1. Change 432five to a number in base
three
A. 10100three B. 11100 three
C. 11101 three D. 10110 three
2. Find the equation whose roots are -8
and 5. A. x2 – 13x + 40 = 0 B. x2 – 13x –
40 = 0 C. x2 – 3x + 40 = 0 D. x2 + 3x – 40
= 0
3. Evaluate
𝟑
𝟒
𝒍𝒐𝒈 𝟏𝟔 A. 𝒍𝒐𝒈 𝟖
B. 𝒍𝒐𝒈 𝟐𝟑 C. 𝒍𝒐𝒈 𝟑𝟐 D. 𝒍𝒐𝒈 𝟒
4. Evaluate 23×54 (mod
7) A. 2 B. 3 C. 5 D. 6
5. 𝑴 varies directly as 𝒏 and inversely as the
square of 𝒑. If 𝑴 = 𝟑 when 𝒏 = 𝟐 and 𝒑 = 𝟏,
find 𝑴 in terms of 𝒏 and 𝒑 A. 𝑴 =
𝟑𝒏
𝟐𝒑𝟐
B. 𝑴 =
𝟐𝒏
𝟑𝒑𝟐 C. 𝑴 =
𝟐𝒏
𝟑𝒑
D. 𝑴 =
𝟑𝒏𝟐
𝟐𝒑𝟐
6. If 𝒔𝒊𝒏 𝒙 = 𝒄𝒐𝒔 𝟓𝟎°, then 𝒙
equals A. 𝟒𝟎° B. 𝟓𝟎° C. 𝟗𝟎° D.
𝟏𝟑𝟎°
7. Given that 𝒕𝒂𝒏 𝒙 =
𝟓
𝟏𝟐
, what is
the value of If 𝒔𝒊𝒏 𝒙 + 𝒄𝒐𝒔 𝒙 A.
𝟓
𝟏𝟑
B.
𝟕
𝟏𝟑
C.
𝟏𝟐
𝟏𝟑
D.
𝟏𝟕
𝟏𝟑
8. If the simple interest on a sum of money for 2 years at 5%
per annum is Rs. 50, what is the compound interest on the
same at the same rate and for the same time? (A) Rs 51.25
(B) Rs 52 (C) Rs 54.25 (D) Rs 60
9. The quantity R varies directly as the square of s and
inversely proportional as the root of T. Given that s =
2.5, when R = 10, T = 625, find the value of the
constant of proportionality (A)40 (B)50 (C)60 (D)70
10. A regular polygon has each of its interior
angles as 108°. How many sides has the
polygon? (A) 5 (B) 17 (C) 9 (D) 14
11. A number is squared and added to twice the
number to give 8. Find the number A. -2 or-4 B. -4 or
2 C. -2 or 4 D. 4 or 2
12. Factorise 𝟐𝟕𝒑𝟐
𝒙𝟐
− 𝟒𝟖𝒚𝟐
. 𝑨. 𝟗 𝟑𝒑𝒙 −
13. Simplify
𝒍𝒐𝒈 𝟒− 𝒍𝒐𝒈 𝟗
𝒍𝒐𝒈 𝟑−𝒍𝒐𝒈 𝟐
A. 3 B. 2 C.
𝟑
𝟐
D.
𝟐
𝟑
14. If 𝒍𝒐𝒈𝒂 𝟐𝟕𝟎 − 𝒍𝒐𝒈𝒂 𝟏𝟎 + 𝒍𝒐𝒈𝒂
𝟏
𝟑
=
𝟐, what is the value of a? A. 3 B. 4 C. 5
D. 6
15. Evaluate 𝟑. 𝟒𝟓𝟔 + 𝟒. 𝟔𝟑𝟗 A. 𝟕. 𝟎𝟗𝟓
B. 𝟓. 𝟎𝟗𝟓 C. 𝟔. 𝟎𝟗𝟓 D.
𝟖. 𝟎𝟗𝟓
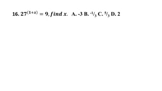
16. 𝟐𝟕 𝟏+𝒙
= 𝟗, 𝒇𝒊𝒏𝒅 𝒙. A. -3 B. -1/3 C. 5/3 D. 2
17. Given that P = {b, d, e, f} and Q = {a, c, f, g}
are subsets of the universal set U = {a, b, c, d, e,
f, g}. find P’∩Q. A. {a, e} B. {a, c, d, g} C. {c, d,
g} D. {a, c, g}
18. Simplify
𝟏𝟔
𝟖𝟏
−𝟑/𝟒
×
√𝟏𝟎𝟎
√𝟖𝟏
A.
𝟖𝟎
𝟐𝟒𝟑
B.
𝟐𝟎
𝟐𝟕
C.
𝟐𝟓
𝟔
D.
𝟏𝟓
𝟒
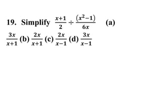
19. Simplify
𝒙+𝟏
𝟐
÷
𝒙𝟐−𝟏
𝟔𝒙
(a)
𝟑𝒙
𝒙+𝟏
(b)
𝟐𝒙
𝒙+𝟏
(c)
𝟐𝒙
𝒙−𝟏
(d)
𝟑𝒙
𝒙−𝟏
20. A chord of length 30cm is 8cm
away from the centre of the circle.
What is the radius of the circle? A.
16cm B. 17cm C. 18cm D. 20cm
21. A tap leaks at the rate of 2cm2/s.
How long will it take the tap to fill a
container of 45litres [1litre = 1000cm2]
(a) 8hrs (b) 6hrs 15mins (c) 4hrs 25mins
(d) 3hrs
22. Express the true bearing of
210̊ as a compass bearing A.
S30°W B. S30°E C. S60°E D.
S60°W
23. Given the coordinates P (-3, 4)
and Q (5, -2) What is the distance
between P and Q? A. 10 units B. 6
units C. 8 units D. 100 units
24. What must be added to 𝟒𝒙𝟐
-𝟐𝟎𝒙 to
make it a perfect square? A.
𝟐𝟓
𝟐
B. 𝟐𝟓 C. 𝟓𝟎 D. 100
25. What is the probability
that a whole number selected
from 20 to 30 is divisible by 4?
A.
𝟑
𝟏𝟏
B.
𝟏
𝟓
C.
𝟏
𝟏𝟏
D.
𝟐
𝟏𝟏
26. If 𝟓𝒙 + 𝟑𝒚 = 𝟒 and 𝟓𝒙 − 𝟑𝒚 =
𝟐, what is the value of 𝟐𝟓𝒙𝟐 −
27. Three of the interior angles of a
pentagon are 1200 , 1400 , 1420
respectively. If the remaining three
angles are equal. What is the size of
each of these? A. 690 B. 420 C.
210 D. 1110
28. The length of a rectangle is
10 𝒄𝒎. If its perimeter is 28 𝒄𝒎,
find the area
A. 30 𝒄𝒎𝟐 B. 40 𝒄𝒎𝟐 C. 60 𝒄𝒎𝟐
D. 80 𝒄𝒎𝟐
29. The positions of three points P,Q and R
on a map are such that R lies N60OW of P
and N30OE of Q and Q lies S350W of P.
What is the size of angle RPQ? A. 650
B. 850 C. 900 D. 950
30. Instead of recording 1.23cm for
the radius of a table, a student
recorded 1.32cm. find the percentage
error correct to 1 d.p A. 6.8%
B. 7.3% C. 9.6% D. 14.4%
31. Write 0.10012 as a base ten fraction
A.
𝟕
𝟏𝟔
B.
𝟗
𝟏𝟔
C.
𝟏𝟏
𝟏𝟔
D.
𝟏𝟑
𝟏𝟔
32. The mean height of a group of nine
people is 168cm. a new person joins the
group and the mean is now 168.4cm. find
the height of the new person.
A. 170cm B. 172cm C. 174cm D. 176cm
33. Given that 𝒔𝒊𝒏 𝟓𝒙 − 𝟐𝟖 ° =
𝒄𝒐𝒔 𝟑𝒙 − 𝟓𝟎)° , 𝟎° ≤ 𝒙 ≤ 𝟗𝟎°, find the
value of 𝒙.
A. 39 B. 32 C. 21 D. 14
34. A rectangle has width
𝟑
𝟒
𝒄𝒎 and an area
𝟑
𝟑
𝟖
𝒄𝒎𝟐
. Find the length.
A. 6 𝒄𝒎 B. 𝟒
𝟏
𝟐
𝒄𝒎 C. 𝟐
𝟓
𝟖
𝒄𝒎 D. 𝟏𝟐𝒄𝒎
35. A bag contains 3 red, 4 black and 5
green identical balls. Two balls are
picked at random, one after the other
without replacement. Find the
probability that one is red and the
other is green
A.
𝟓
𝟐𝟐
B.
𝟐
𝟑
C.
𝟓
𝟏𝟏
D.
𝟓
𝟐𝟖
36.A man is four times as old as his son. The
difference between their ages is 36 years.
Find the sum of their ages
A. 12 B. 60 C. 48 D. 45
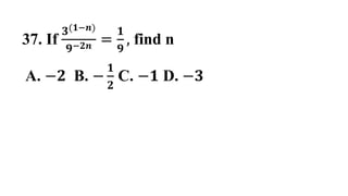
37. If
𝟑 𝟏−𝒏)
𝟗−𝟐𝒏 =
𝟏
𝟗
, find n
A. −𝟐 B. −
𝟏
𝟐
C. −𝟏 D. −𝟑
38. If 2x + 101x = 130x, find the value
of x.
A.7 B. 6 C. 5 D. 4
39. A market woman bought 558
eggs at $138 each and 348 eggs at
$158 each. How much did she
spend altogether?
A. $1,5388 B. $13118 C. $7578 D.
$5548
40. A market woman bought 558
eggs at $138 each and 348 eggs at
$158 each. How much did she spend
altogether?
A. $1,5388 B. $13118 C. $7578 D.
$5548

1st term quiz competition.pptx

  • 1.
    1. Change 432fiveto a number in base three A. 10100three B. 11100 three C. 11101 three D. 10110 three
  • 2.
    2. Find theequation whose roots are -8 and 5. A. x2 – 13x + 40 = 0 B. x2 – 13x – 40 = 0 C. x2 – 3x + 40 = 0 D. x2 + 3x – 40 = 0
  • 3.
    3. Evaluate 𝟑 𝟒 𝒍𝒐𝒈 𝟏𝟔A. 𝒍𝒐𝒈 𝟖 B. 𝒍𝒐𝒈 𝟐𝟑 C. 𝒍𝒐𝒈 𝟑𝟐 D. 𝒍𝒐𝒈 𝟒
  • 4.
    4. Evaluate 23×54(mod 7) A. 2 B. 3 C. 5 D. 6
  • 5.
    5. 𝑴 variesdirectly as 𝒏 and inversely as the square of 𝒑. If 𝑴 = 𝟑 when 𝒏 = 𝟐 and 𝒑 = 𝟏, find 𝑴 in terms of 𝒏 and 𝒑 A. 𝑴 = 𝟑𝒏 𝟐𝒑𝟐 B. 𝑴 = 𝟐𝒏 𝟑𝒑𝟐 C. 𝑴 = 𝟐𝒏 𝟑𝒑 D. 𝑴 = 𝟑𝒏𝟐 𝟐𝒑𝟐
  • 6.
    6. If 𝒔𝒊𝒏𝒙 = 𝒄𝒐𝒔 𝟓𝟎°, then 𝒙 equals A. 𝟒𝟎° B. 𝟓𝟎° C. 𝟗𝟎° D. 𝟏𝟑𝟎°
  • 7.
    7. Given that𝒕𝒂𝒏 𝒙 = 𝟓 𝟏𝟐 , what is the value of If 𝒔𝒊𝒏 𝒙 + 𝒄𝒐𝒔 𝒙 A. 𝟓 𝟏𝟑 B. 𝟕 𝟏𝟑 C. 𝟏𝟐 𝟏𝟑 D. 𝟏𝟕 𝟏𝟑
  • 8.
    8. If thesimple interest on a sum of money for 2 years at 5% per annum is Rs. 50, what is the compound interest on the same at the same rate and for the same time? (A) Rs 51.25 (B) Rs 52 (C) Rs 54.25 (D) Rs 60
  • 9.
    9. The quantityR varies directly as the square of s and inversely proportional as the root of T. Given that s = 2.5, when R = 10, T = 625, find the value of the constant of proportionality (A)40 (B)50 (C)60 (D)70
  • 10.
    10. A regularpolygon has each of its interior angles as 108°. How many sides has the polygon? (A) 5 (B) 17 (C) 9 (D) 14
  • 11.
    11. A numberis squared and added to twice the number to give 8. Find the number A. -2 or-4 B. -4 or 2 C. -2 or 4 D. 4 or 2
  • 12.
    12. Factorise 𝟐𝟕𝒑𝟐 𝒙𝟐 −𝟒𝟖𝒚𝟐 . 𝑨. 𝟗 𝟑𝒑𝒙 −
  • 13.
    13. Simplify 𝒍𝒐𝒈 𝟒−𝒍𝒐𝒈 𝟗 𝒍𝒐𝒈 𝟑−𝒍𝒐𝒈 𝟐 A. 3 B. 2 C. 𝟑 𝟐 D. 𝟐 𝟑
  • 14.
    14. If 𝒍𝒐𝒈𝒂𝟐𝟕𝟎 − 𝒍𝒐𝒈𝒂 𝟏𝟎 + 𝒍𝒐𝒈𝒂 𝟏 𝟑 = 𝟐, what is the value of a? A. 3 B. 4 C. 5 D. 6
  • 15.
    15. Evaluate 𝟑.𝟒𝟓𝟔 + 𝟒. 𝟔𝟑𝟗 A. 𝟕. 𝟎𝟗𝟓 B. 𝟓. 𝟎𝟗𝟓 C. 𝟔. 𝟎𝟗𝟓 D. 𝟖. 𝟎𝟗𝟓
  • 16.
    16. 𝟐𝟕 𝟏+𝒙 =𝟗, 𝒇𝒊𝒏𝒅 𝒙. A. -3 B. -1/3 C. 5/3 D. 2
  • 17.
    17. Given thatP = {b, d, e, f} and Q = {a, c, f, g} are subsets of the universal set U = {a, b, c, d, e, f, g}. find P’∩Q. A. {a, e} B. {a, c, d, g} C. {c, d, g} D. {a, c, g}
  • 18.
  • 19.
  • 20.
    20. A chordof length 30cm is 8cm away from the centre of the circle. What is the radius of the circle? A. 16cm B. 17cm C. 18cm D. 20cm
  • 21.
    21. A tapleaks at the rate of 2cm2/s. How long will it take the tap to fill a container of 45litres [1litre = 1000cm2] (a) 8hrs (b) 6hrs 15mins (c) 4hrs 25mins (d) 3hrs
  • 22.
    22. Express thetrue bearing of 210̊ as a compass bearing A. S30°W B. S30°E C. S60°E D. S60°W
  • 23.
    23. Given thecoordinates P (-3, 4) and Q (5, -2) What is the distance between P and Q? A. 10 units B. 6 units C. 8 units D. 100 units
  • 24.
    24. What mustbe added to 𝟒𝒙𝟐 -𝟐𝟎𝒙 to make it a perfect square? A. 𝟐𝟓 𝟐 B. 𝟐𝟓 C. 𝟓𝟎 D. 100
  • 25.
    25. What isthe probability that a whole number selected from 20 to 30 is divisible by 4? A. 𝟑 𝟏𝟏 B. 𝟏 𝟓 C. 𝟏 𝟏𝟏 D. 𝟐 𝟏𝟏
  • 26.
    26. If 𝟓𝒙+ 𝟑𝒚 = 𝟒 and 𝟓𝒙 − 𝟑𝒚 = 𝟐, what is the value of 𝟐𝟓𝒙𝟐 −
  • 27.
    27. Three ofthe interior angles of a pentagon are 1200 , 1400 , 1420 respectively. If the remaining three angles are equal. What is the size of each of these? A. 690 B. 420 C. 210 D. 1110
  • 28.
    28. The lengthof a rectangle is 10 𝒄𝒎. If its perimeter is 28 𝒄𝒎, find the area A. 30 𝒄𝒎𝟐 B. 40 𝒄𝒎𝟐 C. 60 𝒄𝒎𝟐 D. 80 𝒄𝒎𝟐
  • 29.
    29. The positionsof three points P,Q and R on a map are such that R lies N60OW of P and N30OE of Q and Q lies S350W of P. What is the size of angle RPQ? A. 650 B. 850 C. 900 D. 950
  • 30.
    30. Instead ofrecording 1.23cm for the radius of a table, a student recorded 1.32cm. find the percentage error correct to 1 d.p A. 6.8% B. 7.3% C. 9.6% D. 14.4%
  • 31.
    31. Write 0.10012as a base ten fraction A. 𝟕 𝟏𝟔 B. 𝟗 𝟏𝟔 C. 𝟏𝟏 𝟏𝟔 D. 𝟏𝟑 𝟏𝟔
  • 32.
    32. The meanheight of a group of nine people is 168cm. a new person joins the group and the mean is now 168.4cm. find the height of the new person. A. 170cm B. 172cm C. 174cm D. 176cm
  • 33.
    33. Given that𝒔𝒊𝒏 𝟓𝒙 − 𝟐𝟖 ° = 𝒄𝒐𝒔 𝟑𝒙 − 𝟓𝟎)° , 𝟎° ≤ 𝒙 ≤ 𝟗𝟎°, find the value of 𝒙. A. 39 B. 32 C. 21 D. 14
  • 34.
    34. A rectanglehas width 𝟑 𝟒 𝒄𝒎 and an area 𝟑 𝟑 𝟖 𝒄𝒎𝟐 . Find the length. A. 6 𝒄𝒎 B. 𝟒 𝟏 𝟐 𝒄𝒎 C. 𝟐 𝟓 𝟖 𝒄𝒎 D. 𝟏𝟐𝒄𝒎
  • 35.
    35. A bagcontains 3 red, 4 black and 5 green identical balls. Two balls are picked at random, one after the other without replacement. Find the probability that one is red and the other is green A. 𝟓 𝟐𝟐 B. 𝟐 𝟑 C. 𝟓 𝟏𝟏 D. 𝟓 𝟐𝟖
  • 36.
    36.A man isfour times as old as his son. The difference between their ages is 36 years. Find the sum of their ages A. 12 B. 60 C. 48 D. 45
  • 37.
    37. If 𝟑 𝟏−𝒏) 𝟗−𝟐𝒏= 𝟏 𝟗 , find n A. −𝟐 B. − 𝟏 𝟐 C. −𝟏 D. −𝟑
  • 38.
    38. If 2x+ 101x = 130x, find the value of x. A.7 B. 6 C. 5 D. 4
  • 39.
    39. A marketwoman bought 558 eggs at $138 each and 348 eggs at $158 each. How much did she spend altogether? A. $1,5388 B. $13118 C. $7578 D. $5548
  • 40.
    40. A marketwoman bought 558 eggs at $138 each and 348 eggs at $158 each. How much did she spend altogether? A. $1,5388 B. $13118 C. $7578 D. $5548