Trigonometric Equations 4
10+ years Teaching experience
100+ Aspiring Teachers Mentored
Taught 1 Million+ Students
Sameer Chincholikar
B.Tech, M.Tech - IIT-Roorkee
sameer_iitr
Telegram Channel
livedaily.me/jee
Unacademy
Subscription
LIVE Polls & Leaderboard
LIVE Doubt Solving
LIVE Interaction
LIVE Class Environment Performance Analysis
Weekly Test Series
DPPs & Quizzes
India’s BEST Educators Unacademy Subscription
If you want to be the BEST
“Learn” from the BEST
Bratin Mondal
100 %ile
Top Results
12th / Drop
11th / 9, 10
SAMEERLIVE
LET’S BEGIN!!
Homework Question
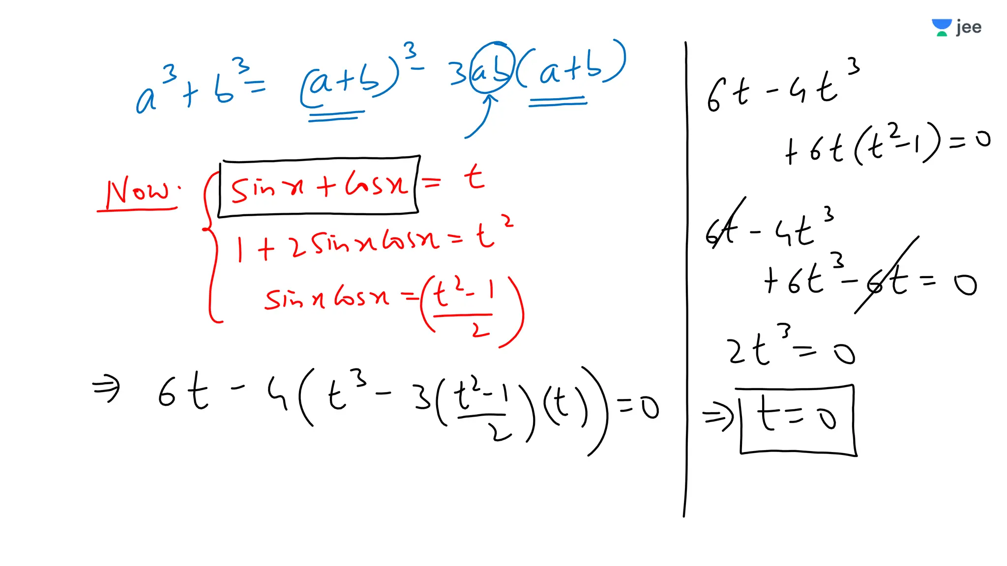
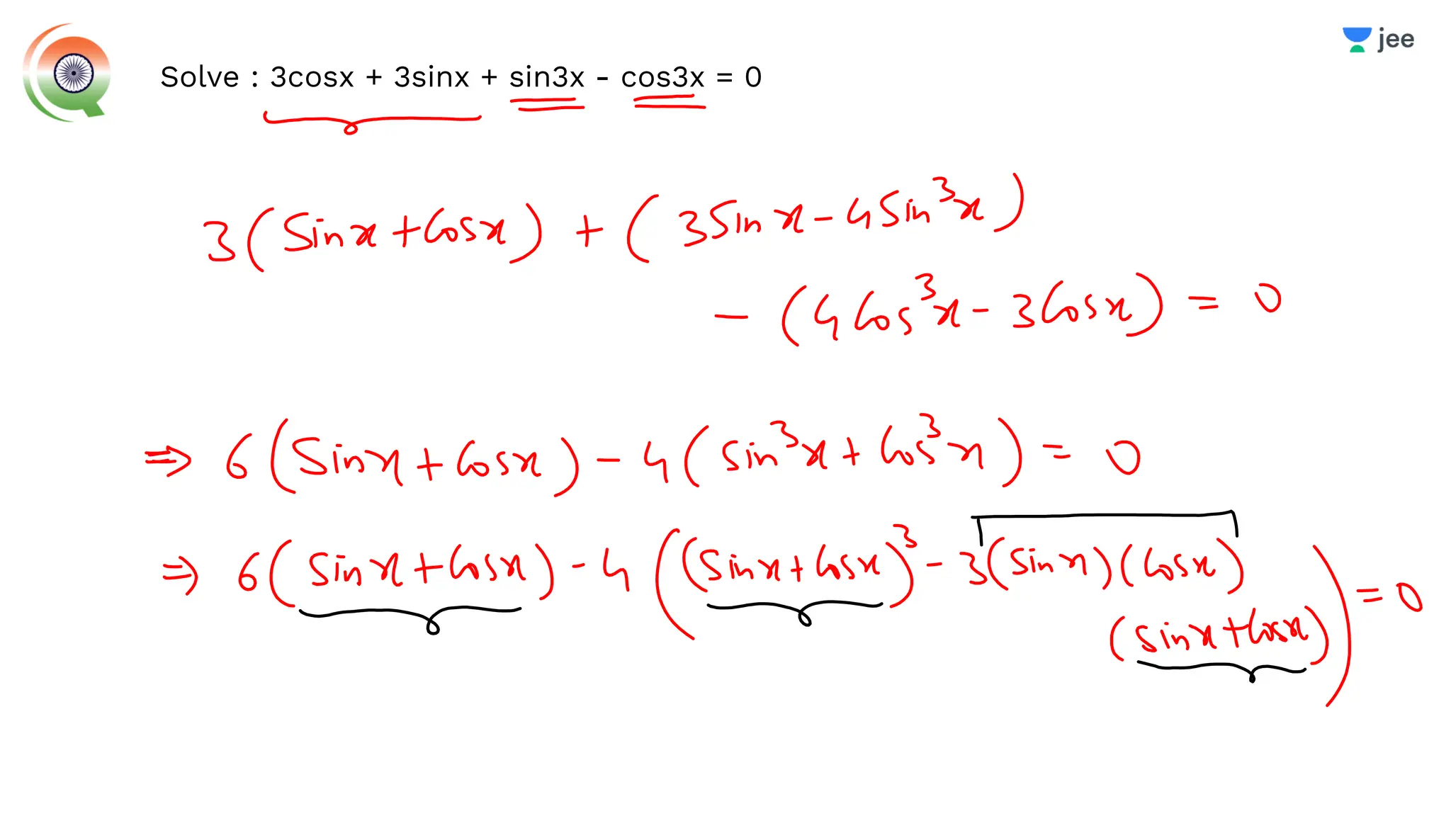
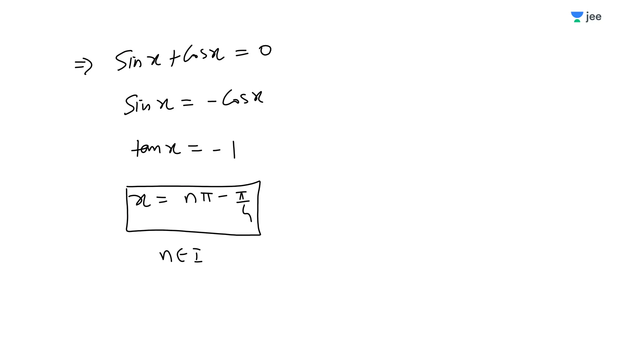
Solve : 3cosx + 3sinx + sin3x - cos3x = 0
7. Use of limited range of sinx and cosx
If x, y ∈ [0, 2π], then total number of ordered pairs (x, y)
satisfying the equation, sin x. cos y = 1, is equal to:
A. 1 B. 3 D. 7
C. 5
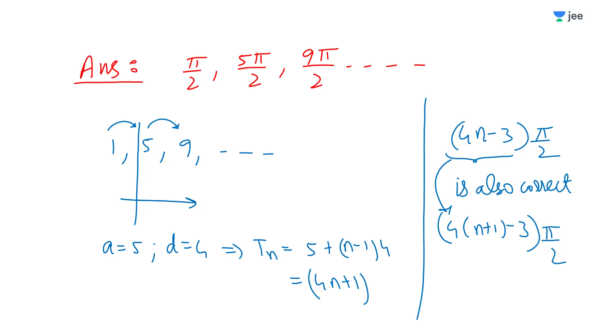
Solve: sin3x + cos2x = - 2
A. (4n - 1) π/2 B. (4n + 1) π/2
C. (2n - 1) π/2 D. None of these
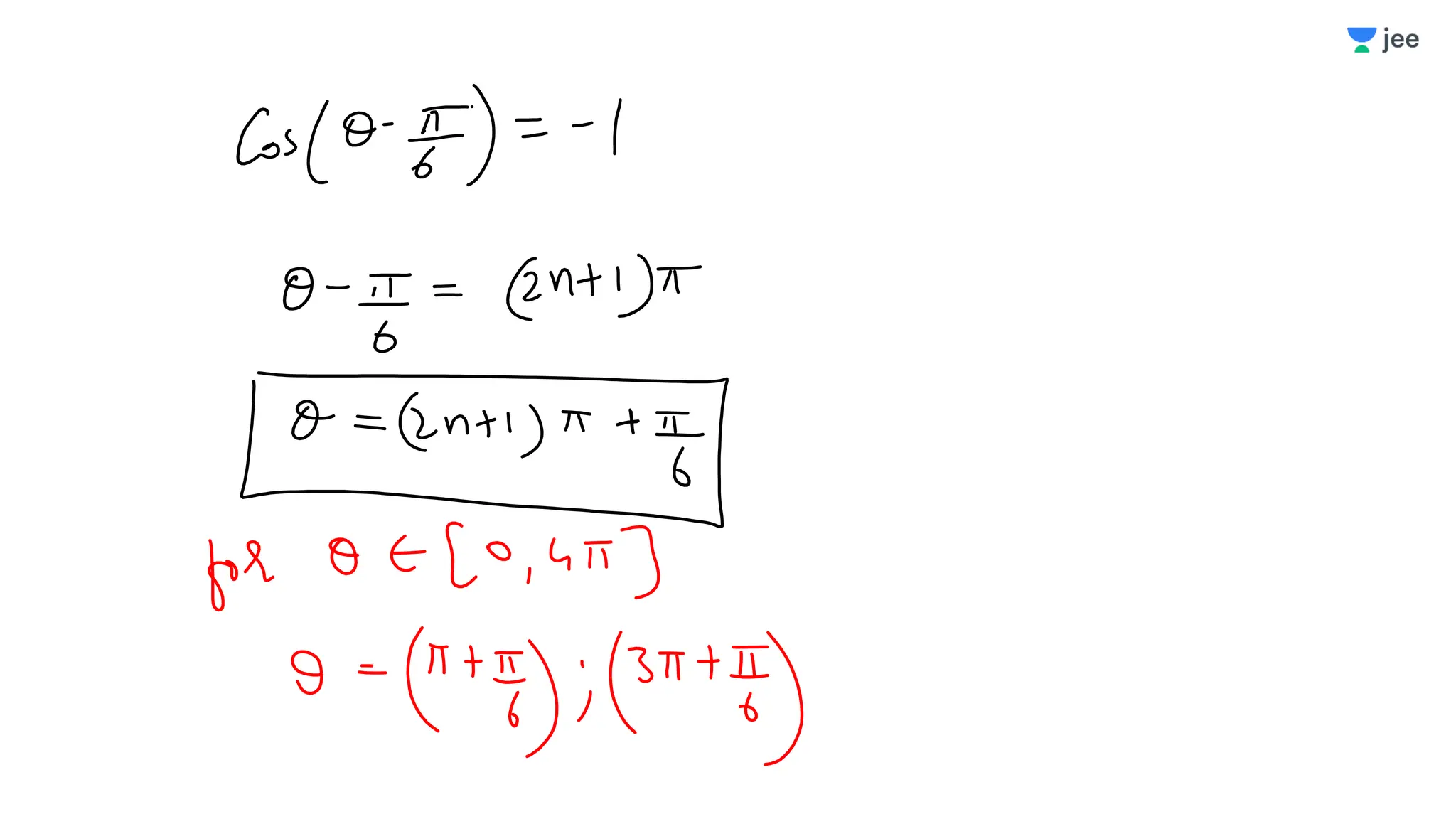
The general solution of the equation, cos x cos 6x = -1 is
A.
C.
B.
D.
x = (2n + 1)π, n ∈ I x = 2nπ, n ∈ I
None of these
x = (2n - 1)π, n ∈ I
8. Use of limited range trigonometric expressions
The value of ‘a’ for which of the equation, a2 - 2a + sec2π (a + x) = 0
has solution is :
A. 1 B. 2 C. 0 or 1 D. 1 or 2
sin θ + √3 cos θ = 6x - x2 - 11 ; 0 < θ < 4π, x ∈ R, holds for
C.
D.
A. No value of x and θ
Two values of x and two values of θ
B. Two pairs of values of (x, θ)
One values of x and one values of θ
If x and y are the solutions of the equation, 12 sinx + 5 cosx = 2y2 - 8y + 21.
Then find the value of
Trigonometric
Inequalities
Solve for x: 1/2 < cosx < √3/2.
Let 2 sin2x + 3 sin x - 2 > 0 . Then find the general solution of x.
The solution of inequality cos 2x ≤ cos x is
B.
D.
A.
C.
Which of the following set of values of x satisfy the inequation
B.
D.
A.
C.
Namo Sir | Physics Ashwani Sir | Chemistry Sameer Sir | Maths
Jayant Sir | Physics Anupam Sir | Chemistry Nishant Sir | Maths
1:30 - 3:00 PM 3:00 - 4:30 PM 4:30 - 6:00 PM
11th
12th
6:00 - 7:30 PM 7:30 - 9:00 PM 9:00 - 10:30 PM
#JEELiveDaily Schedule
livedaily.me/jee
Unacademy
Subscription
LIVE Polls & Leaderboard
LIVE Doubt Solving
LIVE Interaction
LIVE Class Environment Performance Analysis
Weekly Test Series
DPPs & Quizzes
India’s BEST Educators Unacademy Subscription
If you want to be the BEST
“Learn” from the BEST
Bratin Mondal
100 %ile
Top Results
INSTALL
Step 1 Step 2
SAMEERLIVE
12th / Drop
11th / 9, 10
SAMEERLIVE
Thank You
@sameer_iitr

trignometry notes by me very improtant for jee mains