåòå» ñîöèàëèñòè÷åñêèõ ñòðàí â óñëîâèÿõ îïàñíîñòè, íàâèñøåé íàä ìèðîâîé ñîöèàëèñòè÷åñêîé ñèñòåìîé l Ïîìîùü Âüåòíàìó âî âðåìÿ àãðåññèè ÑØÀ (1964—1973) l Óãëóáëåíèå âîåííî-ïîëèòè÷åñêîãî (ÎÂÄ) è ýêîíîìè÷åñêîãî (ÑÝÂ) ñîòðóäíè÷åñòâà Ïîääåðæêà êîììóíèñòè÷åñêèõ, íàöèîíàëüíî- îñâîáîäèòåëüíûõ è ïðîñîâåòñêèõ äâèæåíèé è ðåæèìîâ l Ïîëèòè÷åñêàÿ ïîääåðæêà, ýêîíîìè÷åñêàÿ è âîåííàÿ ïîìîùü ñòðàíàì Àçèè è Àôðèêè (Èðàê, Ñèðèÿ, Ëèâèÿ, Àíãîëà, Ýôèîïèÿ, Ìîçàìáèê, Þæíûé Éåìåí è äð.) l Ñîâåòñêàÿ èíòåðâåíöèÿ â Àôãàíèñòàí (ñ äåêàáðÿ 1979 ã.) l Ìåæäóíàðîäíûå ñîâåùàíèÿ êîììóíèñòè÷åñêèõ è ðàáî÷èõ ïàðòèé (1965 è 1969) 276 Îòå÷åñòâåííàÿ èñòîðèÿ â ñõåìàõ è òàáëèöàõ  ‚
  • 280.
    Íîðìàëèçàöèÿ îòíîøåíèé ìåæäóÂîñòîêîì è Çàïàäîì (ðàçðÿäêà ìåæäóíàðîäíîé íàïðÿæåííîñòè è åå ïðåäåëû) Ñîâåòñêèé Ñîþç â 1965—1985 ãã. 277 ƒ Äîñòèæåíèå âîåííîãî ïàðèòåòà ÑÑÑÐ — ÑØÀ, ÎÂÄ — ÍÀÒÎ Äîãîâîð î íåðàñïðîñòðàíåíèè ÿäåðíîãî îðóæèÿ ìåæäó ÑÑÑÐ, ÑØÀ, Âåëèêîáðèòàíèåé (1968) Äîãîâîð ìåæäó ÑÑÑÐ è ÑØÀ îá îãðàíè÷åíèè ñèñòåì ïðîòèâîðàêåòíîé îáîðîíû è ÎÑÂ-1 (1972) Ïðîãðàììà ìèðà — èíèöèàòèâû XXIV (1971) è XXV (1976) ñúåçäîâ ÊÏÑÑ Óêðåïëåíèå áåçîïàñíîñòè â Åâðîïå Çàêëþ÷èòåëüíûé àêò Ñîâåùàíèÿ ïî áåçîïàñíîñòè è ñîòðóäíè÷åñòâó â Åâðîïå — ïîäïèñàí â Õåëüñèíêè 01.08.1975 ã. ðóêîâîäèòåëÿìè ñòðàí Åâðîïû, ÑØÀ è Êàíàäû Àêòèâíîå ó÷àñòèå ÑÑÑÐ Åâðîïåéñêîå ñîâåùàíèå ïî áåçîïàñíîñòè è ñîòðóäíè÷åñòâó â Åâðîïå (1972—1975) Ïîäïèñàíèå äîãîâîðîâ ÑÑÑÐ ñ ÔÐÃ, ÔÐà ñ ÏÍÐ, ÔÐà ñ ÃÄÐ Êîíåö ðàçðÿäêè è íàãíåòàíèå íàïðÿæåííîñòè. Êîíåö 70-õ — íà÷àëî 80-õ ãã. Ââîä ñîâåòñêèõ âîéñê â Àôãàíèñòàí Íîâûé âèòîê ãîíêè âîîðóæåíèé
  • 281.
    «ÌÀßÒÍÈÊ ÍÀÄÅÆÄÛ»: Þ.Â.ÀÍÄÐÎÏΠ(13 íîÿáðÿ 1982 ã. — 9 ôåâðàëÿ 1984 ã.) 278 Îòå÷åñòâåííàÿ èñòîðèÿ â ñõåìàõ è òàáëèöàõ Ïîïûòêà ðåàíèìàöèè àãîíèçèðóþùåé îáùåñòâåííîé ñèñòåìû ïðè ïîìîùè ÷ðåçâû÷àéíûõ àäìèíèñòðàòèâíûõ ìåð Áîðüáà ñ êîððóïöèåé Ñåðüåçíûå êàäðîâûå ïåðåñòàíîâêè: çà 15 ìåñÿöåâ ñìåíåíî 17 ìèíèñòðîâ è 37 ïåðâûõ ñåêðåòàðåé îáêîìîâ ïàðòèé Ââåäåíèå ìåð ïî óêðåïëåíèþ òðóäîâîé, ïëàíîâîé è ãîñóäàðñòâåííîé äèñöèïëèíû «ÌÈÍÈ-ÇÀÑÒÎÉ»: Ê.Ó. ×ÅÐÍÅÍÊÎ (10 ôåâðàëÿ 1984 ã. — 10 ìàðòà 1985 ã.) Âîçâðàò ê áðåæíåâñêèì òðàäèöèÿì Ðàçâîðà÷èâàíèå èäåîëîãè÷åñêîé êàìïàíèè ïîä ôëàãîì «ñîâåðøåíñòâîâàíèÿ ðàçâèòîãî ñîöèàëèçìà» Ñóùåñòâåííîå ñíèæåíèå áîëüøèíñòâà ýêîíîìè÷åñêèõ ïîêàçàòåëåé, õàðàêòåðèçóþùèõ ðàçâèòèå íàðîäíîãî õîçÿéñòâà
  • 282.
    ÏÅÐÅÑÒÐÎÉÊÀ (1985—1991 ãã.) Ïåðåñòðîéêà(1985—1991 ãã.)ÎÑÍÎÂÍÛÅ ÝÒÀÏÛ Îñíîâíûå ýòàïû1. 1985—1987 ãã. l Êóðñ íà «óñêîðåíèå» ñîöèàëüíî-ýêîíîìè÷åñêîãî ðàçâèòèÿ ñòðàíû l Íåóäà÷à ïðåîáðàçîâàíèé òðàäèöèîííûìè êîìàíäíî- àäìèíèñòðàòèâíûìè ìåðàìè l Ñìåíà ìîäåëè ðåôîðìèðîâàíèÿ: îò «óñêîðåíèÿ» ê «ïåðåñòðîéêå» l Ïîïûòêè ýêîíîìè÷åñêèõ ðåôîðì ïóòåì ïåðåñòðîéêè óïðàâëåíèÿ íàðîäíûì õîçÿéñòâîì l Ïðåäîñòàâëåíèå ïðåäïðèÿòèÿì ñàìîñòîÿòåëüíîñòè è ïåðåâîä èõ íà õîçðàñ÷åò 2. 1988—1989 ãã. l Íà÷àëî ðàçâèòèÿ ÷àñòíîé èíèöèàòèâû (èíäèâèäóàëüíàÿ òðóäîâàÿ äåÿòåëüíîñòü, ïîÿâëåíèå êîîïåðàòèâîâ) l Íà÷àëî ðåôîðìû ïîëèòè÷åñêîé ñèñòåìû l Ïîëèòè÷åñêîå ïðîáóæäåíèå îáùåñòâà è åãî ðàñêîë íà äåìîêðàòîâ è êîììóíèñòîâ l Îáîñòðåíèå áîðüáû îáùåñòâåííî-ïîëèòè÷åñêèõ ñèë l Ïåðåñòðîå÷íûå ïðîöåññû ïðèîáðåòàþò àâòîíîìíûé, íåóïðàâëÿåìûé õàðàêòåð l Ñàìîïîäðûâ è ñàìîóñòðàíåíèå âëàñòè l Íà÷àëî êîíôëèêòîâ â ñôåðå ìåæíàöèîíàëüíûõ îòíîøåíèé l Óñèëåíèå áîðüáû çà âëàñòü ìåæäó ðåñïóáëèêàíñêèìè ïîëèòè÷åñêèìè ýëèòàìè è óíèòàðíûì öåíòðîì 3. 1990—1991 ãã. l Êðèçèñ è êðàõ ïåðåñòðîéêè l Óãëóáëåíèå ðåôîðìû ïîëèòè÷åñêîé ñèñòåìû l Îòìåíà ìîíîïîëüíîãî ïðàâà ÊÏÑÑ íà âëàñòü l Ó÷ðåæäåíèå ïîñòà Ïðåçèäåíòà ÑÑÑÐ l Âûðàáîòêà ïóòåé ïåðåõîäà ê ðûíî÷íîé ýêîíîìèêå l Íàðàñòàíèå ïîëèòè÷åñêîãî ïðîòèâîáîðñòâà l Àâãóñòîâñêèé ïóò÷ 1991 ã. l Îáâàëüíûé ðàñïàä îáùåñòâåííûõ ñòðóêòóð è ãîñóäàðñòâà Ïåðåñòðîéêà (1985—1991 ãã.) 279
  • 283.
    280 Îòå÷åñòâåííàÿ èñòîðèÿâ ñõåìàõ è òàáëèöàõ Öåëè Ñîâåðøåíñòâîâàíèå ñîöèàëèçìà, î÷èùåíèå åãî îò ñòàëèíèçìà è âîçâðàò ê ëåíèíñêèì èñòîêàì Îñóùåñòâëåíèå Îáîñòðåíèå ìåæíàöèîíàëüíûõ ïðîòèâîðå÷èé. Ïîäãîòîâêà íîâîãî Ñîþçíîãî äîãîâîðà Ðåôîðìà ïîëèòè- ÷åñêîé ñèñòåìû è ÊÏÑÑ Óñêîðåíèå ñîöèàëü- íî-ýêîíîìè÷åñêîãî ðàçâèòèÿ. Ïîïûòêà ââåäåíèÿ õîçðàñ÷åòà ïðåäïðèÿòèé Àâãóñòîâñêèå ñîáûòèÿ 1991 ã. Èòîãè Ðàñïàä ÑÑÑÐ è îáðàçîâàíèå ÑÍà Ëèêâèäàöèÿ òîòà- ëèòàðíîé ñèñòåìû è ìîíîïîëèè ÊÏÑÑ íà âëàñòü Íà÷àëî ïåðåõîäà ê ðûíî÷íîé ýêîíîìèêå
  • 284.
    Ïåðåñòðîéêà (1985—1991 ãã.)281 ÏÐÅÄÏÎÑÛËÊÈ ÏÅÐÅÑÒÐÎÉÊÈ Ïðîòèâíèêè Ì.Ñ. Ãîðáà÷åâà Ïåðåñòðîéêà Çàãîâîð ìèðîâîãî èìïåðèàëèçìà è ìàñîíñòâà ñ öåëüþ îñëàáëåíèÿ è ðàçâàëà «âåëèêîé äåðæàâû» Ðàçëè÷íûå òî÷êè çðåíèÿ Ì.Ñ. Ãîðáà÷åâ è åãî ñòîðîííèêè Îáúåêòèâíàÿ íåîáõîäè- ìîñòü, îáóñëîâëåííàÿ êðè- çèñíûìè ÿâëåíèÿìè âî âñåõ ñôåðàõ æèçíè îáùåñòâà
  • 285.
    ÏÅÐÅÑÒÐÎÅ×ÍÎÅ ÓÑÊÎÐÅÍÈÅ Ïåðåñòðîå÷íîå óñêîðåíèå 282Îòå÷åñòâåííàÿ èñòîðèÿ â ñõåìàõ è òàáëèöàõ Àïðåëüñêèé (1985) ïëåíóì ÖÊ ÊÏÑÑ Íàó÷íî-òåõíè÷åñêîå îáíîâëåíèå ïðîèçâîäñòâà Àêòèâèçàöèÿ äåÿòåëüíîñòè ïîëèòè÷åñêèõ è îáùåñòâåííûõ èíñòèòóòîâ Äîñòèæåíèå ìèðîâîãî óðîâíÿ ïðîèçâîäèòåëüíî- ñòè òðóäà Ñîâåðøåíñòâîâàíèå ýêîíîìè÷åñêèõ îòíîøåíèé Àêöåíò íà óñêîðåíèå íàó÷íî-òåõíè÷åñêîãî ïðîãðåññà Îñíîâíûå êàïèòàëîâëîæåíèÿ — â îòå÷åñòâåííîå ìàøèíîñòðîåíèå Íèêàêîãî óñêîðåíèÿ íå ïîëó÷èëîñü, êàðäèíàëüíûõ èçìåíåíèé â ýêîíîìèêå íå ïðîèçîøëî Íåóäà÷à ïðåîáðàçîâàíèé ïîñðåäñòâîì òðàäèöèîííûõ êîìàíäíî-àäìèíèñòðàòèâíûõ ìåð Êóðñ íà óñêîðåíèå ñîöèàëüíî-ýêîíîìè÷åñêîãî ðàçâèòèÿ ñòðàíû Íî
  • 286.
    ÏÎÏÛÒÊÈ ÝÊÎÍÎÌÈ×ÅÑÊÈÕ ÐÅÔÎÐÌ ÂÏÅÐÈÎÄ ÏÅÐÅÑÒÐÎÉÊÈ (1987—1988) Ïåðåñòðîéêà (1985—1991 ãã.) 283 Èþíüñêèé ïëåíóì ÖÊ ÊÏÑÑ (1987) Óòâåðæäåíû îñíîâíûå íàïðàâëåíèÿ ïåðåñòðîéêè óïðàâëåíèÿ ýêîíîìèêîé Ïðåäîñòàâëåíèå ñàìîñòîÿòåëüíîñòè ïðåäïðèÿòèÿì è ïåðåâîä èõ íà õîçðàñ÷åò Ñîêðàùåíèå ïëàíîâûõ ïîêàçàòåëåé Çàêîí «Î ãîñóäàðñòâåííîì ïðåäïðèÿòèè (îáúåäèíåíèè)» 1987 ã. Íà÷àëî ðàçâèòèÿ ñôåðû ÷àñòíîé èíèöèàòèâû Çàêîíû: «Îá èíäèâèäóàëüíîé òðóäî- âîé äåÿòåëüíîñòè» (1988) «Î êîîïåðàöèè» (1988) Ñîçäàíèå êîîïåðàòèâîâ Âðàæäåáíîñòü è íåäîâåðèå ñî ñòîðîíû îáùåñòâåííîãî ìíåíèÿ Ñèòóàöèÿ â íàðîäíîì õîçÿéñòâå ïðîäîëæàëà óõóäøàòüñÿ Íî
  • 287.
    ÍÀ ÏÎÄÑÒÓÏÀÕ ÊÐÛÍÎ×ÍÎÉ ÝÊÎÍÎÌÈÊÅ Íà ïîäñòóïàõ ê ðûíî÷íîé ýêîíîìèêå 284 Îòå÷åñòâåííàÿ èñòîðèÿ â ñõåìàõ è òàáëèöàõ Ïðàâèòåëüñòâåííàÿ ïðîãðàììà Í.È. Ðûæêîâ Ë.È. Àáàëêèí Ïðîãðàììà «500 äíåé» Ñ.Ñ. Øàòàëèí Ã.À. ßâëèíñêèé Ïîýòàïíîå ââåäåíèå ðûíî÷íûõ ìåõàíèç- ìîâ, ðàññ÷èòàííîå íà 6 ëåò Áûñòðûé ïåðåõîä â òå÷åíèå 1,5 ëåò Îáñóæäåíèå â Âåðõîâíîì Ñîâåòå ÑÑÑÐ îñåíüþ 1990 ã. Íè îäèí èç âàðèàíòîâ íå ïîëó÷èë ïîääåðæêè, è Ì.Ñ. Ãîðáà÷åâó ïîðó÷àþò îáúåäèíèòü îáå ïðîãðàììû Îñíîâíûå íàïðàâëåíèÿ ïî ñòàáèëèçàöèè íàðîäíîãî õîçÿéñòâà è ïåðåõîäó ê ðûíî÷íîé ýêîíîìèêå Äåêëàðàöèÿ î íàìåðåíèÿõ, à íå ïðîãðàììà ïåðåõîäà ê ðûíî÷íîé ýêîíîìèêå Îòêàç ñîþçíûõ ðåñïóáëèê ïðèíèìàòü åå ê èñïîëíåíèþ Âàðèàíòû ïåðåõîäà ê ðûíî÷íîé ýêîíîìèêå
  • 288.
    ÐÅÔÎÐÌÀ ÏÎËÈÒÈ×ÅÑÊÎÉ ÑÈÑÒÅÌÛÑÑÑÐ Ïåðåñòðîéêà (1985—1991 ãã.) 285 ßíâàðñêèé ïëåíóì ÖÊ ÊÏÑÑ (1987) XIX Âñåñîþçíàÿ êîíôåðåíöèÿ ÊÏÑÑ (26 èþíÿ — 1 èþëÿ 1988 ã.) Óòâåðæäåíèå ïðèíöèïîâ äå- ìîêðàòèè â êà÷åñòâå îñíîâ ðàçâèòèÿ è ôóíêöèîíèðîâà- íèÿ ïîëèòè÷åñêèõ îòíîøå- íèé â îáùåñòâå Èìïóëüñ äëÿ ðåôîðì â ïîëèòè÷åñêîé ñôåðå Îñíîâíûå íàïðàâëåíèÿ Ðàäèêàëüíîå èçìåíåíèå èçáèðàòåëüíîé ñèñòåìû è âíåäðåíèå â íåå äåìîêðàòè÷åñêèõ ïðèíöèïîâ Óñòàíîâëåíèå äâóõóðîâíåâîé ñèñòåìû âûñøåé çàêîíîäàòåëüíîé âëàñòè â ñòðàíå — Ñúåçäà íàðîäíûõ äåïóòàòîâ è Âåðõîâíîãî Ñî- âåòà ÑÑÑÐ, èçáèðàåìîãî èç ÷èñëà äåïóòàòîâ Ñúåçäà Ïðÿìîå ïðåäñòàâèòåëüñòâî îáùåñòâåííûõ îðãàíèçàöèé â âûñøèõ îðãàíàõ çàêîíîäàòåëüíîé âëàñòè. Èç 2250 äåïóòàòîâ Ñúåçäà íà- ðîäíûõ äåïóòàòîâ 750 èçáèðàëèñü îò ÊÏÑÑ, êîìñîìîëà, ïðîô- ñîþçîâ è äðóãèõ îáùåñòâåííûõ îðãàíèçàöèé Ïðåâðàùåíèå Âåðõîâíîãî Ñîâåòà ÑÑÑÐ â ïîñòîÿííî äåéñòâóþ- ùèé ïàðëàìåíò Ñîçäàíèå íîâîãî îðãàíà ïðàâîâîãî êîíòðîëÿ — Êîìèòåòà êîí- ñòèòóöèîííîãî íàäçîðà Ëèêâèäàöèÿ ìîíîïîëüíîãî ïðàâà ÊÏÑÑ íà âëàñòü ïóòåì îòìåíû 6-é ñòàòüè Êîíñòèòóöèè, çàêðåïëÿâøåé ðóêîâîäÿùóþ ðîëü ïàð- òèè â îáùåñòâå Íà÷àëî ñòàíîâëåíèÿ ìíîãîïàðòèéíîé ñèñòåìû Ó÷ðåæäåíèå ïîñòà Ïðåçèäåíòà ÑÑÑÐ è èçáðàíèå III Ñúåçäîì íà- ðîäíûõ äåïóòàòîâ â ìàðòå 1990 ã. íà ýòó äîëæíîñòü Ì.Ñ. Ãîðáà÷åâà Èçìåíåíèå ñòðóêòóðû âûñøåé èñïîëíèòåëüíîé âëàñòè. Ðåîðãà- íèçàöèÿ ïðàâèòåëüñòâà è ñîçäàíèå Êàáèíåòà ìèíèñòðîâ, ïîä÷è- íåííîãî Ïðåçèäåíòó
  • 289.
    ÁÎÐÜÁÀ ÎÁÙÅÑÒÂÅÍÍÎ-ÏÎËÈÒÈ×ÅÑÊÈÕ ÑÈË ÂÏÅÐÈÎÄ ÏÅÐÅÑÒÐÎÉÊÈ Áîðüáà îáùåñòâåííî-ïîëèòè÷åñêèõ äâèæåíèé â ïåðèîä ïåðåñòðîéêè 286 Îòå÷åñòâåííàÿ èñòîðèÿ â ñõåìàõ è òàáëèöàõ Öåíòð Ì.Ñ. Ãîðáà÷åâ Áîðüáà çà âëàñòü Áîðüáà çà ðàçëè÷íûå ïóòè ðàçâèòèÿ ñòðàíû Ðàäèêàëüíûå äåìîêðàòû — Á.Í. Åëüöèí è äð. Îðòîäîêñàëüíûå êîììóíèñòû — Å.Ê. Ëèãà÷åâ è äð. Îøèáêè Êîëåáàíèÿ Ïðîñ÷åòû
  • 290.
    ÍÎÂÎÅ ÏÎËÈÒÈ×ÅÑÊÎÅ ÌÛØËÅÍÈÅ ÑÔÅÐÅ ÌÅÆÄÓÍÀÐÎÄÍÛÕ ÎÒÍÎØÅÍÈÉ Îñíîâíûå òåíäåíöèè ìèðîâîãî ðàçâèòèÿ â êîíöå XX â. Ïåðåñòðîéêà (1985—1991 ãã.) 287 Èíòåðíàöèîíàëèçàöèÿ õîçÿéñòâåííîé è îáùåñòâåííîé æèçíè. Âçàèìîñâÿçü ãîñóäàðñòâ è íàðîäîâ, ôîðìèðîâàíèå öåëîñòíîãî ìèðîâîãî ñîîáùåñòâà Îãðîìíûå çàïàñû ÿäåðíîãî îðóæèÿ. Íàäâèãàþùàÿñÿ ýêîëîãè÷åñêàÿ êàòàñòðîôà Ñòàâèòñÿ âîïðîñ î áóäóùåì ÷åëîâå÷åñòâà è î íåîáõîäèìîñòè êîëëåêòèâíîé ñòðàòåãèè âûæèâàíèÿ Áåçîïàñíîñòü è ñîòðóäíè÷åñòâî íå ìîãóò áûòü äîñòèãíóòû â ðàìêàõ ïðåæíåé ìåæäóíàðîäíîé ñèñòåìû, â îñíîâå êîòîðîé ëåæàë áàëàíñ ñèë. Ñèñòåìó íåîáõîäèìî ïåðåñòðîèòü, âçÿâ çà îñíîâó áàëàíñ èíòåðåñîâ íà áàçå îáùå÷åëîâå÷åñêèõ öåííîñòåé Íîâîå ïîëèòè÷åñêîå ìûøëåíèå — ñîâîêóïíîñòü èäåé è ïîäõîäîâ, âûðàæàþùèõ îáùèå èíòåðåñû ëþäåé íåçàâèñèìî îò èõ ãîñóäàðñòâåííîé è íàöèîíàëüíîé ïðèíàäëåæíîñòè è îáåñïå÷èâàþùèõ âûæèâàíèå ÷åëîâå÷åñòâà â ÿäåðíî-êîñìè÷åñêèé âåê Õàðàêòåðíûå ÷åðòû Äåèäåîëîãèçàöèÿ ìåæãîñóäàðñòâåííûõ îòíîøåíèé Ïðèîðèòåò îáùå÷åëîâå÷åñêèõ öåííîñòåé Ïðèçíàíèå îáùåïðèíÿòûõ íîðì ìîðàëè êàê îáÿçàòåëüíîãî êðèòåðèÿ âñÿêîé ïîëèòèêè Ì.Ñ.Ãîðáà÷åâ
  • 291.
    ÂÍÅØÍßß ÏÎËÈÒÈÊÀ ÑÑÑР1985—1991 ãã. Âíåøíÿÿ ïîëèòèêà ÑÑÑÐ â 1985—1991 ãã. 288 Îòå÷åñòâåííàÿ èñòîðèÿ â ñõåìàõ è òàáëèöàõ Íîâîå ïîëèòè÷åñêîå ìûøëåíèå Ñîâåòñêî-àìåðèêàíñêèå äîãîâîðû l Óëó÷øåíèå îòíîøåíèé ñ çàïàäíûìè ñòðàíàìè l Î ëèêâèäàöèè ðàêåò ñðåäíåé è ìåíüøåé äàëüíîñòè (1987) l Î ñîêðàùåíèè è îãðàíè÷åíèè ñòðàòåãè÷åñêèõ íàñòóïàòåëüíûõ âîîðóæåíèé (1991) l Äîãîâîð îá îáû÷íûõ âîîðóæåííûõ ñèëàõ â Åâðîïå (1990) Ëèêâèäàöèÿ ãîíêè âîîðóæåíèé Îòêàç îò âìåøàòåëüñòâà âî âíóòðåííèå äåëà áðàòñêèõ ñòðàí l Îáúåäèíåíèå Ãåðìàíèè (1989—1990) l Ïàäåíèå ïðîñîâåòñêèõ ðåæèìîâ â ñòðàíàõ Âîñòî÷íîé Åâðîïû l Ëèêâèäàöèÿ ÑÝ è ÎÂÄ l Âûâîä ñîâåòñêèõ âîéñê èç Àôãàíèñòàíà (ìàé 1988 ã. — ôåâðàëü 1989 ã.)
  • 292.
    ÎÁÎÑÒÐÅÍÈÅ ÌÅÆÍÀÖÈÎÍÀËÜÍÛÕ ÎÒÍÎØÅÍÈÉ ÂÏÅÐÈÎÄ ÏÅÐÅÑÒÐÎÉÊÈ Ïåðåñòðîéêà (1985—1991 ãã.) 289 Ýêîíîìè÷åñêèé êðèçèñ, îõâàòèâøèé âñå îòðàñëè íàðîäíîãî õîçÿéñòâà Íåïîñëåäîâàòåëüíîñòü è ïðîòèâîðå÷èâîñòü íàöèîíàëüíîé ïîëèòèêè Óãëóáëåíèå ìåæíàöèîíàëüíûõ ïðîòèâîðå÷èé  óñëîâèÿõ ðàçâèòèÿ ãëàñíîñòè è äåìîêðàòèè îíè ïðèâîäÿò ê îòêðûòûì íàöèîíàëüíûì êîíôëèêòàì l Ìèòèíãè è äåìîíñòðàöèè â Àëìà- Àòå (Êàçàõñòàí) ïðîòèâ ðóñèôèêàöèè (1986) l Ñîçäàíèå íàðîäíûõ ôðîíòîâ â ñîþçíûõ ðåñïóáëèêàõ, ïðåâðàòèâøèõñÿ â öåíòðû ñåïàðàòèñòñêèõ äâèæåíèé — ñ 1988 ã. l Âîîðóæåííûå ñòîëêíîâåíèÿ â Àáõàçèè — ñ 1989 ã. l Êàðàáàõñêàÿ ïðîáëåìà, êîíôëèêò ìåæäó Àðìåíèåé è Àçåðáàéäæàíîì — ñ 1988 ã. l Âîëíåíèÿ â Óçáåêèñòàíå è êîíôëèêò ìåæäó òóðêàìè-ìåñõåòèíöàìè è óçáåêàìè (1989) l Ìåæýòíè÷åñêèå ñòîëêíîâåíèÿ â Êèðãèçèè (1989)
  • 293.
    ÏÐÅÄÏÎÑÛËÊÈ ÐÀÑÏÀÄÀ ÑÑÑÐ Ïðåäïîñûëêèðàñïàäà ÑÑÑÐ 290 Îòå÷åñòâåííàÿ èñòîðèÿ â ñõåìàõ è òàáëèöàõ Çàðîæäåíèå íàöèîíàëüíîãî ñåïàðàòèçìà è ðåãèîíàëüíîãî ýêîíîìè÷åñêîãî èçîëÿöèîíèçìà âñëåäñòâèå íåýôôåêòèâíîñòè ñîâåòñêîé ýêîíîìè÷åñêîé ñèñòåìû è íåóäà÷è ýêîíîìè÷åñêèõ ðåôîðì â ïåðèîä ïåðåñòðîéêè Áîðüáà çà âëàñòü ìåæäó öåíòðàëüíûìè è íàöèîíàëüíî- ðåãèîíàëüíûìè ïîëèòè÷åñêèìè ýëèòàìè Êðèçèñ êîììóíèñòè÷åñêîé èäåîëîãèè, îñëàáëåíèå ÊÏÑÑ è ïîñëåäóþùàÿ ëèêâèäàöèÿ òîòàëèòàðíîé ñèñòåìû è ïàðòèéíî- ïîëèòè÷åñêîé ìîíîïîëèè íà âëàñòü, ñîñòàâëÿâøèõ îñíîâó ÑÑÑÐ Îòñóòñòâèå ðàçóìíîãî áàëàíñà â ïîëíîìî÷èÿõ öåíòðà è íàöèîíàëüíûõ ðåñïóáëèê. Äèêòàò öåíòðàëüíîé âëàñòè â îòíîøåíèè íàöèîíàëüíî- ãîñóäàðñòâåííûõ îáðàçîâàíèé
  • 294.
    ÐÀÑÏÀÄÑÑÑÐ ÑîþçíûåðåñïóáëèêèÄàòûïðèíÿòèÿäîêóìåíòîâ îãîñóäàðñòâåííîìñóâåðåíèòåòå Äàòûïðîâîçãëàøåíèÿ íåçàâèñèìîñòè Äàòûïðåêðàùåíèÿäåÿòåëüíîñòè ðåñïóáëèêàíñêèõêîìèòåòîâÊÏÑÑ Àçåðáàéäæàí23ñåíòÿáðÿ1989ã.30àâãóñòà1991ã.14ñåíòÿáðÿ1991ã. Àðìåíèÿ28ìàÿ1989ã.23ñåíòÿáðÿ1991ã.7ñåíòÿáðÿ1991ã. Áåëîðóññèÿ27èþëÿ1990ã.25àâãóñòà1991ã.25àâãóñòà1991ã. Ãðóçèÿ9ìàðòà1990ã.9àïðåëÿ1991ã.26àâãóñòà1991ã. Êàçàõñòàí25îêòÿáðÿ1990ã.16äåêàáðÿ1991ã.7ñåíòÿáðÿ1991ã. Êèðãèçèÿ15äåêàáðÿ1990ã.31àâãóñòà1991ã.31àâãóñòà1991ã. Ëàòâèÿ28èþëÿ1989ã.21àâãóñòà1991ã.10ñåíòÿáðÿ1991ã. Ëèòâà18ìàÿ1989ã.11ìàðòà1991ã.23àâãóñòà1991ã. Ìîëäàâèÿ23èþíÿ1990ã.27àâãóñòà1991ã.24àâãóñòà1991ã. Ðîññèÿ12èþíÿ1990ã.12äåêàáðÿ1991ã.6íîÿáðÿ1991ã. Òàäæèêèñòàí24àâãóñòà1990ã.9ñåíòÿáðÿ1991ã.2îêòÿáðÿ1991ã. Òóðêìåíèÿ22àâãóñòà1990ã.27îêòÿáðÿ1991ã.26àâãóñòà1991ã. Óçáåêèñòàí20èþíÿ1990ã.31àâãóñòà1991ã.14ñåíòÿáðÿ1991ã. Óêðàèíà16èþíÿ1990ã.24àâãóñòà1991ã.30àâãóñòà1991ã. Ýñòîíèÿ16íîÿáðÿ1988ã.20àâãóñòà1991ã.22àâãóñòà1991ã. Ïåðåñòðîéêà (1985—1991 ãã.)291
  • 295.
    ÊÐÀÕ ÏÅÐÅÑÒÐÎÉÊÈ ÈËÈÊÂÈÄÀÖÈß ÑÎÖÈÀËÈÇÌÀ  ÑÑÑÐ Êðàõ ïåðåñòðîéêè è ëèêâèäàöèÿ ñîöèàëèçìà â ÑÑÑÐ Ïðè÷èíû Îòñóòñòâèå îáîñíîâàííîé êîíöåïöèè ïåðåñòðîéêè Äåâàëüâàöèÿ êîììóíèñòè÷åñêîé èäåè Íåóäà÷íûå ïîïûòêè ýêîíîìè÷åñêîãî ðåôîðìèðîâàíèÿ è ïàäåíèå æèçíåííîãî óðîâíÿ íàñåëåíèÿ Ðàñêîë â ïàðòèéíî-ãîñóäàðñòâåííîì ðóêîâîäñòâå ñòðàíû 292 Îòå÷åñòâåííàÿ èñòîðèÿ â ñõåìàõ è òàáëèöàõ
  • 296.
    ÏÐÎÒÈÂÎÐÅ×ÈÂÛÉ ÕÀÐÀÊÒÅÐ ÈÒÎÃΠÏÅÐÅÑÒÐÎÉÊÈ Ïåðåñòðîéêà(1985—1991 ãã.) 293 l Ðàçðóøåíèå òîòàëèòàðíîé ñèñòåìû l Ñîçäàíèå ïîñòîÿííî äåéñòâóþùåãî ïàðëàìåíòà l Íà÷àëî äåìèëèòàðèçàöèè ñòðàíû l Ëèêâèäàöèÿ ãîíêè âîîðóæåíèé è âîåííîãî ïðîòèâîñòîÿíèÿ äåðæàâ l Óòâåðæäåíèå ïîëèòè÷åñêèõ ñâîáîä, ñâîáîäû ñîâåñòè è âåðîèñïîâåäàíèÿ Ðåçóëüòàòû l Îáîñòðåíèå ìåæíàöèîíàëüíûõ ïðîòèâîðå÷èé l Ðàñïàä ÑÑÑÐ l Óõóäøåíèå ïðîäîâîëüñòâåííîãî îáåñïå÷åíèÿ ñòðàíû l Îñëàáëåíèå âëàñòè â öåíòðå è íà ìåñòàõ Íåãàòèâíûå Ïîçèòèâíûå
  • 297.
    ÐÎÑÑÈÉÑÊÀß ÔÅÄÅÐÀÖÈß ÍÀ ÐÓÁÅÆÅXX—XXI ââ. Ðîññèéñêàÿ Ôåäåðàöèÿ íà ðóáåæå XX—XXI ââ. I. 1990—1991 ãã. l Ïðèíÿòèå äåêëàðàöèè «Î ãîñóäàðñòâåííîì ñóâåðåíèòåòå» l Ïðîòèâîðå÷èÿ è áîðüáà ñîþçíîãî öåíòðà è ðîññèéñêîé âëàñòè l Àâãóñòîâñêèé êðàõ ñîöèàëüíî-ïîëèòè÷åñêîé ñèñòåìû l Ðàñïàä ÑÑÑÐ l Íà÷àëî ñóâåðåííîãî ðàçâèòèÿ Ðîññèéñêîé Ôåäåðàöèè II. 1992—1993 ãã. l Íà÷àëî ðàäèêàëüíîé ýêîíîìè÷åñêîé ðåôîðìû «Øîêîâàÿ òåðàïèÿ» Å. Ò. Ãàéäàðà l Ïîëèòè÷åñêàÿ áîðüáà è ïðîòèâîñòîÿíèå çàêîíîäàòåëüíîé è èñïîëíèòåëüíîé âëàñòåé l Êðèçèñ ãîñóäàðñòâåííîé âëàñòè âåñíîé 1993 ã. l Âîîðóæåííîå ïðîòèâîñòîÿíèå âëàñòåé îñåíüþ 1993 ã. l Êîíñòèòóöèîííàÿ ðåôîðìà è äåìîíòàæ ñîâåòñêîé ñèñòåìû l Ñòàíîâëåíèå ðåæèìà àâòîðèòàðíîé äåìîêðàòèè Á.Í. Åëüöèíà l Îáîñòðåíèå ñîöèàëüíûõ ïðîòèâîðå÷èé â îáùåñòâå l Ïðèâàòèçàöèÿ: çàìûñåë è ðåàëüíîñòü III. 1994—1999 ãã. l Ñòàíîâëåíèå íîâîé îáùåñòâåííî-ïîëèòè÷åñêîé è ñîöèàëüíî-ýêîíîìè÷åñêîé ñèñòåìû l Ñêëàäûâàíèå «îëèãàðõè÷åñêîãî êàïèòàëèçìà» l Ïåðâàÿ ÷å÷åíñêàÿ âîéíà l Èëëþçèÿ ñòàáèëèçàöèè è «äåôîëò» àâãóñòà 1998 ã. l Íà÷àëî ýêîíîìè÷åñêîãî ðîñòà l Êîíåö «ýïîõè Åëüöèíà» IV. 2000—2008 ãã. l Ïðåçèäåíòñòâî Â.Â. Ïóòèíà l Äîñòèæåíèå ïîëèòè÷åñêîé ñòàáèëèçàöèè â îáùåñòâå l Óêðåïëåíèå âåðòèêàëè ãîñóäàðñòâåííîé âëàñòè l Âòîðàÿ ÷å÷åíñêàÿ âîéíà l Èçáðàíèå è íà÷àëî äåÿòåëüíîñòè ïðåçèäåíòà Ä.À. Ìåäâåäåâà 294 Îòå÷åñòâåííàÿ èñòîðèÿ â ñõåìàõ è òàáëèöàõ
  • 298.
    ÐÀÄÈÊÀËÜÍÛÅ ÝÊÎÍÎÌÈ×ÅÑÊÈÅ ÐÅÔÎÐÌÛ Ðîññèéñêàÿ Ôåäåðàöèÿíà ðóáåæå XX—XXI ââ. 295 Ïðîòèâîñòîÿíèå âëàñòåé Çàêîíîäàòåëüíàÿ âëàñòü (Âåðõîâíûé Ñîâåò è Ñúåçä íàðîäíûõ äåïóòàòîâ) Èñïîëíèòåëüíàÿ âëàñòü (Ïðåçèäåíò è Ïðàâèòåëüñòâî) Îáîñòðåíèåñîöèàëüíûõ ïðîáëåìâîáùåñòâå Òðè êðèçèñà 1. Äåêàáðü 1992 ã. — Îòñòàâêà Å.Ò. Ãàéäàðà 2. Ìàðò — àïðåëü 1993 ã. — Ïîïûòêà îòðåøåíèÿ Ïðåçèäåíòà îò äîëæíîñòè è ðåôåðåíäóì î äîâåðèè âëàñòÿì 3. Ñåíòÿáðü — îêòÿáðü 1993 ã. — âîîðó- æåííîå ïðîòèâîñòîÿíèå âëàñòåé. Ïîáåäà Á.Í. Åëüöèíà Êîíñòèòóöèîííàÿ ðåôîðìà 1993 ã. Ïðèíÿòèå íîâîé Êîíñòèòóöèè Ðîññèéñêîé Ôåäåðàöèè Äåñîâåòèçàöèÿ ñèñòåìû ïðåäñòàâèòåëüíûõ îðãàíîâ âëàñòè Ôåäåðàëüíîå ñîáðàíèå Ãîñóäàðñòâåííàÿ Äóìà Ñîâåò Ôåäåðàöèè Ñòàíîâëåíèåìíîãîïàðòèéíîé ñèñòåìû
  • 299.
    ÐÀÄÈÊÀËÜÍÛÅ ÝÊÎÍÎÌÈ×ÅÑÊÈÅ ÐÅÔÎÐÌÛ Ðàäèêàëüíûåýêîíîìè÷åñêèå ðåôîðìû 296 Îòå÷åñòâåííàÿ èñòîðèÿ â ñõåìàõ è òàáëèöàõ Ïåðåõîä ê ðûíî÷íîé ýêîíîìèêå «Øîêîâàÿ òåðàïèÿ»ñ 1 ÿíâàðÿ 1992 ã. Îñíîâíûå íàïðàâëåíèÿ ýêîíîìè÷åñêîé ðåôîðìû Ëèáåðàëèçàöèÿ öåí è îòêàç îò èõ ãîñóäàðñòâåííîãî ðåãóëèðîâàíèÿ Äîñòèæåíèå ôèíàíñîâîé ñòàáèëèçàöèè, ïîäàâëåíèå èíôëÿöèè Ñîçäàíèå óñòîé÷èâîé íàöèîíàëüíîé âàëþòû, äîñòèæåíèå âíóòðåííåé êîíâåðòèðóåìîñòè ðóáëÿ Ëèáåðàëèçàöèÿ âíåøíåýêîíîìè÷åñêîé äåÿòåëüíîñòè Ñòèìóëèðîâàíèå ñòðóêòóðíîé ïåðåñòðîéêè â ïðîìûøëåííîñòè â ðåçóëüòàòå çàäåéñòâîâàíèÿ ðûíî÷íûõ ìåõàíèçìîâ Ïðèâàòèçàöèÿ ãîñóäàðñòâåííîé ñîáñòâåííîñòè è ñîçäàíèå êëàññà ñîáñòâåííèêîâ Ðåôîðìû Å.Ò. Ãàéäàðà
  • 300.
    ÎÁÎÑÒÐÅÍÈÅ ÑÎÖÈÀËÜÍÛÕ ÏÐÎÁËÅÌ ÂÑÎÂÐÅÌÅÍÍÎÉ ÐÎÑÑÈÈ Îñóùåñòâëåíèå ýêîíîìè÷åñêèõ ðåôîðì Ðîññèéñêàÿ Ôåäåðàöèÿ íà ðóáåæå XX—XXI ââ. 297 îáîñòðåíèþ áîëüøèíñòâà ñîöèàëüíûõ ïðîáëåì ï ð è â å ë î ê Ïîÿâëåíèå áåçðàáîòèöû è åå ðîñò Õðîíè÷åñêèå çà- äåðæêè ñ âûïëà- òîé çàðïëàòû Ïàäåíèå æèçíåí- íîãî óðîâíÿ çíà- ÷èòåëüíîé ÷àñòè íàñåëåíèÿ Îáîñòðåíèå êðè- ìèíàëüíîé îáñòà- íîâêè â îáùåñòâå Óõóäøåíèå äåìîãðà- ôè÷åñêîé ñèòóàöèè. Ïàäåíèå ðîæäàåìî- ñòè, óâåëè÷åíèå ñìåðòíîñòè
  • 301.
    ÈÒÎÃÈ ÂÑÅÐÎÑÑÈÉÑÊÎÃÎ ÐÅÔÅÐÅÍÄÓÌÀ 25ÀÏÐÅËß 1993 ã. Èòîãè âñåðîññèéñêîãî ðåôåðåíäóìà 25 àïðåëÿ 1993 ã. Âîïðîñû ðåôåðåíäóìà ×èñëî ãðàæäàí, âíåñåííûõ â ñïèñêè äëÿ ãîëî- ñîâàíèÿ ×èñëî ãðàæäàí, ïðèíÿâ- øèõ ó÷àñòèå â ãîëîñî- âàíèè ×èñëî ãðàæäàí, îòâåòèâ- øèõ «äà» ×èñëî ãðàæäàí, îòâåòèâ- øèõ «íåò» 1. Äîâåðÿåòå ëè Âû Ïðåçèäåíòó Ðîññèé- ñêîé Ôåäåðàöèè Á.Í. Åëüöèíó? 107 310 374 68 869 947 40 405 811 26 995 268 2. Îäîáðÿåòå ëè Âû ñî- öèàëüíî-ýêîíîìè- ÷åñêóþ ïîëèòèêó, îñóùåñòâëÿåìóþ Ïðåçèäåíòîì è Ïðà- âèòåëüñòâîì Ðîñ- ñèéñêîé Ôåäåðàöèè ñ 1992 ãîäà? 107 310 374 68 759 866 36 476 202 30 640 781 3. Ñ÷èòàåòå ëè Âû íå- îáõîäèìûì ïðîâåäå- íèå äîñðî÷íûõ âû- áîðîâ Ïðåçèäåíòà Ðîññèéñêîé Ôåäåðà- öèè? 107 310 374 68 762 529 34 027 310 32 418 972 4. Ñ÷èòàåòå ëè Âû íå- îáõîäèìûì ïðîâåäå- íèå äîñðî÷íûõ âû- áîðîâ íàðîäíûõ äå- ïóòàòîâ Ðîññèéñêîé Ôåäåðàöèè? 107 310 374 68 832 060 46 232 197 20 712 605 298 Îòå÷åñòâåííàÿ èñòîðèÿ â ñõåìàõ è òàáëèöàõ
  • 302.
    ÂÛÁÎÐÛ Â ÃÎÑÓÄÀÐÑÒÂÅÍÍÓÞÄÓÌÓ ÐÎÑÑÈÉÑÊÎÉ ÔÅÄÅÐÀÖÈÈ Ðåçóëüòàòû ïîëèòè÷åñêèõ ïàðòèé, ïîáåäèâøèõ â 1993 ã. Ðîññèéñêàÿ Ôåäåðàöèÿ íà ðóáåæå XX—XXI ââ. 299
  • 303.
    ÂÛÁÎÐÛ Â ÃÎÑÓÄÀÐÑÒÂÅÍÍÓÞ ÄÓÌÓÐÎÑÑÈÉÑÊÎÉ ÔÅÄÅÐÀÖÈÈ Ðåçóëüòàòû ïîëèòè÷åñêèõ ïàðòèé, ïîáåäèâøèõ â 1995 ã. Ðàñïðåäåëåíèå èçáèðàòåëåé â Ãîñóäàðñòâåííóþ Äóìó â 1995 ã. 300 Îòå÷åñòâåííàÿ èñòîðèÿ â ñõåìàõ è òàáëèöàõ
  • 304.
    ÂÛÁÎÐÛ Â ÃÎÑÓÄÀÐÑÒÂÅÍÍÓÞ ÄÓÌÓÐÎÑÑÈÉÑÊÎÉ ÔÅÄÅÐÀÖÈÈ Ðåçóëüòàòû ïîëèòè÷åñêèõ ïàðòèé, ïîáåäèâøèõ â 1999 ã. Ðîññèéñêàÿ Ôåäåðàöèÿ íà ðóáåæå XX—XXI ââ. 301
  • 305.
    ÂÛÁÎÐÛ Â ÃÎÑÓÄÀÐÑÒÂÅÍÍÓÞ ÄÓÌÓÐÎÑÑÈÉÑÊÎÉ ÔÅÄÅÐÀÖÈÈ Ðåçóëüòàòû ïîëèòè÷åñêèõ ïàðòèé, ïîáåäèâøèõ â 2003 ã. Ïàðòèè è èçáèðàòåëüíûå áëîêè Ïðîöåíò ãîëîñîâ Êîëè÷åñòâî ìàíäàòîâ ïî ïàðòèéíûì ñïèñêàì ïî îäíîìàíäàòíûì îêðóãàì âñåãî «Åäèíàÿ Ðîññèÿ» 37,57 120 105 225 ÊÏÐÔ 12,61 40 12 52 ËÄÏÐ 11,45 36 0 36 «Ðîäèíà» 9,02 29 8 38 Äðóãèå — — 33 33 Ïðåäñåäàòåëü Ãîñóäàðñòâåííîé Äóìû ÐÔ – Á.Â. Ãðûçëîâ (ñ äåêàáðÿ 2003) ÐÅÇÓËÜÒÀÒÛ ÏÎËÈÒÈ×ÅÑÊÈÕ ÏÀÐÒÈÉ, ÏÎÁÅÄÈÂØÈÕ Â 2007 Ã. Ïîëèòè÷åñêèå ïàðòèè Ïðîöåíò ãîëîñîâ Êîëè÷åñòâî äåïóòàòñêèõ ìàíäàòîâ ïî ïàðòèéíûì ñïèñêàì «Åäèíàÿ Ðîññèÿ» 64,30 315 ÊÏÐÔ 11,57 57 ËÄÏÐ 8,14 40 Ñïðàâåäëèâàÿ Ðîññèÿ: Ðîäèíà/Ïåíñèîíåðû/ Æèçíü 7,74 38 Äðóãèå — — Ïðåäñåäàòåëü Ãîñóäàðñòâåííîé Äóìû ÐÔ – Á.Â. Ãðûçëîâ (ñ äåêàáðÿ 2007) 302 Îòå÷åñòâåííàÿ èñòîðèÿ â ñõåìàõ è òàáëèöàõ
  • 306.
    Ðîññèéñêàÿ Ôåäåðàöèÿ íàðóáåæå XX—XXI ââ. 303 ÏÐÅÇÈÄÅÍÒÑÊÈÅ ÂÛÁÎÐÛ Â ÐÎÑÑÈÉÑÊÎÉ ÔÅÄÅÐÀÖÈÈ. 1990-å ãã. Êîëè÷åñòâî ãîëîñîâ èçáèðàòåëåé, îòäàííûõ çà êàíäèäàòîâ â ïðåçèäåíòû (â %)
  • 307.
    ÝÊÎÍÎÌÈ×ÅÑÊÀß È ÑÎÖÈÀËÜÍÀß ÏÎËÈÒÈÊÀÏÐÀÂÈÒÅËÜÑÒÂÀ ÐÎÑÑÈÉÑÊÎÉ ÔÅÄÅÐÀÖÈÈ Â 1992—2008 ãã. Ïðåäñåäàòåëü Ïðàâèòåëüñòâà Îñíîâíûå íàïðàâëåíèÿ ïîëèòèêè Ïîñëåäñòâèÿ Åëüöèí Á.Í. (06.11.1991— 15.06.1992 — îäíîâðåìåííî ñ ïîñòîì Ïðåçèäåíòà ÐÔ) Íà÷àëî ðàäèêàëüíîé ýêîíî- ìè÷åñêîé ðåôîðìû — «øî- êîâàÿ òåðàïèÿ» Ðåçêèé ñïàä ïðîèçâîäñòâà. Ïàäåíèå æèçíåííîãî óðîâ- íÿ çíà÷èòåëüíîé ÷àñòè íà- ñåëåíèÿ. Ïîÿâëåíèå áåçðà- áîòèöû. Ìàññîâûå çàäåðæ- êè ñ âûïëàòîé çàðïëàòû Ãàéäàð Å.Ò. (15.06.1992— 14.12.1992 — è.î. ïðåäñåäà- òåëÿ Ïðàâèòåëüñòâà) ×åðíîìûðäèí Â.Ñ. (14.12.1992—23.03.1998) Äîñòèæåíèå òîâàðíîãî èçî- áèëèÿ. Ïðèâëå÷åíèå èíî- ñòðàííûõ èíâåñòèöèé. Ñòà- áèëèçàöèÿ êóðñà ðóáëÿ. Íà- ÷àëî ïðèâàòèçàöèè Ðîñò òåíåâîé ýêîíîìèêè. Ðàñöâåò è êðàõ ôèíàíñîâûõ ïèðàìèä. Êîììåðöèàëèçà- öèÿ íàóêè è êóëüòóðû Êèðèåíêî Ñ.Â. (24.04.1998—23.08.1998) Ïîïûòêà ñáàëàíñèðîâàòü ãîñóäàðñòâåííûé áþäæåò Ôèíàíñîâî-áàíêîâñêèé êðèçèñ («äåôîëò») 17.08.1998. Îáîñòðåíèå ýíåðãåòè÷åñêîãî êðèçèñà Ïðèìàêîâ Å.Ì. (11.09.1998—12.05.1999) Óäåðæàíèå êóðñà ðóáëÿ. Ñòàáèëèçàöèÿ ïîëîæåíèÿ â îáùåñòâå. Ïîãàøåíèå äîë- ãîâ ïî çàðïëàòàì è ïåíñè- ÿì. Àíòèêîððóïöèîííûå óãîëîâíûå äåëà Íà÷àëî ïðîìûøëåííîãî ðîñòà â ñòðàíå. Íàïðÿæåí- íîñòü â îòíîøåíèÿõ ñ Çàïà- äîì è íåóäà÷è â ïåðåãîâîð- íîì ïðîöåññå ñ ÌÂÔ Ñòåïàøèí Ñ.Â. (19.05.1999—09.08.1999) Ïîëó÷åíèå êðåäèòîâ îò çà- ïàäíûõ ñòðàí. Ðåñòðóêòóðè- çàöèÿ äîëãîâ áûâøåãî ÑÑÑÐ Îáîñòðåíèå ñèòóàöèè íà Ñåâåðíîì Êàâêàçå Ïóòèí Â.Â. (16.08.1999—17.05.2000) Êóðñ íà ñòàáèëèçàöèþ ïî- ëèòè÷åñêèõ è ñîöèàëüíûõ îòíîøåíèé Íà÷àëî êîíòðòåððîðèñòè÷å- ñêîé îïåðàöèè â ×å÷íå è Äàãåñòàíå (âòîðàÿ ÷å÷åí- ñêàÿ âîéíà) Êàñüÿíîâ Ì.Ì. (17.05.2000 — 24.02.2004) Ïðîâåäåíèå íàëîãîâîé ðå- ôîðìû. Ââåäåíèå 13%-ãî ïî- äîõîäíîãî íàëîãà è åäèíîãî ñîöèàëüíîãî íàëîãà. Íà÷àëî ïåíñèîííîé ðåôîðìû Ñîêðàùåíèå îáúåìà áàðòå- ðà â ýêîíîìèêå. Ñíèæåíèå áåçðàáîòèöû. Ðîñò çàðïëàòû Ôðàäêîâ Ì. Ì. (05.03.2004 — 12.09.2007) Ïðîâåäåíèå àäìèíèñòðà- òèâíîé ðåôîðìû. Ìîíåòà- ðèçàöèÿ ñîöèàëüíûõ ëüãîò Ñòàáèëèçàöèÿ ñîöèàëüíî- ýêîíîìè÷åñêîãî ïîëîæåíèÿ Çóáêîâ Â.À. (14.09.2007–7.05.2008) Ïðîäîëæåíèå êóðñà íà ñòà- áèëèçàöèþ ñîöèàëüíî-ýêî- íîìè÷åñêîãî ïîëîæåíèÿ â ñòðàíå Ðîñò ïåíñèé è çàðïëàò. Óâå- ëè÷åíèå ïîêàçàòåëåé ýêî- íîìè÷åñêîãî ðîñòà Ïóòèí Â.Â. (08.05.2008— íàñòîÿùåå âðåìÿ Íà÷àëî ðåàëèçàöèè ïðî- ãðàììû ñîöèàëüíî-ýêîíî- ìè÷åñêîãî ðàçâèòèÿ ÐÔ äî 2020 ã. 304 Îòå÷åñòâåííàÿ èñòîðèÿ â ñõåìàõ è òàáëèöàõ
  • 308.
    ÏÐÅÇÈÄÅÍÒÑÊÈÅ ÂÛÁÎÐÛ Â ÐÎÑÑÈÉÑÊÎÉÔÅÄÅÐÀÖÈÈ. 2000-å ãã. Êîëè÷åñòâî ãîëîñîâ èçáèðàòåëåé, îòäàííûõ çà êàíäèäàòîâ â ïðåçèäåíòû (â %) Êàíäèäàòû 2000 ã. 2004 ã. 2008 ã. 26 ìàðòà 14 ìàðòà 2 ìàðòà Â.Â. Ïóòèí 52,94 71,31 — Ê.À. Òèòîâ 1,47 — — Ý.À. Ïàìôèëîâà 1,01 — — Ñ.Ñ. Ãîâîðóõèí 0,44 — — Þ.È. Ñêóðàòîâ 0,43 — — À.È. Ïîäáåðåçêèí 0,13 — — Ó.À. Äæàáðàèëîâ 0,10 — — Í.Ì. Õàðèòîíîâ — 13,69 — Ñ.Þ. Ãëàçüåâ — 4,1 — È.Ì. Õàêàìàäà — 3,84 — Î.Â. Ìàëûøêèí — 2,02 — Ñ.Ì. Ìèðîíîâ — 0,75 — Ä.À. Ìåäâåäåâ — — 70,28 Ã.À. Çþãàíîâ — — 17,72 Â.Â. Æèðèíîâñêèé — — 9,35 À.Â. Áîãäàíîâ — — 1,30 Ðîññèéñêàÿ Ôåäåðàöèÿ íà ðóáåæå XX—XXI ââ. 305
  • 309.
    306 Îòå÷åñòâåííàÿ èñòîðèÿâ ñõåìàõ è òàáëèöàõ ÎÑÍÎÂÍÛÅ ÍÀÏÐÀÂËÅÍÈß ÏÎËÈÒÈÊÈ ÏÐÅÇÈÄÅÍÒÀ ÐÔ Â.Â. ÏÓÒÈÍÀ  2000—2008 ãã.  ïîëèòèêî- ãîñóäàðñòâåííîé ñôåðå  ñîöèàëüíî- ýêîíîìè÷åñêîé ñôåðå  ñôåðå ìåæäóíàðîä- íûõ îòíîøåíèé è âíåøíåé ïîëèòèêè Óêðåïëåíèå âåðòèêàëè ãî- ñóäàðñòâåííîé âëàñòè è äîñòèæåíèå ïîëèòè÷åñêîé ñòàáèëüíîñòè â îáùåñòâå: Ïðîäîëæåíèå êóðñà íà ëèáåðàëèçàöèþ ýêîíî- ìèêè: Ïðèíÿòèå íîâîé êîí- öåïöèè âíåøíåé ïî- ëèòèêè Ðîññèè, èñõî- äÿ èç ìíîãîïîëÿðíîé ñèñòåìû ìåæäóíàðîä- íûõ îòíîøåíèé l ñîçäàíèå 7 ôåäåðàëüíûõ îêðóãîâ âî ãëàâå ñ ïîë- íîìî÷íûìè ïðåäñòàâè- òåëÿìè ïðåçèäåíòà l îñëàáëåíèå áþðî- êðàòè÷åñêîé îïåêè è êîíòðîëÿ ñî ñòîðî- íû ãîñóäàðñòâà çà ïðåäïðèíèìàòåëü- ñêîé äåÿòåëüíîñòüþ Ðàçâèòèå ïàðòíåðñêèõ îòíîøåíèé ñî âñåìè ñòðàíàìè ìèðà l èçìåíåíèå ïðèíöèïà ôîðìèðîâàíèÿ âåðõíåé ïàëàòû Ôåäåðàëüíîãî ñîáðàíèÿ — Ñîâåòà Ôå- äåðàöèè — è ïðåâðàùå- íèå åãî â ïîñòîÿííî äåéñòâóþùèé çàêîíîäà- òåëüíûé îðãàí l ïðèíÿòèå ìåð, íà- ïðàâëåííûõ íà ïîä- äåðæêó ìàëîãî áèç- íåñà l íà÷àëî ðåàëèçàöèè íàöèîíàëüíûõ ïðî- åêòîâ Ïîääåðæêà çàïàäíûõ ñòðàí â áîðüáå ñ ìåæ- äóíàðîäíûì òåððîðèçìîì l ñîçäàíèå Ãîñóäàðñòâåí- íîãî ñîâåòà ÐÔ êàê ñî- âåùàòåëüíî-êîíñóëüòà- òèâíîãî îðãàíà ãëàâ ñóáúåêòîâ ÐÔ ïðè Ïðå- çèäåíòå ÐÔ l îñóùåñòâëåíèå àäìèíè- ñòðàòèâíîé ðåôîðìû l ñîêðàùåíèå íàëîãî- âîãî áðåìåíè, ââåäå- íèå 13%-ãî ïîäîõîä- íîãî íàëîãà l íà÷àëî ñîöèàëüíûõ ðåôîðì (ïåíñèîí- íîé ñèñòåìû, çäðà- âîîõðàíåíèÿ, ìîíå- òàðèçàöèÿ ëüãîò)
  • 310.
    ÃËÀÂÍÛÅ ÏÐÈÍÖÈÏÛ ÃÎÑÓÄÀÐÑÒÂÅÍÍÎÉ ÏÎËÈÒÈÊÈÂ.Â. ÏÓÒÈÍÀ Ðîññèéñêàÿ Ôåäåðàöèÿ íà ðóáåæå XX—XXI ââ. 307
  • 311.
    308 Îòå÷åñòâåííàÿ èñòîðèÿâ ñõåìàõ è òàáëèöàõ Îñíîâíûå íàïðàâëåíèÿ Îòíîøåíèÿ ñî ñòðàíàìè ÑÍà Åâðîïà, ÍÀÒÎ, Ðîññèÿ Ðîññèéñêî- àìåðèêàíñêèå îòíîøåíèÿ Îòíîøåíèÿ ñî ñòðàíà- ìè Àçèè, Àôðèêè è Ëàòèíñêîé Àìåðèêè Ðàâíîïðàâ- íûå îòíîøå- íèÿ ñîãëàñî- âàíèÿ ýêîíî- ìè÷åñêèõ, ïîëèòè÷å- ñêèõ, âîåí- íûõ è äðóãèõ âîïðîñîâ Ðàñøèðåíèå ÍÀÒÎ íà Âîñòîê. Ñîç- äàíèå Ñîâå- òà Ðîññèÿ — ÍÀÒÎ äëÿ ñîâìåñòíîãî ðåøåíèÿ âî- ïðîñîâ Ñîêðàùåíèå ñòðàòåãè÷å- ñêèõ íàñòóïà- òåëüíûõ âîî- ðóæåíèé ÑÍÂ-2 ÑÍÂ-3 Ñîòðóäíè- ÷åñòâî â áîðüáå ñ ìåæäóíà- ðîäíûì òåððîðèç- ìîì Äîãîâîð î ïàðò- íåðñòâå ñ Êèòàåì Îñîáåííîñòè Êîíöåïöèÿ âíåøíåé ïîëèòèêè 2000 ã. Ðîññèÿ — âåëèêàÿ åâðàçèéñêàÿ äåðæàâà, íåñóùàÿ îòâåòñòâåííîñòü çà ïîääåðæàíèå ìèðîâîé áåçîïàñíîñòè Ñìåíà ïàðàäèãì â ìèðîâîé ïîëèòèêå ââèäó îêîí÷àíèÿ «õîëîäíîé âîéíû». Ïåðåõîä îò áèïîëÿðíîé ñèñòåìû ìåæäóíàðîäíûõ îòíîøåíèé ê ìíîãîïîëÿðíîé. Ïîÿâëåíèå íîâîãî íàïðàâëåíèÿ âíåøíåé ïîëèòèêè — îòíîøåíèÿ ñ ÑÍà Âíåøíÿÿ ïîëèòèêà ñîâðåìåííîé Ðîññèè
  • 312.
    ÈÒÎÃÈ ÂÑÅÐÎÑÑÈÉÑÊÎÉ ÏÅÐÅÏÈÑÈ ÍÀÑÅËÅÍÈß2002 ã. 145,2 ìëí ÷åëîâåê ñ÷èòàþòñÿ ãðàæäàíàìè Ðîññèè 106,4 ìëí ÷åëîâåê (73%) — ãîðîæàíå 38,8 ìëí ÷åëîâåê (27%) — ñåëüñêèå æèòåëè ÍÀÖÈÎÍÀËÜÍÛÉ ÑÎÑÒÀ (òûñ. ÷åëîâåê) Ðîññèéñêàÿ Ôåäåðàöèÿ íà ðóáåæå XX—XXI ââ. 309 Ðóññêèå 115 868,5 (79,8%) Äðóãèå íàöèîíàëüíîñòè 27 838,1 (19,2%) Íàöèîíàëüíàÿ ïðèíàäëåæíîñòü íå óêàçàíà 1457,7 (1,0%) Òàòàðû Óêðàèíöû Áàøêèðû 1673,8 (6,0%) ×óâàøè 1637,2 (5,9%) ×å÷åíöû 1361,0 (4,9%) Àðìÿíå 1130,2 (4,1%) Ìîðäâà 844,5 (3,0%) Áåëîðóñû 814,7 (2,9%) Àâàðöû 757,1 (2,7%) Êàçàõè 655,1 (2,4%) Óäìóðòû 636,9 (2,3%) Àçåðáàéäæàíöû 621,5 (2,2%) Ìàðèéöû 604,8 (2,2%) Íåìöû 597,1 (2,1%) Êàáàðäèíöû 520,1 (1,9%) Îñåòèíû 514,9 (1,8%) Äàðãèíöû 510,2 (1,8%) Áóðÿòû 445,3 (1,6%) ßêóòû 444,0 (1,6%) Êóìûêè 422,5 (1,5%) Èíãóøè 411,8 (1,5%) Ëåçãèíû 411,6 (1,5%) Èíûå 5558,0 (20,0%) 2943,5 (10,6) 4322,5 (15,5%)
  • 313.
    ÈÇÌÅÍÅÍÈÅ×ÈÑËÅÍÍÎÑÒÈ ÃÎÐÎÄÑÊÎÃÎÈÑÅËÜÑÊÎÃÎÍÀÑÅËÅÍÈß 310 Îòå÷åñòâåííàÿ èñòîðèÿâ ñõåìàõ è òàáëèöàõ —âñåíàñåëåíèå 160— 140— 120— 100— 80— 60— 40— 20— 0 Ãîðîäñêîå Ñåëüñêîå 117 130 137 147 145 5649 42 3939 61 81 95 108106 Ìëí÷åëîâåê 1959ã.1970ã.1979ã.1989ã.2002ã.
  • 314.
    ÓÐÎÂÅÍÜÎÁÐÀÇÎÂÀÍÈßÍÀÑÅËÅÍÈß Ðîññèéñêàÿ Ôåäåðàöèÿ íàðóáåæå XX—XXI ââ. 311 050100150200250300 Âûñøåå ïðîôåññèîíàëüíîå Íåïîëíîåâûñøåå ïðîôåññèîíàëüíîå Ñðåäíåå ïðîôåññèîíàëüíîå Íà÷àëüíîå ïðîôåññèîíàëüíîå Ñðåäíåå(ïîëíîå) îáùåå Îñíîâíîå îáùåå Íà÷àëüíîå îáùåå Íåèìåþòíà÷àëüíîãî îáùåãîîáðàçîâàíèÿ (Íà1000÷åëîâåê ââîçðàñòå 15ëåòèáîëåå) 2002ã. 1989ã.
  • 315.
    ÊÀÊ ÌÛ ÇÀÐÀÁÀÒÛÂÀÅÌÍÀ ÆÈÇÍÜ 312 Îòå÷åñòâåííàÿ èñòîðèÿ â ñõåìàõ è òàáëèöàõ 1 — Äîõîä îò òðóäîâîé äåÿòåëüíîñòè (êðîìå ðàáîòû â ëè÷íîì ïîäñîáíîì õîçÿéñòâå) 2 — Ëè÷íîå ïîäñîáíîå õîçÿéñòâî 3 — Ñòèïåíäèÿ 4 — Ïåíñèÿ (êðîìå ïåíñèè ïî èíâàëèäíîñòè) 5 — Ïåíñèÿ ïî èíâàëèäíîñòè 6 — Ïîñîáèå (êðîìå ïîñîáèÿ ïî áåçðàáîòèöå) 7 — Ïîñîáèå ïî áåçðàáîòèöå 8 — Äðóãîé âèä ãîñóäàðñòâåííîãî îáåñïå÷åíèÿ 9 — Ñáåðåæåíèÿ 10 — Äîõîä îò ñäà÷è âíàåì èëè â àðåíäó èìóùåñòâà 11 — Íà èæäèâåíèè îòäåëüíûõ ëèö 12 — Èíîé èñòî÷íèê 13 — Íå óêàçàâøèå èñòî÷íèê ñðåäñòâ ê ñóùåñòâîâàíèþ 70 000 60 000 50 000 40 000 30 000 20 000 10 000 0 Òûñ. ÷åë. 1 2 3 4 5 6 11 7 8 9 10 12 13
  • 316.
    ×ÈÑËÎÆÅÍÙÈÍÍÀ1000ÌÓÆ×ÈÍ Ðîññèéñêàÿ Ôåäåðàöèÿ íàðóáåæå XX—XXI ââ. 313 1270— 1250— 1230— 1210— 1190— 1170— 1150— 1130— 1110— 1090— 1070 Êîëè÷åñòâîæåíùèí 1226 1261 1183 1218 1170 1183 1145 1125 1167 1101 1959ã.1970ã.1979ã.1989ã.2002ã. Âñåíàñåëåíèå 1243 1196 1174 1140 1147 —ãîðîäñêîå—ñåëüñêîå
  • 317.
    ÑÅÌÅÉÍÛÅÈÎÄÈÍÎÊÈÅ 314 Îòå÷åñòâåííàÿ èñòîðèÿâ ñõåìàõ è òàáëèöàõ314 Îòå÷åñòâåííàÿ èñòîðèÿ â ñõåìàõ è òàáëèöàõ 700— 600— 500— 400— 300— 200— 100— 0 Íèêîãäàíå ñîñòîÿâøèå âáðàêå Ñîñòîÿùèå âáðàêå ÂäîâûåÐàçâåäåííûåè ðàçîøåäøèåñÿ Íà1000÷åëîâåê ââîçðàñòå16ëåòèáîëåå 1989ã.2002ã.(Ïîäàííûìïåðåïèñåéíàñåëåíèÿ) ×åëîâåê
  • 318.
    Ðîññèéñêàÿ Ôåäåðàöèÿ íàðóáåæå XX—XXI ââ. 315
  • 319.
    ÍÎÂÛÉ ÏÎÐßÄÎÊ ÎÒÁÎÐÀÊÀÍÄÈÄÀÒÎÂ È ÈÇÁÐÀÍÈß ÃÓÁÅÐÍÀÒÎÐÎÂ Ñ 2005 ã. 316 Îòå÷åñòâåííàÿ èñòîðèÿ â ñõåìàõ è òàáëèöàõ * Ìåõàíèçì ðîñïóñêà Çàêîíîäàòåëüíîãî ñîáðàíèÿ â ñëó÷àå îòêëîíåíèÿ ïðåçèäåíòñêîé êàíäèäàòóðû ïîêà þðèäè÷åñêè íå îôîðìëåí. * Îñóùåñòâëÿåò ñîäåéñòâèå îðãàíàì ãîñóäàðñòâåííîé âëàñòè è ìåñòíîãî ñàìîóïðàâëåíèÿ â ïðîâåäåíèè ãîñóäàðñòâåííîé ïîëèòèêè.
  • 320.
    Ðîññèéñêàÿ Ôåäåðàöèÿ íàðóáåæå XX—XXI ââ. 317
  • 321.
    318 Îòå÷åñòâåííàÿ èñòîðèÿâ ñõåìàõ è òàáëèöàõ
  • 322.
    Ñïðàâî÷íîå èçäàíèå ÍÀÃËßÄÍÎ ÈÄÎÑÒÓÏÍÎ Êèðèëëîâ Âèêòîð Âàñèëüåâè÷ ÎÒÅ×ÅÑÒÂÅÍÍÀß ÈÑÒÎÐÈß Â ÑÕÅÌÀÕ È ÒÀÁËÈÖÀÕ Äèðåêòîð ðåäàêöèè È.Å. Ôåäîñîâà Îòâåòñòâåííûé ðåäàêòîð À.Â. Æèëèíñêàÿ Íàó÷íûé ðåäàêòîð Ò.Â. Ôîìèíà Âåäóùèé ðåäàêòîð Ò.À. Ñóäàêîâà Õóäîæåñòâåííûé ðåäàêòîð Å.Â. Áðûí÷èê Òåõíè÷åñêèé ðåäàêòîð Í.È. Òðîñòÿíñêàÿ Êîìïüþòåðíàÿ âåðñòêà È.À. Êîíäðàòþê Êîððåêòîð Í.Â. Äðóõ Ïîäïèñàíî â ïå÷àòü 19.03.2010. Ôîðìàò 60x901 /16 . Ãàðíèòóðà «Òàéìñ». Ïå÷àòü îôñåòíàÿ. Óñë. ïå÷. ë. 20,0. Òèðàæ 3000 ýêç. Çàêàç .