TURIN POLYTECHNIC
UNIVERSITY INTASHKENT
giuseppe.battiato@polito.it
Giuseppe Battiato
giuseppe.battiato@polito.it
Fundamentals of Machine Design
Stress concentration
September 18, 2024
щ
s
Oa
Stress concentration
September 18, 2024
Fundamentals of Machine Design – Giuseppe Battiato 2
Stress raiser
• A stress raiser is a region in a structural component where the stress is significantly higher than in
neighboring regions, and a stress concentration occurs.
• Stress concentration results from discontinuities in the geometry of a structural component in a relatively
small area. Typical examples of such geometric discontinuities are holes, notches, grooves, fillets, threads,
and even tool marks.
Single notch
Thick element with
hole
Circumferential
groove in shaft
Shoulder fillet in
shaft
Bolt and nut
Tool marks
Drawings:
Pilkey, Walter D., Deborah F. Pilkey, and Zhuming
Bi. Peterson's stress concentration factors. John
Wiley & Sons, 2020.
https://www.blum-novotest.com/us/products/measuring-
components/surface-roughness-gauges/tc63-rg-single/
Поче
h-насегна,
выемĸа
борозза
Stress concentration
September 18, 2024
Fundamentals of Machine Design – Giuseppe Battiato 3
Stress raiser
Stress raiser: a change in the cross section of a member in a
relatively small area.
• Changes in section or shape are unavoidable since these
result from design, machining and assembly necessities.
• Any discontinuity in a machine component alters the
stress distribution in nearby regions so that the actual
stress state can no longer be described by De Saint
Venant's theory (beam theory) in the vicinity of that
discontinuity.
• Because of the stress raiser the maximum stress in the
reduced (notched/net) cross-section is higher than the
nominal one, and a stress concentration occurs in the
regions close to the stress raiser.
Reference: M. Rossetto - Introduzione alla fatica dei materiali e dei
componenti meccanici - Levrotto & Bella - Torino - 2000
Rolling bearing
Rolling bearing
Shaft
Gear
Groove
Shoulder
Splines
: Кĸ
ооĸе-лаз,
жёлоб
N
-
t
Stress concentration
September 18, 2024
Fundamentals of Machine Design – Giuseppe Battiato 4
Stress raiser
• Several components, for functional reasons, have
a shape that causes local notching effects.
• Efforts are made to minimize the severity of the
notch by using wide fillet radii, as much as
possible.
• However, as shown in the sketches in the figure, it
is often not possible to avoid sharp changes in
shape, and the local stress can reach values 3 to 4
times higher than the nominal stress.
Keyway
Gear teeth
Shoulder
Threads
Knurling
Holes Днаĸатĸа
Stress concentration
September 18, 2024
Fundamentals of Machine Design – Giuseppe Battiato 5
Stress raiser
Nominal stress 𝜎𝑦𝑦
𝑛𝑜𝑚 𝜎𝑦𝑦
𝜎𝑥𝑥
𝜎𝑦𝑦
𝑚𝑎𝑥
𝜎𝑥𝑥
• In the case of a circular hole (small compared
to the size of the plate), the stress
concentration factor is 3:
𝜎𝑦𝑦
𝑚𝑎𝑥
= 3𝜎𝑦𝑦
𝑛𝑜𝑚
• In more complex cases, diagrams are used to
determine the stress concentration factor
based on the type of applied load and the
geometric features of the notch.
Stress concentration
September 18, 2024
Fundamentals of Machine Design – Giuseppe Battiato 6
Notch effect – Tensile load on a shaft with a groove
• The groove is responsible of the notch effect.
• Without the groove the tensile stress acts in the x (axial)
direction only, it is constant in magnitude and uniformly
distributed over cross section. The nominal stress in the
notched cross-section is computed as: 𝜎n = 𝑃/𝐴, where 𝐴 =
𝜋𝑎2
is the notched cross section area (net cross-section).
• Because of the groove the nominal stress distribution changes:
▪ The stress state becomes tri-axial with components (x, r, t).
▪ The maximum normal stress in the notched component becomes
higher than the nominal stress (𝜎𝑥
𝑚𝑎𝑥
> 𝜎𝑛).
• The stress state depends on the geometry parameters (cross-
section radius a and fillet radius ) and loading mode.
• Because of the notch effect the stresses distribution exhibits
peaks in proximity of the surface where the fatigue process is
more aggressive (fatigue is the next topic).
Nominal stress
The maximum stress component 𝜎𝑥
𝑚𝑎𝑥
= max(𝜎𝑥) in
the notched cross section has the same direction of
the nominal one (𝜎𝑛) .
.
O
w
w
O
0
.
Д
Stress concentration
September 18, 2024
Fundamentals of Machine Design – Giuseppe Battiato 7
Notch effect – Stress components in the net cross-section perimeter
𝑑𝑟
𝑑𝑡
𝑑𝑥 𝑟
𝑡
𝑥
𝜎𝑥
𝜎r
𝜎𝑡
𝜎𝑥
𝜎𝑟
𝜎𝑡
𝑥
𝑟
𝑡
𝑎
Net cross-section
perimeter
Stress concentration
September 18, 2024
Fundamentals of Machine Design – Giuseppe Battiato 8
Notch effect – Stress components along the groove profile
𝜎𝑢 𝜎𝑢 ≡ 𝜎𝑥
Direction tangent to
the groove profile.
Direction tangent to
the groove profile
and parallel to x.
Groove profile
𝑟
𝑥
𝑢
Stress concentration
September 18, 2024
Fundamentals of Machine Design – Giuseppe Battiato 9
Notch effect – Stress components
Circumferential notch
Tensile axial load Twisting moment
Stress concentration
September 18, 2024
Fundamentals of Machine Design – Giuseppe Battiato 10
Notch effect – Stress components
Plane notch
Tensile axial force Bending moment
d: thickness (direction ꓕ xr plane)
Stress concentration
September 18, 2024
Fundamentals of Machine Design – Giuseppe Battiato 11
Notch effect - Experimental evidence
Experimental evidences
(photoelasticity)
The presence of stress raisers can be revealed by
experimental methods, e.g. photoelasticity.
Hydrodynamic analogy
• The stress fringes detected by the photoelasticity can be
thought as the flow lines of a stream.
• In the notched section a concentration of flow lines (fringes)
occurs, i.e. the number of fringes per unit area increases.
• The concentration of photoelastic fringes near a notch
indicates a sharp increase in stress at the notch location.
Stress concentration
Stress concentration
September 18, 2024
Fundamentals of Machine Design – Giuseppe Battiato 12
Stress concentration
From the experimental tests available in the
technical literature, it can be noted that:
• The stress distribution that would occur
without the notch does not coincide to the
stress distribution in net cross-section in
the notched region;
• The largest stress component in the net
cross-section has the same direction (x in
this case) of the nominal stress in the
absence of notch (but amplitude is larger);
• The stress distribution in the presence of
notching reaches the maximum amplitude
in the net cross-section at the outer
surface of the notched region.
The stress raising effect in the net cross-section in the
vicinity of the notch depends on:
• Geometry
• Loading mode
Stress distribution at the
smallest (net) cross-section ( )
Tension Bending
x x x x
Stress concentration
September 18, 2024
Fundamentals of Machine Design – Giuseppe Battiato 13
Stress concentration factor in statics
Net
cross-section
The effect of the variations induced by the stress raisers is
taken into account by the theoretical (or geometric) stress
concentration factor 𝐾𝑡.
𝐾𝑡 =
𝜎𝑚𝑎𝑥
𝜎𝑛
=
𝜎𝑥
𝑚𝑎𝑥
𝜎𝑥
𝑛𝑜𝑚
d
D
z
r
F
F
r
n
z
s
s
n
c
s
s
n
r
s
s
n
s
s
3
2
1
2
d
4
p
s
F
n =
x
Nominal stress
3
2
1
2
d
4
p
s
F
n =
𝜎
𝜎𝑛
𝜎𝑥
𝜎𝑛
𝜎𝑡
𝜎𝑛
𝜎𝑟
𝜎𝑛
𝜎𝑥
𝑚𝑎𝑥
𝜎𝑛
Stress concentration
September 18, 2024
Fundamentals of Machine Design – Giuseppe Battiato 14
Stress concentration factor in statics
The theoretical stress concentration factor (or geometric stress concentration factor) 𝐾𝑡 :
• Is the ratio between the amplitude of the maximum stress in the net cross-section (𝜎𝑚𝑎𝑥) and
the nominal one 𝜎𝑛. Note that 𝜎𝑚𝑎𝑥 has the same direction of 𝜎𝑛.
• It can be used to estimate the actual maximum stress in the net cross-section in the notched
region if the De Saint Venant nominal stress 𝜎𝑛 is known.
• The stress state in the notch can be obtained by experimental (photoelasticity, strain-gages,
brittle coatings) or numerical (finite elements method, boundary elements method) analyses.
• It depends on the notch geometry and the loading mode.
• 𝐾𝑡 can be obtained from published tables and charts:
R.E. Peterson, Stress Concentration Factor, Wiley, 1974
W.D. Pilkey, D.F. Pilkey, Peterson’s stress concentration factors, Wiley, 2008
Stress concentration
September 18, 2024
Fundamentals of Machine Design – Giuseppe Battiato 15
Stress concentration factor evaluation
Evaluation of the stress concentration factor 𝐾𝑡 is carried out:
• By analytical methods - The initial studies were conducted by Kirsch, who in 1898 investigated
the stress distribution around a hole in a very large plate (an infinite plate). A significant
contribution followed from Neuber around 1930. Unfortunately, closed-form analytical
solutions are not available for most geometries.
• By numerical methods - With the Finite Element Method (FEM), approximate solutions can be
obtained. A more recent and interesting numerical method is the Boundary Element Method
(BEM).
• By experimental methods - Experimental methods such as photoelasticity, strain gauges, and
brittle coatings can provide valid results, provided the structure remains within the linear
elastic range. However, these methods have limitations, as they cannot accurately evaluate
the secondary stress components (𝜎𝑡, 𝜎𝑟).
September 18, 2024
Fundamentals of Machine Design – Giuseppe Battiato 16
Radial Axial
Circumferential
Axial
Circumferential
Radial
Stress concentration
Notched bar in tension: FEM solution
Nominal stress
3
2
1
ad
2
F
=
𝜎
𝜎𝑛
𝜎𝑥
𝜎𝑛
𝜎𝑡
𝜎𝑛
𝜎𝑟
𝜎𝑛
𝜎𝑥
𝑚𝑎𝑥
𝜎𝑛
a
a
𝜎𝑛
r r
r r
Tension
Bending
Torsion
Stress concentration
September 18, 2024
Fundamentals of Machine Design – Giuseppe Battiato 17
Stress concentration factors: shaft with shoulder fillet
𝜎𝑛 = 𝜎𝑎𝑣𝑔
𝜏𝑛 = 𝜏𝑎𝑣𝑔
Stress concentration
September 18, 2024
Fundamentals of Machine Design – Giuseppe Battiato 18
Stress concentration factors: grooved round bar
Tension
Bending
Torsion
𝜎𝑛 = 𝜎𝑎𝑣𝑔
𝜏𝑛 = 𝜏𝑎𝑣𝑔
Tension/compression Bending
Stress concentration
September 18, 2024
Fundamentals of Machine Design – Giuseppe Battiato 19
Stress concentration factors: bar (plate) with a transverse hole
𝜎𝑛 = 𝜎𝑎𝑣𝑔
Stress concentration
September 18, 2024
Fundamentals of Machine Design – Giuseppe Battiato 20
Stress concentration factors: rectangular bars
Rectangular filleted bar Notched rectangular bar
Tension/compression
Bending
Stress concentration
September 18, 2024
Fundamentals of Machine Design – Giuseppe Battiato 21
Stress raisers influence
• The geometry of a stress raiser is described by dimensionless parameters:
𝐷/𝑑, 𝑟/𝑑, etc.
• 𝐾𝑡 (dimensionless) depends only on the component proportions (shape) and
not on its absolute size.
• If 𝑟 → 0 (inner notch radius) 𝐾𝑡 → ∞ (as well as maximum stress); physically it
cannot happen because the material will be over its yield limit: stress
redistribution will lower local peaks.
• Stress peaks due to stress raisers will be different depending on the material,
whether brittle or ductile.
Stress concentration
September 18, 2024
Fundamentals of Machine Design – Giuseppe Battiato 22
Stress redistribution in notched components made of ductile material
Suppose the tensile load P is gradually increased: due to the presence of the notch, the material at the
notch edge (A) reaches its yield strength first. As a result, the neighboring material (B) must take on more of
the load. As P continues to increase, point B will also begin to yield. Final failure occurs when the furthest
point from the notch (C) reaches its yield strength. At this stage, there is no remaining reserve of material
operating in the elastic range, and the component fails with any further small increase in P
P
P
h
R
eH
R
eH
R
a) b)
R
c) d)
eH eH
B
A
C
𝜎𝑌 𝜎𝑌 𝜎𝑌 𝜎𝑌
P is increasing from a) to d)
Stress concentration
September 18, 2024
Fundamentals of Machine Design – Giuseppe Battiato 23
Stress redistribution in notched components made of ductile material
• For a ductile material failure is represented by the condition for which at least one point of
the net cross-section gets yielding (𝜎𝑚𝑎𝑥 = 𝐾𝑡𝜎𝑛 = 𝜎𝑌). For such a condition the point of
greatest interest in the cross-section is A.
• If for a component made of ductile material a limited plasticization is allowed around the
notch, failure corresponds to the conditions for which the stress at all points in the net cross-
section reach the yield limit 𝜎𝑌 after the stress redistribution (𝜎𝑛 = 𝜎𝑌). In this case the point
of greatest interest is C.
• If the material is brittle, it is sufficient for the stress in A to reach the ultimate strength to have
failure (𝜎𝑚𝑎𝑥 = 𝐾𝑡𝜎𝑛 = 𝜎𝑈).
Stress concentration
September 18, 2024
Fundamentals of Machine Design – Giuseppe Battiato 24
Static verification of notched components
1) Identify the net cross-section in the notched region:
2) Compute the nominal stress in the net cross-section due to the applied load using the
classic formula from the De Saint Venant’s theory;
3) Identify the relevant dimensions of the notch, the notch geometry, type of the applied load
and find from the diagrams the stress concentration factor 𝐾𝑡;
4) Compute the actual (maximum) stress as 𝜎𝑚𝑎𝑥 = 𝐾𝑡𝜎𝑛 and compare it to the strength of the
material, either 𝜎𝑌 (or 𝜎𝑃02) or 𝜎𝑈 for ductile and brittle materials, respectively.
Stress concentration
September 18, 2024
Fundamentals of Machine Design – Giuseppe Battiato 25
Static verification of notched components made of brittle material
Warning: static verification for brittle materials requires to multiply the nominal stress in the net
cross-section by the stress concentration factor! This is because when 𝜎𝑚𝑎𝑥 gets the limit 𝜎𝑈
small cracks might suddenly generate at the net cross-section on the component surface.
Brittle linear elastic material (A < 5%)
Tension
𝜎𝑚𝑎𝑥 = 𝐾𝑡𝜎𝑛 < 𝜎𝑈
Stress concentration
September 18, 2024
Fundamentals of Machine Design – Giuseppe Battiato 26
Static verification of notched components made of ductile material: uniaxial loading without gradients
Conventional verification in the case of ductile failure and nominal state of stress without gradient:
• Initial yielding (b): 𝜎𝑚𝑎𝑥 = 𝐾𝑡𝜎𝑛 < 𝜎𝑌 (or 𝜎𝑚𝑎𝑥 = 𝐾𝑡𝜎𝑛 < 𝜎𝑃02).
• Full yielding (d): 𝜎𝑛 < 𝜎𝑌 (or 𝜎𝑛 < 𝜎𝑃02 )→ in this case 𝜎𝑛 is multiplied by 𝐾𝑡 = 1.
• Ductile failure (not represented in the figure): 𝜎𝑛 < 𝜎𝑈.
• Ductile linear elastic material (A > 5%)
• Non-strain-hardening
P
P
h
R
eH R
eH R
a) b)
R
c) d)
eH eH
𝜎𝑌 𝜎𝑌 𝜎𝑌 𝜎𝑌
𝜎𝑌
𝜎𝑈 𝜎𝑈
𝜎𝑃02
𝜎𝑌
𝜎𝑈
𝜎𝑃02
Ductile material
with yielding
Ductile material
without yielding
Stress concentration
September 18, 2024
Fundamentals of Machine Design – Giuseppe Battiato 27
Static verification of notched components made of ductile material: uniaxial loading with gradients
• Ductile linear elastic material (A > 5%)
• Non-strain-hardening
Bending moment (𝑀𝑥
′ ) corresponding to initial yielding (rectangular section):
Bending moment (𝑀𝑥
ℎ
) corresponding to the formation of a plastic hinge:
Full yield occurs when: 𝜎𝑛 = 1.5𝜎𝑌
𝜎𝑧𝑧
𝑚𝑎𝑥 = 𝐾𝑡𝜎𝑛 = 𝜎𝑌 =
𝑀𝑥
′
𝐼𝑥𝑥
ℎ
2
=
𝑀𝑥
′
𝑏ℎ3
12
ℎ
2
=
𝑀𝑥
′
𝑏ℎ2 6 →
𝑀𝑥
′
= 𝜎𝑌
𝑏ℎ2
6
= 𝐾𝑡𝜎𝑛
𝑏ℎ2
6
= 𝐾𝑡𝑀𝑥
Re
Re
y
z
y
z
𝜎𝑌
𝜎𝑌
h/2
𝜎𝑌
𝑏ℎ
2
𝑀𝑥
ℎ
= න
𝐴
𝜎𝑦𝑑𝐴 = 𝜎𝑌
𝑏ℎ
2
ℎ
2
= 𝜎𝑌
𝑏ℎ2
4
= 𝜎𝑌1.5
𝑏ℎ2
6
= 𝜎𝑛
𝑏ℎ2
6
𝑀𝑥
𝑀𝑥
𝑀𝑥
ℎ
𝑀𝑥
ℎ
The same holds for circular sections:
• Conventional verification of ductile failure in
components subjected to bending:
• For the conventional verification of component
subjected to torsion the Tresca criterion is
considered:
𝜎𝑖𝑑
𝑇
= 𝜎1 − 𝜎3 = 2𝜏𝑛 < 𝜎𝑈
Stress concentration
September 18, 2024
Presentation Title 28
Static verification of notched components made of ductile material: uniaxial loading with gradients
𝜎𝑛 < 𝜎𝑈
𝜏𝑛 = 𝜏𝑥𝑧 =
𝑀𝑡
𝐼𝑃
𝑟
𝑀𝑡 𝑀𝑡
y
x
z
𝜏𝑥𝑧
Principal stresses (Mohr’s circles):
• 𝜎1 = 𝜏𝑛
• 𝜎2 = 𝜎𝑦𝑦 = 0
• 𝜎3 = −𝜏𝑛
Stress concentration
September 18, 2024
Fundamentals of Machine Design – Giuseppe Battiato 29
Static verification of notched components made of ductile material: multiaxial loading
Maximum stress components at the stress raiser:
• 𝜎𝑁
𝑚𝑎𝑥
= 𝐾𝑡,𝑁𝜎𝑛,𝑁 Tension/compression
• 𝜎𝐵
𝑚𝑎𝑥
= 𝐾𝑡,𝐵𝜎𝑛,𝐵 Bending
• 𝜏𝑚𝑎𝑥
= 𝐾𝑡,𝑇𝜏𝑛 Torsion
• Conventional initial yielding verification:
𝜎𝑖𝑑
𝑉𝑀
= (𝜎𝑁
𝑚𝑎𝑥
+ 𝜎𝐵
𝑚𝑎𝑥
)2+3(𝜏𝑚𝑎𝑥
)2 < 𝜎𝑌, 𝜎𝑃02
• Conventional full yielding verification:
𝜎𝑖𝑑
𝑉𝑀
= (𝜎𝑛,𝑁 + 𝜎𝑛,𝐵)2+3(𝜏𝑛)2 < 𝜎𝑌, 𝜎𝑃02
• Conventional ductile failure verification:
𝜎𝑖𝑑
𝑉𝑀
= (𝜎𝑛,𝑁 + 𝜎𝑛,𝐵)2+3(𝜏𝑛)2 < 𝜎𝑈
Warning: secondary stresses are unknown!
𝜏
𝜎𝑁 + 𝜎𝐵
Stress concentration
September 18, 2024
Fundamentals of Machine Design – Giuseppe Battiato 30
Multiple stress raisers – combination of effects
Stress raisers of similar size
2
1
t1,2 t
t K
K
K =
( ) 2
1
2
,
1
2
t1,
max t
t
t
t K
K
K
K
K 

( )
2
1
2
1
2
,
1
4
1
1 





−
−
+

b
d
K
K
K
K c
t
e
t
c
t
t
One stress raiser much
smaller than the other
Approximate
formula
Stress concentration
September 18, 2024
Fundamentals of Machine Design – Giuseppe Battiato 31
How to relieve stress concentrations?
Stress concentration
September 18, 2024
Fundamentals of Machine Design – Giuseppe Battiato 32
How to relieve stress concentrations?
Stress concentration
September 18, 2024
Fundamentals of Machine Design – Giuseppe Battiato 33
Example 1
A plate made of S355 EN 10027/1 (𝜎𝑌 = 355 MPa, 𝜎𝑈 = 510 MPa) with the dimensions shown in the figure
is subjected to a transverse load of P = 8000 N. With reference to the notched section, calculate the safety
factors for ductile failure and initial yielding.
Thickness 20 mm
O
..
T
is
-vine
-
L
.
l i
,
Oll 10.12
093
ОДП
MX
=
P
.C-
8000
N.
0.2
m
= 1600 Mm
Sezn = jxZ
;
Ixx -
TI(Romm)
-
(&0
mm)3=-
8.53- 105т
m4
б
n:
в00зтт"иЧотт
= БМРА
118
=0125
2=10
mmi
b
=
80 mmi
tth
=
120180 =1.5
ĸ
e=14;
СО (*)тах
= К
+ Ф=ч. = 1.-. +5 мра=От,Бмра.
дБМмРара 2.78
Fs
=
T.zTmax-=
Stress concentration
September 18, 2024
Fundamentals of Machine Design – Giuseppe Battiato 34
Example 2
The 2-mm-thick bar shown in figure is loaded axially with a constant force of 10 kN. The bar material is
brittle. It is desired to drill a hole through the center of the 40-mm face of the plate to allow a cable to pass
through it. A 4-mm hole is sufficient for the cable to fit, but an 8-mm drill is readily available. Will a crack be
more likely to initiate at the larger hole, the smaller hole, or at the fillet?
H
- =Ш
y
V
Q
ole d
=8mm
b
=Rmm;
Ne
=
(
W-d1)
B = 3
2
m
m2
mm =
64
mmn?
баэ,пот- Г. =-ёй"иг = 156. 25мра.
I.=
о =
5= 0.2. 8 K
4=
2.5
баэ,мах =ĸн. ваепом= Здо бамро
Qtole o
=
Umm
.
P
2=
(W-$)b
= 36
mm.-Zmm?
72
mm?
'
zx,nom=
2
E
-"m
"
m?
E
=438.
88 mPe
..
"=8. =01 73 Ke
2E
265.
(022 Imax = K
+z-BzZn
= 2.654 138. 88 MPa = 368 MPa
.
Tielet
;
13= W
2D=
34
mm.
2
mm=68
mm
2
быгЕ Пз=
8мПтг= 1Чт оБ мРа.
ro
=
13"
y=
003; DIO
=
NINZE 4
O
/
B4=
1.1.
КеД 265 (бартах=
Кеби= 382 гмРа.
Stress concentration
September 18, 2024
Fundamentals of Machine Design – Giuseppe Battiato 35
Example
𝜎𝑛 =
𝐹
𝑤 − 𝑑 𝑡 𝜎𝑛 =
𝐹
𝑑𝑡
Bar in tension or simple compression
with a transverse hole
Rectangular filleted bar in tension
йй
TURIN POLYTECHNIC
UNIVERSITY INTASHKENT
Giuseppe Battiato
giuseppe.battiato@polito.it
Fundamentals of Machine Design
Fatigue – part 1
September 23, 2024
А
зоон
Фн
Fatigue
September 23, 2024
Fundamentals of Machine Design – Giuseppe Battiato 2
The fatigue phenomenon
• From experimental tests it was observed that the application of time-dependent loads,
particularly if they are cyclic loads, induces a failure in mechanical components even if the
maximum stress is lower than the yield stress (𝜎𝑌) for ductile materials or lower than the
ultimate tensile stress (𝜎𝑈) for brittle materials.
• Such a phenomenon is referred to as fatigue, and the failure process that this induces is
known as fatigue failure.

t
𝜎(𝑡)
Fatigue
September 23, 2024
Fundamentals of Machine Design – Giuseppe Battiato 3
The fatigue phenomenon: cyclic loading
• During rotation, the cross-section points experience the stress
values typical of the stress distribution due to bending. This
means that each point of the cross-section (except for the
centre) is cyclically stressed.
• A time-varying load or a time-constant load applied to
components subject to cyclic motions (such as rotation) are
typical conditions for the occurrence of fatigue.
t
𝜎𝑍𝑍(𝑡)
𝑡
𝑍
𝜎𝑧𝑧
𝑚𝑎𝑥
𝜎𝑧𝑧
𝑚𝑖𝑛
𝛺
Railway tracks
Wheels
Axle
Example: train axle
Fatigue
September 23, 2024
Fundamentals of Machine Design – Giuseppe Battiato 4
The fatigue phenomenon: definition
ASTM (American Society for Testing and Materials) definition: the process of progressive
localized permanent structural change occurring in a material subjected to conditions that
produce fluctuating stresses and strains at some point or points and that may culminate in
cracks or complete fracture after a sufficient number of fluctuations. (ASTM E 1823 - 2002)
The fatigue phenomenon is:
• Permanent: it means that it not reversible, in other words there is not a recovered stage of the
damage.
• Progressive: each subsequent loading cycle add a new damage to the material until the final
failure occurs.
• Localized: fatigue affects a specific region, and it can lead to the progressive failure of the
components. It is not a general material properties degradation, like an ageing in plastics or
rubber. However, the damage occurrences are not easily detectable.
С
-
.
Fatigue
September 23, 2024
Fundamentals of Machine Design – Giuseppe Battiato 5
Fatigue analysis approach
The study of fatigue is usually based on two different approaches:
• Microscopic approach: it examines the phenomenon in detail by analyzing the metallurgical
and structural changes in the material.
• Phenomenological approach: it tries to give tools to the designer to:
- Avoid fatigue failures;
- Evaluate endurance of the component before the occurrence of dangerous failures.
The presence of stress concentrations due to stress raisers (notches, grooves, etc.)
strongly affects the fatigue strength (and the endurance) of the components.
Fatigue
September 23, 2024
Fundamentals of Machine Design – Giuseppe Battiato 6
Loading (stress) cycle definition
Consider a periodic loading occurring at a certain frequency. The definition of loading cycle
requires:
• 1 time parameter or number of cycle, N;
• 2 amplitude parameters, related either to strain or stress (UNI 3964-85).
𝜎
𝑡
5
Fatigue
September 23, 2024
Fundamentals of Machine Design – Giuseppe Battiato 7
Loading (stress) cycle definition: stress parameters
2
min
max 


+
=
m
2
min
max 


−
=
a



 a
2
min
max =
−
=



max
min
=
R

 min
,
max


m
a
a
R =
Any of the following couples can be used
a
a
a
R
R
R
R
R
R
+
−
=
+
−
=
1
1
1
1
Relationships between the
stress ratio and the amplitude
ratio:
Maximum stress – Minimum stress
Average stress (or mean stress)
Stress amplitude or Alternate stress
Stress range
Stress ratio
Amplitude ratio


Fatigue
September 23, 2024
Fundamentals of Machine Design – Giuseppe Battiato 8
Loading (stress) cycle definition
𝜎
Alternate
symmetric
R=-1
Fluctuating
tensile
1>R>0
Pulsating
tensile
R=0
Pulsating
compression
R=-
Fluctuating
compression
R>1
t


max
min
=
R
Stress ratio
ДГ
бтах
жим
O
бтттбО
Аёгд
мур-
бтах
бтахо
бтат
d
"min
Быт
n.
бтюд
авти
8
бт
in
Fatigue
September 23, 2024
Fundamentals of Machine Design – Giuseppe Battiato 9
Fatigue failure mechanism
The fatigue failure mechanism is characterized by
three main stages:
Stage 1: crack nucleation at the component
(specimen) surface. It is the initiation of one or more
microcracks due to cyclic plastic deformation
followed by crystallographic propagation extending
from two to five grains about the origin. Stage I
cracks are not normally discernible to the naked eye.
Stage 2: crack growth inside the component. It
progresses from microcracks to macrocracks
forming parallel plateau-like fracture surfaces
separated by longitudinal ridges.
Stage 3: Unstable propagation and failure. It occurs
during the final stress cycle when the remaining
material cannot support the loads, resulting in a
sudden, fast fracture.
N
w
w
граспознываемый
Fatigue
September 23, 2024
Fundamentals of Machine Design – Giuseppe Battiato 10
Fatigue failure mechanism: crack nucleation
 01
. m
Superficie
metallica

0
1

Scorrimento in un metallo
dovuto a carichi ciclici
Component
surface
• Micro-dislocations motion is responsible of shearing
between preferably oriented crystal planes (45°
direction with respect to F). The phenomenon is
governed by shear stresses.
• Material sliding due to cyclic loading generates micro-
notches at the component surface.
• The phenomenon is characterized by permanent,
plastic strain localization, but the still behaves linearly.
F
45°
45°
From Suresh S. - Fatigue of materials -
Cambridge University Press 1991
Slipbands
Fatigue
September 23, 2024
Fundamentals of Machine Design – Giuseppe Battiato 11
Fatigue failure mechanism: crack growth
• The slipbands penetrate inside the
material at a distance covered by few
grains from the component surface.
• The slipbands coalesce and propagate
along a direction orthogonal to the applied
cyclic load.
• The crack propagation occurs according to
one of the following phenomena:
- Striations (beach marks) formation;
- Micro-vacuum coalescence (ductile
materials);
- Micro-cleavage (brittle materials).
• Note that crack propagation might not
occur, and the component can withstand
an “infinite” number of oscillations.
Component surface
Crack propagation
Grain
F
Fatigue
September 23, 2024
Fundamentals of Machine Design – Giuseppe Battiato 12
Fatigue failure mechanism: unstable propagation
Nucleation
spot
Regions with
different grit
(beach marks)
Final failure
zone Shear slip
borders
Radial borders
(propagation
plane changes)
Direction of
propagation
F
• Crack propagation is highlighted by
regions with different grit also known
as beach marks. The different grit
depends on the loading cycle.
• Different cracks from the nucleation
spot mutually join and generate the
radial borders.
• The propagation region is particularly
smooth because of the “hammering”
between the separated surfaces (the
stress ration R must be negative).
• The final failure zone is usually
rougher than other regions. This is
because of the abrupt fracture.
Fatigue
September 23, 2024
Fundamentals of Machine Design – Giuseppe Battiato 13
Static vs fatigue failure
When machine parts fail statically, they usually develop a very large deflection, because the stress has
exceeded the yield strength, and the part is replaced before fracture occurs. Thus, many static failures give
visible warning in advance. But a fatigue failure gives no warning! It is sudden and total, and hence
dangerous.
A component made of a ductile material subjected to fatigue loading usually exhibits cracked surfaces
which are orthogonal w.r.t. the direction of loading. Such failure mechanism is typical of components made
of brittle materials subjected to static loading.
• Surface separation flat and perpendicular to the loading direction;
• No 45° shear planes.
Fatigue
September 23, 2024
Fundamentals of Machine Design – Giuseppe Battiato 14
The fatigue failure evolution
Fatigue
September 23, 2024
Fundamentals of Machine Design – Giuseppe Battiato 15
Fatigue failure in real components – Main reasons
Fatigue failure is due to crack formation and propagation. A fatigue crack will typically initiate at a discontinuity in the
material where the cyclic stress is a maximum. Discontinuities can arise because of:
• Design of sudden changes in cross-section, keyways, holes, etc. where stress concentrations occur as discussed in
“Stress_concentration”.
• Elements that roll and/or slide against each other (bearings, gears, cams, etc.) under high contact pressure,
developing concentrated subsurface contact stresses (see “Hertz_contact_theory”) that can cause surface pitting or
spalling after many cycles of the load.
• Carelessness in locations of stamp marks, tool marks, scratches, and burrs; poor joint design; improper assembly;
and other fabrication faults.
• Composition of the material itself as processed by rolling, forging, casting, extrusion, drawing, heat treatment, etc.
Microscopic and submicroscopic surface and subsurface discontinuities arise, such as inclusions of foreign material,
alloy segregation, voids, hard precipitated particles, and crystal discontinuities.
• Various conditions that can accelerate crack initiation include residual tensile stresses, elevated temperatures,
temperature cycling, a corrosive environment, and high frequency cycling.
Fatigue
September 23, 2024
Fundamentals of Machine Design – Giuseppe Battiato 16
Macroscopic fatigue failure appearance
Nucleation
Propagation
Final fracture
(brittle-like)
Fatigue
September 23, 2024
Fundamentals of Machine Design – Giuseppe Battiato 17
Macroscopic fatigue failure appearance
Fatigue has two faces…
Smooth
Rough
Fatigue
September 23, 2024
Fundamentals of Machine Design – Giuseppe Battiato 18
Macroscopic fatigue failure appearance
Crack growth
direction
F
Shear lips
Fatigue
September 23, 2024
Fundamentals of Machine Design – Giuseppe Battiato 19
Macroscopic fatigue failure appearance
Fatigue failure of a bolt due to repeated unidirectional
bending. The failure started at the thread root at A,
propagated across most of the cross section shown by
the beach marks at B, before final fast fracture at C
(ASM Handbook, Vol. 12: Fractography).
Fatigue fracture of an AISI 4320 drive shaft. The fatigue
failure initiated at the end of the keyway at B and
progressed to final rupture at C. The final rupture zone is
small, indicating that loads were low (ASM Handbook,
Vol. 11: Failure Analysis and Prevention).
Root
Fatigue
September 23, 2024
Fundamentals of Machine Design – Giuseppe Battiato 20
Macroscopic fatigue failure appearance
Fatigue fracture surface of AISI 8640 steel. The fatigue crack
origin is at the left edge, at the flash line of the forging, but
no unusual roughness of the flash trim was indicated. The
fatigue fracture progressed halfway around the oil hole, at
the left indicated by the beach marks. Note the pronounced
shear lip in the fracture at the right edges (ASM Handbook,
Vol. 12: Fractography)
Fatigue fracture surface of an AISI 8640 pin. Sharp
corners of the mismatched grease holes provided
stress concentrations that initiated two fatigue
cracks indicated by the arrows (ASM Handbook, Vol.
12: Fractography)
Shear lips
Fatigue
September 23, 2024
Fundamentals of Machine Design – Giuseppe Battiato 21
Macroscopic fatigue failure appearance
Fatigue fracture of a 200 mm diameter piston rod of an
alloy steel steam hammer used for forging. This is an
example of a fatigue fracture caused by pure tension
where surface stress concentration was absent, and a
crack may initiate anywhere. (ASM Handbook, Vol. 12:
Fractography)
Section of a plate with welds
http://www.naoe.eng.osaka-u.ac.jp/eng/facilities
Forging flake
(initiator)
F
https://esmarinesolutions.com/
marine-piston-connecting-rod/
Fatigue
September 23, 2024
Presentation Title 22
Macroscopic fatigue failure appearance
Crack nucleation
Crack growth
Crack nucleation
Propagation, beach marks
Brittle fracture
Wear
Fatigue
September 23, 2024
Presentation Title 23
Macroscopic fatigue failure appearance
Rotating bending
𝜎
𝑡
𝑅 = −1
𝜎𝑚𝑖𝑛 < 0
𝜎𝑚𝑎𝑥 > 0
Fatigue
September 23, 2024
Fundamentals of Machine Design – Giuseppe Battiato 24
Macroscopic fatigue failure appearance
http://www.ryerson.ca/~avarvani/research.html
Crack propagation along
planes 45° oriented
Failure
shoulder
Fatigue
September 23, 2024
Fundamentals of Machine Design – Giuseppe Battiato 25
Macroscopic fatigue failure appearance
https://mocivilengineering.com/fatigue-failure/
Fatigue
September 23, 2024
Fundamentals of Machine Design – Giuseppe Battiato 26
Macroscopic fatigue failure appearance
Circular sections, with and without notches, subject to torsion
45°
Fatigue
September 23, 2024
Fundamentals of Machine Design – Giuseppe Battiato 27
Macroscopic fatigue failure appearance
Nominal stresses
low high
Unidirectional plane bending Alternate plane bending Rotating bending Tension compression
Nominal stresses
low high
Nominal stresses
low high
Nominal stresses
low high
Dimension of the crack growth region as well as the crack propagation direction depend on several factors:
• Specimen geometry;
• Loading condition (tension/compression, plane bending, rotating bending, torsion);
• Amplitude of loading (high, low).
Fatigue
September 23, 2024
Fundamentals of Machine Design – Giuseppe Battiato 28
Macroscopic fatigue failure appearance
Tension compression
Plane bending
Alternate bending
Rotating bending
LOADING MODE
Bar without notch Bar with notch
High notch effect Low notch effect
High stress
High stress High stress
Low stress Low stress Low stress
Fatigue
September 23, 2024
Fundamentals of Machine Design – Giuseppe Battiato 29
Macroscopic fatigue failure appearance
Tension compression
Plane bending
Alternate bending
LOAD MODE
Bar without notch Bar with notch
High notch effect Low notch effect
High stress
High stress High stress
Low stress Low stress Low stress
Fatigue
September 23, 2024
Fundamentals of Machine Design – Giuseppe Battiato 30
Basic fatigue data
The three major fatigue life methods used in design and analysis are the stress-life method, the
strain-life method, and the linear-elastic fracture mechanics method. These methods attempt to
predict the life in number of cycles N to failure for a specific level of loading.
Based on the amplitude of the applied loads, fatigue behavior is categorized into two regimes:
• Low-cycle fatigue (LCF): life of 1 ≤ 𝑁 ≤ 103 cycles;
• High-cycle fatigue (HCF): life 𝑁 ≥ 103
cycles.
The stress-life method is not accurate for low-cycle applications but represents high-cycle
applications adequately.
L
.
Fatigue
September 23, 2024
Presentation Title 31
Basic fatigue data: stress-life method
• Basic fatigue data are obtained from tests under nominal uniaxial stress with constant
amplitude.
• Tests can be performed either on specimens, full-scale components and scaled components.
Usually, the induction from specimen to component, and scaling are difficult.
• Basic fatigue data are represented on the so-called Wöhler diagram or S-N diagram, which
exhibit:
- In abscissa (x axis) the base-10 logarithm of the number of cycles N;
- In ordinate (y axis) the amplitude of applied load: usually it is the alternate component 𝜎𝑎
of the cyclic loads (in logarithmic or linear scale).
• The fatigue test results are not significantly affected by frequency in the range 1-100 Hz (at
least for metals).
Fatigue
September 23, 2024
Fundamentals of Machine Design – Giuseppe Battiato 32
Basic fatigue data: Wöhler or S-N diagram
100
103 106
D
a
N
𝜎𝑁
𝑁
Finite-life fatigue
Low-cycle fatigue
Infinite-life fatigue
Fatigue (high-cycle fatigue)
• 𝜎𝑚 constant
• Often 𝜎𝑚 = 0 → 𝑅 = −1
and 𝜎𝐷 = 𝜎𝐷−1 (completely
reversed stress cycle)
Nknee = 2 × 106 steels; 107 aluminum alloys
σa
𝜎𝑈
𝜎𝐷
𝜎𝑎
Fatigue strength
for N cycles
Fatigue or
Endurance limit
Asymptote
(Number of cycles to destruction)
Fatigue
September 23, 2024
Fundamentals of Machine Design – Giuseppe Battiato 33
Basic fatigue data: Wöhler or S-N diagram (log-log diagram)
Source: Richard G. Budynas; J. Keith
Nisbett, Shigley's Mechanical
Engineering Design Mc Graw Hill.
𝑆𝑢𝑡 = 𝜎𝑈
𝑆𝑒 = 𝜎𝐷
Fatigue
September 23, 2024
Fundamentals of Machine Design – Giuseppe Battiato 34
Basic fatigue data: Wöhler or S-N diagram (semi-log diagram)
Room temperature S-N curves for notched and un-notched AISI 4340 alloy steel with a tensile strength of
860 MPa (125 ksi). Stress ratio, R, equals −1.0. Source: ASM Handbook, Volume 1: Properties and Selection:
Irons, Steels, and High-Performance Alloys: Fatigue Resistance of Steels, 1990.
𝜎𝑁
𝑁𝑛
𝑁𝑢
𝜎𝑚𝑎𝑥
𝜎𝑚𝑖𝑛 = −𝜎𝑚𝑎𝑥
𝜎
𝑡
𝑅 =
𝜎𝑚𝑖𝑛
𝜎𝑚𝑎𝑥
= −1
Fatigue
September 23, 2024
Fundamentals of Machine Design – Giuseppe Battiato 35
Fatigue testing
• Fatigue tests can be carried out on specimens, full-scale components, or scaled-
down models. Even when the test specimen is made of the same material as the
mechanical component, significant variations in the S-N curves between the two are
likely to occur.
• To characterize a material, irrespective of its application in constructing various
components, fatigue tests are conducted on standardized specimens using
specialized testing equipment. The most common devices apply loads to the
specimen in the following ways:
o Rotating bending
o Plane bending
o Tension - compression
o Torsion
Fatigue
September 23, 2024
Fundamentals of Machine Design – Giuseppe Battiato 36


t
max
𝑀𝑓 diagram
4-point bending loading Cantilever beam
P
P
P
w w
Rotating bending for
circular cross-section
specimens
Fatigue testing devices: rotating bending
𝑅 = −1
Fatigue
September 23, 2024
Fundamentals of Machine Design – Giuseppe Battiato 37
Fatigue testing devices: plane bending

Regolazione componente alternata
Regolazione
componente
media
Adjustment of
average stress
component
Adjustment of alternate stress component
Plane bending for rectangular
cross-section specimens
rod
rod
rod
crank
crank crank
𝑑2
𝑣
𝑑𝑧2 = −
𝑀𝑥
𝐸𝐼𝑥𝑥
Curvature
Fatigue
September 23, 2024
Fundamentals of Machine Design – Giuseppe Battiato 38
Other test method: ASTM D 671
Cyclic Up-Down
force
Fatigue testing devices: plane bending
Fatigue
September 23, 2024
Fundamentals of Machine Design – Giuseppe Battiato 39
Fatigue testing devices: tension – compression and torsion
• Tension-compression tests • Fatigue test for torsional loading
conditions are also used for specimen or
components with circular cross-section.
Fatigue
September 23, 2024
Fundamentals of Machine Design – Giuseppe Battiato 40
The experimental standard conditions for S-N diagrams are:
• Rotating bending;
• No mean stress applied (𝜎𝑚 = 0, corresponds to R = −1);
• Specimen with circular cross section;
• Specimen diameter about 10 mm;
• Specimen surface polished.
Basic fatigue data: standard testing conditions
Fatigue
September 23, 2024
Fundamentals of Machine Design – Giuseppe Battiato 41
Basic fatigue data: dispersion of fatigue data
Fatigue is an intrinsically dispersed phenomenon
104 105 106 107 108
20
40
60
80
100
120

a
(MPa)
N
M12
m=230 MPa
Weibull-2p
B90
B50
B10
• To establish the fatigue strength of
a material, several tests are
needed because of the statistical
nature of fatigue.
• The ratio of the fatigue lives of two
components subjected to the
same loading conditions can vary
by as much as 5 to 10 times.
• The same endurance could be
achieved for different loading
amplitudes.
𝐵𝑥: probability of failure (%)
×: failures
○: run-outs (non-failures)
Fatigue
September 23, 2024
Fundamentals of Machine Design – Giuseppe Battiato 42
Basic fatigue data: dispersion of fatigue data (example)
×: failures
○: run-outs (non-failures)
1070LS steel
Least-square approximation
Fatigue
September 23, 2024
Fundamentals of Machine Design – Giuseppe Battiato 43
Basic fatigue data: the Stair-Case method (UNI 3964-85)
Outcome count
Stress
amplitude
Fatigue test number
× o (MPa) 1 2 3 4 5 6 7 8 9 10 11 12 13 14 15
60
50 × ×
40 o × o
30 o
Total
Possible events:
×: failures for 𝜎𝑎
(𝑖)
→ 𝜎𝑎
(𝑖+1)
= 𝜎𝑎
(𝑖)
− 𝑑
○: run-outs for 𝜎𝑎
(𝑖)
→ 𝜎𝑎
(𝑖+1)
= 𝜎𝑎
(𝑖)
+ 𝑑
Starting data:
• Alternate stress: 𝜎𝑎 = 50 MPa
• Number of cycles: 𝑁 = 5 × 106
• Step: 𝑑 = 10 MPa
Perform the fatigue tests and fill the table
Fatigue
September 23, 2024
Fundamentals of Machine Design – Giuseppe Battiato 44
Basic fatigue data: the Stair-Case method (UNI 3964-85)
Outcome count
Stress
amplitude
Fatigue test number
× o (MPa) 1 2 3 4 5 6 7 8 9 10 11 12 13 14 15
3 0 60 × × ×
4 3 50 × × × o o o ×
1 3 40 o × o o
0 1 30 o
Total 8 7
• The test is repeated at least 15 times, and it must happen that:
o at the highest 𝜎𝑎
(𝑖)
only failures occur (×);
o at the lowest 𝜎𝑎
(𝑖)
only run-outs occur (o);
• Identify the less frequent event, either failure or run-out (in this case run-out → 7);
• Identify the lower 𝜎𝑎
(𝑖)
corresponding to the less frequent event (in this case 𝜎0 = 30 MPa).
• Consider the less frequent event (in this case run-out);
• Associate the increasing integer index 𝑖 = 0,1,2, … to each identified case, starting from the
one corresponding to the lowest value of applied stress:
• Compute the following quantities: 𝑁 = σ 𝑛𝑖, 𝐴 = σ 𝑖 ∙ 𝑛𝑖, 𝐵 = σ 𝑖2
∙ 𝑛𝑖
Fatigue
September 23, 2024
Fundamentals of Machine Design – Giuseppe Battiato 45
Basic fatigue data: the Stair-Case method (UNI 3964-85)
𝑖 𝑛 𝑖𝑛 𝑖2𝑛
3 0 0 0
2 3 6 12
1 3 3 3
0 1 0 0
𝑁 = 7 𝐴 = 9 𝐵 = 15
• The fatigue strength for N cycles, corresponding to the 50% probability of failure is found as follows:
• To identify the fatigue strengths corresponding to the 10% and 90% probability of failure, the standard
deviation s must be computed as follows:
o 𝑠 = 1.62𝑑
NB−A2
N2 + 0.029 , if
NB−A2
N2 > 0.3
o Otherwise 𝑠 = 0.53𝑑
• 𝜎𝑁(10%) = 𝜎𝑁(50%) − 1.28 ⋅ 𝑠 𝜎𝑁(90%) = 𝜎𝑁(10%) + 1.28 ⋅ 𝑠
If the fatigue strength falls in the asymptotic region of the S-N diagram, the subscript N is replaced by D.
• 𝜎𝐷−1 is the fatigue strength obtained in standard conditions with a 50% probability of failure (𝐵50 ).
Fatigue
September 23, 2024
Fundamentals of Machine Design – Giuseppe Battiato 46
Basic fatigue data: the Stair-Case method (UNI 3964-85)
𝜎𝑁(50%) = 𝜎0 + 𝑑
A
N
± 0.5 + : if less frequent event run-out
– : if less frequent event failure
Fatigue
September 23, 2024
Fundamentals of Machine Design – Giuseppe Battiato 47
Basic fatigue data: fatigue limit vs static strength
Determining the fatigue limit typically
demands significant experimental
effort. For this reason, since the early
stages of fatigue research, several
relationships between the material's
static strength and its fatigue limit
have been proposed.
Source: Richard G. Budynas; J. Keith Nisbett, Shigley's Mechanical
Engineering Design Mc Graw Hill
𝜎𝐷
𝜎𝑈
Fatigue
September 23, 2024
Fundamentals of Machine Design – Giuseppe Battiato 48
Basic fatigue data: fatigue limit vs static strength
In order to estimate the fatigue limit, the following approximated empirical
relations can be used:
• Bach Criterion:
• Fuchs Criterion(1):
• Cast iron:
(1) For alloyed steels
𝜎𝐷−1 = 0.5 𝜎𝑈 (𝑅 = −1 → 𝜎𝑚𝑖𝑛 = −𝜎𝑚𝑎𝑥 → 𝜎𝑚 = 0)
𝜎𝐷0 = 0.3 𝜎𝑈 (𝑅 = 0 → 𝜎𝑚𝑖𝑛 = 0)
𝜎𝐷−1 = 0.5 𝜎𝑈 (𝜎𝑈 < 1400 MPa)
𝜎𝐷−1 = 700 MPa (𝜎𝑈 ≥ 1400 MPa)
𝜎𝐷−1 = 0.4 𝜎𝑈
Fatigue
September 23, 2024
Fundamentals of Machine Design – Giuseppe Battiato 49
Fatigue strength: construction of the S-N diagrams
When no experimental data are available, it is
possible to estimate the S-N diagram if the
following material properties are known:
• The fatigue strength 𝜎𝐷 (in the operating
loading conditions, either experimentally
obtained, or from the literature, or
estimated as shown);
• The ultimate strength of the material 𝜎𝑈.
In the logarithmic (abscissa) or bi-logarithmic
scale, a straight line joins the points F and G:
• G corresponds to the fatigue limit;
• F corresponds to the right limit of the low-
cycle fatigue region.
102 103 104 105 106
100
500
1000
a
N
m =_____
F
G
LCF HCF
const
Fatigue
September 23, 2024
Fundamentals of Machine Design – Giuseppe Battiato 50
Fatigue strength: construction of the S-N diagrams
• Points F and G have the following
coordinates:
o F: 𝑁F, 𝜎F = 103
, 0.9 𝜎𝑈 − 𝜎𝑚
o G: 𝑁G, 𝜎G = 𝑁G, 𝜎𝐷
• If 𝜎G is not obtained from specific
fatigue tests, it is assumed 𝑁G = 2 ∙
106 (two millions cycles).
• 𝜎𝐷 must be consistent with 𝜎𝑚
(if 𝜎𝑚 = 0 → 𝜎𝐷 = 𝜎𝐷−1). 102 103 104 105 106
100
500
1000
a
N
m =_____
F
G
𝜎𝐷
𝑁𝐹 𝑁𝐺
0.9 𝜎𝑈 − 𝜎𝑚
const
Fatigue
September 23, 2024
Fundamentals of Machine Design – Giuseppe Battiato 51
S-N diagrams: bi-logarithmic chart
In the bi-logarithmic diagram, a straight
line connects the points F and G. The
equation of such a line can be expressed
in two different (equivalent) forms:
• 𝜎𝑎 as a function of 𝑁 (Basquin
equation):
𝜎𝑎 = 𝐴𝑁𝑏
i.e. log( 𝜎𝑎) = log( 𝐴) + 𝑏 log( 𝑁)
• 𝑁 as a function of 𝜎𝑎 :
𝑁𝜎𝑎
𝑘 = 𝐵 i.e. log( 𝑁) = log( 𝐵) − 𝑘 log( 𝜎𝑎) 102 103 104 105 106
100
500
1000
a
N
m =_____
F
G
Slope k
const
Fatigue
September 23, 2024
Fundamentals of Machine Design – Giuseppe Battiato 52
S-N diagrams: bi-logarithmic chart
𝑁𝜎𝑎
𝑘 = 𝐵 i.e. log( 𝑁) = log( 𝐵) − 𝑘 log( 𝜎𝑎)
𝑘 =
log( 𝑁𝐺) − log( 𝑁𝐹)
log( 𝜎𝐹) − log( 𝜎𝐷)
log( 𝐵) = log( 𝑁𝐺) +
log( 𝑁𝐺) − log( 𝑁𝐹)
log( 𝜎𝐹) − log( 𝜎𝐷)
log( 𝜎𝐷)
𝜎𝑎 = 𝐴𝑁𝑏 i.e. log( 𝜎𝑎) = log( 𝐴) + 𝑏 log( 𝑁)
𝑏 =
log( 𝜎𝐷) − log( 𝜎𝐹)
log( 𝑁𝐺) − log( 𝑁𝐹)
= −
1
𝑘
log( 𝐴) = log( 𝜎𝐷) −
log( 𝜎𝐷) − log( 𝜎𝐹)
log( 𝑁𝐺) − log( 𝑁𝐹)
log( 𝑁𝐺)
The constants A and b can be found by writing the line equation passing by F and G
In the logarithmic (abscissa) diagram the
equation of the straight line connecting the
points F and G can be written as:
• 𝜎𝑎 as a function of log 𝑁:
• log 𝑁 as a function of 𝜎𝑎:
Fatigue
September 23, 2024
Fundamentals of Machine Design – Giuseppe Battiato 53
S-N diagrams: semi-logarithmic chart
)
log
(log
log
log
F
F
G
D
F
F
a N
N
N
N
−
−
−
−
=




)
log
(log
log
log F
G
D
F
a
F
F N
N
N
N −
−
−
+
=




102 103 104 105 106
N
200
400
600
800
1000
m =_____
a
F
G
Slope k
const
Fatigue
September 23, 2024
Fundamentals of Machine Design – Giuseppe Battiato 54
Exercises
1) A material has alternate fatigue strength 𝜎𝐷−1 = 450 MPa at 𝑁∞ = 2 ∙ 106
cycles and a Wöhler curve
exponent 𝑘 = 7.5. Evaluate the alternate fatigue strength for 𝑁 = 3 ∙ 105
cycles. [𝜎𝑁 = 580 MPa]
2) A specimen with 𝜎𝐷−1 = 300 MPa , 𝜎𝑈 = 700 MPa is subjected to a rotating bending moment with a
maximum value 𝜎𝑎 = 420 MPa. Evaluate the total number of cycles to failure. [𝑁 = 6.4 ∙ 104 cycles]
Fatigue
September 23, 2024
Fundamentals of Machine Design – Giuseppe Battiato 55
Average stress effect
• S-N diagrams depend on average stress. Each diagram corresponds to a
specific value of the averate stress 𝜎𝑚. The fatigue limit (if exist) show a strong
dependence on the average stress particularly if tension/compression loads
are applied.
• With reference to the fatigue limit evaluated with 𝜎𝑚 = 0, experiments shows
that the fatigue limit decreases if an average tensile stress is applied. On the
other hand, the fatigue limit increases if an average compression stress is
applied 𝜎𝑚 < 0.
• In order to take into account the effect of 𝜎𝑚 on the fatigue limit 𝜎𝐷, the
Wöhler diagram has to be integrated with other diagrams that describe this
dependence (e.g. the Haigh diagram).
Fatigue
September 23, 2024
Fundamentals of Machine Design – Giuseppe Battiato 56
Average stress effect
S-N diagram for two average stresses (𝜎𝑚 = 0, 𝜎𝑚 = 400 MPa). The fatigue strength clearly
decreases when the applied average stress is positive (tension). The opposite behaviour, i.e. the
increase of the fatigue strength, is found if a negative average stress is applied (compression).
Collins, Browedery et al, 1973
𝜎𝑎
N
105 106
Steel
≈ 400 MPa
Fatigue
September 23, 2024
Fundamentals of Machine Design – Giuseppe Battiato 57
Average stress effect
𝜎𝑚/𝜎𝑈𝑡
𝜎𝑚/𝜎𝑈𝑐
𝜎
𝐷
/𝜎
𝐷−1
𝜎𝐷 > 𝜎𝐷−1
𝜎𝐷 < 𝜎𝐷−1
Fatigue
September 23, 2024
Fundamentals of Machine Design – Giuseppe Battiato 58
Average stress effect
t
m=0
max
min


min
max

max|= |min|
a)



t

0

min max

|max|
|min|
b)
m
max
min
t

0

min max

c)
|max|
|min|
m
max
min
45°
Direction of
crack propagation
Direction of
the cyclic load
𝜎𝑚 > 0 (tension):
Shear is more likely to occur in the 𝜋
plane because 𝜎𝜋 is positive (tension)
→ 𝜎𝐷 or (𝜎𝑁) decreases.
𝜎𝑚 < 0 (compression):
Shear is less likely to occur in the 𝜋
plane because 𝜎𝜋 is negative
(compression) → 𝜎𝐷 or (𝜎𝑁) increases.
𝜎𝑦𝑦
Fatigue
September 23, 2024
Fundamentals of Machine Design – Giuseppe Battiato 59
Average stress effect: the Goodman line
Goodman line equation
𝜎𝐷
𝜎𝐷−1
+
𝜎𝑚
𝜎𝑈
= 1 ⇒ 𝜎𝐷 = 𝜎𝐷−1 −
𝜎𝑚
𝜎𝑈
𝜎𝐷−1
𝜎𝐷
𝜎𝐷−1
𝜎𝑈 𝜎𝑚
Each point of the diagram
represents the fatigue limit 𝜎𝐷 or
fatigue strength 𝜎𝑁 for a certain
number of cycles:
• 𝑁 constant
• 𝑁 = 2 ∙ 106 for steel (𝜎𝐷)
Fatigue
September 23, 2024
Fundamentals of Machine Design – Giuseppe Battiato 60
Various criteria of failure
Source: Richard G. Budynas; J. Keith Nisbett, Shigley's Mechanical Engineering Design Mc Graw Hill
Geber line equation:
𝜎𝐷
𝜎𝐷−1
+
𝜎𝑚
𝜎𝑈
2
= 1
Soderberg line equation:
𝜎𝐷
𝜎𝐷−1
+
𝜎𝑚
𝜎𝑌
= 1
Fatigue
September 23, 2024
Fundamentals of Machine Design – Giuseppe Battiato 61
Average stress effect: the Haigh diagram
a
a
a
R
R
R
R
R
R
+
−
=
+
−
=
1
1
1
1
𝜎𝑚∗ =
𝜎𝑌 − 𝜎𝐷−1
Τ
1 − 𝜎𝐷−1 𝜎𝑈
m
D−1
Rp0.2 Rm
Rp0.2
Rm
Rp0.2
Rm
R=−
a
R=0
N constant
𝜎𝑎
𝜎𝑈
𝜎𝑌
𝜎𝑚
𝜎𝑈
𝜎𝑌
−𝜎𝑌
−𝜎𝑈
Goodman line
Fatigue
September 23, 2024
Fundamentals of Machine Design – Giuseppe Battiato 62
Average stress effect: Goodman-Smith diagrams
Source: Richard G. Budynas; J. Keith Nisbett, Shigley's Mechanical Engineering Design Mc Graw Hill
• The Goodman diagram has the mean stress
on the abscissa and all other components of
stress plotted on the ordinate, with tension in
the positive direction.
• The fatigue strength or finite-life strength is
plotted on the ordinate above and below the
origin.
• The mean stress line is represented by the
45° inclined line crossing the origin.
• Note that the yield strength is also plotted on
both axes, because yielding would be the
criterion of failure if 𝜎𝑎 exceedes 𝜎𝑌.
Fatigue
September 23, 2024
Fundamentals of Machine Design – Giuseppe Battiato 63
Average stress effect: Master diagrams
Source: Richard G. Budynas; J. Keith Nisbett, Shigley's Mechanical Engineering Design Mc Graw Hill
45°
Rotate the Haigh diagram
45° counter-clockwise
𝑅𝑎
𝑅𝑎
Fatigue
September 23, 2024
Fundamentals of Machine Design – Giuseppe Battiato 64
Average stress effect: Master diagrams
Source: Richard G. Budynas; J. Keith Nisbett, Shigley's Mechanical Engineering Design Mc Graw Hill
𝑅𝑎
𝑅𝑎
= 𝜎𝑚𝑖𝑛𝐴
/𝜎𝑚𝑎𝑥𝐴
= 0.17
Fatigue
September 23, 2024
Fundamentals of Machine Design – Giuseppe Battiato 65
Exercise
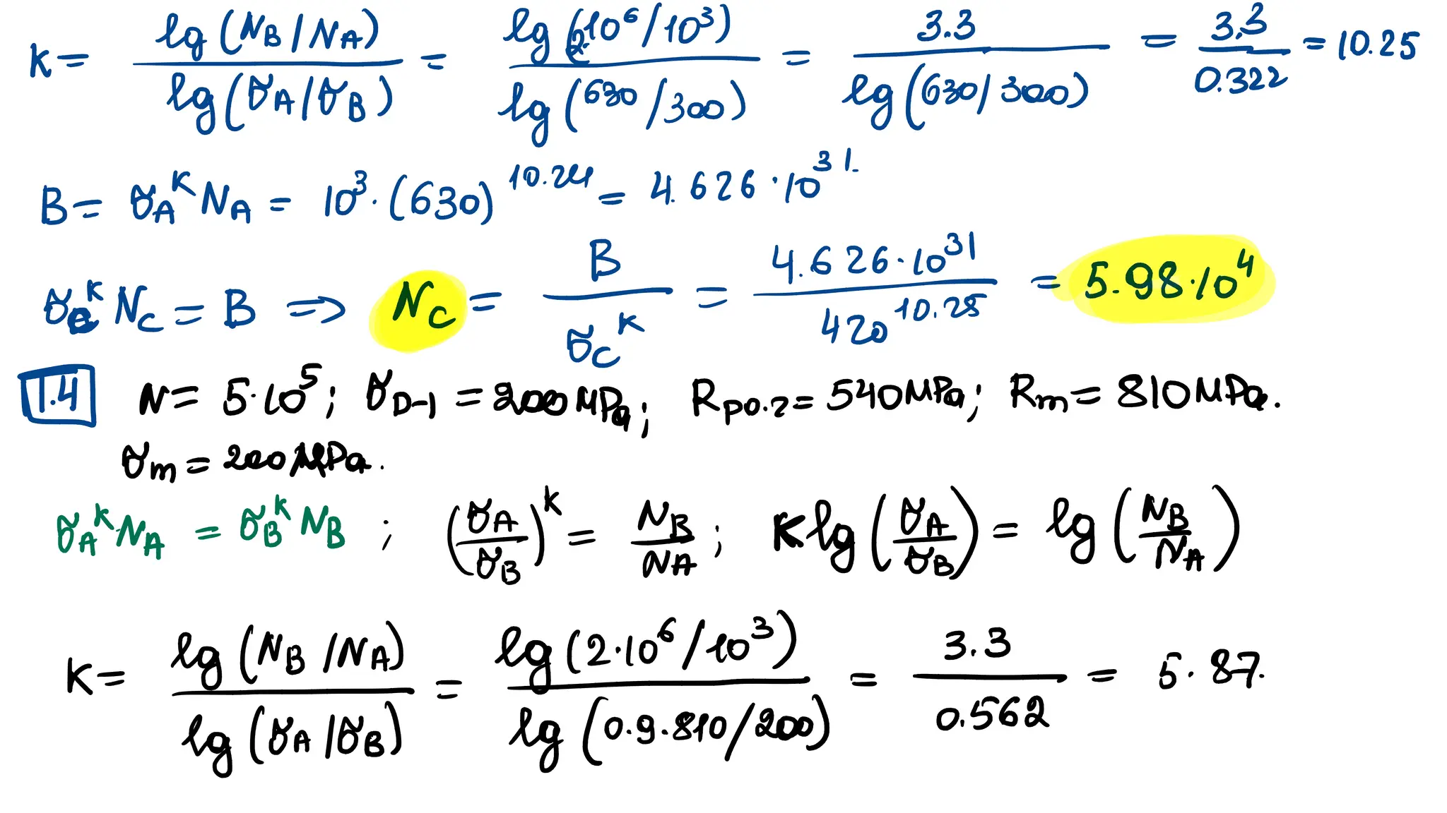
Build the Haigh diagram for a fatigue life of 𝑁 = 5 ∙ 105 cycles of a material having an alternate fatigue
limit of 𝜎𝐷−1 = 200 MPa , 𝜎𝑌 = 540 MPa , and 𝜎𝑈 = 810 MPa . Evaluate the alternate fatigue strength for
an average stress 𝜎𝑚 = 200 MPa. [𝜎𝑎 = 191 MPa ]
TURIN POLYTECHNIC
UNIVERSITY INTASHKENT
Giuseppe Battiato
giuseppe.battiato@polito.it
Fundamentals of Machine Design
Fatigue – part 2
September 25, 2024
Fatigue
September 25, 2024
Fundamentals of Machine Design – Giuseppe Battiato 2
From specimens to components
There are several factor affecting the fatigue strength:
• Factors related to the component:
- Size (𝐶𝑆);
- Notches (𝐾𝑓);
- Surface finish (𝐶𝐹);
- Surface treatments (mechanical, thermal or chemical, coatings…).
• Factors related to service conditions:
- Loading mode (𝐶𝐿);
- Reliability (𝐶𝑅);
- Temperature;
- Environment (moisture, corrosives…).
• The fatigue limit of a component made by the same material of a specimen with a fatigue limit 𝜎𝐷−1
is evaluated as follows:
𝜎𝐷−1
𝑐
= 𝜎𝐷−1
ς 𝐶𝑖
𝐾𝑓
where 𝜎𝐷−1 is the fatigue limit obtained in standard conditions (i.e. 𝜎𝑚 = 0).
• The crack nucleation (Stage 1) occurs at the component’s surface, and it is due to plastic shear deformation.
• This process takes place also at the zone underlying the component’s surface. This zone is called process zone (PZ).
• In the process zone (PZ) the actual stress is higher for loading modes that do not involve stress gradients
(tension/compression) rather than when they involve a stress gradient (bending, torsion).
• 𝐶𝐿 ≈ 0.95 − 1, for plane bending;
• 𝐶𝐿 ≈ 0.59 for torsion;
• 𝐶𝐿 ≈ 0.7, experimental values are in between 0.6 and 0.85 for tension/compression. In some textbooks (e.g. Shigley’s) 𝐶𝐿 ≈ 0.85.
Fatigue
September 25, 2024
Fundamentals of Machine Design – Giuseppe Battiato 3
From specimens to components: loading mode effect 𝐶𝐿
𝜎𝑎,𝑎𝑐𝑡
𝐵,𝑃𝑍
< 𝜎𝑎,𝑚𝑎𝑥
𝐵
Process zone (PZ)
Bending Tension/compression
𝜎𝑎,𝑚𝑎𝑥
𝐵
𝜎𝑎,𝑎𝑐𝑡
𝐵,𝑃𝑍 𝜎𝑎,𝑎𝑐𝑡
𝑇,𝑃𝑍
𝜎𝑎
𝑇
𝜎𝑎,𝑎𝑐𝑡
𝑇,𝑃𝑍
= 𝜎𝑎
𝑇
Fatigue
September 25, 2024
Fundamentals of Machine Design – Giuseppe Battiato 4
From specimens to components: loading mode effect 𝐶𝐿
• The value of loading mode coefficient 𝐶𝐿 can be explained by introducing the concept of actual stress in
process zone.
• Consider two specimens subjected to two different cyclic loadings, bending and tension/compression, that
generate the same alternate stress at the component’s surface, i.e. 𝜎𝑎,𝑚𝑎𝑥
𝐵 = 𝜎𝑎
𝑇.
• The actual alternate stress (𝜎𝑎,𝑎𝑐𝑡
𝑃𝑍
) (the stress that actually damages the component) has different magnitude
in the two cases, due to the presence of different gradients in the PZ, i.e. 𝜎𝑎,𝑎𝑐𝑡
𝐵,𝑃𝑍
< 𝜎𝑎,𝑎𝑐𝑡
𝑇,𝑃𝑍
.
𝜎𝑎,𝑎𝑐𝑡
𝐵,𝑃𝑍
< 𝜎𝑎,𝑚𝑎𝑥
𝐵
Process zone (PZ)
Bending (gradient) Tension/compression (no gradient)
𝜎𝑎,𝑚𝑎𝑥
𝐵
𝜎𝑎,𝑎𝑐𝑡
𝐵,𝑃𝑍 𝜎𝑎,𝑎𝑐𝑡
𝑇,𝑃𝑍
𝜎𝑎
𝑇
𝜎𝑎,𝑎𝑐𝑡
𝑇,𝑃𝑍
= 𝜎𝑎
𝑇
Fatigue
September 25, 2024
Fundamentals of Machine Design – Giuseppe Battiato 5
From specimens to components: loading mode effect 𝐶𝐿
If the S-N diagrams could be evaluated in
terms of actual alternate stress, the same
fatigue limit would have been found in
both diagrams:
𝜎𝐷−1 = 𝜎𝐷−1
𝑇
< 𝜎𝐷−1
𝐵
102
103
104
105 106
Ni
N
0
1
D−

eff
,
a

102
103
104
105 106
Ni
N
a

f
1
D−

𝜎𝑎
𝜎𝐷−1
𝐵
Experimental S-N curve for bending
𝜎𝐷−1
𝜎𝑎
102
103
104
105 106
Ni
N
0
1
D−

eff
,
a

102
103
104
105 106
Ni
N
a

T
1
D−

𝜎𝑎
𝜎𝐷−1
𝑇
Experimental S-N curve for tension/compression
𝜎𝐷−1
𝜎𝑎,𝑎𝑐𝑡
𝜎𝑎,𝑎𝑐𝑡
𝜎𝐷−1
𝑇
= 0.6 ÷ 0.85 ⋅ 𝜎𝐷−1
𝐵
𝐶𝐿 = 0.6 ÷ 0.85
(we use 𝐶𝐿 = 0.7)
𝜎𝐷−1
𝐵
Fatigue
September 25, 2024
Fundamentals of Machine Design – Giuseppe Battiato 6
From specimens to components: scale effect 𝐶S
𝜎𝑎,𝑎𝑐𝑡
𝐵,2
𝜎𝑎,𝑎𝑐𝑡
𝐵,1 𝜎𝑎,𝑎𝑐𝑡
𝐵,1
> 𝜎𝑎,𝑎𝑐𝑡
𝐵,2
Bending (gradient)
Tension/compression (no gradient)
𝜎𝑎,𝑚𝑎𝑥
𝐵
𝜎𝑎,𝑎𝑐𝑡
𝐵,1
𝜎𝑎,𝑎𝑐𝑡
𝑇,𝑃𝑍
𝜎𝑎
𝑇
𝜎𝑎,𝑚𝑎𝑥
𝐵
𝜎𝑎,𝑎𝑐𝑡2
𝐵,2
If the size increases:
𝜎𝑎,𝑎𝑐𝑡
𝐵,2
→ 𝜎𝑎,𝑚𝑎𝑥
𝐵
• The bending test in standard
conditions is assumed to be the
reference, therefore 𝐶𝑆 = 1 for
standard specimens loaded in
rotating bending.
• For bending and torsion, for the
same 𝜎𝑚𝑎𝑥 at the component
surface, if the component size
increases the stress gradient (slope)
in the PZ increases as well.
• The fatigue limit obtained in
standard conditions decreases if the
stress gradient increases (slope →
∞) in the PZ.
• To properly consider such effect,
the fatigue limit obtained in
standard conditions must be
multiplied by 𝐶𝑆 < 1, if size is larger
than that of the standard specimen.
𝐷
𝑑
Fatigue
September 25, 2024
Fundamentals of Machine Design – Giuseppe Battiato 7
From specimens to components: scale effect 𝐶S
• Consider two components with circular cross-
section having different size and stressed with a
gradient stress distribution (either bending or
torsion).
• Assume the same maximum 𝜎𝑎 (𝜎𝑎,𝑚𝑎𝑥 ) at the
surface of both components, and consider the
portion of the cross-section lying in between 𝜎𝑎,𝑚𝑎𝑥
and a certain fraction of it (e.g. 80%).
• If the specimen (component) size increases, this area
increases too.
• If such an area corresponds to the process zone, the
probability of crack nucleation is larger for the
specimen having a larger cross-section.
 𝜎𝑎,𝑚𝑎𝑥
𝜎𝑎,𝑚𝑎𝑥
𝜎𝑎,𝑚𝑎𝑥
 𝜎𝑎,𝑚𝑎𝑥
Fatigue
September 25, 2024
Fundamentals of Machine Design – Giuseppe Battiato 8
From specimens to components: scale effect 𝐶S
• Only applies to components
subjected to loading modes with
stress gradient (bending and
torsion*).
• 𝐶𝑆 = 1 for tension-compression
loading (𝐶𝐿 = 0.7).
• In the case of bending, for larger
component dimensions (d), the
stress distribution in the PZ
becomes similar to that caused by
tension - compression loading.
Thus, the scale effect coefficient
𝐶𝑆 approaches the load mode
coefficient 𝐶𝐿 = 0.7.
CS
0.60
0.65
0.70
0.75
0.80
0.85
0.90
0.95
1.00
10 30 50 70 90 110 130 150 170 190 d
Bending and torsion (𝐶𝑆 )
Tension/compression (𝐶𝐿 )
*The fatigue limit obtained for circular cross-section specimen in alternate torsion condition is denoted as 𝜏𝐷−1. This
definition is accepted even if such a loading case is not uniaxial (2 principal stresses are different than 0).
Fatigue
September 25, 2024
Fundamentals of Machine Design – Giuseppe Battiato 9
From specimens to components: loading mode effect 𝐶𝐿 and scale effect 𝐶S summary
Tension/compression Bending
𝑁(𝑡) 𝑀(𝑡)
𝜎𝑁 𝜎𝐵
• 𝐶𝐿 = 0.7
• 𝐶𝑠 = 1
No stress gradient Stress gradient
• 𝐶𝐿 = 0.95 − 1
• 𝐶𝑠 → diagram
Fatigue
September 25, 2024
Fundamentals of Machine Design – Giuseppe Battiato 10
From specimens to components: surface finish effect 𝐶𝐹
• The nucleation of fatigue damage is also a consequence of the surface roughness.
• Surface asperities decrease the fatigue strength. This effect is more severe for brittle
materials with large 𝜎𝑈.
Fatigue
September 25, 2024
Fundamentals of Machine Design – Giuseppe Battiato 11
From specimens to components: surface finish effect 𝐶𝐹
0.8
1.6
3.2
6.3
10
40
160
200 400 600 800 1000 1200 1400
0.8
0.6
0.4
0.9
0.7
0.5
Surface
roughness,
R
a
(μm)
CF
1.0
Rm (MPa)
𝜎𝑈
Fatigue
September 25, 2024
Fundamentals of Machine Design – Giuseppe Battiato 12
From specimens to components: reliability effect 𝐶𝑅
• Most endurance data are mean values.
• These correspond to a 50% reliability (=50% probability of failure).
• The greater the reliability (= smaller probability of failure), the smaller the 𝐶𝑅 factor.
Reliability CR Factor
50% 1.000
90% 0.897
95% 0.868
99% 0.814
99.9% 0.753
99.990% 0.702
99.999% 0.659
99.9999% 0.620
99.99999% 0.584
99.999999% 0.551
99.9999999% 0.520
104 105 106 107 108
20
40
60
80
100
120

a
(MPa)
N
M12
m=230 MPa
Weibull-2p
B90
B50
B10
Reliability
Probability
of failure
Fatigue
September 25, 2024
Fundamentals of Machine Design – Giuseppe Battiato 13
From specimens to components: fatigue strength reduction
• Due to the described influencing factors, the fatigue limit 𝜎𝐷−1 (obtained from rotating
bending tests on 10 mm diameter, polished specimens) must be corrected.
• The fatigue limit of the component 𝜎𝐷−1
𝐶
will be:
- components without notches: 𝜎𝐷−1
𝐶
= 𝐶𝐿𝐶𝑆𝐶𝐹𝐶𝑅𝜎𝐷−1
- components with notches: see following slides
• To determine whether the component is safe, the working point P ≡ (𝜎𝑚,𝑛,𝜎𝑎,𝑛),
corresponding to the nominal loading condition, must be plotted on the Haigh
diagram, and its position must be carefully evaluated (see next slides for the safety
factor evaluation).
Fatigue
September 25, 2024
Fundamentals of Machine Design – Giuseppe Battiato 14
From specimens to components: Haigh diagram construction for a component
𝜎𝑚
𝜎𝑈
−𝜎𝑈
𝑅 = −∞ 𝑅 = 0
𝜎𝐷−1
P
𝜎𝐷−1
𝐶
Specimen
Component
𝑁 = constant
𝑃 ≡ (𝜎𝑚,𝑛,𝜎𝑎,𝑛)
𝜎𝑎
𝜎𝑈
𝜎𝑌
−𝜎𝑌 𝜎𝑌
Fatigue
September 25, 2024
Fundamentals of Machine Design – Giuseppe Battiato 15
Stress concentration and notch sensitivity
• In statics, the presence of stress
risers affects both the magnitude
and distribution of the local stress
field.
• The stress magnitude increases,
and the uniaxial stress state often
becomes multiaxial near
discontinuities.
• The fatigue strength decreases.
Unnotched specimen Notched specimen
Fatigue cycle - Log(N)
Fatigue
September 25, 2024
Fundamentals of Machine Design – Giuseppe Battiato 16
Stress concentration and notch sensitivity
• In statics, the notch effect generates a stress concentration in the net cross-section. The
strength of the notched component must be assessed considering the maximum stress
occurring at the net cross-section (𝜎𝑚𝑎𝑥 = 𝐾𝑡𝜎𝑛).
• In dynamics, the stress responsible of fatigue failure is the actual stress in the process
zone (𝜎𝑎,𝑎𝑐𝑡). This means that because of the stress gradient in the vicinity of the notch,
the actual peak stress is lower than the 𝜎𝑚𝑎𝑥 used for the static verification of notched
components.
• The stress concentration factor defined in static is not suitable for fatigue and it has to be
properly redefined.
Static with
eventual yielding
Dynamic with
fatigue
Geometric discontinuities in components increase nominal stresses, as seen in static loadings, and reduce the
material's fatigue strength.
The reduction is taken into account by the Fatigue Stress-Concentration Factor 𝐾𝑓 :
• The effect of stress concentration on fatigue strength is less severe than on static strength : 1 ≤ 𝐾𝑓 ≤ 𝐾𝑡
• A Notch Sensitivity Factor 𝑞 is defined as follows: 𝑞 =
𝐾𝑓−1
𝐾𝑡−1
, 0 < 𝑞 < 1
Fatigue cycle - Log(N)
Fatigue
September 25, 2024
Fundamentals of Machine Design – Giuseppe Battiato 17
Stress concentration and notch sensitivity
𝐾𝑓 =
𝜎𝑁,𝑢
𝜎𝑁,𝑛
𝐾𝑓 =
𝜎𝐷−1,𝑢
𝜎𝐷−1,𝑛
Finite life Infinite life
The fatigue-stress concentration factor in the fatigue limit region can be estimated as:
𝐾𝑓 = 1 + 𝑞 𝐾𝑡 − 1
• Notch sensitivity 𝑞 depends on the material;
• Thus, 𝐾𝑓 depends on the material (𝑞), the notch geometry and loading mode (𝐾𝑡).
0
0.2
0.4
0.6
0.8
1
0 0.5 1 1.5 2 2.5 3 3.5 4
Notch
sensitivity,
q
Notch radius, r (mm)
Steels
Aluminum alloy
September 25, 2024
Fundamentals of Machine Design – Giuseppe Battiato 18
For reversed
bending or
reversed axial
loads (R=-1).
Fatigue
Stress concentration and notch sensitivity
• 𝑞 = 0 → no notch sensitivity (𝐾𝑓 = 1), i.e. the
material is unaffected by the notch. For
example, in some brittle materials the micro-
notches within the material structure have a
more significant effect compared to the
geometrical notch.
• 𝑞 = 1 → total notch sensitivity (𝐾𝑓 = 𝐾𝑡), i.e.
the effect of stress concentration in fatigue is
identical to the static case.
Fatigue
September 25, 2024
Fundamentals of Machine Design – Giuseppe Battiato 19
Stress concentration and notch sensitivity
The fatigue-stress concentration factor in the fatigue limit region can be estimated as:
𝐾𝑓 = 1 + 𝑞 𝐾𝑡 − 1
• Notch sensitivity 𝑞 depends on the material;
• Thus, 𝐾𝑓 depends on the material (𝑞), the notch geometry and loading mode (𝐾𝑡).
For reversed
torsion
1 2 3 4 5 6 7 8 9 r (mm)
0
0
0.1
0.2
0.3
0.4
0.5
0.6
0.7
0.8
0.9
1.0
q
Quenched and drawn steels (HB > 200)
Annealed steels (HB < 200)
Aluminum alloys
Not for deep notches
Fatigue
September 25, 2024
Fundamentals of Machine Design – Giuseppe Battiato 20
Stress concentration and notch sensitivity
The fatigue-stress concentration factor in the fatigue limit region can be estimated as:
𝐾𝑓 = 1 + 𝑞 𝐾𝑡 − 1
For steels, the notch sensitivity q can be computed by the Neuber equation:
𝑞 =
1
1 +
𝜌
𝑟
where:
- 𝑟 notch radius
- 𝜌 average grain size
0
0.5
0 1000 2000
Grain
size,

(mm½)
Ultimate Tensile Strength, Su (MPa)
𝐴 = 𝜌
𝐴
Yield strength, 𝜎𝑌 (MPa)
Fatigue
September 25, 2024
Fundamentals of Machine Design – Giuseppe Battiato 21
From specimens to components: fatigue strength reduction
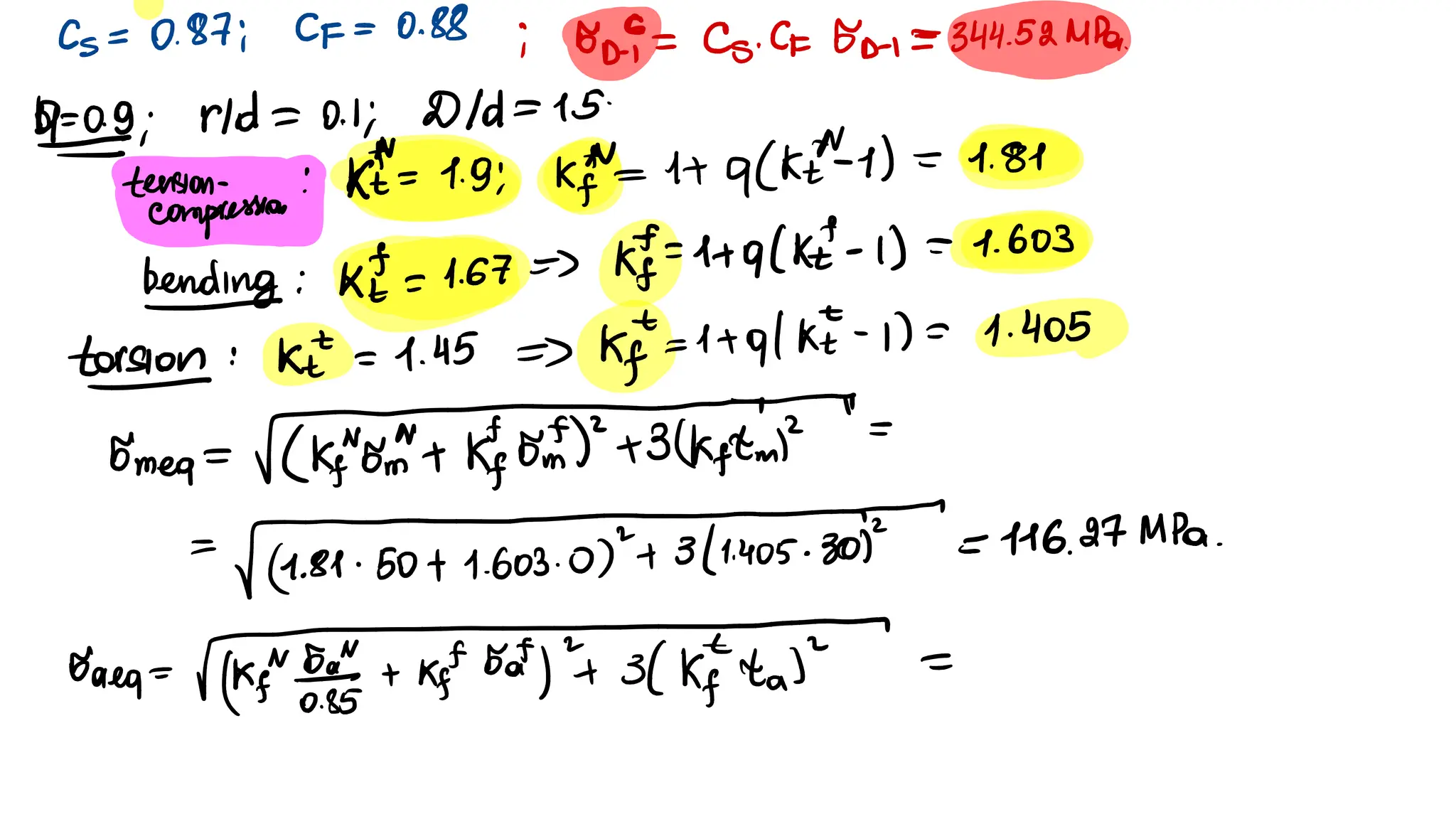
• Due to the described influencing factors, the fatigue strength 𝜎𝐷−1 (obtained from
rotating bending tests on 10 mm diameter, polished specimens) must be corrected.
• The fatigue limit of the component 𝜎𝐷−1
𝐶
will be:
- components without notches: 𝜎𝐷−1
𝐶
= 𝐶𝐿𝐶𝑆𝐶𝐹𝐶𝑅𝜎𝐷−1
- components with notches: 𝜎𝐷−1
𝐶
=
𝐶𝐿𝐶𝑆𝐶𝐹𝐶𝑅𝜎𝐷−1
𝐾𝑓
• To determine whether the component is safe, the working point P ≡ (𝜎𝑚,𝑛,𝜎𝑎,𝑛),
corresponding to the nominal loading condition, must be plotted on the Haigh
diagram, and its position must be carefully evaluated (see next slides for the safety
factor evaluation).
Fatigue
September 25, 2024
Fundamentals of Machine Design – Giuseppe Battiato 22
• The approach that interprets the fatigue stress intensity
factor as a reduction coefficient for the material’s fatigue
limit has different limitations when the stress state
results from different loading types. This is primarily
because it relies on a single coefficient 𝐾𝑓 to represent
various loading modes, which may not accurately
account for the complexities introduced by different
stress conditions.
• For example, when rotating bending is combined with
tension-compression, it raises the question of which
𝐾𝑓 should be used in the denominator of the formula
defining 𝜎𝐷−1
𝐶
. In this case, both limits, i.e. 𝜎𝐷−1
𝑐,𝐵
, 𝜎𝐷−1
𝑐,𝑇𝐶
,
should be calculated using 𝐾𝑓
𝐵
for bending and 𝐾𝑓
𝑇𝐶
for
tension/compression respectively. The lower of the two
values should then be used for the verification.
P
𝜎𝑎,𝑒𝑞
𝜎𝑚,𝑒𝑞
𝜎𝑎
𝜎𝑚
𝜎𝐷−1
𝐶
𝜎𝐷−1
𝑐
=
𝐶𝐿 ⋅ 𝐶𝑆 ⋅ 𝐶𝐹
𝐾𝑓
𝜎𝐷−1
From specimens to components: fatigue strength reduction
Fatigue
September 25, 2024
Fundamentals of Machine Design – Giuseppe Battiato 23
From specimens to components: Haigh diagram construction for a component
𝜎𝑚
𝜎𝑈
𝜎𝑈
𝑅 = −∞ 𝑅 = 0
𝜎𝐷−1
P
𝜎𝐷−1
𝐶
Specimen
Component
𝑁 = constant
𝑃 ≡ (𝜎𝑚,𝑛,𝜎𝑎,𝑛)
𝜎𝑎
𝜎𝑈
𝜎𝑌
𝜎𝑌 𝜎𝑌
Fatigue
September 25, 2024
Fundamentals of Machine Design – Giuseppe Battiato 24
Mechanical treatments
• A local load is applied on the surface.
• This local load induces compressive yielding in a small portion of
material.
• The material tends to expand laterally.
• The internal part (heart) of the component remains in the elastic
regime and prevents the expansion of the yielded portion, inducing
a residual stress (compression) at the component surface.
Yielding in
compression
and lateral
dilatation
Compressed
material
Elastic material
Elastic material
Elastic material
𝜎
𝜀
𝜎𝑟𝑒𝑠
A
B
C
𝜎
𝜀
A
B’
A’
Point undergoing
plastic deformation
(grey region)
Point remaining in the
elastic region, close to
the grey region
(green region)
A compressive stress state (negative) at the
surface decreases a positive (tension) the
mean stress 𝜎𝑚 applied to the component.
Fatigue
September 25, 2024
Fundamentals of Machine Design – Giuseppe Battiato 25
Mechanical treatments: shot peening
• It generates compressive residual stresses on the surface of the component through high-
speed impacts from small steel balls, fired at high speed by centrifugal force or compressed air.
- The depth of the affected zone by the compression residual stresses if around 1 mm;
- It is more effective on medium hardness steels and cast iron than on hard and light alloys
(20-35% expected increase of 𝜎𝐷).
- Very effective for components having a simple geometry;
- Typical applications: leaf springs.
• Patented by Föppl, in Germany in 1929 and introduced by Almen (GM) during the 1930’s to
increase fatigue strength of leaf springs in automotive suspensions.
Fatigue
September 25, 2024
Fundamentals of Machine Design – Giuseppe Battiato 26
Mechanical treatments: shot peening
The compressive stress state is
realized in the region which is
subjected to tension during operation.
Fatigue
September 25, 2024
Fundamentals of Machine Design – Giuseppe Battiato 27
Mechanical treatments: cold rolling
• Similar effect as for shot peening;
• Maximum depth of the zone affected by compression residual stresses is around 10 mm;
• After the treatment the surface appears to be smooth;
• Non suitable for thin components because the plastic deformation might extend to the entire thickness;
• Typical applications: crankpins-web/counterweights fillet in crankshafts.
Fatigue
September 25, 2024
Fundamentals of Machine Design – Giuseppe Battiato 28
Mechanical treatments: cold rolling
Typical applications: threads, crankpins-web/counterweights fillet in crankshafts.
Thread rolling dies
Crankpins (in blue,
or crank throws)
Crankshaft
Web/Counterweights
Main journals
Fatigue
September 25, 2024
Fundamentals of Machine Design – Giuseppe Battiato 29
Mechanical treatments: hot rolling or forming
• It has a negative effect because it is always associated with surface
decarburization:
o It decreases the strength of the surface layer;
o It decreases the surface layer volume whose contraction is prevented by
the underlying material;
o It causes dangerous tension residual stresses!
C + O2 → CO2
Fatigue
September 25, 2024
Fundamentals of Machine Design – Giuseppe Battiato 30
Mechanical treatments: cold forming
Internal fibers
(tension)
External fibers
(compression)
After forming
𝜎 > 0
𝜎 < 0
𝑀
𝑀
• It generates a compression residual state of stress on one side, tension on the other side. This effect is
due to the restoring force generated by the elastic part (internal) of the material.
• The effect must be carefully checked.
Fatigue
September 25, 2024
Fundamentals of Machine Design – Giuseppe Battiato 31
Chemical/physical treatments: surface coatings
• Coatings are used to prevent corrosion, wear problems, or for aesthetic
purposes;
• Chromium and Nickel plating:
- Are the most widespread surface coatings for steels;
- They induce a tension state of stress, therefore they significantly decrease the
fatigue strength;
- The effect is more pronounced as much as:
- Shot peening or nitridation are used to mitigate these problem, especially with
nickel plating.
o The material has higher strength;
o The higher endurance is expected;
o The higher the coating layer thickness.
Fatigue
September 25, 2024
Fundamentals of Machine Design – Giuseppe Battiato 32
Chemical/physical treatments: surface coatings
• Cadmium and zinc plating:
- They do not have a significant effect on fatigue strength:
• Used against corrosion;
• Poor wear resistance;
• Electrically deposed coatings, in the case of metallic materials, if not properly controlled,
can induce hydrogen embrittlement.
• Anodizing
- Typical of light alloys (aluminum alloys…):
• It forms a brittle film that fractures under cyclic loads, initiating the fatigue process;
• This effect is negatively synergic with the action of corrosion;
• The decrease in fatigue strength is around 20-30%.
Fatigue
September 25, 2024
Fundamentals of Machine Design – Giuseppe Battiato 33
Thermal and diffusive treatment: generality
• Residual stresses can be caused by:
- Local phase changes;
- Diffusive process;
- Thermal gradients and differential thermal expansion/contraction (differential cooling).
• Empirical rule: the parts last to cool remain in tension.
• Residual stresses occur in welding, flame cutting (oxi-fuel cutting, etc.), but also in metal working (for
example in wheel grinding).
Fatigue
September 25, 2024
Fundamentals of Machine Design – Giuseppe Battiato 34
Thermal and diffusive treatment: carburizing/carburization and nitriding
• Diffusive processes with beneficial effects on fatigue strength:
- They induce surface hardening (useful for gear teeth);
- By increasing the volume of the layer affected by the diffusive process, a layer under compressive
stress is ultimately created;
- The interested layer is around 1 mm.
Fatigue
September 25, 2024
Fundamentals of Machine Design – Giuseppe Battiato 35
Thermal and diffusive treatment: quenching
• In ferrous materials quenching (heating at the austenizing temperature followed by
rapid cooling) causes the martensitic transformation with a linear expansion around
0.5%;
• In surface quenching, the non-quenched inner material prevents the surface
material expansion leading to a residual compression state of stress (beneficial);
• Induction hardening allows the selective hardening of a part to achieve desired
hardness over a specific area and depth. Very effective since it leaves a tougher
core.
Fatigue
September 25, 2024
Fundamentals of Machine Design – Giuseppe Battiato 36
Operating temperature effect
• At low temperature
- Flow processes (plasticity) are hampered: nucleation is hindered, yield
limit is increased.
- Resilience and toughness reduce.
- Propagation phase is hindered.
• At high temperature
- Flow processes are facilitated: the yield limit may even disappear,
toughness decreases, while elongation and propagation extend.
- For temperatures higher than 60-70% of the melting temperature, plastic
flow becomes important (creep). The classical stress-based approach
becomes unapplicable.
Fatigue
September 25, 2024
Fundamentals of Machine Design – Giuseppe Battiato 37
Corrosive environment
• It dramatically reduces the components life;
• Temperature plays an important role in affecting the speed of all the
electrochemical reactions;
• High-strength materials are more sensitive to corrosion, the contrary in ductile
materials;
• High chromium contents make steel less sensitive to stress corrosion (stainless
steels);
• Chrome plating, nickel plating, cadmium plating, and zinc plating, which have the
effect of reducing strength in a non-corrosive environment, have opposite effect in a
corrosive environment (beneficial).
Fatigue
September 25, 2024
Fundamentals of Machine Design – Giuseppe Battiato 38
Endurance limit: S-N diagram of components
𝐾𝑓 𝑁 =
𝜎𝑁specimen
𝜎𝑁component
• The correction coefficients introduced above
were evaluated with reference to the fatigue
limit.
• Their effect on the fatigue strength varies
with the number of cycles. In particular, the
effect of such factors is even negligible in the
LCF region (notches can even increase the
static strength of the component since they
generate a tri-axial tension state).
• The best estimate of the S-N diagram is
obtained by considering a straight line joining
the point F to the value of the fatigue limit 𝜎𝐷
(point G).
𝐾𝑓 =
𝜎𝐷specimen
𝜎𝐷component
N
G
F
Fatigue
September 25, 2024
Fundamentals of Machine Design – Giuseppe Battiato 39
Safety factor in fatigue strength: uniaxial loading
• For fatigue problems the safety factor is defined as the ratio of allowable stress to applied
stress, a definition that also applies to static problems.
• The allowable stress depends on the mean stress 𝜎𝑚, on the alternate stress 𝜎𝑎, and on the
performance of the component. Therefore, operational stress path, representing the
evolution of 𝜎𝑚 and 𝜎𝑎 during operation, must be plotted on diagrams that show the
relationship between 𝜎𝑎 and 𝜎𝑚 (i.e. the Haigh diagram, Goodman diagram, etc.). This is
essential for determining the allowable stress.
• In general, the minimum safety factor against fatigue failure should be set at 3, unless
otherwise specified.
• Uniaxial loading with constant amplitude is considered here, while cases involving multiaxial
stress states or variable alternating components will be discussed in subsequent sections.
Fatigue
September 25, 2024
Fundamentals of Machine Design – Giuseppe Battiato 40
Safety factor in fatigue strength: safety factor for infinite life
• Step 1: Build the Haigh diagram
𝜎𝐷−1
𝐶
=
𝐶𝐿𝐶𝑆𝐶𝐹𝐶𝑅𝜎𝐷−1
𝐾𝑓
𝜎𝑌
𝜎𝑎
𝜎𝑚
−𝜎𝑌
𝜎𝐷−1
𝐶
Fatigue
September 25, 2024
Fundamentals of Machine Design – Giuseppe Battiato 41
Safety factor in fatigue strength: safety factor for infinite life
• Step 2: Identify the operating point 𝑃 = (𝜎𝑚
𝑃
, 𝜎𝑎
𝑃
) in the same reference frame.
The safety factor (SF) is then calculated based on one of the following criteria, depending
on the relationship between the stresses and the component's performance.
𝜎𝑎
𝑃
𝜎𝑌
𝜎𝑎
𝜎𝑚
𝜎𝐷−1
𝐶
P
𝜎𝑚
𝑃
−𝜎𝑌
Fatigue
September 25, 2024
Fundamentals of Machine Design – Giuseppe Battiato 42
Safety factor in fatigue strength: safety factor for infinite life
• Step 3: Identify the limit stress 𝜎𝑙𝑖𝑚 on the Haigh diagram and compute SF as:
𝑆𝐹 =
𝜎𝑙𝑖𝑚
𝜎𝑃
𝜎𝑎
𝑃
𝜎𝑚
𝑃 𝜎𝑌
𝜎𝑎
𝜎𝑚
𝜎𝐷−1
𝐶
P
−𝜎𝑌
Fatigue
September 25, 2024 43
Safety factor in fatigue strength: safety factor for infinite life
• Step 3: Identify the limit stress 𝜎𝑙𝑖𝑚 on the Haigh diagram and compute SF:
- Case A: mean stress constant and alternate stress varying with performance.
𝑆𝐹 =
𝜎𝐷
lim
𝜎𝑎
𝑃
𝜎𝑎
𝑃
𝜎𝑌
𝜎𝑎
𝜎𝑚
𝜎𝐷−1
𝐶
𝜎𝐷
𝑙𝑖𝑚
P
𝜎𝑚
𝑃
𝜎𝑚
𝑃
= const
Fundamentals of Machine Design – Giuseppe Battiato
−𝜎𝑌
Fatigue
September 25, 2024
Fundamentals of Machine Design – Giuseppe Battiato 44
Safety factor in fatigue strength: safety factor for infinite life
• Step 3: Identify the limit stress 𝜎𝑙𝑖𝑚 on the Haigh diagram and compute SF:
- Case B: both mean stress and alternate stress varying with performance (average stress
proportional to alternate stress).
𝑆𝐹 =
𝜎𝐷
𝑙𝑖𝑚
𝜎𝑎
𝑃 =
𝜎𝑚
𝑙𝑖𝑚
𝜎𝑚
𝑃 =
𝜎𝑚𝑎𝑥
𝑙𝑖𝑚
𝜎𝑚𝑎𝑥
𝑃 =
𝜎𝑚𝑖𝑛
𝑙𝑖𝑚
𝜎𝑚𝑖𝑛
𝑃
𝜎𝑎
𝑃
𝜎𝑚
𝑃 = const →
𝜎𝐷
𝑙𝑖𝑚
𝜎𝑚
𝑙𝑖𝑚
= const
𝜎𝑎
𝑃
𝜎𝑚
𝑃 𝜎𝑌
𝜎𝑎
𝜎𝑚
𝜎𝐷−1
𝐶
𝜎𝐷
𝑙𝑖𝑚
P
𝜎𝑚
𝑙𝑖𝑚
−𝜎𝑌
Fatigue
September 25, 2024
Fundamentals of Machine Design – Giuseppe Battiato 45
Safety factor in fatigue strength: safety factor for infinite life
• Step 3: Identify the limit stress 𝜎𝑙𝑖𝑚 on the Haigh diagram and compute SF:
- Case C: mean stress with a constant part (𝜎𝑚𝑐
𝑃 ) and the other proportional to the
alternate stress (𝜎𝑚𝑝
𝑃
varying with performance).
𝑆𝐹 =
𝜎𝐷
𝑙𝑖𝑚
𝜎𝑎
𝑃
𝜎𝑎
𝑃
𝜎𝑚
𝑃 𝜎𝑌
𝜎𝑎
𝜎𝑚
𝜎𝐷−1
𝐶
𝜎𝐷
𝑙𝑖𝑚
P
𝜎𝑚𝑝
𝑃
𝜎𝑚𝑐
𝑃
𝜎𝑎
𝑃
𝜎𝑚𝑝
𝑃 = const
𝜎𝑚𝑐
𝑃 = const
−𝜎𝑌
Fatigue
September 25, 2024
Fundamentals of Machine Design – Giuseppe Battiato 46
Safety factor in fatigue strength: safety factor for infinite life
• Step 3: Identify the limit stress 𝜎𝑙𝑖𝑚 on the Haigh diagram and compute SF:
- Case D: alternate stress constant and mean stress varying with performance.
𝑆𝐹 =
𝜎𝑚
𝑙𝑖𝑚
𝜎𝑚
𝑃
𝜎𝑚
𝑃 𝜎𝑌
𝜎𝑎
𝜎𝑚
𝜎𝑎
𝑃 P
𝜎𝑚
𝑙𝑖𝑚
𝜎𝑎
𝑃
= const
−𝜎𝑌
Fatigue
September 25, 2024
Fundamentals of Machine Design – Giuseppe Battiato 47
Safety factor in fatigue strength: safety factor for finite life
𝑆𝐹𝜎 =
𝜎𝑁o
𝜎𝑎
𝑆𝐹𝑁 =
𝑁𝐿
𝑁o
• The two safety factors are different from each other,
but a relationship between them can be found.
• If the log-log representation is used for the S-N
diagram:
𝑁𝐿𝜎𝑎
𝑘
= 𝑁o𝜎𝑁o
𝑘
→
𝑁𝐿
𝑁o
=
𝜎𝑁o
𝜎𝑎
𝑘
𝑆𝐹𝑁 = 𝑆𝐹𝜎
𝑘
Endurance Safety Factor
Strength Safety Factor
𝜎𝑁o is the fatigue strength corresponding to the target
number of cycles 𝑁o.
102 103 104 105 106 N
200
400
600
800
1000
a m =_____
a
No NL
No
The calculation of SF in the finite life region requires the
mean and alternate stress corresponding to the
operative point 𝑃 𝜎𝑚, 𝜎𝑎 , and a target number of
cycles 𝑁o.
Fatigue
September 25, 2024
Fundamentals of Machine Design – Giuseppe Battiato 48
Example 1
A rotating shaft is loaded in its middle section 𝐶 by a transverse force 𝐹 = 7.5 kN and by an axial force 𝑃 =
25 kN, as shown in the figure. Given the following data:
𝐷 = 40 mm, 𝐿 = 120 mm, 𝑅𝑎 = 1.6 μm (surface roughness);
Material: 𝜎𝑈 = 900 MPa, 𝜎𝑌 = 635 MPa, 𝜎𝐷−1 = 450 MPa;
a) Compute the mean stress 𝜎𝑚 and the alternate stress 𝜎𝑎 in the most stressed point of the shaft.
b) Draw the Haigh diagram (infinite life) for the component.
c) Compute the safety factor for infinite fatigue life, in the hypothesis that the mean stress is constant with
performance while the alternate stress varies with performance.
A shaft made of steel (𝜎𝑈 = 1100 MPa, 𝜎𝑌 = 800 MPa, 𝜎𝐷−1 = 550 MPa and 𝐴% = 12) has a groove with
diameter variation from 𝐷 = 60 mm to d = 30 mm and a fillet radius 𝑟 = 3 mm. The shaft has surface
roughness 𝑅𝑎 = 0.8 μm. In working conditions, the shaft is subjected to bending with mean component
𝑀𝐵,𝑚 = 350 Nm and alternate component 𝑀𝐵,𝑎 = 150 Nm.
a) Compute the mean stress 𝜎𝑚 and the alternate stress 𝜎𝑎.
b) Draw the Haigh diagram (infinite life) for the component.
c) Compute the safety factor for infinite fatigue life, in the hypothesis that the mean stress is constant with
performance while the alternate stress varies with performance.
Fatigue
September 25, 2024
Fundamentals of Machine Design – Giuseppe Battiato 49
Example 2
Fatigue
September 25, 2024
Fundamentals of Machine Design – Giuseppe Battiato 50
Example 3
A plate made of S355 EN 10027/1), with a standard fatigue limit 𝜎𝐷−1 = 250 MPa, the dimensions shown in the figure,
and thickness 𝑏 = 15 mm, is subjected to a variable transverse load 𝑃 = −2 ÷ 2 kN and a constant axial load 𝑇 =
36 kN. The plate is obtained through milling, with a surface roughness of 1.6 μm.
Calculate the fatigue safety factor of the plate using in the notch area for the following cases:
a) as the required performance increases, only the amplitude of 𝑃 increases;
b) as the required performance increases, 𝑃 and 𝑇 increase proportionally;
c) as the required performance increases, only 𝑇 increases.
Fatigue
September 25, 2024
Fundamentals of Machine Design – Giuseppe Battiato 51
Multiaxial loading: combination of loading modes
• In various applications, mechanical components are subjected to multiaxial stress states. A
multiaxial stress state occurs when at least 2 principal stresses are different than zero.
• One of the main problems with multiaxial fatigue is that each of the principal stresses (or
strains) can have a different time history. In general, three cases may occur:
- Non-complex multiaxial stress state: all principal stresses reach the maximum and
minimum at same time and principal directions do not change in time (e.g. shaft
subjected to alternate torsion with 𝜏𝑚 = 0 + rotating bending 𝜎𝑚 = 0).
- Complex multiaxial stress state: loads are not in phase, meaning that the principal
directions change in time;
- Mixed case: loads are in phase, but the principal directions change in time because the
mean stress principal directions do not coincide to the alternate stress ones (e.g.
rotating bending + 𝜏𝑚 = const due to torsion).
Ductile materials
(area delimited by the curve and the axes)
Brittle materials
0
100
200
300
400
0 100 200 300 400 500 600
( )
MPa
a

30 Ni Cr Mo12
Rm=900 MPa
C 15
Rm=425 MPa
( )
MPa
a

Experimental data obtained by
Gough and Pollard (1935 – 1951)
Fatigue
September 25, 2024
Fundamentals of Machine Design – Giuseppe Battiato 52
Multiaxial loading: Gough and Pollard analysis
𝜎𝑎
𝜎𝐷−1
2
+
𝜏𝑎
𝜏𝐷−1
2
≤ 1 → 𝜎𝑎
2
+
𝜎𝐷−1
𝜏𝐷−1
2
𝜏𝑎
2
≤ 𝜎𝐷−1
2
For carbon steels, aluminum and titanium alloys, brass and
bronze it holds:
𝜏𝐷−1 ≅ 0.6 𝜎𝐷−1 ≅
𝜎𝐷−1
3
meaning that:
𝜎𝑎
2 + 3𝜏𝑎
2 ≤ 𝜎𝐷−1
In phase multiaxial loading on cylindrical specimens:
- Alternate torsion (𝜏𝑚 = 0)
- Alternate bending (𝜎𝑚 = 0)
𝜏𝑎
𝜏𝐷−1
2
+
𝜏𝑎
𝜎𝑎
− 1
𝜎𝑎
𝜎𝐷−1
2
+ 2 −
𝜎𝐷−1
𝜏𝐷−1
𝜎𝑎
𝜎𝐷−1
= 1
Safe region for ductile materials
Experimental value
Von Mises
criterion
confirmed
Fatigue
September 25, 2024
Fundamentals of Machine Design – Giuseppe Battiato 53
Multiaxial loading: Gough and Pollard analysis
Material exper. Mx-Def. Tresca Von Mises
Plan carbon and low alloyed steels1 0.6 0.77 0.50 0.58*
Grey iron 0.85 0.76÷0.82* 0.50 0.58
Ductile iron 0.84 0.79* 0.50 0.58
Aluminium alloy 0.57 0.73 0.50 0.58*
Cupper 0.53 0.80 0.50* 0.58*
Brass 0.57 0.70÷0.76 0.50 0.58*
Bronze 0.57 0.84 0.50 0.58*
Titanium alloy TiAl6V4 0.62 0.71 0.50 0.58*
1 Steels for quench and tempering heat treating
Experimental and theoretical values of the ratio 𝜏𝐷−1 / 𝜎𝐷−1
Fatigue
September 25, 2024
Fundamentals of Machine Design – Giuseppe Battiato 54
Multiaxial loading: generalization of Gough and Pollard analysis
• Based on the Gough and Pollard analysis, it has been found that the fatigue failure of ductile
materials (e.g., steels) subjected to both alternating bending and alternating torsion occurs if:
𝜎𝑎
2 + 3𝜏𝑎
2 = 𝜎𝐷−1 (1)
where 𝜎𝐷−1 is the fatigue strength evaluated in standard conditions. Moreover, the left-hand
side of equation (1) can be seen as a Von Mises equivalent stress:
Equivalent alternate stress: 𝜎𝑎,𝑒𝑞 = 𝜎𝑎
2 + 3𝜏𝑎
2 (2)
Similarly, it can be defined the equivalent mean stress as:
Equivalent mean stress: 𝜎𝑚,𝑒𝑞 = 𝜎𝑚
2 + 3𝜏𝑚
2 (3)
Fatigue
September 25, 2024
Fundamentals of Machine Design – Giuseppe Battiato 55
Multiaxial loading: generalization of Gough and Pollard analysis
• Note that in the Gough e Pollard analysis (equation 2), the alternate stress 𝜎𝑎 comes from
bending, while the alternate shear stress 𝜏𝑎 comes from torsion. Thus, the equation (1) can be
re-written as:
𝜎𝑎
𝑏 2
+ 3 𝜏𝑎
𝑡 2 = 𝜎𝐷−1 (4)
• If a stress state due to tension/compression loading is added to the bending-torsion stress
state, how do we modify equation (2)? How do we write the failure condition expressed by
equation (4)? → solution from the textbook Shigley’s…
• Considering a tension/compression stress state (monoaxial) only, the failure condition for
fatigue is expressed as:
𝜎𝑎
𝑇 = 𝜎𝐷−1
𝑇
where 𝜎𝐷−1
𝑇
is the fatigue strength obtained from tension/compression tests.
Fatigue
September 25, 2024
Fundamentals of Machine Design – Giuseppe Battiato 56
Multiaxial loading: generalization of Gough and Pollard analysis
It has been shown that:
𝜎𝐷−1
𝑇
= 𝐶𝐿𝜎𝐷−1
where 𝜎𝐷−1 is the fatigue limit evaluated in standard conditions (rotating
bending).
Assuming 𝐶𝐿 = 0.85, the condition for which failure occurs can be expresses as:
𝜎𝑎
𝑇 = 𝜎𝐷−1
𝑇
= 0.85 ∙ 𝜎𝐷−1 →
𝜎𝑎
𝑇
0.85
= 𝜎𝐷−1
This means that in order to compare the tension/compression stress state with
the fatigue limit obtained in standard conditions (rotating bending, etc.), the load
coefficient (𝐶𝐿 = 0.85) must be used as a correction factor for the alternate
stress 𝜎𝑎
𝑇.
Fatigue
September 25, 2024
Fundamentals of Machine Design – Giuseppe Battiato 57
Multiaxial loading: generalization of Gough and Pollard analysis
According to the last conclusion, the initial problem of combining the alternate stresses due to
bending, tension/compression and torsion is solved by including the corrected 𝜎𝑎
𝑇 into the
equation (4) as follows:
𝜎𝑎
𝑏
+
𝜎𝑎
𝑇
0.85
2
+ 3 𝜏𝑎
𝑡 2 = 𝜎𝐷−1
The left-hand side of the former equation represents the equivalent alternate stress 𝜎𝑎,𝑒𝑞 :
𝜎𝑎,𝑒𝑞 = 𝜎𝑎
𝑏
+
𝜎𝑎
𝑇
0.85
2
+ 3 𝜏𝑎
𝑡 2 (5)
while the Von-Mises criterion can be used to compute the equivalent mean stress 𝜎𝑚,𝑒𝑞:
𝜎𝑚,𝑒𝑞 = 𝜎𝑚
𝑏
+ 𝜎𝑚
𝑇 2
+ 3 𝜏𝑚
𝑡 2 (6)
Fatigue
September 25, 2024
Fundamentals of Machine Design – Giuseppe Battiato 58
Multiaxial loading: safety factor
• The safety factor in multiaxial loading is computed as in the monoaxial case by considering
the equivalent alternate and mean stresses 𝜎𝑎,𝑒𝑞 and 𝜎𝑚,𝑒𝑞.
• For notched components:
𝜎𝑎,𝑒𝑞 = 𝐾𝑓
𝑏
𝜎𝑎
𝑏
+
𝐾𝑓
𝑇
𝜎𝑎
𝑇
0.85
2
+ 3 𝐾𝑓
𝑡
𝜏𝑎
𝑡 2
𝜎𝑚,𝑒𝑞 = 𝐾𝑓
𝑏
𝜎𝑚
𝑏
+ 𝐾𝑓
𝑇
𝜎𝑚
𝑇 2
+ 3 𝐾𝑓
𝑡
𝜏𝑚
𝑡 2
𝑃 ≡ (𝜎𝑎,𝑒𝑞
𝑃 , 𝜎𝑚,𝑒𝑞
𝑃 )
Plot the working point P on the
Haigh diagram and compute the
safety factor as already shown!
Fatigue
September 25, 2024 59
Multiaxial loading: safety factor
𝑆𝐹 =
𝜎𝐷
lim
𝜎𝑎,𝑒𝑞
𝑃
𝜎𝑎,𝑒𝑞
𝑃
𝜎𝑃02
𝜎𝑎
𝜎𝑚
𝜎𝑃02
𝜎𝐷−1
𝐶
𝜎𝐷
𝑙𝑖𝑚
P
𝜎𝑚,𝑒𝑞
𝑃
𝜎𝑚,𝑒𝑞
𝑃
= const
𝜎𝐷−1
𝐶
= 𝐶𝑆𝐶𝐹𝐶𝑅𝜎𝐷−1
Note that the loading mode factor
𝐶𝐿 and the fatigue strength
concentration factor 𝐾𝑓 do not
apply to the fatigue limit correction
because these have been already
accounted to evaluate 𝜎𝑎,𝑒𝑞
𝑃 .
Fundamentals of Machine Design – Giuseppe Battiato
Fatigue
September 25, 2024 60
Multiaxial loading: safety factor
𝜎𝑎,𝑒𝑞
𝑃
𝜎𝑃02
𝜎𝑎
𝜎𝑈
𝜎𝐷−1
𝐶
P
𝜎𝑚,𝑒𝑞
𝑃 𝜎𝑚
𝜎𝐷−1
𝐶
𝑆𝐹
𝑆𝐹 =
𝜎𝐷
lim
𝜎𝑎,𝑒𝑞
𝑃
Different interpretation
If the working point belongs
to the red line the safety
requirements are met.
𝜎𝑃02
𝜎𝑎
𝜎𝑈
𝜎𝐷−1
𝐶
P
𝜎𝑚,𝑒𝑞
𝑃 𝜎𝑚
𝜎𝑎,𝑒𝑞
𝑃
𝜎𝐷
𝑙𝑖𝑚
Fundamentals of Machine Design – Giuseppe Battiato
Fatigue
September 25, 2024
Fundamentals of Machine Design – Giuseppe Battiato 61
Multiaxial loading: FKM standard (2003)
The standard “Analytical Strength Assessment, FKM–Forschungskuratorium Maschinenbau, 5th ed., VDMA Verlag,
Frankfurt am Main, 2003” is the most advanced European standard for the fatigue design of transmission shaft.
The main formula used for the calculation of the equivalent alternate and mean stress 𝜎𝑎,𝑒𝑞
𝑃
and 𝜎𝑚,𝑒𝑞
𝑃
are:
𝜎𝑎,𝑒𝑞 = 𝐾𝑓
𝑏
𝜎𝑎,𝑛
𝑏
+ 𝐾𝑓
𝑇
𝜎𝑎,𝑛
𝑇 2
+ 3 𝐾𝑓
𝑡
𝜏𝑎,𝑛
𝑡 2
𝜎𝑚,𝑒𝑞 = 𝐾𝑓
𝑏
𝜎𝑚
𝑏
+ 𝐾𝑓
𝑇
𝜎𝑚
𝑇 2
+ 3 𝐾𝑓
𝑡
𝜏𝑚
𝑡 2
The reference fatigue limit in FKM is evaluated in tension
compression 𝜎𝐷−1
𝑇
(tension/compression 𝜎𝐷−1 in the figure),
which is corrected by just the factor 𝐶𝐹 as:
𝜎𝑐,𝐷−1 = 𝜎𝑐,𝐷−1
𝑇
= 𝐶𝐹𝜎𝐷−1
𝑇
Note that:
- 𝐶𝐿 does not apply because the reference fatigue limit
already refer to tension/compression;
- 𝐶𝑆 does not apply because in a tension/compression
state of stress, no gradient of stress occurs in the
process zone.
Fatigue
September 25, 2024
Fundamentals of Machine Design – Giuseppe Battiato 62
Multiaxial loading: combination of loading modes – Sines analysis
Sines proposed the following formula for infinite life fatigue verification in the presence of in-phase multi-axial loading:
1
2
𝜎𝑎,1 − 𝜎𝑎,2
2
+ 𝜎𝑎,1 − 𝜎𝑎,3
2
+ 𝜎𝑎,2 − 𝜎𝑎,3
2
+ 𝑚 𝜎𝑚,1 + 𝜎𝑚,2 + 𝜎𝑚,3 ≤ 𝜎𝐷−1
The coefficient m depends on the material and can be obtained from the uniaxial case (i.e. 𝜎𝑎,𝑖 = 𝜎𝑚,𝑖 = 0 for 𝑖 = 2,3)
at the limit condition:
𝜎𝑎,1 + 𝑚 ∙ 𝜎𝑚,1 = 𝜎𝐷−1
which is the Goodman equation if 𝑚 =
𝜎𝐷−1
𝜎𝑈
.
Fatigue
September 25, 2024
Fundamentals of Machine Design – Giuseppe Battiato 63
Endurance analysis: variable loading fatigue

t
t

n1, a1, m1 n2, a2, m2 n3, a3, m3
Block-like loading cycle
Random loading cycle
• Fatigue data are usually obtained from constant
amplitude tests.
• Real components are rarely stressed in such a
way but undergo stresses with time-varying
amplitudes.
• In the simplest case the component is stressed
with constant amplitude blocks, with average
stresses possibly varying for each block, while in
more complex cases the stress time-history is
quite irregular (even random).
• Counting methods are used to extract from a real
random loading cycles an equivalent block-like
loading cycle (useful for the calculation of 𝑆𝐹𝑁).
Fatigue
September 25, 2024
Fundamentals of Machine Design – Giuseppe Battiato 64
Endurance analysis: variable loading fatigue
Simple case: variable 𝜎𝑎 and constant 𝜎𝑚
Fatigue
September 25, 2024
Fundamentals of Machine Design – Giuseppe Battiato 65
Endurance analysis: counting methods
40
80
120
-100
-50
0
50
150
2.0
2.5
3.0
3.5
4.0
4.5
5.0
5.5
Log(N)

a
(
M
P
a
)

m
(
M
P
a
)
60
100
140
160
180
200
220
240
260
a
(o )
N
n1 n2 n3 n4 n5 n6
N
a
(o )
Mono-parametric methods
At least one the 2 parameters defining the
loading cycle is constant
• 𝜎𝑚 = const → 𝜎𝑎
• 𝑅𝑎 = const → ∆𝜎
Bi-parametric methods
(Loading matrix)
Warning:
the loading sequence is lost!
Fatigue
September 25, 2024
Fundamentals of Machine Design – Giuseppe Battiato 66
Endurance analysis: counting methods – loading matrix
25 50 75 100
125
150
175
250
-25
0
25
50
75
100
125
175
0
0.5
1
1.5
2
2.5
3
Cycles
σm (MPa)
σa (MPa)
Tabella I: Conteggi (MPa)
n min max  a m
1 -200 300 500 250 50
2 0 200 200 100 100
3 -150 200 350 175 25
4 0 100 100 50 50
5 -100 100 200 100 0
6 -150 100 250 125 -25
7 -100 100 200 100 0
8 0 150 150 75 75
9 50 200 150 75 125
10 -50 250 300 150 100
11 -100 250 350 175 75
12 100 250 150 75 175
13 -50 100 150 75 25
14 -100 100 200 100 0
15 -100 50 150 75 -25
16 -150 100 250 125 -25
17 0 50 50 25 25
18 100 150 50 25 125
19 50 200 150 75 125
20 0 150 150 75 75
21 50 150 100 50 100
22 0 100 100 50 50
23 0 200 200 100 100
24 -50 50 100 50 0
25 -50 0 50 25 -25
26 -50 50 100 50 0
27 50 150 100 50 100
Counting (MPa)
Fatigue
September 25, 2024
Fundamentals of Machine Design – Giuseppe Battiato 67
Endurance analysis: counting methods – rainflow method
300
250
200
150
100
50
0
-50
-100
-150
-200
t
 (MPa)
Consider the loading time-history as a tank!
Fatigue
September 25, 2024
Fundamentals of Machine Design – Giuseppe Battiato 68
Endurance analysis: counting methods – rainflow method
t
1
A
300
250
200
150
100
50
0
-50
-100
-150
-200
 (MPa)
t
3
2 4
5 7
6
8
10
11
12
9
B
300
250
200
150
100
50
0
-50
-100
-150
-200
 (MPa)
t
13
C 14 15
16
17
18
19
20
21
22 23
300
250
200
150
100
50
0
-50
-100
-150
-200
 (MPa)
t
D
24 26
25
27
300
250
200
150
100
50
0
-50
-100
-150
-200
 (MPa)
Tabella I: Conteggi (MPa)
n min max  a m
1 -200 300 500 250 50
2 0 200 200 100 100
3 -150 200 350 175 25
4 0 100 100 50 50
5 -100 100 200 100 0
6 -150 100 250 125 -25
7 -100 100 200 100 0
8 0 150 150 75 75
9 50 200 150 75 125
10 -50 250 300 150 100
11 -100 250 350 175 75
12 100 250 150 75 175
13 -50 100 150 75 25
14 -100 100 200 100 0
15 -100 50 150 75 -25
16 -150 100 250 125 -25
17 0 50 50 25 25
18 100 150 50 25 125
19 50 200 150 75 125
20 0 150 150 75 75
21 50 150 100 50 100
22 0 100 100 50 50
23 0 200 200 100 100
24 -50 50 100 50 0
25 -50 0 50 25 -25
26 -50 50 100 50 0
27 50 150 100 50 100
Counting (MPa)
Fatigue
September 25, 2024
Fundamentals of Machine Design – Giuseppe Battiato 69
Endurance analysis: Palmgren-Miner rule
• 𝐷 = σ 𝐷𝑖 = σ
𝑛𝑖
𝑁𝑖
< 1 → Safety
• 𝐷 = σ 𝐷𝑖 = σ
𝑛𝑖
𝑁𝑖
= 1 → Fatigue failure
(with x% probability)
• Load condition: 𝜎𝑎𝑖
• Application: 𝑛𝑖 (cycles)
• Corresponding life: 𝑁𝑖
• Definition of i-th damage:
𝐷𝑖 =
𝑛𝑖
𝑁𝑖
102
103
104
105 106
100
500
1000
Ni
N
a

ai

=
m

( )
ai
i
n
P 
,
𝑛𝑖
Warning: this method does not consider the loading sequence!
Fatigue
September 25, 2024
Fundamentals of Machine Design – Giuseppe Battiato 70
Endurance analysis: Palmgren-Miner rule
103
104
105
106 107
100
500
1000
N
a
 =
m

k
k
108
2k−1
k = 
According to Haibach, with variable
amplitude fatigue, the endurance limit
disappears.
An alternate stress lower than the
fatigue limit damages the component
(conservative approach).
In the case of stress amplitude varying in blocks:
𝐷 = σ 𝐷𝑖 = σ
𝑛𝑖
𝑁𝑖
< 1 → Endurance Safety Factor 𝑆𝐹𝑁 =
1
𝐷
(> 1)
The position of the
knee must be known
𝜎𝑚 = 𝑐𝑜𝑛𝑠𝑡
Fatigue
September 25, 2024
Fundamentals of Machine Design – Giuseppe Battiato 71
Endurance analysis: Palmgren-Miner rule
It was found that failure occurs when:
𝐷 = ෍ 𝐷𝑖 = ෍
𝑛𝑖
𝑁𝑖
= 1
If 𝑁𝑡𝑜𝑡 is the total number of cycle to failure (sum of all the cycles regardless the 𝜎𝑎 and 𝜎𝑚 of each loading
block), 𝑛𝑖 is a fraction of it:
𝑛𝑖 = 𝛼𝑖𝑁𝑡𝑜𝑡, with 𝛼𝑖 < 1
t

n1, a1, m1 n2, a2, m2 n3, a3, m3
𝑁𝑡𝑜𝑡
Fatigue
September 25, 2024
Fundamentals of Machine Design – Giuseppe Battiato 72
Endurance analysis: Palmgren-Miner rule
𝑁𝑡𝑜𝑡 is computed as follows:
𝐷 = ෍ 𝐷𝑖 = ෍
𝑛𝑖
𝑁𝑖
= ෍
𝛼𝑖𝑁𝑡𝑜𝑡
𝑁𝑖
= 𝑁𝑡𝑜𝑡 ෍
𝛼𝑖
𝑁𝑖
= 1 →
→ 𝑁𝑡𝑜𝑡 =
1
σ
𝛼𝑖
𝑁𝑖
If 𝛼𝑖 is know for each loading block, 𝑁𝑖 can be found from
the S-N diagram as:
𝑁𝑖 =
𝐵𝑖
𝜎𝑎,𝑖
𝑘
Therefore, 𝑁𝑡𝑜𝑡 can be finally expressed as:
𝑁𝑡𝑜𝑡 =
1
σ
𝛼𝑖
𝑁𝑖
=
1
σ
𝛼𝑖
𝐵𝑖
𝜎𝑎,𝑖
𝑘
=
1
σ
𝛼𝑖𝜎𝑎,𝑖
𝑘
𝐵𝑖
=
𝐵
σ 𝛼𝑖𝜎𝑎,𝑖
𝑘
102
103
104
105 106
100
500
1000
Ni
N
a

ai

=
m

( )
ai
i
n
P 
,
𝑛𝑖
𝜎𝑚 = 𝑐𝑜𝑛𝑠𝑡
It holds just if 𝜎𝑚 is the same
for each loading block
Fatigue
September 25, 2024
Fundamentals of Machine Design – Giuseppe Battiato 73
Endurance analysis: Palmgren-Miner rule
𝑁𝑡𝑜𝑡 is computed as follows:
𝐷 = ෍ 𝐷𝑖 = ෍
𝑛𝑖
𝑁𝑖
= ෍
𝛼𝑖𝑁𝑡𝑜𝑡
𝑁𝑖
= 𝑁𝑡𝑜𝑡 ෍
𝛼𝑖
𝑁𝑖
= 1 →
→ 𝑁𝑡𝑜𝑡 =
1
σ
𝛼𝑖
𝑁𝑖
If 𝛼𝑖 is know for each loading block, 𝑁𝑖 can be found from
the S-N diagram as:
𝑁𝑖 =
𝐵𝑖
𝜎𝑎,𝑖
𝑘
Therefore, 𝑁𝑡𝑜𝑡 can be finally expressed as:
𝑁𝑡𝑜𝑡 =
1
σ
𝛼𝑖
𝑁𝑖
=
1
σ
𝛼𝑖
𝐵𝑖
𝜎𝑎,𝑖
𝑘
=
1
σ
𝛼𝑖𝜎𝑎,𝑖
𝑘
𝐵𝑖
=
𝐵
σ 𝛼𝑖𝜎𝑎,𝑖
𝑘
102
103
104
105 106
100
500
1000
Ni
N
a

ai

=
m

( )
ai
i
n
P 
,
𝑛𝑖
(see next slide)
𝜎𝑚 = 𝑐𝑜𝑛𝑠𝑡
It holds just if 𝜎𝑚 is the same
for each loading block
1. Compute 𝜎𝐷,𝑖 from the Haigh diagram for each 𝜎𝑚,𝑖;
2. Compute 𝑁𝑖 from the corresponding S-N diagram.
Fatigue
September 25, 2024
Fundamentals of Machine Design – Giuseppe Battiato 74
Endurance analysis: Palmgren-Miner rule
Tabella I: Conteggi (MPa)
n min max  a m
1 -200 300 500 250 50
2 0 200 200 100 100
3 -150 200 350 175 25
4 0 100 100 50 50
5 -100 100 200 100 0
6 -150 100 250 125 -25
7 -100 100 200 100 0
8 0 150 150 75 75
9 50 200 150 75 125
10 -50 250 300 150 100
11 -100 250 350 175 75
12 100 250 150 75 175
13 -50 100 150 75 25
14 -100 100 200 100 0
15 -100 50 150 75 -25
16 -150 100 250 125 -25
17 0 50 50 25 25
18 100 150 50 25 125
19 50 200 150 75 125
20 0 150 150 75 75
21 50 150 100 50 100
22 0 100 100 50 50
23 0 200 200 100 100
24 -50 50 100 50 0
25 -50 0 50 25 -25
26 -50 50 100 50 0
27 50 150 100 50 100
Counting (MPa)
102
103
104
105 106
100
500
1000
Ni
N
a

ai

=
m

( )
ai
i
n
P 
,
𝑛𝑖
𝜎𝑚,𝑖 = 𝑐𝑜𝑛𝑠𝑡
𝜎𝐷,𝑖
Fatigue
September 25, 2024
Fundamentals of Machine Design – Giuseppe Battiato 75
Endurance analysis: Palmgren-Miner rule
1. Compute 𝜎𝐷,𝑖 corresponding to 𝜎𝑚,𝑖 for each loading block (𝑖 = 1,2, … .) using the Goodman
line equation.
2. Build the Wöhler diagram for each 𝜎𝑚,𝑖 and compute the constants 𝑘 and 𝐵 ;
3. Given the alternate stress 𝜎𝑎,𝑖 compute the corresponding 𝑁𝑖 using the Wöhler diagram (i.e.
the line equation in a log-log representation connecting the points F and G);
4. Apply the Palmgrem-Miner rule.
Fatigue
September 25, 2024
Fundamentals of Machine Design – Giuseppe Battiato 76
Example 1
Given the loading time history shown in the following figure:
it is requested to apply the Rainflow method and to calculate the alternate and mean stress of the loading blocks.
Fatigue
September 25, 2024
Fundamentals of Machine Design – Giuseppe Battiato 77
Example 2
A beam with circular cross section (diameter d = 14 mm) is subjected to tension/compression loading oscillation cycles according to the
following time history:
The beam is made of steel (𝜎𝑈 = 900 MPa, 𝜎𝑌 = 700 MPa, 𝜎𝐷−1 = 450 MPa).
1. From the given time history, compute the cycle fractions, 𝜎𝑖, the mean stress, 𝜎𝑚,𝑖, and the alternating stress, 𝜎𝑎,𝑖, for each loading
block.
2. Compute the fatigue limits, 𝜎𝐷,𝑖
𝑐
, for each loading block and the Basquin parameters, 𝑘𝑖 and 𝐵𝑖, only related to the damaging loading
blocks.
3. Compute the total number of cycles to failure for the component, 𝑁𝑇𝑂𝑇.
ТЛл N
7,2-106;
8ы-1ĸ-25омРаї Крогй ЦБОМРа; Ят=боомра
бт= УБМРа
р.+-
Mы=1
ЭЭ быт быт11-Уи)-25о-боо ББХ
- здмра
ыба
,р
o.г.
Бр-Но
D
В
-
ain
ĸрог
змРа
ĸрог I
т
дБт
F
1.2
бра И5омРа (
NI
2-106) ; К=4.5; бы? С
NE
3-105)
. . "
Кт-б) l
r
.i..
ОФ
l ..
t
-
ббы.
N
1.1
d
i
16.
чо чог ЧОЗ lo
4
105 3-'105
BaRN
.D
:3 B
=
BD
-F.
N2
- 4507.5.
2. 106 = 1.58-1026.
1.58-1026
r
З-05: броĸ М-В =Э
бы-1=Г в,
=
-
3105 =5-%8.д5мРа.
ДЗ бР-1=Зоомрат Дт=-еоо МРАі баĸигомра
ба AL
103,
09821) i BL
106,
85-)
n N
.
ECN
,
ч20)
ОФ
Км.
баĸ
N
=в
l e
БВК. МВ =В
Д
б К
NС-в
mre-.!!B
8
N.
Зоо..
-
МРО
N
=?
д106
блĸ
NП
= ФВК
NВ
гбыдГГ
ĸедеод1=ед(д)
ĸ= е д
едчйа!йа=
ед д
вё
=ед Тозо
Г
3оф
F
ё
3в =10.25
B
=
OĸNA=
Ю3 (бз0) 0Ш=4 626 го3!
NC
=B=з
NCF
FB
ĸ
=-
42
2
idi
= 5.88о4
ТЧ N
=5-со5,
Бр-1-доомРа; рогеБчомра, RM
=
8омро.
бт=доом
МРог
баКЛ =
SВКNВ
і
й ді ĸ
lg(а)=
ед()
K
=
1
eg',
'
o?!"1B";?
= 1
g
eg
't..:"sioso,-I.,
62 = 5-8-7.
бад
N=
Б
pyК.
2.108; баГ
Бь.ĸ
8
5
0,:0" = 253. 27 МРа
СДН
бал
Ятегео мРа.
Im
2ĸро
l ГБР
боддй
ди=1
барн
b
Д
A 1
-
Ф D
-2
m-Крог
20
d
2"
po.n."
Qmi
.
бт
8ы= б
aр-(е--
".)=253.
27. --
2од
8%0) =
1до. 7з мРа.
баĸ1 домра=) бт=омра
FE
1.5
otched
.
ба=вомра Ke
-д;Q=
O
..
=3 (
Consant
average sresst alternal sress
sarying
)
бар-домерат ФДР=О
Ks
=
1
tg/ke-1)
= 1.7. : CL
=O.7
ГЭ
бал
SF
=
а
a!
=Э 8р-9= 3.80 = дномРе.
BD
-1.
-
G.EEGDD-
-0.7,?
Бр-Ф К
S.
80
N.
O
р-1-
Кр-бо- =Б8гдмРа
ОЭ
8 а
дБт
Rm
.
ДХ СБы-= веом
Pа,
Дт=воо мРа; R
рогеч60
мра)
бтахт Збомраї бтипг домРа; spez
%OOMPa.
SE
=?
(
om
conse
?
бтах-бтии =БомРа
баĸ
2
бал
бы
бтах1от здомра
Абы Д
Ф
8
'
aто
бТР= бт+ б8р= Эвоо МРА
f а
S
4=Iм.M,"
= 80 =д.
-
tlo
2
m
ббт
г=-ббт-
в. гОн
$
H
d
=30mm;
MM
=
GooNm
:
Ma
=
200 Nm
:
Дт=вооо МРой Дрога Доо МРат Фр--воомра
(2а -дит)
бт= -дд= дуі W
у=БДВ2
взоттв абчдитв
Зд
Im
:
z
64g"m
"n"m
= 226.5мРа; баĸ
Эод
гойдоим"т"з= 4Б.-Б мРА
CS
=0.87;
CE
=
0.95.
бр.Ф=С
S.
Сĸ. Бы-1= О.8Эх оФБх боо= ИВБ. Ф МРа
Аба
8,.+дтэв 81+-"
m-1
байб2ĸ-Дт)
вёĸн
a
8ъ.-Х=495,6м
P.
О
би
E
3
Baz rom
.
t
-i-'t=
de
.
E
p X
о
дрог
iт
бы
m
ввĸЕ"и =1
S
Г+
(.-ри)-ава?
Бб.я+йвин
58
p8,9t-т%1
agiEt
-"+1
=Э
б?-ми =1. гзЗ
Im
(
et
E
)=1
бт= ?Йфб003
2.8 D
=25mm;
d
=
D
0mm;
P
=
Qmm
;
MzmI 20 Nm Nmin
-10oooN
MEmax 55
Nm
Nmax
-.
30000 N
.
R
т=нво
мРАї Дроге двомра.
б12 идомра Раĸ грет JSE
=?
MSAF 37.5-103
Nmm
Wf
=I
1,02
= -
985
mm3;
А=-
ПФ"=- 314ты? l MS
1
OF
17.5-103 Nmm
.
Nm = - 2000
ON
ТКат
ха =аэ-адмра.
m
We Naz heoco N
.
L
о
быт -
М =
чтэмРа
блаĸ -а = 31.84 мрат бетĸ -
Им =б3эмРо.
tension
-
compression
l
Кр
Bending
.
ЕС
Md=
0-1 53 Ke
=1.7i
9=0-9 О=О.8
5Э КЕ= 165.
Dlo
=
1.25 F
=1+
Q
(ke-1)
= 1.58.
KC
=K+QLkt-
1)= 1.63.
CSE 0.93 CLz
1
CL
=O.4
; CF
=
ОФ3
CF
=
0-03
CSE
1
dmneg
=
Kyudmte I
'ks5ms
=
1.63463.7)+ 1.58. 47.+=-28.46
МДА
баяфэ-Кр .ядё +Кё-
ая
=дымра
s
-eъя!+
"т
=4.3?.
бы-1=48омра
8.
E=
BA
--CS.CECL'
й.
r
=
89
m=
4.2.
M
.
=480. О.Ф3. 0.ФЗ
D = 415 мРо,
Id
Дёт
-2
m-Ерoг
дрог. Эт
бы =ль-У С.-".) = иг5 мРа SE =4
S
5
= 4.42.
Б
.0 D
=25mm,;
Mt
=
250
Nm;
Ken
=15;
K
++=
1.9; O
09
R
т=
НеомРа) был= 480 MP
а
" CF
=1,
CS
=1.
i SFE
?
kgn = I
+
glken
-1)
= 1.45; KS
5=H+
QCKE
-1)=
1.81
WE
=
IРo"=
3066.4 тт3;
Та=-ий8л5з мра.
n
балат-Г-
(ĸе- 80.80"
+ ĸ
S5
ба+)"
+3/ĸу+Ха) - БЗ КЛХат РББ 6 МРе.
бал
8р= 8
D-1
CS
-
CF
-CH
=480 мра
э
m
бре;
Lя
&
meqro;
SE
=I
ё'м! =
- 5850: = 1.822
МФ
O
Rim
r
бот
По
W
5=T
021= 5384,3
mmb
FS
2.JRN;
VBE
.5KNCA
МРФ СК)
Фв
MSB
=
4
i5ONm
=
Fl.
Rouing
bending 5 7т=о
450 103
Nmm
баĸ
=-=
83.54 мра.
5384. З тт3
CCz
1
(
bending)
CS
=0.85
(
diagram,
d
=38
mm
?
8
x4=81
1
CYsF;
CF
=
0,951 diagram
,
Ra
=1.
6
pem,
Rm
=g0о
MP
о)
rId
=
to
5mm
/38
mm=
0.04:
Plo
=1.18
JKe
-2.2
diagram or
4:
ГР=
0.25.
Фт
ТЕ
80.81
KS
=
1+ QLKe
-1)
E
1
98 Б
8Б%=
I085-0.05.
ЧБ0 МРа
= 183.52
1.98 МРА
бал
Rm
SF
=
-8*м
i=
-
18352мра = днФ
Rpo
г.
бодй?олви
ДЗ Б7 МРа
бёт
1.
ll
l
Сто
symmetric =3
We
=I
10613 =0156 6.29
mm3;
WS
=
F 381=
45Э781 nm
3;
че= М ё
=54бмра; бу=-Б 76. 45мРа
bending . PId
=
0.055;
Plok
=
1.11 Е К
eLb=1.8=)
К
+
D=1.-42
r
=
J
Ktt =
1.2=7
K 6
t-
1-18
torsion
:
r
бысат ГИ
(КаФ.85+-
Керрбару -(ĸречер ЛЭ МРА
$
A-E=
CLCSCFSP
-1
= 43043
MPa.
:
J
SE
=-аPайса+
2.5)
DT
J
25=-0.86 CO
.G
О
1ла
r
1
I
.ё-1У
2
B 8
OSabee
verifecation
.
Ат
ax=
бт+ бы = БомРа
Убтах-воомРа
бтаĸх б
Fтt
бат= Бомра
Хта
Гх =
Хт+ Хаĸ Бомра
deg
т
Mn
dma
,
B
(tma
.) = 132. 28 MPa
.
Fs
(sane)=
ed
,
= 6.65
(
TRESCA)
Оĸандис verca
нoл.
бый зомра; бай=омРа
бе= омРаі батĸ Бомра
Ите золера; Хай домра
CS
-
O
.87;
CF
-0.88;
$
B.C=
CS
.CE
BA
-1E
344.52
MPa
09; PId
=
01: DId
-15
tension
-
КЕ= 1.д, 1+*=++ ф(ĸё
Nл)
= 1.89
co
тpressон
Dending ; К
E
= 1.67 =) K
5F=1+Q(KE
() =
1,603
I
orsion
.
Ke =1.45 =
J
FF
-1+Q/КE-17=
1.-405
O
'mea=V
(
RN8MI4
К
Eб)'+3(ĸй
С
mp
I
T
Г
(1.81-Б0+1б03 о
r+
3(1-4о5-зо%=нь. дэмРа.
бала-
(ĸ.
M-8.8,"+
49
F
б
ax)4
3
CKIta)
=
7
Г
.8ТБ
Р85
t
в-6оз Бор2 + ЗС1, Чо5. дор =ФЗ. 4+ мРе
бал
баданД
дед= БС
Arn
R
рог
SE
=
2.58 22.6
Оий Обея
(р
o2.
Шт
Т.У3
k
8
n
O
ĸN=в
lz
Г
бэ-т - -
-
-
-
-
8
5
Jr
.N=в
=3
F(8j10%,
8838..) 2-106
К
Llо3,
08. 600) =
(103, Б40)
Бчой тоз=В E
)
5чоĸ. Хо3 = 258ĸ. а 1063
Lгзо4 атоб=в
E
52500)"
=
24103 i
ĸeg(й
548)= &
g(2103)
K
=
9.87
в =5400.87 103 = д.3%0г9
L
1=
Ny
'-008;
Jai
-
"? -0.24
;/23=-"3
= 0 4
aн-ао8
дО
б5э-доомра
бу=цзомра.
бгĸ звомра бз-зомра Биĸголёра lД5-=о.2
Baize S
б5сбр-1
По
t
заĸенпто ассон
д""?*""л
a".??,"%J
Е
""?:!-*
еатб,ĸэв ж
w
theoretical numberof cycles
IN
=E
вай
астиоя го
b B
2
5
ло,ĸ+ат
- баїтазазі+Пибе =О
44334
Ne
=
БВ,ĸ = 6047. N
г-
F Вĸ =32081; Nz = 239313 ;
N
4=
462206; N
5
=180 4354
SE
=4ї
авн +-
ба"т=1
Р=-Брт! баэ гбт.
Ба1 Im
(tb-
tIm
)=1
B
бат
.
Ф
бася i
бтт
Гбоём
O
бтбт sm
I
баĸ r
оm=
в?,
дибыт
вБи"РУнт
-

Stress_concentration_fatigue_mechanical_

  • 1.
    TURIN POLYTECHNIC UNIVERSITY INTASHKENT giuseppe.battiato@polito.it GiuseppeBattiato giuseppe.battiato@polito.it Fundamentals of Machine Design Stress concentration September 18, 2024 щ s Oa
  • 2.
    Stress concentration September 18,2024 Fundamentals of Machine Design – Giuseppe Battiato 2 Stress raiser • A stress raiser is a region in a structural component where the stress is significantly higher than in neighboring regions, and a stress concentration occurs. • Stress concentration results from discontinuities in the geometry of a structural component in a relatively small area. Typical examples of such geometric discontinuities are holes, notches, grooves, fillets, threads, and even tool marks. Single notch Thick element with hole Circumferential groove in shaft Shoulder fillet in shaft Bolt and nut Tool marks Drawings: Pilkey, Walter D., Deborah F. Pilkey, and Zhuming Bi. Peterson's stress concentration factors. John Wiley & Sons, 2020. https://www.blum-novotest.com/us/products/measuring- components/surface-roughness-gauges/tc63-rg-single/ Поче h-насегна, выемĸа борозза
  • 3.
    Stress concentration September 18,2024 Fundamentals of Machine Design – Giuseppe Battiato 3 Stress raiser Stress raiser: a change in the cross section of a member in a relatively small area. • Changes in section or shape are unavoidable since these result from design, machining and assembly necessities. • Any discontinuity in a machine component alters the stress distribution in nearby regions so that the actual stress state can no longer be described by De Saint Venant's theory (beam theory) in the vicinity of that discontinuity. • Because of the stress raiser the maximum stress in the reduced (notched/net) cross-section is higher than the nominal one, and a stress concentration occurs in the regions close to the stress raiser. Reference: M. Rossetto - Introduzione alla fatica dei materiali e dei componenti meccanici - Levrotto & Bella - Torino - 2000 Rolling bearing Rolling bearing Shaft Gear Groove Shoulder Splines : Кĸ ооĸе-лаз, жёлоб N - t
  • 4.
    Stress concentration September 18,2024 Fundamentals of Machine Design – Giuseppe Battiato 4 Stress raiser • Several components, for functional reasons, have a shape that causes local notching effects. • Efforts are made to minimize the severity of the notch by using wide fillet radii, as much as possible. • However, as shown in the sketches in the figure, it is often not possible to avoid sharp changes in shape, and the local stress can reach values 3 to 4 times higher than the nominal stress. Keyway Gear teeth Shoulder Threads Knurling Holes Днаĸатĸа
  • 5.
    Stress concentration September 18,2024 Fundamentals of Machine Design – Giuseppe Battiato 5 Stress raiser Nominal stress 𝜎𝑦𝑦 𝑛𝑜𝑚 𝜎𝑦𝑦 𝜎𝑥𝑥 𝜎𝑦𝑦 𝑚𝑎𝑥 𝜎𝑥𝑥 • In the case of a circular hole (small compared to the size of the plate), the stress concentration factor is 3: 𝜎𝑦𝑦 𝑚𝑎𝑥 = 3𝜎𝑦𝑦 𝑛𝑜𝑚 • In more complex cases, diagrams are used to determine the stress concentration factor based on the type of applied load and the geometric features of the notch.
  • 6.
    Stress concentration September 18,2024 Fundamentals of Machine Design – Giuseppe Battiato 6 Notch effect – Tensile load on a shaft with a groove • The groove is responsible of the notch effect. • Without the groove the tensile stress acts in the x (axial) direction only, it is constant in magnitude and uniformly distributed over cross section. The nominal stress in the notched cross-section is computed as: 𝜎n = 𝑃/𝐴, where 𝐴 = 𝜋𝑎2 is the notched cross section area (net cross-section). • Because of the groove the nominal stress distribution changes: ▪ The stress state becomes tri-axial with components (x, r, t). ▪ The maximum normal stress in the notched component becomes higher than the nominal stress (𝜎𝑥 𝑚𝑎𝑥 > 𝜎𝑛). • The stress state depends on the geometry parameters (cross- section radius a and fillet radius ) and loading mode. • Because of the notch effect the stresses distribution exhibits peaks in proximity of the surface where the fatigue process is more aggressive (fatigue is the next topic). Nominal stress The maximum stress component 𝜎𝑥 𝑚𝑎𝑥 = max(𝜎𝑥) in the notched cross section has the same direction of the nominal one (𝜎𝑛) . . O w w O 0 . Д
  • 7.
    Stress concentration September 18,2024 Fundamentals of Machine Design – Giuseppe Battiato 7 Notch effect – Stress components in the net cross-section perimeter 𝑑𝑟 𝑑𝑡 𝑑𝑥 𝑟 𝑡 𝑥 𝜎𝑥 𝜎r 𝜎𝑡 𝜎𝑥 𝜎𝑟 𝜎𝑡 𝑥 𝑟 𝑡 𝑎 Net cross-section perimeter
  • 8.
    Stress concentration September 18,2024 Fundamentals of Machine Design – Giuseppe Battiato 8 Notch effect – Stress components along the groove profile 𝜎𝑢 𝜎𝑢 ≡ 𝜎𝑥 Direction tangent to the groove profile. Direction tangent to the groove profile and parallel to x. Groove profile 𝑟 𝑥 𝑢
  • 9.
    Stress concentration September 18,2024 Fundamentals of Machine Design – Giuseppe Battiato 9 Notch effect – Stress components Circumferential notch Tensile axial load Twisting moment
  • 10.
    Stress concentration September 18,2024 Fundamentals of Machine Design – Giuseppe Battiato 10 Notch effect – Stress components Plane notch Tensile axial force Bending moment d: thickness (direction ꓕ xr plane)
  • 11.
    Stress concentration September 18,2024 Fundamentals of Machine Design – Giuseppe Battiato 11 Notch effect - Experimental evidence Experimental evidences (photoelasticity) The presence of stress raisers can be revealed by experimental methods, e.g. photoelasticity. Hydrodynamic analogy • The stress fringes detected by the photoelasticity can be thought as the flow lines of a stream. • In the notched section a concentration of flow lines (fringes) occurs, i.e. the number of fringes per unit area increases. • The concentration of photoelastic fringes near a notch indicates a sharp increase in stress at the notch location. Stress concentration
  • 12.
    Stress concentration September 18,2024 Fundamentals of Machine Design – Giuseppe Battiato 12 Stress concentration From the experimental tests available in the technical literature, it can be noted that: • The stress distribution that would occur without the notch does not coincide to the stress distribution in net cross-section in the notched region; • The largest stress component in the net cross-section has the same direction (x in this case) of the nominal stress in the absence of notch (but amplitude is larger); • The stress distribution in the presence of notching reaches the maximum amplitude in the net cross-section at the outer surface of the notched region. The stress raising effect in the net cross-section in the vicinity of the notch depends on: • Geometry • Loading mode Stress distribution at the smallest (net) cross-section ( ) Tension Bending x x x x
  • 13.
    Stress concentration September 18,2024 Fundamentals of Machine Design – Giuseppe Battiato 13 Stress concentration factor in statics Net cross-section The effect of the variations induced by the stress raisers is taken into account by the theoretical (or geometric) stress concentration factor 𝐾𝑡. 𝐾𝑡 = 𝜎𝑚𝑎𝑥 𝜎𝑛 = 𝜎𝑥 𝑚𝑎𝑥 𝜎𝑥 𝑛𝑜𝑚 d D z r F F r n z s s n c s s n r s s n s s 3 2 1 2 d 4 p s F n = x Nominal stress 3 2 1 2 d 4 p s F n = 𝜎 𝜎𝑛 𝜎𝑥 𝜎𝑛 𝜎𝑡 𝜎𝑛 𝜎𝑟 𝜎𝑛 𝜎𝑥 𝑚𝑎𝑥 𝜎𝑛
  • 14.
    Stress concentration September 18,2024 Fundamentals of Machine Design – Giuseppe Battiato 14 Stress concentration factor in statics The theoretical stress concentration factor (or geometric stress concentration factor) 𝐾𝑡 : • Is the ratio between the amplitude of the maximum stress in the net cross-section (𝜎𝑚𝑎𝑥) and the nominal one 𝜎𝑛. Note that 𝜎𝑚𝑎𝑥 has the same direction of 𝜎𝑛. • It can be used to estimate the actual maximum stress in the net cross-section in the notched region if the De Saint Venant nominal stress 𝜎𝑛 is known. • The stress state in the notch can be obtained by experimental (photoelasticity, strain-gages, brittle coatings) or numerical (finite elements method, boundary elements method) analyses. • It depends on the notch geometry and the loading mode. • 𝐾𝑡 can be obtained from published tables and charts: R.E. Peterson, Stress Concentration Factor, Wiley, 1974 W.D. Pilkey, D.F. Pilkey, Peterson’s stress concentration factors, Wiley, 2008
  • 15.
    Stress concentration September 18,2024 Fundamentals of Machine Design – Giuseppe Battiato 15 Stress concentration factor evaluation Evaluation of the stress concentration factor 𝐾𝑡 is carried out: • By analytical methods - The initial studies were conducted by Kirsch, who in 1898 investigated the stress distribution around a hole in a very large plate (an infinite plate). A significant contribution followed from Neuber around 1930. Unfortunately, closed-form analytical solutions are not available for most geometries. • By numerical methods - With the Finite Element Method (FEM), approximate solutions can be obtained. A more recent and interesting numerical method is the Boundary Element Method (BEM). • By experimental methods - Experimental methods such as photoelasticity, strain gauges, and brittle coatings can provide valid results, provided the structure remains within the linear elastic range. However, these methods have limitations, as they cannot accurately evaluate the secondary stress components (𝜎𝑡, 𝜎𝑟).
  • 16.
    September 18, 2024 Fundamentalsof Machine Design – Giuseppe Battiato 16 Radial Axial Circumferential Axial Circumferential Radial Stress concentration Notched bar in tension: FEM solution Nominal stress 3 2 1 ad 2 F = 𝜎 𝜎𝑛 𝜎𝑥 𝜎𝑛 𝜎𝑡 𝜎𝑛 𝜎𝑟 𝜎𝑛 𝜎𝑥 𝑚𝑎𝑥 𝜎𝑛 a a 𝜎𝑛 r r r r
  • 17.
    Tension Bending Torsion Stress concentration September 18,2024 Fundamentals of Machine Design – Giuseppe Battiato 17 Stress concentration factors: shaft with shoulder fillet 𝜎𝑛 = 𝜎𝑎𝑣𝑔 𝜏𝑛 = 𝜏𝑎𝑣𝑔
  • 18.
    Stress concentration September 18,2024 Fundamentals of Machine Design – Giuseppe Battiato 18 Stress concentration factors: grooved round bar Tension Bending Torsion 𝜎𝑛 = 𝜎𝑎𝑣𝑔 𝜏𝑛 = 𝜏𝑎𝑣𝑔
  • 19.
    Tension/compression Bending Stress concentration September18, 2024 Fundamentals of Machine Design – Giuseppe Battiato 19 Stress concentration factors: bar (plate) with a transverse hole 𝜎𝑛 = 𝜎𝑎𝑣𝑔
  • 20.
    Stress concentration September 18,2024 Fundamentals of Machine Design – Giuseppe Battiato 20 Stress concentration factors: rectangular bars Rectangular filleted bar Notched rectangular bar Tension/compression Bending
  • 21.
    Stress concentration September 18,2024 Fundamentals of Machine Design – Giuseppe Battiato 21 Stress raisers influence • The geometry of a stress raiser is described by dimensionless parameters: 𝐷/𝑑, 𝑟/𝑑, etc. • 𝐾𝑡 (dimensionless) depends only on the component proportions (shape) and not on its absolute size. • If 𝑟 → 0 (inner notch radius) 𝐾𝑡 → ∞ (as well as maximum stress); physically it cannot happen because the material will be over its yield limit: stress redistribution will lower local peaks. • Stress peaks due to stress raisers will be different depending on the material, whether brittle or ductile.
  • 22.
    Stress concentration September 18,2024 Fundamentals of Machine Design – Giuseppe Battiato 22 Stress redistribution in notched components made of ductile material Suppose the tensile load P is gradually increased: due to the presence of the notch, the material at the notch edge (A) reaches its yield strength first. As a result, the neighboring material (B) must take on more of the load. As P continues to increase, point B will also begin to yield. Final failure occurs when the furthest point from the notch (C) reaches its yield strength. At this stage, there is no remaining reserve of material operating in the elastic range, and the component fails with any further small increase in P P P h R eH R eH R a) b) R c) d) eH eH B A C 𝜎𝑌 𝜎𝑌 𝜎𝑌 𝜎𝑌 P is increasing from a) to d)
  • 23.
    Stress concentration September 18,2024 Fundamentals of Machine Design – Giuseppe Battiato 23 Stress redistribution in notched components made of ductile material • For a ductile material failure is represented by the condition for which at least one point of the net cross-section gets yielding (𝜎𝑚𝑎𝑥 = 𝐾𝑡𝜎𝑛 = 𝜎𝑌). For such a condition the point of greatest interest in the cross-section is A. • If for a component made of ductile material a limited plasticization is allowed around the notch, failure corresponds to the conditions for which the stress at all points in the net cross- section reach the yield limit 𝜎𝑌 after the stress redistribution (𝜎𝑛 = 𝜎𝑌). In this case the point of greatest interest is C. • If the material is brittle, it is sufficient for the stress in A to reach the ultimate strength to have failure (𝜎𝑚𝑎𝑥 = 𝐾𝑡𝜎𝑛 = 𝜎𝑈).
  • 24.
    Stress concentration September 18,2024 Fundamentals of Machine Design – Giuseppe Battiato 24 Static verification of notched components 1) Identify the net cross-section in the notched region: 2) Compute the nominal stress in the net cross-section due to the applied load using the classic formula from the De Saint Venant’s theory; 3) Identify the relevant dimensions of the notch, the notch geometry, type of the applied load and find from the diagrams the stress concentration factor 𝐾𝑡; 4) Compute the actual (maximum) stress as 𝜎𝑚𝑎𝑥 = 𝐾𝑡𝜎𝑛 and compare it to the strength of the material, either 𝜎𝑌 (or 𝜎𝑃02) or 𝜎𝑈 for ductile and brittle materials, respectively.
  • 25.
    Stress concentration September 18,2024 Fundamentals of Machine Design – Giuseppe Battiato 25 Static verification of notched components made of brittle material Warning: static verification for brittle materials requires to multiply the nominal stress in the net cross-section by the stress concentration factor! This is because when 𝜎𝑚𝑎𝑥 gets the limit 𝜎𝑈 small cracks might suddenly generate at the net cross-section on the component surface. Brittle linear elastic material (A < 5%) Tension 𝜎𝑚𝑎𝑥 = 𝐾𝑡𝜎𝑛 < 𝜎𝑈
  • 26.
    Stress concentration September 18,2024 Fundamentals of Machine Design – Giuseppe Battiato 26 Static verification of notched components made of ductile material: uniaxial loading without gradients Conventional verification in the case of ductile failure and nominal state of stress without gradient: • Initial yielding (b): 𝜎𝑚𝑎𝑥 = 𝐾𝑡𝜎𝑛 < 𝜎𝑌 (or 𝜎𝑚𝑎𝑥 = 𝐾𝑡𝜎𝑛 < 𝜎𝑃02). • Full yielding (d): 𝜎𝑛 < 𝜎𝑌 (or 𝜎𝑛 < 𝜎𝑃02 )→ in this case 𝜎𝑛 is multiplied by 𝐾𝑡 = 1. • Ductile failure (not represented in the figure): 𝜎𝑛 < 𝜎𝑈. • Ductile linear elastic material (A > 5%) • Non-strain-hardening P P h R eH R eH R a) b) R c) d) eH eH 𝜎𝑌 𝜎𝑌 𝜎𝑌 𝜎𝑌 𝜎𝑌 𝜎𝑈 𝜎𝑈 𝜎𝑃02 𝜎𝑌 𝜎𝑈 𝜎𝑃02 Ductile material with yielding Ductile material without yielding
  • 27.
    Stress concentration September 18,2024 Fundamentals of Machine Design – Giuseppe Battiato 27 Static verification of notched components made of ductile material: uniaxial loading with gradients • Ductile linear elastic material (A > 5%) • Non-strain-hardening Bending moment (𝑀𝑥 ′ ) corresponding to initial yielding (rectangular section): Bending moment (𝑀𝑥 ℎ ) corresponding to the formation of a plastic hinge: Full yield occurs when: 𝜎𝑛 = 1.5𝜎𝑌 𝜎𝑧𝑧 𝑚𝑎𝑥 = 𝐾𝑡𝜎𝑛 = 𝜎𝑌 = 𝑀𝑥 ′ 𝐼𝑥𝑥 ℎ 2 = 𝑀𝑥 ′ 𝑏ℎ3 12 ℎ 2 = 𝑀𝑥 ′ 𝑏ℎ2 6 → 𝑀𝑥 ′ = 𝜎𝑌 𝑏ℎ2 6 = 𝐾𝑡𝜎𝑛 𝑏ℎ2 6 = 𝐾𝑡𝑀𝑥 Re Re y z y z 𝜎𝑌 𝜎𝑌 h/2 𝜎𝑌 𝑏ℎ 2 𝑀𝑥 ℎ = න 𝐴 𝜎𝑦𝑑𝐴 = 𝜎𝑌 𝑏ℎ 2 ℎ 2 = 𝜎𝑌 𝑏ℎ2 4 = 𝜎𝑌1.5 𝑏ℎ2 6 = 𝜎𝑛 𝑏ℎ2 6 𝑀𝑥 𝑀𝑥 𝑀𝑥 ℎ 𝑀𝑥 ℎ
  • 28.
    The same holdsfor circular sections: • Conventional verification of ductile failure in components subjected to bending: • For the conventional verification of component subjected to torsion the Tresca criterion is considered: 𝜎𝑖𝑑 𝑇 = 𝜎1 − 𝜎3 = 2𝜏𝑛 < 𝜎𝑈 Stress concentration September 18, 2024 Presentation Title 28 Static verification of notched components made of ductile material: uniaxial loading with gradients 𝜎𝑛 < 𝜎𝑈 𝜏𝑛 = 𝜏𝑥𝑧 = 𝑀𝑡 𝐼𝑃 𝑟 𝑀𝑡 𝑀𝑡 y x z 𝜏𝑥𝑧 Principal stresses (Mohr’s circles): • 𝜎1 = 𝜏𝑛 • 𝜎2 = 𝜎𝑦𝑦 = 0 • 𝜎3 = −𝜏𝑛
  • 29.
    Stress concentration September 18,2024 Fundamentals of Machine Design – Giuseppe Battiato 29 Static verification of notched components made of ductile material: multiaxial loading Maximum stress components at the stress raiser: • 𝜎𝑁 𝑚𝑎𝑥 = 𝐾𝑡,𝑁𝜎𝑛,𝑁 Tension/compression • 𝜎𝐵 𝑚𝑎𝑥 = 𝐾𝑡,𝐵𝜎𝑛,𝐵 Bending • 𝜏𝑚𝑎𝑥 = 𝐾𝑡,𝑇𝜏𝑛 Torsion • Conventional initial yielding verification: 𝜎𝑖𝑑 𝑉𝑀 = (𝜎𝑁 𝑚𝑎𝑥 + 𝜎𝐵 𝑚𝑎𝑥 )2+3(𝜏𝑚𝑎𝑥 )2 < 𝜎𝑌, 𝜎𝑃02 • Conventional full yielding verification: 𝜎𝑖𝑑 𝑉𝑀 = (𝜎𝑛,𝑁 + 𝜎𝑛,𝐵)2+3(𝜏𝑛)2 < 𝜎𝑌, 𝜎𝑃02 • Conventional ductile failure verification: 𝜎𝑖𝑑 𝑉𝑀 = (𝜎𝑛,𝑁 + 𝜎𝑛,𝐵)2+3(𝜏𝑛)2 < 𝜎𝑈 Warning: secondary stresses are unknown! 𝜏 𝜎𝑁 + 𝜎𝐵
  • 30.
    Stress concentration September 18,2024 Fundamentals of Machine Design – Giuseppe Battiato 30 Multiple stress raisers – combination of effects Stress raisers of similar size 2 1 t1,2 t t K K K = ( ) 2 1 2 , 1 2 t1, max t t t t K K K K K   ( ) 2 1 2 1 2 , 1 4 1 1       − − +  b d K K K K c t e t c t t One stress raiser much smaller than the other Approximate formula
  • 31.
    Stress concentration September 18,2024 Fundamentals of Machine Design – Giuseppe Battiato 31 How to relieve stress concentrations?
  • 32.
    Stress concentration September 18,2024 Fundamentals of Machine Design – Giuseppe Battiato 32 How to relieve stress concentrations?
  • 33.
    Stress concentration September 18,2024 Fundamentals of Machine Design – Giuseppe Battiato 33 Example 1 A plate made of S355 EN 10027/1 (𝜎𝑌 = 355 MPa, 𝜎𝑈 = 510 MPa) with the dimensions shown in the figure is subjected to a transverse load of P = 8000 N. With reference to the notched section, calculate the safety factors for ductile failure and initial yielding. Thickness 20 mm O .. T is -vine - L . l i , Oll 10.12 093 ОДП
  • 34.
    MX = P .C- 8000 N. 0.2 m = 1600 Mm Sezn= jxZ ; Ixx - TI(Romm) - (&0 mm)3=- 8.53- 105т m4 б n: в00зтт"иЧотт = БМРА 118 =0125 2=10 mmi b = 80 mmi tth = 120180 =1.5 ĸ e=14; СО (*)тах = К + Ф=ч. = 1.-. +5 мра=От,Бмра. дБМмРара 2.78 Fs = T.zTmax-=
  • 35.
    Stress concentration September 18,2024 Fundamentals of Machine Design – Giuseppe Battiato 34 Example 2 The 2-mm-thick bar shown in figure is loaded axially with a constant force of 10 kN. The bar material is brittle. It is desired to drill a hole through the center of the 40-mm face of the plate to allow a cable to pass through it. A 4-mm hole is sufficient for the cable to fit, but an 8-mm drill is readily available. Will a crack be more likely to initiate at the larger hole, the smaller hole, or at the fillet? H - =Ш y V Q ole d =8mm b =Rmm; Ne = ( W-d1) B = 3 2 m m2 mm = 64 mmn?
  • 36.
    баэ,пот- Г. =-ёй"иг= 156. 25мра. I.= о = 5= 0.2. 8 K 4= 2.5 баэ,мах =ĸн. ваепом= Здо бамро Qtole o = Umm . P 2= (W-$)b = 36 mm.-Zmm? 72 mm? ' zx,nom= 2 E -"m " m? E =438. 88 mPe .. "=8. =01 73 Ke 2E 265. (022 Imax = K +z-BzZn = 2.654 138. 88 MPa = 368 MPa .
  • 37.
    Tielet ; 13= W 2D= 34 mm. 2 mm=68 mm 2 быгЕ Пз= 8мПтг=1Чт оБ мРа. ro = 13" y= 003; DIO = NINZE 4 O / B4= 1.1. КеД 265 (бартах= Кеби= 382 гмРа.
  • 38.
    Stress concentration September 18,2024 Fundamentals of Machine Design – Giuseppe Battiato 35 Example 𝜎𝑛 = 𝐹 𝑤 − 𝑑 𝑡 𝜎𝑛 = 𝐹 𝑑𝑡 Bar in tension or simple compression with a transverse hole Rectangular filleted bar in tension йй
  • 39.
    TURIN POLYTECHNIC UNIVERSITY INTASHKENT GiuseppeBattiato giuseppe.battiato@polito.it Fundamentals of Machine Design Fatigue – part 1 September 23, 2024 А зоон Фн
  • 40.
    Fatigue September 23, 2024 Fundamentalsof Machine Design – Giuseppe Battiato 2 The fatigue phenomenon • From experimental tests it was observed that the application of time-dependent loads, particularly if they are cyclic loads, induces a failure in mechanical components even if the maximum stress is lower than the yield stress (𝜎𝑌) for ductile materials or lower than the ultimate tensile stress (𝜎𝑈) for brittle materials. • Such a phenomenon is referred to as fatigue, and the failure process that this induces is known as fatigue failure.  t 𝜎(𝑡)
  • 41.
    Fatigue September 23, 2024 Fundamentalsof Machine Design – Giuseppe Battiato 3 The fatigue phenomenon: cyclic loading • During rotation, the cross-section points experience the stress values typical of the stress distribution due to bending. This means that each point of the cross-section (except for the centre) is cyclically stressed. • A time-varying load or a time-constant load applied to components subject to cyclic motions (such as rotation) are typical conditions for the occurrence of fatigue. t 𝜎𝑍𝑍(𝑡) 𝑡 𝑍 𝜎𝑧𝑧 𝑚𝑎𝑥 𝜎𝑧𝑧 𝑚𝑖𝑛 𝛺 Railway tracks Wheels Axle Example: train axle
  • 42.
    Fatigue September 23, 2024 Fundamentalsof Machine Design – Giuseppe Battiato 4 The fatigue phenomenon: definition ASTM (American Society for Testing and Materials) definition: the process of progressive localized permanent structural change occurring in a material subjected to conditions that produce fluctuating stresses and strains at some point or points and that may culminate in cracks or complete fracture after a sufficient number of fluctuations. (ASTM E 1823 - 2002) The fatigue phenomenon is: • Permanent: it means that it not reversible, in other words there is not a recovered stage of the damage. • Progressive: each subsequent loading cycle add a new damage to the material until the final failure occurs. • Localized: fatigue affects a specific region, and it can lead to the progressive failure of the components. It is not a general material properties degradation, like an ageing in plastics or rubber. However, the damage occurrences are not easily detectable. С - .
  • 43.
    Fatigue September 23, 2024 Fundamentalsof Machine Design – Giuseppe Battiato 5 Fatigue analysis approach The study of fatigue is usually based on two different approaches: • Microscopic approach: it examines the phenomenon in detail by analyzing the metallurgical and structural changes in the material. • Phenomenological approach: it tries to give tools to the designer to: - Avoid fatigue failures; - Evaluate endurance of the component before the occurrence of dangerous failures. The presence of stress concentrations due to stress raisers (notches, grooves, etc.) strongly affects the fatigue strength (and the endurance) of the components.
  • 44.
    Fatigue September 23, 2024 Fundamentalsof Machine Design – Giuseppe Battiato 6 Loading (stress) cycle definition Consider a periodic loading occurring at a certain frequency. The definition of loading cycle requires: • 1 time parameter or number of cycle, N; • 2 amplitude parameters, related either to strain or stress (UNI 3964-85). 𝜎 𝑡 5
  • 45.
    Fatigue September 23, 2024 Fundamentalsof Machine Design – Giuseppe Battiato 7 Loading (stress) cycle definition: stress parameters 2 min max    + = m 2 min max    − = a     a 2 min max = − =    max min = R   min , max   m a a R = Any of the following couples can be used a a a R R R R R R + − = + − = 1 1 1 1 Relationships between the stress ratio and the amplitude ratio: Maximum stress – Minimum stress Average stress (or mean stress) Stress amplitude or Alternate stress Stress range Stress ratio Amplitude ratio  
  • 46.
    Fatigue September 23, 2024 Fundamentalsof Machine Design – Giuseppe Battiato 8 Loading (stress) cycle definition 𝜎 Alternate symmetric R=-1 Fluctuating tensile 1>R>0 Pulsating tensile R=0 Pulsating compression R=- Fluctuating compression R>1 t   max min = R Stress ratio ДГ бтах жим O бтттбО Аёгд мур- бтах бтахо бтат d "min Быт n. бтюд авти 8 бт in
  • 47.
    Fatigue September 23, 2024 Fundamentalsof Machine Design – Giuseppe Battiato 9 Fatigue failure mechanism The fatigue failure mechanism is characterized by three main stages: Stage 1: crack nucleation at the component (specimen) surface. It is the initiation of one or more microcracks due to cyclic plastic deformation followed by crystallographic propagation extending from two to five grains about the origin. Stage I cracks are not normally discernible to the naked eye. Stage 2: crack growth inside the component. It progresses from microcracks to macrocracks forming parallel plateau-like fracture surfaces separated by longitudinal ridges. Stage 3: Unstable propagation and failure. It occurs during the final stress cycle when the remaining material cannot support the loads, resulting in a sudden, fast fracture. N w w граспознываемый
  • 48.
    Fatigue September 23, 2024 Fundamentalsof Machine Design – Giuseppe Battiato 10 Fatigue failure mechanism: crack nucleation  01 . m Superficie metallica  0 1  Scorrimento in un metallo dovuto a carichi ciclici Component surface • Micro-dislocations motion is responsible of shearing between preferably oriented crystal planes (45° direction with respect to F). The phenomenon is governed by shear stresses. • Material sliding due to cyclic loading generates micro- notches at the component surface. • The phenomenon is characterized by permanent, plastic strain localization, but the still behaves linearly. F 45° 45° From Suresh S. - Fatigue of materials - Cambridge University Press 1991 Slipbands
  • 49.
    Fatigue September 23, 2024 Fundamentalsof Machine Design – Giuseppe Battiato 11 Fatigue failure mechanism: crack growth • The slipbands penetrate inside the material at a distance covered by few grains from the component surface. • The slipbands coalesce and propagate along a direction orthogonal to the applied cyclic load. • The crack propagation occurs according to one of the following phenomena: - Striations (beach marks) formation; - Micro-vacuum coalescence (ductile materials); - Micro-cleavage (brittle materials). • Note that crack propagation might not occur, and the component can withstand an “infinite” number of oscillations. Component surface Crack propagation Grain F
  • 50.
    Fatigue September 23, 2024 Fundamentalsof Machine Design – Giuseppe Battiato 12 Fatigue failure mechanism: unstable propagation Nucleation spot Regions with different grit (beach marks) Final failure zone Shear slip borders Radial borders (propagation plane changes) Direction of propagation F • Crack propagation is highlighted by regions with different grit also known as beach marks. The different grit depends on the loading cycle. • Different cracks from the nucleation spot mutually join and generate the radial borders. • The propagation region is particularly smooth because of the “hammering” between the separated surfaces (the stress ration R must be negative). • The final failure zone is usually rougher than other regions. This is because of the abrupt fracture.
  • 51.
    Fatigue September 23, 2024 Fundamentalsof Machine Design – Giuseppe Battiato 13 Static vs fatigue failure When machine parts fail statically, they usually develop a very large deflection, because the stress has exceeded the yield strength, and the part is replaced before fracture occurs. Thus, many static failures give visible warning in advance. But a fatigue failure gives no warning! It is sudden and total, and hence dangerous. A component made of a ductile material subjected to fatigue loading usually exhibits cracked surfaces which are orthogonal w.r.t. the direction of loading. Such failure mechanism is typical of components made of brittle materials subjected to static loading. • Surface separation flat and perpendicular to the loading direction; • No 45° shear planes.
  • 52.
    Fatigue September 23, 2024 Fundamentalsof Machine Design – Giuseppe Battiato 14 The fatigue failure evolution
  • 53.
    Fatigue September 23, 2024 Fundamentalsof Machine Design – Giuseppe Battiato 15 Fatigue failure in real components – Main reasons Fatigue failure is due to crack formation and propagation. A fatigue crack will typically initiate at a discontinuity in the material where the cyclic stress is a maximum. Discontinuities can arise because of: • Design of sudden changes in cross-section, keyways, holes, etc. where stress concentrations occur as discussed in “Stress_concentration”. • Elements that roll and/or slide against each other (bearings, gears, cams, etc.) under high contact pressure, developing concentrated subsurface contact stresses (see “Hertz_contact_theory”) that can cause surface pitting or spalling after many cycles of the load. • Carelessness in locations of stamp marks, tool marks, scratches, and burrs; poor joint design; improper assembly; and other fabrication faults. • Composition of the material itself as processed by rolling, forging, casting, extrusion, drawing, heat treatment, etc. Microscopic and submicroscopic surface and subsurface discontinuities arise, such as inclusions of foreign material, alloy segregation, voids, hard precipitated particles, and crystal discontinuities. • Various conditions that can accelerate crack initiation include residual tensile stresses, elevated temperatures, temperature cycling, a corrosive environment, and high frequency cycling.
  • 54.
    Fatigue September 23, 2024 Fundamentalsof Machine Design – Giuseppe Battiato 16 Macroscopic fatigue failure appearance Nucleation Propagation Final fracture (brittle-like)
  • 55.
    Fatigue September 23, 2024 Fundamentalsof Machine Design – Giuseppe Battiato 17 Macroscopic fatigue failure appearance Fatigue has two faces… Smooth Rough
  • 56.
    Fatigue September 23, 2024 Fundamentalsof Machine Design – Giuseppe Battiato 18 Macroscopic fatigue failure appearance Crack growth direction F Shear lips
  • 57.
    Fatigue September 23, 2024 Fundamentalsof Machine Design – Giuseppe Battiato 19 Macroscopic fatigue failure appearance Fatigue failure of a bolt due to repeated unidirectional bending. The failure started at the thread root at A, propagated across most of the cross section shown by the beach marks at B, before final fast fracture at C (ASM Handbook, Vol. 12: Fractography). Fatigue fracture of an AISI 4320 drive shaft. The fatigue failure initiated at the end of the keyway at B and progressed to final rupture at C. The final rupture zone is small, indicating that loads were low (ASM Handbook, Vol. 11: Failure Analysis and Prevention). Root
  • 58.
    Fatigue September 23, 2024 Fundamentalsof Machine Design – Giuseppe Battiato 20 Macroscopic fatigue failure appearance Fatigue fracture surface of AISI 8640 steel. The fatigue crack origin is at the left edge, at the flash line of the forging, but no unusual roughness of the flash trim was indicated. The fatigue fracture progressed halfway around the oil hole, at the left indicated by the beach marks. Note the pronounced shear lip in the fracture at the right edges (ASM Handbook, Vol. 12: Fractography) Fatigue fracture surface of an AISI 8640 pin. Sharp corners of the mismatched grease holes provided stress concentrations that initiated two fatigue cracks indicated by the arrows (ASM Handbook, Vol. 12: Fractography) Shear lips
  • 59.
    Fatigue September 23, 2024 Fundamentalsof Machine Design – Giuseppe Battiato 21 Macroscopic fatigue failure appearance Fatigue fracture of a 200 mm diameter piston rod of an alloy steel steam hammer used for forging. This is an example of a fatigue fracture caused by pure tension where surface stress concentration was absent, and a crack may initiate anywhere. (ASM Handbook, Vol. 12: Fractography) Section of a plate with welds http://www.naoe.eng.osaka-u.ac.jp/eng/facilities Forging flake (initiator) F https://esmarinesolutions.com/ marine-piston-connecting-rod/
  • 60.
    Fatigue September 23, 2024 PresentationTitle 22 Macroscopic fatigue failure appearance Crack nucleation Crack growth Crack nucleation Propagation, beach marks Brittle fracture Wear
  • 61.
    Fatigue September 23, 2024 PresentationTitle 23 Macroscopic fatigue failure appearance Rotating bending 𝜎 𝑡 𝑅 = −1 𝜎𝑚𝑖𝑛 < 0 𝜎𝑚𝑎𝑥 > 0
  • 62.
    Fatigue September 23, 2024 Fundamentalsof Machine Design – Giuseppe Battiato 24 Macroscopic fatigue failure appearance http://www.ryerson.ca/~avarvani/research.html Crack propagation along planes 45° oriented Failure shoulder
  • 63.
    Fatigue September 23, 2024 Fundamentalsof Machine Design – Giuseppe Battiato 25 Macroscopic fatigue failure appearance https://mocivilengineering.com/fatigue-failure/
  • 64.
    Fatigue September 23, 2024 Fundamentalsof Machine Design – Giuseppe Battiato 26 Macroscopic fatigue failure appearance Circular sections, with and without notches, subject to torsion 45°
  • 65.
    Fatigue September 23, 2024 Fundamentalsof Machine Design – Giuseppe Battiato 27 Macroscopic fatigue failure appearance Nominal stresses low high Unidirectional plane bending Alternate plane bending Rotating bending Tension compression Nominal stresses low high Nominal stresses low high Nominal stresses low high Dimension of the crack growth region as well as the crack propagation direction depend on several factors: • Specimen geometry; • Loading condition (tension/compression, plane bending, rotating bending, torsion); • Amplitude of loading (high, low).
  • 66.
    Fatigue September 23, 2024 Fundamentalsof Machine Design – Giuseppe Battiato 28 Macroscopic fatigue failure appearance Tension compression Plane bending Alternate bending Rotating bending LOADING MODE Bar without notch Bar with notch High notch effect Low notch effect High stress High stress High stress Low stress Low stress Low stress
  • 67.
    Fatigue September 23, 2024 Fundamentalsof Machine Design – Giuseppe Battiato 29 Macroscopic fatigue failure appearance Tension compression Plane bending Alternate bending LOAD MODE Bar without notch Bar with notch High notch effect Low notch effect High stress High stress High stress Low stress Low stress Low stress
  • 68.
    Fatigue September 23, 2024 Fundamentalsof Machine Design – Giuseppe Battiato 30 Basic fatigue data The three major fatigue life methods used in design and analysis are the stress-life method, the strain-life method, and the linear-elastic fracture mechanics method. These methods attempt to predict the life in number of cycles N to failure for a specific level of loading. Based on the amplitude of the applied loads, fatigue behavior is categorized into two regimes: • Low-cycle fatigue (LCF): life of 1 ≤ 𝑁 ≤ 103 cycles; • High-cycle fatigue (HCF): life 𝑁 ≥ 103 cycles. The stress-life method is not accurate for low-cycle applications but represents high-cycle applications adequately. L .
  • 69.
    Fatigue September 23, 2024 PresentationTitle 31 Basic fatigue data: stress-life method • Basic fatigue data are obtained from tests under nominal uniaxial stress with constant amplitude. • Tests can be performed either on specimens, full-scale components and scaled components. Usually, the induction from specimen to component, and scaling are difficult. • Basic fatigue data are represented on the so-called Wöhler diagram or S-N diagram, which exhibit: - In abscissa (x axis) the base-10 logarithm of the number of cycles N; - In ordinate (y axis) the amplitude of applied load: usually it is the alternate component 𝜎𝑎 of the cyclic loads (in logarithmic or linear scale). • The fatigue test results are not significantly affected by frequency in the range 1-100 Hz (at least for metals).
  • 70.
    Fatigue September 23, 2024 Fundamentalsof Machine Design – Giuseppe Battiato 32 Basic fatigue data: Wöhler or S-N diagram 100 103 106 D a N 𝜎𝑁 𝑁 Finite-life fatigue Low-cycle fatigue Infinite-life fatigue Fatigue (high-cycle fatigue) • 𝜎𝑚 constant • Often 𝜎𝑚 = 0 → 𝑅 = −1 and 𝜎𝐷 = 𝜎𝐷−1 (completely reversed stress cycle) Nknee = 2 × 106 steels; 107 aluminum alloys σa 𝜎𝑈 𝜎𝐷 𝜎𝑎 Fatigue strength for N cycles Fatigue or Endurance limit Asymptote (Number of cycles to destruction)
  • 71.
    Fatigue September 23, 2024 Fundamentalsof Machine Design – Giuseppe Battiato 33 Basic fatigue data: Wöhler or S-N diagram (log-log diagram) Source: Richard G. Budynas; J. Keith Nisbett, Shigley's Mechanical Engineering Design Mc Graw Hill. 𝑆𝑢𝑡 = 𝜎𝑈 𝑆𝑒 = 𝜎𝐷
  • 72.
    Fatigue September 23, 2024 Fundamentalsof Machine Design – Giuseppe Battiato 34 Basic fatigue data: Wöhler or S-N diagram (semi-log diagram) Room temperature S-N curves for notched and un-notched AISI 4340 alloy steel with a tensile strength of 860 MPa (125 ksi). Stress ratio, R, equals −1.0. Source: ASM Handbook, Volume 1: Properties and Selection: Irons, Steels, and High-Performance Alloys: Fatigue Resistance of Steels, 1990. 𝜎𝑁 𝑁𝑛 𝑁𝑢 𝜎𝑚𝑎𝑥 𝜎𝑚𝑖𝑛 = −𝜎𝑚𝑎𝑥 𝜎 𝑡 𝑅 = 𝜎𝑚𝑖𝑛 𝜎𝑚𝑎𝑥 = −1
  • 73.
    Fatigue September 23, 2024 Fundamentalsof Machine Design – Giuseppe Battiato 35 Fatigue testing • Fatigue tests can be carried out on specimens, full-scale components, or scaled- down models. Even when the test specimen is made of the same material as the mechanical component, significant variations in the S-N curves between the two are likely to occur. • To characterize a material, irrespective of its application in constructing various components, fatigue tests are conducted on standardized specimens using specialized testing equipment. The most common devices apply loads to the specimen in the following ways: o Rotating bending o Plane bending o Tension - compression o Torsion
  • 74.
    Fatigue September 23, 2024 Fundamentalsof Machine Design – Giuseppe Battiato 36   t max 𝑀𝑓 diagram 4-point bending loading Cantilever beam P P P w w Rotating bending for circular cross-section specimens Fatigue testing devices: rotating bending 𝑅 = −1
  • 75.
    Fatigue September 23, 2024 Fundamentalsof Machine Design – Giuseppe Battiato 37 Fatigue testing devices: plane bending  Regolazione componente alternata Regolazione componente media Adjustment of average stress component Adjustment of alternate stress component Plane bending for rectangular cross-section specimens rod rod rod crank crank crank 𝑑2 𝑣 𝑑𝑧2 = − 𝑀𝑥 𝐸𝐼𝑥𝑥 Curvature
  • 76.
    Fatigue September 23, 2024 Fundamentalsof Machine Design – Giuseppe Battiato 38 Other test method: ASTM D 671 Cyclic Up-Down force Fatigue testing devices: plane bending
  • 77.
    Fatigue September 23, 2024 Fundamentalsof Machine Design – Giuseppe Battiato 39 Fatigue testing devices: tension – compression and torsion • Tension-compression tests • Fatigue test for torsional loading conditions are also used for specimen or components with circular cross-section.
  • 78.
    Fatigue September 23, 2024 Fundamentalsof Machine Design – Giuseppe Battiato 40 The experimental standard conditions for S-N diagrams are: • Rotating bending; • No mean stress applied (𝜎𝑚 = 0, corresponds to R = −1); • Specimen with circular cross section; • Specimen diameter about 10 mm; • Specimen surface polished. Basic fatigue data: standard testing conditions
  • 79.
    Fatigue September 23, 2024 Fundamentalsof Machine Design – Giuseppe Battiato 41 Basic fatigue data: dispersion of fatigue data Fatigue is an intrinsically dispersed phenomenon 104 105 106 107 108 20 40 60 80 100 120  a (MPa) N M12 m=230 MPa Weibull-2p B90 B50 B10 • To establish the fatigue strength of a material, several tests are needed because of the statistical nature of fatigue. • The ratio of the fatigue lives of two components subjected to the same loading conditions can vary by as much as 5 to 10 times. • The same endurance could be achieved for different loading amplitudes. 𝐵𝑥: probability of failure (%) ×: failures ○: run-outs (non-failures)
  • 80.
    Fatigue September 23, 2024 Fundamentalsof Machine Design – Giuseppe Battiato 42 Basic fatigue data: dispersion of fatigue data (example) ×: failures ○: run-outs (non-failures) 1070LS steel Least-square approximation
  • 81.
    Fatigue September 23, 2024 Fundamentalsof Machine Design – Giuseppe Battiato 43 Basic fatigue data: the Stair-Case method (UNI 3964-85) Outcome count Stress amplitude Fatigue test number × o (MPa) 1 2 3 4 5 6 7 8 9 10 11 12 13 14 15 60 50 × × 40 o × o 30 o Total Possible events: ×: failures for 𝜎𝑎 (𝑖) → 𝜎𝑎 (𝑖+1) = 𝜎𝑎 (𝑖) − 𝑑 ○: run-outs for 𝜎𝑎 (𝑖) → 𝜎𝑎 (𝑖+1) = 𝜎𝑎 (𝑖) + 𝑑 Starting data: • Alternate stress: 𝜎𝑎 = 50 MPa • Number of cycles: 𝑁 = 5 × 106 • Step: 𝑑 = 10 MPa Perform the fatigue tests and fill the table
  • 82.
    Fatigue September 23, 2024 Fundamentalsof Machine Design – Giuseppe Battiato 44 Basic fatigue data: the Stair-Case method (UNI 3964-85) Outcome count Stress amplitude Fatigue test number × o (MPa) 1 2 3 4 5 6 7 8 9 10 11 12 13 14 15 3 0 60 × × × 4 3 50 × × × o o o × 1 3 40 o × o o 0 1 30 o Total 8 7 • The test is repeated at least 15 times, and it must happen that: o at the highest 𝜎𝑎 (𝑖) only failures occur (×); o at the lowest 𝜎𝑎 (𝑖) only run-outs occur (o); • Identify the less frequent event, either failure or run-out (in this case run-out → 7); • Identify the lower 𝜎𝑎 (𝑖) corresponding to the less frequent event (in this case 𝜎0 = 30 MPa).
  • 83.
    • Consider theless frequent event (in this case run-out); • Associate the increasing integer index 𝑖 = 0,1,2, … to each identified case, starting from the one corresponding to the lowest value of applied stress: • Compute the following quantities: 𝑁 = σ 𝑛𝑖, 𝐴 = σ 𝑖 ∙ 𝑛𝑖, 𝐵 = σ 𝑖2 ∙ 𝑛𝑖 Fatigue September 23, 2024 Fundamentals of Machine Design – Giuseppe Battiato 45 Basic fatigue data: the Stair-Case method (UNI 3964-85) 𝑖 𝑛 𝑖𝑛 𝑖2𝑛 3 0 0 0 2 3 6 12 1 3 3 3 0 1 0 0 𝑁 = 7 𝐴 = 9 𝐵 = 15
  • 84.
    • The fatiguestrength for N cycles, corresponding to the 50% probability of failure is found as follows: • To identify the fatigue strengths corresponding to the 10% and 90% probability of failure, the standard deviation s must be computed as follows: o 𝑠 = 1.62𝑑 NB−A2 N2 + 0.029 , if NB−A2 N2 > 0.3 o Otherwise 𝑠 = 0.53𝑑 • 𝜎𝑁(10%) = 𝜎𝑁(50%) − 1.28 ⋅ 𝑠 𝜎𝑁(90%) = 𝜎𝑁(10%) + 1.28 ⋅ 𝑠 If the fatigue strength falls in the asymptotic region of the S-N diagram, the subscript N is replaced by D. • 𝜎𝐷−1 is the fatigue strength obtained in standard conditions with a 50% probability of failure (𝐵50 ). Fatigue September 23, 2024 Fundamentals of Machine Design – Giuseppe Battiato 46 Basic fatigue data: the Stair-Case method (UNI 3964-85) 𝜎𝑁(50%) = 𝜎0 + 𝑑 A N ± 0.5 + : if less frequent event run-out – : if less frequent event failure
  • 85.
    Fatigue September 23, 2024 Fundamentalsof Machine Design – Giuseppe Battiato 47 Basic fatigue data: fatigue limit vs static strength Determining the fatigue limit typically demands significant experimental effort. For this reason, since the early stages of fatigue research, several relationships between the material's static strength and its fatigue limit have been proposed. Source: Richard G. Budynas; J. Keith Nisbett, Shigley's Mechanical Engineering Design Mc Graw Hill 𝜎𝐷 𝜎𝑈
  • 86.
    Fatigue September 23, 2024 Fundamentalsof Machine Design – Giuseppe Battiato 48 Basic fatigue data: fatigue limit vs static strength In order to estimate the fatigue limit, the following approximated empirical relations can be used: • Bach Criterion: • Fuchs Criterion(1): • Cast iron: (1) For alloyed steels 𝜎𝐷−1 = 0.5 𝜎𝑈 (𝑅 = −1 → 𝜎𝑚𝑖𝑛 = −𝜎𝑚𝑎𝑥 → 𝜎𝑚 = 0) 𝜎𝐷0 = 0.3 𝜎𝑈 (𝑅 = 0 → 𝜎𝑚𝑖𝑛 = 0) 𝜎𝐷−1 = 0.5 𝜎𝑈 (𝜎𝑈 < 1400 MPa) 𝜎𝐷−1 = 700 MPa (𝜎𝑈 ≥ 1400 MPa) 𝜎𝐷−1 = 0.4 𝜎𝑈
  • 87.
    Fatigue September 23, 2024 Fundamentalsof Machine Design – Giuseppe Battiato 49 Fatigue strength: construction of the S-N diagrams When no experimental data are available, it is possible to estimate the S-N diagram if the following material properties are known: • The fatigue strength 𝜎𝐷 (in the operating loading conditions, either experimentally obtained, or from the literature, or estimated as shown); • The ultimate strength of the material 𝜎𝑈. In the logarithmic (abscissa) or bi-logarithmic scale, a straight line joins the points F and G: • G corresponds to the fatigue limit; • F corresponds to the right limit of the low- cycle fatigue region. 102 103 104 105 106 100 500 1000 a N m =_____ F G LCF HCF const
  • 88.
    Fatigue September 23, 2024 Fundamentalsof Machine Design – Giuseppe Battiato 50 Fatigue strength: construction of the S-N diagrams • Points F and G have the following coordinates: o F: 𝑁F, 𝜎F = 103 , 0.9 𝜎𝑈 − 𝜎𝑚 o G: 𝑁G, 𝜎G = 𝑁G, 𝜎𝐷 • If 𝜎G is not obtained from specific fatigue tests, it is assumed 𝑁G = 2 ∙ 106 (two millions cycles). • 𝜎𝐷 must be consistent with 𝜎𝑚 (if 𝜎𝑚 = 0 → 𝜎𝐷 = 𝜎𝐷−1). 102 103 104 105 106 100 500 1000 a N m =_____ F G 𝜎𝐷 𝑁𝐹 𝑁𝐺 0.9 𝜎𝑈 − 𝜎𝑚 const
  • 89.
    Fatigue September 23, 2024 Fundamentalsof Machine Design – Giuseppe Battiato 51 S-N diagrams: bi-logarithmic chart In the bi-logarithmic diagram, a straight line connects the points F and G. The equation of such a line can be expressed in two different (equivalent) forms: • 𝜎𝑎 as a function of 𝑁 (Basquin equation): 𝜎𝑎 = 𝐴𝑁𝑏 i.e. log( 𝜎𝑎) = log( 𝐴) + 𝑏 log( 𝑁) • 𝑁 as a function of 𝜎𝑎 : 𝑁𝜎𝑎 𝑘 = 𝐵 i.e. log( 𝑁) = log( 𝐵) − 𝑘 log( 𝜎𝑎) 102 103 104 105 106 100 500 1000 a N m =_____ F G Slope k const
  • 90.
    Fatigue September 23, 2024 Fundamentalsof Machine Design – Giuseppe Battiato 52 S-N diagrams: bi-logarithmic chart 𝑁𝜎𝑎 𝑘 = 𝐵 i.e. log( 𝑁) = log( 𝐵) − 𝑘 log( 𝜎𝑎) 𝑘 = log( 𝑁𝐺) − log( 𝑁𝐹) log( 𝜎𝐹) − log( 𝜎𝐷) log( 𝐵) = log( 𝑁𝐺) + log( 𝑁𝐺) − log( 𝑁𝐹) log( 𝜎𝐹) − log( 𝜎𝐷) log( 𝜎𝐷) 𝜎𝑎 = 𝐴𝑁𝑏 i.e. log( 𝜎𝑎) = log( 𝐴) + 𝑏 log( 𝑁) 𝑏 = log( 𝜎𝐷) − log( 𝜎𝐹) log( 𝑁𝐺) − log( 𝑁𝐹) = − 1 𝑘 log( 𝐴) = log( 𝜎𝐷) − log( 𝜎𝐷) − log( 𝜎𝐹) log( 𝑁𝐺) − log( 𝑁𝐹) log( 𝑁𝐺) The constants A and b can be found by writing the line equation passing by F and G
  • 91.
    In the logarithmic(abscissa) diagram the equation of the straight line connecting the points F and G can be written as: • 𝜎𝑎 as a function of log 𝑁: • log 𝑁 as a function of 𝜎𝑎: Fatigue September 23, 2024 Fundamentals of Machine Design – Giuseppe Battiato 53 S-N diagrams: semi-logarithmic chart ) log (log log log F F G D F F a N N N N − − − − =     ) log (log log log F G D F a F F N N N N − − − + =     102 103 104 105 106 N 200 400 600 800 1000 m =_____ a F G Slope k const
  • 92.
    Fatigue September 23, 2024 Fundamentalsof Machine Design – Giuseppe Battiato 54 Exercises 1) A material has alternate fatigue strength 𝜎𝐷−1 = 450 MPa at 𝑁∞ = 2 ∙ 106 cycles and a Wöhler curve exponent 𝑘 = 7.5. Evaluate the alternate fatigue strength for 𝑁 = 3 ∙ 105 cycles. [𝜎𝑁 = 580 MPa] 2) A specimen with 𝜎𝐷−1 = 300 MPa , 𝜎𝑈 = 700 MPa is subjected to a rotating bending moment with a maximum value 𝜎𝑎 = 420 MPa. Evaluate the total number of cycles to failure. [𝑁 = 6.4 ∙ 104 cycles]
  • 93.
    Fatigue September 23, 2024 Fundamentalsof Machine Design – Giuseppe Battiato 55 Average stress effect • S-N diagrams depend on average stress. Each diagram corresponds to a specific value of the averate stress 𝜎𝑚. The fatigue limit (if exist) show a strong dependence on the average stress particularly if tension/compression loads are applied. • With reference to the fatigue limit evaluated with 𝜎𝑚 = 0, experiments shows that the fatigue limit decreases if an average tensile stress is applied. On the other hand, the fatigue limit increases if an average compression stress is applied 𝜎𝑚 < 0. • In order to take into account the effect of 𝜎𝑚 on the fatigue limit 𝜎𝐷, the Wöhler diagram has to be integrated with other diagrams that describe this dependence (e.g. the Haigh diagram).
  • 94.
    Fatigue September 23, 2024 Fundamentalsof Machine Design – Giuseppe Battiato 56 Average stress effect S-N diagram for two average stresses (𝜎𝑚 = 0, 𝜎𝑚 = 400 MPa). The fatigue strength clearly decreases when the applied average stress is positive (tension). The opposite behaviour, i.e. the increase of the fatigue strength, is found if a negative average stress is applied (compression). Collins, Browedery et al, 1973 𝜎𝑎 N 105 106 Steel ≈ 400 MPa
  • 95.
    Fatigue September 23, 2024 Fundamentalsof Machine Design – Giuseppe Battiato 57 Average stress effect 𝜎𝑚/𝜎𝑈𝑡 𝜎𝑚/𝜎𝑈𝑐 𝜎 𝐷 /𝜎 𝐷−1 𝜎𝐷 > 𝜎𝐷−1 𝜎𝐷 < 𝜎𝐷−1
  • 96.
    Fatigue September 23, 2024 Fundamentalsof Machine Design – Giuseppe Battiato 58 Average stress effect t m=0 max min   min max  max|= |min| a)    t  0  min max  |max| |min| b) m max min t  0  min max  c) |max| |min| m max min 45° Direction of crack propagation Direction of the cyclic load 𝜎𝑚 > 0 (tension): Shear is more likely to occur in the 𝜋 plane because 𝜎𝜋 is positive (tension) → 𝜎𝐷 or (𝜎𝑁) decreases. 𝜎𝑚 < 0 (compression): Shear is less likely to occur in the 𝜋 plane because 𝜎𝜋 is negative (compression) → 𝜎𝐷 or (𝜎𝑁) increases. 𝜎𝑦𝑦
  • 97.
    Fatigue September 23, 2024 Fundamentalsof Machine Design – Giuseppe Battiato 59 Average stress effect: the Goodman line Goodman line equation 𝜎𝐷 𝜎𝐷−1 + 𝜎𝑚 𝜎𝑈 = 1 ⇒ 𝜎𝐷 = 𝜎𝐷−1 − 𝜎𝑚 𝜎𝑈 𝜎𝐷−1 𝜎𝐷 𝜎𝐷−1 𝜎𝑈 𝜎𝑚 Each point of the diagram represents the fatigue limit 𝜎𝐷 or fatigue strength 𝜎𝑁 for a certain number of cycles: • 𝑁 constant • 𝑁 = 2 ∙ 106 for steel (𝜎𝐷)
  • 98.
    Fatigue September 23, 2024 Fundamentalsof Machine Design – Giuseppe Battiato 60 Various criteria of failure Source: Richard G. Budynas; J. Keith Nisbett, Shigley's Mechanical Engineering Design Mc Graw Hill Geber line equation: 𝜎𝐷 𝜎𝐷−1 + 𝜎𝑚 𝜎𝑈 2 = 1 Soderberg line equation: 𝜎𝐷 𝜎𝐷−1 + 𝜎𝑚 𝜎𝑌 = 1
  • 99.
    Fatigue September 23, 2024 Fundamentalsof Machine Design – Giuseppe Battiato 61 Average stress effect: the Haigh diagram a a a R R R R R R + − = + − = 1 1 1 1 𝜎𝑚∗ = 𝜎𝑌 − 𝜎𝐷−1 Τ 1 − 𝜎𝐷−1 𝜎𝑈 m D−1 Rp0.2 Rm Rp0.2 Rm Rp0.2 Rm R=− a R=0 N constant 𝜎𝑎 𝜎𝑈 𝜎𝑌 𝜎𝑚 𝜎𝑈 𝜎𝑌 −𝜎𝑌 −𝜎𝑈 Goodman line
  • 100.
    Fatigue September 23, 2024 Fundamentalsof Machine Design – Giuseppe Battiato 62 Average stress effect: Goodman-Smith diagrams Source: Richard G. Budynas; J. Keith Nisbett, Shigley's Mechanical Engineering Design Mc Graw Hill • The Goodman diagram has the mean stress on the abscissa and all other components of stress plotted on the ordinate, with tension in the positive direction. • The fatigue strength or finite-life strength is plotted on the ordinate above and below the origin. • The mean stress line is represented by the 45° inclined line crossing the origin. • Note that the yield strength is also plotted on both axes, because yielding would be the criterion of failure if 𝜎𝑎 exceedes 𝜎𝑌.
  • 101.
    Fatigue September 23, 2024 Fundamentalsof Machine Design – Giuseppe Battiato 63 Average stress effect: Master diagrams Source: Richard G. Budynas; J. Keith Nisbett, Shigley's Mechanical Engineering Design Mc Graw Hill 45° Rotate the Haigh diagram 45° counter-clockwise 𝑅𝑎 𝑅𝑎
  • 102.
    Fatigue September 23, 2024 Fundamentalsof Machine Design – Giuseppe Battiato 64 Average stress effect: Master diagrams Source: Richard G. Budynas; J. Keith Nisbett, Shigley's Mechanical Engineering Design Mc Graw Hill 𝑅𝑎 𝑅𝑎 = 𝜎𝑚𝑖𝑛𝐴 /𝜎𝑚𝑎𝑥𝐴 = 0.17
  • 103.
    Fatigue September 23, 2024 Fundamentalsof Machine Design – Giuseppe Battiato 65 Exercise Build the Haigh diagram for a fatigue life of 𝑁 = 5 ∙ 105 cycles of a material having an alternate fatigue limit of 𝜎𝐷−1 = 200 MPa , 𝜎𝑌 = 540 MPa , and 𝜎𝑈 = 810 MPa . Evaluate the alternate fatigue strength for an average stress 𝜎𝑚 = 200 MPa. [𝜎𝑎 = 191 MPa ]
  • 104.
    TURIN POLYTECHNIC UNIVERSITY INTASHKENT GiuseppeBattiato giuseppe.battiato@polito.it Fundamentals of Machine Design Fatigue – part 2 September 25, 2024
  • 105.
    Fatigue September 25, 2024 Fundamentalsof Machine Design – Giuseppe Battiato 2 From specimens to components There are several factor affecting the fatigue strength: • Factors related to the component: - Size (𝐶𝑆); - Notches (𝐾𝑓); - Surface finish (𝐶𝐹); - Surface treatments (mechanical, thermal or chemical, coatings…). • Factors related to service conditions: - Loading mode (𝐶𝐿); - Reliability (𝐶𝑅); - Temperature; - Environment (moisture, corrosives…). • The fatigue limit of a component made by the same material of a specimen with a fatigue limit 𝜎𝐷−1 is evaluated as follows: 𝜎𝐷−1 𝑐 = 𝜎𝐷−1 ς 𝐶𝑖 𝐾𝑓 where 𝜎𝐷−1 is the fatigue limit obtained in standard conditions (i.e. 𝜎𝑚 = 0).
  • 106.
    • The cracknucleation (Stage 1) occurs at the component’s surface, and it is due to plastic shear deformation. • This process takes place also at the zone underlying the component’s surface. This zone is called process zone (PZ). • In the process zone (PZ) the actual stress is higher for loading modes that do not involve stress gradients (tension/compression) rather than when they involve a stress gradient (bending, torsion). • 𝐶𝐿 ≈ 0.95 − 1, for plane bending; • 𝐶𝐿 ≈ 0.59 for torsion; • 𝐶𝐿 ≈ 0.7, experimental values are in between 0.6 and 0.85 for tension/compression. In some textbooks (e.g. Shigley’s) 𝐶𝐿 ≈ 0.85. Fatigue September 25, 2024 Fundamentals of Machine Design – Giuseppe Battiato 3 From specimens to components: loading mode effect 𝐶𝐿 𝜎𝑎,𝑎𝑐𝑡 𝐵,𝑃𝑍 < 𝜎𝑎,𝑚𝑎𝑥 𝐵 Process zone (PZ) Bending Tension/compression 𝜎𝑎,𝑚𝑎𝑥 𝐵 𝜎𝑎,𝑎𝑐𝑡 𝐵,𝑃𝑍 𝜎𝑎,𝑎𝑐𝑡 𝑇,𝑃𝑍 𝜎𝑎 𝑇 𝜎𝑎,𝑎𝑐𝑡 𝑇,𝑃𝑍 = 𝜎𝑎 𝑇
  • 107.
    Fatigue September 25, 2024 Fundamentalsof Machine Design – Giuseppe Battiato 4 From specimens to components: loading mode effect 𝐶𝐿 • The value of loading mode coefficient 𝐶𝐿 can be explained by introducing the concept of actual stress in process zone. • Consider two specimens subjected to two different cyclic loadings, bending and tension/compression, that generate the same alternate stress at the component’s surface, i.e. 𝜎𝑎,𝑚𝑎𝑥 𝐵 = 𝜎𝑎 𝑇. • The actual alternate stress (𝜎𝑎,𝑎𝑐𝑡 𝑃𝑍 ) (the stress that actually damages the component) has different magnitude in the two cases, due to the presence of different gradients in the PZ, i.e. 𝜎𝑎,𝑎𝑐𝑡 𝐵,𝑃𝑍 < 𝜎𝑎,𝑎𝑐𝑡 𝑇,𝑃𝑍 . 𝜎𝑎,𝑎𝑐𝑡 𝐵,𝑃𝑍 < 𝜎𝑎,𝑚𝑎𝑥 𝐵 Process zone (PZ) Bending (gradient) Tension/compression (no gradient) 𝜎𝑎,𝑚𝑎𝑥 𝐵 𝜎𝑎,𝑎𝑐𝑡 𝐵,𝑃𝑍 𝜎𝑎,𝑎𝑐𝑡 𝑇,𝑃𝑍 𝜎𝑎 𝑇 𝜎𝑎,𝑎𝑐𝑡 𝑇,𝑃𝑍 = 𝜎𝑎 𝑇
  • 108.
    Fatigue September 25, 2024 Fundamentalsof Machine Design – Giuseppe Battiato 5 From specimens to components: loading mode effect 𝐶𝐿 If the S-N diagrams could be evaluated in terms of actual alternate stress, the same fatigue limit would have been found in both diagrams: 𝜎𝐷−1 = 𝜎𝐷−1 𝑇 < 𝜎𝐷−1 𝐵 102 103 104 105 106 Ni N 0 1 D−  eff , a  102 103 104 105 106 Ni N a  f 1 D−  𝜎𝑎 𝜎𝐷−1 𝐵 Experimental S-N curve for bending 𝜎𝐷−1 𝜎𝑎 102 103 104 105 106 Ni N 0 1 D−  eff , a  102 103 104 105 106 Ni N a  T 1 D−  𝜎𝑎 𝜎𝐷−1 𝑇 Experimental S-N curve for tension/compression 𝜎𝐷−1 𝜎𝑎,𝑎𝑐𝑡 𝜎𝑎,𝑎𝑐𝑡 𝜎𝐷−1 𝑇 = 0.6 ÷ 0.85 ⋅ 𝜎𝐷−1 𝐵 𝐶𝐿 = 0.6 ÷ 0.85 (we use 𝐶𝐿 = 0.7) 𝜎𝐷−1 𝐵
  • 109.
    Fatigue September 25, 2024 Fundamentalsof Machine Design – Giuseppe Battiato 6 From specimens to components: scale effect 𝐶S 𝜎𝑎,𝑎𝑐𝑡 𝐵,2 𝜎𝑎,𝑎𝑐𝑡 𝐵,1 𝜎𝑎,𝑎𝑐𝑡 𝐵,1 > 𝜎𝑎,𝑎𝑐𝑡 𝐵,2 Bending (gradient) Tension/compression (no gradient) 𝜎𝑎,𝑚𝑎𝑥 𝐵 𝜎𝑎,𝑎𝑐𝑡 𝐵,1 𝜎𝑎,𝑎𝑐𝑡 𝑇,𝑃𝑍 𝜎𝑎 𝑇 𝜎𝑎,𝑚𝑎𝑥 𝐵 𝜎𝑎,𝑎𝑐𝑡2 𝐵,2 If the size increases: 𝜎𝑎,𝑎𝑐𝑡 𝐵,2 → 𝜎𝑎,𝑚𝑎𝑥 𝐵 • The bending test in standard conditions is assumed to be the reference, therefore 𝐶𝑆 = 1 for standard specimens loaded in rotating bending. • For bending and torsion, for the same 𝜎𝑚𝑎𝑥 at the component surface, if the component size increases the stress gradient (slope) in the PZ increases as well. • The fatigue limit obtained in standard conditions decreases if the stress gradient increases (slope → ∞) in the PZ. • To properly consider such effect, the fatigue limit obtained in standard conditions must be multiplied by 𝐶𝑆 < 1, if size is larger than that of the standard specimen. 𝐷 𝑑
  • 110.
    Fatigue September 25, 2024 Fundamentalsof Machine Design – Giuseppe Battiato 7 From specimens to components: scale effect 𝐶S • Consider two components with circular cross- section having different size and stressed with a gradient stress distribution (either bending or torsion). • Assume the same maximum 𝜎𝑎 (𝜎𝑎,𝑚𝑎𝑥 ) at the surface of both components, and consider the portion of the cross-section lying in between 𝜎𝑎,𝑚𝑎𝑥 and a certain fraction of it (e.g. 80%). • If the specimen (component) size increases, this area increases too. • If such an area corresponds to the process zone, the probability of crack nucleation is larger for the specimen having a larger cross-section.  𝜎𝑎,𝑚𝑎𝑥 𝜎𝑎,𝑚𝑎𝑥 𝜎𝑎,𝑚𝑎𝑥  𝜎𝑎,𝑚𝑎𝑥
  • 111.
    Fatigue September 25, 2024 Fundamentalsof Machine Design – Giuseppe Battiato 8 From specimens to components: scale effect 𝐶S • Only applies to components subjected to loading modes with stress gradient (bending and torsion*). • 𝐶𝑆 = 1 for tension-compression loading (𝐶𝐿 = 0.7). • In the case of bending, for larger component dimensions (d), the stress distribution in the PZ becomes similar to that caused by tension - compression loading. Thus, the scale effect coefficient 𝐶𝑆 approaches the load mode coefficient 𝐶𝐿 = 0.7. CS 0.60 0.65 0.70 0.75 0.80 0.85 0.90 0.95 1.00 10 30 50 70 90 110 130 150 170 190 d Bending and torsion (𝐶𝑆 ) Tension/compression (𝐶𝐿 ) *The fatigue limit obtained for circular cross-section specimen in alternate torsion condition is denoted as 𝜏𝐷−1. This definition is accepted even if such a loading case is not uniaxial (2 principal stresses are different than 0).
  • 112.
    Fatigue September 25, 2024 Fundamentalsof Machine Design – Giuseppe Battiato 9 From specimens to components: loading mode effect 𝐶𝐿 and scale effect 𝐶S summary Tension/compression Bending 𝑁(𝑡) 𝑀(𝑡) 𝜎𝑁 𝜎𝐵 • 𝐶𝐿 = 0.7 • 𝐶𝑠 = 1 No stress gradient Stress gradient • 𝐶𝐿 = 0.95 − 1 • 𝐶𝑠 → diagram
  • 113.
    Fatigue September 25, 2024 Fundamentalsof Machine Design – Giuseppe Battiato 10 From specimens to components: surface finish effect 𝐶𝐹 • The nucleation of fatigue damage is also a consequence of the surface roughness. • Surface asperities decrease the fatigue strength. This effect is more severe for brittle materials with large 𝜎𝑈.
  • 114.
    Fatigue September 25, 2024 Fundamentalsof Machine Design – Giuseppe Battiato 11 From specimens to components: surface finish effect 𝐶𝐹 0.8 1.6 3.2 6.3 10 40 160 200 400 600 800 1000 1200 1400 0.8 0.6 0.4 0.9 0.7 0.5 Surface roughness, R a (μm) CF 1.0 Rm (MPa) 𝜎𝑈
  • 115.
    Fatigue September 25, 2024 Fundamentalsof Machine Design – Giuseppe Battiato 12 From specimens to components: reliability effect 𝐶𝑅 • Most endurance data are mean values. • These correspond to a 50% reliability (=50% probability of failure). • The greater the reliability (= smaller probability of failure), the smaller the 𝐶𝑅 factor. Reliability CR Factor 50% 1.000 90% 0.897 95% 0.868 99% 0.814 99.9% 0.753 99.990% 0.702 99.999% 0.659 99.9999% 0.620 99.99999% 0.584 99.999999% 0.551 99.9999999% 0.520 104 105 106 107 108 20 40 60 80 100 120  a (MPa) N M12 m=230 MPa Weibull-2p B90 B50 B10 Reliability Probability of failure
  • 116.
    Fatigue September 25, 2024 Fundamentalsof Machine Design – Giuseppe Battiato 13 From specimens to components: fatigue strength reduction • Due to the described influencing factors, the fatigue limit 𝜎𝐷−1 (obtained from rotating bending tests on 10 mm diameter, polished specimens) must be corrected. • The fatigue limit of the component 𝜎𝐷−1 𝐶 will be: - components without notches: 𝜎𝐷−1 𝐶 = 𝐶𝐿𝐶𝑆𝐶𝐹𝐶𝑅𝜎𝐷−1 - components with notches: see following slides • To determine whether the component is safe, the working point P ≡ (𝜎𝑚,𝑛,𝜎𝑎,𝑛), corresponding to the nominal loading condition, must be plotted on the Haigh diagram, and its position must be carefully evaluated (see next slides for the safety factor evaluation).
  • 117.
    Fatigue September 25, 2024 Fundamentalsof Machine Design – Giuseppe Battiato 14 From specimens to components: Haigh diagram construction for a component 𝜎𝑚 𝜎𝑈 −𝜎𝑈 𝑅 = −∞ 𝑅 = 0 𝜎𝐷−1 P 𝜎𝐷−1 𝐶 Specimen Component 𝑁 = constant 𝑃 ≡ (𝜎𝑚,𝑛,𝜎𝑎,𝑛) 𝜎𝑎 𝜎𝑈 𝜎𝑌 −𝜎𝑌 𝜎𝑌
  • 118.
    Fatigue September 25, 2024 Fundamentalsof Machine Design – Giuseppe Battiato 15 Stress concentration and notch sensitivity • In statics, the presence of stress risers affects both the magnitude and distribution of the local stress field. • The stress magnitude increases, and the uniaxial stress state often becomes multiaxial near discontinuities. • The fatigue strength decreases. Unnotched specimen Notched specimen Fatigue cycle - Log(N)
  • 119.
    Fatigue September 25, 2024 Fundamentalsof Machine Design – Giuseppe Battiato 16 Stress concentration and notch sensitivity • In statics, the notch effect generates a stress concentration in the net cross-section. The strength of the notched component must be assessed considering the maximum stress occurring at the net cross-section (𝜎𝑚𝑎𝑥 = 𝐾𝑡𝜎𝑛). • In dynamics, the stress responsible of fatigue failure is the actual stress in the process zone (𝜎𝑎,𝑎𝑐𝑡). This means that because of the stress gradient in the vicinity of the notch, the actual peak stress is lower than the 𝜎𝑚𝑎𝑥 used for the static verification of notched components. • The stress concentration factor defined in static is not suitable for fatigue and it has to be properly redefined. Static with eventual yielding Dynamic with fatigue
  • 120.
    Geometric discontinuities incomponents increase nominal stresses, as seen in static loadings, and reduce the material's fatigue strength. The reduction is taken into account by the Fatigue Stress-Concentration Factor 𝐾𝑓 : • The effect of stress concentration on fatigue strength is less severe than on static strength : 1 ≤ 𝐾𝑓 ≤ 𝐾𝑡 • A Notch Sensitivity Factor 𝑞 is defined as follows: 𝑞 = 𝐾𝑓−1 𝐾𝑡−1 , 0 < 𝑞 < 1 Fatigue cycle - Log(N) Fatigue September 25, 2024 Fundamentals of Machine Design – Giuseppe Battiato 17 Stress concentration and notch sensitivity 𝐾𝑓 = 𝜎𝑁,𝑢 𝜎𝑁,𝑛 𝐾𝑓 = 𝜎𝐷−1,𝑢 𝜎𝐷−1,𝑛 Finite life Infinite life
  • 121.
    The fatigue-stress concentrationfactor in the fatigue limit region can be estimated as: 𝐾𝑓 = 1 + 𝑞 𝐾𝑡 − 1 • Notch sensitivity 𝑞 depends on the material; • Thus, 𝐾𝑓 depends on the material (𝑞), the notch geometry and loading mode (𝐾𝑡). 0 0.2 0.4 0.6 0.8 1 0 0.5 1 1.5 2 2.5 3 3.5 4 Notch sensitivity, q Notch radius, r (mm) Steels Aluminum alloy September 25, 2024 Fundamentals of Machine Design – Giuseppe Battiato 18 For reversed bending or reversed axial loads (R=-1). Fatigue Stress concentration and notch sensitivity • 𝑞 = 0 → no notch sensitivity (𝐾𝑓 = 1), i.e. the material is unaffected by the notch. For example, in some brittle materials the micro- notches within the material structure have a more significant effect compared to the geometrical notch. • 𝑞 = 1 → total notch sensitivity (𝐾𝑓 = 𝐾𝑡), i.e. the effect of stress concentration in fatigue is identical to the static case.
  • 122.
    Fatigue September 25, 2024 Fundamentalsof Machine Design – Giuseppe Battiato 19 Stress concentration and notch sensitivity The fatigue-stress concentration factor in the fatigue limit region can be estimated as: 𝐾𝑓 = 1 + 𝑞 𝐾𝑡 − 1 • Notch sensitivity 𝑞 depends on the material; • Thus, 𝐾𝑓 depends on the material (𝑞), the notch geometry and loading mode (𝐾𝑡). For reversed torsion 1 2 3 4 5 6 7 8 9 r (mm) 0 0 0.1 0.2 0.3 0.4 0.5 0.6 0.7 0.8 0.9 1.0 q Quenched and drawn steels (HB > 200) Annealed steels (HB < 200) Aluminum alloys Not for deep notches
  • 123.
    Fatigue September 25, 2024 Fundamentalsof Machine Design – Giuseppe Battiato 20 Stress concentration and notch sensitivity The fatigue-stress concentration factor in the fatigue limit region can be estimated as: 𝐾𝑓 = 1 + 𝑞 𝐾𝑡 − 1 For steels, the notch sensitivity q can be computed by the Neuber equation: 𝑞 = 1 1 + 𝜌 𝑟 where: - 𝑟 notch radius - 𝜌 average grain size 0 0.5 0 1000 2000 Grain size,  (mm½) Ultimate Tensile Strength, Su (MPa) 𝐴 = 𝜌 𝐴 Yield strength, 𝜎𝑌 (MPa)
  • 124.
    Fatigue September 25, 2024 Fundamentalsof Machine Design – Giuseppe Battiato 21 From specimens to components: fatigue strength reduction • Due to the described influencing factors, the fatigue strength 𝜎𝐷−1 (obtained from rotating bending tests on 10 mm diameter, polished specimens) must be corrected. • The fatigue limit of the component 𝜎𝐷−1 𝐶 will be: - components without notches: 𝜎𝐷−1 𝐶 = 𝐶𝐿𝐶𝑆𝐶𝐹𝐶𝑅𝜎𝐷−1 - components with notches: 𝜎𝐷−1 𝐶 = 𝐶𝐿𝐶𝑆𝐶𝐹𝐶𝑅𝜎𝐷−1 𝐾𝑓 • To determine whether the component is safe, the working point P ≡ (𝜎𝑚,𝑛,𝜎𝑎,𝑛), corresponding to the nominal loading condition, must be plotted on the Haigh diagram, and its position must be carefully evaluated (see next slides for the safety factor evaluation).
  • 125.
    Fatigue September 25, 2024 Fundamentalsof Machine Design – Giuseppe Battiato 22 • The approach that interprets the fatigue stress intensity factor as a reduction coefficient for the material’s fatigue limit has different limitations when the stress state results from different loading types. This is primarily because it relies on a single coefficient 𝐾𝑓 to represent various loading modes, which may not accurately account for the complexities introduced by different stress conditions. • For example, when rotating bending is combined with tension-compression, it raises the question of which 𝐾𝑓 should be used in the denominator of the formula defining 𝜎𝐷−1 𝐶 . In this case, both limits, i.e. 𝜎𝐷−1 𝑐,𝐵 , 𝜎𝐷−1 𝑐,𝑇𝐶 , should be calculated using 𝐾𝑓 𝐵 for bending and 𝐾𝑓 𝑇𝐶 for tension/compression respectively. The lower of the two values should then be used for the verification. P 𝜎𝑎,𝑒𝑞 𝜎𝑚,𝑒𝑞 𝜎𝑎 𝜎𝑚 𝜎𝐷−1 𝐶 𝜎𝐷−1 𝑐 = 𝐶𝐿 ⋅ 𝐶𝑆 ⋅ 𝐶𝐹 𝐾𝑓 𝜎𝐷−1 From specimens to components: fatigue strength reduction
  • 126.
    Fatigue September 25, 2024 Fundamentalsof Machine Design – Giuseppe Battiato 23 From specimens to components: Haigh diagram construction for a component 𝜎𝑚 𝜎𝑈 𝜎𝑈 𝑅 = −∞ 𝑅 = 0 𝜎𝐷−1 P 𝜎𝐷−1 𝐶 Specimen Component 𝑁 = constant 𝑃 ≡ (𝜎𝑚,𝑛,𝜎𝑎,𝑛) 𝜎𝑎 𝜎𝑈 𝜎𝑌 𝜎𝑌 𝜎𝑌
  • 127.
    Fatigue September 25, 2024 Fundamentalsof Machine Design – Giuseppe Battiato 24 Mechanical treatments • A local load is applied on the surface. • This local load induces compressive yielding in a small portion of material. • The material tends to expand laterally. • The internal part (heart) of the component remains in the elastic regime and prevents the expansion of the yielded portion, inducing a residual stress (compression) at the component surface. Yielding in compression and lateral dilatation Compressed material Elastic material Elastic material Elastic material 𝜎 𝜀 𝜎𝑟𝑒𝑠 A B C 𝜎 𝜀 A B’ A’ Point undergoing plastic deformation (grey region) Point remaining in the elastic region, close to the grey region (green region) A compressive stress state (negative) at the surface decreases a positive (tension) the mean stress 𝜎𝑚 applied to the component.
  • 128.
    Fatigue September 25, 2024 Fundamentalsof Machine Design – Giuseppe Battiato 25 Mechanical treatments: shot peening • It generates compressive residual stresses on the surface of the component through high- speed impacts from small steel balls, fired at high speed by centrifugal force or compressed air. - The depth of the affected zone by the compression residual stresses if around 1 mm; - It is more effective on medium hardness steels and cast iron than on hard and light alloys (20-35% expected increase of 𝜎𝐷). - Very effective for components having a simple geometry; - Typical applications: leaf springs. • Patented by Föppl, in Germany in 1929 and introduced by Almen (GM) during the 1930’s to increase fatigue strength of leaf springs in automotive suspensions.
  • 129.
    Fatigue September 25, 2024 Fundamentalsof Machine Design – Giuseppe Battiato 26 Mechanical treatments: shot peening The compressive stress state is realized in the region which is subjected to tension during operation.
  • 130.
    Fatigue September 25, 2024 Fundamentalsof Machine Design – Giuseppe Battiato 27 Mechanical treatments: cold rolling • Similar effect as for shot peening; • Maximum depth of the zone affected by compression residual stresses is around 10 mm; • After the treatment the surface appears to be smooth; • Non suitable for thin components because the plastic deformation might extend to the entire thickness; • Typical applications: crankpins-web/counterweights fillet in crankshafts.
  • 131.
    Fatigue September 25, 2024 Fundamentalsof Machine Design – Giuseppe Battiato 28 Mechanical treatments: cold rolling Typical applications: threads, crankpins-web/counterweights fillet in crankshafts. Thread rolling dies Crankpins (in blue, or crank throws) Crankshaft Web/Counterweights Main journals
  • 132.
    Fatigue September 25, 2024 Fundamentalsof Machine Design – Giuseppe Battiato 29 Mechanical treatments: hot rolling or forming • It has a negative effect because it is always associated with surface decarburization: o It decreases the strength of the surface layer; o It decreases the surface layer volume whose contraction is prevented by the underlying material; o It causes dangerous tension residual stresses! C + O2 → CO2
  • 133.
    Fatigue September 25, 2024 Fundamentalsof Machine Design – Giuseppe Battiato 30 Mechanical treatments: cold forming Internal fibers (tension) External fibers (compression) After forming 𝜎 > 0 𝜎 < 0 𝑀 𝑀 • It generates a compression residual state of stress on one side, tension on the other side. This effect is due to the restoring force generated by the elastic part (internal) of the material. • The effect must be carefully checked.
  • 134.
    Fatigue September 25, 2024 Fundamentalsof Machine Design – Giuseppe Battiato 31 Chemical/physical treatments: surface coatings • Coatings are used to prevent corrosion, wear problems, or for aesthetic purposes; • Chromium and Nickel plating: - Are the most widespread surface coatings for steels; - They induce a tension state of stress, therefore they significantly decrease the fatigue strength; - The effect is more pronounced as much as: - Shot peening or nitridation are used to mitigate these problem, especially with nickel plating. o The material has higher strength; o The higher endurance is expected; o The higher the coating layer thickness.
  • 135.
    Fatigue September 25, 2024 Fundamentalsof Machine Design – Giuseppe Battiato 32 Chemical/physical treatments: surface coatings • Cadmium and zinc plating: - They do not have a significant effect on fatigue strength: • Used against corrosion; • Poor wear resistance; • Electrically deposed coatings, in the case of metallic materials, if not properly controlled, can induce hydrogen embrittlement. • Anodizing - Typical of light alloys (aluminum alloys…): • It forms a brittle film that fractures under cyclic loads, initiating the fatigue process; • This effect is negatively synergic with the action of corrosion; • The decrease in fatigue strength is around 20-30%.
  • 136.
    Fatigue September 25, 2024 Fundamentalsof Machine Design – Giuseppe Battiato 33 Thermal and diffusive treatment: generality • Residual stresses can be caused by: - Local phase changes; - Diffusive process; - Thermal gradients and differential thermal expansion/contraction (differential cooling). • Empirical rule: the parts last to cool remain in tension. • Residual stresses occur in welding, flame cutting (oxi-fuel cutting, etc.), but also in metal working (for example in wheel grinding).
  • 137.
    Fatigue September 25, 2024 Fundamentalsof Machine Design – Giuseppe Battiato 34 Thermal and diffusive treatment: carburizing/carburization and nitriding • Diffusive processes with beneficial effects on fatigue strength: - They induce surface hardening (useful for gear teeth); - By increasing the volume of the layer affected by the diffusive process, a layer under compressive stress is ultimately created; - The interested layer is around 1 mm.
  • 138.
    Fatigue September 25, 2024 Fundamentalsof Machine Design – Giuseppe Battiato 35 Thermal and diffusive treatment: quenching • In ferrous materials quenching (heating at the austenizing temperature followed by rapid cooling) causes the martensitic transformation with a linear expansion around 0.5%; • In surface quenching, the non-quenched inner material prevents the surface material expansion leading to a residual compression state of stress (beneficial); • Induction hardening allows the selective hardening of a part to achieve desired hardness over a specific area and depth. Very effective since it leaves a tougher core.
  • 139.
    Fatigue September 25, 2024 Fundamentalsof Machine Design – Giuseppe Battiato 36 Operating temperature effect • At low temperature - Flow processes (plasticity) are hampered: nucleation is hindered, yield limit is increased. - Resilience and toughness reduce. - Propagation phase is hindered. • At high temperature - Flow processes are facilitated: the yield limit may even disappear, toughness decreases, while elongation and propagation extend. - For temperatures higher than 60-70% of the melting temperature, plastic flow becomes important (creep). The classical stress-based approach becomes unapplicable.
  • 140.
    Fatigue September 25, 2024 Fundamentalsof Machine Design – Giuseppe Battiato 37 Corrosive environment • It dramatically reduces the components life; • Temperature plays an important role in affecting the speed of all the electrochemical reactions; • High-strength materials are more sensitive to corrosion, the contrary in ductile materials; • High chromium contents make steel less sensitive to stress corrosion (stainless steels); • Chrome plating, nickel plating, cadmium plating, and zinc plating, which have the effect of reducing strength in a non-corrosive environment, have opposite effect in a corrosive environment (beneficial).
  • 141.
    Fatigue September 25, 2024 Fundamentalsof Machine Design – Giuseppe Battiato 38 Endurance limit: S-N diagram of components 𝐾𝑓 𝑁 = 𝜎𝑁specimen 𝜎𝑁component • The correction coefficients introduced above were evaluated with reference to the fatigue limit. • Their effect on the fatigue strength varies with the number of cycles. In particular, the effect of such factors is even negligible in the LCF region (notches can even increase the static strength of the component since they generate a tri-axial tension state). • The best estimate of the S-N diagram is obtained by considering a straight line joining the point F to the value of the fatigue limit 𝜎𝐷 (point G). 𝐾𝑓 = 𝜎𝐷specimen 𝜎𝐷component N G F
  • 142.
    Fatigue September 25, 2024 Fundamentalsof Machine Design – Giuseppe Battiato 39 Safety factor in fatigue strength: uniaxial loading • For fatigue problems the safety factor is defined as the ratio of allowable stress to applied stress, a definition that also applies to static problems. • The allowable stress depends on the mean stress 𝜎𝑚, on the alternate stress 𝜎𝑎, and on the performance of the component. Therefore, operational stress path, representing the evolution of 𝜎𝑚 and 𝜎𝑎 during operation, must be plotted on diagrams that show the relationship between 𝜎𝑎 and 𝜎𝑚 (i.e. the Haigh diagram, Goodman diagram, etc.). This is essential for determining the allowable stress. • In general, the minimum safety factor against fatigue failure should be set at 3, unless otherwise specified. • Uniaxial loading with constant amplitude is considered here, while cases involving multiaxial stress states or variable alternating components will be discussed in subsequent sections.
  • 143.
    Fatigue September 25, 2024 Fundamentalsof Machine Design – Giuseppe Battiato 40 Safety factor in fatigue strength: safety factor for infinite life • Step 1: Build the Haigh diagram 𝜎𝐷−1 𝐶 = 𝐶𝐿𝐶𝑆𝐶𝐹𝐶𝑅𝜎𝐷−1 𝐾𝑓 𝜎𝑌 𝜎𝑎 𝜎𝑚 −𝜎𝑌 𝜎𝐷−1 𝐶
  • 144.
    Fatigue September 25, 2024 Fundamentalsof Machine Design – Giuseppe Battiato 41 Safety factor in fatigue strength: safety factor for infinite life • Step 2: Identify the operating point 𝑃 = (𝜎𝑚 𝑃 , 𝜎𝑎 𝑃 ) in the same reference frame. The safety factor (SF) is then calculated based on one of the following criteria, depending on the relationship between the stresses and the component's performance. 𝜎𝑎 𝑃 𝜎𝑌 𝜎𝑎 𝜎𝑚 𝜎𝐷−1 𝐶 P 𝜎𝑚 𝑃 −𝜎𝑌
  • 145.
    Fatigue September 25, 2024 Fundamentalsof Machine Design – Giuseppe Battiato 42 Safety factor in fatigue strength: safety factor for infinite life • Step 3: Identify the limit stress 𝜎𝑙𝑖𝑚 on the Haigh diagram and compute SF as: 𝑆𝐹 = 𝜎𝑙𝑖𝑚 𝜎𝑃 𝜎𝑎 𝑃 𝜎𝑚 𝑃 𝜎𝑌 𝜎𝑎 𝜎𝑚 𝜎𝐷−1 𝐶 P −𝜎𝑌
  • 146.
    Fatigue September 25, 202443 Safety factor in fatigue strength: safety factor for infinite life • Step 3: Identify the limit stress 𝜎𝑙𝑖𝑚 on the Haigh diagram and compute SF: - Case A: mean stress constant and alternate stress varying with performance. 𝑆𝐹 = 𝜎𝐷 lim 𝜎𝑎 𝑃 𝜎𝑎 𝑃 𝜎𝑌 𝜎𝑎 𝜎𝑚 𝜎𝐷−1 𝐶 𝜎𝐷 𝑙𝑖𝑚 P 𝜎𝑚 𝑃 𝜎𝑚 𝑃 = const Fundamentals of Machine Design – Giuseppe Battiato −𝜎𝑌
  • 147.
    Fatigue September 25, 2024 Fundamentalsof Machine Design – Giuseppe Battiato 44 Safety factor in fatigue strength: safety factor for infinite life • Step 3: Identify the limit stress 𝜎𝑙𝑖𝑚 on the Haigh diagram and compute SF: - Case B: both mean stress and alternate stress varying with performance (average stress proportional to alternate stress). 𝑆𝐹 = 𝜎𝐷 𝑙𝑖𝑚 𝜎𝑎 𝑃 = 𝜎𝑚 𝑙𝑖𝑚 𝜎𝑚 𝑃 = 𝜎𝑚𝑎𝑥 𝑙𝑖𝑚 𝜎𝑚𝑎𝑥 𝑃 = 𝜎𝑚𝑖𝑛 𝑙𝑖𝑚 𝜎𝑚𝑖𝑛 𝑃 𝜎𝑎 𝑃 𝜎𝑚 𝑃 = const → 𝜎𝐷 𝑙𝑖𝑚 𝜎𝑚 𝑙𝑖𝑚 = const 𝜎𝑎 𝑃 𝜎𝑚 𝑃 𝜎𝑌 𝜎𝑎 𝜎𝑚 𝜎𝐷−1 𝐶 𝜎𝐷 𝑙𝑖𝑚 P 𝜎𝑚 𝑙𝑖𝑚 −𝜎𝑌
  • 148.
    Fatigue September 25, 2024 Fundamentalsof Machine Design – Giuseppe Battiato 45 Safety factor in fatigue strength: safety factor for infinite life • Step 3: Identify the limit stress 𝜎𝑙𝑖𝑚 on the Haigh diagram and compute SF: - Case C: mean stress with a constant part (𝜎𝑚𝑐 𝑃 ) and the other proportional to the alternate stress (𝜎𝑚𝑝 𝑃 varying with performance). 𝑆𝐹 = 𝜎𝐷 𝑙𝑖𝑚 𝜎𝑎 𝑃 𝜎𝑎 𝑃 𝜎𝑚 𝑃 𝜎𝑌 𝜎𝑎 𝜎𝑚 𝜎𝐷−1 𝐶 𝜎𝐷 𝑙𝑖𝑚 P 𝜎𝑚𝑝 𝑃 𝜎𝑚𝑐 𝑃 𝜎𝑎 𝑃 𝜎𝑚𝑝 𝑃 = const 𝜎𝑚𝑐 𝑃 = const −𝜎𝑌
  • 149.
    Fatigue September 25, 2024 Fundamentalsof Machine Design – Giuseppe Battiato 46 Safety factor in fatigue strength: safety factor for infinite life • Step 3: Identify the limit stress 𝜎𝑙𝑖𝑚 on the Haigh diagram and compute SF: - Case D: alternate stress constant and mean stress varying with performance. 𝑆𝐹 = 𝜎𝑚 𝑙𝑖𝑚 𝜎𝑚 𝑃 𝜎𝑚 𝑃 𝜎𝑌 𝜎𝑎 𝜎𝑚 𝜎𝑎 𝑃 P 𝜎𝑚 𝑙𝑖𝑚 𝜎𝑎 𝑃 = const −𝜎𝑌
  • 150.
    Fatigue September 25, 2024 Fundamentalsof Machine Design – Giuseppe Battiato 47 Safety factor in fatigue strength: safety factor for finite life 𝑆𝐹𝜎 = 𝜎𝑁o 𝜎𝑎 𝑆𝐹𝑁 = 𝑁𝐿 𝑁o • The two safety factors are different from each other, but a relationship between them can be found. • If the log-log representation is used for the S-N diagram: 𝑁𝐿𝜎𝑎 𝑘 = 𝑁o𝜎𝑁o 𝑘 → 𝑁𝐿 𝑁o = 𝜎𝑁o 𝜎𝑎 𝑘 𝑆𝐹𝑁 = 𝑆𝐹𝜎 𝑘 Endurance Safety Factor Strength Safety Factor 𝜎𝑁o is the fatigue strength corresponding to the target number of cycles 𝑁o. 102 103 104 105 106 N 200 400 600 800 1000 a m =_____ a No NL No The calculation of SF in the finite life region requires the mean and alternate stress corresponding to the operative point 𝑃 𝜎𝑚, 𝜎𝑎 , and a target number of cycles 𝑁o.
  • 151.
    Fatigue September 25, 2024 Fundamentalsof Machine Design – Giuseppe Battiato 48 Example 1 A rotating shaft is loaded in its middle section 𝐶 by a transverse force 𝐹 = 7.5 kN and by an axial force 𝑃 = 25 kN, as shown in the figure. Given the following data: 𝐷 = 40 mm, 𝐿 = 120 mm, 𝑅𝑎 = 1.6 μm (surface roughness); Material: 𝜎𝑈 = 900 MPa, 𝜎𝑌 = 635 MPa, 𝜎𝐷−1 = 450 MPa; a) Compute the mean stress 𝜎𝑚 and the alternate stress 𝜎𝑎 in the most stressed point of the shaft. b) Draw the Haigh diagram (infinite life) for the component. c) Compute the safety factor for infinite fatigue life, in the hypothesis that the mean stress is constant with performance while the alternate stress varies with performance.
  • 152.
    A shaft madeof steel (𝜎𝑈 = 1100 MPa, 𝜎𝑌 = 800 MPa, 𝜎𝐷−1 = 550 MPa and 𝐴% = 12) has a groove with diameter variation from 𝐷 = 60 mm to d = 30 mm and a fillet radius 𝑟 = 3 mm. The shaft has surface roughness 𝑅𝑎 = 0.8 μm. In working conditions, the shaft is subjected to bending with mean component 𝑀𝐵,𝑚 = 350 Nm and alternate component 𝑀𝐵,𝑎 = 150 Nm. a) Compute the mean stress 𝜎𝑚 and the alternate stress 𝜎𝑎. b) Draw the Haigh diagram (infinite life) for the component. c) Compute the safety factor for infinite fatigue life, in the hypothesis that the mean stress is constant with performance while the alternate stress varies with performance. Fatigue September 25, 2024 Fundamentals of Machine Design – Giuseppe Battiato 49 Example 2
  • 153.
    Fatigue September 25, 2024 Fundamentalsof Machine Design – Giuseppe Battiato 50 Example 3 A plate made of S355 EN 10027/1), with a standard fatigue limit 𝜎𝐷−1 = 250 MPa, the dimensions shown in the figure, and thickness 𝑏 = 15 mm, is subjected to a variable transverse load 𝑃 = −2 ÷ 2 kN and a constant axial load 𝑇 = 36 kN. The plate is obtained through milling, with a surface roughness of 1.6 μm. Calculate the fatigue safety factor of the plate using in the notch area for the following cases: a) as the required performance increases, only the amplitude of 𝑃 increases; b) as the required performance increases, 𝑃 and 𝑇 increase proportionally; c) as the required performance increases, only 𝑇 increases.
  • 154.
    Fatigue September 25, 2024 Fundamentalsof Machine Design – Giuseppe Battiato 51 Multiaxial loading: combination of loading modes • In various applications, mechanical components are subjected to multiaxial stress states. A multiaxial stress state occurs when at least 2 principal stresses are different than zero. • One of the main problems with multiaxial fatigue is that each of the principal stresses (or strains) can have a different time history. In general, three cases may occur: - Non-complex multiaxial stress state: all principal stresses reach the maximum and minimum at same time and principal directions do not change in time (e.g. shaft subjected to alternate torsion with 𝜏𝑚 = 0 + rotating bending 𝜎𝑚 = 0). - Complex multiaxial stress state: loads are not in phase, meaning that the principal directions change in time; - Mixed case: loads are in phase, but the principal directions change in time because the mean stress principal directions do not coincide to the alternate stress ones (e.g. rotating bending + 𝜏𝑚 = const due to torsion).
  • 155.
    Ductile materials (area delimitedby the curve and the axes) Brittle materials 0 100 200 300 400 0 100 200 300 400 500 600 ( ) MPa a  30 Ni Cr Mo12 Rm=900 MPa C 15 Rm=425 MPa ( ) MPa a  Experimental data obtained by Gough and Pollard (1935 – 1951) Fatigue September 25, 2024 Fundamentals of Machine Design – Giuseppe Battiato 52 Multiaxial loading: Gough and Pollard analysis 𝜎𝑎 𝜎𝐷−1 2 + 𝜏𝑎 𝜏𝐷−1 2 ≤ 1 → 𝜎𝑎 2 + 𝜎𝐷−1 𝜏𝐷−1 2 𝜏𝑎 2 ≤ 𝜎𝐷−1 2 For carbon steels, aluminum and titanium alloys, brass and bronze it holds: 𝜏𝐷−1 ≅ 0.6 𝜎𝐷−1 ≅ 𝜎𝐷−1 3 meaning that: 𝜎𝑎 2 + 3𝜏𝑎 2 ≤ 𝜎𝐷−1 In phase multiaxial loading on cylindrical specimens: - Alternate torsion (𝜏𝑚 = 0) - Alternate bending (𝜎𝑚 = 0) 𝜏𝑎 𝜏𝐷−1 2 + 𝜏𝑎 𝜎𝑎 − 1 𝜎𝑎 𝜎𝐷−1 2 + 2 − 𝜎𝐷−1 𝜏𝐷−1 𝜎𝑎 𝜎𝐷−1 = 1 Safe region for ductile materials Experimental value Von Mises criterion confirmed
  • 156.
    Fatigue September 25, 2024 Fundamentalsof Machine Design – Giuseppe Battiato 53 Multiaxial loading: Gough and Pollard analysis Material exper. Mx-Def. Tresca Von Mises Plan carbon and low alloyed steels1 0.6 0.77 0.50 0.58* Grey iron 0.85 0.76÷0.82* 0.50 0.58 Ductile iron 0.84 0.79* 0.50 0.58 Aluminium alloy 0.57 0.73 0.50 0.58* Cupper 0.53 0.80 0.50* 0.58* Brass 0.57 0.70÷0.76 0.50 0.58* Bronze 0.57 0.84 0.50 0.58* Titanium alloy TiAl6V4 0.62 0.71 0.50 0.58* 1 Steels for quench and tempering heat treating Experimental and theoretical values of the ratio 𝜏𝐷−1 / 𝜎𝐷−1
  • 157.
    Fatigue September 25, 2024 Fundamentalsof Machine Design – Giuseppe Battiato 54 Multiaxial loading: generalization of Gough and Pollard analysis • Based on the Gough and Pollard analysis, it has been found that the fatigue failure of ductile materials (e.g., steels) subjected to both alternating bending and alternating torsion occurs if: 𝜎𝑎 2 + 3𝜏𝑎 2 = 𝜎𝐷−1 (1) where 𝜎𝐷−1 is the fatigue strength evaluated in standard conditions. Moreover, the left-hand side of equation (1) can be seen as a Von Mises equivalent stress: Equivalent alternate stress: 𝜎𝑎,𝑒𝑞 = 𝜎𝑎 2 + 3𝜏𝑎 2 (2) Similarly, it can be defined the equivalent mean stress as: Equivalent mean stress: 𝜎𝑚,𝑒𝑞 = 𝜎𝑚 2 + 3𝜏𝑚 2 (3)
  • 158.
    Fatigue September 25, 2024 Fundamentalsof Machine Design – Giuseppe Battiato 55 Multiaxial loading: generalization of Gough and Pollard analysis • Note that in the Gough e Pollard analysis (equation 2), the alternate stress 𝜎𝑎 comes from bending, while the alternate shear stress 𝜏𝑎 comes from torsion. Thus, the equation (1) can be re-written as: 𝜎𝑎 𝑏 2 + 3 𝜏𝑎 𝑡 2 = 𝜎𝐷−1 (4) • If a stress state due to tension/compression loading is added to the bending-torsion stress state, how do we modify equation (2)? How do we write the failure condition expressed by equation (4)? → solution from the textbook Shigley’s… • Considering a tension/compression stress state (monoaxial) only, the failure condition for fatigue is expressed as: 𝜎𝑎 𝑇 = 𝜎𝐷−1 𝑇 where 𝜎𝐷−1 𝑇 is the fatigue strength obtained from tension/compression tests.
  • 159.
    Fatigue September 25, 2024 Fundamentalsof Machine Design – Giuseppe Battiato 56 Multiaxial loading: generalization of Gough and Pollard analysis It has been shown that: 𝜎𝐷−1 𝑇 = 𝐶𝐿𝜎𝐷−1 where 𝜎𝐷−1 is the fatigue limit evaluated in standard conditions (rotating bending). Assuming 𝐶𝐿 = 0.85, the condition for which failure occurs can be expresses as: 𝜎𝑎 𝑇 = 𝜎𝐷−1 𝑇 = 0.85 ∙ 𝜎𝐷−1 → 𝜎𝑎 𝑇 0.85 = 𝜎𝐷−1 This means that in order to compare the tension/compression stress state with the fatigue limit obtained in standard conditions (rotating bending, etc.), the load coefficient (𝐶𝐿 = 0.85) must be used as a correction factor for the alternate stress 𝜎𝑎 𝑇.
  • 160.
    Fatigue September 25, 2024 Fundamentalsof Machine Design – Giuseppe Battiato 57 Multiaxial loading: generalization of Gough and Pollard analysis According to the last conclusion, the initial problem of combining the alternate stresses due to bending, tension/compression and torsion is solved by including the corrected 𝜎𝑎 𝑇 into the equation (4) as follows: 𝜎𝑎 𝑏 + 𝜎𝑎 𝑇 0.85 2 + 3 𝜏𝑎 𝑡 2 = 𝜎𝐷−1 The left-hand side of the former equation represents the equivalent alternate stress 𝜎𝑎,𝑒𝑞 : 𝜎𝑎,𝑒𝑞 = 𝜎𝑎 𝑏 + 𝜎𝑎 𝑇 0.85 2 + 3 𝜏𝑎 𝑡 2 (5) while the Von-Mises criterion can be used to compute the equivalent mean stress 𝜎𝑚,𝑒𝑞: 𝜎𝑚,𝑒𝑞 = 𝜎𝑚 𝑏 + 𝜎𝑚 𝑇 2 + 3 𝜏𝑚 𝑡 2 (6)
  • 161.
    Fatigue September 25, 2024 Fundamentalsof Machine Design – Giuseppe Battiato 58 Multiaxial loading: safety factor • The safety factor in multiaxial loading is computed as in the monoaxial case by considering the equivalent alternate and mean stresses 𝜎𝑎,𝑒𝑞 and 𝜎𝑚,𝑒𝑞. • For notched components: 𝜎𝑎,𝑒𝑞 = 𝐾𝑓 𝑏 𝜎𝑎 𝑏 + 𝐾𝑓 𝑇 𝜎𝑎 𝑇 0.85 2 + 3 𝐾𝑓 𝑡 𝜏𝑎 𝑡 2 𝜎𝑚,𝑒𝑞 = 𝐾𝑓 𝑏 𝜎𝑚 𝑏 + 𝐾𝑓 𝑇 𝜎𝑚 𝑇 2 + 3 𝐾𝑓 𝑡 𝜏𝑚 𝑡 2 𝑃 ≡ (𝜎𝑎,𝑒𝑞 𝑃 , 𝜎𝑚,𝑒𝑞 𝑃 ) Plot the working point P on the Haigh diagram and compute the safety factor as already shown!
  • 162.
    Fatigue September 25, 202459 Multiaxial loading: safety factor 𝑆𝐹 = 𝜎𝐷 lim 𝜎𝑎,𝑒𝑞 𝑃 𝜎𝑎,𝑒𝑞 𝑃 𝜎𝑃02 𝜎𝑎 𝜎𝑚 𝜎𝑃02 𝜎𝐷−1 𝐶 𝜎𝐷 𝑙𝑖𝑚 P 𝜎𝑚,𝑒𝑞 𝑃 𝜎𝑚,𝑒𝑞 𝑃 = const 𝜎𝐷−1 𝐶 = 𝐶𝑆𝐶𝐹𝐶𝑅𝜎𝐷−1 Note that the loading mode factor 𝐶𝐿 and the fatigue strength concentration factor 𝐾𝑓 do not apply to the fatigue limit correction because these have been already accounted to evaluate 𝜎𝑎,𝑒𝑞 𝑃 . Fundamentals of Machine Design – Giuseppe Battiato
  • 163.
    Fatigue September 25, 202460 Multiaxial loading: safety factor 𝜎𝑎,𝑒𝑞 𝑃 𝜎𝑃02 𝜎𝑎 𝜎𝑈 𝜎𝐷−1 𝐶 P 𝜎𝑚,𝑒𝑞 𝑃 𝜎𝑚 𝜎𝐷−1 𝐶 𝑆𝐹 𝑆𝐹 = 𝜎𝐷 lim 𝜎𝑎,𝑒𝑞 𝑃 Different interpretation If the working point belongs to the red line the safety requirements are met. 𝜎𝑃02 𝜎𝑎 𝜎𝑈 𝜎𝐷−1 𝐶 P 𝜎𝑚,𝑒𝑞 𝑃 𝜎𝑚 𝜎𝑎,𝑒𝑞 𝑃 𝜎𝐷 𝑙𝑖𝑚 Fundamentals of Machine Design – Giuseppe Battiato
  • 164.
    Fatigue September 25, 2024 Fundamentalsof Machine Design – Giuseppe Battiato 61 Multiaxial loading: FKM standard (2003) The standard “Analytical Strength Assessment, FKM–Forschungskuratorium Maschinenbau, 5th ed., VDMA Verlag, Frankfurt am Main, 2003” is the most advanced European standard for the fatigue design of transmission shaft. The main formula used for the calculation of the equivalent alternate and mean stress 𝜎𝑎,𝑒𝑞 𝑃 and 𝜎𝑚,𝑒𝑞 𝑃 are: 𝜎𝑎,𝑒𝑞 = 𝐾𝑓 𝑏 𝜎𝑎,𝑛 𝑏 + 𝐾𝑓 𝑇 𝜎𝑎,𝑛 𝑇 2 + 3 𝐾𝑓 𝑡 𝜏𝑎,𝑛 𝑡 2 𝜎𝑚,𝑒𝑞 = 𝐾𝑓 𝑏 𝜎𝑚 𝑏 + 𝐾𝑓 𝑇 𝜎𝑚 𝑇 2 + 3 𝐾𝑓 𝑡 𝜏𝑚 𝑡 2 The reference fatigue limit in FKM is evaluated in tension compression 𝜎𝐷−1 𝑇 (tension/compression 𝜎𝐷−1 in the figure), which is corrected by just the factor 𝐶𝐹 as: 𝜎𝑐,𝐷−1 = 𝜎𝑐,𝐷−1 𝑇 = 𝐶𝐹𝜎𝐷−1 𝑇 Note that: - 𝐶𝐿 does not apply because the reference fatigue limit already refer to tension/compression; - 𝐶𝑆 does not apply because in a tension/compression state of stress, no gradient of stress occurs in the process zone.
  • 165.
    Fatigue September 25, 2024 Fundamentalsof Machine Design – Giuseppe Battiato 62 Multiaxial loading: combination of loading modes – Sines analysis Sines proposed the following formula for infinite life fatigue verification in the presence of in-phase multi-axial loading: 1 2 𝜎𝑎,1 − 𝜎𝑎,2 2 + 𝜎𝑎,1 − 𝜎𝑎,3 2 + 𝜎𝑎,2 − 𝜎𝑎,3 2 + 𝑚 𝜎𝑚,1 + 𝜎𝑚,2 + 𝜎𝑚,3 ≤ 𝜎𝐷−1 The coefficient m depends on the material and can be obtained from the uniaxial case (i.e. 𝜎𝑎,𝑖 = 𝜎𝑚,𝑖 = 0 for 𝑖 = 2,3) at the limit condition: 𝜎𝑎,1 + 𝑚 ∙ 𝜎𝑚,1 = 𝜎𝐷−1 which is the Goodman equation if 𝑚 = 𝜎𝐷−1 𝜎𝑈 .
  • 166.
    Fatigue September 25, 2024 Fundamentalsof Machine Design – Giuseppe Battiato 63 Endurance analysis: variable loading fatigue  t t  n1, a1, m1 n2, a2, m2 n3, a3, m3 Block-like loading cycle Random loading cycle • Fatigue data are usually obtained from constant amplitude tests. • Real components are rarely stressed in such a way but undergo stresses with time-varying amplitudes. • In the simplest case the component is stressed with constant amplitude blocks, with average stresses possibly varying for each block, while in more complex cases the stress time-history is quite irregular (even random). • Counting methods are used to extract from a real random loading cycles an equivalent block-like loading cycle (useful for the calculation of 𝑆𝐹𝑁).
  • 167.
    Fatigue September 25, 2024 Fundamentalsof Machine Design – Giuseppe Battiato 64 Endurance analysis: variable loading fatigue Simple case: variable 𝜎𝑎 and constant 𝜎𝑚
  • 168.
    Fatigue September 25, 2024 Fundamentalsof Machine Design – Giuseppe Battiato 65 Endurance analysis: counting methods 40 80 120 -100 -50 0 50 150 2.0 2.5 3.0 3.5 4.0 4.5 5.0 5.5 Log(N)  a ( M P a )  m ( M P a ) 60 100 140 160 180 200 220 240 260 a (o ) N n1 n2 n3 n4 n5 n6 N a (o ) Mono-parametric methods At least one the 2 parameters defining the loading cycle is constant • 𝜎𝑚 = const → 𝜎𝑎 • 𝑅𝑎 = const → ∆𝜎 Bi-parametric methods (Loading matrix) Warning: the loading sequence is lost!
  • 169.
    Fatigue September 25, 2024 Fundamentalsof Machine Design – Giuseppe Battiato 66 Endurance analysis: counting methods – loading matrix 25 50 75 100 125 150 175 250 -25 0 25 50 75 100 125 175 0 0.5 1 1.5 2 2.5 3 Cycles σm (MPa) σa (MPa) Tabella I: Conteggi (MPa) n min max  a m 1 -200 300 500 250 50 2 0 200 200 100 100 3 -150 200 350 175 25 4 0 100 100 50 50 5 -100 100 200 100 0 6 -150 100 250 125 -25 7 -100 100 200 100 0 8 0 150 150 75 75 9 50 200 150 75 125 10 -50 250 300 150 100 11 -100 250 350 175 75 12 100 250 150 75 175 13 -50 100 150 75 25 14 -100 100 200 100 0 15 -100 50 150 75 -25 16 -150 100 250 125 -25 17 0 50 50 25 25 18 100 150 50 25 125 19 50 200 150 75 125 20 0 150 150 75 75 21 50 150 100 50 100 22 0 100 100 50 50 23 0 200 200 100 100 24 -50 50 100 50 0 25 -50 0 50 25 -25 26 -50 50 100 50 0 27 50 150 100 50 100 Counting (MPa)
  • 170.
    Fatigue September 25, 2024 Fundamentalsof Machine Design – Giuseppe Battiato 67 Endurance analysis: counting methods – rainflow method 300 250 200 150 100 50 0 -50 -100 -150 -200 t  (MPa) Consider the loading time-history as a tank!
  • 171.
    Fatigue September 25, 2024 Fundamentalsof Machine Design – Giuseppe Battiato 68 Endurance analysis: counting methods – rainflow method t 1 A 300 250 200 150 100 50 0 -50 -100 -150 -200  (MPa) t 3 2 4 5 7 6 8 10 11 12 9 B 300 250 200 150 100 50 0 -50 -100 -150 -200  (MPa) t 13 C 14 15 16 17 18 19 20 21 22 23 300 250 200 150 100 50 0 -50 -100 -150 -200  (MPa) t D 24 26 25 27 300 250 200 150 100 50 0 -50 -100 -150 -200  (MPa) Tabella I: Conteggi (MPa) n min max  a m 1 -200 300 500 250 50 2 0 200 200 100 100 3 -150 200 350 175 25 4 0 100 100 50 50 5 -100 100 200 100 0 6 -150 100 250 125 -25 7 -100 100 200 100 0 8 0 150 150 75 75 9 50 200 150 75 125 10 -50 250 300 150 100 11 -100 250 350 175 75 12 100 250 150 75 175 13 -50 100 150 75 25 14 -100 100 200 100 0 15 -100 50 150 75 -25 16 -150 100 250 125 -25 17 0 50 50 25 25 18 100 150 50 25 125 19 50 200 150 75 125 20 0 150 150 75 75 21 50 150 100 50 100 22 0 100 100 50 50 23 0 200 200 100 100 24 -50 50 100 50 0 25 -50 0 50 25 -25 26 -50 50 100 50 0 27 50 150 100 50 100 Counting (MPa)
  • 172.
    Fatigue September 25, 2024 Fundamentalsof Machine Design – Giuseppe Battiato 69 Endurance analysis: Palmgren-Miner rule • 𝐷 = σ 𝐷𝑖 = σ 𝑛𝑖 𝑁𝑖 < 1 → Safety • 𝐷 = σ 𝐷𝑖 = σ 𝑛𝑖 𝑁𝑖 = 1 → Fatigue failure (with x% probability) • Load condition: 𝜎𝑎𝑖 • Application: 𝑛𝑖 (cycles) • Corresponding life: 𝑁𝑖 • Definition of i-th damage: 𝐷𝑖 = 𝑛𝑖 𝑁𝑖 102 103 104 105 106 100 500 1000 Ni N a  ai  = m  ( ) ai i n P  , 𝑛𝑖 Warning: this method does not consider the loading sequence!
  • 173.
    Fatigue September 25, 2024 Fundamentalsof Machine Design – Giuseppe Battiato 70 Endurance analysis: Palmgren-Miner rule 103 104 105 106 107 100 500 1000 N a  = m  k k 108 2k−1 k =  According to Haibach, with variable amplitude fatigue, the endurance limit disappears. An alternate stress lower than the fatigue limit damages the component (conservative approach). In the case of stress amplitude varying in blocks: 𝐷 = σ 𝐷𝑖 = σ 𝑛𝑖 𝑁𝑖 < 1 → Endurance Safety Factor 𝑆𝐹𝑁 = 1 𝐷 (> 1) The position of the knee must be known 𝜎𝑚 = 𝑐𝑜𝑛𝑠𝑡
  • 174.
    Fatigue September 25, 2024 Fundamentalsof Machine Design – Giuseppe Battiato 71 Endurance analysis: Palmgren-Miner rule It was found that failure occurs when: 𝐷 = ෍ 𝐷𝑖 = ෍ 𝑛𝑖 𝑁𝑖 = 1 If 𝑁𝑡𝑜𝑡 is the total number of cycle to failure (sum of all the cycles regardless the 𝜎𝑎 and 𝜎𝑚 of each loading block), 𝑛𝑖 is a fraction of it: 𝑛𝑖 = 𝛼𝑖𝑁𝑡𝑜𝑡, with 𝛼𝑖 < 1 t  n1, a1, m1 n2, a2, m2 n3, a3, m3 𝑁𝑡𝑜𝑡
  • 175.
    Fatigue September 25, 2024 Fundamentalsof Machine Design – Giuseppe Battiato 72 Endurance analysis: Palmgren-Miner rule 𝑁𝑡𝑜𝑡 is computed as follows: 𝐷 = ෍ 𝐷𝑖 = ෍ 𝑛𝑖 𝑁𝑖 = ෍ 𝛼𝑖𝑁𝑡𝑜𝑡 𝑁𝑖 = 𝑁𝑡𝑜𝑡 ෍ 𝛼𝑖 𝑁𝑖 = 1 → → 𝑁𝑡𝑜𝑡 = 1 σ 𝛼𝑖 𝑁𝑖 If 𝛼𝑖 is know for each loading block, 𝑁𝑖 can be found from the S-N diagram as: 𝑁𝑖 = 𝐵𝑖 𝜎𝑎,𝑖 𝑘 Therefore, 𝑁𝑡𝑜𝑡 can be finally expressed as: 𝑁𝑡𝑜𝑡 = 1 σ 𝛼𝑖 𝑁𝑖 = 1 σ 𝛼𝑖 𝐵𝑖 𝜎𝑎,𝑖 𝑘 = 1 σ 𝛼𝑖𝜎𝑎,𝑖 𝑘 𝐵𝑖 = 𝐵 σ 𝛼𝑖𝜎𝑎,𝑖 𝑘 102 103 104 105 106 100 500 1000 Ni N a  ai  = m  ( ) ai i n P  , 𝑛𝑖 𝜎𝑚 = 𝑐𝑜𝑛𝑠𝑡 It holds just if 𝜎𝑚 is the same for each loading block
  • 176.
    Fatigue September 25, 2024 Fundamentalsof Machine Design – Giuseppe Battiato 73 Endurance analysis: Palmgren-Miner rule 𝑁𝑡𝑜𝑡 is computed as follows: 𝐷 = ෍ 𝐷𝑖 = ෍ 𝑛𝑖 𝑁𝑖 = ෍ 𝛼𝑖𝑁𝑡𝑜𝑡 𝑁𝑖 = 𝑁𝑡𝑜𝑡 ෍ 𝛼𝑖 𝑁𝑖 = 1 → → 𝑁𝑡𝑜𝑡 = 1 σ 𝛼𝑖 𝑁𝑖 If 𝛼𝑖 is know for each loading block, 𝑁𝑖 can be found from the S-N diagram as: 𝑁𝑖 = 𝐵𝑖 𝜎𝑎,𝑖 𝑘 Therefore, 𝑁𝑡𝑜𝑡 can be finally expressed as: 𝑁𝑡𝑜𝑡 = 1 σ 𝛼𝑖 𝑁𝑖 = 1 σ 𝛼𝑖 𝐵𝑖 𝜎𝑎,𝑖 𝑘 = 1 σ 𝛼𝑖𝜎𝑎,𝑖 𝑘 𝐵𝑖 = 𝐵 σ 𝛼𝑖𝜎𝑎,𝑖 𝑘 102 103 104 105 106 100 500 1000 Ni N a  ai  = m  ( ) ai i n P  , 𝑛𝑖 (see next slide) 𝜎𝑚 = 𝑐𝑜𝑛𝑠𝑡 It holds just if 𝜎𝑚 is the same for each loading block
  • 177.
    1. Compute 𝜎𝐷,𝑖from the Haigh diagram for each 𝜎𝑚,𝑖; 2. Compute 𝑁𝑖 from the corresponding S-N diagram. Fatigue September 25, 2024 Fundamentals of Machine Design – Giuseppe Battiato 74 Endurance analysis: Palmgren-Miner rule Tabella I: Conteggi (MPa) n min max  a m 1 -200 300 500 250 50 2 0 200 200 100 100 3 -150 200 350 175 25 4 0 100 100 50 50 5 -100 100 200 100 0 6 -150 100 250 125 -25 7 -100 100 200 100 0 8 0 150 150 75 75 9 50 200 150 75 125 10 -50 250 300 150 100 11 -100 250 350 175 75 12 100 250 150 75 175 13 -50 100 150 75 25 14 -100 100 200 100 0 15 -100 50 150 75 -25 16 -150 100 250 125 -25 17 0 50 50 25 25 18 100 150 50 25 125 19 50 200 150 75 125 20 0 150 150 75 75 21 50 150 100 50 100 22 0 100 100 50 50 23 0 200 200 100 100 24 -50 50 100 50 0 25 -50 0 50 25 -25 26 -50 50 100 50 0 27 50 150 100 50 100 Counting (MPa) 102 103 104 105 106 100 500 1000 Ni N a  ai  = m  ( ) ai i n P  , 𝑛𝑖 𝜎𝑚,𝑖 = 𝑐𝑜𝑛𝑠𝑡 𝜎𝐷,𝑖
  • 178.
    Fatigue September 25, 2024 Fundamentalsof Machine Design – Giuseppe Battiato 75 Endurance analysis: Palmgren-Miner rule 1. Compute 𝜎𝐷,𝑖 corresponding to 𝜎𝑚,𝑖 for each loading block (𝑖 = 1,2, … .) using the Goodman line equation. 2. Build the Wöhler diagram for each 𝜎𝑚,𝑖 and compute the constants 𝑘 and 𝐵 ; 3. Given the alternate stress 𝜎𝑎,𝑖 compute the corresponding 𝑁𝑖 using the Wöhler diagram (i.e. the line equation in a log-log representation connecting the points F and G); 4. Apply the Palmgrem-Miner rule.
  • 179.
    Fatigue September 25, 2024 Fundamentalsof Machine Design – Giuseppe Battiato 76 Example 1 Given the loading time history shown in the following figure: it is requested to apply the Rainflow method and to calculate the alternate and mean stress of the loading blocks.
  • 180.
    Fatigue September 25, 2024 Fundamentalsof Machine Design – Giuseppe Battiato 77 Example 2 A beam with circular cross section (diameter d = 14 mm) is subjected to tension/compression loading oscillation cycles according to the following time history: The beam is made of steel (𝜎𝑈 = 900 MPa, 𝜎𝑌 = 700 MPa, 𝜎𝐷−1 = 450 MPa). 1. From the given time history, compute the cycle fractions, 𝜎𝑖, the mean stress, 𝜎𝑚,𝑖, and the alternating stress, 𝜎𝑎,𝑖, for each loading block. 2. Compute the fatigue limits, 𝜎𝐷,𝑖 𝑐 , for each loading block and the Basquin parameters, 𝑘𝑖 and 𝐵𝑖, only related to the damaging loading blocks. 3. Compute the total number of cycles to failure for the component, 𝑁𝑇𝑂𝑇.
  • 181.
    ТЛл N 7,2-106; 8ы-1ĸ-25омРаї КрогйЦБОМРа; Ят=боомра бт= УБМРа р.+- Mы=1 ЭЭ быт быт11-Уи)-25о-боо ББХ - здмра ыба ,р o.г. Бр-Но D В - ain ĸрог змРа ĸрог I т дБт
  • 182.
    F 1.2 бра И5омРа ( NI 2-106); К=4.5; бы? С NE 3-105) . . " Кт-б) l r .i.. ОФ l .. t - ббы. N 1.1 d i 16. чо чог ЧОЗ lo 4 105 3-'105 BaRN .D :3 B = BD -F. N2 - 4507.5. 2. 106 = 1.58-1026. 1.58-1026 r З-05: броĸ М-В =Э бы-1=Г в, = - 3105 =5-%8.д5мРа.
  • 183.
    ДЗ бР-1=Зоомрат Дт=-еооМРАі баĸигомра ба AL 103, 09821) i BL 106, 85-) n N . ECN , ч20) ОФ Км. баĸ N =в l e БВК. МВ =В Д б К NС-в mre-.!!B 8 N. Зоо.. - МРО N =? д106 блĸ NП = ФВК NВ гбыдГГ ĸедеод1=ед(д)
  • 184.
    ĸ= е д едчйа!йа= едд вё =ед Тозо Г 3оф F ё 3в =10.25 B = OĸNA= Ю3 (бз0) 0Ш=4 626 го3! NC =B=з NCF FB ĸ =- 42 2 idi = 5.88о4 ТЧ N =5-со5, Бр-1-доомРа; рогеБчомра, RM = 8омро. бт=доом МРог баКЛ = SВКNВ і й ді ĸ lg(а)= ед() K = 1 eg', ' o?!"1B";? = 1 g eg 't..:"sioso,-I., 62 = 5-8-7.
  • 185.
    бад N= Б pyК. 2.108; баГ Бь.ĸ 8 5 0,:0" =253. 27 МРа СДН бал Ятегео мРа. Im 2ĸро l ГБР боддй ди=1 барн b Д A 1 - Ф D -2 m-Крог 20 d 2" po.n." Qmi . бт 8ы= б aр-(е-- ".)=253. 27. -- 2од 8%0) = 1до. 7з мРа.
  • 186.
    баĸ1 домра=) бт=омра FE 1.5 otched . ба=вомраKe -д;Q= O .. =3 ( Consant average sresst alternal sress sarying ) бар-домерат ФДР=О Ks = 1 tg/ke-1) = 1.7. : CL =O.7 ГЭ бал SF = а a! =Э 8р-9= 3.80 = дномРе. BD -1. - G.EEGDD- -0.7,? Бр-Ф К S. 80 N. O р-1- Кр-бо- =Б8гдмРа ОЭ 8 а дБт Rm .
  • 187.
    ДХ СБы-= веом Pа, Дт=воомРа; R рогеч60 мра) бтахт Збомраї бтипг домРа; spez %OOMPa. SE =? ( om conse ? бтах-бтии =БомРа баĸ 2 бал бы бтах1от здомра Абы Д Ф 8 ' aто бТР= бт+ б8р= Эвоо МРА f а S 4=Iм.M," = 80 =д. - tlo 2 m ббт г=-ббт- в. гОн
  • 188.
    $ H d =30mm; MM = GooNm : Ma = 200 Nm : Дт=вооо МРойДрога Доо МРат Фр--воомра (2а -дит) бт= -дд= дуі W у=БДВ2 взоттв абчдитв Зд Im : z 64g"m "n"m = 226.5мРа; баĸ Эод гойдоим"т"з= 4Б.-Б мРА CS =0.87; CE = 0.95. бр.Ф=С S. Сĸ. Бы-1= О.8Эх оФБх боо= ИВБ. Ф МРа
  • 189.
    Аба 8,.+дтэв 81+-" m-1 байб2ĸ-Дт) вёĸн a 8ъ.-Х=495,6м P. О би E 3 Baz rom . t -i-'t= de . E pX о дрог iт бы m ввĸЕ"и =1 S Г+ (.-ри)-ава? Бб.я+йвин 58 p8,9t-т%1
  • 190.
  • 191.
    2.8 D =25mm; d = D 0mm; P = Qmm ; MzmI 20Nm Nmin -10oooN MEmax 55 Nm Nmax -. 30000 N . R т=нво мРАї Дроге двомра. б12 идомра Раĸ грет JSE =? MSAF 37.5-103 Nmm Wf =I 1,02 = - 985 mm3; А=- ПФ"=- 314ты? l MS 1 OF 17.5-103 Nmm . Nm = - 2000 ON ТКат ха =аэ-адмра. m We Naz heoco N . L о быт - М = чтэмРа блаĸ -а = 31.84 мрат бетĸ - Им =б3эмРо.
  • 192.
    tension - compression l Кр Bending . ЕС Md= 0-1 53 Ke =1.7i 9=0-9О=О.8 5Э КЕ= 165. Dlo = 1.25 F =1+ Q (ke-1) = 1.58. KC =K+QLkt- 1)= 1.63. CSE 0.93 CLz 1 CL =O.4 ; CF = ОФ3 CF = 0-03 CSE 1 dmneg = Kyudmte I 'ks5ms = 1.63463.7)+ 1.58. 47.+=-28.46 МДА баяфэ-Кр .ядё +Кё- ая =дымра s -eъя!+ "т =4.3?.
  • 193.
    бы-1=48омра 8. E= BA --CS.CECL' й. r = 89 m= 4.2. M . =480. О.Ф3. 0.ФЗ D= 415 мРо, Id Дёт -2 m-Ерoг дрог. Эт бы =ль-У С.-".) = иг5 мРа SE =4 S 5 = 4.42.
  • 194.
    Б .0 D =25mm,; Mt = 250 Nm; Ken =15; K ++= 1.9; O 09 R т= НеомРа)был= 480 MP а " CF =1, CS =1. i SFE ? kgn = I + glken -1) = 1.45; KS 5=H+ QCKE -1)= 1.81 WE = IРo"= 3066.4 тт3; Та=-ий8л5з мра. n балат-Г- (ĸе- 80.80" + ĸ S5 ба+)" +3/ĸу+Ха) - БЗ КЛХат РББ 6 МРе. бал 8р= 8 D-1 CS - CF -CH =480 мра э m бре; Lя & meqro; SE =I ё'м! = - 5850: = 1.822 МФ O Rim r бот
  • 195.
    По W 5=T 021= 5384,3 mmb FS 2.JRN; VBE .5KNCA МРФ СК) Фв MSB = 4 i5ONm = Fl. Rouing bending5 7т=о 450 103 Nmm баĸ =-= 83.54 мра. 5384. З тт3 CCz 1 ( bending) CS =0.85 ( diagram, d =38 mm ? 8 x4=81 1 CYsF; CF = 0,951 diagram , Ra =1. 6 pem, Rm =g0о MP о) rId = to 5mm /38 mm= 0.04: Plo =1.18 JKe -2.2
  • 196.
    diagram or 4: ГР= 0.25. Фт ТЕ 80.81 KS = 1+ QLKe -1) E 1 98Б 8Б%= I085-0.05. ЧБ0 МРа = 183.52 1.98 МРА бал Rm SF = -8*м i= - 18352мра = днФ Rpo г. бодй?олви ДЗ Б7 МРа бёт
  • 197.
    1. ll l Сто symmetric =3 We =I 10613 =01566.29 mm3; WS = F 381= 45Э781 nm 3; че= М ё =54бмра; бу=-Б 76. 45мРа bending . PId = 0.055; Plok = 1.11 Е К eLb=1.8=) К + D=1.-42 r = J Ktt = 1.2=7 K 6 t- 1-18 torsion : r бысат ГИ (КаФ.85+- Керрбару -(ĸречер ЛЭ МРА $ A-E= CLCSCFSP -1 = 43043 MPa. : J SE =-аPайса+ 2.5) DT J 25=-0.86 CO .G
  • 198.
    О 1ла r 1 I .ё-1У 2 B 8 OSabee verifecation . Ат ax= бт+ бы= БомРа Убтах-воомРа бтаĸх б Fтt бат= Бомра Хта Гх = Хт+ Хаĸ Бомра deg т Mn dma , B (tma .) = 132. 28 MPa . Fs (sane)= ed , = 6.65 ( TRESCA) Оĸандис verca нoл. бый зомра; бай=омРа бе= омРаі батĸ Бомра Ите золера; Хай домра
  • 199.
    CS - O .87; CF -0.88; $ B.C= CS .CE BA -1E 344.52 MPa 09; PId = 01: DId -15 tension - КЕ=1.д, 1+*=++ ф(ĸё Nл) = 1.89 co тpressон Dending ; К E = 1.67 =) K 5F=1+Q(KE () = 1,603 I orsion . Ke =1.45 = J FF -1+Q/КE-17= 1.-405 O 'mea=V ( RN8MI4 К Eб)'+3(ĸй С mp I T Г (1.81-Б0+1б03 о r+ 3(1-4о5-зо%=нь. дэмРа. бала- (ĸ. M-8.8,"+ 49 F б ax)4 3 CKIta) =
  • 200.
    7 Г .8ТБ Р85 t в-6оз Бор2 +ЗС1, Чо5. дор =ФЗ. 4+ мРе бал баданД дед= БС Arn R рог SE = 2.58 22.6 Оий Обея (р o2. Шт
  • 201.
    Т.У3 k 8 n O ĸN=в lz Г бэ-т - - - - - - 8 5 Jr .N=в =3 F(8j10%, 8838..)2-106 К Llо3, 08. 600) = (103, Б40) Бчой тоз=В E ) 5чоĸ. Хо3 = 258ĸ. а 1063 Lгзо4 атоб=в E 52500)" = 24103 i ĸeg(й 548)= & g(2103) K = 9.87 в =5400.87 103 = д.3%0г9
  • 202.
    L 1= Ny '-008; Jai - "? -0.24 ;/23=-"3 = 04 aн-ао8 дО б5э-доомра бу=цзомра. бгĸ звомра бз-зомра Биĸголёра lД5-=о.2 Baize S б5сбр-1 По t заĸенпто ассон д""?*""л a".??,"%J Е ""?:!-* еатб,ĸэв ж w theoretical numberof cycles IN =E вай астиоя го b B 2 5 ло,ĸ+ат - баїтазазі+Пибе =О 44334
  • 203.
    Ne = БВ,ĸ = 6047.N г- F Вĸ =32081; Nz = 239313 ; N 4= 462206; N 5 =180 4354
  • 204.
    SE =4ї авн +- ба"т=1 Р=-Брт! баэгбт. Ба1 Im (tb- tIm )=1 B бат . Ф бася i бтт Гбоём O бтбт sm
  • 205.