W-Handover and Call Drop Problem Optimization Guide For internal use only 
Product name Confidentiality level 
WCDMA RNP For internal use only 
Product version 
3.3 Total 201 pages 
W-Handover and Call Drop Problem Optimization 
Guide 
(For internal use only) 
Prepared by Jiao Anqiang Date 2006-03-16 
Reviewed by Xie Zhibin, Dong Yan, Hu 
Wensu, Wan Liang, Yan 
Lin, Ai Hua, Xu Zili, and 
Hua Yunlong 
Date 
Reviewed by Wang Chungui Date 
Approved by Date 
Huawei Technologies Co., Ltd. 
All Rights Reserved 
2009-10-10 All rights reserved Page 1 of 201
W-Handover and Call Drop Problem Optimization Guide For internal use only 
Revision Records 
Date Version Description Author 
2005-02-01 2.0 
Completing V2.0 W-Handover and Call Drop 
Problems. 
Cai Jianyong, 
Zang Liang, and 
Jiao Anqiang 
2006-03-16 3.0 
According to V3.0 guide requirements, 
reorganizing and updating V2.0 guide, focusing 
more on operability of on-site engineers. All traffic 
statistics is from RNC V1.5. The update includes: 
Updating flow chart for handover problem 
optimization 
Moving part of call drop due to handover problem 
to handover optimization part 
Specifying operation-related part to be more 
applicable to on-site engineers 
Updating RNC traffic statistics indexes to V1.5 
Integrating traffic statistics analysis to NASTAR of 
the network performance analysis 
Optimizing some cases, adding new cases, and 
removing outdated cases and terms 
Moving content about handover and call drop to the 
appendix, and keeping operations related to them in 
the body 
Adding explanations to SRB&TRB and RL 
FAILURE. 
Jiao Anqiang 
2006-04-30 
3.1 
Adding HSDPA-related description HSDPA 
handover DT/CQT flow, definitions of traffic 
statistics in HSDPA handover, HSDPA handover 
problems. Adding algorithms and flows of HSDPA 
handover. 
Zhang Hao and 
Li Zhen 
2009-10-10 All rights reserved Page 2 of 201
W-Handover and Call Drop Problem Optimization Guide For internal use only 
Date Version Description Author 
2006-10-30 
3.11 
Adding V17-related handover description as below: 
Changes in signaling flow for H2D HHO 
Changes in triggering events of H2D and D2H 
D2H handover in HSDPA based on traffic and 
timers 
Updating description of HSDPA serving cell and 
traffic statistics of HSDPA-DCH handover 
Adding call drop indexes in HSDPA DT/statistics 
Wang Dekai 
2007-08-09 3.2 Adding HSUPA-related description. Zhang Hao 
2008-12-15 
3.3 
Adding MBMS-related description. 
Yearly review 
WangDekai / 
HuWensu 
2009-10-10 All rights reserved Page 3 of 201
W-Handover and Call Drop Problem Optimization Guide For internal use only 
Contents 
1 Introduction .............................................................................................................................14 
2 Handover and Call Drop Performance Indexes......................................................................16 
2.1 Handover Performance Indexes ......................................................................................16 
2.2 Call Drop Performance Indexes .......................................................................................19 
3 Handover Index Optimization .................................................................................................20 
3.1 DT/CQT Index Optimization Flow.....................................................................................20 
3.1.1 SHO DT Index Optimization Flow...........................................................................20 
3.1.2 HHO CQT Flow .....................................................................................................24 
3.1.3 Inter-RAT Handover CQT Flow..............................................................................27 
3.1.4 DT/CQT Flow for HSDPA Handover ......................................................................29 
3.1.5 DT/CQT Flow for HSUPA Handover ......................................................................32 
3.1.6 SHO Ratio Optimization.........................................................................................32 
3.1.7 MBMS Mobility Optimization ..................................................................................32 
3.2 Traffic Statistics Analysis Flow.........................................................................................34 
3.2.1 Analysis Flow for SHO Traffic Statistics .................................................................35 
3.2.2 Analysis Flow of HHO Traffic statistics...................................................................36 
3.2.3 Traffic Statistics Analysis Flow for Inter-RAT Handover..........................................37 
3.2.4 Traffic Statistics Analysis for HSDPA Handover .....................................................40 
3.2.5 Traffic Statistics Analysis for HSUPA Handover .....................................................41 
3.3 SHO Cost Optimization....................................................................................................43 
4 CDR Index Optimization..........................................................................................................44 
4.1 Definition of Call Drop and Traffic Statistics Indexes ........................................................44 
4.1.1 Definition of DT Call Drop ......................................................................................44 
4.1.2 Descriptions of Traffic Statistics Indexes ................................................................44 
4.2 DT/CQT Optimization Flow..............................................................................................45 
4.2.1 Call Drop Cause Analysis ......................................................................................46 
4.2.2 Frequently-adjusted Non-handover Algorithm Parameters......................................48 
4.2.3 Judgment Tree for Call Drop Causes .....................................................................49 
4.3 Traffic Statistics Analysis Flow.........................................................................................50 
4.3.1 Analyzing RNC CDR..............................................................................................51 
4.3.2 Analyzing Causes to Call Drop...............................................................................51 
4.3.3 Check Cells ...........................................................................................................52 
4.3.4 Further DT for Relocating Problems.......................................................................52 
4.4 Optimization Flow for Tracing Data..................................................................................52 
4.4.1 Obtaining Single Subscriber Tracing Message .......................................................53 
4.4.2 Obtaining Information about Call Drop Point ..........................................................53 
4.4.3 Analyzing Call Drop due to SRB Reset ..................................................................54 
4.4.4 Analyzing Call Drop due to TRB Reset...................................................................54 
4.4.5 Analyzing Abnormal Call Drop ...............................................................................54 
4.4.6 Performing CQT to Recheck Problems ..................................................................55 
2008-12-22 All rights reserved Page4 , Total201
W-Handover and Call Drop Problem Optimization Guide For internal use only 
4.5 Optimization Process for MBMS Call Drop.......................................................................55 
5 FAQs Analysis.........................................................................................................................56 
5.1 SHO Problems ................................................................................................................56 
5.1.1 Over High SHO Rate due to Improper SHO Relative Threshold .............................56 
5.1.2 Delayed Handover due to Over Great Intra-frequency Filter Coefficient..................57 
5.1.3 Missing Neighbor Cell............................................................................................58 
5.1.4 Redundant Neighbor Cells.....................................................................................62 
5.1.5 Pilot Pollution.........................................................................................................65 
5.1.6 Turning Corner Effect ............................................................................................71 
5.1.7 Needlepoint Effect .................................................................................................74 
5.1.8 Quick Change of Best server Signal.......................................................................75 
5.2 HHO Problems ................................................................................................................77 
5.2.1 Intra-frequency Ping-pong HHO due to Improperly Configured 1D Event Hysteresis77 
5.2.2 Delayed Origination of Inter-frequency Measurement due to Improper Inter-frequency 
Measurement Quantity ..................................................................................................78 
5.3 Inter-RAT Handover Problems.........................................................................................80 
5.3.1 Ping-pong Reselection...........................................................................................80 
5.3.2 PS Inter-RAT Ping-pong Handoff ...........................................................................81 
5.3.3 Failure in handoff from 3G to the 2G network .........................................................82 
5.3.4 Inter-RAT Handover Call Drop ...............................................................................84 
5.4 Call Drop Problems .........................................................................................................91 
5.4.1 OverWeak Coverage ............................................................................................91 
5.4.2 Uplink Interference ................................................................................................92 
5.4.3 Abnormal Equipment .............................................................................................95 
5.5 HSDPA-related Problems ................................................................................................97 
5.5.1 HSDPA Handover Problems..................................................................................97 
5.5.2 HSDPA Call Drop ..................................................................................................98 
5.6 HSUPA Problems..........................................................................................................100 
6 Summary................................................................................................................................101 
7 Appendix................................................................................................................................102 
7.1 SRB&TRB Reset ...........................................................................................................102 
7.1.1 RAB ....................................................................................................................102 
7.1.2 SRB ....................................................................................................................103 
7.2 RL FAILURE .................................................................................................................104 
7.3 SHO Flow......................................................................................................................109 
7.3.1 Analyzing Signaling Flow for Adding Radio Link...................................................109 
7.3.2 Analyzing Signaling Flow for Deleting Radio Link.................................................112 
7.3.3 Analyzing Signaling Flow for Adding and Deleting Radio Link ..............................113 
7.3.4 SHO Algorithm ....................................................................................................116 
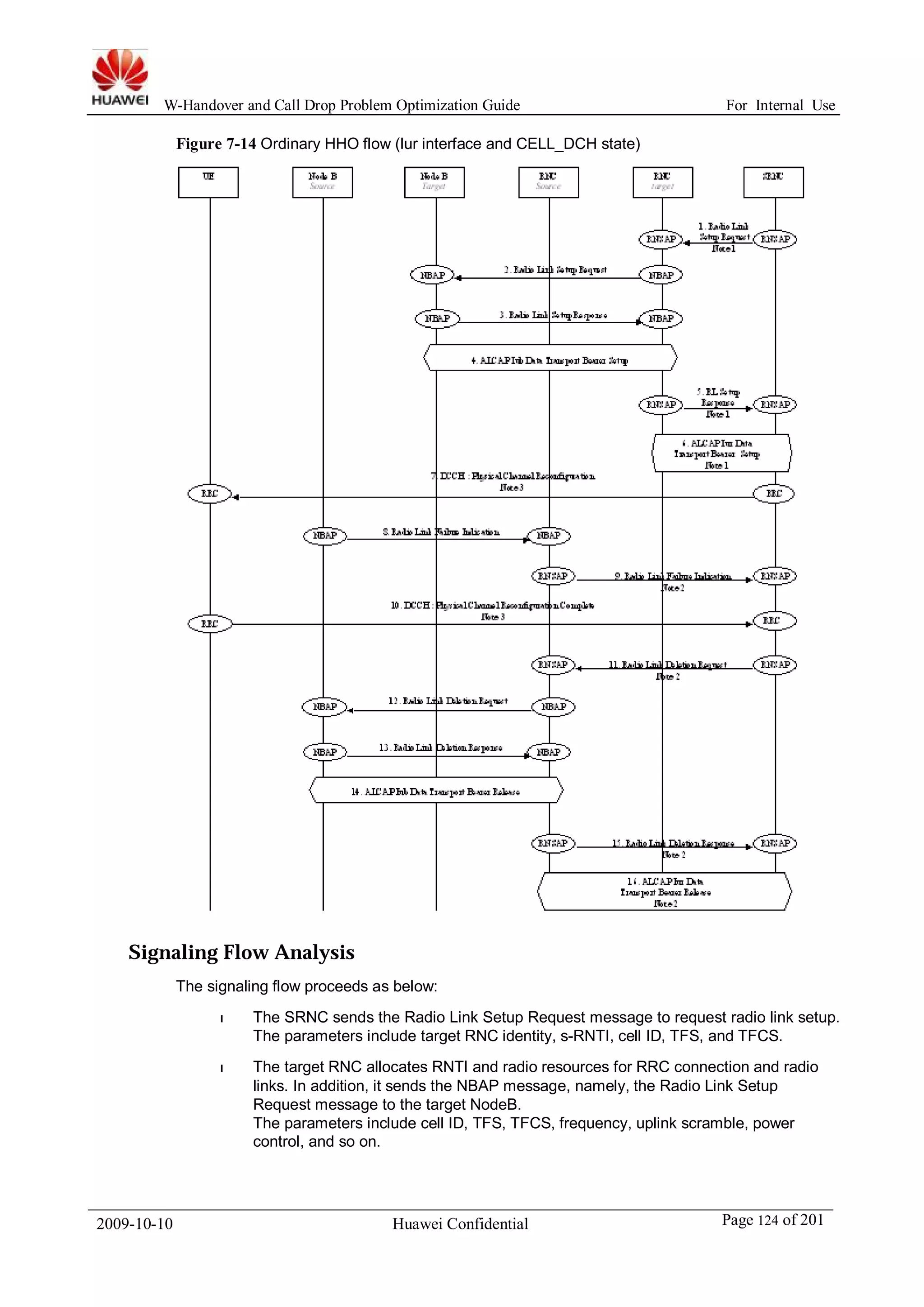
7.4 Ordinary HHO Flow.......................................................................................................123 
7.4.1 Ordinary HHO (lur Interface and CELL_DCH State) .............................................123 
7.4.2 Inter-CN HHO Flow..............................................................................................125 
7.5 HHO Algorithm..............................................................................................................128 
7.5.1 Intra-frequency HHO Algorithm............................................................................128 
7.5.2 Inter-frequency HHO Algorithm............................................................................128 
7.6 Concept and Classification of HSDPA Handover............................................................130 
7.6.1 Concept of HSDPA Handover..............................................................................130 
7.6.2 Classification of HSDPA Handover ......................................................................130 
7.6.3 Signaling Flow and Message Analysis of HSDPA Handover.................................131 
7.6.4 HS-PDSCH Serving Cell Update due to DPCH SHO............................................132 
7.6.5 HS-PDSCH Serving Cell Update due to DPCH HHO............................................139 
7.6.6 DPCH Intra-frequency HHO with HS-DSCH Serving Cell Update.........................140 
7.6.7 DPCH Inter-frequency HHO with HS-DSCH Serving Cell Update.........................141 
2008-12-22 All rights reserved Page5 , Total201
W-Handover and Call Drop Problem Optimization Guide For internal use only 
7.6.8 Handover Between HSDPA and R99 ...................................................................143 
7.6.9 Handover between HSDPA and GPRS................................................................152 
7.6.10 Direct Retry of HSDPA.......................................................................................152 
7.6.11 Switch of Channel Type .....................................................................................154 
7.7 Concept and Classification of HSUPA Handover............................................................157 
7.7.1 Basic Concepts....................................................................................................157 
7.7.2 Classification of HSUPA Handover ......................................................................157 
7.7.3 Signaling Flow and Message Analysis of HSUPA Handover.................................158 
7.7.4 SHO from a HSUPA Cell to a Non-HSUPA Cell ...................................................164 
7.7.5 SHO from a Non-HSUPA Cell to a HSUPA Cell ...................................................169 
7.7.6 Handover Between a HSUPA Cell and a GSM/GPRS Cell ...................................172 
7.7.7 Direct Retry of HSUPA.........................................................................................172 
7.7.8 Switch between Channel Types...........................................................................174 
7.8 Handover from WCDMA to GSM...................................................................................175 
7.9 Handover from GSM toWCDMA ...................................................................................179 
7.10 Handover from WCDMA to GPRS................................................................................182 
7.11 Handover from GRPS toWCDMA................................................................................186 
7.12 Parameters of Handover from 3G to 2G Network .........................................................189 
7.13 Data Configuration for Supporting Bi-directional Roaming and Handover Between WCDMA and 
GSM/GPRS........................................................................................................................192 
2008-12-22 All rights reserved Page6 , Total201
W-Handover and Call Drop Problem Optimization Guide For internal use only 
Figures 
Figure 3-1 SHO DT data analysis flow................................................................................................ 21 
Figure 3-2 Optimization flow for HHO CQT......................................................................................... 26 
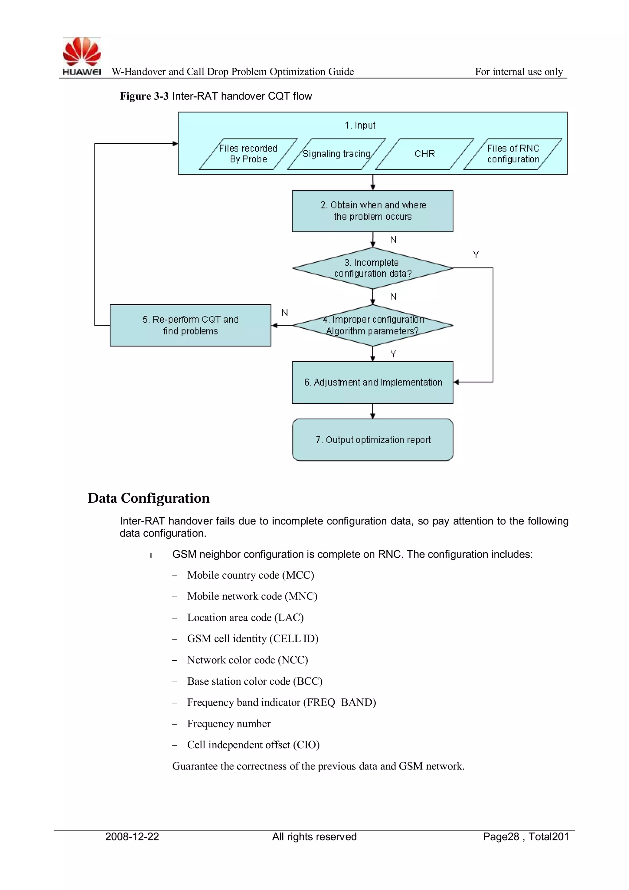
Figure 3-3 Inter-RAT handover CQT flow............................................................................................ 28 
Figure 3-4 DT/CQT flow for HSDPA handover .................................................................................... 31 
Figure 3-5 Movement of the MBMS UE between PTM cells................................................................ 32 
Figure 3-6 Analysis flow for handover traffic statistics data.................................................................. 35 
Figure 3-7 Voce inter-RAT outgoing handover flow ............................................................................. 38 
Figure 4-1 Flow chart for analyzing call drop ...................................................................................... 46 
Figure 4-2 Judgment tree for call drop causes.................................................................................... 49 
Figure 4-3 Flow for analyzing call tracing............................................................................................ 53 
Figure 5-1 SHO relative threshold ...................................................................................................... 57 
Figure 5-2 Signaling flow recorded by UE before call drop.................................................................. 58 
Figure 5-3 Scrambles recorded by UE active set and scanner before call drop ................................... 59 
Figure 5-4 Scrambles in UE active set before call drop....................................................................... 60 
Figure 5-5 UE intra-frequency measurement control point before call drop ......................................... 61 
Figure 5-6 Analyzing signaling of UE intra-frequency measurement control before call drop................ 61 
Figure 5-7 Confirming missing neighbor cell without information from scanner.................................... 62 
Figure 5-8 Location relationship of 2G redundant neighbor cells......................................................... 64 
Figure 5-9 Pilot pollution near Yuxing Rd............................................................................................ 65 
Figure 5-10 Best ServiceCell near Yuxing Rd. .................................................................................... 65 
Figure 5-11 The 2nd best ServiceCell near Yuxing Rd. ....................................................................... 66 
Figure 5-12 The 3rd best ServiceCell near Yuxing Rd......................................................................... 66 
Figure 5-13 The 4th best ServiceCell near Yuxing Rd......................................................................... 67 
Figure 5-14 Composition of pilot pollution near Yuxing Rd. ................................................................. 67 
Figure 5-15 RSSI near Yuxing Rd....................................................................................................... 68 
Figure 5-16 RSCP of Best ServiceCell near Yuxing Rd....................................................................... 68 
Figure 5-17 RSCP of SC270 cell near Yuxing Rd................................................................................ 69 
2008-12-22 All rights reserved Page7 , Total201
W-Handover and Call Drop Problem Optimization Guide For internal use only 
Figure 5-18 Pilot pollution near Yuxing Rd. after optimization.............................................................. 70 
Figure 5-19 Best ServiceCell near Yuxing Rd. after optimization......................................................... 70 
Figure 5-20 RSCP of best ServiceCell near Yuxing Rd. after optimization........................................... 71 
Figure 5-21 RSCP of SC270 cell near Yuxing Rd. after optimization ................................................... 71 
Figure 5-22 Turning corner effect-signals attenuation ......................................................................... 72 
Figure 5-23 Turning corner effect-signal attenuation recorded by the UE ............................................ 72 
Figure 5-24 Turning corner effect-traced signaling recorded by the RNC............................................. 73 
Figure 5-25 Needle point-signal variance............................................................................................ 74 
Figure 5-26 Call drop distribution of PS384K intra-frequency hard handover....................................... 75 
Figure 5-27 Signal distribution of cell152 vs. cell88 (signal fluctuation in handover areas)................... 76 
Figure 5-28 Reporting 1D event ......................................................................................................... 77 
Figure 5-29 Increasing hysteresis to reduce frequently reporting of 1D event...................................... 78 
Figure 5-30 Attenuation relationship of RSCP and Ec/No.................................................................... 79 
Figure 5-31 Indoor 3G RSCP distribution............................................................................................ 83 
Figure 5-32 Analyzing weak signals.................................................................................................... 91 
Figure 5-33 Uplink interference according to RNC signaling ............................................................... 93 
Figure 5-34 Uplink interference according to UE signaling .................................................................. 93 
Figure 5-35 Uplink interference information recorded by UE ............................................................... 94 
Figure 5-36 RTWP variation of the cell 89767..................................................................................... 94 
Figure 5-37 RTWP variation of the cell 89768..................................................................................... 95 
Figure 5-38 Pilot information recorded by scanner.............................................................................. 97 
Figure 7-1 UMTS QoS structure....................................................................................................... 102 
Figure 7-2 SRB and TRB at user panel............................................................................................. 103 
Figure 7-3 Signaling flow for adding radio link....................................................................................110 
Figure 7-4 Signaling flow for deleting radio link..................................................................................112 
Figure 7-5 SHO signaling flow for adding and deleting radio link........................................................114 
Figure 7-6 Measurement model.........................................................................................................116 
Figure 7-7 Example 1A event and trigger delay .................................................................................118 
Figure 7-8 Periodic report triggered by 1A event................................................................................119 
Figure 7-9 Example of 1C event ....................................................................................................... 120 
Figure 7-10 Example 1D event......................................................................................................... 121 
Figure 7-11 Restriction from hysteresis to measurement report......................................................... 121 
Figure 7-12 Example of 1E event ..................................................................................................... 122 
Figure 7-13 Example of 1F event ..................................................................................................... 122 
2008-12-22 All rights reserved Page8 , Total201
W-Handover and Call Drop Problem Optimization Guide For internal use only 
Figure 7-14 Ordinary HHO flow (lur interface and CELL_DCH state) ................................................ 124 
Figure 7-15 Ordinary inter-CN HHO flow .......................................................................................... 126 
Figure 7-16 Intra-NodeB synchronization serving cell update............................................................ 133 
Figure 7-17 Inter-NodeB synchronization serving cell update............................................................ 135 
Figure 7-18 Inter-NodeB HS-DSCH cell update after radio link is added ........................................... 137 
Figure 7-19 Inter-NodeB HS-DSCH cell update during HHO (single step method) ............................ 139 
Figure 7-20 DPCH intra-frequency HHO with HS-DSCH serving cell update..................................... 141 
Figure 7-21 DPCH inter-frequency HHO with HS-DSCH serving cell update..................................... 142 
Figure 7-22 handover from HSDPA to R99 ....................................................................................... 143 
Figure 7-23 Intra-frequency handover from R99 to R5...................................................................... 143 
Figure 7-24 DPCH SHO with handover from HSDPA to R99 (inter-NodeB)....................................... 145 
Figure 7-25 DPCH SHO with handover from R99 to HSDPA............................................................. 146 
Figure 7-26 Inter-NodeB SHO with handover from HSDPA to R99 (V17) .......................................... 147 
Figure 7-27 Intra-frequency HHO with handover from R5 to R99 ...................................................... 148 
Figure 7-28 Intra-frequency HHO with handover form R99 to R5 ...................................................... 148 
Figure 7-29 Intra-frequency HHO with handover from R5 to R99 (V17)............................................. 149 
Figure 7-30 Inter-frequency HHO from HS-PDSCH to DCH.............................................................. 150 
Figure 7-31 Inter-frequency HHO from DCH to HS-PDSCH.............................................................. 151 
Figure 7-32 Handover between HSDPA and GPRS.......................................................................... 152 
Figure 7-33 Flow for direct retry during setup of a service................................................................. 153 
Figure 7-34 Direct retry triggered by traffic........................................................................................ 153 
Figure 7-35 Switch of channel type................................................................................................... 155 
Figure 7-36 Intra-frequency SHO between two HSUPA cells............................................................. 159 
Figure 7-37 Signaling for HSUPA cell update triggered by a 1D event............................................... 159 
Figure 7-38 Signaling for HSUPA cell update triggered by a 1D event (reported by the monitor set).. 160 
Figure 7-39 Intra-frequency HHO between two HSUPA cells ............................................................ 160 
Figure 7-40 Signaling for intra-frequency HHO between two HSUPA cells ........................................ 161 
Figure 7-41 Inter-frequency HHO between two HSUPA cells ............................................................ 161 
Figure 7-42 Signaling for inter-frequency HHO between two HSUPA cells ........................................ 162 
Figure 7-43 Inter-RNC HSUPA handover.......................................................................................... 163 
Figure 7-44 SHO from a HSUPA cell to a non-HSUPA cell ................................................................ 165 
Figure 7-45 Addition of an R99 cell when the service is on the E-DCH.............................................. 166 
Figure 7-46 Intra-frequency HHO from a HSUPA cell to a non-HSUPA cell ....................................... 167 
Figure 7-47 Signaling for intra-frequency HHO from a HSUPA cell to a non-HSUPA cell ................... 167 
2008-12-22 All rights reserved Page9 , Total201
W-Handover and Call Drop Problem Optimization Guide For internal use only 
Figure 7-48 Inter-frequency HHO from a HSUPA cell to a non-HSUPA cell ....................................... 168 
Figure 7-49 Signaling for inter-frequency HHO from a HSUPA cell to a non-HSUPA cell ................... 169 
Figure 7-50 SHO from a non-HSUPA cell to a HSUPA cell ................................................................ 170 
Figure 7-51 SHO from a non-HSUPA cell to a HSUPA cell (triggered by a 1B event)......................... 170 
Figure 7-52 Intra-frequency HHO from a non-HSUPA cell to a HSUPA cell ....................................... 171 
Figure 7-53 Signaling for intra-frequency HHO from a non-HSUPA cell to a HSUPA cell ................... 171 
Figure 7-54 Inter-frequency HHO from a non-HSUPA cell to a HSUPA cell ....................................... 172 
Figure 7-55 Direct retry from an R99 cell to a HSUPA cell................................................................. 173 
Figure 7-56 Direct retry from a HSUPA cell to an R99 cell................................................................. 173 
Figure 7-57 Direct retry from a HSUPA cell to another HSUPA cell.................................................... 174 
Figure 7-58 Switch between HSUPA channel types .......................................................................... 174 
Figure 7-59 Signaling flow for handover from WCDMA to GSM......................................................... 176 
Figure 7-60 Tracing signaling of handover from WCDMA to GSM..................................................... 176 
Figure 7-61 Signaling flow for handover from GSM to WCDMA ........................................................ 179 
Figure 7-62 Tracing signaling of handover from GSM to WCDMA..................................................... 180 
Figure 7-63 Flow of handover from WCDMA to GPRS (1)................................................................. 183 
Figure 7-64 Flow of handover from WCDMA to GPRS (2)................................................................. 183 
Figure 7-65 Tracing signaling of handover from WCDMA to GPRS................................................... 184 
Figure 7-66 Signaling flow for handover from GPRS to WCDMA (1) ................................................. 186 
Figure 7-67 Signaling flow for handover from GPRS to WCDMA (2) ................................................. 187 
Figure 7-68 Data configuration in the location area cell table ............................................................ 193 
Figure 7-69 Data configuration of neighbor cell configuration table ................................................... 194 
Figure 7-70 Configuration table for external 3G cells ........................................................................ 196 
Figure 7-71 Configuration table for GSM inter-RAT neighbor cells .................................................... 197 
Figure 7-72 Configuration table for 2G reselection parameters ......................................................... 198 
Figure 7-73 Parameter configuration table for inter-RAT handover.................................................... 199 
2008-12-22 All rights reserved Page10 , Total201
W-Handover and Call Drop Problem Optimization Guide For internal use only 
Tables 
Table 2-1 Handover performance indexes and reference values ......................................................... 16 
Table 2-2 HSDPA handover performance indexes and reference value............................................... 17 
Table 2-3 HSUPA handover performance indexes and reference value............................................... 17 
Table 2-4 CDR index and reference value........................................................................................... 19 
Table 3-1 SHO failure indexes ............................................................................................................ 36 
Table 3-2 HHO failure indexes............................................................................................................ 36 
Table 3-3 Traffic statistics indexes of CS inter-RAT handover preparation failure................................. 38 
Table 3-4 Traffic statistics indexes of PS inter-RAT outgoing handover failure ..................................... 39 
Table 4-1 Types of CDR indexes......................................................................................................... 45 
Table 4-2 Thresholds of EcIo and Ec .................................................................................................. 46 
Table 4-3 Traffic statistics indexes for analyzing causes to call drop.................................................... 51 
Table 5-1 Relationship between the filter coefficient and the corresponding tracing time...................... 58 
Table 5-2 2G handover times.............................................................................................................. 63 
Table 5-3 Best servers and other cells ................................................................................................ 67 
Table 7-1 Timers and counters related to the synchronization and asynchronization.......................... 104 
Table 7-2 Timers and counters related to call drop at lub interface .................................................... 107 
Table 7-3 Flow of serving cell update triggered by different events in SHO........................................ 132 
Table 7-4 Scenarios of handover between HSDPA and R99 (V17) .................................................... 144 
Table 7-5 Handover between two HSUPA cells ................................................................................. 158 
Table 7-6 Handover between a HSUPA cell and a non-HSUPA cell ................................................... 163 
Table 7-7 Parameters of handover from 3G to 2G............................................................................. 190 
2008-12-22 All rights reserved Page11 , Total201
W-Handover and Call Drop Problem Optimization Guide For internal use only 
W-Handover and Call Drop Problem Optimization Guide 
Key words: 
Handover, call drop, and optimization 
Abstract: 
This document, aiming at network optimization of handover success rate and call drop rate, details 
the specific network operation flow. In addition, it analyzes common problems during network 
optimization. 
Acronyms and abbreviations: 
Acronyms and Abbreviations Full Spelling 
AMR Adaptive MultiRate 
CHR Call History Record 
CDR Call Drop Rate 
DCCC Dynamic Channel Configuration Control 
RAN Radio Access Network 
RNP Radio Network Planning 
SRB Signaling Radio Bearer 
TRB Traffic Radio Bearer 
SHO Soft Handover 
HHO Hard Handover 
PCH Physical Channel 
CN Core Network 
O&M Operation and maintenance 
MNC Mobile Network Code 
MCC Mobile Country Code 
LAC Location Area Code 
CIO Cell Independent Offset 
HSUPA High Speed Uplink Packet Access 
E-DCH Enhanced uplink Dedicated Channel 
E-AGCH E-DCH Absolute Grant Channel 
2008-12-22 All rights reserved Page12 , Total201
W-Handover and Call Drop Problem Optimization Guide For internal use only 
E-RGCH E-DCH Relative Grant Channel 
2008-12-22 All rights reserved Page13 , Total201
W-Handover and Call Drop Problem Optimization Guide For internal use only 
1 Introduction 
This document aims to meet the requirements by on-site engineers on solving handover and 
call drop problems and making them qualified during network optimization. It describes the 
methods for evaluating network handover and call drop performance, testing methods, 
troubleshooting methods, and frequently asked questions (FAQs). 
The appendix provides fundamental knowledge, principles, related parameters, and data 
processing tools about handover and call drop. This document serves to network KPI 
optimization and operation and maintenance (O&M) and helps engineers to locate and solve 
handover and call drop problems. 
The RRM algorithms and problem implementation in this document are based on V16 RNC. If 
some RRM algorithms are based on V17 RNC, they will be highlighted. HSUPA is introduced in 
V18 RNC, so the algorithms related to HSUPA are based on RNC V18. The following sections 
are updated: 
l Traffic Statistics Analysis for HSDPA Handover 
l Handover Between HSDPA and R99 
l Direct Retry of HSDPA 
l Switch of Channel Type 
Actually handover is closely relevant to call drop. Handover failure probably leads to call drop. 
Therefore handover-caused call drop is arranged in handover success rate optimization part. 
The CDR optimization includes all related to call drop except handover-caused call drop. 
This document does not include usage of related tools. 
This document includes the following 12 chapters: 
l 1 Introduction 
l 2 Handover and Call Drop Performance Indexes 
l 3 Handover Index Optimization 
l 4 CDR Index Optimization 
l 5 FAQs Analysis 
l 6 Summary 
l 7 Appendix 
2008-12-22 All rights reserved Page14 , Total201
W-Handover and Call Drop Problem Optimization Guide For internal use only 
The traffic statistics analysis is based on RNC V1.5 counter. It will be updated upon the update 
of RNC counters. 
2008-12-22 All rights reserved Page15 , Total201
W-Handover and Call Drop Problem Optimization Guide For internal use only 
2 Handover and Call Drop Performance Indexes 
2.1 Handover Performance Indexes 
According to RNA KPI baseline document, Table 2-1 lists the handover performance indexes 
and reference values. 
Table 2-1 Handover performance indexes and reference values 
Index Service Statistics method Reference 
value 
SHO success rate CS&PS DT&Stat. 99% 
Intra-frequency HHO 
success rate 
Voice DT&Stat. 90% 
VP DT&Stat. 85% 
PS UL64K/DL 64K DT&Stat. 85% 
PS UL64K/DL 144K DT&Stat. 80% 
PS UL64K/DL 384K DT&Stat. 75% 
Inter-frequency HHO 
success rate 
Voice DT&Stat. 92% 
VP DT&Stat. 90% 
PS UL64K/DL 64K DT&Stat. 90% 
PS UL64K/DL 144K DT&Stat. 87% 
PS UL64K/DL 384K DT&Stat. 85% 
Inter-RAT handover 
success rate 
Voice handover out DT&Stat. 95% 
PS handover out DT&Stat. 92% 
SHO ratio N/A DT 35% 
SHO cost N/A Stat. 40% 
2008-12-22 All rights reserved Page16 , Total201
W-Handover and Call Drop Problem Optimization Guide For internal use only 
Table 2-2 lists the HSDPA handover performance indexes and reference value. 
Table 2-2 HSDPA handover performance indexes and reference value 
Index Service Reference value 
HSDPA-HSDPA intra-frequency 
serving cell update PS (HSDPA) 99% 
HSDPA-HSDPA inter-frequency 
serving cell update PS (HSDPA) 92% 
HSDPA-R99 intra-frequency handover PS (HSDPA) 99% 
HSDPA-R99 inter-frequency handover PS (HSDPA) 90% 
Success rate of R99-to-HSDPA cell 
handover PS (HSDPA) 85% 
HSDPA-to-GPRS inter-RAT handover PS (HSDPA) 92% 
Note: The HSDPA handover KPIs are to be updated after formal issue byWCDMA&GSM Performance 
Research Department. 
Table 2-3 HSUPA handover performance indexes and reference value 
Index Service Reference value 
Success rate of inter-cell 
SHO in HSUPA (including 
adding, replacing, and 
PS (HSUPA) – 
deleting) 
Success rate of inter-cell 
SHO serving cell update in 
HSUPA 
PS (HSUPA) 
– 
Success rate of 
DCH-to-E-DCH 
reconfiguration in SHO 
mode (including replacing 
and deleting) 
PS (HSUPA) 
– 
Success rate of 
E-DCH-to-DCH 
reconfiguration in SHO 
mode (including replacing 
and deleting) 
PS(HSUPA) 
– 
Success rate of inter-cell 
intra-frequency HHO in 
HSUPA 
PS (HSUPA) 
– 
2008-12-22 All rights reserved Page17 , Total201
W-Handover and Call Drop Problem Optimization Guide For internal use only 
Index Service Reference value 
Success rate of 
– 
intra-frequency HHO from a 
HSUPA cell to a 
PS (HSUPA) 
non-HSUPA cell 
Success rate of 
DCH-to-E-DCH 
reconfiguration in single-link 
mode (the second step of 
inter- or intra-frequency 
HHO from a non-HSUPA 
cell to a HSUPA cell) 
PS (HSUPA) 
– 
Success rate of inter-cell 
inter-frequency HHO in 
HSUPA 
PS (HSUPA) 
– 
Success rate of 
inter-frequency HHO from a 
HSUPA cell to a 
non-HSUPA cell 
PS (HSUPA) 
– 
Success rate of 
HSUPA-to-GPRS inter-RAT 
handover 
PS (HSUPA) 92% 
Note: 
The HSUPA handover KPIs are unavailable and to be updated after formal issue byWCDMA&GSM 
Performance Department. 
Decide the specific value according to project requirements or contract requirements of commercial network 
2008-12-22 All rights reserved Page18 , Total201
W-Handover and Call Drop Problem Optimization Guide For internal use only 
2.2 Call Drop Performance Indexes 
Table 2-4 lists the CDR index and reference value. 
Table 2-4 CDR index and reference value 
Index Service Statistics 
method 
Reference 
value 
CDR 
Voice DT&Stat.&CQT 2% 
VP DT&Stat.&CQT 2.5% 
PS planned full 
coverage rate DT&CQT 3% 
PS (UL DCH full 
coverage rate/DL 
DT 3% 
HSDPA) 
PS Stat. 10% 
PS (UL HSUPA/DL 
HSDPA) DT 3% 
The values listed in Table 2-4 are only for reference. Decide the specific value according to 
project requirements or contract requirements of commercial network. 
The call drop rate of HSDPA is not defined yet, so engineers use call drop rate of PS 
temporarily. 
2008-12-22 All rights reserved Page19 , Total201
W-Handover and Call Drop Problem Optimization Guide For internal use only 
3 Handover Index Optimization 
3.1 DT/CQT Index Optimization Flow 
DT and CQT are important to network evaluation and optimization. DT/CQT KPIs act as 
standards for verifying networks. Overall DT helps to know entire coverage, to locate missing 
neighbor cells, and to locate cross-cell coverage. HHO and inter-RAT handover are used in 
coverage solutions for special scenarios, in while CQT is proper. 
The following sections describe the DT/CQT index optimization flow in terms of SHO, HHO, and 
inter-RAT handover. 
3.1.1 SHO DT Index Optimization Flow 
Figure 3-1 shows the SHO DT data analysis flow. 
2008-12-22 All rights reserved Page20 , Total201
W-Handover and Call Drop Problem Optimization Guide For internal use only 
Figure 3-1 SHO DT data analysis flow 
Inputting Analysis Data 
Perform DT. Collect DT data, related signaling tracing, RNC CHR, and RNC MML scripts. 
Obtaining When and Where the Problem Occurs 
During the test, SHO-caused call drop might occur or SHO might fail, so record the location and 
time for the problem occurrence. This prepares for further location and analysis. 
2008-12-22 All rights reserved Page21 , Total201
W-Handover and Call Drop Problem Optimization Guide For internal use only 
Missing Neighbor Cell 
During the early optimization, call drop is usually due to missing neighbor cell. For 
intra-frequency neighbor cells, use the following methods to confirm intra-frequency missing 
neighbor cell. 
l Check the active set Ec/Io recorded by UE before call drop and Best Server Ec/Io 
recorded by Scanner. Check whether the Best Server scramble recorded by 
Scanner is in the neighbor cell list of intra-frequency measurement control before call 
drop. The cause might be intra-frequency missing neighbor cell if all the following 
conditions are met: 
− The Ec/Io recorded by UE is bad. 
− The Best Server Ec/Io is good. 
− No Best Server scramble is in the neighbor cell list of measurement control. 
l If the UE reconnects to the network immediately after call drop and the scramble of 
the cell that UE camps on is different from that upon call drop, missing neighbor cell 
is probable. Confirm it by measurement control (search the messages back from call 
drop for the latest intra-frequency measurement control message. Check the 
neighbor cell list of this measurement control message) 
l UEs might report detected set information. If corresponding scramble information is 
in the monitor set before call drop, the cause must be missing neighbor cell. 
Missing neighbor cell causes call drop. Redundant neighbor cells impacts network performance 
and increases the consumption of UE intra-frequency measurement. If this problem becomes 
more serious, the necessary cells cannot be listed. Therefore pay attention to redundant 
neighbor cells when analyzing handover problems. For redundant neighbor cells, see 5 . 
Pilot Pollution 
Pilot pollution is defined as below: 
l Excessive strong pilots exist at a point, but no one is strong enough to be primary 
pilot. 
According to the definition, when setting rules for judging pilot pollution, confirm the following 
content: 
l Definition of strong pilot 
Whether a pilot is strong depends on the absolute strength of the pilot, which is 
measured by RSCP. If the pilot RSCP is greater than a threshold, the pilot is a 
strong pilot. Namely, RSCP Absolute CPICH RSCP Th _ _ > 
. 
l Definition of "excessive" 
When judging whether excessive pilots exist at a point, the pilot number is the 
judgment criteria. If the pilot number is more than a threshold, the pilots at a point 
are excessive. Namely, N CPICH _ Number > Th 
l Definition of "no best server strong enough" 
When judging whether a best server strong enough exist, the judgment criteria is the 
relative strength of multiple pilots. If the strength different of the strongest pilot and 
the No. ( +1) N Th strong pilot is smaller than a threshold, no best server strong 
enough exists in the point. Namely, 
2008-12-22 All rights reserved Page22 , Total201
W-Handover and Call Drop Problem Optimization Guide For internal use only 
l st Th th RSCP lative CPICH RSCP CPICH RSCP Th 1 ( N 1) _ Re ( _ - _ ) < + 
Based on previous descriptions, pilot pollution exists if all the following conditions are met: 
l The number of pilots satisfying RSCP Absolute CPICH RSCP Th _ _ > 
is more 
than N Th . 
l st Th th RSCP lative CPICH RSCP CPICH RSCP Th 1 ( N 1) _ Re ( _ - _ ) < + 
SetTh dBm RSCP Absolute 95 _ = - , = 3 N Th , and Th dB RSCP lative 5 _ Re = , the judgment standards 
for pilot pollution are: 
l The number of pilots satisfying CPICH _ RSCP 95dBm > - is larger than 3. 
l 
CPICH RSCP CPICH RSCP dB st th ( _ _ ) 5 1 4 - < 
Improper Configuration of SHO Algorithm Parameters 
Solve the following two problems by adjusting handover algorithm parameters. 
l Delayed handover 
According to the signaling flow for CS services, the UE fails to receive active set update 
command (physical channel reconfiguration command for intra-frequency HHO) due to 
the following cause. After UE reports measurement message, the Ec/Io of original cell 
signals decreases sharply.When the RNC sends active set update message, the UE 
powers off the transmitter due to asynchronization. The UE cannot receive active set 
update message. For PS services, the UE might also fail to receive active set update 
message or perform TRB reset before handover. 
Delayed handover might be one of the following: 
− Turning corner effect: the Ec/Io of original cell decreases sharply and that of the 
target cell increases greatly (an over high value appears) 
− Needlepoint effect: The Ec/Io of original cell decreases sharply before it increases 
and the Ec/Io of target cell increase sharply for a short time. 
According to the signaling flow, the UE reports the 1a or 1c measurement report of 
neighbor cells before call drop. After this the RNC receives the event and sends the 
active set update message, which the UE fails to receive. 
l Ping-pong Handover 
Ping-pong handover includes the following two forms 
− The best server changes frequently. Two or more cells alternate to be the best server. 
The RSCP of the best server is strong. The period for each cell to be the best server is 
short. 
− No primary pilot cell exists. Multiple cells exist with little difference of abnormal 
RSCP. The Ec/Io for each cell is bad. 
According to the signaling flow, when a cell is deleted, the 1A event is immediately 
reported. Consequently the UE fails because it cannot receive the active set update 
command. 
2008-12-22 All rights reserved Page23 , Total201
W-Handover and Call Drop Problem Optimization Guide For internal use only 
Abnormal Equipment 
Check the alarm console for abnormal alarms. Meanwhile analyze traced message, locate the 
SHO problem by checking the failure message. For help, contact local customer service 
engineers for confirm abnormal equipment. 
Reperforming Drive Test and Locating Problems 
If the problem is not due to previous causes, perform DT again and collect DT data. Supplement 
data from problem analysis. 
Adjustment and Implementation 
After confirming the cause to the problem, adjust the network by using the following pertinent 
methods: 
l For handover problems caused by pilot pollution, adjust engineering parameters of 
an antenna so that a best server forms around the antenna. For handover problems 
caused by pilot pollution, adjust engineering parameters of other antennas so that 
signals from other antennas becomes weaker and the number of pilots drops. 
Construct a new site to cover this area if conditions permit. If the interference is from 
two sectors of the same NodeB, combine the two cells as one. 
l For abnormal equipment, consult customer service engineer for abnormal equipment 
and transport layer on alarm console. If alarms are present on alarm console, 
cooperate with customer service engineers. 
l For call drop caused by delayed handover, adjust antennas to expand the handover 
area, set the handover parameters of 1a event, or increase CIO to enable handover 
to occur in advance. The sum of CIO and measured value is used in event 
evaluation process. The sum of initially measured value and CIP, as measurement 
result, is used to judge intra-frequency handover of UE and acts as cell border in 
handover algorithm. The larger the parameter is, the easier the SHO is and UEs in 
SHO state increases, which consumes resources. If the parameter is small, the SHO 
is more difficult, which might affects receiving quality. 
l For needle effect or turning corner effect, setting CIO to 5 dB is proper, but this 
increases handover ratio. For detailed adjustment, see SHO-caused call drop of 
FAQs Analysis. 
l For call drop caused by Ping-pong handover, adjust the antenna to form a best 
server or reduce Ping-pong handover by setting the handover parameter of 1B event, 
which enables deleting a cell in active set to be more difficult. For details, increase 
the 1B event threshold, 1B hysteresis, and 1B delay trigger time. 
3.1.2 HHO CQT Flow 
HHO Types 
HHO includes the following types: 
l Intra-frequency HHO 
The frequency of the active set cell before HHO is the same as that of the cell after HHO. 
If the cell does not support SHO, HHO might occur. HHO caters for cross-RNC 
2008-12-22 All rights reserved Page24 , Total201
W-Handover and Call Drop Problem Optimization Guide For internal use only 
intra-frequency handover without lur interface, limited resources at lur interface, and 
handover controlled by PS service rate threshold of handover cell. The 1D event of 
intra-frequency measurement events determines intra-frequency HHO. 
l Inter-frequency HHO 
The frequency of the active set cell before HHO is different from that of the cell after 
HHO. HHO helps to carry out balanced load between carriers and seamless proceeding. 
Start compression mode to perform inter-frequency measurement according to UE 
capability before inter-frequency HHO. HHO judgment for selecting cell depends on 
period measurement report. 
l Balanced load HHO 
It aims to realize balanced load of different frequencies. Its judgment depends on 
balanced load HHO. 
Inter-frequency coverage usually exists in special scenarios, such as indoor coverage, so CQT 
are used. The following section details the optimization flow for inter-frequency CQT. 
Optimization Flow of HHO CQT 
Figure 3-2 shows the optimization flow for HHO CQT. 
2008-12-22 All rights reserved Page25 , Total201
W-Handover and Call Drop Problem Optimization Guide For internal use only 
Figure 3-2 Optimization flow for HHO CQT 
Adjustment 
The optimization flow for HHO is similar with that of SHO and the difference lies in parameter 
optimization. 
Confirming inter-frequency missing neighbor cell is similar to that of intra-frequency. When call 
drop occurs, the UE does not measure or report inter-frequency neighbor cells. After call drop, 
the UE re-camps on the inter-frequency neighbor cell. 
HHO problems usually refer to delayed handover and Ping-pong handover. 
Delayed HHO usually occurs outdoor, so call drop occurs when the UE is moving. There are 
three solutions: 
l Increase the threshold for starting compression mode. 
The compression mode starts before inter-frequency or inter-RAT handover. Measure the 
quality of inter-frequency or inter-RAT cell by compression mode. Compression mode 
starts if the CPICH RSCP or Ec/Io meets the conditions. RSCP is usually the triggering 
condition. 
The parameter "inter-frequency measurement quantity" decides to use CPICH Ec/No or 
Ec/Io as the measurement target for inter-frequency handover.When setting 
"inter-frequency measurement quantity", check that the cell is at the carrier coverage 
edge or in the carrier coverage center. If intra-frequency neighbor cells lie in all direction 
of the cell, the cell is defined as in the carrier coverage center. If no intra-frequency cell 
lies in a direction of the cell, the cell is defined as at the carrier coverage edge. 
2008-12-22 All rights reserved Page26 , Total201
W-Handover and Call Drop Problem Optimization Guide For internal use only 
In the cell at the carrier coverage edge, when UE moves along the direction where no 
intra-frequency neighbor cell lies, the CPICH Ec/No changes slowly due to the identical 
attenuation rate of CPICH RSCP and interference. According to simulation, when 
CPICH RSCP is smaller than the demodulation threshold (–100 dBm or so), the CPICH 
Ec/No can still reach –12 dB or so. Now the inter-frequency handover algorithm based 
on CPICH Ec/No is invalid. Therefore, for the cell at the carrier coverage edge, using 
CPICH RSCP as inter-frequency measurement quantity to guarantee coverage is more 
proper. 
In the cell in the carrier coverage center, use CPICH RSCP as inter-frequency 
measurement quantity, but CPICH Ec/No can better reflect the actual communication 
quality of links and cell load. Therefore use CPICH Ec/No as inter-frequency 
measurement quantity in the carrier coverage center (not the cell at the carrier coverage 
edge), and RSCP as inter-frequency measurement quantity in the cell at the carrier 
coverage edge. 
In compression mode, the quality of target cell (inter-frequency or inter-RAT) is usually 
measured and obtained. The mobility of MS leads to quality deterioration of the current 
cell. Therefore the requirements on starting threshold are: before call drop due to the 
quality deterioration of the current cell, the signals of the target cell must be measured 
and reporting is complete. The stopping threshold must help to prevent compression 
mode from starting and stopping frequently. 
The RNC can distinguish CS services from PS services for inter-frequency measurement. 
If the RSCP is smaller than –95 dBm, compression mode starts. If the RSCP is greater 
than –90 dBm, compression mode stops. Adjust RSCP accordingly for special scenarios. 
l Increase the CIO of two inter-frequency cells. 
l Decrease the target frequency handover trigger threshold of inter-frequency 
coverage. 
For Ping-pong HHO problems, solve them by increasing HHO hysteresis and delay trigger time. 
The intra-frequency HHO optimization is similar to that of inter-frequency. Decrease the 
hysteresis and delay trigger time of 1D event according to local radio environment to guarantee 
timely handover. 
3.1.3 Inter-RAT Handover CQT Flow 
Flow Chat 
Figure 3-3 shows the inter-RAT handover CQT flow. 
2008-12-22 All rights reserved Page27 , Total201
W-Handover and Call Drop Problem Optimization Guide For internal use only 
Figure 3-3 Inter-RAT handover CQT flow 
Data Configuration 
Inter-RAT handover fails due to incomplete configuration data, so pay attention to the following 
data configuration. 
l GSM neighbor configuration is complete on RNC. The configuration includes: 
− Mobile country code (MCC) 
− Mobile network code (MNC) 
− Location area code (LAC) 
− GSM cell identity (CELL ID) 
− Network color code (NCC) 
− Base station color code (BCC) 
− Frequency band indicator (FREQ_BAND) 
− Frequency number 
− Cell independent offset (CIO) 
Guarantee the correctness of the previous data and GSM network. 
2008-12-22 All rights reserved Page28 , Total201
W-Handover and Call Drop Problem Optimization Guide For internal use only 
l Add location area cell information near 2G MSC to location area cell list of 3G MSC. 
The format of location area identity (LAI) is MCC + MNC + LAC. Select LAI as LAI 
type. Select Near VLR area as LAI class and add the corresponding 2G MSC/VLR 
number. The cell GCI format is: MCC + MNC + LAC + CI. Select GCI as LAI type. 
Select Near VLR area as LAI class and add the corresponding 2G MSC/VLR 
number. 
l Add data of WCDMA neighbor cells on GSM BSS. The data includes: 
− Downlink frequency 
− Primary scramble 
− Main indicator 
− MCC 
− MISSING NEIGHBOR CELL 
− LAC 
− RNC ID 
− CELL ID 
According to the strategies of unilateral handover of inter-RAT handover, if the data 
configuration is complete, the inter-RAT handover problems are due to delayed handover. A 
frequently-used solution is increasing CIO, increasing the threshold for starting and stopping 
compression mode, increasing the threshold to hand over to GSM. 
Causes 
The causes to call drop due to 3G-2G inter-RAT handover are as below: 
l After the 2G network modifies its configuration data, it does not inform the 3G 
network of modification, so the data configured in two networks are inconsistent. 
l Missing neighbor cell causes call drop. 
l The signals fluctuate frequently so call drop occurs. 
l Handset problems causes call drop. For example, the UE fails to hand over back or 
to report inter-RAT measurement report. 
l The best cell changes upon Physical channel reconfiguration. 
l Excessive inter-RAT cell are configured (solve it by optimizing number of neighbor 
cells). 
l Improperly configured LAC causes call drop (solve it by checking data configuration). 
3.1.4 DT/CQT Flow for HSDPA Handover 
Type 
According to the difference of handover on DPCH in HSDPA network, the HSDPA handover 
includes: 
l SHO or softer handover of DPCH, with HS-PDSCH serving cell update 
2008-12-22 All rights reserved Page29 , Total201
W-Handover and Call Drop Problem Optimization Guide For internal use only 
l Intra-frequency and inter-frequency HHO of DPCH, with HS-PDSCH serving cell 
update 
According to different technologies used in the serving cell before and after handover, HSDPA 
handover includes: 
l Handover in HSDPA system 
l Handover between HSDPA and R99 cells 
l Handover between HSDPA and GPRS cells 
Methods 
For HSDPA service coverage test and mobility-related test (such as HHO on DPCH with 
HS-PDSCH serving cell update, handover between HSDPA and R99, and inter-RAT handover), 
perform DT to know the network conditions. 
For location of HSDPA problems and non-mobility problems, perform CQT (in specified point or 
small area). 
Flow 
When a problem occurs, check R99 network. If there is similar problem with R99 network, solve 
it (or, check whether the R99 network causes HSDPA service problems, such as weak coverage, 
missing neighbor cell. Simplify the flow). 
Figure 3-4 shows the DT/CQT flow for HSDPA handover. 
2008-12-22 All rights reserved Page30 , Total201
W-Handover and Call Drop Problem Optimization Guide For internal use only 
Figure 3-4 DT/CQT flow for HSDPA handover 
The problems with handover of HSDPA subscribers are usually caused by the faulty handover 
of R99 network, such as missing neighbor cell and improper configuration of handover 
parameters. When the R99 network is normal, if the handover of HSDPA subscribers is still 
faulty, the cause might be improper configuration of HSDPA parameters. Engineers can check 
the following aspects: 
l Whether the HSDPA function of target cell is enabled and the parameters are 
correctly configured. Engineers mainly check the words of cell and whether the 
power is adequate, whether the HS-SCCH power is low. These parameters might 
not directly cause call drop in handover, but lead to abnormal handover and lowered 
the user experience. 
l Whether the protection time length of HSDPA handover is proper. Now the baseline 
value is 0s. Set it by running SET HOCOMM. 
l Whether the threshold for R99 handover is proper. The handover flow for HSDPA is 
greatly different from that of R99, so the handover of R99 service may succeed while 
the HSDPA handover may fail. For example, in H2D handover, when the UE reports 
1b event, it triggers RB reconfiguration in the original cell, reconfigures service 
bearer to DCH, and updates the cell in active set. If the signals of the original cell 
deteriorate quickly now, the reconfiguration fails. 
l Whether the protection time length of D2H handover is proper. Now the baseline 
value is 2s. Set it by running SET HOCOMM. 
2008-12-22 All rights reserved Page31 , Total201
W-Handover and Call Drop Problem Optimization Guide For internal use only 
3.1.5 DT/CQT Flow for HSUPA Handover 
The DT/CQT flow for HSUPA handover is similar to that for HSDPA. For details, refer to DT/CQT 
Flow for HSDPA Handover. 
For the test of HSUPA service coverage and mobility-related tests (such as the test of success 
rate of HSUPA serving cell update), perform DT to know the network conditions. For locating 
HSUPA problems and the problems unrelated to mobility, perform CQT (in specified spot or 
area). 
3.1.6 SHO Ratio Optimization 
This part is to be supplemented. 
3.1.7 MBMS Mobility Optimization 
Currently, the radio network controller (RNC) V18 supports only the broadcast mode of the 
multimedia broadcast multicast service (MBMS); the MBMS user equipment (UE) moves only 
between point-to-multipoint (PTM) cells. 
Figure 3-5 Movement of the MBMS UE between PTM cells 
The movement of the MBMS UE between PTM cells is similar to the movement of UE 
performing PS services in the CELL-FACH state. The UE performs the handover between cells 
2008-12-22 All rights reserved Page32 , Total201
W-Handover and Call Drop Problem Optimization Guide For internal use only 
through cell reselection and obtains a gain through soft combining or selective combining 
between two cells to guarantee the receive quality of the service. The UE first moves to the 
target cell and then sends a CELL UPDATE message to notify the serving radio network 
controller (SRNC) that the cell where the UE stays is changed. The SRNC returns a CELL 
UPDATE CONFIRM message. The UE receives an MBMS control message from the MCCH in 
the target cell and determines whether the MBMS radio bearer to be established is consistent 
with that of the neighboring cell. If they are consistent, the original radio bearer is retained. The 
MBMS mobility optimization, which guarantees that the UE obtains better quality of service at 
the edge of cells, covers the following aspects: 
l Optimize cell reselection parameters to guarantee that the UE can be reselected to 
the best cell in time. 
l Guarantee that the power of the FACH in each cell is large enough to meet the 
coverage requirement of the MBMS UE at the edge of the cells. 
l Guarantee that the transmission time difference of the UE between different links 
meets the requirement of soft combing or selective combining*. 
l Guarantee that the power, codes, transmission, and CE resources of the target cell 
are not restricted or faulty, and that the MBMS service is successfully established. 
The UE can simultaneously receive the same MBMS service from two PTM cells and combine 
the received MBMS service. The UE supports two combining modes: 
Soft combining: The transmission time difference between the current cell and the neighboring 
cell is within (one TTI + 1) timeslots and the TFCI in each transmission time interval (TTI) is the 
same. 
Selective combining: The transmission time difference between the current cell and the 
neighboring cell is within the reception time window stipulated by the radio link controller (RLC). 
The SCCPCH is decoded and the transmission blocks are combined in the RLC PDU phase 
2008-12-22 All rights reserved Page33 , Total201
W-Handover and Call Drop Problem Optimization Guide For internal use only 
3.2 Traffic Statistics Analysis Flow 
The traffic statistics data is important to network in terms of information source. In addition, it is 
the major index to evaluate network performance. 
The handover traffic statistics data is includes RNC-oriented data and cell-oriented data. RNC 
–oriented data reflects the handover performance of entire network, while cell-oriented data 
helps to locate problematic cells. 
The analysis flow for SHO, HHO, inter-RAT handover, and HSDPA handover is similar, but the 
traffic statistics indexes are different from them. 
Figure 3-6 shows the analysis flow for handover traffic statistics data. 
2008-12-22 All rights reserved Page34 , Total201
W-Handover and Call Drop Problem Optimization Guide For internal use only 
Figure 3-6 Analysis flow for handover traffic statistics data 
3.2.1 Analysis Flow for SHO Traffic Statistics 
The SHO success rate is defined as below: 
SHO success rate = SHO successful times/SHO times 
According to the flow, SHO includes SHO preparation process and SHO air interface process. 
The SHO preparation process is from handover judgment to RL setup completion. The SHO air 
interface process is active set update process. 
l Check the SHO success rate of entire network and cell in busy hour. If they are not 
qualified, analyze the problematic cells in details. 
l Sort the SHO (or softer handover) failure times of the cell by TOP N and locate the 
cells with TOP N failure times. List the specific indexes of failure causes. If locating 
specific causes from traffic statistics is impossible, analyze the corresponding CHR. 
Table 3-1 lists the detailed traffic statistics indexes to SHO (or softer handover) failure 
and analysis. 
2008-12-22 All rights reserved Page35 , Total201
W-Handover and Call Drop Problem Optimization Guide For internal use only 
Table 3-1 SHO failure indexes 
Failure causes Analysis 
Configuration nonsupport The UE thinks the content of active set update for RNC to add/delete links 
does not support SHO. This scenario seldom exists in commercial networks. 
Synchronization 
reconfiguration 
nonsupport 
The UE feeds back that the SHO (or softer handover) for RNC to add/delete 
links is incompatible with other subsequent processes. The RNC 
guarantees serial processing upon flow processing. This cause is due to the 
problematic UE. 
Invalid configuration The UE thinks the content of active set update for RNC to add/delete links is 
invalid. This scenario seldom exists in commercial networks. 
No response from UE 
The RNC fails to receive response to active set update command for 
adding/deleting links. This is a major cause to SHO (or softer handover) 
failure. It occurs in areas with weak coverage and small handover area. RF 
optimization must be performed in the areas. 
l Perform DT to re-analyze problems. The traffic statistics data provides the trend and 
possible problems. Further location and analysis of problems involves DT and CHR 
to the cell. DT is usually performed on problematic cells and signaling flow at the UE 
side and of RNC is traced. For details, see 3.1.3 . 
3.2.2 Analysis Flow of HHO Traffic statistics 
The HHO traffic statistics includes outgoing HHO success rate and incoming HHO success rate: 
l Outgoing HHO Success Rate = Outgoing HHO Success Times/Outgoing HHO 
Times 
l Incoming HHO Success Rate = Incoming HHO Success Times/Incoming HHO 
Times 
Upon HHO failure, pay attention to indexes related to internal NodeB, between NodeBs, and 
between RNCs. 
Table 3-2 lists the HHO failure indexes. 
Table 3-2 HHO failure indexes 
Failure cause Analysis 
HHO preparation failure 
Radio link setup failure Analyze RL setup failure. 
Other causes Analyze the problem further based on CHR logs. 
Internal NodeB/Between NodeBs/Between RNCs HHO failure 
Configuration 
nonsupport 
The UE thinks it cannot support the command for outgoing HHO, 
because it is incompatible with HHO. 
PCH failure The cause is probably weak coverage and strong interference. 
Synchronization 
reconfiguration 
nonsupport 
The UE feeds back HHO is incompatible with other consequent processes 
due to compatibility problems of UE. 
2008-12-22 All rights reserved Page36 , Total201
W-Handover and Call Drop Problem Optimization Guide For internal use only 
Cell update Cell update occurs upon outgoing HHO. These two processes lead to 
outgoing HHO failure. 
Invalid configuration The UE thinks the command for outgoing HHO as invalid. This is a 
compatibility problem of UE. 
Other causes Analyze the problem further based on CHR logs. 
3.2.3 Traffic Statistics Analysis Flow for Inter-RAT Handover 
The inter-RAT handover success rate includes voice inter-RAT handover success rate and PS 
inter-RAT handover success rate. 
Voice Inter-RAT Outgoing Handover Success Rate = Voice Inter-RAT Outgoing Handover 
Success Times/Voice Inter-RAT Outgoing Handover Attempt Times 
Voice Inter-RAT Outgoing Handover Success Times: when the RNC sends a RELOCATION 
REQUIRED message. 
Voice Inter-RAT Outgoing Handover Attempt Times: during CS inter-RAT outgoing, when the 
RNC receives an IU RELEASE COMMAND message, with the reason value Successful 
Relocation, or Normal Release. 
PS Inter-RAT Outgoing Handover Success Rate = PS Inter-RAT Outgoing Handover Success 
Times/PS Inter-RAT Outgoing Handover Implementation Times 
PS Inter-RAT Outgoing Handover Success Times: the RNC sends a CELL CHANGE ORDER 
FROM UTRAN message to UE. 
PS Inter-RAT Outgoing Handover Implementation Times: when the RNC receives an IU 
RELEASE COMMAND message, with the reason value Successful Relocation, or Normal 
Release. 
Voice Inter-RAT Outgoing Handover Success Rate 
The voice inter-RAT outgoing handover includes handover preparation process and 
implementation process. 
Figure 3-7 shows the voice inter-RAT outgoing handover flow. 
2008-12-22 All rights reserved Page37 , Total201
W-Handover and Call Drop Problem Optimization Guide For internal use only 
Figure 3-7 Voce inter-RAT outgoing handover flow 
During CS inter-RAT outgoing handover process, when the RNC sends a RELOCATION 
REQUIRED message to CN, if the current CS service is AMR voice service, count it as an 
inter-RAT handover preparation. When the RNC receives the IU RELEASE COMMAND 
message replied by CN, count it as inter-RAT outgoing handover success according to the 
SRNC cell being used by UE. 
If CS inter-RAT handover fails, check the failure statistics indexes listed in Table 3-3. 
Table 3-3 Traffic statistics indexes of CS inter-RAT handover preparation failure 
Failure cause Analysis 
RNC-level inter-RAT outgoing handover preparation failure 
Expiration of 
waiting for SRNS 
relocation 
command 
The CN does not respond the corresponding command for handover 
preparation request, because the CN parameter configuration or the 
corresponding link connection is problematic. To solve this problem, 
analyze the causes according to CN and BSS signaling tracing. 
SRNS relocation 
cancellation 
After the RNC requests handover preparation, it receives the release 
command from CN. This includes the following two cases: 
l The inter-RAT handover request occurs during signaling process like 
location update, so the flow is not complete before location update is 
complete. Finally the CN sends a release message. 
l The subscribers that are calling hang UE before handover preparation, 
so the CN sends a release message. 
The previous two cases, despite incomplete handover, are normal nesting 
flows. 
SRNS relocation 
expiration 
It corresponds to incorrect configuration of CN, so you must analyze the 
causes according to CN and BSS signaling tracing. 
SRNS relocation 
failure in target 
CN/RNC/system 
It corresponds to incorrect configuration of CN or BSS nonsupport, so you 
must analyze the causes according to CN and BSS signaling tracing. 
2008-12-22 All rights reserved Page38 , Total201
W-Handover and Call Drop Problem Optimization Guide For internal use only 
Unknown target 
RNC 
It corresponds to incorrect configuration of MSC parameters without 
information like LAC of target cell, so you must check the parameter 
configuration. It occurs easily after adjustment of 2G networks. 
Unavailable 
resource 
It corresponds to incorrect configuration of MSC parameters or unavailable 
BSC resources, so you must analyze the causes according to CN and BSS 
signaling tracing. 
Other causes Analyze the causes according to CN and BSS signaling tracing. 
Cell-level inter-RAT outgoing handover preparation failure 
SRNS relocation 
expiration 
The CN parameter configuration or the corresponding link connection is 
problematic, so you must analyze the causes according to CN and BSS 
signaling tracing. 
SRNS relocation 
failure in target 
CN/RNC/system 
It corresponds to incorrect configuration of CN or BSS nonsupport, so you 
must analyze the causes according to CN and BSS signaling tracing. 
SRNS relocation 
nonsupport in 
target 
CN/RNC/system 
The BSC fails to support some parameters of inter-RAT handover request, 
so you must analyze the causes according to CN and BSS signaling 
tracing. 
Other causes Analyze the causes according to CN and BSS signaling tracing. 
RNC-level/CELL-level inter-RAT outgoing handover failure 
Configuration 
nonsupport 
The UE fails to support the handover command in the network, so the UE 
is incompatible with the handover command. 
PCH failure The 2G signals are weak or the interference is strong so the UE fails to 
connect to the network. 
Other causes Analyze the problem further according to CHR logs and CN/BSS signaling 
tracing. 
PS Inter-RAT Handover Success Rate 
After the RNC sends the CELL CHANGE ORDER FROM UTRAN message, the PS inter-RAT 
outgoing handover fails if it receives the CELL CHANGE ORDER FROM UTRAN FAILURE 
message. You must check the indexes listed in Table 3-4. 
Table 3-4 Traffic statistics indexes of PS inter-RAT outgoing handover failure 
Failure cause Analysis 
RNC-level/CELL-level PS inter-RAT outgoing handover preparation failure 
Configuration 
nonsupport 
The UE fails to support the handover command of the network, because 
the UE is incompatible with the command. 
PCH failure The 2G signals are weak or the interference is strong, so the UE fails to 
access the network. 
Radio network 
layer cause 
The UE is probably incompatible. The UE detects that the sequence 
number of SNQ in the AUTN message is correct, so the handover fails. 
The value is synchronization failure. 
Transport layer 
cause The corresponding transport link is abnormal. 
2008-12-22 All rights reserved Page39 , Total201
W-Handover and Call Drop Problem Optimization Guide For internal use only 
Other causes You must analyze the causes according to CN and BSS signaling tracing. 
3.2.4 Traffic Statistics Analysis for HSDPA Handover 
HSDPA switch includes 
l H-H (HS-DSCH to HS-DSCH) intra-frequency serving cell update 
l H-H inter-frequency serving cell update 
l HSDPA-R99 intra-frequency switch 
l HSDPA-R99 inter-frequency switch 
l HSDPA-GPRS switch 
The traffic statistics indexes are defined as below: 
l Success rate of H-H intra-frequency serving cell update = (Times of successful 
update of serving cell)/(attempt times update of serving cell) 
When the RNC sends UE the PHYSICAL CHANNEL RECONFIGURATION message, 
if the serving cell is updated, engineers count the attempt times of serving cell in the 
original serving cell.When the RNC receives the PHYSICAL CHANNEL RECFG 
COMPLETE message, if the serving cell changes, the RNC counts the times of 
successful update of serving cells in the original serving cell when the UE is in the SHO 
mode not in the HHO mode. 
l Success rate of H-H inter-frequency serving cell update = Times of successful 
outgoing inter-frequency HHO from HS-DSCH to HS-DSCH/Times of requested 
outgoing inter-frequency HHO from HS-DSCH to HS-DSCH 
When the RNC sends UE the PHYSICAL CHANNEL RECONFIGURATION message, 
and the inter-frequency HHO is from HS-DSCH to HS-DSCH, the RNC counts the times 
of requested outgoing inter-frequency HHO from HS-DSCH to HS-DSCH.When the 
RNC receives the PHYSICAL CHANNEL RECFG COMPLETE message from UE, and 
the inter-frequency HHO is from HS-DSCH to HS-DSCH, engineers count the times of 
successful outgoing inter-frequency HHO from HS-DSCH to HS-DSCH. 
l Success rate of H-H inter-frequency serving cell update = successful times of 
outgoing inter-frequency HHO from HS-DSCH to HS-DSCH/attempt times HHO from 
DCH to HS-DSCH in the cell 
When the RNC sends the UE the PHYSICAL CHANNEL RECONFIGURATION 
message, if the switch is the inter-frequency HHO from HS-DSCH to HS-DSCH, the 
RNC counts the successful times of inter-frequency HHO from HS-DSCH to HS-DSCH 
in the cell. 
l Success rate of H-to-R99 intra-frequency SHO = successful times of switch from 
HS-DSCH to DCH in multi-link mode in the cell/attempt times switch from HS-DSCH 
to DCH in multi-link mode in the cell. 
Success rate of R99-to-H intra-frequency SHO = successful times of switch from 
DCH to HS-DSCH in multi-link mode in the cell/attempt times switch from DCH to 
HS-DSCH in multi-link mode in the cell. 
In the DCCC or RAB MODIFY process, if the RNC decides to switch the channel in the 
cell, it sends the UE the RF RECONFIGURATION message. According to the channel 
state of the UE before and after reconfiguration, the RNC counts the previous indexes in 
the HSDPA serving cell. 
2008-12-22 All rights reserved Page40 , Total201
W-Handover and Call Drop Problem Optimization Guide For internal use only 
l Success rate of H-to-R99 intra-frequency HHO = successful times of outgoing 
intra-frequency HHO from HS-DSCH to DCH in the cell/attempt times outgoing 
intra-frequency HHO from HS-DSCH to DCH in the cell. 
When the RNC sends the UE the PHYSICAL CHANNEL RECONFIGURATION 
message, if the switch is the intra-frequency switch from HS-DSCH to DCH, the RNC 
counts the attempt times of inter-frequency HHO from HS-DSCH to DCH in the cell. 
When the RNC receives the PHYSICAL CHANNEL RECFG COMPLETE message 
from the UE, if the switch is the intra-frequency HHO from HS-DSCH to DCH, the 
RNC counts the successful times of outgoing intra-frequency HHO from HS-DSCH to 
DCH in the cell. 
Success rate of H-to-R99 inter-frequency switch update 
The RNC algorithm is unavailable now, so this index is unavailable. 
l Success rate of H-to-R99 inter-frequency switch update = successful times of 
outgoing HHO from HS-DSCH to DCH in the cell/attempt times outgoing 
inter-frequency HHO from HS-DSCH to DCH in the cell 
When the RNC sends the UE the PHYSICAL CHANNEL RECONFIGURATION 
message, if the switch is the inter-frequency switch from HS-DSCH to DCH, the RNC 
counts the attempt times inter-frequency HHO from HS-DSCH to DCH in the cell.When 
the RNC receives the PHYSICAL CHANNEL RECFG COMPLETE message from the 
UE, if the switch is the inter-frequency HHO from HS-DSCH to DCH, the RNC counts 
the successful times of outgoing inter-frequency HHO from HS-DSCH to DCH in the 
cell. 
Success rate of R99-to-H 
The RNC algorithm is unavailable now, so this index is unavailable. 
l Success rate of R99-to-H switch = successful times of switch from DCH to 
HS-DSCH in the cell/attempt times of switch from DCH to HS-DSCH in the cell 
In the DCCC or RAB MODIFY process, if the RNC decides to switch the channel in the 
cell, it sends the UE the RF RECONFIGURATION message. According to the channel 
state of the UE before and after reconfiguration, the RNC counts the attempt times of 
switch from DCH to HS-DSCH in the HSDPA serving cell. In the DCCC or RAB 
MODIFY process, if the RNC receives the RB RECONFIGURATION COMEPLTE 
message from UE, and the reconfiguration enables UE to switch from the DCH to 
HS-DSCH in the same cell, the RNC counts the successful times of switch from DCH to 
HS-DSCH in the HSDPA serving cell. 
l Success rate of H-to-GPRS handover update 
The traffic statistics does not include the index, and the index will be supplemented later. 
The causes to failure and analysis methods will be summarized later. 
3.2.5 Traffic Statistics Analysis for HSUPA Handover 
The traffic statistics indexes for HSUPA are defined as below: 
l Success rate of SHO between HSUPA cells (including adding, replacing, and 
deleting) = attempt times of active set update/complete times of active set update. 
l Success rate of SHO serving cell update between HSUPA cells = successful times 
of SHO serving cell update/attempt times of SHO serving cell update. 
2008-12-22 All rights reserved Page41 , Total201
W-Handover and Call Drop Problem Optimization Guide For internal use only 
l Success rate of reconfiguration from DCH to E-DCH in the cell (SHO, 
intra-frequency HHO, and inter-frequency HHO) = successful times of handover from 
DCH to E-DCH/attempt times of handover from DCH to E-DCH. 
l Success rate of reconfiguration from E-DCH to DCH in the cell (including adding and 
replacing) = successful times of handover from E-DCH to DCH in SHO 
mode/attempt times of handover from E-DCH to DCH in SHO mode. 
l Success rate of intra-frequency HHO serving cell between HSUPA cells = successful 
times of intra-frequency HHO serving cell between HSUPA cells/attempt times of 
intra-frequency HHO serving cell between HSUPA cells. 
l Success rate of intra-frequency HHO from E-DCH to DCH from a HSUPA cell to a 
non-HSUPA cell = successful times of intra-frequency HHO from E-DCH to 
DCH/attempt times of intra-frequency HHO from E-DCH to DCH. 
l Success rate of inter-frequency HHO serving cell update between HSUPA cells = 
successful times of inter-frequency HHO serving cell update between HSUPA 
cells/attempt times of inter-frequency HHO serving cell update between HSUPA 
cells. 
l Successful times of inter-frequency HHO from a HSUPA cell to a non-HSUPA cell = 
successful times of inter-frequency HHO from E-DCH to DCH/request times of 
inter-frequency HHO from E-DCH to DCH. 
2008-12-22 All rights reserved Page42 , Total201
W-Handover and Call Drop Problem Optimization Guide For internal use only 
3.3 SHO Cost Optimization 
To be supplemented. 
2008-12-22 All rights reserved Page43 , Total201
W-Handover and Call Drop Problem Optimization Guide For internal use only 
4 CDR Index Optimization 
4.1 Definition of Call Drop and Traffic Statistics Indexes 
4.1.1 Definition of DT Call Drop 
According to the air interface signaling recorded at the UE side, during connection, DT call drop 
occurs when the UE receives: 
l Any BCH message (system information) 
l The RRC Release message with the release cause Not Normal. 
l Any of the CC Disconnect, CC Release Complete, CC Release message with the 
release cause Not Normal Clearing, Not Normal, or Unspecified. 
4.1.2 Descriptions of Traffic Statistics Indexes 
A generalized CDR consists of CN CDR and UTRAN CDR. RNO engineers focus on UTRAN 
CDR, so the following sections focus on KPI index analysis at UTRAN side. 
The related index at UTRAN side is the number of RAB for each service triggered by RNC. It 
consists of the following two aspects: 
l After the service is set up, the RNC sends CN the RAB RELEASE REQUEST 
message. 
l After the service is set up, the RNC sends CN the IU RELEASE REQUEST 
message. Afterwards, it receives the IU RELEASE COMMAND sent by CN. 
Upon statistics, sort them by specific services. Meanwhile, traffic statistics includes the cause to 
release of RAB of each service by RNC. 
CS CDR is calculated as below: 
å = 
CS _ CDR 100 å 
* % 
CSRabrelTriggedByRNC 
CSRABSetupSuccess 
PS CDR is calculated as below: 
2008-12-22 All rights reserved Page44 , Total201
W-Handover and Call Drop Problem Optimization Guide For internal use only 
å = 
PS _ CDR 100 å 
* % 
PSRabrelTriggedByRNC 
PSRABSetupSuccess 
The failure cause indexes are sorted in Table 4-1. 
Table 4-1 Types of CDR indexes 
CDR type Cause Corresponding signaling process 
Due to air 
interface 
RF RLC reset and RL Failure 
Expiration 
of process 
timer 
RB RECFG 
Expiration of PHY/TRCH/SHO/ASU 
HHO failure 
Not due to 
air 
interface 
Hardware 
failure 
The transport failure between RNC and NodeB. NCP 
reports failure. 
FP synchronization failure. 
Transport 
layer failure ALCAP report failure 
Subscribers 
are 
released by 
O&M intervention 
force by 
MML 
The definition of RAN traffic statistics call drop is according to statistics of lu interface signaling, 
including the times of RNC's originating RAB release request and lu release request. The DT 
call drop is defined according to the combination of messages at air interface and from 
non-access lay and cause value. They are inconsistent. 
4.2 DT/CQT Optimization Flow 
Figure 4-1 shows flow chart for analyzing call drop. 
2008-12-22 All rights reserved Page45 , Total201
W-Handover and Call Drop Problem Optimization Guide For internal use only 
Figure 4-1 Flow chart for analyzing call drop 
4.2.1 Call Drop Cause Analysis 
Call drop occurs usually due to handover, which is described in chapter 3 . The following 
sections describe the call drop not due to handover. 
Weak Coverage 
For voice services, when CPICH Ec/Io is greater than –14 dB and RSCP is greater than –100 
dBm (a value measured by scanner outside cars), the call drop is usually not due to weak 
coverage. Weak coverage usually refers to weak RSCP. 
Table 4-2 lists the thresholds of Ec/Io and Ec (from an RNP result of an operator, just for 
reference). 
Table 4-2 Thresholds of EcIo and Ec 
Service Bit rate of 
service DL EbNo EcIo 
thresholds Ec thresholds 
CS 12.2 12.2 8.7 –13.3 –103.1 
2008-12-22 All rights reserved Page46 , Total201
W-Handover and Call Drop Problem Optimization Guide For internal use only 
CS 64 64 5.9 –11.9 –97.8 
PS 64 64 5.1 –12.7 –98.1 
PS 128 128 4.5 –13.3 –95.3 
PS 384 384 4.6 –10.4 –90.6 
Uplink or downlink DCH power helps to confirm the weak coverage is in uplink or downlink by 
the following methods. 
l If the uplink transmission power reaches the maximum before call drop, the uplink 
BLER is weak or NodeB report RL failure according to single subscriber tracing 
recorded by RNC, the call drop is probably due to weak uplink coverage. 
l If the downlink transmission power reaches the maximum before call drop and the 
downlink BLER is weak, the call drop is probably due to weak downlink coverage. 
In a balanced uplink and downlink without uplink or downlink interference, both the uplink and 
downlink transmit power will be restricted. You need not to judge whether uplink or downlink is 
restricted first. If the uplink and downlink is badly unbalanced, interference probably exists in the 
restricted direction. 
A simple and direct method for confirming coverage is to observe the data collected by scanner. 
If the RSCP and Ec/Io of the best cell is low, the call drop is due to weak coverage. 
Weak coverage might be due to the following causes: 
l Lack of NodeBs 
l Incorrectly configured sectors 
l NodeB failure due to power amplifier failure 
The over great indoor penetration loss causes weak coverage. Incorrectly configured sectors or 
disabling of NodeB will occur, so at the call drop point, the coverage is weak. You must 
distinguish them. 
Interference 
Both uplink and downlink interference causes call drop. 
In downlink, when the active set CPICH RSCP is greater than –85 dBm and the active set Ec/Io 
is smaller than –13 dB, the call drop is probably due to downlink interference (when the 
handover is delayed, the RSCP might be good and Ec/Io might be weak, but the RSCP of Ec/Io 
of cells in monitor set are good). If the downlink RTWP is 10 dB greater than the normal value 
(–107 to –105 dB) and the interference lasts for 2s–3s, call drop might occur. You must pay 
attention to this. 
Downlink interference usually refers to pilot pollution. When over three cells meets the handover 
requirements in the coverage area, the active set replaces the best cell or the best cell changes 
due to fluctuation of signals. When the comprehensive quality of active set is bad (CPICH Ec/Io 
changes around –10 dB), handover failure usually causes SRB reset or TRB reset. 
Uplink interference increases the UE downlink transmit power in connection mode, so the over 
high BLER causes SRB reset, TRB reset, or call drop due to asynchronization. Uplink 
interference might be internal or external. Most of scenario uplink interference is external. 
Without interference, the uplink and downlink are balanced. Namely, the uplink and downlink 
transmit power before call drop will approach the maximum. When downlink interference exists, 
2008-12-22 All rights reserved Page47 , Total201
W-Handover and Call Drop Problem Optimization Guide For internal use only 
the uplink transmit power is low or BLER is convergent. When the downlink transmit power 
reaches the maximum, the downlink BLER is not convergent. It is the same with uplink 
interference. You can use this method to distinguish them. 
Abnormality Analysis 
If the previous causes are excluded, the call drop might due to problematic equipment. You 
need to check the logs and alarms of equipment for further analysis. The causes might be as 
below: 
l An abnormal NodeB causes failure of synchronization, so links keeps being added 
and deleted. 
l The UE does not report 1a measurement report so call drop occurs. 
You need to focus on the call drop due to abnormal testing UE, which occurs easily during CQT. 
Namely, the data recorded in DT does not contain the information reported by UE for a period. 
HSPA Call Drop Analysis 
For HSPA call drop analysis, refer to previous causes to R99 call drop. 
4.2.2 Frequently-adjusted Non-handover Algorithm Parameters 
The frequently-adjusted non-handover algorithm parameters in call drop are as below: 
Maximum Downlink Transmit Power of Radio Link 
Configuring the transmit power of dedicated link to a great value helps to eliminate call drop 
points due to weak coverage, but it brings interference. The power of a single subscriber is 
allowed to be great, so the subscriber might impact other subscribers or lower downlink capacity 
of system when the subscriber consumes great power at the edge of a cell. 
The configuration of downlink transmit power is usually provided by link budget. An increase or 
decrease of 1–2 dB has little impact on call drop in signal DT, but it can be seen from traffic 
statistics indexes. The CDR of some cells is high due to weak coverage, you can increase the 
maximum transmit power of DCH. The access failure probability of some cells is high due to 
over high load, you can lower the maximum downlink transmit power of radio link. 
Maximum Retransmission Times of Signaling and Services 
When the BLER of the channel is high, the signaling is reset because the retransmission 
reaches the maximum times. A reset of signaling causes call drop. The services using AM mode 
for service transmission will also retransmit signaling. If the retransmission reaches the 
maximum times, the signaling is reset. The system configures the maximum reset times. When 
the reset times reaches the maximum, the system starts to release the service, which causes 
call drop. 
The default configuration of system guarantees that burst blocks will not cause abnormal call 
drop, and call drop occurs when UE moves to an area with weak coverage and when the reset 
is time, so the system releases resources. In some scenarios, burst interference or needle 
effect exists, so 100% block error occurs during burst interference. If you want have less call 
drop, increase the retransmission times improper to resist burst interference. 
This parameter is configured for RNC. 
2008-12-22 All rights reserved Page48 , Total201
W-Handover and Call Drop Problem Optimization Guide For internal use only 
4.2.3 Judgment Tree for Call Drop Causes 
Based on various causes to call drop, the judgment tree for analyzing call drop is as shown in 
Figure 4-2. 
Figure 4-2 Judgment tree for call drop causes 
Preparing Data 
The data to be prepared include: 
l Data files collected by DT 
l Single subscriber tracing recorded by RNC 
l CHR recorded by RNC 
Obtaining Call Drop Location 
You need to use special software to process DT data. For example, the software Assistant helps 
to obtain call drop time and location, PICH data collected by scanner, information about active 
set and monitor set collected by UE, and the signaling flow. 
2008-12-22 All rights reserved Page49 , Total201
W-Handover and Call Drop Problem Optimization Guide For internal use only 
Analyzing Signal Variation of Best server From Scanner 
Analyze the signal variation of best server from scanner. 
l If the signals of best server are stable, analyze RSCP and Ec/Io. 
l If the signals of best server fluctuate sharply, you must analyze the quick variation of 
best server signals and the situation without best server. Consequently you can 
analyze call drop due to ping-pong handover. 
Analyzing RSCP and Ec/Io of Best cell 
Observe the RSCP and Ec/Io of best cell according to scanner. 
l If both RSCP and Ec/Io are bad, call drop must be due to weak coverage. 
l If RSCP is normal but Ec/Io is bad (delayed handover is excluded, intra-frequency 
neighbor cell interference), call drop must be due to downlink interference. 
l If both RSCP and Ec/Io are normal, 
When the cell in UE active set is inconsistent with the best cell according to scanner, call 
drop must be due to missing neighbor cell and delayed handover. 
When the cell in UE active set is consistent with the best cell according to scanner, call 
drop must be due to uplink interference or must be abnormal. 
Re-perform DT to Solve Problems 
A DT might not help to collect all information needed to locate call drop problems, so further DTs 
are needed. In addition, you can confirm whether the call drop point is random or fixed by 
further DT. You must eliminate fixed call drop points, but you can choose to eliminate random 
call drop points. 
4.3 Traffic Statistics Analysis Flow 
When analyzing traffic statistics indexes, you need to check RNC call drop indexes and master 
the overall situation of network operation. Meanwhile, you must analyze the cell concern for 
detailed call drop indexes. You can obtain call drop of different services and approximate 
causes to call drop by using traffic statistics analyzers. 
To analyze traffic statistics indexes, you must analyze the cells with obviously abnormal indexes. 
If the KPIs of the cell are good, there must be problems with version, hardware, transport, 
antenna-feeder, or data. Based on alarms, you can check these aspects. 
If there are no abnormalities, you can form a list of cells with bad KPIs by classifying sector 
carriers. Analyze traffic statistics indexes of these cells (such as more indexes related, analyzing 
the interval between two periods, indexes leading to call drop, and handover indexes), and 
check the causes to call drop based on CHR. When solving problems, you need to focus on one 
index and combine other indexes. 
When the traffic volume reaches a certain level, the traffic statistics indexes work. For example, 
a CDR of 50% does not indicate a bad network. Only when the absolute value of call times, call 
success times, and total times of call drop is meaningful in terms of statistics, the traffic statistics 
indexes work. 
The flow for analyzing traffic statistics is as below. 
2008-12-22 All rights reserved Page50 , Total201
W-Handover and Call Drop Problem Optimization Guide For internal use only 
4.3.1 Analyzing RNC CDR 
The RNC CDR involves the number of RAB of each service triggered by RNC, including two 
aspects: 
l After a service is established successfully, the RNC sends CN the RAB RELEASE 
REQUEST message. 
l After a service is established successfully, the RNC sends CN the IU RELEASE 
REQUEST message, and then receives the IU RELEASE COMMAND message sent 
by CN. 
AMR CDR = VS.RAB.Loss.CS.RF.AMR / VS.RAB.SuccEstab.AMR. 
VP CDR = VS.RAB.Loss.CS.Conv64K / VS.RAB.SuccEstCS.Conv.64. 
To analyze PS call drop of various rates, you can analyze the following indexes: 
l VS.RAB.Loss.PS.64K / VS.RAB.SuccEstPS.64 
l VS.RAB.Loss.PS.128K / VS.RAB.SuccEstPS.128 
l VS.RAB.Loss.PS.384K / VS.RAB.SuccEstPS.384 
Based on analysis of previous indexes, you can obtain the performance of various services and 
rates in the network, as well as SHO/HHO call drop. More important, you can obtain the cells 
with bad indexes and periods. 
4.3.2 Analyzing Causes to Call Drop 
In traffic statistics analysis, you must analyze the major causes to call drop. 
Table 4-3 lists the major indexes for analyzing traffic statistics. 
Table 4-3 Traffic statistics indexes for analyzing causes to call drop 
Failure cause Analysis 
OM interference The O&M tasks cause call drop. 
Causes due to RAB 
preemption 
High-priority preemption causes release of CS links. This kind of call drop 
occurs when the load and resources are limited. Performing expansion 
depends on the times of occurrence. 
Causes due to UTRAN 
The causes due to UTRAN in the cell lead to abnormal release of link. This 
corresponds to abnormal process, so you must further analyze it based on 
CHR. 
Uplink RLC reset Uplink RLC reset causes release of links, because the coverage quality 
(including missing neighbor cell and over mall handover area) is bad. 
Downlink RLC reset Downlink SRB reset causes release of links, because the coverage quality 
(including missing neighbor cell and over mall handover area) is bad. 
Uplink synchronization 
failure 
Uplink synchronization failure causes abnormal release of links. The 
coverage quality (including missing neighbor cell and over mall handover 
area) is bad, so the UE powers off the transmitter abnormally or uplink 
demodulation is asynchronous. 
2008-12-22 All rights reserved Page51 , Total201
W-Handover and Call Drop Problem Optimization Guide For internal use only 
Downlink synchronization 
failure 
Downlink synchronization failure causes abnormal release of links. The 
coverage quality (including missing neighbor cell and over mall handover 
area) is bad, so the UE powers off the transmitter abnormally or uplink 
demodulation is asynchronous. 
No response of UU port The UE air interface fails to respond the command transmitted by system, 
because the coverage is bad. 
Other RF causes It is due to RF causes and the coverage quality is bad. 
Abnormal AAL2 link 
The RNC detects that AAL2 Path at CS lu interface is abnormal, so the 
system originates an abnormal release. The problem might be due to 
abnormal transport equipment. Immediate normal release during RB 
establishment is counted by statistics as abnormal release as the cause. 
Abnormal GTPU The RNC detects the GTPU at PS lu interface is abnormal, so the system 
originates an abnormal release. The problem is due to equipment failure. 
Other causes You need to analyze the abnormal call drop based on RNC logs. 
You can classify the previous indexes Table 4-3 by the classification of previous chapters. They 
fall into air interface causes (RF and flow expiration) and not due to air interface causes 
(hardware failure, transport failure, and subscribers' interference). Therefore you can have an 
overall master of network and obtain the major causes impacting the network. 
4.3.3 Check Cells 
If the previous KPIs of the cell are normal, check the alarms. By this, you can exclude the 
causes due to abnormal cells. 
4.3.4 Further DT for Relocating Problems 
Analyzing traffic statistics indexes helps to expose potential problems. To locate and analyze 
problems, you need to use DT and CHR. For problematic cells, the cell-oriented DT is 
performed to trace the signaling flow at UE side and of RNC. For details, see 3.1 . 
4.4 Optimization Flow for Tracing Data 
Analysis traced data includes analyzing single subscriber tracing message and performance 
monitoring. Based on the combination of single subscriber message and data at UE side 
recorded by data collection tools, you can locate basic call drop problems. For more complex 
problems, you need to use CHR and performance monitoring. 
By single subscriber tracing data, you need to locate and analyze problems concerning 
commercial UEs or key subscribers which are not recorded at UE side. 
Single subscriber tracing involves recording the following information: 
l Signaling message (lu, lur, lub, and Uu) of single subscriber 
l Performance tracing of CPICH RSCP and Ec/Io 
l UE transmit power 
l Uplink SIR, SIRTarget 
l Uplink BLER 
2008-12-22 All rights reserved Page52 , Total201
W-Handover and Call Drop Problem Optimization Guide For internal use only 
l Downlink code transmit power 
l Uplink and downlink traffic and throughput (for data services) 
Figure 4-3 shows the flow for analyzing call tracing. 
Figure 4-3 Flow for analyzing call tracing 
4.4.1 Obtaining Single Subscriber Tracing Message 
You must first trace single subscriber tracing message on RNC or M2000 and then record the 
corresponding messages. For detailed tracing methods, see W-Equipment Room Operations 
Guide. Usually analyzing call drop problems by message for tracing IMSI is enough. 
4.4.2 Obtaining Information about Call Drop Point 
According to single subscriber tracing messages, the call drop is defined as: 
l The RNC originates RAB release (the message is RANAP_RAB_RELEASE_REQ) 
l The RNC originates IU release (the message is RANAP_IU_RELEASE_REQ) 
The former corresponds to call drop caused by TRB reset. The latter corresponds to call drop 
caused by SRB reset. By searching for the previous two messages, you can obtain the call drop 
time and the signaling message before call drop for further analysis. 
2008-12-22 All rights reserved Page53 , Total201
W-Handover and Call Drop Problem Optimization Guide For internal use only 
4.4.3 Analyzing Call Drop due to SRB Reset 
The call drop due to SRB reset is that the UE or RNC fails to receive signaling transmitted in 
confirmation mode, and consequently SRT reset occurs, so the connection is released. SRB 
reset occurs probably if the UE fails to receive the following messages in downlink: 
l Security mode process 
l Authentication and encryption process 
l Measurement control 
l Active set update 
l Physical channel reconfiguration 
l Transport channel reconfiguration 
l RB reset 
l Handover command from 3G to 2G (HANDOVER FROM UTRAN COMMAND) 
Confirm that the UE receives these messages by tracing messages at UE side. 
SRB reset occurs probably if the UE fails to receive the following messages in uplink: 
l Measurement report 
l Active set update complete 
l Physical channel reconfiguration complete 
l Transport channel reconfiguration complete 
l RB reconfiguration complete 
Confirm that the UE receives these messages by tracing messaged at RNC side. 
4.4.4 Analyzing Call Drop due to TRB Reset 
TRB reset usually occurs in PS services. It seldom occurs in voice and VP services. Confirm 
TRB reset by the UE transmit power upon call drop and downlink code transmit power. 
When only one link exists in active set, uplink asynchronization causes RL failure which 
consequently causes lu release originated by RNC. Downlink asynchronization causes UE to 
power off transmitter, which consequently causes uplink asynchronization. To judge whether 
uplink asynchronization or downlink asynchronization causes release, you must analyze the UE 
transmit power before call drop and downlink code transmit power monitored in real-time state. 
Weak downlink coverage, strong downlink interference or uplink interference causes TRB reset. 
If the retransmission times of data services are improperly configured, TRB reset occurs before 
SRB reset upon delayed handover. Pay attention to this. 
4.4.5 Analyzing Abnormal Call Drop 
Abnormal call drop can neither be located from coverage and interference nor be explained by 
TRB reset or SRB reset. It is caused by abnormal equipment or UE. For example, it might be 
caused by the following factors: 
l Abrupt transmission failure 
2008-12-22 All rights reserved Page54 , Total201
W-Handover and Call Drop Problem Optimization Guide For internal use only 
l Abnormal NodeB equipment 
l Abrupt breakdown of UE 
Analyze abnormal transmission by analyzing CHR or checking alarms. Confirm that the NodeB 
equipment is abnormal by querying NodeB state. Locate abnormal UE problems by analyzing 
data recorded by UE. 
4.4.6 Performing CQT to Recheck Problems 
When the data is inadequate for locating call drop problems, you must start more detailed data 
tracing. The best method is to perform CQT at call drop points to recheck problems for further 
analysis. 
4.5 Optimization Process for MBMS Call Drop 
Currently, the RNC V18 or V29 supports only the broadcast mode. In broadcast mode, the 
MBMS receives a control message from the MCCH to establish the MBMS service and radio 
bearer, without signaling interaction with the RNC. Therefore, we can substitute the MBMS 
session drop rate for the MBMS call drop rate. The MBMS session drop rate is defined as 
follows: 
MBMS session drop rate = number of MBMS session drop times/total number of successes of 
MBMS-on-demand x 100% 
Number of MBMS session drop times: One MBMS session drop time is counted once the 
MBMS service is exceptionally interrupted or the UE is in the buffering state for more than one 
minute. 
Total number of successes of MBMS on demand: Total number of successes of 
MBMS-on-demand originated by the UE. 
You can see from the terminal interface whether the MBMS service is exceptionally interrupted, 
and you need to use the drive test software to observe whether the UE is the buffering state for 
more than one minute. Currently, the software tool used for this purpose is Qualcomm drive test 
software QXDM. 
The possible causes for a high MBMS deactivation rate are as follows: The network coverage is 
poor. The RSCP and Ec/Io in the position where the UE is located are both low. In addition, a 
block error rate (BLER) of the FACH of the MBMS service also exists. 
The cell is in the preliminary congestion state and the channel power of the MBMS service is 
reset to the minimum; or the cell is in the over-congestion state and the MBMS service with a 
lower priority is released by force. The channel power can, however, be automatically recovered 
to the maximum or the service can be re-established through periodic detection. 
The UE is at the edge of the cells, and the neighboring cells are not configured for the cell in 
which the UE is located. As a result, the UE is unable to obtain a gain through soft combining or 
selective combining. 
Run the DSP CELLMBMSSERVICE command to query the status of the current MBMS service. 
If the MBMS service is not established successfully, the failure cause is displayed. 
You can improve the coverage rate by optimizing the RF, adding NodeBs, or adjusting the 
antennas. If the coverage does not improve, increase the maximum power of the MBMS traffic 
channel. If a neighboring cell is not configured, configure it. 
2008-12-22 All rights reserved Page55 , Total201
W-Handover and Call Drop Problem Optimization Guide For internal use only 
5 FAQs Analysis 
5.1 SHO Problems 
5.1.1 Over High SHO Rate due to Improper SHO Relative Threshold 
Description 
The SHO rate in traffic statistics indexes is over high. More than two cells exist in active set 
most of the time during DT and are in SHO state. 
Analysis 
Analyze the relative threshold of 1A and 1B event, namely, reporting range. 
Figure 5-1 shows the SHO relative threshold 
2008-12-22 All rights reserved Page56 , Total201
W-Handover and Call Drop Problem Optimization Guide For internal use only 
Figure 5-1 SHO relative threshold 
Reporting 
range 
Event-triggered 
PCPICH 1 
PCPICH 2 
Periodic 
report 
Periodic 
report 
Reporting 
terminated 
report PCPICH 3 
According to Figure 5-1, the greater the reporting range is, the more easily a neighbor cell is 
listed into active set and the more difficult it is deleted from active set. This causes over high 
SHO rate. 
A general method is to configure the threshold of 1A and 1B different. Configure the threshold of 
1A event small (such as 3 dB) and keep the threshold of 1B threshold the same (5 dB). In this 
way, the cells with bad quality cannot be listed into active set easily and the cells with good 
quality can be listed into active set. Therefore the SHO rate is lowered based on normal SHO. 
5.1.2 Delayed Handover due to Over Great Intra-frequency Filter Coefficient 
Description 
SHO hysteresis is serious in DT: though the signals of a neighbor cell are strong, the cell can be 
listed into active set after a long time. If the DT car moves quickly, call drop occurs due to 
delayed handover. 
Analysis 
Layer 3 filter reduces the impact by frequently-fluctuating signals and avoids ping-pong 
handover. 
The filter of measurement values is calculated as below: 
n n n F = - a × F + a ×M -1 (1 ) 
Wherein, 
Fn: the measurement resulted update after filter is processed. 
Fn-1: the measurement result of last point after filter is processed. 
Mn: the latest measurement value received in physical layer. 
2008-12-22 All rights reserved Page57 , Total201
W-Handover and Call Drop Problem Optimization Guide For internal use only 
a = (1/2)(k/2). The k is from Filter coefficient, namely, FilterCoef. If K = 0 and a = 1, there is no 
layer 3 filter. 
The filter coefficient ranges from 0 to 6 (integers). The greater it is, the stronger the capability of 
smoothing burr is and the weaker the capability of tracing signals is. You must make a balance. 
According to simulation, Table 5-1 lists the relationship between the filter coefficient and the 
corresponding tracing time. 
Table 5-1 Relationship between the filter coefficient and the corresponding tracing time 
Filter coefficient 0 1 2 3 4 5 6 7 8 9 11 
Intra-frequency 
tracing time (s) 
0.2 0.4 0.6 1 1.4 2 3 4.2 6 8.4 17 
The distance between sites in dense urban areas is short and the handover time is short, so 
you must reduce the tracing time, namely, the filter coefficient. The value 2 is usually proper for 
filter coefficient of layer 3. 
5.1.3 Missing Neighbor Cell 
Description 
The call drop point is related to signaling flow before call drop. 
Figure 5-2 shows the signaling flow recorded by UE before call drop. 
Figure 5-2 Signaling flow recorded by UE before call drop 
2008-12-22 All rights reserved Page58 , Total201
W-Handover and Call Drop Problem Optimization Guide For internal use only 
Analysis 
Check the pilot test data from UE and scanner at call drop points. Figure 5-3 shows the 
scrambles recorded by UE active set and scanner before call drop. In Figure 5-3, the 
measurement result of UE active set and canner is inconsistent and the SC 170 of scanner 
does not exist in UE active set. 
Figure 5-3 Scrambles recorded by UE active set and scanner before call drop 
The cause might be missing neighbor cell or delayed handover. Check scrambles in UE active 
set. Figure 5-4 shows the scrambles in UE active set before call drop. No SC 170 cell exists in 
UE monitor set, because this is possibly due to missing neighbor cell. 
2008-12-22 All rights reserved Page59 , Total201
W-Handover and Call Drop Problem Optimization Guide For internal use only 
Figure 5-4 Scrambles in UE active set before call drop 
Continue to check the neighbor cell list sent by RNC to UE before call drop, as shown in Figure 
5-5 and Figure 5-6. According to the latest measurement control before call drop, no SC 170 
exists in the neighbor cell list, because the call drop is due to missing neighbor cell of SC 6 and 
SC 170. 
2008-12-22 All rights reserved Page60 , Total201
W-Handover and Call Drop Problem Optimization Guide For internal use only 
Figure 5-5 UE intra-frequency measurement control point before call drop 
Figure 5-6 Analyzing signaling of UE intra-frequency measurement control before call drop 
If only the UE recorded information during test, without scanner information, confirm that call 
drop is due to missing neighbor cell by using the following method, as shown in Figure 5-7: 
2008-12-22 All rights reserved Page61 , Total201
W-Handover and Call Drop Problem Optimization Guide For internal use only 
l Confirm the scrambles of all cells in active set and the scrambles of cells in monitor 
set measured by UE before call drop. 
l Compare the scramble information of the cell where the UE camps on after 
reselection after call drop and the scrambles in UE active set and monitor set before 
call drop. 
If the former scramble is not in the scramble list of active set and monitor set before 
call drop, the call drop is probably due to missing neighbor cell. 
l Check the neighbor cell list. 
This applies for solving call drop due to missing neighbor cell on site. 
Figure 5-7 Confirming missing neighbor cell without information from scanner 
Solution 
Add neighbor cells. Because the RNC updates measurement control according to the best cell 
which is obtainable by searching for intra-frequency measurement report with 1D event before 
measurement control is sent. Usually they are configured to bi-directional neighbor cells. 
5.1.4 Redundant Neighbor Cells 
According to the protocol, the maximum number of neighbor cell is 32 and the host cell is also 
included in these cells, so the actual intra-frequency neighbor cell is 31 at most. The 
intra-frequency neighbor cells of S subject are based on data of 2G neighbor cells. In the dense 
urban areas, the densely-located sites and combine make the intra-frequency neighbor cell list 
large. If the intra-frequency neighbor cells reach or exceed 31, a necessary neighbor cell found 
during optimization fails to be listed as an inter-frequency neighbor cell. For this, you must 
delete some redundant neighbor cells. 
You must be cautious to delete abundant neighbor cells. Deleting necessary neighbor cells 
leads to call drop. Following the principles below: 
2008-12-22 All rights reserved Page62 , Total201
W-Handover and Call Drop Problem Optimization Guide For internal use only 
l Before deleting neighbor cells, check the revision record of neighbor cells. Check 
that the cells to be deleted are not the ones that were added during previous DT and 
optimization. 
l After deleting neighbor cells, perform comprehensive test, including DT and CQT in 
important indoor spots. From this, you can check the variation of traffic statistics 
result of the corresponding cells. The traffic statistics result includes setup success 
rate, CDR, and handover success rate. Ensure there is no abnormality. Otherwise 
restore the configuration. 
If no reliable 3G handover times can serve as judgment at the network construction stage, you 
can estimate the handover probability by using the handover times of 2G neighbor cells. 
Table 5-2 lists the 2G handover times. 
Table 5-2 2G handover times 
Assist_GSM_HO_Count 
SERVCELL NCELL HOCOUNT 
12531 10121 417 
12531 10161 3262 
12531 10162 2070 
12531 10301 381 
12531 10321 265 
12531 12061 9 
12531 12101 961 
12531 12111 16 
12531 12251 2 
12531 12291 4 
12531 12292 0 
12531 12330 1082 
12531 12391 1063 
12531 12451 17019 
12531 12532 16030 
12531 12540 74 
12531 12591 926 
12531 12592 20994 
12531 14051 2 
12531 14072 2 
12531 14091 211 
12531 14111 1 
2008-12-22 All rights reserved Page63 , Total201
W-Handover and Call Drop Problem Optimization Guide For internal use only 
12531 14460 321 
12531 56361 16 
12531 56362 0 
12531 56820 0 
12531 56910 206 
Search for the neighbor cells with few handover times and even no handovers, such as cell 
12531–12292. Figure 5-8 shows the location relationship of 2G redundant neighbor cells. 
Figure 5-8 Location relationship of 2G redundant neighbor cells 
According to Figure 5-8, multiple NodeBs are located between the cell 12531 and the cell 12292, 
so the handover probability is small. Therefore, delete the neighbor cell relationship. 
The judgment principles based on 2G statistics might have mistakes, so you must confirm that 
no call drop occurs after deleting the neighbor cell relationship. 
After network launch, the handover times in traffic statistics according to statistics reflects the 
real handovers, so deleting abundant neighbor cells by using the handover times in traffic 
statistics according to statistics is more reliable. You need to register the traffic statistics tasks of 
two cells on traffic statistics console of RNC. 
2008-12-22 All rights reserved Page64 , Total201
W-Handover and Call Drop Problem Optimization Guide For internal use only 
5.1.5 Pilot Pollution 
Description and Analysis 
l Locating pilot pollution point 
Figure 5-9 shows the pilot pollution point near Yuxing Rd. SC270 cell is planned to 
cover the area with pilot pollution. 
Figure 5-9 Pilot pollution near Yuxing Rd. 
l Analyzing signal distribution of cells near pilot pollution point 
Figure 5-10 Best ServiceCell near Yuxing Rd. 
2008-12-22 All rights reserved Page65 , Total201
W-Handover and Call Drop Problem Optimization Guide For internal use only 
Figure 5-11 The 2nd best ServiceCell near Yuxing Rd. 
Figure 5-12 The 3rd best ServiceCell near Yuxing Rd. 
2008-12-22 All rights reserved Page66 , Total201
W-Handover and Call Drop Problem Optimization Guide For internal use only 
Figure 5-13 The 4th best ServiceCell near Yuxing Rd. 
Figure 5-14 Composition of pilot pollution near Yuxing Rd. 
From Figure 5-10, Figure 5-11, Figure 5-12, Figure 5-13, and Figure 5-14, though SC20 
cell is planned to cover the area, but the best ServiceCell is as listed in Table 5-3. 
Table 5-3 Best servers and other cells 
Best ServiceCell Primary Others 
1st best ServiceCell SC220 SC260 and SC270 
2nd best ServiceCell SC270 SC260, SC220, and SC200 
3rd best ServiceCell SC200 SC270 and SC260 
4th best ServiceCell SC200 SC270 and SC260 
l Analyzing RSSI distribution near pilot pollution point. 
Figure 5-15 shows the RSSI near Yuxing Rd.. 
2008-12-22 All rights reserved Page67 , Total201
W-Handover and Call Drop Problem Optimization Guide For internal use only 
Figure 5-15 RSSI near Yuxing Rd. 
Figure 5-16 shows the RSCP of Best ServiceCell near Yuxing Rd.. 
Figure 5-16 RSCP of Best ServiceCell near Yuxing Rd. 
As shown in Figure 5-15, the RSSI of the areas with pilot pollution is not large, about 
–100 dBm to –90 dBm. As shown in Figure 5-16, the RSCP of Best ServiceCell is 
between –105 dBm to –100 dBm. The pilot pollution of the area is caused by no strong 
pilot, so you can solve the problem by strengthening a strong pilot. 
l Analyzing RSCP Distribution of Related Cells 
Figure 5-17 shows the RSCP of SC270 cell near Yuxing Rd. 
2008-12-22 All rights reserved Page68 , Total201
W-Handover and Call Drop Problem Optimization Guide For internal use only 
Figure 5-17 RSCP of SC270 cell near Yuxing Rd. 
The SC270 cell is planned to cover the area. Figure 5-17 shows RSCP of RSCP 
distribution of SC270 cell. The signals from SC270 cell are weak in the area with pilot 
pollution. 
Solution 
According to on-site survey, the residential area is densely distributed by 6-floor or 7-floor 
buildings. The test route fails to cover the major streets, and is performed in narrow streets with 
buildings around, so the signals are blocked. The suggestion is to adjust the azimuth of SC270 
cell from 150° to 130° and the down tilt from 5° to 3°. This enhances the coverage of SC270 
cell. 
After analysis of DT data, the expected result after adjustment is that the coverage area by 
SC270 cell increases and the coverage is enhanced. 
Figure 5-18 shows the pilot pollution near Yuxing Rd. after optimization. 
2008-12-22 All rights reserved Page69 , Total201
W-Handover and Call Drop Problem Optimization Guide For internal use only 
Figure 5-18 Pilot pollution near Yuxing Rd. after optimization 
Figure 5-19 shows the best ServiceCell near Yuxing Rd. after optimization. 
Figure 5-19 Best ServiceCell near Yuxing Rd. after optimization 
Figure 5-20 shows the RSCP of best ServiceCell near Yuxing Rd. after optimization. 
2008-12-22 All rights reserved Page70 , Total201
W-Handover and Call Drop Problem Optimization Guide For internal use only 
Figure 5-20 RSCP of best ServiceCell near Yuxing Rd. after optimization 
Figure 5-21 shows the RSCP of SC270 cell near Yuxing Rd. after optimization. 
Figure 5-21 RSCP of SC270 cell near Yuxing Rd. after optimization 
According to the DT data, the pilot pollution near Yuxing Rd. after optimization is eliminated, the 
signals from SC270 cell after optimization are stronger, and the SC270 becomes the best 
ServiceCell. This complies with the expected result. 
5.1.6 Turning Corner Effect 
Description and Analysis 
The turning corner effect exists in the following situation: 
The signals of original cell attenuates sharply, and the signals of target cell increases sharply, so 
the UE cannot receive the active set update messages, and consequently call drop occurs. 
The variance of Ec/Io is shown in Figure 5-22 (the interval between two points is 0.5s). 
2008-12-22 All rights reserved Page71 , Total201
W-Handover and Call Drop Problem Optimization Guide For internal use only 
Figure 5-22 Turning corner effect-signals attenuation 
cell56 vs cell041 
0 
-10 
-20 
-30 
time 
EcNo 
cell56 
cell041 
According to Figure 5-22, the signals of original cell attenuate 10 dB sharply within 1s, and the 
signals of target cell increase 10 dB. If the signals are weak before attenuation, and 1a event is 
configured to easily-triggered state, the measurement report is sent according to traced 
signaling of the UE, and the RNC receives the measurement report according to signaling 
traced by the RNC. 
When the RNC sends the active set update message, the UE cannot receive it due to weak 
signals of original cell, so the signaling is reset, and call drop occurs. If 1a event is slowly 
triggered (such as configuring great hysteresis or triggering time), TRB reset occurs before the 
UE sends the measurement report. 
Figure 5-23 shows an example of turning corner effect. 
Figure 5-23 Turning corner effect-signal attenuation recorded by the UE 
According to Figure 5-23, before turning corner, the signals of active set scramble 104 and 168 
attenuate to smaller than –17 dB, but that of 208 is strong (–8 dB). According to the signaling 
traced by the RNC, and the UE reports the 1a event of the cell of scramble 208, and sends the 
2008-12-22 All rights reserved Page72 , Total201
W-Handover and Call Drop Problem Optimization Guide For internal use only 
active set update message. The UE does not receive the completion message, so the call drop 
occurs, as shown in Figure 5-24. 
Figure 5-24 Turning corner effect-traced signaling recorded by the RNC 
Solution 
To solve turning corner effect problems, do as follows: 
l Configure 1a event parameter of a cell to enable handover to be triggered more 
easily. 
If you lower the triggering time to 200ms, you can reduce hysteresis. You must 
configure the triggering time for a specified cell, because the change of the 
parameter might lead to easily occurrence of handover between the cell and other 
cells without turning corner effect, or frequent ping-pong handover. 
l Configure the CIO between two cells with turning corner effect to add the target cell 
more easily. The CIO only affects the handover between two cells, with less impact, 
however, it impacts handover. The configuration leads to an increase of handover 
ratio. 
l Adjust antenna to enable the antenna of target cell cover the turning corner. This 
helps avoid fast variance of signals, and avoid call drop. Actually experiences help 
judge whether the adjustment of engineering parameters can cover the turning 
corner, so using this method is difficult. 
Based on previous analysis, the first method prevails. If it fails, use the second method. If the 
second method fails, use the third method (the third method is the best solution, especially in 
areas where you can adjust antenna easily). 
2008-12-22 All rights reserved Page73 , Total201
W-Handover and Call Drop Problem Optimization Guide For internal use only 
5.1.7 Needlepoint Effect 
Description and Analysis 
The needlepoint effect is that affected by the strong signals of target cell in a short time, the 
original cell attenuates sharply, and then increase. The variance of Ec/Io is shown in Figure 5-25 
(the interval between two points is 0.5s). 
Figure 5-25 Needle point-signal variance 
The needlepoint effect cause call drop in the following situations: 
l If the needlepoint lasts for a short period, unable to meet the handover conditions 
and to affect call drop, it will lead to deterioration of quality of service (QoS), such as 
over great BLER exists in downlink. 
l If handover occurs in the target cell, and the signals of the original cell is over weak, 
so the UE cannot receive active set update messages, and consequently call drop 
occurs. 
l If the needlepoint lasts for a short period, and the handover conditions are difficult to 
meet, so the signaling or service RB reset occurs due to weak downlink signals 
before handover. Finally, call drop occurs. 
l If the target cell completes handover, and becomes a cell in the active set, call drop 
occurs because the cell can exit the active set before completing a handover with 
the needlepoint disappearing quickly. 
Compared with turning corner effect, the needlepoint effect is more risky due to two handovers, 
and failure of one of the two causes call drop. The needlepoint lasts for a short period, so call 
drop may not occur if QoS is lowered (for example, configure a greater retransmission times). 
The turning corner effect causes an absolute call drop because the signals of original cell will 
not recover after turning corner. 
Observe the needlepoint effect by scramble distribution diagram of the best cell recorded by 
Scanner. If two antennas cover two streets respectively, at the crossing point, needlepoint effect 
occurs easily. 
Figure 5-26 shows the call drop distribution of PS384K intra-frequency hard handover (it is the 
best cell). Wherein, call drop point drop4, drop5, drop6, drop7, drop15, and drop16 are caused 
by needlepoint effect. 
2008-12-22 All rights reserved Page74 , Total201
W-Handover and Call Drop Problem Optimization Guide For internal use only 
Figure 5-26 Call drop distribution of PS384K intra-frequency hard handover 
Solution 
To solve problems caused by needlepoint effect, you can refer to the solution to turning corner 
effect. The key to adjust antenna is not to enable original signals attenuate sharply and not to 
enable target signals increase sharply. In addition, you can increase the retransmission times to 
resist to attenuation of signals so that CDR is lowered. 
5.1.8 Quick Change of Best server Signal 
Description 
Figure 5-27 shows signal distribution of cell52 vs. cell88 (signal fluctuation in handover areas). 
2008-12-22 All rights reserved Page75 , Total201
W-Handover and Call Drop Problem Optimization Guide For internal use only 
Figure 5-27 Signal distribution of cell152 vs. cell88 (signal fluctuation in handover areas) 
After the UE hands over from cell 152 to cell 88, the signals of cell 152 are stronger than that of 
cell 88. In Figure 5-27, after the signals of cell 152 keep weaker than that of cell 88, the signals 
of cell 152 become stronger than that of cell 88 for continuous 2s. 
Analysis 
When the UE hands over from cell 152 to cell 88, and the signals of cell 152 become better than 
that of cell 88. This is similar to the needlepoint effect in 5.1.7 . Therefore quick change of best 
server signals causes the same handover failures as the needlepoint effect causes, as follows: 
l Ho Req SRB Reset 
l Ho Failure 
l TRB Reset 
To sole the problem, optimize RF engineering parameters and 1D event parameters to avoid 
ping-pong handover. 
2008-12-22 All rights reserved Page76 , Total201
W-Handover and Call Drop Problem Optimization Guide For internal use only 
5.2 HHO Problems 
5.2.1 Intra-frequency Ping-pong HHO due to Improperly Configured 1D Event 
Hysteresis 
Description 
The UE keeps performing intra-frequency HHO at the cell border, so the call quality declines 
and even call drop occurs. 
Analysis 
Reporting the 1D event triggers the inter-frequency HHO. The 1D event is reported when the 
best cell changes, as shown in Figure 5-28. 
Figure 5-28 Reporting 1D event 
The UE is at the border of two cells, so the signals from the two cells are equivalently strong. 
Signal fluctuation easily causes ping-pong handover to best cells. Frequent report 1D event 
triggers inter-frequency HHO. 
To avoid intra-frequency ping-pong HHO caused by 1D event triggered by frequent fluctuation of 
signals if the channels are similar, you can increase the hysteresis, as shown in Figure 5-29. 
2008-12-22 All rights reserved Page77 , Total201
W-Handover and Call Drop Problem Optimization Guide For internal use only 
Figure 5-29 Increasing hysteresis to reduce frequently reporting of 1D event 
According to Figure 5-29, the second times does not reach the hysteresis, so reporting 1D 
event is not triggered. 
5.2.2 Delayed Origination of Inter-frequency Measurement due to Improper 
Inter-frequency Measurement Quantity 
Description 
When the UE moves to an inter-frequency cell, it fails to start compression mode to start 
inter-frequency measurement. It camps on the inter-frequency cell after disconnection. 
Analysis 
The cell mentioned previously is configured as the carrier central cell after querying cell 
configuration. Namely, the 2D event, 2F event, and inter-frequency measurement all take Ec/No 
as measurement quantity. 
The measured value of pilot Ec/No depends on the following two aspects: 
l CPICH RSCP strength 
l Downlink interference 
The downlink interference in the WCDMA network includes the interference from downlink 
signals of intra-frequency cells (the host cell and neighbor cells) and the background noise. 
Wherein, the downlink interference strength of intra-frequency cells is impacted by path loss and 
slow attenuation. It is similar to the attenuation that UE receives useful signals (such as CPICH 
RSCP). 
At the coverage edge of a carrier, when UE moves from the current cell to another cell, the 
CPICH RSCP attenuates at the same speed as the attenuation of interference (the background 
noise is not impacted by path loss, so the CPICH RSCP attenuates a little faster than 
interference attenuates. However, the difference between the two speeds is close (depending 
on the strength of background noise). Therefore the UE receives the signals the CPICH Ec/Io of 
2008-12-22 All rights reserved Page78 , Total201
W-Handover and Call Drop Problem Optimization Guide For internal use only 
which changes slowly. According to the simulation and on-site test, When the CPICH RSCP is 
about –110 dBm, the CPICH Ec/Io can reach about –12 dB. 
Figure 5-30 Attenuation relationship of RSCP and Ec/No 
If you take Ec/Io as the measurement quantity for 2D event, the 2D event will be triggered 
before call drop. Therefore adopting Ec/Io as the measurement quantity for 2D event will not 
trigger 2D event upon call drop of UE, so the inter-frequency measurement will not be started. 
In this case, configure the cell to carrier coverage edge cell and take RSCP as the 
measurement quantity for 2D/2F event so that inter-frequency measurement is originated in 
time. 
2008-12-22 All rights reserved Page79 , Total201
W-Handover and Call Drop Problem Optimization Guide For internal use only 
5.3 Inter-RAT Handover Problems 
5.3.1 Ping-pong Reselection 
Description 
In part of the office building of a commercial deployment, the UMTS-GSM dual-mode MS 
performs frequent ping-pong reselection of cells between 3G and the 2G network in the idle 
state. “2G” and “3G” flag are displayed in the screen of Siemens U15 and Moto A835 MSs. 
“WCP” and “GCP” are displayed in the screen of the Qualcomm test MS frequently. The 
reselection from the 3G network to the 2G network takes 1min on average. The reselection from 
the 2G network to the 3G network takes 1–2 minutes on average. During the testing, the 
location of the MS and the circumstance keep fixed. 
Analysis 
The reselection from the 3G network to the 2G network is as follows: 
l When the pilot signal quality Ec/Io in 3G cells minus Qqualmin is less than the 
inter-RAT measurement start threshold SsearchRAT, the UE started to measure the 
2G neighbor cell. 
l When the quality of signal in 2G neighbor cells satisfies the cell reselection criteria 
and lasts for Treselection, the UE selects 2G cells. 
3G RSCP is below –90 dBm at the borders of 3G network. However the 2G RSCP ranges from 
–60 dBm to –70 dBm with signals of good quality. Therefore, once the UE starts to measure the 
2G neighbor cells and the signal in the cell fails to be better in Treselection, the UE reselects the 
2G cells. 
The key parameter in reselection from the 3G network to the 2G network in test is SsearchRAT. 
The rational configuration of the reselection delay timing parameter Treselection helps solve 
ping-pong reselection. 
The reselection from the 2G network to the 3G network is as follows: 
l When the signal strength of 2G serving cell satisfies the inter-RAT start threshold 
Qsearch_I, the 3G neighbor cells are measured. From optimized 3G strategy, the 
current configuration is 7 (always start). 
l When the signal strength RSCP of the 3G cell minus the current RLA_C (the 
average signal strength in 2G serving and non-serving cells) is greater than 
FDD_Qoffest, and it lasts 5s, the 3G cell can serve as the target cell to be reselected. 
The current FDD_Qoffset is 7 (always reselect 3G cells). 
l When the signal quality Ec/Io of the 3G cell is greater than or equal to FDD_Qmin 
threshold, the 3G cell can serve as the target cell to be reselected. 
l In the cells that satisfy the previous conditions, the UE select the cell of best quality 
as the target cell to be reselected. 
Therefore, the key parameter in from the 2G network to 3G is FDD_Qmin. The default 
configuration is –12 dB. 
2008-12-22 All rights reserved Page80 , Total201
W-Handover and Call Drop Problem Optimization Guide For internal use only 
Solutions 
In network optimization, the operator can take the following adjustment: 
l The operator increases the interval between SsearchRAT and FDD_Qmin. 
According to the default parameters, if 3G CPICH Ec/Io is greater than –12 dB in the 
GSM system, the UE reselects the 3G network. If 3G CPICH Ec/Io is less than or 
equal to –14 dB, the UE reselects the GSM network from 3G network. In the current 
parameters configuration, the signal fluctuation of 3G CPICH Ec/Io decides the 
frequency of cell reselection. If the signal fluctuation is over 1 dB, the ping-pong 
reselection occurs. In field test of 3G cells, if Ec/Io is less than –14 dB, the UE drops 
off the network easily, so the SsearchRAT cannot be less, and FDD_Qmin can be 
increased. The value range of FDD_Qmin is over small, so it can be only set to its 
maximum value –13 dB. Since the protocol of September 2003, the value range of 
FDD_Qmin is increased through CR GP-032221 (see 5.2 for details). If the UE is 
updated according to GP-032221, the FDD_Qmin is increases completely. If 
FDD_Qmin is set to –8 dB, compared with the start measurement threshold –14 dB 
of reselection from the 3G network to 2G network, FDD_Qmin has a space of 6 dB. 
In this way, the ping-pong reselection caused by signal fluctuation is less likely. 
l Treselection is increased. If the default configuration is 1s, the Treselection can be 
set to 5s. In this way, the reselection between the 3G network and the 2G network is 
reduced. 
5.3.2 PS Inter-RAT Ping-pong Handoff 
Description 
The UE performing PS domain services hands off between the 3G network and the 2G network. 
Analysis 
For inter-RAT handoff of CS and PS, the services for CS and PS are different in handoff 
between the 2G network and the 3G network. 
l In CS service, after handoff from the 3G network to the 2G network and after release 
of services in the 2G network, the UE reside again in the 3G cell through reselection 
from the 2G network to the 3G network or reselection of PLMN. 
l In PS service, after the reselection from the 3G network to the 2G network started by 
the network, the UE re-accesses the 2G network. In services transmission, the UE 
performing PS services may return to the 3G network through reselection between 
the 2G network and the 3G network. According to the analysis of 3.1 , in the 
reselection of the cells performing PS domain services from the 2G network to 3G 
network, the actual working factor is the configuration of FDD_Qmin (measuring 
Ec/Io). If Ec/Io is greater than FDD_Qmin, the UE reselects 3G network.Whether the 
UE has handed off from the 3G network to the 2G network is judged through 
measuring RSCP in condition of the cell as a border cell. Measuring RSCP cannot 
assure that Ec/Io is greater than FDD_Qmin, so no mechanism can avoid ping-pong 
handoff. 
The solutions lie in as follows: 
l The measurement target of 2G and the 3G network is unified. If this cannot be 
performed, the following method is adopted. 
2008-12-22 All rights reserved Page81 , Total201
W-Handover and Call Drop Problem Optimization Guide For internal use only 
l The start parameters in compression mode and reselection threshold from the 2G 
network to the 3G network is adjusted. 
Solutions 
l Unification of measurement target in the 3G network and the 2G network 
When there are more than one 3G cells, the change of Ec/Io indicates the change of 
3G cell quality. If the cell property is configured as “carrier center cell” and the 
measurement target in 2D event is Ec/Io, the measurement target between 3G and 
the 2G network is Ec/Io. The default parameter of 2D/2F with the measurement 
target Ec/Io is –24 dB. The parameter can be adjusted to –12/–10 dB to avoid 
ping-pong handoff. 
In addition, the new 3GPP TS 05.08 protocol defines the RSCP (FDD_RSCP) that 
can measure the 3G network in reselection from the 2G network to the 3G network. 
Now only Ec/Io can be tested. The adjustment fits the 3G cells the cell property of 
which is “carrier border cell”. However many current NEs does not support this. 
l Adjustment of start parameters in compression mode and reselection threshold from 
2G to 3G network 
The adjustment fits the 3G cells the property of which is “carrier border cell”. Only 3G 
Ec/Io can be measured in reselection from the 2G network to 3G network. The 
start/stop threshold in compression mode can be lowered to –105/–100 dBm. 
5.3.3 Failure in handoff from 3G to the 2G network 
Description 
In the office building of a commercial deployment, when the UE originates a call in areas 
covered by the 3G network and moves towards the areas covered by the 2G network, the call 
drops easily. The call succeeds one or two times every ten times. 
Analysis 
The 2G neighbor cells configuration of the 3G network cells that cover the office building in the 
WCDMA network parameters is examined. The 2G cells that cover office building need to be 
confirmed in the 2G neighbor cells list. UMTS outdoor macrocells are used to perform 3G 
coverage in the office building, the test route is switched by passing two iron doors. After the 
operator opens the door, enters, and closes the door, the signal attenuates sharply. Figure 5-31 
shows the UMTS signal distribution observed by a scanner. 
The signal attenuates sharply, so the handoff is not performed in time, and then the call drops. 
The key solution is to adjust the inter-RAT switching parameters. This leads to an earlier and 
faster handoff. 
The operator does as follows: 
l Change the cell independent offset (CIO) in the GSM neighbor cell from 0 dB to 5 dB. 
The UE hands off to the GSM cell more easily. Call still drops in test. 
l Change 2D RSCP Threshold from –95 dBm to –85 dBm to –75 dBm. The inter-RAT 
measurement starts earlier. Call still drops in test. 
l Change GSM RSSI from –90 dBm to –95 dBm. The UE hands off to GSM cells more 
easily. Call still drops in test. 
2008-12-22 All rights reserved Page82 , Total201
W-Handover and Call Drop Problem Optimization Guide For internal use only 
l Change 2D Trigger Time from 640ms to 320ms to 0ms. The inter-RAT measurement 
starts more easily. Call still drops in test. Change the parameter back to 640ms. 
l Change the cell location property from “carrier border” to “carrier center” (the 
associated measurement changes from RSCP to Ec/Io). Change 2D Ec/Io Threshold 
from –24 dB to –10 dB. Call still drops in test. 
l Change Inter RAT handover trigger time from 5000ms to 2000ms. The UE performs 
inter-RAT more quickly. Call drop is improved. 
l Recover the parameter changed in Step 5 as it was. 
l Change Inter RAT handover trigger time from 2000ms to 1000ms. The UE performs 
inter-RAT handoff more quickly. Call drop is solved. 
The adjustment results in that the change to the parameter Inter RAT handover trigger time is 
the most effective to complete inter-RAT handoff. 
Figure 5-31 Indoor 3G RSCP distribution 
Solutions 
The operator checks as follows: 
l Check that 2G neighbor cells are validly configured. 
l Reduce TimeToTrigForVerify (TimeToTrigForNonVerify needs no change. The 
current protocol defines that the UE needs not to report on NonVerify) to make UE 
hand off to the 2G network more quickly. 
l Increase GSM CIO. This increases the possibility of handoff to the 2G network, but 
increases the coverage of the 2G network and reduces the coverage of 3G, 
therefore this step need consideration. 
2008-12-22 All rights reserved Page83 , Total201
W-Handover and Call Drop Problem Optimization Guide For internal use only 
l Increase the GSM RSSI handoff threshold. This increases the coverage of the 2G 
network, but reduces the coverage of 3G network, therefore this step needs 
consideration. 
Increase 2D/2F threshold in compression mode to start compression mode earlier. 
5.3.4 Inter-RAT Handover Call Drop 
Missing Neighbor Cell 
Confirm the call drop due to missing neighbor cell by 3G cell information displayed on M testing 
cell. You must check whether the neighbor cells are missing in the following situations: 
l The signals of 3G cell are weak. 
l Ec is smaller than –110 dBm. 
l Ec/Io is smaller than –10 dB. 
l A 2G testing UE detects that the 2G signals of indoor DAS are strong 
l The UE starts compression mode for measurement 
l The UE does not sent the measurement report of 2G neighbor cells. 
The following are two examples. 
l Example 1: 
14:24:17(12): According to RB Setup, the UE accesses the network by PSC 417. 
14:25:36(02): The UE does not report 2D measurement report until call drop. The RNC 
does not send measurement control report. 
Conform that no inter-RAT neighbor cells are configured by examining parameters. If 
the cells are added, call drop problems are solved. 
l Example 2: 
16:38:18(18): The UE reports 1D event of cell 273, and cell 273 becomes the best cell. 
However, the BCCH 538 indoor 2G cell is not configured as an inter-RAT neighbor cell 
of cell 273. 
16:38:40(20): The UE keeps sending measurement reports, but detects that the signals of 
other GSM neighbor cells are weak. Therefore the RNC does not start handover, and 
then call drop occurs. 
The cell of PSC273 and PSC 264 alternate to be the best server. Indoor GSM neighbor 
cells are configured as the inter-RAT neighbor cells of the cell of PSC264, but the cell of 
PSC273 is not configured with any neighbor cells.When the UE enters indoor, the cell 
of PSC273 becomes the best server, so call drop occurs. After indoor GSM neighbor 
cells are configured as the inter-RAT neighbor cells of the cell of PSC273, no call drop 
occurs. 
Abundant Inter-RAT Neighbor Cells 
According to the signaling, the phenomena of excessive inter-RAT neighbor cells are as follows: 
2008-12-22 All rights reserved Page84 , Total201
W-Handover and Call Drop Problem Optimization Guide For internal use only 
After the RNC sends Physical channel reconfiguration and inter-RAT measurement control 
messages, the UE keeps sending the measurement report of Nonverified until call drop. 
In S subject, for convenient configuration of parameters, the original 2G neighbor cell 
information is used to configure inter-RAT neighbor cells. All the inter-RAT cells are configured 
as the neighbor cells of 3G cells. Inter-RAT cell offset is configured to enable the UE to hand 
over to the target cell and to disable the UE to hand over to the undesired cell. 
If excessive neighbor cells are configured, the UE must spend more time on inter-RAT 
measurement. The measurement internal of UE is limited, excessive neighbor cells delay UE to 
measure available neighbor cells, so call drop occurs. 
Example : 
11:30:11(92): The RNC sends measurement control messages (23 inter-RAT neighbor 
cells) 
11:32:22(61): The UE keeps reporting to BSIC Nonverified cell until 2 minutes before 
call drop. 
Configure the inter-RAT neighbor cells to the needed four neighbor cells, the MotoA835 
hands over successfully. 
Improper Configuration of LAC 
Confirm improper configuration of LAC by signaling. The CN replies the No Resource 
Available messages, so examining data configuration before test is necessary. In addition, if 
the mobile switching center (MSC) fails in assigning related resources, such as inter-MSC trunk 
resources, the T resource to MGW, control table resource, the CN might reply the No Resource 
Available messages. 
Example : 
10:53:23(29): The RNC sends the Relocation Require message due to the No Resource 
Available message. 
10:53:23(71): The CN replies the Relocation Failure message due to the No Resource 
Available message. 
The RNC keeps sending Relocation Require message due to No Resource Available 
message until call drop, and is rejected. The actual LAC is 21000. After adjustment, the 
UE succeeds in handover. 
No Measurement Report by UE 
If the UE does not send measurement report, the UE performs the same as when the neighbor 
cells are missing. The phenomena are as follows: 
l The signals of 3G cell is weak 
l Ec is smaller than –110 dBm. 
l Ec/Io smaller than –10 dB. 
l A 2G testing UE detects that the 2G signals of indoor DAS are strong 
l The UE does not hand over. 
Check the signaling to confirm whether the UE send measurement report messages. If you 
compare it with terminals of other types, confirming the problem is easier and more accurate. 
2008-12-22 All rights reserved Page85 , Total201
W-Handover and Call Drop Problem Optimization Guide For internal use only 
Example : 
l Moto A835 handset: 
16:38:05(99): The UE sends 2D measurement reports. 
16:38:06(06): The RNC sends Physical channel reconfiguration (active sets contains 
PSC46, PSC492, and PSC36) 
16:38:07(19): The RNC receives Physical channel reconfiguration completion, and then 
sends measurement control messages. 
16:38:08(75): The cell of PSC 492 reports 1D and becomes the best server. It sends new 
measurement control messages after 1.5s. 
16:39:19(73): The system does not receive the UE inter-RAT measurement report before 
call drop. 
l Qualcomm 6250 handset 
16:38:42(16): The UE sends 2D measurement reports. 
16:38:42(49): The RNC sends Physical channel reconfiguration (active set contains 
PSC46 and PSC492) 
16:38:43(43): The RNC receives Physical channel reconfiguration completion message, 
and it sends measurement control messages. 
16:38:47(74): The UE report BCCH 847 BSIC Verified, and the level is –67 dBm. 
16:38:48(88): The RNC sends HO CMD message, so the handover succeeds. 
In the test of handover between outdoor 3G to indoor 2G DAS, the Moto A835 handset does not 
send inter-RAT the measurement report for multiple times. The IOT engineers think that the 
version of out handset is not updated, and they recommend updating handset version. 
Delayed Handover 
According to signaling of the RNC, a normal inter-RAT handover takes 5s. The following are the 
time needed by the RNC, longer than that on UE. If the walking speed is 3 km/h, it takes 4–5 
meters. The time depends on different scenes. 
16:21:06(30): The UE sends the 2D measurement report. 
16:21:06(37): The RNC sends the Physical channel reconfiguration message. 
16:21:07(46): The UE sends the Physical channel reconfiguration completion message. 
16:21:09(72): The UE sends the inter-RAT measurement reports. 
16:21:10(48): The system sends the UE HO FROM UTRAN CMD GSM message. 
16:21:11(11): The RNC sends the Iu interface Release Command message. 
When the UE moves outdoor to indoor with the 3G signals fluctuating sharply, call drop occurs 
due to delayed handover. According to the signaling, the phenomena of delayed handover are 
as follows: 
l During the handover process, the RNC originates lu Release because: 
− The NodeB reports RL Failure. 
− The NodeB does not report RL failure, but SRB reset occurs. 
2008-12-22 All rights reserved Page86 , Total201
W-Handover and Call Drop Problem Optimization Guide For internal use only 
l The CN originates lu Release command, due to treloccomplete expire. 
l Other situations: 3G signaling is normal, but actually the call drops. You can only 
know whether the UE confronts call drop problems by checking the UE call drop 
recorded in test. 
Example 1: 
l Moto handset: 
15:26:27(87): The RNC sends Physical channel reconfiguration (active set contains 
PSC201 and PSC16). 
15:26:30(30): The UE report BCCH 844 BSIC Nonverified, and the level is –87 dBm. 
15:26:31(26): The UE report BCCH 844 BSIC verified, and the level is –88 dBm. 
15:26:32(13): The RNC sends the HO CMD message. 
15:26:34(25): The UE sends inter-RAT measurement reports, but does not hand over. 
This is because the UE does not receive HO CMD sent by the RNC, or the UE fails in 
accessing the 2G network. The CN sends lu Release due to treloccomplete expire 
(normally successful relocation causes lu Release, and the UE succeeds in accessing the 
2G network). 
l Qualcomm handset in the same test period: 
15:26:27(43): The RNC sends Physical channel reconfiguration (active set contains 
PSC201 and PSC16). 
15:26:30(90): The UE report BCCH 844 BSIC verified, and the level is –79 dBm. 
15:26:32(13): The RNC sends HO CMD, and the handover succeeds. 
Here is the entrance to parking yard of Taigu Shopping Hall. Before call drop, the Moto handset 
indexes as follows: 
l Ec is smaller than –110 dBm. 
l Ec/Io is small than –15 dB. 
In addition, according to comparison of two terminals, they are different in measuring GSM level 
(Qualcomm 6250 uses an external antenna, while Moto A835 uses a built-in camera). This 
affects the inter-RAT measurement. 
Example 2: 
l Moto handset: 
17:08:59(61): The UE sends 2D measurement reports, and the RNC sends Physical 
channel reconfiguration. 
17:09:00(78): The RNC receives Physical channel reconfiguration completion, and sends 
measurement control messages. 
17:09:04(35): The NodeB is out of synchronization, so call drop occurs, and no 
inter-RAT the measurement report is sent. 
17:09:20(89): The RNC originates Iu Release due to Radio Connection with UE lost. 
l Qualcomm handset in the same test period: 
17:08:59(29): The UE sends 2D measurement reports, and the RNC sends Physical 
channel reconfiguration. 
2008-12-22 All rights reserved Page87 , Total201
W-Handover and Call Drop Problem Optimization Guide For internal use only 
17:09:00(33): The RNC receives Physical channel reconfiguration completion, and sends 
measurement control messages. 
17:07:58(81): The RNC receives the measurement report from UE, BCCH 853, and the 
level is –61dBm. 
17:08:00(25): The RNC sends HO CMD. 
17:08:00(90): The CN sends Iu Release Command (successful relocation). 
Actually, call drop occurs during handover. 
Now the starting threshold of compression mode is as high as –95 dBm. Do not change it to 
avoid impact on other parts of the network so that the handover occurs earlier. 
Change of Best Cell in Physical Channel Reconfiguration 
According to the test result, if the best cell changes, the handover is delayed, so call drop 
occurs in the following situations: 
l Between RNC sending Physical channel reconfiguration and receiving Physical 
channel reconfiguration completion sent by UE (about 1s). 
l After Physical channel reconfiguration process is complete. 
Example 1: 
14:06:18(75): The best server PSC201 report 2D event (meanwhile, PSC16 is in the 
active set). 
14:06:18(82): The RNC sends Physical channel reconfiguration. 
14:06:18(95): The UE reports 1D event of PSC16 cell. 
14:06:19(95): The RNC receives Physical channel reconfiguration completion from UE, 
and it sends inter-RAT measurement control message of PSC201 cell, and inter-frequency 
and intra-frequency measurement control of PSC16 cell. 
14:06:20(94): The UTRAN sends 1B event to the UE to delete PSC 201. 
14:06:21(45): The RNC sends inter-RAT measurement control to the cell of PSC16 (3s 
delay compared with 1D event). 
14:06:22(83): The UE reports the GSM cell 852 (BSIC Verify) according to the new 
measurement control, and the RSSI is –79 dBm. The RNC does not process the report (to 
prevent UE from handing over to incorrect cell, the RNC must process UE measurement 
report 3s after sending new measurement control) 
14:06:28(94): NodeB is out of synchronization, so call drop occurs. 
Example 2: Qualcomm handset: 
14:53:08(63): The UE sends 2D measurement reports, and the RNC sends Physical 
channel reconfiguration (the cell 144 is the best server) 
14:53:09(67): The RNC receives Physical channel reconfiguration completion, and sends 
measurement control messages. 
14:53:16(58): The UE sends 1D measurement reports, and cell 137 becomes the best 
server. Therefore the RNC sends the measurement control messages of best server 137, 
including inter-RAT neighbor cells (the neighbor cell list is different from that of cell 
144) 
2008-12-22 All rights reserved Page88 , Total201
W-Handover and Call Drop Problem Optimization Guide For internal use only 
14:53:16(62): The RNC does not receive the measurement report from UE, and ensures 
that the cell ID is in the list of neighbor cells of cell 144. The RNC does not process the 
reports 
14:53:19(99): The RNC originates Iu Release. 
If different interRATCellID is used in inter-RAT measurement control, will the RNC avoid this 
problem? 
UE Hand Back Failure 
Other abnormalities in handover might cause handover failure. 
Example : 
14:07:37(38): The UE reports BCCH the measurement report of cell 852, Nonverified 
BSIC. 
14:07:38(38): The TimeToTrigger of Nonverified is 1s, and after 1s, the RNC sends 
Relocation to CN. 
14:07:38(38): The UE sends BCCH the measurement reports of cell 852, verified BSIC. 
14:07:38(74): The CN replies that Relocation Prepare fails (no radio resources). 
14:07:38(78): The UE sends the measurement report before failure, so the RNC again 
originates Relocation to CN. 
14:07:40(12): The CN replies Relocation to RNC, and RNC sends HO CMD to UE. 
14:07:40(79): However, the UE replies HO FAIL. 
Late, the UE keeps deleting cell 201 which is the best server, so the RNC does not process the 
request. The 3G signals are weak, so call drop occurs. 
Delayed Starting of Compression Mode 
l Description: 
The UE cannot hand over from the 3G network to the 2G network smoothly. In details, 
the UE originates a call in 3G coverage areas or uses PS services, and then enters 2G 
coverage areas. However, it fails in handing over to 2G networks, so call drop occurs. 
Analyze the signaling process at RNC side, and check the causes to handover failure. 
The causes include: 
− The network side fails in receiving 2D report from UE, so compression mode is not 
started. Consequently 2G cells are not measured, and then asynchronization or 
SRB/TRB reset cause call drop. 
− The network side receives 2D report, but compression mode is not started. The reason 
is that the network side sends a PHY_CH_RECFG message, but the UE fails in 
sending ACK message or PHY_CH_RECFG_CMP, so SRB is reset, and call drop 
occurs. 
− The network side receives Verified measurement reports. After it sends UE the 
handover messages, the UE fails in receiving it, so call drop occurs (also for other 
reasons). 
2008-12-22 All rights reserved Page89 , Total201
W-Handover and Call Drop Problem Optimization Guide For internal use only 
The above cases are due to delayed starting of compression mode, so the quality of 
signals of the original cell becomes weak. Therefore subsequent starting compression 
mode and handover process cannot proceed normally. 
l Analysis: 
Starting compression mode is affected by 2D event configuration of ID2 measurement 
control sent by the network side. You can enable 2D event to be reported more quickly 
by the following methods: 
− Increasing the threshold of 2D event 
− Reducing hysteresis 
− Reducing delayed triggering time 
Now the back system can configure different starting threshold of inter-RAT 
compression mode for signaling, CS and PS services. 
2008-12-22 All rights reserved Page90 , Total201
W-Handover and Call Drop Problem Optimization Guide For internal use only 
5.4 Call Drop Problems 
5.4.1 Over Weak Coverage 
Description and Analysis 
Figure 5-32 shows the call drop due to coverage problems. 
Figure 5-32 Analyzing weak signals 
Figure 5-32 describes the following indexes: 
l Scrambles, Ec/Io, and RSCP of cells in active set before call drop 
l Scrambles and Ec/Io of cells in monitor set 
l Transmit power of UE, BLER of transport channel, and call drop time 
The DT data analysis software Analyzer provides the previous data. 
According to the data before call drop, the Ec/Io of active set is smaller than –15 dB and the 
RSCP is close or smaller than –110 dBm, so the call drop must be due to downlink weak 
coverage. After call drop, the UE camps on the cell of SC 232 the quality of which is bad, so the 
call drop must not be due to missing neighbor cell. 
According to the Figure 5-32, the transmit power of UE approaches 21 dBm and the downlink 
BLER before call drop reaches 100% (due to the comprehensive effect by inner loop and outer 
loop, the downlink code transmit power reaches the maximum. Confirm this by using the data 
2008-12-22 All rights reserved Page91 , Total201
W-Handover and Call Drop Problem Optimization Guide For internal use only 
for tracing the performance of RNC). According to previous analysis, the uplink and downlink 
are balanced. To sum up, the call drop is due to bad coverage. 
Solution 
To solve coverage problems, you must adjust engineering parameters of antennas or construct 
new sites. 
5.4.2 Uplink Interference 
Description and Analysis 
Uplink interference leads to unbalanced uplink and downlink, so call drop occurs. 
Figure 5-33 shows the uplink interference according to RNC signaling. 
2008-12-22 All rights reserved Page92 , Total201
W-Handover and Call Drop Problem Optimization Guide For internal use only 
Figure 5-33 Uplink interference according to RNC signaling 
According to Figure 5-33, the RNC sends a CC Connect message, but the UE does not 
respond to the CC Connect message. This causes the call drop. 
Figure 5-34 Uplink interference according to UE signaling 
The UE receives the CC connect message sent by RNC and then replies with CC connect 
Acknowledge message which the RNC fails to receive. 
The following paragraphs describe the signals before and after call drop. 
Figure 5-35 shows the uplink interference information recorded by UE. 
2008-12-22 All rights reserved Page93 , Total201
W-Handover and Call Drop Problem Optimization Guide For internal use only 
Figure 5-35 Uplink interference information recorded by UE 
From the UE side, the downlink PCICH Ec and Ec/Io are good, but the uplink transmit power 
approaches the maximum. Therefore it is probably an uplink problem. 
Interference: 
The problematic site is the site 90640. The cells involve the cell 24231 and 24232. The RTWP 
of the cell fluctuates sharply. 
Figure 5-36 RTWP variation of the cell 89767 
2008-12-22 All rights reserved Page94 , Total201
W-Handover and Call Drop Problem Optimization Guide For internal use only 
Figure 5-37 RTWP variation of the cell 89768 
Solution 
Locate the sources of interference t solve uplink interference problems. 
5.4.3 Abnormal Equipment 
Summarizing call drop problems due to abnormal equipment is difficult. Generally abnormal CN, 
RNC, NodeB, and UE will lead to call drop. Some call drop problems can be further analyzed 
and located only in research and development (R&D) environment. The following paragraphs 
described the call drops that occurred before. You can refer to them. 
Abnormal Uplink Synchronization of NodeB 
According to the test, at a fixed spot (at the corner under an overhead), call drop occurs in the 
test car when it passes the spot every time. Each call drop occurs in the cell of SC 160. The call 
drop location is special, so the call drop is probably due to turning corner effect. Based on 
repeated DT, a conclusion forms that call drop occurs within 5s when the signals measured by 
scanner in the cell are from only one cell (SC 160). 
According to signaling flow, the cell of SC 160 keeps being added because the UE reports the 
measurement. It also keeps being deleted because the NodeB is asynchronous, so the link is 
deleted 5s after expiration of timer. At the same time, the access to the cell also fails. Strangely 
the downlink signals of the cell is normal (because the cell can measure the pilot signals and 
send a report), but the uplink is problematic. The NodeB logs and alarms involve no prompts. 
After reset of board one by one, the problem is solved. 
Abnormal UE 
l Failure to report 1a event by UE 
Call drop occurs easily with a version of Qualcomm 6250 during test. According to 
the analysis of data, the Ec/Io and RSCP recorded by scanner are good upon every 
call drop. The signals of the active set recorded are weak, but there are cells with 
qualified signals. According to the signaling flow, the UE does not send the 1a event 
2008-12-22 All rights reserved Page95 , Total201
W-Handover and Call Drop Problem Optimization Guide For internal use only 
measurement report of the cell in monitor set, so finally call drop occurs. After the 
UE is updated, the problem is solved. 
l Missing of messages recorded by UE 
When Moto A835 records signaling messages, it loses some signaling before call 
drop easily. This leads to incorrect judgment of call drop problems. The signaling 
before call drop is key for analyzing call drop. If it is missing, you must analyze call 
drop problems based on the combination of messages form UE and information 
about RNC. 
l Abnormal Moto handset due to continuous CQT 
After tens of or hundreds of CQTs, the calling or called Moto handset is likely to 
confront problems, so calls fail. After reset of the handset, it becomes normal. There 
is another problem.When the handset is called, it does not ring and consequently 
call drop occurs. However, the screen displays an unanswered call. To avoid this, 
reset the handset after continuous CQT. 
l Failure to hand over from the 3G network to the 2G network 
The 3G signals received by a Sony-Ericsson handset attenuate slowly at the subway 
entrance and finally no signals are received. The 2G signals are received at the 
subway entrance and inside subways. Therefore, the handset fails to hand over to 
the 2G network. The Moto handset and Nokia handset can succeed in handover. 
The handover failure is probably due to excessive 2G neighbor cells are configured. 
After excessive 2G neighbor cells are deleted and only one 2G neighbor cell is kept, 
the Sony-Ericsson handset succeeds in handover. When two 2G neighbor cells with 
the same frequency and different BSIC exists, the handset will stop handover 
because it is not specified with the BSIC and the target 2G neighbor cell when it is 
sending the measurement report. 
2008-12-22 All rights reserved Page96 , Total201
W-Handover and Call Drop Problem Optimization Guide For internal use only 
5.5 HSDPA-related Problems 
5.5.1 HSDPA Handover Problems 
A connected HSDPA subscriber uses the following channels: 
l HS-PDSCH 
l HS-SCCH 
l HS-DPCCH 
l DPCH as associated channel. 
When the R99 subscribers have handover problems, the HSDPA subscribers cannot smoothly 
hand over. Therefore, when the HSDPA subscribers fail to hand over, engineers need to check 
R99 handover. If R99 subscribers have handover problems, solve the problems as previously 
mentioned. The call drop problems currently in test is usually caused by R99 problems. 
ADCH SHO with Serving Cell Update 
When SHO occurs on the associated DCH, the HS-DSCH serving cell is updated. This is 
triggered by reporting 1D event by UE. If now the SHO on the associated DCH is faulty, call 
drop occurs with HSDPA subscribers. The causes is as mentioned in 5.1 
The following paragraphs describe a case: missing neighbor cell causes handover on 
associated DCH fails, and this consequently causes call drop of HSDPA subscribers. 
l Description and Analysis 
Before call drop, the cell of SC 11 serves HSDPA subscribers. 
Figure 5-38 shows the pilot information recorded by scanner. 
Figure 5-38 Pilot information recorded by scanner 
The active set does not list the cells of SC 25 and SC 26. After call drop, the UE camps 
on the cell of SC 26. Meanwhile, the quality of signals from the cell of SC 11 declines 
sharply. 
According to previous description, the call drop is probably due to missing neighbor cell. 
For detailed analysis, see 5.1 . 
2008-12-22 All rights reserved Page97 , Total201
W-Handover and Call Drop Problem Optimization Guide For internal use only 
l Solution 
To solve the problem, add the corresponding neighbor cell. 
ADCH HHO with Serving Cell Update 
l Call drops due to ping-pong handover. 
While the HHO occurs on ADCH, the HS-PDSCH serving cell is updated. 
When the HHO occurs on ADCH: 
− If the 1D event is improperly configured, intra-frequency ping-pong HHO occurs on 
ADCH, and the HS-PDSCH serving cell is frequently updated. This leads to decline 
of QoS, and even call drop. 
− If the 2D/2F and handover threshold is improperly configured, ping-pong handover 
occurs, and consequently QoS declines. 
Handover between HS-PDSCH and DPCH 
Related causes are to be supplemented. 
Handover between HSDPA and GPRS 
For the handover between HSDPA and GPRS, refer to 5.3.4 . 
5.5.2 HSDPA Call Drop 
Weak Coverage 
After HSDPA technology is used, the downlink load of cell increases. This has some impact on 
coverage radius of cell. If the load of original R99 cell is light, the coverage scope decreases 
sharply after HSDPA technology is used. Pay attention to cell coverage and call drop problems 
caused by decrement of handover areas after R99 network is upgraded to HSDPA network. 
HS-DPCCH is used in uplink of HSDPA, so the HSDPA UE consumes more power than R99 UE, 
and consequently, the HSDPA UE at the cell edge reaches the maximum transmit power more 
quickly than R99 UE at the cell edge. This is uplink power restriction. 
The maximum transmit power of some R99 UEs and HSDPA UEs are the same, 24 dBm. 
l Description and analysis 
In test, before call drop the Ec/Io of active set before call drop is below –15 dB, and the 
RSCP is below –110 dBm. After call drop, the UE camps on a new cell, where the Ec/Io 
is also above –15 dB and RSCP is above –110 dBm. The transmit power of UE before 
call drop approaches 24 dBm (terminal is data card E620), so the problems is caused by 
weak coverage. 
l Solution 
To solve the problem, adjust engineering parameters or construct sites. 
2008-12-22 All rights reserved Page98 , Total201
W-Handover and Call Drop Problem Optimization Guide For internal use only 
Call Drop due to Improper Configuration of Parameters 
The call drops due to strong uplink interference if all the following conditions are met: 
l The power of HS-DPCCH is over high 
l The uplink admission threshold is low 
l There are excessive subscribers 
The signaling flow for HSDPA service handover is more complex than that of R99 service 
handover. In some occasions, the handover parameters are differently configured for these two 
networks. For example, in turning corner, the UE is required to respond messages from UTRAN 
more quickly; in ping-pong handover areas, the protection time is longer. 
Abnormal Call Drop 
The early versions of HUAWEI E620 are faulty in inter-frequency handover. After reporting 2D 
event, the UE responds measurement control failure, so the call drops due to handover failure. 
2008-12-22 All rights reserved Page99 , Total201
W-Handover and Call Drop Problem Optimization Guide For internal use only 
5.6 HSUPA Problems 
To be supplemented. 
2008-12-22 All rights reserved Page100 , Total201
W-Handover and Call Drop Problem Optimization Guide For internal use only 
6 Summary 
Based on related guides to handover and call drop, this guide is complete. It focuses on 
operability by on-site engineers. In addition, it describes operation steps in details for the actual 
handover and call drop problems in forms of flow chart. 
The fundamental knowledge and preparation knowledge are placed in the appendix. Operations 
are in the body. 
V3.1 supplements HSDPA knowledge, including: 
l DT/CQT flow for HSDPA handover 
l Definition of traffic statistics indexes for HSDPA handover 
l HSDPA handover problems 
l Algorithm and flow for HSPDA handover 
The traffic statistics of HSDPA is to be supplemented. HSDPA networks are not commercially 
used in a large scale, so more cases will be supplemented. 
The SHO ratio analysis will be supplemented after enough RNO experienced are collected. 
2008-12-22 All rights reserved Page101 , Total201
W-Handover and Call Drop Problem Optimization Guide For Internal Use 
7 Appendix 
7.1 SRB&TRB Reset 
7.1.1 RAB 
RAB is the carrier at the subscriber plane. It is used in transmitting voice, data, and multimedia 
services between UE and CN. The RAB assignment is originated by CN. It is a function of RNC. 
RB is ratio bearer between SRNC and UE. It includes layer 2 and above. It is the service 
provided to layer 2. 
Figure 7-1 shows the UMTS QoS structure. It provides the part that RAN and RB play in the 
UMTS network. 
Figure 7-1 UMTS QoS structure 
2009-10-10 Huawei Confidential Page 102 of 201
W-Handover and Call Drop Problem Optimization Guide For Internal Use 
7.1.2 SRB 
The SRB carries the signaling at U-Net interface. The TRB carries the services at the Uu 
interface and it is the radio bearer at the user plane. 
Figure 7-2 shows the structure of SRB and TRB at the user plane. 
Figure 7-2 SRB and TRB at user panel 
The SRB and TRB carriers signaling and services as blow: 
l SRB0 for all messages sent on CCCH (needless of configuration) 
l SRB1 for all messages sent on the DCCH that uses unconfirmed RLC 
l SRB2 for all messages sent on the DCCH that uses confirmed RLC (excluding initial 
direct transfer and uplink/downlink direct transfer) 
l SRB3/SRB4 for confirming downlink and uplink direct transfer messages of RLC 
transferred on DCCH 
l TRB in the AM mode for carrying PS services 
l TRB in the UM mode for carrying CS services 
The SRB reset involves the SRB in the AM mode. The AM mode uses the 
confirmation-retransmission method. The sender will perform polling to check periodically that 
the receiver has received the PDU with a method. After sending PDU, the sender sends a 
polling frame and waits for the ACK frame from the receiver. If the waiting timer expires and the 
sender fails to receive the ACK frame, it keeps sending PDU. If it still fails to receive the ACK 
frame after sending for maximum retransmitting times, it triggers RLC AM entity reset or 
discards the PDU to be sent. Discarding PCU is not configured now and only triggering RLC AM 
entity occurs. This is the RB reset. 
During RLC AM entity reset, the sender sends a RESET frame to the receiver and waits for 
RESET ACK frame. If the timer expires, the sender will resend the frame. After sending for 
maximum retransmission times, the sender will report "unreasonable error" to a high layer and 
stop resending. SRB leads to triggering the release process at signaling plane. TRB leads to 
triggering the release process at user. 
2009-10-10 Huawei Confidential Page 103 of 201
W-Handover and Call Drop Problem Optimization Guide For Internal Use 
7.2 RL FAILURE 
When a cell sets up a new radio link, there is a process for uplink and downlink synchronization. 
After UE succeeds in uplink synchronization, it powers on the transmitter, and then the NodeB 
performs uplink synchronization. If the NodeB succeeds in synchronization, it sends the RNC an 
RL RESTORE message. If it fails, it sends the RNC the RL FAILURE message. When the RNC 
receives the RL FAILURE message or fails to receive RL RESTORE message, it releases the 
resources related to the radio link. If the active set uses only one radio link, the RNC then 
originates the release at signaling plane. 
Table 7-1 lists the timers and counters related to the synchronization and asynchronization. 
Table 7-1 Timers and counters related to the synchronization and asynchronization 
Parameter 
ID 
Parameter 
Name Description 
T302 Timer 302 
Value range: D100, D200, D400, D600, D800, D1000, D1200, 
D1400, D1600, D1800, D2000, D3000, D4000, D6000, and 
D8000 
Actual value range: 100, 200, 400, 600, 800, 1000, 1200, 
1400, 1600, 1800, 2000, 3000, 4000, 6000, and 8000 
Physical unit: ms 
Content: When the UE sends CELL UPDATE/URA UPDATE 
messages, start timer T302. When the UE receives CELL 
UPDATE CONFIRM/URA UPDATE CONFIRM messages, 
stop time T302. 
When T302 expires, 
If V302 ≤ N302, the UE resends CELL UPDATE/URA 
UPDATE messages. 
If not, the UE enters idle mode. 
Recommended value: D2000 
N302 Constant 
302 
Value range: 0–7 
Content: This parameter indicates the maximum 
retransmission times of sending CELL UPDATE/URA 
UPDATE messages. The default value is 3. 
Recommended value: 3 
2009-10-10 Huawei Confidential Page 104 of 201
W-Handover and Call Drop Problem Optimization Guide For Internal Use 
T312 Timer 312 
Value range: 1–15 
Physical unit: s 
Content: When the UE starts DCH, start T312. When the UE 
detects 312 continuous synchronization indicators, stop T312. 
When T312 expires, the DCH connection fails. The default 
value is 1. 
Recommended value: 1 
N312 Constant 
312 
Value range: D1, D2, D4, D10, D20, D50, D100, D200, D400, 
D600, D800, and D1000 
Actual value range: 1, 2, 4, 10, 20, 50, 100, 200, 400, 600, 
800, and 1000 
Physical unit: none 
Content: It indicates the maximum times continuous 
synchronization indicators received from L1. The default value 
is 1. 
Recommended value: D1 
T313 Timer 313 
Value range: 1–15 
Physical unit: s 
Content: When the UE detects from L1 continuous N313 
asynchronization indicators, start T313. When the UE detects 
from L1 continuous N315 asynchronization indicators, stop 
T313. When T313 expires, the radio link fails. The default 
value is 3. 
Recommended value: 3 
N313 Constant 
313 
Value range: D1, D2, D4, D10, D20, D50, D100, and D200 
Actual value range: 1, 2, 4, 10, 20, 50, 100, and 200 
Physical unit: none 
Content: It indicates the maximum times continuous 
synchronization indicators received from L1. The default value 
is 20. 
Recommended value: D50 
2009-10-10 Huawei Confidential Page 105 of 201
W-Handover and Call Drop Problem Optimization Guide For Internal Use 
T314 Timer 314 
Value range: D0, D2, D4, D6, D8, D12, D16, and D20 
Actual value range: 0, 2, 4, 6, 8, 12, 16, and 20 
Physical unit: none 
Content: When the principle of radio link failure is met, and the 
radio bearer only related to T314 exists, start T314. When the 
cell update is complete, stop T314. The default value is 12. 
When the UE of CELL_DCH fails in radio links, start T314 (or 
T315), and send CELL UPDATE messages. Before T314 (or 
T315) corresponding to services expires, if the radio link 
reconfiguration configured by CELL UPDATE CONFIRM 
message fails, resend CELL UPDATE messages to 
reconfigure the radio link (related to T302 and N302). Based 
on this, configure T314 > T302 × N302. 
When T314 expires, the service RB of corresponding timers is 
deleted. 
Recommended value: D20 
T315 Timer 315 
Value range: D0, D10, D30, D60, D180, D600, D1200, and 
D1800 
Actual value range: 0, 10, 30, 60, 180, 600, 1200, and 1800 
Physical unit: s 
Content: When the principle of radio link failure is met, and the 
radio bearer only related to T315 exists, start T315. When the 
cell update is complete, stop T314. The default value is 180. 
When the UE of CELL_DCH fails in radio links, start T315 (or 
T314), and send CELL UPDATE messages. Before T315 (or 
T314) corresponding to services expires, if the radio link 
reconfiguration configured by CELL UPDATE CONFIRM 
message fails, resend CELL UPDATE messages to 
reconfigure the radio link (related to T302 and N302). Based 
on this, configure T315 > T302 × N302. 
When T315 expires, the service RB of corresponding timers is 
deleted. 
Recommended value: D30 
N315 Constant 
315 
Value range: D1, D2, D4, D10, D20, D50, D100, D200, D400, 
D600, D800, and D1000 
Actual value range: 1, 2, 4, 10, 20, 50, 100, 200, 400, 600, 
800, and 1000 
Physical unit: s 
Content: It indicates the maximum times continuous 
synchronization indicators received from L1. The default value 
is 1. 
Recommended value: D1 
2009-10-10 Huawei Confidential Page 106 of 201
W-Handover and Call Drop Problem Optimization Guide For Internal Use 
Table 7-2 lists the timers and counters related to call drop at lub interface. 
Table 7-2 Timers and counters related to call drop at lub interface 
Parameter ID Parameter Name Description 
NINSYNCIND 
Times of 
continuous 
synchronization 
indicator 
Value range: 1–256 
Actual value range: 1–256 
Physical unit: none 
Content: The value indicates the times of 
continuous synchronization indicators needed by 
the timer to trigger radio link recovery process. 
The radio link set keeps in initial state until the 
NodeB receives NINSYNCIND continuous 
synchronization indicator. Now the NodeB triggers 
radio link recovery process, and radio link set is 
synchronized. When the radio link recovery 
process is triggered, the radio link set is in 
synchronization state. 
Recommended value: 5 
NOUTSYNCIND 
Times of 
continuous 
asynchronization 
indicator 
Value range: 1–256 
Actual value range: 1–256 
Physical unit: none 
Content: The value indicates the times of 
continuous asynchronization indicators needed by 
the timer to trigger radio link failure process. When 
the radio link set keeps in synchronization state, 
after the NodeB receives NINSYNCIND 
continuous failure indicators, start radio link failure 
timer. After receiving continuous NINSYNCIND 
synchronization indicators, the NodeB must stop 
and reset radio link failure timer. If the radio link 
failure timer expires, the NodeB triggers radio link 
failure process, and indicate the radio link sets 
which are in asynchronization state. 
Recommended value: 5 
2009-10-10 Huawei Confidential Page 107 of 201
W-Handover and Call Drop Problem Optimization Guide For Internal Use 
TRLFAILURE Radio link failure 
timer period 
Value range: 0–255 
Actual value range: 0–25.5, and the step is 0.1 
Physical unit: s 
Content: The value indicates the timer period of 
radio link failure. When the radio link set keeps in 
synchronization state, after the NodeB receives 
NINSYNCIND continuous failure indicators, start 
radio link failure timer. After receiving continuous 
NINSYNCIND synchronization indicators, the 
NodeB must stop and reset radio link failure timer. 
If the radio link failure timer expires, the NodeB 
triggers radio link failure process, and indicate the 
radio link sets which are in asynchronization state. 
Recommended value: 50 
2009-10-10 Huawei Confidential Page 108 of 201
W-Handover and Call Drop Problem Optimization Guide For Internal Use 
7.3 SHO Flow 
You can analyze SHO-related signaling flow by three typical flows. The three flows include 
adding radio link, deleting radio link, and combination of adding and deleting radio links. SHO is 
valid for FDD mode. The following three flows are SHO with lur signaling. The SHO flow under 
the same RNC is simpler, which deletes the parts between SRNC and DRNC. The following 
three cases are typical. The actual signaling flow depends on the actual situation. 
7.3.1 Analyzing Signaling Flow for Adding Radio Link 
The conditions of SHO signaling flow for adding radio link are: 
l The UE has one or more radio links with SRNC. 
l The UE sets up a new radio link through new NodeB and new RNC. 
The UE can set up only one link with UTRAN, so there is no macro diversity 
combination/splitting. 
Signaling Flow for Adding Radio Link 
Figure 7-3 shows the signaling flow for adding radio link. 
2009-10-10 Huawei Confidential Page 109 of 201
W-Handover and Call Drop Problem Optimization Guide For Internal Use 
Figure 7-3 Signaling flow for adding radio link 
Steps of Signaling Flow for Adding Radio Link 
The signaling flow proceeds as below: 
l The SRNC decides to set up a new radio link and the new cell to which the link 
belongs is under the control of another RNC (DRNC). The SRNC sends DRNC a 
Radio Link Setup Request message, and requires DRNC to prepare the 
corresponding radio resources. The new radio link is the first link set up between UE 
and DRNC, so a new lur signaling connection is required. The lur signaling 
connection carries UE-related RNSAP signaling. 
The Radio Link Setup Request message includes parameters as below: 
− Cell ID 
2009-10-10 Huawei Confidential Page 110 of 201
W-Handover and Call Drop Problem Optimization Guide For Internal Use 
− TFS 
− TFCS 
− Frequency 
− Uplink Scramble 
l According to radio resources, the DRNC judge whether the requested radio resource 
can be met. If yes, the DRNC send the NBAP message, namely, Radio Link Setup 
Request, to NodeB to which the DRNC belongs. After this, the NodeB starts to 
receive messages in uplink. 
The Radio Link Setup Request message includes parameters as below: 
− Cell ID 
− TFS 
− TFCS 
− Frequency 
l The NodeB allocates radio resources as required. If it succeeds, the NodeB reports 
an NBAP message, namely, the Radio Link Setup Response message, to DRNC. 
The Radio Link Setup Response message includes two parameters: signaling 
termination and transport layer addressing information (AAL2 addressing, AAL2 
bound ID for data transmission and bearer) 
l The DRNC sends the Radio Link Setup Response message to SRNC through 
RNSAP. 
The Radio Link Setup Response message includes two parameters: transport layer 
addressing information (AAL2 addressing, AAL2 bound ID for transmitting and 
carrying data) and information about adjacent cells. 
l The SRNC starts lur/lub data transmission and bearer through the ALCAP protocol. 
The request includes AAL2 bound ID for binding lub data transmission and bearer, 
and DCH. 
l or 7) The NodeB and SRNC set up synchronization of data transmission and bearer 
by exchanging the corresponding DCH FP frame Downlink Synchronization and 
Uplink Synchronization. The NodeB starts downlink transmission. 
l The SRNC sends UE the Active Set Update message on DCCH. The message 
includes content on adding radio link. 
The parameters include: 
− Update type 
− Cell ID 
− Downlink scramble 
− Power control information 
− Adjacent cells 
l The UE configures the corresponding parameters according to RRC signaling. It 
sends SRNC the RRC message, namely, Active Set Update Complete message. 
2009-10-10 Huawei Confidential Page 111 of 201
W-Handover and Call Drop Problem Optimization Guide For Internal Use 
7.3.2 Analyzing Signaling Flow for Deleting Radio Link 
The conditions of SHO signaling flow for deleting radio link are: 
l The UE has one or more radio links with SRNC. 
l Delete the link connecting UE and SRNC through DRNC. 
Signaling Flow for Deleting Radio Link 
Figure 7-4 shows the signaling flow for deleting radio link. 
Figure 7-4 Signaling flow for deleting radio link 
Steps of Signaling Flow for Deleting Radio Link 
The signaling flow for deleting radio link proceeds as below: 
2009-10-10 Huawei Confidential Page 112 of 201
W-Handover and Call Drop Problem Optimization Guide For Internal Use 
l The SRNC decides to delete a radio link. The SRNC sends UE the Active Set 
Update message on DCCH. This message includes the content about deleting radio 
link. 
The parameters include update type and cell ID. 
l The UE deactivates the downlink receiver of radio link to be deleted and sends 
SRNC the Active Set Update Complete message. 
l The SRNC sends the Radio Link Deletion Request to DRNC on through. 
The parameters include cell ID and transport layer addressing information. 
l The DRNC sends NodeB the NBAP message, namely, the Radio Link Deletion 
Request message. The NodeB stops receiving and sending. 
The parameters include cell ID and transport layer addressing information. 
l The NodeB deactivates radio resources and sends DRNC the NBAP message, 
namely, the Radio Link Deletion Response message. 
l The SRNC starts releasing lur/lub data bearer through the ALCAP protocol. 
7.3.3 Analyzing Signaling Flow for Adding and Deleting Radio Link 
The conditions of SHO signaling flow for adding and deleting radio link are: 
l The UE has one or more radio links with SRNC. 
l The UE sets up a new radio link through new NodeB and new RNC. 
l Delete the previous link connecting UE and SRNC through the NodeB which belongs 
to SRNC. 
The UE can set up only one link with UTRAN, so there is no macro diversity 
combination/splitting. 
SHO Signaling Flow for Adding and Deleting Radio Link 
Figure 7-5 shows the SHO signaling flow for adding and deleting radio link. 
2009-10-10 Huawei Confidential Page 113 of 201
W-Handover and Call Drop Problem Optimization Guide For Internal Use 
Figure 7-5 SHO signaling flow for adding and deleting radio link 
Serving 
RNC 
Decision to setup 
new RL and 
release old RL 
1. Radio Link Setup 
Request 
Drift 
RNC 
RNSAP RNSAP 
4. Radio Link Setup 
Response 
UE Node B 
Drift RNS 
Node B 
Serving RNS 
NBAP 2. Radio Link Setup Request NBAP 
Start RX 
description 
NBAP 3. Radio Link Setup Response NBAP 
RNSAP RNSAP 
5. ALCAP Iub Data Transport Bearer Setup ALCAP Iur Bearer Setup 
6. Downlink Synchronisation 
DCH-FP DCH-FP 
7. Uplink Synchronisation 
DCH-FP DCH-FP 
Start TX 
description 
8. DCCH : Active Set Update Command 
[Radio Link Addition & Deletion] 
RRC RRC 
9. DCCH : Active Set Update Complete 
RRC RRC 
NBAP 10. Radio Link Deletion Request 
11. Radio Link Release Response 
Stop RX and TX 
NBAP 
NBAP NBAP 
12. ALCAP Iub Data Transport Bearer Release 
Steps of SHO signaling Flow for Adding and Deleting Radio Link 
The SHO signaling flow for adding and deleting radio link proceeds as below: 
l The SRNC decides to set up a new radio link and the new cell to which the link 
belongs is under the control of another RNC (DRNC). The SRNC sends DRNC a 
Radio Link Setup Request message, and requires DRNC to prepare the 
2009-10-10 Huawei Confidential Page 114 of 201
W-Handover and Call Drop Problem Optimization Guide For Internal Use 
corresponding radio resources. The new radio link is the first link set up between UE 
and DRNC, so a new lur signaling connection is required. The lur signaling 
connection carries UE-related RNSAP signaling. 
The Radio Link Setup Request message includes parameters as below: 
− Cell ID 
− TFS 
− TFCS 
− Frequency 
− Uplink Scramble 
l According to radio resources, the DRNC judge whether the requested radio resource 
can be met. If yes, the DRNC send the NBAP message, namely, Radio Link Setup 
Request, to NodeB to which the DRNC belongs. After this, the NodeB starts to 
receive messages in uplink. 
The Radio Link Setup Request message includes parameters as below: 
− Cell ID 
− TFS 
− TFCS 
− Frequency 
l The NodeB allocates radio resources as required. If it succeeds, the NodeB reports 
an NBAP message, namely, the Radio Link Setup Response message, to DRNC. 
The Radio Link Setup Response message includes two parameters: signaling 
termination and transport layer addressing information (AAL2 addressing, AAL2 
bound ID for data transmission and bearer) 
l The DRNC sends the Radio Link Setup Response message to SRNC through 
RNSAP. 
The Radio Link Setup Response message includes two parameters: transport layer 
addressing information (AAL2 addressing, AAL2 bound ID for transmitting and 
carrying data) and information about adjacent cells. 
l The SRNC starts lur/lub data transmission and bearer through the ALCAP protocol. 
The request includes AAL2 bound ID for binding lub data transmission and bearer, 
and DCH. 
l or 7) The NodeB and SRNC set up synchronization of data transmission and bearer 
by exchanging the corresponding DCH FP frame Downlink Synchronization and 
Uplink Synchronization. The NodeB starts downlink transmission. 
l The SRNC sends UE the Active Set Update message on DCCH. The message 
includes content on adding and removing radio link. 
The parameters include: 
− Update type 
− Cell ID 
− Downlink scramble 
− Power control information 
− Adjacent cells 
2009-10-10 Huawei Confidential Page 115 of 201
W-Handover and Call Drop Problem Optimization Guide For Internal Use 
l The UE configures the corresponding parameters according to RRC signaling, 
deactivates the downlink receiver of the link to be deleted, actives the downlink 
receiver to be added, and sends SRNC the Active Set Update Complete message. 
l The SRNC sends NodeB the NBAP message, namely, the Radio Link Deletion 
Request message. The NodeB stops receiving and sending. 
The parameters include cell ID and transport layer addressing information. 
l The NodeB deactivates radio resources and sends SRNC the NBAP message, 
namely, the Radio Link Deletion Response message. 
l The SRNC starts releasing lur/lub data bearer thought the ALCAP protocol. 
7.3.4 SHO Algorithm 
Intra-frequency Measurement Model 
When the UE is in CELL_DCH connection mode (for example, voice talk starts), the RNC sends 
the MEASUREMENT CONTROL command to command UE to measure and report events (the 
event threshold, hysteresis, delay trigger time are included in signaling). When the best cell is 
updated (including occurrence of intra-frequency HHO and inter-frequency HHO), the 
measurement control of 1X (including 1A, 1B, 1C, and 1D) event must be updated. 
Figure 7-6 shows the WCDMAmeasurement model according to protocol 25.302. 
Figure 7-6 Measurement model 
Layer 1 
filtering 
parameters parameters 
Layer 3 
filtering Evaluation 
A B C D 
of reporting 
criteria 
C' 
In Figure 7-6, 
l Point A is the direct measurement result of physical layer. 
l Point B is the filtered measurement result at physical layer and it is also the 
measurement result provided to upper layer from physical layer. 
l Point C is the measurement result for event judgment after upper layer filtering. 
l FilterCoef is filtering factor of measured values and weights the measurement results 
of physical layer at different points. It is used in event report and period report. The 
filtering of measured values is calculated as below: 
n n n F = - a × F + a ×M -1 (1 ) 
Wherein, 
− Fn: filtered updated measurement result 
2009-10-10 Huawei Confidential Page 116 of 201
W-Handover and Call Drop Problem Optimization Guide For Internal Use 
− Fn-1: filtered previous measurement result at last point 
− Mn: the latest measured value received from physical layer 
− α = 1/2(k/2). The k is from Filter coefficient, namely, the handover parameter 
FilterCoef. FilterCoef is configured in intra-frequency, inter-frequency, and inter-RAT 
handover measurement.When α is 1 (accordingly k = 0), there is no layer 3 filtering. 
From previous measurement model, the filtering occurs before event judgment and 
measurement report. In addition, the measured values in cell Measurement results and 
Measurement results on RACH of UE's report are filtered. The layer 3 filtering controlled by 
network layer caters for measurement event judgment and measurement report only. The cell 
reselection when UE is in the idle mode and connection mode does not support layer 3 filter 
controlled by network layer. 
Intra-frequency Measurement Events 
In the measurement control message, the UTRAN indicates the events to trigger measurement 
report. The intra-frequency measurement report events are marked by "1X". 
1. 1A event: a Primary Pilot Channel Is in Reporting Range 
In the measurement report mechanism domain, the network requires UE to report the 1A event 
(for example, the UE enters the Cell_DCH state), the UE sends the measurement report when a 
primary pilot channel enters the reporting range. According to protocols, for 1A event, the UE 
can report multiple cells of trigger event in a measurement report. The cells are included in the 
list of trigger event. The UE sorts the cells good to bad in terms of quality (CPICH Ec/No). If less 
than 3 cells are listed in the active set, the network judges to add links. If the active set is full of 
cells, no operation is performed. 
When the measured value meets the following formula, the UE judges that a primary pilot 
channel is in the reporting range. 
The path loss is: 
N 
A 
ö 
- + × × - + ÷ ÷ø 
æ 
× × £ × å= 
For other measurement values: 
ç çè 
New i LogM W Log M W LogM R H 
10 10 (1 ) 10 ( / 2), 1 
1 
Best a 
i 
N 
A 
ö 
- - × × - + ÷ ÷ø 
æ 
× × ³ × å= 
In the previous formulas: 
ç çè 
New i LogM W Log M W LogM R H 
10 10 (1 ) 10 ( / 2), 1 
1 
Best a 
i 
l MNew is the measurement result of cells in the reporting range. 
l Mi is the measurement result of cells in the active set. 
l NA is the number of cells in the active set. 
l MBest is the measured value of the best cell in the active set. 
l W is the weighting factor. 
l R is the reporting range, with signal strength as an example. It is equal to the signal 
strength of the best cell in the active set minus a value. 
l H1a is the hysteresis of 1A event. 
2009-10-10 Huawei Confidential Page 117 of 201
W-Handover and Call Drop Problem Optimization Guide For Internal Use 
A parameter TIME-TO-TRIGGER is used to reduce the signalling flow for measurement 
report. After the primary pilot enters the reporting range and remains for a specified 
period, the UE triggers measurement report. The parameter is also used in other events. 
Figure 7-7 shows the 1A event and trigger delay. 
Figure 7-7 Example 1A event and trigger delay 
Time-to-trigger 
Reporting 
event 1A 
Measurement 
quantity 
Time 
P CPICH 1 
Reporting 
range 
P CPICH 2 
P CPICH 3 
Usually, if the 1A event is triggered, the UE sends a measure report to UTRAN. The UTRAN 
sends an Active Set Update message for updating active set. Probably No response is received 
after UE sends measurement report (for example, due to limited capacity). The UE changes 
from sending event-triggered report to periodic report. The measure report contains the 
information about the cells in the active set and cells in the monitored set in reporting range. 
Only when the cell is successfully listed in the active set and leaves the reporting range will UE 
stop sending periodic reports. 
2009-10-10 Huawei Confidential Page 118 of 201
W-Handover and Call Drop Problem Optimization Guide For Internal Use 
Figure 7-8 Periodic report triggered by 1A event 
Reporting 
range 
Event-triggered 
PCPICH 1 
PCPICH 2 
Periodic 
report 
Periodic 
report 
Reporting 
terminated 
report PCPICH 3 
2. 1B Event: a Primary Pilot Channel Leaves the Reporting Range 
When the following formulas are met, the UE judges that a primary pilot channel leaves the 
reporting range. For 1B event and for event-triggered cells, 
l If more than one links are in the active set, the UE judges to delete the links. 
l If only one links is in the active set, the UE performs no operation. 
The path loss is: 
N 
A 
ö 
+ + × × - + ÷ ÷ø 
æ 
× × ³ × å= 
For Other measure values: 
ç çè 
Old i LogM W Log M W LogM R H 
10 10 (1 ) 10 ( / 2), 1 
1 
Best a 
i 
N 
A 
ö 
+ - × × - + ÷ ÷ø 
æ 
× × £ × å= 
ç çè 
LogMOld W Log Mi W LogM R H 
10 10 (1 ) 10 ( 1 / 2), 
1 
Best b 
i 
In the previous formulas: 
l MOld is the measurement result of cells in the reporting range. 
l Mi is the measurement result of cells in the active set. 
l NA is the number of cells in the active set. 
l MBest is the measured value of the best cell in the active set. 
l W is the weighting factor. 
l R is the reporting range. 
l H1a is the hysteresis of 1B event. 
If multiple cells meet the reporting conditions at the same time, and reach the trigger delay, the 
UE sorts the cells in terms of measured value and then reports them. 
2009-10-10 Huawei Confidential Page 119 of 201
W-Handover and Call Drop Problem Optimization Guide For Internal Use 
3. 1C Event: a Non-active Set Primary Pilot Channel 
Figure 7-9 shows the 1C event. 
Figure 7-9 Example of 1C event 
In Figure 7-9, the cells where the PCPICH 1, PCPICH 2, and PCPICH 3 serve are in the active 
set but the cell where PCPICH 4 serves is not in the active set. If the cells in the active set 
reach or exceeds the replacement threshold of active set, the event is used for replacing bad 
cells in the active set. 
When the 1C event is triggered, the UE reports the replacing cell and the cell to be replaced in 
the event trigger list. The UE also sort the reported cells good to bad in terms of quality (CPICH 
Ec/No). After the RNC receives the 1C event trigger list reported by UE, it replaces the cell to be 
replaced with the replacing cell in the active set. 
2009-10-10 Huawei Confidential Page 120 of 201
W-Handover and Call Drop Problem Optimization Guide For Internal Use 
4. 1D Event: the Best Cell Changes 
Figure 7-10 Example 1D event 
When channels have little difference, the 1D event might be triggered due to fluctuating signals. 
This leads to unnecessary increase of signaling flow at the air interface. The hysteresis value 
helps to avoid this, as shown in Figure 7-11. 
Figure 7-11 Restriction from hysteresis to measurement report 
The second time fails to reach the hysteresis condition, so no 1D event report is triggered. This 
parameter also applied in other events. 
According to protocols, the 1D event can report only one triggered cell which can be in active 
set or monitored set. Therefore the cells in the monitored set must be added to the active set. If 
the active set is full, the system deletes a cell that is not the best cell. Consequently the system 
adds the best cell to the active set. Finally the system marks the cell as the best cell. 
2009-10-10 Huawei Confidential Page 121 of 201
W-Handover and Call Drop Problem Optimization Guide For Internal Use 
5. 1E Event: a Measured Value of Primary Pilot Channel Exceeds the 
Absolute Threshold 
Figure 7-12 shows an example of 1E event. 
Figure 7-12 Example of 1E event 
The 1E event triggers measurement report of the cells not monitored when the UE fails to 
receive the neighbor cell table. 
6. 1F Event: the Measured Value of Primary Pilot Channel Is Lower 
than the Absolute Threshold Value 
Figure 7-13 shows an example event. 
Figure 7-13 Example of 1F event 
2009-10-10 Huawei Confidential Page 122 of 201
W-Handover and Call Drop Problem Optimization Guide For Internal Use 
7.4 Ordinary HHO Flow 
7.4.1 Ordinary HHO (lur Interface and CELL_DCH State) 
The following HHO flow is based on the lur interface when the UE is in the CELL_DCH state. 
Ordinary HHO (lur Interface and CELL_DCH State) 
Figure 7-14 shows the ordinary HHO flow (lur interface and CELL_DCH state). 
2009-10-10 Huawei Confidential Page 123 of 201
W-Handover and Call Drop Problem Optimization Guide For Internal Use 
Figure 7-14 Ordinary HHO flow (lur interface and CELL_DCH state) 
Signaling Flow Analysis 
The signaling flow proceeds as below: 
l The SRNC sends the Radio Link Setup Request message to request radio link setup. 
The parameters include target RNC identity, s-RNTI, cell ID, TFS, and TFCS. 
l The target RNC allocates RNTI and radio resources for RRC connection and radio 
links. In addition, it sends the NBAP message, namely, the Radio Link Setup 
Request message to the target NodeB. 
The parameters include cell ID, TFS, TFCS, frequency, uplink scramble, power 
control, and so on. 
2009-10-10 Huawei Confidential Page 124 of 201
W-Handover and Call Drop Problem Optimization Guide For Internal Use 
l The target NodeB allocates radio link resources, starts physical-layer receiver, and 
sends the target NodeB the Radio Link Setup Response message. 
The parameters include signaling termination and transport layer addressing for lub 
data transmission and bearer. 
l The target RNC starts setting up lub data transmission and bearer according to 
ALCAP protocol. The request contains that the AAL2 bound ID is for binding lub data 
transmission and bearer, as well as transport channel DCH. The NodeB confirms the 
request. 
l When the target RNC completes preparations, it sends SRNC the Radio Link Setup 
Response message. 
l The SRNC starts setting up lub data transmission and bearer according to ALCAP 
protocol. The request contains that the AAL2 bound ID is for binding lub data 
transmission and bearer, as well as transport channel DCH. The RNC confirms the 
request. 
l The SRNC send UE the Physical Channel Reconfiguration message. 
l When the UE switches from using the original link to using the new one, the original 
NodeB detects that the original link fails in synchronization. Then the original NodeB 
sends the NBAP message, namely, the Radio Link Failure Indication message to the 
source RNC. 
l The SRNC sends the original SRNC the RNSAP message, namely, the Radio Link 
Failure Indication. 
l When the UE completes setting up RRC connection with target RNC and the related 
radio resources are allocated, the UE sends SRNC the RRC message, namely, the 
Physical Channel Reconfiguration Complete message. 
l The SRNC sends source RNC the RNSAP message, the Radio Link Deletion 
Request message. This requires the RNC to release the corresponding resources 
used by original link. 
l The source RNC sends original NodeB the NBAP message, the Radio Link Deletion 
Request message. 
The parameters include cell ID and transport layer addressing information. 
l The source NodeB releases radio resources used by original link and sends source 
RNC the NBAP message, the Radio Link Deletion Response message. 
l The source RNC starts releasing lur data transmission and bearer according to the 
ALCAP protocol. 
l When the source RNC completes releasing lur data transmission and bearer, it 
sends SRNC the RNSAP message, the Radio Link Deletion Response message. 
l The SRNC starts releasing lur data transmission and bearer according to the ALCAP 
protocol. The request includes AAL2 bound ID for binding lur data transmission and 
bearer and the transport channel DCH. The release request is confirmed by the 
target RNC. 
7.4.2 Inter-CN HHO Flow 
Figure 7-15 shows the inter-CN (between core networks) HHO flow. 
2009-10-10 Huawei Confidential Page 125 of 201
W-Handover and Call Drop Problem Optimization Guide For Internal Use 
Figure 7-15 Ordinary inter-CN HHO flow 
SGSN 
RNC 
Targe t 
1. Relocation Requir ed 
Node B 
Source 
Node B 
Targ et 
UE RNC 
Source 
MSC/SGSN 
SGSN/MSC 
RANAP RANAP 
2. Relocation Required 
RANAP RANAP 
3. Relocation Request 
RANAP RANAP 
RA NA P 4. Re loc a tion Re quest RA NA P 
5. ALCAP Iu Data 
Transpor t Bearer Setup 
9. Relocation Request 
Acknowledge 
6. Radio Link Setup Request 
NBAP NBAP 
7. Radio Link Setup Response 
NBAP NBAP 
RANAP RANAP 
10. Relocation Request 
Acknowledge 
RANAP RANAP 
8. ALCAP Iub Data Transpor t Bearer Setup 
11. Relocation Command 
RANAP RANAP 
RANAP 
12. Relocation Comman d 
RANAP 
14. Relocation 
Detect 
RANAP RANAP 
RRC 
13. DCCH : Ph ysical Chann el Recon figuration Note 1 
RRC 
15. Reloca tion D etec t RA NA P 
18. Relocation 
Complete 
RANAP 
1 6. Radio Link Failure In dication 
NBAP NBAP 
RRC 17. D CC H : Ph ysic al Ch a nn el Recon figura tion Complete Note 1 RRC 
RANAP RANAP 
19. Relocation Complete 
RANAP RANAP 
RANAP 
20. Iu Release Comman d 
RANAP 
RANAP 
21. Iu Release Comman d 
RANAP 
22. ALCAP Iu Data Transport Bearer 
Release 
RANAP 
23. Iu Release Complete 
RANAP 
RANAP 
24. Iu Release Complete 
RANAP 
The ordinary inter-CN HHO flow proceeds as below: 
l or 2) The SRNC sends the Relocation required message to the nodes of the source 
CN and the target CN. 
l or 4) After the CN makes necessary preparations, it sends the Relocation Required 
message to the target RNC to allocating the corresponding resources. 
l The transmission and bearer at the lur interface is set up at the target RNC and CN. 
l or 7) or 8) The target RNC allocates RNTI and radio resources for RRC connection 
and radio links, and then sends target NodeB the NBAP message, the Radio Link 
Setup Request message. The target NodeB allocates radio link resources starts 
physical layer receiver, and sends target RNC the NBAP message, the Radio Link 
2009-10-10 Huawei Confidential Page 126 of 201
W-Handover and Call Drop Problem Optimization Guide For Internal Use 
Setup Response message. 
The parameters include cell ID, TFS, TFCS, frequency, uplink scramble, power 
control, and so on. 
l or 10) When the RNC completes preparations, the RNC sends CN the Relocation 
Required Acknowledge message. 
l or 12) The CN completes preparations and sends SRNC the Relocation Command 
message. 
l The SRNC sends UE the RRC message, the Physical Channel Reconfiguration 
message. 
l or 15) or 16)When the target RNC detects UE, it sends two nodes of CN the 
Relocation Detect message. When the UE switches from using the original radio link 
to the new one, the source NodeB sends source RNC the Radio Link Failure 
Indication message upon detection of RL error by source NodeB. 
l When the UE completes setting up RRC connection with target RNC and the 
corresponding radio resources are allocated, it sends target RNC the RRC message, 
the Physical Channel Reconfiguration Complete message. 
l or 19) After the UE succeeds in handing over to the target RNC and is allocated with 
resources, the RNC sends all CNs the Relocation Complete message. 
l or 21) The CN sends SRNC the Lu Release Command message. 
l The lu transmission and bearer between the original RNC and CN is released. 
l or 24) The original RNC sends CN the Lu Release Complete message for confirming 
release. 
2009-10-10 Huawei Confidential Page 127 of 201
W-Handover and Call Drop Problem Optimization Guide For Internal Use 
7.5 HHO Algorithm 
7.5.1 Intra-frequency HHO Algorithm 
The intra-frequency HHO occurs in the following two situations: 
l The intra-frequency neighbor cells belong to different RNCs, but no lur interface is 
between the RNCs. 
l The handover of high-speed PS Best Effort service which exceeds the speed 
threshold. The reason is that SHO takes excessive forward capacity. 
The 1D event is a judgment evidence for the intra-frequency HHO, namely, the triggering cell of 
1D event is the target cell for handover. 
7.5.2 Inter-frequency HHO Algorithm 
Fundamental Concepts 
The cell at the carrier coverage edge refers to the cell covered by a carrier in the most 
peripheral areas. The cell features that no intra-frequency neighbor cells are present in a 
direction of the cell. 
The cells in the carrier center area are the rest cells. The cell features that intra-frequency 
neighbor cells are present in all directions of the cell. 
In the cell at the carrier coverage edge, when the UE moves towards the direction with no 
intra-frequency neighbor cells, the CPICH Ec/No fluctuates slowly due to the same attenuating 
speed of CPICH RSCP and interference. According to simulation, when the CPICH RSCP is 
lower than the demodulation threshold (–110 dBm), the CPICH Ec/No can reach about –12 dB. 
Now the inter-frequency handover algorithm based on CPICH Ec/No measurement is invalid. 
Therefore, using CPICH RSCP as inter-frequency measurement quantity is more proper and 
valid for cells at the carrier coverage edge. 
The CPICH RSCP might serve as inter-frequency measurement quantity for cells in the carrier 
center area, but the CPICH Ec/No is better to reflect the actual communication quality of links 
and cell load. 
Starting/Stopping Inter-frequency Measurement 
The inter-frequency measurement might use the compression mode which impacts the link 
quality and system capacity, so starting the inter-frequency measurement is not recommended. 
The inter-frequency measurement in only recommended if needed. Reporting 2D and 2F events 
determines starting/stopping inter-frequency measurement on V1.2 RNCs. 
When the UE enters the CELL_DCH state or the best cell changes, if the inter-frequency 
handover algorithm switch is enabled and the best cell is present in the list of inter-frequency 
neighbor cells, the measurement of 2D and 2F events is configured. The absolute threshold for 
2D and 2F events is the staring/stopping inter-frequency measurement. The CPICH Ec/No or 
RSCP measurement quantity and threshold is respectively used according to the position 
property (as previously mentioned, there are carrier coverage center and carrier coverage edge) 
of the best cell in the active set: 
2009-10-10 Huawei Confidential Page 128 of 201
W-Handover and Call Drop Problem Optimization Guide For Internal Use 
l If the quality of measurement quantity is worse than the starting threshold, the 2D 
event is reported and then the periodic inter-frequency measurement is started 
through judgment. 
l If the quality of active set is higher than the stopping threshold, the 2F event is 
triggered and inter-frequency measurement is stopped. 
Inter-frequency HHO Judgment 
Now the inter-frequency measurement is reported periodically. The inter-frequency handover 
judgment on RNCs uses the absolute threshold judgment method based on cell property. 
According to the different cell properties (cell at the carrier coverage edge or in the carrier 
coverage center), the handover judgment uses different physical measurement quantity (CPICH 
RSCP and CPICH Ec/No) and handover threshold. 
If the measurement quantity keeps greater than the absolute threshold and hysteresis until 
trigger delay, the reported cell becomes the target handover cell. After this, according to the 
inter-frequency measurement result, the RNC carries out inter-frequency HHO threshold. 
& Note: 
No dedicated control strategy in compression mode is available, so it is recommended that the 
inter-frequency handover caters for the compulsory handover caused by in continuous coverage 
by carrier. Now you can only consider starting compression mode at the carrier coverage edge. 
In the carrier coverage center, forbid the compression mode from starting by configuring 
parameters (set the absolute threshold of 2D event to the minimum value) and forbid 
inter-frequency HHO. 
2009-10-10 Huawei Confidential Page 129 of 201
W-Handover and Call Drop Problem Optimization Guide For Internal Use 
7.6 Concept and Classification of HSDPA Handover 
7.6.1 Concept of HSDPA Handover 
For a subscriber, if an RAB is mapped on the HS-DSCH of a cell, the cell becomes the 
HS-DSCH serving cell for the subscriber, and the radio link of the cell is the HS-DSCH serving 
radio link. 
As the signals of HSDPA serving cell are weaker and weaker, the network switches the service 
to a HSDPA cell with better signals, namely, the update of HSDPA serving cell. For the handover 
of HSDPA subscribers, HS-DSCH serving cell update describes HS-DSCH handover, and 
handover describes DCH handover. 
If other cells do not support HSDPA, the system switches the service to R99 cells. An RAB is 
mapped on the HS-DSCH of a cell only, so SHO is unavailable on HS-PDSCH bearing HSDPA, 
but available on associated DCH. The HS-PDSCH does not support SHO, so the major impact 
on mobility management (MM) after use of HSDPA is as below: 
l How to select and change the serving cell of HS-DSCH 
l How to obtain best performance of data transmission. 
Without violating the coverage handover rules, engineers must give priority to the 
HSDPA-supported cells for a service. For example, if multiple radio links are present for SHO, 
and only partial cells support HSDPA, the HSDPA service can be used in the non-superior cells. 
If the subscriber only for service that is carried on HSDPA, the RNC enable the UE to camps on 
HSDPA-supporting cell by direct retry and blind handover. 
7.6.2 Classification of HSDPA Handover 
By Different Handover Types on Associated DPCH 
According to different handover on the associated DPCH in HSDPA network, the HSDPA 
handover includes the following types: 
l Update the serving cell of HS-PDSCH in active set 
l Update the serving cell of HS-PDSCH by SHO or softer handover on DPCH 
l Update the serving cell of HS-PDSCH by HHO on DPCH 
By Different Technologies Used in Serving Cell before and after Handover 
By different technologies used in serving cell before and after handover, the HSDPA handover 
includes the following types: 
l Handover in HSDPA system 
l Handover between HSDPA and R99 
l Handover between HSDPA and GRPS 
2009-10-10 Huawei Confidential Page 130 of 201
W-Handover and Call Drop Problem Optimization Guide For Internal Use 
By Location of Cells for HSDPA Handover 
By location of cells for HSDPA handover, the HSDPA handover includes the following types: 
l Handover under the same NodeB 
l Handover under different NodeBs of the same RNC 
l Handover under different RNCs 
7.6.3 Signaling Flow and Message Analysis of HSDPA Handover 
During mobility procedures of HSDPA, the UE is connected to a cell by HS-DSCH, so the 
connection is different from DCH SHO. In CELL_DCH state, the move from source HS-DSCH 
cell to target HS-DSCH cell is decided according to measurement reports of UE and other 
information at network side. 
A typical handover proceeds as below: 
l Measurement control 
l Measurement report 
l Handover judgment 
l Handover implementation 
l New measurement control 
The serving cell update of HSDPA subscribers is with DCH handover. 
When the serving cell is updated, 
l The DPCH configuration and active set remains; 
l Or the DPCH is set up, released, and reconfigured; 
l Or the active set upon SHO is updated. 
At measurement control and measurement report stage, the handover messages for HSDPA 
are similar to these of R99 and R4. 
The signaling related to HSDPA in HSDPA handover includes: 
During NBAP: 
l Radio Link Setup 
l Synchronized Radio Link Reconfiguration Preparation 
l Physical Shared Channel Reconfiguration 
l Synchronized Radio Link Reconfiguration Commit 
l Bearer Re-arrangement 
l Radio Link Parameter Update 
At UU interface: 
l RADIO BEARER SETUP 
l RADIO BEARER RECONFIGURATION 
2009-10-10 Huawei Confidential Page 131 of 201
W-Handover and Call Drop Problem Optimization Guide For Internal Use 
l RADIO BEARER RELEASE 
l TRANSPORT CHANNEL RECONFIGURATION 
l PHYSICAL CHANNEL RECONFIGURATION 
7.6.4 HS-PDSCH Serving Cell Update due to DPCH SHO 
Description 
When the HS-PDSCH serving cell is updated due to DPCH SHO, the UE reports the following 
events listed in Table 7-3. The system will respond accordingly. 
Table 7-3 Flow of serving cell update triggered by different events in SHO 
Event Action 
1D event, the best server is listed in 
active set 
Change the radio link ID by reconfiguring radio 
link 
1B event, the HS-DSCH serving cell 
is to be deleted 
Update the serving cell in active set, and 
perform DCH SHO to delete the cell 
corresponding to 1B event 
1C event, the current HS-DSCH 
serving cell is the worst cell in active 
set 
Update the HS-DSCH in active set to support 
the best server of HS-DSCH, and then replace 
the cell 
The best server to trigger 1D event 
is not listed in active set, and the 
active set is not full 
Perform DPCH SHO to add radio link, and 
update the HS-DSCH serving cell in active set 
The best server to trigger 1D event 
is not listed in active set, and the 
active set is full. The serving cell is 
not the worst cell 
Perform DCH SHO to replace radio link, and 
update the serving cell in active set 
1D event, the active set is full, the 
cell to be replaced is the serving cell 
Replace the second worst cell in active set, and 
update the serving cell 
HS-DSCH Serving Cell Update (intra-NodeB) upon Fixed Active Set of UE 
Figure 7-16 shows the intra-NodeB synchronization serving cell update. 
2009-10-10 Huawei Confidential Page 132 of 201
W-Handover and Call Drop Problem Optimization Guide For Internal Use 
Figure 7-16 Intra-NodeB synchronization serving cell update 
Uu Iub/Iur 
UE-RRC UE-RLC UE-MAC UE-L1 NodeB-L1 Node B -MAC 
SRNC-MAC SRNC-RLC SRNC-RRC 
Measurement 
DCCH: MEASUREMENTREPORT 
CPHY-Measurement-IND 
SRNC-L1 
CPHY-RL-Modify-REQ 
(NBAP/RNSAP: RL Reconfiguration Prepare) 
CPHY-RL-Modify-CNF 
CPHY-RL-Modify-REQ 
ServingHS-DSCH 
cell 
change decision 
DCCH: PHYSICAL CHANNELRECONFIGURATION 
Start tx/rx for HS-DSCHin target HS-DSCHcell, 
stop tx/rx for HS-DSCHin source HS-DSCH cell 
at the given activation time 
(NBAP/RNSAP: RL ReconfigurationReady) 
DCCH: PHYSICALCHANNEL RECONFIGURATIONCOMPLETE 
Reporting 
criteria 
fulfilled 
CPHY-RL-Commit-REQ 
(NBAP/RNSAP: RL ReconfigurationCommit) 
The update process is based on the following conditions: 
l The DPCH and active set are fixed. 
l Assume that the parameters like transport channel and radio bearer are fixed. 
The update does not involve MAC layer, so the entity of MAC-hs needs no reconfiguration. 
The intra-NodeB synchronization serving cell is updated as below: 
l When the SRNC decides to update the HS-DSCH serving cell, it sends DRNC the 
RADIO LINK RECONFIGURATION PREPARE message. The message contains the 
identity of target HS-DSCH serving cell. 
l The DRNC commands NodeB to perform synchronized radio link reconfiguration. 
The NodeB must reconfigure the resource transition from source HS-DSCH radio 
link to target HS-DSCH radio link. The message contains the necessary information 
about setting up HS-DSCH link in target HS-DSCH cell, like UE ID. 
l The serving NodeB sends the RADIO LINK RECONFIGURATION READY message. 
l The DRNC sends SRNC the RADIO LINK RECONFIGURATION READY message. 
The message contains the following information: 
− HS-SCCH set information 
− Scramble of target SCCH cell 
− UE ID of HS-DSCH 
2009-10-10 Huawei Confidential Page 133 of 201
W-Handover and Call Drop Problem Optimization Guide For Internal Use 
l The SRNC sends DRNC the RADIO LINK RECONFIGURATION COMMIT message. 
The message contains the activation time of SRNC in CFN. 
l The DRNC sends the serving NodeB the RADIO LINK RECONFIGURATION 
COMMIT message. The message contains its activation time. At the activation time, 
the NodeB commands the source HS-DSCH cell to stop sending HS-DSCH data to 
UE. The target HS-DSCH cell sends UE the HS-DSCH data. 
l The SRNC sends UE the PHYSICAL CHANNEL RECONFIGURATION message. 
The message contains the following information: 
− Activation time 
− MAC-HS RESET indicator 
− Link ID of the serving HS-DSCH 
− HS-SCCH set indicator 
− UE ID of HS-DSCH 
l In the specified activation time, the UE resets HS-DSCH. It stops receiving 
HS-DSCH data from the source HS-DSCH cell, and starts receiving HS-DSCH data 
from target HS-DSCH cell. The UE responds SRNC the PHYSICAL CHANNEL 
RECONFIGURATION COMPLETE message. 
HS-DSCH Serving Cell Update (inter-NodeB) upon Fixed Active Set of UE 
Figure 7-17 shows the inter-NodeB synchronization serving cell update. 
2009-10-10 Huawei Confidential Page 134 of 201
W-Handover and Call Drop Problem Optimization Guide For Internal Use 
Figure 7-17 Inter-NodeB synchronization serving cell update 
Uu SourceHS-DSCHNode 
Iub 
B DRNC 
Iur 
Target HS-DSCHNode 
B 
UE SRNC 
1. RNSAP: RLRECONFIGURATION 
PREPARE 
2. NBAP: RLRECONFIGURATION 
PREPARE 
3. NBAP: RLRECONFIGURATIONREADY 
4. NBAP: RLRECONFIGURATIONPREPARE 
6. RNSAP: 5. NBAP: RLRECONFIGURATIONREADY RLRECONFIGURATIONREADY 
ALCAP Iur Data Transport Bearer setup 
(HS-DSCH) 
7. RNSAP: RL RECONFIGURATIONCOMMIT 
ALCAP IubData Transport Bearer setup 
(HS-DSCH) 
8. NBAP: RLRECONFIGURATIONCOMMIT 
9. RRC: PHYSICALCHANNELRECONFIGURATION 
10. RRC: PHYSICAL CHANNELRECONFIGURATIONCOMPLETE 
ALCAP IubData Transport 
Bearer release (HS-DSCH) 
ALCAP Iur Data Transport Bearer release 
(HS-DSCH) 
The update process is based on that the DPCH and active set are fixed. 
The inter-NodeB synchronization serving cell is updated as below: 
l a) After SRNC decides to update HS-DSCH cell, it sends DRNC the RADIO LINK 
RECONFIGURATION PREPARE message. The message contains the identity of 
HS-DSCH target cell. 
l The DRNC sends the source NodeB the RADIO LINK RECONFIGURATION 
PREPARE message. 
l The NodeB responds RADIO LINK RECONFIGURATION READY message. The 
message contains the indicator of RESET MAC-hs after reconfiguration. 
l The source NodeB responds the RADIO LINK RECONFIGURATION PREPARE to 
the target NodeB. The message indicates NodeB to perform synchronized radio link 
reconfiguration, namely, to add resource to target HS-DSCH radio link. The 
message contains necessary information to set up HS-DSCH resource in target cell, 
like UE ID. 
l The target NodeB responds RADIO LINK RECONFIGURATION READY message. 
l The DRNC responds RADIO LINK RECONFIGURATION READY message to 
SRNC. The message contains the following information: 
− HS-SCCH set information 
− Scramble of target HS-SCCH cell 
− UE ID of HS-DSCH 
2009-10-10 Huawei Confidential Page 135 of 201
W-Handover and Call Drop Problem Optimization Guide For Internal Use 
l After setting up the HS-DSCH transport bearer to the target NodeB, the SRNC 
sends the RADIO LINK RECONFIGURATION COMMIT to DRNC, including the 
activation time of SRNC in CRN. 
l The DRNC sends the RADIO LINK RECONFIGURATION COMMIT message to the 
source NodeB and target NodeB. The message contains its activation time. In the 
activation time, the source NodeB stops and target NodeB starts sending HS-DSCH 
data. 
l The SRNC sends UE the PHYSICAL CHANNEL RECONFIGURATION message to 
UE. The message contains the following information: 
− Activation time 
− MAC-hs RESET indicator 
− Link ID of the serving HS-DSCH 
− HS-SCCH set indicator 
− UE ID of HS-DSCH 
l In the specified activation time, the UE resets MAC-hs. It stops receiving the 
HS-DSCH data from the source HS-DSCH cell, and starts receiving the data from 
target HS-DSCH cell. It responds the PHYSICAL CHANNEL RECONFIGURATION 
COMPLETE message to SRNC. The HS-DSCH transport bearer to source NodeB is 
released. 
The signaling is in the attachment below (the corresponding RNC version is 
V100R005C01B061): 
INTER_NODEB(ok).t 
mf 
DPCH SHO with HS-DSCH Serving Cell Update 
Figure 7-18 shows the inter-NodeB HS-DSCH cell update after radio link is added. 
2009-10-10 Huawei Confidential Page 136 of 201
W-Handover and Call Drop Problem Optimization Guide For Internal Use 
Figure 7-18 Inter-NodeB HS-DSCH cell update after radio link is added 
Uu Source Node B 
Iub 
Iur 
Target Node B 
UE DRNC 
SRNC 
1. RNSAP: RL ADDITION REQUEST 
2. NBAP: RL SETUP REQUEST 
3. NBAP: RL SETUP RESPONSE 4. RNSAP: RL ADDITION RESPONSE 
ALCAP Iur Data Transport Bearer setup 
(DCH) 
7. RNSAP: RL RECONFIGURATION 
REQUEST 
ALCAP Iub Data Transport Bearer setup 
(DCH) 
10. NBAP: RL RECONFIGURATION 
REQUEST 
5. RRC: ACTIVE SET UPDATE 
6. RRC: ACTIVE SET UPDATE COMPLETE 
8. NBAP: RL RECONFIGURATION 
REQUEST 
9. NBAP: RL RECONFIGURATION READY 
12. RNSAP: 11. NBAP: RL RECONFIGURATION READY RL RECONFIGURATION READY 
ALCAP Iur Data Transport Bearer setup 
(HS-DSCH) 
13. RNSAP: RL RECONFIGURATION COMMIT 
ALCAP Iub Data Transport Bearer setup 
(HS-DSCH) 
14. NBAP: RL RECONFIGURATION COMMIT 
15. RRC: PHYSICAL CHANNEL RECONFIGURATION 
16. RRC: PHYSICAL CHANNEL RECONFIGURATION COMPLETE 
ALCAP Iub Data Transport 
Bearer release (HS-DSCH) 
ALCAP Iur Data Transport Bearer release 
(HS-DSCH) 
Setting a newly-added radio link to HS-DSCH radio link involves two steps: 
l Add a new link to active set 
l The HS-DSCH transmits to the new radio link 
After radio link is added, the inter-NodeB HS-DSCH cell is updated as below: 
l The SRNC decides to add new radio link. The radio link will be the HS-DSCH link. 
The SRNC sends DRNC the RADIO LINK ADDITION REQUEST message. The 
message indicates DRNC to set up a radio link without HS-DSCH resource. 
l The DRNC allocates resources for the new radio link. It sends the RADIO LINK 
SETUP REQUEST message to the target NodeB. The message contains the 
information to set up DPCH. It indicates the target NodeB to set up new radio link. 
l The target NodeB allocates resources. It receives information at the physical layer of 
the new DPCH. It responds the RADIO LINK SETUP RESPONSE message. 
l The DRNC responds the RADIO LINK SETUP RESPONSE message to SRNC. The 
DCH transport bearer is set up. 
2009-10-10 Huawei Confidential Page 137 of 201
W-Handover and Call Drop Problem Optimization Guide For Internal Use 
l The SRNC sends UE the ACTIVE SET UPDATE message. The message contains 
the new radio link ID. 
l The UE adds the new radio link to active set, and then responds the ACTIVE SET 
UPDATE COMPLETE message to SRNC. 
l The SRNC sends the RADIO LINK RECONFIGURATION REQUEST message to 
DRNC. The message indicates the target HS-DSCH cell. 
l Assume that the target HS-DSCH and source HS-DSCH are controlled by different 
NodeBs. The DRNC sends the RADIO LINK RECONFIGURATION message to 
source NodeB. The message indicates NodeB to perform synchronized radio link 
reconfiguration, excluding the resource of original HS-DSCH radio link. 
l The source NodeB responds the RADIO LINK RECONFIGURATION READY 
message to DRNC. 
l The DRNC sends the RADIO LINK RECONFIGURATION REQUEST message to 
target NodeB. The message indicates target NodeB to perform synchronized radio 
link reconfiguration to allocate resources to target HS-DSCH link. 
l The target NodeB responds the RADIO LINK RECONFIGURATION READY 
message. 
l The DRNC sends the RADIO LINK RECONFIGURATION READY message to 
SRNC. The message contains the following information: 
− HS-SCCH set information 
− Scramble of target HS-SCCH cell 
− UE ID of HS-DSCH 
l The HS-DSCH transport bearer to target NodeB is set up. The SRNC sends the 
RADIO LINK RECONFIGURATION COMMIT message to DRNC. The message 
contain the activation time in CFN. 
l The DRNC sends the RADIO LINK RECONFIGURATION COMMIT message to the 
source NodeB and the target NodeB. In the specified activation time, the source 
NodeB stops sending HS-DSCH information to UE, and then the target NodeB starts 
sending HS-DSCH information to the UE. 
l The SRNC sends the PHYSICAL CHANNEL RECONFIGURATION message to UE. 
The message contains the following information: 
− Activation time 
− MAC-hs RESET indicator 
− Link ID of the HS-DSCH 
− HS-SCCH code set 
− UE ID of HS-DSCH 
l In the specified time, the UE resets MAC-hs. It stops receiving HS-DSCH data from 
source HS-DSCH cell, and starts receiving HS-DSCH data from target HS-DSCH 
cell. The UE responds the PHYSICAL CHANNEL RECONFIGURATION 
COMPLETE message to SRNC. The transport bearer to source NodeB is released. 
2009-10-10 Huawei Confidential Page 138 of 201
W-Handover and Call Drop Problem Optimization Guide For Internal Use 
7.6.5 HS-PDSCH Serving Cell Update due to DPCH HHO 
Description 
The combination of HHO and HS-PDSCH serving cell update is simple. Namely, they occur 
simultaneously. 
The intra- and inter-NodeB HHO with serving cell update have the same process. New radio link 
is set up in new cell with HS-DSCH. Consequently, the physical channel is reconfigured, and old 
link is deleted. 
Handover Flow 
Figure 7-19 shows the inter-NodeB HS-DSCH cell update during HHO (single step method). 
Figure 7-19 Inter-NodeB HS-DSCH cell update during HHO (single step method) 
Target Node B Source Node B Iur 
Uu Iub 
Target 
DRNC 
Source 
DRNC 
UE SRNC 
1. RNSAP: RL SETUP REQUEST 
4. RNSAP: RL SETUP RESPONSE 
2. NBAP: RL SETUP REQUEST 
3. NBAP: RL SETUP RESPONSE 
ALCAP Iub Data Transport Bearer setup 
(DCH + HS-DSCH) 
ALCAP Iur Data Transport Bearer setup 
(DCH + HS-DSCH) 
5. RRC: PHYSICAL CHANNEL RECONFIGURATION 
6. RRC: PHYSICAL CHANNEL RECONFIGURATION COMPLETE 
8. NBAP: RL DELETION REQUEST 
9. NBAP: RL DELETION RESPONSE 
ALCAP Iub Data Transport 
Bearer release (DCH + HS-DSCH) 
7. RNSAP: RL DELETION REQUEST 
10. RNSAP: RL DELETION RESPONSE 
ALCAP Iur Data Transport Bearer release 
(DCH + HS-DSCH) 
The inter-NodeB HS-DSCH cell during HHO (single step method) is updated as below: 
l The SRNC decides to perform HHO and update HS-DSCH cell. It sends the RADIO 
LINK SETUP REQUEST message to target DRNC. The message indicates the 
target cell for HHO and the information to set up HS-DSCH resource in target 
HS-DSCH cell. 
l The DRNC allocates resources for new radio link. It sends the RADIO LINK SETUP 
REQUEST message to target NodeB. The message contains the information to set 
up DPCH and that to set up HS-DSCH. 
l The target NodeB allocates resources to set up DPCH link. It starts receiving data 
from physical layer. It responds the RADIO LINK SETUP RESPONSE message. The 
2009-10-10 Huawei Confidential Page 139 of 201
W-Handover and Call Drop Problem Optimization Guide For Internal Use 
message contains the information about HS-SCCH code set, and HS-DSCH flow 
control. 
l The DRNC responds the RADIO LINK SETUP RESPONSE message to SRNC. The 
DCH and DSCH transport bearer is set up at lub and lur interface. The message 
contains the following information: 
− HS-SCCH code set 
− HS-DSCH flow control 
− UE ID 
l The SRNC sends UE the PHYSICAL CHANNEL RECONFIGURATION message. 
The message contains the following information: 
− Activation time 
− DPCH of target cell 
− MAC-hs RESET indicator 
− Link ID of the HS-DSCH 
− HS-SCCH code set 
− UE ID of HS-DSCH 
l In the specified time, the UE deletes the current active set, and sets up DPCH link to 
target cell, RESET MAC-hs, and after it synchronize with target cell at the physical 
layer, it starts receiving and sending DPCH data, and receiving HS-DSCH data of 
target cell. The UE responds the PHYSICAL CHANNEL RECONFIGURATION 
COMPLETE message to SRNC. 
l The SRNC sends the RADIO LINK DELETION REQUEST message to source 
DRNC. The message indicates the cell to be deleted. 
l The target DRNC sends the RADIO LINK DELETION REQUEST message to source 
NodeB. 
l The source NodeB releases original radio link resource, and responds the RADIO 
LINK DELETION RESPONSE message to source DRNC. 
l The source DRNC responds RADIO LINK DELETION RESPONSE message to 
SRNC. The DCH and HS-DSCH transport bearer resource to source NodeB are 
released. 
7.6.6 DPCH Intra-frequency HHO with HS-DSCH Serving Cell Update 
Figure 7-20 shows the signaling when DPCH intra-frequency HHO with HS-DSCH serving cell 
update. 
2009-10-10 Huawei Confidential Page 140 of 201
W-Handover and Call Drop Problem Optimization Guide For Internal Use 
Figure 7-20 DPCH intra-frequency HHO with HS-DSCH serving cell update 
The flows for intra-frequency HHO and HS-PDSCH serving cell update are simple. They occur 
simultaneously. After the UE reports 1D event, the physical channel reconfiguration triggers the 
HHO of DPCH and HS-DSCH serving cell update. 
The following attachment includes the signaling, according to V100R005C01B061). 
INTER_NODEB(ok).t 
mf 
7.6.7 DPCH Inter-frequency HHO with HS-DSCH Serving Cell Update 
Figure 7-21 shows the DPCH inter-frequency HHO with HS-DSCH serving cell update. 
2009-10-10 Huawei Confidential Page 141 of 201
W-Handover and Call Drop Problem Optimization Guide For Internal Use 
Figure 7-21 DPCH inter-frequency HHO with HS-DSCH serving cell update 
In Figure 7-21, 
l Message 98: the UE sends RNC the 2D measurement report. 
l Messages 99–105: the UE and NodeB starts compression mode. 
l Messages 112–143: the UE sends the measurement report. The report meets the 
HHO threshold. The flow for physical channel reconfiguration occurs. HHO is 
complete. The HS-PDSCH serving cell is updated. 
The following attachment contains the signaling, according to V100R005C01B061. 
HSDPA_INTER_FREQ_ 
HHO_WITH_TRAFFIC_OK_UE.tmf 
2009-10-10 Huawei Confidential Page 142 of 201
W-Handover and Call Drop Problem Optimization Guide For Internal Use 
7.6.8 Handover Between HSDPA and R99 
Description 
When the UE moves from a HSDPA cell to an R99 cell, the service that is born on HS-DSCH 
channel is remapped on DCH to guarantee the continuity of service. The HS-DSCH set in 
HSDPA cell is deleted. 
Figure 7-22 shows the handover from HSDPA to R99. 
Figure 7-22 handover from HSDPA to R99 
The Case 1 is intra-frequency handover from R5 to R99. The Case 2 is inter-frequency 
handover from R5 to R99. 
When a UE moves from an R99 cell to a HSDPA cell, if the original DCH bears packet data 
service, an HS-DSCH is set up in the link between UE and HSDPA cell, and the data service is 
remapped on the new HS-DSCH. This helps provide more qualified services for data services. 
Figure 7-23 shows the intra-frequency handover from R99 to R5. 
Figure 7-23 Intra-frequency handover from R99 to R5 
The strategy for handover between HSDPA and R99 in V17 differs from that in V15 and V16. If 
both an R99 cell and a HSDPA cell are available in the active set of the UE, the UE decides that 
the service is borne over the HS-DSCH or over the DCH depending on whether the best cell 
supports HSDPA or not. 
In V17, four scenarios of handover between HSDPA and R99 exist as listed in Table 7-4. 
2009-10-10 Huawei Confidential Page 143 of 201
W-Handover and Call Drop Problem Optimization Guide For Internal Use 
Table 7-4 Scenarios of handover between HSDPA and R99 (V17) 
No. Scenario RNC Processing 
1 
If the UE moves to an R99 cell from 
a HSDPA cell: 
A 1D event occurs and the new best 
cell does not support HSDPA. 
A 1B or 1C event occurs and the 
new best cell does not support 
HSDPA. 
The RNC hands over the HSDPA 
link of the UE to the DPCH channel 
of the R99 cell. 
2 
The UE moves to an R99 cell of 
another frequency from a HSDPA 
cell, then an inter-frequency HHO 
occurs. 
The RNC hands over the UE to the 
DPCH channel of the R99 cell 
through HHO. 
3 
The UE moves to a HSDPA cell 
from an R99 cell: 
A 1D event occurs and the new best 
cell supports HSDPA. 
A 1B or 1C event occurs and the 
new best cell supports HSDPA. 
If the service of the UE is fit for the 
HS-PDSCH and the updated best 
cell supports HSDPA, the RNC 
switches the related service to the 
HS-PDSCH. 
4 
The UE moves to a HSDPA cell of 
another frequency from an R99 cell, 
then an inter-frequency HHO occurs. 
The RNC hands over the UE to the 
HSDPA cell through HHO. After a 
period of time (as specified by the 
related timer), the RNC sets up the 
related service over the HS-PDSC if 
the service of the UE is fit for the 
HS-PDSCHH. 
Intra-frequency SHO Between HSDPA Cell and R99 Cell 
Figure 7-24 shows DPCH SHO with handover from HSDPA to R99 (inter-NodeB). 
2009-10-10 Huawei Confidential Page 144 of 201
W-Handover and Call Drop Problem Optimization Guide For Internal Use 
Figure 7-24 DPCH SHO with handover from HSDPA to R99 (inter-NodeB) 
The meanings of messages shown in Figure 7-24 are as below: 
l Message 19: the UE sends the 1A measurement report to RNC. The report indicates 
that the signals from R99 cell are stronger than the signals required by threshold. 
Therefore the R99 cell requires being added to active set. 
l Messages 20, 21, and 22: the RNC sets up a radio link to NodeB. 
l Messages 23–26: the RNC sends UE the active set update message, and the 
associated DCH can receive the message in two RLs. After the UE receives the 
message, it sends the active set update complete message, which the RNC can 
receive in two RLs. 
l Messages 27 and 28: the network sends UE a new measurement control message, 
updated measurement parameters, and neighbor cell list. 
l Messages 29 and 30: the RNC informs NodeB of perform dedicated measurement in 
new link. 
2009-10-10 Huawei Confidential Page 145 of 201
W-Handover and Call Drop Problem Optimization Guide For Internal Use 
l Messages 31 and 32: the R99 cell is listed in active set, so the HS-PDSCH 
parameters need changing. RL is reconfigured, and HS-PDSCH parameters are 
changed. 
l Message 33: the physical channel is reconfigured, and physical parameters of 
HSPDA are changed. 
l Message 40: the UE sends 1D measurement report, and the R99 cell becomes the 
best server. Now the HS-PDSCH serving cell remains the same. 
l Message 44: the UE sends 1B measurement report. 
l Message 50: the RB is reconfigured, and the service is reconfigured from 
HS-PDSCH to DCH. 
l Messages 56–60: the RL of original HS-PDSCH is deleted from active set. 
Figure 7-25 shows the DPCH SHO with handover from R99 to HSDPA. 
Figure 7-25 DPCH SHO with handover from R99 to HSDPA 
In Figure 7-25, in the handover from R99 to R5 HSDPA, after the UE reports 1A event, it first 
adds the RL of HS-PDSCH, and then reconfigures the service born on DCH to HS-PDSCH. 
The following attachment contains the previous signaling, according to V100R005C01B061. 
2009-10-10 Huawei Confidential Page 146 of 201
W-Handover and Call Drop Problem Optimization Guide For Internal Use 
SHO_R5toR99&R99to 
R5(OK)_Inter_NodeB.tmf 
Figure 7-26 Inter-NodeB SHO with handover from HSDPA to R99 (V17) 
In V17, the signaling flow for SHO from HSDPA to R99 is as follows: 
l The UE accesses a HSDPA cell. 
− The UE reports a 1A event of the R99 cell (message 18), and the R99 cell is added to 
the active set. 
− The UE reports a 1D event of the R99 cell (message 26), and the R99 changes into 
the best cell. 
− The RNC hands over the UE from the HSDPA cell to the R99 cell (message 34). 
In V17, the signaling flow for SHO from R99 to HSDPA is similar to that for SHO from HSDPA to 
R99: 
l The UE accesses an R99 cell. 
− The UE reports a 1A event of the HSDPA cell, and the HDSPA cell is added to the 
active set. 
− The UE reports a 1D event of the HDSPA cell, and the HSDPA cell changes into the 
best cell. 
− The RNC hands over the UE from the R99 cell to the HSDPA cell. 
The following attachment contains the signaling for handover from HSDPA to R99, according to 
V17C01B060. 
2009-10-10 Huawei Confidential Page 147 of 201
W-Handover and Call Drop Problem Optimization Guide For Internal Use 
RNC_2006-10-30-09 
-59-11_H2D SHO.rar 
Intra-frequency HHO Between HS-PDSCH Cell and R99 Cell 
Figure 7-27 shows the intra-frequency HHO with handover from R5 to R99 (intra-NodeB). 
Figure 7-27 Intra-frequency HHO with handover from R5 to R99 
The meanings of messages are as below: 
l Message 31: the UE reports 1A event, requiring network side to add the link for R99 
cell. 
l Message 32: the network side prohibits SHO and neglects 1A event. The UE reports 
1D event. 
l Message 35: after RB reconfiguration, the born service is configured from 
HS-PDSCH to DCH of the current cell. 
l Messages 39–44: R99 HHO occurs, the UE hands over to a new cell. 
Figure 7-30 shows the intra-frequency HHO with handover form R99 to R5 (intra-NodeB). 
Figure 7-28 Intra-frequency HHO with handover form R99 to R5 
Intra-frequency HHO occurs on DPCH while the handover from R99 to R5 occurs. The 
intra-frequency HHO of R99 occurs, and then the service is reconfigured from DCH to 
HS-PDSCH in the new HSDPA cell. 
2009-10-10 Huawei Confidential Page 148 of 201
W-Handover and Call Drop Problem Optimization Guide For Internal Use 
The following attachment contains the signaling, according to V100R005C01B061. 
HHO_R5ToR99(OK) 
and R99toR5_Intra_NodeB.tmf 
Figure 7-29 Intra-frequency HHO with handover from R5 to R99 (V17) 
In V17, the signaling flow for intra-frequency HHO from HSDPA to R99 is as follows: 
l The UE accesses a HSDPA cell. 
− The UE reports a 1A event of the R99 cell (messages 18 to 22). The RNC does not 
perform any processing because the SHO is not supported. 
− The UE reports a 1D event of the R99 cell (message 23), and the R99 cell changes 
into the best cell. 
− The RNC hands over the UE from the HSDPA cell to the R99 cell through HHO (line 
34). 
This step differs from that in the earlier versions. In earlier versions, the RNC 
re-allocates the service from HSDPA to R99, and then hands over the service to 
another R99 cell through intra-frequency HHO. 
The signaling flow for intra-frequency HHO from R99 to HSDPA in V17 is the same as that in 
the earlier versions. 
The following attachment contains the preceding signaling, according to V17C01B060. 
RNC_2006-10-30-10 
-41-35_H2D intraHHO.rar 
Inter-frequency HHO Between HS-PDSCH and R99 
Figure 7-30 shows the inter-frequency HHO from HS-PDSCH to DCH. 
2009-10-10 Huawei Confidential Page 149 of 201
W-Handover and Call Drop Problem Optimization Guide For Internal Use 
Figure 7-30 Inter-frequency HHO from HS-PDSCH to DCH 
The meanings of previous messages are as below: 
l Message 20: the UE reports 2D measurement report to RNC. 
l Messages 21–27: the UE and NodeB start compression mode. 
l Messages 28–35: the UE sends measurement report. 
l Message 36–66: the UE sends measurement report. The report indicates that the 
inter-frequency HHO threshold is met. The UE reconfigures the service to be born on 
R99 DCH in RB reconfiguration, and then R99 HHO occurs. 
Figure 7-31 shows the inter-frequency HHO from DCH to HS-PDSCH. 
2009-10-10 Huawei Confidential Page 150 of 201
W-Handover and Call Drop Problem Optimization Guide For Internal Use 
Figure 7-31 Inter-frequency HHO from DCH to HS-PDSCH 
The meanings of previous message are as below: 
l Message 76: the UE sends 2D measurement report to RNC. 
l Messages 77–83: the UE and NodeB starts compression mode. 
l Messages 84–91: the UE sends measurement report. 
l Messages 92–121: the UE sends measurement report, and the inter-frequency HHO 
threshold is met. The inter-frequency HHO occurs. The service is born on HS-DSCH 
in RB reconfiguration in target cell, and the inter-frequency HHO from DCH to 
HS-PDSCH is complete. 
The following attachment contains the signaling, according to V100R005C01B061. 
IFHO H-R OK(R170 
H180).tmf 
2009-10-10 Huawei Confidential Page 151 of 201
W-Handover and Call Drop Problem Optimization Guide For Internal Use 
In the signaling flow for inter-frequency HHO from HSDPA to R99 in V17, only the HHO from a 
HSDPA cell to an R99 cell differs from that in the earlier version. In earlier versions, the RNC 
re-allocates the service from HSDPA to R99, and then hands over the service to another R99 
cell through intra-frequency HHO. In V17, the handover from the HSDPA cell to the R99 cell 
completes in one step. 
The signaling flow for inter-frequency HHO from R99 to HSDPA in V17 is the same as that in 
the earlier versions. 
The signaling is to be implemented. 
7.6.9 Handover between HSDPA and GPRS 
The handover between HSDPA and GPRS is similar to that of R99. For details, see the 
Appendix 5. 
Figure 7-32 shows the handover between HSDPA and GRPS. 
Figure 7-32 Handover between HSDPA and GPRS 
hsdpa-2G.tmf 
7.6.10 Direct Retry of HSDPA 
In V16, direct retry of HSDPA includes the following two types: 
Inter-frequency direct retry of HSDPA during setup of a service 
When the R99 cells and HSDPA cells cover the same geographic area, the system allocates all 
data services to the HS-DSCH of HSDPA cells. When the UEs originate to access the network 
from R99 or HSDPA cells, it can share the HSDPA resource of HSDPA cells however it is an 
R99 UE or a HSDPA UE. Thus, it can use resource better. 
2009-10-10 Huawei Confidential Page 152 of 201
W-Handover and Call Drop Problem Optimization Guide For Internal Use 
Figure 7-33 Flow for direct retry during setup of a service 
Inter-frequency direct retry triggered by 4A events 
When an R99 cell and a HSDPA cell cover the same geographic area, the system allocates the 
data traffic to the HS-DSCH of the HSDPA cell through direct retry if a 4A event occurs due to 
increase of data traffic of the UE in the R99 cell. 
In this case, the R99 cell shares HSDPA resources with the HSDPA cell. Thus, the resources 
are better used. 
Figure 7-34 Direct retry triggered by traffic 
In V17, the following types of inter-frequency direct retry of HSDPA are available: 
l Inter-frequency direct retry of HSDPA during setup of a service 
− Scenario 1 
An R99 cell overlaps with an inter-frequency R5 cell with the same coverage. If the 
UE that supports HSDPA originates a request for setup of a service that is fit for 
2009-10-10 Huawei Confidential Page 153 of 201
W-Handover and Call Drop Problem Optimization Guide For Internal Use 
HSDPA in the R99 cell, the service is sent to the R5 cell through direct retry during 
RAB setup. 
− Scenario 2 
An R5 cell has an inter-frequency R99 cell with the same coverage. 
If the UE that supports HSDPA originates a request for setup of a service that HSDPA 
cannot bear in the R5 cell, or the UE that does not support HSDPA originates a 
request for setup of a service on HSDPA in the R5 cell, the request is sent to the R99 
cell through direct retry during RAB setup. 
The service setup here must be the first service setup of the UE or the existing services are 
over the FACH. Thus, the new service does not impact the existing services. 
l Inter-frequency direct retry in the case admission rejection 
Suppose an R5 has an inter-frequency R5 cell with the same coverage. The UE that 
supports HSDPA originates a request for setup of a service that is fit for HSDPA or 
originates an RAB reconfiguration request (channel type) in an R5 cell. If the request is 
rejected by the local cell, the request is sent to the other R5 cell through an 
inter-frequency direct retry. 
l Inter-frequency direct retry triggered by 4A events 
The current service that is fit for the HS-DSCH is over the DCH for some reason (such 
as admission rejection), the UE supports HSDPA but the best cell does not. An 
inter-frequency R5 cell with the same coverage is available. In this case, the system 
re-allocates the service from the DCH to the HS-DSCH in the inter-frequency R5 cell 
with the same coverage if the data traffic of the UE increases (the RNC receives a 4A 
event measurement report). 
l Inter-frequency direct retry triggered by a timer 
The current service that is fit for the HS-DSCH is over the DCH for some reason (such 
as admission rejection), the UE supports HSDPA but the best cell does not. An 
inter-frequency R5 cell with the same coverage is available. In this case, the system 
re-allocates the service from the DCH to the HS-DSCH in the inter-frequency R5 cell 
with the same coverage if the channel type fit for service mapping has conflicted with 
the type of the current serving channel for a period of time (as specified by the HSDPA 
direct retry timer). 
To set the expiry time of the timer, run the command SET 
COIFTIMER:HRetryTimerLen=5000;. 
The signaling is to be supplemented. 
7.6.11 Switch of Channel Type 
When the HSDPA is used, a new state appears compared with R99, the CELL_DCH state on 
HS-DSCH. 
The switch of channel type between HS-DSCH and FACH/DCH includes: 
l HS-DSCH <-> FACH 
l HS-DSCH <-> DCH 
2009-10-10 Huawei Confidential Page 154 of 201
W-Handover and Call Drop Problem Optimization Guide For Internal Use 
Figure 7-35 shows the switch of channel type. 
Figure 7-35 Switch of channel type 
HS-DSCH <-> FACH 
The UE with HSDPA channel uses DPCH resource of certain bandwidth. If all services of 
HSDPA UE are BE services, the all service (including the service on DCH and HS-DSCH) are 
without data transmission for a long time, the system triggers state transition to reduce 
consumption of DPCH resource. Therefore, the UE transits from CELL_DCH (HS-DSCH) state 
to CELL_FACH state. 
Whereas, the data service is more active (the network receives the 4a event of service 
measurement quantity), the UE is triggered to switch from CELL_FACH state to HS-DSCH. 
The attachment below contains the signaling. 
H2F and F2H 
(OK).tmf 
HS-DSCH <-> DCH 
In V16, the handover between HS-DSCH and DCH might occur in any of the following cases: 
l One cause to handover between HS-DSCH and DCH is coverage. This case 
includes that UE moves from an R99 cell to a HSDPA cell or from a HSDPA cell to a 
R99 cell. 
If the service set up by UE fits for HS-DSCH, the RNC triggers switch of channel type after the 
HSDPA cell is added to actives set of UE. The RNC reallocate the data service to HS-DSCH. 
This is due to mobility of UE. 
l D2H channel type switch triggered by traffic 
− Scenario 1: A 4A event triggers switch between D2H channel types in a cell. 
The current service that is suitable for the HS-DSCH is over the DCH for some 
reason (such as admission rejection). Both the UE and the best cell support HSDPA. 
The rate of the service on the current DCH is lower than 384 Kbps. In this case, the 
system re-allocates the service from the DCH to the HS-DSCH in the best cell if the 
data traffic of the UE increases (the RNC receives a 4A event measurement report). 
− Scenario 2: A 4A event triggers D2H switch between two cells at different 
frequencies but with the same coverage. See 7.6.10 . 
2009-10-10 Huawei Confidential Page 155 of 201
W-Handover and Call Drop Problem Optimization Guide For Internal Use 
In V17, the switch between HS-DSCH and DCH might occur in any of the following cases: 
l The reason for handover between HS-DSCH and DCH is coverage. This case 
includes that the UE moves from an R99 cell to a HSDPA cell or from a HSDPA cell 
to a R99 cell. 
l D2H channel type switch triggered by traffic 
− Scenario 1: A 4A event triggers D2H channel type switch in a cell. 
The current service that is fit for the HS-DSCH is over the DCH for some reason 
(such as admission rejection). Both the UE and the best cell support HSDPA. The rate 
of the service on the current DCH is lower than 384 Kbps. In this case, the system 
re-allocates the service from the DCH to the HS-DSCH in the best cell if the data 
traffic of the UE increases (the RNC receives a 4A event measurement report). 
− Scenario 2: A 4A event triggers D2H switch between two cells at different 
frequencies but with the same coverage. See 7.6.10 . 
If the rate of service on the current DCH equals to 384 Kbps, no 4A event occurs. In this case, a 
timer is needed to trigger the D2H switch. 
The following attachment contains D2H switch signaling, according to V17C01B060: 
RNC_2006-10-30 
-11-31-49_based on trafficrar 
l D2H channel type switch triggered by a timer 
− Scenario 1: The timer triggers D2H switch in a cell. 
The current service that is suitable for the HS-DSCH is over the DCH for some 
reason (such as admission rejection). Both the UE and the best cell support HSDPA. 
In this case, the system re-configures the service from the DCH to the HS-DSCH in 
the best cell if the channel type fit for service mapping has conflicted with the type of 
the current serving channel for a period of time (as specified by the HSDPA direct 
retry timer). 
− Scenario 2: The timer triggers D2H switch in the case of inter-frequency direct retry. 
See 7.6.10 . 
To set the expiry time of the timer, run the command SET 
COIFTIMER:HRetryTimerLen=5000;. 
The following attachment contains signaling in the case that the timer triggers D2H switch in a 
cell, according to V17C01B060: 
RNC_2006-10-30 
-11-11-05_based on timer D2H.rar 
2009-10-10 Huawei Confidential Page 156 of 201
W-Handover and Call Drop Problem Optimization Guide For Internal Use 
7.7 Concept and Classification of HSUPA Handover 
7.7.1 Basic Concepts 
If the HSUPA is used, the following two types of links may coexist between a subscriber and the 
network: 
l HSUPA link: Each UE can have only one HSUPA link with the network. Different 
from the HSDPA, the HSUPA supports SHO. The HSUPA handover requires 
management of the HSUPA serving cell. 
l DPCH link: The handover functions supported by the DPCH link are the same as 
those supported by the R99 system, including SHO, HHO, and handover between 
systems 
HSUPA Serving Cell 
The E-DCH active set has three types of RL: 
l Serving E-DCH Cell: The UE receives AG scheduling from the serving E-DCH cell. 
l Serving E-DCH RLS: It refers to a cell set that contains at least the serving E-DCH 
cell. The UE can receive serving RGCH from such cells and perform softer 
combination. That is, the cells in the serving E-DCH RLS and the serving E-DCH cell 
belong to the same NodeB. 
l Non-Serving RL: It means cells that belong to the E-DCH active set but to the 
serving E-DCH RLS. The UE can receive RGCH from these cells. 
The UE can receive the AGCH message from only one cell. This cell is the serving cell of the 
HSUPA. According to the protocol, the HSUPA serving cell and HSDPA serving cell for a 
subscriber must be the same one. If the best cell in the active set changes due to changes of 
the radio environment, the serving cell changes. That is, the serving cell is updated. 
HSUPA Channel Selection Policy 
l If all cells in the active set support the HSUPA, the E-DCH bears the uplink services. 
In other cases, the DCH bears the uplink services. 
l If all cells in the active set belong to the SRNC, the E-DCH bears the uplink services. 
In other cases, the DCH bears the uplink services (The lur interface in phase 1 of the 
product does not support the HSUPA). 
For these reasons, if a new cell added to the active set does not support the HSUPA or the new 
cell belongs to the DRNC, the channel type changes from the E-DCH to the DCH. In some 
cases, the channel type changes from the the DCH to the E-DCH. 
7.7.2 Classification of HSUPA Handover 
The HSUPA handover includes the following types: 
l Handover between two HSUPA cells 
2009-10-10 Huawei Confidential Page 157 of 201
W-Handover and Call Drop Problem Optimization Guide For Internal Use 
l Handover between a HSUPA cell and a non-HSUPA cell 
l Handover between a HSUPA cell and a GSM/GPRS cell 
7.7.3 Signaling Flow and Message Analysis of HSUPA Handover 
Handover Between Two HSUPA Cells 
The handover between two HSUPA cells includes three scenarios as listed in Table 7-5. 
Table 7-5 Handover between two HSUPA cells 
No. Scenario Rules 
1 
Intra-frequency SHO between two 
HSUPA cells 
A 1A, 1B, 1C, or 1D event occurs. 
No non-HSUPA cell exists in the active 
set before and after the active set is 
updated. 
The RNC updates the active set 
based on the measurement report. 
If the best cell changes, the RNC 
updates the HSUPA serving cell 
by re-configuring the physical 
channel. 
2 
Intra-frequency HHO between two 
HSUPA cells 
A 1D event occurs. 
The intra-frequency HHO is 
complete through reconfiguration 
of the physical channel. 
3 
Inter-frequency HHO between two 
HSUPA cells 
A 2D event occurs and the compressed 
mode is enabled. The handover also 
might be triggered by a 2B event or a 
periodic measurement report. 
The UE reports a 2D event to start 
the compression mode and 
perform inter-frequency 
measurement. If the target cell 
allows the HSUPA access, the 
RNC allocates the UE to the target 
HSUPA cell by re-configuring the 
physical channel. 
Intra-frequency SHO Between Two HSUPA Cells 
The UE moves from Cell 1 to Cell 2. Cell 2 and Cell 1 are adjacent cells at the same frequency. 
All cells in the active set support the HSUPA. Another HSUPA cell becomes the best cell as the 
UE moves, so a 1D event occurs. The RNC updates the HSUPA serving cell, and the HSUPA 
link of the UE is handed over to Cell 2 from Cell 1. 
2009-10-10 Huawei Confidential Page 158 of 201
W-Handover and Call Drop Problem Optimization Guide For Internal Use 
Figure 7-36 Intra-frequency SHO between two HSUPA cells 
Figure 7-37 shows the related signaling. 
Figure 7-37 Signaling for HSUPA cell update triggered by a 1D event 
If the monitor set reports a 1D event, the HSUPA serving cell also is updated. For example, the 
service is over the E-DCH in HSUPA 1 that works as the serving cell. The signals of HSUPA 2 in 
the monitor set become stronger. In this case, the UE reports a 1D event and the RNC adds 
2009-10-10 Huawei Confidential Page 159 of 201
W-Handover and Call Drop Problem Optimization Guide For Internal Use 
HSUPA 2 to the active set. At last, the RNC updates the serving cell is updated by 
re-configuring the physical channel. Figure 7-38 shows the related signaling: 
Figure 7-38 Signaling for HSUPA cell update triggered by a 1D event (reported by the monitor 
set) 
Intra-frequency HHO Between Two HSUPA Cells 
The UE moves from Cell 1 to Cell 2. Cell 2 and Cell 1 are adjacent cells at the same frequency. 
The signals of the current HSUPA serving cell (Cell 1) become weak and those of Cell 2 
become stronger as the UE moves. In this case, a 1D event occurs. The RNC re-configures the 
physical channel to finish the intra-frequency HHO. 
Figure 7-39 Intra-frequency HHO between two HSUPA cells 
2009-10-10 Huawei Confidential Page 160 of 201
W-Handover and Call Drop Problem Optimization Guide For Internal Use 
Figure 7-40 shows the related signaling: 
Figure 7-40 Signaling for intra-frequency HHO between two HSUPA cells 
Inter-frequency HHO Between Two HSUPA Cells 
The UE moves from Cell 1 to Cell 2. Cell 2 and Cell 1 are adjacent cells at different frequencies. 
The signals of the current HSUPA serving cell (Cell 1) become weak and those of Cell 2 
become stronger as the UE moves. In this case, a 2D event occurs. The UE starts the 
compression mode and performs inter-frequency measurement. If the target cell meets the 
handover requirements and the E-DCH allows the service setup, the RNC allocates the UE from 
Cell 1 to Cell 2 by re-configuring the physical channel and sets up the HSUPA link of the UE on 
the E-DCH of Cell 2. 
Figure 7-41 Inter-frequency HHO between two HSUPA cells 
Figure 7-42 shows the related signaling: 
2009-10-10 Huawei Confidential Page 161 of 201
W-Handover and Call Drop Problem Optimization Guide For Internal Use 
Figure 7-42 Signaling for inter-frequency HHO between two HSUPA cells 
Inter-RNC HSUPA Handover 
HSUPA Phase 1 does not support HSUPA handover between lur interfaces. If a DRNC cell is 
added to the active set, the service must be allocated to the DCH from the E-DCH. After the 
migration, all cells in the active set belong to the SRNC. In this case, the service is allocated to 
the E-DCH from the DCH, provided all cells in the active set support the HSUPA. Figure 7-43 
shows the inter-RNC HSUPA handover: 
2009-10-10 Huawei Confidential Page 162 of 201
W-Handover and Call Drop Problem Optimization Guide For Internal Use 
Figure 7-43 Inter-RNC HSUPA handover 
Handover Between a HSUPA Cell and a Non-HSUPA Cell 
In the initial stage of use of the HSUPA, usually it is hard to implement continuous coverage of 
HSUPA cells. In this case, handover between a HSUPA cell and a non-HSUPA cell occurs when 
the UE moves. The handover between a HSUPA cell and a non-HSUPA cell includes six 
scenarios as listed in Table 7-6. 
Table 7-6 Handover between a HSUPA cell and a non-HSUPA cell 
No. Scenario Rules 
1 
SHO from a HSUPA cell to a 
non-HSUPA cell 
A 1A, 1C, or 1D event occurs. 
The RNC updates the active set based 
on the measurement report, and then 
allocates the service from the E-DCH to 
the DCH through RB reconfiguration. 
2 
Intra-frequency HHO from a 
HSUPA cell to a non-HSUPA cell 
A 1D event occurs. 
The RNC allocates the service from the 
E-DCH to the DCH through RB 
reconfiguration. 
3 
Inter-frequency HHO from a 
HSUPA cell to a non-HSUPA cell 
A 2b event occurs. The handover 
also might be triggered by a 
periodic measurement report. 
The UE reports a 2D event to start the 
compression mode and perform 
inter-frequency measurement. If the 
target cell meets the handover 
requirements and its DCH allows service 
setup, the RNC allocates the service 
from the E-DCH to the DCH through RB 
reconfiguration. 
2009-10-10 Huawei Confidential Page 163 of 201
W-Handover and Call Drop Problem Optimization Guide For Internal Use 
4 
SHO from a non-HSUPA cell to a 
HSUPA cell 
A 1B or 1C event occurs. 
The RNC updates the active set based 
on the measurement report. If all cells in 
the updated active set support the 
HSUPA, the channel mapping policy 
determines whether the service is 
allocated to the E-DCH through RB 
reconfiguration. 
5 
Intra-frequency HHO from a 
non-HSUPA cell to a HSUPA cell 
A 1D event occurs. 
The intra-frequency HHO of the DCH is 
complete through reconfiguration of the 
physical channel. If the target cell allows 
the HSUPA access, the RNC allocates 
the service to the E-DCH through RB 
reconfiguration. 
6 
Inter-frequency HHO from a 
non-HSUPA cell to a HSUPA cell 
A 2b event occurs. The handover 
also might be triggered by a 
periodic measurement report. 
The UE reports a 2D event to start the 
compression mode and perform 
inter-frequency measurement. If the 
target cell meets the handover 
requirements, the handover is complete 
through the following two steps: 
The intra-frequency HHO of the DCH is 
complete through reconfiguration of the 
physical channel. 
If the target cell allows the HSUPA 
access, the RNC allocates the service to 
the E-DCH through RB reconfiguration. 
7.7.4 SHO from a HSUPA Cell to a Non-HSUPA Cell 
Cell 2 and Cell 1 are adjacent cells at the same frequency. If signals of Cell 2 become strong 
enough to trigger a 1A or 1C event as the UE moves, the RNC adds Cell 2 to the active set. In 
this case, non-HSUPA cells exist in the active set. The RNC allocates the service from the 
E-DCH to the DCH through RB reconfiguration according to the HSUPA channel selection 
policy. 
2009-10-10 Huawei Confidential Page 164 of 201
W-Handover and Call Drop Problem Optimization Guide For Internal Use 
Figure 7-44 SHO from a HSUPA cell to a non-HSUPA cell 
Figure 7-45 shows the handover signaling: 
2009-10-10 Huawei Confidential Page 165 of 201
W-Handover and Call Drop Problem Optimization Guide For Internal Use 
Figure 7-45 Addition of an R99 cell when the service is on the E-DCH 
Intra-frequency HHO from a HSUPA Cell to a Non-HSUPA Cell 
The UE moves from Cell 1 to Cell 2. Cell 2 and Cell 1 are adjacent cells at the same frequency. 
If signals of Cell 2 become stronger as the UE moves, the UE reports a 1D event. In this case, 
the RNC allocates the service to the DCH from the E-DCH through RB reconfiguration (The 
intra-frequency HHO from a HSUPA cell to an R99 cell is complete in one step). 
2009-10-10 Huawei Confidential Page 166 of 201
W-Handover and Call Drop Problem Optimization Guide For Internal Use 
Figure 7-46 Intra-frequency HHO from a HSUPA cell to a non-HSUPA cell 
Figure 7-47 shows the related signaling: 
Figure 7-47 Signaling for intra-frequency HHO from a HSUPA cell to a non-HSUPA cell 
Inter-frequency HHO from a HSUPA Cell to a Non-HSUPA Cell 
The UE moves from Cell 1 to Cell 2. Cell 2 and Cell 1 are adjacent cells at different frequencies. 
If a 2D event occurs as the UE moves, the UE starts the compression mode and performs the 
inter-frequency measurement. If the target cell meets the handover requirements, the RNC 
hands over the UE from Cell 1 to Cell 2 (HHO) through RB reconfiguration. 
2009-10-10 Huawei Confidential Page 167 of 201
W-Handover and Call Drop Problem Optimization Guide For Internal Use 
Figure 7-48 Inter-frequency HHO from a HSUPA cell to a non-HSUPA cell 
Figure 7-49 shows the related signaling: 
2009-10-10 Huawei Confidential Page 168 of 201
W-Handover and Call Drop Problem Optimization Guide For Internal Use 
Figure 7-49 Signaling for inter-frequency HHO from a HSUPA cell to a non-HSUPA cell 
7.7.5 SHO from a Non-HSUPA Cell to a HSUPA Cell 
The UE moves from Cell 1 to Cell 2. Cell 2 and Cell 1 are adjacent cells at the same frequency. 
The DPCH of Cell 1 bears the BE service of the UE. If signals of Cell 1 become weak enough to 
trigger a 1B event as the UE moves, the UE reports the 1B event. In this case, the RNC delete 
Cell 1 from the active set. All cells in the updated active set support the HSUPA. If the service is 
fit for the E-DCH, the RNC allocates the service from the DCH to the E-DCH through RB 
reconfiguration. 
2009-10-10 Huawei Confidential Page 169 of 201
W-Handover and Call Drop Problem Optimization Guide For Internal Use 
Figure 7-50 SHO from a non-HSUPA cell to a HSUPA cell 
Figure 7-51 shows the related signaling: 
Figure 7-51 SHO from a non-HSUPA cell to a HSUPA cell (triggered by a 1B event) 
Intra-frequency HHO from a Non-HSUPA Cell to a HSUPA Cell 
The UE moves from Cell 1 to Cell 2. Cell 2 and Cell 1 are adjacent cells at the same frequency. 
If signals of Cell 2 become strong enough as the UE moves, the UE reports a 1D event. At first, 
the intra-frequency HHO of the DCH is competed through reconfiguration of the physical 
channel. The target cell then determines whether the service can be set up on the E-DCH if the 
service is fit for the E-DCH. If the E-DCH of the target cell allows setup of the service, the RNC 
allocates the service to the E-DCH through RB reconfiguration (The intra-frequency HHO from 
an R99 cell to a HSUPA cell is complete through two steps: Carry out intra-frequency HHO from 
2009-10-10 Huawei Confidential Page 170 of 201
W-Handover and Call Drop Problem Optimization Guide For Internal Use 
a DCH to another DCH, and then perform RB reconfiguration from the DCH to the E-DCH in the 
HSUPA cell). 
Figure 7-52 Intra-frequency HHO from a non-HSUPA cell to a HSUPA cell 
Figure 7-53 shows the related signaling: 
Figure 7-53 Signaling for intra-frequency HHO from a non-HSUPA cell to a HSUPA cell 
Inter-frequency HHO from a Non-HSUPA Cell to a HSUPA Cell 
The UE moves from Cell 1 to Cell 2. Cell 2 and Cell 1 are adjacent cells at different frequencies. 
The UE is connected to the DPCH of Cell 1. If signals of Cell 2 become strong enough as the 
UE moves, a 2D event occurs and the UE starts the compression mode. If the target cell meets 
the handover requirements, the inter-frequency HHO of the DCH is complete. The target cell 
then determines whether the service can be set up on the E-DCH if the service is fit for the 
2009-10-10 Huawei Confidential Page 171 of 201
W-Handover and Call Drop Problem Optimization Guide For Internal Use 
E-DCH. If the E-DCH of the target cell allows setup of the service, the RNC allocates the 
service to the E-DCH through RB reconfiguration. 
Figure 7-54 Inter-frequency HHO from a non-HSUPA cell to a HSUPA cell 
The signaling is to be supplemented. 
7.7.6 Handover Between a HSUPA Cell and a GSM/GPRS Cell 
The handover between different systems is caused by coverage or service. The use of the 
HSUPA does not impact triggering conditions and decision of the handover between different 
systems. Thus, the handover between a HSUPA cell and a GPRS cell is similar to that between 
an R99 cell and a GPRS cell. 
The signaling flow is as follows: 
l The UE starts the compression mode. 
l The UE measures the GPRS cell. 
l The RNC carries out handover from a HSUPA cell to a GPRS cell based on the 
measurement report from the UE. 
For details, see the related section earlier in this document. 
7.7.7 Direct Retry of HSUPA 
The direct retry of the HSUPA can balance load between an R99 cell and a HSUPA cell at 
different frequencies or between different HSUPA cells. Direct retry of the HSUPA includes the 
following three scenarios: 
l Direct retry from an R99 cell to a HSUPA cell 
l Direct retry from a HSUPA cell to an R99 cell 
l Direct retry from a HSUPA cell to another HSUPA cell 
2009-10-10 Huawei Confidential Page 172 of 201
W-Handover and Call Drop Problem Optimization Guide For Internal Use 
Direct Retry from an R99 Cell to a HSUPA Cell 
An R99 cell and a HSUPA cell are at different frequencies but with the same coverage. Direct 
retry from an R99 cell to a HSUPA cell might occur in any of the following cases: 
l In the R99 cell, the UE originates a service that is fit for the E-DCH. 
l The traffic of the UE that is over the FACH in the R99 cell increases and the service 
is fit for the E-DCH. 
l A service that should have been set up over the E-DCH according to the service 
mapping rules is over the DCH of the R99 cell. The system periodically checks the 
services that conflict with the bearer policy and attempts to retry the services to the 
E-DCH. 
The system periodic measurement uses the HSDPA retry timer (ms). The related MML is SET 
COIFTIMER. 
Figure 7-55 Direct retry from an R99 cell to a HSUPA cell 
Direct Retry from a HSUPA Cell to an R99 Cell 
Direct retry from a HSUPA cell to an R99 cell might occur if the UE requests for setup of the CS 
service in the HSUPA cell. 
Figure 7-56 Direct retry from a HSUPA cell to an R99 cell 
Direct Retry from a HSUPA Cell to another HSUPA Cell 
Direct retry between two HSUPA cells at different frequencies but with the same coverage might 
occur in any of the following cases: 
l The HSUPA UE’s request for setup of the PS service is rejected by the HSUPA cell. 
2009-10-10 Huawei Confidential Page 173 of 201
W-Handover and Call Drop Problem Optimization Guide For Internal Use 
l The switch from the FACH to the E-DCH in the case of traffic increase is rejected by 
the HSUPA cell. 
l The switch from the DCH to the E-DCH is rejected by the HSUPA cell. 
Figure 7-57 Direct retry from a HSUPA cell to another HSUPA cell 
7.7.8 Switch between Channel Types 
After the HSUPA is used, a channel state is added: the CELL_DCH state of the E-DCH. The 
HSUPA related switch between channel types involves switch between the CELL_FACH and 
the CELL_DCH (DCH). 
The direct retry algorithm might trigger switch between the CELL_FACH and the CELL_DCH 
(DCH). In addition, a timer for periodic measurement is available in the system. Once the timer 
expires, the system checks whether the current bearer mode conflicts with the bearer policy. If a 
conflict exists, the system triggers switch between channel types. 
Traffic triggers switch between the CELL_DCH (E-DCH) and the CELL_FACH. Measurement 
reports (4A) sent by the UE trigger switch from the CELL_FACH to the CELL_DCH. The internal 
measurement of the RNC triggers switch from the CELL_DCH(E-DCH) and the CELL_FACH 
(According to the current protocol, the UE measurement report does not support measurement 
of the E-DCH). 
Figure 7-58 Switch between HSUPA channel types 
2009-10-10 Huawei Confidential Page 174 of 201
W-Handover and Call Drop Problem Optimization Guide For Internal Use 
7.8 Handover from WCDMA to GSM 
If the UE performs inter-RAT handover for CS domain services, the flow for CS domain 
handover fromWCDMA to GSM is followed. 
Description to Typical Handover Flow from WCDMA to GSM 
The typical handover flow includes stages as below: 
Measurement control > measurement report > handover judgment > handover implementation. 
l During the measurement control stage, the network informs UE of parameters to be 
measured by sending the measurement control message. 
l During the measurement report stage, the UE sends the measurement control 
message to the network. 
l During the handover judgment stage, the network decides to handover according 
measurement report. 
l During handover implementation, the UE and network follow the signaling flow and 
respond according to signaling. 
When dual-mode UE moves at the edge of WCDMA system and might perform inter-RAT 
handover, the WCDMA RNC informs UE of starting inter-RAT measurement. After the UE 
performs inter-frequency measurement and reports measurement result, the RNC judges 
whether to start signaling flow for inter-frequency handover according to measurement result. 
The WCDMA system uses code division multiple access (CDMA) technology for access, so the 
connected UE in all time works with a specified frequency. When the dual-mode UE needs to 
perform inter-RAT measurement and keeps a conversation, it and the WCDMA system might 
start compression mode (if the UE has a transceiver, the starting compression mode is 
compulsory. If the UE has two transceivers, the UE can test GSM cells without starting 
compression mode). 
Flows of Handover from WCDMA to GSM 
Figure 7-59 shows the signaling flow for handover from WCDMA to GSM. 
2009-10-10 Huawei Confidential Page 175 of 201
W-Handover and Call Drop Problem Optimization Guide For Internal Use 
Figure 7-59 Signaling flow for handover from WCDMA to GSM 
Figure 7-60 shows the tracing signaling of handover from WCDMA to GSM 
Figure 7-60 Tracing signaling of handover from WCDMA to GSM 
Signaling Flow at UTRAN Side 
The signaling flow at UTRAN side proceeds as below: 
l When the UE moves outwards at the edge of a cell in the WCDMA network and the 
conditions for report 2D event meet the RNC configuration, the UE sends a 
measurement report of occurrence of 2D event. This report indicates that the signals 
at the serving frequency in theWCDMA network are weak and other frequencies or 
signals of other systems are required. 
2009-10-10 Huawei Confidential Page 176 of 201
W-Handover and Call Drop Problem Optimization Guide For Internal Use 
l The RNC starts compression mode to perform inter-frequency and inter-RAT 
measurement. The RNC sends the RL RECONFIG PREPARE message to NodeB to 
prepare for starting compression mode. The message contains the sampling 
sequence of compression mode and related parameters of sampling sequence of 
compression mode, including TGSN, TGL, TGD, TGPL, compression mode method, 
downlink compression frame type, and power control parameters in compression 
mode. 
l After the NodeB prepares resources, it sends the RL RECONFIG READY message 
to the RNC. 
l The RNC sends PHYSICAL CHANNEL RECONFIG message to UE and prepare for 
starting compression mode. This includes the activation time, the sampling 
sequence of compression mode and related parameters of sampling sequence of 
compression mode. The parameters include TGCFN, TGMP, TGSN, TGL, TGD, 
TGPL, RPP, ITP, compression mode method, downlink compression frame type, 
and power control parameters in compression mode. 
l After the RNC confirmed that the UE has received the PHYSICAL CHANNEL 
RECONFIG message, it sends NodeB the RL RECONFIG COMMIT message, 
indicating the time for NodeB to start compression mode. 
l After the UE completes related configuration according to new configuration data, it 
sends RNC the PHYSICAL CHANNEL RECONFIG COMPLETE message. Now the 
compression mode is available. 
l The RNC immediately sends the measurement control message, which commands 
UE to perform inter-RAT measurement. The message includes measurement 
parameters like the list of GSM cells, the information about frequency of cells, 
measurement filter coefficient. 
l The UE sends a measurement report, indicating the RSSI measurement value of 
GSM cells. 
l The UE sends a measurement report, indicating the BSCI confirmation of GSM cells. 
l After the handover conditions are met according to judgment, the RNC sends a 
SRNS relocation request to CN. The request includes SRNS relocation type (the UE 
must participate in inter-RAT handover), reason for SRNS relocation (usually 
relocation desirable for radio reasons), source PLMN, source SAI, and target CGI 
(including PLMN and LAC). 
l After the GSM side allocates related resources, the CN sends RNC the 
RELOCATION COMMAND, which includes the IE layer 3 information. The IE 
contains the related resources allocated by GSM network. 
l The RNC sends UE the HANDOVER FROM UTRAN COMMAND message. The 
message includes the RAB ID, activation time, GSM frequency, and GSM messages 
in forms of BIT string. 
l The UE powers off the transmitter according to GSM configuration, so no signals are 
in uplink. Consequently the NodeB sends the SIR ERROR report. This message is 
optional in the flow. 
l After the UE accesses the GSM network, the CN sends the IU RELEASE 
COMMAND message to inform RNC of releasing resources used by UE in the 
WCDMA network. 
l The RNC immediately sends CN the IU RELEASE COMPLETE message. The 
message 16 and message 17 are to release the radio resources of NodeB. What is 
2009-10-10 Huawei Confidential Page 177 of 201
W-Handover and Call Drop Problem Optimization Guide For Internal Use 
different from normal releasing flow is that the air interface does not send the RRC 
connection release message, because the UE is using WCDMA network. Therefore 
the NodeB releases radio resources without informing UE of the release. 
2009-10-10 Huawei Confidential Page 178 of 201
W-Handover and Call Drop Problem Optimization Guide For Internal Use 
7.9 Handover from GSM to WCDMA 
Description of Handover from GSM to WCDMA 
If a GSM cell has WCDMA neighbor cells, the measurement control is sent in system 
information. The dual-mode UE performs inter-RAT measurement in idle slots and reports the 
measurement result. According to the measurement result, the BSC judges to start signaling 
flow for inter-RAT handover. The GSM network uses the time division multiple access 
technology, so the inter-RAT measurement is performed in idle slots. The GSM system is not 
involved in supporting compression mode. 
Flows of Handover from GSM to WCDMA 
Figure 7-61 shows the signaling flow for handover from GSM toWCDMA. 
Figure 7-61 Signaling flow for handover from GSM toWCDMA 
Figure 7-62 shows the tracing signaling of handover from GSM toWCDMA 
2009-10-10 Huawei Confidential Page 179 of 201
W-Handover and Call Drop Problem Optimization Guide For Internal Use 
Figure 7-62 Tracing signaling of handover from GSM toWCDMA 
Signaling Flow at UTRAN Side 
l According to the handover algorithm and measurement information of the source 
BSS in the GSM network, the source BSS judges that UE must hand over to the 
UTRAN cell. After the BSS sends CN the handover request, the MSC sends RNC 
the RANAP_RELOCATION_REQUEST massage. The message contains the IMSI 
of UE, CN field identity, the identity of target cell, encryption information, integrity 
protection information, IU signaling connection ID, handover reason, RAB 
configuration, and information about user plane. 
l The RNC allocates radio resources for the SRNS relocation and configures NodeB 
during RL SETUP process. The NodeB start transmitting and receiving radio signals. 
l After the NodeB sets up RL, it replies the RL SETUP RESPONSE message. 
l The RNC allocates radio resources and other parameter packets. The parameter 
packets include U-RNTI, RAB, transport layer information, and physical layer 
information. The parameters are configured to UE in three forms: 
− Complete configuration: clearly provide parameters in each layer 
− Pre-configuration (pre-defined): the system broadcast multiple sets of parameter 
templates in the system information 16 and configure template number and necessary 
parameter to UE. The UE listens to the system information of UTRAN and obtain the 
parameter configuration according to template number. 
− Pre-configuration (default): The protocol 25.331 provides 10 sets of default 
parameters and specifies an identity to each default parameter. The RNC configures 
the default identity and other necessary information to UE. 
l The RNC sends the previous information through the IU interface RELOCATION 
REQUEST ACKNOWLEDGE message (in the IE RNC Container) to CN which 
forwards the information to the source BSS. The source BSS sends the information 
to UE. According to the default parameter identity configured by RNC, the UE 
obtains related access parameters in the pre-configuration (default) in the system 
information. After this, the UE synchronizes to NodeB directly and later sends data in 
uplink. 
2009-10-10 Huawei Confidential Page 180 of 201
W-Handover and Call Drop Problem Optimization Guide For Internal Use 
l After the NodeB detects uplink synchronization, it sends RNC the RL RESTORE IND 
message. 
l After the RNC receives RL RESTORE IND message sent by NodeB, it sends CN the 
RELOCATION DETECT message, indicating that the UE has already handed over 
from the 2G network to the 3G network. The message does not contain other 
contents. 
l The UE sends RNC the HANDOVER TO UTRAN COMPLETE message, indicating 
the completion of handover. The message might also contain the encrypted 
sequence number and its activation time for each CN field. 
l After the RNC receives the HANDOVER TO UTRAN COMPLETE message from UE, 
it immediately sends UE the UTRAN MOBILITY INFORMATION message. This 
message contains the values of timers used by UE, related information about CN 
field, UE ID, and so on. 
l After the RNC receives the HANDOVER TO UTRAN COMPLETE message from UE, 
it sends UE the UTRAN MOBILITY INFORMATION while it sends CN the 
RELOCATION COMPLETE message which contains nothing. After the RNC 
receives the confirmation message from UE according to the 17th message, the 
handover flow from the 2G network to 3G network is complete. The following 
messages are about the measurement control process of UE and NodeB, and about 
the UE's query of capacity. 
2009-10-10 Huawei Confidential Page 181 of 201
W-Handover and Call Drop Problem Optimization Guide For Internal Use 
7.10 Handover from WCDMA to GPRS 
Description of Handover form WCDMA to GRPS 
The inter-RAT handover from WCDMA to GRPS caters for the handover from WCDMA PS 
domain service to GPRS system. The RNC initiatively commands UE to reselect an inter-RAT 
cell with signaling, which triggers inter-RAT handover. If the traffic flow for slow-speed PS 
services, the UE might be in CELL PCH or URA PCH state, the UE can perform inter-RAT 
handover by initiatively originating cell reselection according to system information. 
Flows of Handover form WCDMA to GRPS 
The inter-RAT handover flow initiatively originated by RNC proceeds as below: 
Figure 7-63 and Figure 7-64 shows the flow for handover from WCDMA to GPRS. 
2009-10-10 Huawei Confidential Page 182 of 201
W-Handover and Call Drop Problem Optimization Guide For Internal Use 
Figure 7-63 Flow of handover fromWCDMA to GPRS (1) 
Figure 7-64 Flow of handover fromWCDMA to GPRS (2) 
Figure 7-65 shows the tracing signaling of handover from WCDMA to GPRS. 
2009-10-10 Huawei Confidential Page 183 of 201
W-Handover and Call Drop Problem Optimization Guide For Internal Use 
Figure 7-65 Tracing signaling of handover from WCDMA to GPRS 
Signaling Flow at UTRAN Side 
The signaling flow at UERAN side proceeds as blow: 
l The UE sends the measured 2D report, indicating the quality of the serving cell is 
worse. 
l The RNC sends NodeB the RL RECONFIG PREPARE message, indicating NodeB 
to prepare for starting compression mode. The message contains the sampling 
sequence of compression mode and related parameters of sampling sequence of 
compression mode, including TGSN, TGL, TGD, TGPL, compression mode method, 
downlink compression frame type, and power control parameters in compression 
mode. 
l After the NodeB prepares resources, it sends RNC the RL RECONFIG READY 
message. 
l The RNC sends UE the PHYSICAL CHANNEL RECONFIG message, indicating UE 
to prepare for starting compression mode. The message contains TGCFN, TGMP, 
TGSN, TGL, TGD, TGPL, RPP, ITP, compression mode method, downlink 
compression frame type, and power control parameters in compression mode. 
l After the RNC confirms that the UE has received the PHYSICAL CHANNEL 
RECONFIG message, it sends NodeB the RL RECONFIG COMMIT message, 
indicating the time for start compression mode. 
l After the UE completes related configuration according to the new configuration data, 
it sends RNC the PHYSICAL CHANNEL RECONFIG COMPLETE message. This 
indicates that the compression mode is ready. 
l The RNC immediately sends the measurement control and commands UE to 
perform inter-RAT measurement. The message contains the list of GSM cells, the 
information about frequency of cells, measurement filter coefficient. 
l The UE sends a measurement report, indicating the RSSI measurement value of 
GSM cells. 
l The UE sends a measurement report, indicating the BSCI confirmation of GSM cells. 
2009-10-10 Huawei Confidential Page 184 of 201
W-Handover and Call Drop Problem Optimization Guide For Internal Use 
l After the conditions are met according to judgment, the RNC originates the SRNS 
relocation flow and sends UE the CELL CHANGE ORDER FROM UTRAN message. 
The message indicates UE to handover to the GPRS network by originating cell 
reselection. The message contains the IEs of target cell like BSIC and BAND IND 
(900 or 1800), BCCH ARFCN, and NC mode. 
l Because the UE need to reselect a GRPS cell, it powers off the transmitter to 
WCDMA network. The NodeB sends the SIR ERROR report, which is optional in the 
flow. 
l Because the UE need to reselect a GRPS cell, it powers off the transmitter to 
WCDMA network. The NodeB sends the RL FAILURE report, which is optional in the 
flow. 
l After the UE accesses the inter-RAT cell, 
− If restoring the PDP context is not required, the RNC directly receives the IU 
RELEASE COMMAND at the IU interface. 
− If restoring the PDP context is required, the UE obtains the SRNS CONTEXT 
information from the source RNC. The source RNC will receive the SRNS 
CONTEXT REQUEST message with mainly an RAB ID. 
l The RNC sends CN the SRNC CONTEXT RESPONSE message, indicating the 
GTP of each RAB ID and the uplink and downlink sequence number of PDCP. 
l The CN sends RNC the SRNS DATA FORWARD COMMAND message, indicating 
user plane to transmit data. By the message, the CN informs RNC of target transport 
layer address and tunnel ID of each RAB data forward. 
l After data is transmitted, the CN sends RNC the IU RELEASE COMMAND message, 
indicating RNC to release the sources of the UE. 
l The RNC sends CN the IU RELEASE COMPLETE message. The message 18 and 
message 19 are to release the radio resources of NodeB. What is different from 
normal releasing flow is that the air interface does not send the RRC connection 
release message, because the UE is usingWCDMA network. Therefore the NodeB 
releases radio resources without informing UE of the release. 
2009-10-10 Huawei Confidential Page 185 of 201
W-Handover and Call Drop Problem Optimization Guide For Internal Use 
7.11 Handover from GRPS to WCDMA 
Signaling Flows of Handover from GRPS to WCDMA 
Figure 7-66 and Figure 7-67 shows the signaling flow for handover from GPRS toWCDMA. 
Figure 7-66 Signaling flow for handover from GPRS toWCDMA (1) 
2009-10-10 Huawei Confidential Page 186 of 201
W-Handover and Call Drop Problem Optimization Guide For Internal Use 
Figure 7-67 Signaling flow for handover from GPRS toWCDMA (2) 
Signaling Flow at UTRAN Side 
The signaling flow at UTRAN side proceeds as below: 
l The UE reselects a UTRAN cell. During the reselection of UTRAN cell, the UE 
originates the RRC connection setup process, with the reason INTERRAT 
CELLRESELECTION. 
l After the RNC connection is set up, the UE initiatively originates the INIT DT process 
and sets up the SCCP connection at IU interface and the signaling connection in the 
CN NAS layer. Later the UE NAS layer and CN NAS layer exchange messages by 
DT process. 
l The CN commands the RNC to allocate related resources by sends the RAB 
ASSIGNMENT REQUEST message at the IU interface. The message contains the 
RAB ID, QoS, uplink and downlink sequence number of GPT-U, and sequence 
number of PDCP. 
l The RNC allocates related resources and informs NodeB by sending RL SETUP 
message. 
l The RNC sends UE the RB SETUP REQUEST message to UE. The message 
contains the downlink sequence number of PDCP. 
l The UE sends RNC the RB SETUP COMPLETE message. The message contains 
the downlink sequence number of PDCP. The RNC configure the uplink sequence 
number of PDCP from CN and the downlink sequence number from UE to the PDCP 
sample corresponding to the specified RAB. 
l The RNC sends CN the RAB ASSIGNMENT RESPONSE message. 
2009-10-10 Huawei Confidential Page 187 of 201
W-Handover and Call Drop Problem Optimization Guide For Internal Use 
l While the traffic flow is being restored, the RNC PDCP sample should drop CN' data 
packet of which the sequence number of downlink PDCP is smaller than the 
sequence number of downlink PDCP replied by UE. The UE should drop the data 
packet of which the sequence number of uplink PDCP is smaller than the sequence 
number of uplink PDCP configured by UTRAN/CN. 
2009-10-10 Huawei Confidential Page 188 of 201
W-Handover and Call Drop Problem Optimization Guide For Internal Use 
7.12 Parameters of Handover from 3G to 2G Network 
Handover Judgment Process 
Now the periodic report is used in inter-frequency handover judgment. 
According to the protocol 25.331, the 2D event indicates that the quality of active set is lower 
than a threshold. In the current handover algorithms (including inter-frequency handover 
algorithm), the 2D event report serves as a rule for starting compression mode and performing 
inter-frequency or inter-RAT measurement. Therefore, if the quality of UE active set is worse in 
inter-RAT measurement, you need to measure the inter-RAT quality only. If the quality of UE 
active set becomes better, namely, the UTRAN receives the 2F event report, the UE stops 
compression mode and stops inter-RAT measurement. For the detailed judgment of 2D/2F 
event, see the 3GPP TS 25.331. 
The following paragraphs describe the inter-RAT handover judgment algorithm using periodic 
reports. 
After the network receives the periodic report filtered by layer 3, it compares the obtained 
inter-RAT measurement result with the preset threshold. The network starts delay trigger timer 
Trigger-Timer if the following formula is met: 
Mother_RAT + CIO >= Tother_RAT + H/2 (formula 1) 
Wherein, 
l Mother_RAT indicates the obtained inter-RAT measurement result. 
l CIO indicates the cell individual offset, namely, the offset configured by the 
inter-RAT cell. 
l Tother_RAT indicates the inter-RAT quality threshold. 
l H indicates hysteresis. The hysteresis helps to reduce mal-operations due to 
fluctuation of signals. 
After the Trigger-Timer starts and before it expires, the Trigger-Timer is stopped and the network 
keeps waiting for receiving inter-RAT measurement report if the following condition is met: 
Mother_RAT + CIO < Tother_RAT - H/2 (formula 2) 
If the Trigger-Timer expires, the system judges for inter-RAT handover. 
List of Handover Parameters 
Table 7-7 lists the parameters of handover from 3G to 2G. 
2009-10-10 Huawei Confidential Page 189 of 201
W-Handover and Call Drop Problem Optimization Guide For Internal Use 
Table 7-7 Parameters of handover from 3G to 2G 
Parameter Meaning Default 
configuration 
MML 
Command 
s for 
modifying 
and 
querying 
Applic 
ation 
scope 
FilterCoef 
Filter coefficient 
at layer 3 of 
inter-RAT 
measurement 
D3 
For RNCs: 
inter-RAT 
handover 
algorithm 
parameter: 
set RNCs by 
executing 
SET 
INTERRATH 
O, query 
RNCs by 
executing 
LST 
INTERRATH 
O. 
For cells: 
inter-RAT 
handover 
algorithm 
parameter: 
add cells by 
executing 
ADD 
CELLINTER 
RATHO, 
query cells 
by executing 
LST 
CELLINTER 
RATHO, and 
modify cells 
by executing 
MOD 
CELLINTER 
RATHO 
RNC/ 
Cell 
GsmRSSICSThd, 
GsmRSSIPSThd, 
GsmRSSISIGThd 
The judgment 
threshold for 
inter-RAT 
handover 
21, namely, –90 dBm 
HystThd 
Inter-RAT 
handover 
hysteresis 
4, namely, 2 dB 
TimeToTrigForVerify 
The time to 
trigger delay 
verified by 
inter-RAT 
0, namely, 0s 
TimeToTrigForNonVerify Non-verified 
delay trigger time 
65535, namely, 
handover to 
non-verified GSM 
cell is prohibited. 
PenaltyTimeForSysHo 
Inter-RAT 
handover penalty 
time 
30, namely, 30s 
InterRatCSThdFor2DRSCP, 
InterRatPSThdFor2DRSCP, 
InterRatSigThdFor2DRSCP, 
InterRatCSThdFor2FRSCP, 
InterRatPSThdFor2FRSCP, 
InterRatSigThdFor2FRSCP 
The 
starting/stopping 
threshold for 
inter-RAT 
measurement 
with RSCP as the 
measurement 
value (CS, PS, 
and single 
signaling) 
The default values of 
them are as below: 
InterRatCSThdFor2D 
RSCPInterRatPSThd 
For2DRSCP: –95; 
InterRatCSThdFor2F 
RSCPInterRatPSThd 
For2FRSCP: –90; 
InterRatSigThdFor2 
DRSCP 
InterRatSigThdFor2F 
RSCP: –115 
For RNCs: 
set RNCs by 
executing 
SET 
INTERFREQ 
HO and 
query RNCs 
by executing 
LST 
INTERFREQ 
HO. 
For cells: 
RNC/ 
Cell 
2009-10-10 Huawei Confidential Page 190 of 201
W-Handover and Call Drop Problem Optimization Guide For Internal Use 
InterRATCSThdFOR2DEcNo, 
InterRATPSThdFOR2DEcNo, 
InterRATSigThdFOR2DEcNo , 
InterRATCSThdFor2FEcNo, 
InterRATPSThdFOR2FEcNo, 
InterRATSigThdFOR2FEcNo 
The 
starting/stopping 
threshold for 
inter-RAT 
measurement 
with Ec/No as the 
measurement 
value (CS, PS, 
and single 
signaling) 
–24, namely, –24 
dBm 
add cells by 
executing 
ADD 
CELLINTER 
FREQHO, 
query cells 
by executing 
LST 
CELLINTER 
FREQHO, 
and modify 
cells by 
executing 
MOD 
CELLINTER 
FREQHO 
HYSTTHD 
Hysteresis. The 
hysteresis and 
inter-RAT quality 
threshold decides 
whether to trigger 
inter-RAT 
handover 
judgment. It can 
be smaller in 
areas with small 
shadow fading. It 
can be greater in 
areas with great 
shadow fading. 
4 
CellIndividalOffset 
The individual 
offset of 
inter-RAT 
handover cells. 
The UE uses it 
with the initial 
measured value 
of the cell as the 
measurement 
result for 
handover 
judgment of UE. 
0 
Set cells by 
executing 
ADD 
INTERRATN 
CELL, query 
cells by 
executing 
LST 
INTERRATN 
CELL, and 
modify it by 
executing 
MOD 
INTERRATN 
CELL 
Cell 
& Note: 
Table 7-7 lists the starting/stopping threshold of compression mode and inter-RAT handover 
threshold in terms of signaling, CS, and PS. 
The new protocol CR defines that the UE will not report the not verified GSM measurement. 
2009-10-10 Huawei Confidential Page 191 of 201
W-Handover and Call Drop Problem Optimization Guide For Internal Use 
7.13 Data Configuration for Supporting Bi-directional Roaming and 
Handover Between WCDMA and GSM/GPRS 
To support bidirectional roaming and handover between 3G networks and GSM/GPRS, to 
support PLMN selection, to support reselection from the 2G network to the 3G network by UE, 
and to support reselection from the 3G network to the 2G network by UE, data configuration is 
necessary in the 2G and 3G system. 
2G MSC Data Configuration 
If the system support the handover from the 2G network to the 3G network, data configuration 
on the 2G MSC is necessary. According to the 2G-to-3G interoperation strategy of Huawei, the 
handover from the 2G network to the 3G network supports cell reselection, so data 
configuration on the 2G MSC is unnecessary. 
Data Configuration on the 2G MSC 
Data configuration on the 2G MSC proceeds as below: 
l Add the matching record of 3G MSC/VLR code corresponding to RNC IDs in the list 
of cell in the location area. The RNC ID is in the format of: MCC + MNC + LAC + 
RNC-ID. Select GCI as the type of location area. Select Near VLR area as the 
property of location area. 
l Add the corresponding LAI record and the corresponding 3G MSC/VLR code. LAI = 
MCC + MNC + LAC. Select Near VLR area as the property of location area. 
l Change the supported MAP version to PHASE 2PLUS in the MAP function flow 
configuration table. 
l Configure the data at the MTP layer and guarantee the signaling transmission 
between the 2G MSC and the 3G MSC. 
l Configure the data at the SCCP layer, configure the corresponding record of the 3G 
MSC in the GT list, SCCP SSN list, and SCCP DSP list, and guarantee the 
transmission of MAP handover-related signaling between MSCs. 
l Configure inter-MSC trunk data like configuring common data. 
The following paragraphs take Huawei 2G MSC as example. For the MSC, two tables are used 
for data configuration: location area cell table and neighbor cell table. 
l Location Area Cell Configuration Table 
Figure 7-68 shows the data configuration of target 3G cell in the location area cell table. 
2009-10-10 Huawei Confidential Page 192 of 201
W-Handover and Call Drop Problem Optimization Guide For Internal Use 
Figure 7-68 Data configuration in the location area cell table 
Pay attention to the following fields: 
− GCI code 
− Location area MSC code 
− Location area VLR code 
− Type of location area 
− Property of location area 
Content of GCI code: corresponding to LAI and RNC ID of the target 3G cell for 
handover. Query the LAI by running the command LSTAC. Query the RNC ID by 
running the command LST RNCBASIC. You can also obtain the PLMN code of the 
RNC by running the command LST RNCBASIC. 
Content of location area MSC code: the code of MSC configured by MSOFTX3000 
of the corresponding 3G network. Query it by running the command LST INFOMSC 
command on the MSOFTX3000 client. 
Type of location area: LAI + RNC ID correspond to GCI. 
Property of location area: the configuration is Near VLR area. 
l Neighbor Cell Configuration Table 
Figure 7-69 shows the data configuration of neighbor cell configuration table. 
2009-10-10 Huawei Confidential Page 193 of 201
W-Handover and Call Drop Problem Optimization Guide For Internal Use 
Figure 7-69 Data configuration of neighbor cell configuration table 
Pay attention to the following fields: 
− GCI code 
− Neighbor cells 
− The GCI code of 2G source cell corresponding to GCI code. 
− Fill from the neighbor cell 1 to the neighbor 2…. The content to be filled in the 
neighbor cell 1 is the LAI + RNC ID of target 3G cell for handover. Query the LAI of 
target 3G cell by running the command LSTAC. Query the RNC ID by running the 
command LST RNCBASIC. 
Added Data Configuration on BSCs 
l SI for Supporting the Roaming from GSM toWCDMA 
To support the roaming from GSM toWCDMA, the GSM BSS must complete sending 
the following system information: 
− Add data ofWCDMA cells, including downlink frequency, primary scramble, 
diversity indicator, MCC, MNC, LAC, RNC ID, and CELL ID. 
− Add the information about inter-RAT cell measurement and roaming control in the 
idle mode. The information contains the following parameters: 
Qsearch_I: the level threshold for searching for 2G cells in the idle mode 
FDD_Qoffset: the level offset of 3G cell reselection 
FDD_Qmin: the level threshold of 3G cell reselection 
− The previous information contained in the system information 2ter and 2quater is sent 
to UE. 
− The UE perform inter-RAT cell reselection based on previous information. 
l SI for Supporting the Handover from GSM toWCDMA 
To support the handover from GSM toWCDMA, the GSM BSS must complete sending 
the following system information: 
2009-10-10 Huawei Confidential Page 194 of 201
W-Handover and Call Drop Problem Optimization Guide For Internal Use 
Add the data of theWCDMA cell. The data contains: 
− Downlink frequency point 
− Primary scramble 
− Diversity indicator 
− MCC 
− MNC 
− LAC 
− RNC ID 
− CELL ID 
− Level threshold for handing over to the cell 
Add the measurement control information of inter-RAT cells for UE in the 
connection mode, including Qsearch_C, namely, the level threshold for searching for 
3G cells in the connection mode. 
The previous information contained in the system information MEASUREMENT 
INFORMATION is sent to UE. 
When the level of UE in the serving cell meets the conditions for Qsearch_C, the 
system starts measure 3G cells and sends the periodic reports to BSC. 
The BSC originates the handover to WCDMA. 
The following paragraphs take the configuration of Huawei BSC as example. 
l Adding External 3G Cells 
Adding external 3G cells proceeds as below: 
− Select setting up cells dynamically 
− Add external cells 
− Add external 3G cells, as shown in Figure 7-70. 
2009-10-10 Huawei Confidential Page 195 of 201
W-Handover and Call Drop Problem Optimization Guide For Internal Use 
Figure 7-70 Configuration table for external 3G cells 
Pay attention to several fields: MCC, MNC, LAI, RNC ID, CELL ID, downlink 
frequency point, and scramble. Using system defaults is recommended for unlisted 
fields. 
− MCC: query it by running the command LST RNCBASIC on the corresponding RNC 
client 
− MNC: query it by running the command LST RNCBASIC on the corresponding 
RNC client 
− LAI: query it by running the command LSTAC on the corresponding RNC client 
− RNC ID: query it by running the command LST RNCBASIC on the corresponding 
RNC client 
− CELL ID: query it by running the command LST CELL on the corresponding RNC 
client 
& Note: 
The query result is decimal. It can be filled in the CELL ID field after it is converted to hex and 
removed of the highest bit. 
Downlink frequency point: query it by running the command LST CELL on the 
corresponding RNC client and then inputting the corresponding CELL ID in the CELL 
Scramble: query it by running the command LST CELL on the corresponding RNC 
client and then inputting the corresponding CELL ID in the CELL 
l Configuring Target 3G Cells as the Inter-RAT Neighbor Cell of GSM 
Configuring target 3G cells as the inter-RAT neighbor cell of GSM proceeds as below: 
− Select setting cells dynamically 
2009-10-10 Huawei Confidential Page 196 of 201
W-Handover and Call Drop Problem Optimization Guide For Internal Use 
− Modify the property of external cells 
− Select external cells 
− Modify the neighbor relationship, as shown in Figure 7-71. 
Figure 7-71 Configuration table for GSM inter-RAT neighbor cells 
& Note: 
The target cell for handover from the 3G network can be the directional neighbor cell of GSM 
only. 
l Configuring Parameters for 2G Reselection 
Configuring parameters for 2G reselection proceeds as below: 
− Select setting cells dynamically 
− Select the current cell 
− Modify the parameters for inter-RAT system information, as shown in Figure 7-72. 
2009-10-10 Huawei Confidential Page 197 of 201
W-Handover and Call Drop Problem Optimization Guide For Internal Use 
Figure 7-72 Configuration table for 2G reselection parameters 
The configuration table for 3G system information includes the following parameters: 
− Type of measurement reports: common measurement reports 
− Number of best cells in the GSM band: the default value is 3 
− Threshold for searching for 3G cells in the idle mode: the values range from 0 to 15 
− Offset of FDD cell reselection:When the mean receiver level of 3G cells is 
FDD_Qoffset greater than that of the serving cell, the UE can reselect 3G cells. 0 = 
–∞ (always select a cell if acceptable), 1 = –28 dB, 2 = –24 dB, …, 15 = 28 dB. 
Select 0 for easy handover. 
− The minimum Ec/No threshold for FDD cell reselect: level threshold for 3G cell 
reselection: when the receiver level of 3G cell is greater than the FDD_Qmin, the cell 
can be a candidate cell for reselection. 
− Other default values 
l Configuring 2G Handover Parameters 
Figure 7-73 shows the parameter configuration table for inter-RAT handover. 
2009-10-10 Huawei Confidential Page 198 of 201
W-Handover and Call Drop Problem Optimization Guide For Internal Use 
Figure 7-73 Parameter configuration table for inter-RAT handover 
Pay attention to the following parameters: 
− Handout permission: select it. 
− Permission for handover algorithm of a 3G better cell: select it. 
− 2G/3G cell handover priority selection: select 3G cell for handover as priority 
− 2G cell selection threshold: the greater the threshold is, the difficult the handover to 
2G is. The recommended value is 63. 
RSCP threshold for handover to a better 3G cell: the smaller the value is, the difficult the 
handover to 3G is. The recommended value is 10. 
Ec/No threshold for handover to a better 3G cell: the smaller the value is, the difficult the 
handover to 3G is. The recommended value is 10. 
Statistics time for a better 3G cell: the recommended value is 5. 
The lasting time for handover to a better 3G cell: the smaller the value is, the easier and 
faster the handover is. Pay attention to frequent handover. The recommended value is 4. 
l Added Data Configuration on 3G MSCs 
Added data configuration proceeds as below: 
− Add the cell information about location area near the 2G MSC to the list of cells of 
3G MSC location area. LAI = MCC + MISSING NEIGHBOR CELL + LAC. Select 
LAI as the type of location area. Select Near VLR area as the property of location 
area. Add the corresponding 2G MSC/VLR code. GCI = MCC + MNC + LAC + CI. 
Select GCI as the type of location area. Select Near VLR area as the property of 
location area. Add the corresponding 2G MSC/VLR code. 
− If inter-PLMN cell reselection is necessary, the MSC must configure the equivalent 
PLMN list: ADD EPLMN, and add the inter-PLMN MCC and MNC. The equivalent 
2009-10-10 Huawei Confidential Page 199 of 201
W-Handover and Call Drop Problem Optimization Guide For Internal Use 
PLMN is the PLMN which provides equivalent services to subscribers. The network 
side decides whether to tell the control list to UE. The MSC sends the list to UE upon 
update acceptance and the UE saves it.When the UE reselects an inter-PLMN cell, it 
reselects a cell from the list by priority. 
− Configure the data at MTP layer and guarantee the signaling transmission between 
the 2G MSC and the 3G MSC. 
− Configure the data at SCCP layer. Configure the corresponding record of 2G MSC in 
the GT table, SCCP SSN table, and SCCP DSP table. 
− Configure the trunk data between MSCs in the same way as configuring common 
data. 
l Necessary Data Configuration for RNC 
Data Configuration for Supporting Roaming fromWCDMA to GSM/GPRS 
To support the roaming fromWCDMA to GSM/GPRS, the UTRAN must complete 
sending the following system information: 
− Add GSM cells and configuration the following data: 
MCC 
MISSING NEIGHBOR CELL 
LAC 
CELL ID 
NCC 
BCC 
FREQ_BAND 
Frequency number 
CIO 
ADD GSMCELL: MCC="460", MNC="10", LAC="0x0fa0", CID="0x0102", 
NCC=0, BCC=0, BCCHARFCN=60, BANDIND=DCS1800_BAND_USED, 
RATCELLTYPE=GSM; 
ADD INTERRATNCELL: CELLID=123, MCC="460", MNC="10", LAC="0x0fa0", 
CID="0x0102", CELLINDIVIDALOFFSET=50, QOFFSET1SN=-50, 
QRXLEVMIN=-58; 
− Configure the measurement point for FACH to inter-frequency FDD measurement, 
inter-frequency TDD measurement, or inter-RAT measurement. If inter-RAT roaming 
is necessary, configure the measurement point for FACH to inter-RAT measurement; 
otherwise, according to SIB11, the RNC will not send RNC information about GSM 
neighbor cells. 
MOD CELLMEAS: CELLID=123, INTERFREQINTERRATMEASIND=INTER_RAT, 
FACHMEASIND=REQUIRE, FACHMEASOCCACYCLELENCOEF=3; 
− Configure the SearchRAT of the GSM network by running the command MOD 
CELLSELRESEL. 
2009-10-10 Huawei Confidential Page 200 of 201
W-Handover and Call Drop Problem Optimization Guide For Internal Use 
− After configuration of these information, the SsearchRAT contained in SIB3 is sent 
and information about GSM neighbor cells contained in SIB11 are sent. 
l Data Configuration for Supportint Inter-RAT Handover from WCDMA to GSM 
To support the inter-RAT handover fromWCDMA to GSM, configure the following 
parameters: 
− Add GSM cells and configuration the following data: 
MCC 
MISSING NEIGHBOR CELL 
LAC 
CELL ID 
NCC 
BCC 
FREQ_BAND 
Frequency number 
CIO 
− Configure inter-RAT measurement control by running the command MOD 
CELLMEAS. 
2009-10-10 Huawei Confidential Page 201 of 201

W handover-and-call-drop-problem-optimization-guide-20081223-a-3 3

  • 1.
    W-Handover and CallDrop Problem Optimization Guide For internal use only Product name Confidentiality level WCDMA RNP For internal use only Product version 3.3 Total 201 pages W-Handover and Call Drop Problem Optimization Guide (For internal use only) Prepared by Jiao Anqiang Date 2006-03-16 Reviewed by Xie Zhibin, Dong Yan, Hu Wensu, Wan Liang, Yan Lin, Ai Hua, Xu Zili, and Hua Yunlong Date Reviewed by Wang Chungui Date Approved by Date Huawei Technologies Co., Ltd. All Rights Reserved 2009-10-10 All rights reserved Page 1 of 201
  • 2.
    W-Handover and CallDrop Problem Optimization Guide For internal use only Revision Records Date Version Description Author 2005-02-01 2.0 Completing V2.0 W-Handover and Call Drop Problems. Cai Jianyong, Zang Liang, and Jiao Anqiang 2006-03-16 3.0 According to V3.0 guide requirements, reorganizing and updating V2.0 guide, focusing more on operability of on-site engineers. All traffic statistics is from RNC V1.5. The update includes: Updating flow chart for handover problem optimization Moving part of call drop due to handover problem to handover optimization part Specifying operation-related part to be more applicable to on-site engineers Updating RNC traffic statistics indexes to V1.5 Integrating traffic statistics analysis to NASTAR of the network performance analysis Optimizing some cases, adding new cases, and removing outdated cases and terms Moving content about handover and call drop to the appendix, and keeping operations related to them in the body Adding explanations to SRB&TRB and RL FAILURE. Jiao Anqiang 2006-04-30 3.1 Adding HSDPA-related description HSDPA handover DT/CQT flow, definitions of traffic statistics in HSDPA handover, HSDPA handover problems. Adding algorithms and flows of HSDPA handover. Zhang Hao and Li Zhen 2009-10-10 All rights reserved Page 2 of 201
  • 3.
    W-Handover and CallDrop Problem Optimization Guide For internal use only Date Version Description Author 2006-10-30 3.11 Adding V17-related handover description as below: Changes in signaling flow for H2D HHO Changes in triggering events of H2D and D2H D2H handover in HSDPA based on traffic and timers Updating description of HSDPA serving cell and traffic statistics of HSDPA-DCH handover Adding call drop indexes in HSDPA DT/statistics Wang Dekai 2007-08-09 3.2 Adding HSUPA-related description. Zhang Hao 2008-12-15 3.3 Adding MBMS-related description. Yearly review WangDekai / HuWensu 2009-10-10 All rights reserved Page 3 of 201
  • 4.
    W-Handover and CallDrop Problem Optimization Guide For internal use only Contents 1 Introduction .............................................................................................................................14 2 Handover and Call Drop Performance Indexes......................................................................16 2.1 Handover Performance Indexes ......................................................................................16 2.2 Call Drop Performance Indexes .......................................................................................19 3 Handover Index Optimization .................................................................................................20 3.1 DT/CQT Index Optimization Flow.....................................................................................20 3.1.1 SHO DT Index Optimization Flow...........................................................................20 3.1.2 HHO CQT Flow .....................................................................................................24 3.1.3 Inter-RAT Handover CQT Flow..............................................................................27 3.1.4 DT/CQT Flow for HSDPA Handover ......................................................................29 3.1.5 DT/CQT Flow for HSUPA Handover ......................................................................32 3.1.6 SHO Ratio Optimization.........................................................................................32 3.1.7 MBMS Mobility Optimization ..................................................................................32 3.2 Traffic Statistics Analysis Flow.........................................................................................34 3.2.1 Analysis Flow for SHO Traffic Statistics .................................................................35 3.2.2 Analysis Flow of HHO Traffic statistics...................................................................36 3.2.3 Traffic Statistics Analysis Flow for Inter-RAT Handover..........................................37 3.2.4 Traffic Statistics Analysis for HSDPA Handover .....................................................40 3.2.5 Traffic Statistics Analysis for HSUPA Handover .....................................................41 3.3 SHO Cost Optimization....................................................................................................43 4 CDR Index Optimization..........................................................................................................44 4.1 Definition of Call Drop and Traffic Statistics Indexes ........................................................44 4.1.1 Definition of DT Call Drop ......................................................................................44 4.1.2 Descriptions of Traffic Statistics Indexes ................................................................44 4.2 DT/CQT Optimization Flow..............................................................................................45 4.2.1 Call Drop Cause Analysis ......................................................................................46 4.2.2 Frequently-adjusted Non-handover Algorithm Parameters......................................48 4.2.3 Judgment Tree for Call Drop Causes .....................................................................49 4.3 Traffic Statistics Analysis Flow.........................................................................................50 4.3.1 Analyzing RNC CDR..............................................................................................51 4.3.2 Analyzing Causes to Call Drop...............................................................................51 4.3.3 Check Cells ...........................................................................................................52 4.3.4 Further DT for Relocating Problems.......................................................................52 4.4 Optimization Flow for Tracing Data..................................................................................52 4.4.1 Obtaining Single Subscriber Tracing Message .......................................................53 4.4.2 Obtaining Information about Call Drop Point ..........................................................53 4.4.3 Analyzing Call Drop due to SRB Reset ..................................................................54 4.4.4 Analyzing Call Drop due to TRB Reset...................................................................54 4.4.5 Analyzing Abnormal Call Drop ...............................................................................54 4.4.6 Performing CQT to Recheck Problems ..................................................................55 2008-12-22 All rights reserved Page4 , Total201
  • 5.
    W-Handover and CallDrop Problem Optimization Guide For internal use only 4.5 Optimization Process for MBMS Call Drop.......................................................................55 5 FAQs Analysis.........................................................................................................................56 5.1 SHO Problems ................................................................................................................56 5.1.1 Over High SHO Rate due to Improper SHO Relative Threshold .............................56 5.1.2 Delayed Handover due to Over Great Intra-frequency Filter Coefficient..................57 5.1.3 Missing Neighbor Cell............................................................................................58 5.1.4 Redundant Neighbor Cells.....................................................................................62 5.1.5 Pilot Pollution.........................................................................................................65 5.1.6 Turning Corner Effect ............................................................................................71 5.1.7 Needlepoint Effect .................................................................................................74 5.1.8 Quick Change of Best server Signal.......................................................................75 5.2 HHO Problems ................................................................................................................77 5.2.1 Intra-frequency Ping-pong HHO due to Improperly Configured 1D Event Hysteresis77 5.2.2 Delayed Origination of Inter-frequency Measurement due to Improper Inter-frequency Measurement Quantity ..................................................................................................78 5.3 Inter-RAT Handover Problems.........................................................................................80 5.3.1 Ping-pong Reselection...........................................................................................80 5.3.2 PS Inter-RAT Ping-pong Handoff ...........................................................................81 5.3.3 Failure in handoff from 3G to the 2G network .........................................................82 5.3.4 Inter-RAT Handover Call Drop ...............................................................................84 5.4 Call Drop Problems .........................................................................................................91 5.4.1 OverWeak Coverage ............................................................................................91 5.4.2 Uplink Interference ................................................................................................92 5.4.3 Abnormal Equipment .............................................................................................95 5.5 HSDPA-related Problems ................................................................................................97 5.5.1 HSDPA Handover Problems..................................................................................97 5.5.2 HSDPA Call Drop ..................................................................................................98 5.6 HSUPA Problems..........................................................................................................100 6 Summary................................................................................................................................101 7 Appendix................................................................................................................................102 7.1 SRB&TRB Reset ...........................................................................................................102 7.1.1 RAB ....................................................................................................................102 7.1.2 SRB ....................................................................................................................103 7.2 RL FAILURE .................................................................................................................104 7.3 SHO Flow......................................................................................................................109 7.3.1 Analyzing Signaling Flow for Adding Radio Link...................................................109 7.3.2 Analyzing Signaling Flow for Deleting Radio Link.................................................112 7.3.3 Analyzing Signaling Flow for Adding and Deleting Radio Link ..............................113 7.3.4 SHO Algorithm ....................................................................................................116 7.4 Ordinary HHO Flow.......................................................................................................123 7.4.1 Ordinary HHO (lur Interface and CELL_DCH State) .............................................123 7.4.2 Inter-CN HHO Flow..............................................................................................125 7.5 HHO Algorithm..............................................................................................................128 7.5.1 Intra-frequency HHO Algorithm............................................................................128 7.5.2 Inter-frequency HHO Algorithm............................................................................128 7.6 Concept and Classification of HSDPA Handover............................................................130 7.6.1 Concept of HSDPA Handover..............................................................................130 7.6.2 Classification of HSDPA Handover ......................................................................130 7.6.3 Signaling Flow and Message Analysis of HSDPA Handover.................................131 7.6.4 HS-PDSCH Serving Cell Update due to DPCH SHO............................................132 7.6.5 HS-PDSCH Serving Cell Update due to DPCH HHO............................................139 7.6.6 DPCH Intra-frequency HHO with HS-DSCH Serving Cell Update.........................140 7.6.7 DPCH Inter-frequency HHO with HS-DSCH Serving Cell Update.........................141 2008-12-22 All rights reserved Page5 , Total201
  • 6.
    W-Handover and CallDrop Problem Optimization Guide For internal use only 7.6.8 Handover Between HSDPA and R99 ...................................................................143 7.6.9 Handover between HSDPA and GPRS................................................................152 7.6.10 Direct Retry of HSDPA.......................................................................................152 7.6.11 Switch of Channel Type .....................................................................................154 7.7 Concept and Classification of HSUPA Handover............................................................157 7.7.1 Basic Concepts....................................................................................................157 7.7.2 Classification of HSUPA Handover ......................................................................157 7.7.3 Signaling Flow and Message Analysis of HSUPA Handover.................................158 7.7.4 SHO from a HSUPA Cell to a Non-HSUPA Cell ...................................................164 7.7.5 SHO from a Non-HSUPA Cell to a HSUPA Cell ...................................................169 7.7.6 Handover Between a HSUPA Cell and a GSM/GPRS Cell ...................................172 7.7.7 Direct Retry of HSUPA.........................................................................................172 7.7.8 Switch between Channel Types...........................................................................174 7.8 Handover from WCDMA to GSM...................................................................................175 7.9 Handover from GSM toWCDMA ...................................................................................179 7.10 Handover from WCDMA to GPRS................................................................................182 7.11 Handover from GRPS toWCDMA................................................................................186 7.12 Parameters of Handover from 3G to 2G Network .........................................................189 7.13 Data Configuration for Supporting Bi-directional Roaming and Handover Between WCDMA and GSM/GPRS........................................................................................................................192 2008-12-22 All rights reserved Page6 , Total201
  • 7.
    W-Handover and CallDrop Problem Optimization Guide For internal use only Figures Figure 3-1 SHO DT data analysis flow................................................................................................ 21 Figure 3-2 Optimization flow for HHO CQT......................................................................................... 26 Figure 3-3 Inter-RAT handover CQT flow............................................................................................ 28 Figure 3-4 DT/CQT flow for HSDPA handover .................................................................................... 31 Figure 3-5 Movement of the MBMS UE between PTM cells................................................................ 32 Figure 3-6 Analysis flow for handover traffic statistics data.................................................................. 35 Figure 3-7 Voce inter-RAT outgoing handover flow ............................................................................. 38 Figure 4-1 Flow chart for analyzing call drop ...................................................................................... 46 Figure 4-2 Judgment tree for call drop causes.................................................................................... 49 Figure 4-3 Flow for analyzing call tracing............................................................................................ 53 Figure 5-1 SHO relative threshold ...................................................................................................... 57 Figure 5-2 Signaling flow recorded by UE before call drop.................................................................. 58 Figure 5-3 Scrambles recorded by UE active set and scanner before call drop ................................... 59 Figure 5-4 Scrambles in UE active set before call drop....................................................................... 60 Figure 5-5 UE intra-frequency measurement control point before call drop ......................................... 61 Figure 5-6 Analyzing signaling of UE intra-frequency measurement control before call drop................ 61 Figure 5-7 Confirming missing neighbor cell without information from scanner.................................... 62 Figure 5-8 Location relationship of 2G redundant neighbor cells......................................................... 64 Figure 5-9 Pilot pollution near Yuxing Rd............................................................................................ 65 Figure 5-10 Best ServiceCell near Yuxing Rd. .................................................................................... 65 Figure 5-11 The 2nd best ServiceCell near Yuxing Rd. ....................................................................... 66 Figure 5-12 The 3rd best ServiceCell near Yuxing Rd......................................................................... 66 Figure 5-13 The 4th best ServiceCell near Yuxing Rd......................................................................... 67 Figure 5-14 Composition of pilot pollution near Yuxing Rd. ................................................................. 67 Figure 5-15 RSSI near Yuxing Rd....................................................................................................... 68 Figure 5-16 RSCP of Best ServiceCell near Yuxing Rd....................................................................... 68 Figure 5-17 RSCP of SC270 cell near Yuxing Rd................................................................................ 69 2008-12-22 All rights reserved Page7 , Total201
  • 8.
    W-Handover and CallDrop Problem Optimization Guide For internal use only Figure 5-18 Pilot pollution near Yuxing Rd. after optimization.............................................................. 70 Figure 5-19 Best ServiceCell near Yuxing Rd. after optimization......................................................... 70 Figure 5-20 RSCP of best ServiceCell near Yuxing Rd. after optimization........................................... 71 Figure 5-21 RSCP of SC270 cell near Yuxing Rd. after optimization ................................................... 71 Figure 5-22 Turning corner effect-signals attenuation ......................................................................... 72 Figure 5-23 Turning corner effect-signal attenuation recorded by the UE ............................................ 72 Figure 5-24 Turning corner effect-traced signaling recorded by the RNC............................................. 73 Figure 5-25 Needle point-signal variance............................................................................................ 74 Figure 5-26 Call drop distribution of PS384K intra-frequency hard handover....................................... 75 Figure 5-27 Signal distribution of cell152 vs. cell88 (signal fluctuation in handover areas)................... 76 Figure 5-28 Reporting 1D event ......................................................................................................... 77 Figure 5-29 Increasing hysteresis to reduce frequently reporting of 1D event...................................... 78 Figure 5-30 Attenuation relationship of RSCP and Ec/No.................................................................... 79 Figure 5-31 Indoor 3G RSCP distribution............................................................................................ 83 Figure 5-32 Analyzing weak signals.................................................................................................... 91 Figure 5-33 Uplink interference according to RNC signaling ............................................................... 93 Figure 5-34 Uplink interference according to UE signaling .................................................................. 93 Figure 5-35 Uplink interference information recorded by UE ............................................................... 94 Figure 5-36 RTWP variation of the cell 89767..................................................................................... 94 Figure 5-37 RTWP variation of the cell 89768..................................................................................... 95 Figure 5-38 Pilot information recorded by scanner.............................................................................. 97 Figure 7-1 UMTS QoS structure....................................................................................................... 102 Figure 7-2 SRB and TRB at user panel............................................................................................. 103 Figure 7-3 Signaling flow for adding radio link....................................................................................110 Figure 7-4 Signaling flow for deleting radio link..................................................................................112 Figure 7-5 SHO signaling flow for adding and deleting radio link........................................................114 Figure 7-6 Measurement model.........................................................................................................116 Figure 7-7 Example 1A event and trigger delay .................................................................................118 Figure 7-8 Periodic report triggered by 1A event................................................................................119 Figure 7-9 Example of 1C event ....................................................................................................... 120 Figure 7-10 Example 1D event......................................................................................................... 121 Figure 7-11 Restriction from hysteresis to measurement report......................................................... 121 Figure 7-12 Example of 1E event ..................................................................................................... 122 Figure 7-13 Example of 1F event ..................................................................................................... 122 2008-12-22 All rights reserved Page8 , Total201
  • 9.
    W-Handover and CallDrop Problem Optimization Guide For internal use only Figure 7-14 Ordinary HHO flow (lur interface and CELL_DCH state) ................................................ 124 Figure 7-15 Ordinary inter-CN HHO flow .......................................................................................... 126 Figure 7-16 Intra-NodeB synchronization serving cell update............................................................ 133 Figure 7-17 Inter-NodeB synchronization serving cell update............................................................ 135 Figure 7-18 Inter-NodeB HS-DSCH cell update after radio link is added ........................................... 137 Figure 7-19 Inter-NodeB HS-DSCH cell update during HHO (single step method) ............................ 139 Figure 7-20 DPCH intra-frequency HHO with HS-DSCH serving cell update..................................... 141 Figure 7-21 DPCH inter-frequency HHO with HS-DSCH serving cell update..................................... 142 Figure 7-22 handover from HSDPA to R99 ....................................................................................... 143 Figure 7-23 Intra-frequency handover from R99 to R5...................................................................... 143 Figure 7-24 DPCH SHO with handover from HSDPA to R99 (inter-NodeB)....................................... 145 Figure 7-25 DPCH SHO with handover from R99 to HSDPA............................................................. 146 Figure 7-26 Inter-NodeB SHO with handover from HSDPA to R99 (V17) .......................................... 147 Figure 7-27 Intra-frequency HHO with handover from R5 to R99 ...................................................... 148 Figure 7-28 Intra-frequency HHO with handover form R99 to R5 ...................................................... 148 Figure 7-29 Intra-frequency HHO with handover from R5 to R99 (V17)............................................. 149 Figure 7-30 Inter-frequency HHO from HS-PDSCH to DCH.............................................................. 150 Figure 7-31 Inter-frequency HHO from DCH to HS-PDSCH.............................................................. 151 Figure 7-32 Handover between HSDPA and GPRS.......................................................................... 152 Figure 7-33 Flow for direct retry during setup of a service................................................................. 153 Figure 7-34 Direct retry triggered by traffic........................................................................................ 153 Figure 7-35 Switch of channel type................................................................................................... 155 Figure 7-36 Intra-frequency SHO between two HSUPA cells............................................................. 159 Figure 7-37 Signaling for HSUPA cell update triggered by a 1D event............................................... 159 Figure 7-38 Signaling for HSUPA cell update triggered by a 1D event (reported by the monitor set).. 160 Figure 7-39 Intra-frequency HHO between two HSUPA cells ............................................................ 160 Figure 7-40 Signaling for intra-frequency HHO between two HSUPA cells ........................................ 161 Figure 7-41 Inter-frequency HHO between two HSUPA cells ............................................................ 161 Figure 7-42 Signaling for inter-frequency HHO between two HSUPA cells ........................................ 162 Figure 7-43 Inter-RNC HSUPA handover.......................................................................................... 163 Figure 7-44 SHO from a HSUPA cell to a non-HSUPA cell ................................................................ 165 Figure 7-45 Addition of an R99 cell when the service is on the E-DCH.............................................. 166 Figure 7-46 Intra-frequency HHO from a HSUPA cell to a non-HSUPA cell ....................................... 167 Figure 7-47 Signaling for intra-frequency HHO from a HSUPA cell to a non-HSUPA cell ................... 167 2008-12-22 All rights reserved Page9 , Total201
  • 10.
    W-Handover and CallDrop Problem Optimization Guide For internal use only Figure 7-48 Inter-frequency HHO from a HSUPA cell to a non-HSUPA cell ....................................... 168 Figure 7-49 Signaling for inter-frequency HHO from a HSUPA cell to a non-HSUPA cell ................... 169 Figure 7-50 SHO from a non-HSUPA cell to a HSUPA cell ................................................................ 170 Figure 7-51 SHO from a non-HSUPA cell to a HSUPA cell (triggered by a 1B event)......................... 170 Figure 7-52 Intra-frequency HHO from a non-HSUPA cell to a HSUPA cell ....................................... 171 Figure 7-53 Signaling for intra-frequency HHO from a non-HSUPA cell to a HSUPA cell ................... 171 Figure 7-54 Inter-frequency HHO from a non-HSUPA cell to a HSUPA cell ....................................... 172 Figure 7-55 Direct retry from an R99 cell to a HSUPA cell................................................................. 173 Figure 7-56 Direct retry from a HSUPA cell to an R99 cell................................................................. 173 Figure 7-57 Direct retry from a HSUPA cell to another HSUPA cell.................................................... 174 Figure 7-58 Switch between HSUPA channel types .......................................................................... 174 Figure 7-59 Signaling flow for handover from WCDMA to GSM......................................................... 176 Figure 7-60 Tracing signaling of handover from WCDMA to GSM..................................................... 176 Figure 7-61 Signaling flow for handover from GSM to WCDMA ........................................................ 179 Figure 7-62 Tracing signaling of handover from GSM to WCDMA..................................................... 180 Figure 7-63 Flow of handover from WCDMA to GPRS (1)................................................................. 183 Figure 7-64 Flow of handover from WCDMA to GPRS (2)................................................................. 183 Figure 7-65 Tracing signaling of handover from WCDMA to GPRS................................................... 184 Figure 7-66 Signaling flow for handover from GPRS to WCDMA (1) ................................................. 186 Figure 7-67 Signaling flow for handover from GPRS to WCDMA (2) ................................................. 187 Figure 7-68 Data configuration in the location area cell table ............................................................ 193 Figure 7-69 Data configuration of neighbor cell configuration table ................................................... 194 Figure 7-70 Configuration table for external 3G cells ........................................................................ 196 Figure 7-71 Configuration table for GSM inter-RAT neighbor cells .................................................... 197 Figure 7-72 Configuration table for 2G reselection parameters ......................................................... 198 Figure 7-73 Parameter configuration table for inter-RAT handover.................................................... 199 2008-12-22 All rights reserved Page10 , Total201
  • 11.
    W-Handover and CallDrop Problem Optimization Guide For internal use only Tables Table 2-1 Handover performance indexes and reference values ......................................................... 16 Table 2-2 HSDPA handover performance indexes and reference value............................................... 17 Table 2-3 HSUPA handover performance indexes and reference value............................................... 17 Table 2-4 CDR index and reference value........................................................................................... 19 Table 3-1 SHO failure indexes ............................................................................................................ 36 Table 3-2 HHO failure indexes............................................................................................................ 36 Table 3-3 Traffic statistics indexes of CS inter-RAT handover preparation failure................................. 38 Table 3-4 Traffic statistics indexes of PS inter-RAT outgoing handover failure ..................................... 39 Table 4-1 Types of CDR indexes......................................................................................................... 45 Table 4-2 Thresholds of EcIo and Ec .................................................................................................. 46 Table 4-3 Traffic statistics indexes for analyzing causes to call drop.................................................... 51 Table 5-1 Relationship between the filter coefficient and the corresponding tracing time...................... 58 Table 5-2 2G handover times.............................................................................................................. 63 Table 5-3 Best servers and other cells ................................................................................................ 67 Table 7-1 Timers and counters related to the synchronization and asynchronization.......................... 104 Table 7-2 Timers and counters related to call drop at lub interface .................................................... 107 Table 7-3 Flow of serving cell update triggered by different events in SHO........................................ 132 Table 7-4 Scenarios of handover between HSDPA and R99 (V17) .................................................... 144 Table 7-5 Handover between two HSUPA cells ................................................................................. 158 Table 7-6 Handover between a HSUPA cell and a non-HSUPA cell ................................................... 163 Table 7-7 Parameters of handover from 3G to 2G............................................................................. 190 2008-12-22 All rights reserved Page11 , Total201
  • 12.
    W-Handover and CallDrop Problem Optimization Guide For internal use only W-Handover and Call Drop Problem Optimization Guide Key words: Handover, call drop, and optimization Abstract: This document, aiming at network optimization of handover success rate and call drop rate, details the specific network operation flow. In addition, it analyzes common problems during network optimization. Acronyms and abbreviations: Acronyms and Abbreviations Full Spelling AMR Adaptive MultiRate CHR Call History Record CDR Call Drop Rate DCCC Dynamic Channel Configuration Control RAN Radio Access Network RNP Radio Network Planning SRB Signaling Radio Bearer TRB Traffic Radio Bearer SHO Soft Handover HHO Hard Handover PCH Physical Channel CN Core Network O&M Operation and maintenance MNC Mobile Network Code MCC Mobile Country Code LAC Location Area Code CIO Cell Independent Offset HSUPA High Speed Uplink Packet Access E-DCH Enhanced uplink Dedicated Channel E-AGCH E-DCH Absolute Grant Channel 2008-12-22 All rights reserved Page12 , Total201
  • 13.
    W-Handover and CallDrop Problem Optimization Guide For internal use only E-RGCH E-DCH Relative Grant Channel 2008-12-22 All rights reserved Page13 , Total201
  • 14.
    W-Handover and CallDrop Problem Optimization Guide For internal use only 1 Introduction This document aims to meet the requirements by on-site engineers on solving handover and call drop problems and making them qualified during network optimization. It describes the methods for evaluating network handover and call drop performance, testing methods, troubleshooting methods, and frequently asked questions (FAQs). The appendix provides fundamental knowledge, principles, related parameters, and data processing tools about handover and call drop. This document serves to network KPI optimization and operation and maintenance (O&M) and helps engineers to locate and solve handover and call drop problems. The RRM algorithms and problem implementation in this document are based on V16 RNC. If some RRM algorithms are based on V17 RNC, they will be highlighted. HSUPA is introduced in V18 RNC, so the algorithms related to HSUPA are based on RNC V18. The following sections are updated: l Traffic Statistics Analysis for HSDPA Handover l Handover Between HSDPA and R99 l Direct Retry of HSDPA l Switch of Channel Type Actually handover is closely relevant to call drop. Handover failure probably leads to call drop. Therefore handover-caused call drop is arranged in handover success rate optimization part. The CDR optimization includes all related to call drop except handover-caused call drop. This document does not include usage of related tools. This document includes the following 12 chapters: l 1 Introduction l 2 Handover and Call Drop Performance Indexes l 3 Handover Index Optimization l 4 CDR Index Optimization l 5 FAQs Analysis l 6 Summary l 7 Appendix 2008-12-22 All rights reserved Page14 , Total201
  • 15.
    W-Handover and CallDrop Problem Optimization Guide For internal use only The traffic statistics analysis is based on RNC V1.5 counter. It will be updated upon the update of RNC counters. 2008-12-22 All rights reserved Page15 , Total201
  • 16.
    W-Handover and CallDrop Problem Optimization Guide For internal use only 2 Handover and Call Drop Performance Indexes 2.1 Handover Performance Indexes According to RNA KPI baseline document, Table 2-1 lists the handover performance indexes and reference values. Table 2-1 Handover performance indexes and reference values Index Service Statistics method Reference value SHO success rate CS&PS DT&Stat. 99% Intra-frequency HHO success rate Voice DT&Stat. 90% VP DT&Stat. 85% PS UL64K/DL 64K DT&Stat. 85% PS UL64K/DL 144K DT&Stat. 80% PS UL64K/DL 384K DT&Stat. 75% Inter-frequency HHO success rate Voice DT&Stat. 92% VP DT&Stat. 90% PS UL64K/DL 64K DT&Stat. 90% PS UL64K/DL 144K DT&Stat. 87% PS UL64K/DL 384K DT&Stat. 85% Inter-RAT handover success rate Voice handover out DT&Stat. 95% PS handover out DT&Stat. 92% SHO ratio N/A DT 35% SHO cost N/A Stat. 40% 2008-12-22 All rights reserved Page16 , Total201
  • 17.
    W-Handover and CallDrop Problem Optimization Guide For internal use only Table 2-2 lists the HSDPA handover performance indexes and reference value. Table 2-2 HSDPA handover performance indexes and reference value Index Service Reference value HSDPA-HSDPA intra-frequency serving cell update PS (HSDPA) 99% HSDPA-HSDPA inter-frequency serving cell update PS (HSDPA) 92% HSDPA-R99 intra-frequency handover PS (HSDPA) 99% HSDPA-R99 inter-frequency handover PS (HSDPA) 90% Success rate of R99-to-HSDPA cell handover PS (HSDPA) 85% HSDPA-to-GPRS inter-RAT handover PS (HSDPA) 92% Note: The HSDPA handover KPIs are to be updated after formal issue byWCDMA&GSM Performance Research Department. Table 2-3 HSUPA handover performance indexes and reference value Index Service Reference value Success rate of inter-cell SHO in HSUPA (including adding, replacing, and PS (HSUPA) – deleting) Success rate of inter-cell SHO serving cell update in HSUPA PS (HSUPA) – Success rate of DCH-to-E-DCH reconfiguration in SHO mode (including replacing and deleting) PS (HSUPA) – Success rate of E-DCH-to-DCH reconfiguration in SHO mode (including replacing and deleting) PS(HSUPA) – Success rate of inter-cell intra-frequency HHO in HSUPA PS (HSUPA) – 2008-12-22 All rights reserved Page17 , Total201
  • 18.
    W-Handover and CallDrop Problem Optimization Guide For internal use only Index Service Reference value Success rate of – intra-frequency HHO from a HSUPA cell to a PS (HSUPA) non-HSUPA cell Success rate of DCH-to-E-DCH reconfiguration in single-link mode (the second step of inter- or intra-frequency HHO from a non-HSUPA cell to a HSUPA cell) PS (HSUPA) – Success rate of inter-cell inter-frequency HHO in HSUPA PS (HSUPA) – Success rate of inter-frequency HHO from a HSUPA cell to a non-HSUPA cell PS (HSUPA) – Success rate of HSUPA-to-GPRS inter-RAT handover PS (HSUPA) 92% Note: The HSUPA handover KPIs are unavailable and to be updated after formal issue byWCDMA&GSM Performance Department. Decide the specific value according to project requirements or contract requirements of commercial network 2008-12-22 All rights reserved Page18 , Total201
  • 19.
    W-Handover and CallDrop Problem Optimization Guide For internal use only 2.2 Call Drop Performance Indexes Table 2-4 lists the CDR index and reference value. Table 2-4 CDR index and reference value Index Service Statistics method Reference value CDR Voice DT&Stat.&CQT 2% VP DT&Stat.&CQT 2.5% PS planned full coverage rate DT&CQT 3% PS (UL DCH full coverage rate/DL DT 3% HSDPA) PS Stat. 10% PS (UL HSUPA/DL HSDPA) DT 3% The values listed in Table 2-4 are only for reference. Decide the specific value according to project requirements or contract requirements of commercial network. The call drop rate of HSDPA is not defined yet, so engineers use call drop rate of PS temporarily. 2008-12-22 All rights reserved Page19 , Total201
  • 20.
    W-Handover and CallDrop Problem Optimization Guide For internal use only 3 Handover Index Optimization 3.1 DT/CQT Index Optimization Flow DT and CQT are important to network evaluation and optimization. DT/CQT KPIs act as standards for verifying networks. Overall DT helps to know entire coverage, to locate missing neighbor cells, and to locate cross-cell coverage. HHO and inter-RAT handover are used in coverage solutions for special scenarios, in while CQT is proper. The following sections describe the DT/CQT index optimization flow in terms of SHO, HHO, and inter-RAT handover. 3.1.1 SHO DT Index Optimization Flow Figure 3-1 shows the SHO DT data analysis flow. 2008-12-22 All rights reserved Page20 , Total201
  • 21.
    W-Handover and CallDrop Problem Optimization Guide For internal use only Figure 3-1 SHO DT data analysis flow Inputting Analysis Data Perform DT. Collect DT data, related signaling tracing, RNC CHR, and RNC MML scripts. Obtaining When and Where the Problem Occurs During the test, SHO-caused call drop might occur or SHO might fail, so record the location and time for the problem occurrence. This prepares for further location and analysis. 2008-12-22 All rights reserved Page21 , Total201
  • 22.
    W-Handover and CallDrop Problem Optimization Guide For internal use only Missing Neighbor Cell During the early optimization, call drop is usually due to missing neighbor cell. For intra-frequency neighbor cells, use the following methods to confirm intra-frequency missing neighbor cell. l Check the active set Ec/Io recorded by UE before call drop and Best Server Ec/Io recorded by Scanner. Check whether the Best Server scramble recorded by Scanner is in the neighbor cell list of intra-frequency measurement control before call drop. The cause might be intra-frequency missing neighbor cell if all the following conditions are met: − The Ec/Io recorded by UE is bad. − The Best Server Ec/Io is good. − No Best Server scramble is in the neighbor cell list of measurement control. l If the UE reconnects to the network immediately after call drop and the scramble of the cell that UE camps on is different from that upon call drop, missing neighbor cell is probable. Confirm it by measurement control (search the messages back from call drop for the latest intra-frequency measurement control message. Check the neighbor cell list of this measurement control message) l UEs might report detected set information. If corresponding scramble information is in the monitor set before call drop, the cause must be missing neighbor cell. Missing neighbor cell causes call drop. Redundant neighbor cells impacts network performance and increases the consumption of UE intra-frequency measurement. If this problem becomes more serious, the necessary cells cannot be listed. Therefore pay attention to redundant neighbor cells when analyzing handover problems. For redundant neighbor cells, see 5 . Pilot Pollution Pilot pollution is defined as below: l Excessive strong pilots exist at a point, but no one is strong enough to be primary pilot. According to the definition, when setting rules for judging pilot pollution, confirm the following content: l Definition of strong pilot Whether a pilot is strong depends on the absolute strength of the pilot, which is measured by RSCP. If the pilot RSCP is greater than a threshold, the pilot is a strong pilot. Namely, RSCP Absolute CPICH RSCP Th _ _ > . l Definition of "excessive" When judging whether excessive pilots exist at a point, the pilot number is the judgment criteria. If the pilot number is more than a threshold, the pilots at a point are excessive. Namely, N CPICH _ Number > Th l Definition of "no best server strong enough" When judging whether a best server strong enough exist, the judgment criteria is the relative strength of multiple pilots. If the strength different of the strongest pilot and the No. ( +1) N Th strong pilot is smaller than a threshold, no best server strong enough exists in the point. Namely, 2008-12-22 All rights reserved Page22 , Total201
  • 23.
    W-Handover and CallDrop Problem Optimization Guide For internal use only l st Th th RSCP lative CPICH RSCP CPICH RSCP Th 1 ( N 1) _ Re ( _ - _ ) < + Based on previous descriptions, pilot pollution exists if all the following conditions are met: l The number of pilots satisfying RSCP Absolute CPICH RSCP Th _ _ > is more than N Th . l st Th th RSCP lative CPICH RSCP CPICH RSCP Th 1 ( N 1) _ Re ( _ - _ ) < + SetTh dBm RSCP Absolute 95 _ = - , = 3 N Th , and Th dB RSCP lative 5 _ Re = , the judgment standards for pilot pollution are: l The number of pilots satisfying CPICH _ RSCP 95dBm > - is larger than 3. l CPICH RSCP CPICH RSCP dB st th ( _ _ ) 5 1 4 - < Improper Configuration of SHO Algorithm Parameters Solve the following two problems by adjusting handover algorithm parameters. l Delayed handover According to the signaling flow for CS services, the UE fails to receive active set update command (physical channel reconfiguration command for intra-frequency HHO) due to the following cause. After UE reports measurement message, the Ec/Io of original cell signals decreases sharply.When the RNC sends active set update message, the UE powers off the transmitter due to asynchronization. The UE cannot receive active set update message. For PS services, the UE might also fail to receive active set update message or perform TRB reset before handover. Delayed handover might be one of the following: − Turning corner effect: the Ec/Io of original cell decreases sharply and that of the target cell increases greatly (an over high value appears) − Needlepoint effect: The Ec/Io of original cell decreases sharply before it increases and the Ec/Io of target cell increase sharply for a short time. According to the signaling flow, the UE reports the 1a or 1c measurement report of neighbor cells before call drop. After this the RNC receives the event and sends the active set update message, which the UE fails to receive. l Ping-pong Handover Ping-pong handover includes the following two forms − The best server changes frequently. Two or more cells alternate to be the best server. The RSCP of the best server is strong. The period for each cell to be the best server is short. − No primary pilot cell exists. Multiple cells exist with little difference of abnormal RSCP. The Ec/Io for each cell is bad. According to the signaling flow, when a cell is deleted, the 1A event is immediately reported. Consequently the UE fails because it cannot receive the active set update command. 2008-12-22 All rights reserved Page23 , Total201
  • 24.
    W-Handover and CallDrop Problem Optimization Guide For internal use only Abnormal Equipment Check the alarm console for abnormal alarms. Meanwhile analyze traced message, locate the SHO problem by checking the failure message. For help, contact local customer service engineers for confirm abnormal equipment. Reperforming Drive Test and Locating Problems If the problem is not due to previous causes, perform DT again and collect DT data. Supplement data from problem analysis. Adjustment and Implementation After confirming the cause to the problem, adjust the network by using the following pertinent methods: l For handover problems caused by pilot pollution, adjust engineering parameters of an antenna so that a best server forms around the antenna. For handover problems caused by pilot pollution, adjust engineering parameters of other antennas so that signals from other antennas becomes weaker and the number of pilots drops. Construct a new site to cover this area if conditions permit. If the interference is from two sectors of the same NodeB, combine the two cells as one. l For abnormal equipment, consult customer service engineer for abnormal equipment and transport layer on alarm console. If alarms are present on alarm console, cooperate with customer service engineers. l For call drop caused by delayed handover, adjust antennas to expand the handover area, set the handover parameters of 1a event, or increase CIO to enable handover to occur in advance. The sum of CIO and measured value is used in event evaluation process. The sum of initially measured value and CIP, as measurement result, is used to judge intra-frequency handover of UE and acts as cell border in handover algorithm. The larger the parameter is, the easier the SHO is and UEs in SHO state increases, which consumes resources. If the parameter is small, the SHO is more difficult, which might affects receiving quality. l For needle effect or turning corner effect, setting CIO to 5 dB is proper, but this increases handover ratio. For detailed adjustment, see SHO-caused call drop of FAQs Analysis. l For call drop caused by Ping-pong handover, adjust the antenna to form a best server or reduce Ping-pong handover by setting the handover parameter of 1B event, which enables deleting a cell in active set to be more difficult. For details, increase the 1B event threshold, 1B hysteresis, and 1B delay trigger time. 3.1.2 HHO CQT Flow HHO Types HHO includes the following types: l Intra-frequency HHO The frequency of the active set cell before HHO is the same as that of the cell after HHO. If the cell does not support SHO, HHO might occur. HHO caters for cross-RNC 2008-12-22 All rights reserved Page24 , Total201
  • 25.
    W-Handover and CallDrop Problem Optimization Guide For internal use only intra-frequency handover without lur interface, limited resources at lur interface, and handover controlled by PS service rate threshold of handover cell. The 1D event of intra-frequency measurement events determines intra-frequency HHO. l Inter-frequency HHO The frequency of the active set cell before HHO is different from that of the cell after HHO. HHO helps to carry out balanced load between carriers and seamless proceeding. Start compression mode to perform inter-frequency measurement according to UE capability before inter-frequency HHO. HHO judgment for selecting cell depends on period measurement report. l Balanced load HHO It aims to realize balanced load of different frequencies. Its judgment depends on balanced load HHO. Inter-frequency coverage usually exists in special scenarios, such as indoor coverage, so CQT are used. The following section details the optimization flow for inter-frequency CQT. Optimization Flow of HHO CQT Figure 3-2 shows the optimization flow for HHO CQT. 2008-12-22 All rights reserved Page25 , Total201
  • 26.
    W-Handover and CallDrop Problem Optimization Guide For internal use only Figure 3-2 Optimization flow for HHO CQT Adjustment The optimization flow for HHO is similar with that of SHO and the difference lies in parameter optimization. Confirming inter-frequency missing neighbor cell is similar to that of intra-frequency. When call drop occurs, the UE does not measure or report inter-frequency neighbor cells. After call drop, the UE re-camps on the inter-frequency neighbor cell. HHO problems usually refer to delayed handover and Ping-pong handover. Delayed HHO usually occurs outdoor, so call drop occurs when the UE is moving. There are three solutions: l Increase the threshold for starting compression mode. The compression mode starts before inter-frequency or inter-RAT handover. Measure the quality of inter-frequency or inter-RAT cell by compression mode. Compression mode starts if the CPICH RSCP or Ec/Io meets the conditions. RSCP is usually the triggering condition. The parameter "inter-frequency measurement quantity" decides to use CPICH Ec/No or Ec/Io as the measurement target for inter-frequency handover.When setting "inter-frequency measurement quantity", check that the cell is at the carrier coverage edge or in the carrier coverage center. If intra-frequency neighbor cells lie in all direction of the cell, the cell is defined as in the carrier coverage center. If no intra-frequency cell lies in a direction of the cell, the cell is defined as at the carrier coverage edge. 2008-12-22 All rights reserved Page26 , Total201
  • 27.
    W-Handover and CallDrop Problem Optimization Guide For internal use only In the cell at the carrier coverage edge, when UE moves along the direction where no intra-frequency neighbor cell lies, the CPICH Ec/No changes slowly due to the identical attenuation rate of CPICH RSCP and interference. According to simulation, when CPICH RSCP is smaller than the demodulation threshold (–100 dBm or so), the CPICH Ec/No can still reach –12 dB or so. Now the inter-frequency handover algorithm based on CPICH Ec/No is invalid. Therefore, for the cell at the carrier coverage edge, using CPICH RSCP as inter-frequency measurement quantity to guarantee coverage is more proper. In the cell in the carrier coverage center, use CPICH RSCP as inter-frequency measurement quantity, but CPICH Ec/No can better reflect the actual communication quality of links and cell load. Therefore use CPICH Ec/No as inter-frequency measurement quantity in the carrier coverage center (not the cell at the carrier coverage edge), and RSCP as inter-frequency measurement quantity in the cell at the carrier coverage edge. In compression mode, the quality of target cell (inter-frequency or inter-RAT) is usually measured and obtained. The mobility of MS leads to quality deterioration of the current cell. Therefore the requirements on starting threshold are: before call drop due to the quality deterioration of the current cell, the signals of the target cell must be measured and reporting is complete. The stopping threshold must help to prevent compression mode from starting and stopping frequently. The RNC can distinguish CS services from PS services for inter-frequency measurement. If the RSCP is smaller than –95 dBm, compression mode starts. If the RSCP is greater than –90 dBm, compression mode stops. Adjust RSCP accordingly for special scenarios. l Increase the CIO of two inter-frequency cells. l Decrease the target frequency handover trigger threshold of inter-frequency coverage. For Ping-pong HHO problems, solve them by increasing HHO hysteresis and delay trigger time. The intra-frequency HHO optimization is similar to that of inter-frequency. Decrease the hysteresis and delay trigger time of 1D event according to local radio environment to guarantee timely handover. 3.1.3 Inter-RAT Handover CQT Flow Flow Chat Figure 3-3 shows the inter-RAT handover CQT flow. 2008-12-22 All rights reserved Page27 , Total201
  • 28.
    W-Handover and CallDrop Problem Optimization Guide For internal use only Figure 3-3 Inter-RAT handover CQT flow Data Configuration Inter-RAT handover fails due to incomplete configuration data, so pay attention to the following data configuration. l GSM neighbor configuration is complete on RNC. The configuration includes: − Mobile country code (MCC) − Mobile network code (MNC) − Location area code (LAC) − GSM cell identity (CELL ID) − Network color code (NCC) − Base station color code (BCC) − Frequency band indicator (FREQ_BAND) − Frequency number − Cell independent offset (CIO) Guarantee the correctness of the previous data and GSM network. 2008-12-22 All rights reserved Page28 , Total201
  • 29.
    W-Handover and CallDrop Problem Optimization Guide For internal use only l Add location area cell information near 2G MSC to location area cell list of 3G MSC. The format of location area identity (LAI) is MCC + MNC + LAC. Select LAI as LAI type. Select Near VLR area as LAI class and add the corresponding 2G MSC/VLR number. The cell GCI format is: MCC + MNC + LAC + CI. Select GCI as LAI type. Select Near VLR area as LAI class and add the corresponding 2G MSC/VLR number. l Add data of WCDMA neighbor cells on GSM BSS. The data includes: − Downlink frequency − Primary scramble − Main indicator − MCC − MISSING NEIGHBOR CELL − LAC − RNC ID − CELL ID According to the strategies of unilateral handover of inter-RAT handover, if the data configuration is complete, the inter-RAT handover problems are due to delayed handover. A frequently-used solution is increasing CIO, increasing the threshold for starting and stopping compression mode, increasing the threshold to hand over to GSM. Causes The causes to call drop due to 3G-2G inter-RAT handover are as below: l After the 2G network modifies its configuration data, it does not inform the 3G network of modification, so the data configured in two networks are inconsistent. l Missing neighbor cell causes call drop. l The signals fluctuate frequently so call drop occurs. l Handset problems causes call drop. For example, the UE fails to hand over back or to report inter-RAT measurement report. l The best cell changes upon Physical channel reconfiguration. l Excessive inter-RAT cell are configured (solve it by optimizing number of neighbor cells). l Improperly configured LAC causes call drop (solve it by checking data configuration). 3.1.4 DT/CQT Flow for HSDPA Handover Type According to the difference of handover on DPCH in HSDPA network, the HSDPA handover includes: l SHO or softer handover of DPCH, with HS-PDSCH serving cell update 2008-12-22 All rights reserved Page29 , Total201
  • 30.
    W-Handover and CallDrop Problem Optimization Guide For internal use only l Intra-frequency and inter-frequency HHO of DPCH, with HS-PDSCH serving cell update According to different technologies used in the serving cell before and after handover, HSDPA handover includes: l Handover in HSDPA system l Handover between HSDPA and R99 cells l Handover between HSDPA and GPRS cells Methods For HSDPA service coverage test and mobility-related test (such as HHO on DPCH with HS-PDSCH serving cell update, handover between HSDPA and R99, and inter-RAT handover), perform DT to know the network conditions. For location of HSDPA problems and non-mobility problems, perform CQT (in specified point or small area). Flow When a problem occurs, check R99 network. If there is similar problem with R99 network, solve it (or, check whether the R99 network causes HSDPA service problems, such as weak coverage, missing neighbor cell. Simplify the flow). Figure 3-4 shows the DT/CQT flow for HSDPA handover. 2008-12-22 All rights reserved Page30 , Total201
  • 31.
    W-Handover and CallDrop Problem Optimization Guide For internal use only Figure 3-4 DT/CQT flow for HSDPA handover The problems with handover of HSDPA subscribers are usually caused by the faulty handover of R99 network, such as missing neighbor cell and improper configuration of handover parameters. When the R99 network is normal, if the handover of HSDPA subscribers is still faulty, the cause might be improper configuration of HSDPA parameters. Engineers can check the following aspects: l Whether the HSDPA function of target cell is enabled and the parameters are correctly configured. Engineers mainly check the words of cell and whether the power is adequate, whether the HS-SCCH power is low. These parameters might not directly cause call drop in handover, but lead to abnormal handover and lowered the user experience. l Whether the protection time length of HSDPA handover is proper. Now the baseline value is 0s. Set it by running SET HOCOMM. l Whether the threshold for R99 handover is proper. The handover flow for HSDPA is greatly different from that of R99, so the handover of R99 service may succeed while the HSDPA handover may fail. For example, in H2D handover, when the UE reports 1b event, it triggers RB reconfiguration in the original cell, reconfigures service bearer to DCH, and updates the cell in active set. If the signals of the original cell deteriorate quickly now, the reconfiguration fails. l Whether the protection time length of D2H handover is proper. Now the baseline value is 2s. Set it by running SET HOCOMM. 2008-12-22 All rights reserved Page31 , Total201
  • 32.
    W-Handover and CallDrop Problem Optimization Guide For internal use only 3.1.5 DT/CQT Flow for HSUPA Handover The DT/CQT flow for HSUPA handover is similar to that for HSDPA. For details, refer to DT/CQT Flow for HSDPA Handover. For the test of HSUPA service coverage and mobility-related tests (such as the test of success rate of HSUPA serving cell update), perform DT to know the network conditions. For locating HSUPA problems and the problems unrelated to mobility, perform CQT (in specified spot or area). 3.1.6 SHO Ratio Optimization This part is to be supplemented. 3.1.7 MBMS Mobility Optimization Currently, the radio network controller (RNC) V18 supports only the broadcast mode of the multimedia broadcast multicast service (MBMS); the MBMS user equipment (UE) moves only between point-to-multipoint (PTM) cells. Figure 3-5 Movement of the MBMS UE between PTM cells The movement of the MBMS UE between PTM cells is similar to the movement of UE performing PS services in the CELL-FACH state. The UE performs the handover between cells 2008-12-22 All rights reserved Page32 , Total201
  • 33.
    W-Handover and CallDrop Problem Optimization Guide For internal use only through cell reselection and obtains a gain through soft combining or selective combining between two cells to guarantee the receive quality of the service. The UE first moves to the target cell and then sends a CELL UPDATE message to notify the serving radio network controller (SRNC) that the cell where the UE stays is changed. The SRNC returns a CELL UPDATE CONFIRM message. The UE receives an MBMS control message from the MCCH in the target cell and determines whether the MBMS radio bearer to be established is consistent with that of the neighboring cell. If they are consistent, the original radio bearer is retained. The MBMS mobility optimization, which guarantees that the UE obtains better quality of service at the edge of cells, covers the following aspects: l Optimize cell reselection parameters to guarantee that the UE can be reselected to the best cell in time. l Guarantee that the power of the FACH in each cell is large enough to meet the coverage requirement of the MBMS UE at the edge of the cells. l Guarantee that the transmission time difference of the UE between different links meets the requirement of soft combing or selective combining*. l Guarantee that the power, codes, transmission, and CE resources of the target cell are not restricted or faulty, and that the MBMS service is successfully established. The UE can simultaneously receive the same MBMS service from two PTM cells and combine the received MBMS service. The UE supports two combining modes: Soft combining: The transmission time difference between the current cell and the neighboring cell is within (one TTI + 1) timeslots and the TFCI in each transmission time interval (TTI) is the same. Selective combining: The transmission time difference between the current cell and the neighboring cell is within the reception time window stipulated by the radio link controller (RLC). The SCCPCH is decoded and the transmission blocks are combined in the RLC PDU phase 2008-12-22 All rights reserved Page33 , Total201
  • 34.
    W-Handover and CallDrop Problem Optimization Guide For internal use only 3.2 Traffic Statistics Analysis Flow The traffic statistics data is important to network in terms of information source. In addition, it is the major index to evaluate network performance. The handover traffic statistics data is includes RNC-oriented data and cell-oriented data. RNC –oriented data reflects the handover performance of entire network, while cell-oriented data helps to locate problematic cells. The analysis flow for SHO, HHO, inter-RAT handover, and HSDPA handover is similar, but the traffic statistics indexes are different from them. Figure 3-6 shows the analysis flow for handover traffic statistics data. 2008-12-22 All rights reserved Page34 , Total201
  • 35.
    W-Handover and CallDrop Problem Optimization Guide For internal use only Figure 3-6 Analysis flow for handover traffic statistics data 3.2.1 Analysis Flow for SHO Traffic Statistics The SHO success rate is defined as below: SHO success rate = SHO successful times/SHO times According to the flow, SHO includes SHO preparation process and SHO air interface process. The SHO preparation process is from handover judgment to RL setup completion. The SHO air interface process is active set update process. l Check the SHO success rate of entire network and cell in busy hour. If they are not qualified, analyze the problematic cells in details. l Sort the SHO (or softer handover) failure times of the cell by TOP N and locate the cells with TOP N failure times. List the specific indexes of failure causes. If locating specific causes from traffic statistics is impossible, analyze the corresponding CHR. Table 3-1 lists the detailed traffic statistics indexes to SHO (or softer handover) failure and analysis. 2008-12-22 All rights reserved Page35 , Total201
  • 36.
    W-Handover and CallDrop Problem Optimization Guide For internal use only Table 3-1 SHO failure indexes Failure causes Analysis Configuration nonsupport The UE thinks the content of active set update for RNC to add/delete links does not support SHO. This scenario seldom exists in commercial networks. Synchronization reconfiguration nonsupport The UE feeds back that the SHO (or softer handover) for RNC to add/delete links is incompatible with other subsequent processes. The RNC guarantees serial processing upon flow processing. This cause is due to the problematic UE. Invalid configuration The UE thinks the content of active set update for RNC to add/delete links is invalid. This scenario seldom exists in commercial networks. No response from UE The RNC fails to receive response to active set update command for adding/deleting links. This is a major cause to SHO (or softer handover) failure. It occurs in areas with weak coverage and small handover area. RF optimization must be performed in the areas. l Perform DT to re-analyze problems. The traffic statistics data provides the trend and possible problems. Further location and analysis of problems involves DT and CHR to the cell. DT is usually performed on problematic cells and signaling flow at the UE side and of RNC is traced. For details, see 3.1.3 . 3.2.2 Analysis Flow of HHO Traffic statistics The HHO traffic statistics includes outgoing HHO success rate and incoming HHO success rate: l Outgoing HHO Success Rate = Outgoing HHO Success Times/Outgoing HHO Times l Incoming HHO Success Rate = Incoming HHO Success Times/Incoming HHO Times Upon HHO failure, pay attention to indexes related to internal NodeB, between NodeBs, and between RNCs. Table 3-2 lists the HHO failure indexes. Table 3-2 HHO failure indexes Failure cause Analysis HHO preparation failure Radio link setup failure Analyze RL setup failure. Other causes Analyze the problem further based on CHR logs. Internal NodeB/Between NodeBs/Between RNCs HHO failure Configuration nonsupport The UE thinks it cannot support the command for outgoing HHO, because it is incompatible with HHO. PCH failure The cause is probably weak coverage and strong interference. Synchronization reconfiguration nonsupport The UE feeds back HHO is incompatible with other consequent processes due to compatibility problems of UE. 2008-12-22 All rights reserved Page36 , Total201
  • 37.
    W-Handover and CallDrop Problem Optimization Guide For internal use only Cell update Cell update occurs upon outgoing HHO. These two processes lead to outgoing HHO failure. Invalid configuration The UE thinks the command for outgoing HHO as invalid. This is a compatibility problem of UE. Other causes Analyze the problem further based on CHR logs. 3.2.3 Traffic Statistics Analysis Flow for Inter-RAT Handover The inter-RAT handover success rate includes voice inter-RAT handover success rate and PS inter-RAT handover success rate. Voice Inter-RAT Outgoing Handover Success Rate = Voice Inter-RAT Outgoing Handover Success Times/Voice Inter-RAT Outgoing Handover Attempt Times Voice Inter-RAT Outgoing Handover Success Times: when the RNC sends a RELOCATION REQUIRED message. Voice Inter-RAT Outgoing Handover Attempt Times: during CS inter-RAT outgoing, when the RNC receives an IU RELEASE COMMAND message, with the reason value Successful Relocation, or Normal Release. PS Inter-RAT Outgoing Handover Success Rate = PS Inter-RAT Outgoing Handover Success Times/PS Inter-RAT Outgoing Handover Implementation Times PS Inter-RAT Outgoing Handover Success Times: the RNC sends a CELL CHANGE ORDER FROM UTRAN message to UE. PS Inter-RAT Outgoing Handover Implementation Times: when the RNC receives an IU RELEASE COMMAND message, with the reason value Successful Relocation, or Normal Release. Voice Inter-RAT Outgoing Handover Success Rate The voice inter-RAT outgoing handover includes handover preparation process and implementation process. Figure 3-7 shows the voice inter-RAT outgoing handover flow. 2008-12-22 All rights reserved Page37 , Total201
  • 38.
    W-Handover and CallDrop Problem Optimization Guide For internal use only Figure 3-7 Voce inter-RAT outgoing handover flow During CS inter-RAT outgoing handover process, when the RNC sends a RELOCATION REQUIRED message to CN, if the current CS service is AMR voice service, count it as an inter-RAT handover preparation. When the RNC receives the IU RELEASE COMMAND message replied by CN, count it as inter-RAT outgoing handover success according to the SRNC cell being used by UE. If CS inter-RAT handover fails, check the failure statistics indexes listed in Table 3-3. Table 3-3 Traffic statistics indexes of CS inter-RAT handover preparation failure Failure cause Analysis RNC-level inter-RAT outgoing handover preparation failure Expiration of waiting for SRNS relocation command The CN does not respond the corresponding command for handover preparation request, because the CN parameter configuration or the corresponding link connection is problematic. To solve this problem, analyze the causes according to CN and BSS signaling tracing. SRNS relocation cancellation After the RNC requests handover preparation, it receives the release command from CN. This includes the following two cases: l The inter-RAT handover request occurs during signaling process like location update, so the flow is not complete before location update is complete. Finally the CN sends a release message. l The subscribers that are calling hang UE before handover preparation, so the CN sends a release message. The previous two cases, despite incomplete handover, are normal nesting flows. SRNS relocation expiration It corresponds to incorrect configuration of CN, so you must analyze the causes according to CN and BSS signaling tracing. SRNS relocation failure in target CN/RNC/system It corresponds to incorrect configuration of CN or BSS nonsupport, so you must analyze the causes according to CN and BSS signaling tracing. 2008-12-22 All rights reserved Page38 , Total201
  • 39.
    W-Handover and CallDrop Problem Optimization Guide For internal use only Unknown target RNC It corresponds to incorrect configuration of MSC parameters without information like LAC of target cell, so you must check the parameter configuration. It occurs easily after adjustment of 2G networks. Unavailable resource It corresponds to incorrect configuration of MSC parameters or unavailable BSC resources, so you must analyze the causes according to CN and BSS signaling tracing. Other causes Analyze the causes according to CN and BSS signaling tracing. Cell-level inter-RAT outgoing handover preparation failure SRNS relocation expiration The CN parameter configuration or the corresponding link connection is problematic, so you must analyze the causes according to CN and BSS signaling tracing. SRNS relocation failure in target CN/RNC/system It corresponds to incorrect configuration of CN or BSS nonsupport, so you must analyze the causes according to CN and BSS signaling tracing. SRNS relocation nonsupport in target CN/RNC/system The BSC fails to support some parameters of inter-RAT handover request, so you must analyze the causes according to CN and BSS signaling tracing. Other causes Analyze the causes according to CN and BSS signaling tracing. RNC-level/CELL-level inter-RAT outgoing handover failure Configuration nonsupport The UE fails to support the handover command in the network, so the UE is incompatible with the handover command. PCH failure The 2G signals are weak or the interference is strong so the UE fails to connect to the network. Other causes Analyze the problem further according to CHR logs and CN/BSS signaling tracing. PS Inter-RAT Handover Success Rate After the RNC sends the CELL CHANGE ORDER FROM UTRAN message, the PS inter-RAT outgoing handover fails if it receives the CELL CHANGE ORDER FROM UTRAN FAILURE message. You must check the indexes listed in Table 3-4. Table 3-4 Traffic statistics indexes of PS inter-RAT outgoing handover failure Failure cause Analysis RNC-level/CELL-level PS inter-RAT outgoing handover preparation failure Configuration nonsupport The UE fails to support the handover command of the network, because the UE is incompatible with the command. PCH failure The 2G signals are weak or the interference is strong, so the UE fails to access the network. Radio network layer cause The UE is probably incompatible. The UE detects that the sequence number of SNQ in the AUTN message is correct, so the handover fails. The value is synchronization failure. Transport layer cause The corresponding transport link is abnormal. 2008-12-22 All rights reserved Page39 , Total201
  • 40.
    W-Handover and CallDrop Problem Optimization Guide For internal use only Other causes You must analyze the causes according to CN and BSS signaling tracing. 3.2.4 Traffic Statistics Analysis for HSDPA Handover HSDPA switch includes l H-H (HS-DSCH to HS-DSCH) intra-frequency serving cell update l H-H inter-frequency serving cell update l HSDPA-R99 intra-frequency switch l HSDPA-R99 inter-frequency switch l HSDPA-GPRS switch The traffic statistics indexes are defined as below: l Success rate of H-H intra-frequency serving cell update = (Times of successful update of serving cell)/(attempt times update of serving cell) When the RNC sends UE the PHYSICAL CHANNEL RECONFIGURATION message, if the serving cell is updated, engineers count the attempt times of serving cell in the original serving cell.When the RNC receives the PHYSICAL CHANNEL RECFG COMPLETE message, if the serving cell changes, the RNC counts the times of successful update of serving cells in the original serving cell when the UE is in the SHO mode not in the HHO mode. l Success rate of H-H inter-frequency serving cell update = Times of successful outgoing inter-frequency HHO from HS-DSCH to HS-DSCH/Times of requested outgoing inter-frequency HHO from HS-DSCH to HS-DSCH When the RNC sends UE the PHYSICAL CHANNEL RECONFIGURATION message, and the inter-frequency HHO is from HS-DSCH to HS-DSCH, the RNC counts the times of requested outgoing inter-frequency HHO from HS-DSCH to HS-DSCH.When the RNC receives the PHYSICAL CHANNEL RECFG COMPLETE message from UE, and the inter-frequency HHO is from HS-DSCH to HS-DSCH, engineers count the times of successful outgoing inter-frequency HHO from HS-DSCH to HS-DSCH. l Success rate of H-H inter-frequency serving cell update = successful times of outgoing inter-frequency HHO from HS-DSCH to HS-DSCH/attempt times HHO from DCH to HS-DSCH in the cell When the RNC sends the UE the PHYSICAL CHANNEL RECONFIGURATION message, if the switch is the inter-frequency HHO from HS-DSCH to HS-DSCH, the RNC counts the successful times of inter-frequency HHO from HS-DSCH to HS-DSCH in the cell. l Success rate of H-to-R99 intra-frequency SHO = successful times of switch from HS-DSCH to DCH in multi-link mode in the cell/attempt times switch from HS-DSCH to DCH in multi-link mode in the cell. Success rate of R99-to-H intra-frequency SHO = successful times of switch from DCH to HS-DSCH in multi-link mode in the cell/attempt times switch from DCH to HS-DSCH in multi-link mode in the cell. In the DCCC or RAB MODIFY process, if the RNC decides to switch the channel in the cell, it sends the UE the RF RECONFIGURATION message. According to the channel state of the UE before and after reconfiguration, the RNC counts the previous indexes in the HSDPA serving cell. 2008-12-22 All rights reserved Page40 , Total201
  • 41.
    W-Handover and CallDrop Problem Optimization Guide For internal use only l Success rate of H-to-R99 intra-frequency HHO = successful times of outgoing intra-frequency HHO from HS-DSCH to DCH in the cell/attempt times outgoing intra-frequency HHO from HS-DSCH to DCH in the cell. When the RNC sends the UE the PHYSICAL CHANNEL RECONFIGURATION message, if the switch is the intra-frequency switch from HS-DSCH to DCH, the RNC counts the attempt times of inter-frequency HHO from HS-DSCH to DCH in the cell. When the RNC receives the PHYSICAL CHANNEL RECFG COMPLETE message from the UE, if the switch is the intra-frequency HHO from HS-DSCH to DCH, the RNC counts the successful times of outgoing intra-frequency HHO from HS-DSCH to DCH in the cell. Success rate of H-to-R99 inter-frequency switch update The RNC algorithm is unavailable now, so this index is unavailable. l Success rate of H-to-R99 inter-frequency switch update = successful times of outgoing HHO from HS-DSCH to DCH in the cell/attempt times outgoing inter-frequency HHO from HS-DSCH to DCH in the cell When the RNC sends the UE the PHYSICAL CHANNEL RECONFIGURATION message, if the switch is the inter-frequency switch from HS-DSCH to DCH, the RNC counts the attempt times inter-frequency HHO from HS-DSCH to DCH in the cell.When the RNC receives the PHYSICAL CHANNEL RECFG COMPLETE message from the UE, if the switch is the inter-frequency HHO from HS-DSCH to DCH, the RNC counts the successful times of outgoing inter-frequency HHO from HS-DSCH to DCH in the cell. Success rate of R99-to-H The RNC algorithm is unavailable now, so this index is unavailable. l Success rate of R99-to-H switch = successful times of switch from DCH to HS-DSCH in the cell/attempt times of switch from DCH to HS-DSCH in the cell In the DCCC or RAB MODIFY process, if the RNC decides to switch the channel in the cell, it sends the UE the RF RECONFIGURATION message. According to the channel state of the UE before and after reconfiguration, the RNC counts the attempt times of switch from DCH to HS-DSCH in the HSDPA serving cell. In the DCCC or RAB MODIFY process, if the RNC receives the RB RECONFIGURATION COMEPLTE message from UE, and the reconfiguration enables UE to switch from the DCH to HS-DSCH in the same cell, the RNC counts the successful times of switch from DCH to HS-DSCH in the HSDPA serving cell. l Success rate of H-to-GPRS handover update The traffic statistics does not include the index, and the index will be supplemented later. The causes to failure and analysis methods will be summarized later. 3.2.5 Traffic Statistics Analysis for HSUPA Handover The traffic statistics indexes for HSUPA are defined as below: l Success rate of SHO between HSUPA cells (including adding, replacing, and deleting) = attempt times of active set update/complete times of active set update. l Success rate of SHO serving cell update between HSUPA cells = successful times of SHO serving cell update/attempt times of SHO serving cell update. 2008-12-22 All rights reserved Page41 , Total201
  • 42.
    W-Handover and CallDrop Problem Optimization Guide For internal use only l Success rate of reconfiguration from DCH to E-DCH in the cell (SHO, intra-frequency HHO, and inter-frequency HHO) = successful times of handover from DCH to E-DCH/attempt times of handover from DCH to E-DCH. l Success rate of reconfiguration from E-DCH to DCH in the cell (including adding and replacing) = successful times of handover from E-DCH to DCH in SHO mode/attempt times of handover from E-DCH to DCH in SHO mode. l Success rate of intra-frequency HHO serving cell between HSUPA cells = successful times of intra-frequency HHO serving cell between HSUPA cells/attempt times of intra-frequency HHO serving cell between HSUPA cells. l Success rate of intra-frequency HHO from E-DCH to DCH from a HSUPA cell to a non-HSUPA cell = successful times of intra-frequency HHO from E-DCH to DCH/attempt times of intra-frequency HHO from E-DCH to DCH. l Success rate of inter-frequency HHO serving cell update between HSUPA cells = successful times of inter-frequency HHO serving cell update between HSUPA cells/attempt times of inter-frequency HHO serving cell update between HSUPA cells. l Successful times of inter-frequency HHO from a HSUPA cell to a non-HSUPA cell = successful times of inter-frequency HHO from E-DCH to DCH/request times of inter-frequency HHO from E-DCH to DCH. 2008-12-22 All rights reserved Page42 , Total201
  • 43.
    W-Handover and CallDrop Problem Optimization Guide For internal use only 3.3 SHO Cost Optimization To be supplemented. 2008-12-22 All rights reserved Page43 , Total201
  • 44.
    W-Handover and CallDrop Problem Optimization Guide For internal use only 4 CDR Index Optimization 4.1 Definition of Call Drop and Traffic Statistics Indexes 4.1.1 Definition of DT Call Drop According to the air interface signaling recorded at the UE side, during connection, DT call drop occurs when the UE receives: l Any BCH message (system information) l The RRC Release message with the release cause Not Normal. l Any of the CC Disconnect, CC Release Complete, CC Release message with the release cause Not Normal Clearing, Not Normal, or Unspecified. 4.1.2 Descriptions of Traffic Statistics Indexes A generalized CDR consists of CN CDR and UTRAN CDR. RNO engineers focus on UTRAN CDR, so the following sections focus on KPI index analysis at UTRAN side. The related index at UTRAN side is the number of RAB for each service triggered by RNC. It consists of the following two aspects: l After the service is set up, the RNC sends CN the RAB RELEASE REQUEST message. l After the service is set up, the RNC sends CN the IU RELEASE REQUEST message. Afterwards, it receives the IU RELEASE COMMAND sent by CN. Upon statistics, sort them by specific services. Meanwhile, traffic statistics includes the cause to release of RAB of each service by RNC. CS CDR is calculated as below: å = CS _ CDR 100 å * % CSRabrelTriggedByRNC CSRABSetupSuccess PS CDR is calculated as below: 2008-12-22 All rights reserved Page44 , Total201
  • 45.
    W-Handover and CallDrop Problem Optimization Guide For internal use only å = PS _ CDR 100 å * % PSRabrelTriggedByRNC PSRABSetupSuccess The failure cause indexes are sorted in Table 4-1. Table 4-1 Types of CDR indexes CDR type Cause Corresponding signaling process Due to air interface RF RLC reset and RL Failure Expiration of process timer RB RECFG Expiration of PHY/TRCH/SHO/ASU HHO failure Not due to air interface Hardware failure The transport failure between RNC and NodeB. NCP reports failure. FP synchronization failure. Transport layer failure ALCAP report failure Subscribers are released by O&M intervention force by MML The definition of RAN traffic statistics call drop is according to statistics of lu interface signaling, including the times of RNC's originating RAB release request and lu release request. The DT call drop is defined according to the combination of messages at air interface and from non-access lay and cause value. They are inconsistent. 4.2 DT/CQT Optimization Flow Figure 4-1 shows flow chart for analyzing call drop. 2008-12-22 All rights reserved Page45 , Total201
  • 46.
    W-Handover and CallDrop Problem Optimization Guide For internal use only Figure 4-1 Flow chart for analyzing call drop 4.2.1 Call Drop Cause Analysis Call drop occurs usually due to handover, which is described in chapter 3 . The following sections describe the call drop not due to handover. Weak Coverage For voice services, when CPICH Ec/Io is greater than –14 dB and RSCP is greater than –100 dBm (a value measured by scanner outside cars), the call drop is usually not due to weak coverage. Weak coverage usually refers to weak RSCP. Table 4-2 lists the thresholds of Ec/Io and Ec (from an RNP result of an operator, just for reference). Table 4-2 Thresholds of EcIo and Ec Service Bit rate of service DL EbNo EcIo thresholds Ec thresholds CS 12.2 12.2 8.7 –13.3 –103.1 2008-12-22 All rights reserved Page46 , Total201
  • 47.
    W-Handover and CallDrop Problem Optimization Guide For internal use only CS 64 64 5.9 –11.9 –97.8 PS 64 64 5.1 –12.7 –98.1 PS 128 128 4.5 –13.3 –95.3 PS 384 384 4.6 –10.4 –90.6 Uplink or downlink DCH power helps to confirm the weak coverage is in uplink or downlink by the following methods. l If the uplink transmission power reaches the maximum before call drop, the uplink BLER is weak or NodeB report RL failure according to single subscriber tracing recorded by RNC, the call drop is probably due to weak uplink coverage. l If the downlink transmission power reaches the maximum before call drop and the downlink BLER is weak, the call drop is probably due to weak downlink coverage. In a balanced uplink and downlink without uplink or downlink interference, both the uplink and downlink transmit power will be restricted. You need not to judge whether uplink or downlink is restricted first. If the uplink and downlink is badly unbalanced, interference probably exists in the restricted direction. A simple and direct method for confirming coverage is to observe the data collected by scanner. If the RSCP and Ec/Io of the best cell is low, the call drop is due to weak coverage. Weak coverage might be due to the following causes: l Lack of NodeBs l Incorrectly configured sectors l NodeB failure due to power amplifier failure The over great indoor penetration loss causes weak coverage. Incorrectly configured sectors or disabling of NodeB will occur, so at the call drop point, the coverage is weak. You must distinguish them. Interference Both uplink and downlink interference causes call drop. In downlink, when the active set CPICH RSCP is greater than –85 dBm and the active set Ec/Io is smaller than –13 dB, the call drop is probably due to downlink interference (when the handover is delayed, the RSCP might be good and Ec/Io might be weak, but the RSCP of Ec/Io of cells in monitor set are good). If the downlink RTWP is 10 dB greater than the normal value (–107 to –105 dB) and the interference lasts for 2s–3s, call drop might occur. You must pay attention to this. Downlink interference usually refers to pilot pollution. When over three cells meets the handover requirements in the coverage area, the active set replaces the best cell or the best cell changes due to fluctuation of signals. When the comprehensive quality of active set is bad (CPICH Ec/Io changes around –10 dB), handover failure usually causes SRB reset or TRB reset. Uplink interference increases the UE downlink transmit power in connection mode, so the over high BLER causes SRB reset, TRB reset, or call drop due to asynchronization. Uplink interference might be internal or external. Most of scenario uplink interference is external. Without interference, the uplink and downlink are balanced. Namely, the uplink and downlink transmit power before call drop will approach the maximum. When downlink interference exists, 2008-12-22 All rights reserved Page47 , Total201
  • 48.
    W-Handover and CallDrop Problem Optimization Guide For internal use only the uplink transmit power is low or BLER is convergent. When the downlink transmit power reaches the maximum, the downlink BLER is not convergent. It is the same with uplink interference. You can use this method to distinguish them. Abnormality Analysis If the previous causes are excluded, the call drop might due to problematic equipment. You need to check the logs and alarms of equipment for further analysis. The causes might be as below: l An abnormal NodeB causes failure of synchronization, so links keeps being added and deleted. l The UE does not report 1a measurement report so call drop occurs. You need to focus on the call drop due to abnormal testing UE, which occurs easily during CQT. Namely, the data recorded in DT does not contain the information reported by UE for a period. HSPA Call Drop Analysis For HSPA call drop analysis, refer to previous causes to R99 call drop. 4.2.2 Frequently-adjusted Non-handover Algorithm Parameters The frequently-adjusted non-handover algorithm parameters in call drop are as below: Maximum Downlink Transmit Power of Radio Link Configuring the transmit power of dedicated link to a great value helps to eliminate call drop points due to weak coverage, but it brings interference. The power of a single subscriber is allowed to be great, so the subscriber might impact other subscribers or lower downlink capacity of system when the subscriber consumes great power at the edge of a cell. The configuration of downlink transmit power is usually provided by link budget. An increase or decrease of 1–2 dB has little impact on call drop in signal DT, but it can be seen from traffic statistics indexes. The CDR of some cells is high due to weak coverage, you can increase the maximum transmit power of DCH. The access failure probability of some cells is high due to over high load, you can lower the maximum downlink transmit power of radio link. Maximum Retransmission Times of Signaling and Services When the BLER of the channel is high, the signaling is reset because the retransmission reaches the maximum times. A reset of signaling causes call drop. The services using AM mode for service transmission will also retransmit signaling. If the retransmission reaches the maximum times, the signaling is reset. The system configures the maximum reset times. When the reset times reaches the maximum, the system starts to release the service, which causes call drop. The default configuration of system guarantees that burst blocks will not cause abnormal call drop, and call drop occurs when UE moves to an area with weak coverage and when the reset is time, so the system releases resources. In some scenarios, burst interference or needle effect exists, so 100% block error occurs during burst interference. If you want have less call drop, increase the retransmission times improper to resist burst interference. This parameter is configured for RNC. 2008-12-22 All rights reserved Page48 , Total201
  • 49.
    W-Handover and CallDrop Problem Optimization Guide For internal use only 4.2.3 Judgment Tree for Call Drop Causes Based on various causes to call drop, the judgment tree for analyzing call drop is as shown in Figure 4-2. Figure 4-2 Judgment tree for call drop causes Preparing Data The data to be prepared include: l Data files collected by DT l Single subscriber tracing recorded by RNC l CHR recorded by RNC Obtaining Call Drop Location You need to use special software to process DT data. For example, the software Assistant helps to obtain call drop time and location, PICH data collected by scanner, information about active set and monitor set collected by UE, and the signaling flow. 2008-12-22 All rights reserved Page49 , Total201
  • 50.
    W-Handover and CallDrop Problem Optimization Guide For internal use only Analyzing Signal Variation of Best server From Scanner Analyze the signal variation of best server from scanner. l If the signals of best server are stable, analyze RSCP and Ec/Io. l If the signals of best server fluctuate sharply, you must analyze the quick variation of best server signals and the situation without best server. Consequently you can analyze call drop due to ping-pong handover. Analyzing RSCP and Ec/Io of Best cell Observe the RSCP and Ec/Io of best cell according to scanner. l If both RSCP and Ec/Io are bad, call drop must be due to weak coverage. l If RSCP is normal but Ec/Io is bad (delayed handover is excluded, intra-frequency neighbor cell interference), call drop must be due to downlink interference. l If both RSCP and Ec/Io are normal, When the cell in UE active set is inconsistent with the best cell according to scanner, call drop must be due to missing neighbor cell and delayed handover. When the cell in UE active set is consistent with the best cell according to scanner, call drop must be due to uplink interference or must be abnormal. Re-perform DT to Solve Problems A DT might not help to collect all information needed to locate call drop problems, so further DTs are needed. In addition, you can confirm whether the call drop point is random or fixed by further DT. You must eliminate fixed call drop points, but you can choose to eliminate random call drop points. 4.3 Traffic Statistics Analysis Flow When analyzing traffic statistics indexes, you need to check RNC call drop indexes and master the overall situation of network operation. Meanwhile, you must analyze the cell concern for detailed call drop indexes. You can obtain call drop of different services and approximate causes to call drop by using traffic statistics analyzers. To analyze traffic statistics indexes, you must analyze the cells with obviously abnormal indexes. If the KPIs of the cell are good, there must be problems with version, hardware, transport, antenna-feeder, or data. Based on alarms, you can check these aspects. If there are no abnormalities, you can form a list of cells with bad KPIs by classifying sector carriers. Analyze traffic statistics indexes of these cells (such as more indexes related, analyzing the interval between two periods, indexes leading to call drop, and handover indexes), and check the causes to call drop based on CHR. When solving problems, you need to focus on one index and combine other indexes. When the traffic volume reaches a certain level, the traffic statistics indexes work. For example, a CDR of 50% does not indicate a bad network. Only when the absolute value of call times, call success times, and total times of call drop is meaningful in terms of statistics, the traffic statistics indexes work. The flow for analyzing traffic statistics is as below. 2008-12-22 All rights reserved Page50 , Total201
  • 51.
    W-Handover and CallDrop Problem Optimization Guide For internal use only 4.3.1 Analyzing RNC CDR The RNC CDR involves the number of RAB of each service triggered by RNC, including two aspects: l After a service is established successfully, the RNC sends CN the RAB RELEASE REQUEST message. l After a service is established successfully, the RNC sends CN the IU RELEASE REQUEST message, and then receives the IU RELEASE COMMAND message sent by CN. AMR CDR = VS.RAB.Loss.CS.RF.AMR / VS.RAB.SuccEstab.AMR. VP CDR = VS.RAB.Loss.CS.Conv64K / VS.RAB.SuccEstCS.Conv.64. To analyze PS call drop of various rates, you can analyze the following indexes: l VS.RAB.Loss.PS.64K / VS.RAB.SuccEstPS.64 l VS.RAB.Loss.PS.128K / VS.RAB.SuccEstPS.128 l VS.RAB.Loss.PS.384K / VS.RAB.SuccEstPS.384 Based on analysis of previous indexes, you can obtain the performance of various services and rates in the network, as well as SHO/HHO call drop. More important, you can obtain the cells with bad indexes and periods. 4.3.2 Analyzing Causes to Call Drop In traffic statistics analysis, you must analyze the major causes to call drop. Table 4-3 lists the major indexes for analyzing traffic statistics. Table 4-3 Traffic statistics indexes for analyzing causes to call drop Failure cause Analysis OM interference The O&M tasks cause call drop. Causes due to RAB preemption High-priority preemption causes release of CS links. This kind of call drop occurs when the load and resources are limited. Performing expansion depends on the times of occurrence. Causes due to UTRAN The causes due to UTRAN in the cell lead to abnormal release of link. This corresponds to abnormal process, so you must further analyze it based on CHR. Uplink RLC reset Uplink RLC reset causes release of links, because the coverage quality (including missing neighbor cell and over mall handover area) is bad. Downlink RLC reset Downlink SRB reset causes release of links, because the coverage quality (including missing neighbor cell and over mall handover area) is bad. Uplink synchronization failure Uplink synchronization failure causes abnormal release of links. The coverage quality (including missing neighbor cell and over mall handover area) is bad, so the UE powers off the transmitter abnormally or uplink demodulation is asynchronous. 2008-12-22 All rights reserved Page51 , Total201
  • 52.
    W-Handover and CallDrop Problem Optimization Guide For internal use only Downlink synchronization failure Downlink synchronization failure causes abnormal release of links. The coverage quality (including missing neighbor cell and over mall handover area) is bad, so the UE powers off the transmitter abnormally or uplink demodulation is asynchronous. No response of UU port The UE air interface fails to respond the command transmitted by system, because the coverage is bad. Other RF causes It is due to RF causes and the coverage quality is bad. Abnormal AAL2 link The RNC detects that AAL2 Path at CS lu interface is abnormal, so the system originates an abnormal release. The problem might be due to abnormal transport equipment. Immediate normal release during RB establishment is counted by statistics as abnormal release as the cause. Abnormal GTPU The RNC detects the GTPU at PS lu interface is abnormal, so the system originates an abnormal release. The problem is due to equipment failure. Other causes You need to analyze the abnormal call drop based on RNC logs. You can classify the previous indexes Table 4-3 by the classification of previous chapters. They fall into air interface causes (RF and flow expiration) and not due to air interface causes (hardware failure, transport failure, and subscribers' interference). Therefore you can have an overall master of network and obtain the major causes impacting the network. 4.3.3 Check Cells If the previous KPIs of the cell are normal, check the alarms. By this, you can exclude the causes due to abnormal cells. 4.3.4 Further DT for Relocating Problems Analyzing traffic statistics indexes helps to expose potential problems. To locate and analyze problems, you need to use DT and CHR. For problematic cells, the cell-oriented DT is performed to trace the signaling flow at UE side and of RNC. For details, see 3.1 . 4.4 Optimization Flow for Tracing Data Analysis traced data includes analyzing single subscriber tracing message and performance monitoring. Based on the combination of single subscriber message and data at UE side recorded by data collection tools, you can locate basic call drop problems. For more complex problems, you need to use CHR and performance monitoring. By single subscriber tracing data, you need to locate and analyze problems concerning commercial UEs or key subscribers which are not recorded at UE side. Single subscriber tracing involves recording the following information: l Signaling message (lu, lur, lub, and Uu) of single subscriber l Performance tracing of CPICH RSCP and Ec/Io l UE transmit power l Uplink SIR, SIRTarget l Uplink BLER 2008-12-22 All rights reserved Page52 , Total201
  • 53.
    W-Handover and CallDrop Problem Optimization Guide For internal use only l Downlink code transmit power l Uplink and downlink traffic and throughput (for data services) Figure 4-3 shows the flow for analyzing call tracing. Figure 4-3 Flow for analyzing call tracing 4.4.1 Obtaining Single Subscriber Tracing Message You must first trace single subscriber tracing message on RNC or M2000 and then record the corresponding messages. For detailed tracing methods, see W-Equipment Room Operations Guide. Usually analyzing call drop problems by message for tracing IMSI is enough. 4.4.2 Obtaining Information about Call Drop Point According to single subscriber tracing messages, the call drop is defined as: l The RNC originates RAB release (the message is RANAP_RAB_RELEASE_REQ) l The RNC originates IU release (the message is RANAP_IU_RELEASE_REQ) The former corresponds to call drop caused by TRB reset. The latter corresponds to call drop caused by SRB reset. By searching for the previous two messages, you can obtain the call drop time and the signaling message before call drop for further analysis. 2008-12-22 All rights reserved Page53 , Total201
  • 54.
    W-Handover and CallDrop Problem Optimization Guide For internal use only 4.4.3 Analyzing Call Drop due to SRB Reset The call drop due to SRB reset is that the UE or RNC fails to receive signaling transmitted in confirmation mode, and consequently SRT reset occurs, so the connection is released. SRB reset occurs probably if the UE fails to receive the following messages in downlink: l Security mode process l Authentication and encryption process l Measurement control l Active set update l Physical channel reconfiguration l Transport channel reconfiguration l RB reset l Handover command from 3G to 2G (HANDOVER FROM UTRAN COMMAND) Confirm that the UE receives these messages by tracing messages at UE side. SRB reset occurs probably if the UE fails to receive the following messages in uplink: l Measurement report l Active set update complete l Physical channel reconfiguration complete l Transport channel reconfiguration complete l RB reconfiguration complete Confirm that the UE receives these messages by tracing messaged at RNC side. 4.4.4 Analyzing Call Drop due to TRB Reset TRB reset usually occurs in PS services. It seldom occurs in voice and VP services. Confirm TRB reset by the UE transmit power upon call drop and downlink code transmit power. When only one link exists in active set, uplink asynchronization causes RL failure which consequently causes lu release originated by RNC. Downlink asynchronization causes UE to power off transmitter, which consequently causes uplink asynchronization. To judge whether uplink asynchronization or downlink asynchronization causes release, you must analyze the UE transmit power before call drop and downlink code transmit power monitored in real-time state. Weak downlink coverage, strong downlink interference or uplink interference causes TRB reset. If the retransmission times of data services are improperly configured, TRB reset occurs before SRB reset upon delayed handover. Pay attention to this. 4.4.5 Analyzing Abnormal Call Drop Abnormal call drop can neither be located from coverage and interference nor be explained by TRB reset or SRB reset. It is caused by abnormal equipment or UE. For example, it might be caused by the following factors: l Abrupt transmission failure 2008-12-22 All rights reserved Page54 , Total201
  • 55.
    W-Handover and CallDrop Problem Optimization Guide For internal use only l Abnormal NodeB equipment l Abrupt breakdown of UE Analyze abnormal transmission by analyzing CHR or checking alarms. Confirm that the NodeB equipment is abnormal by querying NodeB state. Locate abnormal UE problems by analyzing data recorded by UE. 4.4.6 Performing CQT to Recheck Problems When the data is inadequate for locating call drop problems, you must start more detailed data tracing. The best method is to perform CQT at call drop points to recheck problems for further analysis. 4.5 Optimization Process for MBMS Call Drop Currently, the RNC V18 or V29 supports only the broadcast mode. In broadcast mode, the MBMS receives a control message from the MCCH to establish the MBMS service and radio bearer, without signaling interaction with the RNC. Therefore, we can substitute the MBMS session drop rate for the MBMS call drop rate. The MBMS session drop rate is defined as follows: MBMS session drop rate = number of MBMS session drop times/total number of successes of MBMS-on-demand x 100% Number of MBMS session drop times: One MBMS session drop time is counted once the MBMS service is exceptionally interrupted or the UE is in the buffering state for more than one minute. Total number of successes of MBMS on demand: Total number of successes of MBMS-on-demand originated by the UE. You can see from the terminal interface whether the MBMS service is exceptionally interrupted, and you need to use the drive test software to observe whether the UE is the buffering state for more than one minute. Currently, the software tool used for this purpose is Qualcomm drive test software QXDM. The possible causes for a high MBMS deactivation rate are as follows: The network coverage is poor. The RSCP and Ec/Io in the position where the UE is located are both low. In addition, a block error rate (BLER) of the FACH of the MBMS service also exists. The cell is in the preliminary congestion state and the channel power of the MBMS service is reset to the minimum; or the cell is in the over-congestion state and the MBMS service with a lower priority is released by force. The channel power can, however, be automatically recovered to the maximum or the service can be re-established through periodic detection. The UE is at the edge of the cells, and the neighboring cells are not configured for the cell in which the UE is located. As a result, the UE is unable to obtain a gain through soft combining or selective combining. Run the DSP CELLMBMSSERVICE command to query the status of the current MBMS service. If the MBMS service is not established successfully, the failure cause is displayed. You can improve the coverage rate by optimizing the RF, adding NodeBs, or adjusting the antennas. If the coverage does not improve, increase the maximum power of the MBMS traffic channel. If a neighboring cell is not configured, configure it. 2008-12-22 All rights reserved Page55 , Total201
  • 56.
    W-Handover and CallDrop Problem Optimization Guide For internal use only 5 FAQs Analysis 5.1 SHO Problems 5.1.1 Over High SHO Rate due to Improper SHO Relative Threshold Description The SHO rate in traffic statistics indexes is over high. More than two cells exist in active set most of the time during DT and are in SHO state. Analysis Analyze the relative threshold of 1A and 1B event, namely, reporting range. Figure 5-1 shows the SHO relative threshold 2008-12-22 All rights reserved Page56 , Total201
  • 57.
    W-Handover and CallDrop Problem Optimization Guide For internal use only Figure 5-1 SHO relative threshold Reporting range Event-triggered PCPICH 1 PCPICH 2 Periodic report Periodic report Reporting terminated report PCPICH 3 According to Figure 5-1, the greater the reporting range is, the more easily a neighbor cell is listed into active set and the more difficult it is deleted from active set. This causes over high SHO rate. A general method is to configure the threshold of 1A and 1B different. Configure the threshold of 1A event small (such as 3 dB) and keep the threshold of 1B threshold the same (5 dB). In this way, the cells with bad quality cannot be listed into active set easily and the cells with good quality can be listed into active set. Therefore the SHO rate is lowered based on normal SHO. 5.1.2 Delayed Handover due to Over Great Intra-frequency Filter Coefficient Description SHO hysteresis is serious in DT: though the signals of a neighbor cell are strong, the cell can be listed into active set after a long time. If the DT car moves quickly, call drop occurs due to delayed handover. Analysis Layer 3 filter reduces the impact by frequently-fluctuating signals and avoids ping-pong handover. The filter of measurement values is calculated as below: n n n F = - a × F + a ×M -1 (1 ) Wherein, Fn: the measurement resulted update after filter is processed. Fn-1: the measurement result of last point after filter is processed. Mn: the latest measurement value received in physical layer. 2008-12-22 All rights reserved Page57 , Total201
  • 58.
    W-Handover and CallDrop Problem Optimization Guide For internal use only a = (1/2)(k/2). The k is from Filter coefficient, namely, FilterCoef. If K = 0 and a = 1, there is no layer 3 filter. The filter coefficient ranges from 0 to 6 (integers). The greater it is, the stronger the capability of smoothing burr is and the weaker the capability of tracing signals is. You must make a balance. According to simulation, Table 5-1 lists the relationship between the filter coefficient and the corresponding tracing time. Table 5-1 Relationship between the filter coefficient and the corresponding tracing time Filter coefficient 0 1 2 3 4 5 6 7 8 9 11 Intra-frequency tracing time (s) 0.2 0.4 0.6 1 1.4 2 3 4.2 6 8.4 17 The distance between sites in dense urban areas is short and the handover time is short, so you must reduce the tracing time, namely, the filter coefficient. The value 2 is usually proper for filter coefficient of layer 3. 5.1.3 Missing Neighbor Cell Description The call drop point is related to signaling flow before call drop. Figure 5-2 shows the signaling flow recorded by UE before call drop. Figure 5-2 Signaling flow recorded by UE before call drop 2008-12-22 All rights reserved Page58 , Total201
  • 59.
    W-Handover and CallDrop Problem Optimization Guide For internal use only Analysis Check the pilot test data from UE and scanner at call drop points. Figure 5-3 shows the scrambles recorded by UE active set and scanner before call drop. In Figure 5-3, the measurement result of UE active set and canner is inconsistent and the SC 170 of scanner does not exist in UE active set. Figure 5-3 Scrambles recorded by UE active set and scanner before call drop The cause might be missing neighbor cell or delayed handover. Check scrambles in UE active set. Figure 5-4 shows the scrambles in UE active set before call drop. No SC 170 cell exists in UE monitor set, because this is possibly due to missing neighbor cell. 2008-12-22 All rights reserved Page59 , Total201
  • 60.
    W-Handover and CallDrop Problem Optimization Guide For internal use only Figure 5-4 Scrambles in UE active set before call drop Continue to check the neighbor cell list sent by RNC to UE before call drop, as shown in Figure 5-5 and Figure 5-6. According to the latest measurement control before call drop, no SC 170 exists in the neighbor cell list, because the call drop is due to missing neighbor cell of SC 6 and SC 170. 2008-12-22 All rights reserved Page60 , Total201
  • 61.
    W-Handover and CallDrop Problem Optimization Guide For internal use only Figure 5-5 UE intra-frequency measurement control point before call drop Figure 5-6 Analyzing signaling of UE intra-frequency measurement control before call drop If only the UE recorded information during test, without scanner information, confirm that call drop is due to missing neighbor cell by using the following method, as shown in Figure 5-7: 2008-12-22 All rights reserved Page61 , Total201
  • 62.
    W-Handover and CallDrop Problem Optimization Guide For internal use only l Confirm the scrambles of all cells in active set and the scrambles of cells in monitor set measured by UE before call drop. l Compare the scramble information of the cell where the UE camps on after reselection after call drop and the scrambles in UE active set and monitor set before call drop. If the former scramble is not in the scramble list of active set and monitor set before call drop, the call drop is probably due to missing neighbor cell. l Check the neighbor cell list. This applies for solving call drop due to missing neighbor cell on site. Figure 5-7 Confirming missing neighbor cell without information from scanner Solution Add neighbor cells. Because the RNC updates measurement control according to the best cell which is obtainable by searching for intra-frequency measurement report with 1D event before measurement control is sent. Usually they are configured to bi-directional neighbor cells. 5.1.4 Redundant Neighbor Cells According to the protocol, the maximum number of neighbor cell is 32 and the host cell is also included in these cells, so the actual intra-frequency neighbor cell is 31 at most. The intra-frequency neighbor cells of S subject are based on data of 2G neighbor cells. In the dense urban areas, the densely-located sites and combine make the intra-frequency neighbor cell list large. If the intra-frequency neighbor cells reach or exceed 31, a necessary neighbor cell found during optimization fails to be listed as an inter-frequency neighbor cell. For this, you must delete some redundant neighbor cells. You must be cautious to delete abundant neighbor cells. Deleting necessary neighbor cells leads to call drop. Following the principles below: 2008-12-22 All rights reserved Page62 , Total201
  • 63.
    W-Handover and CallDrop Problem Optimization Guide For internal use only l Before deleting neighbor cells, check the revision record of neighbor cells. Check that the cells to be deleted are not the ones that were added during previous DT and optimization. l After deleting neighbor cells, perform comprehensive test, including DT and CQT in important indoor spots. From this, you can check the variation of traffic statistics result of the corresponding cells. The traffic statistics result includes setup success rate, CDR, and handover success rate. Ensure there is no abnormality. Otherwise restore the configuration. If no reliable 3G handover times can serve as judgment at the network construction stage, you can estimate the handover probability by using the handover times of 2G neighbor cells. Table 5-2 lists the 2G handover times. Table 5-2 2G handover times Assist_GSM_HO_Count SERVCELL NCELL HOCOUNT 12531 10121 417 12531 10161 3262 12531 10162 2070 12531 10301 381 12531 10321 265 12531 12061 9 12531 12101 961 12531 12111 16 12531 12251 2 12531 12291 4 12531 12292 0 12531 12330 1082 12531 12391 1063 12531 12451 17019 12531 12532 16030 12531 12540 74 12531 12591 926 12531 12592 20994 12531 14051 2 12531 14072 2 12531 14091 211 12531 14111 1 2008-12-22 All rights reserved Page63 , Total201
  • 64.
    W-Handover and CallDrop Problem Optimization Guide For internal use only 12531 14460 321 12531 56361 16 12531 56362 0 12531 56820 0 12531 56910 206 Search for the neighbor cells with few handover times and even no handovers, such as cell 12531–12292. Figure 5-8 shows the location relationship of 2G redundant neighbor cells. Figure 5-8 Location relationship of 2G redundant neighbor cells According to Figure 5-8, multiple NodeBs are located between the cell 12531 and the cell 12292, so the handover probability is small. Therefore, delete the neighbor cell relationship. The judgment principles based on 2G statistics might have mistakes, so you must confirm that no call drop occurs after deleting the neighbor cell relationship. After network launch, the handover times in traffic statistics according to statistics reflects the real handovers, so deleting abundant neighbor cells by using the handover times in traffic statistics according to statistics is more reliable. You need to register the traffic statistics tasks of two cells on traffic statistics console of RNC. 2008-12-22 All rights reserved Page64 , Total201
  • 65.
    W-Handover and CallDrop Problem Optimization Guide For internal use only 5.1.5 Pilot Pollution Description and Analysis l Locating pilot pollution point Figure 5-9 shows the pilot pollution point near Yuxing Rd. SC270 cell is planned to cover the area with pilot pollution. Figure 5-9 Pilot pollution near Yuxing Rd. l Analyzing signal distribution of cells near pilot pollution point Figure 5-10 Best ServiceCell near Yuxing Rd. 2008-12-22 All rights reserved Page65 , Total201
  • 66.
    W-Handover and CallDrop Problem Optimization Guide For internal use only Figure 5-11 The 2nd best ServiceCell near Yuxing Rd. Figure 5-12 The 3rd best ServiceCell near Yuxing Rd. 2008-12-22 All rights reserved Page66 , Total201
  • 67.
    W-Handover and CallDrop Problem Optimization Guide For internal use only Figure 5-13 The 4th best ServiceCell near Yuxing Rd. Figure 5-14 Composition of pilot pollution near Yuxing Rd. From Figure 5-10, Figure 5-11, Figure 5-12, Figure 5-13, and Figure 5-14, though SC20 cell is planned to cover the area, but the best ServiceCell is as listed in Table 5-3. Table 5-3 Best servers and other cells Best ServiceCell Primary Others 1st best ServiceCell SC220 SC260 and SC270 2nd best ServiceCell SC270 SC260, SC220, and SC200 3rd best ServiceCell SC200 SC270 and SC260 4th best ServiceCell SC200 SC270 and SC260 l Analyzing RSSI distribution near pilot pollution point. Figure 5-15 shows the RSSI near Yuxing Rd.. 2008-12-22 All rights reserved Page67 , Total201
  • 68.
    W-Handover and CallDrop Problem Optimization Guide For internal use only Figure 5-15 RSSI near Yuxing Rd. Figure 5-16 shows the RSCP of Best ServiceCell near Yuxing Rd.. Figure 5-16 RSCP of Best ServiceCell near Yuxing Rd. As shown in Figure 5-15, the RSSI of the areas with pilot pollution is not large, about –100 dBm to –90 dBm. As shown in Figure 5-16, the RSCP of Best ServiceCell is between –105 dBm to –100 dBm. The pilot pollution of the area is caused by no strong pilot, so you can solve the problem by strengthening a strong pilot. l Analyzing RSCP Distribution of Related Cells Figure 5-17 shows the RSCP of SC270 cell near Yuxing Rd. 2008-12-22 All rights reserved Page68 , Total201
  • 69.
    W-Handover and CallDrop Problem Optimization Guide For internal use only Figure 5-17 RSCP of SC270 cell near Yuxing Rd. The SC270 cell is planned to cover the area. Figure 5-17 shows RSCP of RSCP distribution of SC270 cell. The signals from SC270 cell are weak in the area with pilot pollution. Solution According to on-site survey, the residential area is densely distributed by 6-floor or 7-floor buildings. The test route fails to cover the major streets, and is performed in narrow streets with buildings around, so the signals are blocked. The suggestion is to adjust the azimuth of SC270 cell from 150° to 130° and the down tilt from 5° to 3°. This enhances the coverage of SC270 cell. After analysis of DT data, the expected result after adjustment is that the coverage area by SC270 cell increases and the coverage is enhanced. Figure 5-18 shows the pilot pollution near Yuxing Rd. after optimization. 2008-12-22 All rights reserved Page69 , Total201
  • 70.
    W-Handover and CallDrop Problem Optimization Guide For internal use only Figure 5-18 Pilot pollution near Yuxing Rd. after optimization Figure 5-19 shows the best ServiceCell near Yuxing Rd. after optimization. Figure 5-19 Best ServiceCell near Yuxing Rd. after optimization Figure 5-20 shows the RSCP of best ServiceCell near Yuxing Rd. after optimization. 2008-12-22 All rights reserved Page70 , Total201
  • 71.
    W-Handover and CallDrop Problem Optimization Guide For internal use only Figure 5-20 RSCP of best ServiceCell near Yuxing Rd. after optimization Figure 5-21 shows the RSCP of SC270 cell near Yuxing Rd. after optimization. Figure 5-21 RSCP of SC270 cell near Yuxing Rd. after optimization According to the DT data, the pilot pollution near Yuxing Rd. after optimization is eliminated, the signals from SC270 cell after optimization are stronger, and the SC270 becomes the best ServiceCell. This complies with the expected result. 5.1.6 Turning Corner Effect Description and Analysis The turning corner effect exists in the following situation: The signals of original cell attenuates sharply, and the signals of target cell increases sharply, so the UE cannot receive the active set update messages, and consequently call drop occurs. The variance of Ec/Io is shown in Figure 5-22 (the interval between two points is 0.5s). 2008-12-22 All rights reserved Page71 , Total201
  • 72.
    W-Handover and CallDrop Problem Optimization Guide For internal use only Figure 5-22 Turning corner effect-signals attenuation cell56 vs cell041 0 -10 -20 -30 time EcNo cell56 cell041 According to Figure 5-22, the signals of original cell attenuate 10 dB sharply within 1s, and the signals of target cell increase 10 dB. If the signals are weak before attenuation, and 1a event is configured to easily-triggered state, the measurement report is sent according to traced signaling of the UE, and the RNC receives the measurement report according to signaling traced by the RNC. When the RNC sends the active set update message, the UE cannot receive it due to weak signals of original cell, so the signaling is reset, and call drop occurs. If 1a event is slowly triggered (such as configuring great hysteresis or triggering time), TRB reset occurs before the UE sends the measurement report. Figure 5-23 shows an example of turning corner effect. Figure 5-23 Turning corner effect-signal attenuation recorded by the UE According to Figure 5-23, before turning corner, the signals of active set scramble 104 and 168 attenuate to smaller than –17 dB, but that of 208 is strong (–8 dB). According to the signaling traced by the RNC, and the UE reports the 1a event of the cell of scramble 208, and sends the 2008-12-22 All rights reserved Page72 , Total201
  • 73.
    W-Handover and CallDrop Problem Optimization Guide For internal use only active set update message. The UE does not receive the completion message, so the call drop occurs, as shown in Figure 5-24. Figure 5-24 Turning corner effect-traced signaling recorded by the RNC Solution To solve turning corner effect problems, do as follows: l Configure 1a event parameter of a cell to enable handover to be triggered more easily. If you lower the triggering time to 200ms, you can reduce hysteresis. You must configure the triggering time for a specified cell, because the change of the parameter might lead to easily occurrence of handover between the cell and other cells without turning corner effect, or frequent ping-pong handover. l Configure the CIO between two cells with turning corner effect to add the target cell more easily. The CIO only affects the handover between two cells, with less impact, however, it impacts handover. The configuration leads to an increase of handover ratio. l Adjust antenna to enable the antenna of target cell cover the turning corner. This helps avoid fast variance of signals, and avoid call drop. Actually experiences help judge whether the adjustment of engineering parameters can cover the turning corner, so using this method is difficult. Based on previous analysis, the first method prevails. If it fails, use the second method. If the second method fails, use the third method (the third method is the best solution, especially in areas where you can adjust antenna easily). 2008-12-22 All rights reserved Page73 , Total201
  • 74.
    W-Handover and CallDrop Problem Optimization Guide For internal use only 5.1.7 Needlepoint Effect Description and Analysis The needlepoint effect is that affected by the strong signals of target cell in a short time, the original cell attenuates sharply, and then increase. The variance of Ec/Io is shown in Figure 5-25 (the interval between two points is 0.5s). Figure 5-25 Needle point-signal variance The needlepoint effect cause call drop in the following situations: l If the needlepoint lasts for a short period, unable to meet the handover conditions and to affect call drop, it will lead to deterioration of quality of service (QoS), such as over great BLER exists in downlink. l If handover occurs in the target cell, and the signals of the original cell is over weak, so the UE cannot receive active set update messages, and consequently call drop occurs. l If the needlepoint lasts for a short period, and the handover conditions are difficult to meet, so the signaling or service RB reset occurs due to weak downlink signals before handover. Finally, call drop occurs. l If the target cell completes handover, and becomes a cell in the active set, call drop occurs because the cell can exit the active set before completing a handover with the needlepoint disappearing quickly. Compared with turning corner effect, the needlepoint effect is more risky due to two handovers, and failure of one of the two causes call drop. The needlepoint lasts for a short period, so call drop may not occur if QoS is lowered (for example, configure a greater retransmission times). The turning corner effect causes an absolute call drop because the signals of original cell will not recover after turning corner. Observe the needlepoint effect by scramble distribution diagram of the best cell recorded by Scanner. If two antennas cover two streets respectively, at the crossing point, needlepoint effect occurs easily. Figure 5-26 shows the call drop distribution of PS384K intra-frequency hard handover (it is the best cell). Wherein, call drop point drop4, drop5, drop6, drop7, drop15, and drop16 are caused by needlepoint effect. 2008-12-22 All rights reserved Page74 , Total201
  • 75.
    W-Handover and CallDrop Problem Optimization Guide For internal use only Figure 5-26 Call drop distribution of PS384K intra-frequency hard handover Solution To solve problems caused by needlepoint effect, you can refer to the solution to turning corner effect. The key to adjust antenna is not to enable original signals attenuate sharply and not to enable target signals increase sharply. In addition, you can increase the retransmission times to resist to attenuation of signals so that CDR is lowered. 5.1.8 Quick Change of Best server Signal Description Figure 5-27 shows signal distribution of cell52 vs. cell88 (signal fluctuation in handover areas). 2008-12-22 All rights reserved Page75 , Total201
  • 76.
    W-Handover and CallDrop Problem Optimization Guide For internal use only Figure 5-27 Signal distribution of cell152 vs. cell88 (signal fluctuation in handover areas) After the UE hands over from cell 152 to cell 88, the signals of cell 152 are stronger than that of cell 88. In Figure 5-27, after the signals of cell 152 keep weaker than that of cell 88, the signals of cell 152 become stronger than that of cell 88 for continuous 2s. Analysis When the UE hands over from cell 152 to cell 88, and the signals of cell 152 become better than that of cell 88. This is similar to the needlepoint effect in 5.1.7 . Therefore quick change of best server signals causes the same handover failures as the needlepoint effect causes, as follows: l Ho Req SRB Reset l Ho Failure l TRB Reset To sole the problem, optimize RF engineering parameters and 1D event parameters to avoid ping-pong handover. 2008-12-22 All rights reserved Page76 , Total201
  • 77.
    W-Handover and CallDrop Problem Optimization Guide For internal use only 5.2 HHO Problems 5.2.1 Intra-frequency Ping-pong HHO due to Improperly Configured 1D Event Hysteresis Description The UE keeps performing intra-frequency HHO at the cell border, so the call quality declines and even call drop occurs. Analysis Reporting the 1D event triggers the inter-frequency HHO. The 1D event is reported when the best cell changes, as shown in Figure 5-28. Figure 5-28 Reporting 1D event The UE is at the border of two cells, so the signals from the two cells are equivalently strong. Signal fluctuation easily causes ping-pong handover to best cells. Frequent report 1D event triggers inter-frequency HHO. To avoid intra-frequency ping-pong HHO caused by 1D event triggered by frequent fluctuation of signals if the channels are similar, you can increase the hysteresis, as shown in Figure 5-29. 2008-12-22 All rights reserved Page77 , Total201
  • 78.
    W-Handover and CallDrop Problem Optimization Guide For internal use only Figure 5-29 Increasing hysteresis to reduce frequently reporting of 1D event According to Figure 5-29, the second times does not reach the hysteresis, so reporting 1D event is not triggered. 5.2.2 Delayed Origination of Inter-frequency Measurement due to Improper Inter-frequency Measurement Quantity Description When the UE moves to an inter-frequency cell, it fails to start compression mode to start inter-frequency measurement. It camps on the inter-frequency cell after disconnection. Analysis The cell mentioned previously is configured as the carrier central cell after querying cell configuration. Namely, the 2D event, 2F event, and inter-frequency measurement all take Ec/No as measurement quantity. The measured value of pilot Ec/No depends on the following two aspects: l CPICH RSCP strength l Downlink interference The downlink interference in the WCDMA network includes the interference from downlink signals of intra-frequency cells (the host cell and neighbor cells) and the background noise. Wherein, the downlink interference strength of intra-frequency cells is impacted by path loss and slow attenuation. It is similar to the attenuation that UE receives useful signals (such as CPICH RSCP). At the coverage edge of a carrier, when UE moves from the current cell to another cell, the CPICH RSCP attenuates at the same speed as the attenuation of interference (the background noise is not impacted by path loss, so the CPICH RSCP attenuates a little faster than interference attenuates. However, the difference between the two speeds is close (depending on the strength of background noise). Therefore the UE receives the signals the CPICH Ec/Io of 2008-12-22 All rights reserved Page78 , Total201
  • 79.
    W-Handover and CallDrop Problem Optimization Guide For internal use only which changes slowly. According to the simulation and on-site test, When the CPICH RSCP is about –110 dBm, the CPICH Ec/Io can reach about –12 dB. Figure 5-30 Attenuation relationship of RSCP and Ec/No If you take Ec/Io as the measurement quantity for 2D event, the 2D event will be triggered before call drop. Therefore adopting Ec/Io as the measurement quantity for 2D event will not trigger 2D event upon call drop of UE, so the inter-frequency measurement will not be started. In this case, configure the cell to carrier coverage edge cell and take RSCP as the measurement quantity for 2D/2F event so that inter-frequency measurement is originated in time. 2008-12-22 All rights reserved Page79 , Total201
  • 80.
    W-Handover and CallDrop Problem Optimization Guide For internal use only 5.3 Inter-RAT Handover Problems 5.3.1 Ping-pong Reselection Description In part of the office building of a commercial deployment, the UMTS-GSM dual-mode MS performs frequent ping-pong reselection of cells between 3G and the 2G network in the idle state. “2G” and “3G” flag are displayed in the screen of Siemens U15 and Moto A835 MSs. “WCP” and “GCP” are displayed in the screen of the Qualcomm test MS frequently. The reselection from the 3G network to the 2G network takes 1min on average. The reselection from the 2G network to the 3G network takes 1–2 minutes on average. During the testing, the location of the MS and the circumstance keep fixed. Analysis The reselection from the 3G network to the 2G network is as follows: l When the pilot signal quality Ec/Io in 3G cells minus Qqualmin is less than the inter-RAT measurement start threshold SsearchRAT, the UE started to measure the 2G neighbor cell. l When the quality of signal in 2G neighbor cells satisfies the cell reselection criteria and lasts for Treselection, the UE selects 2G cells. 3G RSCP is below –90 dBm at the borders of 3G network. However the 2G RSCP ranges from –60 dBm to –70 dBm with signals of good quality. Therefore, once the UE starts to measure the 2G neighbor cells and the signal in the cell fails to be better in Treselection, the UE reselects the 2G cells. The key parameter in reselection from the 3G network to the 2G network in test is SsearchRAT. The rational configuration of the reselection delay timing parameter Treselection helps solve ping-pong reselection. The reselection from the 2G network to the 3G network is as follows: l When the signal strength of 2G serving cell satisfies the inter-RAT start threshold Qsearch_I, the 3G neighbor cells are measured. From optimized 3G strategy, the current configuration is 7 (always start). l When the signal strength RSCP of the 3G cell minus the current RLA_C (the average signal strength in 2G serving and non-serving cells) is greater than FDD_Qoffest, and it lasts 5s, the 3G cell can serve as the target cell to be reselected. The current FDD_Qoffset is 7 (always reselect 3G cells). l When the signal quality Ec/Io of the 3G cell is greater than or equal to FDD_Qmin threshold, the 3G cell can serve as the target cell to be reselected. l In the cells that satisfy the previous conditions, the UE select the cell of best quality as the target cell to be reselected. Therefore, the key parameter in from the 2G network to 3G is FDD_Qmin. The default configuration is –12 dB. 2008-12-22 All rights reserved Page80 , Total201
  • 81.
    W-Handover and CallDrop Problem Optimization Guide For internal use only Solutions In network optimization, the operator can take the following adjustment: l The operator increases the interval between SsearchRAT and FDD_Qmin. According to the default parameters, if 3G CPICH Ec/Io is greater than –12 dB in the GSM system, the UE reselects the 3G network. If 3G CPICH Ec/Io is less than or equal to –14 dB, the UE reselects the GSM network from 3G network. In the current parameters configuration, the signal fluctuation of 3G CPICH Ec/Io decides the frequency of cell reselection. If the signal fluctuation is over 1 dB, the ping-pong reselection occurs. In field test of 3G cells, if Ec/Io is less than –14 dB, the UE drops off the network easily, so the SsearchRAT cannot be less, and FDD_Qmin can be increased. The value range of FDD_Qmin is over small, so it can be only set to its maximum value –13 dB. Since the protocol of September 2003, the value range of FDD_Qmin is increased through CR GP-032221 (see 5.2 for details). If the UE is updated according to GP-032221, the FDD_Qmin is increases completely. If FDD_Qmin is set to –8 dB, compared with the start measurement threshold –14 dB of reselection from the 3G network to 2G network, FDD_Qmin has a space of 6 dB. In this way, the ping-pong reselection caused by signal fluctuation is less likely. l Treselection is increased. If the default configuration is 1s, the Treselection can be set to 5s. In this way, the reselection between the 3G network and the 2G network is reduced. 5.3.2 PS Inter-RAT Ping-pong Handoff Description The UE performing PS domain services hands off between the 3G network and the 2G network. Analysis For inter-RAT handoff of CS and PS, the services for CS and PS are different in handoff between the 2G network and the 3G network. l In CS service, after handoff from the 3G network to the 2G network and after release of services in the 2G network, the UE reside again in the 3G cell through reselection from the 2G network to the 3G network or reselection of PLMN. l In PS service, after the reselection from the 3G network to the 2G network started by the network, the UE re-accesses the 2G network. In services transmission, the UE performing PS services may return to the 3G network through reselection between the 2G network and the 3G network. According to the analysis of 3.1 , in the reselection of the cells performing PS domain services from the 2G network to 3G network, the actual working factor is the configuration of FDD_Qmin (measuring Ec/Io). If Ec/Io is greater than FDD_Qmin, the UE reselects 3G network.Whether the UE has handed off from the 3G network to the 2G network is judged through measuring RSCP in condition of the cell as a border cell. Measuring RSCP cannot assure that Ec/Io is greater than FDD_Qmin, so no mechanism can avoid ping-pong handoff. The solutions lie in as follows: l The measurement target of 2G and the 3G network is unified. If this cannot be performed, the following method is adopted. 2008-12-22 All rights reserved Page81 , Total201
  • 82.
    W-Handover and CallDrop Problem Optimization Guide For internal use only l The start parameters in compression mode and reselection threshold from the 2G network to the 3G network is adjusted. Solutions l Unification of measurement target in the 3G network and the 2G network When there are more than one 3G cells, the change of Ec/Io indicates the change of 3G cell quality. If the cell property is configured as “carrier center cell” and the measurement target in 2D event is Ec/Io, the measurement target between 3G and the 2G network is Ec/Io. The default parameter of 2D/2F with the measurement target Ec/Io is –24 dB. The parameter can be adjusted to –12/–10 dB to avoid ping-pong handoff. In addition, the new 3GPP TS 05.08 protocol defines the RSCP (FDD_RSCP) that can measure the 3G network in reselection from the 2G network to the 3G network. Now only Ec/Io can be tested. The adjustment fits the 3G cells the cell property of which is “carrier border cell”. However many current NEs does not support this. l Adjustment of start parameters in compression mode and reselection threshold from 2G to 3G network The adjustment fits the 3G cells the property of which is “carrier border cell”. Only 3G Ec/Io can be measured in reselection from the 2G network to 3G network. The start/stop threshold in compression mode can be lowered to –105/–100 dBm. 5.3.3 Failure in handoff from 3G to the 2G network Description In the office building of a commercial deployment, when the UE originates a call in areas covered by the 3G network and moves towards the areas covered by the 2G network, the call drops easily. The call succeeds one or two times every ten times. Analysis The 2G neighbor cells configuration of the 3G network cells that cover the office building in the WCDMA network parameters is examined. The 2G cells that cover office building need to be confirmed in the 2G neighbor cells list. UMTS outdoor macrocells are used to perform 3G coverage in the office building, the test route is switched by passing two iron doors. After the operator opens the door, enters, and closes the door, the signal attenuates sharply. Figure 5-31 shows the UMTS signal distribution observed by a scanner. The signal attenuates sharply, so the handoff is not performed in time, and then the call drops. The key solution is to adjust the inter-RAT switching parameters. This leads to an earlier and faster handoff. The operator does as follows: l Change the cell independent offset (CIO) in the GSM neighbor cell from 0 dB to 5 dB. The UE hands off to the GSM cell more easily. Call still drops in test. l Change 2D RSCP Threshold from –95 dBm to –85 dBm to –75 dBm. The inter-RAT measurement starts earlier. Call still drops in test. l Change GSM RSSI from –90 dBm to –95 dBm. The UE hands off to GSM cells more easily. Call still drops in test. 2008-12-22 All rights reserved Page82 , Total201
  • 83.
    W-Handover and CallDrop Problem Optimization Guide For internal use only l Change 2D Trigger Time from 640ms to 320ms to 0ms. The inter-RAT measurement starts more easily. Call still drops in test. Change the parameter back to 640ms. l Change the cell location property from “carrier border” to “carrier center” (the associated measurement changes from RSCP to Ec/Io). Change 2D Ec/Io Threshold from –24 dB to –10 dB. Call still drops in test. l Change Inter RAT handover trigger time from 5000ms to 2000ms. The UE performs inter-RAT more quickly. Call drop is improved. l Recover the parameter changed in Step 5 as it was. l Change Inter RAT handover trigger time from 2000ms to 1000ms. The UE performs inter-RAT handoff more quickly. Call drop is solved. The adjustment results in that the change to the parameter Inter RAT handover trigger time is the most effective to complete inter-RAT handoff. Figure 5-31 Indoor 3G RSCP distribution Solutions The operator checks as follows: l Check that 2G neighbor cells are validly configured. l Reduce TimeToTrigForVerify (TimeToTrigForNonVerify needs no change. The current protocol defines that the UE needs not to report on NonVerify) to make UE hand off to the 2G network more quickly. l Increase GSM CIO. This increases the possibility of handoff to the 2G network, but increases the coverage of the 2G network and reduces the coverage of 3G, therefore this step need consideration. 2008-12-22 All rights reserved Page83 , Total201
  • 84.
    W-Handover and CallDrop Problem Optimization Guide For internal use only l Increase the GSM RSSI handoff threshold. This increases the coverage of the 2G network, but reduces the coverage of 3G network, therefore this step needs consideration. Increase 2D/2F threshold in compression mode to start compression mode earlier. 5.3.4 Inter-RAT Handover Call Drop Missing Neighbor Cell Confirm the call drop due to missing neighbor cell by 3G cell information displayed on M testing cell. You must check whether the neighbor cells are missing in the following situations: l The signals of 3G cell are weak. l Ec is smaller than –110 dBm. l Ec/Io is smaller than –10 dB. l A 2G testing UE detects that the 2G signals of indoor DAS are strong l The UE starts compression mode for measurement l The UE does not sent the measurement report of 2G neighbor cells. The following are two examples. l Example 1: 14:24:17(12): According to RB Setup, the UE accesses the network by PSC 417. 14:25:36(02): The UE does not report 2D measurement report until call drop. The RNC does not send measurement control report. Conform that no inter-RAT neighbor cells are configured by examining parameters. If the cells are added, call drop problems are solved. l Example 2: 16:38:18(18): The UE reports 1D event of cell 273, and cell 273 becomes the best cell. However, the BCCH 538 indoor 2G cell is not configured as an inter-RAT neighbor cell of cell 273. 16:38:40(20): The UE keeps sending measurement reports, but detects that the signals of other GSM neighbor cells are weak. Therefore the RNC does not start handover, and then call drop occurs. The cell of PSC273 and PSC 264 alternate to be the best server. Indoor GSM neighbor cells are configured as the inter-RAT neighbor cells of the cell of PSC264, but the cell of PSC273 is not configured with any neighbor cells.When the UE enters indoor, the cell of PSC273 becomes the best server, so call drop occurs. After indoor GSM neighbor cells are configured as the inter-RAT neighbor cells of the cell of PSC273, no call drop occurs. Abundant Inter-RAT Neighbor Cells According to the signaling, the phenomena of excessive inter-RAT neighbor cells are as follows: 2008-12-22 All rights reserved Page84 , Total201
  • 85.
    W-Handover and CallDrop Problem Optimization Guide For internal use only After the RNC sends Physical channel reconfiguration and inter-RAT measurement control messages, the UE keeps sending the measurement report of Nonverified until call drop. In S subject, for convenient configuration of parameters, the original 2G neighbor cell information is used to configure inter-RAT neighbor cells. All the inter-RAT cells are configured as the neighbor cells of 3G cells. Inter-RAT cell offset is configured to enable the UE to hand over to the target cell and to disable the UE to hand over to the undesired cell. If excessive neighbor cells are configured, the UE must spend more time on inter-RAT measurement. The measurement internal of UE is limited, excessive neighbor cells delay UE to measure available neighbor cells, so call drop occurs. Example : 11:30:11(92): The RNC sends measurement control messages (23 inter-RAT neighbor cells) 11:32:22(61): The UE keeps reporting to BSIC Nonverified cell until 2 minutes before call drop. Configure the inter-RAT neighbor cells to the needed four neighbor cells, the MotoA835 hands over successfully. Improper Configuration of LAC Confirm improper configuration of LAC by signaling. The CN replies the No Resource Available messages, so examining data configuration before test is necessary. In addition, if the mobile switching center (MSC) fails in assigning related resources, such as inter-MSC trunk resources, the T resource to MGW, control table resource, the CN might reply the No Resource Available messages. Example : 10:53:23(29): The RNC sends the Relocation Require message due to the No Resource Available message. 10:53:23(71): The CN replies the Relocation Failure message due to the No Resource Available message. The RNC keeps sending Relocation Require message due to No Resource Available message until call drop, and is rejected. The actual LAC is 21000. After adjustment, the UE succeeds in handover. No Measurement Report by UE If the UE does not send measurement report, the UE performs the same as when the neighbor cells are missing. The phenomena are as follows: l The signals of 3G cell is weak l Ec is smaller than –110 dBm. l Ec/Io smaller than –10 dB. l A 2G testing UE detects that the 2G signals of indoor DAS are strong l The UE does not hand over. Check the signaling to confirm whether the UE send measurement report messages. If you compare it with terminals of other types, confirming the problem is easier and more accurate. 2008-12-22 All rights reserved Page85 , Total201
  • 86.
    W-Handover and CallDrop Problem Optimization Guide For internal use only Example : l Moto A835 handset: 16:38:05(99): The UE sends 2D measurement reports. 16:38:06(06): The RNC sends Physical channel reconfiguration (active sets contains PSC46, PSC492, and PSC36) 16:38:07(19): The RNC receives Physical channel reconfiguration completion, and then sends measurement control messages. 16:38:08(75): The cell of PSC 492 reports 1D and becomes the best server. It sends new measurement control messages after 1.5s. 16:39:19(73): The system does not receive the UE inter-RAT measurement report before call drop. l Qualcomm 6250 handset 16:38:42(16): The UE sends 2D measurement reports. 16:38:42(49): The RNC sends Physical channel reconfiguration (active set contains PSC46 and PSC492) 16:38:43(43): The RNC receives Physical channel reconfiguration completion message, and it sends measurement control messages. 16:38:47(74): The UE report BCCH 847 BSIC Verified, and the level is –67 dBm. 16:38:48(88): The RNC sends HO CMD message, so the handover succeeds. In the test of handover between outdoor 3G to indoor 2G DAS, the Moto A835 handset does not send inter-RAT the measurement report for multiple times. The IOT engineers think that the version of out handset is not updated, and they recommend updating handset version. Delayed Handover According to signaling of the RNC, a normal inter-RAT handover takes 5s. The following are the time needed by the RNC, longer than that on UE. If the walking speed is 3 km/h, it takes 4–5 meters. The time depends on different scenes. 16:21:06(30): The UE sends the 2D measurement report. 16:21:06(37): The RNC sends the Physical channel reconfiguration message. 16:21:07(46): The UE sends the Physical channel reconfiguration completion message. 16:21:09(72): The UE sends the inter-RAT measurement reports. 16:21:10(48): The system sends the UE HO FROM UTRAN CMD GSM message. 16:21:11(11): The RNC sends the Iu interface Release Command message. When the UE moves outdoor to indoor with the 3G signals fluctuating sharply, call drop occurs due to delayed handover. According to the signaling, the phenomena of delayed handover are as follows: l During the handover process, the RNC originates lu Release because: − The NodeB reports RL Failure. − The NodeB does not report RL failure, but SRB reset occurs. 2008-12-22 All rights reserved Page86 , Total201
  • 87.
    W-Handover and CallDrop Problem Optimization Guide For internal use only l The CN originates lu Release command, due to treloccomplete expire. l Other situations: 3G signaling is normal, but actually the call drops. You can only know whether the UE confronts call drop problems by checking the UE call drop recorded in test. Example 1: l Moto handset: 15:26:27(87): The RNC sends Physical channel reconfiguration (active set contains PSC201 and PSC16). 15:26:30(30): The UE report BCCH 844 BSIC Nonverified, and the level is –87 dBm. 15:26:31(26): The UE report BCCH 844 BSIC verified, and the level is –88 dBm. 15:26:32(13): The RNC sends the HO CMD message. 15:26:34(25): The UE sends inter-RAT measurement reports, but does not hand over. This is because the UE does not receive HO CMD sent by the RNC, or the UE fails in accessing the 2G network. The CN sends lu Release due to treloccomplete expire (normally successful relocation causes lu Release, and the UE succeeds in accessing the 2G network). l Qualcomm handset in the same test period: 15:26:27(43): The RNC sends Physical channel reconfiguration (active set contains PSC201 and PSC16). 15:26:30(90): The UE report BCCH 844 BSIC verified, and the level is –79 dBm. 15:26:32(13): The RNC sends HO CMD, and the handover succeeds. Here is the entrance to parking yard of Taigu Shopping Hall. Before call drop, the Moto handset indexes as follows: l Ec is smaller than –110 dBm. l Ec/Io is small than –15 dB. In addition, according to comparison of two terminals, they are different in measuring GSM level (Qualcomm 6250 uses an external antenna, while Moto A835 uses a built-in camera). This affects the inter-RAT measurement. Example 2: l Moto handset: 17:08:59(61): The UE sends 2D measurement reports, and the RNC sends Physical channel reconfiguration. 17:09:00(78): The RNC receives Physical channel reconfiguration completion, and sends measurement control messages. 17:09:04(35): The NodeB is out of synchronization, so call drop occurs, and no inter-RAT the measurement report is sent. 17:09:20(89): The RNC originates Iu Release due to Radio Connection with UE lost. l Qualcomm handset in the same test period: 17:08:59(29): The UE sends 2D measurement reports, and the RNC sends Physical channel reconfiguration. 2008-12-22 All rights reserved Page87 , Total201
  • 88.
    W-Handover and CallDrop Problem Optimization Guide For internal use only 17:09:00(33): The RNC receives Physical channel reconfiguration completion, and sends measurement control messages. 17:07:58(81): The RNC receives the measurement report from UE, BCCH 853, and the level is –61dBm. 17:08:00(25): The RNC sends HO CMD. 17:08:00(90): The CN sends Iu Release Command (successful relocation). Actually, call drop occurs during handover. Now the starting threshold of compression mode is as high as –95 dBm. Do not change it to avoid impact on other parts of the network so that the handover occurs earlier. Change of Best Cell in Physical Channel Reconfiguration According to the test result, if the best cell changes, the handover is delayed, so call drop occurs in the following situations: l Between RNC sending Physical channel reconfiguration and receiving Physical channel reconfiguration completion sent by UE (about 1s). l After Physical channel reconfiguration process is complete. Example 1: 14:06:18(75): The best server PSC201 report 2D event (meanwhile, PSC16 is in the active set). 14:06:18(82): The RNC sends Physical channel reconfiguration. 14:06:18(95): The UE reports 1D event of PSC16 cell. 14:06:19(95): The RNC receives Physical channel reconfiguration completion from UE, and it sends inter-RAT measurement control message of PSC201 cell, and inter-frequency and intra-frequency measurement control of PSC16 cell. 14:06:20(94): The UTRAN sends 1B event to the UE to delete PSC 201. 14:06:21(45): The RNC sends inter-RAT measurement control to the cell of PSC16 (3s delay compared with 1D event). 14:06:22(83): The UE reports the GSM cell 852 (BSIC Verify) according to the new measurement control, and the RSSI is –79 dBm. The RNC does not process the report (to prevent UE from handing over to incorrect cell, the RNC must process UE measurement report 3s after sending new measurement control) 14:06:28(94): NodeB is out of synchronization, so call drop occurs. Example 2: Qualcomm handset: 14:53:08(63): The UE sends 2D measurement reports, and the RNC sends Physical channel reconfiguration (the cell 144 is the best server) 14:53:09(67): The RNC receives Physical channel reconfiguration completion, and sends measurement control messages. 14:53:16(58): The UE sends 1D measurement reports, and cell 137 becomes the best server. Therefore the RNC sends the measurement control messages of best server 137, including inter-RAT neighbor cells (the neighbor cell list is different from that of cell 144) 2008-12-22 All rights reserved Page88 , Total201
  • 89.
    W-Handover and CallDrop Problem Optimization Guide For internal use only 14:53:16(62): The RNC does not receive the measurement report from UE, and ensures that the cell ID is in the list of neighbor cells of cell 144. The RNC does not process the reports 14:53:19(99): The RNC originates Iu Release. If different interRATCellID is used in inter-RAT measurement control, will the RNC avoid this problem? UE Hand Back Failure Other abnormalities in handover might cause handover failure. Example : 14:07:37(38): The UE reports BCCH the measurement report of cell 852, Nonverified BSIC. 14:07:38(38): The TimeToTrigger of Nonverified is 1s, and after 1s, the RNC sends Relocation to CN. 14:07:38(38): The UE sends BCCH the measurement reports of cell 852, verified BSIC. 14:07:38(74): The CN replies that Relocation Prepare fails (no radio resources). 14:07:38(78): The UE sends the measurement report before failure, so the RNC again originates Relocation to CN. 14:07:40(12): The CN replies Relocation to RNC, and RNC sends HO CMD to UE. 14:07:40(79): However, the UE replies HO FAIL. Late, the UE keeps deleting cell 201 which is the best server, so the RNC does not process the request. The 3G signals are weak, so call drop occurs. Delayed Starting of Compression Mode l Description: The UE cannot hand over from the 3G network to the 2G network smoothly. In details, the UE originates a call in 3G coverage areas or uses PS services, and then enters 2G coverage areas. However, it fails in handing over to 2G networks, so call drop occurs. Analyze the signaling process at RNC side, and check the causes to handover failure. The causes include: − The network side fails in receiving 2D report from UE, so compression mode is not started. Consequently 2G cells are not measured, and then asynchronization or SRB/TRB reset cause call drop. − The network side receives 2D report, but compression mode is not started. The reason is that the network side sends a PHY_CH_RECFG message, but the UE fails in sending ACK message or PHY_CH_RECFG_CMP, so SRB is reset, and call drop occurs. − The network side receives Verified measurement reports. After it sends UE the handover messages, the UE fails in receiving it, so call drop occurs (also for other reasons). 2008-12-22 All rights reserved Page89 , Total201
  • 90.
    W-Handover and CallDrop Problem Optimization Guide For internal use only The above cases are due to delayed starting of compression mode, so the quality of signals of the original cell becomes weak. Therefore subsequent starting compression mode and handover process cannot proceed normally. l Analysis: Starting compression mode is affected by 2D event configuration of ID2 measurement control sent by the network side. You can enable 2D event to be reported more quickly by the following methods: − Increasing the threshold of 2D event − Reducing hysteresis − Reducing delayed triggering time Now the back system can configure different starting threshold of inter-RAT compression mode for signaling, CS and PS services. 2008-12-22 All rights reserved Page90 , Total201
  • 91.
    W-Handover and CallDrop Problem Optimization Guide For internal use only 5.4 Call Drop Problems 5.4.1 Over Weak Coverage Description and Analysis Figure 5-32 shows the call drop due to coverage problems. Figure 5-32 Analyzing weak signals Figure 5-32 describes the following indexes: l Scrambles, Ec/Io, and RSCP of cells in active set before call drop l Scrambles and Ec/Io of cells in monitor set l Transmit power of UE, BLER of transport channel, and call drop time The DT data analysis software Analyzer provides the previous data. According to the data before call drop, the Ec/Io of active set is smaller than –15 dB and the RSCP is close or smaller than –110 dBm, so the call drop must be due to downlink weak coverage. After call drop, the UE camps on the cell of SC 232 the quality of which is bad, so the call drop must not be due to missing neighbor cell. According to the Figure 5-32, the transmit power of UE approaches 21 dBm and the downlink BLER before call drop reaches 100% (due to the comprehensive effect by inner loop and outer loop, the downlink code transmit power reaches the maximum. Confirm this by using the data 2008-12-22 All rights reserved Page91 , Total201
  • 92.
    W-Handover and CallDrop Problem Optimization Guide For internal use only for tracing the performance of RNC). According to previous analysis, the uplink and downlink are balanced. To sum up, the call drop is due to bad coverage. Solution To solve coverage problems, you must adjust engineering parameters of antennas or construct new sites. 5.4.2 Uplink Interference Description and Analysis Uplink interference leads to unbalanced uplink and downlink, so call drop occurs. Figure 5-33 shows the uplink interference according to RNC signaling. 2008-12-22 All rights reserved Page92 , Total201
  • 93.
    W-Handover and CallDrop Problem Optimization Guide For internal use only Figure 5-33 Uplink interference according to RNC signaling According to Figure 5-33, the RNC sends a CC Connect message, but the UE does not respond to the CC Connect message. This causes the call drop. Figure 5-34 Uplink interference according to UE signaling The UE receives the CC connect message sent by RNC and then replies with CC connect Acknowledge message which the RNC fails to receive. The following paragraphs describe the signals before and after call drop. Figure 5-35 shows the uplink interference information recorded by UE. 2008-12-22 All rights reserved Page93 , Total201
  • 94.
    W-Handover and CallDrop Problem Optimization Guide For internal use only Figure 5-35 Uplink interference information recorded by UE From the UE side, the downlink PCICH Ec and Ec/Io are good, but the uplink transmit power approaches the maximum. Therefore it is probably an uplink problem. Interference: The problematic site is the site 90640. The cells involve the cell 24231 and 24232. The RTWP of the cell fluctuates sharply. Figure 5-36 RTWP variation of the cell 89767 2008-12-22 All rights reserved Page94 , Total201
  • 95.
    W-Handover and CallDrop Problem Optimization Guide For internal use only Figure 5-37 RTWP variation of the cell 89768 Solution Locate the sources of interference t solve uplink interference problems. 5.4.3 Abnormal Equipment Summarizing call drop problems due to abnormal equipment is difficult. Generally abnormal CN, RNC, NodeB, and UE will lead to call drop. Some call drop problems can be further analyzed and located only in research and development (R&D) environment. The following paragraphs described the call drops that occurred before. You can refer to them. Abnormal Uplink Synchronization of NodeB According to the test, at a fixed spot (at the corner under an overhead), call drop occurs in the test car when it passes the spot every time. Each call drop occurs in the cell of SC 160. The call drop location is special, so the call drop is probably due to turning corner effect. Based on repeated DT, a conclusion forms that call drop occurs within 5s when the signals measured by scanner in the cell are from only one cell (SC 160). According to signaling flow, the cell of SC 160 keeps being added because the UE reports the measurement. It also keeps being deleted because the NodeB is asynchronous, so the link is deleted 5s after expiration of timer. At the same time, the access to the cell also fails. Strangely the downlink signals of the cell is normal (because the cell can measure the pilot signals and send a report), but the uplink is problematic. The NodeB logs and alarms involve no prompts. After reset of board one by one, the problem is solved. Abnormal UE l Failure to report 1a event by UE Call drop occurs easily with a version of Qualcomm 6250 during test. According to the analysis of data, the Ec/Io and RSCP recorded by scanner are good upon every call drop. The signals of the active set recorded are weak, but there are cells with qualified signals. According to the signaling flow, the UE does not send the 1a event 2008-12-22 All rights reserved Page95 , Total201
  • 96.
    W-Handover and CallDrop Problem Optimization Guide For internal use only measurement report of the cell in monitor set, so finally call drop occurs. After the UE is updated, the problem is solved. l Missing of messages recorded by UE When Moto A835 records signaling messages, it loses some signaling before call drop easily. This leads to incorrect judgment of call drop problems. The signaling before call drop is key for analyzing call drop. If it is missing, you must analyze call drop problems based on the combination of messages form UE and information about RNC. l Abnormal Moto handset due to continuous CQT After tens of or hundreds of CQTs, the calling or called Moto handset is likely to confront problems, so calls fail. After reset of the handset, it becomes normal. There is another problem.When the handset is called, it does not ring and consequently call drop occurs. However, the screen displays an unanswered call. To avoid this, reset the handset after continuous CQT. l Failure to hand over from the 3G network to the 2G network The 3G signals received by a Sony-Ericsson handset attenuate slowly at the subway entrance and finally no signals are received. The 2G signals are received at the subway entrance and inside subways. Therefore, the handset fails to hand over to the 2G network. The Moto handset and Nokia handset can succeed in handover. The handover failure is probably due to excessive 2G neighbor cells are configured. After excessive 2G neighbor cells are deleted and only one 2G neighbor cell is kept, the Sony-Ericsson handset succeeds in handover. When two 2G neighbor cells with the same frequency and different BSIC exists, the handset will stop handover because it is not specified with the BSIC and the target 2G neighbor cell when it is sending the measurement report. 2008-12-22 All rights reserved Page96 , Total201
  • 97.
    W-Handover and CallDrop Problem Optimization Guide For internal use only 5.5 HSDPA-related Problems 5.5.1 HSDPA Handover Problems A connected HSDPA subscriber uses the following channels: l HS-PDSCH l HS-SCCH l HS-DPCCH l DPCH as associated channel. When the R99 subscribers have handover problems, the HSDPA subscribers cannot smoothly hand over. Therefore, when the HSDPA subscribers fail to hand over, engineers need to check R99 handover. If R99 subscribers have handover problems, solve the problems as previously mentioned. The call drop problems currently in test is usually caused by R99 problems. ADCH SHO with Serving Cell Update When SHO occurs on the associated DCH, the HS-DSCH serving cell is updated. This is triggered by reporting 1D event by UE. If now the SHO on the associated DCH is faulty, call drop occurs with HSDPA subscribers. The causes is as mentioned in 5.1 The following paragraphs describe a case: missing neighbor cell causes handover on associated DCH fails, and this consequently causes call drop of HSDPA subscribers. l Description and Analysis Before call drop, the cell of SC 11 serves HSDPA subscribers. Figure 5-38 shows the pilot information recorded by scanner. Figure 5-38 Pilot information recorded by scanner The active set does not list the cells of SC 25 and SC 26. After call drop, the UE camps on the cell of SC 26. Meanwhile, the quality of signals from the cell of SC 11 declines sharply. According to previous description, the call drop is probably due to missing neighbor cell. For detailed analysis, see 5.1 . 2008-12-22 All rights reserved Page97 , Total201
  • 98.
    W-Handover and CallDrop Problem Optimization Guide For internal use only l Solution To solve the problem, add the corresponding neighbor cell. ADCH HHO with Serving Cell Update l Call drops due to ping-pong handover. While the HHO occurs on ADCH, the HS-PDSCH serving cell is updated. When the HHO occurs on ADCH: − If the 1D event is improperly configured, intra-frequency ping-pong HHO occurs on ADCH, and the HS-PDSCH serving cell is frequently updated. This leads to decline of QoS, and even call drop. − If the 2D/2F and handover threshold is improperly configured, ping-pong handover occurs, and consequently QoS declines. Handover between HS-PDSCH and DPCH Related causes are to be supplemented. Handover between HSDPA and GPRS For the handover between HSDPA and GPRS, refer to 5.3.4 . 5.5.2 HSDPA Call Drop Weak Coverage After HSDPA technology is used, the downlink load of cell increases. This has some impact on coverage radius of cell. If the load of original R99 cell is light, the coverage scope decreases sharply after HSDPA technology is used. Pay attention to cell coverage and call drop problems caused by decrement of handover areas after R99 network is upgraded to HSDPA network. HS-DPCCH is used in uplink of HSDPA, so the HSDPA UE consumes more power than R99 UE, and consequently, the HSDPA UE at the cell edge reaches the maximum transmit power more quickly than R99 UE at the cell edge. This is uplink power restriction. The maximum transmit power of some R99 UEs and HSDPA UEs are the same, 24 dBm. l Description and analysis In test, before call drop the Ec/Io of active set before call drop is below –15 dB, and the RSCP is below –110 dBm. After call drop, the UE camps on a new cell, where the Ec/Io is also above –15 dB and RSCP is above –110 dBm. The transmit power of UE before call drop approaches 24 dBm (terminal is data card E620), so the problems is caused by weak coverage. l Solution To solve the problem, adjust engineering parameters or construct sites. 2008-12-22 All rights reserved Page98 , Total201
  • 99.
    W-Handover and CallDrop Problem Optimization Guide For internal use only Call Drop due to Improper Configuration of Parameters The call drops due to strong uplink interference if all the following conditions are met: l The power of HS-DPCCH is over high l The uplink admission threshold is low l There are excessive subscribers The signaling flow for HSDPA service handover is more complex than that of R99 service handover. In some occasions, the handover parameters are differently configured for these two networks. For example, in turning corner, the UE is required to respond messages from UTRAN more quickly; in ping-pong handover areas, the protection time is longer. Abnormal Call Drop The early versions of HUAWEI E620 are faulty in inter-frequency handover. After reporting 2D event, the UE responds measurement control failure, so the call drops due to handover failure. 2008-12-22 All rights reserved Page99 , Total201
  • 100.
    W-Handover and CallDrop Problem Optimization Guide For internal use only 5.6 HSUPA Problems To be supplemented. 2008-12-22 All rights reserved Page100 , Total201
  • 101.
    W-Handover and CallDrop Problem Optimization Guide For internal use only 6 Summary Based on related guides to handover and call drop, this guide is complete. It focuses on operability by on-site engineers. In addition, it describes operation steps in details for the actual handover and call drop problems in forms of flow chart. The fundamental knowledge and preparation knowledge are placed in the appendix. Operations are in the body. V3.1 supplements HSDPA knowledge, including: l DT/CQT flow for HSDPA handover l Definition of traffic statistics indexes for HSDPA handover l HSDPA handover problems l Algorithm and flow for HSPDA handover The traffic statistics of HSDPA is to be supplemented. HSDPA networks are not commercially used in a large scale, so more cases will be supplemented. The SHO ratio analysis will be supplemented after enough RNO experienced are collected. 2008-12-22 All rights reserved Page101 , Total201
  • 102.
    W-Handover and CallDrop Problem Optimization Guide For Internal Use 7 Appendix 7.1 SRB&TRB Reset 7.1.1 RAB RAB is the carrier at the subscriber plane. It is used in transmitting voice, data, and multimedia services between UE and CN. The RAB assignment is originated by CN. It is a function of RNC. RB is ratio bearer between SRNC and UE. It includes layer 2 and above. It is the service provided to layer 2. Figure 7-1 shows the UMTS QoS structure. It provides the part that RAN and RB play in the UMTS network. Figure 7-1 UMTS QoS structure 2009-10-10 Huawei Confidential Page 102 of 201
  • 103.
    W-Handover and CallDrop Problem Optimization Guide For Internal Use 7.1.2 SRB The SRB carries the signaling at U-Net interface. The TRB carries the services at the Uu interface and it is the radio bearer at the user plane. Figure 7-2 shows the structure of SRB and TRB at the user plane. Figure 7-2 SRB and TRB at user panel The SRB and TRB carriers signaling and services as blow: l SRB0 for all messages sent on CCCH (needless of configuration) l SRB1 for all messages sent on the DCCH that uses unconfirmed RLC l SRB2 for all messages sent on the DCCH that uses confirmed RLC (excluding initial direct transfer and uplink/downlink direct transfer) l SRB3/SRB4 for confirming downlink and uplink direct transfer messages of RLC transferred on DCCH l TRB in the AM mode for carrying PS services l TRB in the UM mode for carrying CS services The SRB reset involves the SRB in the AM mode. The AM mode uses the confirmation-retransmission method. The sender will perform polling to check periodically that the receiver has received the PDU with a method. After sending PDU, the sender sends a polling frame and waits for the ACK frame from the receiver. If the waiting timer expires and the sender fails to receive the ACK frame, it keeps sending PDU. If it still fails to receive the ACK frame after sending for maximum retransmitting times, it triggers RLC AM entity reset or discards the PDU to be sent. Discarding PCU is not configured now and only triggering RLC AM entity occurs. This is the RB reset. During RLC AM entity reset, the sender sends a RESET frame to the receiver and waits for RESET ACK frame. If the timer expires, the sender will resend the frame. After sending for maximum retransmission times, the sender will report "unreasonable error" to a high layer and stop resending. SRB leads to triggering the release process at signaling plane. TRB leads to triggering the release process at user. 2009-10-10 Huawei Confidential Page 103 of 201
  • 104.
    W-Handover and CallDrop Problem Optimization Guide For Internal Use 7.2 RL FAILURE When a cell sets up a new radio link, there is a process for uplink and downlink synchronization. After UE succeeds in uplink synchronization, it powers on the transmitter, and then the NodeB performs uplink synchronization. If the NodeB succeeds in synchronization, it sends the RNC an RL RESTORE message. If it fails, it sends the RNC the RL FAILURE message. When the RNC receives the RL FAILURE message or fails to receive RL RESTORE message, it releases the resources related to the radio link. If the active set uses only one radio link, the RNC then originates the release at signaling plane. Table 7-1 lists the timers and counters related to the synchronization and asynchronization. Table 7-1 Timers and counters related to the synchronization and asynchronization Parameter ID Parameter Name Description T302 Timer 302 Value range: D100, D200, D400, D600, D800, D1000, D1200, D1400, D1600, D1800, D2000, D3000, D4000, D6000, and D8000 Actual value range: 100, 200, 400, 600, 800, 1000, 1200, 1400, 1600, 1800, 2000, 3000, 4000, 6000, and 8000 Physical unit: ms Content: When the UE sends CELL UPDATE/URA UPDATE messages, start timer T302. When the UE receives CELL UPDATE CONFIRM/URA UPDATE CONFIRM messages, stop time T302. When T302 expires, If V302 ≤ N302, the UE resends CELL UPDATE/URA UPDATE messages. If not, the UE enters idle mode. Recommended value: D2000 N302 Constant 302 Value range: 0–7 Content: This parameter indicates the maximum retransmission times of sending CELL UPDATE/URA UPDATE messages. The default value is 3. Recommended value: 3 2009-10-10 Huawei Confidential Page 104 of 201
  • 105.
    W-Handover and CallDrop Problem Optimization Guide For Internal Use T312 Timer 312 Value range: 1–15 Physical unit: s Content: When the UE starts DCH, start T312. When the UE detects 312 continuous synchronization indicators, stop T312. When T312 expires, the DCH connection fails. The default value is 1. Recommended value: 1 N312 Constant 312 Value range: D1, D2, D4, D10, D20, D50, D100, D200, D400, D600, D800, and D1000 Actual value range: 1, 2, 4, 10, 20, 50, 100, 200, 400, 600, 800, and 1000 Physical unit: none Content: It indicates the maximum times continuous synchronization indicators received from L1. The default value is 1. Recommended value: D1 T313 Timer 313 Value range: 1–15 Physical unit: s Content: When the UE detects from L1 continuous N313 asynchronization indicators, start T313. When the UE detects from L1 continuous N315 asynchronization indicators, stop T313. When T313 expires, the radio link fails. The default value is 3. Recommended value: 3 N313 Constant 313 Value range: D1, D2, D4, D10, D20, D50, D100, and D200 Actual value range: 1, 2, 4, 10, 20, 50, 100, and 200 Physical unit: none Content: It indicates the maximum times continuous synchronization indicators received from L1. The default value is 20. Recommended value: D50 2009-10-10 Huawei Confidential Page 105 of 201
  • 106.
    W-Handover and CallDrop Problem Optimization Guide For Internal Use T314 Timer 314 Value range: D0, D2, D4, D6, D8, D12, D16, and D20 Actual value range: 0, 2, 4, 6, 8, 12, 16, and 20 Physical unit: none Content: When the principle of radio link failure is met, and the radio bearer only related to T314 exists, start T314. When the cell update is complete, stop T314. The default value is 12. When the UE of CELL_DCH fails in radio links, start T314 (or T315), and send CELL UPDATE messages. Before T314 (or T315) corresponding to services expires, if the radio link reconfiguration configured by CELL UPDATE CONFIRM message fails, resend CELL UPDATE messages to reconfigure the radio link (related to T302 and N302). Based on this, configure T314 > T302 × N302. When T314 expires, the service RB of corresponding timers is deleted. Recommended value: D20 T315 Timer 315 Value range: D0, D10, D30, D60, D180, D600, D1200, and D1800 Actual value range: 0, 10, 30, 60, 180, 600, 1200, and 1800 Physical unit: s Content: When the principle of radio link failure is met, and the radio bearer only related to T315 exists, start T315. When the cell update is complete, stop T314. The default value is 180. When the UE of CELL_DCH fails in radio links, start T315 (or T314), and send CELL UPDATE messages. Before T315 (or T314) corresponding to services expires, if the radio link reconfiguration configured by CELL UPDATE CONFIRM message fails, resend CELL UPDATE messages to reconfigure the radio link (related to T302 and N302). Based on this, configure T315 > T302 × N302. When T315 expires, the service RB of corresponding timers is deleted. Recommended value: D30 N315 Constant 315 Value range: D1, D2, D4, D10, D20, D50, D100, D200, D400, D600, D800, and D1000 Actual value range: 1, 2, 4, 10, 20, 50, 100, 200, 400, 600, 800, and 1000 Physical unit: s Content: It indicates the maximum times continuous synchronization indicators received from L1. The default value is 1. Recommended value: D1 2009-10-10 Huawei Confidential Page 106 of 201
  • 107.
    W-Handover and CallDrop Problem Optimization Guide For Internal Use Table 7-2 lists the timers and counters related to call drop at lub interface. Table 7-2 Timers and counters related to call drop at lub interface Parameter ID Parameter Name Description NINSYNCIND Times of continuous synchronization indicator Value range: 1–256 Actual value range: 1–256 Physical unit: none Content: The value indicates the times of continuous synchronization indicators needed by the timer to trigger radio link recovery process. The radio link set keeps in initial state until the NodeB receives NINSYNCIND continuous synchronization indicator. Now the NodeB triggers radio link recovery process, and radio link set is synchronized. When the radio link recovery process is triggered, the radio link set is in synchronization state. Recommended value: 5 NOUTSYNCIND Times of continuous asynchronization indicator Value range: 1–256 Actual value range: 1–256 Physical unit: none Content: The value indicates the times of continuous asynchronization indicators needed by the timer to trigger radio link failure process. When the radio link set keeps in synchronization state, after the NodeB receives NINSYNCIND continuous failure indicators, start radio link failure timer. After receiving continuous NINSYNCIND synchronization indicators, the NodeB must stop and reset radio link failure timer. If the radio link failure timer expires, the NodeB triggers radio link failure process, and indicate the radio link sets which are in asynchronization state. Recommended value: 5 2009-10-10 Huawei Confidential Page 107 of 201
  • 108.
    W-Handover and CallDrop Problem Optimization Guide For Internal Use TRLFAILURE Radio link failure timer period Value range: 0–255 Actual value range: 0–25.5, and the step is 0.1 Physical unit: s Content: The value indicates the timer period of radio link failure. When the radio link set keeps in synchronization state, after the NodeB receives NINSYNCIND continuous failure indicators, start radio link failure timer. After receiving continuous NINSYNCIND synchronization indicators, the NodeB must stop and reset radio link failure timer. If the radio link failure timer expires, the NodeB triggers radio link failure process, and indicate the radio link sets which are in asynchronization state. Recommended value: 50 2009-10-10 Huawei Confidential Page 108 of 201
  • 109.
    W-Handover and CallDrop Problem Optimization Guide For Internal Use 7.3 SHO Flow You can analyze SHO-related signaling flow by three typical flows. The three flows include adding radio link, deleting radio link, and combination of adding and deleting radio links. SHO is valid for FDD mode. The following three flows are SHO with lur signaling. The SHO flow under the same RNC is simpler, which deletes the parts between SRNC and DRNC. The following three cases are typical. The actual signaling flow depends on the actual situation. 7.3.1 Analyzing Signaling Flow for Adding Radio Link The conditions of SHO signaling flow for adding radio link are: l The UE has one or more radio links with SRNC. l The UE sets up a new radio link through new NodeB and new RNC. The UE can set up only one link with UTRAN, so there is no macro diversity combination/splitting. Signaling Flow for Adding Radio Link Figure 7-3 shows the signaling flow for adding radio link. 2009-10-10 Huawei Confidential Page 109 of 201
  • 110.
    W-Handover and CallDrop Problem Optimization Guide For Internal Use Figure 7-3 Signaling flow for adding radio link Steps of Signaling Flow for Adding Radio Link The signaling flow proceeds as below: l The SRNC decides to set up a new radio link and the new cell to which the link belongs is under the control of another RNC (DRNC). The SRNC sends DRNC a Radio Link Setup Request message, and requires DRNC to prepare the corresponding radio resources. The new radio link is the first link set up between UE and DRNC, so a new lur signaling connection is required. The lur signaling connection carries UE-related RNSAP signaling. The Radio Link Setup Request message includes parameters as below: − Cell ID 2009-10-10 Huawei Confidential Page 110 of 201
  • 111.
    W-Handover and CallDrop Problem Optimization Guide For Internal Use − TFS − TFCS − Frequency − Uplink Scramble l According to radio resources, the DRNC judge whether the requested radio resource can be met. If yes, the DRNC send the NBAP message, namely, Radio Link Setup Request, to NodeB to which the DRNC belongs. After this, the NodeB starts to receive messages in uplink. The Radio Link Setup Request message includes parameters as below: − Cell ID − TFS − TFCS − Frequency l The NodeB allocates radio resources as required. If it succeeds, the NodeB reports an NBAP message, namely, the Radio Link Setup Response message, to DRNC. The Radio Link Setup Response message includes two parameters: signaling termination and transport layer addressing information (AAL2 addressing, AAL2 bound ID for data transmission and bearer) l The DRNC sends the Radio Link Setup Response message to SRNC through RNSAP. The Radio Link Setup Response message includes two parameters: transport layer addressing information (AAL2 addressing, AAL2 bound ID for transmitting and carrying data) and information about adjacent cells. l The SRNC starts lur/lub data transmission and bearer through the ALCAP protocol. The request includes AAL2 bound ID for binding lub data transmission and bearer, and DCH. l or 7) The NodeB and SRNC set up synchronization of data transmission and bearer by exchanging the corresponding DCH FP frame Downlink Synchronization and Uplink Synchronization. The NodeB starts downlink transmission. l The SRNC sends UE the Active Set Update message on DCCH. The message includes content on adding radio link. The parameters include: − Update type − Cell ID − Downlink scramble − Power control information − Adjacent cells l The UE configures the corresponding parameters according to RRC signaling. It sends SRNC the RRC message, namely, Active Set Update Complete message. 2009-10-10 Huawei Confidential Page 111 of 201
  • 112.
    W-Handover and CallDrop Problem Optimization Guide For Internal Use 7.3.2 Analyzing Signaling Flow for Deleting Radio Link The conditions of SHO signaling flow for deleting radio link are: l The UE has one or more radio links with SRNC. l Delete the link connecting UE and SRNC through DRNC. Signaling Flow for Deleting Radio Link Figure 7-4 shows the signaling flow for deleting radio link. Figure 7-4 Signaling flow for deleting radio link Steps of Signaling Flow for Deleting Radio Link The signaling flow for deleting radio link proceeds as below: 2009-10-10 Huawei Confidential Page 112 of 201
  • 113.
    W-Handover and CallDrop Problem Optimization Guide For Internal Use l The SRNC decides to delete a radio link. The SRNC sends UE the Active Set Update message on DCCH. This message includes the content about deleting radio link. The parameters include update type and cell ID. l The UE deactivates the downlink receiver of radio link to be deleted and sends SRNC the Active Set Update Complete message. l The SRNC sends the Radio Link Deletion Request to DRNC on through. The parameters include cell ID and transport layer addressing information. l The DRNC sends NodeB the NBAP message, namely, the Radio Link Deletion Request message. The NodeB stops receiving and sending. The parameters include cell ID and transport layer addressing information. l The NodeB deactivates radio resources and sends DRNC the NBAP message, namely, the Radio Link Deletion Response message. l The SRNC starts releasing lur/lub data bearer through the ALCAP protocol. 7.3.3 Analyzing Signaling Flow for Adding and Deleting Radio Link The conditions of SHO signaling flow for adding and deleting radio link are: l The UE has one or more radio links with SRNC. l The UE sets up a new radio link through new NodeB and new RNC. l Delete the previous link connecting UE and SRNC through the NodeB which belongs to SRNC. The UE can set up only one link with UTRAN, so there is no macro diversity combination/splitting. SHO Signaling Flow for Adding and Deleting Radio Link Figure 7-5 shows the SHO signaling flow for adding and deleting radio link. 2009-10-10 Huawei Confidential Page 113 of 201
  • 114.
    W-Handover and CallDrop Problem Optimization Guide For Internal Use Figure 7-5 SHO signaling flow for adding and deleting radio link Serving RNC Decision to setup new RL and release old RL 1. Radio Link Setup Request Drift RNC RNSAP RNSAP 4. Radio Link Setup Response UE Node B Drift RNS Node B Serving RNS NBAP 2. Radio Link Setup Request NBAP Start RX description NBAP 3. Radio Link Setup Response NBAP RNSAP RNSAP 5. ALCAP Iub Data Transport Bearer Setup ALCAP Iur Bearer Setup 6. Downlink Synchronisation DCH-FP DCH-FP 7. Uplink Synchronisation DCH-FP DCH-FP Start TX description 8. DCCH : Active Set Update Command [Radio Link Addition & Deletion] RRC RRC 9. DCCH : Active Set Update Complete RRC RRC NBAP 10. Radio Link Deletion Request 11. Radio Link Release Response Stop RX and TX NBAP NBAP NBAP 12. ALCAP Iub Data Transport Bearer Release Steps of SHO signaling Flow for Adding and Deleting Radio Link The SHO signaling flow for adding and deleting radio link proceeds as below: l The SRNC decides to set up a new radio link and the new cell to which the link belongs is under the control of another RNC (DRNC). The SRNC sends DRNC a Radio Link Setup Request message, and requires DRNC to prepare the 2009-10-10 Huawei Confidential Page 114 of 201
  • 115.
    W-Handover and CallDrop Problem Optimization Guide For Internal Use corresponding radio resources. The new radio link is the first link set up between UE and DRNC, so a new lur signaling connection is required. The lur signaling connection carries UE-related RNSAP signaling. The Radio Link Setup Request message includes parameters as below: − Cell ID − TFS − TFCS − Frequency − Uplink Scramble l According to radio resources, the DRNC judge whether the requested radio resource can be met. If yes, the DRNC send the NBAP message, namely, Radio Link Setup Request, to NodeB to which the DRNC belongs. After this, the NodeB starts to receive messages in uplink. The Radio Link Setup Request message includes parameters as below: − Cell ID − TFS − TFCS − Frequency l The NodeB allocates radio resources as required. If it succeeds, the NodeB reports an NBAP message, namely, the Radio Link Setup Response message, to DRNC. The Radio Link Setup Response message includes two parameters: signaling termination and transport layer addressing information (AAL2 addressing, AAL2 bound ID for data transmission and bearer) l The DRNC sends the Radio Link Setup Response message to SRNC through RNSAP. The Radio Link Setup Response message includes two parameters: transport layer addressing information (AAL2 addressing, AAL2 bound ID for transmitting and carrying data) and information about adjacent cells. l The SRNC starts lur/lub data transmission and bearer through the ALCAP protocol. The request includes AAL2 bound ID for binding lub data transmission and bearer, and DCH. l or 7) The NodeB and SRNC set up synchronization of data transmission and bearer by exchanging the corresponding DCH FP frame Downlink Synchronization and Uplink Synchronization. The NodeB starts downlink transmission. l The SRNC sends UE the Active Set Update message on DCCH. The message includes content on adding and removing radio link. The parameters include: − Update type − Cell ID − Downlink scramble − Power control information − Adjacent cells 2009-10-10 Huawei Confidential Page 115 of 201
  • 116.
    W-Handover and CallDrop Problem Optimization Guide For Internal Use l The UE configures the corresponding parameters according to RRC signaling, deactivates the downlink receiver of the link to be deleted, actives the downlink receiver to be added, and sends SRNC the Active Set Update Complete message. l The SRNC sends NodeB the NBAP message, namely, the Radio Link Deletion Request message. The NodeB stops receiving and sending. The parameters include cell ID and transport layer addressing information. l The NodeB deactivates radio resources and sends SRNC the NBAP message, namely, the Radio Link Deletion Response message. l The SRNC starts releasing lur/lub data bearer thought the ALCAP protocol. 7.3.4 SHO Algorithm Intra-frequency Measurement Model When the UE is in CELL_DCH connection mode (for example, voice talk starts), the RNC sends the MEASUREMENT CONTROL command to command UE to measure and report events (the event threshold, hysteresis, delay trigger time are included in signaling). When the best cell is updated (including occurrence of intra-frequency HHO and inter-frequency HHO), the measurement control of 1X (including 1A, 1B, 1C, and 1D) event must be updated. Figure 7-6 shows the WCDMAmeasurement model according to protocol 25.302. Figure 7-6 Measurement model Layer 1 filtering parameters parameters Layer 3 filtering Evaluation A B C D of reporting criteria C' In Figure 7-6, l Point A is the direct measurement result of physical layer. l Point B is the filtered measurement result at physical layer and it is also the measurement result provided to upper layer from physical layer. l Point C is the measurement result for event judgment after upper layer filtering. l FilterCoef is filtering factor of measured values and weights the measurement results of physical layer at different points. It is used in event report and period report. The filtering of measured values is calculated as below: n n n F = - a × F + a ×M -1 (1 ) Wherein, − Fn: filtered updated measurement result 2009-10-10 Huawei Confidential Page 116 of 201
  • 117.
    W-Handover and CallDrop Problem Optimization Guide For Internal Use − Fn-1: filtered previous measurement result at last point − Mn: the latest measured value received from physical layer − α = 1/2(k/2). The k is from Filter coefficient, namely, the handover parameter FilterCoef. FilterCoef is configured in intra-frequency, inter-frequency, and inter-RAT handover measurement.When α is 1 (accordingly k = 0), there is no layer 3 filtering. From previous measurement model, the filtering occurs before event judgment and measurement report. In addition, the measured values in cell Measurement results and Measurement results on RACH of UE's report are filtered. The layer 3 filtering controlled by network layer caters for measurement event judgment and measurement report only. The cell reselection when UE is in the idle mode and connection mode does not support layer 3 filter controlled by network layer. Intra-frequency Measurement Events In the measurement control message, the UTRAN indicates the events to trigger measurement report. The intra-frequency measurement report events are marked by "1X". 1. 1A event: a Primary Pilot Channel Is in Reporting Range In the measurement report mechanism domain, the network requires UE to report the 1A event (for example, the UE enters the Cell_DCH state), the UE sends the measurement report when a primary pilot channel enters the reporting range. According to protocols, for 1A event, the UE can report multiple cells of trigger event in a measurement report. The cells are included in the list of trigger event. The UE sorts the cells good to bad in terms of quality (CPICH Ec/No). If less than 3 cells are listed in the active set, the network judges to add links. If the active set is full of cells, no operation is performed. When the measured value meets the following formula, the UE judges that a primary pilot channel is in the reporting range. The path loss is: N A ö - + × × - + ÷ ÷ø æ × × £ × å= For other measurement values: ç çè New i LogM W Log M W LogM R H 10 10 (1 ) 10 ( / 2), 1 1 Best a i N A ö - - × × - + ÷ ÷ø æ × × ³ × å= In the previous formulas: ç çè New i LogM W Log M W LogM R H 10 10 (1 ) 10 ( / 2), 1 1 Best a i l MNew is the measurement result of cells in the reporting range. l Mi is the measurement result of cells in the active set. l NA is the number of cells in the active set. l MBest is the measured value of the best cell in the active set. l W is the weighting factor. l R is the reporting range, with signal strength as an example. It is equal to the signal strength of the best cell in the active set minus a value. l H1a is the hysteresis of 1A event. 2009-10-10 Huawei Confidential Page 117 of 201
  • 118.
    W-Handover and CallDrop Problem Optimization Guide For Internal Use A parameter TIME-TO-TRIGGER is used to reduce the signalling flow for measurement report. After the primary pilot enters the reporting range and remains for a specified period, the UE triggers measurement report. The parameter is also used in other events. Figure 7-7 shows the 1A event and trigger delay. Figure 7-7 Example 1A event and trigger delay Time-to-trigger Reporting event 1A Measurement quantity Time P CPICH 1 Reporting range P CPICH 2 P CPICH 3 Usually, if the 1A event is triggered, the UE sends a measure report to UTRAN. The UTRAN sends an Active Set Update message for updating active set. Probably No response is received after UE sends measurement report (for example, due to limited capacity). The UE changes from sending event-triggered report to periodic report. The measure report contains the information about the cells in the active set and cells in the monitored set in reporting range. Only when the cell is successfully listed in the active set and leaves the reporting range will UE stop sending periodic reports. 2009-10-10 Huawei Confidential Page 118 of 201
  • 119.
    W-Handover and CallDrop Problem Optimization Guide For Internal Use Figure 7-8 Periodic report triggered by 1A event Reporting range Event-triggered PCPICH 1 PCPICH 2 Periodic report Periodic report Reporting terminated report PCPICH 3 2. 1B Event: a Primary Pilot Channel Leaves the Reporting Range When the following formulas are met, the UE judges that a primary pilot channel leaves the reporting range. For 1B event and for event-triggered cells, l If more than one links are in the active set, the UE judges to delete the links. l If only one links is in the active set, the UE performs no operation. The path loss is: N A ö + + × × - + ÷ ÷ø æ × × ³ × å= For Other measure values: ç çè Old i LogM W Log M W LogM R H 10 10 (1 ) 10 ( / 2), 1 1 Best a i N A ö + - × × - + ÷ ÷ø æ × × £ × å= ç çè LogMOld W Log Mi W LogM R H 10 10 (1 ) 10 ( 1 / 2), 1 Best b i In the previous formulas: l MOld is the measurement result of cells in the reporting range. l Mi is the measurement result of cells in the active set. l NA is the number of cells in the active set. l MBest is the measured value of the best cell in the active set. l W is the weighting factor. l R is the reporting range. l H1a is the hysteresis of 1B event. If multiple cells meet the reporting conditions at the same time, and reach the trigger delay, the UE sorts the cells in terms of measured value and then reports them. 2009-10-10 Huawei Confidential Page 119 of 201
  • 120.
    W-Handover and CallDrop Problem Optimization Guide For Internal Use 3. 1C Event: a Non-active Set Primary Pilot Channel Figure 7-9 shows the 1C event. Figure 7-9 Example of 1C event In Figure 7-9, the cells where the PCPICH 1, PCPICH 2, and PCPICH 3 serve are in the active set but the cell where PCPICH 4 serves is not in the active set. If the cells in the active set reach or exceeds the replacement threshold of active set, the event is used for replacing bad cells in the active set. When the 1C event is triggered, the UE reports the replacing cell and the cell to be replaced in the event trigger list. The UE also sort the reported cells good to bad in terms of quality (CPICH Ec/No). After the RNC receives the 1C event trigger list reported by UE, it replaces the cell to be replaced with the replacing cell in the active set. 2009-10-10 Huawei Confidential Page 120 of 201
  • 121.
    W-Handover and CallDrop Problem Optimization Guide For Internal Use 4. 1D Event: the Best Cell Changes Figure 7-10 Example 1D event When channels have little difference, the 1D event might be triggered due to fluctuating signals. This leads to unnecessary increase of signaling flow at the air interface. The hysteresis value helps to avoid this, as shown in Figure 7-11. Figure 7-11 Restriction from hysteresis to measurement report The second time fails to reach the hysteresis condition, so no 1D event report is triggered. This parameter also applied in other events. According to protocols, the 1D event can report only one triggered cell which can be in active set or monitored set. Therefore the cells in the monitored set must be added to the active set. If the active set is full, the system deletes a cell that is not the best cell. Consequently the system adds the best cell to the active set. Finally the system marks the cell as the best cell. 2009-10-10 Huawei Confidential Page 121 of 201
  • 122.
    W-Handover and CallDrop Problem Optimization Guide For Internal Use 5. 1E Event: a Measured Value of Primary Pilot Channel Exceeds the Absolute Threshold Figure 7-12 shows an example of 1E event. Figure 7-12 Example of 1E event The 1E event triggers measurement report of the cells not monitored when the UE fails to receive the neighbor cell table. 6. 1F Event: the Measured Value of Primary Pilot Channel Is Lower than the Absolute Threshold Value Figure 7-13 shows an example event. Figure 7-13 Example of 1F event 2009-10-10 Huawei Confidential Page 122 of 201
  • 123.
    W-Handover and CallDrop Problem Optimization Guide For Internal Use 7.4 Ordinary HHO Flow 7.4.1 Ordinary HHO (lur Interface and CELL_DCH State) The following HHO flow is based on the lur interface when the UE is in the CELL_DCH state. Ordinary HHO (lur Interface and CELL_DCH State) Figure 7-14 shows the ordinary HHO flow (lur interface and CELL_DCH state). 2009-10-10 Huawei Confidential Page 123 of 201
  • 124.
    W-Handover and CallDrop Problem Optimization Guide For Internal Use Figure 7-14 Ordinary HHO flow (lur interface and CELL_DCH state) Signaling Flow Analysis The signaling flow proceeds as below: l The SRNC sends the Radio Link Setup Request message to request radio link setup. The parameters include target RNC identity, s-RNTI, cell ID, TFS, and TFCS. l The target RNC allocates RNTI and radio resources for RRC connection and radio links. In addition, it sends the NBAP message, namely, the Radio Link Setup Request message to the target NodeB. The parameters include cell ID, TFS, TFCS, frequency, uplink scramble, power control, and so on. 2009-10-10 Huawei Confidential Page 124 of 201
  • 125.
    W-Handover and CallDrop Problem Optimization Guide For Internal Use l The target NodeB allocates radio link resources, starts physical-layer receiver, and sends the target NodeB the Radio Link Setup Response message. The parameters include signaling termination and transport layer addressing for lub data transmission and bearer. l The target RNC starts setting up lub data transmission and bearer according to ALCAP protocol. The request contains that the AAL2 bound ID is for binding lub data transmission and bearer, as well as transport channel DCH. The NodeB confirms the request. l When the target RNC completes preparations, it sends SRNC the Radio Link Setup Response message. l The SRNC starts setting up lub data transmission and bearer according to ALCAP protocol. The request contains that the AAL2 bound ID is for binding lub data transmission and bearer, as well as transport channel DCH. The RNC confirms the request. l The SRNC send UE the Physical Channel Reconfiguration message. l When the UE switches from using the original link to using the new one, the original NodeB detects that the original link fails in synchronization. Then the original NodeB sends the NBAP message, namely, the Radio Link Failure Indication message to the source RNC. l The SRNC sends the original SRNC the RNSAP message, namely, the Radio Link Failure Indication. l When the UE completes setting up RRC connection with target RNC and the related radio resources are allocated, the UE sends SRNC the RRC message, namely, the Physical Channel Reconfiguration Complete message. l The SRNC sends source RNC the RNSAP message, the Radio Link Deletion Request message. This requires the RNC to release the corresponding resources used by original link. l The source RNC sends original NodeB the NBAP message, the Radio Link Deletion Request message. The parameters include cell ID and transport layer addressing information. l The source NodeB releases radio resources used by original link and sends source RNC the NBAP message, the Radio Link Deletion Response message. l The source RNC starts releasing lur data transmission and bearer according to the ALCAP protocol. l When the source RNC completes releasing lur data transmission and bearer, it sends SRNC the RNSAP message, the Radio Link Deletion Response message. l The SRNC starts releasing lur data transmission and bearer according to the ALCAP protocol. The request includes AAL2 bound ID for binding lur data transmission and bearer and the transport channel DCH. The release request is confirmed by the target RNC. 7.4.2 Inter-CN HHO Flow Figure 7-15 shows the inter-CN (between core networks) HHO flow. 2009-10-10 Huawei Confidential Page 125 of 201
  • 126.
    W-Handover and CallDrop Problem Optimization Guide For Internal Use Figure 7-15 Ordinary inter-CN HHO flow SGSN RNC Targe t 1. Relocation Requir ed Node B Source Node B Targ et UE RNC Source MSC/SGSN SGSN/MSC RANAP RANAP 2. Relocation Required RANAP RANAP 3. Relocation Request RANAP RANAP RA NA P 4. Re loc a tion Re quest RA NA P 5. ALCAP Iu Data Transpor t Bearer Setup 9. Relocation Request Acknowledge 6. Radio Link Setup Request NBAP NBAP 7. Radio Link Setup Response NBAP NBAP RANAP RANAP 10. Relocation Request Acknowledge RANAP RANAP 8. ALCAP Iub Data Transpor t Bearer Setup 11. Relocation Command RANAP RANAP RANAP 12. Relocation Comman d RANAP 14. Relocation Detect RANAP RANAP RRC 13. DCCH : Ph ysical Chann el Recon figuration Note 1 RRC 15. Reloca tion D etec t RA NA P 18. Relocation Complete RANAP 1 6. Radio Link Failure In dication NBAP NBAP RRC 17. D CC H : Ph ysic al Ch a nn el Recon figura tion Complete Note 1 RRC RANAP RANAP 19. Relocation Complete RANAP RANAP RANAP 20. Iu Release Comman d RANAP RANAP 21. Iu Release Comman d RANAP 22. ALCAP Iu Data Transport Bearer Release RANAP 23. Iu Release Complete RANAP RANAP 24. Iu Release Complete RANAP The ordinary inter-CN HHO flow proceeds as below: l or 2) The SRNC sends the Relocation required message to the nodes of the source CN and the target CN. l or 4) After the CN makes necessary preparations, it sends the Relocation Required message to the target RNC to allocating the corresponding resources. l The transmission and bearer at the lur interface is set up at the target RNC and CN. l or 7) or 8) The target RNC allocates RNTI and radio resources for RRC connection and radio links, and then sends target NodeB the NBAP message, the Radio Link Setup Request message. The target NodeB allocates radio link resources starts physical layer receiver, and sends target RNC the NBAP message, the Radio Link 2009-10-10 Huawei Confidential Page 126 of 201
  • 127.
    W-Handover and CallDrop Problem Optimization Guide For Internal Use Setup Response message. The parameters include cell ID, TFS, TFCS, frequency, uplink scramble, power control, and so on. l or 10) When the RNC completes preparations, the RNC sends CN the Relocation Required Acknowledge message. l or 12) The CN completes preparations and sends SRNC the Relocation Command message. l The SRNC sends UE the RRC message, the Physical Channel Reconfiguration message. l or 15) or 16)When the target RNC detects UE, it sends two nodes of CN the Relocation Detect message. When the UE switches from using the original radio link to the new one, the source NodeB sends source RNC the Radio Link Failure Indication message upon detection of RL error by source NodeB. l When the UE completes setting up RRC connection with target RNC and the corresponding radio resources are allocated, it sends target RNC the RRC message, the Physical Channel Reconfiguration Complete message. l or 19) After the UE succeeds in handing over to the target RNC and is allocated with resources, the RNC sends all CNs the Relocation Complete message. l or 21) The CN sends SRNC the Lu Release Command message. l The lu transmission and bearer between the original RNC and CN is released. l or 24) The original RNC sends CN the Lu Release Complete message for confirming release. 2009-10-10 Huawei Confidential Page 127 of 201
  • 128.
    W-Handover and CallDrop Problem Optimization Guide For Internal Use 7.5 HHO Algorithm 7.5.1 Intra-frequency HHO Algorithm The intra-frequency HHO occurs in the following two situations: l The intra-frequency neighbor cells belong to different RNCs, but no lur interface is between the RNCs. l The handover of high-speed PS Best Effort service which exceeds the speed threshold. The reason is that SHO takes excessive forward capacity. The 1D event is a judgment evidence for the intra-frequency HHO, namely, the triggering cell of 1D event is the target cell for handover. 7.5.2 Inter-frequency HHO Algorithm Fundamental Concepts The cell at the carrier coverage edge refers to the cell covered by a carrier in the most peripheral areas. The cell features that no intra-frequency neighbor cells are present in a direction of the cell. The cells in the carrier center area are the rest cells. The cell features that intra-frequency neighbor cells are present in all directions of the cell. In the cell at the carrier coverage edge, when the UE moves towards the direction with no intra-frequency neighbor cells, the CPICH Ec/No fluctuates slowly due to the same attenuating speed of CPICH RSCP and interference. According to simulation, when the CPICH RSCP is lower than the demodulation threshold (–110 dBm), the CPICH Ec/No can reach about –12 dB. Now the inter-frequency handover algorithm based on CPICH Ec/No measurement is invalid. Therefore, using CPICH RSCP as inter-frequency measurement quantity is more proper and valid for cells at the carrier coverage edge. The CPICH RSCP might serve as inter-frequency measurement quantity for cells in the carrier center area, but the CPICH Ec/No is better to reflect the actual communication quality of links and cell load. Starting/Stopping Inter-frequency Measurement The inter-frequency measurement might use the compression mode which impacts the link quality and system capacity, so starting the inter-frequency measurement is not recommended. The inter-frequency measurement in only recommended if needed. Reporting 2D and 2F events determines starting/stopping inter-frequency measurement on V1.2 RNCs. When the UE enters the CELL_DCH state or the best cell changes, if the inter-frequency handover algorithm switch is enabled and the best cell is present in the list of inter-frequency neighbor cells, the measurement of 2D and 2F events is configured. The absolute threshold for 2D and 2F events is the staring/stopping inter-frequency measurement. The CPICH Ec/No or RSCP measurement quantity and threshold is respectively used according to the position property (as previously mentioned, there are carrier coverage center and carrier coverage edge) of the best cell in the active set: 2009-10-10 Huawei Confidential Page 128 of 201
  • 129.
    W-Handover and CallDrop Problem Optimization Guide For Internal Use l If the quality of measurement quantity is worse than the starting threshold, the 2D event is reported and then the periodic inter-frequency measurement is started through judgment. l If the quality of active set is higher than the stopping threshold, the 2F event is triggered and inter-frequency measurement is stopped. Inter-frequency HHO Judgment Now the inter-frequency measurement is reported periodically. The inter-frequency handover judgment on RNCs uses the absolute threshold judgment method based on cell property. According to the different cell properties (cell at the carrier coverage edge or in the carrier coverage center), the handover judgment uses different physical measurement quantity (CPICH RSCP and CPICH Ec/No) and handover threshold. If the measurement quantity keeps greater than the absolute threshold and hysteresis until trigger delay, the reported cell becomes the target handover cell. After this, according to the inter-frequency measurement result, the RNC carries out inter-frequency HHO threshold. & Note: No dedicated control strategy in compression mode is available, so it is recommended that the inter-frequency handover caters for the compulsory handover caused by in continuous coverage by carrier. Now you can only consider starting compression mode at the carrier coverage edge. In the carrier coverage center, forbid the compression mode from starting by configuring parameters (set the absolute threshold of 2D event to the minimum value) and forbid inter-frequency HHO. 2009-10-10 Huawei Confidential Page 129 of 201
  • 130.
    W-Handover and CallDrop Problem Optimization Guide For Internal Use 7.6 Concept and Classification of HSDPA Handover 7.6.1 Concept of HSDPA Handover For a subscriber, if an RAB is mapped on the HS-DSCH of a cell, the cell becomes the HS-DSCH serving cell for the subscriber, and the radio link of the cell is the HS-DSCH serving radio link. As the signals of HSDPA serving cell are weaker and weaker, the network switches the service to a HSDPA cell with better signals, namely, the update of HSDPA serving cell. For the handover of HSDPA subscribers, HS-DSCH serving cell update describes HS-DSCH handover, and handover describes DCH handover. If other cells do not support HSDPA, the system switches the service to R99 cells. An RAB is mapped on the HS-DSCH of a cell only, so SHO is unavailable on HS-PDSCH bearing HSDPA, but available on associated DCH. The HS-PDSCH does not support SHO, so the major impact on mobility management (MM) after use of HSDPA is as below: l How to select and change the serving cell of HS-DSCH l How to obtain best performance of data transmission. Without violating the coverage handover rules, engineers must give priority to the HSDPA-supported cells for a service. For example, if multiple radio links are present for SHO, and only partial cells support HSDPA, the HSDPA service can be used in the non-superior cells. If the subscriber only for service that is carried on HSDPA, the RNC enable the UE to camps on HSDPA-supporting cell by direct retry and blind handover. 7.6.2 Classification of HSDPA Handover By Different Handover Types on Associated DPCH According to different handover on the associated DPCH in HSDPA network, the HSDPA handover includes the following types: l Update the serving cell of HS-PDSCH in active set l Update the serving cell of HS-PDSCH by SHO or softer handover on DPCH l Update the serving cell of HS-PDSCH by HHO on DPCH By Different Technologies Used in Serving Cell before and after Handover By different technologies used in serving cell before and after handover, the HSDPA handover includes the following types: l Handover in HSDPA system l Handover between HSDPA and R99 l Handover between HSDPA and GRPS 2009-10-10 Huawei Confidential Page 130 of 201
  • 131.
    W-Handover and CallDrop Problem Optimization Guide For Internal Use By Location of Cells for HSDPA Handover By location of cells for HSDPA handover, the HSDPA handover includes the following types: l Handover under the same NodeB l Handover under different NodeBs of the same RNC l Handover under different RNCs 7.6.3 Signaling Flow and Message Analysis of HSDPA Handover During mobility procedures of HSDPA, the UE is connected to a cell by HS-DSCH, so the connection is different from DCH SHO. In CELL_DCH state, the move from source HS-DSCH cell to target HS-DSCH cell is decided according to measurement reports of UE and other information at network side. A typical handover proceeds as below: l Measurement control l Measurement report l Handover judgment l Handover implementation l New measurement control The serving cell update of HSDPA subscribers is with DCH handover. When the serving cell is updated, l The DPCH configuration and active set remains; l Or the DPCH is set up, released, and reconfigured; l Or the active set upon SHO is updated. At measurement control and measurement report stage, the handover messages for HSDPA are similar to these of R99 and R4. The signaling related to HSDPA in HSDPA handover includes: During NBAP: l Radio Link Setup l Synchronized Radio Link Reconfiguration Preparation l Physical Shared Channel Reconfiguration l Synchronized Radio Link Reconfiguration Commit l Bearer Re-arrangement l Radio Link Parameter Update At UU interface: l RADIO BEARER SETUP l RADIO BEARER RECONFIGURATION 2009-10-10 Huawei Confidential Page 131 of 201
  • 132.
    W-Handover and CallDrop Problem Optimization Guide For Internal Use l RADIO BEARER RELEASE l TRANSPORT CHANNEL RECONFIGURATION l PHYSICAL CHANNEL RECONFIGURATION 7.6.4 HS-PDSCH Serving Cell Update due to DPCH SHO Description When the HS-PDSCH serving cell is updated due to DPCH SHO, the UE reports the following events listed in Table 7-3. The system will respond accordingly. Table 7-3 Flow of serving cell update triggered by different events in SHO Event Action 1D event, the best server is listed in active set Change the radio link ID by reconfiguring radio link 1B event, the HS-DSCH serving cell is to be deleted Update the serving cell in active set, and perform DCH SHO to delete the cell corresponding to 1B event 1C event, the current HS-DSCH serving cell is the worst cell in active set Update the HS-DSCH in active set to support the best server of HS-DSCH, and then replace the cell The best server to trigger 1D event is not listed in active set, and the active set is not full Perform DPCH SHO to add radio link, and update the HS-DSCH serving cell in active set The best server to trigger 1D event is not listed in active set, and the active set is full. The serving cell is not the worst cell Perform DCH SHO to replace radio link, and update the serving cell in active set 1D event, the active set is full, the cell to be replaced is the serving cell Replace the second worst cell in active set, and update the serving cell HS-DSCH Serving Cell Update (intra-NodeB) upon Fixed Active Set of UE Figure 7-16 shows the intra-NodeB synchronization serving cell update. 2009-10-10 Huawei Confidential Page 132 of 201
  • 133.
    W-Handover and CallDrop Problem Optimization Guide For Internal Use Figure 7-16 Intra-NodeB synchronization serving cell update Uu Iub/Iur UE-RRC UE-RLC UE-MAC UE-L1 NodeB-L1 Node B -MAC SRNC-MAC SRNC-RLC SRNC-RRC Measurement DCCH: MEASUREMENTREPORT CPHY-Measurement-IND SRNC-L1 CPHY-RL-Modify-REQ (NBAP/RNSAP: RL Reconfiguration Prepare) CPHY-RL-Modify-CNF CPHY-RL-Modify-REQ ServingHS-DSCH cell change decision DCCH: PHYSICAL CHANNELRECONFIGURATION Start tx/rx for HS-DSCHin target HS-DSCHcell, stop tx/rx for HS-DSCHin source HS-DSCH cell at the given activation time (NBAP/RNSAP: RL ReconfigurationReady) DCCH: PHYSICALCHANNEL RECONFIGURATIONCOMPLETE Reporting criteria fulfilled CPHY-RL-Commit-REQ (NBAP/RNSAP: RL ReconfigurationCommit) The update process is based on the following conditions: l The DPCH and active set are fixed. l Assume that the parameters like transport channel and radio bearer are fixed. The update does not involve MAC layer, so the entity of MAC-hs needs no reconfiguration. The intra-NodeB synchronization serving cell is updated as below: l When the SRNC decides to update the HS-DSCH serving cell, it sends DRNC the RADIO LINK RECONFIGURATION PREPARE message. The message contains the identity of target HS-DSCH serving cell. l The DRNC commands NodeB to perform synchronized radio link reconfiguration. The NodeB must reconfigure the resource transition from source HS-DSCH radio link to target HS-DSCH radio link. The message contains the necessary information about setting up HS-DSCH link in target HS-DSCH cell, like UE ID. l The serving NodeB sends the RADIO LINK RECONFIGURATION READY message. l The DRNC sends SRNC the RADIO LINK RECONFIGURATION READY message. The message contains the following information: − HS-SCCH set information − Scramble of target SCCH cell − UE ID of HS-DSCH 2009-10-10 Huawei Confidential Page 133 of 201
  • 134.
    W-Handover and CallDrop Problem Optimization Guide For Internal Use l The SRNC sends DRNC the RADIO LINK RECONFIGURATION COMMIT message. The message contains the activation time of SRNC in CFN. l The DRNC sends the serving NodeB the RADIO LINK RECONFIGURATION COMMIT message. The message contains its activation time. At the activation time, the NodeB commands the source HS-DSCH cell to stop sending HS-DSCH data to UE. The target HS-DSCH cell sends UE the HS-DSCH data. l The SRNC sends UE the PHYSICAL CHANNEL RECONFIGURATION message. The message contains the following information: − Activation time − MAC-HS RESET indicator − Link ID of the serving HS-DSCH − HS-SCCH set indicator − UE ID of HS-DSCH l In the specified activation time, the UE resets HS-DSCH. It stops receiving HS-DSCH data from the source HS-DSCH cell, and starts receiving HS-DSCH data from target HS-DSCH cell. The UE responds SRNC the PHYSICAL CHANNEL RECONFIGURATION COMPLETE message. HS-DSCH Serving Cell Update (inter-NodeB) upon Fixed Active Set of UE Figure 7-17 shows the inter-NodeB synchronization serving cell update. 2009-10-10 Huawei Confidential Page 134 of 201
  • 135.
    W-Handover and CallDrop Problem Optimization Guide For Internal Use Figure 7-17 Inter-NodeB synchronization serving cell update Uu SourceHS-DSCHNode Iub B DRNC Iur Target HS-DSCHNode B UE SRNC 1. RNSAP: RLRECONFIGURATION PREPARE 2. NBAP: RLRECONFIGURATION PREPARE 3. NBAP: RLRECONFIGURATIONREADY 4. NBAP: RLRECONFIGURATIONPREPARE 6. RNSAP: 5. NBAP: RLRECONFIGURATIONREADY RLRECONFIGURATIONREADY ALCAP Iur Data Transport Bearer setup (HS-DSCH) 7. RNSAP: RL RECONFIGURATIONCOMMIT ALCAP IubData Transport Bearer setup (HS-DSCH) 8. NBAP: RLRECONFIGURATIONCOMMIT 9. RRC: PHYSICALCHANNELRECONFIGURATION 10. RRC: PHYSICAL CHANNELRECONFIGURATIONCOMPLETE ALCAP IubData Transport Bearer release (HS-DSCH) ALCAP Iur Data Transport Bearer release (HS-DSCH) The update process is based on that the DPCH and active set are fixed. The inter-NodeB synchronization serving cell is updated as below: l a) After SRNC decides to update HS-DSCH cell, it sends DRNC the RADIO LINK RECONFIGURATION PREPARE message. The message contains the identity of HS-DSCH target cell. l The DRNC sends the source NodeB the RADIO LINK RECONFIGURATION PREPARE message. l The NodeB responds RADIO LINK RECONFIGURATION READY message. The message contains the indicator of RESET MAC-hs after reconfiguration. l The source NodeB responds the RADIO LINK RECONFIGURATION PREPARE to the target NodeB. The message indicates NodeB to perform synchronized radio link reconfiguration, namely, to add resource to target HS-DSCH radio link. The message contains necessary information to set up HS-DSCH resource in target cell, like UE ID. l The target NodeB responds RADIO LINK RECONFIGURATION READY message. l The DRNC responds RADIO LINK RECONFIGURATION READY message to SRNC. The message contains the following information: − HS-SCCH set information − Scramble of target HS-SCCH cell − UE ID of HS-DSCH 2009-10-10 Huawei Confidential Page 135 of 201
  • 136.
    W-Handover and CallDrop Problem Optimization Guide For Internal Use l After setting up the HS-DSCH transport bearer to the target NodeB, the SRNC sends the RADIO LINK RECONFIGURATION COMMIT to DRNC, including the activation time of SRNC in CRN. l The DRNC sends the RADIO LINK RECONFIGURATION COMMIT message to the source NodeB and target NodeB. The message contains its activation time. In the activation time, the source NodeB stops and target NodeB starts sending HS-DSCH data. l The SRNC sends UE the PHYSICAL CHANNEL RECONFIGURATION message to UE. The message contains the following information: − Activation time − MAC-hs RESET indicator − Link ID of the serving HS-DSCH − HS-SCCH set indicator − UE ID of HS-DSCH l In the specified activation time, the UE resets MAC-hs. It stops receiving the HS-DSCH data from the source HS-DSCH cell, and starts receiving the data from target HS-DSCH cell. It responds the PHYSICAL CHANNEL RECONFIGURATION COMPLETE message to SRNC. The HS-DSCH transport bearer to source NodeB is released. The signaling is in the attachment below (the corresponding RNC version is V100R005C01B061): INTER_NODEB(ok).t mf DPCH SHO with HS-DSCH Serving Cell Update Figure 7-18 shows the inter-NodeB HS-DSCH cell update after radio link is added. 2009-10-10 Huawei Confidential Page 136 of 201
  • 137.
    W-Handover and CallDrop Problem Optimization Guide For Internal Use Figure 7-18 Inter-NodeB HS-DSCH cell update after radio link is added Uu Source Node B Iub Iur Target Node B UE DRNC SRNC 1. RNSAP: RL ADDITION REQUEST 2. NBAP: RL SETUP REQUEST 3. NBAP: RL SETUP RESPONSE 4. RNSAP: RL ADDITION RESPONSE ALCAP Iur Data Transport Bearer setup (DCH) 7. RNSAP: RL RECONFIGURATION REQUEST ALCAP Iub Data Transport Bearer setup (DCH) 10. NBAP: RL RECONFIGURATION REQUEST 5. RRC: ACTIVE SET UPDATE 6. RRC: ACTIVE SET UPDATE COMPLETE 8. NBAP: RL RECONFIGURATION REQUEST 9. NBAP: RL RECONFIGURATION READY 12. RNSAP: 11. NBAP: RL RECONFIGURATION READY RL RECONFIGURATION READY ALCAP Iur Data Transport Bearer setup (HS-DSCH) 13. RNSAP: RL RECONFIGURATION COMMIT ALCAP Iub Data Transport Bearer setup (HS-DSCH) 14. NBAP: RL RECONFIGURATION COMMIT 15. RRC: PHYSICAL CHANNEL RECONFIGURATION 16. RRC: PHYSICAL CHANNEL RECONFIGURATION COMPLETE ALCAP Iub Data Transport Bearer release (HS-DSCH) ALCAP Iur Data Transport Bearer release (HS-DSCH) Setting a newly-added radio link to HS-DSCH radio link involves two steps: l Add a new link to active set l The HS-DSCH transmits to the new radio link After radio link is added, the inter-NodeB HS-DSCH cell is updated as below: l The SRNC decides to add new radio link. The radio link will be the HS-DSCH link. The SRNC sends DRNC the RADIO LINK ADDITION REQUEST message. The message indicates DRNC to set up a radio link without HS-DSCH resource. l The DRNC allocates resources for the new radio link. It sends the RADIO LINK SETUP REQUEST message to the target NodeB. The message contains the information to set up DPCH. It indicates the target NodeB to set up new radio link. l The target NodeB allocates resources. It receives information at the physical layer of the new DPCH. It responds the RADIO LINK SETUP RESPONSE message. l The DRNC responds the RADIO LINK SETUP RESPONSE message to SRNC. The DCH transport bearer is set up. 2009-10-10 Huawei Confidential Page 137 of 201
  • 138.
    W-Handover and CallDrop Problem Optimization Guide For Internal Use l The SRNC sends UE the ACTIVE SET UPDATE message. The message contains the new radio link ID. l The UE adds the new radio link to active set, and then responds the ACTIVE SET UPDATE COMPLETE message to SRNC. l The SRNC sends the RADIO LINK RECONFIGURATION REQUEST message to DRNC. The message indicates the target HS-DSCH cell. l Assume that the target HS-DSCH and source HS-DSCH are controlled by different NodeBs. The DRNC sends the RADIO LINK RECONFIGURATION message to source NodeB. The message indicates NodeB to perform synchronized radio link reconfiguration, excluding the resource of original HS-DSCH radio link. l The source NodeB responds the RADIO LINK RECONFIGURATION READY message to DRNC. l The DRNC sends the RADIO LINK RECONFIGURATION REQUEST message to target NodeB. The message indicates target NodeB to perform synchronized radio link reconfiguration to allocate resources to target HS-DSCH link. l The target NodeB responds the RADIO LINK RECONFIGURATION READY message. l The DRNC sends the RADIO LINK RECONFIGURATION READY message to SRNC. The message contains the following information: − HS-SCCH set information − Scramble of target HS-SCCH cell − UE ID of HS-DSCH l The HS-DSCH transport bearer to target NodeB is set up. The SRNC sends the RADIO LINK RECONFIGURATION COMMIT message to DRNC. The message contain the activation time in CFN. l The DRNC sends the RADIO LINK RECONFIGURATION COMMIT message to the source NodeB and the target NodeB. In the specified activation time, the source NodeB stops sending HS-DSCH information to UE, and then the target NodeB starts sending HS-DSCH information to the UE. l The SRNC sends the PHYSICAL CHANNEL RECONFIGURATION message to UE. The message contains the following information: − Activation time − MAC-hs RESET indicator − Link ID of the HS-DSCH − HS-SCCH code set − UE ID of HS-DSCH l In the specified time, the UE resets MAC-hs. It stops receiving HS-DSCH data from source HS-DSCH cell, and starts receiving HS-DSCH data from target HS-DSCH cell. The UE responds the PHYSICAL CHANNEL RECONFIGURATION COMPLETE message to SRNC. The transport bearer to source NodeB is released. 2009-10-10 Huawei Confidential Page 138 of 201
  • 139.
    W-Handover and CallDrop Problem Optimization Guide For Internal Use 7.6.5 HS-PDSCH Serving Cell Update due to DPCH HHO Description The combination of HHO and HS-PDSCH serving cell update is simple. Namely, they occur simultaneously. The intra- and inter-NodeB HHO with serving cell update have the same process. New radio link is set up in new cell with HS-DSCH. Consequently, the physical channel is reconfigured, and old link is deleted. Handover Flow Figure 7-19 shows the inter-NodeB HS-DSCH cell update during HHO (single step method). Figure 7-19 Inter-NodeB HS-DSCH cell update during HHO (single step method) Target Node B Source Node B Iur Uu Iub Target DRNC Source DRNC UE SRNC 1. RNSAP: RL SETUP REQUEST 4. RNSAP: RL SETUP RESPONSE 2. NBAP: RL SETUP REQUEST 3. NBAP: RL SETUP RESPONSE ALCAP Iub Data Transport Bearer setup (DCH + HS-DSCH) ALCAP Iur Data Transport Bearer setup (DCH + HS-DSCH) 5. RRC: PHYSICAL CHANNEL RECONFIGURATION 6. RRC: PHYSICAL CHANNEL RECONFIGURATION COMPLETE 8. NBAP: RL DELETION REQUEST 9. NBAP: RL DELETION RESPONSE ALCAP Iub Data Transport Bearer release (DCH + HS-DSCH) 7. RNSAP: RL DELETION REQUEST 10. RNSAP: RL DELETION RESPONSE ALCAP Iur Data Transport Bearer release (DCH + HS-DSCH) The inter-NodeB HS-DSCH cell during HHO (single step method) is updated as below: l The SRNC decides to perform HHO and update HS-DSCH cell. It sends the RADIO LINK SETUP REQUEST message to target DRNC. The message indicates the target cell for HHO and the information to set up HS-DSCH resource in target HS-DSCH cell. l The DRNC allocates resources for new radio link. It sends the RADIO LINK SETUP REQUEST message to target NodeB. The message contains the information to set up DPCH and that to set up HS-DSCH. l The target NodeB allocates resources to set up DPCH link. It starts receiving data from physical layer. It responds the RADIO LINK SETUP RESPONSE message. The 2009-10-10 Huawei Confidential Page 139 of 201
  • 140.
    W-Handover and CallDrop Problem Optimization Guide For Internal Use message contains the information about HS-SCCH code set, and HS-DSCH flow control. l The DRNC responds the RADIO LINK SETUP RESPONSE message to SRNC. The DCH and DSCH transport bearer is set up at lub and lur interface. The message contains the following information: − HS-SCCH code set − HS-DSCH flow control − UE ID l The SRNC sends UE the PHYSICAL CHANNEL RECONFIGURATION message. The message contains the following information: − Activation time − DPCH of target cell − MAC-hs RESET indicator − Link ID of the HS-DSCH − HS-SCCH code set − UE ID of HS-DSCH l In the specified time, the UE deletes the current active set, and sets up DPCH link to target cell, RESET MAC-hs, and after it synchronize with target cell at the physical layer, it starts receiving and sending DPCH data, and receiving HS-DSCH data of target cell. The UE responds the PHYSICAL CHANNEL RECONFIGURATION COMPLETE message to SRNC. l The SRNC sends the RADIO LINK DELETION REQUEST message to source DRNC. The message indicates the cell to be deleted. l The target DRNC sends the RADIO LINK DELETION REQUEST message to source NodeB. l The source NodeB releases original radio link resource, and responds the RADIO LINK DELETION RESPONSE message to source DRNC. l The source DRNC responds RADIO LINK DELETION RESPONSE message to SRNC. The DCH and HS-DSCH transport bearer resource to source NodeB are released. 7.6.6 DPCH Intra-frequency HHO with HS-DSCH Serving Cell Update Figure 7-20 shows the signaling when DPCH intra-frequency HHO with HS-DSCH serving cell update. 2009-10-10 Huawei Confidential Page 140 of 201
  • 141.
    W-Handover and CallDrop Problem Optimization Guide For Internal Use Figure 7-20 DPCH intra-frequency HHO with HS-DSCH serving cell update The flows for intra-frequency HHO and HS-PDSCH serving cell update are simple. They occur simultaneously. After the UE reports 1D event, the physical channel reconfiguration triggers the HHO of DPCH and HS-DSCH serving cell update. The following attachment includes the signaling, according to V100R005C01B061). INTER_NODEB(ok).t mf 7.6.7 DPCH Inter-frequency HHO with HS-DSCH Serving Cell Update Figure 7-21 shows the DPCH inter-frequency HHO with HS-DSCH serving cell update. 2009-10-10 Huawei Confidential Page 141 of 201
  • 142.
    W-Handover and CallDrop Problem Optimization Guide For Internal Use Figure 7-21 DPCH inter-frequency HHO with HS-DSCH serving cell update In Figure 7-21, l Message 98: the UE sends RNC the 2D measurement report. l Messages 99–105: the UE and NodeB starts compression mode. l Messages 112–143: the UE sends the measurement report. The report meets the HHO threshold. The flow for physical channel reconfiguration occurs. HHO is complete. The HS-PDSCH serving cell is updated. The following attachment contains the signaling, according to V100R005C01B061. HSDPA_INTER_FREQ_ HHO_WITH_TRAFFIC_OK_UE.tmf 2009-10-10 Huawei Confidential Page 142 of 201
  • 143.
    W-Handover and CallDrop Problem Optimization Guide For Internal Use 7.6.8 Handover Between HSDPA and R99 Description When the UE moves from a HSDPA cell to an R99 cell, the service that is born on HS-DSCH channel is remapped on DCH to guarantee the continuity of service. The HS-DSCH set in HSDPA cell is deleted. Figure 7-22 shows the handover from HSDPA to R99. Figure 7-22 handover from HSDPA to R99 The Case 1 is intra-frequency handover from R5 to R99. The Case 2 is inter-frequency handover from R5 to R99. When a UE moves from an R99 cell to a HSDPA cell, if the original DCH bears packet data service, an HS-DSCH is set up in the link between UE and HSDPA cell, and the data service is remapped on the new HS-DSCH. This helps provide more qualified services for data services. Figure 7-23 shows the intra-frequency handover from R99 to R5. Figure 7-23 Intra-frequency handover from R99 to R5 The strategy for handover between HSDPA and R99 in V17 differs from that in V15 and V16. If both an R99 cell and a HSDPA cell are available in the active set of the UE, the UE decides that the service is borne over the HS-DSCH or over the DCH depending on whether the best cell supports HSDPA or not. In V17, four scenarios of handover between HSDPA and R99 exist as listed in Table 7-4. 2009-10-10 Huawei Confidential Page 143 of 201
  • 144.
    W-Handover and CallDrop Problem Optimization Guide For Internal Use Table 7-4 Scenarios of handover between HSDPA and R99 (V17) No. Scenario RNC Processing 1 If the UE moves to an R99 cell from a HSDPA cell: A 1D event occurs and the new best cell does not support HSDPA. A 1B or 1C event occurs and the new best cell does not support HSDPA. The RNC hands over the HSDPA link of the UE to the DPCH channel of the R99 cell. 2 The UE moves to an R99 cell of another frequency from a HSDPA cell, then an inter-frequency HHO occurs. The RNC hands over the UE to the DPCH channel of the R99 cell through HHO. 3 The UE moves to a HSDPA cell from an R99 cell: A 1D event occurs and the new best cell supports HSDPA. A 1B or 1C event occurs and the new best cell supports HSDPA. If the service of the UE is fit for the HS-PDSCH and the updated best cell supports HSDPA, the RNC switches the related service to the HS-PDSCH. 4 The UE moves to a HSDPA cell of another frequency from an R99 cell, then an inter-frequency HHO occurs. The RNC hands over the UE to the HSDPA cell through HHO. After a period of time (as specified by the related timer), the RNC sets up the related service over the HS-PDSC if the service of the UE is fit for the HS-PDSCHH. Intra-frequency SHO Between HSDPA Cell and R99 Cell Figure 7-24 shows DPCH SHO with handover from HSDPA to R99 (inter-NodeB). 2009-10-10 Huawei Confidential Page 144 of 201
  • 145.
    W-Handover and CallDrop Problem Optimization Guide For Internal Use Figure 7-24 DPCH SHO with handover from HSDPA to R99 (inter-NodeB) The meanings of messages shown in Figure 7-24 are as below: l Message 19: the UE sends the 1A measurement report to RNC. The report indicates that the signals from R99 cell are stronger than the signals required by threshold. Therefore the R99 cell requires being added to active set. l Messages 20, 21, and 22: the RNC sets up a radio link to NodeB. l Messages 23–26: the RNC sends UE the active set update message, and the associated DCH can receive the message in two RLs. After the UE receives the message, it sends the active set update complete message, which the RNC can receive in two RLs. l Messages 27 and 28: the network sends UE a new measurement control message, updated measurement parameters, and neighbor cell list. l Messages 29 and 30: the RNC informs NodeB of perform dedicated measurement in new link. 2009-10-10 Huawei Confidential Page 145 of 201
  • 146.
    W-Handover and CallDrop Problem Optimization Guide For Internal Use l Messages 31 and 32: the R99 cell is listed in active set, so the HS-PDSCH parameters need changing. RL is reconfigured, and HS-PDSCH parameters are changed. l Message 33: the physical channel is reconfigured, and physical parameters of HSPDA are changed. l Message 40: the UE sends 1D measurement report, and the R99 cell becomes the best server. Now the HS-PDSCH serving cell remains the same. l Message 44: the UE sends 1B measurement report. l Message 50: the RB is reconfigured, and the service is reconfigured from HS-PDSCH to DCH. l Messages 56–60: the RL of original HS-PDSCH is deleted from active set. Figure 7-25 shows the DPCH SHO with handover from R99 to HSDPA. Figure 7-25 DPCH SHO with handover from R99 to HSDPA In Figure 7-25, in the handover from R99 to R5 HSDPA, after the UE reports 1A event, it first adds the RL of HS-PDSCH, and then reconfigures the service born on DCH to HS-PDSCH. The following attachment contains the previous signaling, according to V100R005C01B061. 2009-10-10 Huawei Confidential Page 146 of 201
  • 147.
    W-Handover and CallDrop Problem Optimization Guide For Internal Use SHO_R5toR99&R99to R5(OK)_Inter_NodeB.tmf Figure 7-26 Inter-NodeB SHO with handover from HSDPA to R99 (V17) In V17, the signaling flow for SHO from HSDPA to R99 is as follows: l The UE accesses a HSDPA cell. − The UE reports a 1A event of the R99 cell (message 18), and the R99 cell is added to the active set. − The UE reports a 1D event of the R99 cell (message 26), and the R99 changes into the best cell. − The RNC hands over the UE from the HSDPA cell to the R99 cell (message 34). In V17, the signaling flow for SHO from R99 to HSDPA is similar to that for SHO from HSDPA to R99: l The UE accesses an R99 cell. − The UE reports a 1A event of the HSDPA cell, and the HDSPA cell is added to the active set. − The UE reports a 1D event of the HDSPA cell, and the HSDPA cell changes into the best cell. − The RNC hands over the UE from the R99 cell to the HSDPA cell. The following attachment contains the signaling for handover from HSDPA to R99, according to V17C01B060. 2009-10-10 Huawei Confidential Page 147 of 201
  • 148.
    W-Handover and CallDrop Problem Optimization Guide For Internal Use RNC_2006-10-30-09 -59-11_H2D SHO.rar Intra-frequency HHO Between HS-PDSCH Cell and R99 Cell Figure 7-27 shows the intra-frequency HHO with handover from R5 to R99 (intra-NodeB). Figure 7-27 Intra-frequency HHO with handover from R5 to R99 The meanings of messages are as below: l Message 31: the UE reports 1A event, requiring network side to add the link for R99 cell. l Message 32: the network side prohibits SHO and neglects 1A event. The UE reports 1D event. l Message 35: after RB reconfiguration, the born service is configured from HS-PDSCH to DCH of the current cell. l Messages 39–44: R99 HHO occurs, the UE hands over to a new cell. Figure 7-30 shows the intra-frequency HHO with handover form R99 to R5 (intra-NodeB). Figure 7-28 Intra-frequency HHO with handover form R99 to R5 Intra-frequency HHO occurs on DPCH while the handover from R99 to R5 occurs. The intra-frequency HHO of R99 occurs, and then the service is reconfigured from DCH to HS-PDSCH in the new HSDPA cell. 2009-10-10 Huawei Confidential Page 148 of 201
  • 149.
    W-Handover and CallDrop Problem Optimization Guide For Internal Use The following attachment contains the signaling, according to V100R005C01B061. HHO_R5ToR99(OK) and R99toR5_Intra_NodeB.tmf Figure 7-29 Intra-frequency HHO with handover from R5 to R99 (V17) In V17, the signaling flow for intra-frequency HHO from HSDPA to R99 is as follows: l The UE accesses a HSDPA cell. − The UE reports a 1A event of the R99 cell (messages 18 to 22). The RNC does not perform any processing because the SHO is not supported. − The UE reports a 1D event of the R99 cell (message 23), and the R99 cell changes into the best cell. − The RNC hands over the UE from the HSDPA cell to the R99 cell through HHO (line 34). This step differs from that in the earlier versions. In earlier versions, the RNC re-allocates the service from HSDPA to R99, and then hands over the service to another R99 cell through intra-frequency HHO. The signaling flow for intra-frequency HHO from R99 to HSDPA in V17 is the same as that in the earlier versions. The following attachment contains the preceding signaling, according to V17C01B060. RNC_2006-10-30-10 -41-35_H2D intraHHO.rar Inter-frequency HHO Between HS-PDSCH and R99 Figure 7-30 shows the inter-frequency HHO from HS-PDSCH to DCH. 2009-10-10 Huawei Confidential Page 149 of 201
  • 150.
    W-Handover and CallDrop Problem Optimization Guide For Internal Use Figure 7-30 Inter-frequency HHO from HS-PDSCH to DCH The meanings of previous messages are as below: l Message 20: the UE reports 2D measurement report to RNC. l Messages 21–27: the UE and NodeB start compression mode. l Messages 28–35: the UE sends measurement report. l Message 36–66: the UE sends measurement report. The report indicates that the inter-frequency HHO threshold is met. The UE reconfigures the service to be born on R99 DCH in RB reconfiguration, and then R99 HHO occurs. Figure 7-31 shows the inter-frequency HHO from DCH to HS-PDSCH. 2009-10-10 Huawei Confidential Page 150 of 201
  • 151.
    W-Handover and CallDrop Problem Optimization Guide For Internal Use Figure 7-31 Inter-frequency HHO from DCH to HS-PDSCH The meanings of previous message are as below: l Message 76: the UE sends 2D measurement report to RNC. l Messages 77–83: the UE and NodeB starts compression mode. l Messages 84–91: the UE sends measurement report. l Messages 92–121: the UE sends measurement report, and the inter-frequency HHO threshold is met. The inter-frequency HHO occurs. The service is born on HS-DSCH in RB reconfiguration in target cell, and the inter-frequency HHO from DCH to HS-PDSCH is complete. The following attachment contains the signaling, according to V100R005C01B061. IFHO H-R OK(R170 H180).tmf 2009-10-10 Huawei Confidential Page 151 of 201
  • 152.
    W-Handover and CallDrop Problem Optimization Guide For Internal Use In the signaling flow for inter-frequency HHO from HSDPA to R99 in V17, only the HHO from a HSDPA cell to an R99 cell differs from that in the earlier version. In earlier versions, the RNC re-allocates the service from HSDPA to R99, and then hands over the service to another R99 cell through intra-frequency HHO. In V17, the handover from the HSDPA cell to the R99 cell completes in one step. The signaling flow for inter-frequency HHO from R99 to HSDPA in V17 is the same as that in the earlier versions. The signaling is to be implemented. 7.6.9 Handover between HSDPA and GPRS The handover between HSDPA and GPRS is similar to that of R99. For details, see the Appendix 5. Figure 7-32 shows the handover between HSDPA and GRPS. Figure 7-32 Handover between HSDPA and GPRS hsdpa-2G.tmf 7.6.10 Direct Retry of HSDPA In V16, direct retry of HSDPA includes the following two types: Inter-frequency direct retry of HSDPA during setup of a service When the R99 cells and HSDPA cells cover the same geographic area, the system allocates all data services to the HS-DSCH of HSDPA cells. When the UEs originate to access the network from R99 or HSDPA cells, it can share the HSDPA resource of HSDPA cells however it is an R99 UE or a HSDPA UE. Thus, it can use resource better. 2009-10-10 Huawei Confidential Page 152 of 201
  • 153.
    W-Handover and CallDrop Problem Optimization Guide For Internal Use Figure 7-33 Flow for direct retry during setup of a service Inter-frequency direct retry triggered by 4A events When an R99 cell and a HSDPA cell cover the same geographic area, the system allocates the data traffic to the HS-DSCH of the HSDPA cell through direct retry if a 4A event occurs due to increase of data traffic of the UE in the R99 cell. In this case, the R99 cell shares HSDPA resources with the HSDPA cell. Thus, the resources are better used. Figure 7-34 Direct retry triggered by traffic In V17, the following types of inter-frequency direct retry of HSDPA are available: l Inter-frequency direct retry of HSDPA during setup of a service − Scenario 1 An R99 cell overlaps with an inter-frequency R5 cell with the same coverage. If the UE that supports HSDPA originates a request for setup of a service that is fit for 2009-10-10 Huawei Confidential Page 153 of 201
  • 154.
    W-Handover and CallDrop Problem Optimization Guide For Internal Use HSDPA in the R99 cell, the service is sent to the R5 cell through direct retry during RAB setup. − Scenario 2 An R5 cell has an inter-frequency R99 cell with the same coverage. If the UE that supports HSDPA originates a request for setup of a service that HSDPA cannot bear in the R5 cell, or the UE that does not support HSDPA originates a request for setup of a service on HSDPA in the R5 cell, the request is sent to the R99 cell through direct retry during RAB setup. The service setup here must be the first service setup of the UE or the existing services are over the FACH. Thus, the new service does not impact the existing services. l Inter-frequency direct retry in the case admission rejection Suppose an R5 has an inter-frequency R5 cell with the same coverage. The UE that supports HSDPA originates a request for setup of a service that is fit for HSDPA or originates an RAB reconfiguration request (channel type) in an R5 cell. If the request is rejected by the local cell, the request is sent to the other R5 cell through an inter-frequency direct retry. l Inter-frequency direct retry triggered by 4A events The current service that is fit for the HS-DSCH is over the DCH for some reason (such as admission rejection), the UE supports HSDPA but the best cell does not. An inter-frequency R5 cell with the same coverage is available. In this case, the system re-allocates the service from the DCH to the HS-DSCH in the inter-frequency R5 cell with the same coverage if the data traffic of the UE increases (the RNC receives a 4A event measurement report). l Inter-frequency direct retry triggered by a timer The current service that is fit for the HS-DSCH is over the DCH for some reason (such as admission rejection), the UE supports HSDPA but the best cell does not. An inter-frequency R5 cell with the same coverage is available. In this case, the system re-allocates the service from the DCH to the HS-DSCH in the inter-frequency R5 cell with the same coverage if the channel type fit for service mapping has conflicted with the type of the current serving channel for a period of time (as specified by the HSDPA direct retry timer). To set the expiry time of the timer, run the command SET COIFTIMER:HRetryTimerLen=5000;. The signaling is to be supplemented. 7.6.11 Switch of Channel Type When the HSDPA is used, a new state appears compared with R99, the CELL_DCH state on HS-DSCH. The switch of channel type between HS-DSCH and FACH/DCH includes: l HS-DSCH <-> FACH l HS-DSCH <-> DCH 2009-10-10 Huawei Confidential Page 154 of 201
  • 155.
    W-Handover and CallDrop Problem Optimization Guide For Internal Use Figure 7-35 shows the switch of channel type. Figure 7-35 Switch of channel type HS-DSCH <-> FACH The UE with HSDPA channel uses DPCH resource of certain bandwidth. If all services of HSDPA UE are BE services, the all service (including the service on DCH and HS-DSCH) are without data transmission for a long time, the system triggers state transition to reduce consumption of DPCH resource. Therefore, the UE transits from CELL_DCH (HS-DSCH) state to CELL_FACH state. Whereas, the data service is more active (the network receives the 4a event of service measurement quantity), the UE is triggered to switch from CELL_FACH state to HS-DSCH. The attachment below contains the signaling. H2F and F2H (OK).tmf HS-DSCH <-> DCH In V16, the handover between HS-DSCH and DCH might occur in any of the following cases: l One cause to handover between HS-DSCH and DCH is coverage. This case includes that UE moves from an R99 cell to a HSDPA cell or from a HSDPA cell to a R99 cell. If the service set up by UE fits for HS-DSCH, the RNC triggers switch of channel type after the HSDPA cell is added to actives set of UE. The RNC reallocate the data service to HS-DSCH. This is due to mobility of UE. l D2H channel type switch triggered by traffic − Scenario 1: A 4A event triggers switch between D2H channel types in a cell. The current service that is suitable for the HS-DSCH is over the DCH for some reason (such as admission rejection). Both the UE and the best cell support HSDPA. The rate of the service on the current DCH is lower than 384 Kbps. In this case, the system re-allocates the service from the DCH to the HS-DSCH in the best cell if the data traffic of the UE increases (the RNC receives a 4A event measurement report). − Scenario 2: A 4A event triggers D2H switch between two cells at different frequencies but with the same coverage. See 7.6.10 . 2009-10-10 Huawei Confidential Page 155 of 201
  • 156.
    W-Handover and CallDrop Problem Optimization Guide For Internal Use In V17, the switch between HS-DSCH and DCH might occur in any of the following cases: l The reason for handover between HS-DSCH and DCH is coverage. This case includes that the UE moves from an R99 cell to a HSDPA cell or from a HSDPA cell to a R99 cell. l D2H channel type switch triggered by traffic − Scenario 1: A 4A event triggers D2H channel type switch in a cell. The current service that is fit for the HS-DSCH is over the DCH for some reason (such as admission rejection). Both the UE and the best cell support HSDPA. The rate of the service on the current DCH is lower than 384 Kbps. In this case, the system re-allocates the service from the DCH to the HS-DSCH in the best cell if the data traffic of the UE increases (the RNC receives a 4A event measurement report). − Scenario 2: A 4A event triggers D2H switch between two cells at different frequencies but with the same coverage. See 7.6.10 . If the rate of service on the current DCH equals to 384 Kbps, no 4A event occurs. In this case, a timer is needed to trigger the D2H switch. The following attachment contains D2H switch signaling, according to V17C01B060: RNC_2006-10-30 -11-31-49_based on trafficrar l D2H channel type switch triggered by a timer − Scenario 1: The timer triggers D2H switch in a cell. The current service that is suitable for the HS-DSCH is over the DCH for some reason (such as admission rejection). Both the UE and the best cell support HSDPA. In this case, the system re-configures the service from the DCH to the HS-DSCH in the best cell if the channel type fit for service mapping has conflicted with the type of the current serving channel for a period of time (as specified by the HSDPA direct retry timer). − Scenario 2: The timer triggers D2H switch in the case of inter-frequency direct retry. See 7.6.10 . To set the expiry time of the timer, run the command SET COIFTIMER:HRetryTimerLen=5000;. The following attachment contains signaling in the case that the timer triggers D2H switch in a cell, according to V17C01B060: RNC_2006-10-30 -11-11-05_based on timer D2H.rar 2009-10-10 Huawei Confidential Page 156 of 201
  • 157.
    W-Handover and CallDrop Problem Optimization Guide For Internal Use 7.7 Concept and Classification of HSUPA Handover 7.7.1 Basic Concepts If the HSUPA is used, the following two types of links may coexist between a subscriber and the network: l HSUPA link: Each UE can have only one HSUPA link with the network. Different from the HSDPA, the HSUPA supports SHO. The HSUPA handover requires management of the HSUPA serving cell. l DPCH link: The handover functions supported by the DPCH link are the same as those supported by the R99 system, including SHO, HHO, and handover between systems HSUPA Serving Cell The E-DCH active set has three types of RL: l Serving E-DCH Cell: The UE receives AG scheduling from the serving E-DCH cell. l Serving E-DCH RLS: It refers to a cell set that contains at least the serving E-DCH cell. The UE can receive serving RGCH from such cells and perform softer combination. That is, the cells in the serving E-DCH RLS and the serving E-DCH cell belong to the same NodeB. l Non-Serving RL: It means cells that belong to the E-DCH active set but to the serving E-DCH RLS. The UE can receive RGCH from these cells. The UE can receive the AGCH message from only one cell. This cell is the serving cell of the HSUPA. According to the protocol, the HSUPA serving cell and HSDPA serving cell for a subscriber must be the same one. If the best cell in the active set changes due to changes of the radio environment, the serving cell changes. That is, the serving cell is updated. HSUPA Channel Selection Policy l If all cells in the active set support the HSUPA, the E-DCH bears the uplink services. In other cases, the DCH bears the uplink services. l If all cells in the active set belong to the SRNC, the E-DCH bears the uplink services. In other cases, the DCH bears the uplink services (The lur interface in phase 1 of the product does not support the HSUPA). For these reasons, if a new cell added to the active set does not support the HSUPA or the new cell belongs to the DRNC, the channel type changes from the E-DCH to the DCH. In some cases, the channel type changes from the the DCH to the E-DCH. 7.7.2 Classification of HSUPA Handover The HSUPA handover includes the following types: l Handover between two HSUPA cells 2009-10-10 Huawei Confidential Page 157 of 201
  • 158.
    W-Handover and CallDrop Problem Optimization Guide For Internal Use l Handover between a HSUPA cell and a non-HSUPA cell l Handover between a HSUPA cell and a GSM/GPRS cell 7.7.3 Signaling Flow and Message Analysis of HSUPA Handover Handover Between Two HSUPA Cells The handover between two HSUPA cells includes three scenarios as listed in Table 7-5. Table 7-5 Handover between two HSUPA cells No. Scenario Rules 1 Intra-frequency SHO between two HSUPA cells A 1A, 1B, 1C, or 1D event occurs. No non-HSUPA cell exists in the active set before and after the active set is updated. The RNC updates the active set based on the measurement report. If the best cell changes, the RNC updates the HSUPA serving cell by re-configuring the physical channel. 2 Intra-frequency HHO between two HSUPA cells A 1D event occurs. The intra-frequency HHO is complete through reconfiguration of the physical channel. 3 Inter-frequency HHO between two HSUPA cells A 2D event occurs and the compressed mode is enabled. The handover also might be triggered by a 2B event or a periodic measurement report. The UE reports a 2D event to start the compression mode and perform inter-frequency measurement. If the target cell allows the HSUPA access, the RNC allocates the UE to the target HSUPA cell by re-configuring the physical channel. Intra-frequency SHO Between Two HSUPA Cells The UE moves from Cell 1 to Cell 2. Cell 2 and Cell 1 are adjacent cells at the same frequency. All cells in the active set support the HSUPA. Another HSUPA cell becomes the best cell as the UE moves, so a 1D event occurs. The RNC updates the HSUPA serving cell, and the HSUPA link of the UE is handed over to Cell 2 from Cell 1. 2009-10-10 Huawei Confidential Page 158 of 201
  • 159.
    W-Handover and CallDrop Problem Optimization Guide For Internal Use Figure 7-36 Intra-frequency SHO between two HSUPA cells Figure 7-37 shows the related signaling. Figure 7-37 Signaling for HSUPA cell update triggered by a 1D event If the monitor set reports a 1D event, the HSUPA serving cell also is updated. For example, the service is over the E-DCH in HSUPA 1 that works as the serving cell. The signals of HSUPA 2 in the monitor set become stronger. In this case, the UE reports a 1D event and the RNC adds 2009-10-10 Huawei Confidential Page 159 of 201
  • 160.
    W-Handover and CallDrop Problem Optimization Guide For Internal Use HSUPA 2 to the active set. At last, the RNC updates the serving cell is updated by re-configuring the physical channel. Figure 7-38 shows the related signaling: Figure 7-38 Signaling for HSUPA cell update triggered by a 1D event (reported by the monitor set) Intra-frequency HHO Between Two HSUPA Cells The UE moves from Cell 1 to Cell 2. Cell 2 and Cell 1 are adjacent cells at the same frequency. The signals of the current HSUPA serving cell (Cell 1) become weak and those of Cell 2 become stronger as the UE moves. In this case, a 1D event occurs. The RNC re-configures the physical channel to finish the intra-frequency HHO. Figure 7-39 Intra-frequency HHO between two HSUPA cells 2009-10-10 Huawei Confidential Page 160 of 201
  • 161.
    W-Handover and CallDrop Problem Optimization Guide For Internal Use Figure 7-40 shows the related signaling: Figure 7-40 Signaling for intra-frequency HHO between two HSUPA cells Inter-frequency HHO Between Two HSUPA Cells The UE moves from Cell 1 to Cell 2. Cell 2 and Cell 1 are adjacent cells at different frequencies. The signals of the current HSUPA serving cell (Cell 1) become weak and those of Cell 2 become stronger as the UE moves. In this case, a 2D event occurs. The UE starts the compression mode and performs inter-frequency measurement. If the target cell meets the handover requirements and the E-DCH allows the service setup, the RNC allocates the UE from Cell 1 to Cell 2 by re-configuring the physical channel and sets up the HSUPA link of the UE on the E-DCH of Cell 2. Figure 7-41 Inter-frequency HHO between two HSUPA cells Figure 7-42 shows the related signaling: 2009-10-10 Huawei Confidential Page 161 of 201
  • 162.
    W-Handover and CallDrop Problem Optimization Guide For Internal Use Figure 7-42 Signaling for inter-frequency HHO between two HSUPA cells Inter-RNC HSUPA Handover HSUPA Phase 1 does not support HSUPA handover between lur interfaces. If a DRNC cell is added to the active set, the service must be allocated to the DCH from the E-DCH. After the migration, all cells in the active set belong to the SRNC. In this case, the service is allocated to the E-DCH from the DCH, provided all cells in the active set support the HSUPA. Figure 7-43 shows the inter-RNC HSUPA handover: 2009-10-10 Huawei Confidential Page 162 of 201
  • 163.
    W-Handover and CallDrop Problem Optimization Guide For Internal Use Figure 7-43 Inter-RNC HSUPA handover Handover Between a HSUPA Cell and a Non-HSUPA Cell In the initial stage of use of the HSUPA, usually it is hard to implement continuous coverage of HSUPA cells. In this case, handover between a HSUPA cell and a non-HSUPA cell occurs when the UE moves. The handover between a HSUPA cell and a non-HSUPA cell includes six scenarios as listed in Table 7-6. Table 7-6 Handover between a HSUPA cell and a non-HSUPA cell No. Scenario Rules 1 SHO from a HSUPA cell to a non-HSUPA cell A 1A, 1C, or 1D event occurs. The RNC updates the active set based on the measurement report, and then allocates the service from the E-DCH to the DCH through RB reconfiguration. 2 Intra-frequency HHO from a HSUPA cell to a non-HSUPA cell A 1D event occurs. The RNC allocates the service from the E-DCH to the DCH through RB reconfiguration. 3 Inter-frequency HHO from a HSUPA cell to a non-HSUPA cell A 2b event occurs. The handover also might be triggered by a periodic measurement report. The UE reports a 2D event to start the compression mode and perform inter-frequency measurement. If the target cell meets the handover requirements and its DCH allows service setup, the RNC allocates the service from the E-DCH to the DCH through RB reconfiguration. 2009-10-10 Huawei Confidential Page 163 of 201
  • 164.
    W-Handover and CallDrop Problem Optimization Guide For Internal Use 4 SHO from a non-HSUPA cell to a HSUPA cell A 1B or 1C event occurs. The RNC updates the active set based on the measurement report. If all cells in the updated active set support the HSUPA, the channel mapping policy determines whether the service is allocated to the E-DCH through RB reconfiguration. 5 Intra-frequency HHO from a non-HSUPA cell to a HSUPA cell A 1D event occurs. The intra-frequency HHO of the DCH is complete through reconfiguration of the physical channel. If the target cell allows the HSUPA access, the RNC allocates the service to the E-DCH through RB reconfiguration. 6 Inter-frequency HHO from a non-HSUPA cell to a HSUPA cell A 2b event occurs. The handover also might be triggered by a periodic measurement report. The UE reports a 2D event to start the compression mode and perform inter-frequency measurement. If the target cell meets the handover requirements, the handover is complete through the following two steps: The intra-frequency HHO of the DCH is complete through reconfiguration of the physical channel. If the target cell allows the HSUPA access, the RNC allocates the service to the E-DCH through RB reconfiguration. 7.7.4 SHO from a HSUPA Cell to a Non-HSUPA Cell Cell 2 and Cell 1 are adjacent cells at the same frequency. If signals of Cell 2 become strong enough to trigger a 1A or 1C event as the UE moves, the RNC adds Cell 2 to the active set. In this case, non-HSUPA cells exist in the active set. The RNC allocates the service from the E-DCH to the DCH through RB reconfiguration according to the HSUPA channel selection policy. 2009-10-10 Huawei Confidential Page 164 of 201
  • 165.
    W-Handover and CallDrop Problem Optimization Guide For Internal Use Figure 7-44 SHO from a HSUPA cell to a non-HSUPA cell Figure 7-45 shows the handover signaling: 2009-10-10 Huawei Confidential Page 165 of 201
  • 166.
    W-Handover and CallDrop Problem Optimization Guide For Internal Use Figure 7-45 Addition of an R99 cell when the service is on the E-DCH Intra-frequency HHO from a HSUPA Cell to a Non-HSUPA Cell The UE moves from Cell 1 to Cell 2. Cell 2 and Cell 1 are adjacent cells at the same frequency. If signals of Cell 2 become stronger as the UE moves, the UE reports a 1D event. In this case, the RNC allocates the service to the DCH from the E-DCH through RB reconfiguration (The intra-frequency HHO from a HSUPA cell to an R99 cell is complete in one step). 2009-10-10 Huawei Confidential Page 166 of 201
  • 167.
    W-Handover and CallDrop Problem Optimization Guide For Internal Use Figure 7-46 Intra-frequency HHO from a HSUPA cell to a non-HSUPA cell Figure 7-47 shows the related signaling: Figure 7-47 Signaling for intra-frequency HHO from a HSUPA cell to a non-HSUPA cell Inter-frequency HHO from a HSUPA Cell to a Non-HSUPA Cell The UE moves from Cell 1 to Cell 2. Cell 2 and Cell 1 are adjacent cells at different frequencies. If a 2D event occurs as the UE moves, the UE starts the compression mode and performs the inter-frequency measurement. If the target cell meets the handover requirements, the RNC hands over the UE from Cell 1 to Cell 2 (HHO) through RB reconfiguration. 2009-10-10 Huawei Confidential Page 167 of 201
  • 168.
    W-Handover and CallDrop Problem Optimization Guide For Internal Use Figure 7-48 Inter-frequency HHO from a HSUPA cell to a non-HSUPA cell Figure 7-49 shows the related signaling: 2009-10-10 Huawei Confidential Page 168 of 201
  • 169.
    W-Handover and CallDrop Problem Optimization Guide For Internal Use Figure 7-49 Signaling for inter-frequency HHO from a HSUPA cell to a non-HSUPA cell 7.7.5 SHO from a Non-HSUPA Cell to a HSUPA Cell The UE moves from Cell 1 to Cell 2. Cell 2 and Cell 1 are adjacent cells at the same frequency. The DPCH of Cell 1 bears the BE service of the UE. If signals of Cell 1 become weak enough to trigger a 1B event as the UE moves, the UE reports the 1B event. In this case, the RNC delete Cell 1 from the active set. All cells in the updated active set support the HSUPA. If the service is fit for the E-DCH, the RNC allocates the service from the DCH to the E-DCH through RB reconfiguration. 2009-10-10 Huawei Confidential Page 169 of 201
  • 170.
    W-Handover and CallDrop Problem Optimization Guide For Internal Use Figure 7-50 SHO from a non-HSUPA cell to a HSUPA cell Figure 7-51 shows the related signaling: Figure 7-51 SHO from a non-HSUPA cell to a HSUPA cell (triggered by a 1B event) Intra-frequency HHO from a Non-HSUPA Cell to a HSUPA Cell The UE moves from Cell 1 to Cell 2. Cell 2 and Cell 1 are adjacent cells at the same frequency. If signals of Cell 2 become strong enough as the UE moves, the UE reports a 1D event. At first, the intra-frequency HHO of the DCH is competed through reconfiguration of the physical channel. The target cell then determines whether the service can be set up on the E-DCH if the service is fit for the E-DCH. If the E-DCH of the target cell allows setup of the service, the RNC allocates the service to the E-DCH through RB reconfiguration (The intra-frequency HHO from an R99 cell to a HSUPA cell is complete through two steps: Carry out intra-frequency HHO from 2009-10-10 Huawei Confidential Page 170 of 201
  • 171.
    W-Handover and CallDrop Problem Optimization Guide For Internal Use a DCH to another DCH, and then perform RB reconfiguration from the DCH to the E-DCH in the HSUPA cell). Figure 7-52 Intra-frequency HHO from a non-HSUPA cell to a HSUPA cell Figure 7-53 shows the related signaling: Figure 7-53 Signaling for intra-frequency HHO from a non-HSUPA cell to a HSUPA cell Inter-frequency HHO from a Non-HSUPA Cell to a HSUPA Cell The UE moves from Cell 1 to Cell 2. Cell 2 and Cell 1 are adjacent cells at different frequencies. The UE is connected to the DPCH of Cell 1. If signals of Cell 2 become strong enough as the UE moves, a 2D event occurs and the UE starts the compression mode. If the target cell meets the handover requirements, the inter-frequency HHO of the DCH is complete. The target cell then determines whether the service can be set up on the E-DCH if the service is fit for the 2009-10-10 Huawei Confidential Page 171 of 201
  • 172.
    W-Handover and CallDrop Problem Optimization Guide For Internal Use E-DCH. If the E-DCH of the target cell allows setup of the service, the RNC allocates the service to the E-DCH through RB reconfiguration. Figure 7-54 Inter-frequency HHO from a non-HSUPA cell to a HSUPA cell The signaling is to be supplemented. 7.7.6 Handover Between a HSUPA Cell and a GSM/GPRS Cell The handover between different systems is caused by coverage or service. The use of the HSUPA does not impact triggering conditions and decision of the handover between different systems. Thus, the handover between a HSUPA cell and a GPRS cell is similar to that between an R99 cell and a GPRS cell. The signaling flow is as follows: l The UE starts the compression mode. l The UE measures the GPRS cell. l The RNC carries out handover from a HSUPA cell to a GPRS cell based on the measurement report from the UE. For details, see the related section earlier in this document. 7.7.7 Direct Retry of HSUPA The direct retry of the HSUPA can balance load between an R99 cell and a HSUPA cell at different frequencies or between different HSUPA cells. Direct retry of the HSUPA includes the following three scenarios: l Direct retry from an R99 cell to a HSUPA cell l Direct retry from a HSUPA cell to an R99 cell l Direct retry from a HSUPA cell to another HSUPA cell 2009-10-10 Huawei Confidential Page 172 of 201
  • 173.
    W-Handover and CallDrop Problem Optimization Guide For Internal Use Direct Retry from an R99 Cell to a HSUPA Cell An R99 cell and a HSUPA cell are at different frequencies but with the same coverage. Direct retry from an R99 cell to a HSUPA cell might occur in any of the following cases: l In the R99 cell, the UE originates a service that is fit for the E-DCH. l The traffic of the UE that is over the FACH in the R99 cell increases and the service is fit for the E-DCH. l A service that should have been set up over the E-DCH according to the service mapping rules is over the DCH of the R99 cell. The system periodically checks the services that conflict with the bearer policy and attempts to retry the services to the E-DCH. The system periodic measurement uses the HSDPA retry timer (ms). The related MML is SET COIFTIMER. Figure 7-55 Direct retry from an R99 cell to a HSUPA cell Direct Retry from a HSUPA Cell to an R99 Cell Direct retry from a HSUPA cell to an R99 cell might occur if the UE requests for setup of the CS service in the HSUPA cell. Figure 7-56 Direct retry from a HSUPA cell to an R99 cell Direct Retry from a HSUPA Cell to another HSUPA Cell Direct retry between two HSUPA cells at different frequencies but with the same coverage might occur in any of the following cases: l The HSUPA UE’s request for setup of the PS service is rejected by the HSUPA cell. 2009-10-10 Huawei Confidential Page 173 of 201
  • 174.
    W-Handover and CallDrop Problem Optimization Guide For Internal Use l The switch from the FACH to the E-DCH in the case of traffic increase is rejected by the HSUPA cell. l The switch from the DCH to the E-DCH is rejected by the HSUPA cell. Figure 7-57 Direct retry from a HSUPA cell to another HSUPA cell 7.7.8 Switch between Channel Types After the HSUPA is used, a channel state is added: the CELL_DCH state of the E-DCH. The HSUPA related switch between channel types involves switch between the CELL_FACH and the CELL_DCH (DCH). The direct retry algorithm might trigger switch between the CELL_FACH and the CELL_DCH (DCH). In addition, a timer for periodic measurement is available in the system. Once the timer expires, the system checks whether the current bearer mode conflicts with the bearer policy. If a conflict exists, the system triggers switch between channel types. Traffic triggers switch between the CELL_DCH (E-DCH) and the CELL_FACH. Measurement reports (4A) sent by the UE trigger switch from the CELL_FACH to the CELL_DCH. The internal measurement of the RNC triggers switch from the CELL_DCH(E-DCH) and the CELL_FACH (According to the current protocol, the UE measurement report does not support measurement of the E-DCH). Figure 7-58 Switch between HSUPA channel types 2009-10-10 Huawei Confidential Page 174 of 201
  • 175.
    W-Handover and CallDrop Problem Optimization Guide For Internal Use 7.8 Handover from WCDMA to GSM If the UE performs inter-RAT handover for CS domain services, the flow for CS domain handover fromWCDMA to GSM is followed. Description to Typical Handover Flow from WCDMA to GSM The typical handover flow includes stages as below: Measurement control > measurement report > handover judgment > handover implementation. l During the measurement control stage, the network informs UE of parameters to be measured by sending the measurement control message. l During the measurement report stage, the UE sends the measurement control message to the network. l During the handover judgment stage, the network decides to handover according measurement report. l During handover implementation, the UE and network follow the signaling flow and respond according to signaling. When dual-mode UE moves at the edge of WCDMA system and might perform inter-RAT handover, the WCDMA RNC informs UE of starting inter-RAT measurement. After the UE performs inter-frequency measurement and reports measurement result, the RNC judges whether to start signaling flow for inter-frequency handover according to measurement result. The WCDMA system uses code division multiple access (CDMA) technology for access, so the connected UE in all time works with a specified frequency. When the dual-mode UE needs to perform inter-RAT measurement and keeps a conversation, it and the WCDMA system might start compression mode (if the UE has a transceiver, the starting compression mode is compulsory. If the UE has two transceivers, the UE can test GSM cells without starting compression mode). Flows of Handover from WCDMA to GSM Figure 7-59 shows the signaling flow for handover from WCDMA to GSM. 2009-10-10 Huawei Confidential Page 175 of 201
  • 176.
    W-Handover and CallDrop Problem Optimization Guide For Internal Use Figure 7-59 Signaling flow for handover from WCDMA to GSM Figure 7-60 shows the tracing signaling of handover from WCDMA to GSM Figure 7-60 Tracing signaling of handover from WCDMA to GSM Signaling Flow at UTRAN Side The signaling flow at UTRAN side proceeds as below: l When the UE moves outwards at the edge of a cell in the WCDMA network and the conditions for report 2D event meet the RNC configuration, the UE sends a measurement report of occurrence of 2D event. This report indicates that the signals at the serving frequency in theWCDMA network are weak and other frequencies or signals of other systems are required. 2009-10-10 Huawei Confidential Page 176 of 201
  • 177.
    W-Handover and CallDrop Problem Optimization Guide For Internal Use l The RNC starts compression mode to perform inter-frequency and inter-RAT measurement. The RNC sends the RL RECONFIG PREPARE message to NodeB to prepare for starting compression mode. The message contains the sampling sequence of compression mode and related parameters of sampling sequence of compression mode, including TGSN, TGL, TGD, TGPL, compression mode method, downlink compression frame type, and power control parameters in compression mode. l After the NodeB prepares resources, it sends the RL RECONFIG READY message to the RNC. l The RNC sends PHYSICAL CHANNEL RECONFIG message to UE and prepare for starting compression mode. This includes the activation time, the sampling sequence of compression mode and related parameters of sampling sequence of compression mode. The parameters include TGCFN, TGMP, TGSN, TGL, TGD, TGPL, RPP, ITP, compression mode method, downlink compression frame type, and power control parameters in compression mode. l After the RNC confirmed that the UE has received the PHYSICAL CHANNEL RECONFIG message, it sends NodeB the RL RECONFIG COMMIT message, indicating the time for NodeB to start compression mode. l After the UE completes related configuration according to new configuration data, it sends RNC the PHYSICAL CHANNEL RECONFIG COMPLETE message. Now the compression mode is available. l The RNC immediately sends the measurement control message, which commands UE to perform inter-RAT measurement. The message includes measurement parameters like the list of GSM cells, the information about frequency of cells, measurement filter coefficient. l The UE sends a measurement report, indicating the RSSI measurement value of GSM cells. l The UE sends a measurement report, indicating the BSCI confirmation of GSM cells. l After the handover conditions are met according to judgment, the RNC sends a SRNS relocation request to CN. The request includes SRNS relocation type (the UE must participate in inter-RAT handover), reason for SRNS relocation (usually relocation desirable for radio reasons), source PLMN, source SAI, and target CGI (including PLMN and LAC). l After the GSM side allocates related resources, the CN sends RNC the RELOCATION COMMAND, which includes the IE layer 3 information. The IE contains the related resources allocated by GSM network. l The RNC sends UE the HANDOVER FROM UTRAN COMMAND message. The message includes the RAB ID, activation time, GSM frequency, and GSM messages in forms of BIT string. l The UE powers off the transmitter according to GSM configuration, so no signals are in uplink. Consequently the NodeB sends the SIR ERROR report. This message is optional in the flow. l After the UE accesses the GSM network, the CN sends the IU RELEASE COMMAND message to inform RNC of releasing resources used by UE in the WCDMA network. l The RNC immediately sends CN the IU RELEASE COMPLETE message. The message 16 and message 17 are to release the radio resources of NodeB. What is 2009-10-10 Huawei Confidential Page 177 of 201
  • 178.
    W-Handover and CallDrop Problem Optimization Guide For Internal Use different from normal releasing flow is that the air interface does not send the RRC connection release message, because the UE is using WCDMA network. Therefore the NodeB releases radio resources without informing UE of the release. 2009-10-10 Huawei Confidential Page 178 of 201
  • 179.
    W-Handover and CallDrop Problem Optimization Guide For Internal Use 7.9 Handover from GSM to WCDMA Description of Handover from GSM to WCDMA If a GSM cell has WCDMA neighbor cells, the measurement control is sent in system information. The dual-mode UE performs inter-RAT measurement in idle slots and reports the measurement result. According to the measurement result, the BSC judges to start signaling flow for inter-RAT handover. The GSM network uses the time division multiple access technology, so the inter-RAT measurement is performed in idle slots. The GSM system is not involved in supporting compression mode. Flows of Handover from GSM to WCDMA Figure 7-61 shows the signaling flow for handover from GSM toWCDMA. Figure 7-61 Signaling flow for handover from GSM toWCDMA Figure 7-62 shows the tracing signaling of handover from GSM toWCDMA 2009-10-10 Huawei Confidential Page 179 of 201
  • 180.
    W-Handover and CallDrop Problem Optimization Guide For Internal Use Figure 7-62 Tracing signaling of handover from GSM toWCDMA Signaling Flow at UTRAN Side l According to the handover algorithm and measurement information of the source BSS in the GSM network, the source BSS judges that UE must hand over to the UTRAN cell. After the BSS sends CN the handover request, the MSC sends RNC the RANAP_RELOCATION_REQUEST massage. The message contains the IMSI of UE, CN field identity, the identity of target cell, encryption information, integrity protection information, IU signaling connection ID, handover reason, RAB configuration, and information about user plane. l The RNC allocates radio resources for the SRNS relocation and configures NodeB during RL SETUP process. The NodeB start transmitting and receiving radio signals. l After the NodeB sets up RL, it replies the RL SETUP RESPONSE message. l The RNC allocates radio resources and other parameter packets. The parameter packets include U-RNTI, RAB, transport layer information, and physical layer information. The parameters are configured to UE in three forms: − Complete configuration: clearly provide parameters in each layer − Pre-configuration (pre-defined): the system broadcast multiple sets of parameter templates in the system information 16 and configure template number and necessary parameter to UE. The UE listens to the system information of UTRAN and obtain the parameter configuration according to template number. − Pre-configuration (default): The protocol 25.331 provides 10 sets of default parameters and specifies an identity to each default parameter. The RNC configures the default identity and other necessary information to UE. l The RNC sends the previous information through the IU interface RELOCATION REQUEST ACKNOWLEDGE message (in the IE RNC Container) to CN which forwards the information to the source BSS. The source BSS sends the information to UE. According to the default parameter identity configured by RNC, the UE obtains related access parameters in the pre-configuration (default) in the system information. After this, the UE synchronizes to NodeB directly and later sends data in uplink. 2009-10-10 Huawei Confidential Page 180 of 201
  • 181.
    W-Handover and CallDrop Problem Optimization Guide For Internal Use l After the NodeB detects uplink synchronization, it sends RNC the RL RESTORE IND message. l After the RNC receives RL RESTORE IND message sent by NodeB, it sends CN the RELOCATION DETECT message, indicating that the UE has already handed over from the 2G network to the 3G network. The message does not contain other contents. l The UE sends RNC the HANDOVER TO UTRAN COMPLETE message, indicating the completion of handover. The message might also contain the encrypted sequence number and its activation time for each CN field. l After the RNC receives the HANDOVER TO UTRAN COMPLETE message from UE, it immediately sends UE the UTRAN MOBILITY INFORMATION message. This message contains the values of timers used by UE, related information about CN field, UE ID, and so on. l After the RNC receives the HANDOVER TO UTRAN COMPLETE message from UE, it sends UE the UTRAN MOBILITY INFORMATION while it sends CN the RELOCATION COMPLETE message which contains nothing. After the RNC receives the confirmation message from UE according to the 17th message, the handover flow from the 2G network to 3G network is complete. The following messages are about the measurement control process of UE and NodeB, and about the UE's query of capacity. 2009-10-10 Huawei Confidential Page 181 of 201
  • 182.
    W-Handover and CallDrop Problem Optimization Guide For Internal Use 7.10 Handover from WCDMA to GPRS Description of Handover form WCDMA to GRPS The inter-RAT handover from WCDMA to GRPS caters for the handover from WCDMA PS domain service to GPRS system. The RNC initiatively commands UE to reselect an inter-RAT cell with signaling, which triggers inter-RAT handover. If the traffic flow for slow-speed PS services, the UE might be in CELL PCH or URA PCH state, the UE can perform inter-RAT handover by initiatively originating cell reselection according to system information. Flows of Handover form WCDMA to GRPS The inter-RAT handover flow initiatively originated by RNC proceeds as below: Figure 7-63 and Figure 7-64 shows the flow for handover from WCDMA to GPRS. 2009-10-10 Huawei Confidential Page 182 of 201
  • 183.
    W-Handover and CallDrop Problem Optimization Guide For Internal Use Figure 7-63 Flow of handover fromWCDMA to GPRS (1) Figure 7-64 Flow of handover fromWCDMA to GPRS (2) Figure 7-65 shows the tracing signaling of handover from WCDMA to GPRS. 2009-10-10 Huawei Confidential Page 183 of 201
  • 184.
    W-Handover and CallDrop Problem Optimization Guide For Internal Use Figure 7-65 Tracing signaling of handover from WCDMA to GPRS Signaling Flow at UTRAN Side The signaling flow at UERAN side proceeds as blow: l The UE sends the measured 2D report, indicating the quality of the serving cell is worse. l The RNC sends NodeB the RL RECONFIG PREPARE message, indicating NodeB to prepare for starting compression mode. The message contains the sampling sequence of compression mode and related parameters of sampling sequence of compression mode, including TGSN, TGL, TGD, TGPL, compression mode method, downlink compression frame type, and power control parameters in compression mode. l After the NodeB prepares resources, it sends RNC the RL RECONFIG READY message. l The RNC sends UE the PHYSICAL CHANNEL RECONFIG message, indicating UE to prepare for starting compression mode. The message contains TGCFN, TGMP, TGSN, TGL, TGD, TGPL, RPP, ITP, compression mode method, downlink compression frame type, and power control parameters in compression mode. l After the RNC confirms that the UE has received the PHYSICAL CHANNEL RECONFIG message, it sends NodeB the RL RECONFIG COMMIT message, indicating the time for start compression mode. l After the UE completes related configuration according to the new configuration data, it sends RNC the PHYSICAL CHANNEL RECONFIG COMPLETE message. This indicates that the compression mode is ready. l The RNC immediately sends the measurement control and commands UE to perform inter-RAT measurement. The message contains the list of GSM cells, the information about frequency of cells, measurement filter coefficient. l The UE sends a measurement report, indicating the RSSI measurement value of GSM cells. l The UE sends a measurement report, indicating the BSCI confirmation of GSM cells. 2009-10-10 Huawei Confidential Page 184 of 201
  • 185.
    W-Handover and CallDrop Problem Optimization Guide For Internal Use l After the conditions are met according to judgment, the RNC originates the SRNS relocation flow and sends UE the CELL CHANGE ORDER FROM UTRAN message. The message indicates UE to handover to the GPRS network by originating cell reselection. The message contains the IEs of target cell like BSIC and BAND IND (900 or 1800), BCCH ARFCN, and NC mode. l Because the UE need to reselect a GRPS cell, it powers off the transmitter to WCDMA network. The NodeB sends the SIR ERROR report, which is optional in the flow. l Because the UE need to reselect a GRPS cell, it powers off the transmitter to WCDMA network. The NodeB sends the RL FAILURE report, which is optional in the flow. l After the UE accesses the inter-RAT cell, − If restoring the PDP context is not required, the RNC directly receives the IU RELEASE COMMAND at the IU interface. − If restoring the PDP context is required, the UE obtains the SRNS CONTEXT information from the source RNC. The source RNC will receive the SRNS CONTEXT REQUEST message with mainly an RAB ID. l The RNC sends CN the SRNC CONTEXT RESPONSE message, indicating the GTP of each RAB ID and the uplink and downlink sequence number of PDCP. l The CN sends RNC the SRNS DATA FORWARD COMMAND message, indicating user plane to transmit data. By the message, the CN informs RNC of target transport layer address and tunnel ID of each RAB data forward. l After data is transmitted, the CN sends RNC the IU RELEASE COMMAND message, indicating RNC to release the sources of the UE. l The RNC sends CN the IU RELEASE COMPLETE message. The message 18 and message 19 are to release the radio resources of NodeB. What is different from normal releasing flow is that the air interface does not send the RRC connection release message, because the UE is usingWCDMA network. Therefore the NodeB releases radio resources without informing UE of the release. 2009-10-10 Huawei Confidential Page 185 of 201
  • 186.
    W-Handover and CallDrop Problem Optimization Guide For Internal Use 7.11 Handover from GRPS to WCDMA Signaling Flows of Handover from GRPS to WCDMA Figure 7-66 and Figure 7-67 shows the signaling flow for handover from GPRS toWCDMA. Figure 7-66 Signaling flow for handover from GPRS toWCDMA (1) 2009-10-10 Huawei Confidential Page 186 of 201
  • 187.
    W-Handover and CallDrop Problem Optimization Guide For Internal Use Figure 7-67 Signaling flow for handover from GPRS toWCDMA (2) Signaling Flow at UTRAN Side The signaling flow at UTRAN side proceeds as below: l The UE reselects a UTRAN cell. During the reselection of UTRAN cell, the UE originates the RRC connection setup process, with the reason INTERRAT CELLRESELECTION. l After the RNC connection is set up, the UE initiatively originates the INIT DT process and sets up the SCCP connection at IU interface and the signaling connection in the CN NAS layer. Later the UE NAS layer and CN NAS layer exchange messages by DT process. l The CN commands the RNC to allocate related resources by sends the RAB ASSIGNMENT REQUEST message at the IU interface. The message contains the RAB ID, QoS, uplink and downlink sequence number of GPT-U, and sequence number of PDCP. l The RNC allocates related resources and informs NodeB by sending RL SETUP message. l The RNC sends UE the RB SETUP REQUEST message to UE. The message contains the downlink sequence number of PDCP. l The UE sends RNC the RB SETUP COMPLETE message. The message contains the downlink sequence number of PDCP. The RNC configure the uplink sequence number of PDCP from CN and the downlink sequence number from UE to the PDCP sample corresponding to the specified RAB. l The RNC sends CN the RAB ASSIGNMENT RESPONSE message. 2009-10-10 Huawei Confidential Page 187 of 201
  • 188.
    W-Handover and CallDrop Problem Optimization Guide For Internal Use l While the traffic flow is being restored, the RNC PDCP sample should drop CN' data packet of which the sequence number of downlink PDCP is smaller than the sequence number of downlink PDCP replied by UE. The UE should drop the data packet of which the sequence number of uplink PDCP is smaller than the sequence number of uplink PDCP configured by UTRAN/CN. 2009-10-10 Huawei Confidential Page 188 of 201
  • 189.
    W-Handover and CallDrop Problem Optimization Guide For Internal Use 7.12 Parameters of Handover from 3G to 2G Network Handover Judgment Process Now the periodic report is used in inter-frequency handover judgment. According to the protocol 25.331, the 2D event indicates that the quality of active set is lower than a threshold. In the current handover algorithms (including inter-frequency handover algorithm), the 2D event report serves as a rule for starting compression mode and performing inter-frequency or inter-RAT measurement. Therefore, if the quality of UE active set is worse in inter-RAT measurement, you need to measure the inter-RAT quality only. If the quality of UE active set becomes better, namely, the UTRAN receives the 2F event report, the UE stops compression mode and stops inter-RAT measurement. For the detailed judgment of 2D/2F event, see the 3GPP TS 25.331. The following paragraphs describe the inter-RAT handover judgment algorithm using periodic reports. After the network receives the periodic report filtered by layer 3, it compares the obtained inter-RAT measurement result with the preset threshold. The network starts delay trigger timer Trigger-Timer if the following formula is met: Mother_RAT + CIO >= Tother_RAT + H/2 (formula 1) Wherein, l Mother_RAT indicates the obtained inter-RAT measurement result. l CIO indicates the cell individual offset, namely, the offset configured by the inter-RAT cell. l Tother_RAT indicates the inter-RAT quality threshold. l H indicates hysteresis. The hysteresis helps to reduce mal-operations due to fluctuation of signals. After the Trigger-Timer starts and before it expires, the Trigger-Timer is stopped and the network keeps waiting for receiving inter-RAT measurement report if the following condition is met: Mother_RAT + CIO < Tother_RAT - H/2 (formula 2) If the Trigger-Timer expires, the system judges for inter-RAT handover. List of Handover Parameters Table 7-7 lists the parameters of handover from 3G to 2G. 2009-10-10 Huawei Confidential Page 189 of 201
  • 190.
    W-Handover and CallDrop Problem Optimization Guide For Internal Use Table 7-7 Parameters of handover from 3G to 2G Parameter Meaning Default configuration MML Command s for modifying and querying Applic ation scope FilterCoef Filter coefficient at layer 3 of inter-RAT measurement D3 For RNCs: inter-RAT handover algorithm parameter: set RNCs by executing SET INTERRATH O, query RNCs by executing LST INTERRATH O. For cells: inter-RAT handover algorithm parameter: add cells by executing ADD CELLINTER RATHO, query cells by executing LST CELLINTER RATHO, and modify cells by executing MOD CELLINTER RATHO RNC/ Cell GsmRSSICSThd, GsmRSSIPSThd, GsmRSSISIGThd The judgment threshold for inter-RAT handover 21, namely, –90 dBm HystThd Inter-RAT handover hysteresis 4, namely, 2 dB TimeToTrigForVerify The time to trigger delay verified by inter-RAT 0, namely, 0s TimeToTrigForNonVerify Non-verified delay trigger time 65535, namely, handover to non-verified GSM cell is prohibited. PenaltyTimeForSysHo Inter-RAT handover penalty time 30, namely, 30s InterRatCSThdFor2DRSCP, InterRatPSThdFor2DRSCP, InterRatSigThdFor2DRSCP, InterRatCSThdFor2FRSCP, InterRatPSThdFor2FRSCP, InterRatSigThdFor2FRSCP The starting/stopping threshold for inter-RAT measurement with RSCP as the measurement value (CS, PS, and single signaling) The default values of them are as below: InterRatCSThdFor2D RSCPInterRatPSThd For2DRSCP: –95; InterRatCSThdFor2F RSCPInterRatPSThd For2FRSCP: –90; InterRatSigThdFor2 DRSCP InterRatSigThdFor2F RSCP: –115 For RNCs: set RNCs by executing SET INTERFREQ HO and query RNCs by executing LST INTERFREQ HO. For cells: RNC/ Cell 2009-10-10 Huawei Confidential Page 190 of 201
  • 191.
    W-Handover and CallDrop Problem Optimization Guide For Internal Use InterRATCSThdFOR2DEcNo, InterRATPSThdFOR2DEcNo, InterRATSigThdFOR2DEcNo , InterRATCSThdFor2FEcNo, InterRATPSThdFOR2FEcNo, InterRATSigThdFOR2FEcNo The starting/stopping threshold for inter-RAT measurement with Ec/No as the measurement value (CS, PS, and single signaling) –24, namely, –24 dBm add cells by executing ADD CELLINTER FREQHO, query cells by executing LST CELLINTER FREQHO, and modify cells by executing MOD CELLINTER FREQHO HYSTTHD Hysteresis. The hysteresis and inter-RAT quality threshold decides whether to trigger inter-RAT handover judgment. It can be smaller in areas with small shadow fading. It can be greater in areas with great shadow fading. 4 CellIndividalOffset The individual offset of inter-RAT handover cells. The UE uses it with the initial measured value of the cell as the measurement result for handover judgment of UE. 0 Set cells by executing ADD INTERRATN CELL, query cells by executing LST INTERRATN CELL, and modify it by executing MOD INTERRATN CELL Cell & Note: Table 7-7 lists the starting/stopping threshold of compression mode and inter-RAT handover threshold in terms of signaling, CS, and PS. The new protocol CR defines that the UE will not report the not verified GSM measurement. 2009-10-10 Huawei Confidential Page 191 of 201
  • 192.
    W-Handover and CallDrop Problem Optimization Guide For Internal Use 7.13 Data Configuration for Supporting Bi-directional Roaming and Handover Between WCDMA and GSM/GPRS To support bidirectional roaming and handover between 3G networks and GSM/GPRS, to support PLMN selection, to support reselection from the 2G network to the 3G network by UE, and to support reselection from the 3G network to the 2G network by UE, data configuration is necessary in the 2G and 3G system. 2G MSC Data Configuration If the system support the handover from the 2G network to the 3G network, data configuration on the 2G MSC is necessary. According to the 2G-to-3G interoperation strategy of Huawei, the handover from the 2G network to the 3G network supports cell reselection, so data configuration on the 2G MSC is unnecessary. Data Configuration on the 2G MSC Data configuration on the 2G MSC proceeds as below: l Add the matching record of 3G MSC/VLR code corresponding to RNC IDs in the list of cell in the location area. The RNC ID is in the format of: MCC + MNC + LAC + RNC-ID. Select GCI as the type of location area. Select Near VLR area as the property of location area. l Add the corresponding LAI record and the corresponding 3G MSC/VLR code. LAI = MCC + MNC + LAC. Select Near VLR area as the property of location area. l Change the supported MAP version to PHASE 2PLUS in the MAP function flow configuration table. l Configure the data at the MTP layer and guarantee the signaling transmission between the 2G MSC and the 3G MSC. l Configure the data at the SCCP layer, configure the corresponding record of the 3G MSC in the GT list, SCCP SSN list, and SCCP DSP list, and guarantee the transmission of MAP handover-related signaling between MSCs. l Configure inter-MSC trunk data like configuring common data. The following paragraphs take Huawei 2G MSC as example. For the MSC, two tables are used for data configuration: location area cell table and neighbor cell table. l Location Area Cell Configuration Table Figure 7-68 shows the data configuration of target 3G cell in the location area cell table. 2009-10-10 Huawei Confidential Page 192 of 201
  • 193.
    W-Handover and CallDrop Problem Optimization Guide For Internal Use Figure 7-68 Data configuration in the location area cell table Pay attention to the following fields: − GCI code − Location area MSC code − Location area VLR code − Type of location area − Property of location area Content of GCI code: corresponding to LAI and RNC ID of the target 3G cell for handover. Query the LAI by running the command LSTAC. Query the RNC ID by running the command LST RNCBASIC. You can also obtain the PLMN code of the RNC by running the command LST RNCBASIC. Content of location area MSC code: the code of MSC configured by MSOFTX3000 of the corresponding 3G network. Query it by running the command LST INFOMSC command on the MSOFTX3000 client. Type of location area: LAI + RNC ID correspond to GCI. Property of location area: the configuration is Near VLR area. l Neighbor Cell Configuration Table Figure 7-69 shows the data configuration of neighbor cell configuration table. 2009-10-10 Huawei Confidential Page 193 of 201
  • 194.
    W-Handover and CallDrop Problem Optimization Guide For Internal Use Figure 7-69 Data configuration of neighbor cell configuration table Pay attention to the following fields: − GCI code − Neighbor cells − The GCI code of 2G source cell corresponding to GCI code. − Fill from the neighbor cell 1 to the neighbor 2…. The content to be filled in the neighbor cell 1 is the LAI + RNC ID of target 3G cell for handover. Query the LAI of target 3G cell by running the command LSTAC. Query the RNC ID by running the command LST RNCBASIC. Added Data Configuration on BSCs l SI for Supporting the Roaming from GSM toWCDMA To support the roaming from GSM toWCDMA, the GSM BSS must complete sending the following system information: − Add data ofWCDMA cells, including downlink frequency, primary scramble, diversity indicator, MCC, MNC, LAC, RNC ID, and CELL ID. − Add the information about inter-RAT cell measurement and roaming control in the idle mode. The information contains the following parameters: Qsearch_I: the level threshold for searching for 2G cells in the idle mode FDD_Qoffset: the level offset of 3G cell reselection FDD_Qmin: the level threshold of 3G cell reselection − The previous information contained in the system information 2ter and 2quater is sent to UE. − The UE perform inter-RAT cell reselection based on previous information. l SI for Supporting the Handover from GSM toWCDMA To support the handover from GSM toWCDMA, the GSM BSS must complete sending the following system information: 2009-10-10 Huawei Confidential Page 194 of 201
  • 195.
    W-Handover and CallDrop Problem Optimization Guide For Internal Use Add the data of theWCDMA cell. The data contains: − Downlink frequency point − Primary scramble − Diversity indicator − MCC − MNC − LAC − RNC ID − CELL ID − Level threshold for handing over to the cell Add the measurement control information of inter-RAT cells for UE in the connection mode, including Qsearch_C, namely, the level threshold for searching for 3G cells in the connection mode. The previous information contained in the system information MEASUREMENT INFORMATION is sent to UE. When the level of UE in the serving cell meets the conditions for Qsearch_C, the system starts measure 3G cells and sends the periodic reports to BSC. The BSC originates the handover to WCDMA. The following paragraphs take the configuration of Huawei BSC as example. l Adding External 3G Cells Adding external 3G cells proceeds as below: − Select setting up cells dynamically − Add external cells − Add external 3G cells, as shown in Figure 7-70. 2009-10-10 Huawei Confidential Page 195 of 201
  • 196.
    W-Handover and CallDrop Problem Optimization Guide For Internal Use Figure 7-70 Configuration table for external 3G cells Pay attention to several fields: MCC, MNC, LAI, RNC ID, CELL ID, downlink frequency point, and scramble. Using system defaults is recommended for unlisted fields. − MCC: query it by running the command LST RNCBASIC on the corresponding RNC client − MNC: query it by running the command LST RNCBASIC on the corresponding RNC client − LAI: query it by running the command LSTAC on the corresponding RNC client − RNC ID: query it by running the command LST RNCBASIC on the corresponding RNC client − CELL ID: query it by running the command LST CELL on the corresponding RNC client & Note: The query result is decimal. It can be filled in the CELL ID field after it is converted to hex and removed of the highest bit. Downlink frequency point: query it by running the command LST CELL on the corresponding RNC client and then inputting the corresponding CELL ID in the CELL Scramble: query it by running the command LST CELL on the corresponding RNC client and then inputting the corresponding CELL ID in the CELL l Configuring Target 3G Cells as the Inter-RAT Neighbor Cell of GSM Configuring target 3G cells as the inter-RAT neighbor cell of GSM proceeds as below: − Select setting cells dynamically 2009-10-10 Huawei Confidential Page 196 of 201
  • 197.
    W-Handover and CallDrop Problem Optimization Guide For Internal Use − Modify the property of external cells − Select external cells − Modify the neighbor relationship, as shown in Figure 7-71. Figure 7-71 Configuration table for GSM inter-RAT neighbor cells & Note: The target cell for handover from the 3G network can be the directional neighbor cell of GSM only. l Configuring Parameters for 2G Reselection Configuring parameters for 2G reselection proceeds as below: − Select setting cells dynamically − Select the current cell − Modify the parameters for inter-RAT system information, as shown in Figure 7-72. 2009-10-10 Huawei Confidential Page 197 of 201
  • 198.
    W-Handover and CallDrop Problem Optimization Guide For Internal Use Figure 7-72 Configuration table for 2G reselection parameters The configuration table for 3G system information includes the following parameters: − Type of measurement reports: common measurement reports − Number of best cells in the GSM band: the default value is 3 − Threshold for searching for 3G cells in the idle mode: the values range from 0 to 15 − Offset of FDD cell reselection:When the mean receiver level of 3G cells is FDD_Qoffset greater than that of the serving cell, the UE can reselect 3G cells. 0 = –∞ (always select a cell if acceptable), 1 = –28 dB, 2 = –24 dB, …, 15 = 28 dB. Select 0 for easy handover. − The minimum Ec/No threshold for FDD cell reselect: level threshold for 3G cell reselection: when the receiver level of 3G cell is greater than the FDD_Qmin, the cell can be a candidate cell for reselection. − Other default values l Configuring 2G Handover Parameters Figure 7-73 shows the parameter configuration table for inter-RAT handover. 2009-10-10 Huawei Confidential Page 198 of 201
  • 199.
    W-Handover and CallDrop Problem Optimization Guide For Internal Use Figure 7-73 Parameter configuration table for inter-RAT handover Pay attention to the following parameters: − Handout permission: select it. − Permission for handover algorithm of a 3G better cell: select it. − 2G/3G cell handover priority selection: select 3G cell for handover as priority − 2G cell selection threshold: the greater the threshold is, the difficult the handover to 2G is. The recommended value is 63. RSCP threshold for handover to a better 3G cell: the smaller the value is, the difficult the handover to 3G is. The recommended value is 10. Ec/No threshold for handover to a better 3G cell: the smaller the value is, the difficult the handover to 3G is. The recommended value is 10. Statistics time for a better 3G cell: the recommended value is 5. The lasting time for handover to a better 3G cell: the smaller the value is, the easier and faster the handover is. Pay attention to frequent handover. The recommended value is 4. l Added Data Configuration on 3G MSCs Added data configuration proceeds as below: − Add the cell information about location area near the 2G MSC to the list of cells of 3G MSC location area. LAI = MCC + MISSING NEIGHBOR CELL + LAC. Select LAI as the type of location area. Select Near VLR area as the property of location area. Add the corresponding 2G MSC/VLR code. GCI = MCC + MNC + LAC + CI. Select GCI as the type of location area. Select Near VLR area as the property of location area. Add the corresponding 2G MSC/VLR code. − If inter-PLMN cell reselection is necessary, the MSC must configure the equivalent PLMN list: ADD EPLMN, and add the inter-PLMN MCC and MNC. The equivalent 2009-10-10 Huawei Confidential Page 199 of 201
  • 200.
    W-Handover and CallDrop Problem Optimization Guide For Internal Use PLMN is the PLMN which provides equivalent services to subscribers. The network side decides whether to tell the control list to UE. The MSC sends the list to UE upon update acceptance and the UE saves it.When the UE reselects an inter-PLMN cell, it reselects a cell from the list by priority. − Configure the data at MTP layer and guarantee the signaling transmission between the 2G MSC and the 3G MSC. − Configure the data at SCCP layer. Configure the corresponding record of 2G MSC in the GT table, SCCP SSN table, and SCCP DSP table. − Configure the trunk data between MSCs in the same way as configuring common data. l Necessary Data Configuration for RNC Data Configuration for Supporting Roaming fromWCDMA to GSM/GPRS To support the roaming fromWCDMA to GSM/GPRS, the UTRAN must complete sending the following system information: − Add GSM cells and configuration the following data: MCC MISSING NEIGHBOR CELL LAC CELL ID NCC BCC FREQ_BAND Frequency number CIO ADD GSMCELL: MCC="460", MNC="10", LAC="0x0fa0", CID="0x0102", NCC=0, BCC=0, BCCHARFCN=60, BANDIND=DCS1800_BAND_USED, RATCELLTYPE=GSM; ADD INTERRATNCELL: CELLID=123, MCC="460", MNC="10", LAC="0x0fa0", CID="0x0102", CELLINDIVIDALOFFSET=50, QOFFSET1SN=-50, QRXLEVMIN=-58; − Configure the measurement point for FACH to inter-frequency FDD measurement, inter-frequency TDD measurement, or inter-RAT measurement. If inter-RAT roaming is necessary, configure the measurement point for FACH to inter-RAT measurement; otherwise, according to SIB11, the RNC will not send RNC information about GSM neighbor cells. MOD CELLMEAS: CELLID=123, INTERFREQINTERRATMEASIND=INTER_RAT, FACHMEASIND=REQUIRE, FACHMEASOCCACYCLELENCOEF=3; − Configure the SearchRAT of the GSM network by running the command MOD CELLSELRESEL. 2009-10-10 Huawei Confidential Page 200 of 201
  • 201.
    W-Handover and CallDrop Problem Optimization Guide For Internal Use − After configuration of these information, the SsearchRAT contained in SIB3 is sent and information about GSM neighbor cells contained in SIB11 are sent. l Data Configuration for Supportint Inter-RAT Handover from WCDMA to GSM To support the inter-RAT handover fromWCDMA to GSM, configure the following parameters: − Add GSM cells and configuration the following data: MCC MISSING NEIGHBOR CELL LAC CELL ID NCC BCC FREQ_BAND Frequency number CIO − Configure inter-RAT measurement control by running the command MOD CELLMEAS. 2009-10-10 Huawei Confidential Page 201 of 201