Н.А.Максимов
Три источника
и три составные части
Часть 1. Word 2003
Учебный практикум
Самоучитель
WORD
EXCEL
ACCESS
Чебоксары 2008
СОДЕРЖАНИЕ
Предисловие........................................................................................... 3
1. Блокнот ............................................................................................. 4
1.1. Упражнение 1. .......................................................................................................4
1.2. Сохранение и открытие документа.....................................................................7
1.3. Поиск слов и символов.........................................................................................9
1.4. Редактирование текста........................................................................................10
1.5. Справочная система WINDOWS и его приложений.......................................12
Контрольная работа №1. ...............................................................................................................14
2. Текстовый редактор WordPad....................................................... 15
2.1. Упражнение 2. Основные навыки .....................................................................17
2.2. Контрольные вопросы ........................................................................................19
3. Текстовый процессор Word 2000 ................................................. 20
3.1. Упражнение 3. Форматирование.......................................................................21
3.2. Таблицы................................................................................................................22
3.3. Рисование.............................................................................................................25
3.4. Списки..................................................................................................................29
3.5. Макросы ...............................................................................................................30
4. Подготовка структурированных документов ............................. 31
4.1. Оформление титульного листа ..........................................................................31
4.2. Оформление заголовков и оглавления..............................................................33
4.3. Добавление инструментов..................................................................................36
4.4. Создание стилей, сносок, ссылок ......................................................................38
4.5. Слияние ................................................................................................................42
4.6. Полезные советы.................................................................................................46
Разная ориентация для разных страниц одного документа...........................................46
Шаблоны листов для курсовых работ или «Век живи – век учись».............................46
Движение по страницам документа.................................................................................47
Сочетания клавиш для чувашского языка.......................................................................49
Замена шрифтов.................................................................................................................50
Форматирование отсканированного текста.....................................................................51
Визитки и прочая мелочь..................................................................................................52
Приложение 1. Тренажеры ...................................................................... 54
Приложение 2. Упражнения для глаз и осанки......................................... 62
© Максимов Н.А.
®
Maximov
Nicolay
Digitally signed by Maximov
Nicolay
DN: cn=Maximov Nicolay,
c=RU, o=Maximoff, ou=Home,
email=maximon_21@mail.ru
Reason: Я рад, что Вы
пользуетесь этой книгой.
Date: 2008.03.15 02:38:52
+03'00'
3
Предисловие
Концепция пособия предполагает самостоятельную работу за
компьютером, соблюдая основные принципы дидактики: обучение
осуществляется последовательно от простых понятий к более сложным;
освоение темы в ходе практической работы, все следующие темы
опираются на предыдущие. При работе с пособием придерживайтесь
руководящих инструкций, следуйте строго последовательно, не
перескакивайте строки и страницы. Обучение надо начинать с отработки
простейших навыков и умений, пока еще «глаза не разбегаются».
Не пытайтесь самостоятельно форматировать текст: когда, в какой
момент и как это лучше сделать – будет все расписано по пунктам. Вы
просто будете исполнять обучающий алгоритм и … успех Вам обеспечен!
И общее правило во всех упражнениях: сперва Вы набираете текст
(документ) и только потом «разукрашиваете»(редактируете)!
Условные обозначения и знаки, используемые в пособии:
Внимание, архиважная информация
Подведение итогов, резюме после темы, раздела
Смотри в оба, будь внимательнее
Прислушайся к совету, но думай сам
☺ Шутя, говорить о серьезных вещах (ridendo dicere severum) лат.
q=м%“2% 2ель…= !=K%2= дл ƒ=*!еCле…, …="/*%" , 3ме…,L
4
1. Блокнот
Суха теория, мой друг, а древо жизни пышно зеленеет...
(цитата из трагедии И.Гете «Фауст» в переводе Б.Пастернака)
Блокнот предназначен для создания и редактирования текстовых
файлов, не требующих форматирования и не превышающих по размеру
64 Кбайт. Блокнот работает только с файлами в формате ASCII1
*.txt
(простой текст). Если файл требует форматирования текста или
превышает по размеру 64 Кбайт, следует использовать текстовый
редактор WordPad, он тоже входит в комплект стандартной поставки
WINDOWS. С ним мы познакомимся позже.
Запускается через меню Пуск ⇒ Программы ⇒ Стандартные ⇒
Блокнот. В раскрывшемся окне можно набирать любой текст,
переключение между языками по стандартным сочетаниям клавиш:
левый Shift + Alt или Shift + Ctrl.
Такая запись сочетаний клавиш (Клавиша1+Клавиша2(+Клавиша3))
означает одновременное нажатие (не обязательно синхронное!) указанных
клавиш: нажать на первую, и не отпуская ее, нажать на вторую (третью), т.е.
в какой-то момент времени все 2(3) клавиши должны быть нажатыми.
Переключение языков при помощи мыши - не самый лучший способ, не
привыкайте без надобности прибегать к услугам мыши, если есть
альтернатива на клавиатуре. Пользоваться только мышью - это плохой и
неэффективный стиль работы на компьютере.
Теперь попробуем выполнить упражнения по шагам.
1.1. Упражнение 1.
1. Запустите Блокнот. Через Главное меню⇒Правка установите
включенным режим Перенос по словам (должна высвечиваться галочка
после Вашего щелчка(если ее не было по умолчанию). Тут же выберем
Шрифт: Arial, обычный, размер 14, кириллица (см. рис.1).
Стандартные окна Windows включают: первую строку - заголовок окна,
выделенный синим (или зеленым для ХР) цветом, вторая – главное
меню(см. рис.2). Первым пунктом главного меню всегда является
ниспадающее подменю Файл, включающий команды обмена данными
между оперативной памятью и внешними устройствами: Создать,
Сохранить, Открыть, Печать и другие, а последний пункт подменю -
Выход. Последний пункт главного меню отведен для справочной
1
American standard code for Information Interchange. Текстовые файлы ASCII обычно
используются для обмена данными между компьютерами, т.к. они являются
переносимыми независимо от операционных систем и программ, имеют небольшой
объем. SMS сообщения передаются тоже как неформатированный текст.
системы и связи через Интернет с разработчиком для обновления
зарегистрированного и лицензионного программного обеспечения.
Раскрытое
подменю
Рис.12
2. Наберем приведенный ниже на стр.3 текст (см. рис.2).
Клавишами Enter для перехода на новую строку не пользоваться,
переход будет происходить автоматически!!! Во всех текстовых редакторах
Enter нажимается только для начала нового абзаца («красной» строки).
При наборе текста старайтесь правильно пользоваться клавиатурой
согласно «слепому» методу десятипальцевого набора3
– каждый символ
набирается «своим» пальцем. Потом переучиваться будет намного сложнее.
В школах уже вводится норматив на скорость и точность набора текста на
клавиатуре, как на скорость чтения и письма. Поэтому в свободное время
обязательно потренируйтесь на тренажерах.
В простейших редакторах выравнивание абзаца (отступ, начало
«красной» строки) приходится выполнять искусственно при помощи
пробелов, поэтому абзац начинайте через 4 пробела после нажатия Enter (это
стандартный отступ 1,27 сантиметра в официальных документах при размере
шри 4
фта 14 гарнитуры Times).
Редактирование (исправление ошибок и добавление символов, слов,
любого текстового фрагмента) осуществляется при помощи клавиш
управления курсором: ← →↑↓(движение курсора), Delete(удаление символа
справа от курсора), Back Space( )(удаление символа слева от курсора).
Двигаться можно и мышью: подойти к нужному месту в тексте и щелкнуть
левой клавишей, курсор замигает, а дальше можно ввести нужный символ,
удалить или вставить информацию с буфера.
2
Это Блокнот от Windows98Me, в Win2000XP он выглядит чуть по-другому, на 1 пункт
главного меню больше, но никаких принципиальных отличий нет
3
Смотри приложение 1
5
4
Размер шрифта измеряется в условных единицах (пунктах)
6
Enter
Главное меню(горизонтальное)
Рис. 2
Вид окна при уменьшении
ширины: появилась полоса
Вот здесь
ме- няли
3. При помощи мыши попробуем изменять размеры окна. На
границах графических объектов обычно курсор меняет свой вид на
двунаправленную стрелку: , , . «Поймав» эту стрелку левой
кнопкой мыши (нажать и двигать не отпуская), можно изменять размеры
окна: как по вертикали, так и по горизонтали. Но при этом пропорции
окна нарушаются, для рисунков это приводит к неожиданным
комическим эффектам. Если Вы не
хотите нарушать пропорции окна, то
воспользуйтесь диагональной
стрелкой, которая появляется в углах
окна при наведении на них мышью -
. Следите за тем, как
меняется расположение текста в
окне, могут появляться и полосы
прокрутки при уменьшении
размеров окна и исчезать, если весь
текст умещается в данном окне.
4. Теперь попробуем разобраться,
что такое шрифты или гарнитура по
классическому типографскому определению. Шрифты – это особый вид
начертания букв, символов и их размеров, интервалов между ними и
расположения в слове относительно друг друга. В более совершенных
редакторах можно дополнительно задавать даже цвет, фон, границы,
масштабирование символов, межстрочный и межсимвольный
интервалы, анимации и т.д.5
Наиболее распространенные
«классические» шрифты: Arial (рубленый) , Times New Roman (с
засечками), Courier New(моноширинный – ширина всех
символов одинакова независимо от их начертаний).
Могу порекомендовать красивые шрифты MS Sans Serif, MS
Serif(экранные шрифты для монитора), a_Futurica, Bookman Old
Style, Arbat. Помните, что не все шрифты поддерживают кириллицу.
Это можно определить, когда в Блокноте в окне Выбор шрифта через
Набор символов просматриваем список: в образце должны быть
представлены только буквы кириллицы («русские»).
Самостоятельно поупражняйтесь сменой шрифтов. Обратите
внимание на разную длину текста для разных шрифтов при одинаковых
размерах
А вот что получается, когда шрифт не поддерживает кириллицу…
После всех упражнений оставим нормальный шрифт Times New Roman,
кириллица (он более компактен, используется в официальных
документах).
1.2. Сохранение и открытие документа
Любые данные, которые набраны на клавиатуре или изменены, надо
сохранять на дисках в виде файлов. Имя файла состоит из непосредственно
Имени и через точку Расширения (типа). Требования к именам файлов уже
упрощены, можно использовать и длинные русскоязычные имена (раньше в
DOS допускались только английские до 8 символов), пробелы, но ни в коем
случае не точку(.). Точка используется в качестве разделителя имен и
расширений(типов). Расширение (формат) показывает, при помощи какого
приложения или программы создан данный файл. Как правило, этой же
программой он открывается, редактируется (изменяется). Для Блокнота
5
В простейших текстовых редакторах шрифты используются только для
просмотра, в Блокноте шрифт не запоминается!
7
8
расширение *.TXT(звездочка (*) - любой допустимый символ). В
расширениях используются только английские буквы, регистр не
учитывается. Расширения при сохранении файлов добавляются
автоматически: будет именно тот тип, который предусматривает данная
программа. Поэтому добавлять расширение к имени совсем необязательно.
Сохраним и мы набранный документ в своей папке по адресу,
указанному преподавателем или, например, как здесь:
1. Файл⇒Сохранить как⇒Выбрать нужную папку через Список,
если нет – то создать, вместо имени Безымянный дать собственное
Блокнот1⇒Сохранить.
Список
Создание
новой папки
Рис. 3
Мы использовали Сохранить как, а не просто Сохранить, чтобы
самим задать местоположение (адрес) папки сохранения. Обычно по
команде Сохранить открывается та папка, которая была указана при
установке системы (на домашних компьютерах обычно Мои
документы) или потом изменена в параметрах сохранения. В
дальнейшем, когда открываем уже существующие файлы, достаточно
будет воспользоваться просто Сохранить: файл будет перезаписан
вместо старого. Но если Вы хотите сохранить и старую версию файла,
то без Сохранить как не обойтись, укажите новое имя файла, изменив
хотя бы один символ, например, Блокнот2.
2. Немного измените наш текст (шрифты, удалите и добавьте кое-
что) и сохраните под именем Блокнот2 в той же папке.
3. Когда дадим команду Файл⇒Открыть, то в нашей папке будут
уже два файла: Блокнот1 и Блокнот2. Откроем любой.
Рис. 4
4. Что изменилось? Вы сохранили файл при одном шрифте, а
открывается текст другим шрифтом? Так и положено, смотри сноску 5
выше!
1.3. Поиск слов и символов
Поиск⇒Найти и в окне поиска наберем Строка
Но ничего не будет найдено, потому что в тексте нет такового слова.
Попробуем найти просто Строк:
При помощи Найти далее можно найти и другие слова, где
встречается комбинация этих букв.
Попробуйте поискать самостоятельно другие слова и выражения,
изменяя направление поиска и учитывая регистр.
9
10
1.4. Редактирование текста
Любой введенный текст можно редактировать: исправлять ошибки,
вставлять символы и буквы, удалять, копировать. Но перед
редактированием любой текст должен быть выделен, и большинство
команд выполняются только над выделенным текстом.
Вставка – установить мигающий курсор в позицию вставляемого слова
(символа) и ввести с клавиатуры текст.
Выделение – подойти указателем мыши к началу выделяемого
фрагмента и, нажав на левую кнопку и не отпуская ее, дотянуть до конца
выделяемого фрагмента, отпустить кнопку. Выделенный фрагмент будет
высвечен белым текстом на синем фоне. Выделение всего текста
осуществляется через меню Правка⇒Выделить все. Слово выделятся
двойным щелчком (быстрое двукратное нажатие левой кнопки мыши, чтобы
промежуток времени между двумя нажатиями был в пределах 0,5-1 секунды;
время зависит от настройки мыши). Снять выделение можно повторным
щелчком в любом месте документа.
Как уже говорилось, пользоваться клавиатурой всегда практичнее.
Выделение фрагмента проще производить при помощи клавиши Shift:
установить курсор на начало выделения и при нажатой Shift выделять
клавишами управления курсором; или щелчком левой клавиши мыши в
конце выделения.
Удаление – выделить символ, фрагмент текста и клавиша Delete; или
через Правка⇒Del.
Копирование
a. выделить текст, Правка⇒Копировать, встать курсором в нужное
место, Правка⇒Вставить.
b. выделить текст, комбинация клавиш Ctrl + C, встать курсором в нужное
место, Ctrl + V.
При копировании выделенный текст помещается в буфер обмена,
далее из буфера можно вставить N раз куда угодно и когда угодно. Буфер
обмена доступен во всех приложениях Windows, поэтому скопированный в
Блокноте текст можно вставить и в Word, Excel и наоборот. Но: при
повторном копировании (вырезании) в буфер предыдущая информация
заменяется на новую, поэтому вставлять можно только последний
скопированный фрагмент. Правда, в современных «продвинутых» редакторах
буфер обмена расширен до 12-16 фрагментов.
Перемещение – также происходит через буфер обмена. В отличие от
копирования исходный текст удаляется с данного места и вставляется в
дру его .
a. Выделить текст, Правка⇒Вырезать, далее «иду туда, куда хочу» и
Правка⇒Вставить.
b. При помощи клавиатуры: выделить, Ctrl + X, встать «куда надо», Ctrl +
V.
Контекстное меню или динамическое, иногда говорят про «меню
правого щелчка» - одно из основных понятий окон Windows и важнейший
инструмент оконного режима управления. Оно показывает, что можно
сделать с данным выделенным (или указанным мышью) объектом в данной
конкретной ситуации. Конечно, все эти операции над выделенными
объектами можно выполнять и через главное меню с ниспадающими
подменю, но тогда резко увеличилось бы количество пунктов в главном меню
и подменю, искать нужную команду пришлось бы дольше. А контекстное
меню позволяет, «не отходя от кассы», щелкнуть правой и выбрать нужную
команду левой клавишами. Тенденция развития программного обеспечения
идет по пути повышения удобств работы за компьютером, часто главное
меню может и не присутствовать, есть только меню правого щелчка для
каждого или группы объектов. Многие программы и игры так и строятся.
Если в меню (любом!) команды выделены
бледным цветом, значит, они недоступны в
данной ситуации. Например, если буфер обмена
пуст, то не действует команда Вставить: нечего
вставлять… На фрагменте справа сразу после
открытия документа выделено слово «окно» и
нажата правая клавиша. Почему и Отменить не
действует?
Самостоятельно наберите следующий текст через меню Файл ⇒
Создать и выполните последующие задания.
Из набранного текста в этом же окне создайте копию без грамматических
ошибок, пользуясь командами копирования и редактирования.
Кстати, слово «пенальти» мужского рода…
11
12
1.5. Справочная система WINDOWS и его приложений
Умение пользоваться справочной системой (Help!) является
необходимым и обязательным требованием при пользовании любыми
программными продуктами. Вы можете забыть или даже просто не
знать какие-то возможности и особенности работы той или иной
программы (в иных современных программных продуктах заложено
столько возможностей, что «нормальный» пользователь пользуется
только частью из них), но, когда надо, Вы всегда можете обратиться к
справочнику. Справочная система WINDOWS и его приложений
построены по одинаковому принципу, поэтому на примере простой
справки Блокнота нам просто необходимо освоить приемы работы со
справочной информацией.
Во всех приложениях справка располагается в конце главного
меню. Но еще проще ее вызвать через функциональную клавишу F1.
Запустим и посмотрим.
Рис. 5
Окно справки разделено на две вертикальных области. В левой
области располагаются три вкладки: Содержание, Указатель и Поиск, в
правой – результаты поиска.
Вкладка Содержание напоминает книгу, закрытую или
раскрытую. Содержание раздела отражаются в правой области. Книга
может состоять из нескольких томов (категорий), вложенных друг в
друга. Для просмотра содержимого тома его следует раскрыть и
выделить соответствующий раздел. Просмотренные тома или книги
можете закрыть или вернуться к предыдущему разделу.
Вкладка Указатель применятся для поиска справки по ключевому
слову раздела: ввести ключевое слово или выбрать из списка, дальше
двойной щелчок или Показать. Используется в том случае, когда в
многотомном Содержании поиск справочной информации становится
затруднительным или Вам неизвестно, в каком разделе искать. Для
расширенной справки можно воспользоваться и гипертекстовым
указателем(появляется изображение пальца при наведении мышью),
если таковая услуга предлагается, а потом вернуться назад.
Гипертекст
Рис. 6
Вкладку Поиск удобнее применять для получения расширенной
справки: здесь ищется ключевое слово, которое содержится в тексте
справки, а не только в названии раздела. Поэтому результаты поиска
будут гораздо шире. На рис.7 показан результат поиска ключевого слова
вставка.
При помощи вкладки Содержание пролистайте все разделы
справки(они пока небольшие).
Потренируйтесь с вкладкой Указатель
Через Поиск найдите раздел для вывода Общих сочетаний клавиш
(рис.7) и выпишите себе в тетрадь. Поупражняйтесь поиском других
ключевых слов и сделайте соответствующие выводы относительно
возможностей разных вкладок.
13
14
Рис. 7
Контрольная работа №1.
Наберите следующий текст:
Только в мире и есть, что тенистый дремлющих кленов шатер,
детски задумчивый взор, милой головки убор, влево бегущий пробор.
Сохраните его под именем Черновик и закройте.
Создайте новый файл под названием Афанасий Фет
следующего содержания:
Афанасий Фет, тенистый, лучистый, чистый, душистый.
Используя текст Черновика, отредактируйте второй текст до
нормального вида стихотворения (новых слов не вводить!):
Примечание к заданию:
Еще раз запустите
блокнот и откройте
сохраненный файл, оба
окна разместите на
рабочем столе,
копируйте и вставляйте…
2. Текстовый редактор WordPad
Небольшие документы можно создавать и форматировать при
помощи стандартного редактора WordPad, который также входит в
группу бесплатных приложений WINDOWS. Все навыки и приемы
работы с Блокнотом пригодятся, просто здесь чуть больше
возможностей и инструментов.
Панели
выключены
1. Запустите через Пуск⇒Программы⇒Стандартные⇒
WordPad(см. Рис. 8). Главное горизонтальное меню немного
расширилось, можно изменять вид окна через меню Вид, что и
продемонстрировано ниже. Для начала потренируйтесь включением
и выключением
панелей, наведите
указатель мыши на
инструменты и
задержитесь на
секунду (т.н.
«зависание» над
объектом) – высветится подсказка - назначение кнопки. Для
дальнейшей работы оставьте включенными все панели.
Инструменты
Линейка
Строка состояния
Включена цифровая
клавиатура Num Lock
Рис. 8
2. Панель инструментов имеет чисто утилитарное значение: те
команды из разных подменю, которые часто используются,
удобнее вывести в виде отдельных кнопок и пользоваться ими
одним щелчком. В дальнейшем здесь и в другой литературе под
щелчком понимается щелчок левой клавишей, а щелчок правой
уточняется или говорится про контекстное или динамичное
меню. Кнопки бледного цвета в данный момент не активны, ими
нельзя пользоваться в текущем контексте (ситуации), как и
соответствующими командами из меню.
15
16
3. Панель форматирования служит для форматирования
выделенного текста(в Блокноте таких возможностей не было, а
шрифт устанавливался целиком для всего документа). Со
шрифтами мы уже знакомы, теперь есть возможность задавать и
цвет текста, выравнивать абзац влево, вправо или по центру. Что
такое абзац?
Абзац в Microsoft Word — это отдельный набор данных,
отличающийся своими параметрами форматирования, такими как
выравнивание, интервалы и стили. В конце абзаца всегда стоит знак
абзаца6
. К абзацам документа применяют то или иное форматирование в
зависимости от назначения этого документа и его предполагаемого
внешнего вида. Часто в одном документе абзацы оформляются по-разному.
Например, при написании отчета его название помещают на титульном
листе в отдельном абзаце, который выравнивается по центру, а имя автора и
дату помещают у нижнего края страницы в отдельных абзацах,
выровненных по правому краю. А для нас сейчас абзацем является текст,
начинающийся и заканчивающийся нажатием на клавишу Enter. Первый
абзац в документе – от начала до первого Enter.
Рис. 9
4. Линейка – очень важный инструмент(см.Рис. 9) для установки
параметров страницы и полей. Белым цветом выделена зона
ввода текста, ширина обычно измеряется в сантиметрах(см) и
мм. На линейке видны отступы для текущего абзаца бумаги
формата А4(стандартный формат для большинства принтеров).
Параметры абзаца обычно устанавливаются через меню
Формат⇒Абзац, а размер бумаги или страницы - Файл⇒Макет
страницы. Отступы можно задавать и перемещением маркеров
отступа на линейке(см.Рис. 9).
Передвигает и
отступ первой
строки
Только
себя
Границы текста по ширине в см
Правый отступ
для бумаги А4
=30 мм, левый
тоже =30 мм, но
он не виден.
Ширина формата
А4 = 21см
6
Увидим в платных текстовых процессорах от Office 97 и выше, но чуть позже
Потренируйтесь установкой параметров страницы и абзаца через
меню и передвигая маркеры отступа. В качестве текста введите свою ФИО
и некоторые биографические данные
5. Табуляция
Часто возникает необходимость представления текста в виде
отдельных колонок или табулировать. Для таких целей имеется
табулятор, знаки табуляции выглядят в форме уголка └ . Позиции
табуляции устанавливаются на линейке через меню
Формат⇒Табуляция или щелчком мыши на линейке. Переход от одной
позиции табуляции к другой происходит после нажатия клавиши Tab.
Как удалять позиции табуляции, посмотрите через справочную систему,
ключевое слово – табуляция. Ниже представлен пример использования
табуляции. Повторите это упражнение самостоятельно.
Табуляция действует только на абзац. Для остальных абзацев ее
можно отменить или установить другой порядок
2.1. Упражнение 2. Основные навыки
Наберите нижеприведенный текст. На основе этого текста мы
освоим основные возможности форматирования документов. Пусть он и
несколько громоздкий, но клавиатуру тоже надо осваивать (см.
приложение 1).
КОМПЬЮТЕР (англ. computer, от лат. computo — считаю),
машина для приема, переработки, хранения и выдачи информации в
электронном виде, которая может воспринимать и выполнять сложные
последовательности вычислительных операций по заданной инструкции
— программе.
С начала 1990-х годов термин «компьютер» вытеснил термин
«электронная вычислительная машина» (ЭВМ), которое, в свою
очередь, в 1960-х годах заменило понятие «цифровая вычислительная
машина» (ЦВМ). Все эти три термина в русском языке считаются
равнозначными. Само слово «компьютер» является транскрипцией
английского слова computer, что означает вычислитель. Английское
17
18
понятие «computer» гораздо шире, чем понятие «компьютер» в русском
языке. В английском языке компьютером называют любое устройство,
способное производить математические расчеты, вплоть до
логарифмической линейки, но чаще в это понятие объединяют все типы
вычислительных машин, как аналоговые, так и цифровые.
Хотя компьютеры создавались для численных расчетов, оказалось,
что они могут обрабатывать и другие виды информации, так как
практически все виды информации могут быть представлены в
цифровой форме. Для обработки различной информации компьютеры
снабжаются средствами для ее преобразования в цифровую форму и
обратно. Поэтому с помощью компьютера можно производить не
только численные расчеты, но и работать с текстами, рисунками,
фотографиями, видео, звуком, управлять производством и транспортом,
осуществлять различные виды связи. Компьютеры превратились в
универсальные средства для обработки всех видов информации,
используемых человеком.
(Текст заимствован с компакт-диска детской «Большой
энциклопедии Кирилла и Мефодия»)
Текст состоит из трех абзацев, по умолчанию выровнен влево.
Выделение текста происходит так же, как и в Блокноте (двойной щелчок
на слове), но есть существенные добавления.
Чтобы выделить строку, надо подвести указатель мыши на начало
строки, чтобы курсор принял форму направленной вправо и вверх
стрелки и одинарный щелчок.
Двойной щелчок выделит весь абзац, тройной – весь документ.
Перенос(перетаскивание) слов и фрагментов текста можно
осуществлять и мышью: выделить текст и при нажатой клавише мыши
перетащить в нужное место.
Потренируйтесь, а потом дальше пойдем…
1. Выделите английское слово computer и установите цвет
красный, начертание курсивное(второе название курсивного
шрифта – Italian), размер 18, шрифт – Arial.
2. Первую строку подчеркните, цвет – синий, шрифт – Tahoma
3. Для второго абзаца примените шрифт Courier New Italian,
выравнивание по центру, отступы слева и справа по 3 см, первая
строка с отступом 1,25 см.
4. Через буфер обмена переставьте местами второй и третий
абзацы
19
5. Во всем тексте слово «компьютер» замените на «ЭВМ»
(Правка⇒Заменить)
6. Для второго и третьего абзаца установите маркеры
7. При помощи мыши переставьте местами второй и третий
абзацы(вернитесь к исходному порядку текста)
8. Свое «творчество» сохраните под именем «Упр_2»
На этом «прелюдия» к WinWord завершена.
2.2. Контрольные вопросы
1. Как объединить и разбить строку на две?
2. Как удалить символы слева и справа от курсора?
3. Как задать абзацные отступы?
4. Как выделяется символ? Слово? Произвольный текст?
5. Каким образом фрагмент текста можно переставить в другое
место документа? Назовите все способы
6. Для чего служат сочетания клавиш Ctrl + C и Ctrl + V?
7. С каким расширением сохраняются документы в Блокноте и
WordPad?
8. В каких приложениях Windows доступен буфер обмена
данными и для чего он служит?
9. Что такое «абзац» в понимании Word?
10. Как задать параметры страницы в WordPad?
11. Как пользоваться контекстным меню и в чем его преимущество
перед главным или другим ниспадающим меню?
12. Почему в Блокноте текст, сохраненный одним шрифтом, может
открываться любым другим?
Забегая чуть вперед…
Если в Word текст подчеркнут красным цветом – ошибка
грамматическая или такого слова нет в словаре редактора. Через
контекстное меню можете выбрать правильный вариант слова или
добавить в словарь, например, фамилию.
Если зеленым – синтаксическая ошибка, также исправляется
через контекстное меню, или не исправляется, если Вы уверены в
собственной правоте
20
3. Текстовый процессор Word 2000
Мощным средством для создания, обработки и верстки текстовых
документов является составная часть Office – WinWord (общее название
версий Word). Включает в себя возможности программирования в среде
Visual Basic, создания макросов, графический редактор, редактор
формул, средство для графических эффектов текста WordArt, таблицы и
т.д. Более подробно можно ознакомиться через справочную систему или
специальную литературу. Мы же рассмотрим только основные
возможности, которыми пользуется обычный пользователь. Если Вы
поэтапно прошли предыдущие упражнения, то освоение
«тяжеловесного» текстового процессора будет происходить без
затруднений.
Запускается Word через ярлык на рабочем столе или панели
задач (ярлык присутствует практически на всех компьютерах), иначе
через меню Пуск⇒Программы. Стандартный вид окна представлен
ниже на Рис. 10.
Стандартная
Другие
кнопки
Форматирования
Рисования
Строка
состояния
Вид
Рис. 10
По умолчанию под главным меню выводятся панели инструментов
Стандартная и Форматирование, а внизу панель Рисование. Окно
редактора построено рационально и прагматично, т.е. так, что в
ниспадающих меню выводятся только основные и недавно
использовавшиеся кнопки, а другие кнопки выводятся, если
задержаться курсором на двойной стрелке, направленной вниз.
Дополнительные кнопки на панелях инструментов можно вывести через
Другие кнопки в конце панели (см. Рис. 10). Строка состояния
содержит достаточно много информации, ознакомьтесь через
справочную систему и Помощника7
.
3.1. Упражнение 3. Форматирование
1. Наберите нижеприведенный текст (знак ¶ означает нажатие Enter
или знак абзаца, виден, когда включен режим Непечатаемых
знаков ¶ в Стандартной панели). Так как слово «Правило»
повторяется 10 раз, то после первого ввода выделите его и
скопируйте в буфер, а потом вставляйте 9 раз. Можно 1 раз
скопировать и при помощи клавиш Ctrl + Ins, а потом вставлять
комбинацией Shift + Ins.
2. Выделите весь текст и примените выравнивание по ширине ( ).
По умолчанию Word 2000 настроен на шрифт Times New Roman
размером 12. Увеличьте размер шрифта до 14.
3. Заголовок «Сетевой этикет» отцентрируйте по центру, шрифт
Arial, размер 15. Т.к. в списке размеров нет 15 пункта, то его
можно набрать самим: курсором подойдите и наберите 15, Enter.
Размеры шрифтов можно устанавливать от 1 до 1638 пунктов,
причем допускаются и не целые, например, 13,5 пт.
21
7
Мастер подсказок, дает советы по ситуации. Вещь забавная и полезная
22
4. Через Формат⇒Шрифт⇒Интервал для заголовка установите
интервал между символами (буквами) 3 пт. Через панель
форматирования (кнопки справа) установите цвет шрифта
темно-синий, выделение желтым цветом. Установите через
Формат⇒Шрифт⇒Анимацию мигающий фон.
5. Обычно между строками по умолчанию устанавливается
обычный интервал, но иногда возникает необходимость
установки более широкого интервала между двумя абзацами,
например, чтобы разделить заголовок и основной текст. Через
меню Формат⇒Абзац⇒Отступы и интервалы установите
Интервал⇒После равным 12 пт. Межстрочный остается
одинарным.
6. Для второго абзаца через Формат⇒Шрифт установите верхний
индекс, интервал - уплотненный на 1 пт, выравнивание по
правому краю, отступ после 6 пт.
7. Для третьего абзаца интервалы до и после по 6 пт, шрифт Courier
New, Формат⇒Границы и заливки⇒Граница в рамках, Заливка -
10% узор.
8. Выделите строки Правило 1-10 и установите межстрочный
интервал 1,5, через панель форматирования и кнопку Внешние
границы заключите все правила в общую рамку.
9. Сохраните документ (по умолчанию имя документа будет состоять из
первых слов первой строки)
3.2. Таблицы
Таблица состоит из строк и столбцов, на пересечении которых
образуются ячейки, которые могут содержать текст, рисунок, а также
формулы. Иногда просто удобнее представлять и упорядочивать данные
в виде таблиц. Более подробно почитайте через справочную систему,
ключевое слово «таблицы». Мы же рассмотрим простейший пример.
Все операции с таблицами производятся через меню Таблица или
контекстное меню, естественно, над предварительно выделенными
частями или всей таблицей. Рамки (границы) в таблицах можно и не
выводить.
1. Таблица⇒Добавить и задаем количество столбцов 4, строк – 5. По
умолчанию будут вставлены столбцы одинаковой ширины. Но у нас
первая строка состоит всего из 2-х столбцов. Колонки 1-2 и 3-4 надо
объединить. Для этого мышью выделим столбцы 1-2(3-4) первой
строки и через Таблицы⇒Объединить ячейки из двух ячеек получим
одну.
Маркер перемещения таблицы
Рис. 11
2. Заполните таблицу согласно Рис. 11. Для перехода по ячейкам
пользуйтесь клавишами управления курсором (нажатие Enter
вставляет строку внутри ячейки). Если текст не умещается в одной
строке, то он автоматически переходит на другую строку внутри
ячейки. Когда курсор будет находиться в любой ячейке последней
строки, добавьте две строки через Добавить или
контекстное меню⇒Добавить строки.
Выделите всю таблицу и отцентрируйте текст по
центру. Для редактирования таблицы можно
включить режим Непечатаемых знаков.
3. Измените границы столбцов согласно Рис. 12
при помощи двунаправленной стрелки на
границе столбцов или на линейке. Ширина строк
автоматически должна уменьшиться. В ячейках
Сложение (Равно) через контекстное меню
⇒Направление текста установите
соответствующие направления. Через Свойства
таблицы⇒Ячейки залейте первую строку
желтым цветом (или через контекстное меню).
4. Через Нарисовать таблицу разбейте
несколько ячеек на две (инструмент приведен на Рис. 12). Иногда
проще дорисовывать или удалять ячейки при помощи данного
инструмента, чем пользоваться через основное меню Таблица.
23
24
Нарисованные
линии
Рис. 12
Таблицы очень удобно использовать для создания списков и
форматирования их в колонки, например, в виде словарей. Для примера
наберите в таблице следующий текст. Правильные действия укажите
сами.
Что делать,
если:
Действия
Петрушины
подсказки
Папины наказы
Кончился коврик
при движении
мышью?
?
Купить коврик
большего размера
Круглых идиотов за
компьютер не
сажают
Не видно «мышки»
на экране?
?
Позвать кошку для
поиска
В программе мышь
не предусмотрена
(может, еще
ДОСовская)
Пришел начальник
(учитель), а ты
играешь в игры?
Всегда должна быть загружена
рабочая (учебная) программа, чтобы
быстро переключиться на нее по
комбинации клавиш Alt+Tab
Делу время, а
потехе час
Не могу найти для
открытия ранее
сохраненный файл?
?
Хотя бы имя
помнишь? Файла, а
не свое. Ищи через
поиск по дате и
формату
Ищи там, где
потерял, а не там,
где светлее
После всего выделите таблицу и удалите границы. Таблица будет
выглядеть как гладко отформатированный текст и при печати рамок не
будет видно.
3.3. Рисование
Обычно по умолчанию панель Рисование находится внизу, Word
позволяет реализовать векторную графику. Более подробно почитайте
через ключевое слово справки «Рисование».
Рис. 13
1. При помощи инструментов рисования8
попробуйте нарисовать
отдельные фигуры и выноски, залить выделенные фигуры, придать
объем квадрату и т.д. Примерно как на Рис. 14. Текст в выделенную
автофигуру вставляется через Контекстное меню⇒Добавить
текст. Выравнивается стандартным образом.
Выноска
Границы для
изменения размера
Рис. 14
25
8
Если у Вас открывается полотно рисунка в Office XP, 2003 – при желании его можно
отключить через Сервис-Параметры-Вид (снять галочку)
26
2. Пока каждая рисованная (или вставленная) фигура существует сама по себе,
они могут быть наложены друг на друга, смещены и т.д.(см. Действия⇒Порядок).
Чтобы объединить их в единую фигуру, надо при помощи (Выбор объекта)
заключить в рамку, чтобы все фигуры оказались внутри нее, далее
Действия⇒Группировать. Теперь все фигуры связаны воедино и к ним можно
обращаться как единому рисунку: перемещать, копировать, изменять размеры
опять-таки через контекстное меню. При необходимости можно разгруппировать
и перегруппировать с другими добавленными рисунками. Расположение рисунков
в тексте устанавливается через Действия⇒Обтекание текстом или Контекстное
меню рисунка⇒ Формат рисунка⇒Положение. Наложение рисунков друг на
друга происходит через Действия⇒Порядок. Проделайте все эти манипуляции
самостоятельно9
.
3. Объекты WordArt добавлять и пробовать только самостоятельно. Если не
получается, то и не надо: из меня тоже плохой художник… Вы уже достигли
такой степени обучаемости (если не перескакивали, а шли строго по пособию), а
инструментов рисования, да и других, столь много, что нет возможности и
необходимости описывать работу каждого из них. Иначе получилось бы не легкое
пособие, а «талмуд» по Word.10
Чуть ниже автор сжалился над «чайниками» и
немножко подсказал в блок-схемах.
Создайте простенькую таблицу – календарь на текущий месяц
Декабрь 2004
День недели * * * * * *
Понедельник 5
Вторник 6
Среда 1 7
Четверг 2 8
Суббота 3 9
Воскресенье 4 10
Выходные и праздничные дни выделить, пятницу добавить через Выделить
строку Четверг⇒Таблица⇒Добавить строки ниже. * * и * - четная и нечетная
недели, так в вузах бывает
Создайте расписание уроков, используя элементы Word Art для
названия, таблицу для дней недели, формат страницы - альбомный,
вставьте рисунки из коллекции ClipArt или нарисуйте собственный,
примените обрамление страницы через Формат⇒Границы и заливки
⇒Страница⇒Рисунок. А это вариант орнамента границы страницы из
шаблона.
9
К данному абзацу применено масштабирование символов на 90%
10
А тут дополнительно и интервал уплотненный на 0,5 пт
В качестве самостоятельной работы по закреплению навыков
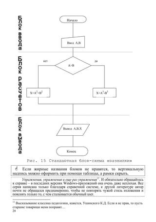
использования инструментов рисования нарисуйте блок-схему
программы на разветвление.
Пояснения к заданию.
Первая блок-схема составлена при помощи стандартной программы
растрового рисунка Paint, вторая – в Wordе. Почувствуйте разницу! Мы будем
пользоваться только Wordовскими инструментами. Фигуры рисуются через
Автофигуры⇒Блок-схема. Чтобы фигуры получились одинакового размера, то
первую фигуру надо выделить, копировать и вставить N раз, после растащить по
местам. Подписи вставлены через Надпись(но лучше вставлять через
Контекстное меню⇒Добавить текст). Нарисовать одну надпись нужного
размера и шрифта, далее контекстное меню⇒Формат надписи⇒Цвета и линии
убрать линии, скопировать N раз, расставить по местам (текст корректируется на
месте). К степеням А
2
применен верхний(надстрочный) индекс (выделить 2 или 3
,
Формат⇒ шрифт). Названия трех блоков алгоритма для разнообразия набраны
через WordArt, в нем применен вертикальный текст (см. рисунок).
Когда нарисуете все фигуры, то через кнопку выделить всю
блок-схему и группировать. Попробуйте оба варианта блок-схем.
Вот эта желтая
кнопка в
WordArt меняет
узлы (схватить
ее и таскать)
27
28
Если жирные названия блоков не нравятся, то вертикальную
надпись можно оформить при помощи таблицы, а рамки скрыть.
Упражнения, упражнения и еще раз упражнения11
. И обязательно обращайтесь
к справке – в последних версиях Windows-приложений она очень даже неплохая. Все
серия написана только благодаря справочной системе, к другой литературе автор
почти не обращался преднамеренно, чтобы не повторять чужой стиль изложения и
пояснять только то, с чем сталкивается обычный user.
11
Высказывание классика педагогики, кажется, Ушинского К.Д. Если я не прав, то пусть
старшие товарищи меня поправят…
Начало
Ввод А,B
нет да
A>B
Рис. 15 Стандартная блок-схема «развилки»
Вывод A,B,X
X=A
2
+B
2
X=A
3
-B
3
Конец
3.4. Списки
Часто возникает необходимость представления текста в виде
списков: маркированных и нумерованных. Наберите следующий
текст(пока без форматирования, маркеров и нумерации, каждая новая
строка через Enter):
Кнопки повышают
(понижают) уровни
1 уровень
2 уровень
3 уровень
1. Выделите строки со свойствами информации и нажмите на
кнопку Маркеры на панели форматирования: будут вставлены
текущие маркеры. Если Вы хотите применить другие маркеры,
то через Формат⇒Список⇒Маркированный можете задать
другой маркер или изменить, выбрав другие из списка символов
(панель откроется).
2. Выделите строки от «Системного блока» до конца и кнопка
«Нумерация». Все строки пронумеруются.
3. Выделите строки A,B,C и нажмите на Увеличить отступ. Будет
создан 2 уровень многоуровневого списка.
4. Выделите строки «процессор - чипсет» и нажмите на Увеличить
отступ. Будет создан 3 уровень многоуровневого списка.
5. Завершите нумерацию всего списка. Все списки корректируются
через Формат⇒Списки. Попробуйте создать свой
многоуровневый список. В данном учебном пособии тоже свои
списки и маркеры.
29
30
3.5. Макросы
Часто приходится выполнять однотипные операции. Для автоматизации
таких рутинных работ служат макросы. Почитайте через справку. А мы
создадим макрос, который в место курсора вставит символ и текущий абзац
обведет рамкой.
1. Сервис⇒Макрос⇒Начать запись⇒назначить макрос панели, в окне
Настройка схватить Макрос1 и потащить на панель форматирования. После
этого откроется дополнительная кнопка Изменить выделенный объект,
дайте имя макросу Вот как!, выберите значок, назначьте комбинацию
клавиш Ctrl+!, закрыть. Начинается запись макроса: Вставка⇒Символ,
выберите изWingdings2символ , Внешние границы иостановите запись.
Установить на
панели
2. Наберите любой текст и поставьте курсор в начало абзаца.. Теперь мы
можем запустить макрос: через Сервис⇒Макросы⇒выбрать и выполнить;
комбинацией клавиш;кнопкой на панели .
Самостоятельно создайте макрос, который выделенный текст увеличивает
до 16 пт, курсивный Tahoma, разреженный на 2 пт, заливка желтая,
текст синий
Удалить макросы можно также через Сервис⇒Макрос
⇒Макросы⇒Удалить. Кнопку с панели оттащить в сторону при активной
(открытой) панели Сервис⇒Настройка.
4. Подготовка структурированных документов
Все наши дальнейшие действия будут происходить при виде
экрана Режим разметки, режим структуры осваивайте самостоятельно,
учитесь пользоваться справочной системой. Мы рассмотрим пример
составления и оформления отчетов, курсовых и дипломных работ.
4.1. Оформление титульного листа
Текст можно вводить любым шрифтом, а уже потом
«приукрашивать»: применять разные шрифты, стили, выравнивания.
Если нет необходимости начинать новый абзац, то для перехода на
новую строку лучше пользоваться комбинацией клавиш Shift + Enter
( ). Этот знак виден при включении режима просмотра Непечатаемых
символов (панель инструментов Стандартная). При
форматировании и наборе документа его лучше включить.
Для перехода (перескакивания) на новые строки документа
можно пользоваться не только Enter, но и включенным режимом
свободного ввода (указатель мыши принимает вид выравнивания влево,
вправо, по центру при наведении курсора на новую, еще пустую строку
и щелчке мышью: , , ). Режим свободного ввода можно
включить (если уже не включен!) через Сервис ⇒ Параметры ⇒
Правка ⇒ Свободный ввод.
Для выравнивания текста никогда не стоит пользоваться клавишей Пробел:
это позапрошлый век механических пишущих машин! Один пробел может
присутствовать только между словами.
Задайте Параметры страницы: Поля – верхнее и нижнее – 2 см,
левое – 2,5 см, правое – 1,5 см (экономим бумагу); Размер бумаги – А4,
книжная; Макет – различать колонтитулы первой страницы (чтобы
потом не печатать номер на первой странице).
Теперь смело набирайте текст титульного листа (Рис. 16 Вариант
титульного листа). Используйте разные шрифты. Выравнивание везде
по центру, кроме «Кафедры …» и «сдал-принял». Заглавие «Отчет или
Учебный практикум» может быть отформатировано разреженным
шрифтом.12
31
12
В данной главе использованы другие маркеры, потому что глава была написана
раньше основного текста пособия, уже опробована студентами на практикуме и
была вставлена через Вставка⇒Файл
32
Рис. 16 Вариант титульного листа
После того, как набрали последнюю строку Чебоксары 2005 (не
переходя на новую строку или страницу!) надо будет ввести переход на
новую страницу через Вставка ⇒ Разрыв ⇒ Начать новую страницу.
Этим пользуйтесь всегда, когда следующий текст должен начинаться с
новой страницы, например, начало нового параграфа или главы.
На второй странице обычно располагается оглавление или
содержание документа. Оглавление мы составим автоматизированное,
когда будут введены названия заголовков и подзаголовков, а сейчас, на
первом этапе мы подготовим только шаблон (макет) нашего документа,
куда будем добавлять текст и данные по
мере наработки. А пока напишем
Содержание, 1-2 раза Enter и опять
переход на новую страницу через
вставку разрыва.
Копии экрана демонстрируют
этапы подготовки шаблона (точнее,
заготовки) отчета. Шаблон – это
немножко другое.
4.2. Оформление заголовков и оглавления
На новой странице наберем название главы (строки с таблицы на
титульном листе – Блокнот и т.д.) и применим к нему стиль Заголовок
1, 1-2 раза Enter (а можно задать и величину интервала До и После через
меню Абзац⇒Отступы и интервалы примерно на 6 и 12 пт) и опять
переход на новую страницу через вставку разрыва. Для подразделов
33
34
глав применим стиль Заголовок 2. Таким же образом вставим заголовки
всех глав и разделов. Вернемся на вторую страницу и пронумеруем
страницы, вставим оглавление.
Вставка ⇒ Номера страниц ⇒ и в окне из списков выберем
нужные (образец прилагается). Обычно номер на первой странице не
ставится, поэтому галочку отключим, дополнительно через Формат
можно задавать начало нумерации. В первый раз просто продолжить.
Теперь будут проставлены номера страниц везде в нижнем колонтитуле,
кроме первой. Если получилось немного не то, оглавление нужно
просто выделить щелчком или Вид ⇒ Колонтитулы и удалить через
Del. Будут удалены номера на всех страницах. Потом просто повторить
еще раз.
Для вставки автооглавления курсор установим на 2 или 3 строке
второй страницы и Вставка ⇒ Оглавления и указатели ⇒ вкладка
Оглавления. Обычно трехуровневого оглавления (по умолчанию)
хватает, устроит и стандартный шаблон (любознательные могут
попробовать и другие параметры, форматы и заполнители). Более
подробно описывается ниже, в разделе создания стилей.
Из юмора программистов
На чемпионате мира по женской логике с большим отрывом победил
генератор случайных чисел.
Идет папа с сыном по зоопарку. Вдруг сынок кричит: - «Папа, смотри -
программисты!!!»- и показывает на клетку с гориллами.
Папа: :-???
Сынок: "Волосатые, небритые и мозоль на заднице".
Ложась спать, программист ставит рядом на столик 2 стакана. Один с
водой - если захочет пить, второй пустой - если не захочет.
Тонет программист: F1! F1! F1!
Для удаления или вставки номера через колонтитул
В результате будет вставлено оглавление. Если в нем отражаются
ненужные заголовки, то надо вернуться к соответствующему тексту и
изменить стиль на обычный или основной. Подобное автоматическое
определение стиля происходит, когда размеры и шрифт текста случайно
совпадают со свойствами стилей заголовков. Потом вернуться к
оглавлению и через контекстное меню Обновить поле Целиком. Ниже
приведен примерный вид оглавления при режиме просмотра
«непечатных выражений».
Проанализируйте текст данного учебного пособия: он набран в
Word 2000, использованы разные стили, обычные и концевые сноски,
сочетания разных шрифтов и оформлений, нумерованные списки и
маркеры, нумерация различается для четных и нечетных страниц,
используются зеркальные поля и печать «2 страницы на листе»,
вставлены копии экрана при помощи программы Snagit32.
Копии экрана можно вставлять при помощи клавиши Print Screen:
нажать на нее, экран будет скопирован в буфер обмена, а потом в
нужном месте вставить из буфера. Рисунок можно редактировать при
помощи стандартной программы Paint: вставить из буфера обмена в
Paint, там вырезать ненужное, сделать надписи, подкрасить, а потом
к иоп ровать и в Worde вставить.
Все, что изложено в данной брошюре, не есть «истина в последней
инстанции». Всегда можно найти варианты проще и эффективнее. Но,
как ворят шахматисты, лучше иметь плохой план игры, ем игратьго « ч
без плана». Замечания и предложения обязательно учтем в
последующих версиях. Присылайте, будем только рады. В «Полезных
советах» уже что-то добавлено «по просьбам трудящихся».
35
36
Лишние строчки («грязь»)
В дальнейшем после добавлений текста и изменений номеров
страниц надо будет просто обновлять оглавление. Если размеры
оглавления оказываются мелкими, то размер шрифта можно увеличить.
Для этого выделить все оглавление щелчком слева перед первой или
последней строкой и применить соответствующий размер и гарнитуру.
Вставку результатов выполнения учебного практикума можно
производить через буфер обмена, меню Вставка⇒Файл, объект,
рисунок и т.д.
4.3. Добавление инструментов
Обычно стандартная настройка Word предусматривает только две
панели инструментов: Стандартная и Форматирование.
Дополнительные панели инструментов устанавливаются или
выключаются через меню Вид ⇒ Панели инструментов. Если панели
инструментов располагаются на одной строке (что не всегда удобно), их
можно растащить на разные строки панели инструментов. На рисунке
представлен вариант экрана с двумя панелями на одной строке,
растаскиваются они просто: схватить мышью панель с левой стороны,
когда указатель имеет вид четырех стрелок и переместить
под первую панель.
Некоторые панели инструментов имеют стандартное местоположение,
например, рисование. Другие кнопки панели можно отображать или
удалять через список в конце панели.
Часто бывает удобно пользоваться дополнительными кнопками,
которые не отражаются в фиксированных панелях. Можно создать и
собственную панель инструментов. Все это создается через Сервис ⇒
Настройка. В качестве примера представлены две панели инструментов
с дополнительными кнопками, которыми часто пользуется автор.
Кнопки увеличить и уменьшить размер на 1 пт удобны тем, что
позволяют изменять размеры шрифтов на весь выделенный разноразмерный
текст, соседняя кнопка масштабирования символов позволяет создавать
любопытные эффекты оформления текста. Разработан и собственный стиль
для методической литературы – Методичка. Попробуем и мы:
Сервис⇒Настройка⇒ Категории_формат, выбрать нужный инструмент и
мышью перетащить в нужное место на панели инструментов. Попробуйте
самостоятельно добавить несколько кнопок. Удаляются кнопки также
мышью: схватить на панели и оттащить в сторону (при этом панель
Настройка должна быть открытой!).
Когда набираете или корректируете любой текст, то время от времени
сохраняйте на диске. Но лучше заранее установите через Сервис⇒
Параметры автосохранение и место сохранения документов через вкладку
Расположение. По умолчанию они обычно сохраняются в Моих
документах. Установите некоторые Параметры (Вид, Общие,
Правописание и другие) самостоятельно по мере необходимости.
Мы еще пропустили понятие Шаблона. Обращайтесь к справке, но
шаблон Normal лучше не меняйте (потом можете не разобраться), в
учзаведених никогда!, при необходимости создавайте собственный шаблон,
маленький пример приведен в Полезных советах.
Не ленитесь самостоятельно исследовать окна, если что-то не
сразу получается – Вы всегда можете отменить последние
действия.
Не стесняйтесь обращаться за помощью к справочной системе,
особенно к контекстной справке через Shift + F1 или к
Помощнику.
Новые кнопки
37
38
4.4. Создание стилей, сносок, ссылок
Попробуем создать собственный стиль для заголовка второго
уровня:
Формат⇒Стиль⇒
⇒ Создать ⇒
⇒ присвоим имя стилю Заголовок 2_1 ⇒ Формат ⇒ через
Шрифт, Абзац, Нумерация изменим некоторые настройки,
галочку в добавить в шаблон ⇒ ОК ⇒ Применить. Можно
поставить галочку и на Обновлять автоматически, тогда при
каждом изменении формата любого текста, основанного на данном
стиле, стиль будет автоматически меняться, причем для всех
элементов документа, использующих данный стиль.
В результате будет создан стиль с нижеприведенными
характеристиками:
Новые стили можно создавать и изменять также через
Организатор. Ниже приведен стиль абзаца Важно с обрамлением и
указательным пальцем из вставка⇒символ. К данному абзацу
применен этот стиль: выделить абзац и применить стиль. А еще
проще назначить комбинацию клавиш.
39
40
Наиболее простой способ создания собственных стилей –
переназначить уже готовому отформатированному абзацу новый
стиль через Формат⇒Стиль⇒Создать⇒ОК⇒применить. Если
назначите комбинацию клавиш – будет еще лучше, только
используемые комбинации не трогайте, могут пригодиться.
Вот теперь собственный стиль можно применить и для создания
автоматизированного оглавления.
Отработайте самостоятельно.
Сноской называют уточняющий текст, который обычно ставится
внизу на текущей странице (обычная сноска)13
или в конце документа
(концевая сноска). Для сносок также можно задавать свой Стиль.
Списки иллюстраций ставятся так же, как и оглавления и указатели.
Ниже приведен список пронумерованных рисунков данного пособия.
Нумерация данных рисунков также вставлялась автоматически через
Вставка⇒Название. Можно вставлять автонумерацию таблиц,
формул и других объектов.
Рис.1 ..........................................................................................................................................................5
Рис. 2 .........................................................................................................................................................6
Рис. 3 .........................................................................................................................................................8
Рис. 4 .........................................................................................................................................................9
Рис. 5 .......................................................................................................................................................12
Рис. 6 .......................................................................................................................................................13
Рис. 7 .......................................................................................................................................................14
Рис. 8 .......................................................................................................................................................15
Рис. 9 .......................................................................................................................................................16
Рис. 10 .....................................................................................................................................................20
Рис. 11 .....................................................................................................................................................23
Рис. 12 .....................................................................................................................................................24
Рис. 13 .....................................................................................................................................................25
Рис. 14 .....................................................................................................................................................25
Рис. 16 Вариант титульного листа ...................................................................................................32
Рис. 17 .....................................................................................................................................................41
Рис. 18 Схема документа включена .....................................................................................................48
Рис. 17
☺ Рис. 17 после обновления сама себя презентует на стр. 41…
41
13
Специальный пример обычной сноски. Нумерация автоматическая
42
4.5. Слияние
Используя инструмент Слияние из меню Сервис, можно
автоматизировать процесс составления серийных писем для массовой
рассылки. Например, рекламная рассылка, когда общий текст письма
остается постоянным, а меняются только адреса и фамилии; письма-
напоминания, разные повестки и т.д.
Рассмотрим этапы создания подобных писем с «чистого листа»,
когда еще нет неизменного основного текста и переменной части14
.
Сервис ⇒ Слияние ⇒ Основной документ ⇒ Создать ⇒
Документы на бланке ⇒ Активное окно.
Дальше перейдем к созданию Источника данных (переменная
часть документа). В стандартном источнике данных удалим все
поля, кроме 2: Фамилия и Имя, добавим 2 новых поля:
Отчество и Дата.
После заполнения и ОК сохраните файл по своему адресу на диске.
Теперь надо заполнить источник конкретными данными. Раскроется
стандартная форма с нашими четырьмя полями, которую мы и заполним
ФИО и датами рождения поэтов.
14
Для Word XP, 2003 откроется окно из 6 этапов, порядок и смысл такой же, продолжайте по
тексту
Фамилия Имя Отчество Дата
Пушкин Александр Сергеевич 06 июня 1799
Лермонтов Михаил Юрьевич 15 октября 1814
Тютчев Федор Иванович 23 ноября 1803
Блок Александр Александрович 28 ноября 1880
Ахматова Анна Андреевна 23 июня 1889
Заболоцкий Николай Алексеевич 07 мая 1903
Окуджава Булат Шалвович 09 мая 1924
Источник данных есть простая таблица, где первая строка – имена полей, а
последующие - сами данные. Поэтому в качестве источника данных можно
использовать любую заранее подготовленную таблицу.
Вернемся к Правке основного документа через диалоговое окно
Слияние (панель инструментов Слияние уже добавлена
автоматически!) и составим бланк основного документа согласно
рисунку ниже. Поля слияния добавлены, а текущая дата
заполнения
документа(самая
нижняя строка)
через меню
Вставка⇒Дата
и время. (Здесь
продемонстрирована
просто дополнительная возможность WORD, к мастеру слияния
специального отношения не имеет).
После создания основного документа завершающий 3 этап-
Объединение. В результате будет создан третий, итоговой
документ Word на 7 страницах, который можно сохранить,
напечатать.
43
44
Бланк основного документа
Если все получилось, то попробуем немного улучшить стиль
составления подобных писем, используя дополнительные возможности
Слияния через инструмент Добавить поля Word. Из нашего
поэтического списка только одна фамилия женская, поэтому обращение
Уважаемый(ая) можно упростить при помощи поля IF
…THEN…ELSE….(О-очень знакомый оператор ветвления Если…).
В бланке основного документа оставим несклоняемую основу
Уважаем, а окончание будем варьировать (изменять) в
зависимости от фамилии. Особых пояснений не требуется.
Проверим результат, не прибегая к объединению. На панели
инструментов Слияние нажмем на кнопку Поля/данные (указана
курсором) и пролистаем наши записи.
Самостоятельная работа №1. Создайте при помощи слияния
пригласительные билеты на какое-нибудь торжество. В источнике
данных добавьте поле Пол для автоматизации склонения Дорогой(ая).
Самостоятельная работа №2. Попробуйте создание других
документов типа наклейки и конверты (высвечивались в диалоговом
окне Основной документ⇒Создать или в меню Сервис⇒Конверты и
наклейки…
Из законов Мерфи
Закон Букера. Даже маленькая практика стоит большой теории
Принцип ИБМ. Машина должна работать, человек – думать
Второй закон Вышковского. Все можно наладить, если вертеть в руках
достаточно долго
Аксиома Кана. Если ничто другое не помогает, прочтите, наконец,
инструкцию
Правило для лаборантов. Когда не знаешь, что именно ты делаешь,
делай это особенно тщательно
Первый закон работы в лаборатории. Горячая колба выглядит точно
так же, как и холодная
45
46
4.6. Полезные советы
Необходимость добавления нового раздела возникла уже после выхода
первого издания брошюры, когда к автору стали обращаться знакомые и
незнакомые люди с просьбами помочь разрешить ту или иную ситуацию при
работе с большими документами Word.
Разная ориентация для разных страниц одного документа
Часто возникает необходимость переориентации одной или нескольких
страниц одного и того же документа из книжной в журнальную, например,
для размещения широкой таблицы или схемы. При использовании набора
команд Файл⇒Параметры страницы⇒Размер бумаги⇒Применить
высвечивается только список из Применить до конца документа или Ко
всему документу, а Для страницы не видно. Дело в том, что Параметры
страницы действует только на выделенный тест или текущий раздел.
Поэтому предварительно надо будет создать (вставка⇒разрыв) новый
раздел, а потом уже применить к текущему разделу. А еще проще выделить
текст страницы и применить К выделенному тексту. Разрывы страниц и
разделы будут созданы автоматически до и после выделенного текста.
Параметры страницы можно устанавливать разные для разных
разделов, вплоть до источника подачи или размера бумаги, т.е. один
и тот же документ (файл) можно распечатать разными свойствами
для каждой страницы
Шаблоны листов для курсовых работ или «Век живи – век учись»
В некоторых техникумах города курсовые работы оформляют
примерно по одинаковому шаблону: лист обрамлен рамкой, а внизу
листа ставится примерно следующая таблица:
Вот образец листа Чебоксарского филиала Штанашского техникума.
Редактировать такой документ для печати – сплошное мучение. Границы
вылезают за пределы полей, выравнивания сделаны через пробелы, при
вставке или удалении строк рамки смещаются или переходят на другой
лист… Попытался исправить – и вот что увидел после разгруппировки
полей:
каждый элемент вставлен при помощи рисования и надписи. Что-то исправлять
или систематизировать на всех 40 страницах было бессмысленно, распечатал, как
было. Но когда второй племянник уже с другого техникума принес более
«топорный» вариант шаблона – решил сам разработать подобный шаблон. Часа
через два «свободного полета» родилось нечто потребное. Распишу свои шаги:
1. Файл⇒Создать⇒Новый документ⇒шаблон. Дальше решил задать
параметры страницы и границы, получилось сразу и легко:
Файл⇒Параметры страницы⇒поля уменьшил для экономии
листов⇒Макет⇒Границы⇒Страница⇒Рамка.
2. Надпись нижнюю сделал через таблицу, кое-как «прижал» ее к
нижнему краю листа (Свойства таблицы⇒Таблица ⇒ Обтекание вокруг ⇒
Размещение⇒Положение по вертикали снизу⇒Относительно поля), сохранил
шаблон как Курсовая. Но при попытке создать документ на основе
шаблона Курсовая мне пришлось на каждую новую страницу копировать
таблицу (хорошо, хоть границы были на месте). Через полчаса проб
пришла мысль: находящуюся в буфере обмена таблицу вставить в Нижний
колонтитул. И получилось! Отрегулировать положение нижнего
колонтитула относительно нижнего поля страницы – это и Петруша
умеет...
Мораль проста: учиться никогда не поздно и не стыдно. Стыдно не знать
и не желать узнать новое.
Движение по страницам документа
Осуществляется просто, если пользоваться Схемой документа из
меню Вид (Рис. 18). В схеме документа отражаются строки, которые имеют
стиль Заголовок 1-9. Щелкайте по заголовкам и двигайтесь.
Тащите бегунок вертикальной прокрутки, а увидите нужный текст –
щелкните туда мышкой. А вообще-то во всех случаях просто вызывайте
справку и пользуйтесь тем, что больше нравится из предложенного.
47
48
Рис. 18 Схема документа включена
В многостраничных документах можно пользоваться и
кнопкой и выбрать Перейти.
Можно двойным щелчком
по строке состояния
Кнопка Выбор объекта находится внизу вертикальной полосы прокрутки.
Сочетания клавиш для чувашского языка
Достаточно часто возникает необходимость вставки одних и тех же
символов, например, стрелочки ⇒, которая используется в данной книге для
обозначения перехода к следующему окну или действию. Ясно, что каждый
раз пользоваться командой Вставка⇒Символ очень нерационально.
Поэтому проще назначить удобное сочетание клавиш для вставки указанного
символа. Посмотрим это на примере назначения клавиши заглавной букве Ă
чувашского алфавита.
Вставка⇒Символ⇒Клавиша⇒
⇒ подобрать сочетание клавиш без текущего назначения, близкое по
смыслу к вставляемому символу (в данном случае Ctrl+A) ⇒нажать на это
сочетание клавиш⇒Назначить и Закрыть. По умолчанию сочетания клавиш
сохраняются в общем шаблоне Normal. Так можно переназначить клавиши
для всего чувашского языка и сохранить в специальном шаблоне.
Строчной букве ă можно назначить комбинацию Alt+A.
Регистры и язык в данном случае не имеют никакого значения
Правда, есть возможность воспользоваться и стандартными
сочетаниями клавиш Word (смотри рисунок ниже), но они оказались не
совсем удобными, и я создал свой шаблон.
49
50
адо набирать курсовую работу или
чувашский Техникум
курсовая
Файл ⇒ Создать ⇒ Новый документ ⇒ шаблон, назначил все
сочетания клавиш и сохранил как шаблон с именем Чувашский и
расширением .dot. И теперь, когда н
текст, я обращаюсь: Файл⇒Создать⇒ Чувашский или
⇒ документ, далее по тексту.
А если курсовая работа уже набрана в другом месте обычным шаблоном, то
п той документ на основе шаблона Техникум курсоваяоступаю проще: в пус
в екст через буфер.ставляю имеющийся т
Замена шрифтов
Часто при переносе текста с одного компьютера на с одной
версии Word на другую возникает необходимость замены шрифтов (нет на
данном компьютере, кириллица не поддерживается или слишком
изощренный). Если надо изменить шрифт всего текста на новый шрифт, то
проблем нет: выделить все и применить нужный. А если только часть текста
в разных м ста документа? казывает я, в новых версиях от Word 2000 и
выше есть прекрасная возможность автоматической амены не только
другой,
е х О с
з
шрифтов, но и многого другого через меню Правка⇒Найти и
51
ного
пособия .
заменить⇒Больше⇒Формат или Специальный. Вот фрагмент замены
шрифта а_Futurica на Book Antigua, произведенная мной для дан
. Встать курсором на строку Найти⇒Формат⇒Шрифт и т.д
Между прочим, все полезные советы были добавлены автором только
благодаря обращению к Справочной системе (с Заглавной буквы) – я
тоже знаю равно столько, сколько знаю. Поэтому еще раз напоминаю о важности
умения своевременно пользоваться справкой через F1 или Shift + F1 для отдельных
кнопок в окнах, не забывая о Помощнике.
Форматирование отсканированного текста
Однажды меня попросили помочь форматировать текст какой-то
дипломной работы, состоящий из вставленных через сканер кусочков. Не
диплом, а винегрет какой-то: с разных источников и разного формата, текст
часто вылезает за пределы полей. Простой способ через параметры
страницы и выделить все⇒Формат не дали результата, некоторые абзацы
остались со своим форматированием. Но тут я вспомнил про специальную
встав .
м Файл⇒со
у е
ку (использовал в Excel) и все получилось
Правка⇒Выделить все⇒Копировать. Пото здать⇒
Документ⇒Правка⇒Специальная вставка⇒ и выбрать
Неформатированный текст или Юникод (с Rtf в моем сл ча не получилось).
Дальше текст форматированию уже поддается. А в общем случае
отсканированный текст до редактировать при включенном режиме вывода
непечатаемых знаков
на
. Тогда видны все разрывы между разделами,
которые расставила сканирующая программа автоматически, по своему
разумению. Вам прост нужно будет удалить лишние отступы разрывы,о и
52
и х я ,
на дюйм, отрегулируйте яркость и
контр
привести к одному формату. Другой совет: отключите во время
сканирования и сохранения отсканированного текста ненужные опции,
оставьте вариант сканирования со ранени только текста увеличьте
разрешение до 300 пикселей
астность сканирования и т.д.
Иногда приходится форматировать ДОСовский текст с расширением
*.тхт, где переход на новую строку осуществлялся нажатием на Enter (стоит
знак абзаца ). Оказывается, и этот процесс можно
автоматизировать при помощи Правка⇒Заменить⇒
Специальный⇒выбрать Знак абзаца и Любая буква,
Заменить на Мягкий перенос . Так мне удалось отсечь от
замены начал действительно нового абзаца, где
следовала комбинация символов в конце строки
о
и 4-ех
пробелов в начале новой строки, символизирующие в
доWordовску эпоху н чало новог абзаца. А теперь
вопрос на засыпку: как избавиться от оставшихся
четырех пробелов, символизирующих абзац
ю а о
ный отступ, причем сам
абзац вовать? Решившим – пряник от Петра.
и
быть разные. Приведу
визит
ш ен
кта выделить всю
ный отступ должен присутст
Визитки прочая мелочь
Текстовый процессор Word можно использовать и для создания
простых графических объектов: визиток, поздравительных открыток и т.д.
Дизайн и инструменты могут вариант создания
ки при помощи надписей.
Выбрать через Надпись внешние границы визитки, внутри рамки
опять маленькие надписи, изменить рифты, через Контекстное м ю
границ надписей установить Формат надписи⇒Цвета и
линии⇒Линии⇒Нет, при желании можно установить Заливку и другие
эффекты. Когда образец будет готов, через выбор объе
визитку⇒Группировать⇒отжать кнопку Выбор объекта.
После группировки и снятия выделения получается готовая визитка,
которую можно копировать и вставлять, например, в таблицы.
Преимуществом оформления визиток через элементы Надписи является то,
53
что и
я а
ц
из них
отдел
мка листа
оформлена
д
л и
случа
х можно менять независимо друг от друга. Вот так из Леннона
получилс Петруш Максимов.
Поздравительная открытка на елый
лист формата А4 была оформлена так:
Анюта – WordArd, цифровые фото вставлены и
уменьшены в размерах, под каждым
ьные пожелания разными шрифтами через
таблицу (границы выключены), ра
через Формат ⇒ Границы и
заливка⇒Страница ⇒ Рисунок с сердечком.
Интервалы между строк обычно задаются
через Формат⇒Абзац, но иног а возникает
необходимость быстрой, одноразовой установки
интер а а между строк, например, заголовкав остального текста. В таких
ях поступаю проще: между двумя строками оставляю пустую строку
для интервала и, меняя ширину (размер) пустой строки, задаю величину
отступа. Очень помогает выведенные на панель форматирования кнопки
Увеличить (уменьшить) размер на 1 пт (см. 4.3. Добавление
инструментов).
В последнее время с ртную программу Блокнот вытесняет
другие, более продвинутые р оры неформатированных текстов: Wr
танда
едакт ite,
Bred2.1.8 и др.. Вот что пишут в файле Readme у Bred2.1.8 :
«Блокнот обязан умереть. Вы больше не увидите лажу, открывая текст DOS, Вам
не придется пользоваться мерзким WordPad'ом...Набор фич (версия 2.1.8):
1. Работа с OEM (MsDos, 866) текстами, непосредственно или с перекодировкой.
Поддержка KOI8 без перекодировки - при наличии установленных шрифтов KOI8
- специально для HTML-дизайна.
2. Лимит текста - не менее 1Mб (у Блокнота - < 64К).
3. Конвертирование текстов (OEM<>ANSI), а еще KOI-8R, Translit, Quoted
printable ("=53=65=78"), RTF, 866-Fido (замена русских букв Н, р на латинские),
ISO-8859-5, MACINTOSH, Line Break. Перекодировка выделенного фрагмента
текста. И т.д.»
Литература
оисеева, Ю.Шафрин. Практикум по
ологии. - Москва, ABF, 1997
2.
1. О.Ефимова, М.М
компьютерной техн
54
Приложение 1. Тренажеры
Терпенье и труд все перетрут
Есть старая чувашская пословица, которая очень ёмко и образно
подчеркивает трудолюбие чувашского народа: «Ахаль ларичен кěрěк
арки йăвала». В буквальном переводе означает: «Чем сидеть без дела,
тереби подол кафтана», т.е. хотя бы кафтан станет мягче, и то польза…
Перефразируя мудрую пословицу, можно сказать, что: «Чем
играть в глупые игры и портить зрение, лучше на клавиатурном
тренажере потренироваться». Поэтому не ленитесь в свободное время
поупражняться с клавиатурным тренажером. Из личного опыта могу
сказать, что я сам хотя и не освоил (надеюсь, ещё не освоил!) слепой
десятипальцевый метод работы, но уже намного(в 2-3 раза) увеличил
скорость набора текста просто потому, что при наборе любого текста
стараюсь придерживаться этих правил. А на тренажерах работал очень
мало.
Вот так должны лежать пальцы (рисунки из Baby Type).
Пробел нажимается большим пальцем руки, не делавшей
предыдущего нажатия.
Пальцы находятся в базовой позиции ФЫВА и ОЛДЖ,
указательные на А и О, большие пальцы полусогнуты над пробелом.
Здесь и ниже на рисунках из разных тренажеров
продемонстрированы зоны действия пальцев рук. Старайтесь
придерживаться этих правил, пусть в начале и не совсем будет
получаться. Опыт – дело наживное…
Ниже приведен текст из упражнения 1 тренажера «Соло на
клавиатуре». Принципиальной разницы, с каким тренажером работать, нет.
Некоторые из них ориентированы на детей, некоторые более академичные,
есть и с «наворотами». Какой тренажер доступен, тот и используйте. Просто
у меня под рукой оказались вот эти тренажерные программы, и часть советов
мне приглянулась, чем и спешу поделиться. А учить других всегда легче,
чем самому что-то делать (шутка).
Требуется гораздо больше ума, чтобы передать свои идеи, чем
ч бто ы их иметь. К. Гельвеций
Большая часть того, что мы знаем, представляет собой лишь
н ьичтожную долю того, что мы не знаем. М. Монтен
Я знаю только то, что ничего не знаю. Сократ
Обучение завершается тогда, когда вы знаете, что еще не знаете.
Но знаете, где и как узнать об этом. Н. Максимов
55
56
А простая клавиатура без «выкрутасов» оказалась гораздо
удобней для учебы и работы, чем мультимедийная с
отвлекающими и зачастую бесполезными клавишами
57
Упражнение № 115
Внимательно рассмотрите клавиши своей клавиатуры. На ней три
буквенных ряда, один ряд с цифрами и знаками препинания и самый
верхний со вспомогательными клавишами. Все начинающие легко
запоминают клавишу "F1" - ПОМОЩЬ (Help!).
Второй ряд буквенной части клавиатуры (он же средний — второй
сверху, второй снизу) называют основным — состоит из 11 букв.
Всего лишь одиннадцати! А главные из этих одиннадцати — восемь.
Ваша задача (не правда ли, выполнить ее легко?) — поставить
пальцы левой руки на четыре крайние буквы основного ряда:
ф — мизинец,
ы — безымянный,
в — средний,
а — указательный.
ФЫВА, если читать слева направо, АВЫФ, если читать справа
налево.
Запомните это замечательное слово. Выполнение упражнения,
видимо, займет у Вас 2—3 секунды.
Пальцы правой руки поставьте так:
о — указательный,
л — средний,
д — безымянный,
ж — мизинец.
ОЛДЖ.
На это уйдет еще 2—3 секунды.
Как все просто!
15
Особая благодарность авторам «Соло на клавиатуре» Алексею Русских и Владимиру
Шахиджаняну. Текст вставлен без ведома оных. Надеюсь, что ради святого дела
обучения малограмотных в компьютерном деле товарищей они меня простят…
58
С левой стороны у Вас получилось слово ФЫВА, а с правой —
ОЛДЖ.
Теперь попробуйте снять руки с клавиатуру и, не глядя на
клавиатуру, поставить пальцы на исходную позицию.
Думаю, что Ваши пальцы встанут на другие буквы.
50 процентов успеха зависит именно от правильной постановки рук,
от того, насколько точно, быстро Вы научитесь ставить пальцы на
исходную позицию, от умения, не глядя на клавиатуру, находить
основную позицию, чувствовать ее, ощущать.
Я думаю, нет ничего проще, чем обмануть себя и подсматривать, где
находятся клавиши, а после этого ставить на них пальцы рук.
Постарайтесь так не поступать (самое простое — жить по принципу
самообмана).
Вам необходимо научиться вслепую ставить пальцы Ваших рук на
исходную позицию.
Скучно, нудно выполнять это упражнение, но если Вы сумеете
перебороть себя и выполните его, то все остальные упражнения пойдут у
Вас легче.
Какое легкое слово — ФЫВА!
Представьте себе, что так называют даму (это ее имя), приятную,
правда, не во всех отношениях. И представьте себе, что в нее влюбился
ОЛДЖ.
ОЛДЖ запомнить еще легче. Попробуйте воспринимать слово в
виде аббревиатуры:
ОЛДЖ — Очень Легко Достичь Желаемого.
Легко теоретически, а практически научиться ставить пальцы
правильно с первой попытки, к сожалению, невозможно.
Сколько у Вас уйдет на это времени, предсказать сложно. Но нужно
во что бы то ни стало выполнить упражнение на "отлично".
Сделать это требуется десять раз подряд — десять раз подряд без
единой ошибки ставить пальцы на ОЛДЖ и ФЫВА. Пока будете
запоминать клавиатуру, рассматривайте ее, репетируйте, но затем десять
раз подряд необходимо поставить руки на основную позицию, не
подглядывая.
59
Большие пальцы рук должны находиться над пробельной клавишей.
Впрочем, это у Вас , скорее всего, получится автоматически.
Важно правильно держать руки над пишущей машинкой. Это легко
показывается, но трудно объясняется. Тем не менее, попытайтесь
скрупулезно следовать рекомендациям.
Приподнимите чуть-чуть кисть левой руки так, чтобы Ваши пальцы
как бы (именно как бы, почти) дотрагивались до клавиш ФЫВА. Вы
должны ощущать в ладони состояние, будто держите яблоко среднего
размера или теннисный мяч.
Не поленитесь, скатайте из бумаги шар размером с яблоко и
подержите его в левой руке, как бы на весу: держите легко-легко, так, что
вот-вот — и Ваш шарик может выпасть из ладони. Даже пусть он выпадет,
но Вы успеваете его поймать, задержать падение.
То же самое проделайте правой рукой, которая всегда должна
находиться над буквами ОЛДЖ.
Зафиксируйте испытанное ощущение в своих ладонях, зафиксируйте
положение ладоней — именно такими они должны быть над основной
позицией: своеобразным полушатром, легкими, расслабленными, каждый
палец — своеобразная рейка, опора полушатра, и эта рейка должна
касаться буквы: рейки левой руки — Ф-Ы-В-А, правой — О-Л-Д-Ж.
Запомните, что кисти рук при взаимодействии с клавиатурой должны
быть свободными, легкими, расслабленными. Руки в локтях согнуты
примерно под углом 90 градусов и, повторяю, находятся над клавиатурой
как бы параллельно поверхности стола.
Удары по клавишам (не нажимы, а удары! — этому необходимо
научиться, к этому необходимо себя приучить) должны выходить легкими
и отрывистыми. Вам знакомо выражение "забарабанил дождь"?
Представьте себе, как падают капли... Вот таким же — каплеобразным —
и должен быть удар ваших пальцев по клавишам.
После удара по клавише палец необходимо тут же отрывать от
самой клавиши.
Итак, необходимо научиться с первой попытки, не подглядывая,
ставить пальцы правой и левой рук на основную позицию. Необходимо
научиться прикасаться к клавишам клавиатуры и тут же отрывать их от
клавиш). Повторяю, легкое и нежное прикосновение. С любовью,
60
нежностью, мягкостью, но и быстротой. А иначе вместо одноразового
появления буквы она появится два, а то и трииии раза. (Я, набирая текст,
чуть-чуть задержал палец на клавише с буквой и, а потому и получилось
слово с четырьмя и.)
Понимаю: выполнить все рекомендации довольно сложно. Но,
поверьте, к этому нужно привыкнуть с самого начала и выполнять
необходимо так, как требуется, а не так, как Вам этого захочется.
Профессиональных наборщиц обучают, используя схему клавиатуры,
которая всегда находится слева от монитора. Почему так поступают?
Наборщиц прежде всего учат текст набирать с готового текста. Их взгляд
должен привыкать к восприятию текста, который всегда у них находится
слева. Мы же ставим задачу научиться писать десятипальцевым слепым
методом. Не только перепечатывать (набирать готовый текст), но и
писать на компьютере, то есть излагать, используя компьютер и
необходимые программы, свои мысли, думать за компьютером. Думать и
писать. Поэтому на монитор, чтобы видеть текст, который Вы будете
набирать, смотреть разрешается и даже рекомендуется. Контролировать
глазами написанное, контролировать текст, который появляется на
мониторе, можно и нужно, а смотреть на саму клавиатуру — ни в коем
случае!
Забыли, где расположена та или иная буква, бросайте взгляд на
схему, ставьте палец на клавишу, легкое нажатие (повторяю, легко и
нежно, но и одновременно четко), а затем контролируйте (проверяйте)
свое прикосновение.
Есть два способа обучения слепому методу.
Сначала постепенно изучают клавиатуру, приучают пальцы к
клавишам. Пишут буквы, слоги, слова, фразы, тексты. Но все делают по
ритму набора медленно. Потом печатают контрольные тексты и уже
затем переходят к текстам на развитие скорости. Один и тот же текст
перепечатывают пять, десять раз и таким образом как бы набирают
скорость.
Есть второй способ, когда одновременно с изучением клавиатуры
повышают и скорость печатания, то есть по мере освоения клавиатуры —
а самое главное именно освоить клавиатуру — выполняют упражнения и
на время, иначе говоря, с освоением клавиатуры достигают и скоростного
набора. Но очень важно — набирать без ошибок. А для этого всегда
нужно быть предельно внимательным и все-таки не торопиться.
61
Упражнение можно считать законченным, если Вы, закрыв глаза,
начнете попадать на исходную позицию десять раз подряд с первого раза.
Чтобы это упражнение Вас не утомило, попробуйте при его выполнении
воспользоваться элементами игры. Вот Вы правильно попали лишь с
двадцатой попытки, а потом, может быть, добьетесь попадания с десятой,
пятой, второй... И нужно, повторяю, добиться, чтобы десять раз подряд (как
минимум!) Вы на "отлично" выполнили это упражнение. Словом, стоит
поступать так, как это делал Владимир Артамонов из Ташкента. Он, правда,
учился набирать на пишущей машинке.
"...В настоящее время машинопись нужна практически всем — от директора
до рядового инженера и техника, студента и служащего. Нет ничего зазорного,
если за машинку сядет директор завода или управляющий трестом. Будет только
престиж таким руководителям (знаю по работе, с каким восторгом отзываются о
таких машинистки). Уверен твердо, что пособие по машинописи придется всем
без исключения по душе. Заслуга Вашего учебника в том, что Вы излагаете
каждое упражнение с такими подходами требовательности и убеждения, что не
выполнить его просто невозможно. В каждом упражнении обучающийся
машинописи волей-неволей обязан выполнить все советы и указания учителя,
иначе дальше дела пойдут плохо. Их надо выполнить так, чтобы добиться
высшей оценки — "ОТЛИЧНО", и только затем переходить к следующим
упражнениям. Наряду с краткостью изложения всех рекомендаций по теории,
технике, практике печатания — все изложено четко, ясно, доступно. А с какой
настойчивостью автор доказывает, что каждый может освоить этот метод! Надо
только приложить старание и желание, тогда все получится. Ни в одном
учебнике, сухом и скучном, этого нет.
Как занимался я? Больше всего сил и времени ушло на освоение основного
ряда. Клавиши даже снились. Я их не только зрительно представляю: они у меня
всегда стоят перед глазами. Даже когда еду на работу в трамвае и держу руку на
поручне, пальцы выстукивают определенные буквы. Сознание уже не
подсказывает, где какая буква: пальцы автоматически находят нужную букву.
Кроме выполнения упражнений печатал слова, которые приходили на ум,
например, "дождь", "часы", "принимает", "тысяча", "шнурки" и др. А также
отдельные фразы, предложения. Слова "жасмин" и "тайфун" сразу не
получались, сбивался, зато теперь освоил. Пробовал также печатать и в полной
темноте — полезно.
Трудно дается буква "я", много раз при печатании она оказывается чуть
ниже остальных.
Убедился: чем быстрее и смелее печатаешь, тем меньше получается
ошибок".
62
Приложение 2. Упражнения для глаз и осанки
Использована официальная информация из федеральных законов:
Федеральные санитарные правила, нормы и гигиенические нормативы
САНИТАРНЫЕ ПРАВИЛА И НОРМЫ
ГИГИЕНИЧЕСКИЕ ТРЕБОВАНИЯ К ВИДЕОДИСПЛЕЙНЫМ ТЕРМИНАЛАМ И
ПЕРСОНАЛЬНЫМ ЭЛЕКТРОННО-ВЫЧЕСЛИТЕЛЬНЫМ МАШИНАМ И
ОРГАНИЗАЦИИ РАБОТЫ С НИМИ
СанПин 2.2.2.0..-94
Государственный комитет санитарно-эпидемиологического надзора
Российской Федерации Москва 1994
Должностные лица и работники предприятий и организаций и
граждане, допустившие санитарное правонарушение, подлежат
дисциплинарной, административной и уголовной ответственности в
соответствии с законодательством Российской Федерации статья 3, 27-
31 Закона РСФСР «О санитарно-эпидемиологическом благополучии
населения" от 19 апреля 1991 года».
Дети, злоупотребляющие компьютерными играми,
превышающие время работы за компьютером и не выполняющие
упражнения для глаз и физкультурные паузы, в течение следующей
недели не допускаются к работе за компьютером, а при повторном
нарушении правил их домашний компьютер арестовывается, а
родители вызываются в школу.
8.1.13. Для профилактики зрительного утомления после каждых 25 минут работы
следует выполнять комплекс упражнений для глаз (приложение 17).
8.1.14. Во время регламентированных перерывов, с целью снижения нервно-
эмоционального напряжения, устранения влияния гиподинамии и гипокинезии,
предотвращения развития познотонического утомления следует выполнять
комплексы упражнений (приложения 18,19).
- осуществление во время перерывов упражнений физкультурной паузы в течение 3-
4 минут (приложение 19);
- проведение упражнений физкультминутки в течение 1-2 минут для снятия
локального утомления, которые должны выполняться индивидуально при появлении
начальных признаков усталости
(приложение 18);
- замена комплексов упражнений один раз в 2-3 недели.
8.4. Требования к организации режима учебных и внеучебных занятий с ПЭВМ и
ВДТ детей школьного и дошкольного возраста
8.4.1. Для учащихся X-XI классов по основам информатики и вычислительной
техники должно быть не более 2 уроков в день, а для остальных классов - 1 урока в
день с использованием ВДТ и ПЭВМ.
63
8.4.2. Непрерывная длительность занятий непосредственно с ВДТ или ПЭВМ не
должна превышать:
- для учащихся X-XI классов на первом часу учебных занятий 25-30
минут, на втором - 20 минут;
- для учащихся VIII-IX классов - 20-25 минут;
- для учащихся VI-VII классов - 15-20 минут;
- для учащихся II-V классов - 15 минут;
- для учащихся I классов (6 лет) - 10 минут.
8.4.3. Работа на ВДТ и ПЭВМ должна проводиться в индивидуальном ритме и
темпе.
8.4.4. После установленной длительности работы на ВДТ и ПЭВМ (п. 8.4.2.) должен
проводиться комплекс упражнений для глаз (приложение 17), а после каждого урока на
переменах - физические упражнения для профилактики общего утомления (приложения 19 и
20).
8.4.5. Длительность перемен между уроками должна быть не менее 10 минут (до 20
минут), во время которых следует проводить сквозное проветривание с обязательным
выходом учащихся из класса (кабинета).
8.4.6. При односменных занятиях в школе и возможности организации обеда для
100% учащихся следует устраивать перемену длительностью 50-60 минут для
принятия пищи и отдыха. При этом сдвоенные уроки с использованием ПЭВМ или
ВДТ не должны прерываться указанной переменой.
8.4.7. Занятия по информатике следует включать в расписание учебного дня на 1 - 4
уроки во вторник, среду и четверг. После занятий по информатике следует проводить
уроки физического воспитания, труда, ритмики и музыки.
Приложение 17
КОМПЛЕКСЫ УПРАЖНЕНИЙ ДЛЯ ГЛАЗ
Упражнения выполняются сидя или стоя, отвернувшись от экрана при ритмичном
дыхании, с максимальной амплитудой движения глаз.
ВАРИАНТ 1.
1. Закрыть глаза, сильно напрягая глазные мышцы, на счет 1-4, затем
раскрыть глаза, расслабив мышцы глаз, посмотреть вдаль на счет 1-6.
Повторить 4-5 раз.
2. Посмотреть на переносицу и задержать взор на счет 1-4. До усталости глаза не
доводить. Затем открыть глаза, посмотреть вдаль на счет 1-6. Повторить 4-5 раз.
3. Не поворачивая головы, посмотреть направо и зафиксировать взгляд на
счет 1-4, затем посмотреть вдаль прямо на счет 1-6. Аналогичным образом
проводятся упражнения, но с фиксацией взгляда влево, вверх и вниз.
Повторить 3-4 раза.
4. Перенести взгляд быстро по диагонали: направо вверх -налево вниз,
потом прямо вдаль на счет 1-6; затем налево вверх -направо вниз и
посмотреть вдаль на счет 1-6. Повторить 4-5 раз.
ВАРИАНТ 2.
64
1. Закрыть глаза, не напрягая глазные мышцы, на счет 1-4, широко раскрыть
глаза и посмотреть вдаль на счет 1-6. Повторить 4-5 раз
2. Посмотреть на кончик носа на счет 1-4, а потом перевести взгляд вдаль на
счет 1-6. Повторить 4-5 раз.
3. Не поворачивая головы (голова прямо), делать медленно круговые
движения глазами вверх-вправо-вниз-влево и в обратную сторону: вверх-
влево-вниз-вправо. Затем посмотреть вдаль на счет 1-6. Повторить 4-5 раз.
4. При неподвижной голове перевести взор с фиксацией его на счет 1-4
вверх, на счет 1-6 прямо; после чего аналогичным образом вниз-прямо,
вправо-прямо, влево-прямо. Проделать движение по диагонали в одну и
другую стороны с переводом глаз прямо на счет 1-6. Повторить3-4 раза.
ВАРИАНТ 3
1. Голову держать прямо. Поморгать, не напрягая глазные мышцы, на счет
10-15. 2. Не поворачивая головы (голова прямо) с закрытыми глазами,
посмотреть направо на счет 1-4, затем налево на счет 1-4 и прямо на счет 1-6.
Поднять глаза вверх на счет 1-4, опустить вниз на счет 1-4 и перевести взгляд
прямо на счет 1-6. Повторить 4-5 раз.
3. Посмотреть на указательный палец, удаленный от глаз на расстояние 25-
30 см, на счет 1-4, потом перевести взор вдаль на счет 1-6. Повторить 4-5 раз.
4. В среднем темпе проделать 3-4 круговых движения в правую сторону,
столько же в левую сторону и, расслабив глазные мышцы, посмотреть вдаль
на счет 1-6. Повторить 1-2 раза.
Приложение 18
КОМПЛЕКСЫ УПРАЖНЕНИЙ ФИЗКУЛЬТУРНЫХ МИНУТОК
ФИЗКУЛЬТМИНУТКА (ФМ) способствует снятию локального утомления. По
содержанию ФМ различны и предназначаются для конкретного воздействия на ту или
иную группу мышц или систему организма в зависимости от самочувствия и ощущения
усталости.
ФИЗКУЛЬТМИНУТКА ОБЩЕГО ВОЗДЕЙСТВИЯ может применяться, когда
физкультпаузу по каким-либо причинам выполнить нет возможности.
ФМ ОБЩЕГО ВОЗДЕЙСТВИЯ 1
1. И.п - о.с. 1-2 - встать на носки, руки вверх-наружу, потянуться вверх за
руками. 3-4 - дугами в стороны руки вниз и расслабленно скрестить перед
грудью, голову наклонить вперед. Повторить 6-8 раз. Темп быстрый.
2. И.п. - стойка ноги врозь, руки вперед., 1 - поворот туловища направо, мах
левой рукой вправо, правой назад за спину. 2 - и.п. 3-4 - то же в другую
сторону. Упражнения выполняются размашисто, динамично. Повторить 6-8
раз. Темп быстрый.
3. И.п. 1 - согнуть правую ногу вперед и, обхватив голень руками, притянуть
ногу к животу. 2 - приставить ногу, руки вверх-наружу. 3-4 - то же другой ногой.
Повторить 6-8 раз. Темп средний.
65
ФМ ОБЩЕГО ВОЗДЕЙСТВИЯ 2
1. И.п. - о.с. 1-2 - дугами внутрь два круга руками в лицевой плоскости. 3-4 -
то же, но круги наружу. Повторить 4-6 раз. Темп средний.
2. И.п. - стойка ноги врозь, правую руку вперед, левую на пояс. 1-3 - круг
правой рукой вниз в боковой плоскости с поворотом туловища направо. 4 -
заканчивая круг, правую руку на пояс, левую - вперед. То же в другую
сторону. Повторить 4-6 раз. Темп средний.
3. И.п. - о.с. 1 - с шагом вправо руки в стороны. 2 – два пружинящих наклона
вправо. Руки на пояс. 4 - и.п. 1-4 - то же влево. Повторить 4-6 раз в каждую
сторону. Темп средний.
ФМ ОБЩЕГО ВОЗДЕЙСТВИЯ 3
1. И.п. - стойка ноги врозь. 1-руки назад. 2-3 -руки в стороны и вверх, встать
на носки. 4-расслабляя плечевой пояс, руки вниз с небольшим наклоном
вперед. Повторить 4-6 раз. Темп медленный.
2. И.п. - стойка ноги врозь, руки согнутые вперед, кисти в кулаках. 1 - с
поворотом туловища налево " удар " правой рукой вперед. 2 - и.п. 3-4 - то же в
другую сторону. Повторить 6-8 раз. Дыхание не задерживать.
ФМ ОБЩЕГО ВОЗДЕЙСТВИЯ 4
1. И.п - руки в стороны. 1-4 - восьмеркообразные движения руками. 5-8 - то
же, но в другую сторону. Руки не напрягать. Повторить 4-6 раз. Темп
медленный. Дыхание произвольное.
2. И.п. - стойка ноги врозь, руки на поясе. 1-3 - три пружинящих движения
тазом вправо, сохраняя и.п. плечевого пояса. 4 - и.п. Повторить 4-6 раз в
каждую сторону. Темп средний. Дыхание не задерживать.
3. И.п.- о.с. 1 - руки в стороны, туловище и голову повернуть налево. 2 - руки
вверх. 3 - руки за голову. 4 - и.п. Повторить 4-6 раз в каждую сторону. Темп
медленный.
ФИЗКУЛЬТМИНУТКА ДЛЯ УЛУЧШЕНИЯ МОЗГОВОГО КРОВООБРАЩЕНИЯ
Наклоны и повороты головы оказывают механическое воздействие на стенки
шейных кровеносных сосудов, повышают их эластичность; раздражение вестибулярного
аппарата вызывают расширение кровеносных сосудов головного мозга. Дыхательные
упражнения, особенно дыхание через нос, изменяют их кровенаполнение. Все это
усиливает мозговое кровообращение, повышает его интенсивность и облегчает
умственную деятельность.
ФМ ДЛЯ УЛУЧШЕНИЯ МОЗГОВОГО КРОВООБРАЩЕНИЯ 1
1. И.п. - о.с. 1 - руки за голову; локти развести пошире, голову наклонить
назад . 2 - локти вперед. 3-4 - руки расслабленно вниз, голову наклонить
вперед. Повторить 4-6 раз. Темп медленный.
66
2. И.п. - стойка ноги врозь, кисти в кулаках. 1-мах левой рукой назад, правой
вверх - назад. 2 - встречными махами переменить положение рук. Махи
заканчивать рывками руками назад. Повторить 6-8 раз. Темп средний.
3. И.п. - сидя на стуле. 1-2 отвести голову назад и плавно наклонить назад.
3-4 - голову наклонить вперед, плечи не поднимать. Повторить 4-6 раз. Темп
медленный.
ФМ ДЛЯ УЛУЧШЕНИЯ МОЗГОВОГО КРОВООБРАЩЕНИЯ 2
1. И.п. - стоя или сидя, руки на поясе. 1-2 - круг правой рукой назад с
поворотом туловища и головы направо. 3-4 - то же левой рукой. Повторить 4-6
раз. Темп медленный.
2. И.п. - стоя или сидя, руки в стороны, ладони вперед, пальцы разведены. 1
- обхватив себя за плечи руками возможно крепче и дальше. 2 - и.п.. То же
налево. Повторить 4-6 раз. Темп быстрый.
3. И.п. - сидя на стуле, руки на пояс. 1 - повернуть голову направо. 2 - и.п. То
же налево. Повторить 6-8 раз. Темп медленный.
ФМ ДЛЯ УЛУЧШЕНИЯ МОЗГОВОГО КРОВООБРАЩЕНИЯ 3
1. И.п. - стоя или сидя, руки на поясе. 1 - махом левую руку занести через
правое плечо, голову повернуть налево. 2 - и.п. 3-4 - то же правой рукой.
Повторить 4-6 раз. Темп медленный.
2. И.п. - о.с. Хлопок в ладоши за спиной, руки поднять назад возможно выше.
2 -движение рук через стороны хлопок в ладоши вперед на уровне головы.
Повторить 4-6 раз. Темп быстрый.
3. И.п. - сидя на стуле. 1 - голову наклонить вправо. 2 - и.п. 3 - голову
наклонить влево. 4 - и.п. Повторить 4-6 раз. Темп средний.
ФМ ДЛЯ УЛУЧШЕНИЯ МОЗГОВОГО КРОВООБРАЩЕНИЯ 4
1. И.п. - стоя или сидя. 1 - руки к плечам, кисти в кулаки, голову наклонить
назад. 2 - повернуть руки локтями кверху, голову наклонить вперед.
Повторить 4-6 раз. Темп средний.
2. И.п. - стоя или сидя, руки в стороны. 1-3 - три рывка согнутыми руками
внутрь: правой перед телом, левой за телом. 4 - и.п. 5-8 - то же в другую
сторону. Повторить 4-6 раз. Темп быстрый.
3. И.п. - сидя. 1 - голову наклонить вправо. 2 - и.п. 3 - голову наклонить
влево. 4 - и.п. 5 - голову повернуть направо. 6 - и.п. 7 - голову повернуть
налево. 8 - и.п. Повторить 4-6 раз. Темп медленный.
ФИЗКУЛЬТМИНУТКА ДЛЯ СНЯТИЯ УТОМЛЕНИЯ С ПЛЕЧЕВОГО ПОЯСА И РУК:
Динамические упражнения с чередованием напряжения и расслабления отдельных
мышечных групп плечевого пояса и рук улучшают кровоснабжение, снижают напряжение.
ФМ ДЛЯ СНЯТИЯ УТОМЛЕНИЯ С ПЛЕЧЕВОГО ПОЯСА И РУК 1
1. И.п. - о.с. 1 - поднять плечи. 2 - опустить плечи. Повторить 6-8 раз, затем
пауза 2-3 с, расслабить мышцы плечевого пояса. Темп медленный.
2. И.п. - руки согнуты перед грудью. 1-2 - два пружинящих рывка назад
согнутыми руками. 3-4 - то же прямыми руками. Повторить 4-6 раз. Темп
средний.
67
3. И.п. - стойка ноги врозь. 1-4 - четыре последовательных круга руками
назад. 5-8 - то же вперед. Руки не напрягать, туловище не поворачивать.
Повторить 4-6 раз. Закончить расслаблением. Темп средний.
ФМ ДЛЯ СНЯТИЯ УТОМЛЕНИЯ С ПЛЕЧЕВОГО ПОЯСА И РУК 2
1. И.п. - о.с. - кисти в кулаках. Встречные махи руками вперед и назад.
Повторить 4-6 раз. Темп средний.
2. И.п. - о.с. 1-4 - дугами в стороны руки вверх, одновременно делая ими
небольшие воронкообразные движения. 5-8 – дугами в стороны, руки
расслабленно вниз и потрясти кистями. Повторить 4-6 раз. Темп средний.
3. И.п. - тыльной стороной кисти на пояс. 1-2 - свести вперед, голову
наклонить вперед. 3-4 - локти назад, прогнуться. Повторить 6-8 раз, затем
руки вниз и потрясти расслабленно. Темп медленный.
ФМ ДЛЯ СНЯТИЯ УТОМЛЕНИЯ С ПЛЕЧЕВОГО ПОЯСА И РУК 3
1. И.п. - стойка ноги врозь, руки в стороны, ладони кверху. 1.- дугой кверху
расслабленно правую руку влево с хлопками в ладони, одновременно
туловище повернуть налево. 2 - и.п. 3-4 – то же в другую сторону. Руки не
напрягать. Повторить 6-8 раз. Темп средний.
2. И.п. - о.с. 1 - руки вперед, ладони книзу. 2-4 зигзагообразными
движениями руки в стороны. 5-6 - руки вперед. 7-8 – руки расслабленно вниз.
Повторить 4-6 раз. Темп средний.
3. И.п. - о.с. 1 - руки свободно махом в стороны, слегка прогнуться. 2 -
расслабляя мышцы плечевого пояса, "уронить" руки и приподнять их скрестно
16
перед грудью. Повторить 6-8 раз. Темп средний.
ФМ ДЛЯ СНЯТИЯ УТОМЛЕНИЯ С ПЛЕЧЕВОГО ПОЯСА И РУК 4
1. И.п. - о.с. 1 - дугами внутрь, руки вверх - в стороны, прогнуться, голову
назад. 2 - руки за голову, голову наклонить вперед. 3 - "уронить" руки. 4 - и.п.
Повторить 4-6 раз. Темп средний.
2. И.п. - руки к плечам, кисти в кулаках. 1-2 – напряженно повернуть руки
предплечьями и выпрямить их в стороны, кисти тыльной стороной вперед. 3 -
руки расслабленно вниз. 4 - и.п. Повторить 6-8 раз, затем расслабленно вниз
и встряхнуть кистями. Темп средний.
3. И.п. - о.с. 1 - правую руку вперед, левую вверх. 2 - переменить положение
рук. Повторить 3-4 раз, затем расслабленно опустить вниз и потрясти
кистями, голову наклонить вперед. Темп средний.
ФИЗКУЛЬТМИНУТКА ДЛЯ СНЯТИЯ УТОМЛЕНИЯ С ТУЛОВИЩА И НОГ:
Физические упражнения для мышц ног, живота и спины усиливают венозное
кровообращение в этих частях тела и способствуют предотвращению застойных явлений
крово- и лимфообращения, отечности в нижних конечностях.
ФМ ДЛЯ СНЯТИЯ УТОМЛЕНИЯ С ТУЛОВИЩА И НОГ 1
16
В оригинале так и написано. «Грамотеев» везде хватает…
68
1. И.п. - о.с. 1 - шаг влево, руки к плечам, прогнуться. 2 -и.п. 3-4 - то же в
другую сторону. Повторить 6-8 раз. Темп медленный.
2. И.п. - стойка ноги врозь. 1 - упор присев. 2 - и.п. 3 - наклон вперед, руки
впереди. 4 - и.п . Повторить 6-8 раз. Темп средний.
3. И.п. - стойка ноги врозь, руки за голову. 1-3 – круговые движения тазом в
одну сторону. 4-6 - то же в другую сторону. 7-8 - руки вниз и расслабленно
потрясти кистями. Повторить 4-6 раз. Темп средний.
ФМ ДЛЯ СНЯТИЯ УТОМЛЕНИЯ С ТУЛОВИЩА И НОГ 2
1. И.п. - о.с. 1 - выпад влево, дугами внутрь, руки вверх в стороны. 2 -
толчком левой приставить ногу, дугами внутрь руки вниз. 3-4 - то же в другую
сторону. Повторить 6-8 раз. Темп средний.
2. И.п. - о.с. 1-2 - присед на носках, колени врозь, руки вперед - в стороны. 3 -
встать на правую, мах левой назад, руки вверх. 4 - приставить левую, руки
свободно вниз и встряхнуть руками. 5-8 - то же с махом правой ногой назад.
Повторить 4-6 раз. Темп средний.
3. И.п. - стойка ноги врозь. 1-2 - наклон вперед, правая рука скользит вдоль
ноги вниз, левая, сгибаясь, вдоль тела вверх. 3-4 - и.п. 5-8 - то же в другую
сторону. Повторить 6-8 раз. Темп средний.
ФМ ДЛЯ СНЯТИЯ УТОМЛЕНИЯ С ТУЛОВИЩА И НОГ 3
1 .И.п. - руки скрестно перед грудью. 1 - взмах правой ногой в сторону,
дугами книзу, руки в стороны. 2 - и.п. 3-4 - то же в другую сторону. Повторить
6-8 раз. Темп средний.
2. И.п. - стойка ноги врозь пошире, руки вверх - в стороны. 1 - полуприсед на
правой, левую ногу повернуть коленом внутрь, руки на пояс. 2 - и.п. 3-4 - то же
в другую сторону. Повторить 6-8 раз. Темп средний.
3. И.п. - выпад левой вперед. 1 - мах руками направо с поворотом туловища
направо. 2 - мах руками налево с поворотом туловища налево. Упражнения
выполнять размашисто расслабленными руками. То же с выпадом правой.
Повторить 6-8 раз. Темп средний.
ФМ ДЛЯ СНЯТИЯ УТОМЛЕНИЯ С ТУЛОВИЩА И НОГ 4
1. И.п. - стойка ноги врозь, руки вправо. 1 - полуприседая и наклоняясь, руки
махом вниз. Разгибая правую ногу, выпрямляя туловище и передавая тяжесть
тела на левую ногу, мах руками влево. 2 - то же в другую сторону.
Упражнения выполнять слитно. Повторить 4-6 раз. Темп средний.
2. И.п. - руки в стороны. 1-2 - присед, колени вместе, руки за спину. 3 -
выпрямляя ноги, наклон вперед, руками коснуться пола. 4 - и.п. Повторить 6-8
раз. Темп средний.
3. И.п. - стойка ноги врозь, руки за голову. 1 - резко повернуть таз направо. 2
- резко повернуть таз налево. Во время поворотов плечевой пояс оставить
неподвижным. Повторить 6-8 раз. Темп средний.
69
Приложение 19
КОМПЛЕКСЫ УПРАЖНЕНИЙ ФИЗКУЛЬТУРНЫХ ПАУЗ
ФИЗКУЛЬТУРНАЯ ПАУЗА (ФП) - повышает двигательную активность, стимулирует
деятельность нервной, сердечно-сосудистой, дыхательной и мышечной систем, снимает
общее утомление, повышает умственную работоспособность.
ФИЗКУЛЬТУРНАЯ ПАУЗА 1.
Ходьба на месте 20-30 секунд. Темп средний. 1. Исходное положение (и.п.) -
основная стойка (о.с.) 1 -руки вперед, ладони книзу. 2 - руки в стороны,
ладони кверху. 3 - встать на носки, руки вверх, прогнуться. 4 - и.п. Повторить
4-6 раз. Темп медленный.
2. И.п. - ноги врозь, немного шире плеч. 1-3 наклон назад, руки за спину. 3-4 -
и.п. Повторить 6-8 раз. Темп средний.
3. И.п. - ноги на ширине плеч. 1 - руки за голову, поворот туловища направо.
2 - туловище в и.п., руки в стороны, наклон вперед, голову назад. 3 -
выпрямиться, руки за голову, поворот туловища налево. 4 - и.п. 5-8 - то же в
другую сторону. Повторить 6 раз. Темп средний.
4. И.п. - руки к плечам. 1 - выпад вправо, руки в стороны. 2 - и.п. 3 - присесть,
руки вверх. 4 - и.п. 5-8 - то же в другую сторону. Повторить 6 раз. Темп
средний.
ФИЗКУЛЬТУРНАЯ ПАУЗА 2
Ходьба на месте 20-30 с. Темп средний. 1. И.п. - о.с. Руки за голову. 1-2 -
встать на носки, прогнуться, отвести локти назад. 3-4 - опуститься на ступни,
слегка наклониться вперед, локти вперед. Повторить 6-8 раз. Темп
медленный.
2. И.п. - о.с. 1 - шаг вправо, руки в стороны. 2 – повернуть кисти ладонями
вверх. 3 - приставить левую ногу, руки вверх. 4 - руки дугами и в стороны и
вниз, свободным махом скрестить перед грудью. 5-8 - то же влево. Повторить
6-8 раз. Темп средний.
3. И.п. - стойка ноги врозь, руки в стороны. 1 - наклон вперед к правой ноге,
хлопок в ладони. 2 - и.п. 3-4 то же в другую сторону. Повторить 6-8 раз. Темп
средний.
4. И.п. - стойка ноги врозь, левая впереди, руки в стороны или на поясе. 1-3 -
три пружинистых полуприсяда на левой ноге. 4 - переменить положение ног.
5-7 - то же, но правая нога впереди левой. Повторить 4-6 раз. Перейти на
ходьбу 20-25 с. Темп средний.
5. И.п. - стойка ноги врозь пошире. 1 - с поворотом туловища влево, наклон
назад, руки назад. 2-3 - сохраняя положение туловища в повороте,
пружинистый наклон вперед, руки вперед. 4 - и.п. 5-8 - то же, но поворот
туловища вправо. Повторить по 4-6 раз в каждую сторону. Темп медленный.
6. И.п. - придерживаясь за опору, согнуть правую ногу, захватив рукой за
голень. 1 - вставая на левый носок, мах правой ногой назад, правую руку в
сторону - назад. 2 - и.п. 3-4 - то же, но согнуть левую ногу. Повторить 6-8 раз.
Темп средний.
70
7. И.п. - о.с. 1 - руки назад в стороны, ладони наружу, голову наклонить
назад. 2 - руки вниз, голову наклонить вперед. Повторить 6-8 раз. Темп
медленный.
ФИЗКУЛЬТУРНАЯ ПАУЗА 3
1. Ходьба на месте 20-30 с. Темп средний. 1. И.п. - о.с. Правой рукой дугой
внутрь. 2 - то же левой и руки вверх, встать на носки. 3-4 - руки дугами в
стороны. И.п. Повторить 4-6 раз. Темп медленный.
2. И.п. - о.с. 1 - с шагом вправо руки в стороны, ладони кверху. 2 - с
поворотом туловища направо дугой кверху левую руку вправо с хлопком в
ладони. 3 - выпрямиться. 4 - и.п. 5-8 - то же в другую сторону. Повторить 6-8
раз. Темп средний.
3. И.п. - стойка ноги врозь. 1-3 - руки в стороны, наклон вперед и три
размашистых поворота туловища в стороны. 4 - и.п. Повторить 6-8 раз. Темп
средний.
4. И.п. - о.с. 1-2 - присед, колени врозь, руки вперед. 3-4 - встать, правую
руку вверх, левую за голову. 5-8 - то же, но правую за голову. Повторить 6-10
раз. Темп медленный.
5. И.п. - о.с. 1 - выпад влево, руки в стороны. 2-3 – руки вверх, два
пружинистых наклона вправо. 4 - и.п. 5-8 - то же в другую сторону. Повторить
4-6 раз. Темп средний.
6. И.п. - правую руку на пояс, левой поддерживаться за опору. 1 - мах правой
ногой вперед. 2 - мах правой ногой назад, захлестывая голень. То же
проделать левой ногой. Повторить по 6-8 махов каждой ногой. Темп средний.
7. И.п. - о.с. 1-2 - правую ногу назад на носок, руки слегка назад с поворотом
ладоней наружу, голову наклонить назад. 3-4 - ногу приставить, руки
расслабленно опустить, голову наклонить вперед. 5-8 то же, отставляя другую
ногу назад. Повторить 6-8 раз. Темп медленный.
Прислушайтесь и уразумейте…
Поиск истины значительно ценнее, чем обладание ею. Г. Лессинг
Одиночество - порой лучшее общество. Дж. Мильтон
Россия есть игра природы, а не ума. Ф.М. Достоевский
Патриотизм - это последнее прибежище негодяя. Б. Франклин
Отечество раба там, где палка. Г. Гейне
Вера без дел мертва. Иисус Христос
Люби - и делай, что хочешь. Августин
All you need is love. The Beatles
Моя философия не дала мне совершенно никаких доходов, но зато избавила
меня от очень многих трат. А. Шопенгауэр
Как ни странно, самые твердые, непоколебимые убеждения – самые
поверхностные. Глубокие убеждения всегда подвижны. Л.Н. Толстой
Кто не любит одиночества - тот не любит свободы, ибо лишь в одиночестве
можно быть свободным. А. Шопенгауэр
Свободен тот, кто может не лгать. А. Камю
Равенство существует только в гробу. К. Колтон
Свобода - это ответственность. Вот почему все ее так боятся. Б. Шоу
Лучший правитель тот, о котором народ знает, лишь то, что он существует.
Несколько хуже те правители, которых народ любит и возвышает. Еще хуже те
правители, которых народ боится, и хуже всех те правители, которых народ
презирает. Лао-Цзы
На штыки можно опираться, но на них нельзя сидеть. Испанская пословица
Законы бесполезны как для хороших людей, так и для дурных. Первые не
нуждаются в законах, вторые от них не становятся лучше. Деманакт
Создавайте лишь немного законов, но следите за тем, чтобы они соблюдались.
Д. Локк
Нет более верного признака дурного устройства городов, чем обилие в них
юристов и врачей. Платон
Будем же верить, если не можем уразуметь. Августин
Уразумей, чтобы уверовать. Августин
Слово, руководствуясь которым, можно прожить всю жизнь-
СНИСХОДИТЕЛЬНОСТЬ. Конфуций
Проживи незаметно. Эпикур
Будьте прохожими. Иисус Христос
Лучше работать без определенной цели, чем ничего не делать. Сократ
Ахаль ларичен керек арки йавала. Чувашская пословица
Делай великое, не обещая великого. Пифагор
Если я рассуждаю логично, это значит только то, что я не сумасшедший, но
вовсе не доказывает, что я прав. И.П. Павлов
Там, где одни видели абстракцию, другие видели истину. А. Камю
Нет ничего настолько исправного, чтобы в нем не было ошибок. Ф. Петрарка
Не завидуй тому, кто сильней и богат.
За рассветом всегда наступает закат.
С этой жизнью короткою, равною вздоху,
Обращайся, как с данной тебе напрокат. Омар Хайям
Выше всех поучений и правил, как правильно жить,
Две основы достоинства я предпочел утвердить:
Лучше вовсе не есть ничего, чем есть что попало;
Лучше быть в одиночестве, чем с кем попало дружить. Омар Хайям
Серия «Компьютер для Петруши»
В серии вышли и выходят:
Самоучитель по DOC и NC
Excel 7.0 и не только...
ACCESS 2000
Текстовые редакторы
Excel 2000 и не только…
Microsoft OFFICE. Учебный практикум (в трех частях)
Учебно-методические пособия серии "Компьютер для Петруши"
отличаются оригинальной методикой для самостоятельного изучения
программных продуктов, сочетающей в себе легкость изложения и
глубину освоения, доступность для начинающих и пользу для опытных
пользователей Печатается без согласования с Microsoft. Билл Гейтс отдыхает…
Книги серии можно заказать
в книжных магазинах
и компьютерных фирмах:
428023 Чебоксары, ул. Максимова, 13
пр-кт М.Горького, 51
Союз-К ℡ 34-66-30
428018 Чебоксары, ул. Водопроводная, 22
Мир книг ℡ 421-024, 420-304
428003 г. Чебоксары, Школьный
проезд, 6а
Учколлектор
℡ (8352) 21-24-75, 21-08-55,
62-85-57, 62-84-91
Подписано в печать 15.03.2008. Формат 60×90/84. Печать оперативная. Бумага хорошая.
Усл. печ. л. 4,5. Уч.-изд. л. 4,75. Тираж эксклюзивный. ООО «HAMER’JAL»

Word 2003

  • 1.
    Н.А.Максимов Три источника и трисоставные части Часть 1. Word 2003 Учебный практикум Самоучитель WORD EXCEL ACCESS Чебоксары 2008
  • 2.
    СОДЕРЖАНИЕ Предисловие........................................................................................... 3 1. Блокнот............................................................................................. 4 1.1. Упражнение 1. .......................................................................................................4 1.2. Сохранение и открытие документа.....................................................................7 1.3. Поиск слов и символов.........................................................................................9 1.4. Редактирование текста........................................................................................10 1.5. Справочная система WINDOWS и его приложений.......................................12 Контрольная работа №1. ...............................................................................................................14 2. Текстовый редактор WordPad....................................................... 15 2.1. Упражнение 2. Основные навыки .....................................................................17 2.2. Контрольные вопросы ........................................................................................19 3. Текстовый процессор Word 2000 ................................................. 20 3.1. Упражнение 3. Форматирование.......................................................................21 3.2. Таблицы................................................................................................................22 3.3. Рисование.............................................................................................................25 3.4. Списки..................................................................................................................29 3.5. Макросы ...............................................................................................................30 4. Подготовка структурированных документов ............................. 31 4.1. Оформление титульного листа ..........................................................................31 4.2. Оформление заголовков и оглавления..............................................................33 4.3. Добавление инструментов..................................................................................36 4.4. Создание стилей, сносок, ссылок ......................................................................38 4.5. Слияние ................................................................................................................42 4.6. Полезные советы.................................................................................................46 Разная ориентация для разных страниц одного документа...........................................46 Шаблоны листов для курсовых работ или «Век живи – век учись».............................46 Движение по страницам документа.................................................................................47 Сочетания клавиш для чувашского языка.......................................................................49 Замена шрифтов.................................................................................................................50 Форматирование отсканированного текста.....................................................................51 Визитки и прочая мелочь..................................................................................................52 Приложение 1. Тренажеры ...................................................................... 54 Приложение 2. Упражнения для глаз и осанки......................................... 62 © Максимов Н.А. ® Maximov Nicolay Digitally signed by Maximov Nicolay DN: cn=Maximov Nicolay, c=RU, o=Maximoff, ou=Home, email=maximon_21@mail.ru Reason: Я рад, что Вы пользуетесь этой книгой. Date: 2008.03.15 02:38:52 +03'00'
  • 3.
    3 Предисловие Концепция пособия предполагаетсамостоятельную работу за компьютером, соблюдая основные принципы дидактики: обучение осуществляется последовательно от простых понятий к более сложным; освоение темы в ходе практической работы, все следующие темы опираются на предыдущие. При работе с пособием придерживайтесь руководящих инструкций, следуйте строго последовательно, не перескакивайте строки и страницы. Обучение надо начинать с отработки простейших навыков и умений, пока еще «глаза не разбегаются». Не пытайтесь самостоятельно форматировать текст: когда, в какой момент и как это лучше сделать – будет все расписано по пунктам. Вы просто будете исполнять обучающий алгоритм и … успех Вам обеспечен! И общее правило во всех упражнениях: сперва Вы набираете текст (документ) и только потом «разукрашиваете»(редактируете)! Условные обозначения и знаки, используемые в пособии: Внимание, архиважная информация Подведение итогов, резюме после темы, раздела Смотри в оба, будь внимательнее Прислушайся к совету, но думай сам ☺ Шутя, говорить о серьезных вещах (ridendo dicere severum) лат. q=м%“2% 2ель…= !=K%2= дл ƒ=*!еCле…, …="/*%" , 3ме…,L
  • 4.
    4 1. Блокнот Суха теория,мой друг, а древо жизни пышно зеленеет... (цитата из трагедии И.Гете «Фауст» в переводе Б.Пастернака) Блокнот предназначен для создания и редактирования текстовых файлов, не требующих форматирования и не превышающих по размеру 64 Кбайт. Блокнот работает только с файлами в формате ASCII1 *.txt (простой текст). Если файл требует форматирования текста или превышает по размеру 64 Кбайт, следует использовать текстовый редактор WordPad, он тоже входит в комплект стандартной поставки WINDOWS. С ним мы познакомимся позже. Запускается через меню Пуск ⇒ Программы ⇒ Стандартные ⇒ Блокнот. В раскрывшемся окне можно набирать любой текст, переключение между языками по стандартным сочетаниям клавиш: левый Shift + Alt или Shift + Ctrl. Такая запись сочетаний клавиш (Клавиша1+Клавиша2(+Клавиша3)) означает одновременное нажатие (не обязательно синхронное!) указанных клавиш: нажать на первую, и не отпуская ее, нажать на вторую (третью), т.е. в какой-то момент времени все 2(3) клавиши должны быть нажатыми. Переключение языков при помощи мыши - не самый лучший способ, не привыкайте без надобности прибегать к услугам мыши, если есть альтернатива на клавиатуре. Пользоваться только мышью - это плохой и неэффективный стиль работы на компьютере. Теперь попробуем выполнить упражнения по шагам. 1.1. Упражнение 1. 1. Запустите Блокнот. Через Главное меню⇒Правка установите включенным режим Перенос по словам (должна высвечиваться галочка после Вашего щелчка(если ее не было по умолчанию). Тут же выберем Шрифт: Arial, обычный, размер 14, кириллица (см. рис.1). Стандартные окна Windows включают: первую строку - заголовок окна, выделенный синим (или зеленым для ХР) цветом, вторая – главное меню(см. рис.2). Первым пунктом главного меню всегда является ниспадающее подменю Файл, включающий команды обмена данными между оперативной памятью и внешними устройствами: Создать, Сохранить, Открыть, Печать и другие, а последний пункт подменю - Выход. Последний пункт главного меню отведен для справочной 1 American standard code for Information Interchange. Текстовые файлы ASCII обычно используются для обмена данными между компьютерами, т.к. они являются переносимыми независимо от операционных систем и программ, имеют небольшой объем. SMS сообщения передаются тоже как неформатированный текст.
  • 5.
    системы и связичерез Интернет с разработчиком для обновления зарегистрированного и лицензионного программного обеспечения. Раскрытое подменю Рис.12 2. Наберем приведенный ниже на стр.3 текст (см. рис.2). Клавишами Enter для перехода на новую строку не пользоваться, переход будет происходить автоматически!!! Во всех текстовых редакторах Enter нажимается только для начала нового абзаца («красной» строки). При наборе текста старайтесь правильно пользоваться клавиатурой согласно «слепому» методу десятипальцевого набора3 – каждый символ набирается «своим» пальцем. Потом переучиваться будет намного сложнее. В школах уже вводится норматив на скорость и точность набора текста на клавиатуре, как на скорость чтения и письма. Поэтому в свободное время обязательно потренируйтесь на тренажерах. В простейших редакторах выравнивание абзаца (отступ, начало «красной» строки) приходится выполнять искусственно при помощи пробелов, поэтому абзац начинайте через 4 пробела после нажатия Enter (это стандартный отступ 1,27 сантиметра в официальных документах при размере шри 4 фта 14 гарнитуры Times). Редактирование (исправление ошибок и добавление символов, слов, любого текстового фрагмента) осуществляется при помощи клавиш управления курсором: ← →↑↓(движение курсора), Delete(удаление символа справа от курсора), Back Space( )(удаление символа слева от курсора). Двигаться можно и мышью: подойти к нужному месту в тексте и щелкнуть левой клавишей, курсор замигает, а дальше можно ввести нужный символ, удалить или вставить информацию с буфера. 2 Это Блокнот от Windows98Me, в Win2000XP он выглядит чуть по-другому, на 1 пункт главного меню больше, но никаких принципиальных отличий нет 3 Смотри приложение 1 5 4 Размер шрифта измеряется в условных единицах (пунктах)
  • 6.
    6 Enter Главное меню(горизонтальное) Рис. 2 Видокна при уменьшении ширины: появилась полоса Вот здесь ме- няли 3. При помощи мыши попробуем изменять размеры окна. На границах графических объектов обычно курсор меняет свой вид на двунаправленную стрелку: , , . «Поймав» эту стрелку левой кнопкой мыши (нажать и двигать не отпуская), можно изменять размеры окна: как по вертикали, так и по горизонтали. Но при этом пропорции окна нарушаются, для рисунков это приводит к неожиданным комическим эффектам. Если Вы не хотите нарушать пропорции окна, то воспользуйтесь диагональной стрелкой, которая появляется в углах окна при наведении на них мышью - . Следите за тем, как меняется расположение текста в окне, могут появляться и полосы прокрутки при уменьшении размеров окна и исчезать, если весь текст умещается в данном окне. 4. Теперь попробуем разобраться, что такое шрифты или гарнитура по классическому типографскому определению. Шрифты – это особый вид начертания букв, символов и их размеров, интервалов между ними и расположения в слове относительно друг друга. В более совершенных редакторах можно дополнительно задавать даже цвет, фон, границы,
  • 7.
    масштабирование символов, межстрочныйи межсимвольный интервалы, анимации и т.д.5 Наиболее распространенные «классические» шрифты: Arial (рубленый) , Times New Roman (с засечками), Courier New(моноширинный – ширина всех символов одинакова независимо от их начертаний). Могу порекомендовать красивые шрифты MS Sans Serif, MS Serif(экранные шрифты для монитора), a_Futurica, Bookman Old Style, Arbat. Помните, что не все шрифты поддерживают кириллицу. Это можно определить, когда в Блокноте в окне Выбор шрифта через Набор символов просматриваем список: в образце должны быть представлены только буквы кириллицы («русские»). Самостоятельно поупражняйтесь сменой шрифтов. Обратите внимание на разную длину текста для разных шрифтов при одинаковых размерах А вот что получается, когда шрифт не поддерживает кириллицу… После всех упражнений оставим нормальный шрифт Times New Roman, кириллица (он более компактен, используется в официальных документах). 1.2. Сохранение и открытие документа Любые данные, которые набраны на клавиатуре или изменены, надо сохранять на дисках в виде файлов. Имя файла состоит из непосредственно Имени и через точку Расширения (типа). Требования к именам файлов уже упрощены, можно использовать и длинные русскоязычные имена (раньше в DOS допускались только английские до 8 символов), пробелы, но ни в коем случае не точку(.). Точка используется в качестве разделителя имен и расширений(типов). Расширение (формат) показывает, при помощи какого приложения или программы создан данный файл. Как правило, этой же программой он открывается, редактируется (изменяется). Для Блокнота 5 В простейших текстовых редакторах шрифты используются только для просмотра, в Блокноте шрифт не запоминается! 7
  • 8.
    8 расширение *.TXT(звездочка (*)- любой допустимый символ). В расширениях используются только английские буквы, регистр не учитывается. Расширения при сохранении файлов добавляются автоматически: будет именно тот тип, который предусматривает данная программа. Поэтому добавлять расширение к имени совсем необязательно. Сохраним и мы набранный документ в своей папке по адресу, указанному преподавателем или, например, как здесь: 1. Файл⇒Сохранить как⇒Выбрать нужную папку через Список, если нет – то создать, вместо имени Безымянный дать собственное Блокнот1⇒Сохранить. Список Создание новой папки Рис. 3 Мы использовали Сохранить как, а не просто Сохранить, чтобы самим задать местоположение (адрес) папки сохранения. Обычно по команде Сохранить открывается та папка, которая была указана при установке системы (на домашних компьютерах обычно Мои документы) или потом изменена в параметрах сохранения. В дальнейшем, когда открываем уже существующие файлы, достаточно будет воспользоваться просто Сохранить: файл будет перезаписан вместо старого. Но если Вы хотите сохранить и старую версию файла, то без Сохранить как не обойтись, укажите новое имя файла, изменив хотя бы один символ, например, Блокнот2. 2. Немного измените наш текст (шрифты, удалите и добавьте кое- что) и сохраните под именем Блокнот2 в той же папке. 3. Когда дадим команду Файл⇒Открыть, то в нашей папке будут уже два файла: Блокнот1 и Блокнот2. Откроем любой.
  • 9.
    Рис. 4 4. Чтоизменилось? Вы сохранили файл при одном шрифте, а открывается текст другим шрифтом? Так и положено, смотри сноску 5 выше! 1.3. Поиск слов и символов Поиск⇒Найти и в окне поиска наберем Строка Но ничего не будет найдено, потому что в тексте нет такового слова. Попробуем найти просто Строк: При помощи Найти далее можно найти и другие слова, где встречается комбинация этих букв. Попробуйте поискать самостоятельно другие слова и выражения, изменяя направление поиска и учитывая регистр. 9
  • 10.
    10 1.4. Редактирование текста Любойвведенный текст можно редактировать: исправлять ошибки, вставлять символы и буквы, удалять, копировать. Но перед редактированием любой текст должен быть выделен, и большинство команд выполняются только над выделенным текстом. Вставка – установить мигающий курсор в позицию вставляемого слова (символа) и ввести с клавиатуры текст. Выделение – подойти указателем мыши к началу выделяемого фрагмента и, нажав на левую кнопку и не отпуская ее, дотянуть до конца выделяемого фрагмента, отпустить кнопку. Выделенный фрагмент будет высвечен белым текстом на синем фоне. Выделение всего текста осуществляется через меню Правка⇒Выделить все. Слово выделятся двойным щелчком (быстрое двукратное нажатие левой кнопки мыши, чтобы промежуток времени между двумя нажатиями был в пределах 0,5-1 секунды; время зависит от настройки мыши). Снять выделение можно повторным щелчком в любом месте документа. Как уже говорилось, пользоваться клавиатурой всегда практичнее. Выделение фрагмента проще производить при помощи клавиши Shift: установить курсор на начало выделения и при нажатой Shift выделять клавишами управления курсором; или щелчком левой клавиши мыши в конце выделения. Удаление – выделить символ, фрагмент текста и клавиша Delete; или через Правка⇒Del. Копирование a. выделить текст, Правка⇒Копировать, встать курсором в нужное место, Правка⇒Вставить. b. выделить текст, комбинация клавиш Ctrl + C, встать курсором в нужное место, Ctrl + V. При копировании выделенный текст помещается в буфер обмена, далее из буфера можно вставить N раз куда угодно и когда угодно. Буфер обмена доступен во всех приложениях Windows, поэтому скопированный в Блокноте текст можно вставить и в Word, Excel и наоборот. Но: при повторном копировании (вырезании) в буфер предыдущая информация заменяется на новую, поэтому вставлять можно только последний скопированный фрагмент. Правда, в современных «продвинутых» редакторах буфер обмена расширен до 12-16 фрагментов. Перемещение – также происходит через буфер обмена. В отличие от копирования исходный текст удаляется с данного места и вставляется в дру его . a. Выделить текст, Правка⇒Вырезать, далее «иду туда, куда хочу» и Правка⇒Вставить.
  • 11.
    b. При помощиклавиатуры: выделить, Ctrl + X, встать «куда надо», Ctrl + V. Контекстное меню или динамическое, иногда говорят про «меню правого щелчка» - одно из основных понятий окон Windows и важнейший инструмент оконного режима управления. Оно показывает, что можно сделать с данным выделенным (или указанным мышью) объектом в данной конкретной ситуации. Конечно, все эти операции над выделенными объектами можно выполнять и через главное меню с ниспадающими подменю, но тогда резко увеличилось бы количество пунктов в главном меню и подменю, искать нужную команду пришлось бы дольше. А контекстное меню позволяет, «не отходя от кассы», щелкнуть правой и выбрать нужную команду левой клавишами. Тенденция развития программного обеспечения идет по пути повышения удобств работы за компьютером, часто главное меню может и не присутствовать, есть только меню правого щелчка для каждого или группы объектов. Многие программы и игры так и строятся. Если в меню (любом!) команды выделены бледным цветом, значит, они недоступны в данной ситуации. Например, если буфер обмена пуст, то не действует команда Вставить: нечего вставлять… На фрагменте справа сразу после открытия документа выделено слово «окно» и нажата правая клавиша. Почему и Отменить не действует? Самостоятельно наберите следующий текст через меню Файл ⇒ Создать и выполните последующие задания. Из набранного текста в этом же окне создайте копию без грамматических ошибок, пользуясь командами копирования и редактирования. Кстати, слово «пенальти» мужского рода… 11
  • 12.
    12 1.5. Справочная системаWINDOWS и его приложений Умение пользоваться справочной системой (Help!) является необходимым и обязательным требованием при пользовании любыми программными продуктами. Вы можете забыть или даже просто не знать какие-то возможности и особенности работы той или иной программы (в иных современных программных продуктах заложено столько возможностей, что «нормальный» пользователь пользуется только частью из них), но, когда надо, Вы всегда можете обратиться к справочнику. Справочная система WINDOWS и его приложений построены по одинаковому принципу, поэтому на примере простой справки Блокнота нам просто необходимо освоить приемы работы со справочной информацией. Во всех приложениях справка располагается в конце главного меню. Но еще проще ее вызвать через функциональную клавишу F1. Запустим и посмотрим. Рис. 5 Окно справки разделено на две вертикальных области. В левой области располагаются три вкладки: Содержание, Указатель и Поиск, в правой – результаты поиска. Вкладка Содержание напоминает книгу, закрытую или раскрытую. Содержание раздела отражаются в правой области. Книга может состоять из нескольких томов (категорий), вложенных друг в друга. Для просмотра содержимого тома его следует раскрыть и
  • 13.
    выделить соответствующий раздел.Просмотренные тома или книги можете закрыть или вернуться к предыдущему разделу. Вкладка Указатель применятся для поиска справки по ключевому слову раздела: ввести ключевое слово или выбрать из списка, дальше двойной щелчок или Показать. Используется в том случае, когда в многотомном Содержании поиск справочной информации становится затруднительным или Вам неизвестно, в каком разделе искать. Для расширенной справки можно воспользоваться и гипертекстовым указателем(появляется изображение пальца при наведении мышью), если таковая услуга предлагается, а потом вернуться назад. Гипертекст Рис. 6 Вкладку Поиск удобнее применять для получения расширенной справки: здесь ищется ключевое слово, которое содержится в тексте справки, а не только в названии раздела. Поэтому результаты поиска будут гораздо шире. На рис.7 показан результат поиска ключевого слова вставка. При помощи вкладки Содержание пролистайте все разделы справки(они пока небольшие). Потренируйтесь с вкладкой Указатель Через Поиск найдите раздел для вывода Общих сочетаний клавиш (рис.7) и выпишите себе в тетрадь. Поупражняйтесь поиском других ключевых слов и сделайте соответствующие выводы относительно возможностей разных вкладок. 13
  • 14.
    14 Рис. 7 Контрольная работа№1. Наберите следующий текст: Только в мире и есть, что тенистый дремлющих кленов шатер, детски задумчивый взор, милой головки убор, влево бегущий пробор. Сохраните его под именем Черновик и закройте. Создайте новый файл под названием Афанасий Фет следующего содержания: Афанасий Фет, тенистый, лучистый, чистый, душистый. Используя текст Черновика, отредактируйте второй текст до нормального вида стихотворения (новых слов не вводить!): Примечание к заданию: Еще раз запустите блокнот и откройте сохраненный файл, оба окна разместите на рабочем столе, копируйте и вставляйте…
  • 15.
    2. Текстовый редакторWordPad Небольшие документы можно создавать и форматировать при помощи стандартного редактора WordPad, который также входит в группу бесплатных приложений WINDOWS. Все навыки и приемы работы с Блокнотом пригодятся, просто здесь чуть больше возможностей и инструментов. Панели выключены 1. Запустите через Пуск⇒Программы⇒Стандартные⇒ WordPad(см. Рис. 8). Главное горизонтальное меню немного расширилось, можно изменять вид окна через меню Вид, что и продемонстрировано ниже. Для начала потренируйтесь включением и выключением панелей, наведите указатель мыши на инструменты и задержитесь на секунду (т.н. «зависание» над объектом) – высветится подсказка - назначение кнопки. Для дальнейшей работы оставьте включенными все панели. Инструменты Линейка Строка состояния Включена цифровая клавиатура Num Lock Рис. 8 2. Панель инструментов имеет чисто утилитарное значение: те команды из разных подменю, которые часто используются, удобнее вывести в виде отдельных кнопок и пользоваться ими одним щелчком. В дальнейшем здесь и в другой литературе под щелчком понимается щелчок левой клавишей, а щелчок правой уточняется или говорится про контекстное или динамичное меню. Кнопки бледного цвета в данный момент не активны, ими нельзя пользоваться в текущем контексте (ситуации), как и соответствующими командами из меню. 15
  • 16.
    16 3. Панель форматированияслужит для форматирования выделенного текста(в Блокноте таких возможностей не было, а шрифт устанавливался целиком для всего документа). Со шрифтами мы уже знакомы, теперь есть возможность задавать и цвет текста, выравнивать абзац влево, вправо или по центру. Что такое абзац? Абзац в Microsoft Word — это отдельный набор данных, отличающийся своими параметрами форматирования, такими как выравнивание, интервалы и стили. В конце абзаца всегда стоит знак абзаца6 . К абзацам документа применяют то или иное форматирование в зависимости от назначения этого документа и его предполагаемого внешнего вида. Часто в одном документе абзацы оформляются по-разному. Например, при написании отчета его название помещают на титульном листе в отдельном абзаце, который выравнивается по центру, а имя автора и дату помещают у нижнего края страницы в отдельных абзацах, выровненных по правому краю. А для нас сейчас абзацем является текст, начинающийся и заканчивающийся нажатием на клавишу Enter. Первый абзац в документе – от начала до первого Enter. Рис. 9 4. Линейка – очень важный инструмент(см.Рис. 9) для установки параметров страницы и полей. Белым цветом выделена зона ввода текста, ширина обычно измеряется в сантиметрах(см) и мм. На линейке видны отступы для текущего абзаца бумаги формата А4(стандартный формат для большинства принтеров). Параметры абзаца обычно устанавливаются через меню Формат⇒Абзац, а размер бумаги или страницы - Файл⇒Макет страницы. Отступы можно задавать и перемещением маркеров отступа на линейке(см.Рис. 9). Передвигает и отступ первой строки Только себя Границы текста по ширине в см Правый отступ для бумаги А4 =30 мм, левый тоже =30 мм, но он не виден. Ширина формата А4 = 21см 6 Увидим в платных текстовых процессорах от Office 97 и выше, но чуть позже
  • 17.
    Потренируйтесь установкой параметровстраницы и абзаца через меню и передвигая маркеры отступа. В качестве текста введите свою ФИО и некоторые биографические данные 5. Табуляция Часто возникает необходимость представления текста в виде отдельных колонок или табулировать. Для таких целей имеется табулятор, знаки табуляции выглядят в форме уголка └ . Позиции табуляции устанавливаются на линейке через меню Формат⇒Табуляция или щелчком мыши на линейке. Переход от одной позиции табуляции к другой происходит после нажатия клавиши Tab. Как удалять позиции табуляции, посмотрите через справочную систему, ключевое слово – табуляция. Ниже представлен пример использования табуляции. Повторите это упражнение самостоятельно. Табуляция действует только на абзац. Для остальных абзацев ее можно отменить или установить другой порядок 2.1. Упражнение 2. Основные навыки Наберите нижеприведенный текст. На основе этого текста мы освоим основные возможности форматирования документов. Пусть он и несколько громоздкий, но клавиатуру тоже надо осваивать (см. приложение 1). КОМПЬЮТЕР (англ. computer, от лат. computo — считаю), машина для приема, переработки, хранения и выдачи информации в электронном виде, которая может воспринимать и выполнять сложные последовательности вычислительных операций по заданной инструкции — программе. С начала 1990-х годов термин «компьютер» вытеснил термин «электронная вычислительная машина» (ЭВМ), которое, в свою очередь, в 1960-х годах заменило понятие «цифровая вычислительная машина» (ЦВМ). Все эти три термина в русском языке считаются равнозначными. Само слово «компьютер» является транскрипцией английского слова computer, что означает вычислитель. Английское 17
  • 18.
    18 понятие «computer» гораздошире, чем понятие «компьютер» в русском языке. В английском языке компьютером называют любое устройство, способное производить математические расчеты, вплоть до логарифмической линейки, но чаще в это понятие объединяют все типы вычислительных машин, как аналоговые, так и цифровые. Хотя компьютеры создавались для численных расчетов, оказалось, что они могут обрабатывать и другие виды информации, так как практически все виды информации могут быть представлены в цифровой форме. Для обработки различной информации компьютеры снабжаются средствами для ее преобразования в цифровую форму и обратно. Поэтому с помощью компьютера можно производить не только численные расчеты, но и работать с текстами, рисунками, фотографиями, видео, звуком, управлять производством и транспортом, осуществлять различные виды связи. Компьютеры превратились в универсальные средства для обработки всех видов информации, используемых человеком. (Текст заимствован с компакт-диска детской «Большой энциклопедии Кирилла и Мефодия») Текст состоит из трех абзацев, по умолчанию выровнен влево. Выделение текста происходит так же, как и в Блокноте (двойной щелчок на слове), но есть существенные добавления. Чтобы выделить строку, надо подвести указатель мыши на начало строки, чтобы курсор принял форму направленной вправо и вверх стрелки и одинарный щелчок. Двойной щелчок выделит весь абзац, тройной – весь документ. Перенос(перетаскивание) слов и фрагментов текста можно осуществлять и мышью: выделить текст и при нажатой клавише мыши перетащить в нужное место. Потренируйтесь, а потом дальше пойдем… 1. Выделите английское слово computer и установите цвет красный, начертание курсивное(второе название курсивного шрифта – Italian), размер 18, шрифт – Arial. 2. Первую строку подчеркните, цвет – синий, шрифт – Tahoma 3. Для второго абзаца примените шрифт Courier New Italian, выравнивание по центру, отступы слева и справа по 3 см, первая строка с отступом 1,25 см. 4. Через буфер обмена переставьте местами второй и третий абзацы
  • 19.
    19 5. Во всемтексте слово «компьютер» замените на «ЭВМ» (Правка⇒Заменить) 6. Для второго и третьего абзаца установите маркеры 7. При помощи мыши переставьте местами второй и третий абзацы(вернитесь к исходному порядку текста) 8. Свое «творчество» сохраните под именем «Упр_2» На этом «прелюдия» к WinWord завершена. 2.2. Контрольные вопросы 1. Как объединить и разбить строку на две? 2. Как удалить символы слева и справа от курсора? 3. Как задать абзацные отступы? 4. Как выделяется символ? Слово? Произвольный текст? 5. Каким образом фрагмент текста можно переставить в другое место документа? Назовите все способы 6. Для чего служат сочетания клавиш Ctrl + C и Ctrl + V? 7. С каким расширением сохраняются документы в Блокноте и WordPad? 8. В каких приложениях Windows доступен буфер обмена данными и для чего он служит? 9. Что такое «абзац» в понимании Word? 10. Как задать параметры страницы в WordPad? 11. Как пользоваться контекстным меню и в чем его преимущество перед главным или другим ниспадающим меню? 12. Почему в Блокноте текст, сохраненный одним шрифтом, может открываться любым другим? Забегая чуть вперед… Если в Word текст подчеркнут красным цветом – ошибка грамматическая или такого слова нет в словаре редактора. Через контекстное меню можете выбрать правильный вариант слова или добавить в словарь, например, фамилию. Если зеленым – синтаксическая ошибка, также исправляется через контекстное меню, или не исправляется, если Вы уверены в собственной правоте
  • 20.
    20 3. Текстовый процессорWord 2000 Мощным средством для создания, обработки и верстки текстовых документов является составная часть Office – WinWord (общее название версий Word). Включает в себя возможности программирования в среде Visual Basic, создания макросов, графический редактор, редактор формул, средство для графических эффектов текста WordArt, таблицы и т.д. Более подробно можно ознакомиться через справочную систему или специальную литературу. Мы же рассмотрим только основные возможности, которыми пользуется обычный пользователь. Если Вы поэтапно прошли предыдущие упражнения, то освоение «тяжеловесного» текстового процессора будет происходить без затруднений. Запускается Word через ярлык на рабочем столе или панели задач (ярлык присутствует практически на всех компьютерах), иначе через меню Пуск⇒Программы. Стандартный вид окна представлен ниже на Рис. 10. Стандартная Другие кнопки Форматирования Рисования Строка состояния Вид Рис. 10 По умолчанию под главным меню выводятся панели инструментов Стандартная и Форматирование, а внизу панель Рисование. Окно редактора построено рационально и прагматично, т.е. так, что в ниспадающих меню выводятся только основные и недавно использовавшиеся кнопки, а другие кнопки выводятся, если
  • 21.
    задержаться курсором надвойной стрелке, направленной вниз. Дополнительные кнопки на панелях инструментов можно вывести через Другие кнопки в конце панели (см. Рис. 10). Строка состояния содержит достаточно много информации, ознакомьтесь через справочную систему и Помощника7 . 3.1. Упражнение 3. Форматирование 1. Наберите нижеприведенный текст (знак ¶ означает нажатие Enter или знак абзаца, виден, когда включен режим Непечатаемых знаков ¶ в Стандартной панели). Так как слово «Правило» повторяется 10 раз, то после первого ввода выделите его и скопируйте в буфер, а потом вставляйте 9 раз. Можно 1 раз скопировать и при помощи клавиш Ctrl + Ins, а потом вставлять комбинацией Shift + Ins. 2. Выделите весь текст и примените выравнивание по ширине ( ). По умолчанию Word 2000 настроен на шрифт Times New Roman размером 12. Увеличьте размер шрифта до 14. 3. Заголовок «Сетевой этикет» отцентрируйте по центру, шрифт Arial, размер 15. Т.к. в списке размеров нет 15 пункта, то его можно набрать самим: курсором подойдите и наберите 15, Enter. Размеры шрифтов можно устанавливать от 1 до 1638 пунктов, причем допускаются и не целые, например, 13,5 пт. 21 7 Мастер подсказок, дает советы по ситуации. Вещь забавная и полезная
  • 22.
    22 4. Через Формат⇒Шрифт⇒Интервалдля заголовка установите интервал между символами (буквами) 3 пт. Через панель форматирования (кнопки справа) установите цвет шрифта темно-синий, выделение желтым цветом. Установите через Формат⇒Шрифт⇒Анимацию мигающий фон. 5. Обычно между строками по умолчанию устанавливается обычный интервал, но иногда возникает необходимость установки более широкого интервала между двумя абзацами, например, чтобы разделить заголовок и основной текст. Через меню Формат⇒Абзац⇒Отступы и интервалы установите Интервал⇒После равным 12 пт. Межстрочный остается одинарным. 6. Для второго абзаца через Формат⇒Шрифт установите верхний индекс, интервал - уплотненный на 1 пт, выравнивание по правому краю, отступ после 6 пт. 7. Для третьего абзаца интервалы до и после по 6 пт, шрифт Courier New, Формат⇒Границы и заливки⇒Граница в рамках, Заливка - 10% узор. 8. Выделите строки Правило 1-10 и установите межстрочный интервал 1,5, через панель форматирования и кнопку Внешние границы заключите все правила в общую рамку. 9. Сохраните документ (по умолчанию имя документа будет состоять из первых слов первой строки) 3.2. Таблицы Таблица состоит из строк и столбцов, на пересечении которых образуются ячейки, которые могут содержать текст, рисунок, а также формулы. Иногда просто удобнее представлять и упорядочивать данные в виде таблиц. Более подробно почитайте через справочную систему, ключевое слово «таблицы». Мы же рассмотрим простейший пример. Все операции с таблицами производятся через меню Таблица или контекстное меню, естественно, над предварительно выделенными частями или всей таблицей. Рамки (границы) в таблицах можно и не выводить. 1. Таблица⇒Добавить и задаем количество столбцов 4, строк – 5. По умолчанию будут вставлены столбцы одинаковой ширины. Но у нас первая строка состоит всего из 2-х столбцов. Колонки 1-2 и 3-4 надо объединить. Для этого мышью выделим столбцы 1-2(3-4) первой строки и через Таблицы⇒Объединить ячейки из двух ячеек получим одну.
  • 23.
    Маркер перемещения таблицы Рис.11 2. Заполните таблицу согласно Рис. 11. Для перехода по ячейкам пользуйтесь клавишами управления курсором (нажатие Enter вставляет строку внутри ячейки). Если текст не умещается в одной строке, то он автоматически переходит на другую строку внутри ячейки. Когда курсор будет находиться в любой ячейке последней строки, добавьте две строки через Добавить или контекстное меню⇒Добавить строки. Выделите всю таблицу и отцентрируйте текст по центру. Для редактирования таблицы можно включить режим Непечатаемых знаков. 3. Измените границы столбцов согласно Рис. 12 при помощи двунаправленной стрелки на границе столбцов или на линейке. Ширина строк автоматически должна уменьшиться. В ячейках Сложение (Равно) через контекстное меню ⇒Направление текста установите соответствующие направления. Через Свойства таблицы⇒Ячейки залейте первую строку желтым цветом (или через контекстное меню). 4. Через Нарисовать таблицу разбейте несколько ячеек на две (инструмент приведен на Рис. 12). Иногда проще дорисовывать или удалять ячейки при помощи данного инструмента, чем пользоваться через основное меню Таблица. 23
  • 24.
    24 Нарисованные линии Рис. 12 Таблицы оченьудобно использовать для создания списков и форматирования их в колонки, например, в виде словарей. Для примера наберите в таблице следующий текст. Правильные действия укажите сами. Что делать, если: Действия Петрушины подсказки Папины наказы Кончился коврик при движении мышью? ? Купить коврик большего размера Круглых идиотов за компьютер не сажают Не видно «мышки» на экране? ? Позвать кошку для поиска В программе мышь не предусмотрена (может, еще ДОСовская) Пришел начальник (учитель), а ты играешь в игры? Всегда должна быть загружена рабочая (учебная) программа, чтобы быстро переключиться на нее по комбинации клавиш Alt+Tab Делу время, а потехе час Не могу найти для открытия ранее сохраненный файл? ? Хотя бы имя помнишь? Файла, а не свое. Ищи через поиск по дате и формату Ищи там, где потерял, а не там, где светлее После всего выделите таблицу и удалите границы. Таблица будет выглядеть как гладко отформатированный текст и при печати рамок не будет видно.
  • 25.
    3.3. Рисование Обычно поумолчанию панель Рисование находится внизу, Word позволяет реализовать векторную графику. Более подробно почитайте через ключевое слово справки «Рисование». Рис. 13 1. При помощи инструментов рисования8 попробуйте нарисовать отдельные фигуры и выноски, залить выделенные фигуры, придать объем квадрату и т.д. Примерно как на Рис. 14. Текст в выделенную автофигуру вставляется через Контекстное меню⇒Добавить текст. Выравнивается стандартным образом. Выноска Границы для изменения размера Рис. 14 25 8 Если у Вас открывается полотно рисунка в Office XP, 2003 – при желании его можно отключить через Сервис-Параметры-Вид (снять галочку)
  • 26.
    26 2. Пока каждаярисованная (или вставленная) фигура существует сама по себе, они могут быть наложены друг на друга, смещены и т.д.(см. Действия⇒Порядок). Чтобы объединить их в единую фигуру, надо при помощи (Выбор объекта) заключить в рамку, чтобы все фигуры оказались внутри нее, далее Действия⇒Группировать. Теперь все фигуры связаны воедино и к ним можно обращаться как единому рисунку: перемещать, копировать, изменять размеры опять-таки через контекстное меню. При необходимости можно разгруппировать и перегруппировать с другими добавленными рисунками. Расположение рисунков в тексте устанавливается через Действия⇒Обтекание текстом или Контекстное меню рисунка⇒ Формат рисунка⇒Положение. Наложение рисунков друг на друга происходит через Действия⇒Порядок. Проделайте все эти манипуляции самостоятельно9 . 3. Объекты WordArt добавлять и пробовать только самостоятельно. Если не получается, то и не надо: из меня тоже плохой художник… Вы уже достигли такой степени обучаемости (если не перескакивали, а шли строго по пособию), а инструментов рисования, да и других, столь много, что нет возможности и необходимости описывать работу каждого из них. Иначе получилось бы не легкое пособие, а «талмуд» по Word.10 Чуть ниже автор сжалился над «чайниками» и немножко подсказал в блок-схемах. Создайте простенькую таблицу – календарь на текущий месяц Декабрь 2004 День недели * * * * * * Понедельник 5 Вторник 6 Среда 1 7 Четверг 2 8 Суббота 3 9 Воскресенье 4 10 Выходные и праздничные дни выделить, пятницу добавить через Выделить строку Четверг⇒Таблица⇒Добавить строки ниже. * * и * - четная и нечетная недели, так в вузах бывает Создайте расписание уроков, используя элементы Word Art для названия, таблицу для дней недели, формат страницы - альбомный, вставьте рисунки из коллекции ClipArt или нарисуйте собственный, примените обрамление страницы через Формат⇒Границы и заливки ⇒Страница⇒Рисунок. А это вариант орнамента границы страницы из шаблона. 9 К данному абзацу применено масштабирование символов на 90% 10 А тут дополнительно и интервал уплотненный на 0,5 пт
  • 27.
    В качестве самостоятельнойработы по закреплению навыков использования инструментов рисования нарисуйте блок-схему программы на разветвление. Пояснения к заданию. Первая блок-схема составлена при помощи стандартной программы растрового рисунка Paint, вторая – в Wordе. Почувствуйте разницу! Мы будем пользоваться только Wordовскими инструментами. Фигуры рисуются через Автофигуры⇒Блок-схема. Чтобы фигуры получились одинакового размера, то первую фигуру надо выделить, копировать и вставить N раз, после растащить по местам. Подписи вставлены через Надпись(но лучше вставлять через Контекстное меню⇒Добавить текст). Нарисовать одну надпись нужного размера и шрифта, далее контекстное меню⇒Формат надписи⇒Цвета и линии убрать линии, скопировать N раз, расставить по местам (текст корректируется на месте). К степеням А 2 применен верхний(надстрочный) индекс (выделить 2 или 3 , Формат⇒ шрифт). Названия трех блоков алгоритма для разнообразия набраны через WordArt, в нем применен вертикальный текст (см. рисунок). Когда нарисуете все фигуры, то через кнопку выделить всю блок-схему и группировать. Попробуйте оба варианта блок-схем. Вот эта желтая кнопка в WordArt меняет узлы (схватить ее и таскать) 27
  • 28.
    28 Если жирные названияблоков не нравятся, то вертикальную надпись можно оформить при помощи таблицы, а рамки скрыть. Упражнения, упражнения и еще раз упражнения11 . И обязательно обращайтесь к справке – в последних версиях Windows-приложений она очень даже неплохая. Все серия написана только благодаря справочной системе, к другой литературе автор почти не обращался преднамеренно, чтобы не повторять чужой стиль изложения и пояснять только то, с чем сталкивается обычный user. 11 Высказывание классика педагогики, кажется, Ушинского К.Д. Если я не прав, то пусть старшие товарищи меня поправят… Начало Ввод А,B нет да A>B Рис. 15 Стандартная блок-схема «развилки» Вывод A,B,X X=A 2 +B 2 X=A 3 -B 3 Конец
  • 29.
    3.4. Списки Часто возникаетнеобходимость представления текста в виде списков: маркированных и нумерованных. Наберите следующий текст(пока без форматирования, маркеров и нумерации, каждая новая строка через Enter): Кнопки повышают (понижают) уровни 1 уровень 2 уровень 3 уровень 1. Выделите строки со свойствами информации и нажмите на кнопку Маркеры на панели форматирования: будут вставлены текущие маркеры. Если Вы хотите применить другие маркеры, то через Формат⇒Список⇒Маркированный можете задать другой маркер или изменить, выбрав другие из списка символов (панель откроется). 2. Выделите строки от «Системного блока» до конца и кнопка «Нумерация». Все строки пронумеруются. 3. Выделите строки A,B,C и нажмите на Увеличить отступ. Будет создан 2 уровень многоуровневого списка. 4. Выделите строки «процессор - чипсет» и нажмите на Увеличить отступ. Будет создан 3 уровень многоуровневого списка. 5. Завершите нумерацию всего списка. Все списки корректируются через Формат⇒Списки. Попробуйте создать свой многоуровневый список. В данном учебном пособии тоже свои списки и маркеры. 29
  • 30.
    30 3.5. Макросы Часто приходитсявыполнять однотипные операции. Для автоматизации таких рутинных работ служат макросы. Почитайте через справку. А мы создадим макрос, который в место курсора вставит символ и текущий абзац обведет рамкой. 1. Сервис⇒Макрос⇒Начать запись⇒назначить макрос панели, в окне Настройка схватить Макрос1 и потащить на панель форматирования. После этого откроется дополнительная кнопка Изменить выделенный объект, дайте имя макросу Вот как!, выберите значок, назначьте комбинацию клавиш Ctrl+!, закрыть. Начинается запись макроса: Вставка⇒Символ, выберите изWingdings2символ , Внешние границы иостановите запись. Установить на панели 2. Наберите любой текст и поставьте курсор в начало абзаца.. Теперь мы можем запустить макрос: через Сервис⇒Макросы⇒выбрать и выполнить; комбинацией клавиш;кнопкой на панели . Самостоятельно создайте макрос, который выделенный текст увеличивает до 16 пт, курсивный Tahoma, разреженный на 2 пт, заливка желтая, текст синий Удалить макросы можно также через Сервис⇒Макрос ⇒Макросы⇒Удалить. Кнопку с панели оттащить в сторону при активной (открытой) панели Сервис⇒Настройка.
  • 31.
    4. Подготовка структурированныхдокументов Все наши дальнейшие действия будут происходить при виде экрана Режим разметки, режим структуры осваивайте самостоятельно, учитесь пользоваться справочной системой. Мы рассмотрим пример составления и оформления отчетов, курсовых и дипломных работ. 4.1. Оформление титульного листа Текст можно вводить любым шрифтом, а уже потом «приукрашивать»: применять разные шрифты, стили, выравнивания. Если нет необходимости начинать новый абзац, то для перехода на новую строку лучше пользоваться комбинацией клавиш Shift + Enter ( ). Этот знак виден при включении режима просмотра Непечатаемых символов (панель инструментов Стандартная). При форматировании и наборе документа его лучше включить. Для перехода (перескакивания) на новые строки документа можно пользоваться не только Enter, но и включенным режимом свободного ввода (указатель мыши принимает вид выравнивания влево, вправо, по центру при наведении курсора на новую, еще пустую строку и щелчке мышью: , , ). Режим свободного ввода можно включить (если уже не включен!) через Сервис ⇒ Параметры ⇒ Правка ⇒ Свободный ввод. Для выравнивания текста никогда не стоит пользоваться клавишей Пробел: это позапрошлый век механических пишущих машин! Один пробел может присутствовать только между словами. Задайте Параметры страницы: Поля – верхнее и нижнее – 2 см, левое – 2,5 см, правое – 1,5 см (экономим бумагу); Размер бумаги – А4, книжная; Макет – различать колонтитулы первой страницы (чтобы потом не печатать номер на первой странице). Теперь смело набирайте текст титульного листа (Рис. 16 Вариант титульного листа). Используйте разные шрифты. Выравнивание везде по центру, кроме «Кафедры …» и «сдал-принял». Заглавие «Отчет или Учебный практикум» может быть отформатировано разреженным шрифтом.12 31 12 В данной главе использованы другие маркеры, потому что глава была написана раньше основного текста пособия, уже опробована студентами на практикуме и была вставлена через Вставка⇒Файл
  • 32.
    32 Рис. 16 Варианттитульного листа После того, как набрали последнюю строку Чебоксары 2005 (не переходя на новую строку или страницу!) надо будет ввести переход на новую страницу через Вставка ⇒ Разрыв ⇒ Начать новую страницу. Этим пользуйтесь всегда, когда следующий текст должен начинаться с новой страницы, например, начало нового параграфа или главы.
  • 33.
    На второй страницеобычно располагается оглавление или содержание документа. Оглавление мы составим автоматизированное, когда будут введены названия заголовков и подзаголовков, а сейчас, на первом этапе мы подготовим только шаблон (макет) нашего документа, куда будем добавлять текст и данные по мере наработки. А пока напишем Содержание, 1-2 раза Enter и опять переход на новую страницу через вставку разрыва. Копии экрана демонстрируют этапы подготовки шаблона (точнее, заготовки) отчета. Шаблон – это немножко другое. 4.2. Оформление заголовков и оглавления На новой странице наберем название главы (строки с таблицы на титульном листе – Блокнот и т.д.) и применим к нему стиль Заголовок 1, 1-2 раза Enter (а можно задать и величину интервала До и После через меню Абзац⇒Отступы и интервалы примерно на 6 и 12 пт) и опять переход на новую страницу через вставку разрыва. Для подразделов 33
  • 34.
    34 глав применим стильЗаголовок 2. Таким же образом вставим заголовки всех глав и разделов. Вернемся на вторую страницу и пронумеруем страницы, вставим оглавление. Вставка ⇒ Номера страниц ⇒ и в окне из списков выберем нужные (образец прилагается). Обычно номер на первой странице не ставится, поэтому галочку отключим, дополнительно через Формат можно задавать начало нумерации. В первый раз просто продолжить. Теперь будут проставлены номера страниц везде в нижнем колонтитуле, кроме первой. Если получилось немного не то, оглавление нужно просто выделить щелчком или Вид ⇒ Колонтитулы и удалить через Del. Будут удалены номера на всех страницах. Потом просто повторить еще раз. Для вставки автооглавления курсор установим на 2 или 3 строке второй страницы и Вставка ⇒ Оглавления и указатели ⇒ вкладка Оглавления. Обычно трехуровневого оглавления (по умолчанию) хватает, устроит и стандартный шаблон (любознательные могут попробовать и другие параметры, форматы и заполнители). Более подробно описывается ниже, в разделе создания стилей. Из юмора программистов На чемпионате мира по женской логике с большим отрывом победил генератор случайных чисел. Идет папа с сыном по зоопарку. Вдруг сынок кричит: - «Папа, смотри - программисты!!!»- и показывает на клетку с гориллами. Папа: :-??? Сынок: "Волосатые, небритые и мозоль на заднице". Ложась спать, программист ставит рядом на столик 2 стакана. Один с водой - если захочет пить, второй пустой - если не захочет. Тонет программист: F1! F1! F1! Для удаления или вставки номера через колонтитул
  • 35.
    В результате будетвставлено оглавление. Если в нем отражаются ненужные заголовки, то надо вернуться к соответствующему тексту и изменить стиль на обычный или основной. Подобное автоматическое определение стиля происходит, когда размеры и шрифт текста случайно совпадают со свойствами стилей заголовков. Потом вернуться к оглавлению и через контекстное меню Обновить поле Целиком. Ниже приведен примерный вид оглавления при режиме просмотра «непечатных выражений». Проанализируйте текст данного учебного пособия: он набран в Word 2000, использованы разные стили, обычные и концевые сноски, сочетания разных шрифтов и оформлений, нумерованные списки и маркеры, нумерация различается для четных и нечетных страниц, используются зеркальные поля и печать «2 страницы на листе», вставлены копии экрана при помощи программы Snagit32. Копии экрана можно вставлять при помощи клавиши Print Screen: нажать на нее, экран будет скопирован в буфер обмена, а потом в нужном месте вставить из буфера. Рисунок можно редактировать при помощи стандартной программы Paint: вставить из буфера обмена в Paint, там вырезать ненужное, сделать надписи, подкрасить, а потом к иоп ровать и в Worde вставить. Все, что изложено в данной брошюре, не есть «истина в последней инстанции». Всегда можно найти варианты проще и эффективнее. Но, как ворят шахматисты, лучше иметь плохой план игры, ем игратьго « ч без плана». Замечания и предложения обязательно учтем в последующих версиях. Присылайте, будем только рады. В «Полезных советах» уже что-то добавлено «по просьбам трудящихся». 35
  • 36.
    36 Лишние строчки («грязь») Вдальнейшем после добавлений текста и изменений номеров страниц надо будет просто обновлять оглавление. Если размеры оглавления оказываются мелкими, то размер шрифта можно увеличить. Для этого выделить все оглавление щелчком слева перед первой или последней строкой и применить соответствующий размер и гарнитуру. Вставку результатов выполнения учебного практикума можно производить через буфер обмена, меню Вставка⇒Файл, объект, рисунок и т.д. 4.3. Добавление инструментов Обычно стандартная настройка Word предусматривает только две панели инструментов: Стандартная и Форматирование. Дополнительные панели инструментов устанавливаются или выключаются через меню Вид ⇒ Панели инструментов. Если панели инструментов располагаются на одной строке (что не всегда удобно), их можно растащить на разные строки панели инструментов. На рисунке представлен вариант экрана с двумя панелями на одной строке, растаскиваются они просто: схватить мышью панель с левой стороны, когда указатель имеет вид четырех стрелок и переместить под первую панель.
  • 37.
    Некоторые панели инструментовимеют стандартное местоположение, например, рисование. Другие кнопки панели можно отображать или удалять через список в конце панели. Часто бывает удобно пользоваться дополнительными кнопками, которые не отражаются в фиксированных панелях. Можно создать и собственную панель инструментов. Все это создается через Сервис ⇒ Настройка. В качестве примера представлены две панели инструментов с дополнительными кнопками, которыми часто пользуется автор. Кнопки увеличить и уменьшить размер на 1 пт удобны тем, что позволяют изменять размеры шрифтов на весь выделенный разноразмерный текст, соседняя кнопка масштабирования символов позволяет создавать любопытные эффекты оформления текста. Разработан и собственный стиль для методической литературы – Методичка. Попробуем и мы: Сервис⇒Настройка⇒ Категории_формат, выбрать нужный инструмент и мышью перетащить в нужное место на панели инструментов. Попробуйте самостоятельно добавить несколько кнопок. Удаляются кнопки также мышью: схватить на панели и оттащить в сторону (при этом панель Настройка должна быть открытой!). Когда набираете или корректируете любой текст, то время от времени сохраняйте на диске. Но лучше заранее установите через Сервис⇒ Параметры автосохранение и место сохранения документов через вкладку Расположение. По умолчанию они обычно сохраняются в Моих документах. Установите некоторые Параметры (Вид, Общие, Правописание и другие) самостоятельно по мере необходимости. Мы еще пропустили понятие Шаблона. Обращайтесь к справке, но шаблон Normal лучше не меняйте (потом можете не разобраться), в учзаведених никогда!, при необходимости создавайте собственный шаблон, маленький пример приведен в Полезных советах. Не ленитесь самостоятельно исследовать окна, если что-то не сразу получается – Вы всегда можете отменить последние действия. Не стесняйтесь обращаться за помощью к справочной системе, особенно к контекстной справке через Shift + F1 или к Помощнику. Новые кнопки 37
  • 38.
    38 4.4. Создание стилей,сносок, ссылок Попробуем создать собственный стиль для заголовка второго уровня: Формат⇒Стиль⇒ ⇒ Создать ⇒ ⇒ присвоим имя стилю Заголовок 2_1 ⇒ Формат ⇒ через Шрифт, Абзац, Нумерация изменим некоторые настройки, галочку в добавить в шаблон ⇒ ОК ⇒ Применить. Можно поставить галочку и на Обновлять автоматически, тогда при каждом изменении формата любого текста, основанного на данном стиле, стиль будет автоматически меняться, причем для всех элементов документа, использующих данный стиль.
  • 39.
    В результате будетсоздан стиль с нижеприведенными характеристиками: Новые стили можно создавать и изменять также через Организатор. Ниже приведен стиль абзаца Важно с обрамлением и указательным пальцем из вставка⇒символ. К данному абзацу применен этот стиль: выделить абзац и применить стиль. А еще проще назначить комбинацию клавиш. 39
  • 40.
    40 Наиболее простой способсоздания собственных стилей – переназначить уже готовому отформатированному абзацу новый стиль через Формат⇒Стиль⇒Создать⇒ОК⇒применить. Если назначите комбинацию клавиш – будет еще лучше, только используемые комбинации не трогайте, могут пригодиться. Вот теперь собственный стиль можно применить и для создания автоматизированного оглавления.
  • 41.
    Отработайте самостоятельно. Сноской называютуточняющий текст, который обычно ставится внизу на текущей странице (обычная сноска)13 или в конце документа (концевая сноска). Для сносок также можно задавать свой Стиль. Списки иллюстраций ставятся так же, как и оглавления и указатели. Ниже приведен список пронумерованных рисунков данного пособия. Нумерация данных рисунков также вставлялась автоматически через Вставка⇒Название. Можно вставлять автонумерацию таблиц, формул и других объектов. Рис.1 ..........................................................................................................................................................5 Рис. 2 .........................................................................................................................................................6 Рис. 3 .........................................................................................................................................................8 Рис. 4 .........................................................................................................................................................9 Рис. 5 .......................................................................................................................................................12 Рис. 6 .......................................................................................................................................................13 Рис. 7 .......................................................................................................................................................14 Рис. 8 .......................................................................................................................................................15 Рис. 9 .......................................................................................................................................................16 Рис. 10 .....................................................................................................................................................20 Рис. 11 .....................................................................................................................................................23 Рис. 12 .....................................................................................................................................................24 Рис. 13 .....................................................................................................................................................25 Рис. 14 .....................................................................................................................................................25 Рис. 16 Вариант титульного листа ...................................................................................................32 Рис. 17 .....................................................................................................................................................41 Рис. 18 Схема документа включена .....................................................................................................48 Рис. 17 ☺ Рис. 17 после обновления сама себя презентует на стр. 41… 41 13 Специальный пример обычной сноски. Нумерация автоматическая
  • 42.
    42 4.5. Слияние Используя инструментСлияние из меню Сервис, можно автоматизировать процесс составления серийных писем для массовой рассылки. Например, рекламная рассылка, когда общий текст письма остается постоянным, а меняются только адреса и фамилии; письма- напоминания, разные повестки и т.д. Рассмотрим этапы создания подобных писем с «чистого листа», когда еще нет неизменного основного текста и переменной части14 . Сервис ⇒ Слияние ⇒ Основной документ ⇒ Создать ⇒ Документы на бланке ⇒ Активное окно. Дальше перейдем к созданию Источника данных (переменная часть документа). В стандартном источнике данных удалим все поля, кроме 2: Фамилия и Имя, добавим 2 новых поля: Отчество и Дата. После заполнения и ОК сохраните файл по своему адресу на диске. Теперь надо заполнить источник конкретными данными. Раскроется стандартная форма с нашими четырьмя полями, которую мы и заполним ФИО и датами рождения поэтов. 14 Для Word XP, 2003 откроется окно из 6 этапов, порядок и смысл такой же, продолжайте по тексту
  • 43.
    Фамилия Имя ОтчествоДата Пушкин Александр Сергеевич 06 июня 1799 Лермонтов Михаил Юрьевич 15 октября 1814 Тютчев Федор Иванович 23 ноября 1803 Блок Александр Александрович 28 ноября 1880 Ахматова Анна Андреевна 23 июня 1889 Заболоцкий Николай Алексеевич 07 мая 1903 Окуджава Булат Шалвович 09 мая 1924 Источник данных есть простая таблица, где первая строка – имена полей, а последующие - сами данные. Поэтому в качестве источника данных можно использовать любую заранее подготовленную таблицу. Вернемся к Правке основного документа через диалоговое окно Слияние (панель инструментов Слияние уже добавлена автоматически!) и составим бланк основного документа согласно рисунку ниже. Поля слияния добавлены, а текущая дата заполнения документа(самая нижняя строка) через меню Вставка⇒Дата и время. (Здесь продемонстрирована просто дополнительная возможность WORD, к мастеру слияния специального отношения не имеет). После создания основного документа завершающий 3 этап- Объединение. В результате будет создан третий, итоговой документ Word на 7 страницах, который можно сохранить, напечатать. 43
  • 44.
    44 Бланк основного документа Есливсе получилось, то попробуем немного улучшить стиль составления подобных писем, используя дополнительные возможности Слияния через инструмент Добавить поля Word. Из нашего поэтического списка только одна фамилия женская, поэтому обращение Уважаемый(ая) можно упростить при помощи поля IF …THEN…ELSE….(О-очень знакомый оператор ветвления Если…). В бланке основного документа оставим несклоняемую основу Уважаем, а окончание будем варьировать (изменять) в зависимости от фамилии. Особых пояснений не требуется.
  • 45.
    Проверим результат, неприбегая к объединению. На панели инструментов Слияние нажмем на кнопку Поля/данные (указана курсором) и пролистаем наши записи. Самостоятельная работа №1. Создайте при помощи слияния пригласительные билеты на какое-нибудь торжество. В источнике данных добавьте поле Пол для автоматизации склонения Дорогой(ая). Самостоятельная работа №2. Попробуйте создание других документов типа наклейки и конверты (высвечивались в диалоговом окне Основной документ⇒Создать или в меню Сервис⇒Конверты и наклейки… Из законов Мерфи Закон Букера. Даже маленькая практика стоит большой теории Принцип ИБМ. Машина должна работать, человек – думать Второй закон Вышковского. Все можно наладить, если вертеть в руках достаточно долго Аксиома Кана. Если ничто другое не помогает, прочтите, наконец, инструкцию Правило для лаборантов. Когда не знаешь, что именно ты делаешь, делай это особенно тщательно Первый закон работы в лаборатории. Горячая колба выглядит точно так же, как и холодная 45
  • 46.
    46 4.6. Полезные советы Необходимостьдобавления нового раздела возникла уже после выхода первого издания брошюры, когда к автору стали обращаться знакомые и незнакомые люди с просьбами помочь разрешить ту или иную ситуацию при работе с большими документами Word. Разная ориентация для разных страниц одного документа Часто возникает необходимость переориентации одной или нескольких страниц одного и того же документа из книжной в журнальную, например, для размещения широкой таблицы или схемы. При использовании набора команд Файл⇒Параметры страницы⇒Размер бумаги⇒Применить высвечивается только список из Применить до конца документа или Ко всему документу, а Для страницы не видно. Дело в том, что Параметры страницы действует только на выделенный тест или текущий раздел. Поэтому предварительно надо будет создать (вставка⇒разрыв) новый раздел, а потом уже применить к текущему разделу. А еще проще выделить текст страницы и применить К выделенному тексту. Разрывы страниц и разделы будут созданы автоматически до и после выделенного текста. Параметры страницы можно устанавливать разные для разных разделов, вплоть до источника подачи или размера бумаги, т.е. один и тот же документ (файл) можно распечатать разными свойствами для каждой страницы Шаблоны листов для курсовых работ или «Век живи – век учись» В некоторых техникумах города курсовые работы оформляют примерно по одинаковому шаблону: лист обрамлен рамкой, а внизу листа ставится примерно следующая таблица: Вот образец листа Чебоксарского филиала Штанашского техникума. Редактировать такой документ для печати – сплошное мучение. Границы вылезают за пределы полей, выравнивания сделаны через пробелы, при вставке или удалении строк рамки смещаются или переходят на другой лист… Попытался исправить – и вот что увидел после разгруппировки полей:
  • 47.
    каждый элемент вставленпри помощи рисования и надписи. Что-то исправлять или систематизировать на всех 40 страницах было бессмысленно, распечатал, как было. Но когда второй племянник уже с другого техникума принес более «топорный» вариант шаблона – решил сам разработать подобный шаблон. Часа через два «свободного полета» родилось нечто потребное. Распишу свои шаги: 1. Файл⇒Создать⇒Новый документ⇒шаблон. Дальше решил задать параметры страницы и границы, получилось сразу и легко: Файл⇒Параметры страницы⇒поля уменьшил для экономии листов⇒Макет⇒Границы⇒Страница⇒Рамка. 2. Надпись нижнюю сделал через таблицу, кое-как «прижал» ее к нижнему краю листа (Свойства таблицы⇒Таблица ⇒ Обтекание вокруг ⇒ Размещение⇒Положение по вертикали снизу⇒Относительно поля), сохранил шаблон как Курсовая. Но при попытке создать документ на основе шаблона Курсовая мне пришлось на каждую новую страницу копировать таблицу (хорошо, хоть границы были на месте). Через полчаса проб пришла мысль: находящуюся в буфере обмена таблицу вставить в Нижний колонтитул. И получилось! Отрегулировать положение нижнего колонтитула относительно нижнего поля страницы – это и Петруша умеет... Мораль проста: учиться никогда не поздно и не стыдно. Стыдно не знать и не желать узнать новое. Движение по страницам документа Осуществляется просто, если пользоваться Схемой документа из меню Вид (Рис. 18). В схеме документа отражаются строки, которые имеют стиль Заголовок 1-9. Щелкайте по заголовкам и двигайтесь. Тащите бегунок вертикальной прокрутки, а увидите нужный текст – щелкните туда мышкой. А вообще-то во всех случаях просто вызывайте справку и пользуйтесь тем, что больше нравится из предложенного. 47
  • 48.
    48 Рис. 18 Схемадокумента включена В многостраничных документах можно пользоваться и кнопкой и выбрать Перейти. Можно двойным щелчком по строке состояния Кнопка Выбор объекта находится внизу вертикальной полосы прокрутки.
  • 49.
    Сочетания клавиш длячувашского языка Достаточно часто возникает необходимость вставки одних и тех же символов, например, стрелочки ⇒, которая используется в данной книге для обозначения перехода к следующему окну или действию. Ясно, что каждый раз пользоваться командой Вставка⇒Символ очень нерационально. Поэтому проще назначить удобное сочетание клавиш для вставки указанного символа. Посмотрим это на примере назначения клавиши заглавной букве Ă чувашского алфавита. Вставка⇒Символ⇒Клавиша⇒ ⇒ подобрать сочетание клавиш без текущего назначения, близкое по смыслу к вставляемому символу (в данном случае Ctrl+A) ⇒нажать на это сочетание клавиш⇒Назначить и Закрыть. По умолчанию сочетания клавиш сохраняются в общем шаблоне Normal. Так можно переназначить клавиши для всего чувашского языка и сохранить в специальном шаблоне. Строчной букве ă можно назначить комбинацию Alt+A. Регистры и язык в данном случае не имеют никакого значения Правда, есть возможность воспользоваться и стандартными сочетаниями клавиш Word (смотри рисунок ниже), но они оказались не совсем удобными, и я создал свой шаблон. 49
  • 50.
    50 адо набирать курсовуюработу или чувашский Техникум курсовая Файл ⇒ Создать ⇒ Новый документ ⇒ шаблон, назначил все сочетания клавиш и сохранил как шаблон с именем Чувашский и расширением .dot. И теперь, когда н текст, я обращаюсь: Файл⇒Создать⇒ Чувашский или ⇒ документ, далее по тексту. А если курсовая работа уже набрана в другом месте обычным шаблоном, то п той документ на основе шаблона Техникум курсоваяоступаю проще: в пус в екст через буфер.ставляю имеющийся т Замена шрифтов Часто при переносе текста с одного компьютера на с одной версии Word на другую возникает необходимость замены шрифтов (нет на данном компьютере, кириллица не поддерживается или слишком изощренный). Если надо изменить шрифт всего текста на новый шрифт, то проблем нет: выделить все и применить нужный. А если только часть текста в разных м ста документа? казывает я, в новых версиях от Word 2000 и выше есть прекрасная возможность автоматической амены не только другой, е х О с з шрифтов, но и многого другого через меню Правка⇒Найти и
  • 51.
    51 ного пособия . заменить⇒Больше⇒Формат илиСпециальный. Вот фрагмент замены шрифта а_Futurica на Book Antigua, произведенная мной для дан . Встать курсором на строку Найти⇒Формат⇒Шрифт и т.д Между прочим, все полезные советы были добавлены автором только благодаря обращению к Справочной системе (с Заглавной буквы) – я тоже знаю равно столько, сколько знаю. Поэтому еще раз напоминаю о важности умения своевременно пользоваться справкой через F1 или Shift + F1 для отдельных кнопок в окнах, не забывая о Помощнике. Форматирование отсканированного текста Однажды меня попросили помочь форматировать текст какой-то дипломной работы, состоящий из вставленных через сканер кусочков. Не диплом, а винегрет какой-то: с разных источников и разного формата, текст часто вылезает за пределы полей. Простой способ через параметры страницы и выделить все⇒Формат не дали результата, некоторые абзацы остались со своим форматированием. Но тут я вспомнил про специальную встав . м Файл⇒со у е ку (использовал в Excel) и все получилось Правка⇒Выделить все⇒Копировать. Пото здать⇒ Документ⇒Правка⇒Специальная вставка⇒ и выбрать Неформатированный текст или Юникод (с Rtf в моем сл ча не получилось). Дальше текст форматированию уже поддается. А в общем случае отсканированный текст до редактировать при включенном режиме вывода непечатаемых знаков на . Тогда видны все разрывы между разделами, которые расставила сканирующая программа автоматически, по своему разумению. Вам прост нужно будет удалить лишние отступы разрывы,о и
  • 52.
    52 и х я, на дюйм, отрегулируйте яркость и контр привести к одному формату. Другой совет: отключите во время сканирования и сохранения отсканированного текста ненужные опции, оставьте вариант сканирования со ранени только текста увеличьте разрешение до 300 пикселей астность сканирования и т.д. Иногда приходится форматировать ДОСовский текст с расширением *.тхт, где переход на новую строку осуществлялся нажатием на Enter (стоит знак абзаца ). Оказывается, и этот процесс можно автоматизировать при помощи Правка⇒Заменить⇒ Специальный⇒выбрать Знак абзаца и Любая буква, Заменить на Мягкий перенос . Так мне удалось отсечь от замены начал действительно нового абзаца, где следовала комбинация символов в конце строки о и 4-ех пробелов в начале новой строки, символизирующие в доWordовску эпоху н чало новог абзаца. А теперь вопрос на засыпку: как избавиться от оставшихся четырех пробелов, символизирующих абзац ю а о ный отступ, причем сам абзац вовать? Решившим – пряник от Петра. и быть разные. Приведу визит ш ен кта выделить всю ный отступ должен присутст Визитки прочая мелочь Текстовый процессор Word можно использовать и для создания простых графических объектов: визиток, поздравительных открыток и т.д. Дизайн и инструменты могут вариант создания ки при помощи надписей. Выбрать через Надпись внешние границы визитки, внутри рамки опять маленькие надписи, изменить рифты, через Контекстное м ю границ надписей установить Формат надписи⇒Цвета и линии⇒Линии⇒Нет, при желании можно установить Заливку и другие эффекты. Когда образец будет готов, через выбор объе визитку⇒Группировать⇒отжать кнопку Выбор объекта. После группировки и снятия выделения получается готовая визитка, которую можно копировать и вставлять, например, в таблицы. Преимуществом оформления визиток через элементы Надписи является то,
  • 53.
    53 что и я а ц изних отдел мка листа оформлена д л и случа х можно менять независимо друг от друга. Вот так из Леннона получилс Петруш Максимов. Поздравительная открытка на елый лист формата А4 была оформлена так: Анюта – WordArd, цифровые фото вставлены и уменьшены в размерах, под каждым ьные пожелания разными шрифтами через таблицу (границы выключены), ра через Формат ⇒ Границы и заливка⇒Страница ⇒ Рисунок с сердечком. Интервалы между строк обычно задаются через Формат⇒Абзац, но иног а возникает необходимость быстрой, одноразовой установки интер а а между строк, например, заголовкав остального текста. В таких ях поступаю проще: между двумя строками оставляю пустую строку для интервала и, меняя ширину (размер) пустой строки, задаю величину отступа. Очень помогает выведенные на панель форматирования кнопки Увеличить (уменьшить) размер на 1 пт (см. 4.3. Добавление инструментов). В последнее время с ртную программу Блокнот вытесняет другие, более продвинутые р оры неформатированных текстов: Wr танда едакт ite, Bred2.1.8 и др.. Вот что пишут в файле Readme у Bred2.1.8 : «Блокнот обязан умереть. Вы больше не увидите лажу, открывая текст DOS, Вам не придется пользоваться мерзким WordPad'ом...Набор фич (версия 2.1.8): 1. Работа с OEM (MsDos, 866) текстами, непосредственно или с перекодировкой. Поддержка KOI8 без перекодировки - при наличии установленных шрифтов KOI8 - специально для HTML-дизайна. 2. Лимит текста - не менее 1Mб (у Блокнота - < 64К). 3. Конвертирование текстов (OEM<>ANSI), а еще KOI-8R, Translit, Quoted printable ("=53=65=78"), RTF, 866-Fido (замена русских букв Н, р на латинские), ISO-8859-5, MACINTOSH, Line Break. Перекодировка выделенного фрагмента текста. И т.д.» Литература оисеева, Ю.Шафрин. Практикум по ологии. - Москва, ABF, 1997 2. 1. О.Ефимова, М.М компьютерной техн
  • 54.
    54 Приложение 1. Тренажеры Терпеньеи труд все перетрут Есть старая чувашская пословица, которая очень ёмко и образно подчеркивает трудолюбие чувашского народа: «Ахаль ларичен кěрěк арки йăвала». В буквальном переводе означает: «Чем сидеть без дела, тереби подол кафтана», т.е. хотя бы кафтан станет мягче, и то польза… Перефразируя мудрую пословицу, можно сказать, что: «Чем играть в глупые игры и портить зрение, лучше на клавиатурном тренажере потренироваться». Поэтому не ленитесь в свободное время поупражняться с клавиатурным тренажером. Из личного опыта могу сказать, что я сам хотя и не освоил (надеюсь, ещё не освоил!) слепой десятипальцевый метод работы, но уже намного(в 2-3 раза) увеличил скорость набора текста просто потому, что при наборе любого текста стараюсь придерживаться этих правил. А на тренажерах работал очень мало. Вот так должны лежать пальцы (рисунки из Baby Type).
  • 55.
    Пробел нажимается большимпальцем руки, не делавшей предыдущего нажатия. Пальцы находятся в базовой позиции ФЫВА и ОЛДЖ, указательные на А и О, большие пальцы полусогнуты над пробелом. Здесь и ниже на рисунках из разных тренажеров продемонстрированы зоны действия пальцев рук. Старайтесь придерживаться этих правил, пусть в начале и не совсем будет получаться. Опыт – дело наживное… Ниже приведен текст из упражнения 1 тренажера «Соло на клавиатуре». Принципиальной разницы, с каким тренажером работать, нет. Некоторые из них ориентированы на детей, некоторые более академичные, есть и с «наворотами». Какой тренажер доступен, тот и используйте. Просто у меня под рукой оказались вот эти тренажерные программы, и часть советов мне приглянулась, чем и спешу поделиться. А учить других всегда легче, чем самому что-то делать (шутка). Требуется гораздо больше ума, чтобы передать свои идеи, чем ч бто ы их иметь. К. Гельвеций Большая часть того, что мы знаем, представляет собой лишь н ьичтожную долю того, что мы не знаем. М. Монтен Я знаю только то, что ничего не знаю. Сократ Обучение завершается тогда, когда вы знаете, что еще не знаете. Но знаете, где и как узнать об этом. Н. Максимов 55
  • 56.
    56 А простая клавиатурабез «выкрутасов» оказалась гораздо удобней для учебы и работы, чем мультимедийная с отвлекающими и зачастую бесполезными клавишами
  • 57.
    57 Упражнение № 115 Внимательнорассмотрите клавиши своей клавиатуры. На ней три буквенных ряда, один ряд с цифрами и знаками препинания и самый верхний со вспомогательными клавишами. Все начинающие легко запоминают клавишу "F1" - ПОМОЩЬ (Help!). Второй ряд буквенной части клавиатуры (он же средний — второй сверху, второй снизу) называют основным — состоит из 11 букв. Всего лишь одиннадцати! А главные из этих одиннадцати — восемь. Ваша задача (не правда ли, выполнить ее легко?) — поставить пальцы левой руки на четыре крайние буквы основного ряда: ф — мизинец, ы — безымянный, в — средний, а — указательный. ФЫВА, если читать слева направо, АВЫФ, если читать справа налево. Запомните это замечательное слово. Выполнение упражнения, видимо, займет у Вас 2—3 секунды. Пальцы правой руки поставьте так: о — указательный, л — средний, д — безымянный, ж — мизинец. ОЛДЖ. На это уйдет еще 2—3 секунды. Как все просто! 15 Особая благодарность авторам «Соло на клавиатуре» Алексею Русских и Владимиру Шахиджаняну. Текст вставлен без ведома оных. Надеюсь, что ради святого дела обучения малограмотных в компьютерном деле товарищей они меня простят…
  • 58.
    58 С левой стороныу Вас получилось слово ФЫВА, а с правой — ОЛДЖ. Теперь попробуйте снять руки с клавиатуру и, не глядя на клавиатуру, поставить пальцы на исходную позицию. Думаю, что Ваши пальцы встанут на другие буквы. 50 процентов успеха зависит именно от правильной постановки рук, от того, насколько точно, быстро Вы научитесь ставить пальцы на исходную позицию, от умения, не глядя на клавиатуру, находить основную позицию, чувствовать ее, ощущать. Я думаю, нет ничего проще, чем обмануть себя и подсматривать, где находятся клавиши, а после этого ставить на них пальцы рук. Постарайтесь так не поступать (самое простое — жить по принципу самообмана). Вам необходимо научиться вслепую ставить пальцы Ваших рук на исходную позицию. Скучно, нудно выполнять это упражнение, но если Вы сумеете перебороть себя и выполните его, то все остальные упражнения пойдут у Вас легче. Какое легкое слово — ФЫВА! Представьте себе, что так называют даму (это ее имя), приятную, правда, не во всех отношениях. И представьте себе, что в нее влюбился ОЛДЖ. ОЛДЖ запомнить еще легче. Попробуйте воспринимать слово в виде аббревиатуры: ОЛДЖ — Очень Легко Достичь Желаемого. Легко теоретически, а практически научиться ставить пальцы правильно с первой попытки, к сожалению, невозможно. Сколько у Вас уйдет на это времени, предсказать сложно. Но нужно во что бы то ни стало выполнить упражнение на "отлично". Сделать это требуется десять раз подряд — десять раз подряд без единой ошибки ставить пальцы на ОЛДЖ и ФЫВА. Пока будете запоминать клавиатуру, рассматривайте ее, репетируйте, но затем десять раз подряд необходимо поставить руки на основную позицию, не подглядывая.
  • 59.
    59 Большие пальцы рукдолжны находиться над пробельной клавишей. Впрочем, это у Вас , скорее всего, получится автоматически. Важно правильно держать руки над пишущей машинкой. Это легко показывается, но трудно объясняется. Тем не менее, попытайтесь скрупулезно следовать рекомендациям. Приподнимите чуть-чуть кисть левой руки так, чтобы Ваши пальцы как бы (именно как бы, почти) дотрагивались до клавиш ФЫВА. Вы должны ощущать в ладони состояние, будто держите яблоко среднего размера или теннисный мяч. Не поленитесь, скатайте из бумаги шар размером с яблоко и подержите его в левой руке, как бы на весу: держите легко-легко, так, что вот-вот — и Ваш шарик может выпасть из ладони. Даже пусть он выпадет, но Вы успеваете его поймать, задержать падение. То же самое проделайте правой рукой, которая всегда должна находиться над буквами ОЛДЖ. Зафиксируйте испытанное ощущение в своих ладонях, зафиксируйте положение ладоней — именно такими они должны быть над основной позицией: своеобразным полушатром, легкими, расслабленными, каждый палец — своеобразная рейка, опора полушатра, и эта рейка должна касаться буквы: рейки левой руки — Ф-Ы-В-А, правой — О-Л-Д-Ж. Запомните, что кисти рук при взаимодействии с клавиатурой должны быть свободными, легкими, расслабленными. Руки в локтях согнуты примерно под углом 90 градусов и, повторяю, находятся над клавиатурой как бы параллельно поверхности стола. Удары по клавишам (не нажимы, а удары! — этому необходимо научиться, к этому необходимо себя приучить) должны выходить легкими и отрывистыми. Вам знакомо выражение "забарабанил дождь"? Представьте себе, как падают капли... Вот таким же — каплеобразным — и должен быть удар ваших пальцев по клавишам. После удара по клавише палец необходимо тут же отрывать от самой клавиши. Итак, необходимо научиться с первой попытки, не подглядывая, ставить пальцы правой и левой рук на основную позицию. Необходимо научиться прикасаться к клавишам клавиатуры и тут же отрывать их от клавиш). Повторяю, легкое и нежное прикосновение. С любовью,
  • 60.
    60 нежностью, мягкостью, нои быстротой. А иначе вместо одноразового появления буквы она появится два, а то и трииии раза. (Я, набирая текст, чуть-чуть задержал палец на клавише с буквой и, а потому и получилось слово с четырьмя и.) Понимаю: выполнить все рекомендации довольно сложно. Но, поверьте, к этому нужно привыкнуть с самого начала и выполнять необходимо так, как требуется, а не так, как Вам этого захочется. Профессиональных наборщиц обучают, используя схему клавиатуры, которая всегда находится слева от монитора. Почему так поступают? Наборщиц прежде всего учат текст набирать с готового текста. Их взгляд должен привыкать к восприятию текста, который всегда у них находится слева. Мы же ставим задачу научиться писать десятипальцевым слепым методом. Не только перепечатывать (набирать готовый текст), но и писать на компьютере, то есть излагать, используя компьютер и необходимые программы, свои мысли, думать за компьютером. Думать и писать. Поэтому на монитор, чтобы видеть текст, который Вы будете набирать, смотреть разрешается и даже рекомендуется. Контролировать глазами написанное, контролировать текст, который появляется на мониторе, можно и нужно, а смотреть на саму клавиатуру — ни в коем случае! Забыли, где расположена та или иная буква, бросайте взгляд на схему, ставьте палец на клавишу, легкое нажатие (повторяю, легко и нежно, но и одновременно четко), а затем контролируйте (проверяйте) свое прикосновение. Есть два способа обучения слепому методу. Сначала постепенно изучают клавиатуру, приучают пальцы к клавишам. Пишут буквы, слоги, слова, фразы, тексты. Но все делают по ритму набора медленно. Потом печатают контрольные тексты и уже затем переходят к текстам на развитие скорости. Один и тот же текст перепечатывают пять, десять раз и таким образом как бы набирают скорость. Есть второй способ, когда одновременно с изучением клавиатуры повышают и скорость печатания, то есть по мере освоения клавиатуры — а самое главное именно освоить клавиатуру — выполняют упражнения и на время, иначе говоря, с освоением клавиатуры достигают и скоростного набора. Но очень важно — набирать без ошибок. А для этого всегда нужно быть предельно внимательным и все-таки не торопиться.
  • 61.
    61 Упражнение можно считатьзаконченным, если Вы, закрыв глаза, начнете попадать на исходную позицию десять раз подряд с первого раза. Чтобы это упражнение Вас не утомило, попробуйте при его выполнении воспользоваться элементами игры. Вот Вы правильно попали лишь с двадцатой попытки, а потом, может быть, добьетесь попадания с десятой, пятой, второй... И нужно, повторяю, добиться, чтобы десять раз подряд (как минимум!) Вы на "отлично" выполнили это упражнение. Словом, стоит поступать так, как это делал Владимир Артамонов из Ташкента. Он, правда, учился набирать на пишущей машинке. "...В настоящее время машинопись нужна практически всем — от директора до рядового инженера и техника, студента и служащего. Нет ничего зазорного, если за машинку сядет директор завода или управляющий трестом. Будет только престиж таким руководителям (знаю по работе, с каким восторгом отзываются о таких машинистки). Уверен твердо, что пособие по машинописи придется всем без исключения по душе. Заслуга Вашего учебника в том, что Вы излагаете каждое упражнение с такими подходами требовательности и убеждения, что не выполнить его просто невозможно. В каждом упражнении обучающийся машинописи волей-неволей обязан выполнить все советы и указания учителя, иначе дальше дела пойдут плохо. Их надо выполнить так, чтобы добиться высшей оценки — "ОТЛИЧНО", и только затем переходить к следующим упражнениям. Наряду с краткостью изложения всех рекомендаций по теории, технике, практике печатания — все изложено четко, ясно, доступно. А с какой настойчивостью автор доказывает, что каждый может освоить этот метод! Надо только приложить старание и желание, тогда все получится. Ни в одном учебнике, сухом и скучном, этого нет. Как занимался я? Больше всего сил и времени ушло на освоение основного ряда. Клавиши даже снились. Я их не только зрительно представляю: они у меня всегда стоят перед глазами. Даже когда еду на работу в трамвае и держу руку на поручне, пальцы выстукивают определенные буквы. Сознание уже не подсказывает, где какая буква: пальцы автоматически находят нужную букву. Кроме выполнения упражнений печатал слова, которые приходили на ум, например, "дождь", "часы", "принимает", "тысяча", "шнурки" и др. А также отдельные фразы, предложения. Слова "жасмин" и "тайфун" сразу не получались, сбивался, зато теперь освоил. Пробовал также печатать и в полной темноте — полезно. Трудно дается буква "я", много раз при печатании она оказывается чуть ниже остальных. Убедился: чем быстрее и смелее печатаешь, тем меньше получается ошибок".
  • 62.
    62 Приложение 2. Упражнениядля глаз и осанки Использована официальная информация из федеральных законов: Федеральные санитарные правила, нормы и гигиенические нормативы САНИТАРНЫЕ ПРАВИЛА И НОРМЫ ГИГИЕНИЧЕСКИЕ ТРЕБОВАНИЯ К ВИДЕОДИСПЛЕЙНЫМ ТЕРМИНАЛАМ И ПЕРСОНАЛЬНЫМ ЭЛЕКТРОННО-ВЫЧЕСЛИТЕЛЬНЫМ МАШИНАМ И ОРГАНИЗАЦИИ РАБОТЫ С НИМИ СанПин 2.2.2.0..-94 Государственный комитет санитарно-эпидемиологического надзора Российской Федерации Москва 1994 Должностные лица и работники предприятий и организаций и граждане, допустившие санитарное правонарушение, подлежат дисциплинарной, административной и уголовной ответственности в соответствии с законодательством Российской Федерации статья 3, 27- 31 Закона РСФСР «О санитарно-эпидемиологическом благополучии населения" от 19 апреля 1991 года». Дети, злоупотребляющие компьютерными играми, превышающие время работы за компьютером и не выполняющие упражнения для глаз и физкультурные паузы, в течение следующей недели не допускаются к работе за компьютером, а при повторном нарушении правил их домашний компьютер арестовывается, а родители вызываются в школу. 8.1.13. Для профилактики зрительного утомления после каждых 25 минут работы следует выполнять комплекс упражнений для глаз (приложение 17). 8.1.14. Во время регламентированных перерывов, с целью снижения нервно- эмоционального напряжения, устранения влияния гиподинамии и гипокинезии, предотвращения развития познотонического утомления следует выполнять комплексы упражнений (приложения 18,19). - осуществление во время перерывов упражнений физкультурной паузы в течение 3- 4 минут (приложение 19); - проведение упражнений физкультминутки в течение 1-2 минут для снятия локального утомления, которые должны выполняться индивидуально при появлении начальных признаков усталости (приложение 18); - замена комплексов упражнений один раз в 2-3 недели. 8.4. Требования к организации режима учебных и внеучебных занятий с ПЭВМ и ВДТ детей школьного и дошкольного возраста 8.4.1. Для учащихся X-XI классов по основам информатики и вычислительной техники должно быть не более 2 уроков в день, а для остальных классов - 1 урока в день с использованием ВДТ и ПЭВМ.
  • 63.
    63 8.4.2. Непрерывная длительностьзанятий непосредственно с ВДТ или ПЭВМ не должна превышать: - для учащихся X-XI классов на первом часу учебных занятий 25-30 минут, на втором - 20 минут; - для учащихся VIII-IX классов - 20-25 минут; - для учащихся VI-VII классов - 15-20 минут; - для учащихся II-V классов - 15 минут; - для учащихся I классов (6 лет) - 10 минут. 8.4.3. Работа на ВДТ и ПЭВМ должна проводиться в индивидуальном ритме и темпе. 8.4.4. После установленной длительности работы на ВДТ и ПЭВМ (п. 8.4.2.) должен проводиться комплекс упражнений для глаз (приложение 17), а после каждого урока на переменах - физические упражнения для профилактики общего утомления (приложения 19 и 20). 8.4.5. Длительность перемен между уроками должна быть не менее 10 минут (до 20 минут), во время которых следует проводить сквозное проветривание с обязательным выходом учащихся из класса (кабинета). 8.4.6. При односменных занятиях в школе и возможности организации обеда для 100% учащихся следует устраивать перемену длительностью 50-60 минут для принятия пищи и отдыха. При этом сдвоенные уроки с использованием ПЭВМ или ВДТ не должны прерываться указанной переменой. 8.4.7. Занятия по информатике следует включать в расписание учебного дня на 1 - 4 уроки во вторник, среду и четверг. После занятий по информатике следует проводить уроки физического воспитания, труда, ритмики и музыки. Приложение 17 КОМПЛЕКСЫ УПРАЖНЕНИЙ ДЛЯ ГЛАЗ Упражнения выполняются сидя или стоя, отвернувшись от экрана при ритмичном дыхании, с максимальной амплитудой движения глаз. ВАРИАНТ 1. 1. Закрыть глаза, сильно напрягая глазные мышцы, на счет 1-4, затем раскрыть глаза, расслабив мышцы глаз, посмотреть вдаль на счет 1-6. Повторить 4-5 раз. 2. Посмотреть на переносицу и задержать взор на счет 1-4. До усталости глаза не доводить. Затем открыть глаза, посмотреть вдаль на счет 1-6. Повторить 4-5 раз. 3. Не поворачивая головы, посмотреть направо и зафиксировать взгляд на счет 1-4, затем посмотреть вдаль прямо на счет 1-6. Аналогичным образом проводятся упражнения, но с фиксацией взгляда влево, вверх и вниз. Повторить 3-4 раза. 4. Перенести взгляд быстро по диагонали: направо вверх -налево вниз, потом прямо вдаль на счет 1-6; затем налево вверх -направо вниз и посмотреть вдаль на счет 1-6. Повторить 4-5 раз. ВАРИАНТ 2.
  • 64.
    64 1. Закрыть глаза,не напрягая глазные мышцы, на счет 1-4, широко раскрыть глаза и посмотреть вдаль на счет 1-6. Повторить 4-5 раз 2. Посмотреть на кончик носа на счет 1-4, а потом перевести взгляд вдаль на счет 1-6. Повторить 4-5 раз. 3. Не поворачивая головы (голова прямо), делать медленно круговые движения глазами вверх-вправо-вниз-влево и в обратную сторону: вверх- влево-вниз-вправо. Затем посмотреть вдаль на счет 1-6. Повторить 4-5 раз. 4. При неподвижной голове перевести взор с фиксацией его на счет 1-4 вверх, на счет 1-6 прямо; после чего аналогичным образом вниз-прямо, вправо-прямо, влево-прямо. Проделать движение по диагонали в одну и другую стороны с переводом глаз прямо на счет 1-6. Повторить3-4 раза. ВАРИАНТ 3 1. Голову держать прямо. Поморгать, не напрягая глазные мышцы, на счет 10-15. 2. Не поворачивая головы (голова прямо) с закрытыми глазами, посмотреть направо на счет 1-4, затем налево на счет 1-4 и прямо на счет 1-6. Поднять глаза вверх на счет 1-4, опустить вниз на счет 1-4 и перевести взгляд прямо на счет 1-6. Повторить 4-5 раз. 3. Посмотреть на указательный палец, удаленный от глаз на расстояние 25- 30 см, на счет 1-4, потом перевести взор вдаль на счет 1-6. Повторить 4-5 раз. 4. В среднем темпе проделать 3-4 круговых движения в правую сторону, столько же в левую сторону и, расслабив глазные мышцы, посмотреть вдаль на счет 1-6. Повторить 1-2 раза. Приложение 18 КОМПЛЕКСЫ УПРАЖНЕНИЙ ФИЗКУЛЬТУРНЫХ МИНУТОК ФИЗКУЛЬТМИНУТКА (ФМ) способствует снятию локального утомления. По содержанию ФМ различны и предназначаются для конкретного воздействия на ту или иную группу мышц или систему организма в зависимости от самочувствия и ощущения усталости. ФИЗКУЛЬТМИНУТКА ОБЩЕГО ВОЗДЕЙСТВИЯ может применяться, когда физкультпаузу по каким-либо причинам выполнить нет возможности. ФМ ОБЩЕГО ВОЗДЕЙСТВИЯ 1 1. И.п - о.с. 1-2 - встать на носки, руки вверх-наружу, потянуться вверх за руками. 3-4 - дугами в стороны руки вниз и расслабленно скрестить перед грудью, голову наклонить вперед. Повторить 6-8 раз. Темп быстрый. 2. И.п. - стойка ноги врозь, руки вперед., 1 - поворот туловища направо, мах левой рукой вправо, правой назад за спину. 2 - и.п. 3-4 - то же в другую сторону. Упражнения выполняются размашисто, динамично. Повторить 6-8 раз. Темп быстрый. 3. И.п. 1 - согнуть правую ногу вперед и, обхватив голень руками, притянуть ногу к животу. 2 - приставить ногу, руки вверх-наружу. 3-4 - то же другой ногой. Повторить 6-8 раз. Темп средний.
  • 65.
    65 ФМ ОБЩЕГО ВОЗДЕЙСТВИЯ2 1. И.п. - о.с. 1-2 - дугами внутрь два круга руками в лицевой плоскости. 3-4 - то же, но круги наружу. Повторить 4-6 раз. Темп средний. 2. И.п. - стойка ноги врозь, правую руку вперед, левую на пояс. 1-3 - круг правой рукой вниз в боковой плоскости с поворотом туловища направо. 4 - заканчивая круг, правую руку на пояс, левую - вперед. То же в другую сторону. Повторить 4-6 раз. Темп средний. 3. И.п. - о.с. 1 - с шагом вправо руки в стороны. 2 – два пружинящих наклона вправо. Руки на пояс. 4 - и.п. 1-4 - то же влево. Повторить 4-6 раз в каждую сторону. Темп средний. ФМ ОБЩЕГО ВОЗДЕЙСТВИЯ 3 1. И.п. - стойка ноги врозь. 1-руки назад. 2-3 -руки в стороны и вверх, встать на носки. 4-расслабляя плечевой пояс, руки вниз с небольшим наклоном вперед. Повторить 4-6 раз. Темп медленный. 2. И.п. - стойка ноги врозь, руки согнутые вперед, кисти в кулаках. 1 - с поворотом туловища налево " удар " правой рукой вперед. 2 - и.п. 3-4 - то же в другую сторону. Повторить 6-8 раз. Дыхание не задерживать. ФМ ОБЩЕГО ВОЗДЕЙСТВИЯ 4 1. И.п - руки в стороны. 1-4 - восьмеркообразные движения руками. 5-8 - то же, но в другую сторону. Руки не напрягать. Повторить 4-6 раз. Темп медленный. Дыхание произвольное. 2. И.п. - стойка ноги врозь, руки на поясе. 1-3 - три пружинящих движения тазом вправо, сохраняя и.п. плечевого пояса. 4 - и.п. Повторить 4-6 раз в каждую сторону. Темп средний. Дыхание не задерживать. 3. И.п.- о.с. 1 - руки в стороны, туловище и голову повернуть налево. 2 - руки вверх. 3 - руки за голову. 4 - и.п. Повторить 4-6 раз в каждую сторону. Темп медленный. ФИЗКУЛЬТМИНУТКА ДЛЯ УЛУЧШЕНИЯ МОЗГОВОГО КРОВООБРАЩЕНИЯ Наклоны и повороты головы оказывают механическое воздействие на стенки шейных кровеносных сосудов, повышают их эластичность; раздражение вестибулярного аппарата вызывают расширение кровеносных сосудов головного мозга. Дыхательные упражнения, особенно дыхание через нос, изменяют их кровенаполнение. Все это усиливает мозговое кровообращение, повышает его интенсивность и облегчает умственную деятельность. ФМ ДЛЯ УЛУЧШЕНИЯ МОЗГОВОГО КРОВООБРАЩЕНИЯ 1 1. И.п. - о.с. 1 - руки за голову; локти развести пошире, голову наклонить назад . 2 - локти вперед. 3-4 - руки расслабленно вниз, голову наклонить вперед. Повторить 4-6 раз. Темп медленный.
  • 66.
    66 2. И.п. -стойка ноги врозь, кисти в кулаках. 1-мах левой рукой назад, правой вверх - назад. 2 - встречными махами переменить положение рук. Махи заканчивать рывками руками назад. Повторить 6-8 раз. Темп средний. 3. И.п. - сидя на стуле. 1-2 отвести голову назад и плавно наклонить назад. 3-4 - голову наклонить вперед, плечи не поднимать. Повторить 4-6 раз. Темп медленный. ФМ ДЛЯ УЛУЧШЕНИЯ МОЗГОВОГО КРОВООБРАЩЕНИЯ 2 1. И.п. - стоя или сидя, руки на поясе. 1-2 - круг правой рукой назад с поворотом туловища и головы направо. 3-4 - то же левой рукой. Повторить 4-6 раз. Темп медленный. 2. И.п. - стоя или сидя, руки в стороны, ладони вперед, пальцы разведены. 1 - обхватив себя за плечи руками возможно крепче и дальше. 2 - и.п.. То же налево. Повторить 4-6 раз. Темп быстрый. 3. И.п. - сидя на стуле, руки на пояс. 1 - повернуть голову направо. 2 - и.п. То же налево. Повторить 6-8 раз. Темп медленный. ФМ ДЛЯ УЛУЧШЕНИЯ МОЗГОВОГО КРОВООБРАЩЕНИЯ 3 1. И.п. - стоя или сидя, руки на поясе. 1 - махом левую руку занести через правое плечо, голову повернуть налево. 2 - и.п. 3-4 - то же правой рукой. Повторить 4-6 раз. Темп медленный. 2. И.п. - о.с. Хлопок в ладоши за спиной, руки поднять назад возможно выше. 2 -движение рук через стороны хлопок в ладоши вперед на уровне головы. Повторить 4-6 раз. Темп быстрый. 3. И.п. - сидя на стуле. 1 - голову наклонить вправо. 2 - и.п. 3 - голову наклонить влево. 4 - и.п. Повторить 4-6 раз. Темп средний. ФМ ДЛЯ УЛУЧШЕНИЯ МОЗГОВОГО КРОВООБРАЩЕНИЯ 4 1. И.п. - стоя или сидя. 1 - руки к плечам, кисти в кулаки, голову наклонить назад. 2 - повернуть руки локтями кверху, голову наклонить вперед. Повторить 4-6 раз. Темп средний. 2. И.п. - стоя или сидя, руки в стороны. 1-3 - три рывка согнутыми руками внутрь: правой перед телом, левой за телом. 4 - и.п. 5-8 - то же в другую сторону. Повторить 4-6 раз. Темп быстрый. 3. И.п. - сидя. 1 - голову наклонить вправо. 2 - и.п. 3 - голову наклонить влево. 4 - и.п. 5 - голову повернуть направо. 6 - и.п. 7 - голову повернуть налево. 8 - и.п. Повторить 4-6 раз. Темп медленный. ФИЗКУЛЬТМИНУТКА ДЛЯ СНЯТИЯ УТОМЛЕНИЯ С ПЛЕЧЕВОГО ПОЯСА И РУК: Динамические упражнения с чередованием напряжения и расслабления отдельных мышечных групп плечевого пояса и рук улучшают кровоснабжение, снижают напряжение. ФМ ДЛЯ СНЯТИЯ УТОМЛЕНИЯ С ПЛЕЧЕВОГО ПОЯСА И РУК 1 1. И.п. - о.с. 1 - поднять плечи. 2 - опустить плечи. Повторить 6-8 раз, затем пауза 2-3 с, расслабить мышцы плечевого пояса. Темп медленный. 2. И.п. - руки согнуты перед грудью. 1-2 - два пружинящих рывка назад согнутыми руками. 3-4 - то же прямыми руками. Повторить 4-6 раз. Темп средний.
  • 67.
    67 3. И.п. -стойка ноги врозь. 1-4 - четыре последовательных круга руками назад. 5-8 - то же вперед. Руки не напрягать, туловище не поворачивать. Повторить 4-6 раз. Закончить расслаблением. Темп средний. ФМ ДЛЯ СНЯТИЯ УТОМЛЕНИЯ С ПЛЕЧЕВОГО ПОЯСА И РУК 2 1. И.п. - о.с. - кисти в кулаках. Встречные махи руками вперед и назад. Повторить 4-6 раз. Темп средний. 2. И.п. - о.с. 1-4 - дугами в стороны руки вверх, одновременно делая ими небольшие воронкообразные движения. 5-8 – дугами в стороны, руки расслабленно вниз и потрясти кистями. Повторить 4-6 раз. Темп средний. 3. И.п. - тыльной стороной кисти на пояс. 1-2 - свести вперед, голову наклонить вперед. 3-4 - локти назад, прогнуться. Повторить 6-8 раз, затем руки вниз и потрясти расслабленно. Темп медленный. ФМ ДЛЯ СНЯТИЯ УТОМЛЕНИЯ С ПЛЕЧЕВОГО ПОЯСА И РУК 3 1. И.п. - стойка ноги врозь, руки в стороны, ладони кверху. 1.- дугой кверху расслабленно правую руку влево с хлопками в ладони, одновременно туловище повернуть налево. 2 - и.п. 3-4 – то же в другую сторону. Руки не напрягать. Повторить 6-8 раз. Темп средний. 2. И.п. - о.с. 1 - руки вперед, ладони книзу. 2-4 зигзагообразными движениями руки в стороны. 5-6 - руки вперед. 7-8 – руки расслабленно вниз. Повторить 4-6 раз. Темп средний. 3. И.п. - о.с. 1 - руки свободно махом в стороны, слегка прогнуться. 2 - расслабляя мышцы плечевого пояса, "уронить" руки и приподнять их скрестно 16 перед грудью. Повторить 6-8 раз. Темп средний. ФМ ДЛЯ СНЯТИЯ УТОМЛЕНИЯ С ПЛЕЧЕВОГО ПОЯСА И РУК 4 1. И.п. - о.с. 1 - дугами внутрь, руки вверх - в стороны, прогнуться, голову назад. 2 - руки за голову, голову наклонить вперед. 3 - "уронить" руки. 4 - и.п. Повторить 4-6 раз. Темп средний. 2. И.п. - руки к плечам, кисти в кулаках. 1-2 – напряженно повернуть руки предплечьями и выпрямить их в стороны, кисти тыльной стороной вперед. 3 - руки расслабленно вниз. 4 - и.п. Повторить 6-8 раз, затем расслабленно вниз и встряхнуть кистями. Темп средний. 3. И.п. - о.с. 1 - правую руку вперед, левую вверх. 2 - переменить положение рук. Повторить 3-4 раз, затем расслабленно опустить вниз и потрясти кистями, голову наклонить вперед. Темп средний. ФИЗКУЛЬТМИНУТКА ДЛЯ СНЯТИЯ УТОМЛЕНИЯ С ТУЛОВИЩА И НОГ: Физические упражнения для мышц ног, живота и спины усиливают венозное кровообращение в этих частях тела и способствуют предотвращению застойных явлений крово- и лимфообращения, отечности в нижних конечностях. ФМ ДЛЯ СНЯТИЯ УТОМЛЕНИЯ С ТУЛОВИЩА И НОГ 1 16 В оригинале так и написано. «Грамотеев» везде хватает…
  • 68.
    68 1. И.п. -о.с. 1 - шаг влево, руки к плечам, прогнуться. 2 -и.п. 3-4 - то же в другую сторону. Повторить 6-8 раз. Темп медленный. 2. И.п. - стойка ноги врозь. 1 - упор присев. 2 - и.п. 3 - наклон вперед, руки впереди. 4 - и.п . Повторить 6-8 раз. Темп средний. 3. И.п. - стойка ноги врозь, руки за голову. 1-3 – круговые движения тазом в одну сторону. 4-6 - то же в другую сторону. 7-8 - руки вниз и расслабленно потрясти кистями. Повторить 4-6 раз. Темп средний. ФМ ДЛЯ СНЯТИЯ УТОМЛЕНИЯ С ТУЛОВИЩА И НОГ 2 1. И.п. - о.с. 1 - выпад влево, дугами внутрь, руки вверх в стороны. 2 - толчком левой приставить ногу, дугами внутрь руки вниз. 3-4 - то же в другую сторону. Повторить 6-8 раз. Темп средний. 2. И.п. - о.с. 1-2 - присед на носках, колени врозь, руки вперед - в стороны. 3 - встать на правую, мах левой назад, руки вверх. 4 - приставить левую, руки свободно вниз и встряхнуть руками. 5-8 - то же с махом правой ногой назад. Повторить 4-6 раз. Темп средний. 3. И.п. - стойка ноги врозь. 1-2 - наклон вперед, правая рука скользит вдоль ноги вниз, левая, сгибаясь, вдоль тела вверх. 3-4 - и.п. 5-8 - то же в другую сторону. Повторить 6-8 раз. Темп средний. ФМ ДЛЯ СНЯТИЯ УТОМЛЕНИЯ С ТУЛОВИЩА И НОГ 3 1 .И.п. - руки скрестно перед грудью. 1 - взмах правой ногой в сторону, дугами книзу, руки в стороны. 2 - и.п. 3-4 - то же в другую сторону. Повторить 6-8 раз. Темп средний. 2. И.п. - стойка ноги врозь пошире, руки вверх - в стороны. 1 - полуприсед на правой, левую ногу повернуть коленом внутрь, руки на пояс. 2 - и.п. 3-4 - то же в другую сторону. Повторить 6-8 раз. Темп средний. 3. И.п. - выпад левой вперед. 1 - мах руками направо с поворотом туловища направо. 2 - мах руками налево с поворотом туловища налево. Упражнения выполнять размашисто расслабленными руками. То же с выпадом правой. Повторить 6-8 раз. Темп средний. ФМ ДЛЯ СНЯТИЯ УТОМЛЕНИЯ С ТУЛОВИЩА И НОГ 4 1. И.п. - стойка ноги врозь, руки вправо. 1 - полуприседая и наклоняясь, руки махом вниз. Разгибая правую ногу, выпрямляя туловище и передавая тяжесть тела на левую ногу, мах руками влево. 2 - то же в другую сторону. Упражнения выполнять слитно. Повторить 4-6 раз. Темп средний. 2. И.п. - руки в стороны. 1-2 - присед, колени вместе, руки за спину. 3 - выпрямляя ноги, наклон вперед, руками коснуться пола. 4 - и.п. Повторить 6-8 раз. Темп средний. 3. И.п. - стойка ноги врозь, руки за голову. 1 - резко повернуть таз направо. 2 - резко повернуть таз налево. Во время поворотов плечевой пояс оставить неподвижным. Повторить 6-8 раз. Темп средний.
  • 69.
    69 Приложение 19 КОМПЛЕКСЫ УПРАЖНЕНИЙФИЗКУЛЬТУРНЫХ ПАУЗ ФИЗКУЛЬТУРНАЯ ПАУЗА (ФП) - повышает двигательную активность, стимулирует деятельность нервной, сердечно-сосудистой, дыхательной и мышечной систем, снимает общее утомление, повышает умственную работоспособность. ФИЗКУЛЬТУРНАЯ ПАУЗА 1. Ходьба на месте 20-30 секунд. Темп средний. 1. Исходное положение (и.п.) - основная стойка (о.с.) 1 -руки вперед, ладони книзу. 2 - руки в стороны, ладони кверху. 3 - встать на носки, руки вверх, прогнуться. 4 - и.п. Повторить 4-6 раз. Темп медленный. 2. И.п. - ноги врозь, немного шире плеч. 1-3 наклон назад, руки за спину. 3-4 - и.п. Повторить 6-8 раз. Темп средний. 3. И.п. - ноги на ширине плеч. 1 - руки за голову, поворот туловища направо. 2 - туловище в и.п., руки в стороны, наклон вперед, голову назад. 3 - выпрямиться, руки за голову, поворот туловища налево. 4 - и.п. 5-8 - то же в другую сторону. Повторить 6 раз. Темп средний. 4. И.п. - руки к плечам. 1 - выпад вправо, руки в стороны. 2 - и.п. 3 - присесть, руки вверх. 4 - и.п. 5-8 - то же в другую сторону. Повторить 6 раз. Темп средний. ФИЗКУЛЬТУРНАЯ ПАУЗА 2 Ходьба на месте 20-30 с. Темп средний. 1. И.п. - о.с. Руки за голову. 1-2 - встать на носки, прогнуться, отвести локти назад. 3-4 - опуститься на ступни, слегка наклониться вперед, локти вперед. Повторить 6-8 раз. Темп медленный. 2. И.п. - о.с. 1 - шаг вправо, руки в стороны. 2 – повернуть кисти ладонями вверх. 3 - приставить левую ногу, руки вверх. 4 - руки дугами и в стороны и вниз, свободным махом скрестить перед грудью. 5-8 - то же влево. Повторить 6-8 раз. Темп средний. 3. И.п. - стойка ноги врозь, руки в стороны. 1 - наклон вперед к правой ноге, хлопок в ладони. 2 - и.п. 3-4 то же в другую сторону. Повторить 6-8 раз. Темп средний. 4. И.п. - стойка ноги врозь, левая впереди, руки в стороны или на поясе. 1-3 - три пружинистых полуприсяда на левой ноге. 4 - переменить положение ног. 5-7 - то же, но правая нога впереди левой. Повторить 4-6 раз. Перейти на ходьбу 20-25 с. Темп средний. 5. И.п. - стойка ноги врозь пошире. 1 - с поворотом туловища влево, наклон назад, руки назад. 2-3 - сохраняя положение туловища в повороте, пружинистый наклон вперед, руки вперед. 4 - и.п. 5-8 - то же, но поворот туловища вправо. Повторить по 4-6 раз в каждую сторону. Темп медленный. 6. И.п. - придерживаясь за опору, согнуть правую ногу, захватив рукой за голень. 1 - вставая на левый носок, мах правой ногой назад, правую руку в сторону - назад. 2 - и.п. 3-4 - то же, но согнуть левую ногу. Повторить 6-8 раз. Темп средний.
  • 70.
    70 7. И.п. -о.с. 1 - руки назад в стороны, ладони наружу, голову наклонить назад. 2 - руки вниз, голову наклонить вперед. Повторить 6-8 раз. Темп медленный. ФИЗКУЛЬТУРНАЯ ПАУЗА 3 1. Ходьба на месте 20-30 с. Темп средний. 1. И.п. - о.с. Правой рукой дугой внутрь. 2 - то же левой и руки вверх, встать на носки. 3-4 - руки дугами в стороны. И.п. Повторить 4-6 раз. Темп медленный. 2. И.п. - о.с. 1 - с шагом вправо руки в стороны, ладони кверху. 2 - с поворотом туловища направо дугой кверху левую руку вправо с хлопком в ладони. 3 - выпрямиться. 4 - и.п. 5-8 - то же в другую сторону. Повторить 6-8 раз. Темп средний. 3. И.п. - стойка ноги врозь. 1-3 - руки в стороны, наклон вперед и три размашистых поворота туловища в стороны. 4 - и.п. Повторить 6-8 раз. Темп средний. 4. И.п. - о.с. 1-2 - присед, колени врозь, руки вперед. 3-4 - встать, правую руку вверх, левую за голову. 5-8 - то же, но правую за голову. Повторить 6-10 раз. Темп медленный. 5. И.п. - о.с. 1 - выпад влево, руки в стороны. 2-3 – руки вверх, два пружинистых наклона вправо. 4 - и.п. 5-8 - то же в другую сторону. Повторить 4-6 раз. Темп средний. 6. И.п. - правую руку на пояс, левой поддерживаться за опору. 1 - мах правой ногой вперед. 2 - мах правой ногой назад, захлестывая голень. То же проделать левой ногой. Повторить по 6-8 махов каждой ногой. Темп средний. 7. И.п. - о.с. 1-2 - правую ногу назад на носок, руки слегка назад с поворотом ладоней наружу, голову наклонить назад. 3-4 - ногу приставить, руки расслабленно опустить, голову наклонить вперед. 5-8 то же, отставляя другую ногу назад. Повторить 6-8 раз. Темп медленный. Прислушайтесь и уразумейте… Поиск истины значительно ценнее, чем обладание ею. Г. Лессинг Одиночество - порой лучшее общество. Дж. Мильтон Россия есть игра природы, а не ума. Ф.М. Достоевский Патриотизм - это последнее прибежище негодяя. Б. Франклин Отечество раба там, где палка. Г. Гейне Вера без дел мертва. Иисус Христос Люби - и делай, что хочешь. Августин All you need is love. The Beatles Моя философия не дала мне совершенно никаких доходов, но зато избавила меня от очень многих трат. А. Шопенгауэр Как ни странно, самые твердые, непоколебимые убеждения – самые поверхностные. Глубокие убеждения всегда подвижны. Л.Н. Толстой Кто не любит одиночества - тот не любит свободы, ибо лишь в одиночестве можно быть свободным. А. Шопенгауэр
  • 71.
    Свободен тот, ктоможет не лгать. А. Камю Равенство существует только в гробу. К. Колтон Свобода - это ответственность. Вот почему все ее так боятся. Б. Шоу Лучший правитель тот, о котором народ знает, лишь то, что он существует. Несколько хуже те правители, которых народ любит и возвышает. Еще хуже те правители, которых народ боится, и хуже всех те правители, которых народ презирает. Лао-Цзы На штыки можно опираться, но на них нельзя сидеть. Испанская пословица Законы бесполезны как для хороших людей, так и для дурных. Первые не нуждаются в законах, вторые от них не становятся лучше. Деманакт Создавайте лишь немного законов, но следите за тем, чтобы они соблюдались. Д. Локк Нет более верного признака дурного устройства городов, чем обилие в них юристов и врачей. Платон Будем же верить, если не можем уразуметь. Августин Уразумей, чтобы уверовать. Августин Слово, руководствуясь которым, можно прожить всю жизнь- СНИСХОДИТЕЛЬНОСТЬ. Конфуций Проживи незаметно. Эпикур Будьте прохожими. Иисус Христос Лучше работать без определенной цели, чем ничего не делать. Сократ Ахаль ларичен керек арки йавала. Чувашская пословица Делай великое, не обещая великого. Пифагор Если я рассуждаю логично, это значит только то, что я не сумасшедший, но вовсе не доказывает, что я прав. И.П. Павлов Там, где одни видели абстракцию, другие видели истину. А. Камю Нет ничего настолько исправного, чтобы в нем не было ошибок. Ф. Петрарка Не завидуй тому, кто сильней и богат. За рассветом всегда наступает закат. С этой жизнью короткою, равною вздоху, Обращайся, как с данной тебе напрокат. Омар Хайям Выше всех поучений и правил, как правильно жить, Две основы достоинства я предпочел утвердить: Лучше вовсе не есть ничего, чем есть что попало; Лучше быть в одиночестве, чем с кем попало дружить. Омар Хайям
  • 72.
    Серия «Компьютер дляПетруши» В серии вышли и выходят: Самоучитель по DOC и NC Excel 7.0 и не только... ACCESS 2000 Текстовые редакторы Excel 2000 и не только… Microsoft OFFICE. Учебный практикум (в трех частях) Учебно-методические пособия серии "Компьютер для Петруши" отличаются оригинальной методикой для самостоятельного изучения программных продуктов, сочетающей в себе легкость изложения и глубину освоения, доступность для начинающих и пользу для опытных пользователей Печатается без согласования с Microsoft. Билл Гейтс отдыхает… Книги серии можно заказать в книжных магазинах и компьютерных фирмах: 428023 Чебоксары, ул. Максимова, 13 пр-кт М.Горького, 51 Союз-К ℡ 34-66-30 428018 Чебоксары, ул. Водопроводная, 22 Мир книг ℡ 421-024, 420-304 428003 г. Чебоксары, Школьный проезд, 6а Учколлектор ℡ (8352) 21-24-75, 21-08-55, 62-85-57, 62-84-91 Подписано в печать 15.03.2008. Формат 60×90/84. Печать оперативная. Бумага хорошая. Усл. печ. л. 4,5. Уч.-изд. л. 4,75. Тираж эксклюзивный. ООО «HAMER’JAL»