Applied Medical Engineering Science, Graduate School of Medicine 1
Dynamics and Design Conference 2016
August 23 – 26
てんかん波抑制における
冷却速度と脳波帯域の関係
Relationship between Brain Cooling Rate
in Epileptic Discharges and ECoG Band Spectrum
○上原賢祐∗1 宮後健太郎 齊藤俊
∗1山口大学大学院 医学系研究科
応用医工学系専攻 博士前期課程
てんかん波
Applied Medical Engineering Science, Graduate School of Medicine
<てんかん> ・・・ 脳の異常な電気放電によって,痙攣などが生じる病気
2
脳
正常脳波(mV) 正常脳波よりも尖った
スパイク波が特徴的
全身(部分)痙攣
意識障害
100人に1人!
<治療法>
⚫ 約70% ・・・ 定期的な飲み薬
⚫ 〃30% ・・・ 手術 (脳の切除)
• 切除不可能な部位がある
• 侵襲性が高い
術後,運動障害や言語障害が
生じる可能性がある場合
手術に代わる新しい治療法
Background – Epilepsy
3Applied Medical Engineering Science, Graduate School of Medicine
<脳冷却法> ・・・ 手術に代わる新しいてんかん治療法
Cooling
15℃
ラットを用いた脳表の冷却実験の様子
脳表の温度を冷却する事で,
てんかん波が抑制される
てんかん波の抑制効果を確認 ⇒ てんかん治療
てんかん波冷却装置
脳波電極
熱電対
ECoG(mV)脳表の温度(oC)
時間 (s)
動物実験は山口大学医学部動物実験委員会の審査を受
け,「山口大学動物実験指針」,「動物の保護および管理に
関する法律」及び「実験動物の飼養及び保管に関する基準」
の規則に基づき,山口大学脳神経外科の協力の下で行った
Background – New treatment
Applied Medical Engineering Science, Graduate School of Medicine
<脳冷却> ・・・ てんかん波の抑制効果の温度依存性
25oC 15oC
てんかん波
Kida H., et al, “Focal brain cooling terminates the faster frequency components of epileptic discharges induced by penicillin G in anesthetized rats”,
Clinical Neurophysiology, Vol.123, No.9 (2012), pp.1708-13.
パワー(mV2)
時間 (sec)
■冷却無
□冷却有
d q a b1 b2
脳表温度
低 ←――――――→ 高周波
d q a b1 b2
4
結果 : より低温状態にすることで,効果的にてんかん波を抑制できる
(但, 脳組織の安全性を考慮し15oCまで)
Previous Research – Cooling TemperatureECoG(mV)
低 ←――――――→ 高周波
d 波 0.5 – 4 Hz
q 波 4 – 8 Hz
a 波 8 – 13 Hz
b 波 13 – 30 Hz
15oCの方が
てんかん波の振幅
が小さく
脳冷却温度 25 vs 15 oC
脳波ECoG の振幅
Applied Medical Engineering Science, Graduate School of Medicine 5
Previous Research – Cooling Temperature
脳波の周波数について
精神状態や心理状態に応じた支配的な周波数が存在する
1秒間に現れる波
d 波 0.5 – 4 Hz
q 波 4 – 8 Hz
a 波 8 – 13 Hz
b 波 13 – 30 Hz 高周波(ストレス状態)
低周波(睡眠状態)
FFT解析を行う事によって,脳波中の
各周波数帯の含有量(Power)を調べることが出来る
徐波
速波
Applied Medical Engineering Science, Graduate School of Medicine
<脳冷却> ・・・ てんかん波の抑制効果の温度依存性
25oC 15oC
Kida H., et al, “Focal brain cooling terminates the faster frequency components of epileptic discharges induced by penicillin G in anesthetized rats”,
Clinical Neurophysiology, Vol.123, No.9 (2012), pp.1708-13.
Power(mV2)
時間 (sec)
■冷却無
□冷却有
d q a b1 b2
脳表温度
低 ←――――――→ 高周波
d q a b1 b2
d 波 0.5 – 4 Hz
q 波 4 – 8 Hz
a 波 8 – 13 Hz
b 波 13 – 30 Hz
6
結果 : より低温状態にすることで,効果的にてんかん波を抑制できる
(但, 脳組織の安全性を考慮し15oCまで)
Previous Research – Cooling Temperature
脳冷却温度 25 vs 15 oC
ECoG(mV)
低 ←――――――→ 高周波
全周波数成分
の抑制
a波 以上
ほとんど消滅
てんかん波
周波数解析
Applied Medical Engineering Science, Graduate School of Medicine
抑制と冷却の理解 と 冷却装置を含むシステムの最適化
<本報告>
目的 : てんかん波抑制の冷却速度依存性の調査
実施事項 : ラット(n=4)による動物実験
: 冷却速度の違いを周波数解析により検討
8
冷却温度を一定とし,冷却速度を変更
Purpose
てんかん波の検知
脳表の自動冷却
インプラント
小型冷却装置
制御ユニット
など
<冷却装置> ・・・ 将来的に考えている装置
実現にむけて
Applied Medical Engineering Science, Graduate School of Medicine
Craniotomyarea(5×10mm)
抜去範囲 (7*12mm)
てんかん誘発剤
(体性感覚野)
ラットの頭蓋骨を上から見た図
歯科用ドリルにて開頭した様子
頭蓋骨
脳皮質
動物実験は山口大学医学部動物実験委員会の審査を受
け,「山口大学動物実験指針」,「動物の保護および管理に
関する法律」及び「実験動物の飼養及び保管に関する基準」
の規則に基づき,山口大学脳神経外科の協力の下で行った
熱電対電極
冷却水
小型冷却デバイス
ペルチェ素子
(6×6mm)
頭蓋骨
脳表
9
Epilepsy Model Rats (N=4) & Experimental
Applied Medical Engineering Science, Graduate School of Medicine
I : 120 II III : 300 IV : 150
15
o
C
(秒)
I : 冷却なし区間(純てんかん波)
10 s
脳表温度
脳波 (mV)
II : 目標温度までの到達時間
(30s, 60s, 100s, 200s)
IV : 復温
III : 目標温度を保つ区間
33-34
o
C
実験条件
時刻歴
脳波データ
周波数帯域成分の
Powerの比較
FFT
(1秒毎)
ラット4匹 × 4条件 = 16データ
d 波 0.5 – 4 Hz
q 波 4 – 8 Hz
a 波 8 – 13 Hz
b 波 13 – 30 Hz
各周波数成分がどのくらい
含まれているのか??
2つの
結果を報告
10
Experimental & Analysis Condition
Applied Medical Engineering Science, Graduate School of Medicine
I II III IV I II III IV
てんかん波が脳冷却によって抑制されている様子が確認できる
ECoG(mV)
ECoG(mV)
時間 (秒)時間 (秒)
脳表温度(oC)
脳表温度(oC)
d 波
q 波
a 波
b 波
Power(mV2)
Power(mV2)
時間 (秒)時間 (秒)
FFT
11
Results ( L : II=30sec R : II=200sec )
Applied Medical Engineering Science, Graduate School of Medicine
I II III IV I II III IV
約1.7倍増加
時間 (秒)時間 (秒)
区間Iとの各区間のPowerの平均(-)
区間Iとの各区間のPowerの平均(-)
区間(Iとの比)区間(Iとの比)
12
Results ( L : II=30sec R : II=200sec )
各区間(I~IV)毎に平均をとり,それを区間I(純てんかん波)と比をとる
Power(mV2)
Power(mV2)
d 波
q 波
a 波
b 波
d 波
q 波
a 波
b 波
I II III IV
0.0
0.5
1.0
1.5
Averageofpowersupectral(-)
Area
Applied Medical Engineering Science, Graduate School of Medicine
区間(Iとの比)区間(Iとの比)
30秒のデータ(速い冷却)
30秒 VS 200秒
200秒のデータ(遅い冷却)
復温した際も同様に小さくなっている
30秒のデータ(速い冷却)
200秒のデータ(遅い冷却)
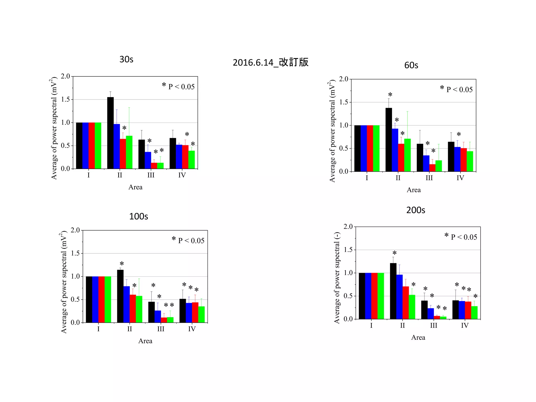
区間III・・・200秒のデータは,30秒データの約半分に!!
区間Iとの各区間のPowerの平均(-)
区間Iとの各区間のPowerの平均(-)
区間(Iとの比)
もし,1なら?? 冷却速度依存性無し!!
30秒 200秒
13
Results ( L : II=30sec R : II=200sec )
d 波
q 波
a 波
b 波
Applied Medical Engineering Science, Graduate School of Medicine
てんかん波抑制
冷却速度の依存性
時間をかけて脳冷却を行う事が効果的
効果的なてんかん波の抑制 と 冷却装置を含むシステムの最適化
区間(Iとの比)
区間(Iとの比)区間(Iとの比)
区間Iとの各区間のPowerの平均(-)
30秒 200秒
区間Iとの各区間のPowerの平均(-)
脳冷却速度と
てんかん波の持つ
周波数の抑制効果
30秒(速い) ・・・ 抑制効果が小さい
200秒(遅い) ・・・ が大きい
300秒 300秒
cool cool
30秒 VS 200秒
14
Results ( L : II=30sec R : II=200sec )
d 波
q 波
a 波
b 波
Applied Medical Engineering Science, Graduate School of Medicine
目 的 : てんかん波抑制の冷却速度依存性の調査
実施事項 : ラット(n=4)による動物実験
周波数解析による冷却速度の違いを検討
結 果 : てんかん波抑制には...
脳の冷却温度だけではなく,冷却速度にも依存
冷却速度の遅い(200秒)方が効果的
素早い冷却が良いというわけではない!!
15
Conclusion
補足資料
Applied Medical Engineering Science, Graduate School of Medicine 17
Discussion
冷却の時間を揃えて周波数解析III = 300s III = 300s
II = 30s II = 200s
冷却開始220秒後の100秒間の周波数解析
III = 100sIII = 100s
Applied Medical Engineering Science, Graduate School of Medicine 18
Discussion
冷却の時間を揃えて周波数解析III = 300s III = 300s
II = 30s II = 200s III = 100sIII = 100s
III (300s) III (100s)
0.000
0.002
0.004
0.006
0.008
Averageofpowersupectral(mV
2
)
Area
III (300s) III (100s)
0.000
0.002
0.004
0.006
0.008
Averageofpowersupectral(mV
2
)
Area
低高 同同
d 波
q 波
a 波
b 波
III (300s) III (100s)
0.000
0.001
0.002
Averageofpowersupectral(mV
2
)
Area
#36_30s #57_30s
#73_30s #81_30s
III (300s) III (100s)
0.000
0.002
0.004
0.006
0.008
Averageofpowersupectral(mV
2
)
Area
III (300s) III (100s)
0.00
0.01
0.02
Averageofpowersupectral(mV
2
)
Area
III (300s) III (100s)
0.0000
0.0005
0.0010
0.0015
0.0020
0.0025
0.0030
0.0035
0.0040
Averageofpowersupectral(mV
2
)
Area
#40_200s
#80_200s#70_200s
#58_200s
III (300s) III (100s)
0.000
0.001
0.002
Averageofpowersupectral(mV
2
)
Area
III (300s) III (100s)
0.000
0.002
0.004
0.006
0.008
Averageofpowersupectral(mV
2
)
Area
III (300s) III (100s)
0.000
0.002
0.004
0.006
0.008
0.010
0.012
0.014
0.016
0.018
Averageofpowersupectral(mV
2
)
Area
III (300s) III (100s)
0.000
0.002
0.004
Averageofpowersupectral(mV
2
)
Area
Applied Medical Engineering Science, Graduate School of Medicine 21
Discussion
30s 60s 100s 200s
0.000
0.002
0.004
0.006
0.008
Averageofpowersupectral(mV
2
)
Area
340 – 439秒間(100)の冷却している時間を揃えた周波数解析結果
4データの平均値
30s 60s 100s 200s
0.0000
0.0002
0.0004
0.0006
0.0008
0.0010
Averageofpowersupectral(mV
2
)
Area
拡
大
d 波
q 波
a 波
b 波
ほとんど同様な結果
速い冷却の方が周波数のPowerが低い
(冷却状態の時間の長い方が周波数を抑える事が出来る)
(急速に冷やした方がやはり効果的?)
(奪った熱量が多いからか?)
Applied Medical Engineering Science, Graduate School of Medicine
背景と仮設
20oC
I II III IV
0.0
0.5
1.0
1.5
2.0
2.5
Averageofpowersupectral(mV
2
)
Area
22
Applied Medical Engineering Science, Graduate School of Medicine
背景と仮設
周波数帯域のパワーの変化
<2011年>市川(山口大,医学系研究科)
脳冷却によるてんかん波の周波数帯域成分の抑制効果の違いを発表
市川 琢也 他, “局所脳冷却による脳波の帯域抑制効果に関する基礎的研究”,
日本機械学会年次大会講演論文集, Vol.2011 (2011), page.ROMBUNNO.J022051.
23
てんかん (大脳が異常に興奮する病気)
• 突発的な痙攣
• 筋緊張の低下
• 意識の低下
症状
Footage of a Graphic Epileptic Seizure , caught on tape, Jan, 2003.
By Christine Lowe, Epileptic/Medical Marijuana License Holder
<https://www.youtube.com/watch?v=MRZY2a2jnuw>
70% ・・・ 薬剤による治療
治療法
30% ・・・ 外科的治療
通常脳波 てんかん波
観測脳波
通常脳波からてんかん波(1000秒付近)
に移り変わる脳波の様子
Introduction
Applied Medical Engineering Science,
Graduate School of Medicine
Introduction
冷却治療
• シンプルかつ安全(非侵襲)
• 適切な冷却温度による処置
直流電流の作用により
両面で温度差が生じる
PN
PN
PN
半導体
(P型 & N型)
銀板 吸熱面
放熱面
熱移動
導線
ペルチェ(熱電変換)素子・・・冷却方法の一つ
• 温度制御が可能
• 騒音や振動がない
• 小型・軽量
生体冷却に扱う際の利点
アクティブな冷却治療が可能!
冷却治療適用例
• てんかん
• 悪性腫瘍の凍結治療 など
Applied Medical Engineering Science,
Graduate School of Medicine
熱電対
ヒートシンク
ペルチェ素子
銀板
冷却水循環チューブ
電力供給コネクタ
150mm
冷却装置(3つ)
モデル図
ペルチェ素子を用いた小型冷却装置のプロトタイプ
Modeling
Device A
Device B
6×6mm
Device C
15×15mm
Applied Medical Engineering Science,
Graduate School of Medicine
熱電対
ヒートシンク
ペルチェ素子
銀板
冷却水循環チューブ
電力供給コネクタ
150mm
冷却装置 モデル図
model 9500/018/018M
Imax [A] 1.8
Vmax [V] 2.5
Tmax [℃] 70
Qmax [W] 2.4
Size [mm] 6.05×6.05×2.34
ペルチェ素子詳細
ペルチェ素子を用いた小型冷却装置のプロトタイプ
Device A(性能良い)
Device B(性能悪い)
予備として二つ用意
Modeling
Applied Medical Engineering Science,
Graduate School of Medicine
Applied Medical Engineering Science,
Graduate School of Medicine
EEG PC
Temperature controlled bath
Pump
Infusion PumpSD Rat
Focal cooling device
INOUT
Power amp
PLC
Thermocouple
Conductor wire
Water line
Thermocouple
Electrode
Water (0oC)
Focal cooling device
(6×6mm)
Skull (SD rat)
Cerebral cortex
SD rat
Focal cooling device
Infusion
pump
Temperature controlled bath
Water pump
PL
C
Power amp
PC (ECoG) PC (temp.)
0 100 200 300 400 500 600
0.0
0.2
0.4
0.6
0.8
1.0
Contentrateofpowerspectral(-)
Time (s)
#59_60s
#58_200s
0 100 200 300 400 500 600 700
0.0
0.2
0.4
0.6
0.8
1.0
Contentrateofpowerspectral(-)
Time (s)
#55_100s
0 100 200 300 400 500 600
0.0
0.2
0.4
0.6
0.8
1.0
Contentrateofpowerspectral(-)
Time (s)
#57_30s
0 100 200 300 400 500 600
0.0
0.2
0.4
0.6
0.8
1.0
Contentrateofpowerspectral(-)
Time (s)
60s
200s
100s
30s 2016.6.14_改訂版
I II III IV
0.0
0.5
1.0
1.5
2.0
Averageofpowersupectral(mV
2
)
Area
* *
* P < 0.05
*
*
**
I II III IV
0.0
0.5
1.0
1.5
2.0
Averageofpowersupectral(mV
2
)
Area
*
*
*
* P < 0.05
*
*
*
I II III IV
0.0
0.5
1.0
1.5
2.0
Averageofpowersupectral(mV
2
)
Area
* *
*
* P < 0.05
*
**
***
I II III IV
0.0
0.5
1.0
1.5
2.0
Averageofpowersupectral(-) Area
* *
* P < 0.05
*
*
**
* **
*
31Applied Medical Engineering Science, Graduate School of Medicine
Introduction
生体反応の例・・・・ふるえ熱産生とは?
神経活動の抑制剤であるムシモールを視床下部に微量注入
Nakamura kazuhiro, kyouto university,
Central efferent pathways for cold-defensive and febrile shivering
恒温動物 ・・・・ 体温が低下するのを防ぐために,脳からの指令によって,
骨格筋を震えさせる事により熱を産生する.
(体温上昇)
32Applied Medical Engineering Science, Graduate School of Medicine
Introduction
生体反応の例・・・・基礎代謝について
• 生命活動を維持するために生体で自動的(生理的)に
行われている活動で必要なエネルギーの事
一日に消費するエネルギ量(熱量)
成人男性 → 約1500(kcal)
成人女性 → 約1200(kcal)
※消費量は骨格筋・肝臓・脳が半分以上占める

てんかん波抑制における脳冷却速度と周波数帯域の関係について

  • 1.
    Applied Medical EngineeringScience, Graduate School of Medicine 1 Dynamics and Design Conference 2016 August 23 – 26 てんかん波抑制における 冷却速度と脳波帯域の関係 Relationship between Brain Cooling Rate in Epileptic Discharges and ECoG Band Spectrum ○上原賢祐∗1 宮後健太郎 齊藤俊 ∗1山口大学大学院 医学系研究科 応用医工学系専攻 博士前期課程
  • 2.
    てんかん波 Applied Medical EngineeringScience, Graduate School of Medicine <てんかん> ・・・ 脳の異常な電気放電によって,痙攣などが生じる病気 2 脳 正常脳波(mV) 正常脳波よりも尖った スパイク波が特徴的 全身(部分)痙攣 意識障害 100人に1人! <治療法> ⚫ 約70% ・・・ 定期的な飲み薬 ⚫ 〃30% ・・・ 手術 (脳の切除) • 切除不可能な部位がある • 侵襲性が高い 術後,運動障害や言語障害が 生じる可能性がある場合 手術に代わる新しい治療法 Background – Epilepsy
  • 3.
    3Applied Medical EngineeringScience, Graduate School of Medicine <脳冷却法> ・・・ 手術に代わる新しいてんかん治療法 Cooling 15℃ ラットを用いた脳表の冷却実験の様子 脳表の温度を冷却する事で, てんかん波が抑制される てんかん波の抑制効果を確認 ⇒ てんかん治療 てんかん波冷却装置 脳波電極 熱電対 ECoG(mV)脳表の温度(oC) 時間 (s) 動物実験は山口大学医学部動物実験委員会の審査を受 け,「山口大学動物実験指針」,「動物の保護および管理に 関する法律」及び「実験動物の飼養及び保管に関する基準」 の規則に基づき,山口大学脳神経外科の協力の下で行った Background – New treatment
  • 4.
    Applied Medical EngineeringScience, Graduate School of Medicine <脳冷却> ・・・ てんかん波の抑制効果の温度依存性 25oC 15oC てんかん波 Kida H., et al, “Focal brain cooling terminates the faster frequency components of epileptic discharges induced by penicillin G in anesthetized rats”, Clinical Neurophysiology, Vol.123, No.9 (2012), pp.1708-13. パワー(mV2) 時間 (sec) ■冷却無 □冷却有 d q a b1 b2 脳表温度 低 ←――――――→ 高周波 d q a b1 b2 4 結果 : より低温状態にすることで,効果的にてんかん波を抑制できる (但, 脳組織の安全性を考慮し15oCまで) Previous Research – Cooling TemperatureECoG(mV) 低 ←――――――→ 高周波 d 波 0.5 – 4 Hz q 波 4 – 8 Hz a 波 8 – 13 Hz b 波 13 – 30 Hz 15oCの方が てんかん波の振幅 が小さく 脳冷却温度 25 vs 15 oC 脳波ECoG の振幅
  • 5.
    Applied Medical EngineeringScience, Graduate School of Medicine 5 Previous Research – Cooling Temperature 脳波の周波数について 精神状態や心理状態に応じた支配的な周波数が存在する 1秒間に現れる波 d 波 0.5 – 4 Hz q 波 4 – 8 Hz a 波 8 – 13 Hz b 波 13 – 30 Hz 高周波(ストレス状態) 低周波(睡眠状態) FFT解析を行う事によって,脳波中の 各周波数帯の含有量(Power)を調べることが出来る 徐波 速波
  • 6.
    Applied Medical EngineeringScience, Graduate School of Medicine <脳冷却> ・・・ てんかん波の抑制効果の温度依存性 25oC 15oC Kida H., et al, “Focal brain cooling terminates the faster frequency components of epileptic discharges induced by penicillin G in anesthetized rats”, Clinical Neurophysiology, Vol.123, No.9 (2012), pp.1708-13. Power(mV2) 時間 (sec) ■冷却無 □冷却有 d q a b1 b2 脳表温度 低 ←――――――→ 高周波 d q a b1 b2 d 波 0.5 – 4 Hz q 波 4 – 8 Hz a 波 8 – 13 Hz b 波 13 – 30 Hz 6 結果 : より低温状態にすることで,効果的にてんかん波を抑制できる (但, 脳組織の安全性を考慮し15oCまで) Previous Research – Cooling Temperature 脳冷却温度 25 vs 15 oC ECoG(mV) 低 ←――――――→ 高周波 全周波数成分 の抑制 a波 以上 ほとんど消滅 てんかん波 周波数解析
  • 7.
    Applied Medical EngineeringScience, Graduate School of Medicine 抑制と冷却の理解 と 冷却装置を含むシステムの最適化 <本報告> 目的 : てんかん波抑制の冷却速度依存性の調査 実施事項 : ラット(n=4)による動物実験 : 冷却速度の違いを周波数解析により検討 8 冷却温度を一定とし,冷却速度を変更 Purpose てんかん波の検知 脳表の自動冷却 インプラント 小型冷却装置 制御ユニット など <冷却装置> ・・・ 将来的に考えている装置 実現にむけて
  • 8.
    Applied Medical EngineeringScience, Graduate School of Medicine Craniotomyarea(5×10mm) 抜去範囲 (7*12mm) てんかん誘発剤 (体性感覚野) ラットの頭蓋骨を上から見た図 歯科用ドリルにて開頭した様子 頭蓋骨 脳皮質 動物実験は山口大学医学部動物実験委員会の審査を受 け,「山口大学動物実験指針」,「動物の保護および管理に 関する法律」及び「実験動物の飼養及び保管に関する基準」 の規則に基づき,山口大学脳神経外科の協力の下で行った 熱電対電極 冷却水 小型冷却デバイス ペルチェ素子 (6×6mm) 頭蓋骨 脳表 9 Epilepsy Model Rats (N=4) & Experimental
  • 9.
    Applied Medical EngineeringScience, Graduate School of Medicine I : 120 II III : 300 IV : 150 15 o C (秒) I : 冷却なし区間(純てんかん波) 10 s 脳表温度 脳波 (mV) II : 目標温度までの到達時間 (30s, 60s, 100s, 200s) IV : 復温 III : 目標温度を保つ区間 33-34 o C 実験条件 時刻歴 脳波データ 周波数帯域成分の Powerの比較 FFT (1秒毎) ラット4匹 × 4条件 = 16データ d 波 0.5 – 4 Hz q 波 4 – 8 Hz a 波 8 – 13 Hz b 波 13 – 30 Hz 各周波数成分がどのくらい 含まれているのか?? 2つの 結果を報告 10 Experimental & Analysis Condition
  • 10.
    Applied Medical EngineeringScience, Graduate School of Medicine I II III IV I II III IV てんかん波が脳冷却によって抑制されている様子が確認できる ECoG(mV) ECoG(mV) 時間 (秒)時間 (秒) 脳表温度(oC) 脳表温度(oC) d 波 q 波 a 波 b 波 Power(mV2) Power(mV2) 時間 (秒)時間 (秒) FFT 11 Results ( L : II=30sec R : II=200sec )
  • 11.
    Applied Medical EngineeringScience, Graduate School of Medicine I II III IV I II III IV 約1.7倍増加 時間 (秒)時間 (秒) 区間Iとの各区間のPowerの平均(-) 区間Iとの各区間のPowerの平均(-) 区間(Iとの比)区間(Iとの比) 12 Results ( L : II=30sec R : II=200sec ) 各区間(I~IV)毎に平均をとり,それを区間I(純てんかん波)と比をとる Power(mV2) Power(mV2) d 波 q 波 a 波 b 波 d 波 q 波 a 波 b 波
  • 12.
    I II IIIIV 0.0 0.5 1.0 1.5 Averageofpowersupectral(-) Area Applied Medical Engineering Science, Graduate School of Medicine 区間(Iとの比)区間(Iとの比) 30秒のデータ(速い冷却) 30秒 VS 200秒 200秒のデータ(遅い冷却) 復温した際も同様に小さくなっている 30秒のデータ(速い冷却) 200秒のデータ(遅い冷却) 区間III・・・200秒のデータは,30秒データの約半分に!! 区間Iとの各区間のPowerの平均(-) 区間Iとの各区間のPowerの平均(-) 区間(Iとの比) もし,1なら?? 冷却速度依存性無し!! 30秒 200秒 13 Results ( L : II=30sec R : II=200sec ) d 波 q 波 a 波 b 波
  • 13.
    Applied Medical EngineeringScience, Graduate School of Medicine てんかん波抑制 冷却速度の依存性 時間をかけて脳冷却を行う事が効果的 効果的なてんかん波の抑制 と 冷却装置を含むシステムの最適化 区間(Iとの比) 区間(Iとの比)区間(Iとの比) 区間Iとの各区間のPowerの平均(-) 30秒 200秒 区間Iとの各区間のPowerの平均(-) 脳冷却速度と てんかん波の持つ 周波数の抑制効果 30秒(速い) ・・・ 抑制効果が小さい 200秒(遅い) ・・・ が大きい 300秒 300秒 cool cool 30秒 VS 200秒 14 Results ( L : II=30sec R : II=200sec ) d 波 q 波 a 波 b 波
  • 14.
    Applied Medical EngineeringScience, Graduate School of Medicine 目 的 : てんかん波抑制の冷却速度依存性の調査 実施事項 : ラット(n=4)による動物実験 周波数解析による冷却速度の違いを検討 結 果 : てんかん波抑制には... 脳の冷却温度だけではなく,冷却速度にも依存 冷却速度の遅い(200秒)方が効果的 素早い冷却が良いというわけではない!! 15 Conclusion
  • 15.
  • 16.
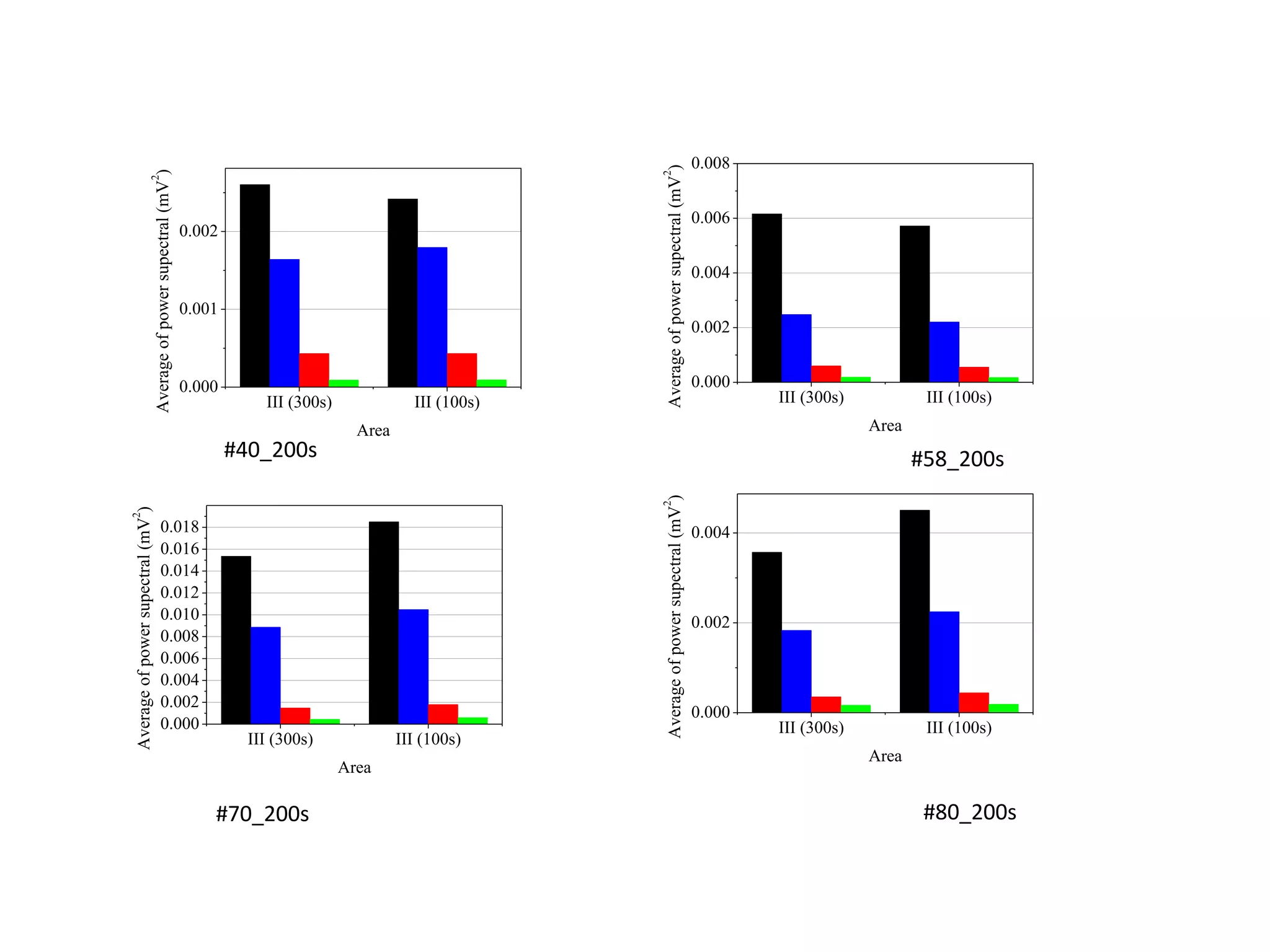
    Applied Medical EngineeringScience, Graduate School of Medicine 17 Discussion 冷却の時間を揃えて周波数解析III = 300s III = 300s II = 30s II = 200s 冷却開始220秒後の100秒間の周波数解析 III = 100sIII = 100s
  • 17.
    Applied Medical EngineeringScience, Graduate School of Medicine 18 Discussion 冷却の時間を揃えて周波数解析III = 300s III = 300s II = 30s II = 200s III = 100sIII = 100s III (300s) III (100s) 0.000 0.002 0.004 0.006 0.008 Averageofpowersupectral(mV 2 ) Area III (300s) III (100s) 0.000 0.002 0.004 0.006 0.008 Averageofpowersupectral(mV 2 ) Area 低高 同同 d 波 q 波 a 波 b 波
  • 18.
    III (300s) III(100s) 0.000 0.001 0.002 Averageofpowersupectral(mV 2 ) Area #36_30s #57_30s #73_30s #81_30s III (300s) III (100s) 0.000 0.002 0.004 0.006 0.008 Averageofpowersupectral(mV 2 ) Area III (300s) III (100s) 0.00 0.01 0.02 Averageofpowersupectral(mV 2 ) Area III (300s) III (100s) 0.0000 0.0005 0.0010 0.0015 0.0020 0.0025 0.0030 0.0035 0.0040 Averageofpowersupectral(mV 2 ) Area
  • 19.
    #40_200s #80_200s#70_200s #58_200s III (300s) III(100s) 0.000 0.001 0.002 Averageofpowersupectral(mV 2 ) Area III (300s) III (100s) 0.000 0.002 0.004 0.006 0.008 Averageofpowersupectral(mV 2 ) Area III (300s) III (100s) 0.000 0.002 0.004 0.006 0.008 0.010 0.012 0.014 0.016 0.018 Averageofpowersupectral(mV 2 ) Area III (300s) III (100s) 0.000 0.002 0.004 Averageofpowersupectral(mV 2 ) Area
  • 20.
    Applied Medical EngineeringScience, Graduate School of Medicine 21 Discussion 30s 60s 100s 200s 0.000 0.002 0.004 0.006 0.008 Averageofpowersupectral(mV 2 ) Area 340 – 439秒間(100)の冷却している時間を揃えた周波数解析結果 4データの平均値 30s 60s 100s 200s 0.0000 0.0002 0.0004 0.0006 0.0008 0.0010 Averageofpowersupectral(mV 2 ) Area 拡 大 d 波 q 波 a 波 b 波 ほとんど同様な結果 速い冷却の方が周波数のPowerが低い (冷却状態の時間の長い方が周波数を抑える事が出来る) (急速に冷やした方がやはり効果的?) (奪った熱量が多いからか?)
  • 21.
    Applied Medical EngineeringScience, Graduate School of Medicine 背景と仮設 20oC I II III IV 0.0 0.5 1.0 1.5 2.0 2.5 Averageofpowersupectral(mV 2 ) Area 22
  • 22.
    Applied Medical EngineeringScience, Graduate School of Medicine 背景と仮設 周波数帯域のパワーの変化 <2011年>市川(山口大,医学系研究科) 脳冷却によるてんかん波の周波数帯域成分の抑制効果の違いを発表 市川 琢也 他, “局所脳冷却による脳波の帯域抑制効果に関する基礎的研究”, 日本機械学会年次大会講演論文集, Vol.2011 (2011), page.ROMBUNNO.J022051. 23
  • 23.
    てんかん (大脳が異常に興奮する病気) • 突発的な痙攣 •筋緊張の低下 • 意識の低下 症状 Footage of a Graphic Epileptic Seizure , caught on tape, Jan, 2003. By Christine Lowe, Epileptic/Medical Marijuana License Holder <https://www.youtube.com/watch?v=MRZY2a2jnuw> 70% ・・・ 薬剤による治療 治療法 30% ・・・ 外科的治療 通常脳波 てんかん波 観測脳波 通常脳波からてんかん波(1000秒付近) に移り変わる脳波の様子 Introduction Applied Medical Engineering Science, Graduate School of Medicine
  • 24.
    Introduction 冷却治療 • シンプルかつ安全(非侵襲) • 適切な冷却温度による処置 直流電流の作用により 両面で温度差が生じる PN PN PN 半導体 (P型& N型) 銀板 吸熱面 放熱面 熱移動 導線 ペルチェ(熱電変換)素子・・・冷却方法の一つ • 温度制御が可能 • 騒音や振動がない • 小型・軽量 生体冷却に扱う際の利点 アクティブな冷却治療が可能! 冷却治療適用例 • てんかん • 悪性腫瘍の凍結治療 など Applied Medical Engineering Science, Graduate School of Medicine
  • 25.
  • 26.
    熱電対 ヒートシンク ペルチェ素子 銀板 冷却水循環チューブ 電力供給コネクタ 150mm 冷却装置 モデル図 model 9500/018/018M Imax[A] 1.8 Vmax [V] 2.5 Tmax [℃] 70 Qmax [W] 2.4 Size [mm] 6.05×6.05×2.34 ペルチェ素子詳細 ペルチェ素子を用いた小型冷却装置のプロトタイプ Device A(性能良い) Device B(性能悪い) 予備として二つ用意 Modeling Applied Medical Engineering Science, Graduate School of Medicine
  • 27.
    Applied Medical EngineeringScience, Graduate School of Medicine EEG PC Temperature controlled bath Pump Infusion PumpSD Rat Focal cooling device INOUT Power amp PLC Thermocouple Conductor wire Water line Thermocouple Electrode Water (0oC) Focal cooling device (6×6mm) Skull (SD rat) Cerebral cortex SD rat Focal cooling device Infusion pump Temperature controlled bath Water pump PL C Power amp PC (ECoG) PC (temp.)
  • 28.
    0 100 200300 400 500 600 0.0 0.2 0.4 0.6 0.8 1.0 Contentrateofpowerspectral(-) Time (s) #59_60s #58_200s 0 100 200 300 400 500 600 700 0.0 0.2 0.4 0.6 0.8 1.0 Contentrateofpowerspectral(-) Time (s) #55_100s 0 100 200 300 400 500 600 0.0 0.2 0.4 0.6 0.8 1.0 Contentrateofpowerspectral(-) Time (s) #57_30s 0 100 200 300 400 500 600 0.0 0.2 0.4 0.6 0.8 1.0 Contentrateofpowerspectral(-) Time (s)
  • 29.
    60s 200s 100s 30s 2016.6.14_改訂版 I IIIII IV 0.0 0.5 1.0 1.5 2.0 Averageofpowersupectral(mV 2 ) Area * * * P < 0.05 * * ** I II III IV 0.0 0.5 1.0 1.5 2.0 Averageofpowersupectral(mV 2 ) Area * * * * P < 0.05 * * * I II III IV 0.0 0.5 1.0 1.5 2.0 Averageofpowersupectral(mV 2 ) Area * * * * P < 0.05 * ** *** I II III IV 0.0 0.5 1.0 1.5 2.0 Averageofpowersupectral(-) Area * * * P < 0.05 * * ** * ** *
  • 30.
    31Applied Medical EngineeringScience, Graduate School of Medicine Introduction 生体反応の例・・・・ふるえ熱産生とは? 神経活動の抑制剤であるムシモールを視床下部に微量注入 Nakamura kazuhiro, kyouto university, Central efferent pathways for cold-defensive and febrile shivering 恒温動物 ・・・・ 体温が低下するのを防ぐために,脳からの指令によって, 骨格筋を震えさせる事により熱を産生する. (体温上昇)
  • 31.
    32Applied Medical EngineeringScience, Graduate School of Medicine Introduction 生体反応の例・・・・基礎代謝について • 生命活動を維持するために生体で自動的(生理的)に 行われている活動で必要なエネルギーの事 一日に消費するエネルギ量(熱量) 成人男性 → 約1500(kcal) 成人女性 → 約1200(kcal) ※消費量は骨格筋・肝臓・脳が半分以上占める