Digital Signal
Processing
DSP
Dr. Noura ali
EEC 225
MTE 241
Week 3 lec 3
3. Unit parabolic sequence
• The discrete-time unit parabolic sequence p(n) is defined as:
• P(n) =
𝑛2
2
u(n)
• The shifted version of the discrete-time unit parabolic sequence p(n – k) is
defined as:
Graphical representation
4. Unit impulse sequence (unit sample
sequence)
• The discrete-time unit impulse function 𝛿(n), also called unit sample
sequence, is defined as:
• It is zero everywhere, except at n = 0, where its value is unity. It is the most widely used elementary
signal used for the analysis of signals and systems.
• The shifted unit impulse function 𝛿(n – k) is defined as:
Graphical representation
• Properties
Relation between unit impulse sequence and
unit step sequence
• 1- 𝑈 𝑛 = 𝑚=0
𝑛
𝛿(𝑚)
• 2- 𝛿 𝑛 = U(n) – U(n-1)
5. Sinusoidal sequence
• The discrete-time sinusoidal sequence is given by:
• X(n) = A sin (𝝎n+∅)
• where A is the amplitude, 𝝎 is angular frequency, ∅ is phase angle in radians and n
is an integer.
• The period of the discrete-time sinusoidal sequence is: (N =
𝟐𝝅
𝝎
*m) , where m is
integer
•  All continuous-time sinusoidal signals (sin wt) are periodic, but discrete-time
sinusoidal (sin wn) sequences may or may not be periodic depending on the value of
ω
•  For a discrete-time signal to be periodic, the angular frequency ω must be a
rational multiple of 2.
Graphical representation
comparison
6. Real exponential sequence
• The discrete-time real exponential sequence 𝑎𝑛is defined as:
• X(n) = 𝒂𝒏 for all n
• When a > 1, the sequence grows exponentially ,
• When 0 < a < 1, the sequence decays exponentially
• When a < 0, the sequence takes alternating signs
7. Complex exponential sequence
• The discrete-time complex exponential sequence is
defined as:
• X(n) = 𝒂𝒏 𝒆(𝒋 𝝎𝟎 𝒏+ ∅)
•= 𝒂𝒏
cos (𝝎𝟎 𝒏 + ∅) +j 𝒂𝒏
sin(𝝎𝟎 𝒏 + ∅)
Graphical representation
• 1-For |a| = 1, the real and imaginary parts of complex exponential sequence are sinusoidal.
• For |a| > 1, the amplitude of the sinusoidal sequence exponentially grows
• For |a| < 1, the amplitude of the sinusoidal sequence exponentially decays
Examples: find the summation?
• X1(n) = 𝑛=−∞
∞
𝑒3𝑛
𝛿(𝑛 − 3)
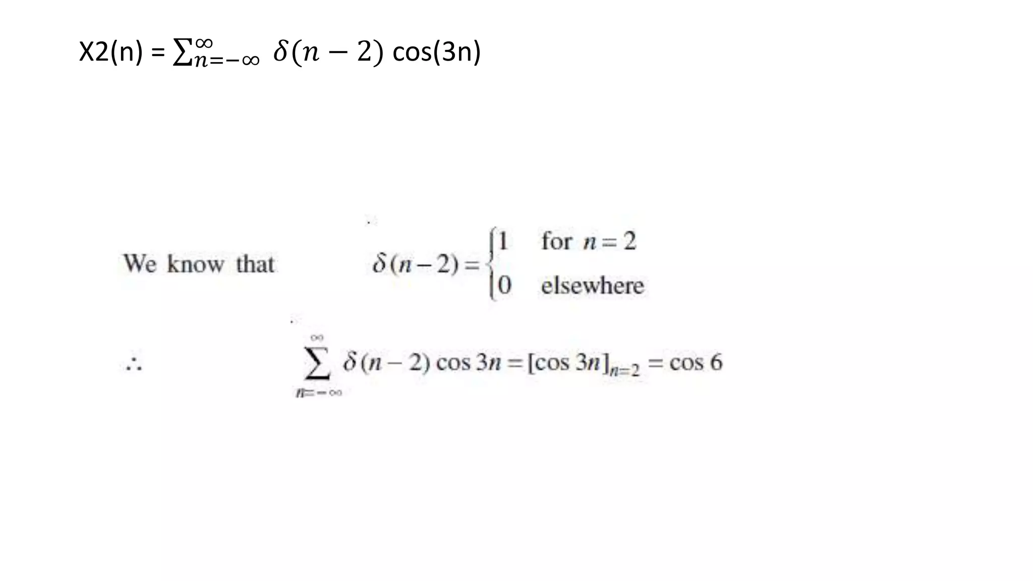
X2(n) = 𝑛=−∞
∞ 𝛿(𝑛 − 2) cos(3n)
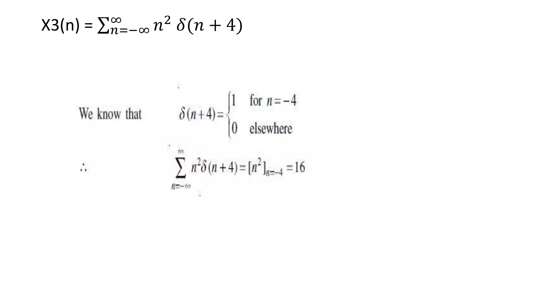
X3(n) = 𝑛=−∞
∞
𝑛2
𝛿(𝑛 + 4)
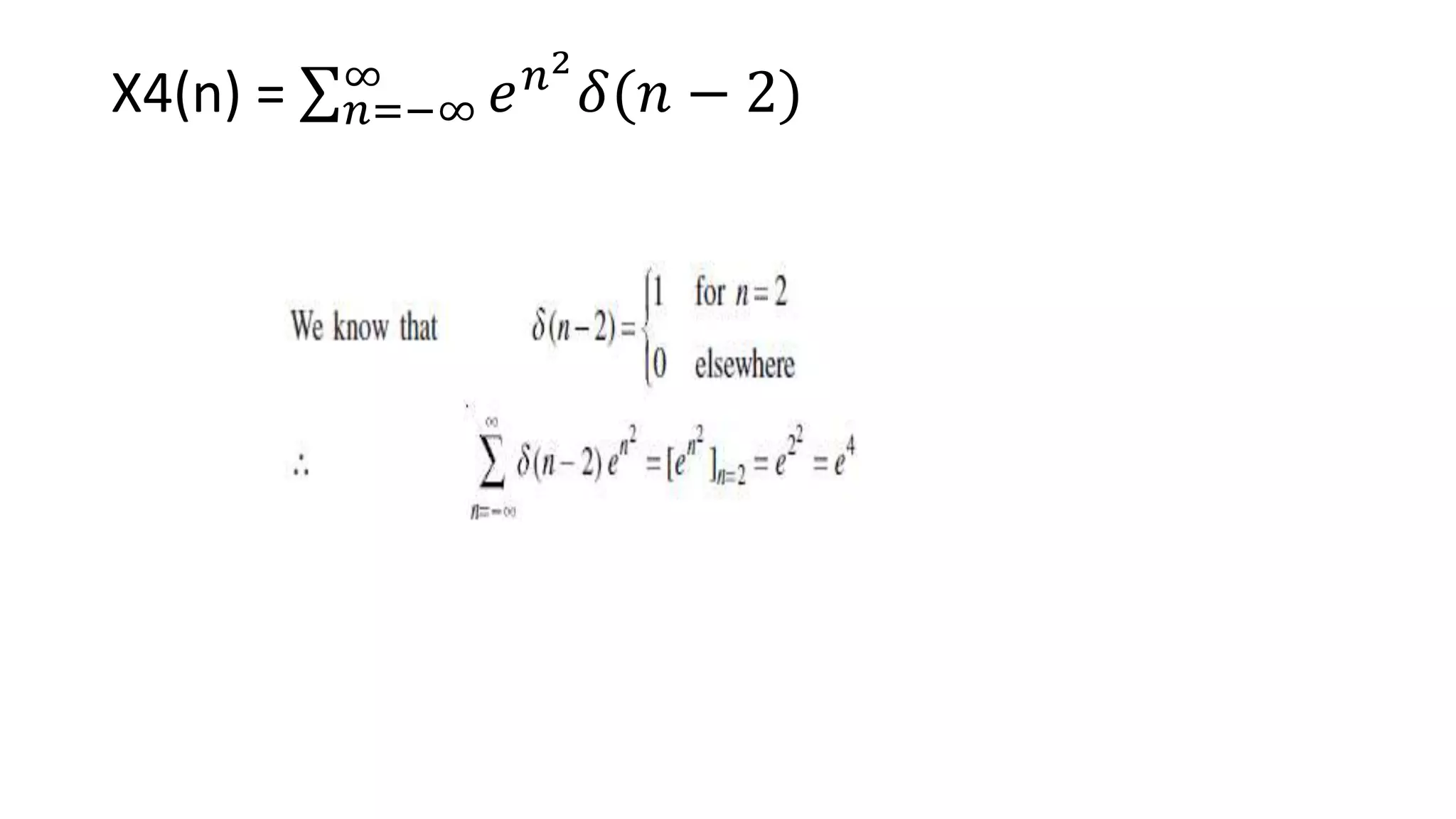
X4(n) = 𝑛=−∞
∞
𝑒𝑛2
𝛿(𝑛 − 2)
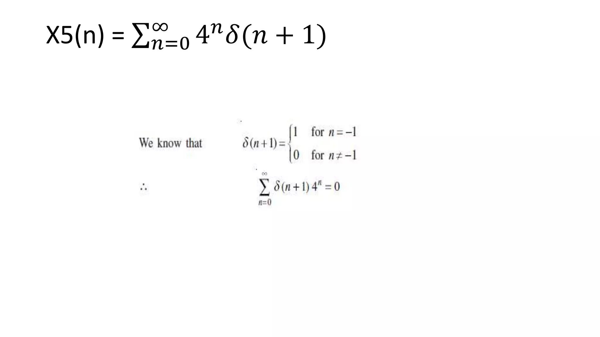
X5(n) = 𝑛=0
∞
4𝑛
𝛿(𝑛 + 1)
• Thank you

week3.pptx

  • 1.
    Digital Signal Processing DSP Dr. Nouraali EEC 225 MTE 241 Week 3 lec 3
  • 2.
    3. Unit parabolicsequence • The discrete-time unit parabolic sequence p(n) is defined as: • P(n) = 𝑛2 2 u(n) • The shifted version of the discrete-time unit parabolic sequence p(n – k) is defined as:
  • 3.
  • 4.
    4. Unit impulsesequence (unit sample sequence) • The discrete-time unit impulse function 𝛿(n), also called unit sample sequence, is defined as: • It is zero everywhere, except at n = 0, where its value is unity. It is the most widely used elementary signal used for the analysis of signals and systems. • The shifted unit impulse function 𝛿(n – k) is defined as:
  • 5.
  • 6.
    Relation between unitimpulse sequence and unit step sequence • 1- 𝑈 𝑛 = 𝑚=0 𝑛 𝛿(𝑚) • 2- 𝛿 𝑛 = U(n) – U(n-1)
  • 7.
    5. Sinusoidal sequence •The discrete-time sinusoidal sequence is given by: • X(n) = A sin (𝝎n+∅) • where A is the amplitude, 𝝎 is angular frequency, ∅ is phase angle in radians and n is an integer. • The period of the discrete-time sinusoidal sequence is: (N = 𝟐𝝅 𝝎 *m) , where m is integer •  All continuous-time sinusoidal signals (sin wt) are periodic, but discrete-time sinusoidal (sin wn) sequences may or may not be periodic depending on the value of ω •  For a discrete-time signal to be periodic, the angular frequency ω must be a rational multiple of 2.
  • 8.
  • 9.
  • 10.
    6. Real exponentialsequence • The discrete-time real exponential sequence 𝑎𝑛is defined as: • X(n) = 𝒂𝒏 for all n • When a > 1, the sequence grows exponentially , • When 0 < a < 1, the sequence decays exponentially • When a < 0, the sequence takes alternating signs
  • 11.
    7. Complex exponentialsequence • The discrete-time complex exponential sequence is defined as: • X(n) = 𝒂𝒏 𝒆(𝒋 𝝎𝟎 𝒏+ ∅) •= 𝒂𝒏 cos (𝝎𝟎 𝒏 + ∅) +j 𝒂𝒏 sin(𝝎𝟎 𝒏 + ∅)
  • 12.
    Graphical representation • 1-For|a| = 1, the real and imaginary parts of complex exponential sequence are sinusoidal. • For |a| > 1, the amplitude of the sinusoidal sequence exponentially grows • For |a| < 1, the amplitude of the sinusoidal sequence exponentially decays
  • 13.
    Examples: find thesummation? • X1(n) = 𝑛=−∞ ∞ 𝑒3𝑛 𝛿(𝑛 − 3)
  • 14.
    X2(n) = 𝑛=−∞ ∞𝛿(𝑛 − 2) cos(3n)
  • 15.
  • 16.
  • 17.
  • 18.