„Projekt współfinansowany ze środków Europejskiego Funduszu Społecznego”
„Projekt współfinansowany ze środków Europejskiego Funduszu Społecznego”
1
MINISTERSTWO
EDUKACJI
NARODOWEJ
Krystyna SkarŜyńska
Zarządzanie systemami teletransmisyjnymi i
teleinformatycznymi 312[02].Z3.01
Poradnik dla ucznia
Wydawca
Instytut Technologii Eksploatacji – Państwowy Instytut Badawczy Radom
2007
___________________________________________________________________________
Recenzenci:
dr inŜ. Lechosław Kozłowski
„Projekt współfinansowany ze środków Europejskiego Funduszu Społecznego”
2
mgr inŜ. Krzysztof Słomczyński
Opracowanie redakcyjne: mgr
inŜ. Ryszard Zankowski
Konsultacja:
mgr Małgorzata Sienna
Poradnik stanowi obudowę dydaktyczną programu jednostki modułowej 312[02].Z3.01
„Zarządzanie systemami teletransmisyjnymi i teleinformatycznymi”, zawartego w modułowym
programie nauczania dla zawodu technik teleinformatyk.
Wydawca
„Projekt współfinansowany ze środków Europejskiego Funduszu Społecznego”
3
Instytut Technologii Eksploatacji – Państwowy Instytut Badawczy, Radom 2007
SPIS TREŚCI
1. Wprowadzenie 3 2. Wymagania wstępne 5 3. Cele kształcenia 6 4. Materiał
nauczania 7
4.1. Tory i linie kablowe 7
4.1.1. Materiał nauczania 7
4.1.2. Pytania sprawdzające 12
4.1.3. Ćwiczenia 13
4.1.4. Sprawdzian postępów 15
4.2. Tory i linie światłowodowe 16
4.2.1. Materiał nauczania 16
4.2.2. Pytania sprawdzające 20
4.2.3. Ćwiczenia 20
4.2.4. Sprawdzian postępów 22
4.3. Transmisja sygnałów analogowych i cyfrowych 23
4.3.1. Materiał nauczania 23
4.3.2. Pytania sprawdzające 33
4.3.3. Ćwiczenia 33
4.3.4. Sprawdzian postępów 35
4.4. Wielokrotne systemy cyfrowe 36
4.4.1. Materiał nauczania 36
4.4.2. Pytania sprawdzające 43
4.4.3. Ćwiczenia 44
4.4.4. Sprawdzian postępów 46
4.5. Teletransmisyjne linie radiowe i satelitarne 47
4.5.1. Materiał nauczania 47
4.5.2. Pytania sprawdzające 50
4.5.3. Ćwiczenia 51
4.5.4. Sprawdzian postępów 52
5. Sprawdzian osiągnięć 53 6. Literatura 60
1. WPROWADZENIE
Poradnik będzie Ci pomocny w przyswajaniu wiedzy o technologiach stosowanych
przewodowych i bezprzewodowych systemach transmisji sygnałów analogowych i cyfrowych
oraz zarządzaniu systemami teletransmisyjnymi i teleinformatycznymi. W poradniku
znajdziesz:
– wymagania wstępne – wykaz umiejętności, jakie powinieneś mieć juŜ ukształtowane, abyś
bez problemów mógł korzystać z poradnika,
– cele kształcenia – wykaz umiejętności, jakie ukształtujesz podczas pracy z poradnikiem,
– materiał nauczania – wiadomości teoretyczne niezbędne do opanowania treści jednostki
modułowej,
– zestaw pytań, abyś mógł sprawdzić, czy juŜ opanowałeś określone treści,
„Projekt współfinansowany ze środków Europejskiego Funduszu Społecznego”
4
– ćwiczenia, które pomogą Ci zweryfikować wiadomości teoretyczne oraz ukształtować
umiejętności praktyczne,
– sprawdzian postępów,
– sprawdzian osiągnięć, przykładowy zestaw zadań. Zaliczenie testu potwierdzi opanowanie
materiału całej jednostki modułowej, – literaturę uzupełniającą.
„Projekt współfinansowany ze środków Europejskiego Funduszu Społecznego”
5
Schemat układu jednostek modułowych w module
2. WYMAGANIA WSTĘPNE
Przystępując do realizacji programu nauczania jednostki modułowej powinieneś umieć: –
stosować jednostki układu SI,
– przeliczać jednostki,
– posługiwać się podstawowymi pojęciami z zakresu elektrotechniki i elektroniki,
– rozróŜniać podstawowe wielkości elektryczne i ich jednostki,
– rozróŜniać elementy obwodu elektrycznego,
– odczytywać schematy prostych układów elektrycznych i elektronicznych,
– charakteryzować wymagania dotyczące bezpieczeństwa pracy przy urządzeniach
elektrycznych,
– łączyć układy elektryczne i elektroniczne zgodnie ze schematem,
– wyjaśniać działanie prostych układów elektronicznych na podstawie ich schematów,
– korzystać z róŜnych źródeł informacji,
– obsługiwać komputer,
– współpracować w grupie.
312[02].Z3.01
Zarządzanie systemami
teletransmisyjnymi
i teleinformatycznymi
312[02].Z3.02
Eksploatowanie sieci
komputerowych LAN
312[02].Z3
Sieci teleinformatyczne
312[02].Z3.03
Eksploatowanie rozległych sieci
komputerowych WAN
312[02].Z3.04
Administrowanie sieciami
komputerowymi
„Projekt współfinansowany ze środków Europejskiego Funduszu Społecznego”
6
3. CELE KSZTAŁCENIA
W wyniku realizacji programu jednostki modułowej powinieneś umieć:
− scharakteryzować podstawowe parametry torów przewodowych,
− przeliczyć parametry elektryczne torów przewodowych na parametry falowe,
− porównać właściwości kabli symetrycznych i koncentrycznych,
− wykonać kontrolę szczelności kabli telekomunikacyjnych,
− wykonać konserwację i pomiary parametrów kabli telekomunikacyjnych,
− porównać zasady transmisji sygnałów optycznych w światłowodach róŜnych typów,
− porównać parametry światłowodów wielodomowych skokowych i gradientowych oraz
jednomodowych,
− wykonać róŜne połączenia światłowodów,
− porównać metodę częstotliwościową i czasową wielokrotnego wykorzystania torów
transmisyjnych,
− rozróŜnić systemy PCM o róŜnych przepływnościach sygnałów,
− rozróŜnić kody transmisyjne dwu- i trójwartościowe,
− porównać metody zabezpieczenia sygnałów cyfrowych przed błędami,
− wyjaśnić strukturę i zasadę działania urządzeń cyfrowych linii radiowej,
− rozróŜnić systemy łączności satelitarnej,
− wyjaśnić zasadę zwielokrotniania cyfrowego plezjochronicznych systemów PDH,
− rozróŜnić moduły systemów SDH,
− wykonać czynności związane z nadzorem i zarządzaniem siecią SDH,
− obsłuŜyć komputery i specjalistyczne oprogramowanie sterujące pracą urządzeń
teletransmisyjnych,
− zastosować przepisy z zakresu ochrony danych i praw autorskich przy korzystaniu z
informacji w sieciach,
− dobrać metody pomiarowe i przyrządy do pomiaru wielkości teletransmisyjnych,
− wykonać pomiary i zinterpretować otrzymane wyniki,
− eksploatować systemy teleinformatyczne w oparciu o protokoły teletransmisyjne,
− wykonać przeglądy i naprawy urządzeń teletransmisyjnych,
− dokonać zapisów w dokumentacji sieci teletransmisyjnych,
− zastosować ustalone procedury w stanach awaryjnych oraz zagroŜenia,
− zastosować przepisy bezpieczeństwa i higieny pracy podczas pracy przy urządzeniach
elektrycznych oraz emitujących pole elektromagnetyczne,
− porozumiewać się w języku angielskim zawodowym.
4. MATERIAŁ NAUCZANIA
4.1. Tory i linie kablowe
„Projekt współfinansowany ze środków Europejskiego Funduszu Społecznego”
7
4.1.1. Materiał nauczania
Pojęcia podstawowe
Teletransmisja jest to dziedzina obejmująca zagadnienia dotyczące przesyłania – transmisji
– informacji na odległość za pomocą urządzeń elektrycznych i elektronicznych. Przez
informację naleŜy rozumieć mowę, muzykę, znaki pisma, obrazy ruchome i nieruchome,
wartości pomiarowe, dane cyfrowe itp., które są kierowane od nadawcy do odbiorcy.
Transmisja danych jest to proces przekazywania z duŜą wiernością danych cyfrowych
pomiędzy dwoma punktami w postaci umoŜliwiającej ich przetwarzanie w urządzeniach
komunikacyjnych.
Systemem teletransmisyjnym nazywamy zespół urządzeń teletransmisyjnych
współpracujących ze sobą według określonych, jednolitych zasad, przeznaczonych do
tworzenia kanałów telekomunikacyjnych.
System teleinformatyczny jest to zintegrowany system transmisji i przetwarzania danych,
ich organizacja i struktura, zasady i zakresy ich wykorzystania w róŜnych wariantach
zastosowań.
Linią teletransmisyjną nazywamy zespół torów teletransmisyjnych (przewodowych lub
radiowych) zainstalowanych w terenie wraz z urządzeniami teletransmisyjnymi (jednego lub
kilku systemów) oraz wszelkimi urządzeniami pomocniczymi.
Tor teletransmisyjny jest to droga przesyłowa sygnałów elektrycznych (informacji) między
dwoma punktami, przestrzennie ograniczona praktycznie do walca o określonym promieniu. W
telekomunikacji rozróŜnia się następujące rodzaje torów:
− tory przewodowe symetryczne złoŜone z dwóch przewodów ułoŜonych równolegle obok
siebie – wykonane w wersji napowietrznej lub kablowej,
− tory przewodowe współosiowe (koncentryczne) utworzone z dwóch przewodów
umieszczonych względem siebie współosiowo: jeden przewód ma postać zewnętrznego
cylindra, w którym jest umieszczony drugi przewód w postaci walca,
− tory światłowodowe utworzone z włókien szklanych tzw. światłowodów, w których są
przesyłane elektromagnetyczne fale świetlne (spójne i jednobarwne), będące nośnikiem
informacji,
− tory radiowe (proste lub łamane) utworzone za pomocą zespołu anten kierunkowych.
Kanał telekomunikacyjny jest to droga przesyłowa sygnałów elektrycznych na odległość
za pomocą określonego systemu teletransmisyjnego. RozróŜniamy kanały częstotliwościowe
ograniczone do określonego pasma częstotliwości tworzone zazwyczaj w systemach
analogowych i kanały czasowe ograniczone czasem przesyłania sygnału do określonego
przedziału, które są tworzone w systemach cyfrowych.
Łączem telekomunikacyjnym nazywamy zestaw środków technicznych (torów, urządzeń
teletransmisyjnych i komutacyjnych) umoŜliwiających bezpośrednią łączność między dwoma
końcowymi urządzenia przetwórczymi.
Łączem jednotorowym (lub jednokanałowym) nazywamy takie łącze, w którym transmisja
sygnałów w obu kierunkach odbywa się tym samym torem (kanałem). W łączu dwutorowym
(lub dwukanałowym) przesyłanie sygnałów w obu kierunkach odbywa się dwoma róŜnymi
torami (kanałami).
Najistotniejszą cechą kanału i łącza telekomunikacyjnego jest pasmo częstotliwości
niezbędne do przesyłania sygnałów danego rodzaju. Odnosi się ono głównie do przesyłania
„Projekt współfinansowany ze środków Europejskiego Funduszu Społecznego”
8
sygnałów analogowych. Dla sygnałów cyfrowych zdolność przesyłową kanału określa się
przepływnością binarną (liczba bitów przesłanych w ciągu sekundy – bit/s), chociaŜ i w tym
przypadku występuje ograniczenie częstotliwościowe.
W kanałach telefonicznych definiowane jest pasmo rozmówne zwane pasmem
akustycznym, zajmowanym przez sygnały mowy, zawierające się w granicach 300÷3400 Hz.
Jednostki stosowane w teletransmisji
Do oceny parametrów urządzeń teletransmisyjnych oraz jakości transmisji stosowane są
następujące jednostki:
− dB (decybel) – słuŜy do wyraŜenia w mierze logarytmicznej stosunku dwóch wielkości mocy
(Px/Py), napięcia (Ux/Uy) lub prądu (Ix/Iy), tj. do określenia poziomu mocy, tłumienności i
wzmocnienia w danym punkcie drogi przesyłowej zgodnie ze wzorami:
Px
x dB = 10 lg
Py
Ux
x dB = 20 lg
Uy
Ix
x dB = 20 lg
Iy
gdzie Py, Uy, Iy – wartości odniesienia.
− dBm – słuŜy do wyraŜenia bezwzględnego poziomu mocy pm, tj poziomu mierzonego
względem mocy o wartości 1 mW, określonego wzorem
Px
pm = x dBm = 10 lg
1 mW
gdzie Px, – moc bezwzględna sygnału w danym punkcie drogi przesyłowej [mW].
− dBu – słuŜy do wyraŜenia bezwzględnego poziomu napięcia odniesionego do napięcia
owartości 0,775 V zgodnie z wzorem
Ux
pu = x dBu = 20 lg
0,775 V
gdzie Ux, – napięcie bezwzględne sygnału w danym punkcie [V].
− dBr – słuŜy do wyraŜenia względnego poziomu mocy sygnału pomiarowego w odniesieniu
do mocy w punkcie przyjętym za początek łącza zgodnie z wzorem
Px
pr = x dBr = 10 lg
Pod
„Projekt współfinansowany ze środków Europejskiego Funduszu Społecznego”
9
gdzie Px, – moc sygnału w danym punkcie drogi przesyłowej [mW],
Pod, – moc odniesienia w punkcie przyjętym za początek łącza [mW].
Parametry kanałów teletransmisyjnych
W systemach teletransmisyjnych jakość transmisji ocenia się na podstawie parametrów
jakościowych kanałów, które w tych systemach są realizowane.
Podstawowymi parametrami kanału telekomunikacyjnego, stanowiącymi wskaźniki
jakości transmisji, są:
− zniekształcenia tłumieniowe powstające w wyniku niejednakowego tłumienia sygnałów o
róŜnych częstotliwościach występujących w paśmie przenoszenia kanału,
− zniekształcenia opóźnieniowe (fazowe) wynikające z róŜnej szybkości przenoszenia przez
kanał sygnałów sinusoidalnych o róŜnych częstotliwościach, wchodzących w skład pasma
przenoszenia,
− zniekształcenia nieliniowe powstające w wyniku nieliniowej charakterystyki
napięciowoprądowej elementów czynnych (np. tranzystory, wzmacniacze) stosowanych w
urządzeniach teletransmisyjnych. Objawem zniekształceń nieliniowych jest pojawienie się
w sygnale wyjściowym kanału składowych częstotliwości, których nie było w sygnale
wejściowym,
− przesłuchy będące zjawiskiem przenikania energii elektrycznej z jednego kanału (toru) do
drugiego wskutek sprzęŜeń elektromagnetycznych miedzy tymi kanałami (torami),
− szumy będące zakłóceniami o szerokim widmie częstotliwości i pochodzą z róŜnych
źródeł. Przyczyną szumów mogą być zniekształcenia nieliniowe, przeniki i tzw. szumy
termiczne.
− zakłócenia zewnętrzne są to zakłócenia występujące w kanałach teletransmisyjnych
wywołane między innymi przez pola elektromagnetyczne linii wysokiego napięcia
(zakłócenia energetyczne), pola elektromagnetyczne radiostacji (zakłócenia radiowe),
wyładowania atmosferyczne (zakłócenia atmosferyczne), silniki elektryczne, zasilacze
impulsowe odbiorników telewizyjnych i komputerów.
Tory i linie kablowe
Tory kablowe stanowią obecnie podstawowy i najbardziej rozpowszechniony środek
łączności w róŜnych płaszczyznach telekomunikacji. Są one w bardzo małym stopniu wraŜliwe
na wpływ warunków atmosferycznych i zakłócenia zewnętrzne. Kable są układane pod ziemią
na głębokości 70÷100 cm. Najczęściej klasyfikuje się je według budowy – tory i kable
symetryczne oraz tory i kable współosiowe.
Tory symetryczne stanowią pary przewodów (zwanych Ŝyłami) wykonanych z drutu
miedzianego o średnicy 0,4÷1,4 mm. śyły izolowane materiału izolacyjnym (np. polietylenem
piankowym) są grupowane i skręcane w wiązki najczęściej czteroŜyłowe.
Stosuje się dwa rodzaje skrętu:
− gwiazdowy polegający na jednoczesnym skręceniu wszystkich czterech Ŝył,
− dwuparowy polegający na tym, Ŝe najpierw Ŝyły są skręcane parami a następnie dwie pary
są skręcane ze sobą.
Na rys. 1 pokazano przykładową budowę kabla symetrycznego z czwórkami gwiazdkowymi.
Wiązki znajdujące się w środku kabla stanowią rdzeń. Pozostałe wiązki są rozmieszczone
wokół rdzenia w jednej lub kilku współosiowych warstwach. Wszystkie Ŝyły owinięte
„Projekt współfinansowany ze środków Europejskiego Funduszu Społecznego”
10
materiałem izolacyjnym stanowią ośrodek kabla, na który nakładane są powłoki i osłony
ochronne.
Rys. 1. Budowa kabla symetrycznego [1, s. 157]
W celu identyfikacji poszczególnych wiązek w kaŜdej warstwie oznacza się wiązkę
licznikową wyznaczającą początek i wiązkę kierunkową wskazującą kierunek liczenia wiązek
w warstwie. Wiązki rozróŜnia się na podstawie barwy taśmy izolacyjnej. Liczenie warstw
rozpoczyna się od rdzenia.
Tory kablowe moŜna scharakteryzować za pomocą jednostkowych parametrów
pierwotnych ( określanych w odpowiednich jednostkach na kilometr), do których zaliczamy:
rezystancję jednostkową toru R [Ω/km], pojemność jednostkową między Ŝyłami C [nF/km],
indukcyjność jednostkową L [mH/km], upływność jednostkową G [µS/km].
Na podstawie parametrów pierwotnych wyznacza się parametry falowe toru: −
impedancję falową
R + jωL
Zf = √
G + jωC
− tamowność falową
Γ = α + jβ = (R + jωL) (G + jωC)
gdzie: α – tłumienność jednostkowa toru, β – przesuwność jednostkowa toru.
W przypadku niedopasowania impedancji nadajnika i odbiornika do impedancji falowej kabla
występują odbicia sygnału i niekorzystne nakładanie się sygnału z sygnałem uŜytecznym.
W praktyce właściwości elektryczne kabla ocenia się na podstawie wartości następujących
parametrów:
„Projekt współfinansowany ze środków Europejskiego Funduszu Społecznego”
11
− rezystancji pętli Ŝył dla prądu stałego,
− rezystancji izolacji Ŝył,
− pojemności skutecznej toru,
− wytrzymałości elektrycznej na przebicie,
− tłumienności jednostkowej w funkcji częstotliwości.
Do przesyłania sygnałów zajmujących szerokie pasmo częstotliwości stosowane są tory
współosiowe zwane koncentrycznymi. Tor współosiowy składa się z przewodu zewnętrznego
w postaci rurki i przewodu wewnętrznego – walca, umieszczonego współosiowo wewnątrz
przewodu zewnętrznego. Dzięki takiej budowie prąd elektryczny płynący w torze nie wytwarza
zewnętrznego pola elektromagnetycznego.
NajwaŜniejszą zaletą torów współosiowych jest mała wraŜliwość na zakłócenia zewnętrzne, a
zwłaszcza przeniki energii z sąsiednich torów.
MontaŜ kabli
MontaŜ kabli polega na łączeniu sąsiednich odcinków za pomocą złączy kablowych oraz
zakończeniu kabli głowicami. Przed rozpoczęciem montaŜu naleŜy:
− sprawdzić szczelność powłoki,
− sprawdzić Ŝyły na przerwy i zwarcia,
− zmierzyć rezystancję izolacji.
Przed wykonaniem złącza naleŜy przygotować końcówki kabla (zdjąć osłonę ochronną,
rozdzielić i odgiąć poszczególne wiązki Ŝył).
Łączenie odcinków kabli symetrycznych rozpoczyna się od wiązek leŜących w rdzeniu kabla
a następnie w kolejnych warstwach. Sposób łączenia Ŝył pokazano na rys. 2.
Rys. 2. Łączenie Ŝył w kablu symetrycznym [1, s. 169]
„Projekt współfinansowany ze środków Europejskiego Funduszu Społecznego”
12
Odpowiadające sobie Ŝyły obu odcinków skręca się wstępnie z izolacją a następnie
końce obu Ŝył oczyszcza się, skręca i lutuje, poczym skrętkę dogina się do połączonych Ŝył i
naciąga tuleję izolacyjną. Po połączeniu wszystkich Ŝył, złącze naleŜy wysuszyć gorącym
powietrzem i zabezpieczyć materiałem izolacyjnym.
Kontrola ciśnieniowa szczelności powłoki kabla
W celu niedopuszczenia do zawilgocenia ośrodka kabla w przypadku uszkodzenia powłoki
stosuje się kontrolę ciśnieniową kabli. RozróŜnia się dwa systemy kontroli ciśnieniowej
szczelności:
− system z automatycznym dopełnianiem gazu – polega na doprowadzeniu do ośrodka kabla
gazu kontrolnego i utrzymywaniu go na stałym nadciśnieniu. W przypadku uszkodzenia
powłoki i upływu gazu kontrolnego z kabla, następuje spadek ciśnienia
w obwodzie zasilania gazem, który uruchamia sygnalizację alarmową na stacji dozorującej,
− system czujnikowy bez rezerwy gazu – polega na napełnieniu odcinków ciśnieniowych kabla
gazem bez jego dopełniania w przypadku uszkodzenia powłoki kabla. Do sygnalizacji
uszkodzenia i jego wstępnej lokalizacji słuŜą czujniki reagujące na spadek ciśnienia w
ośrodku kabla, zainstalowane w regularnych odstępach.
Do analizy sygnałów odbieranych z linii stosuje się na stacjach dozorujących mikroprocesory
i komputery.
Konserwacja i pomiary eksploatacyjne linii kablowych
Konserwacja linii kablowych polega na przeprowadzaniu systematycznych kontrolnych
pomiarów elektrycznych torów oraz przeglądów tras i obiektów kablowych (studni i szaf
kablowych), utrzymywaniu w stanie pełnej sprawności urządzeń kontroli ciśnieniowej. Do
czynności konserwacyjnych zalicza się takŜe wyszukiwanie i usuwanie wszelkich uszkodzeń.
Metody i przyrządy pomiarowe stosowane do pomiarów kabli powinny być zgodne z
instrukcjami i wytycznymi. Ogólne zasady wykonywania pomiarów podstawowych
parametrów kabli są następujące:
− pomiar rezystancji i asymetrii rezystancji Ŝył wykonuje się za pomocą układów
mostkowych lub omomierza, błąd pomiaru nie powinien przekraczać ±1% wartości
mierzonej,
− rezystancję izolacji Ŝył mierzy się megaomomierzem, metodą mostkową lub za pomocą
woltomierza i miliamperomierza, przy czym pomiar powinien być wykonany z
dokładnością 10% dla wartości 0,1÷10 000 MΩ, a powyŜej 10 000 MΩ z dokładnością
około 25% wartości mierzonej,
− próbę wytrzymałości elektrycznej izolacji Ŝył wykonuje się za pomocą prądu zmiennego
(50 Hz) w układzie z płynną regulacją wartości napięcia probierczego (napięcia próby),
− pomiar tłumienności skutecznej toru, tłumienności przesłuchowej i odstępu od przesłuchu
wykonuje się metodą techniczną, a błąd pomiaru nie powinien być większy od ± 1 dB,
− pomiary impedancji wejściowej toru wykonuje się metodą mostkową z dokładnością około
± 1% wartości mierzonej,
„Projekt współfinansowany ze środków Europejskiego Funduszu Społecznego”
13
− impedancję falową toru Zf wyznacza się wykorzystując wyniki pomiaru impedancji
wejściowej Zo toru otwartego na końcu i impedancji Zzw toru zwartego na końcu
korzystając ze wzoru
_____
Zf = √ Zo Zzw
Obecnie do pomiarów uŜywa się przyrządów wielofunkcyjnych, umoŜliwiających
mierzenie róŜnych parametrów.
4.1.2. Pytania sprawdzające
Odpowiadając na pytania, sprawdzisz, czy jesteś przygotowany do wykonania ćwiczeń.
1. Jaka jest róŜnica między systemem teleinformatycznym a systemem teletransmisyjnym?
2. Czym róŜni się linia teletransmisyjna od toru teletransmisyjnego?
3. Jaki jest podział torów teletransmisyjnych?
4. Czym charakteryzują się poszczególne rodzaje torów teletransmisyjnych?
5. Jaki przedział częstotliwości zajmuje pasmo rozmówne?
6. Jakie specjalistyczne jednostki są stosowane do oceny jakości transmisji?
7. Jakie są parametry kanałów teletransmisyjnych?
8. Jak zbudowane są tory symetryczne?
9. W jaki sposób identyfikuje się wiązki w kablu symetrycznym?
10. Jakie rodzaje skrętu stosuje się w kablu symetrycznym?
11. Jakie znasz parametry falowe toru kablowego?
12. Jakie parametry określają właściwości elektryczne kabla?
13. Jak zbudowany jest tor współosiowy?
14. Na czym polega montaŜ kabli?
15. Jakie czynności naleŜy wykonać przed rozpoczęciem montaŜu złącza kablowego?
16. Jakie są kolejne etapy wykonania złącza kablowego?
17. W jakim celu stosuje się kontrolę ciśnieniową szczelności powłoki kabla?
18. Jakie znasz systemy kontroli ciśnieniowej szczelności powłoki kabla?
19. Na czym polega konserwacja linii kablowych?
20. Jakie parametry są mierzone w ramach prac konserwacyjnych linii kablowych?
21. W jaki sposób są wykonywane pomiary poszczególnych parametrów linii kablowych?
4.1.3. Ćwiczenia
Ćwiczenie 1
Sklasyfikuj wskazane przez nauczyciela rodzaje kabli na podstawie ich budowy.
Sposób wykonania ćwiczenia
Aby wykonać ćwiczenie, powinieneś:
1) odszukać w materiałach dydaktycznych kryteria klasyfikacji kabli,
2) dokonać analizy budowy kabli,
3) rozpoznać rodzaje kabli,
„Projekt współfinansowany ze środków Europejskiego Funduszu Społecznego”
14
4) zapisać nazwy i krótką charakterystykę budowy rozpoznanych kabli.
WyposaŜenie stanowiska pracy:
− fragmenty róŜnych rodzajów kabli,
− papier formatu A4, flamastry,
− literatura zgodna z punktem 6 poradnika.
Ćwiczenie 2
Wykonaj pomiary parametrów elektrycznych wskazanych przez nauczyciela rodzajów
kabli. Oblicz jednostkowe parametry pierwotne, porównaj otrzymane wartości parametrów dla
róŜnego rodzaju kabli i oceń właściwości elektryczne
mierzonych kabli teletransmisyjnych.
Sposób wykonania ćwiczenia
Aby wykonać ćwiczenie, powinieneś:
1) odszukać w materiałach dydaktycznych parametry elektryczne i warunków ich pomiaru,
2) dobrać odpowiednie mierniki i metody pomiaru,
3) wykonać pomiary wartości i zapisać wyniki,
4) wykonać niezbędne obliczenia,
5) przeanalizować otrzymane wyniki,
6) ocenić właściwości elektryczne kabli i uzasadnić ocenę.
WyposaŜenie stanowiska pracy:
− papier formatu A4, flamastry,
− odcinki róŜnego rodzaju kabli,
− zestaw mierników,
− literatura zgodna z punktem 6 poradnika.
Ćwiczenie 3
Wyznacz parametry falowe toru teletransmisyjnego dla podanych parametrów
jednostkowych: R = 78 Ω/km, C = 21 nF/km, L = 50 mH/km, G = 15 µS/km.
Sposób wykonania ćwiczenia
Aby wykonać ćwiczenie, powinieneś:
1) odszukać w materiałach dydaktycznych zaleŜności określające parametry falowe torów,
2) wykonać stosowne obliczenia,
3) zapisać wzory i wyniki,
4) uzasadnić poprawność otrzymanych wyników.
WyposaŜenie stanowiska pracy:
− papier formatu A4, flamastry,
− poradnik dla ucznia,
„Projekt współfinansowany ze środków Europejskiego Funduszu Społecznego”
15
− literatura zgodna z punktem 6 poradnika.
Ćwiczenie 4
Wykonaj złącze kablowe łączące ze sobą dwa odcinki kabla symetrycznego.
Sposób wykonania ćwiczenia
Aby wykonać ćwiczenie powinieneś:
1) wykonać czynności przed rozpoczęciem montaŜu złącza, 2)
przygotować końcówki przewodów do montaŜu.
3) zidentyfikować poszczególne wiązki i przewody w wiązkach,
4) wykonać we właściwej kolejności czynności związane z połączeniem dwóch odcinków
kabla,
5) wykonać pomiary wartości parametrów połączonego kabla i zapisać wyniki,
6) przeanalizować otrzymane wyniki,
7) ocenić poprawność wykonanego złącza kablowego, 8) uzasadnić ocenę.
WyposaŜenie stanowiska pracy:
− papier formatu A4, flamastry,
− dwa odcinki kabla symetrycznego,
− zestaw narzędzi i elementy niezbędne do wykonania złącza,
− zestaw mierników,
− literatura zgodna z punktem 6 poradnika.
4.1.4. Sprawdzian postępów
Czy potrafisz:
Tak Nie
1) wyjaśnić róŜnicę między systemem teletransmisyjnym a systemem
teleinformatycznym? 2) wyjaśnić pojęcie
kanał telekomunikacyjny? 3) wyjaśnić pojęcie tor
teletransmisyjny? 4) sklasyfikować tory
teletransmisyjne? 5) zdefiniować jednostki: dB,
dBm, dBr, dBu,? 6) opisać parametry torów
przewodowych? 7) rozróŜnić rodzaje kabli
telekomunikacyjnych?
8) porównać właściwości kabli symetrycznych i koncentrycznych?
9) ocenić właściwości elektryczne kabla?
10) zidentyfikować wiązki w kaŜdej warstwie kabla symetrycznego?
11) pomierzyć parametry elektryczne kabla?
12) przeliczyć parametry elektryczne torów przewodowych na parametry falowe? 13)
wykonać poprawnie połączenie Ŝył w kablu symetrycznym? 14) rozróŜnić systemy
kontroli ciśnieniowej szczelności powłoki kabla?
„Projekt współfinansowany ze środków Europejskiego Funduszu Społecznego”
16
15) zastosować odpowiednie metody i przyrządy pomiarowe do
pomiarów kabli? 16) ocenić jakość toru?
17) wykonać konserwację kabli telekomunikacyjnych?
„Projekt współfinansowany ze środków Europejskiego Funduszu Społecznego”
17
4.2. Tory i linie światłowodowe
4.2.1. Materiał nauczania
Budowa i właściwości torów i kabli światłowodowych
Kable światłowodowe charakteryzują się bardzo szerokim pasmem przenoszenia,
odpornością na zakłócenia, dobrą izolacją elektryczną torów, małą tłumiennością torów oraz
małą masą. Tory przewodowe w kablach światłowodowych stanowią włókna szklane, w
których są przesyłane fale świetlne leŜące w zakresie bliskim podczerwieni, będące nośnikami
informacji.
Światłowodowe włókna szklane, zwane światłowodami, są wytwarzane z czystego szkła
kwarcowego, przy czym ośrodek włókna nie jest jednorodny, lecz składa się z dwóch warstw o
róŜnej stałej dielektrycznej, nałoŜonych na siebie współosiowo. Część wewnętrzna
światłowodu nazywana jest rdzeniem, część zewnętrzna – płaszczem. Na płaszcz nałoŜone są
powłoki ochronne zabezpieczające światłowód przed uszkodzeniami mechanicznymi oraz
przed wilgocią. Powłoki ochronne są wytwarzane z lakieru termoutwardzalnego, gumy
silikonowej lub teflonu.
Przewodnikiem światła jest rdzeń światłowodu, w którym rozchodzą się fale świetlne.
Promienie świetlne wprowadzone do światłowodu przebywają drogę wzdłuŜ linii łamanej,
ulegając wielokrotnym odbiciom od powierzchni zetknięcia rdzenia z płaszczem. W danym
światłowodzie mogą się rozchodzić tylko określone rodzaje fal zwane modami. Poszczególne
mody róŜnią się między sobą kątem odbicia na granicy rdzenia i płaszcza i zaleŜą od kąta
padania promienia świetlnego na płaszczyznę czołową światłowodu.
Rys. 3. Światłowód kwarcowy z pokryciem ochronnym i jego własności: 2θ – stoŜek akceptacji, 2a – średnica
rdzenia, 2d – średnica płaszcza, lakier i guma silikonowa – materiały pierwszego i drugiego pokrycia [1, s.
175]
RozróŜnia się światłowody:
− jednomodowe – o bardzo małej średnicy rdzenia równej długości fali świetlnej, w których
jest przesyłany tylko jeden rodzaj fali,
− wielomodowe – o znacznie większej średnicy rdzenia niŜ długość fali świetlnej, w których
moŜe rozchodzić się wiele rodzajów fal o danej długości.
„Projekt współfinansowany ze środków Europejskiego Funduszu Społecznego”
18
W światłowodzie kaŜdy mod rozchodzi się z róŜną prędkością, wskutek czego
w światłowodach wielodomowych powstaje zjawisko dyspersji modowej, polegające na tym,
Ŝe impulsy świetlne odbierane na wyjściu toru są poszerzone w stosunku do impulsów na
wejściu toru. W celu zmniejszenia tego zjawiska są konstruowane światłowody gradientowe o
zmniejszającym się współczynniku załamania światła w rdzeniu w miarę oddalania się od jego
osi.
Światłowody telekomunikacyjne dzielimy na:
− światłowody pierwszej generacji – wykorzystujące pierwsze okno długości fal,
zawierające włókna wielomodowe gradientowe, przystosowane do przesyłania fal
świetlnych o długości 850 nm,
− światłowody drugiej generacji – stanowią włókna optyczne wielomodowe gradientowe,
przystosowane do transmisji fal świetlnych o długości 1300 nm, leŜących w drugim oknie
długości fal,
− światłowody trzeciej generacji – zawierające włókna jednomodowe, przystosowane do
przesyłania fal świetlnych o długości 1300 nm lub 1550 nm.
Kable światłowodowe są produkowane w róŜnych rozwiązaniach konstrukcyjnych,
podstawowe z nich to konstrukcje:
− swobodna rurkowa (tubowa) – włókna są rozmieszczone w rurkach plastikowych,
zawierających od 1 do 10 włókien światłowodowych,
− rozetowa – kabel posiada specjalnie wyprofilowany rdzeń rozetowy, w którym są układane
włókna,
− ścisła – włókno światłowodowe pokryte jest ściśle powłoką z tworzyw sztucznych.
Rys. 4. Konstrukcje kabli światłowodowych: a) swobodna; b) rozetowa; c) ścisła, 1 – pokrycie wtórne w postaci
luźnej tuby, 2 – wypełnienie Ŝelem tiksotropowym, 3 – centralny element wzmacniający, 4 – taśma
owijająca, 5 – powłoka zewnętrzna, 6 – włókna światłowodowe, 7 – rdzeń rozetowy, 8 – dodatkowe
pokrycie wzmacniające, 9 – powłoka z przędzy aramidowej, 10 – pokrycie pierwotne, 11 – pokrycie
wtórne poliamidowe, 12 – wzmocnienie włókien szklanych, 13 – powłoka zewnętrzna [1, s. 177]
Parametry światłowodów
Podstawowymi parametrami transmisyjnymi światłowodów są:
− tłumienność, − pasmo przenoszenia.
„Projekt współfinansowany ze środków Europejskiego Funduszu Społecznego”
19
Parametry zaleŜą od wymiarów geometrycznych włókna, rodzaju uŜytych materiałów a przede
wszystkim od długości fali przesyłanego światła.
Tabela 1. Podstawowe parametry kabli światłowodowych jedno- i wielodomowych [1, s. 176]
Parametry Jednostki Światłowód
jednodomowy
Światłowód
wielomodowy
Średnica rdzenia µm – 50
Średnica pola modów µm 9 ÷ 10 –
Średnica płaszcza µm 125 125
Średnica pokrycia µm 250 250
Tłumienność jednostkowa
– dla fali 850 nm
– dla fali 1300 nm
– dla fali 1550 nm
dB/km – <
0,5
< 0,3
< 3,5
< 1,5
–
Jednostkowa dyspersja chromatyczna
– dla fali 1250 ÷1300 nm
– dla fali 1550 nm
ps/(nm· km) < 3,5
< 20
–
–
Łączenie kabli światłowodowych
Łączenie kabli światłowodowych jest procesem skomplikowanym, wymagającym duŜej
precyzji i dobrej znajomości wszystkich kolejnych operacji. Złącza powinny być wykonane
niezwykle starannie, poniewaŜ od jakości złączy włókien światłowodowych zaleŜą parametry
transmisyjne. KaŜde złącze moŜe wprowadzać straty dochodzące nawet do 1 dB. Oprócz
włókien światłowodowych muszą być połączone pozostałe elementy kabla, tak aby była
zapewniona ciągłość zabezpieczeń mechanicznych i przeciwwilgociowych.
Przy łączeniu światłowodów niezwykle waŜne jest uzyskanie zwierciadlanej, gładkiej i
prostopadłej do osi powierzchni końca włókien
Włókna światłowodowe w kablach tnie się metodą wykorzystującą zjawisko pękania
włókien szklanych w miejscu zarysowania go, pod wpływem działania siły rozciągającej. Do
tego celu uŜywa się specjalnego zestawu narzędzi.
Złącza stałe włókien światłowodowych wykonuje się w praktyce dwoma sposobami: przez
spawanie lub przez sklejanie włókien.
Spawanie wykonuje się za pomocą specjalistycznej aparatury (specjalnych spawarek). W
procesie spawania najpierw za pomocą mikroskopu sprawdza się właściwe ustawienie
względem siebie zetkniętych końców włókien a następnie podgrzewa łukiem elektrycznym.
Cykl spawania jest regulowany przez procesor a po zakończeniu operacji spawania sprawdzana
jest automatycznie jakość spawu poprzez pomiar tłumienności optycznej złącza.
„Projekt współfinansowany ze środków Europejskiego Funduszu Społecznego”
20
Rys. 5. Sposób spawania światłowodów: a) ustawienie włókien przy spawaniu; b) fazy spawania, 1 –
grubordzeniowy światłowód, 2 – dioda LED, 3 i 5 – spawane włókna, 4 – pręt wyginający włókno, 6 –
wzmacniacz, 7 – fotodioda, 8 – mikroprocesor [1, s. 179]
W procesie sklejania włókien światłowodowych łączone włókna umieszczane są rowku w
kształcie litery V, wyŜłobionym w specjalnej płytce np. ze szkła organicznego, w celu
precyzyjnego naprowadzenia ich na siebie. Następnie końcówki łączonych włókien pokrywa
się bardzo cienką warstwą odpowiedniego kleju (np. Ŝywicy epoksydowej) i po zetknięciu ze
sobą podgrzewa się w celu szybszego utwardzenia kleju. Na tak wykonane złącze nakłada się
specjalną obudowę. Straty tego typu złącza wynoszą około 0,1 dB.
„Projekt współfinansowany ze środków Europejskiego Funduszu Społecznego”
21
Rys. 6. Sposób klejenia złączy stałych: a) V–rowek i płaska płytka; b) połączenie z podwójnym V–rowkiem; c)
centrowanie w trójkącie; d) i e) centrowanie w kapilarze; f) centrowanie w rurce; g) zasada wykorzystania
V–rowka [1, s. 180]
Do łączenia pojedynczych światłowodów stosuje się złącza rozłączalne, które składają
się z elementów stanowiących zakończenie włókna światłowodowego, prowadnic
umoŜliwiających właściwe ustawienie zakończeń włókien oraz obudowy złącza.
Przykładową konstrukcję złącza stykowego przedstawia rysunek 7.
Rys. 7. Konstrukcja złącza rozłączalnego: 1 – kabel, 2 – rurka, 3 – tuleja dociskowa, 4 – obudowa złącza, 5 –
nasadka, 6 – włókno światłowodowe,7 – czoło nasadki, 8 – prowadnica [1, s. 180]
4.2.2. Pytania sprawdzające
Odpowiadając na pytania, sprawdzisz, czy jesteś przygotowany do wykonania ćwiczeń.
1. Jak zbudowany jest światłowód?
2. Na czym polega zjawisko dyspersji modowej?
3. Jakie znasz rodzaje światłowodów?
4. Jakie są róŜnice między światłowodem jednodomowym, wielodomowym i gradientowym?
5. Jak dzielimy światłowody telekomunikacyjne?
6. Jakie znasz rodzaje konstrukcji światłowodowych?
7. Jakie znasz parametry transmisyjne światłowodów?
8. Od czego zaleŜą parametry światłowodów?
9. Jakie zjawisko jest wykorzystywane w procesie ciecia światłowodów?
10. Jakie znasz sposoby wykonania złączy stałych włókien światłowodowych?
11. Jakie czynności naleŜy wykonać przy spawie włókien światłowodowych?
12. Jakie są fazy spawania światłowodów?
„Projekt współfinansowany ze środków Europejskiego Funduszu Społecznego”
22
13. Na czym polega proces klejenia światłowodów?
14. Jakie znasz sposoby klejenia światłowodów?
15. Kiedy stosujemy złącza rozłączne?
16. Jak jest wykonane złącze rozłączne?
17. Jaki parametr określa jakość wykonanego złącza?
18. Jakie są dopuszczane straty na złączu w światłowodach?
4.2.3. Ćwiczenia
Ćwiczenie 1
Sklasyfikuj wskazane przez nauczyciela kable światłowodowe na podstawie ich
konstrukcji.
Sposób wykonania ćwiczenia
Aby wykonać ćwiczenie, powinieneś:
1) odszukać w materiałach dydaktycznych kryteria klasyfikacji konstrukcji kabli
światłowodowych,
2) dokonać analizy konstrukcji kabli światłowodowych,
3) rozpoznać rodzaje konstrukcji kabli światłowodowych,
4) zapisać nazwy i krótką charakterystykę budowy rozpoznanych konstrukcji kabli
światłowodowych.
WyposaŜenie stanowiska pracy:
− róŜne rodzaje kabli światłowodowych,
− papier formatu A4, flamastry,
− literatura zgodna z punktem 6 poradnika.
Ćwiczenie 2
Wykonaj połączenie włókien światłowodowych metodą spawania.
Sposób wykonania ćwiczenia
Aby wykonać ćwiczenie, powinieneś:
1) wykonać czynności związane z przygotowaniem stanowiska pracy do wykonania
ćwiczenia,
2) przygotować końcówki światłowodu do spawu,
3) wykonać we właściwej kolejności czynności związane z połączeniem dwóch odcinków
światłowodu metodą spawania,
4) wykonać pomiar wartości tłumienności optycznej złącza i zapisać wyniki, 5)
przeanalizować otrzymane wyniki,
6) ocenić poprawność wykonanego złącza włókien światłowodowych, 7)
uzasadnić ocenę.
„Projekt współfinansowany ze środków Europejskiego Funduszu Społecznego”
23
WyposaŜenie stanowiska pracy:
− papier formatu A4, flamastry,
− dwa odcinki kabla światłowodowego,
− narzędzia i elementy niezbędne do wykonania złącza (spawarka światłowodowa, narzędzie
do cięcia światłowodów),
− zestaw mierników,
− literatura zgodna z punktem 6 poradnika.
Ćwiczenie 3
Wykonaj połączenie włókien światłowodowych metodą klejenia.
Sposób wykonania ćwiczenia
Aby wykonać ćwiczenie powinieneś:
1) wykonać czynności związane z przygotowaniem stanowiska pracy do wykonania
ćwiczenia,
2) przygotować końcówki światłowodu do połączenia,
3) wykonać we właściwej kolejności czynności związane z połączeniem dwóch odcinków
światłowodu metodą klejenia,
4) wykonać pomiar wartości tłumienności optycznej złącza i zapisać wyniki, 5)
przeanalizować otrzymane wyniki,
6) ocenić poprawność wykonanego złącza włókien światłowodowych, 7)
uzasadnić ocenę.
WyposaŜenie stanowiska pracy:
− papier formatu A4, flamastry,
− dwa odcinki kabla światłowodowego,
− zestaw narzędzi i elementów niezbędnych do wykonania złącza (klej, płytki(prowadnice),
narzędzie do cięcia światłowodów,),
− zestaw mierników,
− literatura zgodna z punktem 6 poradnika.
Ćwiczenie 4
Wykonaj złącze rozłączne kabla światłowodowego.
Sposób wykonania ćwiczenia
Aby wykonać ćwiczenie powinieneś:
1) wykonać czynności związane z przygotowaniem stanowiska pracy do wykonania
ćwiczenia,
2) przygotować końcówki światłowodu,
„Projekt współfinansowany ze środków Europejskiego Funduszu Społecznego”
24
3) wykonać we właściwej kolejności czynności związane z montaŜem zakończeń złącza
rozłącznego,
4) wykonać pomiar wartości tłumienności optycznej złącza i zapisać wyniki,
5) przeanalizować otrzymane wyniki,
6) ocenić poprawność wykonanego złącza rozłącznego włókien światłowodowych, 7)
uzasadnić ocenę.
WyposaŜenie stanowiska pracy:
− papier formatu A4, flamastry,
− dwa odcinki kabla światłowodowego,
− zestaw narzędzi i elementy niezbędne do wykonania złącza (elementy złącza, narzędzie do
cięcia światłowodów),
− zestaw mierników,
− literatura zgodna z punktem 6 poradnika.
4.2.4. Sprawdzian postępów
Czy potrafisz:
Tak Nie
1) opisać budowę światłowodu ?
2) wyjaśnić zasadę transmisji sygnałów optycznych w światłowodzie?
3) wyjaśnić pojęcie dyspersji modowej? 4) sklasyfikować światłowody?
5) określić róŜnice między róŜnymi rodzajami światłowodów? 6)
określić parametry transmisyjne światłowodów? 7) sklasyfikować
światłowody telekomunikacyjne?
8) rozróŜnić konstrukcje kabli światłowodowych? 9) wyjaśnić sposób cięcia
światłowodów?
10) wyjaśnić sposób wykonania złącza włókien światłowodowych metodą
spawania?
11) wykonać złącze włókien światłowodowych metoda spawania?
12) wyjaśnić sposób wykonania złącza włókien światłowodowych metodą
klejenia? 13) wykonać złącze włókien światłowodowych
metoda klejenia? 14) wykonać złącze rozłączne włókien
światłowodowych?
15) określić jakość wykonanego złącza?
4.3. Transmisja sygnałów analogowych i cyfrowych
4.3.1. Materiał nauczania
„Projekt współfinansowany ze środków Europejskiego Funduszu Społecznego”
25
Zasady transmisji analogowej i cyfrowej
Analogowe teletransmisyjne systemy wielokrotne pracują na zasadzie częstotliwościowego
zwielokrotnienia kanałów. Systemy te umoŜliwiają utworzenie na jednym torze wielu kanałów
częstotliwościowych, rozmieszczonych w róŜnych pasmach częstotliwości, dzięki czemu
istnieje moŜliwość jednoczesnego przesyłania po jednym torze wielu niezaleŜnych od siebie
sygnałów elektrycznych. Podstawą zwielokrotnienia jest kanał telefoniczny o szerokości 3,1
kHz.
Cyfrowe systemy teletransmisyjne są oparte na zasadzie czasowego zwielokrotnienia
kanałów z wykorzystaniem układów cyfrowych. Dokonuje się w nich przekształcenia sygnałów
analogowych przesyłanych w kanałach telefonicznych na sygnał cyfrowy z wykorzystaniem
modulacji kodowo-impulsowej PCM (ang. Pulse Code Modulation). Rozwój technologii w
zakresie logicznych układów scalonych umoŜliwił budowanie systemów teletransmisyjnych o
większej krotności a zatem i większej przepustowości. Stworzono systemy cyfrowe o
krotnościach 120, 480, 1920 pracujące na kablach miedzianych. Dalsze zwiększenie krotności
umoŜliwiło wprowadzenie włókien światłowodowych jako ośrodków transmisji.
Metody częstotliwościowe i czasowe wielokrotnego wykorzystania torów transmisyjnych
Zwielokrotnienie częstotliwościowe polega na przekształceniu widma sygnału
akustycznego na sygnały, których widma leŜą w zakresie wielkich częstotliwości róŜnych
przedziałów pasma przenoszenia danego toru. Przekształcenie odbywa się na drodze modulacji
amplitudowej i nazywa się przemianą częstotliwości. Zakres częstotliwości, do którego zostaje
przesunięty sygnał modulujący w wyniku przemiany, zaleŜy od częstotliwości fali nośnej, który
jest modulowany tym sygnałem i jest nośnikiem informacji zawartych w sygnale.
Zmodulowany sygnał zawiera inne produkty modulacji, które są eliminowane za pomocą
filtrów przepuszczających tylko uŜyteczne pasmo.
W systemach teletransmisyjnych przesyłana jest tylko jedna wstęga boczna, która umoŜliwia
odtworzenie nadawanego sygnału w odbiorniku. Falę nośną niezbędną do demodulacji po
stronie odbiorczej wytwarza się w generatorze lokalnym, dokładnie odtwarzającym
częstotliwość fali nośnej nadajnika. Metoda zwielokrotnienia częstotliwościowego jest
przedstawiona na rys. 8.
„Projekt współfinansowany ze środków Europejskiego Funduszu Społecznego”
26
Rys. 8. Zasada zwielokrotniania częstotliwościowego kanałów: a) schemat połączeń; b) rozkład częstotliwości
kanałów; c) widmo sygnału telefonicznego po przemianie częstotliwości , M – modulator amplitudowy
przemiany częstotliwości, F – filtr tłumiący sygnały niepoŜądane, W – wzmacniacz, D – demodulator
amplitudowy, fs – naturalny sygnał z pasma akustycznego (sygnał modulujący), F1 ,F2 ,F3 – sygnały nośne
kolejnych kanałów (sygnały modulowane), ∆f = f2 – f1 – pasmo częstotliwości sygnału modulującego, f1
– graniczna częstotliwość dolna sygnału modulującego, f2 - graniczna częstotliwość górna sygnału
modulującego [2, s. 33]
W podanym przykładzie przesyłane są trzy sygnały fs = 2kHz, zmodulowane przez trzy
róŜne fale nośne F1 = 12 kHz, F2 = 16 kHz, F3 = 20 kHz, oraz został zastosowany filtr
dolnoprzepustowy, ograniczający pasmo tak aby przepuszczał tylko boczne wstęgi dolne.
Zwielokrotnienie czasowe polega na przesyłaniu róŜnych sygnałów po jednym torze w
róŜnych przedziałach czasu, które nazywane są kanałami czasowymi. KaŜdy przebieg
określonej wielkości w funkcji czasu moŜna odtworzyć z chwilowych wartości (próbek) tego
przebiegu, pobieranych w ściśle określonych, regularnych odstępach czasu. Odstęp czasu
między próbkami Tp musi być tak dobrany, aby zawarty w nim przebieg zawierał nie więcej niŜ
jedno minimum lub maksimum. Częstotliwość próbkowania jest określona przez prawo
próbkowania, które ma postać:
Częstotliwość próbkowania fp powinna być, co najmniej dwukrotnie większa od
największej częstotliwości fg sygnału próbkowanego.
fp > 2 fg
„Projekt współfinansowany ze środków Europejskiego Funduszu Społecznego”
27
Rys. 9. Próbkowanie przebiegu analogowego: 1 – przebieg analogowy ( informacja), 2 – ciąg impulsów
próbkujących o ustalonej częstotliwości fp = 1/Tp, 3 – przebieg po próbkowaniu ( sygnał PAM), ∆t – czas
trwania próbki [2, s. 37]
Dla sygnałów telefonicznych o widmie 300 ÷ 3400 Hz przyjmuje się częstotliwość
próbkowania fp = 8 kHz, w związku z tym okres próbkowania wynosi Tp = 1/ fp =125 µs.
Czas trwania próbek ∆t jest z reguły duŜo krótszy od okresu próbkowania Tp, czyli
czasowego odstępu między próbkami (∆t << Tp ), co umoŜliwia przesyłanie między próbkami
danego przebiegu, próbek innych sygnałów pochodzących z innych kanałów telefonicznych.
Na tym właśnie polega zwielokrotnienie czasowe kanałów.
Układ (model mechaniczny) do tworzenia kanałów czasowych, tj. zwielokrotnienia
czasowego kanałów, który ilustruje ideę próbkowania przebiegów z przykładowych 4
oddzielnych kanałów, jest przedstawiony na rys. 10.
Rys. 10. Przykład układu ilustrującego ideę zwielokrotnienia czasowego kanałów [2, s. 38]
W przedstawionym układzie do zwielokrotnienia czasowego kanałów, wykorzystano dwa
komutatory elektromechaniczne posiadające styki stałe oraz styki wirujące (szczotki).
Komutator po stronie nadawczej jest urządzeniem próbkującym, a po stronie odbiorczej –
urządzeniem rozdzielającym. Oba komutatory współpracują z urządzeniami taktującymi
wytwarzającymi przebiegi impulsowe. Do styków stałych dołączone są poszczególne kanały
naturalne o paśmie 300 ÷ 3400 Hz. Szczotki komutatorów połączone są ze sobą linią przesyłową
„Projekt współfinansowany ze środków Europejskiego Funduszu Społecznego”
28
i wirują synchronicznie z ustaloną prędkością ωp, która jednoznacznie wyznacza częstotliwość
próbkowania fp = ωp/2π. Wirujące szczotki realizują połączenia między stacjami kolejno dla
poszczególnych kanałów w róŜnych chwilach czasowych. Połączenia dla danego kanału
powtarzają się cyklicznie z częstotliwością fp.
Rys. 11. Przykład tworzenia sygnału zbiorczego PAM [1, s. 251]
Sygnał zbiorczy wysyłany w linię przez urządzenie próbkujące i odbierany z linii przez
urządzenie rozdzielające, ma postać ciągu impulsów (rys. 11), które są próbkami sygnałów z
poszczególnych kanałów. Taki ciąg impulsów o amplitudach modulowanych przebiegiem
próbkowanym jest oznaczany skrótem PAM (ang. Pulse Amplitude Modulation).
W praktyce próbki nie są przesyłane w linii w sposób bezpośredni w postaci sygnału PAM,
lecz są poddawane dodatkowej modulacji. W systemach teletransmisyjnych najczęściej stosuje
się modulację kodowo – impulsową PCM ( ang. Pulse Code Modulation).
Charakterystyka systemów PCM
Istota metody PCM polega na tym, Ŝe amplitudy impulsów modulowanych sygnałem
próbkowanym są wyraŜane liczbami dwójkowymi za pomocą odpowiedniej kombinacji cyfr 0
i 1, przy czym w układzie elektrycznym 1 oznacza stan prądowy a 0 – stan bezprądowy. Za
„Projekt współfinansowany ze środków Europejskiego Funduszu Społecznego”
29
pomocą liczby dwójkowej określany jest przedział w jakim znajduje się wierzchołek dane
próbki. Cały zakres amplitud jest dzielony na 2n
jednakowych przedziałów zwanych skokami
kwantyzacji, którym są przyporządkowane kolejne liczby dwójkowe składające się z n cyfr.
Proces określenia, w którym przedziale znajduje się dana próbka nazywa się kwantowaniem.
Rys. 12. Kwantowanie i kodowanie próbek sygnału [2, s. 39]
KaŜda próbka w sygnale PCM jest przedstawiona w postaci grupy (7 lub 8) bitów.
Przedział czasu jaki zajmuje grupa bitów reprezentująca dana próbkę nazywany jest czasową
szczeliną kanałową. Zbiór następujących po sobie szczelin czasowych odpowiadających
poszczególnym kanałom naturalnym, w których przesyłane są próbkowane sygnały, nazywa się
ramką. Ramka obejmuje czas pomiędzy dwiema kolejnymi próbkami tego samego kanału, co
oznacza Ŝe długość ramki jest równa okresowi próbkowania Tp = 1/ fp.
W celu zapewnienia poprawnej transmisji konieczna jest synchronizacja sygnału nadawanego
z sygnałem odtworzonym w odbiorniku. Sygnały te muszą być zgodne, co do struktury,
połoŜenia w czasie i wzoru ramek w urządzeniu nadawczym i odbiorczym. Proces ten nazywa
się fazowaniem ramek. Do fazowania ramek w nadajniku i odbiorniku są wytwarzane
odpowiednie sygnały, które są ze sobą porównywane w odbiorniku. Zasadę pracy systemu PCM
przedstawia rys. 13.
„Projekt współfinansowany ze środków Europejskiego Funduszu Społecznego”
30
Rys. 13. Schemat blokowy systemu cyfrowego z modulacją PCM [2, s. 40]
Budowa i zasada działania krotnic PCM 30/32
W urządzeniach zwanych krotnicami PCM 30/32 sygnały z 30 kanałów telefonicznych są
przetwarzane w jeden zbiorczy sygnał cyfrowy o przepływności 2048 kbit/s. Sygnał wyjściowy
z tych krotnic ma postać cyklicznie powtarzających się ramek zawierających po 32 szczeliny
kanałowe, z których 30 szczelin słuŜy do przesyłania informacji, jedna szczelina
(zerowa – S0 ) – do przesyłania wzoru synchronizacji ramki, oraz jedna szczelina
(szesnastaS16) – do przesyłania sygnalizacji komutacyjnej, a takŜe kontroli i nadzoru.
Wszystkie szczeliny są 8-bitowe o czasie trwania 3,9 µs kaŜda. Przepływność jednego kanału
telefonicznego wynosi 64 kbit/s.
Rys. 14. Struktura ramki PCM 30/32: FAS – przebieg analogowy sygnał fazowania ramki, NFAS – brak
sygnału fazowania ramki, Si – bity rezerwowe do wykorzystania międzynarodowego, A – alarm
fazowania ramki, 0 – brak alarmu, 1 – stan alarmu, Sn – bity rezerwowe [1, s. 254]
W krotnicach PCM 30/32 tworzona jest teŜ wieloramka PCM 30/32 zawierająca 16 ramek
(ponumerowane od 0 do 15) i umoŜliwiająca przesyłanie kryteriów sygnalizacji komutacyjnej,
sygnały kontroli nadzoru. W szesnastej szczelinie ramki zerowej przesłany jest sygnał
synchronizacji (fazowania) wieloramki. W szczelinach szesnastych pozostałych ramek
pierwsze cztery bity stanowią kanały synchronizacyjne kanałów telefonicznych od 1 do 15, a
pozostałe cztery przyporządkowane są kanałom telefonicznym od 16 do 30.
„Projekt współfinansowany ze środków Europejskiego Funduszu Społecznego”
31
Rys. 15. Struktura wieloramki PCM 30/32: Y – alarm wieloramki, MFAS – sygnału fazowania wieloramki,
NMFAS – brak sygnału fazowania wieloramki, a, b, c, d – bity sygnalizacyjne [1, s. 255]
Podstawowe funkcje krotnic PCM 30/32 to:
w kierunku nadawczym:
− próbkowanie i zwielokrotnienie czasowe sygnałów nadawanych w poszczególnych kanałach,
− przetwarzanie sygnałów PAM na dwustanowy sygnał PCM,
− utworzenie kanałów czasowych dla sygnałów słuŜących do nawiązywania łączności,
− ukształtowanie sygnału zbiorczego i wysyłane go w tor,
w kierunku odbiorczym:
− odbiór z linii sygnału cyfrowego i odtworzenie jego pierwotnej postaci,
− odtworzenie z sygnału PCM impulsów PAM,
− wydzielenie sygnałów uŜytecznych,
− odtworzenie sygnałów komutacyjnych.
Uproszczony schemat blokowy krotnicy PCM przedstawia rys. 16.
„Projekt współfinansowany ze środków Europejskiego Funduszu Społecznego”
32
Rys. 16. Uproszczony schemat blokowy krotnicy PCM: Wz – wzmacniacz, FDp – filtr dolnoprzepustowy, Og –
ogranicznik amplitudy, BK – bramka kanałowa, Dek – dekoder, Kod – koder, Tk – transkoder [1, s. 256]
Podstawowe układy krotnicy PCM to:
− analogowe układy kanałowe – wydzielają pasmo uŜyteczne, nadają odpowiedni poziom
sygnałom nadawczym i odbiorczym, zapobiegają zakłóceniom,
− układy zwielokrotnienia czasowego – w kierunku nadawczym słuŜą do pobierania próbek
i tworzenia sygnału PAM, w kierunku odbiorczym zapewniają wprowadzenie do
poszczególnych kanałów odpowiednich próbek odtworzonych w dekoderze,
− przetworniki A/C (kodery) i C/A (dekodery) – przetwarzają sygnał PAM do postaci sygnału
PCM ( kodery) i odtwarzają impulsy PAM z sygnału PCM (dekodery),
− zegary taktujące – nadają odpowiedni rytm pracy krotnicy i słuŜą do synchronizacji
przebiegów nadawczych i odbiorczych,
− grupowe układy wejściowe i wyjściowe (transkodery) – w kierunku nadawczym
przekształcają dwustanowy sygnał cyfrowy na postać trójstanową, dogodną do transmisji
przez trakt liniowy, w kierunku odbiorczym następuje proces dekodowania,
− układy kanałów sygnalizacyjnych – przetwarzają sygnały komunikacyjne z centrali
telefonicznej związane z poszczególnymi kanałami na sygnały dwustanowe.
Kody sygnału cyfrowego
Podczas transmisji przez tor sygnał cyfrowy zostaje zniekształcony. W celu
wyeliminowania składowej stałej i zmniejszenia wpływu zniekształceń na sygnał uŜyteczny
stosuje się kody liniowe. Najczęściej stosowane w systemach telekomunikacyjnych to:
− kody dwuwartościowe: NRZ (ang. Non Return to Zero) i RZ (ang. Return to Zero) – nie są
stosowane jako kody liniowe poniewaŜ zawierają składową stałą oraz dodatkowo
„Projekt współfinansowany ze środków Europejskiego Funduszu Społecznego”
33
w NRZ niemoŜliwe jest wydzielenie sygnału zegara z sygnału uŜytecznego,
− kody trójwartościowe: AMI (ang. Alternate Mark Inversion) – i HDB-3 (ang. High Density
Bipolarity with a Maximum of 3 Zeros) – stosowane do kodowania sygnałów o
przepływnościach: 2 Mbit/s, 8 Mbit/s i 34 Mbit/s,
− kod dwuwartościowy CMI – stosuje się dla sygnałów o przepływnościach 140Mbit/s.
Rys. 17. Kody sygnału cyfrowego [1, s. 262]
Kod AMI tworzony jest według zasady polegającej na zmianie polaryzacji impulsów o
wartości 1 na przeciwną do poprzedniego impulsu.
Kod HDB-3 tworzony jest analogicznie jak AMI dla impulsów o wartości 1, z tą róŜnicą Ŝe
dla więcej niŜ trzech kolejnych impulsów o wartości 0, sekwencję czterech zer zastępuje się
jedną z dwu sekwencji 0001 lub 1001 według ściśle określonej zasady.
Kod CMI jest kodem dwuwartościowym zawierającym wartości: „+1” i „-1”. W kodzie tym
impulsy wartości 1 przedstawiane są naprzemiennie w postaci stanu „+1” lub „-1”, wartość
binarnego 0 w postaci stanu „+1” w pierwszej połowie tego bitu i stanu „-1” w drugiej połowie
bitu.
Kody stosowane w światłowodach
Sygnał wejściowy toru światłowodowego ma postać kodu trójwartościowego HDB-3,
natomiast impulsy świetlne nie mogą przyjmować wartości ujemnych więc kod
trójwartościowy jest zamieniany na kod dwuwartościowy np. 5B/6B. W kodzie tym 5 bitom
sygnału wejściowego przyporządkowuje się 6 bitów sygnału dwuwartościowego wysyłanego
w światłowód.
W przypadku sygnału o postaci kodu CMI, sygnał jest najpierw przetworzony na sygnał
binarny, następnie poddany skramblowaniu, które polega na nadaniu sygnałowi kodu
„Projekt współfinansowany ze środków Europejskiego Funduszu Społecznego”
34
pseudoprzypadkowego (o jednakowym prawdopodobieństwie występowania 0 i 1), i w
końcowym etapie w koderze 5B/6B następuje uformowanie kodu liniowego poprzez dodanie
do grupy 15 bitów, dodatkowych 3 bitów słuŜących do kontroli błędów, synchronizacji i
przesyłania alarmów.
Budowa urządzeń i traktów światłowodowych
Podstawowymi urządzeniami traktu światłowodowego są: nadajnik i odbiornik
umieszczone na początku i końcu traktu oraz niekiedy urządzenia przelotowe pełniące rolę
wzmacniaków – regeneratorów.
Zadaniem nadajnika światłowodowego jest przetworzenie cyfrowego sygnału elektrycznego
na impulsy świetlne, jest to realizowane z wykorzystaniem diody elektroluminescencyjnej LED
(ang. Light Emitting Diode) lub diody laserowej LD (ang. Laser Diode). Zadaniem odbiornika
światłowodowego jest operacja odwrotna, czyli zamiana sygnału świetlnego na cyfrowy sygnał
elektryczny. Funkcje tą spełnia fotodetektor, w którym główną rolę odgrywa fotodioda, której
prąd wsteczny zaleŜy od natęŜenia promienia świetlnego.
Nadajnik światłowodowy zawiera:
− regenerator i zmiennik kodu HDB-3 (lub CMI) sygnału wejściowego,
− koder 5B-6B,
− układ nadajnika optycznego z diodą laserową LD,
− układy taktowania, w których są odtwarzane sygnały taktujące, sterowane przebiegiem
wydzielonym z sygnału wejściowego.
Odbiornik światłowodowy zawiera:
− odbiornik optyczny z fotodiodą,
− wzmacniacze i korektory impulsów oraz regenerator sygnału optycznego,
− dekoder 6B-5B,
− zmienni kodu dwójkowego na kod HDB-3,
− układy taktujące sterowane przebiegiem wydzielonym z sygnału liniowego.
Urządzenie przelotowe zawiera :
− odbiornik optyczny,
− regenerator impulsów,
− nadajnik optyczny.
„Projekt współfinansowany ze środków Europejskiego Funduszu Społecznego”
35
Rys. 18. Uproszczony schemat blokowy urządzeń końcowych traktu liniowego systemu światłowodowego 34
Mbit/s: a) nadajnik; b) odbiornik: NOp – nadajnik optyczny, OOp – odbiornik optyczny, KI – korektor
impulsów, Reg – regenerator, Kod – koder, Dek – dekoder, Wz – wzmacniacz [1, s. 267]
4.3.2. Pytania sprawdzające
Odpowiadając na pytania, sprawdzisz, czy jesteś przygotowany do wykonania ćwiczeń. 1)
Jaka jest szerokość kanału telefonicznego?
2) Na czym polega zwielokrotnienie częstotliwościowe?
3) Jaki typ modulacji jest wykorzystywany w przemianie częstotliwości?
4) Od czego zaleŜy zakres częstotliwości, do których zostaje przesunięty sygnał modulujący
w wyniku przemiany częstotliwości?
5) Jaką postać ma widmo sygnału telefonicznego po przemianie częstotliwości?
6) Na czym polega zwielokrotnienie czasowe?
7) Jakie zaleŜności określa prawo próbkowania?
8) Jak określa się okres próbkowania dla sygnału telefonicznego? 9) Jak powstaje sygnał
PAM?
10) Na czym polega proces kwantowania?
11) Co określają pojęcia: czasowa szczelina kanałowa, ramka?
12) Na czym polega proces fazowania ramki?
13) Jakie podstawowe układy zawiera system PCM?
14) Jaka jest zasada pracy systemu PCM? 15) Jaka jest struktura ramki PCM 30/32?
16) Jaka jest struktura wieloramki PCM 30/32?
17) Jakie są podstawowe funkcje krotnicy PCM 30/32?
18) Jakie znasz podstawowe układy krotnicy PCM 30/32?
19) Jakie znasz kody sygnałów cyfrowych?
20) Które kody są wykorzystywane w światłowodach?
21) Jak zbudowany jest tor światłowodowy?
22) Jakie funkcje spełnia nadajnik światłowodowy? 23) Jakie układy zawiera nadajnik
światłowodowy?
24) Jakie funkcje spełnia odbiornik światłowodowy? 25)
Jakie układy zawiera odbiornik światłowodowy?
4.3.3. Ćwiczenia
Ćwiczenie 1
Narysuj rozkład kanałów w metodzie zwielokrotnienia częstotliwościowego dla sygnału fs
= 3000 Hz i fal nośnych: F1 = 14 kHz, F2 = 18 kHz, F3 = 22 kHz.
Sposób wykonania ćwiczenia
Aby wykonać ćwiczenie, powinieneś:
1) odszukać w materiałach dydaktycznych opis metody
zwielokrotnienia częstotliwościowego,
2) określić sygnały: modulujący i modulowany dla kaŜdego kanału,
„Projekt współfinansowany ze środków Europejskiego Funduszu Społecznego”
36
3) narysować rozkład częstotliwości po zwielokrotnieniu częstotliwościowym z
uwzględnieniem podanych w ćwiczeniu wartości, 4) uzasadnić poprawność rysunku.
WyposaŜenie stanowiska pracy:
− papier formatu A4, flamastry,
− literatura zgodna z punktem 6 poradnika.
Ćwiczenie 2
Oblicz częstotliwość próbkowania sygnałów o częstotliwościach: f1 = 1 kHz, f2 = 1 MHz,
f3 = 13 Hz, f4 = 250 kHz, f5 = 43 GHz.
Sposób wykonania ćwiczenia
Aby wykonać ćwiczenie, powinieneś:
1) odszukać prawo próbkowania,
2) określić częstotliwość próbkowania dla kaŜdego z sygnałów.
3) zapisać wyniki,
4) uzasadnić poprawność wyliczeń.
WyposaŜenie stanowiska pracy:
− papier formatu A4, flamastry,
− literatura zgodna z punktem 6 poradnika.
Ćwiczenie 3
Narysuj sygnał zbiorczy PAM dla przedstawionych na planszy przebiegów sygnałów z
czterech kanałów, dla ramki o długości 1 ms.
Sposób wykonania ćwiczenia
Aby wykonać ćwiczenie, powinieneś: 1)
odszukać opis sposobu tworzenia sygnału PAM, 2)
określić częstotliwość próbkowania.
3) narysować przebieg przedstawiający sygnał zbiorczy PAM, 4)
uzasadnić poprawność wykonanego rysunku.
WyposaŜenie stanowiska pracy:
− plansza z przebiegami sygnałów,
− papier formatu A4, flamastry,
− literatura zgodna z punktem 6 poradnika.
Ćwiczenie 4
Przedstaw próbki sygnału zamieszczonego na planszy w postaci binarnej dla 8 poziomów
kwantyzacji i okresie próbkowania Tp = 1 ms oraz narysuj przebieg szumu kwantowania.
„Projekt współfinansowany ze środków Europejskiego Funduszu Społecznego”
37
Sposób wykonania ćwiczenia
Aby wykonać ćwiczenie, powinieneś:
1) odszukać opis sposobu próbkowania, kwantowania i kodowania sygnału,
2) sprawdzić czy dla podanego w ćwiczeniu przebiegu i okresu próbkowania zachowane jest
prawo próbkowania,
3) narysować próbki sygnału,
4) określić poziomy kwantyzacji,
5) przypisać kody dwójkowe poziomom kwantyzacji,
6) określić przedziały dla kaŜdej próbki,
7) przypisać kody dla kaŜdej próbki,
8) przedstawić postać binarną zakodowanego sygnału.
WyposaŜenie stanowiska pracy:
− plansza z przebiegiem sygnału,
− papier formatu A4, flamastry,
− literatura zgodna z punktem 6 poradnika.
Ćwiczenie 5
Dla podanego przez prowadzącego sygnału binarnego przedstaw przebiegi dla kodów
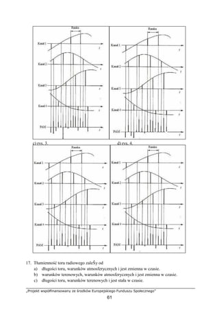
NRZ, RZ, AMI ½, HDB 3, CMI.
Sposób wykonania ćwiczenia
Aby wykonać ćwiczenie, powinieneś:
1) odszukać opis sposobu tworzenia kodów sygnałów cyfrowych,.
2) narysować przebiegi zakodowanego sygnału binarnego dla poszczególnych kodów, 3)
uzasadnić poprawność narysowanych przebiegów.
WyposaŜenie stanowiska pracy:
− plansze z kodem binarnym sygnału,
− papier formatu A4, flamastry,
− literatura zgodna z punktem 6 poradnika.
4.3.4. Sprawdzian postępów
Czy potrafisz:
Tak Nie
1) wyjaśnić zasadę zwielokrotnienia w metodzie częstotliwościowej? 2) wyjaśnić
zasadę zwielokrotnienia w metodzie czasowej?
3) określić róŜnice między metodą częstotliwościową i czasową wielokrotnego
wykorzystania torów transmisyjnych? 4) zastosować prawo
próbkowania?
5) rozróŜnić pojęcia: próbkowanie, kwantowanie, kodowanie?
„Projekt współfinansowany ze środków Europejskiego Funduszu Społecznego”
38
6) wyjaśnić zasadę pracy systemu PCM?
7) rozróŜnić pojęcia: szczelina czasowa, ramka, wieloramka, fazowanie ramki? 8)
określić podstawowe funkcje krotnic PCM 30/32? 9) rozróŜnić podstawowe układy
krotnicy PCM? 10) sklasyfikować kody transmisyjne sygnałów cyfrowych? 11) określić
sposoby zabezpieczania sygnałów przed błędami?
12) wyjaśnić pojęcie skramblowanie?
13) określić kody stosowane w transmisji w kablach światłowodowych?
14) podać polskie i angielskie nazwy skrótów: LED, LD, PAM, PCM?
15) określić podstawowe funkcje nadajnika światłowodowego?
16) rozróŜnić układy nadajnika światłowodowego? 17) określić
podstawowe funkcje odbiornika światłowodowego? 18) rozróŜnić
układy odbiornika światłowodowego?
4.4 Wielokrotne systemy cyfrowe
4.4.1. Materiał nauczania
Plezjochroniczna hierarchia systemów cyfrowych PDH
Systemy cyfrowe większej krotności są tworzone na zasadzie stopniowego
zwielokrotniania sygnałów cyfrowych grup niŜszych rzędów, np. z czterech grup
30kanałowych (pierwszego rzędu) tworzone są grupy 120-kanałowe (drugiego rzędu) a grupy
480 kanałowe (trzeciego rzędu) tworzone są z czterech grup 120-kanałowych. Zwielokrotnienie
cyfrowe jest to łączenie sygnałów cyfrowych grup niŜszego rzędu w jeden sygnał zbiorczy
wyŜszego rzędu. Próbki bitów sygnałów niŜszego rzędu są układane szeregowo obok siebie na
zasadzie przeplotu bitowego tworząc w ten sposób jeden sygnał zbiorczy grupy wyŜszego rzędu
(rys. 19). W procesie tym musi być spełniony warunek Tp = 1/fp = 125 µs (fp = 8 kHz –
częstotliwość próbkowania kanałów), aby zmieściły się wszystkie kanały tworzonej grupy.
Oznacza to, Ŝe przepływność zbiorczego sygnału cyfrowego grupy wyŜszego rzędu musi być
odpowiednio 4 razy większa.
„Projekt współfinansowany ze środków Europejskiego Funduszu Społecznego”
39
Rys. 19. Zasada zwielokrotniania czasowe z przeplotem bitowym [1, s. 259]
Skomplikowanym zagadnieniem w procesie zwielokrotnienia czasowego jest synchronizacja
sygnałów składowych. Mogą one pochodzić z róŜnych źródeł, których podstawy czasu mogą
się róŜnić między sobą (brak synchronizmu). W celu wyeliminowania róŜnic między
przepływnością poszczególnych sygnałów wyjściowych a przepływnością jaka jest
przewidziana dla tych sygnałów w sygnale zbiorczym stosuje się tzw. dopełnienie impulsowe,
które polega na wprowadzeniu dodatkowych bitów (bitów dopełnienia) do wejściowego
sygnału cyfrowego. Bity te są usuwane w procesie demultipleksacji w krotnicy odbiorczej.
Opisana powyŜej metoda nosi nazwę zwielokrotnienia plezjochronicznego (prawie
synchronicznego).
Podstawowym parametrem kaŜdego systemu cyfrowego jest przepływność sygnału
zbiorczego, która zaleŜy od liczby kanałów w grupie i wynosi:
− dla grup 30-kanałowych (pierwszego rzędu) – 2048 kbit/s,
− dla grup 30-kanałowych (drugiego rzędu) – 8448 kbit/s,
− dla grup 30-kanałowych (trzeciego rzędu) – 34368 kbit/s
− dla grup 30-kanałowych (czwartego rzędu) – 139264 kbit/s,
− dla grup 30-kanałowych (piątego rzędu) – 564992 kbit/s.
Urządzenia systemów PDH
W cyfrowych systemach plezjochronicznych wyróŜnia się urządzenia zwielokrotniające
(krotnice) oraz urządzenia traktów liniowych (regeneratory przelotowe i regeneratory
końcowe). Urządzenia traktów liniowych są specyficzne dla poszczególnych mediów
transmisji. Krotnice mogą być te same do współpracy z róŜnymi traktami liniowymi poniewaŜ
posiadają znormalizowane styki zarówno po stronie sygnałów składowych jak i sygnałów
zbiorczych.
„Projekt współfinansowany ze środków Europejskiego Funduszu Społecznego”
40
Krotnice dzielimy ze względu na przepływność sygnałów składowych i zbiorczych na:
− krotnice 2/8 Mbit/s – umoŜliwiające utworzenie sygnału grupowego 120-kanałowego,
− krotnice 8/34 Mbit/s – umoŜliwiające utworzenie sygnału grupowego 480-kanałowego,
− krotnice 34/140 Mbit/s – umoŜliwiające utworzenie sygnału grupowego
1920kanałowego,
− krotnice 140/565 Mbit/s – umoŜliwiające utworzenie sygnału grupowego
7680kanałowego,
Uproszczony schemat blokowy krotnicy 8/34 Mbit/s jest przedstawiony na rys. 20.
Rys. 20. Uproszczony schemat blokowy krotnicy TC 8/34 (480-krotnej): UWD – układ wprowadzania dopełniania,
UED – układ eliminacji dopełniania, UZN – układ zegarów nadawczych, UZO – układ zegarów
odbiorczych, Mux – multiplekser, Dem – demultiplekser [1, s. 264]
Krotnica TC 8/34 zawiera następujące układy funkcjonalne:
− transkodery sygnałów o przepływności 8 Mbit/s,
− układy synchronizacji (układy wyrównywania przepływności 8 Mbit/s),
− układy zwielokrotnienia: multiplekser i demultiplekser,
− transkoder sygnału zbiorczego o przepływności 34 Mbit/s,
− układy taktujące (zegary).
Podczas przesyłania w linii długiej sygnał cyfrowy ulega deformacjom wskutek
zniekształceń tłumieniowych i fazowych torów oraz róŜnego rodzaju zakłóceń pochodzących z
torów sąsiednich i źródeł zewnętrznych. W celu zminimalizowania tych zmian w pewnych
odstępach stosuje się urządzenia do regeneracji przesyłanego sygnału cyfrowego zwane
wzmacniakami-regeneratorami. Regeneracja sygnału polega na odtworzeniu na wyjściu
regeneratora sygnału cyfrowego o takiej samej postaci jaką miał na wejściu.
Na rys. 21 przedstawiono uproszczony schemat blokowy regeneratora i przebiegi sygnałów w
róŜnych jego punktach.
„Projekt współfinansowany ze środków Europejskiego Funduszu Społecznego”
41
Rys. 21. Regeneracja sygnału cyfrowego [1, s. 260]
Sygnał podawany na wejście regeneratora podlega wzmocnieniu i korekcji, a następnie są
rozróŜniane oraz selekcjonowane elementy dodatnie i ujemne sygnału. Po selekcji zostają
utworzone dwa przebiegi z impulsami dodatnimi (3) i impulsami ujemnymi (4). W celu
odtworzenia fazy sygnału i czasu trwania impulsów w regenerowanym sygnale, następuje
porównanie przebiegów (3) i (4) z przebiegiem zegara (5). Skorygowane przebiegi (6) i (7) są
sumowane w wyniku, czego zostaje utworzony sygnał (8) o takim samym przebiegu jak sygnał
nadany na początku traktu.
Regeneratory dzielimy na dwie grupy: regeneratory przelotowe zdalnie zasilane oraz
regeneratory końcowe umieszczone w stojakach urządzeń końcowych.
Synchroniczna hierarchia systemów cyfrowych SDH
Synchroniczna hierarchia systemów cyfrowych SDH (ang. Synchronous Digital Hierarchy)
to rodzina systemów cyfrowych wykorzystująca właściwości torów światłowodowych w celu
zwiększenia przepustowości i usprawnienia działania sieci telekomunikacyjnej. Zastosowanie
światłowodów oraz nowej metody zwielokrotnienia i transportu informacji umoŜliwiło znaczne
zwiększenie przepustowości linii oraz wprowadzenie nowych funkcji nadzoru i zarządzania
„Projekt współfinansowany ze środków Europejskiego Funduszu Społecznego”
42
umoŜliwiających natychmiastową identyfikację uszkodzenia linii lub węzła oraz automatyczne
przełączanie ruchu na drogi rezerwowe. Systemy SDH umoŜliwiają wprowadzenie nowych
usług wymagających szerokiego pasma takich jak: szybka komutacja pakietów, połączenia
między sieciami komputerowymi, telewizji o duŜej rozdzielczości (HDTV).
Systemy SDH charakteryzują się następującymi właściwościami:
− duŜa przepustowość,
− zdolność do samokontroli i samonaprawialność sieci,
− duŜa elastyczność w konfiguracji i rozbudowie sieci,
− scentralizowany nadzór i programowane sterowanie siecią,
− moŜliwość realizacji dowolnych usług telekomunikacyjnych wąsko-
i szerokopasmowych.
Podstawowym członem w SDH jest synchroniczny moduł transportowy STM-1 (ang.
Synchronous Transport Module Level 1) o przepływności 155520 kbit/s, który umoŜliwia
współpracę z systemami PDH. WyŜsze stopnie tej rodziny są tworzone na zasadzie
zwielokrotnienia STM-1. W systemie SDH znormalizowano następujące moduły:
− STM-1 o przepływności 155520 kbit/s,
− STM-4 o przepływności 622080 kbit/s,
− STM-16 o przepływności 2488320 kbit/s.
Zwielokrotnienie w systemach SDH polega na „ładowaniu” informacji do tzw. kontenerów
wirtualnych VC i tworzeniu modułów transportowych, przeplatając odpowiednio bajty
sygnałów składowych. Sposób tworzenia modułu transportowego STM-1 przedstawia rys. 22.
Rys. 22. Schemat blokowy tworzenia modułu STM-1: STM – synchroniczny moduł transportowy, AU – jednostka
administracyjna, VC – kontener wirtualny, C – kontener, TU – jednostka składowa, TUG – jednostka
grupowa [1, s. 273]
W tworzeniu modułu transportowego STM-1 wyróŜnia się następujące etapy:
− Etap 1: Odwzorowanie (mapping) kontenerów – z sygnałów PDH po ich regeneracji tworzone
są odpowiednio kontenery: C-12 – z sygnału o przepływności 2 Mbit/s, C-3 – z sygnału o
przepływności 34 Mbit/s oraz C-4 z sygnału o przepływności 140 Mbit/s. Tworzenie to
polega na dostosowaniu przepływności wejściowego sygnału składowego do określonej
przepływności kontenera poprzez dopełnienie bitowe.
Następnie z poprzez dodanie bajtów nagłówka POH (ang. Path Overhead) do kontenerów
tworzone są kontenery wirtualne odpowiednio VC-12, VC-3 i VC-4.
„Projekt współfinansowany ze środków Europejskiego Funduszu Społecznego”
43
− Etap 2: Fazowanie – ustawianie wskaźnika połoŜenia kontenera niŜszego rzędu w
kontenerze wyŜszego rzędu – w wyniku przyporządkowania wskaźników kontenerom
wirtualnym VC-12 i VC-3 tworzone są jednostki składowe TU-12 i TU-3. Wskaźniki PTR
(ang. Pointers) określają połoŜenie kontenerów niŜszego rzędu VC-12 i VC-3 w
kontenerze VC-4.
− Etap 3: Zwielokrotnienie jednostek składowych –jednostki TU są odpowiednio grupowane
tworząc jednostki grupowe TUG-2 i TUG-3 (ang. Tributary Unit Group) a następnie
ładowane do kontenera VC-4. Sposób tworzenia TUG-2 i TUG-3 przedstawia rys. 23 oraz
sposób wprowadzenia TUG-3 do kontenera VC-4 przedstawia rys. 24.
Rys. 23. Tworzenie jednostek grupowych TUG-2 i TUG-3 [1, s. 274]
Rys. 24. Wprowadzenie grup TUG-3 do kontenera wirtualnego VC-4 [1, s. 274]
„Projekt współfinansowany ze środków Europejskiego Funduszu Społecznego”
44
− Etap 4: Fazowanie (ustawianie wskaźnika) połoŜenia kontenera VC-4 – poprzez
uformowanie wskaźnika AU-PTR określającego początek kontenera VC-4 w ramce STM-
1 zostaje utworzona jednostka administracyjne AU (ang. Administrative Unit).
− Etap 5: Formowanie sygnału STM-1 – w fazie tej następuje wygenerowanie i dodanie do
jednostki administracyjnej AU-4 nagłówka zwielokrotnienia MSOH (ang. Multiplet
Section Overhead) oraz nagłówka sekcji regeneratorowej RSOH (ang. Regeneration
Section Overhead). Następnie zachodzi skramblowanie sygnału STM-1.
Ramka sygnału zbiorczego STM-1 zawiera 2430 bajtów przesyłanych w ciągu 125 µs co
daje przepływność 155520 kbit/s. Strukturę ramki STM-1 przedstawia rys. 25.
Rys. 25. Struktura ramki STM-1 [1, s. 276]
Ramka dzieli się na trzy części:
− obszar kontenera wirtualnego VC-4, zawierającego sygnały uŜyteczne doprowadzone do
krotnicy,
− obszar wskaźnika jednostki administracyjnej AU-4 PTR, zawierającego adresy połoŜenia
kontenerów wirtualnych w jednostce administracyjnej,
− pole nagłówka sekcji SOH (ang. Section Overhead), niosącego informacje dotyczące
fazowania ramki oraz funkcji kontroli i nadzoru.
Dalsze zwielokrotnianie w systemie SDH odbywa się na zasadzie zwielokrotniania
synchronicznego poprzez zwykłe przeplatanie bajtów sygnałów składowych. Tak tworzone są
moduły:
− STM-4 o przepływności 622080 kbit/s – powstaje z czterech sygnałów STM-1,
− STM-16 o przepływności 2488320 kbit/s – powstaje z 16 modułów STM-1 lub czterech
modułów STM-4.
Sposób tworzenia modułu STM-4 z modułów STM-1 przedstawia rys. 26.
„Projekt współfinansowany ze środków Europejskiego Funduszu Społecznego”
45
Rys. 26. Sposób tworzenia modułu transportowego STM-4 z modułów STM-1 [1, s. 278]
W systemie SDH czas trwania ramki STM-1 i STM-4 wynosi 125 µs. Sposób tworzenia
ramki STM-4 przedstawia rys. 27.
Rys. 27. Sposób tworzenia ramki STM-4 [1, s. 279]
Urządzenia systemu SDH
W systemach SDH występują tylko krotnice, które realizują funkcje zwielokrotnienia i
zakończenia traktu liniowego. Ze względu na zastosowanie w sieci rozróŜniamy następujące
typy krotnic SDH:
− krotnice końcowe TMX (ang. Terminal Multiplexer) PDH/STM-1 – umoŜliwiają
zwielokrotnienie sygnałów PDH w sygnał zbiorczy STM-1 w połączeniach punkt-punkt,
− krotnice liniowe LMX ( ang. Line Multiplexer) STM-1/STM-4 i STM-1/STM-16 – słuŜą
do łączenia sygnałów STM-1 w sygnał wyŜszego rzędu STM-4 lub STM-16,
− krotnice transferowe ADM (ang. Add Drop Multiplexer) – umoŜliwiają wydzielenie i
ponowne wprowadzenie dowolnego sygnału wchodzącego w skład sygnału zbiorczego
STM-n, transmitowanego w linii, bez konieczności jego całkowitej demultipleksacji,
„Projekt współfinansowany ze środków Europejskiego Funduszu Społecznego”
46
− synchroniczne przełącznice cyfrowe SDXC (ang. Synchronous Digital Cross-Connect) –
spełniają funkcje krotnic SDH, a ponadto mają moŜliwość przełączania dróg cyfrowych
na poziomie kontenerów wyŜszego VC-4 i niŜszego rzędu VC-12,
− regeneratory SDH – odpowiadają za przetwarzanie odebranego sygnału optycznego na
elektryczny, wydzielenie sygnału taktującego, zregenerowanie sygnału informacyjnego,
identyfikację początku ramki, przetworzenie nagłówka sekcji regeneracji RSOH, dalsza
transmisja sygnału STM-n z nowym nagłówkiem oraz przetworzenie go na sygnał
optyczny.
Nadzór i zarządzanie siecią SDH
Krotnice SDH posiadają styki (S) i kanały komunikacji danych DCC (ang. Data
Communications Channels) do obiektów zarządzania i nadzoru krotnic, które zapewniają
przetwarzanie i przechowywanie informacji, przekazywanych do terminala operatora przez styk
F lub do sieci zarządzania TMN (ang. Telecommunications Management Network) przez styk
Q lub kanały komunikacji danych.
System nadzoru i zarządzania siecią SDH obejmuje:
− krotnice róŜnego typu i oprogramowanie,
− urządzenia pomocnicze np. zegar, zasilacz,
− układy testowania i utrzymania,
− sieciowe drogi transportu.
Podstawowe funkcje systemu zarządzania i nadzoru SDH to:
− zarządzanie sygnalizacją alarmową,
− nadzorowanie jakości transmisji i testowanie,
− sterowanie przełączaniem na rezerwę,
− zarządzanie rekonfiguracją sieci.
Do celów kontroli i sterowania przepływem informacji w systemach SDH wykorzystywane
są nagłówki kontenerów:
− sekcji zwielokrotnienia modułu transportowego MSOH,
− sekcji regeneratorowej RSOH,
− kontenera wirtualnego VC-4 POH,
− kontenerów wirtualnych niŜszych rzędów VC-12 POH i VC-3 POH.
System nadzoru śledzi i analizuje informacje zawarte w tych nagłówkach. Nadzór jakości
transmisji polega na obliczaniu sumy logicznej wszystkich bitów w danej ramce i
zarejestrowaniu jej w odpowiednim miejscu nagłówka następnej ramki. Jest to metoda kontroli
parzystości przeplotu bitowego.
4.4.2. Pytania sprawdzające
Odpowiadając na pytania, sprawdzisz, czy jesteś przygotowany do wykonania ćwiczeń.
1) W jaki sposób tworzone są systemy cyfrowe wyŜszych krotności?
2) Na czym polega metoda zwielokrotnienia plezjochronicznego?
3) Jaki jest podstawowy parametr teletransmisyjnego systemu cyfrowego?
4) W jaki sposób jest tworzony sygnał zbiorczy z przeplotem binarnym w systemach PDH?
„Projekt współfinansowany ze środków Europejskiego Funduszu Społecznego”
47
5) Jakie znasz urządzenia systemów PDH?
6) W jaki sposób klasyfikujemy krotnice PDH?
7) Jakie układy funkcjonalne zawiera krotnica PDH?
8) Jakie funkcje w systemach PDH spełniają regeneratory?
9) Jakie rozróŜniamy rodzaje regeneratorów?
10) Jakie są kolejne etapy regeneracji sygnału cyfrowego?
11) Jakie są charakterystyczne właściwości systemów SDH?
12) Jakie moduły występują w systemach SDH?
13) Na czym polega zwielokrotnienie w systemach SDH?
14) Jakie są kolejne etapy tworzenia modułu STM-1?
15) W jaki sposób tworzone są kontenery wirtualne VC-12, VC-3, VC-4?
16) W jaki sposób tworzone są jednostki grupowe TUG-2 i TUG-3?
17) Z jakich części składa się ramka STM-1?
18) W jaki sposób tworzone są moduły o wyŜszych przepływnościach?
19) Ile wynosi czas trwania ramki STM-1 i STM-4 w systemach SDH?
20) Jakie rodzaje krotnic występują w systemach SDH?
21) Jakie elementy obejmuje system nadzoru i zarządzania siecią SDH?
22) Z jakich informacji korzysta system kontroli i sterowania transmisją w systemach SDH?
23) Na czym polega metoda kontroli parzystości przeplotu bitowego?
4.4.3. Ćwiczenia
Ćwiczenie 1
Dla podanych przez nauczyciela przebiegów sygnałów z 4 traktów cyfrowych narysuj
przebieg sygnału zbiorczego powstałego zgodnie z metodą zwielokrotnienia czasowego z
przeplotem bitowym.
Sposób wykonania ćwiczenia
Aby wykonać ćwiczenie, powinieneś:
1) odszukać w materiałach dydaktycznych opis metody zwielokrotnienia czasowego z
przeplotem bitowym,
2) dokonać analizy przebiegów z poszczególnych traktów,
3) narysować przebieg sygnału zbiorczego,
4) krótko opisać sposób powstawania sygnału zbiorczego.
WyposaŜenie stanowiska pracy:
− papier formatu A4, flamastry,
− literatura zgodna z punktem 6 poradnika.
Ćwiczenie 2
Na zamieszczonym w ćwiczeniu rysunku przedstawiony jest schemat blokowy
regeneratora. Opisz funkcje bloków oznaczonych 1, 2, 3, 4, 5 i 6.
„Projekt współfinansowany ze środków Europejskiego Funduszu Społecznego”
48
Rys. do ćwiczenia 2. Schemat blokowy regeneratora
Sposób wykonania ćwiczenia
Aby wykonać ćwiczenie, powinieneś:
1) odszukać opis zasady regeneracji sygnałów w systemach PDH,
2) przeanalizować przebieg procesu regeneracji sygnałów,
3) określić funkcje regeneratora na poszczególnych etapach regeneracji sygnału, 4) przypisać
funkcje poszczególnym blokom.
WyposaŜenie stanowiska pracy:
− papier formatu A4, flamastry,
− literatura zgodna z punktem 6 poradnika.
Ćwiczenie 3
Przedstaw schemat blokowy tworzenia modułu STM-1 systemu SDH z sygnałów
wejściowych o przepływnościach: 2 Mbit/s i 34 Mbit/s.
Sposób wykonania ćwiczenia
Aby wykonać ćwiczenie, powinieneś:
1) odszukać w materiałach dydaktycznych opis metody tworzenia modułów STM-1 systemu
SDH,
2) określić poszczególne etapy dla kaŜdego z sygnałów,
3) narysować schemat blokowy,
4) krótko opisać sposób powstawania modułu STM-1.
WyposaŜenie stanowiska pracy:
− papier formatu A4, flamastry,
− literatura zgodna z punktem 6 poradnika.
Ćwiczenie 4
Na rysunku przedstawiony jest schematycznie proces tworzenia modułu STM-1 systemu
SDH. Przeanalizuj i opisz jakie funkcje są realizowane na etapach oznaczonych cyframi: 1, 2,
3, 4, 5.
„Projekt współfinansowany ze środków Europejskiego Funduszu Społecznego”
49
Rys. do ćwiczenia 4. Schemat blokowy tworzenia modułu STM-1
Sposób wykonania ćwiczenia
Aby wykonać ćwiczenie, powinieneś:
1) odszukać w materiałach dydaktycznych opis metody tworzenia modułów STM-1 systemu
SDH,
2) przeanalizować schemat blokowy,
3) określić funkcje realizowane w procesie tworzenia modułu STM-1, 4) przypisać funkcje
do kolejnych etapów.
WyposaŜenie stanowiska pracy:
− papier formatu A4, flamastry,
− literatura zgodna z punktem 6 poradnika.
Ćwiczenie 5
Przedstaw schemat tworzenia modułu STM-16 z modułów STM-1.
Sposób wykonania ćwiczenia
Aby wykonać ćwiczenie, powinieneś:
1) odszukać w materiałach dydaktycznych opis metody zwielokrotnienia czasowego z
przeplotem bitowym,
2) dokonać analizy przebiegów z poszczególnych traktów,
3) narysować przebieg sygnału zbiorczego,
4) krótko opisać sposób powstawania sygnału zbiorczego.
WyposaŜenie stanowiska pracy:
− papier formatu A4, flamastry,
− literatura zgodna z punktem 6 poradnika.
„Projekt współfinansowany ze środków Europejskiego Funduszu Społecznego”
50
4.4.4. Sprawdzian postępów
Czy potrafisz:
Tak Nie
1) wyjaśnić zasadę zwielokrotnienia z przeplotem bitowym?
2) wyjaśnić pojęcie dopełnienie impulsowe?
3) wyjaśnić pojęcie zwielokrotnienia plezjochronicznego?
4) sklasyfikować krotnice cyfrowe PDH? 5) określić układy funkcjonalne
krotnic PDH?
6) określić procesy realizowane przez regeneratory sygnałów
cyfrowych? 7) wyjaśnić i podać angielskie pełne brzmienie skrótu SDH?
8) określić podstawowe właściwości systemów SDH?
9) rozróŜnić moduły systemów SDH?
10) określić etapy tworzenia modułu STM-1?
11) wyjaśnić funkcje wskaźników PTR jednostki składowej TU
i jednostki administracyjnej AU? 12) określić obszary ramki STM-1?
13) wyjaśnić zasadę tworzenia modułów STM-4 i STM-16?
14) sklasyfikować krotnice SDH?
15) określić obiekty objęte systemem nadzoru i zarządzania siecią SDH? 16)
określić funkcje systemu zarządzania i nadzoru SDH? 17) wyjaśnić metodę
kontroli parzystości przeplotu bitowego BIP-n?
4.5. Teletransmisyjne linie radiowe i satelitarne
4.5.1. Materiał nauczania
Struktura linii radiowej
Liniami radiowymi nazywa się linie telekomunikacyjne, umoŜliwiające przesyłanie
informacji w postaci określonych sygnałów między dwoma punktami w przestrzeni, za pomocą
energii fal elektromagnetycznych skupionej przez anteny kierunkowe. Zastosowanie anten
kierunkowych zapewnia rozchodzenie się energii fal elektromagnetycznych jedynie wzdłuŜ
określonej trasy.
Bezprzewodowy tor radiowy stanowi antena nadawcza i odbiorcza oraz ośrodek między
nimi. Energia doprowadzona do anteny nadawczej zostaje wypromieniowana i w postaci fali
elektromagnetycznej dociera przez ośrodek do anteny odbiorczej, skąd jest odprowadzona do
odbiornika.
Fale elektromagnetyczne wykorzystywane w telekomunikacji zajmują zakres częstotliwości od
100 kHz do 30 GHz. W telekomunikacyjnych systemach radiowych do realizacji kierunkowych
torów radiowych są wykorzystywane fale radiowe z zakresu częstotliwości od 30 MHZ do 30
GHz, co odpowiada długościom fal od 10 m do 1 cm. Do tworzenia torów radiowych
kierunkowych wykorzystywane są anteny kierunkowe. W praktyce uwaŜa się, Ŝe kierunkowość
anten jest wystarczająca, aby uznać dany układ przekazywania energii sygnału za torowy, gdy
„Projekt współfinansowany ze środków Europejskiego Funduszu Społecznego”
51
poprzeczne wymiary anten są porównywalne lub większe od długości promieniowanej fali. Stąd
do transmisji kierunkowej wykorzystuje się najkrótsze fale radiowe, jednak realizacja torów
radiowych dla fal krótkich stwarza duŜe trudności technologiczne. Powszechnie stosowaną
anteną kierunkową jest antena z reflektorem parabolicznym, odznaczająca się duŜą
kierunkowością promieniowania. Antena tego typu promieniuje fale elektromagnetyczne w
postaci wąskiej wiązki promieni świetlnych.
Rys. 28. Schemat anteny parabolicznej i jej charakterystyka promieniowania [1, s. 181]
Tory radiowe dzielimy na:
− tory radiowe proste – realizowane na zasadzie prostoliniowego rozchodzenia się fal
radiowych, gdy anteny nadawcza i odbiorcza się widzą,
− tory radiowe łamane – tworzone z wykorzystaniem anteny biernej, od której odbijają się
fale radiowe wyemitowane z anteny nadawczej i trafiają do anteny odbiorczej,
− tory radiowe łamane – tworzone przez rozproszenie strumienia energii wysyłanej z anteny
nadawczej w wyŜszych warstwach atmosfery (w jonosferze i w troposferze), skąd główna
część strumienia jest kierowana z powrotem ku ziemi, gdzie strumień ten jest
przechwytywany przez odpowiednio ukierunkowaną antenę odbiorczą.
Rys. 29. Tory radiowe: [a) prosty; b) łamany wskutek rozproszenia; c) łamany wskutek odbicia [1, s. 182]
„Projekt współfinansowany ze środków Europejskiego Funduszu Społecznego”
52
Podstawowym parametrem elektrycznym toru radiowego jest jego tłumienność, określana
jako stosunek mocy doprowadzonej do anteny nadawczej do mocy odebranej z anteny
odbiorczej. Tłumienność toru radiowego zaleŜy od warunków terenowych i atmosferycznych i
jest zmienna w czasie, co objawia się występowaniem zaników. Zanik jest to chwilowy wzrost
tłumienności toru, osiągający wartość nawet kilkudziesięciu decybeli. Przyczyna powstawania
zaników jest rozpraszanie i pochłanianie energii fal przez krople deszczu, pary wodnej oraz
cząsteczki zawiesiny znajdującej się w atmosferze.
W skład linii radiowej wchodzą dwie stacje nadawczo-odbiorcze oraz tzw. stacje
przekaźnikowe (stosowane w liniach radiowych o większym zasięgu). Struktura linii radiowej
jest przedstawiona na rys. 30.
Rys. 30. Struktura teletransmisyjnej linii radiowej: KrT – krotnica telefoniczna, Mod – modulator, Nw.cz – nadajnik
wielkiej częstotliwości, Dem – demodulator, O w.cz – odbiornik wielkiej częstotliwości, Z – zwrotnica,
UNiK – urządzenia nadzoru i kontroli [1, s. 287]
Stacja linii radiowej zawiera następujące urządzenia:
− antenowe wraz ze zwrotnicami,
− nadawcze i odbiorcze wielkiej częstotliwości,
− pomocnicze nadzoru, kontroli i łączności słuŜbowej,
− zasilające,
− modulatory (w kierunku nadawczym) i demodulatory (w kierunku odbiorczym) –
występują tylko w stacjach końcowych.
KaŜda linia radiowa pracuje w określonym paśmie częstotliwości, zwanym kanałem
radiowym. Kanał radiowy charakteryzuje się częstotliwością środkową oraz szerokością pasma.
Linia radiowa moŜe mieć jeden lub wiele kanałów radiowych realizowanych w jednym
wspólnym torze tzn. z jedną wspólną anteną. Sygnały zbiorcze poszczególnych kanałów
radiowych rozdziela się za pomocą filtrów oraz przez odpowiednią polaryzację promieniowanej
fali.
Budowa i zasada działania linii radiowej Linie
radiowe dzielimy na:
− analogowe – z modulacją częstotliwości współpracujące z systemami zwielokrotnienia
częstotliwościowego,
− cyfrowe – przystosowane do współpracy z krotnicami o zwielokrotnieniu czasowym.
„Projekt współfinansowany ze środków Europejskiego Funduszu Społecznego”
53
Linie radiowe z modulacją częstotliwości posiadają stacje końcowe zawierające w części
nadawczej – modulator i nadajnik wielkiej częstotliwości (w.cz.) i w części odbiorczej –
odbiornik sygnału radiowego w.cz. oraz demodulator. W części nadawczej stosowane są dwie
metody modulacji:
− bezpośrednią – sygnał wejściowy zostaje zwielokrotniony częstotliwościowo,
wzmocniony i bezpośrednio przemieniony w sygnał w.cz. w wyniku modulacji
częstotliwości fali nośnej w.cz.,
− pośrednią – sygnał w.cz. otrzymuje się w wyniku dwustopniowej przemiany, najpierw
uformowany jest sygnał pośredniej częstotliwości a następnie wzmocniony i zmieszany w
tzw. mieszaczu z przebiegiem w.cz..
Zadaniem urządzeń odbiorczych stacji końcowej jest odbiór sygnału radiowego w.cz.
i jego demodulacja do pasma podstawowego. NiezaleŜnie od rozwiązania po stronie nadawczej,
w części odbiorczej z reguły stosuje się przemianę dwustopniową.
Urządzenia końcowe cyfrowej linii radiowej CLR zawierają następujące urządzenia:
− transkoder,
− urządzenia nadawczo-odbiorcze,
− zwrotnice antenowe,
− urządzenia generacyjne,
− blok obsługi i kontroli zawierający urządzenia obsługi i zdalnej kontroli, urządzenia
przełączenia na rezerwowy kanał radiowy, urządzenia łączności słuŜbowej.
W części nadawczej transkodera sygnał wejściowy PCM zostaje zregenerowany i
odpowiednio ukształtowany w nową ramkę wewnątrzsystemową ( nowy sygnał zbiorczy).
W nadajniku zachodzi modulacja w wyniku, której widmo sygnału cyfrowego zostaje
przesunięte do pasma kanału radiowego, następnie sygnał zostaje wzmocniony i przesłany do
zwrotnicy antenowej a stąd do anteny.
Przy odbiorze sygnał radiowy w.cz. odebrany przez antenę jest po przejściu przez
zwrotnicę antenową najpierw wzmocniony, a potem doprowadzony do mieszacza, w którym
zostaje przetworzony na sygnał pośredniej częstotliwości, Sygnał p.cz. jest następnie
zdemodulowany, a w transkoderze zostaje wydzielony oraz uformowany podstawowy sygnał
PCM.
Łączność satelitarna
Łączność satelitarna odgrywa powaŜną rolę w strukturze telekomunikacyjnej sieci
międzynarodowej od momentu pojawienia się wielu satelitów Ziemi, krąŜących na orbitach
geostacjonarnych i eliptycznych. W skład łącza satelitarnego wchodzą dwie stacje naziemne
końcowe oraz satelita telekomunikacyjny, odgrywający rolę stacji retransmisyjnej.
Łącza satelitarne są wykorzystywane do przesyłania informacji telefonicznych, transmisji
danych, wymiany programów radiowych i telewizyjnych, transmisji wideokonferencji i
wideotekstów.
Sygnały do łączy satelitarnych są doprowadzane do stacji naziemnej za pośrednictwem
sieci telekomunikacyjnej. Wejściem łącza satelitarnego jest modulator stacji naziemnej, a
wyjściem – demodulator przeciwległej stacji. Urządzenia retransmisyjne na satelicie
wzmacniają odebrane sygnały, przemieniają je na inny zakres częstotliwości i wysyłają do
docelowej stacji końcowej.
„Projekt współfinansowany ze środków Europejskiego Funduszu Społecznego”
54
Zadaniem anten naziemnych jest wypromieniowanie fali radiowej w kierunku satelity oraz
odbiór sygnałów satelitarnych, ich skoncentrowanie i eliminowanie sygnałów szkodliwych.
Zadaniem anteny satelitarnej jest odbiór sygnałów ze stacji naziemnych, kierowanie ich do
stacji retransmisyjnej (transpondera), a następnie wypromieniowanie w postaci fal
elektromagnetycznych w kierunku naziemnej stacji odbiorczej.
Systemy satelitarne pracują w zakresie częstotliwości od 1 GHz do 30 GHz.
Metody wielokrotnego dostępu do satelity
Stosowane są następujące metody wielokrotnego dostępu do satelity:
− przez podział częstotliwości FDMA (ang. Frequency Division Multiple Access),
− przez podział czasowy TDMA (ang. Time Division Multiple Access),
− w wyniku zastosowania sygnałów o wspólnym widmie CSMA (ang. Common Spectrum
Multiple Access).
Wielokrotny dostęp MA ( ang. Multiple Access) oznacza współpracę satelity z większą
liczbą stacji naziemnych zainstalowanych w dowolnych warunkach terenowych oraz
ruchomych.
Charakterystyka systemów satelitarnych
Łączność satelitarna w Polsce jest organizowana przez stację satelitarną w Psarach koło
Kielc. Pracują tam stacje satelitarne następujących systemów satelitarnych:
− INTELSAT – dwie stacje naziemne, jedna obejmuje swym działaniem obszar Oceanu
Atlantyckiego i zapewnia łączność z USA i Kanadą, druga obejmuje rejon Oceanu
Indyjskiego i umoŜliwia komunikację z Japonią, Koreą, Singapurem i Australią,
− INTERSPUTNIK – obsługuje państwa Europy Wschodniej i Środkowej,
− INMARSAT – wykorzystywana do łączności morskiej, posiada dwie stacje , z których
jedna współpracuje z satelitą nad Oceanem Atlantyckim a druga z satelitą nad Oceanem
Indyjskim,
− EUTELSAT – stanowi uzupełnienie sieci łączności w Europie, umoŜliwia przesyłanie
sygnałów z szybkością 120 Mbit/s.
4.5.2. Pytania sprawdzające
Odpowiadając na pytania, sprawdzisz, czy jesteś przygotowany do wykonania ćwiczeń. 1)
Jak zbudowany jest tor radiowy?
2) Jakimi cechami charakteryzuje się anteny stosowane w torach radiowych kierunkowych? 3)
Jak klasyfikuje się tory radiowe?
4) Jaka jest róŜnica między torem radiowym łamanym wskutek rozproszenia i torem łamanym
wskutek odbicia?
5) Jaki parametr charakteryzuje tor radiowy?
6) Jakie parametry charakteryzują kanał radiowy?
7) Jaka jest róŜnica między kanałem radiowym a linią radiową?
8) Jakie urządzenia zawiera stacja końcowa analogowej linii radiowej?
9) Jakie metody modulacji stosuje się w analogowych liniach radiowych?
„Projekt współfinansowany ze środków Europejskiego Funduszu Społecznego”
55
10) Jakie urządzenia zawiera stacja końcowa cyfrowej linii radiowej CLR? 11) Jak zbudowane
jest łącze satelitarne?
12) Jakie funkcje spełnia antena naziemna w systemie satelitarnym?
13) Jakie funkcje spełnia antena satelitarna w systemie satelitarnym?
14) Jakie znasz metody wielokrotnego dostępu do satelity?
15) W jakich systemach satelitarnych pracują stacje w ośrodku łączności satelitarnej w Polsce?
4.5.3. Ćwiczenia
Ćwiczenie 1
Przyporządkuj wskazane przez nauczyciela urządzenie na podstawie opisu ich funkcji do
stacji końcowej analogowej lub cyfrowej linii radiowej.
Sposób wykonania ćwiczenia
Aby wykonać ćwiczenie, powinieneś:
1) odszukać w materiałach dydaktycznych funkcje urządzeń stacji
końcowych linii radiowych,
2) dokonać analizy działania urządzeń na podstawie opisów ich funkcji, 3)
rozpoznać rodzaje układów,
4) przypisać nazwy przyporządkowanych urządzeń do odpowiednich stacji końcowych.
WyposaŜenie stanowiska pracy:
− papier formatu A4, flamastry,
− literatura zgodna z punktem 6 poradnika.
Ćwiczenie 2
Moc sygnału doprowadzonego do anteny nadawczej linii radiowej wynosi 1000W. Moc
sygnału odebranego z anteny odbiorczej pierwszego dnia wynosiła 950 W, a drugiego dnia o
tej samej porze wynosiła 750 W, ale po 10 minutach moc osiągnęła ponownie wartość 950 W.
Oblicz wartości tłumienności toru radiowego dla obu przypadków. Oceń jakość toru radiowego
i podaj moŜliwe przyczyny spadku mocy po stronie odbiorczej.
Sposób wykonania ćwiczenia
Aby wykonać ćwiczenie, powinieneś:
1) odszukać odpowiednie określenia, 2)
wykonać obliczenia.
3) przeanalizować otrzymane wyniki,
4) dokonać oceny jakości toru radiowego,
5) podać moŜliwe przyczyny wzrostu tłumienności toru radiowego.
WyposaŜenie stanowiska pracy:
− papier formatu A4, flamastry,
„Projekt współfinansowany ze środków Europejskiego Funduszu Społecznego”
56
− kalkulator,
− literatura zgodna z punktem 6 poradnika.
Ćwiczenie 3
Przyporządkuj odpowiednio wskazane przez nauczyciela funkcje urządzeń łącza
satelitarnego do anten: naziemnej i satelitarnej.
Sposób wykonania ćwiczenia
Aby wykonać ćwiczenie, powinieneś:
1) odszukać w materiałach dydaktycznych funkcje urządzeń łącza
satelitarnego,
2) dokonać analizy działania urządzeń na podstawie opisów ich funkcji, 3)
przypisać funkcje do odpowiedniego typu anteny.
WyposaŜenie stanowiska pracy:
− papier formatu A4, flamastry,
− literatura zgodna z punktem 6 poradnika.
Ćwiczenie 4
WskaŜ systemy satelitarne wykorzystane do transmisji dla realizacji podanych usług z
Polski do podanych przez nauczyciela punktów na kuli ziemskiej.
Sposób wykonania ćwiczenia
Aby wykonać ćwiczenie, powinieneś:
1) odszukać w materiałach dydaktycznych informacje o dostępnych w Polsce systemach
satelitarnych,
2) dokonać analizy obszarów usługowych i geograficznych obsługiwanych przez
poszczególne systemy,
3) przypisać systemy satelitarne umoŜliwiające realizację transmisji informacji do
poszczególnych przypadków.
WyposaŜenie stanowiska pracy:
− papier formatu A4, flamastry,
− literatura zgodna z punktem 6 poradnika.
4.5.4. Sprawdzian postępów
Czy potrafisz:
Tak Nie
1) wyjaśnić pojęcia: linia radiowa, kanał radiowy, antena kierunkowa?
„Projekt współfinansowany ze środków Europejskiego Funduszu Społecznego”
57
2) określić róŜnice między torem radiowym prostym a torem radiowym
łamanym? 3) określić strukturę teletransmisyjnej linii
radiowej? 4) wyjaśnić zasady modulacji bezpośredniej i pośredniej?
5) określić urządzenia cyfrowej linii radiowej? 6) określić funkcje
jakie spełnia łączność radiowa? 7) wyjaśnić pojęcie łącze satelitarne?
8) określić zadania anten naziemnych w systemach satelitarnych ?
9) określić zadania anten satelitarnych w systemach satelitarnych?
10) określić metody wielokrotnego dostępu do satelity?
11) wyjaśnić pojęcie transponder?
12) określić systemy satelitarne, z którymi współpracują stacje w Polsce? 13)
określić funkcje jakie spełnia łączność satelitarna?
5. SPRAWDZIAN OSIĄGNIĘĆ
Instrukcja dla ucznia
1. Przeczytaj uwaŜnie instrukcję.
2. Podpisz imieniem i nazwiskiem kartę odpowiedzi.
3. Zapoznaj się z zestawem zadań testowych.
4. KaŜdy test zawiera 20 zadań. Do kaŜdego zadania dołączone są 4 moŜliwości odpowiedzi.
Tylko jedna jest prawidłowa.
5. Udzielaj odpowiedzi na załączonej karcie odpowiedzi, stawiając w odpowiedniej rubryce
znak X. W przypadku pomyłki naleŜy błędną odpowiedź zaznaczyć kółkiem, a następnie
ponownie zakreślić odpowiedź prawidłową.
6. Zadania wymagają prostych obliczeń, które powinieneś wykonać przed wskazaniem
poprawnego wyniku.
7. Pracuj samodzielnie, bo tylko wtedy będziesz miał satysfakcję z wykonanego zadania.
8. Jeśli udzielenie odpowiedzi będzie Ci sprawiało trudność, wtedy odłóŜ jego rozwiązanie
na później i wróć do niego, gdy zostanie Ci wolny czas.
9. Na rozwiązanie kaŜdego testu masz 60 minut.
Powodzenia!
„Projekt współfinansowany ze środków Europejskiego Funduszu Społecznego”
58
ZESTAW ZADAŃ TESTOWYCH
1. Parametry elektryczne charakteryzujące tory przewodowe to:
a) rezystancja R, indukcyjność L, upływność G, pojemność C.
b) napięcie U, prąd I, rezystancja R, moc W.
c) impedancja Z, rezystancja, moc W.
d) impedancja Z, moc W, napięcie U.
2. Tamowość falowa obliczana jest według wzoru
a) Zf = R+jωL.
b) Zf = 1/(G+jωC).
c) Zf = (R+jωL) (G+jωC).
d) Γ = (R + jωL) (G + jωC).
3. Pomiar rezystancji i asymetrii rezystancji Ŝył wykonuje się za pomocą
a) układów mostkowych lub omomierza.
b) oscyloskopu.
c) metodą impulsową.
d) poziomoskopu.
4. W światłowodach jednodomowych rozchodzi się
a) wiele rodzajów fal świetlnych o danej długości.
b) jeden rodzaj fali świetlnej.
c) wiele rodzajów fal świetlnych o róŜnej długości.
d) jeden rodzaj fali radiowej.
5. Podstawowymi parametrami transmisyjnymi światłowodów są
a) impedancja falowa oraz tamowość falowa.
b) tłumienność oraz pasmo przenoszenia.
c) okno długości fali oraz stoŜek akceptacji.
d) średnica rdzenia oraz średnica płaszcza.
6. Podstawowymi parametrami transmisyjnymi światłowodów są
a) pierwszej generacji.
b) podstawowej generacji.
c) drugiej generacji.
d) trzeciej generacji.
7. Precyzyjnie zetknięte ze sobą końce włókien światłowodowych podgrzewa się łukiem
elektrycznym w procesie a) sklejania.
b) cięcia.
c) spawania.
d) pomiaru parametrów transmisyjnych.
„Projekt współfinansowany ze środków Europejskiego Funduszu Społecznego”
59
8. Na schemacie blokowym układu zwielokrotnienia częstotliwościowego bloki 1, 2, 3, 4, 5,
6 obrazują:
a) 1 – modulator, 2 – filtr, 3 – wzmacniacz, 4 – filtr, 5 – demodulator, 6 – wzmacniacz.
b) 1 – modulator, 2 – filtr, 3 – wzmacniacz, 4 – demodulator, 5 – filtr, 6 – wzmacniacz.
c) 1 – modulator, 2 – wzmacniacz, 3 – filtr, 4 – filtr, 5 – demodulator, 6 – wzmacniacz.
d) 1 –modulator, 2 – filtr, 3 – wzmacniacz, 4 – wzmacniacz, 5 – demodulator, 6 – filtr.
9. Na schemacie blokowym układu systemu cyfrowego z modulacją PCM bloki 1, 2, 3
obrazują
a) 1 – dekoder PCM, 2 – nadajnik optyczny, 3 – koder PCM
b) 1 – Filtr FGP, 2 – nadajnik optyczny, 3 – koder PCM.
c) 1 – koder PCM, 2 – układ próbkowania, 3 – dekoder PCM.
d) 1 – układ próbkowania, 2 – koder PCM, 3 – dekoder PCM.
10. Przekształcenie sygnałów w systemie zwielokrotnienia czasowego odbywa się w drodze
modulacji
a) szerokości impulsu.
b) fazowej.
c) kodowo-impulsowej.
d) amplitudowej.
11. Prawo próbkowania określa częstotliwość próbkowania fp, która powinna być
a) co najmniej dwukrotnie mniejsza od największej częstotliwości fg sygnału
próbkowanego.
b) równa dwukrotnej wartości największej częstotliwości fg sygnału próbkowanego.
„Projekt współfinansowany ze środków Europejskiego Funduszu Społecznego”
60
c) co najmniej dwukrotnie większa od najmniejszej częstotliwości fd sygnału
próbkowanego.
d) co najmniej dwukrotnie większa od największej częstotliwości fg sygnału
próbkowanego.
12. W systemach PDH okres próbkowania Tp wynosi
a) 8 kHz.
b) 3,9 µs.
c) 4,9 µs.
d) 125 µs.
13. W systemach SDH współpracę z systemami plezjochronicznymi umoŜliwia moduł
a) STM-16.
b) STM-4.
c) STM-1.
d) STM-32.
14. Urządzenia, które umoŜliwiają wydzielenie i ponowne wprowadzenie dowolnego sygnału
wchodzącego w skład sygnału zbiorczego STM-n, transmitowanego w linii, bez
konieczności jego całkowitej demultipleksacji to a) krotnice końcowe TMX.
b) krotnice liniowe LMX.
c) krotnice transferowe ADM.
d) synchroniczne przełącznice cyfrowe SDXC.
15. System satelitarny uŜywany do łączności morskiej to
a) INTELSAT.
b) EUTELSAT.
c) INTERSPUTNIK.
d) INMARSAT.
16. Sposób tworzenia zbiorczego sygnału PAM przedstawia
a) rys. 1. b) rys. 2.
„Projekt współfinansowany ze środków Europejskiego Funduszu Społecznego”
61
17. Tłumienność toru radiowego zaleŜy od
a) długości toru, warunków atmosferycznych i jest zmienna w czasie.
b) warunków terenowych, warunków atmosferycznych i jest zmienna w czasie.
c) długości toru, warunków terenowych i jest stała w czasie.
c) rys. 3. d) rys. 4.
„Projekt współfinansowany ze środków Europejskiego Funduszu Społecznego”
62
d) warunków terenowych, warunków atmosferycznych i jest stała w czasie.
18. PoniŜej zamieszczony schemat blokowy przedstawia strukturę
a)
systemu PDH.
b) systemu SDH.
c) systemu satelitarnego.
d) linii radiowej.
19. Regulowany przez mikroprocesor cykl spawania światłowodów składa się następujących
faz
a) cięcia światłowodów, pozycjonowania, spawu.
b) cięcia światłowodów, nagrzewania wstępnego, spawu.
c) nagrzewania wstępnego, topnienia, spawu.
d) topnienia, pozycjonowania, spawu.
20. Wieloramka PCM 30/32 składa się z
a) 30 ramek ponumerowanych od 1 do 30.
b) 32 ramek ponumerowanych od 0 do 31.
c) 15 ramek ponumerowanych od 1 do 15.
d) 16 ramek ponumerowanych od 0 do 15.
„Projekt współfinansowany ze środków Europejskiego Funduszu Społecznego”
63
KARTA ODPOWIEDZI
Imię i nazwisko ...............................................................................
Zarządzanie systemami teletransmisyjnymi i teleinformatycznymi
Zakreśl poprawną odpowiedź.
Nr
zadania
Odpowiedź Punkty
1 a b c d
2 a b c d
3 a b c d
4 a b c d
5 a b c d
6 a b c d
7 a b c d
8 a b c d
9 a b c d
10 a b c d
11 a b c d
12 a b c d
13 a b c d
14 a b c d
15 a b c d
16 a b c d
17 a b c d
18 a b c d
19 a b c d
20 a b c d
Razem:
6. LITERATURA
1. Hołub J.: Zarys telekomunikacji. WSiP, Warszawa 2000
2. Simmonds A.: Wprowadzenie do transmisji danych. WKŁ, Warszawa 1999
3. Zagrobelny T.: Urządzenia teletransmisyjne. WSiP, Warszawa 1996

Technik.teleinformatyk 312[02] z3.01_u

  • 1.
    „Projekt współfinansowany ześrodków Europejskiego Funduszu Społecznego”
  • 2.
    „Projekt współfinansowany ześrodków Europejskiego Funduszu Społecznego” 1 MINISTERSTWO EDUKACJI NARODOWEJ Krystyna SkarŜyńska Zarządzanie systemami teletransmisyjnymi i teleinformatycznymi 312[02].Z3.01 Poradnik dla ucznia Wydawca Instytut Technologii Eksploatacji – Państwowy Instytut Badawczy Radom 2007 ___________________________________________________________________________ Recenzenci: dr inŜ. Lechosław Kozłowski
  • 3.
    „Projekt współfinansowany ześrodków Europejskiego Funduszu Społecznego” 2 mgr inŜ. Krzysztof Słomczyński Opracowanie redakcyjne: mgr inŜ. Ryszard Zankowski Konsultacja: mgr Małgorzata Sienna Poradnik stanowi obudowę dydaktyczną programu jednostki modułowej 312[02].Z3.01 „Zarządzanie systemami teletransmisyjnymi i teleinformatycznymi”, zawartego w modułowym programie nauczania dla zawodu technik teleinformatyk. Wydawca
  • 4.
    „Projekt współfinansowany ześrodków Europejskiego Funduszu Społecznego” 3 Instytut Technologii Eksploatacji – Państwowy Instytut Badawczy, Radom 2007 SPIS TREŚCI 1. Wprowadzenie 3 2. Wymagania wstępne 5 3. Cele kształcenia 6 4. Materiał nauczania 7 4.1. Tory i linie kablowe 7 4.1.1. Materiał nauczania 7 4.1.2. Pytania sprawdzające 12 4.1.3. Ćwiczenia 13 4.1.4. Sprawdzian postępów 15 4.2. Tory i linie światłowodowe 16 4.2.1. Materiał nauczania 16 4.2.2. Pytania sprawdzające 20 4.2.3. Ćwiczenia 20 4.2.4. Sprawdzian postępów 22 4.3. Transmisja sygnałów analogowych i cyfrowych 23 4.3.1. Materiał nauczania 23 4.3.2. Pytania sprawdzające 33 4.3.3. Ćwiczenia 33 4.3.4. Sprawdzian postępów 35 4.4. Wielokrotne systemy cyfrowe 36 4.4.1. Materiał nauczania 36 4.4.2. Pytania sprawdzające 43 4.4.3. Ćwiczenia 44 4.4.4. Sprawdzian postępów 46 4.5. Teletransmisyjne linie radiowe i satelitarne 47 4.5.1. Materiał nauczania 47 4.5.2. Pytania sprawdzające 50 4.5.3. Ćwiczenia 51 4.5.4. Sprawdzian postępów 52 5. Sprawdzian osiągnięć 53 6. Literatura 60 1. WPROWADZENIE Poradnik będzie Ci pomocny w przyswajaniu wiedzy o technologiach stosowanych przewodowych i bezprzewodowych systemach transmisji sygnałów analogowych i cyfrowych oraz zarządzaniu systemami teletransmisyjnymi i teleinformatycznymi. W poradniku znajdziesz: – wymagania wstępne – wykaz umiejętności, jakie powinieneś mieć juŜ ukształtowane, abyś bez problemów mógł korzystać z poradnika, – cele kształcenia – wykaz umiejętności, jakie ukształtujesz podczas pracy z poradnikiem, – materiał nauczania – wiadomości teoretyczne niezbędne do opanowania treści jednostki modułowej, – zestaw pytań, abyś mógł sprawdzić, czy juŜ opanowałeś określone treści,
  • 5.
    „Projekt współfinansowany ześrodków Europejskiego Funduszu Społecznego” 4 – ćwiczenia, które pomogą Ci zweryfikować wiadomości teoretyczne oraz ukształtować umiejętności praktyczne, – sprawdzian postępów, – sprawdzian osiągnięć, przykładowy zestaw zadań. Zaliczenie testu potwierdzi opanowanie materiału całej jednostki modułowej, – literaturę uzupełniającą.
  • 6.
    „Projekt współfinansowany ześrodków Europejskiego Funduszu Społecznego” 5 Schemat układu jednostek modułowych w module 2. WYMAGANIA WSTĘPNE Przystępując do realizacji programu nauczania jednostki modułowej powinieneś umieć: – stosować jednostki układu SI, – przeliczać jednostki, – posługiwać się podstawowymi pojęciami z zakresu elektrotechniki i elektroniki, – rozróŜniać podstawowe wielkości elektryczne i ich jednostki, – rozróŜniać elementy obwodu elektrycznego, – odczytywać schematy prostych układów elektrycznych i elektronicznych, – charakteryzować wymagania dotyczące bezpieczeństwa pracy przy urządzeniach elektrycznych, – łączyć układy elektryczne i elektroniczne zgodnie ze schematem, – wyjaśniać działanie prostych układów elektronicznych na podstawie ich schematów, – korzystać z róŜnych źródeł informacji, – obsługiwać komputer, – współpracować w grupie. 312[02].Z3.01 Zarządzanie systemami teletransmisyjnymi i teleinformatycznymi 312[02].Z3.02 Eksploatowanie sieci komputerowych LAN 312[02].Z3 Sieci teleinformatyczne 312[02].Z3.03 Eksploatowanie rozległych sieci komputerowych WAN 312[02].Z3.04 Administrowanie sieciami komputerowymi
  • 7.
    „Projekt współfinansowany ześrodków Europejskiego Funduszu Społecznego” 6 3. CELE KSZTAŁCENIA W wyniku realizacji programu jednostki modułowej powinieneś umieć: − scharakteryzować podstawowe parametry torów przewodowych, − przeliczyć parametry elektryczne torów przewodowych na parametry falowe, − porównać właściwości kabli symetrycznych i koncentrycznych, − wykonać kontrolę szczelności kabli telekomunikacyjnych, − wykonać konserwację i pomiary parametrów kabli telekomunikacyjnych, − porównać zasady transmisji sygnałów optycznych w światłowodach róŜnych typów, − porównać parametry światłowodów wielodomowych skokowych i gradientowych oraz jednomodowych, − wykonać róŜne połączenia światłowodów, − porównać metodę częstotliwościową i czasową wielokrotnego wykorzystania torów transmisyjnych, − rozróŜnić systemy PCM o róŜnych przepływnościach sygnałów, − rozróŜnić kody transmisyjne dwu- i trójwartościowe, − porównać metody zabezpieczenia sygnałów cyfrowych przed błędami, − wyjaśnić strukturę i zasadę działania urządzeń cyfrowych linii radiowej, − rozróŜnić systemy łączności satelitarnej, − wyjaśnić zasadę zwielokrotniania cyfrowego plezjochronicznych systemów PDH, − rozróŜnić moduły systemów SDH, − wykonać czynności związane z nadzorem i zarządzaniem siecią SDH, − obsłuŜyć komputery i specjalistyczne oprogramowanie sterujące pracą urządzeń teletransmisyjnych, − zastosować przepisy z zakresu ochrony danych i praw autorskich przy korzystaniu z informacji w sieciach, − dobrać metody pomiarowe i przyrządy do pomiaru wielkości teletransmisyjnych, − wykonać pomiary i zinterpretować otrzymane wyniki, − eksploatować systemy teleinformatyczne w oparciu o protokoły teletransmisyjne, − wykonać przeglądy i naprawy urządzeń teletransmisyjnych, − dokonać zapisów w dokumentacji sieci teletransmisyjnych, − zastosować ustalone procedury w stanach awaryjnych oraz zagroŜenia, − zastosować przepisy bezpieczeństwa i higieny pracy podczas pracy przy urządzeniach elektrycznych oraz emitujących pole elektromagnetyczne, − porozumiewać się w języku angielskim zawodowym. 4. MATERIAŁ NAUCZANIA 4.1. Tory i linie kablowe
  • 8.
    „Projekt współfinansowany ześrodków Europejskiego Funduszu Społecznego” 7 4.1.1. Materiał nauczania Pojęcia podstawowe Teletransmisja jest to dziedzina obejmująca zagadnienia dotyczące przesyłania – transmisji – informacji na odległość za pomocą urządzeń elektrycznych i elektronicznych. Przez informację naleŜy rozumieć mowę, muzykę, znaki pisma, obrazy ruchome i nieruchome, wartości pomiarowe, dane cyfrowe itp., które są kierowane od nadawcy do odbiorcy. Transmisja danych jest to proces przekazywania z duŜą wiernością danych cyfrowych pomiędzy dwoma punktami w postaci umoŜliwiającej ich przetwarzanie w urządzeniach komunikacyjnych. Systemem teletransmisyjnym nazywamy zespół urządzeń teletransmisyjnych współpracujących ze sobą według określonych, jednolitych zasad, przeznaczonych do tworzenia kanałów telekomunikacyjnych. System teleinformatyczny jest to zintegrowany system transmisji i przetwarzania danych, ich organizacja i struktura, zasady i zakresy ich wykorzystania w róŜnych wariantach zastosowań. Linią teletransmisyjną nazywamy zespół torów teletransmisyjnych (przewodowych lub radiowych) zainstalowanych w terenie wraz z urządzeniami teletransmisyjnymi (jednego lub kilku systemów) oraz wszelkimi urządzeniami pomocniczymi. Tor teletransmisyjny jest to droga przesyłowa sygnałów elektrycznych (informacji) między dwoma punktami, przestrzennie ograniczona praktycznie do walca o określonym promieniu. W telekomunikacji rozróŜnia się następujące rodzaje torów: − tory przewodowe symetryczne złoŜone z dwóch przewodów ułoŜonych równolegle obok siebie – wykonane w wersji napowietrznej lub kablowej, − tory przewodowe współosiowe (koncentryczne) utworzone z dwóch przewodów umieszczonych względem siebie współosiowo: jeden przewód ma postać zewnętrznego cylindra, w którym jest umieszczony drugi przewód w postaci walca, − tory światłowodowe utworzone z włókien szklanych tzw. światłowodów, w których są przesyłane elektromagnetyczne fale świetlne (spójne i jednobarwne), będące nośnikiem informacji, − tory radiowe (proste lub łamane) utworzone za pomocą zespołu anten kierunkowych. Kanał telekomunikacyjny jest to droga przesyłowa sygnałów elektrycznych na odległość za pomocą określonego systemu teletransmisyjnego. RozróŜniamy kanały częstotliwościowe ograniczone do określonego pasma częstotliwości tworzone zazwyczaj w systemach analogowych i kanały czasowe ograniczone czasem przesyłania sygnału do określonego przedziału, które są tworzone w systemach cyfrowych. Łączem telekomunikacyjnym nazywamy zestaw środków technicznych (torów, urządzeń teletransmisyjnych i komutacyjnych) umoŜliwiających bezpośrednią łączność między dwoma końcowymi urządzenia przetwórczymi. Łączem jednotorowym (lub jednokanałowym) nazywamy takie łącze, w którym transmisja sygnałów w obu kierunkach odbywa się tym samym torem (kanałem). W łączu dwutorowym (lub dwukanałowym) przesyłanie sygnałów w obu kierunkach odbywa się dwoma róŜnymi torami (kanałami). Najistotniejszą cechą kanału i łącza telekomunikacyjnego jest pasmo częstotliwości niezbędne do przesyłania sygnałów danego rodzaju. Odnosi się ono głównie do przesyłania
  • 9.
    „Projekt współfinansowany ześrodków Europejskiego Funduszu Społecznego” 8 sygnałów analogowych. Dla sygnałów cyfrowych zdolność przesyłową kanału określa się przepływnością binarną (liczba bitów przesłanych w ciągu sekundy – bit/s), chociaŜ i w tym przypadku występuje ograniczenie częstotliwościowe. W kanałach telefonicznych definiowane jest pasmo rozmówne zwane pasmem akustycznym, zajmowanym przez sygnały mowy, zawierające się w granicach 300÷3400 Hz. Jednostki stosowane w teletransmisji Do oceny parametrów urządzeń teletransmisyjnych oraz jakości transmisji stosowane są następujące jednostki: − dB (decybel) – słuŜy do wyraŜenia w mierze logarytmicznej stosunku dwóch wielkości mocy (Px/Py), napięcia (Ux/Uy) lub prądu (Ix/Iy), tj. do określenia poziomu mocy, tłumienności i wzmocnienia w danym punkcie drogi przesyłowej zgodnie ze wzorami: Px x dB = 10 lg Py Ux x dB = 20 lg Uy Ix x dB = 20 lg Iy gdzie Py, Uy, Iy – wartości odniesienia. − dBm – słuŜy do wyraŜenia bezwzględnego poziomu mocy pm, tj poziomu mierzonego względem mocy o wartości 1 mW, określonego wzorem Px pm = x dBm = 10 lg 1 mW gdzie Px, – moc bezwzględna sygnału w danym punkcie drogi przesyłowej [mW]. − dBu – słuŜy do wyraŜenia bezwzględnego poziomu napięcia odniesionego do napięcia owartości 0,775 V zgodnie z wzorem Ux pu = x dBu = 20 lg 0,775 V gdzie Ux, – napięcie bezwzględne sygnału w danym punkcie [V]. − dBr – słuŜy do wyraŜenia względnego poziomu mocy sygnału pomiarowego w odniesieniu do mocy w punkcie przyjętym za początek łącza zgodnie z wzorem Px pr = x dBr = 10 lg Pod
  • 10.
    „Projekt współfinansowany ześrodków Europejskiego Funduszu Społecznego” 9 gdzie Px, – moc sygnału w danym punkcie drogi przesyłowej [mW], Pod, – moc odniesienia w punkcie przyjętym za początek łącza [mW]. Parametry kanałów teletransmisyjnych W systemach teletransmisyjnych jakość transmisji ocenia się na podstawie parametrów jakościowych kanałów, które w tych systemach są realizowane. Podstawowymi parametrami kanału telekomunikacyjnego, stanowiącymi wskaźniki jakości transmisji, są: − zniekształcenia tłumieniowe powstające w wyniku niejednakowego tłumienia sygnałów o róŜnych częstotliwościach występujących w paśmie przenoszenia kanału, − zniekształcenia opóźnieniowe (fazowe) wynikające z róŜnej szybkości przenoszenia przez kanał sygnałów sinusoidalnych o róŜnych częstotliwościach, wchodzących w skład pasma przenoszenia, − zniekształcenia nieliniowe powstające w wyniku nieliniowej charakterystyki napięciowoprądowej elementów czynnych (np. tranzystory, wzmacniacze) stosowanych w urządzeniach teletransmisyjnych. Objawem zniekształceń nieliniowych jest pojawienie się w sygnale wyjściowym kanału składowych częstotliwości, których nie było w sygnale wejściowym, − przesłuchy będące zjawiskiem przenikania energii elektrycznej z jednego kanału (toru) do drugiego wskutek sprzęŜeń elektromagnetycznych miedzy tymi kanałami (torami), − szumy będące zakłóceniami o szerokim widmie częstotliwości i pochodzą z róŜnych źródeł. Przyczyną szumów mogą być zniekształcenia nieliniowe, przeniki i tzw. szumy termiczne. − zakłócenia zewnętrzne są to zakłócenia występujące w kanałach teletransmisyjnych wywołane między innymi przez pola elektromagnetyczne linii wysokiego napięcia (zakłócenia energetyczne), pola elektromagnetyczne radiostacji (zakłócenia radiowe), wyładowania atmosferyczne (zakłócenia atmosferyczne), silniki elektryczne, zasilacze impulsowe odbiorników telewizyjnych i komputerów. Tory i linie kablowe Tory kablowe stanowią obecnie podstawowy i najbardziej rozpowszechniony środek łączności w róŜnych płaszczyznach telekomunikacji. Są one w bardzo małym stopniu wraŜliwe na wpływ warunków atmosferycznych i zakłócenia zewnętrzne. Kable są układane pod ziemią na głębokości 70÷100 cm. Najczęściej klasyfikuje się je według budowy – tory i kable symetryczne oraz tory i kable współosiowe. Tory symetryczne stanowią pary przewodów (zwanych Ŝyłami) wykonanych z drutu miedzianego o średnicy 0,4÷1,4 mm. śyły izolowane materiału izolacyjnym (np. polietylenem piankowym) są grupowane i skręcane w wiązki najczęściej czteroŜyłowe. Stosuje się dwa rodzaje skrętu: − gwiazdowy polegający na jednoczesnym skręceniu wszystkich czterech Ŝył, − dwuparowy polegający na tym, Ŝe najpierw Ŝyły są skręcane parami a następnie dwie pary są skręcane ze sobą. Na rys. 1 pokazano przykładową budowę kabla symetrycznego z czwórkami gwiazdkowymi. Wiązki znajdujące się w środku kabla stanowią rdzeń. Pozostałe wiązki są rozmieszczone wokół rdzenia w jednej lub kilku współosiowych warstwach. Wszystkie Ŝyły owinięte
  • 11.
    „Projekt współfinansowany ześrodków Europejskiego Funduszu Społecznego” 10 materiałem izolacyjnym stanowią ośrodek kabla, na który nakładane są powłoki i osłony ochronne. Rys. 1. Budowa kabla symetrycznego [1, s. 157] W celu identyfikacji poszczególnych wiązek w kaŜdej warstwie oznacza się wiązkę licznikową wyznaczającą początek i wiązkę kierunkową wskazującą kierunek liczenia wiązek w warstwie. Wiązki rozróŜnia się na podstawie barwy taśmy izolacyjnej. Liczenie warstw rozpoczyna się od rdzenia. Tory kablowe moŜna scharakteryzować za pomocą jednostkowych parametrów pierwotnych ( określanych w odpowiednich jednostkach na kilometr), do których zaliczamy: rezystancję jednostkową toru R [Ω/km], pojemność jednostkową między Ŝyłami C [nF/km], indukcyjność jednostkową L [mH/km], upływność jednostkową G [µS/km]. Na podstawie parametrów pierwotnych wyznacza się parametry falowe toru: − impedancję falową R + jωL Zf = √ G + jωC − tamowność falową Γ = α + jβ = (R + jωL) (G + jωC) gdzie: α – tłumienność jednostkowa toru, β – przesuwność jednostkowa toru. W przypadku niedopasowania impedancji nadajnika i odbiornika do impedancji falowej kabla występują odbicia sygnału i niekorzystne nakładanie się sygnału z sygnałem uŜytecznym. W praktyce właściwości elektryczne kabla ocenia się na podstawie wartości następujących parametrów:
  • 12.
    „Projekt współfinansowany ześrodków Europejskiego Funduszu Społecznego” 11 − rezystancji pętli Ŝył dla prądu stałego, − rezystancji izolacji Ŝył, − pojemności skutecznej toru, − wytrzymałości elektrycznej na przebicie, − tłumienności jednostkowej w funkcji częstotliwości. Do przesyłania sygnałów zajmujących szerokie pasmo częstotliwości stosowane są tory współosiowe zwane koncentrycznymi. Tor współosiowy składa się z przewodu zewnętrznego w postaci rurki i przewodu wewnętrznego – walca, umieszczonego współosiowo wewnątrz przewodu zewnętrznego. Dzięki takiej budowie prąd elektryczny płynący w torze nie wytwarza zewnętrznego pola elektromagnetycznego. NajwaŜniejszą zaletą torów współosiowych jest mała wraŜliwość na zakłócenia zewnętrzne, a zwłaszcza przeniki energii z sąsiednich torów. MontaŜ kabli MontaŜ kabli polega na łączeniu sąsiednich odcinków za pomocą złączy kablowych oraz zakończeniu kabli głowicami. Przed rozpoczęciem montaŜu naleŜy: − sprawdzić szczelność powłoki, − sprawdzić Ŝyły na przerwy i zwarcia, − zmierzyć rezystancję izolacji. Przed wykonaniem złącza naleŜy przygotować końcówki kabla (zdjąć osłonę ochronną, rozdzielić i odgiąć poszczególne wiązki Ŝył). Łączenie odcinków kabli symetrycznych rozpoczyna się od wiązek leŜących w rdzeniu kabla a następnie w kolejnych warstwach. Sposób łączenia Ŝył pokazano na rys. 2. Rys. 2. Łączenie Ŝył w kablu symetrycznym [1, s. 169]
  • 13.
    „Projekt współfinansowany ześrodków Europejskiego Funduszu Społecznego” 12 Odpowiadające sobie Ŝyły obu odcinków skręca się wstępnie z izolacją a następnie końce obu Ŝył oczyszcza się, skręca i lutuje, poczym skrętkę dogina się do połączonych Ŝył i naciąga tuleję izolacyjną. Po połączeniu wszystkich Ŝył, złącze naleŜy wysuszyć gorącym powietrzem i zabezpieczyć materiałem izolacyjnym. Kontrola ciśnieniowa szczelności powłoki kabla W celu niedopuszczenia do zawilgocenia ośrodka kabla w przypadku uszkodzenia powłoki stosuje się kontrolę ciśnieniową kabli. RozróŜnia się dwa systemy kontroli ciśnieniowej szczelności: − system z automatycznym dopełnianiem gazu – polega na doprowadzeniu do ośrodka kabla gazu kontrolnego i utrzymywaniu go na stałym nadciśnieniu. W przypadku uszkodzenia powłoki i upływu gazu kontrolnego z kabla, następuje spadek ciśnienia w obwodzie zasilania gazem, który uruchamia sygnalizację alarmową na stacji dozorującej, − system czujnikowy bez rezerwy gazu – polega na napełnieniu odcinków ciśnieniowych kabla gazem bez jego dopełniania w przypadku uszkodzenia powłoki kabla. Do sygnalizacji uszkodzenia i jego wstępnej lokalizacji słuŜą czujniki reagujące na spadek ciśnienia w ośrodku kabla, zainstalowane w regularnych odstępach. Do analizy sygnałów odbieranych z linii stosuje się na stacjach dozorujących mikroprocesory i komputery. Konserwacja i pomiary eksploatacyjne linii kablowych Konserwacja linii kablowych polega na przeprowadzaniu systematycznych kontrolnych pomiarów elektrycznych torów oraz przeglądów tras i obiektów kablowych (studni i szaf kablowych), utrzymywaniu w stanie pełnej sprawności urządzeń kontroli ciśnieniowej. Do czynności konserwacyjnych zalicza się takŜe wyszukiwanie i usuwanie wszelkich uszkodzeń. Metody i przyrządy pomiarowe stosowane do pomiarów kabli powinny być zgodne z instrukcjami i wytycznymi. Ogólne zasady wykonywania pomiarów podstawowych parametrów kabli są następujące: − pomiar rezystancji i asymetrii rezystancji Ŝył wykonuje się za pomocą układów mostkowych lub omomierza, błąd pomiaru nie powinien przekraczać ±1% wartości mierzonej, − rezystancję izolacji Ŝył mierzy się megaomomierzem, metodą mostkową lub za pomocą woltomierza i miliamperomierza, przy czym pomiar powinien być wykonany z dokładnością 10% dla wartości 0,1÷10 000 MΩ, a powyŜej 10 000 MΩ z dokładnością około 25% wartości mierzonej, − próbę wytrzymałości elektrycznej izolacji Ŝył wykonuje się za pomocą prądu zmiennego (50 Hz) w układzie z płynną regulacją wartości napięcia probierczego (napięcia próby), − pomiar tłumienności skutecznej toru, tłumienności przesłuchowej i odstępu od przesłuchu wykonuje się metodą techniczną, a błąd pomiaru nie powinien być większy od ± 1 dB, − pomiary impedancji wejściowej toru wykonuje się metodą mostkową z dokładnością około ± 1% wartości mierzonej,
  • 14.
    „Projekt współfinansowany ześrodków Europejskiego Funduszu Społecznego” 13 − impedancję falową toru Zf wyznacza się wykorzystując wyniki pomiaru impedancji wejściowej Zo toru otwartego na końcu i impedancji Zzw toru zwartego na końcu korzystając ze wzoru _____ Zf = √ Zo Zzw Obecnie do pomiarów uŜywa się przyrządów wielofunkcyjnych, umoŜliwiających mierzenie róŜnych parametrów. 4.1.2. Pytania sprawdzające Odpowiadając na pytania, sprawdzisz, czy jesteś przygotowany do wykonania ćwiczeń. 1. Jaka jest róŜnica między systemem teleinformatycznym a systemem teletransmisyjnym? 2. Czym róŜni się linia teletransmisyjna od toru teletransmisyjnego? 3. Jaki jest podział torów teletransmisyjnych? 4. Czym charakteryzują się poszczególne rodzaje torów teletransmisyjnych? 5. Jaki przedział częstotliwości zajmuje pasmo rozmówne? 6. Jakie specjalistyczne jednostki są stosowane do oceny jakości transmisji? 7. Jakie są parametry kanałów teletransmisyjnych? 8. Jak zbudowane są tory symetryczne? 9. W jaki sposób identyfikuje się wiązki w kablu symetrycznym? 10. Jakie rodzaje skrętu stosuje się w kablu symetrycznym? 11. Jakie znasz parametry falowe toru kablowego? 12. Jakie parametry określają właściwości elektryczne kabla? 13. Jak zbudowany jest tor współosiowy? 14. Na czym polega montaŜ kabli? 15. Jakie czynności naleŜy wykonać przed rozpoczęciem montaŜu złącza kablowego? 16. Jakie są kolejne etapy wykonania złącza kablowego? 17. W jakim celu stosuje się kontrolę ciśnieniową szczelności powłoki kabla? 18. Jakie znasz systemy kontroli ciśnieniowej szczelności powłoki kabla? 19. Na czym polega konserwacja linii kablowych? 20. Jakie parametry są mierzone w ramach prac konserwacyjnych linii kablowych? 21. W jaki sposób są wykonywane pomiary poszczególnych parametrów linii kablowych? 4.1.3. Ćwiczenia Ćwiczenie 1 Sklasyfikuj wskazane przez nauczyciela rodzaje kabli na podstawie ich budowy. Sposób wykonania ćwiczenia Aby wykonać ćwiczenie, powinieneś: 1) odszukać w materiałach dydaktycznych kryteria klasyfikacji kabli, 2) dokonać analizy budowy kabli, 3) rozpoznać rodzaje kabli,
  • 15.
    „Projekt współfinansowany ześrodków Europejskiego Funduszu Społecznego” 14 4) zapisać nazwy i krótką charakterystykę budowy rozpoznanych kabli. WyposaŜenie stanowiska pracy: − fragmenty róŜnych rodzajów kabli, − papier formatu A4, flamastry, − literatura zgodna z punktem 6 poradnika. Ćwiczenie 2 Wykonaj pomiary parametrów elektrycznych wskazanych przez nauczyciela rodzajów kabli. Oblicz jednostkowe parametry pierwotne, porównaj otrzymane wartości parametrów dla róŜnego rodzaju kabli i oceń właściwości elektryczne mierzonych kabli teletransmisyjnych. Sposób wykonania ćwiczenia Aby wykonać ćwiczenie, powinieneś: 1) odszukać w materiałach dydaktycznych parametry elektryczne i warunków ich pomiaru, 2) dobrać odpowiednie mierniki i metody pomiaru, 3) wykonać pomiary wartości i zapisać wyniki, 4) wykonać niezbędne obliczenia, 5) przeanalizować otrzymane wyniki, 6) ocenić właściwości elektryczne kabli i uzasadnić ocenę. WyposaŜenie stanowiska pracy: − papier formatu A4, flamastry, − odcinki róŜnego rodzaju kabli, − zestaw mierników, − literatura zgodna z punktem 6 poradnika. Ćwiczenie 3 Wyznacz parametry falowe toru teletransmisyjnego dla podanych parametrów jednostkowych: R = 78 Ω/km, C = 21 nF/km, L = 50 mH/km, G = 15 µS/km. Sposób wykonania ćwiczenia Aby wykonać ćwiczenie, powinieneś: 1) odszukać w materiałach dydaktycznych zaleŜności określające parametry falowe torów, 2) wykonać stosowne obliczenia, 3) zapisać wzory i wyniki, 4) uzasadnić poprawność otrzymanych wyników. WyposaŜenie stanowiska pracy: − papier formatu A4, flamastry, − poradnik dla ucznia,
  • 16.
    „Projekt współfinansowany ześrodków Europejskiego Funduszu Społecznego” 15 − literatura zgodna z punktem 6 poradnika. Ćwiczenie 4 Wykonaj złącze kablowe łączące ze sobą dwa odcinki kabla symetrycznego. Sposób wykonania ćwiczenia Aby wykonać ćwiczenie powinieneś: 1) wykonać czynności przed rozpoczęciem montaŜu złącza, 2) przygotować końcówki przewodów do montaŜu. 3) zidentyfikować poszczególne wiązki i przewody w wiązkach, 4) wykonać we właściwej kolejności czynności związane z połączeniem dwóch odcinków kabla, 5) wykonać pomiary wartości parametrów połączonego kabla i zapisać wyniki, 6) przeanalizować otrzymane wyniki, 7) ocenić poprawność wykonanego złącza kablowego, 8) uzasadnić ocenę. WyposaŜenie stanowiska pracy: − papier formatu A4, flamastry, − dwa odcinki kabla symetrycznego, − zestaw narzędzi i elementy niezbędne do wykonania złącza, − zestaw mierników, − literatura zgodna z punktem 6 poradnika. 4.1.4. Sprawdzian postępów Czy potrafisz: Tak Nie 1) wyjaśnić róŜnicę między systemem teletransmisyjnym a systemem teleinformatycznym? 2) wyjaśnić pojęcie kanał telekomunikacyjny? 3) wyjaśnić pojęcie tor teletransmisyjny? 4) sklasyfikować tory teletransmisyjne? 5) zdefiniować jednostki: dB, dBm, dBr, dBu,? 6) opisać parametry torów przewodowych? 7) rozróŜnić rodzaje kabli telekomunikacyjnych? 8) porównać właściwości kabli symetrycznych i koncentrycznych? 9) ocenić właściwości elektryczne kabla? 10) zidentyfikować wiązki w kaŜdej warstwie kabla symetrycznego? 11) pomierzyć parametry elektryczne kabla? 12) przeliczyć parametry elektryczne torów przewodowych na parametry falowe? 13) wykonać poprawnie połączenie Ŝył w kablu symetrycznym? 14) rozróŜnić systemy kontroli ciśnieniowej szczelności powłoki kabla?
  • 17.
    „Projekt współfinansowany ześrodków Europejskiego Funduszu Społecznego” 16 15) zastosować odpowiednie metody i przyrządy pomiarowe do pomiarów kabli? 16) ocenić jakość toru? 17) wykonać konserwację kabli telekomunikacyjnych?
  • 18.
    „Projekt współfinansowany ześrodków Europejskiego Funduszu Społecznego” 17 4.2. Tory i linie światłowodowe 4.2.1. Materiał nauczania Budowa i właściwości torów i kabli światłowodowych Kable światłowodowe charakteryzują się bardzo szerokim pasmem przenoszenia, odpornością na zakłócenia, dobrą izolacją elektryczną torów, małą tłumiennością torów oraz małą masą. Tory przewodowe w kablach światłowodowych stanowią włókna szklane, w których są przesyłane fale świetlne leŜące w zakresie bliskim podczerwieni, będące nośnikami informacji. Światłowodowe włókna szklane, zwane światłowodami, są wytwarzane z czystego szkła kwarcowego, przy czym ośrodek włókna nie jest jednorodny, lecz składa się z dwóch warstw o róŜnej stałej dielektrycznej, nałoŜonych na siebie współosiowo. Część wewnętrzna światłowodu nazywana jest rdzeniem, część zewnętrzna – płaszczem. Na płaszcz nałoŜone są powłoki ochronne zabezpieczające światłowód przed uszkodzeniami mechanicznymi oraz przed wilgocią. Powłoki ochronne są wytwarzane z lakieru termoutwardzalnego, gumy silikonowej lub teflonu. Przewodnikiem światła jest rdzeń światłowodu, w którym rozchodzą się fale świetlne. Promienie świetlne wprowadzone do światłowodu przebywają drogę wzdłuŜ linii łamanej, ulegając wielokrotnym odbiciom od powierzchni zetknięcia rdzenia z płaszczem. W danym światłowodzie mogą się rozchodzić tylko określone rodzaje fal zwane modami. Poszczególne mody róŜnią się między sobą kątem odbicia na granicy rdzenia i płaszcza i zaleŜą od kąta padania promienia świetlnego na płaszczyznę czołową światłowodu. Rys. 3. Światłowód kwarcowy z pokryciem ochronnym i jego własności: 2θ – stoŜek akceptacji, 2a – średnica rdzenia, 2d – średnica płaszcza, lakier i guma silikonowa – materiały pierwszego i drugiego pokrycia [1, s. 175] RozróŜnia się światłowody: − jednomodowe – o bardzo małej średnicy rdzenia równej długości fali świetlnej, w których jest przesyłany tylko jeden rodzaj fali, − wielomodowe – o znacznie większej średnicy rdzenia niŜ długość fali świetlnej, w których moŜe rozchodzić się wiele rodzajów fal o danej długości.
  • 19.
    „Projekt współfinansowany ześrodków Europejskiego Funduszu Społecznego” 18 W światłowodzie kaŜdy mod rozchodzi się z róŜną prędkością, wskutek czego w światłowodach wielodomowych powstaje zjawisko dyspersji modowej, polegające na tym, Ŝe impulsy świetlne odbierane na wyjściu toru są poszerzone w stosunku do impulsów na wejściu toru. W celu zmniejszenia tego zjawiska są konstruowane światłowody gradientowe o zmniejszającym się współczynniku załamania światła w rdzeniu w miarę oddalania się od jego osi. Światłowody telekomunikacyjne dzielimy na: − światłowody pierwszej generacji – wykorzystujące pierwsze okno długości fal, zawierające włókna wielomodowe gradientowe, przystosowane do przesyłania fal świetlnych o długości 850 nm, − światłowody drugiej generacji – stanowią włókna optyczne wielomodowe gradientowe, przystosowane do transmisji fal świetlnych o długości 1300 nm, leŜących w drugim oknie długości fal, − światłowody trzeciej generacji – zawierające włókna jednomodowe, przystosowane do przesyłania fal świetlnych o długości 1300 nm lub 1550 nm. Kable światłowodowe są produkowane w róŜnych rozwiązaniach konstrukcyjnych, podstawowe z nich to konstrukcje: − swobodna rurkowa (tubowa) – włókna są rozmieszczone w rurkach plastikowych, zawierających od 1 do 10 włókien światłowodowych, − rozetowa – kabel posiada specjalnie wyprofilowany rdzeń rozetowy, w którym są układane włókna, − ścisła – włókno światłowodowe pokryte jest ściśle powłoką z tworzyw sztucznych. Rys. 4. Konstrukcje kabli światłowodowych: a) swobodna; b) rozetowa; c) ścisła, 1 – pokrycie wtórne w postaci luźnej tuby, 2 – wypełnienie Ŝelem tiksotropowym, 3 – centralny element wzmacniający, 4 – taśma owijająca, 5 – powłoka zewnętrzna, 6 – włókna światłowodowe, 7 – rdzeń rozetowy, 8 – dodatkowe pokrycie wzmacniające, 9 – powłoka z przędzy aramidowej, 10 – pokrycie pierwotne, 11 – pokrycie wtórne poliamidowe, 12 – wzmocnienie włókien szklanych, 13 – powłoka zewnętrzna [1, s. 177] Parametry światłowodów Podstawowymi parametrami transmisyjnymi światłowodów są: − tłumienność, − pasmo przenoszenia.
  • 20.
    „Projekt współfinansowany ześrodków Europejskiego Funduszu Społecznego” 19 Parametry zaleŜą od wymiarów geometrycznych włókna, rodzaju uŜytych materiałów a przede wszystkim od długości fali przesyłanego światła. Tabela 1. Podstawowe parametry kabli światłowodowych jedno- i wielodomowych [1, s. 176] Parametry Jednostki Światłowód jednodomowy Światłowód wielomodowy Średnica rdzenia µm – 50 Średnica pola modów µm 9 ÷ 10 – Średnica płaszcza µm 125 125 Średnica pokrycia µm 250 250 Tłumienność jednostkowa – dla fali 850 nm – dla fali 1300 nm – dla fali 1550 nm dB/km – < 0,5 < 0,3 < 3,5 < 1,5 – Jednostkowa dyspersja chromatyczna – dla fali 1250 ÷1300 nm – dla fali 1550 nm ps/(nm· km) < 3,5 < 20 – – Łączenie kabli światłowodowych Łączenie kabli światłowodowych jest procesem skomplikowanym, wymagającym duŜej precyzji i dobrej znajomości wszystkich kolejnych operacji. Złącza powinny być wykonane niezwykle starannie, poniewaŜ od jakości złączy włókien światłowodowych zaleŜą parametry transmisyjne. KaŜde złącze moŜe wprowadzać straty dochodzące nawet do 1 dB. Oprócz włókien światłowodowych muszą być połączone pozostałe elementy kabla, tak aby była zapewniona ciągłość zabezpieczeń mechanicznych i przeciwwilgociowych. Przy łączeniu światłowodów niezwykle waŜne jest uzyskanie zwierciadlanej, gładkiej i prostopadłej do osi powierzchni końca włókien Włókna światłowodowe w kablach tnie się metodą wykorzystującą zjawisko pękania włókien szklanych w miejscu zarysowania go, pod wpływem działania siły rozciągającej. Do tego celu uŜywa się specjalnego zestawu narzędzi. Złącza stałe włókien światłowodowych wykonuje się w praktyce dwoma sposobami: przez spawanie lub przez sklejanie włókien. Spawanie wykonuje się za pomocą specjalistycznej aparatury (specjalnych spawarek). W procesie spawania najpierw za pomocą mikroskopu sprawdza się właściwe ustawienie względem siebie zetkniętych końców włókien a następnie podgrzewa łukiem elektrycznym. Cykl spawania jest regulowany przez procesor a po zakończeniu operacji spawania sprawdzana jest automatycznie jakość spawu poprzez pomiar tłumienności optycznej złącza.
  • 21.
    „Projekt współfinansowany ześrodków Europejskiego Funduszu Społecznego” 20 Rys. 5. Sposób spawania światłowodów: a) ustawienie włókien przy spawaniu; b) fazy spawania, 1 – grubordzeniowy światłowód, 2 – dioda LED, 3 i 5 – spawane włókna, 4 – pręt wyginający włókno, 6 – wzmacniacz, 7 – fotodioda, 8 – mikroprocesor [1, s. 179] W procesie sklejania włókien światłowodowych łączone włókna umieszczane są rowku w kształcie litery V, wyŜłobionym w specjalnej płytce np. ze szkła organicznego, w celu precyzyjnego naprowadzenia ich na siebie. Następnie końcówki łączonych włókien pokrywa się bardzo cienką warstwą odpowiedniego kleju (np. Ŝywicy epoksydowej) i po zetknięciu ze sobą podgrzewa się w celu szybszego utwardzenia kleju. Na tak wykonane złącze nakłada się specjalną obudowę. Straty tego typu złącza wynoszą około 0,1 dB.
  • 22.
    „Projekt współfinansowany ześrodków Europejskiego Funduszu Społecznego” 21 Rys. 6. Sposób klejenia złączy stałych: a) V–rowek i płaska płytka; b) połączenie z podwójnym V–rowkiem; c) centrowanie w trójkącie; d) i e) centrowanie w kapilarze; f) centrowanie w rurce; g) zasada wykorzystania V–rowka [1, s. 180] Do łączenia pojedynczych światłowodów stosuje się złącza rozłączalne, które składają się z elementów stanowiących zakończenie włókna światłowodowego, prowadnic umoŜliwiających właściwe ustawienie zakończeń włókien oraz obudowy złącza. Przykładową konstrukcję złącza stykowego przedstawia rysunek 7. Rys. 7. Konstrukcja złącza rozłączalnego: 1 – kabel, 2 – rurka, 3 – tuleja dociskowa, 4 – obudowa złącza, 5 – nasadka, 6 – włókno światłowodowe,7 – czoło nasadki, 8 – prowadnica [1, s. 180] 4.2.2. Pytania sprawdzające Odpowiadając na pytania, sprawdzisz, czy jesteś przygotowany do wykonania ćwiczeń. 1. Jak zbudowany jest światłowód? 2. Na czym polega zjawisko dyspersji modowej? 3. Jakie znasz rodzaje światłowodów? 4. Jakie są róŜnice między światłowodem jednodomowym, wielodomowym i gradientowym? 5. Jak dzielimy światłowody telekomunikacyjne? 6. Jakie znasz rodzaje konstrukcji światłowodowych? 7. Jakie znasz parametry transmisyjne światłowodów? 8. Od czego zaleŜą parametry światłowodów? 9. Jakie zjawisko jest wykorzystywane w procesie ciecia światłowodów? 10. Jakie znasz sposoby wykonania złączy stałych włókien światłowodowych? 11. Jakie czynności naleŜy wykonać przy spawie włókien światłowodowych? 12. Jakie są fazy spawania światłowodów?
  • 23.
    „Projekt współfinansowany ześrodków Europejskiego Funduszu Społecznego” 22 13. Na czym polega proces klejenia światłowodów? 14. Jakie znasz sposoby klejenia światłowodów? 15. Kiedy stosujemy złącza rozłączne? 16. Jak jest wykonane złącze rozłączne? 17. Jaki parametr określa jakość wykonanego złącza? 18. Jakie są dopuszczane straty na złączu w światłowodach? 4.2.3. Ćwiczenia Ćwiczenie 1 Sklasyfikuj wskazane przez nauczyciela kable światłowodowe na podstawie ich konstrukcji. Sposób wykonania ćwiczenia Aby wykonać ćwiczenie, powinieneś: 1) odszukać w materiałach dydaktycznych kryteria klasyfikacji konstrukcji kabli światłowodowych, 2) dokonać analizy konstrukcji kabli światłowodowych, 3) rozpoznać rodzaje konstrukcji kabli światłowodowych, 4) zapisać nazwy i krótką charakterystykę budowy rozpoznanych konstrukcji kabli światłowodowych. WyposaŜenie stanowiska pracy: − róŜne rodzaje kabli światłowodowych, − papier formatu A4, flamastry, − literatura zgodna z punktem 6 poradnika. Ćwiczenie 2 Wykonaj połączenie włókien światłowodowych metodą spawania. Sposób wykonania ćwiczenia Aby wykonać ćwiczenie, powinieneś: 1) wykonać czynności związane z przygotowaniem stanowiska pracy do wykonania ćwiczenia, 2) przygotować końcówki światłowodu do spawu, 3) wykonać we właściwej kolejności czynności związane z połączeniem dwóch odcinków światłowodu metodą spawania, 4) wykonać pomiar wartości tłumienności optycznej złącza i zapisać wyniki, 5) przeanalizować otrzymane wyniki, 6) ocenić poprawność wykonanego złącza włókien światłowodowych, 7) uzasadnić ocenę.
  • 24.
    „Projekt współfinansowany ześrodków Europejskiego Funduszu Społecznego” 23 WyposaŜenie stanowiska pracy: − papier formatu A4, flamastry, − dwa odcinki kabla światłowodowego, − narzędzia i elementy niezbędne do wykonania złącza (spawarka światłowodowa, narzędzie do cięcia światłowodów), − zestaw mierników, − literatura zgodna z punktem 6 poradnika. Ćwiczenie 3 Wykonaj połączenie włókien światłowodowych metodą klejenia. Sposób wykonania ćwiczenia Aby wykonać ćwiczenie powinieneś: 1) wykonać czynności związane z przygotowaniem stanowiska pracy do wykonania ćwiczenia, 2) przygotować końcówki światłowodu do połączenia, 3) wykonać we właściwej kolejności czynności związane z połączeniem dwóch odcinków światłowodu metodą klejenia, 4) wykonać pomiar wartości tłumienności optycznej złącza i zapisać wyniki, 5) przeanalizować otrzymane wyniki, 6) ocenić poprawność wykonanego złącza włókien światłowodowych, 7) uzasadnić ocenę. WyposaŜenie stanowiska pracy: − papier formatu A4, flamastry, − dwa odcinki kabla światłowodowego, − zestaw narzędzi i elementów niezbędnych do wykonania złącza (klej, płytki(prowadnice), narzędzie do cięcia światłowodów,), − zestaw mierników, − literatura zgodna z punktem 6 poradnika. Ćwiczenie 4 Wykonaj złącze rozłączne kabla światłowodowego. Sposób wykonania ćwiczenia Aby wykonać ćwiczenie powinieneś: 1) wykonać czynności związane z przygotowaniem stanowiska pracy do wykonania ćwiczenia, 2) przygotować końcówki światłowodu,
  • 25.
    „Projekt współfinansowany ześrodków Europejskiego Funduszu Społecznego” 24 3) wykonać we właściwej kolejności czynności związane z montaŜem zakończeń złącza rozłącznego, 4) wykonać pomiar wartości tłumienności optycznej złącza i zapisać wyniki, 5) przeanalizować otrzymane wyniki, 6) ocenić poprawność wykonanego złącza rozłącznego włókien światłowodowych, 7) uzasadnić ocenę. WyposaŜenie stanowiska pracy: − papier formatu A4, flamastry, − dwa odcinki kabla światłowodowego, − zestaw narzędzi i elementy niezbędne do wykonania złącza (elementy złącza, narzędzie do cięcia światłowodów), − zestaw mierników, − literatura zgodna z punktem 6 poradnika. 4.2.4. Sprawdzian postępów Czy potrafisz: Tak Nie 1) opisać budowę światłowodu ? 2) wyjaśnić zasadę transmisji sygnałów optycznych w światłowodzie? 3) wyjaśnić pojęcie dyspersji modowej? 4) sklasyfikować światłowody? 5) określić róŜnice między róŜnymi rodzajami światłowodów? 6) określić parametry transmisyjne światłowodów? 7) sklasyfikować światłowody telekomunikacyjne? 8) rozróŜnić konstrukcje kabli światłowodowych? 9) wyjaśnić sposób cięcia światłowodów? 10) wyjaśnić sposób wykonania złącza włókien światłowodowych metodą spawania? 11) wykonać złącze włókien światłowodowych metoda spawania? 12) wyjaśnić sposób wykonania złącza włókien światłowodowych metodą klejenia? 13) wykonać złącze włókien światłowodowych metoda klejenia? 14) wykonać złącze rozłączne włókien światłowodowych? 15) określić jakość wykonanego złącza? 4.3. Transmisja sygnałów analogowych i cyfrowych 4.3.1. Materiał nauczania
  • 26.
    „Projekt współfinansowany ześrodków Europejskiego Funduszu Społecznego” 25 Zasady transmisji analogowej i cyfrowej Analogowe teletransmisyjne systemy wielokrotne pracują na zasadzie częstotliwościowego zwielokrotnienia kanałów. Systemy te umoŜliwiają utworzenie na jednym torze wielu kanałów częstotliwościowych, rozmieszczonych w róŜnych pasmach częstotliwości, dzięki czemu istnieje moŜliwość jednoczesnego przesyłania po jednym torze wielu niezaleŜnych od siebie sygnałów elektrycznych. Podstawą zwielokrotnienia jest kanał telefoniczny o szerokości 3,1 kHz. Cyfrowe systemy teletransmisyjne są oparte na zasadzie czasowego zwielokrotnienia kanałów z wykorzystaniem układów cyfrowych. Dokonuje się w nich przekształcenia sygnałów analogowych przesyłanych w kanałach telefonicznych na sygnał cyfrowy z wykorzystaniem modulacji kodowo-impulsowej PCM (ang. Pulse Code Modulation). Rozwój technologii w zakresie logicznych układów scalonych umoŜliwił budowanie systemów teletransmisyjnych o większej krotności a zatem i większej przepustowości. Stworzono systemy cyfrowe o krotnościach 120, 480, 1920 pracujące na kablach miedzianych. Dalsze zwiększenie krotności umoŜliwiło wprowadzenie włókien światłowodowych jako ośrodków transmisji. Metody częstotliwościowe i czasowe wielokrotnego wykorzystania torów transmisyjnych Zwielokrotnienie częstotliwościowe polega na przekształceniu widma sygnału akustycznego na sygnały, których widma leŜą w zakresie wielkich częstotliwości róŜnych przedziałów pasma przenoszenia danego toru. Przekształcenie odbywa się na drodze modulacji amplitudowej i nazywa się przemianą częstotliwości. Zakres częstotliwości, do którego zostaje przesunięty sygnał modulujący w wyniku przemiany, zaleŜy od częstotliwości fali nośnej, który jest modulowany tym sygnałem i jest nośnikiem informacji zawartych w sygnale. Zmodulowany sygnał zawiera inne produkty modulacji, które są eliminowane za pomocą filtrów przepuszczających tylko uŜyteczne pasmo. W systemach teletransmisyjnych przesyłana jest tylko jedna wstęga boczna, która umoŜliwia odtworzenie nadawanego sygnału w odbiorniku. Falę nośną niezbędną do demodulacji po stronie odbiorczej wytwarza się w generatorze lokalnym, dokładnie odtwarzającym częstotliwość fali nośnej nadajnika. Metoda zwielokrotnienia częstotliwościowego jest przedstawiona na rys. 8.
  • 27.
    „Projekt współfinansowany ześrodków Europejskiego Funduszu Społecznego” 26 Rys. 8. Zasada zwielokrotniania częstotliwościowego kanałów: a) schemat połączeń; b) rozkład częstotliwości kanałów; c) widmo sygnału telefonicznego po przemianie częstotliwości , M – modulator amplitudowy przemiany częstotliwości, F – filtr tłumiący sygnały niepoŜądane, W – wzmacniacz, D – demodulator amplitudowy, fs – naturalny sygnał z pasma akustycznego (sygnał modulujący), F1 ,F2 ,F3 – sygnały nośne kolejnych kanałów (sygnały modulowane), ∆f = f2 – f1 – pasmo częstotliwości sygnału modulującego, f1 – graniczna częstotliwość dolna sygnału modulującego, f2 - graniczna częstotliwość górna sygnału modulującego [2, s. 33] W podanym przykładzie przesyłane są trzy sygnały fs = 2kHz, zmodulowane przez trzy róŜne fale nośne F1 = 12 kHz, F2 = 16 kHz, F3 = 20 kHz, oraz został zastosowany filtr dolnoprzepustowy, ograniczający pasmo tak aby przepuszczał tylko boczne wstęgi dolne. Zwielokrotnienie czasowe polega na przesyłaniu róŜnych sygnałów po jednym torze w róŜnych przedziałach czasu, które nazywane są kanałami czasowymi. KaŜdy przebieg określonej wielkości w funkcji czasu moŜna odtworzyć z chwilowych wartości (próbek) tego przebiegu, pobieranych w ściśle określonych, regularnych odstępach czasu. Odstęp czasu między próbkami Tp musi być tak dobrany, aby zawarty w nim przebieg zawierał nie więcej niŜ jedno minimum lub maksimum. Częstotliwość próbkowania jest określona przez prawo próbkowania, które ma postać: Częstotliwość próbkowania fp powinna być, co najmniej dwukrotnie większa od największej częstotliwości fg sygnału próbkowanego. fp > 2 fg
  • 28.
    „Projekt współfinansowany ześrodków Europejskiego Funduszu Społecznego” 27 Rys. 9. Próbkowanie przebiegu analogowego: 1 – przebieg analogowy ( informacja), 2 – ciąg impulsów próbkujących o ustalonej częstotliwości fp = 1/Tp, 3 – przebieg po próbkowaniu ( sygnał PAM), ∆t – czas trwania próbki [2, s. 37] Dla sygnałów telefonicznych o widmie 300 ÷ 3400 Hz przyjmuje się częstotliwość próbkowania fp = 8 kHz, w związku z tym okres próbkowania wynosi Tp = 1/ fp =125 µs. Czas trwania próbek ∆t jest z reguły duŜo krótszy od okresu próbkowania Tp, czyli czasowego odstępu między próbkami (∆t << Tp ), co umoŜliwia przesyłanie między próbkami danego przebiegu, próbek innych sygnałów pochodzących z innych kanałów telefonicznych. Na tym właśnie polega zwielokrotnienie czasowe kanałów. Układ (model mechaniczny) do tworzenia kanałów czasowych, tj. zwielokrotnienia czasowego kanałów, który ilustruje ideę próbkowania przebiegów z przykładowych 4 oddzielnych kanałów, jest przedstawiony na rys. 10. Rys. 10. Przykład układu ilustrującego ideę zwielokrotnienia czasowego kanałów [2, s. 38] W przedstawionym układzie do zwielokrotnienia czasowego kanałów, wykorzystano dwa komutatory elektromechaniczne posiadające styki stałe oraz styki wirujące (szczotki). Komutator po stronie nadawczej jest urządzeniem próbkującym, a po stronie odbiorczej – urządzeniem rozdzielającym. Oba komutatory współpracują z urządzeniami taktującymi wytwarzającymi przebiegi impulsowe. Do styków stałych dołączone są poszczególne kanały naturalne o paśmie 300 ÷ 3400 Hz. Szczotki komutatorów połączone są ze sobą linią przesyłową
  • 29.
    „Projekt współfinansowany ześrodków Europejskiego Funduszu Społecznego” 28 i wirują synchronicznie z ustaloną prędkością ωp, która jednoznacznie wyznacza częstotliwość próbkowania fp = ωp/2π. Wirujące szczotki realizują połączenia między stacjami kolejno dla poszczególnych kanałów w róŜnych chwilach czasowych. Połączenia dla danego kanału powtarzają się cyklicznie z częstotliwością fp. Rys. 11. Przykład tworzenia sygnału zbiorczego PAM [1, s. 251] Sygnał zbiorczy wysyłany w linię przez urządzenie próbkujące i odbierany z linii przez urządzenie rozdzielające, ma postać ciągu impulsów (rys. 11), które są próbkami sygnałów z poszczególnych kanałów. Taki ciąg impulsów o amplitudach modulowanych przebiegiem próbkowanym jest oznaczany skrótem PAM (ang. Pulse Amplitude Modulation). W praktyce próbki nie są przesyłane w linii w sposób bezpośredni w postaci sygnału PAM, lecz są poddawane dodatkowej modulacji. W systemach teletransmisyjnych najczęściej stosuje się modulację kodowo – impulsową PCM ( ang. Pulse Code Modulation). Charakterystyka systemów PCM Istota metody PCM polega na tym, Ŝe amplitudy impulsów modulowanych sygnałem próbkowanym są wyraŜane liczbami dwójkowymi za pomocą odpowiedniej kombinacji cyfr 0 i 1, przy czym w układzie elektrycznym 1 oznacza stan prądowy a 0 – stan bezprądowy. Za
  • 30.
    „Projekt współfinansowany ześrodków Europejskiego Funduszu Społecznego” 29 pomocą liczby dwójkowej określany jest przedział w jakim znajduje się wierzchołek dane próbki. Cały zakres amplitud jest dzielony na 2n jednakowych przedziałów zwanych skokami kwantyzacji, którym są przyporządkowane kolejne liczby dwójkowe składające się z n cyfr. Proces określenia, w którym przedziale znajduje się dana próbka nazywa się kwantowaniem. Rys. 12. Kwantowanie i kodowanie próbek sygnału [2, s. 39] KaŜda próbka w sygnale PCM jest przedstawiona w postaci grupy (7 lub 8) bitów. Przedział czasu jaki zajmuje grupa bitów reprezentująca dana próbkę nazywany jest czasową szczeliną kanałową. Zbiór następujących po sobie szczelin czasowych odpowiadających poszczególnym kanałom naturalnym, w których przesyłane są próbkowane sygnały, nazywa się ramką. Ramka obejmuje czas pomiędzy dwiema kolejnymi próbkami tego samego kanału, co oznacza Ŝe długość ramki jest równa okresowi próbkowania Tp = 1/ fp. W celu zapewnienia poprawnej transmisji konieczna jest synchronizacja sygnału nadawanego z sygnałem odtworzonym w odbiorniku. Sygnały te muszą być zgodne, co do struktury, połoŜenia w czasie i wzoru ramek w urządzeniu nadawczym i odbiorczym. Proces ten nazywa się fazowaniem ramek. Do fazowania ramek w nadajniku i odbiorniku są wytwarzane odpowiednie sygnały, które są ze sobą porównywane w odbiorniku. Zasadę pracy systemu PCM przedstawia rys. 13.
  • 31.
    „Projekt współfinansowany ześrodków Europejskiego Funduszu Społecznego” 30 Rys. 13. Schemat blokowy systemu cyfrowego z modulacją PCM [2, s. 40] Budowa i zasada działania krotnic PCM 30/32 W urządzeniach zwanych krotnicami PCM 30/32 sygnały z 30 kanałów telefonicznych są przetwarzane w jeden zbiorczy sygnał cyfrowy o przepływności 2048 kbit/s. Sygnał wyjściowy z tych krotnic ma postać cyklicznie powtarzających się ramek zawierających po 32 szczeliny kanałowe, z których 30 szczelin słuŜy do przesyłania informacji, jedna szczelina (zerowa – S0 ) – do przesyłania wzoru synchronizacji ramki, oraz jedna szczelina (szesnastaS16) – do przesyłania sygnalizacji komutacyjnej, a takŜe kontroli i nadzoru. Wszystkie szczeliny są 8-bitowe o czasie trwania 3,9 µs kaŜda. Przepływność jednego kanału telefonicznego wynosi 64 kbit/s. Rys. 14. Struktura ramki PCM 30/32: FAS – przebieg analogowy sygnał fazowania ramki, NFAS – brak sygnału fazowania ramki, Si – bity rezerwowe do wykorzystania międzynarodowego, A – alarm fazowania ramki, 0 – brak alarmu, 1 – stan alarmu, Sn – bity rezerwowe [1, s. 254] W krotnicach PCM 30/32 tworzona jest teŜ wieloramka PCM 30/32 zawierająca 16 ramek (ponumerowane od 0 do 15) i umoŜliwiająca przesyłanie kryteriów sygnalizacji komutacyjnej, sygnały kontroli nadzoru. W szesnastej szczelinie ramki zerowej przesłany jest sygnał synchronizacji (fazowania) wieloramki. W szczelinach szesnastych pozostałych ramek pierwsze cztery bity stanowią kanały synchronizacyjne kanałów telefonicznych od 1 do 15, a pozostałe cztery przyporządkowane są kanałom telefonicznym od 16 do 30.
  • 32.
    „Projekt współfinansowany ześrodków Europejskiego Funduszu Społecznego” 31 Rys. 15. Struktura wieloramki PCM 30/32: Y – alarm wieloramki, MFAS – sygnału fazowania wieloramki, NMFAS – brak sygnału fazowania wieloramki, a, b, c, d – bity sygnalizacyjne [1, s. 255] Podstawowe funkcje krotnic PCM 30/32 to: w kierunku nadawczym: − próbkowanie i zwielokrotnienie czasowe sygnałów nadawanych w poszczególnych kanałach, − przetwarzanie sygnałów PAM na dwustanowy sygnał PCM, − utworzenie kanałów czasowych dla sygnałów słuŜących do nawiązywania łączności, − ukształtowanie sygnału zbiorczego i wysyłane go w tor, w kierunku odbiorczym: − odbiór z linii sygnału cyfrowego i odtworzenie jego pierwotnej postaci, − odtworzenie z sygnału PCM impulsów PAM, − wydzielenie sygnałów uŜytecznych, − odtworzenie sygnałów komutacyjnych. Uproszczony schemat blokowy krotnicy PCM przedstawia rys. 16.
  • 33.
    „Projekt współfinansowany ześrodków Europejskiego Funduszu Społecznego” 32 Rys. 16. Uproszczony schemat blokowy krotnicy PCM: Wz – wzmacniacz, FDp – filtr dolnoprzepustowy, Og – ogranicznik amplitudy, BK – bramka kanałowa, Dek – dekoder, Kod – koder, Tk – transkoder [1, s. 256] Podstawowe układy krotnicy PCM to: − analogowe układy kanałowe – wydzielają pasmo uŜyteczne, nadają odpowiedni poziom sygnałom nadawczym i odbiorczym, zapobiegają zakłóceniom, − układy zwielokrotnienia czasowego – w kierunku nadawczym słuŜą do pobierania próbek i tworzenia sygnału PAM, w kierunku odbiorczym zapewniają wprowadzenie do poszczególnych kanałów odpowiednich próbek odtworzonych w dekoderze, − przetworniki A/C (kodery) i C/A (dekodery) – przetwarzają sygnał PAM do postaci sygnału PCM ( kodery) i odtwarzają impulsy PAM z sygnału PCM (dekodery), − zegary taktujące – nadają odpowiedni rytm pracy krotnicy i słuŜą do synchronizacji przebiegów nadawczych i odbiorczych, − grupowe układy wejściowe i wyjściowe (transkodery) – w kierunku nadawczym przekształcają dwustanowy sygnał cyfrowy na postać trójstanową, dogodną do transmisji przez trakt liniowy, w kierunku odbiorczym następuje proces dekodowania, − układy kanałów sygnalizacyjnych – przetwarzają sygnały komunikacyjne z centrali telefonicznej związane z poszczególnymi kanałami na sygnały dwustanowe. Kody sygnału cyfrowego Podczas transmisji przez tor sygnał cyfrowy zostaje zniekształcony. W celu wyeliminowania składowej stałej i zmniejszenia wpływu zniekształceń na sygnał uŜyteczny stosuje się kody liniowe. Najczęściej stosowane w systemach telekomunikacyjnych to: − kody dwuwartościowe: NRZ (ang. Non Return to Zero) i RZ (ang. Return to Zero) – nie są stosowane jako kody liniowe poniewaŜ zawierają składową stałą oraz dodatkowo
  • 34.
    „Projekt współfinansowany ześrodków Europejskiego Funduszu Społecznego” 33 w NRZ niemoŜliwe jest wydzielenie sygnału zegara z sygnału uŜytecznego, − kody trójwartościowe: AMI (ang. Alternate Mark Inversion) – i HDB-3 (ang. High Density Bipolarity with a Maximum of 3 Zeros) – stosowane do kodowania sygnałów o przepływnościach: 2 Mbit/s, 8 Mbit/s i 34 Mbit/s, − kod dwuwartościowy CMI – stosuje się dla sygnałów o przepływnościach 140Mbit/s. Rys. 17. Kody sygnału cyfrowego [1, s. 262] Kod AMI tworzony jest według zasady polegającej na zmianie polaryzacji impulsów o wartości 1 na przeciwną do poprzedniego impulsu. Kod HDB-3 tworzony jest analogicznie jak AMI dla impulsów o wartości 1, z tą róŜnicą Ŝe dla więcej niŜ trzech kolejnych impulsów o wartości 0, sekwencję czterech zer zastępuje się jedną z dwu sekwencji 0001 lub 1001 według ściśle określonej zasady. Kod CMI jest kodem dwuwartościowym zawierającym wartości: „+1” i „-1”. W kodzie tym impulsy wartości 1 przedstawiane są naprzemiennie w postaci stanu „+1” lub „-1”, wartość binarnego 0 w postaci stanu „+1” w pierwszej połowie tego bitu i stanu „-1” w drugiej połowie bitu. Kody stosowane w światłowodach Sygnał wejściowy toru światłowodowego ma postać kodu trójwartościowego HDB-3, natomiast impulsy świetlne nie mogą przyjmować wartości ujemnych więc kod trójwartościowy jest zamieniany na kod dwuwartościowy np. 5B/6B. W kodzie tym 5 bitom sygnału wejściowego przyporządkowuje się 6 bitów sygnału dwuwartościowego wysyłanego w światłowód. W przypadku sygnału o postaci kodu CMI, sygnał jest najpierw przetworzony na sygnał binarny, następnie poddany skramblowaniu, które polega na nadaniu sygnałowi kodu
  • 35.
    „Projekt współfinansowany ześrodków Europejskiego Funduszu Społecznego” 34 pseudoprzypadkowego (o jednakowym prawdopodobieństwie występowania 0 i 1), i w końcowym etapie w koderze 5B/6B następuje uformowanie kodu liniowego poprzez dodanie do grupy 15 bitów, dodatkowych 3 bitów słuŜących do kontroli błędów, synchronizacji i przesyłania alarmów. Budowa urządzeń i traktów światłowodowych Podstawowymi urządzeniami traktu światłowodowego są: nadajnik i odbiornik umieszczone na początku i końcu traktu oraz niekiedy urządzenia przelotowe pełniące rolę wzmacniaków – regeneratorów. Zadaniem nadajnika światłowodowego jest przetworzenie cyfrowego sygnału elektrycznego na impulsy świetlne, jest to realizowane z wykorzystaniem diody elektroluminescencyjnej LED (ang. Light Emitting Diode) lub diody laserowej LD (ang. Laser Diode). Zadaniem odbiornika światłowodowego jest operacja odwrotna, czyli zamiana sygnału świetlnego na cyfrowy sygnał elektryczny. Funkcje tą spełnia fotodetektor, w którym główną rolę odgrywa fotodioda, której prąd wsteczny zaleŜy od natęŜenia promienia świetlnego. Nadajnik światłowodowy zawiera: − regenerator i zmiennik kodu HDB-3 (lub CMI) sygnału wejściowego, − koder 5B-6B, − układ nadajnika optycznego z diodą laserową LD, − układy taktowania, w których są odtwarzane sygnały taktujące, sterowane przebiegiem wydzielonym z sygnału wejściowego. Odbiornik światłowodowy zawiera: − odbiornik optyczny z fotodiodą, − wzmacniacze i korektory impulsów oraz regenerator sygnału optycznego, − dekoder 6B-5B, − zmienni kodu dwójkowego na kod HDB-3, − układy taktujące sterowane przebiegiem wydzielonym z sygnału liniowego. Urządzenie przelotowe zawiera : − odbiornik optyczny, − regenerator impulsów, − nadajnik optyczny.
  • 36.
    „Projekt współfinansowany ześrodków Europejskiego Funduszu Społecznego” 35 Rys. 18. Uproszczony schemat blokowy urządzeń końcowych traktu liniowego systemu światłowodowego 34 Mbit/s: a) nadajnik; b) odbiornik: NOp – nadajnik optyczny, OOp – odbiornik optyczny, KI – korektor impulsów, Reg – regenerator, Kod – koder, Dek – dekoder, Wz – wzmacniacz [1, s. 267] 4.3.2. Pytania sprawdzające Odpowiadając na pytania, sprawdzisz, czy jesteś przygotowany do wykonania ćwiczeń. 1) Jaka jest szerokość kanału telefonicznego? 2) Na czym polega zwielokrotnienie częstotliwościowe? 3) Jaki typ modulacji jest wykorzystywany w przemianie częstotliwości? 4) Od czego zaleŜy zakres częstotliwości, do których zostaje przesunięty sygnał modulujący w wyniku przemiany częstotliwości? 5) Jaką postać ma widmo sygnału telefonicznego po przemianie częstotliwości? 6) Na czym polega zwielokrotnienie czasowe? 7) Jakie zaleŜności określa prawo próbkowania? 8) Jak określa się okres próbkowania dla sygnału telefonicznego? 9) Jak powstaje sygnał PAM? 10) Na czym polega proces kwantowania? 11) Co określają pojęcia: czasowa szczelina kanałowa, ramka? 12) Na czym polega proces fazowania ramki? 13) Jakie podstawowe układy zawiera system PCM? 14) Jaka jest zasada pracy systemu PCM? 15) Jaka jest struktura ramki PCM 30/32? 16) Jaka jest struktura wieloramki PCM 30/32? 17) Jakie są podstawowe funkcje krotnicy PCM 30/32? 18) Jakie znasz podstawowe układy krotnicy PCM 30/32? 19) Jakie znasz kody sygnałów cyfrowych? 20) Które kody są wykorzystywane w światłowodach? 21) Jak zbudowany jest tor światłowodowy? 22) Jakie funkcje spełnia nadajnik światłowodowy? 23) Jakie układy zawiera nadajnik światłowodowy? 24) Jakie funkcje spełnia odbiornik światłowodowy? 25) Jakie układy zawiera odbiornik światłowodowy? 4.3.3. Ćwiczenia Ćwiczenie 1 Narysuj rozkład kanałów w metodzie zwielokrotnienia częstotliwościowego dla sygnału fs = 3000 Hz i fal nośnych: F1 = 14 kHz, F2 = 18 kHz, F3 = 22 kHz. Sposób wykonania ćwiczenia Aby wykonać ćwiczenie, powinieneś: 1) odszukać w materiałach dydaktycznych opis metody zwielokrotnienia częstotliwościowego, 2) określić sygnały: modulujący i modulowany dla kaŜdego kanału,
  • 37.
    „Projekt współfinansowany ześrodków Europejskiego Funduszu Społecznego” 36 3) narysować rozkład częstotliwości po zwielokrotnieniu częstotliwościowym z uwzględnieniem podanych w ćwiczeniu wartości, 4) uzasadnić poprawność rysunku. WyposaŜenie stanowiska pracy: − papier formatu A4, flamastry, − literatura zgodna z punktem 6 poradnika. Ćwiczenie 2 Oblicz częstotliwość próbkowania sygnałów o częstotliwościach: f1 = 1 kHz, f2 = 1 MHz, f3 = 13 Hz, f4 = 250 kHz, f5 = 43 GHz. Sposób wykonania ćwiczenia Aby wykonać ćwiczenie, powinieneś: 1) odszukać prawo próbkowania, 2) określić częstotliwość próbkowania dla kaŜdego z sygnałów. 3) zapisać wyniki, 4) uzasadnić poprawność wyliczeń. WyposaŜenie stanowiska pracy: − papier formatu A4, flamastry, − literatura zgodna z punktem 6 poradnika. Ćwiczenie 3 Narysuj sygnał zbiorczy PAM dla przedstawionych na planszy przebiegów sygnałów z czterech kanałów, dla ramki o długości 1 ms. Sposób wykonania ćwiczenia Aby wykonać ćwiczenie, powinieneś: 1) odszukać opis sposobu tworzenia sygnału PAM, 2) określić częstotliwość próbkowania. 3) narysować przebieg przedstawiający sygnał zbiorczy PAM, 4) uzasadnić poprawność wykonanego rysunku. WyposaŜenie stanowiska pracy: − plansza z przebiegami sygnałów, − papier formatu A4, flamastry, − literatura zgodna z punktem 6 poradnika. Ćwiczenie 4 Przedstaw próbki sygnału zamieszczonego na planszy w postaci binarnej dla 8 poziomów kwantyzacji i okresie próbkowania Tp = 1 ms oraz narysuj przebieg szumu kwantowania.
  • 38.
    „Projekt współfinansowany ześrodków Europejskiego Funduszu Społecznego” 37 Sposób wykonania ćwiczenia Aby wykonać ćwiczenie, powinieneś: 1) odszukać opis sposobu próbkowania, kwantowania i kodowania sygnału, 2) sprawdzić czy dla podanego w ćwiczeniu przebiegu i okresu próbkowania zachowane jest prawo próbkowania, 3) narysować próbki sygnału, 4) określić poziomy kwantyzacji, 5) przypisać kody dwójkowe poziomom kwantyzacji, 6) określić przedziały dla kaŜdej próbki, 7) przypisać kody dla kaŜdej próbki, 8) przedstawić postać binarną zakodowanego sygnału. WyposaŜenie stanowiska pracy: − plansza z przebiegiem sygnału, − papier formatu A4, flamastry, − literatura zgodna z punktem 6 poradnika. Ćwiczenie 5 Dla podanego przez prowadzącego sygnału binarnego przedstaw przebiegi dla kodów NRZ, RZ, AMI ½, HDB 3, CMI. Sposób wykonania ćwiczenia Aby wykonać ćwiczenie, powinieneś: 1) odszukać opis sposobu tworzenia kodów sygnałów cyfrowych,. 2) narysować przebiegi zakodowanego sygnału binarnego dla poszczególnych kodów, 3) uzasadnić poprawność narysowanych przebiegów. WyposaŜenie stanowiska pracy: − plansze z kodem binarnym sygnału, − papier formatu A4, flamastry, − literatura zgodna z punktem 6 poradnika. 4.3.4. Sprawdzian postępów Czy potrafisz: Tak Nie 1) wyjaśnić zasadę zwielokrotnienia w metodzie częstotliwościowej? 2) wyjaśnić zasadę zwielokrotnienia w metodzie czasowej? 3) określić róŜnice między metodą częstotliwościową i czasową wielokrotnego wykorzystania torów transmisyjnych? 4) zastosować prawo próbkowania? 5) rozróŜnić pojęcia: próbkowanie, kwantowanie, kodowanie?
  • 39.
    „Projekt współfinansowany ześrodków Europejskiego Funduszu Społecznego” 38 6) wyjaśnić zasadę pracy systemu PCM? 7) rozróŜnić pojęcia: szczelina czasowa, ramka, wieloramka, fazowanie ramki? 8) określić podstawowe funkcje krotnic PCM 30/32? 9) rozróŜnić podstawowe układy krotnicy PCM? 10) sklasyfikować kody transmisyjne sygnałów cyfrowych? 11) określić sposoby zabezpieczania sygnałów przed błędami? 12) wyjaśnić pojęcie skramblowanie? 13) określić kody stosowane w transmisji w kablach światłowodowych? 14) podać polskie i angielskie nazwy skrótów: LED, LD, PAM, PCM? 15) określić podstawowe funkcje nadajnika światłowodowego? 16) rozróŜnić układy nadajnika światłowodowego? 17) określić podstawowe funkcje odbiornika światłowodowego? 18) rozróŜnić układy odbiornika światłowodowego? 4.4 Wielokrotne systemy cyfrowe 4.4.1. Materiał nauczania Plezjochroniczna hierarchia systemów cyfrowych PDH Systemy cyfrowe większej krotności są tworzone na zasadzie stopniowego zwielokrotniania sygnałów cyfrowych grup niŜszych rzędów, np. z czterech grup 30kanałowych (pierwszego rzędu) tworzone są grupy 120-kanałowe (drugiego rzędu) a grupy 480 kanałowe (trzeciego rzędu) tworzone są z czterech grup 120-kanałowych. Zwielokrotnienie cyfrowe jest to łączenie sygnałów cyfrowych grup niŜszego rzędu w jeden sygnał zbiorczy wyŜszego rzędu. Próbki bitów sygnałów niŜszego rzędu są układane szeregowo obok siebie na zasadzie przeplotu bitowego tworząc w ten sposób jeden sygnał zbiorczy grupy wyŜszego rzędu (rys. 19). W procesie tym musi być spełniony warunek Tp = 1/fp = 125 µs (fp = 8 kHz – częstotliwość próbkowania kanałów), aby zmieściły się wszystkie kanały tworzonej grupy. Oznacza to, Ŝe przepływność zbiorczego sygnału cyfrowego grupy wyŜszego rzędu musi być odpowiednio 4 razy większa.
  • 40.
    „Projekt współfinansowany ześrodków Europejskiego Funduszu Społecznego” 39 Rys. 19. Zasada zwielokrotniania czasowe z przeplotem bitowym [1, s. 259] Skomplikowanym zagadnieniem w procesie zwielokrotnienia czasowego jest synchronizacja sygnałów składowych. Mogą one pochodzić z róŜnych źródeł, których podstawy czasu mogą się róŜnić między sobą (brak synchronizmu). W celu wyeliminowania róŜnic między przepływnością poszczególnych sygnałów wyjściowych a przepływnością jaka jest przewidziana dla tych sygnałów w sygnale zbiorczym stosuje się tzw. dopełnienie impulsowe, które polega na wprowadzeniu dodatkowych bitów (bitów dopełnienia) do wejściowego sygnału cyfrowego. Bity te są usuwane w procesie demultipleksacji w krotnicy odbiorczej. Opisana powyŜej metoda nosi nazwę zwielokrotnienia plezjochronicznego (prawie synchronicznego). Podstawowym parametrem kaŜdego systemu cyfrowego jest przepływność sygnału zbiorczego, która zaleŜy od liczby kanałów w grupie i wynosi: − dla grup 30-kanałowych (pierwszego rzędu) – 2048 kbit/s, − dla grup 30-kanałowych (drugiego rzędu) – 8448 kbit/s, − dla grup 30-kanałowych (trzeciego rzędu) – 34368 kbit/s − dla grup 30-kanałowych (czwartego rzędu) – 139264 kbit/s, − dla grup 30-kanałowych (piątego rzędu) – 564992 kbit/s. Urządzenia systemów PDH W cyfrowych systemach plezjochronicznych wyróŜnia się urządzenia zwielokrotniające (krotnice) oraz urządzenia traktów liniowych (regeneratory przelotowe i regeneratory końcowe). Urządzenia traktów liniowych są specyficzne dla poszczególnych mediów transmisji. Krotnice mogą być te same do współpracy z róŜnymi traktami liniowymi poniewaŜ posiadają znormalizowane styki zarówno po stronie sygnałów składowych jak i sygnałów zbiorczych.
  • 41.
    „Projekt współfinansowany ześrodków Europejskiego Funduszu Społecznego” 40 Krotnice dzielimy ze względu na przepływność sygnałów składowych i zbiorczych na: − krotnice 2/8 Mbit/s – umoŜliwiające utworzenie sygnału grupowego 120-kanałowego, − krotnice 8/34 Mbit/s – umoŜliwiające utworzenie sygnału grupowego 480-kanałowego, − krotnice 34/140 Mbit/s – umoŜliwiające utworzenie sygnału grupowego 1920kanałowego, − krotnice 140/565 Mbit/s – umoŜliwiające utworzenie sygnału grupowego 7680kanałowego, Uproszczony schemat blokowy krotnicy 8/34 Mbit/s jest przedstawiony na rys. 20. Rys. 20. Uproszczony schemat blokowy krotnicy TC 8/34 (480-krotnej): UWD – układ wprowadzania dopełniania, UED – układ eliminacji dopełniania, UZN – układ zegarów nadawczych, UZO – układ zegarów odbiorczych, Mux – multiplekser, Dem – demultiplekser [1, s. 264] Krotnica TC 8/34 zawiera następujące układy funkcjonalne: − transkodery sygnałów o przepływności 8 Mbit/s, − układy synchronizacji (układy wyrównywania przepływności 8 Mbit/s), − układy zwielokrotnienia: multiplekser i demultiplekser, − transkoder sygnału zbiorczego o przepływności 34 Mbit/s, − układy taktujące (zegary). Podczas przesyłania w linii długiej sygnał cyfrowy ulega deformacjom wskutek zniekształceń tłumieniowych i fazowych torów oraz róŜnego rodzaju zakłóceń pochodzących z torów sąsiednich i źródeł zewnętrznych. W celu zminimalizowania tych zmian w pewnych odstępach stosuje się urządzenia do regeneracji przesyłanego sygnału cyfrowego zwane wzmacniakami-regeneratorami. Regeneracja sygnału polega na odtworzeniu na wyjściu regeneratora sygnału cyfrowego o takiej samej postaci jaką miał na wejściu. Na rys. 21 przedstawiono uproszczony schemat blokowy regeneratora i przebiegi sygnałów w róŜnych jego punktach.
  • 42.
    „Projekt współfinansowany ześrodków Europejskiego Funduszu Społecznego” 41 Rys. 21. Regeneracja sygnału cyfrowego [1, s. 260] Sygnał podawany na wejście regeneratora podlega wzmocnieniu i korekcji, a następnie są rozróŜniane oraz selekcjonowane elementy dodatnie i ujemne sygnału. Po selekcji zostają utworzone dwa przebiegi z impulsami dodatnimi (3) i impulsami ujemnymi (4). W celu odtworzenia fazy sygnału i czasu trwania impulsów w regenerowanym sygnale, następuje porównanie przebiegów (3) i (4) z przebiegiem zegara (5). Skorygowane przebiegi (6) i (7) są sumowane w wyniku, czego zostaje utworzony sygnał (8) o takim samym przebiegu jak sygnał nadany na początku traktu. Regeneratory dzielimy na dwie grupy: regeneratory przelotowe zdalnie zasilane oraz regeneratory końcowe umieszczone w stojakach urządzeń końcowych. Synchroniczna hierarchia systemów cyfrowych SDH Synchroniczna hierarchia systemów cyfrowych SDH (ang. Synchronous Digital Hierarchy) to rodzina systemów cyfrowych wykorzystująca właściwości torów światłowodowych w celu zwiększenia przepustowości i usprawnienia działania sieci telekomunikacyjnej. Zastosowanie światłowodów oraz nowej metody zwielokrotnienia i transportu informacji umoŜliwiło znaczne zwiększenie przepustowości linii oraz wprowadzenie nowych funkcji nadzoru i zarządzania
  • 43.
    „Projekt współfinansowany ześrodków Europejskiego Funduszu Społecznego” 42 umoŜliwiających natychmiastową identyfikację uszkodzenia linii lub węzła oraz automatyczne przełączanie ruchu na drogi rezerwowe. Systemy SDH umoŜliwiają wprowadzenie nowych usług wymagających szerokiego pasma takich jak: szybka komutacja pakietów, połączenia między sieciami komputerowymi, telewizji o duŜej rozdzielczości (HDTV). Systemy SDH charakteryzują się następującymi właściwościami: − duŜa przepustowość, − zdolność do samokontroli i samonaprawialność sieci, − duŜa elastyczność w konfiguracji i rozbudowie sieci, − scentralizowany nadzór i programowane sterowanie siecią, − moŜliwość realizacji dowolnych usług telekomunikacyjnych wąsko- i szerokopasmowych. Podstawowym członem w SDH jest synchroniczny moduł transportowy STM-1 (ang. Synchronous Transport Module Level 1) o przepływności 155520 kbit/s, który umoŜliwia współpracę z systemami PDH. WyŜsze stopnie tej rodziny są tworzone na zasadzie zwielokrotnienia STM-1. W systemie SDH znormalizowano następujące moduły: − STM-1 o przepływności 155520 kbit/s, − STM-4 o przepływności 622080 kbit/s, − STM-16 o przepływności 2488320 kbit/s. Zwielokrotnienie w systemach SDH polega na „ładowaniu” informacji do tzw. kontenerów wirtualnych VC i tworzeniu modułów transportowych, przeplatając odpowiednio bajty sygnałów składowych. Sposób tworzenia modułu transportowego STM-1 przedstawia rys. 22. Rys. 22. Schemat blokowy tworzenia modułu STM-1: STM – synchroniczny moduł transportowy, AU – jednostka administracyjna, VC – kontener wirtualny, C – kontener, TU – jednostka składowa, TUG – jednostka grupowa [1, s. 273] W tworzeniu modułu transportowego STM-1 wyróŜnia się następujące etapy: − Etap 1: Odwzorowanie (mapping) kontenerów – z sygnałów PDH po ich regeneracji tworzone są odpowiednio kontenery: C-12 – z sygnału o przepływności 2 Mbit/s, C-3 – z sygnału o przepływności 34 Mbit/s oraz C-4 z sygnału o przepływności 140 Mbit/s. Tworzenie to polega na dostosowaniu przepływności wejściowego sygnału składowego do określonej przepływności kontenera poprzez dopełnienie bitowe. Następnie z poprzez dodanie bajtów nagłówka POH (ang. Path Overhead) do kontenerów tworzone są kontenery wirtualne odpowiednio VC-12, VC-3 i VC-4.
  • 44.
    „Projekt współfinansowany ześrodków Europejskiego Funduszu Społecznego” 43 − Etap 2: Fazowanie – ustawianie wskaźnika połoŜenia kontenera niŜszego rzędu w kontenerze wyŜszego rzędu – w wyniku przyporządkowania wskaźników kontenerom wirtualnym VC-12 i VC-3 tworzone są jednostki składowe TU-12 i TU-3. Wskaźniki PTR (ang. Pointers) określają połoŜenie kontenerów niŜszego rzędu VC-12 i VC-3 w kontenerze VC-4. − Etap 3: Zwielokrotnienie jednostek składowych –jednostki TU są odpowiednio grupowane tworząc jednostki grupowe TUG-2 i TUG-3 (ang. Tributary Unit Group) a następnie ładowane do kontenera VC-4. Sposób tworzenia TUG-2 i TUG-3 przedstawia rys. 23 oraz sposób wprowadzenia TUG-3 do kontenera VC-4 przedstawia rys. 24. Rys. 23. Tworzenie jednostek grupowych TUG-2 i TUG-3 [1, s. 274] Rys. 24. Wprowadzenie grup TUG-3 do kontenera wirtualnego VC-4 [1, s. 274]
  • 45.
    „Projekt współfinansowany ześrodków Europejskiego Funduszu Społecznego” 44 − Etap 4: Fazowanie (ustawianie wskaźnika) połoŜenia kontenera VC-4 – poprzez uformowanie wskaźnika AU-PTR określającego początek kontenera VC-4 w ramce STM- 1 zostaje utworzona jednostka administracyjne AU (ang. Administrative Unit). − Etap 5: Formowanie sygnału STM-1 – w fazie tej następuje wygenerowanie i dodanie do jednostki administracyjnej AU-4 nagłówka zwielokrotnienia MSOH (ang. Multiplet Section Overhead) oraz nagłówka sekcji regeneratorowej RSOH (ang. Regeneration Section Overhead). Następnie zachodzi skramblowanie sygnału STM-1. Ramka sygnału zbiorczego STM-1 zawiera 2430 bajtów przesyłanych w ciągu 125 µs co daje przepływność 155520 kbit/s. Strukturę ramki STM-1 przedstawia rys. 25. Rys. 25. Struktura ramki STM-1 [1, s. 276] Ramka dzieli się na trzy części: − obszar kontenera wirtualnego VC-4, zawierającego sygnały uŜyteczne doprowadzone do krotnicy, − obszar wskaźnika jednostki administracyjnej AU-4 PTR, zawierającego adresy połoŜenia kontenerów wirtualnych w jednostce administracyjnej, − pole nagłówka sekcji SOH (ang. Section Overhead), niosącego informacje dotyczące fazowania ramki oraz funkcji kontroli i nadzoru. Dalsze zwielokrotnianie w systemie SDH odbywa się na zasadzie zwielokrotniania synchronicznego poprzez zwykłe przeplatanie bajtów sygnałów składowych. Tak tworzone są moduły: − STM-4 o przepływności 622080 kbit/s – powstaje z czterech sygnałów STM-1, − STM-16 o przepływności 2488320 kbit/s – powstaje z 16 modułów STM-1 lub czterech modułów STM-4. Sposób tworzenia modułu STM-4 z modułów STM-1 przedstawia rys. 26.
  • 46.
    „Projekt współfinansowany ześrodków Europejskiego Funduszu Społecznego” 45 Rys. 26. Sposób tworzenia modułu transportowego STM-4 z modułów STM-1 [1, s. 278] W systemie SDH czas trwania ramki STM-1 i STM-4 wynosi 125 µs. Sposób tworzenia ramki STM-4 przedstawia rys. 27. Rys. 27. Sposób tworzenia ramki STM-4 [1, s. 279] Urządzenia systemu SDH W systemach SDH występują tylko krotnice, które realizują funkcje zwielokrotnienia i zakończenia traktu liniowego. Ze względu na zastosowanie w sieci rozróŜniamy następujące typy krotnic SDH: − krotnice końcowe TMX (ang. Terminal Multiplexer) PDH/STM-1 – umoŜliwiają zwielokrotnienie sygnałów PDH w sygnał zbiorczy STM-1 w połączeniach punkt-punkt, − krotnice liniowe LMX ( ang. Line Multiplexer) STM-1/STM-4 i STM-1/STM-16 – słuŜą do łączenia sygnałów STM-1 w sygnał wyŜszego rzędu STM-4 lub STM-16, − krotnice transferowe ADM (ang. Add Drop Multiplexer) – umoŜliwiają wydzielenie i ponowne wprowadzenie dowolnego sygnału wchodzącego w skład sygnału zbiorczego STM-n, transmitowanego w linii, bez konieczności jego całkowitej demultipleksacji,
  • 47.
    „Projekt współfinansowany ześrodków Europejskiego Funduszu Społecznego” 46 − synchroniczne przełącznice cyfrowe SDXC (ang. Synchronous Digital Cross-Connect) – spełniają funkcje krotnic SDH, a ponadto mają moŜliwość przełączania dróg cyfrowych na poziomie kontenerów wyŜszego VC-4 i niŜszego rzędu VC-12, − regeneratory SDH – odpowiadają za przetwarzanie odebranego sygnału optycznego na elektryczny, wydzielenie sygnału taktującego, zregenerowanie sygnału informacyjnego, identyfikację początku ramki, przetworzenie nagłówka sekcji regeneracji RSOH, dalsza transmisja sygnału STM-n z nowym nagłówkiem oraz przetworzenie go na sygnał optyczny. Nadzór i zarządzanie siecią SDH Krotnice SDH posiadają styki (S) i kanały komunikacji danych DCC (ang. Data Communications Channels) do obiektów zarządzania i nadzoru krotnic, które zapewniają przetwarzanie i przechowywanie informacji, przekazywanych do terminala operatora przez styk F lub do sieci zarządzania TMN (ang. Telecommunications Management Network) przez styk Q lub kanały komunikacji danych. System nadzoru i zarządzania siecią SDH obejmuje: − krotnice róŜnego typu i oprogramowanie, − urządzenia pomocnicze np. zegar, zasilacz, − układy testowania i utrzymania, − sieciowe drogi transportu. Podstawowe funkcje systemu zarządzania i nadzoru SDH to: − zarządzanie sygnalizacją alarmową, − nadzorowanie jakości transmisji i testowanie, − sterowanie przełączaniem na rezerwę, − zarządzanie rekonfiguracją sieci. Do celów kontroli i sterowania przepływem informacji w systemach SDH wykorzystywane są nagłówki kontenerów: − sekcji zwielokrotnienia modułu transportowego MSOH, − sekcji regeneratorowej RSOH, − kontenera wirtualnego VC-4 POH, − kontenerów wirtualnych niŜszych rzędów VC-12 POH i VC-3 POH. System nadzoru śledzi i analizuje informacje zawarte w tych nagłówkach. Nadzór jakości transmisji polega na obliczaniu sumy logicznej wszystkich bitów w danej ramce i zarejestrowaniu jej w odpowiednim miejscu nagłówka następnej ramki. Jest to metoda kontroli parzystości przeplotu bitowego. 4.4.2. Pytania sprawdzające Odpowiadając na pytania, sprawdzisz, czy jesteś przygotowany do wykonania ćwiczeń. 1) W jaki sposób tworzone są systemy cyfrowe wyŜszych krotności? 2) Na czym polega metoda zwielokrotnienia plezjochronicznego? 3) Jaki jest podstawowy parametr teletransmisyjnego systemu cyfrowego? 4) W jaki sposób jest tworzony sygnał zbiorczy z przeplotem binarnym w systemach PDH?
  • 48.
    „Projekt współfinansowany ześrodków Europejskiego Funduszu Społecznego” 47 5) Jakie znasz urządzenia systemów PDH? 6) W jaki sposób klasyfikujemy krotnice PDH? 7) Jakie układy funkcjonalne zawiera krotnica PDH? 8) Jakie funkcje w systemach PDH spełniają regeneratory? 9) Jakie rozróŜniamy rodzaje regeneratorów? 10) Jakie są kolejne etapy regeneracji sygnału cyfrowego? 11) Jakie są charakterystyczne właściwości systemów SDH? 12) Jakie moduły występują w systemach SDH? 13) Na czym polega zwielokrotnienie w systemach SDH? 14) Jakie są kolejne etapy tworzenia modułu STM-1? 15) W jaki sposób tworzone są kontenery wirtualne VC-12, VC-3, VC-4? 16) W jaki sposób tworzone są jednostki grupowe TUG-2 i TUG-3? 17) Z jakich części składa się ramka STM-1? 18) W jaki sposób tworzone są moduły o wyŜszych przepływnościach? 19) Ile wynosi czas trwania ramki STM-1 i STM-4 w systemach SDH? 20) Jakie rodzaje krotnic występują w systemach SDH? 21) Jakie elementy obejmuje system nadzoru i zarządzania siecią SDH? 22) Z jakich informacji korzysta system kontroli i sterowania transmisją w systemach SDH? 23) Na czym polega metoda kontroli parzystości przeplotu bitowego? 4.4.3. Ćwiczenia Ćwiczenie 1 Dla podanych przez nauczyciela przebiegów sygnałów z 4 traktów cyfrowych narysuj przebieg sygnału zbiorczego powstałego zgodnie z metodą zwielokrotnienia czasowego z przeplotem bitowym. Sposób wykonania ćwiczenia Aby wykonać ćwiczenie, powinieneś: 1) odszukać w materiałach dydaktycznych opis metody zwielokrotnienia czasowego z przeplotem bitowym, 2) dokonać analizy przebiegów z poszczególnych traktów, 3) narysować przebieg sygnału zbiorczego, 4) krótko opisać sposób powstawania sygnału zbiorczego. WyposaŜenie stanowiska pracy: − papier formatu A4, flamastry, − literatura zgodna z punktem 6 poradnika. Ćwiczenie 2 Na zamieszczonym w ćwiczeniu rysunku przedstawiony jest schemat blokowy regeneratora. Opisz funkcje bloków oznaczonych 1, 2, 3, 4, 5 i 6.
  • 49.
    „Projekt współfinansowany ześrodków Europejskiego Funduszu Społecznego” 48 Rys. do ćwiczenia 2. Schemat blokowy regeneratora Sposób wykonania ćwiczenia Aby wykonać ćwiczenie, powinieneś: 1) odszukać opis zasady regeneracji sygnałów w systemach PDH, 2) przeanalizować przebieg procesu regeneracji sygnałów, 3) określić funkcje regeneratora na poszczególnych etapach regeneracji sygnału, 4) przypisać funkcje poszczególnym blokom. WyposaŜenie stanowiska pracy: − papier formatu A4, flamastry, − literatura zgodna z punktem 6 poradnika. Ćwiczenie 3 Przedstaw schemat blokowy tworzenia modułu STM-1 systemu SDH z sygnałów wejściowych o przepływnościach: 2 Mbit/s i 34 Mbit/s. Sposób wykonania ćwiczenia Aby wykonać ćwiczenie, powinieneś: 1) odszukać w materiałach dydaktycznych opis metody tworzenia modułów STM-1 systemu SDH, 2) określić poszczególne etapy dla kaŜdego z sygnałów, 3) narysować schemat blokowy, 4) krótko opisać sposób powstawania modułu STM-1. WyposaŜenie stanowiska pracy: − papier formatu A4, flamastry, − literatura zgodna z punktem 6 poradnika. Ćwiczenie 4 Na rysunku przedstawiony jest schematycznie proces tworzenia modułu STM-1 systemu SDH. Przeanalizuj i opisz jakie funkcje są realizowane na etapach oznaczonych cyframi: 1, 2, 3, 4, 5.
  • 50.
    „Projekt współfinansowany ześrodków Europejskiego Funduszu Społecznego” 49 Rys. do ćwiczenia 4. Schemat blokowy tworzenia modułu STM-1 Sposób wykonania ćwiczenia Aby wykonać ćwiczenie, powinieneś: 1) odszukać w materiałach dydaktycznych opis metody tworzenia modułów STM-1 systemu SDH, 2) przeanalizować schemat blokowy, 3) określić funkcje realizowane w procesie tworzenia modułu STM-1, 4) przypisać funkcje do kolejnych etapów. WyposaŜenie stanowiska pracy: − papier formatu A4, flamastry, − literatura zgodna z punktem 6 poradnika. Ćwiczenie 5 Przedstaw schemat tworzenia modułu STM-16 z modułów STM-1. Sposób wykonania ćwiczenia Aby wykonać ćwiczenie, powinieneś: 1) odszukać w materiałach dydaktycznych opis metody zwielokrotnienia czasowego z przeplotem bitowym, 2) dokonać analizy przebiegów z poszczególnych traktów, 3) narysować przebieg sygnału zbiorczego, 4) krótko opisać sposób powstawania sygnału zbiorczego. WyposaŜenie stanowiska pracy: − papier formatu A4, flamastry, − literatura zgodna z punktem 6 poradnika.
  • 51.
    „Projekt współfinansowany ześrodków Europejskiego Funduszu Społecznego” 50 4.4.4. Sprawdzian postępów Czy potrafisz: Tak Nie 1) wyjaśnić zasadę zwielokrotnienia z przeplotem bitowym? 2) wyjaśnić pojęcie dopełnienie impulsowe? 3) wyjaśnić pojęcie zwielokrotnienia plezjochronicznego? 4) sklasyfikować krotnice cyfrowe PDH? 5) określić układy funkcjonalne krotnic PDH? 6) określić procesy realizowane przez regeneratory sygnałów cyfrowych? 7) wyjaśnić i podać angielskie pełne brzmienie skrótu SDH? 8) określić podstawowe właściwości systemów SDH? 9) rozróŜnić moduły systemów SDH? 10) określić etapy tworzenia modułu STM-1? 11) wyjaśnić funkcje wskaźników PTR jednostki składowej TU i jednostki administracyjnej AU? 12) określić obszary ramki STM-1? 13) wyjaśnić zasadę tworzenia modułów STM-4 i STM-16? 14) sklasyfikować krotnice SDH? 15) określić obiekty objęte systemem nadzoru i zarządzania siecią SDH? 16) określić funkcje systemu zarządzania i nadzoru SDH? 17) wyjaśnić metodę kontroli parzystości przeplotu bitowego BIP-n? 4.5. Teletransmisyjne linie radiowe i satelitarne 4.5.1. Materiał nauczania Struktura linii radiowej Liniami radiowymi nazywa się linie telekomunikacyjne, umoŜliwiające przesyłanie informacji w postaci określonych sygnałów między dwoma punktami w przestrzeni, za pomocą energii fal elektromagnetycznych skupionej przez anteny kierunkowe. Zastosowanie anten kierunkowych zapewnia rozchodzenie się energii fal elektromagnetycznych jedynie wzdłuŜ określonej trasy. Bezprzewodowy tor radiowy stanowi antena nadawcza i odbiorcza oraz ośrodek między nimi. Energia doprowadzona do anteny nadawczej zostaje wypromieniowana i w postaci fali elektromagnetycznej dociera przez ośrodek do anteny odbiorczej, skąd jest odprowadzona do odbiornika. Fale elektromagnetyczne wykorzystywane w telekomunikacji zajmują zakres częstotliwości od 100 kHz do 30 GHz. W telekomunikacyjnych systemach radiowych do realizacji kierunkowych torów radiowych są wykorzystywane fale radiowe z zakresu częstotliwości od 30 MHZ do 30 GHz, co odpowiada długościom fal od 10 m do 1 cm. Do tworzenia torów radiowych kierunkowych wykorzystywane są anteny kierunkowe. W praktyce uwaŜa się, Ŝe kierunkowość anten jest wystarczająca, aby uznać dany układ przekazywania energii sygnału za torowy, gdy
  • 52.
    „Projekt współfinansowany ześrodków Europejskiego Funduszu Społecznego” 51 poprzeczne wymiary anten są porównywalne lub większe od długości promieniowanej fali. Stąd do transmisji kierunkowej wykorzystuje się najkrótsze fale radiowe, jednak realizacja torów radiowych dla fal krótkich stwarza duŜe trudności technologiczne. Powszechnie stosowaną anteną kierunkową jest antena z reflektorem parabolicznym, odznaczająca się duŜą kierunkowością promieniowania. Antena tego typu promieniuje fale elektromagnetyczne w postaci wąskiej wiązki promieni świetlnych. Rys. 28. Schemat anteny parabolicznej i jej charakterystyka promieniowania [1, s. 181] Tory radiowe dzielimy na: − tory radiowe proste – realizowane na zasadzie prostoliniowego rozchodzenia się fal radiowych, gdy anteny nadawcza i odbiorcza się widzą, − tory radiowe łamane – tworzone z wykorzystaniem anteny biernej, od której odbijają się fale radiowe wyemitowane z anteny nadawczej i trafiają do anteny odbiorczej, − tory radiowe łamane – tworzone przez rozproszenie strumienia energii wysyłanej z anteny nadawczej w wyŜszych warstwach atmosfery (w jonosferze i w troposferze), skąd główna część strumienia jest kierowana z powrotem ku ziemi, gdzie strumień ten jest przechwytywany przez odpowiednio ukierunkowaną antenę odbiorczą. Rys. 29. Tory radiowe: [a) prosty; b) łamany wskutek rozproszenia; c) łamany wskutek odbicia [1, s. 182]
  • 53.
    „Projekt współfinansowany ześrodków Europejskiego Funduszu Społecznego” 52 Podstawowym parametrem elektrycznym toru radiowego jest jego tłumienność, określana jako stosunek mocy doprowadzonej do anteny nadawczej do mocy odebranej z anteny odbiorczej. Tłumienność toru radiowego zaleŜy od warunków terenowych i atmosferycznych i jest zmienna w czasie, co objawia się występowaniem zaników. Zanik jest to chwilowy wzrost tłumienności toru, osiągający wartość nawet kilkudziesięciu decybeli. Przyczyna powstawania zaników jest rozpraszanie i pochłanianie energii fal przez krople deszczu, pary wodnej oraz cząsteczki zawiesiny znajdującej się w atmosferze. W skład linii radiowej wchodzą dwie stacje nadawczo-odbiorcze oraz tzw. stacje przekaźnikowe (stosowane w liniach radiowych o większym zasięgu). Struktura linii radiowej jest przedstawiona na rys. 30. Rys. 30. Struktura teletransmisyjnej linii radiowej: KrT – krotnica telefoniczna, Mod – modulator, Nw.cz – nadajnik wielkiej częstotliwości, Dem – demodulator, O w.cz – odbiornik wielkiej częstotliwości, Z – zwrotnica, UNiK – urządzenia nadzoru i kontroli [1, s. 287] Stacja linii radiowej zawiera następujące urządzenia: − antenowe wraz ze zwrotnicami, − nadawcze i odbiorcze wielkiej częstotliwości, − pomocnicze nadzoru, kontroli i łączności słuŜbowej, − zasilające, − modulatory (w kierunku nadawczym) i demodulatory (w kierunku odbiorczym) – występują tylko w stacjach końcowych. KaŜda linia radiowa pracuje w określonym paśmie częstotliwości, zwanym kanałem radiowym. Kanał radiowy charakteryzuje się częstotliwością środkową oraz szerokością pasma. Linia radiowa moŜe mieć jeden lub wiele kanałów radiowych realizowanych w jednym wspólnym torze tzn. z jedną wspólną anteną. Sygnały zbiorcze poszczególnych kanałów radiowych rozdziela się za pomocą filtrów oraz przez odpowiednią polaryzację promieniowanej fali. Budowa i zasada działania linii radiowej Linie radiowe dzielimy na: − analogowe – z modulacją częstotliwości współpracujące z systemami zwielokrotnienia częstotliwościowego, − cyfrowe – przystosowane do współpracy z krotnicami o zwielokrotnieniu czasowym.
  • 54.
    „Projekt współfinansowany ześrodków Europejskiego Funduszu Społecznego” 53 Linie radiowe z modulacją częstotliwości posiadają stacje końcowe zawierające w części nadawczej – modulator i nadajnik wielkiej częstotliwości (w.cz.) i w części odbiorczej – odbiornik sygnału radiowego w.cz. oraz demodulator. W części nadawczej stosowane są dwie metody modulacji: − bezpośrednią – sygnał wejściowy zostaje zwielokrotniony częstotliwościowo, wzmocniony i bezpośrednio przemieniony w sygnał w.cz. w wyniku modulacji częstotliwości fali nośnej w.cz., − pośrednią – sygnał w.cz. otrzymuje się w wyniku dwustopniowej przemiany, najpierw uformowany jest sygnał pośredniej częstotliwości a następnie wzmocniony i zmieszany w tzw. mieszaczu z przebiegiem w.cz.. Zadaniem urządzeń odbiorczych stacji końcowej jest odbiór sygnału radiowego w.cz. i jego demodulacja do pasma podstawowego. NiezaleŜnie od rozwiązania po stronie nadawczej, w części odbiorczej z reguły stosuje się przemianę dwustopniową. Urządzenia końcowe cyfrowej linii radiowej CLR zawierają następujące urządzenia: − transkoder, − urządzenia nadawczo-odbiorcze, − zwrotnice antenowe, − urządzenia generacyjne, − blok obsługi i kontroli zawierający urządzenia obsługi i zdalnej kontroli, urządzenia przełączenia na rezerwowy kanał radiowy, urządzenia łączności słuŜbowej. W części nadawczej transkodera sygnał wejściowy PCM zostaje zregenerowany i odpowiednio ukształtowany w nową ramkę wewnątrzsystemową ( nowy sygnał zbiorczy). W nadajniku zachodzi modulacja w wyniku, której widmo sygnału cyfrowego zostaje przesunięte do pasma kanału radiowego, następnie sygnał zostaje wzmocniony i przesłany do zwrotnicy antenowej a stąd do anteny. Przy odbiorze sygnał radiowy w.cz. odebrany przez antenę jest po przejściu przez zwrotnicę antenową najpierw wzmocniony, a potem doprowadzony do mieszacza, w którym zostaje przetworzony na sygnał pośredniej częstotliwości, Sygnał p.cz. jest następnie zdemodulowany, a w transkoderze zostaje wydzielony oraz uformowany podstawowy sygnał PCM. Łączność satelitarna Łączność satelitarna odgrywa powaŜną rolę w strukturze telekomunikacyjnej sieci międzynarodowej od momentu pojawienia się wielu satelitów Ziemi, krąŜących na orbitach geostacjonarnych i eliptycznych. W skład łącza satelitarnego wchodzą dwie stacje naziemne końcowe oraz satelita telekomunikacyjny, odgrywający rolę stacji retransmisyjnej. Łącza satelitarne są wykorzystywane do przesyłania informacji telefonicznych, transmisji danych, wymiany programów radiowych i telewizyjnych, transmisji wideokonferencji i wideotekstów. Sygnały do łączy satelitarnych są doprowadzane do stacji naziemnej za pośrednictwem sieci telekomunikacyjnej. Wejściem łącza satelitarnego jest modulator stacji naziemnej, a wyjściem – demodulator przeciwległej stacji. Urządzenia retransmisyjne na satelicie wzmacniają odebrane sygnały, przemieniają je na inny zakres częstotliwości i wysyłają do docelowej stacji końcowej.
  • 55.
    „Projekt współfinansowany ześrodków Europejskiego Funduszu Społecznego” 54 Zadaniem anten naziemnych jest wypromieniowanie fali radiowej w kierunku satelity oraz odbiór sygnałów satelitarnych, ich skoncentrowanie i eliminowanie sygnałów szkodliwych. Zadaniem anteny satelitarnej jest odbiór sygnałów ze stacji naziemnych, kierowanie ich do stacji retransmisyjnej (transpondera), a następnie wypromieniowanie w postaci fal elektromagnetycznych w kierunku naziemnej stacji odbiorczej. Systemy satelitarne pracują w zakresie częstotliwości od 1 GHz do 30 GHz. Metody wielokrotnego dostępu do satelity Stosowane są następujące metody wielokrotnego dostępu do satelity: − przez podział częstotliwości FDMA (ang. Frequency Division Multiple Access), − przez podział czasowy TDMA (ang. Time Division Multiple Access), − w wyniku zastosowania sygnałów o wspólnym widmie CSMA (ang. Common Spectrum Multiple Access). Wielokrotny dostęp MA ( ang. Multiple Access) oznacza współpracę satelity z większą liczbą stacji naziemnych zainstalowanych w dowolnych warunkach terenowych oraz ruchomych. Charakterystyka systemów satelitarnych Łączność satelitarna w Polsce jest organizowana przez stację satelitarną w Psarach koło Kielc. Pracują tam stacje satelitarne następujących systemów satelitarnych: − INTELSAT – dwie stacje naziemne, jedna obejmuje swym działaniem obszar Oceanu Atlantyckiego i zapewnia łączność z USA i Kanadą, druga obejmuje rejon Oceanu Indyjskiego i umoŜliwia komunikację z Japonią, Koreą, Singapurem i Australią, − INTERSPUTNIK – obsługuje państwa Europy Wschodniej i Środkowej, − INMARSAT – wykorzystywana do łączności morskiej, posiada dwie stacje , z których jedna współpracuje z satelitą nad Oceanem Atlantyckim a druga z satelitą nad Oceanem Indyjskim, − EUTELSAT – stanowi uzupełnienie sieci łączności w Europie, umoŜliwia przesyłanie sygnałów z szybkością 120 Mbit/s. 4.5.2. Pytania sprawdzające Odpowiadając na pytania, sprawdzisz, czy jesteś przygotowany do wykonania ćwiczeń. 1) Jak zbudowany jest tor radiowy? 2) Jakimi cechami charakteryzuje się anteny stosowane w torach radiowych kierunkowych? 3) Jak klasyfikuje się tory radiowe? 4) Jaka jest róŜnica między torem radiowym łamanym wskutek rozproszenia i torem łamanym wskutek odbicia? 5) Jaki parametr charakteryzuje tor radiowy? 6) Jakie parametry charakteryzują kanał radiowy? 7) Jaka jest róŜnica między kanałem radiowym a linią radiową? 8) Jakie urządzenia zawiera stacja końcowa analogowej linii radiowej? 9) Jakie metody modulacji stosuje się w analogowych liniach radiowych?
  • 56.
    „Projekt współfinansowany ześrodków Europejskiego Funduszu Społecznego” 55 10) Jakie urządzenia zawiera stacja końcowa cyfrowej linii radiowej CLR? 11) Jak zbudowane jest łącze satelitarne? 12) Jakie funkcje spełnia antena naziemna w systemie satelitarnym? 13) Jakie funkcje spełnia antena satelitarna w systemie satelitarnym? 14) Jakie znasz metody wielokrotnego dostępu do satelity? 15) W jakich systemach satelitarnych pracują stacje w ośrodku łączności satelitarnej w Polsce? 4.5.3. Ćwiczenia Ćwiczenie 1 Przyporządkuj wskazane przez nauczyciela urządzenie na podstawie opisu ich funkcji do stacji końcowej analogowej lub cyfrowej linii radiowej. Sposób wykonania ćwiczenia Aby wykonać ćwiczenie, powinieneś: 1) odszukać w materiałach dydaktycznych funkcje urządzeń stacji końcowych linii radiowych, 2) dokonać analizy działania urządzeń na podstawie opisów ich funkcji, 3) rozpoznać rodzaje układów, 4) przypisać nazwy przyporządkowanych urządzeń do odpowiednich stacji końcowych. WyposaŜenie stanowiska pracy: − papier formatu A4, flamastry, − literatura zgodna z punktem 6 poradnika. Ćwiczenie 2 Moc sygnału doprowadzonego do anteny nadawczej linii radiowej wynosi 1000W. Moc sygnału odebranego z anteny odbiorczej pierwszego dnia wynosiła 950 W, a drugiego dnia o tej samej porze wynosiła 750 W, ale po 10 minutach moc osiągnęła ponownie wartość 950 W. Oblicz wartości tłumienności toru radiowego dla obu przypadków. Oceń jakość toru radiowego i podaj moŜliwe przyczyny spadku mocy po stronie odbiorczej. Sposób wykonania ćwiczenia Aby wykonać ćwiczenie, powinieneś: 1) odszukać odpowiednie określenia, 2) wykonać obliczenia. 3) przeanalizować otrzymane wyniki, 4) dokonać oceny jakości toru radiowego, 5) podać moŜliwe przyczyny wzrostu tłumienności toru radiowego. WyposaŜenie stanowiska pracy: − papier formatu A4, flamastry,
  • 57.
    „Projekt współfinansowany ześrodków Europejskiego Funduszu Społecznego” 56 − kalkulator, − literatura zgodna z punktem 6 poradnika. Ćwiczenie 3 Przyporządkuj odpowiednio wskazane przez nauczyciela funkcje urządzeń łącza satelitarnego do anten: naziemnej i satelitarnej. Sposób wykonania ćwiczenia Aby wykonać ćwiczenie, powinieneś: 1) odszukać w materiałach dydaktycznych funkcje urządzeń łącza satelitarnego, 2) dokonać analizy działania urządzeń na podstawie opisów ich funkcji, 3) przypisać funkcje do odpowiedniego typu anteny. WyposaŜenie stanowiska pracy: − papier formatu A4, flamastry, − literatura zgodna z punktem 6 poradnika. Ćwiczenie 4 WskaŜ systemy satelitarne wykorzystane do transmisji dla realizacji podanych usług z Polski do podanych przez nauczyciela punktów na kuli ziemskiej. Sposób wykonania ćwiczenia Aby wykonać ćwiczenie, powinieneś: 1) odszukać w materiałach dydaktycznych informacje o dostępnych w Polsce systemach satelitarnych, 2) dokonać analizy obszarów usługowych i geograficznych obsługiwanych przez poszczególne systemy, 3) przypisać systemy satelitarne umoŜliwiające realizację transmisji informacji do poszczególnych przypadków. WyposaŜenie stanowiska pracy: − papier formatu A4, flamastry, − literatura zgodna z punktem 6 poradnika. 4.5.4. Sprawdzian postępów Czy potrafisz: Tak Nie 1) wyjaśnić pojęcia: linia radiowa, kanał radiowy, antena kierunkowa?
  • 58.
    „Projekt współfinansowany ześrodków Europejskiego Funduszu Społecznego” 57 2) określić róŜnice między torem radiowym prostym a torem radiowym łamanym? 3) określić strukturę teletransmisyjnej linii radiowej? 4) wyjaśnić zasady modulacji bezpośredniej i pośredniej? 5) określić urządzenia cyfrowej linii radiowej? 6) określić funkcje jakie spełnia łączność radiowa? 7) wyjaśnić pojęcie łącze satelitarne? 8) określić zadania anten naziemnych w systemach satelitarnych ? 9) określić zadania anten satelitarnych w systemach satelitarnych? 10) określić metody wielokrotnego dostępu do satelity? 11) wyjaśnić pojęcie transponder? 12) określić systemy satelitarne, z którymi współpracują stacje w Polsce? 13) określić funkcje jakie spełnia łączność satelitarna? 5. SPRAWDZIAN OSIĄGNIĘĆ Instrukcja dla ucznia 1. Przeczytaj uwaŜnie instrukcję. 2. Podpisz imieniem i nazwiskiem kartę odpowiedzi. 3. Zapoznaj się z zestawem zadań testowych. 4. KaŜdy test zawiera 20 zadań. Do kaŜdego zadania dołączone są 4 moŜliwości odpowiedzi. Tylko jedna jest prawidłowa. 5. Udzielaj odpowiedzi na załączonej karcie odpowiedzi, stawiając w odpowiedniej rubryce znak X. W przypadku pomyłki naleŜy błędną odpowiedź zaznaczyć kółkiem, a następnie ponownie zakreślić odpowiedź prawidłową. 6. Zadania wymagają prostych obliczeń, które powinieneś wykonać przed wskazaniem poprawnego wyniku. 7. Pracuj samodzielnie, bo tylko wtedy będziesz miał satysfakcję z wykonanego zadania. 8. Jeśli udzielenie odpowiedzi będzie Ci sprawiało trudność, wtedy odłóŜ jego rozwiązanie na później i wróć do niego, gdy zostanie Ci wolny czas. 9. Na rozwiązanie kaŜdego testu masz 60 minut. Powodzenia!
  • 59.
    „Projekt współfinansowany ześrodków Europejskiego Funduszu Społecznego” 58 ZESTAW ZADAŃ TESTOWYCH 1. Parametry elektryczne charakteryzujące tory przewodowe to: a) rezystancja R, indukcyjność L, upływność G, pojemność C. b) napięcie U, prąd I, rezystancja R, moc W. c) impedancja Z, rezystancja, moc W. d) impedancja Z, moc W, napięcie U. 2. Tamowość falowa obliczana jest według wzoru a) Zf = R+jωL. b) Zf = 1/(G+jωC). c) Zf = (R+jωL) (G+jωC). d) Γ = (R + jωL) (G + jωC). 3. Pomiar rezystancji i asymetrii rezystancji Ŝył wykonuje się za pomocą a) układów mostkowych lub omomierza. b) oscyloskopu. c) metodą impulsową. d) poziomoskopu. 4. W światłowodach jednodomowych rozchodzi się a) wiele rodzajów fal świetlnych o danej długości. b) jeden rodzaj fali świetlnej. c) wiele rodzajów fal świetlnych o róŜnej długości. d) jeden rodzaj fali radiowej. 5. Podstawowymi parametrami transmisyjnymi światłowodów są a) impedancja falowa oraz tamowość falowa. b) tłumienność oraz pasmo przenoszenia. c) okno długości fali oraz stoŜek akceptacji. d) średnica rdzenia oraz średnica płaszcza. 6. Podstawowymi parametrami transmisyjnymi światłowodów są a) pierwszej generacji. b) podstawowej generacji. c) drugiej generacji. d) trzeciej generacji. 7. Precyzyjnie zetknięte ze sobą końce włókien światłowodowych podgrzewa się łukiem elektrycznym w procesie a) sklejania. b) cięcia. c) spawania. d) pomiaru parametrów transmisyjnych.
  • 60.
    „Projekt współfinansowany ześrodków Europejskiego Funduszu Społecznego” 59 8. Na schemacie blokowym układu zwielokrotnienia częstotliwościowego bloki 1, 2, 3, 4, 5, 6 obrazują: a) 1 – modulator, 2 – filtr, 3 – wzmacniacz, 4 – filtr, 5 – demodulator, 6 – wzmacniacz. b) 1 – modulator, 2 – filtr, 3 – wzmacniacz, 4 – demodulator, 5 – filtr, 6 – wzmacniacz. c) 1 – modulator, 2 – wzmacniacz, 3 – filtr, 4 – filtr, 5 – demodulator, 6 – wzmacniacz. d) 1 –modulator, 2 – filtr, 3 – wzmacniacz, 4 – wzmacniacz, 5 – demodulator, 6 – filtr. 9. Na schemacie blokowym układu systemu cyfrowego z modulacją PCM bloki 1, 2, 3 obrazują a) 1 – dekoder PCM, 2 – nadajnik optyczny, 3 – koder PCM b) 1 – Filtr FGP, 2 – nadajnik optyczny, 3 – koder PCM. c) 1 – koder PCM, 2 – układ próbkowania, 3 – dekoder PCM. d) 1 – układ próbkowania, 2 – koder PCM, 3 – dekoder PCM. 10. Przekształcenie sygnałów w systemie zwielokrotnienia czasowego odbywa się w drodze modulacji a) szerokości impulsu. b) fazowej. c) kodowo-impulsowej. d) amplitudowej. 11. Prawo próbkowania określa częstotliwość próbkowania fp, która powinna być a) co najmniej dwukrotnie mniejsza od największej częstotliwości fg sygnału próbkowanego. b) równa dwukrotnej wartości największej częstotliwości fg sygnału próbkowanego.
  • 61.
    „Projekt współfinansowany ześrodków Europejskiego Funduszu Społecznego” 60 c) co najmniej dwukrotnie większa od najmniejszej częstotliwości fd sygnału próbkowanego. d) co najmniej dwukrotnie większa od największej częstotliwości fg sygnału próbkowanego. 12. W systemach PDH okres próbkowania Tp wynosi a) 8 kHz. b) 3,9 µs. c) 4,9 µs. d) 125 µs. 13. W systemach SDH współpracę z systemami plezjochronicznymi umoŜliwia moduł a) STM-16. b) STM-4. c) STM-1. d) STM-32. 14. Urządzenia, które umoŜliwiają wydzielenie i ponowne wprowadzenie dowolnego sygnału wchodzącego w skład sygnału zbiorczego STM-n, transmitowanego w linii, bez konieczności jego całkowitej demultipleksacji to a) krotnice końcowe TMX. b) krotnice liniowe LMX. c) krotnice transferowe ADM. d) synchroniczne przełącznice cyfrowe SDXC. 15. System satelitarny uŜywany do łączności morskiej to a) INTELSAT. b) EUTELSAT. c) INTERSPUTNIK. d) INMARSAT. 16. Sposób tworzenia zbiorczego sygnału PAM przedstawia a) rys. 1. b) rys. 2.
  • 62.
    „Projekt współfinansowany ześrodków Europejskiego Funduszu Społecznego” 61 17. Tłumienność toru radiowego zaleŜy od a) długości toru, warunków atmosferycznych i jest zmienna w czasie. b) warunków terenowych, warunków atmosferycznych i jest zmienna w czasie. c) długości toru, warunków terenowych i jest stała w czasie. c) rys. 3. d) rys. 4.
  • 63.
    „Projekt współfinansowany ześrodków Europejskiego Funduszu Społecznego” 62 d) warunków terenowych, warunków atmosferycznych i jest stała w czasie. 18. PoniŜej zamieszczony schemat blokowy przedstawia strukturę a) systemu PDH. b) systemu SDH. c) systemu satelitarnego. d) linii radiowej. 19. Regulowany przez mikroprocesor cykl spawania światłowodów składa się następujących faz a) cięcia światłowodów, pozycjonowania, spawu. b) cięcia światłowodów, nagrzewania wstępnego, spawu. c) nagrzewania wstępnego, topnienia, spawu. d) topnienia, pozycjonowania, spawu. 20. Wieloramka PCM 30/32 składa się z a) 30 ramek ponumerowanych od 1 do 30. b) 32 ramek ponumerowanych od 0 do 31. c) 15 ramek ponumerowanych od 1 do 15. d) 16 ramek ponumerowanych od 0 do 15.
  • 64.
    „Projekt współfinansowany ześrodków Europejskiego Funduszu Społecznego” 63 KARTA ODPOWIEDZI Imię i nazwisko ............................................................................... Zarządzanie systemami teletransmisyjnymi i teleinformatycznymi Zakreśl poprawną odpowiedź. Nr zadania Odpowiedź Punkty 1 a b c d 2 a b c d 3 a b c d 4 a b c d 5 a b c d 6 a b c d 7 a b c d 8 a b c d 9 a b c d 10 a b c d 11 a b c d 12 a b c d 13 a b c d 14 a b c d 15 a b c d 16 a b c d 17 a b c d 18 a b c d 19 a b c d 20 a b c d Razem: 6. LITERATURA 1. Hołub J.: Zarys telekomunikacji. WSiP, Warszawa 2000 2. Simmonds A.: Wprowadzenie do transmisji danych. WKŁ, Warszawa 1999 3. Zagrobelny T.: Urządzenia teletransmisyjne. WSiP, Warszawa 1996