Embed presentation
Download to read offline

















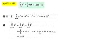
The document provides mathematical formulations and approaches to problem-solving, including a discussion on recurring numbers and the area of an equilateral triangle. It introduces concepts of infinite series and connections between geometrical elements. Additionally, the document includes algebraic expressions related to summing series and polynomial functions.
















