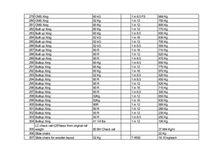
NOMINAL WEIGHTS OF P.WAY MATERIALS
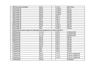
Sl.No Item Nomenclature
BG/
MG RDSO Drg No Weight
1 Rail 60 Kg BG 60.34 Kg/m
2 Rail 52 Kg BG T 630/5 51.89Kg/m
3 Rail 100 lbs BG 49.60 kg/m
4 Rail 90 R BG T 630/4 44.61 Kg/m
5 Rail 85 Lbs BG 42.16 Kg/m
6 Rail 82 lbs BG 40.90 kg/m
7 Rail 75 R BG T630/3 37.13 Kg/m
8 Rail 68 BH MG 33.72kg/m
9 Rail 66 1/4 Lbs MG 33.05 Kg/m
10 Rail 60 R MG T 630/2 29.76Kg/m
11 Rail 60 Lbs MG 28.62 Kg/m
12 Rail 50 R MG 24.80 Kg/m
13 Rail 41 1/4 Lbs MG 20.46 kg/m
14 formula for 80 BH rail = 80/0.9144x2.2046 = 37.684 Kg/m
15 ST Sleepers 52 Kg/90 R BG T 460(M) 78.69 Kg each
16 ST Sleepers 75 R BG T 10273 71.80 Kg/each
17 ST Sleepers 85 Lbs BG 69.38 Kg/each
18 ST Sleepers 75 R MG T 10271 33.01 Kg/each
19 ST Sleepers 60 R MG T 10272 33.01 Kg/each
20 Steel sleeper with slide chairs MG 63.00 Kg/each
21 Steel sleeper P&Xing MG 23.60 Kg/metre
22 Steel sleeper with slide chairs BG 116.50 Kg/each
23 Steel sleeper P&Xing BG 35.50 Kg/metre
24 Steel Sleepers
25 Steel Sleepers 52 Kg/90 R BG 78.69 Kg/each
26 Steel Sleepers 75 R BG 71.80 Kg/each
27 Steel Sleepers 75 R/60 R/50 R MG 33.01 Kg/each
28 ST Sleeper for P&Xings 1 in 12 BG 355 Kg/metre
29 ST Sleeper Turn out 51 nos 1 in 8.5 BG 8.440 MT/set
30 ST Sleeper Turn out 70 nos 1 in 12 BG 11.448 MT/set
31 Flattened ST sleeper 25.0 Kg/each
32 Cast Iron Sleepers 52 Kg/90 R BG T 478(M)/T 10221 43.55 Kg/each
33 Cast Iron Sleepers 75 R BG T 493 (M)/T 439(M) 24.50Kg/each
34 Cast Iron Sleepers 60 R MG T 10232&257 25.07 Kg/each
35 Cast Iron Sleepers 75 R T 2363 to T 2364 34.50 Kg/Pot
36 CST-9 Linked to Keys BG BG T 479 to T 10221 101.2 Kg/each
37 CST9 sleepers 52 Kg/90 R BG T 478(M) 43.55 Kg/Pot
38 CST9 sleepers 75 R BG 87.10 Kg/each
39 CST9 sleepers 75 R MG 49 Kg/each
40 CST9 sleepers 60 R T 10257 25.07 Kg/pot
41 CST9 sleepers 60 R T 10232 25.00 Kg/pot
42 CST9 sleepers 50 R 101.2 Kg/each
43 CST9 sleepers 90 R MG 70.00 Kg/each
44 CI Linked pots 114 Kg/each
45 CI Pot single 50Kg/each
46 CI Linked pot 90 BH 120 Kg/each
47 CI Linked pot 50 BH 44 Kg/each
48 PSC sleepers BG 288.5 Kg/each
49 PSC sleepers MG 160 Kg/each
50 PSC Twin block sleeper 215 Kgs
51 PSC Twin block sleeper MG 1.50 Kg/each
52 Tie bars 52 Kg/90 R BG T 404 (M) 12.62 Kg/each
53 Tie bars 75 R /60R T 433(M) 6.45 Kg/each
54 Tie bars 90 R MG T 2368 8.996 Kg/each
55 Tie bars
Tie bars for CI Pot
sleeper 9.14 Kg/each
56 Tie bars 75 R/60 R 6.05 Kg/each
57 Tie bars 90 R MG T 401(M) 0.370 Kg/each
58 MS Tie bar T 4711 20 Kg
59 Cotters
BG
MG T 424(m) 0.370 Kg/each
60 Fish Plates 60 Kg RT 1898 (610 mm) 17.60 kg
61 Fish Plates 60 Kg (1m) 14.355 kg/pair
62 Fish Plates 52 Kg T 090(M) 14.355 Kg/each
63 Fish Plates 52 Kg (1m) 13.055 each
64 Fish Plates 90 R (610 mm) T 1(M) 13.055 Kg/each
65 Fish Plates 90 R (460 mm ) T 059(M) 9.765 Kg/each
66 Fish Plates 75 R T 060(M) 6.79 Kg/each
67 Fish Plates 60 R T 061(M) 4.920 Kg/each
68 Fish Plates 90 R 25.93 Kgs/pair
69 Fish Plates 41 1/4 2.85 kg/each
70 Fish Plates 50 R CSO/C 1898M 4.154 kg/pair
71 Fish Plates 50R 4.15
72 Fish Plates 80 BH 9.08 kgs/each
73 Fish Plates 85 lbs 7.01 Kg/each
74 Fish plates of glued joint 60 Kg 30.50 Kg/two nos
75 Fish plates of glued joint 52 Kg 26.50 Kg/two nos
76 Fishplates Joggled with clamps & bolts 52 Kg 17.25 kg/each
77 Fishplates Joggled with clamps & bolts 60 Kg 47.20 kg/each
78 Fishplates Joggled with clamps & bolts 50 R(18x90) T 11503 0.420 kg/Each
79 Fishplates Joggled with clamps & bolts 0.420 kg/Each
80 Fish plates Combination 60 Kg/52 Kg T 696 to 699 71.00 Kg/set (4 nos)
81 Fish plates Combination 52 Kg/90R T 1900 to 1901 48.00 Kg/set(4 nos)
82 Fish plates Combination 90 R/75 R T 10941 to 10944 40.00 Kg/(4 Nos)
83 Fish plates Combination 75 R/60 R T 10491 to 10494 36.00 kg/set(4 nos)
84 Fish plates Combination 60 R/50 R 22.00 Kg/set
85 Fish plates Combination 60 R/80 BH 7.00 Kg/each
86 Fish bolts &nuts 60 Kg 0.654 kg/Each
87 Fish bolts &nuts
52 Kg/90 R/75 R BG
(25x130) T 11501 0.940 Kg/each
88 Fish bolts &nuts 60R (22x105) T 11502 0.654 Kg/each
89 Fish bolts &nuts 50 R (18x90) 0.420 Kg/each
90 Fish bolts &nuts 80 BH 0.800 Kg/each
91 Steel Keys 52 Kg/90 R/75 R BG 0.485 Kg/each
92 Steel Keys 60 R/50 R 0.430 Kg/each
93 Two way Keys 52 Kg/90 R/75 R T 405 0.485 Kg each
94 Two way Keys 60 R T 413 0.435 Kg/each
95 Steel keys over size T 580 0.773 kg/each
96 Dog spikes T 276(M) 0.385 kg/each
97 Dog spikes T 277(M) 0.335kg/each
98 Dog spikes T 278(M) 0.305 kg/each
99 Dog spikes T 279(M) 0.285 kg/each
100 Round spikes 160 mm long T 019(M) 0.459 kg/each
101 Round spikes 150 mm long T 018(M) 0.439 kg/each
102 Plate screw 20mm dia 120 mm length T 10679 0.365 kg/each
103 Plate screw 20mm dia 135 mm length T 10678 0.385 kg/each
104 Plate screw 20mm dia 160 mm length T 10677 0.415 kg/each
105 Plate screw 20mm dia 170 mm length T 10678 0.621 kg/each
106 Plate screw 20mm dia 180 mm length T 10679 0.656kg/each
107 Plate screw 20mm dia 190 mm length T 10680 0.692 kg/each
108 Plate screw 20mm dia 200 mm length T 10681 0.721 kg/each
109 Plate screw 20mm dia 220 mm length T 10682 0.744 kg/each
110 Plate screw T 3913 0.555 kg
111 Rail screw 22 mm dia 135 mm length T 10675 0.473 kg/each
112 Rail screw 22 mm dia 120 mm length T 10673 0.455 kg/each
113 Rail screw 22 mm dia 110 mm length T 10674 0.430 kg/each
114 Flat bearing plates 52 Kg/90R T 1994 M 8.72 kg/each
115 Flat bearing plates 75 R T 12545 3.57kg/each
116 Flat bearing plates 60R T 12581 3.57 Kg/each
117 Flat bearing plates 60 R &50R T 10499 to T 10500 3.80 kg/each
118 Flat bearing plates 52 Kg/90R T 13164 8.60 kg/each
119 MS canted Bearing plates 60 Kg 6.76 kg/each
120 MS canted Bearing plates
With square holes for
52 Kg/90 R&75 R T 10430 6.27 kg/each
121 MS canted Bearing plates With square holes T 1033 6.76 Kg/each
122 MS canted Bearing plates 75 R T 10431 3.30 Kg/each
123 MS canted Bearing plates 60 R T 10432 3.30 Kg/each
124 MS canted Bearing plates
With round holes for
52 Kg/90 R RT 516 6.21 kg/each
125 MS canted Bearing plates round holes MG 4.22 kg/each
126 MS canted Bearing plates 75 R RT 664 3.33 Kg/each
127 ACB Plates With one key T 10141 10.76 kg/each
128 ACB Plates With two keys T 10142 11.26 kg/each
129 ACB Plates 60 R 8.000kg/each
130 ACB Plates of 4 holes 52 Kg/90R T 10151 11.20 kg/each
131 ACB Plates of 4 holes 75 R T 10152 9.00 kg/each
132 ACB plates of 3 holes 75 R T 10146 8.00 kg/each
133 ACB plates of 3 holes 60 R t 10148 8.00 kg/each
134 Level crossing chairs 52 Kg/90R T 3273 16.00 kg/each
135 Level crossing chairs T 3278 16.50 kg/each
136 Elastic rail clips ERC T 1892 1.00 kg/each
137 Elastic rail clips ERC T 3700 1.00 kg/each
138 Elastic rail clips ERC Mk III T 3701 0.91 kg/each
139 Elastic rail clips T 3702 0.952 kg/each
140 Elastic rail clips ERC Mk II T 3722 0.60 kg/each
141 Loose Jaws 52 Kg/90 R T 415 28.80 Kg/100 Nos
142 Loose Jaws 75 R T 10003 28.1 kg/100 nos
143 Loose Jaws 75 R T 419 23.1 kg/100 nos
144 Loose Jaws 60 R &50R 21.5 kg/100 nos
145 Modified loose jaw 0.480 kg/each
146 Single coil spring washer T 10772 0.056 Kg/each
147 Double coil spring washer T 1878 0.080 Kg/each
148 Packing plates/pieces T 1878 0.0673 Kg/each
149 Packing plates/pieces T 026 M 0.0101 Kg/each
150 MS Liners with ERC drg T 8700 T 3700 0.283 Kg/each
151 MS Liners with ERC drg T 8701 52 Kg/90 R T 3722 0.196 Kg/each
152 MS Liners with ERC drg T 8702 60 Kg/52 kg T 3740 0.264 Kg/each
153 MS Liner T 3738 0.283 Kg
154 MS Liner T 3739 0.196 Kg
155 MS Liner T 3741 0.325 Kg
156 MS Liner T 3742 0.425 Kg
157 GFN Liners T 3707 0.070 Kg/each
158 GFN Liners 60 Kg/52 kg T 3708 0.264 Kg/each
159 GFN Liners T 3702 0.045 Kg
160 Hook bolt 250 mm MG 1.40 Kg/each
161 fair v anchor BG 2.0 Kg/each
162 MCI inserts T 381,T 2449 1.57 Kg/each
163 MCI inserts T 2071 1.60 Kg/each
164 MCI inserts T 3087/2501 1.00 Kg/each
165 SEJ 52 Kg 900 Kg
166 SEJ 1 in 8.5 BG 355 Kg/metre
167 Glued Joints with two pairs fish plates 60 Kg 452 Kg
168 Glued Joints with two pairs fish plates 52 kg 389 Kgs
169 Dip lorry 7.5 T capacity BG 400 Kg/each
170 LC Chair 60 R 5.000 kg/each
171 Tounge rail 52 kg 4.725 m 220.00 Kg Approx
172 Tounge rail 90 R 4.725 m 190Kg Approx
173 Tounge rail 52 Kg 7.620 m 420.00 Kg Approx
174 Tounge rail 90 R 7.620 m 360.00 Kg Approx
175 Tounge rail 60 R 8.56 m 180.00 Kg Approx
176 Tounge rail 50 R 8.56 m 150.00 Kg Approx
177 Tounge rail 50 R 4.11 m 105.00 Kg Approx
178 Tounge rail 4.11 m 88.00 Kg Approx
179 Tounge rail 41 1/4 Lbs 3.66 m 64.00 Kg Approx
180 Tounge rail 5.49 m 94.00 Kg Approx
181 Tounge rail 90 R 11.00 m 384 Kg
182 Tounge rail 52 Kg 11.00 m 444 Kg
183 Tounge rail 60 Kg 11.00 m 516 Kg
184 Tounge rail 52 Kg 11.90 m 534 Kg
185 Tounge rail 60 Kg 11.90 m 621 Kg
186 Curved Switch 60 Kg ( 6.4 m ) 1 in 16 4180.833Kg
187 Curved Switch 60Kg (10.125m ) 1in 12 4708.000Kg
188 Curved Switch 52Kg (6.4m) 1in 12 3778.235Kg
189 Curved Switch 52 Kg (10.125m) 1 in 12 4435.714 Kg
190 Trap switch with fittings 52 kg 1 in 8.5 2947.00 Kg
191 Tounge rail 60 Kg 12.935 m 611 kg
192 Tounge rail 52 Kg 12.935 m 526 Kg
193 Tounge rail 60 Kg 12.356 m 592 Kg
194 Tounge rail 52 Kg 12.356 m 510 Kg
195 Tounge rail 60 Kg 9.02 m 427 Kg
196 Tounge rail 52 Kg 9.02 m 367 Kg
197 Tounge rail 90 R 9.02 m 316 Kg
198 Tounge rail 60 Kg 7.62 m 361 Kg
199 Tounge rail 52 Kg 7.62 m 412 Kg
200 Tounge rail 52 Kg 4.725 m 220 Kg
201 Tounge rail 90 R 7.620 m 267 Kg
202 Tounge rail 90 R 4.725 m 190 Kg
203 General formula for tongue rail =(total length-switch length)xsec wt+ switch lengthx0.75
204 Wing Rail 1 in 8.5 3.42 m 3.42xsecx0.95
205 Wing Rail 1 in 12 4.33 m 4.33xsecx0.95
206 Wing Rail 1 in 16 5.29 m 5.29xsecx0.95
207 Wing Rail 60 Kg 5.29 m 287 Kg
208 Wing Rail 60 Kg 4.32 m 190 Kg
209 Wing Rail 60 Kg 3.42 m 175 Kg
210 Wing Rail 52 kG 5.29 m 247 Kg
211 Wing Rail 52 kG 4.32 m 202 Kg
212 Wing Rail 52 kG 3.42 m 160 Kg
213 Wing Rail 90 R 5.29 m 212 Kg
214 Wing Rail 90 R 4.32 m 175 Kg
215 Wing Rail 90 R 3.42 m 137 Kg
216 Wing Rail 52 kG 1 in 16 5.29x sec weightx0.95
217 Wing Rail 52 kG 1 in 12 4.33xsec weightx0.95
218 Wing Rail 52 kG 1 in 8.5 3.42x sec weightx0.95
219 Wing Rail 50 Lbs 62 Kg/each
220 Wing Rail 60 Lbs 102 Kg/each
221 Check Rail 60 Kg 4.00 m 226 Kg
222 Check Rail 60 Kg 4.33 m 241 Kg
223 Check Rail 60 Kg 4.50 m 251 Kg
224 Check Rail 60 Kg 4.80 m 270 Kg
225 Check Rail 60 Kg 4.00 m 226 Kg
226 Check Rail 52 Kg 4.00 m 206 Kg
227 Check Rail 52 Kg 4.33 m 208 Kg
228 Check Rail 52 Kg 4.50 m 217 Kg
229 Check Rail 52 Kg 4.80 m 230 Kg
230 Check Rail 52 Kg 4.00 m 205 Kg
231 Check Rail 90 R 4.80 m 200 Kg
232 Check Rail 90 R 4.00 m 180 Kg
233 Check Rail 90 R 4.00 m 168 kg
234 Check Rail 60 R 3.96 m 120 Kg
235 Check Rail 50 R 3.96 m 100 Kg
236 Check Rail 41 1/4 lbs 3.20 m 70 kg
237 Check rail 52 Kg 4.00 mt 206 Kg/each
238 Check rail 90 R 4.00 mt 180 Kg/each
239 Check rail 60 R 3.96m 120 Kg/each
240 Check rail 50 R 3.96m 100 Kg/each
241 Check rail 41 1/4 lbs 3.20 M 70 Kg/each
242 General formula for check rail =length of check railxsec wt-16 (60Kg),14(52kg),12 (90 R)
243 Nose rail 1 in 16 4.339x sec wtx0.75x2
244 Nose rail 1 in 12 3.65x sec wtx0.75x2
245 Nose rail 1 in 8.5 3.00x sec wtx0.75x2
246 Nose rail 60 Kg 1 in 16 393 Kg
247 Nose rail 60 Kg 1 in 12 300 Kg
248 Nose rail 60 Kg 1 in 8.5 272 Kg
249 Nose rail 52 Kg 1 in 16 338 Kg
250 Nose rail 52 Kg 1 in 12 284 Kg
251 Nose rail 52 Kg 1 in 8.5 234 Kg
252 Nose rail 90 R 1 in 16 290 Kg
253 Nose rail 90 R 1 in 12 244 Kg
254 Nose rail 90 R 1 in 8.5 200 Kg
255 Nose rail 60 R 8.56 m 180 Kg
256 Nose rail 60 R 4.11 m 105 Kg
257 Nose rail 50 R 8.56 m 150 Kg
258 Nose rail 50 R 4.11 m 88 Kg
259 Nose rail 411/4 lbs 5.49 m 94 Kg
260 Nose rail 411/4 lbs 3.66 m 64 Kg
261 Nose rail 60 R 1 in 12 - 4.80 m 280 Kg
262 Nose rail 60 R 1 in 8.5 - 4.80 m 300 Kg
263 Nose rail 50 R 1 in 12 - 4.80 m 230 Kg
264 Nose rail 50 R 1 in 8.5 - 4.80 m 250 Kg
265 Nose rail 411/4 lbs 1 in 12 - 4.75 m 197 Kg
266 Nose rail 411/4 lbs 1 in 8.5 3.66 m 210 Kg
267 Nose rail 50 Lbs 108 Kgs
268 Nose rail 1 in 8.5 3.00 m 3.00xsecx(0.75 to 0.80)x2
269 Nose rail 1 in 12 3.65 m 3.65xsecx0.95
270 Nose rail 1 in 16 4.339 m 4.339xsecx0.95
271 CMS Xing 60 Kg 1 in 16 FS 1085 Kg
272 CMS Xing 60 Kg 1 in 12 FS WL 970 Kg
273 CMS Xing 52 kG 1 in 16 FS 934 Kg
274 CMS Xing 52 kG 1 in 12 FS 820 Kg
275 CMS Xing 52 kG 1 in 12 WL 630 Kg
276 CMS Xing 60 Kg 1 in 8.5 650 Kg
277 CMS Xing 52 kG 1 in 8.5 FS 570 Kg
278 CMS Xing 52 kG 1 in 8.5 WL 500 Kg
279 CMS Xing 60 kG 1 in 8.5 FS 668 Kg
280 CMS Xing 52 Kg 1 in 12 750 Kg
281 CMS Xing 60 Kg 1 in 12 800 Kg
282 Built up Xing 60 Kg 1 in 12 770 Kg
283 Built up Xing 60 Kg 1 in 8.5 650 Kg
284 Built up Xing 52 kG 1 in 16 830 Kg
285 Built up Xing 52 kG 1 in 12 700 Kg
286 Built up Xing 52 kG 1 in 8.5 550 Kg
287 Built up Xing 90 R 1 in 16 710 Kg
288 Built up Xing 90 R 1 in 12 620 Kg
289 Built up Xing 90 R 1 in 8.5 470 Kg
290 Builtup Xing 60 Kg 1 in 8.5 650 Kg
291 Builtup Xing 60 Kg 1 in 12 770 Kg
292 Builtup Xing 60 Kg 1 in 16 970 Kg
293 Builtup Xing 52 Kg 1 in 8.5 520 Kg
294 Builtup Xing 90 R 1 in 8.5 450 Kg
295 Builtup Xing 90 R 1 in 12 620 Kg
296 Builtup Xing 90 R 1 in 16 710 Kg
297 Builtup Xing 60 R 1 in 8.5 300 Kg
298 Builtup Xing 52Kg 1 in 12 650 Kg
299 Builtup Xing 52Kg 1 in 16 830 Kg
300 Builtup Xing 90R 1 in 12 560 Kg
301 Builtup Xing 60 R 1 in 12 280 Kg
302 Builtup Xing 50 R 1 in 12 230 Kg
303 Builtup Xing 50 R 1 in 8.5 250 Kg
304 Builtup Xing 41 1/4 lbs 1 in 12 190 Kg
305
LC check rail=(25%less from original rail
weight 80 BH Check rail 37.684 Kg/m
306 Slide chairs 22 Kg
307 Slide chairs for wooden layout 52 Kg T 4930 19.10 kg/each
308 Slide chairs for wooden layout 17.00 kg/each
309 Slide chairs for wooden layout 90 R T 4931 19.10 kg/each
310 Slide chairs for wooden layout 17.00 kg/each
311 Slide chairs for wooden layout 75 R T 19504 9.40 kg/each
312 Slide chairs for wooden layout 60 R T 19504 9.40 kg/each
313 Slide chairs for wooden layout 60 R T 19506 9.40kg/each
314 Bearing Plate T 4736 30 Kg
315 Flat bearing plate 52 Kg/90 R 8.720 Kg/each
316 Flat bearing plate 75 R 3.800 Kg/each
317 Flat bearing plate 60 R/50 R 3.570 Kg/each
318 Flat bearing plate T 13164 8.600 Kg/each
319 Special bearing plate Switch/crossing 1 in 8.5 11.30 Kg/each(av)
320 Special bearing plate MG 1 in 12 15.40 Kg/each(av)
321 Check rail bearing plate 52 kg 10 Kg/each
322 Check rail bearing plate 90 R 10 Kg/each
323 MS stud bolts &nuts 25 mm dia Full head 0.400 Kg/each
324 MS stud bolts &nuts Half head .0300 Kg/each
325 Stetcher bar BG Leading 13.07 Kg/each
326 Stetcher bar BG Following 10.03 Kg/each
327 Stetcher bar MG Leading 6.50Kg/each
328 Stetcher bar MG Following 5.00Kg/each
329 Insulated leading strecher bar T 4764/65 15 Kg
330 Stretcher bar bolt 0.100 Kg/each
331 MS Lug BG 3.00 Kg/each
332 MS Lug MG T 083M 2.03 kg/each
333 MS Lug MG 2.00 Kg/each
334 MS Lug T 283 3.950 Kg
335 Switch tieplate ord BG 67.462 Kg/each
336 Switch tieplate ord MG 35.00 Kg/each
337 Crossing tieplate ord BG 1 in 12 89.72 Kg/each
338 Crossing tieplate ord BG 1 in 8.5 90.00 Kg/each
339 Crossing tieplate ord MG 1 in 12 35.00 Kg/each
340 Crossing tieplate ord MG 1 in 8.5 54.00 Kg/each
341 Tie plates RT 3043 93.34 kg/each
342 Tie plates RT 3025/RT 3026 53.00 kg/each
343 Tie plates Rt 10740 1.0033 kg/each
344 Insulated Tie Plates T 5023 105 Kg
345 MS Plates T 5901 20 Kg
346 MS Bracket BG 1.035kg/each
347 MS Bracket MG 3.0 kg/each
348 MS bracket T 2631 2.20 Kg
349
Self Reversing adjustment spring lever
point box BG 70.0 kg/each
350
Self Reversing adjustment spring lever
point box MG 50.0 kg/each
351 MS Pull rod BG 17 kg/each
352 MS Pull rod MG 13 kg/each
353 MS Bolts & nuts 20x80 0.45 kg/each
354 MS Bolts & nuts 20x90 0.50 kg/each
355 MS Bolts & nuts 25x150 1.00 kg/each
356 MS Bolts & nuts 25x175 1.10 kg/each
357 MS Bolts & nuts 25x200 1.20 kg/each
358 MS Bolts & nuts 25x225 1.30 kg/each
359 MS Bolts & nuts 25x250 1.40 kg/each
360 MS Bolts & nuts 25x275 1.50 kg/each
361 MS Bolts & nuts 25x300 1.60 kg/each
362 MS Bolts &nuts 18x90 T 11637 0.35
363 MS Bolts &nuts 18x80 T 11635 0.375
364 MS Bolts &nuts 25x360 T 11531 1.8
365 MS Bolts &nuts 25x390 T 11534 1.9
366 MS Bolts &nuts 25x90 half head T 11504
367 MS Bolts &nuts 25x90 full head T 11642 0.75
368 Special washers 25 mm 1.50 kg/set
369 Single coil Spring washer 0.02 kg/each
370 Single coil spring washer T 10773 0.050 Kg
371 MS flat washer 25mm dia 0.03 kg/each
372 CI washers for buffer 25 mm 0.05 kg/each
373 Buffer stop BG 500 kg/each
374 CI Block T 4762 25 Kg
375 Heel blocks 52 Kg 1 in 8.5 14 Kg/each
376 Heel blocks 90 R 14 Kg/each
377 Heel blocks 52 Kg 1 in 12 9.0 Kg/each
378 Heel blocks 90 R 9.0 Kg/each
379 Distant blocks 52 Kg 1 in 8.5 11.0 Kg/each
380 Distant blocks 90 R 11.0 Kg/each
381 Distant blocks 52 Kg 1 in 12 11.0 Kg/each
382 Distant blocks 90 R 11.0 Kg/each
383 Check blocks 52 kg inter 5.0 Kg/each
384 Check blocks 52kg ends 6.0 Kg/each
385 Check blocks 90 R inter 5.0 Kg/each
386 Check blocks 90 R ends 6.0 Kg/each
387 Sperical washers set 0.43 Kg/each
388 GR Pad T 3711 0.226 kg
389 GR Pad T 3703 0.207 Kg
390 Switch lengths Total length switch length
391 1 in 8.5 straight 4.72 m 4.72 m
392 1 in 8.5 curved 7.62 m 6.40 m
393 1 in 12 straight 7.62 m 6.40 m
394 1 in 12 curved 9.020 m 7.320 m
395 1 in 16 curved 11.00 m 9.75 m
396 1 in 8.5 FS layout 11.90 m 6.40 m
397 1 in 12 FS layout 12.356 m 10.125 m
398 1 in 16 FS layout 12.935 m 11.20 m
399 Switches
400 Type
OR length in mts
Sectional wt in kgs
401 Switches 90 R 52 Kg
402 1 in 8.5 4.72/4.72 158 183
403 1 in 8.5 7.62/6.40 267 312
404 1 in 12 7.62/6.40 267 312
405 1 in 12 9.02/7.732 316 367
406 1 in 16 11.00/9.75 382 444
407 1 in 8.5 11.90/6.40 - 534
408 1 in 12 12.356/10.125 - 510
409 1 in 16 12.935/11.200 - 526
410 Check Rails
411 1 in 8.5 4.00 168 205
412 1 in 12 4.00 168 205
413 1 in 16 4.80 200 230
414 FS 4.50 - 217
415 FS 4.33 - 208
416 Xings
417 1 in 8.5 470 550
418 1 in 12 660 770
419 1 in 16 740 860
420 Wing Rail
421 1 in 8.5 3.42 160 187
422 1 in 12 4.32 183 213
423 1 in 16 5.27 224 260
424 CMS Xings
425 1 in 8.5 500 wooden/570 CMS
426 1 in 12 630 wooden
427 1 in 16
428 Nose Rail (V piece )
429 1 in 8.5 200 233
430 1 in 12 244 284
431 1 in 16 290 337
NOMINAL WEIGHTS OF P.WAY MATERIALS
Sl.No Item RDSO Drg No Weight in Kgs
1 ERC Mark III T 3701 0.910
2 ERC J Type T 4158 1.000
Anti theft ERC T 6254 & T6255 0.945
3 Metal Liners
4 60 Kg T 3740 0.264
5 52 Kg T 3738 0.283
6 Comb 60 Kg&52 Kg T 3741 0.365
Comb 60 Kg&52 Kg T 3742 0.537
7 GFN Liners
8 60 Kg T 3706 0.048
9 52 Kg T 3702 0.052
10 Comb 60 Kg&52 Kg T 3707 0.058
Comb 60 Kg&52 Kg T 3708 0.061
11 End cut GFN Liners 60 Kg to T-3706 T 4511 0.181
12 End cut GFN Liners 52 Kg to T-3702 T 4322 0.200
13 GR Pads
14 60 Kg T 3711 0.165
15 52 Kg T 3703 0.150
16 GRSP 10mm thick
17 GRSP for SEJ 60 Kg/52 Kg T 4159 1.181
18 GRSP 60 Kg for 1 in 16 T/O T 5697 124.625
19 GRSP 1in 12 T/O T 4732 121.258
20 GRSP 1 in 8.5 T/O T 4865 81.325
21
GRSP 52 kg for derailing switches on PSC T 4814 to 5907 per set
78 Nos T 5836 36.000
22 GRSP for 1 in 16 CMS Xings with horns T 5893 28.325
23
GRSP 6mm th 60Kg/52 kg for 1 in 12 CMS Xing with horns T 4614 to
6210 T 4220 11.700
24
GRSP 6mm th 60Kg/52 kg for 1 in 8.5 CMS Xing with horns T
4965/4865 T 4967 9.472
25 GRSP 6 mm thick for 1 in 12 Heat treated welding Xing
26 GR Pads for 52 Kg Steel channel sleeper 10 mm thick T 5199 1.060 0.525
27 GR Pads for 60 Kg Steel channel sleeper 10 mm thick T 5156 1.200 0.597
28 GR Pads for 52 Kg Steel channel sleeper 6 mm thick T 5163 0.364 0.082
29 GR Pads for 60 Kg Steel channel sleeper 6 mm thick T 5163 0.364
30 GR Pads 6 mm thick for ST sleepers T 4850 0.120
31 CURVED SWITCHES
32 1 in 16 60 kg PSC T 5692 4764.000
33 1 in 16 52 kg PSC T 20143
34 1 in 12 60 kg PSC T 4219 4708.000
35 1 in 12 52 kg PSC T 4733 4435.714
36 1 in 8.5 60 kg PSC T 4966 4180.833
37 1 in 8.5 52 kg PSC T 4866 3778.235
38 Derailing switches 52 Kg with loose fittings T 5836 2947.000
39 Builtup xing 52 Kg 1 in 12 steel layout 700.000
40 CMS Xings
40 1 in 16 60 kg PSC T/o 1085.000
41 1 in 16 60 Kg Heat treated welding Xing
42 1 in 12 60 Kg Heat treated welding Xing 770.000
43 1 in 12 60 Kg PSC T 4220 970.000
44 1 in 12 52 Kg PSC T 4734 820.000
45 1 in 8.5 60 Kg PSC T 4967 668.000
46 1 in 8.5 52 Kg PSC T 4867 570.000
47 Glued Insulated Rail Joints 60 Kg T 5943 460.000
48 Glued Insulated Rail Joints 52 Kg T 5361 396.000
49 Check rail 60 Kg T 4018 245.270
50 Check rail 52 Kg T 4773 212.680
51 Loose fittings for 1in 12 60 Kg Curved switches PSC T 4219 1840.000
52 Loose fittings for 1in 8.5 60 Kg Curved switches PSC T 4966 697.000
53 Loose fittings for 1in 12 52 Kg Curved switches PSC T 7730 1780.000
54 Loose fittings for 1in 8.5 52 Kg Curved switches PSC 675.000 1300
Loose fittings for 1in 8.5 52 Kg Curved switches PSC Tongue 6400
mm 1260.000
SEJs
55 SEJ Rails 60 Kg PSC with fittings T 4165 1472.810 2230
56 SEJ Rails 52 Kg PSC with fittings T 4180 1284.500 2030
57 SEJ 60 Kg with fittings to lay on curves T 5748 2240.900
58 SEJ 52 Kg with fittings to lay on Bridge approaches T 6039 2123.536
59 loose fittings for SEJ 60 Kg PSC T 4165 720.320
60 loose fittings for SEJ 52 Kg PSC T 4160 712.760
Fish plates
61 Fish plates 60 Kg ordinary 610 mm long T 1898 17.600
62 Fish plates 52 Kg ordinary 610 mm long T 090 M 14.355
63 Fish plates 60 Kg ordinary 1m long with 6 holes T 5916 28.850
64 Fish plates 52 Kg ordinary 1m long with 6 holes T 5915 23.500
65 Grooved fishplates 60 kg1m long T 5851 28.200
66 Grooved fishplates 52 kg1m long T 5850 22.800
67 Joggled fishplates 60 Kg with 4 holes T 5849 20.250
68 Joggled fishplates 52 Kg with 4 holes T 5848 16.970 17.380
69 Joggled fishplates 60Kg with clamps & nuts T 5215 51.480
70 Joggled fishplates 52Kg with clamps & nuts T 5214 48.000
71 MS clamps with bolts and nuts for 60 kg joggled fishplates T 5854/1 7.020 5.520
72 MS clamps with bolts and nuts for 52 kg joggled fishplates T 5552&53 6.500 5.000
73 Combination fishplates 60 kg/52 Kg T 696 to 699 71/set
74 Combination fishplates 52 kg/90 R T 1901 48/set
75 Combination fishplates 90 R/75 R T 10494 40/set
76 Fish bolts &nuts 60 Kg T 1899 0.978
77 Fish bolts &nuts 52 Kg T 11501 0.940
78 Fish bolts &nuts 90R T 11502 0.940
79 Fish bolts &nuts 75R T 11503 0.940
80 Fish bolts &nuts 60R T 11502 0.650
81 Fish bolts &nuts 50R T 11503 0.409
82 Steel fittings for steel channel sleepers 60 Kg for bridges 17.000
83 Steel fittings for steel channel sleepers 52 Kg for bridges 19.134
84 Steel & CI fittings for PSC LC Sleepers 60 Kg T 4916 24.810
85 Steel & CI fittings for PSC LC Sleepers 52 Kg T 4783 22.598
86 Elastomeric pads for channel sleepers (4sets/sleepers) 5.732
89 Anti sabotage device with nuts& spl keys Multy line 0.578&0.353
90
60 Kg 1 in 12 Insl stretcher bars 10125mm for OR Curved switches
with fittings T 4219 117.864
91
52 Kg 1 in 12 Insl stretcher bars 10125mm for OR Curved switches
with fittings T 4733 115.864
92
60 Kg 1 in 8.5 Insl stretcher bars 10125mm for OR Curved switches
with fittings T 4966 90.050
93
52 Kg 1 in 8.5 Insl stretcher bars 10125mm for OR Curved switches
with fittings T 4866 88.550
94 Spring setting device 60 kg switches 100.000
95 Spring setting device 52 kg switches 100.000
96 Rail screw 60 Kg T 1035 0.473
97 Rail screw 52 Kg T 10675
98 Plate screw BG T 3913 0.586
99 Plate screw BG T 3912 0.550
100 Creep anchors 60 Kg 1.600
101 Creep anchors 52 Kg T 10327 1.500
102 Single coil spring washers 60/52Kg/90/75R T 10773 0.056
103 MS Spherical washers BG T 023(M) 0.584
104 RS canted bearing plates 60 Kg T 1033 6.504
105 RS canted bearing plates52/90 R round holes RT 516 6.210
176 CI Bearing plates 4 holes BG 52 Kg T 646
106 Steel Keys 2 way 52kg/90R T 405 0.485
107 Steel Keys over size BG T 580 0.773
108 Modified Loose jaws BG T 1801 0.480
109 MS Tie bars BG 12.620
110 MS Cotters centre split 0.370
Spherical washers 52kg/90 R T 023(M) 0.584
111 Hook bolts mm
112 22x175 1.862
113 22x200 1.937
114 22x225 2.012
115 22x250 2.086
116 22x275 2.160
117 22x300 2.235
118 22x325 2.310
119 22x350 2.384
120 MS Bolts&nuts (of various sizes for P&Xings) with washers
121 25x90 T 11504
122 25x100 T 11505 0.900
123 25x110 T 11506 0.939
124 25x120 T 11507 0.977
125 25x130 T 11508 1.016
126 25x140 T 11509 1.054
127 25x150 T 11510 1.093
128 25x160 T 11511 1.132
129 25x170 T 11512 1.170
130 25x180 T 11513 1.209
131 25x190 T 11514 1.247
132 25x200 T 11515 1.285
133 25x210 T 11516 1.324
134 25x220 T 11517 1.363
135 25x230 T 11518 1.401
136 25x240 T 11519 1.440
137 25x250 T 11520 1.478
138 25x260 T 11521 1.517
139 25x270 T 11522 1.566
140 25x280 T 11523 1.594
141 25x290 T 11524 1.632
142 25x300 T 11525 1.671
143 25x310 T 11526 1.709
144 25x320 T 11527 1.748
145 25x330 T 11528 1.786
146 25x340 T 11529 1.825
147 25x350 T 11530 1.863
148 25x360 T 11531 1.902
149 25x370 T 11532 1.941
150 25x380 T 11533 1.979
151 25x390 T 11534 2.018
152 25x400 T 11535 2.056
153 25x410 T 11536 2.095
154 25x420 T 11537 2.133
155 25x430 T 11538 2.172
156 25x440 T 11539 2.210
157 25x450 T 11540 2.249
158 25x480 T 11543 2.364
159 25x500 T 11545 2.441
160 25x530 T 11548 2.577
161 MS Bolts for SEJ
162 60 Kg 25x95 T 2659 0.720 0.81
163 52 Kg 25x110 T 2660 0.790 0.867
164 Stud bolts 25x90 mm T 11504 0.786 0.862
165 Stud bolts thin head 22x75 half head T 11624 0.478 0.394
166 Stud bolts thick head 22x75 full head T 11623 0.564
167 Cut head bolts 18x70 0.295
168 Cut head bolts 18x80 0.315 0.26
169 Cut head bolts 18x90 0.241
170 Strecher bar bolts 18x75 T 11635 0.358 0.353
171 Strecher bar bolts 18x80 T 11636 0.368 0.363
172 Strecher bar bolts 18x90 T 11637 0.388 0.373
MS bolts 50 R T 11503 0.407
173 52 Kg 1 in 12 Xing Tie plate BG T 115110 93.000 106.00
174 52 Kg 1 in 8.5 Xing Tie plate BG T 15113 93.000 106.00
175 MS canted bearing plates RDSO Cl I Drg GM/W/SC/BR/82/97/Alt-1 T 5155 10.675 6.27
176 SEJ Fittings T 4160 52 Kg
177 C.I Chair T 4161 43.000
178 C.I Chair T 4162 43.800
179 C.I Chair T 4163 39.000
180 MS Bracket T 4180 8.000
181 MS Bracket T 4181 7.750
182 MS Bracket T 4182 11.875
183 Angle Tie T 4164 36.000
184 Plate Screw T 3911 0.475
185 Plate Screw T 3915 0.575
186 Plastic dowel T 3002
187 SEJ Fittings T 4165 60 Kg
188 C.I Chair T 4166 44.000
189 C.I Chair T 4167 44.000
190 C.I Chair T 4168 39.500
191 MS Bracket T 2656 9.000
192 MS Bracket T 2657 8.500
193 MS Bracket T 2658 13.500
194 Angle Tie T 4164 36.000
195 Plate Screw T 3911 0.475
196 Plate Screw T 3915 0.575
Weights of pway.pdf

Weights of pway.pdf

  • 1.
    NOMINAL WEIGHTS OFP.WAY MATERIALS Sl.No Item Nomenclature BG/ MG RDSO Drg No Weight 1 Rail 60 Kg BG 60.34 Kg/m 2 Rail 52 Kg BG T 630/5 51.89Kg/m 3 Rail 100 lbs BG 49.60 kg/m 4 Rail 90 R BG T 630/4 44.61 Kg/m 5 Rail 85 Lbs BG 42.16 Kg/m 6 Rail 82 lbs BG 40.90 kg/m 7 Rail 75 R BG T630/3 37.13 Kg/m 8 Rail 68 BH MG 33.72kg/m 9 Rail 66 1/4 Lbs MG 33.05 Kg/m 10 Rail 60 R MG T 630/2 29.76Kg/m 11 Rail 60 Lbs MG 28.62 Kg/m 12 Rail 50 R MG 24.80 Kg/m 13 Rail 41 1/4 Lbs MG 20.46 kg/m 14 formula for 80 BH rail = 80/0.9144x2.2046 = 37.684 Kg/m 15 ST Sleepers 52 Kg/90 R BG T 460(M) 78.69 Kg each 16 ST Sleepers 75 R BG T 10273 71.80 Kg/each 17 ST Sleepers 85 Lbs BG 69.38 Kg/each 18 ST Sleepers 75 R MG T 10271 33.01 Kg/each 19 ST Sleepers 60 R MG T 10272 33.01 Kg/each 20 Steel sleeper with slide chairs MG 63.00 Kg/each 21 Steel sleeper P&Xing MG 23.60 Kg/metre 22 Steel sleeper with slide chairs BG 116.50 Kg/each 23 Steel sleeper P&Xing BG 35.50 Kg/metre 24 Steel Sleepers 25 Steel Sleepers 52 Kg/90 R BG 78.69 Kg/each 26 Steel Sleepers 75 R BG 71.80 Kg/each
  • 2.
    27 Steel Sleepers75 R/60 R/50 R MG 33.01 Kg/each 28 ST Sleeper for P&Xings 1 in 12 BG 355 Kg/metre 29 ST Sleeper Turn out 51 nos 1 in 8.5 BG 8.440 MT/set 30 ST Sleeper Turn out 70 nos 1 in 12 BG 11.448 MT/set 31 Flattened ST sleeper 25.0 Kg/each 32 Cast Iron Sleepers 52 Kg/90 R BG T 478(M)/T 10221 43.55 Kg/each 33 Cast Iron Sleepers 75 R BG T 493 (M)/T 439(M) 24.50Kg/each 34 Cast Iron Sleepers 60 R MG T 10232&257 25.07 Kg/each 35 Cast Iron Sleepers 75 R T 2363 to T 2364 34.50 Kg/Pot 36 CST-9 Linked to Keys BG BG T 479 to T 10221 101.2 Kg/each 37 CST9 sleepers 52 Kg/90 R BG T 478(M) 43.55 Kg/Pot 38 CST9 sleepers 75 R BG 87.10 Kg/each 39 CST9 sleepers 75 R MG 49 Kg/each 40 CST9 sleepers 60 R T 10257 25.07 Kg/pot 41 CST9 sleepers 60 R T 10232 25.00 Kg/pot 42 CST9 sleepers 50 R 101.2 Kg/each 43 CST9 sleepers 90 R MG 70.00 Kg/each 44 CI Linked pots 114 Kg/each 45 CI Pot single 50Kg/each 46 CI Linked pot 90 BH 120 Kg/each 47 CI Linked pot 50 BH 44 Kg/each 48 PSC sleepers BG 288.5 Kg/each 49 PSC sleepers MG 160 Kg/each 50 PSC Twin block sleeper 215 Kgs 51 PSC Twin block sleeper MG 1.50 Kg/each 52 Tie bars 52 Kg/90 R BG T 404 (M) 12.62 Kg/each 53 Tie bars 75 R /60R T 433(M) 6.45 Kg/each 54 Tie bars 90 R MG T 2368 8.996 Kg/each
  • 3.
    55 Tie bars Tiebars for CI Pot sleeper 9.14 Kg/each 56 Tie bars 75 R/60 R 6.05 Kg/each 57 Tie bars 90 R MG T 401(M) 0.370 Kg/each 58 MS Tie bar T 4711 20 Kg 59 Cotters BG MG T 424(m) 0.370 Kg/each 60 Fish Plates 60 Kg RT 1898 (610 mm) 17.60 kg 61 Fish Plates 60 Kg (1m) 14.355 kg/pair 62 Fish Plates 52 Kg T 090(M) 14.355 Kg/each 63 Fish Plates 52 Kg (1m) 13.055 each 64 Fish Plates 90 R (610 mm) T 1(M) 13.055 Kg/each 65 Fish Plates 90 R (460 mm ) T 059(M) 9.765 Kg/each 66 Fish Plates 75 R T 060(M) 6.79 Kg/each 67 Fish Plates 60 R T 061(M) 4.920 Kg/each 68 Fish Plates 90 R 25.93 Kgs/pair 69 Fish Plates 41 1/4 2.85 kg/each 70 Fish Plates 50 R CSO/C 1898M 4.154 kg/pair 71 Fish Plates 50R 4.15 72 Fish Plates 80 BH 9.08 kgs/each 73 Fish Plates 85 lbs 7.01 Kg/each 74 Fish plates of glued joint 60 Kg 30.50 Kg/two nos 75 Fish plates of glued joint 52 Kg 26.50 Kg/two nos 76 Fishplates Joggled with clamps & bolts 52 Kg 17.25 kg/each 77 Fishplates Joggled with clamps & bolts 60 Kg 47.20 kg/each 78 Fishplates Joggled with clamps & bolts 50 R(18x90) T 11503 0.420 kg/Each
  • 4.
    79 Fishplates Joggledwith clamps & bolts 0.420 kg/Each 80 Fish plates Combination 60 Kg/52 Kg T 696 to 699 71.00 Kg/set (4 nos) 81 Fish plates Combination 52 Kg/90R T 1900 to 1901 48.00 Kg/set(4 nos) 82 Fish plates Combination 90 R/75 R T 10941 to 10944 40.00 Kg/(4 Nos) 83 Fish plates Combination 75 R/60 R T 10491 to 10494 36.00 kg/set(4 nos) 84 Fish plates Combination 60 R/50 R 22.00 Kg/set 85 Fish plates Combination 60 R/80 BH 7.00 Kg/each 86 Fish bolts &nuts 60 Kg 0.654 kg/Each 87 Fish bolts &nuts 52 Kg/90 R/75 R BG (25x130) T 11501 0.940 Kg/each 88 Fish bolts &nuts 60R (22x105) T 11502 0.654 Kg/each 89 Fish bolts &nuts 50 R (18x90) 0.420 Kg/each 90 Fish bolts &nuts 80 BH 0.800 Kg/each 91 Steel Keys 52 Kg/90 R/75 R BG 0.485 Kg/each 92 Steel Keys 60 R/50 R 0.430 Kg/each 93 Two way Keys 52 Kg/90 R/75 R T 405 0.485 Kg each 94 Two way Keys 60 R T 413 0.435 Kg/each 95 Steel keys over size T 580 0.773 kg/each 96 Dog spikes T 276(M) 0.385 kg/each 97 Dog spikes T 277(M) 0.335kg/each 98 Dog spikes T 278(M) 0.305 kg/each 99 Dog spikes T 279(M) 0.285 kg/each 100 Round spikes 160 mm long T 019(M) 0.459 kg/each 101 Round spikes 150 mm long T 018(M) 0.439 kg/each 102 Plate screw 20mm dia 120 mm length T 10679 0.365 kg/each 103 Plate screw 20mm dia 135 mm length T 10678 0.385 kg/each 104 Plate screw 20mm dia 160 mm length T 10677 0.415 kg/each 105 Plate screw 20mm dia 170 mm length T 10678 0.621 kg/each
  • 5.
    106 Plate screw20mm dia 180 mm length T 10679 0.656kg/each 107 Plate screw 20mm dia 190 mm length T 10680 0.692 kg/each 108 Plate screw 20mm dia 200 mm length T 10681 0.721 kg/each 109 Plate screw 20mm dia 220 mm length T 10682 0.744 kg/each 110 Plate screw T 3913 0.555 kg 111 Rail screw 22 mm dia 135 mm length T 10675 0.473 kg/each 112 Rail screw 22 mm dia 120 mm length T 10673 0.455 kg/each 113 Rail screw 22 mm dia 110 mm length T 10674 0.430 kg/each 114 Flat bearing plates 52 Kg/90R T 1994 M 8.72 kg/each 115 Flat bearing plates 75 R T 12545 3.57kg/each 116 Flat bearing plates 60R T 12581 3.57 Kg/each 117 Flat bearing plates 60 R &50R T 10499 to T 10500 3.80 kg/each 118 Flat bearing plates 52 Kg/90R T 13164 8.60 kg/each 119 MS canted Bearing plates 60 Kg 6.76 kg/each 120 MS canted Bearing plates With square holes for 52 Kg/90 R&75 R T 10430 6.27 kg/each 121 MS canted Bearing plates With square holes T 1033 6.76 Kg/each 122 MS canted Bearing plates 75 R T 10431 3.30 Kg/each 123 MS canted Bearing plates 60 R T 10432 3.30 Kg/each 124 MS canted Bearing plates With round holes for 52 Kg/90 R RT 516 6.21 kg/each 125 MS canted Bearing plates round holes MG 4.22 kg/each 126 MS canted Bearing plates 75 R RT 664 3.33 Kg/each 127 ACB Plates With one key T 10141 10.76 kg/each 128 ACB Plates With two keys T 10142 11.26 kg/each 129 ACB Plates 60 R 8.000kg/each 130 ACB Plates of 4 holes 52 Kg/90R T 10151 11.20 kg/each 131 ACB Plates of 4 holes 75 R T 10152 9.00 kg/each
  • 6.
    132 ACB platesof 3 holes 75 R T 10146 8.00 kg/each 133 ACB plates of 3 holes 60 R t 10148 8.00 kg/each 134 Level crossing chairs 52 Kg/90R T 3273 16.00 kg/each 135 Level crossing chairs T 3278 16.50 kg/each 136 Elastic rail clips ERC T 1892 1.00 kg/each 137 Elastic rail clips ERC T 3700 1.00 kg/each 138 Elastic rail clips ERC Mk III T 3701 0.91 kg/each 139 Elastic rail clips T 3702 0.952 kg/each 140 Elastic rail clips ERC Mk II T 3722 0.60 kg/each 141 Loose Jaws 52 Kg/90 R T 415 28.80 Kg/100 Nos 142 Loose Jaws 75 R T 10003 28.1 kg/100 nos 143 Loose Jaws 75 R T 419 23.1 kg/100 nos 144 Loose Jaws 60 R &50R 21.5 kg/100 nos 145 Modified loose jaw 0.480 kg/each 146 Single coil spring washer T 10772 0.056 Kg/each 147 Double coil spring washer T 1878 0.080 Kg/each 148 Packing plates/pieces T 1878 0.0673 Kg/each 149 Packing plates/pieces T 026 M 0.0101 Kg/each 150 MS Liners with ERC drg T 8700 T 3700 0.283 Kg/each 151 MS Liners with ERC drg T 8701 52 Kg/90 R T 3722 0.196 Kg/each 152 MS Liners with ERC drg T 8702 60 Kg/52 kg T 3740 0.264 Kg/each 153 MS Liner T 3738 0.283 Kg 154 MS Liner T 3739 0.196 Kg 155 MS Liner T 3741 0.325 Kg 156 MS Liner T 3742 0.425 Kg 157 GFN Liners T 3707 0.070 Kg/each 158 GFN Liners 60 Kg/52 kg T 3708 0.264 Kg/each 159 GFN Liners T 3702 0.045 Kg 160 Hook bolt 250 mm MG 1.40 Kg/each 161 fair v anchor BG 2.0 Kg/each
  • 7.
    162 MCI insertsT 381,T 2449 1.57 Kg/each 163 MCI inserts T 2071 1.60 Kg/each 164 MCI inserts T 3087/2501 1.00 Kg/each 165 SEJ 52 Kg 900 Kg 166 SEJ 1 in 8.5 BG 355 Kg/metre 167 Glued Joints with two pairs fish plates 60 Kg 452 Kg 168 Glued Joints with two pairs fish plates 52 kg 389 Kgs 169 Dip lorry 7.5 T capacity BG 400 Kg/each 170 LC Chair 60 R 5.000 kg/each 171 Tounge rail 52 kg 4.725 m 220.00 Kg Approx 172 Tounge rail 90 R 4.725 m 190Kg Approx 173 Tounge rail 52 Kg 7.620 m 420.00 Kg Approx 174 Tounge rail 90 R 7.620 m 360.00 Kg Approx 175 Tounge rail 60 R 8.56 m 180.00 Kg Approx 176 Tounge rail 50 R 8.56 m 150.00 Kg Approx 177 Tounge rail 50 R 4.11 m 105.00 Kg Approx 178 Tounge rail 4.11 m 88.00 Kg Approx 179 Tounge rail 41 1/4 Lbs 3.66 m 64.00 Kg Approx 180 Tounge rail 5.49 m 94.00 Kg Approx 181 Tounge rail 90 R 11.00 m 384 Kg 182 Tounge rail 52 Kg 11.00 m 444 Kg 183 Tounge rail 60 Kg 11.00 m 516 Kg 184 Tounge rail 52 Kg 11.90 m 534 Kg 185 Tounge rail 60 Kg 11.90 m 621 Kg 186 Curved Switch 60 Kg ( 6.4 m ) 1 in 16 4180.833Kg 187 Curved Switch 60Kg (10.125m ) 1in 12 4708.000Kg 188 Curved Switch 52Kg (6.4m) 1in 12 3778.235Kg 189 Curved Switch 52 Kg (10.125m) 1 in 12 4435.714 Kg
  • 8.
    190 Trap switchwith fittings 52 kg 1 in 8.5 2947.00 Kg 191 Tounge rail 60 Kg 12.935 m 611 kg 192 Tounge rail 52 Kg 12.935 m 526 Kg 193 Tounge rail 60 Kg 12.356 m 592 Kg 194 Tounge rail 52 Kg 12.356 m 510 Kg 195 Tounge rail 60 Kg 9.02 m 427 Kg 196 Tounge rail 52 Kg 9.02 m 367 Kg 197 Tounge rail 90 R 9.02 m 316 Kg 198 Tounge rail 60 Kg 7.62 m 361 Kg 199 Tounge rail 52 Kg 7.62 m 412 Kg 200 Tounge rail 52 Kg 4.725 m 220 Kg 201 Tounge rail 90 R 7.620 m 267 Kg 202 Tounge rail 90 R 4.725 m 190 Kg 203 General formula for tongue rail =(total length-switch length)xsec wt+ switch lengthx0.75 204 Wing Rail 1 in 8.5 3.42 m 3.42xsecx0.95 205 Wing Rail 1 in 12 4.33 m 4.33xsecx0.95 206 Wing Rail 1 in 16 5.29 m 5.29xsecx0.95 207 Wing Rail 60 Kg 5.29 m 287 Kg 208 Wing Rail 60 Kg 4.32 m 190 Kg 209 Wing Rail 60 Kg 3.42 m 175 Kg 210 Wing Rail 52 kG 5.29 m 247 Kg 211 Wing Rail 52 kG 4.32 m 202 Kg 212 Wing Rail 52 kG 3.42 m 160 Kg 213 Wing Rail 90 R 5.29 m 212 Kg 214 Wing Rail 90 R 4.32 m 175 Kg 215 Wing Rail 90 R 3.42 m 137 Kg 216 Wing Rail 52 kG 1 in 16 5.29x sec weightx0.95 217 Wing Rail 52 kG 1 in 12 4.33xsec weightx0.95 218 Wing Rail 52 kG 1 in 8.5 3.42x sec weightx0.95 219 Wing Rail 50 Lbs 62 Kg/each
  • 9.
    220 Wing Rail60 Lbs 102 Kg/each 221 Check Rail 60 Kg 4.00 m 226 Kg 222 Check Rail 60 Kg 4.33 m 241 Kg 223 Check Rail 60 Kg 4.50 m 251 Kg 224 Check Rail 60 Kg 4.80 m 270 Kg 225 Check Rail 60 Kg 4.00 m 226 Kg 226 Check Rail 52 Kg 4.00 m 206 Kg 227 Check Rail 52 Kg 4.33 m 208 Kg 228 Check Rail 52 Kg 4.50 m 217 Kg 229 Check Rail 52 Kg 4.80 m 230 Kg 230 Check Rail 52 Kg 4.00 m 205 Kg 231 Check Rail 90 R 4.80 m 200 Kg 232 Check Rail 90 R 4.00 m 180 Kg 233 Check Rail 90 R 4.00 m 168 kg 234 Check Rail 60 R 3.96 m 120 Kg 235 Check Rail 50 R 3.96 m 100 Kg 236 Check Rail 41 1/4 lbs 3.20 m 70 kg 237 Check rail 52 Kg 4.00 mt 206 Kg/each 238 Check rail 90 R 4.00 mt 180 Kg/each 239 Check rail 60 R 3.96m 120 Kg/each 240 Check rail 50 R 3.96m 100 Kg/each 241 Check rail 41 1/4 lbs 3.20 M 70 Kg/each 242 General formula for check rail =length of check railxsec wt-16 (60Kg),14(52kg),12 (90 R) 243 Nose rail 1 in 16 4.339x sec wtx0.75x2 244 Nose rail 1 in 12 3.65x sec wtx0.75x2 245 Nose rail 1 in 8.5 3.00x sec wtx0.75x2 246 Nose rail 60 Kg 1 in 16 393 Kg 247 Nose rail 60 Kg 1 in 12 300 Kg 248 Nose rail 60 Kg 1 in 8.5 272 Kg 249 Nose rail 52 Kg 1 in 16 338 Kg
  • 10.
    250 Nose rail52 Kg 1 in 12 284 Kg 251 Nose rail 52 Kg 1 in 8.5 234 Kg 252 Nose rail 90 R 1 in 16 290 Kg 253 Nose rail 90 R 1 in 12 244 Kg 254 Nose rail 90 R 1 in 8.5 200 Kg 255 Nose rail 60 R 8.56 m 180 Kg 256 Nose rail 60 R 4.11 m 105 Kg 257 Nose rail 50 R 8.56 m 150 Kg 258 Nose rail 50 R 4.11 m 88 Kg 259 Nose rail 411/4 lbs 5.49 m 94 Kg 260 Nose rail 411/4 lbs 3.66 m 64 Kg 261 Nose rail 60 R 1 in 12 - 4.80 m 280 Kg 262 Nose rail 60 R 1 in 8.5 - 4.80 m 300 Kg 263 Nose rail 50 R 1 in 12 - 4.80 m 230 Kg 264 Nose rail 50 R 1 in 8.5 - 4.80 m 250 Kg 265 Nose rail 411/4 lbs 1 in 12 - 4.75 m 197 Kg 266 Nose rail 411/4 lbs 1 in 8.5 3.66 m 210 Kg 267 Nose rail 50 Lbs 108 Kgs 268 Nose rail 1 in 8.5 3.00 m 3.00xsecx(0.75 to 0.80)x2 269 Nose rail 1 in 12 3.65 m 3.65xsecx0.95 270 Nose rail 1 in 16 4.339 m 4.339xsecx0.95 271 CMS Xing 60 Kg 1 in 16 FS 1085 Kg 272 CMS Xing 60 Kg 1 in 12 FS WL 970 Kg 273 CMS Xing 52 kG 1 in 16 FS 934 Kg 274 CMS Xing 52 kG 1 in 12 FS 820 Kg 275 CMS Xing 52 kG 1 in 12 WL 630 Kg 276 CMS Xing 60 Kg 1 in 8.5 650 Kg 277 CMS Xing 52 kG 1 in 8.5 FS 570 Kg 278 CMS Xing 52 kG 1 in 8.5 WL 500 Kg
  • 11.
    279 CMS Xing60 kG 1 in 8.5 FS 668 Kg 280 CMS Xing 52 Kg 1 in 12 750 Kg 281 CMS Xing 60 Kg 1 in 12 800 Kg 282 Built up Xing 60 Kg 1 in 12 770 Kg 283 Built up Xing 60 Kg 1 in 8.5 650 Kg 284 Built up Xing 52 kG 1 in 16 830 Kg 285 Built up Xing 52 kG 1 in 12 700 Kg 286 Built up Xing 52 kG 1 in 8.5 550 Kg 287 Built up Xing 90 R 1 in 16 710 Kg 288 Built up Xing 90 R 1 in 12 620 Kg 289 Built up Xing 90 R 1 in 8.5 470 Kg 290 Builtup Xing 60 Kg 1 in 8.5 650 Kg 291 Builtup Xing 60 Kg 1 in 12 770 Kg 292 Builtup Xing 60 Kg 1 in 16 970 Kg 293 Builtup Xing 52 Kg 1 in 8.5 520 Kg 294 Builtup Xing 90 R 1 in 8.5 450 Kg 295 Builtup Xing 90 R 1 in 12 620 Kg 296 Builtup Xing 90 R 1 in 16 710 Kg 297 Builtup Xing 60 R 1 in 8.5 300 Kg 298 Builtup Xing 52Kg 1 in 12 650 Kg 299 Builtup Xing 52Kg 1 in 16 830 Kg 300 Builtup Xing 90R 1 in 12 560 Kg 301 Builtup Xing 60 R 1 in 12 280 Kg 302 Builtup Xing 50 R 1 in 12 230 Kg 303 Builtup Xing 50 R 1 in 8.5 250 Kg 304 Builtup Xing 41 1/4 lbs 1 in 12 190 Kg 305 LC check rail=(25%less from original rail weight 80 BH Check rail 37.684 Kg/m 306 Slide chairs 22 Kg 307 Slide chairs for wooden layout 52 Kg T 4930 19.10 kg/each
  • 12.
    308 Slide chairsfor wooden layout 17.00 kg/each 309 Slide chairs for wooden layout 90 R T 4931 19.10 kg/each 310 Slide chairs for wooden layout 17.00 kg/each 311 Slide chairs for wooden layout 75 R T 19504 9.40 kg/each 312 Slide chairs for wooden layout 60 R T 19504 9.40 kg/each 313 Slide chairs for wooden layout 60 R T 19506 9.40kg/each 314 Bearing Plate T 4736 30 Kg 315 Flat bearing plate 52 Kg/90 R 8.720 Kg/each 316 Flat bearing plate 75 R 3.800 Kg/each 317 Flat bearing plate 60 R/50 R 3.570 Kg/each 318 Flat bearing plate T 13164 8.600 Kg/each 319 Special bearing plate Switch/crossing 1 in 8.5 11.30 Kg/each(av) 320 Special bearing plate MG 1 in 12 15.40 Kg/each(av) 321 Check rail bearing plate 52 kg 10 Kg/each 322 Check rail bearing plate 90 R 10 Kg/each 323 MS stud bolts &nuts 25 mm dia Full head 0.400 Kg/each 324 MS stud bolts &nuts Half head .0300 Kg/each 325 Stetcher bar BG Leading 13.07 Kg/each 326 Stetcher bar BG Following 10.03 Kg/each 327 Stetcher bar MG Leading 6.50Kg/each 328 Stetcher bar MG Following 5.00Kg/each 329 Insulated leading strecher bar T 4764/65 15 Kg 330 Stretcher bar bolt 0.100 Kg/each 331 MS Lug BG 3.00 Kg/each 332 MS Lug MG T 083M 2.03 kg/each 333 MS Lug MG 2.00 Kg/each 334 MS Lug T 283 3.950 Kg 335 Switch tieplate ord BG 67.462 Kg/each 336 Switch tieplate ord MG 35.00 Kg/each 337 Crossing tieplate ord BG 1 in 12 89.72 Kg/each
  • 13.
    338 Crossing tieplateord BG 1 in 8.5 90.00 Kg/each 339 Crossing tieplate ord MG 1 in 12 35.00 Kg/each 340 Crossing tieplate ord MG 1 in 8.5 54.00 Kg/each 341 Tie plates RT 3043 93.34 kg/each 342 Tie plates RT 3025/RT 3026 53.00 kg/each 343 Tie plates Rt 10740 1.0033 kg/each 344 Insulated Tie Plates T 5023 105 Kg 345 MS Plates T 5901 20 Kg 346 MS Bracket BG 1.035kg/each 347 MS Bracket MG 3.0 kg/each 348 MS bracket T 2631 2.20 Kg 349 Self Reversing adjustment spring lever point box BG 70.0 kg/each 350 Self Reversing adjustment spring lever point box MG 50.0 kg/each 351 MS Pull rod BG 17 kg/each 352 MS Pull rod MG 13 kg/each 353 MS Bolts & nuts 20x80 0.45 kg/each 354 MS Bolts & nuts 20x90 0.50 kg/each 355 MS Bolts & nuts 25x150 1.00 kg/each 356 MS Bolts & nuts 25x175 1.10 kg/each 357 MS Bolts & nuts 25x200 1.20 kg/each 358 MS Bolts & nuts 25x225 1.30 kg/each 359 MS Bolts & nuts 25x250 1.40 kg/each 360 MS Bolts & nuts 25x275 1.50 kg/each 361 MS Bolts & nuts 25x300 1.60 kg/each 362 MS Bolts &nuts 18x90 T 11637 0.35 363 MS Bolts &nuts 18x80 T 11635 0.375 364 MS Bolts &nuts 25x360 T 11531 1.8 365 MS Bolts &nuts 25x390 T 11534 1.9 366 MS Bolts &nuts 25x90 half head T 11504
  • 14.
    367 MS Bolts&nuts 25x90 full head T 11642 0.75 368 Special washers 25 mm 1.50 kg/set 369 Single coil Spring washer 0.02 kg/each 370 Single coil spring washer T 10773 0.050 Kg 371 MS flat washer 25mm dia 0.03 kg/each 372 CI washers for buffer 25 mm 0.05 kg/each 373 Buffer stop BG 500 kg/each 374 CI Block T 4762 25 Kg 375 Heel blocks 52 Kg 1 in 8.5 14 Kg/each 376 Heel blocks 90 R 14 Kg/each 377 Heel blocks 52 Kg 1 in 12 9.0 Kg/each 378 Heel blocks 90 R 9.0 Kg/each 379 Distant blocks 52 Kg 1 in 8.5 11.0 Kg/each 380 Distant blocks 90 R 11.0 Kg/each 381 Distant blocks 52 Kg 1 in 12 11.0 Kg/each 382 Distant blocks 90 R 11.0 Kg/each 383 Check blocks 52 kg inter 5.0 Kg/each 384 Check blocks 52kg ends 6.0 Kg/each 385 Check blocks 90 R inter 5.0 Kg/each 386 Check blocks 90 R ends 6.0 Kg/each 387 Sperical washers set 0.43 Kg/each 388 GR Pad T 3711 0.226 kg 389 GR Pad T 3703 0.207 Kg 390 Switch lengths Total length switch length 391 1 in 8.5 straight 4.72 m 4.72 m 392 1 in 8.5 curved 7.62 m 6.40 m 393 1 in 12 straight 7.62 m 6.40 m 394 1 in 12 curved 9.020 m 7.320 m 395 1 in 16 curved 11.00 m 9.75 m 396 1 in 8.5 FS layout 11.90 m 6.40 m
  • 15.
    397 1 in12 FS layout 12.356 m 10.125 m 398 1 in 16 FS layout 12.935 m 11.20 m 399 Switches 400 Type OR length in mts Sectional wt in kgs 401 Switches 90 R 52 Kg 402 1 in 8.5 4.72/4.72 158 183 403 1 in 8.5 7.62/6.40 267 312 404 1 in 12 7.62/6.40 267 312 405 1 in 12 9.02/7.732 316 367 406 1 in 16 11.00/9.75 382 444 407 1 in 8.5 11.90/6.40 - 534 408 1 in 12 12.356/10.125 - 510 409 1 in 16 12.935/11.200 - 526 410 Check Rails 411 1 in 8.5 4.00 168 205 412 1 in 12 4.00 168 205 413 1 in 16 4.80 200 230 414 FS 4.50 - 217 415 FS 4.33 - 208 416 Xings 417 1 in 8.5 470 550 418 1 in 12 660 770 419 1 in 16 740 860 420 Wing Rail 421 1 in 8.5 3.42 160 187 422 1 in 12 4.32 183 213 423 1 in 16 5.27 224 260 424 CMS Xings 425 1 in 8.5 500 wooden/570 CMS 426 1 in 12 630 wooden
  • 16.
    427 1 in16 428 Nose Rail (V piece ) 429 1 in 8.5 200 233 430 1 in 12 244 284 431 1 in 16 290 337
  • 17.
    NOMINAL WEIGHTS OFP.WAY MATERIALS Sl.No Item RDSO Drg No Weight in Kgs 1 ERC Mark III T 3701 0.910 2 ERC J Type T 4158 1.000 Anti theft ERC T 6254 & T6255 0.945 3 Metal Liners 4 60 Kg T 3740 0.264 5 52 Kg T 3738 0.283 6 Comb 60 Kg&52 Kg T 3741 0.365 Comb 60 Kg&52 Kg T 3742 0.537 7 GFN Liners 8 60 Kg T 3706 0.048 9 52 Kg T 3702 0.052 10 Comb 60 Kg&52 Kg T 3707 0.058 Comb 60 Kg&52 Kg T 3708 0.061 11 End cut GFN Liners 60 Kg to T-3706 T 4511 0.181 12 End cut GFN Liners 52 Kg to T-3702 T 4322 0.200 13 GR Pads 14 60 Kg T 3711 0.165 15 52 Kg T 3703 0.150 16 GRSP 10mm thick 17 GRSP for SEJ 60 Kg/52 Kg T 4159 1.181 18 GRSP 60 Kg for 1 in 16 T/O T 5697 124.625 19 GRSP 1in 12 T/O T 4732 121.258 20 GRSP 1 in 8.5 T/O T 4865 81.325 21 GRSP 52 kg for derailing switches on PSC T 4814 to 5907 per set 78 Nos T 5836 36.000 22 GRSP for 1 in 16 CMS Xings with horns T 5893 28.325
  • 18.
    23 GRSP 6mm th60Kg/52 kg for 1 in 12 CMS Xing with horns T 4614 to 6210 T 4220 11.700 24 GRSP 6mm th 60Kg/52 kg for 1 in 8.5 CMS Xing with horns T 4965/4865 T 4967 9.472 25 GRSP 6 mm thick for 1 in 12 Heat treated welding Xing 26 GR Pads for 52 Kg Steel channel sleeper 10 mm thick T 5199 1.060 0.525 27 GR Pads for 60 Kg Steel channel sleeper 10 mm thick T 5156 1.200 0.597 28 GR Pads for 52 Kg Steel channel sleeper 6 mm thick T 5163 0.364 0.082 29 GR Pads for 60 Kg Steel channel sleeper 6 mm thick T 5163 0.364 30 GR Pads 6 mm thick for ST sleepers T 4850 0.120 31 CURVED SWITCHES 32 1 in 16 60 kg PSC T 5692 4764.000 33 1 in 16 52 kg PSC T 20143 34 1 in 12 60 kg PSC T 4219 4708.000 35 1 in 12 52 kg PSC T 4733 4435.714 36 1 in 8.5 60 kg PSC T 4966 4180.833 37 1 in 8.5 52 kg PSC T 4866 3778.235 38 Derailing switches 52 Kg with loose fittings T 5836 2947.000 39 Builtup xing 52 Kg 1 in 12 steel layout 700.000 40 CMS Xings 40 1 in 16 60 kg PSC T/o 1085.000 41 1 in 16 60 Kg Heat treated welding Xing 42 1 in 12 60 Kg Heat treated welding Xing 770.000 43 1 in 12 60 Kg PSC T 4220 970.000 44 1 in 12 52 Kg PSC T 4734 820.000 45 1 in 8.5 60 Kg PSC T 4967 668.000 46 1 in 8.5 52 Kg PSC T 4867 570.000 47 Glued Insulated Rail Joints 60 Kg T 5943 460.000 48 Glued Insulated Rail Joints 52 Kg T 5361 396.000 49 Check rail 60 Kg T 4018 245.270
  • 19.
    50 Check rail52 Kg T 4773 212.680 51 Loose fittings for 1in 12 60 Kg Curved switches PSC T 4219 1840.000 52 Loose fittings for 1in 8.5 60 Kg Curved switches PSC T 4966 697.000 53 Loose fittings for 1in 12 52 Kg Curved switches PSC T 7730 1780.000 54 Loose fittings for 1in 8.5 52 Kg Curved switches PSC 675.000 1300 Loose fittings for 1in 8.5 52 Kg Curved switches PSC Tongue 6400 mm 1260.000 SEJs 55 SEJ Rails 60 Kg PSC with fittings T 4165 1472.810 2230 56 SEJ Rails 52 Kg PSC with fittings T 4180 1284.500 2030 57 SEJ 60 Kg with fittings to lay on curves T 5748 2240.900 58 SEJ 52 Kg with fittings to lay on Bridge approaches T 6039 2123.536 59 loose fittings for SEJ 60 Kg PSC T 4165 720.320 60 loose fittings for SEJ 52 Kg PSC T 4160 712.760 Fish plates 61 Fish plates 60 Kg ordinary 610 mm long T 1898 17.600 62 Fish plates 52 Kg ordinary 610 mm long T 090 M 14.355 63 Fish plates 60 Kg ordinary 1m long with 6 holes T 5916 28.850 64 Fish plates 52 Kg ordinary 1m long with 6 holes T 5915 23.500 65 Grooved fishplates 60 kg1m long T 5851 28.200 66 Grooved fishplates 52 kg1m long T 5850 22.800 67 Joggled fishplates 60 Kg with 4 holes T 5849 20.250 68 Joggled fishplates 52 Kg with 4 holes T 5848 16.970 17.380 69 Joggled fishplates 60Kg with clamps & nuts T 5215 51.480 70 Joggled fishplates 52Kg with clamps & nuts T 5214 48.000 71 MS clamps with bolts and nuts for 60 kg joggled fishplates T 5854/1 7.020 5.520 72 MS clamps with bolts and nuts for 52 kg joggled fishplates T 5552&53 6.500 5.000 73 Combination fishplates 60 kg/52 Kg T 696 to 699 71/set 74 Combination fishplates 52 kg/90 R T 1901 48/set 75 Combination fishplates 90 R/75 R T 10494 40/set
  • 20.
    76 Fish bolts&nuts 60 Kg T 1899 0.978 77 Fish bolts &nuts 52 Kg T 11501 0.940 78 Fish bolts &nuts 90R T 11502 0.940 79 Fish bolts &nuts 75R T 11503 0.940 80 Fish bolts &nuts 60R T 11502 0.650 81 Fish bolts &nuts 50R T 11503 0.409 82 Steel fittings for steel channel sleepers 60 Kg for bridges 17.000 83 Steel fittings for steel channel sleepers 52 Kg for bridges 19.134 84 Steel & CI fittings for PSC LC Sleepers 60 Kg T 4916 24.810 85 Steel & CI fittings for PSC LC Sleepers 52 Kg T 4783 22.598 86 Elastomeric pads for channel sleepers (4sets/sleepers) 5.732 89 Anti sabotage device with nuts& spl keys Multy line 0.578&0.353 90 60 Kg 1 in 12 Insl stretcher bars 10125mm for OR Curved switches with fittings T 4219 117.864 91 52 Kg 1 in 12 Insl stretcher bars 10125mm for OR Curved switches with fittings T 4733 115.864 92 60 Kg 1 in 8.5 Insl stretcher bars 10125mm for OR Curved switches with fittings T 4966 90.050 93 52 Kg 1 in 8.5 Insl stretcher bars 10125mm for OR Curved switches with fittings T 4866 88.550 94 Spring setting device 60 kg switches 100.000 95 Spring setting device 52 kg switches 100.000 96 Rail screw 60 Kg T 1035 0.473 97 Rail screw 52 Kg T 10675 98 Plate screw BG T 3913 0.586 99 Plate screw BG T 3912 0.550 100 Creep anchors 60 Kg 1.600 101 Creep anchors 52 Kg T 10327 1.500 102 Single coil spring washers 60/52Kg/90/75R T 10773 0.056 103 MS Spherical washers BG T 023(M) 0.584 104 RS canted bearing plates 60 Kg T 1033 6.504
  • 21.
    105 RS cantedbearing plates52/90 R round holes RT 516 6.210 176 CI Bearing plates 4 holes BG 52 Kg T 646 106 Steel Keys 2 way 52kg/90R T 405 0.485 107 Steel Keys over size BG T 580 0.773 108 Modified Loose jaws BG T 1801 0.480 109 MS Tie bars BG 12.620 110 MS Cotters centre split 0.370 Spherical washers 52kg/90 R T 023(M) 0.584 111 Hook bolts mm 112 22x175 1.862 113 22x200 1.937 114 22x225 2.012 115 22x250 2.086 116 22x275 2.160 117 22x300 2.235 118 22x325 2.310 119 22x350 2.384 120 MS Bolts&nuts (of various sizes for P&Xings) with washers 121 25x90 T 11504 122 25x100 T 11505 0.900 123 25x110 T 11506 0.939 124 25x120 T 11507 0.977 125 25x130 T 11508 1.016 126 25x140 T 11509 1.054 127 25x150 T 11510 1.093 128 25x160 T 11511 1.132 129 25x170 T 11512 1.170 130 25x180 T 11513 1.209 131 25x190 T 11514 1.247
  • 22.
    132 25x200 T11515 1.285 133 25x210 T 11516 1.324 134 25x220 T 11517 1.363 135 25x230 T 11518 1.401 136 25x240 T 11519 1.440 137 25x250 T 11520 1.478 138 25x260 T 11521 1.517 139 25x270 T 11522 1.566 140 25x280 T 11523 1.594 141 25x290 T 11524 1.632 142 25x300 T 11525 1.671 143 25x310 T 11526 1.709 144 25x320 T 11527 1.748 145 25x330 T 11528 1.786 146 25x340 T 11529 1.825 147 25x350 T 11530 1.863 148 25x360 T 11531 1.902 149 25x370 T 11532 1.941 150 25x380 T 11533 1.979 151 25x390 T 11534 2.018 152 25x400 T 11535 2.056 153 25x410 T 11536 2.095 154 25x420 T 11537 2.133 155 25x430 T 11538 2.172 156 25x440 T 11539 2.210 157 25x450 T 11540 2.249 158 25x480 T 11543 2.364 159 25x500 T 11545 2.441 160 25x530 T 11548 2.577 161 MS Bolts for SEJ
  • 23.
    162 60 Kg25x95 T 2659 0.720 0.81 163 52 Kg 25x110 T 2660 0.790 0.867 164 Stud bolts 25x90 mm T 11504 0.786 0.862 165 Stud bolts thin head 22x75 half head T 11624 0.478 0.394 166 Stud bolts thick head 22x75 full head T 11623 0.564 167 Cut head bolts 18x70 0.295 168 Cut head bolts 18x80 0.315 0.26 169 Cut head bolts 18x90 0.241 170 Strecher bar bolts 18x75 T 11635 0.358 0.353 171 Strecher bar bolts 18x80 T 11636 0.368 0.363 172 Strecher bar bolts 18x90 T 11637 0.388 0.373 MS bolts 50 R T 11503 0.407 173 52 Kg 1 in 12 Xing Tie plate BG T 115110 93.000 106.00 174 52 Kg 1 in 8.5 Xing Tie plate BG T 15113 93.000 106.00 175 MS canted bearing plates RDSO Cl I Drg GM/W/SC/BR/82/97/Alt-1 T 5155 10.675 6.27 176 SEJ Fittings T 4160 52 Kg 177 C.I Chair T 4161 43.000 178 C.I Chair T 4162 43.800 179 C.I Chair T 4163 39.000 180 MS Bracket T 4180 8.000 181 MS Bracket T 4181 7.750 182 MS Bracket T 4182 11.875 183 Angle Tie T 4164 36.000 184 Plate Screw T 3911 0.475 185 Plate Screw T 3915 0.575 186 Plastic dowel T 3002 187 SEJ Fittings T 4165 60 Kg
  • 24.
    188 C.I ChairT 4166 44.000 189 C.I Chair T 4167 44.000 190 C.I Chair T 4168 39.500 191 MS Bracket T 2656 9.000 192 MS Bracket T 2657 8.500 193 MS Bracket T 2658 13.500 194 Angle Tie T 4164 36.000 195 Plate Screw T 3911 0.475 196 Plate Screw T 3915 0.575