Embed presentation
Download to read offline


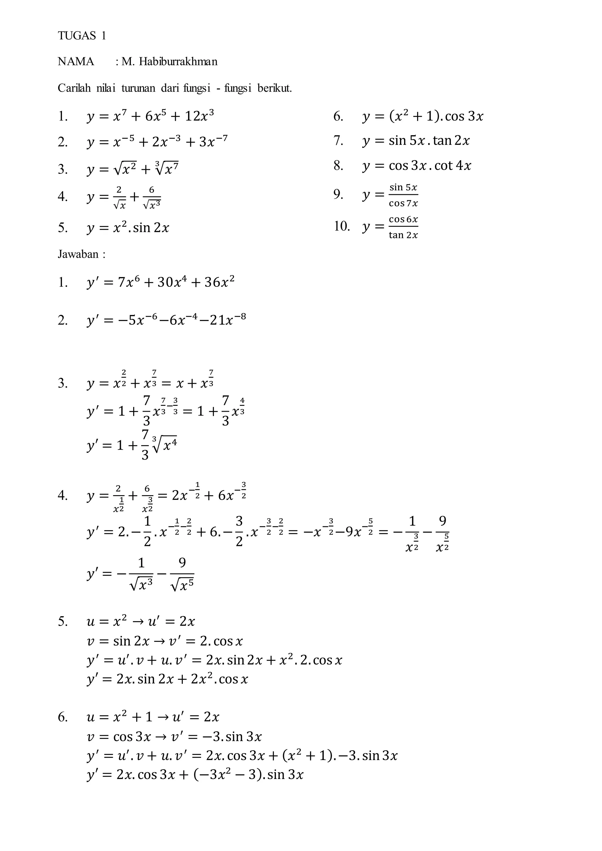
1. The document provides 10 problems asking to find the derivatives of various functions. 2. For each problem, the function is given and the step-by-step work to find the derivative is shown. 3. The derivatives involve using power, trigonometric, logarithmic, and implicit differentiation rules to simplify the expressions into their derivative forms.

