Download free for 30 days
Sign in
Upload
Language (EN)
Support
Business
Mobile
Social Media
Marketing
Technology
Art & Photos
Career
Design
Education
Presentations & Public Speaking
Government & Nonprofit
Healthcare
Internet
Law
Leadership & Management
Automotive
Engineering
Software
Recruiting & HR
Retail
Sales
Services
Science
Small Business & Entrepreneurship
Food
Environment
Economy & Finance
Data & Analytics
Investor Relations
Sports
Spiritual
News & Politics
Travel
Self Improvement
Real Estate
Entertainment & Humor
Health & Medicine
Devices & Hardware
Lifestyle
Change Language
Language
English
Español
Português
Français
Deutsche
Cancel
Save
EN
Uploaded by
nikmahpolman
DOCX, PDF
176 views
Tugas matematika 2 (semester 2)
poiuytrew2qasdfghjklmnbvcxzqsqssssssss
Education
◦
Read more
0
Save
Share
Embed
Embed presentation
Download
Download to read offline
1
/ 5
2
/ 5
3
/ 5
4
/ 5
5
/ 5
More Related Content
DOCX
Tugas2 matematika
by
drayertaurus
DOCX
Tugas 2 MTK 2
by
geriandssp30
DOCX
Matematika 2
by
achmadtrybuana
DOCX
Tugas 2
by
M Habiburrakhman Habiburrakhman
DOCX
Tugas mtk 2
by
gustiana_1408
DOCX
Tugas 2 matematika 2
by
geriandssp30
DOCX
Tugas Matematika 2
by
M Habiburrakhman Habiburrakhman
DOCX
Tugas mtk 2
by
deviyunita01
Tugas2 matematika
by
drayertaurus
Tugas 2 MTK 2
by
geriandssp30
Matematika 2
by
achmadtrybuana
Tugas 2
by
M Habiburrakhman Habiburrakhman
Tugas mtk 2
by
gustiana_1408
Tugas 2 matematika 2
by
geriandssp30
Tugas Matematika 2
by
M Habiburrakhman Habiburrakhman
Tugas mtk 2
by
deviyunita01
What's hot
DOCX
2nd MathTask
by
M Habiburrakhman Habiburrakhman
DOCX
Tugas 2
by
owekowek
DOCX
1st Math Task
by
M Habiburrakhman Habiburrakhman
DOCX
Problemas del libro de granville
by
Edgar C
DOCX
Tugas 2 mtk 2
by
INDAH YANTI
DOCX
Tugas 2 MTK2
by
Polman Negeri Bangka Belitung
DOCX
Tugas 2
by
Bima Pratama
DOCX
Tugas 2 Matematika 2
by
cinjy
DOCX
Integrales indefinidas
by
Oscar Pavel Lazarin Martinez
PDF
Tugas Matematika "Kelompok 7"
by
sarman21
PDF
Tugas Matematika Kelompok 7
by
cara_mau2
PDF
Tugas Matematika Kelompok 7
by
cara_mau2
DOCX
Tugas 2 mtk
by
sandiperlang
PDF
Tugas Matematika Kelompok 7
by
cara_mau2
PDF
Tugas Matematika Kelompok 7
by
cara_mau2
DOCX
Tugas matematika 2 (semester 2) - Tia
by
tia206
DOCX
Tugas matematika 2 (semester 2)
by
riaayu12345
2nd MathTask
by
M Habiburrakhman Habiburrakhman
Tugas 2
by
owekowek
1st Math Task
by
M Habiburrakhman Habiburrakhman
Problemas del libro de granville
by
Edgar C
Tugas 2 mtk 2
by
INDAH YANTI
Tugas 2 MTK2
by
Polman Negeri Bangka Belitung
Tugas 2
by
Bima Pratama
Tugas 2 Matematika 2
by
cinjy
Integrales indefinidas
by
Oscar Pavel Lazarin Martinez
Tugas Matematika "Kelompok 7"
by
sarman21
Tugas Matematika Kelompok 7
by
cara_mau2
Tugas Matematika Kelompok 7
by
cara_mau2
Tugas 2 mtk
by
sandiperlang
Tugas Matematika Kelompok 7
by
cara_mau2
Tugas Matematika Kelompok 7
by
cara_mau2
Tugas matematika 2 (semester 2) - Tia
by
tia206
Tugas matematika 2 (semester 2)
by
riaayu12345
Viewers also liked
PDF
Sd5mat matematika5
by
Andrias Eka
PPTX
Bab 5 limit 2 dan kekontinuan
by
Daud Sulaeman
PPTX
Teorema sisa
by
Dani Rachman
PDF
Mat_2sd_homeschooling
by
Nusantara FullOnline
PDF
29385408 65-modul-matematika-kumpulan-soal-akhir-kelas-x-xi-xii
by
Moh Aunur Rofik Zarkasi
PPTX
Pembahasan Soal UN 2012 Bentuk Pangkat, Akar dan Logaritma
by
Darminto WS
PDF
SMK-MAK kelas10 smk matematika seni hendy gumilar
by
sekolah maya
Sd5mat matematika5
by
Andrias Eka
Bab 5 limit 2 dan kekontinuan
by
Daud Sulaeman
Teorema sisa
by
Dani Rachman
Mat_2sd_homeschooling
by
Nusantara FullOnline
29385408 65-modul-matematika-kumpulan-soal-akhir-kelas-x-xi-xii
by
Moh Aunur Rofik Zarkasi
Pembahasan Soal UN 2012 Bentuk Pangkat, Akar dan Logaritma
by
Darminto WS
SMK-MAK kelas10 smk matematika seni hendy gumilar
by
sekolah maya
More from nikmahpolman
DOCX
Tugas matematika 3
by
nikmahpolman
DOCX
Tugas Bab 4
by
nikmahpolman
DOCX
Tugas 3 matematika 3
by
nikmahpolman
DOCX
Tugas 1 matematika 3
by
nikmahpolman
DOCX
Tugas 3 (Matematika 2) : Integral
by
nikmahpolman
DOCX
Tugas matematika - Kelompok 3 (15-21)
by
nikmahpolman
DOCX
Tugas matematika 2 (semester 2) - Polman Babel
by
nikmahpolman
DOCX
Tugas matematika 1 (semester 2) - Polman Babel
by
nikmahpolman
DOCX
Tugas matematika 1 (semester 2)
by
nikmahpolman
Tugas matematika 3
by
nikmahpolman
Tugas Bab 4
by
nikmahpolman
Tugas 3 matematika 3
by
nikmahpolman
Tugas 1 matematika 3
by
nikmahpolman
Tugas 3 (Matematika 2) : Integral
by
nikmahpolman
Tugas matematika - Kelompok 3 (15-21)
by
nikmahpolman
Tugas matematika 2 (semester 2) - Polman Babel
by
nikmahpolman
Tugas matematika 1 (semester 2) - Polman Babel
by
nikmahpolman
Tugas matematika 1 (semester 2)
by
nikmahpolman
Tugas matematika 2 (semester 2)
1.
Nama :Nikmah Utami NPM
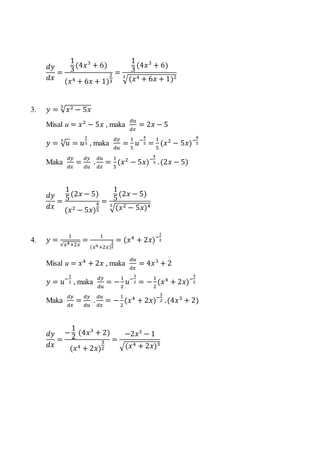
: 0031421 Kelas : 1 Elektronika A Tugas : MATEMATIKA Tentukanlah nilai 𝑑𝑦 𝑑𝑥 dari fungsi berikut ini ! 1. 𝑦 = √ 𝑥5 + 6𝑥2 + 3 2. 𝑦 = √ 𝑥4 + 6𝑥 + 1 3 3. 𝑦 = √ 𝑥2 − 5𝑥 5 4. 𝑦 = 1 √𝑥4+2𝑥 5. 𝑦 = 1 √𝑥2−6𝑥 3 6. 𝑦 = 1 √𝑥2−5𝑥+2 5 7. 𝑦 = sin √ 𝑥2 + 6𝑥 8. 𝑦 = cos √ 𝑥3 + 2 3 9. 𝑦 = sin 1 √𝑥2+2 10. 𝑦 = cos 1 √𝑥2+6 3 Jawaban : 1. 𝑦 = √ 𝑥5 + 6𝑥2 + 3 Misal u = 𝑥5 + 6𝑥2 + 3 , maka 𝑑𝑢 𝑑𝑥 = 5𝑥4 + 12𝑥 𝑦 = √ 𝑢 = 𝑢 1 2 , maka 𝑑𝑦 𝑑𝑢 = 1 2 𝑢− 1 2 = 1 2 (𝑥5 + 6𝑥2 + 3)− 1 2 Maka 𝑑𝑦 𝑑𝑥 = 𝑑𝑦 𝑑𝑢 . 𝑑𝑢 𝑑𝑥 = 1 2 (𝑥5 + 6𝑥2 + 3)− 1 2 . (5𝑥4 + 12𝑥) 𝑑𝑦 𝑑𝑥 = 1 2 (5𝑥4 + 12𝑥) (𝑥5 + 6𝑥2 + 3) 1 2 = 1 2 (5𝑥4 + 12𝑥) √ 𝑥5 + 6𝑥2 + 3 2. 𝑦 = √ 𝑥4 + 6𝑥 + 1 3 Misal u = 𝑥4 + 6𝑥 + 1 , maka 𝑑𝑢 𝑑𝑥 = 4𝑥3 + 6 𝑦 = √ 𝑢3 = 𝑢 1 3 , maka 𝑑𝑦 𝑑𝑢 = 1 3 𝑢− 2 3 = 1 3 (𝑥4 + 6𝑥 + 1)− 2 3 Maka 𝑑𝑦 𝑑𝑥 = 𝑑𝑦 𝑑𝑢 . 𝑑𝑢 𝑑𝑥 = 1 3 (𝑥4 + 6𝑥 + 1)− 2 3 . (4𝑥3 + 6)
2.
𝑑𝑦 𝑑𝑥 = 1 3 (4𝑥3 + 6) (𝑥4 +
6𝑥 + 1) 2 3 = 1 3 (4𝑥3 + 6) √(𝑥4 + 6𝑥 + 1)23 3. 𝑦 = √ 𝑥2 − 5𝑥 5 Misal u = 𝑥2 − 5𝑥 , maka 𝑑𝑢 𝑑𝑥 = 2𝑥 − 5 𝑦 = √ 𝑢5 = 𝑢 1 5 , maka 𝑑𝑦 𝑑𝑢 = 1 5 𝑢− 4 5 = 1 5 (𝑥2 − 5𝑥)− 4 5 Maka 𝑑𝑦 𝑑𝑥 = 𝑑𝑦 𝑑𝑢 . 𝑑𝑢 𝑑𝑥 = 1 5 (𝑥2 − 5𝑥)− 4 5 .(2𝑥 − 5) 𝑑𝑦 𝑑𝑥 = 1 5 (2𝑥 − 5) (𝑥2 − 5𝑥) 4 5 = 1 5 (2𝑥 − 5) √(𝑥2 − 5𝑥)45 4. 𝑦 = 1 √𝑥4+2𝑥 = 1 (𝑥4+2𝑥) 1 2 = (𝑥4 + 2𝑥)− 1 2 Misal u = 𝑥4 + 2𝑥 , maka 𝑑𝑢 𝑑𝑥 = 4𝑥3 + 2 𝑦 = 𝑢− 1 2 , maka 𝑑𝑦 𝑑𝑢 = − 1 2 𝑢− 3 2 = − 1 2 (𝑥4 + 2𝑥)− 3 2 Maka 𝑑𝑦 𝑑𝑥 = 𝑑𝑦 𝑑𝑢 . 𝑑𝑢 𝑑𝑥 = − 1 2 (𝑥4 + 2𝑥)− 3 2 .(4𝑥3 + 2) 𝑑𝑦 𝑑𝑥 = − 1 2 (4𝑥3 + 2) (𝑥4 + 2𝑥) 3 2 = −2𝑥3 − 1 √(𝑥4 + 2𝑥)3
3.
5. 𝑦 = 1 √𝑥2−6𝑥 3
= 1 (𝑥2−6𝑥) 1 3 = (𝑥2 − 6𝑥)− 1 3 Misal u = 𝑥2 − 6𝑥 , maka 𝑑𝑢 𝑑𝑥 = 2𝑥 − 6 𝑦 = 𝑢− 1 3 , maka 𝑑𝑦 𝑑𝑢 = − 1 3 𝑢− 4 3 = − 1 3 (𝑥2 − 6𝑥)− 4 3 Maka 𝑑𝑦 𝑑𝑥 = 𝑑𝑦 𝑑𝑢 . 𝑑𝑢 𝑑𝑥 = − 1 3 (𝑥2 − 6𝑥)− 4 3 .(2𝑥 − 6) 𝑑𝑦 𝑑𝑥 = − 1 3 . (2𝑥 − 6) (𝑥2 − 6𝑥)− 4 3 = − 1 3 (2𝑥 − 6) √(𝑥2 − 6𝑥)43 6. 𝑦 = 1 √𝑥2−5𝑥+2 5 = 1 (𝑥2−5𝑥+2) 1 5 = (𝑥2 − 5𝑥 + 2)− 1 5 Misal u = 𝑥2 − 5𝑥 + 2 , maka 𝑑𝑢 𝑑𝑥 = 2𝑥 − 5 𝑦 = 𝑢− 1 5 , maka 𝑑𝑦 𝑑𝑢 = − 1 5 𝑢− 6 5 = − 1 5 (𝑥2 − 5𝑥 + 2)− 6 5 Maka 𝑑𝑦 𝑑𝑥 = 𝑑𝑦 𝑑𝑢 . 𝑑𝑢 𝑑𝑥 = − 1 5 (𝑥2 − 5𝑥 + 2)− 6 5 .(2𝑥 − 5) 𝑑𝑦 𝑑𝑥 = − 1 5 . (2𝑥 − 5) (𝑥2 − 5𝑥 + 2) 6 5 = − 1 5 (2𝑥 − 5) √(𝑥2 − 5𝑥 + 2)65 7. 𝑦 = sin √ 𝑥2 + 6𝑥 Misal u = 𝑥2 + 6𝑥 , maka 𝑑𝑢 𝑑𝑥 = 2𝑥 + 6 𝑣 = √ 𝑢 = 𝑢 1 2 , maka 𝑑𝑣 𝑑𝑢 = 1 2 𝑢− 1 2 = 1 2 (𝑥2 + 6𝑥 )− 1 2 𝑦 = sin 𝑣 , maka 𝑑𝑦 𝑑𝑣 = cos 𝑣 = cos √ 𝑢 = cos √ 𝑥2 + 6𝑥
4.
Maka 𝑑𝑦 𝑑𝑥 = 𝑑𝑦 𝑑𝑣 . 𝑑𝑣 𝑑𝑢 . 𝑑𝑢 𝑑𝑥 = cos √
𝑥2 + 6𝑥 . 1 2 (𝑥2 + 6𝑥 )− 1 2 .(2𝑥 + 6) 𝑑𝑦 𝑑𝑥 = 1 2 . (2𝑥 + 6) .cos √ 𝑥2 + 6𝑥 (𝑥2 + 6𝑥 ) 1 2 = ( 𝑥 + 3) .cos √ 𝑥2 + 6𝑥 √ 𝑥2 + 6𝑥 8. 𝑦 = cos √ 𝑥3 + 2 3 Misal u = 𝑥3 + 2 , maka 𝑑𝑢 𝑑𝑥 = 3𝑥2 𝑣 = √ 𝑢3 = 𝑢 1 3 , maka 𝑑𝑣 𝑑𝑢 = 1 3 𝑢− 2 3 = 1 3 (𝑥3 + 2)− 2 3 𝑦 = cos 𝑣 , maka 𝑑𝑦 𝑑𝑣 = −sin 𝑣 = −sin √ 𝑢3 = −sin √ 𝑥3 + 2 3 Maka 𝑑𝑦 𝑑𝑥 = 𝑑𝑦 𝑑𝑣 . 𝑑𝑣 𝑑𝑢 . 𝑑𝑢 𝑑𝑥 = −sin √ 𝑥3 + 2 3 . 1 3 (𝑥3 + 2)− 2 3 .3𝑥2 𝑑𝑦 𝑑𝑥 = 1 3 . 3𝑥2 . −sin √ 𝑥3 + 2 3 (𝑥3 + 2) 2 3 = 𝑥2 . −sin √ 𝑥3 + 2 3 √(𝑥3 + 2)23 9. 𝑦 = sin 1 √𝑥2+2 = sin 1 (𝑥2+2) 1 2 = sin(𝑥2 + 2)− 1 2 Misal u = 𝑥2 + 2 , maka 𝑑𝑢 𝑑𝑥 = 2𝑥 𝑣 = 𝑢− 1 2 , maka 𝑑𝑣 𝑑𝑢 = − 1 2 𝑢− 3 2 = − 1 2 (𝑥2 + 2)− 3 2 𝑦 = sin 𝑣 , maka 𝑑𝑦 𝑑𝑣 = cos 𝑣 = cos 𝑢− 1 2 = cos(𝑥2 + 2)− 1 2 Maka 𝑑𝑦 𝑑𝑥 = 𝑑𝑦 𝑑𝑣 . 𝑑𝑣 𝑑𝑢 . 𝑑𝑢 𝑑𝑥 = cos(𝑥2 + 2)− 1 2 . − 1 2 (𝑥2 + 2)− 3 2 .2𝑥
5.
𝑑𝑦 𝑑𝑥 = − 1 2 . 2𝑥 .
cos(𝑥2 + 2)− 1 2 (𝑥2 + 2) 3 2 = −𝑥 . cos(𝑥2 + 2)− 1 2 √(𝑥2 + 2)3 10. 𝑦 = cos 1 √𝑥2+6 3 = cos 1 (𝑥2+6) 1 3 = cos(𝑥2 + 6)− 1 3 Misal u = 𝑥2 + 6 , maka 𝑑𝑢 𝑑𝑥 = 2𝑥 𝑣 = 𝑢− 1 3 , maka 𝑑𝑣 𝑑𝑢 = − 1 3 𝑢− 4 3 = − 1 3 (𝑥2 + 6)− 4 3 𝑦 = cos 𝑣 , maka 𝑑𝑦 𝑑𝑣 = −sin 𝑣 = −sin 𝑢− 1 3 = −sin(𝑥2 + 6)− 1 3 Maka 𝑑𝑦 𝑑𝑥 = 𝑑𝑦 𝑑𝑣 . 𝑑𝑣 𝑑𝑢 . 𝑑𝑢 𝑑𝑥 = −sin(𝑥2 + 6)− 1 3 . − 1 3 (𝑥2 + 6)− 4 3 .2𝑥 𝑑𝑦 𝑑𝑥 = − 1 3 . 2𝑥 . −sin(𝑥2 + 6)− 1 3 (𝑥2 + 6) 4 3 = 1 3 . 2𝑥 . sin(𝑥2 + 6)− 1 3 √(𝑥2 + 6)43
Download