Функциональное
программирование
Александр Алексеев
Парадигмы
программирования
– Процедурное программирование
– Объектно-ориентированное программирование
– Функциональное программирование
– Логическое программирование
– и другие...
Процедурное
программирование
– Pascal
– Си
– и другие...
Языки процедурного программирования:
Объектно-
ориентированное
программирование
– Java
– C#
– Delphi (Object Pascal)
– C++
– Python
– Perl, Perl 6
– PHP5
– и многие другие
ООП-языки:
Функциональное
программирование
Функциональное
программирование
Функциональное
программирование
Все очень просто!
Основы
(на примере Haskell)
data Bool = True | False
data Bool = True | False
positive :: Int → Bool
positive x = x > 0
data Bool = True | False
positive :: Int → Bool
positive x = x > 0
max :: (Ord a) => a → a → a
max x y
| x > y = x
| otherwise = y
data Person = Person {
firstName :: String,
lastName :: String,
birthYear :: Int
} deriving (Show)
data Person = Person {
firstName :: String,
lastName :: String,
birthYear :: Int
} deriving (Show)
alex = Person {
firstName = "Александр",
lastName = "Алексеев",
birthYear = 1988
}
class Eq a where
(==), (/=) :: a -> a -> Bool
x /= y = not (x == y)
x == y = not (x /= y)
class Eq a where
(==), (/=) :: a -> a -> Bool
x /= y = not (x == y)
x == y = not (x /= y)
instance Eq Person where
x == y = birthYear x == birthYear y
class Eq a where
(==), (/=) :: a -> a -> Bool
x /= y = not (x == y)
x == y = not (x /= y)
instance Eq Person where
x == y = birthYear x == birthYear y
x /= y = not (x == y)
anton = Person {
firstName = "Антон",
lastName = "Алексеев",
birthYear = 1991
}
anton = Person {
firstName = "Антон",
lastName = "Алексеев",
birthYear = 1991
}
alex == anton False
anton = Person {
firstName = "Антон",
lastName = "Алексеев",
birthYear = 1991
}
alex == anton False
alex == alex True
anton = Person {
firstName = "Антон",
lastName = "Алексеев",
birthYear = 1991
}
alex == anton False
alex == alex True
anton == alex False
anton = Person {
firstName = "Антон",
lastName = "Алексеев",
birthYear = 1991
}
alex == anton False
alex == alex True
anton == alex False
anton /= alex True
instance Ord Person where
compare x y = compare (birthYear y) (birthYear x)
instance Ord Person where
compare x y = compare (birthYear y) (birthYear x)
instance Ord Person where
x `compare` y = birthYear y `compare` birthYear x
instance Ord Person where
compare x y = compare (birthYear y) (birthYear x)
instance Ord Person where
x `compare` y = birthYear y `compare` birthYear x
max :: (Ord a) => a → a → a
instance Ord Person where
compare x y = compare (birthYear y) (birthYear x)
instance Ord Person where
x `compare` y = birthYear y `compare` birthYear x
max :: (Ord a) => a → a → a
max alex anton
instance Ord Person where
compare x y = compare (birthYear y) (birthYear x)
instance Ord Person where
x `compare` y = birthYear y `compare` birthYear x
max :: (Ord a) => a → a → a
max alex anton
birthYear (max alex anton) == 1988
Каррирование
(англ. currying)
max :: (Ord a) => a → a → a
max :: (Ord a) => a → a → a
max :: (Ord a) => a → (a → a)
max :: (Ord a) => a → a → a
max :: (Ord a) => a → (a → a)
max' = max alex
max :: (Ord a) => a → a → a
max :: (Ord a) => a → (a → a)
max' = max alex
max' :: Person → Person
max :: (Ord a) => a → a → a
max :: (Ord a) => a → (a → a)
max' = max alex
max' :: Person → Person
max' anton :: Person
max :: (Ord a) => a → a → a
max :: (Ord a) => a → (a → a)
max' = max alex
max' :: Person → Person
max' anton :: Person
birthYear (max' anton) == 1988
Лямбда-
функции
Лямбда-
функции
(λ)
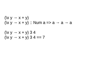
(x y → x + y)
(x y → x + y)
(x y → x + y) :: ?
(x y → x + y)
(x y → x + y) :: Num a => a → a → a
(x y → x + y)
(x y → x + y) :: Num a => a → a → a
(x y → x + y) 3 4
(x y → x + y)
(x y → x + y) :: Num a => a → a → a
(x y → x + y) 3 4
(x y → x + y) 3 4 == 7
Кортежи
(1, 2)
(1, 2)
('a', 'b')
(1, 2)
('a', 'b')
(1, 2, 3, 4)
(1, 2)
('a', 'b')
(1, 2, 3, 4)
(1, 'a')
(1, 2)
('a', 'b')
(1, 2, 3, 4)
(1, 'a')
('a')
(1, 2)
('a', 'b')
(1, 2, 3, 4)
(1, 'a')
('a')
( )
(1, 2)
('a', 'b')
(1, 2, 3, 4)
(1, 'a')
('a')
( )
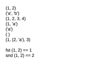
(1, (2, 'a'), 3)
(1, 2)
('a', 'b')
(1, 2, 3, 4)
(1, 'a')
('a')
( )
(1, (2, 'a'), 3)
fst (1, 2) == 1
(1, 2)
('a', 'b')
(1, 2, 3, 4)
(1, 'a')
('a')
( )
(1, (2, 'a'), 3)
fst (1, 2) == 1
snd (1, 2) == 2
(1, 2)
('a', 'b')
(1, 2, 3, 4)
(1, 'a')
('a')
( )
(1, (2, 'a'), 3)
fst (1, 2) == 1
snd (1, 2) == 2
snd (1, (2, 'a'), 3) == (2, 'a')
Списки
[1, 2, 3]
['a', 'b', 'c']
[ ]
[ [1, 2], [3, 4] ]
[ (1, 'a'), (2, 'b'), (3, 'c') ]
head :: [a] → a
head [4, 8, 15, 16, 23, 42] == 4
tail :: [a] → [a]
tail [4, 8, 15, 16, 23, 42] == [8, 15, 16, 23, 42]
head :: [a] → a
head [4, 8, 15, 16, 23, 42] == 4
tail :: [a] → [a]
tail [4, 8, 15, 16, 23, 42] == [8, 15, 16, 23, 42]
init :: [a] → [a]
init [4, 8, 15, 16, 23, 42] == [4, 8, 15, 16, 23]
last :: [a] → a
last [4, 8, 15, 16, 23, 42] == 42
length :: [a] → Int
length [4, 8, 15, 16, 23, 42] == 6
null :: [a] → Bool
null [ ] == True null [1, 2, 3] == False
reverse [1, 2, 3] == [3, 2, 1]
take 3 [1, 2, 3, 4, 5] == [1, 2, 3]
drop 3 [1, 2, 3, 4, 5] == [4, 5]
sum [1, 2, 3, 4, 5] == 15
[1, 2, 3] ++ [4, 5] == [1, 2, 3, 4, 5]
Генераторы
списков,
интервалы,
ленивые вычисления
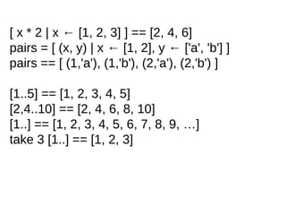
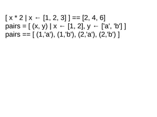
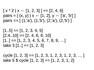
[ x * 2 | x ← [1, 2, 3] ] == [2, 4, 6]
pairs = [ (x, y) | x ← [1, 2], y ← ['a', 'b'] ]
pairs == [ (1,'a'), (1,'b'), (2,'a'), (2,'b') ]
[ x * 2 | x ← [1, 2, 3] ] == [2, 4, 6]
pairs = [ (x, y) | x ← [1, 2], y ← ['a', 'b'] ]
pairs == [ (1,'a'), (1,'b'), (2,'a'), (2,'b') ]
[1..5] == [1, 2, 3, 4, 5]
[2,4..10] == [2, 4, 6, 8, 10]
[1..] == [1, 2, 3, 4, 5, 6, 7, 8, 9, …]
take 3 [1..] == [1, 2, 3]
[ x * 2 | x ← [1, 2, 3] ] == [2, 4, 6]
pairs = [ (x, y) | x ← [1, 2], y ← ['a', 'b'] ]
pairs == [ (1,'a'), (1,'b'), (2,'a'), (2,'b') ]
[1..5] == [1, 2, 3, 4, 5]
[2,4..10] == [2, 4, 6, 8, 10]
[1..] == [1, 2, 3, 4, 5, 6, 7, 8, 9, …]
take 3 [1..] == [1, 2, 3]
cycle [1, 2, 3] == [1, 2, 3, 1, 2, 3, 1, 2, 3, … ]
take 5 $ cycle [1, 2, 3] == [1, 2, 3, 1, 2]
Функции
высшего порядка
filter :: (a -> Bool) -> [a] -> [a]
filter :: (a -> Bool) -> [a] -> [a]
filter (x -> x `mod` 2 == 0) [1..10] == [2, 4, 8, 10]
filter :: (a -> Bool) -> [a] -> [a]
filter (x -> x `mod` 2 == 0) [1..10] == [2, 4, 8, 10]
map :: (a -> b) -> [a] -> [b]
filter :: (a -> Bool) -> [a] -> [a]
filter (x -> x `mod` 2 == 0) [1..10] == [2, 4, 8, 10]
map :: (a -> b) -> [a] -> [b]
map (x → x + 5) [1,2,3] == [6,7,8]
filter :: (a -> Bool) -> [a] -> [a]
filter (x -> x `mod` 2 == 0) [1..10] == [2, 4, 8, 10]
map :: (a -> b) -> [a] -> [b]
map (+5) [1,2,3] == [6,7,8]
filter :: (a -> Bool) -> [a] -> [a]
filter (x -> x `mod` 2 == 0) [1..10] == [2, 4, 8, 10]
map :: (a -> b) -> [a] -> [b]
map (+5) [1,2,3] == [6,7,8]
foldl :: (a -> b -> a) -> a -> [b] -> a
filter :: (a -> Bool) -> [a] -> [a]
filter (x -> x `mod` 2 == 0) [1..10] == [2, 4, 8, 10]
map :: (a -> b) -> [a] -> [b]
map (+5) [1,2,3] == [6,7,8]
foldl :: (a -> b -> a) -> a -> [b] -> a
foldl (s x -> x + s) 0 [1, 2, 3] == 6
filter :: (a -> Bool) -> [a] -> [a]
filter (x -> x `mod` 2 == 0) [1..10] == [2, 4, 8, 10]
map :: (a -> b) -> [a] -> [b]
map (+5) [1,2,3] == [6,7,8]
foldl :: (a -> b -> a) -> a -> [b] -> a
foldl (s x -> x + s) 0 [1, 2, 3] == 6
sum = foldl (s x -> x + s) 0
Пишем
собственные
функции
null' :: [a] → Bool
null' :: [a] → Bool
null' [ ] = True
null' :: [a] → Bool
null' [ ] = True
null' _ = False
null' :: [a] → Bool
null' [ ] = True
null' _ = False
head' :: [a] → a
null' :: [a] → Bool
null' [ ] = True
null' _ = False
head' :: [a] → a
head' (x:xs) = x
null' :: [a] → Bool
null' [ ] = True
null' _ = False
head' :: [a] → a
head' (x:xs) = x
head' _ = error 'Empty list!'
null' :: [a] → Bool
null' [ ] = True
null' _ = False
head' :: [a] → a
head' (x:xs) = x
head' _ = error 'Empty list!'
[1, 2, 3] == (1:(2:(3:[])))
foldl' :: (a -> b -> a) -> a -> [b] -> a
foldl' :: (a -> b -> a) -> a -> [b] -> a
foldl' func acc (x:xs) = foldl' func (func acc x) xs
foldl' :: (a -> b -> a) -> a -> [b] -> a
foldl' func acc (x:xs) = foldl' func (func acc x) xs
foldl' _ acc _ = acc
foldl' :: (a -> b -> a) -> a -> [b] -> a
foldl' func acc (x:xs) = foldl' func (func acc x) xs
foldl' _ acc _ = acc
elem' :: Eq a => a -> [a] -> Bool
foldl' :: (a -> b -> a) -> a -> [b] -> a
foldl' func acc (x:xs) = foldl' func (func acc x) xs
foldl' _ acc _ = acc
elem' :: Eq a => a -> [a] -> Bool
elem' x (y:yx)
| x == y = True
| ...
foldl' :: (a -> b -> a) -> a -> [b] -> a
foldl' func acc (x:xs) = foldl' func (func acc x) xs
foldl' _ acc _ = acc
elem' :: Eq a => a -> [a] -> Bool
elem' x (y:yx)
| x == y = True
| otherwise = elem' x yx
foldl' :: (a -> b -> a) -> a -> [b] -> a
foldl' func acc (x:xs) = foldl' func (func acc x) xs
foldl' _ acc _ = acc
elem' :: Eq a => a -> [a] -> Bool
elem' x (y:yx)
| x == y = True
| otherwise = elem' x yx
elem' _ _ = False
foldl' :: (a -> b -> a) -> a -> [b] -> a
foldl' func acc (x:xs) = foldl' func (func acc x) xs
foldl' _ acc _ = acc
elem' :: Eq a => a -> [a] -> Bool
elem' x (y:yx)
| x == y = True
| otherwise = elem' x yx
elem' _ _ = False
elem' 1 [1, 2, 3] == True
foldl' :: (a -> b -> a) -> a -> [b] -> a
foldl' func acc (x:xs) = foldl' func (func acc x) xs
foldl' _ acc _ = acc
elem' :: Eq a => a -> [a] -> Bool
elem' x (y:yx)
| x == y = True
| otherwise = elem' x yx
elem' _ _ = False
elem' 1 [1, 2, 3] == True elem' 7 [1, 2, 3] == False
За кадром остались:
За кадром остались:
– параметризованные типы
За кадром остались:
– параметризованные типы
– монады
За кадром остались:
– параметризованные типы
– монады
– ввод/вывод
За кадром остались:
– параметризованные типы
– монады
– ввод/вывод
– аппликативные функторы
За кадром остались:
– параметризованные типы
– монады
– ввод/вывод
– аппликативные функторы
– застежки
Зачем все это нужно:
Зачем все это нужно:
– Настоящая кроссплатформенность
Зачем все это нужно:
– Настоящая кроссплатформенность
– Автоматическое управление памятью
Зачем все это нужно:
– Настоящая кроссплатформенность
– Автоматическое управление памятью
– Отсутсвие побочных эффектов
Зачем все это нужно:
– Настоящая кроссплатформенность
– Автоматическое управление памятью
– Отсутсвие побочных эффектов
– Автоматическое распараллеливание
Зачем все это нужно:
– Настоящая кроссплатформенность
– Автоматическое управление памятью
– Отсутсвие побочных эффектов
– Автоматическое распараллеливание
– Строгая типизация
Зачем все это нужно:
– Настоящая кроссплатформенность
– Автоматическое управление памятью
– Отсутсвие побочных эффектов
– Автоматическое распараллеливание
– Строгая типизация
– и не только
Насколько быстр Haskell?
Насколько быстр Haskell?
Что можно написать на Haskell?
Что можно написать на Haskell?
– CLI-приложения (например, Darcs)
Что можно написать на Haskell?
– CLI-приложения (например, Darcs)
– GUI-приложения (wxHaskell, gtk2hs, etc)
Что можно написать на Haskell?
– CLI-приложения (например, Darcs)
– GUI-приложения (wxHaskell, gtk2hs, etc)
– веб-приложения (Yesod, Happstack, etc)
Что можно написать на Haskell?
– CLI-приложения (например, Darcs)
– GUI-приложения (wxHaskell, gtk2hs, etc)
– веб-приложения (Yesod, Happstack, etc)
– компиляторы, парсеры (Alex, Happy)
Что можно написать на Haskell?
– CLI-приложения (например, Darcs)
– GUI-приложения (wxHaskell, gtk2hs, etc)
– веб-приложения (Yesod, Happstack, etc)
– компиляторы, парсеры (Alex, Happy)
– модули ядра Linux
Что можно написать на Haskell?
– CLI-приложения (например, Darcs)
– GUI-приложения (wxHaskell, gtk2hs, etc)
– веб-приложения (Yesod, Happstack, etc)
– компиляторы, парсеры (Alex, Happy)
– модули ядра Linux
– и многое другое
Другие ФП-языки:
Другие ФП-языки:
– Erlang
Другие ФП-языки:
– Erlang
– OCaml
Другие ФП-языки:
– Erlang
– OCaml
– Standart ML
Другие ФП-языки:
– Erlang
– OCaml
– Standart ML
– Common Lisp
Другие ФП-языки:
– Erlang
– OCaml
– Standart ML
– Common Lisp
– Scheme, Racket
Другие ФП-языки:
– Erlang
– OCaml
– Standart ML
– Common Lisp
– Scheme, Racket
– Clojure
Другие ФП-языки:
– Erlang
– OCaml
– Standart ML
– Common Lisp
– Scheme, Racket
– Clojure
– и другие
Литература
по ФП
Подборка ссылок:
Подборка ссылок:
– http://fprog.ru/planet/
Подборка ссылок:
– http://fprog.ru/planet/
– http://erlanger.ru/
Подборка ссылок:
– http://fprog.ru/planet/
– http://erlanger.ru/
– http://it-talk.org/
Подборка ссылок:
– http://fprog.ru/planet/
– http://erlanger.ru/
– http://it-talk.org/
– http://groups.google.ru/group/haskell-russian
Подборка ссылок:
– http://fprog.ru/planet/
– http://erlanger.ru/
– http://it-talk.org/
– http://groups.google.ru/group/haskell-russian
– http://groups.google.ru/group/erlang-russian
Подборка ссылок:
– http://fprog.ru/planet/
– http://erlanger.ru/
– http://it-talk.org/
– http://groups.google.ru/group/haskell-russian
– http://groups.google.ru/group/erlang-russian
– http://groups.google.ru/group/clojure-russian
Подборка ссылок:
– http://fprog.ru/planet/
– http://erlanger.ru/
– http://it-talk.org/
– http://groups.google.ru/group/haskell-russian
– http://groups.google.ru/group/erlang-russian
– http://groups.google.ru/group/clojure-russian
– http://habrahabr.ru/hub/haskell
Подборка ссылок:
– http://fprog.ru/planet/
– http://erlanger.ru/
– http://it-talk.org/
– http://groups.google.ru/group/haskell-russian
– http://groups.google.ru/group/erlang-russian
– http://groups.google.ru/group/clojure-russian
– http://habrahabr.ru/hub/haskell
– http://goo.gl/VUvjk (эта презентация)
Спасибо за внимание!
Александр Алексеев
http://eax.me/

Функциональное программирование - Александр Алексеев