Wavy curve
method S1- DPP
Q1. Solve the inequality 5x + 12 ≥ 32
Q2. Solve the inequality 7(3x - 2) - 5 < 8(x - 1)
Q3. Solve the inequality
Q4. Solve for x : (x - 6) (x - 1) > 0
Q5. Solve for x : (11x - 6) (2x - 3) ≤ 0
Q6. Solve the inequality x2
- 4x +3 ≥ 0
Q7. Solve the inequality x2
+ 3x - 28 ≤ 0
x ∈(-∞, 0) ∪ (5, ∞)
x ∈(-∞, 0) ∪ (5,
6)
x ∈ (-1, 6)
x ∈(-∞, -1] ∪ [6, ∞)
A
B
D
C
A
B
D
C
D
Q8. Solve for x : x ( x - 5) ≥ 6
(-∞, -2] ∪ [2, ∞)
(-∞, -2] ∪ [0, 2]
None of these
[-2, 0] ∪[2, ∞)
A
B
D
C
A
B
D
C
D
Q9. Solve for x: x(x2
- 4) ≤ 0
B
x ∈ (2, 5)
x ∈ [2, 5]
x ∈ (-∞, 2) ∪ (5, ∞)
x ∈(-∞, 2] ∪ [5, ∞)
A
B
D
C
A
B
D
C
D
Q10. Solve for x : (2 - x) (x - 5) ≥ 0
Q11. Solve to x: (x - 2) (5x - 3) (x + 3) ≤ 0
Q12. Solve the inequality (x + 3) (x - 2) ≤ (x - 2)
Q13. Solve for x:
Q14. Solve
Q15. Solve
x ∈ (-∞, -5] ∪ [-2, 0] ∪ [1, ∞)
x ∈ (-∞, -5] ∪ (-2, 0) ∪ [1, ∞)
x ∈ (-∞, -5] ∪ (-2, 0) ∪ (1, ∞)
x ∈ (-∞, -5] ∪ [1, ∞)
A
B
D
C
A
B
D
C
D
Q16. Solve for x:
x ∈ (-∞, -2] ∪ (5, ∞)
x ∈ (-∞, -2] ∪ (5, ∞) ∪ {2}
None of these
x ∈ [-2, -5]
A
B
D
C
A
B
D
C
D
Q17. Solve for x : (x + 2)(x - 1)2
(x - 5) ≥ 0
Q18. Solve for x:
Q19. find the values of x.
x ∈ [-3, -1] ∪ [2, ∞)
x ∈ (-∞, -3] ∪ (2,
∞)
x ∈ [-3, -1] ∪ [-1, 2]
x ∈ (-∞, -3] ∪(2, ∞) ∪ {-1}
A
B
D
C
A
B
D
C
D
Q20. Solve for x :
Q21. find the values of x.
Q22. Solver for x:
Q23. Solve for x:
Q24. Solve for x:
x ∈ (-7, -4) ∪ (5, ∞) ∪ {-1, 0,
2}
x ∈ (-∞, -4) ∪ (5, -∞) ∪ {-1, 0,
-2}
None of these
x ∈ (-∞, -4) ∪ (5, ∞)
A
B
D
C
A
B
D
C
D
Q25. Solve for x:
Q26. Find the set of all x for which
Wavy curve
method S1- DPP
solutions
Q1. Solve the inequality 5x + 12 ≥ 32
Solution:
Q2. Solve the inequality 7(3x - 2) - 5 < 8(x - 1)
Solution:
Q3. Solve the inequality
Solution:
Q4. Solve for x : (x - 6) (x - 1) > 0
Solution:
x ∈ (-∞, 1) ∪ (6, ∞)
+ - +
-∞ 1 6 +∞
(x - 6) (x - 1) > 0
x = 1, 6
Q5. Solve for x : (11x - 6) (2x - 3) ≤ 0
+ - +
-∞ +∞
Solution:
(11x - 6) (2x - 3) ≤ 0
Q6. Solve the inequality x2
- 4x +3 ≥ 0
(x - 3) (x - 1) ≥ 0
x = 1, 3
x ∈ (-∞, 1] ∪ [3, ∞)
Solution:
+ - +
1 3
x2
- 4x +3 ≥ 0
Q7. Solve the inequality x2
+ 3x - 28 ≤ 0
Solution:
+ - +
-7 4
(x+ 7) (x- 4) ≤ 0
x = -7, 4
x ∈ [-7, 4]
x2
+ 3x - 28 ≤ 0
x ∈(-∞, 0) ∪ (5, ∞)
x ∈(-∞, 0) ∪ (5,
6)
x ∈ (-1, 6)
x ∈(-∞, -1] ∪ [6, ∞)
A
B
D
C
A
B
D
C
D
Q8. Solve for x : x ( x - 5) ≥ 6
Solution:
x2
- 5x - 6 ≥ 0
(x -6) (x + 1) ≥ 0
+ - +
-1 6
x ∈(-∞, -1] ∪ [6, ∞)
(-∞, -2] ∪ [2, ∞)
(-∞, -2] ∪ [0, 2]
None of these
[-2, 0] ∪[2, ∞)
A
B
D
C
A
B
D
C
D
Q9. Solve for x: x(x2
- 4) ≤ 0
B
Solution:
(x) (x - 2) (x + 2) ≤ 0
x ∈ (-∞, -2] ∪ [0, 2]
x(x2
- 4) ≤ 0
- + - +
-∞ -2 0 2 +∞
x ∈ (2, 5)
x ∈ [2, 5]
x ∈ (-∞, 2) ∪ (5, ∞)
x ∈(-∞, 2] ∪ [5, ∞)
A
B
D
C
A
B
D
C
D
Q10. Solve for x : (2 - x) (x - 5) ≥ 0
+ +
-
-∞ 2 5 +∞
Solution:
Q11. Solve to x: (x - 2) (5x - 3) (x + 3) ≤ 0
Solution:
+ - - +
-∞ -3 2 +∞
(x-2) (5x - 3) (x + 3) ≤ 0
Q12. Solve the inequality (x + 3) (x - 2) ≤ (x - 2)
Solution:
(x + 3) (x - 2) ≤ (x - 2)
(x + 3) (x - 2) - (x - 2) ≤ 0
(x - 2) (x + 2) ≤ 0
x = -2, 2
∴ x ∈ [-2, 2]
+ - +
-2 2
Q13. Solve for x:
Solution:
+
–
+
–
x ∈ (–∞ ,–1) ∪ (1,
2)
1 2
–1
Q14. Solve
Solution:
- + - +
-∞ 1 2 3 +∞
Q15. Solve
Solution:
- + - +
-∞ -4 2 +∞
x ∈ (-∞, -5] ∪ [-2, 0] ∪ [1, ∞)
x ∈ (-∞, -5] ∪ (-2, 0) ∪ [1, ∞)
x ∈ (-∞, -5] ∪ (-2, 0) ∪ (1, ∞)
x ∈ (-∞, -5] ∪ [1, ∞)
A
B
D
C
A
B
D
C
D
Q16. Solve for x:
Solution:
+ - + - +
-5 -2 0 1
x ∈ (-∞, -5] ∪ (-2, 0) ∪ [1, ∞)
x ∈ (-∞, -2] ∪ (5, ∞)
x ∈ (-∞, -2] ∪ (5, ∞) ∪ {2}
None of these
x ∈ [-2, -5]
A
B
D
C
A
B
D
C
D
Q17. Solve for x : (x + 2)(x - 1)2
(x - 5) ≥ 0
Solution:
x ∈(-∞, -2] ∪ [5, ∞) ∪ {1}
+ - - +
-∞ -2 1 5 +∞
(x + 2)(x - 1)2
(x - 5) ≥ 0
Q18. Solve for x:
Solution:
We can write ( 2 − x )3
= (− 1 (x − 2) )3
= − ( x − 2 )3
− ( x −2 )3
( x – 21)6
( 2x – 3 ) 2
≥ 0
( x −2 )3
( x – 21)6
( 2x – 3 ) 2
≤ 0
Solution:
3/2 2 +
– 21
( x −2 )3
( x – 21)6
( 2x – 3 ) 2
≤ 0
+
–
x ∈ ( − ∞ , 3/2 ) ∪ ( 3/2 , 2
]
∪
{21}
Q19. find the values of x.
Solution:
+ - - +
0 1 3
x ∈ [-3, -1] ∪ [2, ∞)
x ∈ (-∞, -3] ∪ (2,
∞)
x ∈ [-3, -1] ∪ [-1, 2]
x ∈ (-∞, -3] ∪(2, ∞) ∪ {-1}
A
B
D
C
A
B
D
C
D
Q20. Solve for x :
Solution:
+ - - +
-3 -1 2
x ∈ (-∞, -3] ∪(2, ∞) ∪ {-1}
Q21. find the values of x.
Solution:
- + - -
0 2 4
+ +
Q22. Solver for x:
Solution:
2
1 3 +
– + 4
(x-4)1
–
(x-3)23
(x-2)100
(x-1)2001
+
x ∈ (1,2) ∪ (2, 3) ∪ (4, ∞
)
Q23. Solve for x:
Solution:
x ∈ (-∞, 1] ∪ [2, 4) ∪ (4, 5)
-∞ - + - - - + +∞
1 2 3 4 5
Q24. Solve for x:
Solution:
x ∈ (1, 2) ∪ (5, +∞)
-∞ - + - - - + +∞
1 2 3 4 5
x ∈ (-7, -4) ∪ (5, ∞) ∪ {-1, 0,
2}
x ∈ (-∞, -4) ∪ (5, -∞) ∪ {-1, 0,
-2}
None of these
x ∈ (-∞, -4) ∪ (5, ∞)
A
B
D
C
A
B
D
C
D
Q25. Solve for x:
Solution:
- + - - - - +
-7 -4 -1 0 2 5
x ∈ (-7, -4) ∪ (5, ∞) ∪ {-1, 0,
2}
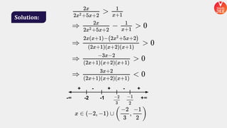
Q26. Find the set of all x for which
Solution:
+ - + - +
-∞ -2 -1 +∞
Join Vedantu JEE
Telegram channel
NOW!
https://vdnt.in/jeepro
Assignments
Daily Update
Notes
Wavy+Curve+Method+_+S2+DPP+-+11th+Elite++(2).pdf

Wavy+Curve+Method+_+S2+DPP+-+11th+Elite++(2).pdf