Chapter three: phonon and lattice vibration
Mechanical properties and lattice vibration of solid
A phonon is a collective oscillation of several atoms. A phonon is a unit of vibrational
energy that arises from oscillating atoms within a crystal lattice. Lattice vibrations can
explain: Thermal properties such as heat capacity, thermal expansion.
Thermal conduction in solids by
oscillation of the atoms
λ
heat
The quantum of lattice vibrations are called phonon.
43
𝐹𝑠𝑝𝑟𝑖𝑛𝑔 = 𝑚𝑎 = −𝐾. 𝑥
𝑑2𝑥
𝑑𝑡2 +
𝑘
𝑚
𝑥 𝑡 = 0
x = 𝐴 sin ω𝑡 + ϕ 𝜔 =
𝑘
𝑚 44
Simple harmonic motion
- Harmonic oscillator in classical mechanics such as vertical spring.
Solution for simple harmonic motion:
Lattice vibration
 The lattice vibration means studying lattice atoms vibration. The vibration of the
atoms in the crystal lattice gives the total behavior of the solid materials in different
physical properties, thermal, electrical, mechanical and optical properties.
 The atoms in the crystal lattice moves with simple harmonic motion without any
transition from its position to another. If an external force on the atoms it may be
displaced from its equilibrium positions, but there is a restoring force (F) act to
return the atom to its equilibrium position.
 This force depends on the displacement of the atom from its equilibrium position
(x). That’s means (according to Hooks law).
𝐹 = −𝜇𝑥
where μ is force constant
 The atomic harmonic motion depends on the temperature, where at 0 kelvin the
atoms stay in its equilibrium positions in static state and when the temperature
increase the atoms being to oscillate around the equilibrium positions with
displacement depending on the temperature which may be reaches (10%) of the 45
distance between the nearest atoms at very high temperatures.
 According to the classical theories the atomic vibrational modes in the crystal lattice
is an elastic sound waves travel in a certain order through continues media in to
indefinite crystal.
 The wave which formed by lattice vibration is regular repeating of atomic
displacement, which is longitudinal or transverse or mixing of them.
 We can distinguish this wave by propagation velocity (V, not constant), the wave
vector (K) and the angular frequency (ω) which related with the propagation
velocity in the relation: 𝜔 = 2𝜋𝜈 = 𝑉𝐾
𝜔 = 𝑉
𝑜𝐾 where Vo is sound wave velocity
Longitudinal Waves
Transverse Waves
46
Vibrational modes of linear monoatomic lattice
 The vibration of linear lattice which consist of monoatomic linear series is the
simplest type of vibration modes. The aim of studying this mode is to fined the
dispersion relation between the angular frequency (ω, of the vibrated atom) and the
wave vector (K) of the wave which formed from the vibration.
m: mass of each atom in the series
a: atomic distance between any two neighboring atoms (lattice constant).
μ: force constant between any two neighboring atoms (elastic constant).
Un: n atom displacement from its equilibrium position.
N: the total number of the series atoms.
Fn: the resultant force which act on the n atom.
0
a a
Un-1 Un Un+1
Spring 1 Spring 2
M Longitudinal Waves
Transverse Waves
47
 According to the Hooks law the influence force on an atom is linearly dependent on
the distance of the nearest atom (first neighbor, only nearest neighbor interaction)
from the vibration atom and neglected the other.
 We can calculated the total force Fn which influence on the (n) atom in the series as
shown in the Figure.
Therefore, equation of motion for nth atom:
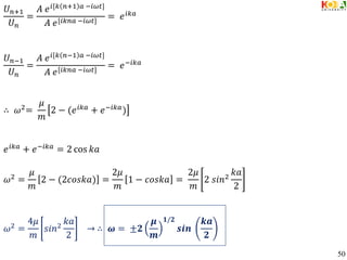
𝐹𝑛 = 𝑚𝑈 = 𝐹𝑛 𝑅 − 𝐹𝑛 𝐿 = −𝜇(𝑈𝑛+1 − 2𝑈𝑛 + 𝑈𝑛−1)
We can solve this equation like any transfer wave when we neglect the boundary
conditions. By using the displacement equation we can represent the transfer of
longitudinal wave in homogenous solid in certain direction like x.
𝐹𝑛 𝐿 = −𝜇 𝑈𝑛 − 𝑈𝑛−1
𝐹𝑛(𝑅) = −𝜇(𝑈𝑛 − 𝑈𝑛+1)
𝑈 = 𝐴 𝑒𝑖(𝑘𝑥−𝜔𝑥)
48
Where x is the distance of the equilibrium position of the vibration atom from the
source point. Then we can write x = na the distance of the n atom equilibrium position.
𝑈𝑛 = 𝐴 𝑒𝑖(𝑘𝑛𝑎−𝜔𝑡)
2nd derivative of 𝑢𝑛 we get the acceleration of this atom:
𝑈 = −𝜔2
𝐴 𝑒𝑖 𝑘𝑛𝑎−𝜔𝑡
= −𝜔2
𝑈𝑛
By using Newton's 2nd law, the restoring force which influence on the n atom is:
𝐹𝑛 = −𝑚 𝜔2
𝑈𝑛
−𝑚 𝜔2𝑈𝑛 = −𝜇(𝑈𝑛+1 − 2𝑈𝑛 + 𝑈𝑛−1)
𝜔2 =
𝜇
𝑚
2 −
𝑈𝑛+1
𝑈𝑛
−
𝑈𝑛−1
𝑈𝑛
49
𝑈𝑛+1
𝑈𝑛
=
𝐴 𝑒𝑖[𝑘 𝑛+1 𝑎 −𝑖𝜔𝑡]
𝐴 𝑒[𝑖𝑘𝑛𝑎 −𝑖𝜔𝑡]
= 𝑒𝑖𝑘𝑎
𝑈𝑛−1
𝑈𝑛
=
𝐴 𝑒𝑖[𝑘 𝑛−1 𝑎 −𝑖𝜔𝑡]
𝐴 𝑒[𝑖𝑘𝑛𝑎 −𝑖𝜔𝑡]
= 𝑒−𝑖𝑘𝑎
∴ 𝜔2=
𝜇
𝑚
2 − (𝑒𝑖𝑘𝑎 + 𝑒−𝑖𝑘𝑎)
𝑒𝑖𝑘𝑎 + 𝑒−𝑖𝑘𝑎 = 2 cos 𝑘𝑎
𝜔2 =
𝜇
𝑚
2 − (2𝑐𝑜𝑠𝑘𝑎) =
2𝜇
𝑚
1 − 𝑐𝑜𝑠𝑘𝑎 =
2𝜇
𝑚
2 𝑠𝑖𝑛2
𝑘𝑎
2
𝜔2
=
4𝜇
𝑚
𝑠𝑖𝑛2
𝑘𝑎
2
→ ∴ 𝝎 = ±𝟐
𝝁
𝒎
𝟏/𝟐
𝒔𝒊𝒏
𝒌𝒂
𝟐
50
This equation is called the dispersion relation between the angular frequency (ω) of the
vibration atom and the wave vector (k) of the wave which produced from the vibration.
The positive or negative signals (+), (−) describe the transfer direction of the wave,
where to the right (+) or to the left (−), and the motion in any point is periodic with the
time.
ω versus k relation for monoatomic chains.
1- We can note that there is maximum limit of angular frequency (ω) when the wave
vector value is equal to ±π/a:
𝜔𝑚 = 2
𝜇
𝑚
1/2
⇛ when K= ±π/a
The maximum value of the ω (K= ±π/a) and this result means that there is an upper
w
–2π/a – π/a 0 π/a 2π/a k
51
limit or cutoff frequency of elastic waves (sound waves) in the solid materials about 10
15 Hz.
2- All probability of vibration is limited by K in the range −𝜋/𝑎 ≤ 𝐾 ≪ 𝜋/𝑎 is called
the 1st Brillouin zone for linear lattice, the next range with half periodic ±𝜋/𝑎 to each
sides is called 2nd Brillouin zone.
3- For the waves which have large wavelength λ (when K is small): sin
𝑘𝑎
2
=
𝑘𝑎
2
∴ 𝜔 =
𝜔𝑚𝑎 𝑘
2
This wave is called the acoustic mode and neighboring atoms in acoustic wave move in
w
–2π/a – π/a 0 π/a 2π/a k
1st Brillouin zone 2nd BZ
52
We have propagation relation: 𝜔 = 𝑉𝐾
𝑉𝐾 =
𝜔𝑚𝑎𝐾
2
→ 𝑉 =
𝜔𝑚𝑎
2
Substitute 𝜔𝑚 we get: 𝑉
𝑜 = 𝑎
𝐾
𝑀
1/2
The largest wavelength for
an infinite string.
The shortest
wavelength
All the atoms displaced by the
same amount in the same direction
Figure B
Figure A
Same direction. When sound waves travel in solid, they involve this type of lattice
oscillation near K= 0 ((as shown in Figure A).
53
4- For the wave with small wavelengths (when K is large), then the wavelength values
is very small 𝜆 ≪ 𝑎 that mean the wave vector is large and the wave propagation
velocity is not constant but its decreases with the increasing of the wave vector, when K
is equal to ±π/a (as shown in Figure B) then the wavelength is equal to:
𝐾 =
2𝜋
𝜆
=
𝜋
𝑎
→ 𝜆 = 2 𝑎
Velocities in the wave motion
There is three kinds of velocities in the wave motion which is distinguish from each
others, but its related with each other by mathematical relations:
A: atomic velocity
B: phase velocity
C: group velocity
A: atomic velocity: it is the atom harmonic velocity around its equilibrium position, and
has variable quantity, its higher limit when the atom reach its equilibrium position and
its equal to zero when the atom is in the maximum displacement from its equilibrium
position.
54
B: phase velocity: it is the propagation velocity of a certain phase for single wave, it is
constant quantity in the same media, we can represent it mathematically by the relation:
𝑉𝑝ℎ = 𝜔/𝐾
C: group velocity: it can be mathematically express by the relation:
𝑉
𝑔 =
𝑑𝜔
𝑑𝐾
Phase velocity and group velocity in the lattice:
The physically distinguish between phase velocity and group velocity is the phase
velocity Vph is the velocity of intrinsic wave propagate with a certain frequency (ω) and
wave vector (K), while the group velocity is the propagation velocity of unlimited
number of frequencies.
The behavior of phase velocity and group velocity in the long waves is limited which
with small values of (K), the phase velocity is equal to the group velocity:
𝜔
𝐾
=
𝑑𝜔
𝑑𝐾
= 𝑉
𝑔 = 𝑉𝑝ℎ
55
𝑉
𝑔 =
𝑑𝜔
𝑑𝑘
= 𝑉𝑝ℎ cos
𝑘𝑎
2
𝑉𝑝ℎ =
𝜔
𝑘
=
2𝑉
𝑘𝑎
sin
𝑘𝑎
2
When 𝑘 → 0 also 𝑉
𝑔 → 0 while 𝑉𝑝ℎ → sound velocity (Vo)
If 𝑘 → 𝜋/𝑎 then 𝑉
𝑔 → 0 while 𝑉𝑝ℎ → 2𝑉/𝜋
vg  (dω/dk)
Experimental for speed of sound (c) in various bulk media:
𝑐 = 2𝑠/∆𝑡 where t is time, s is length of rod
Rod: Cu, Al,…
s
Al
56
Energy of harmonic oscillator
In classical description: the lattice vibrations have many normal modes of frequency
ω(k), which are independent and harmonic.
Describe each normal mode of frequency ω as a quantum mechanical harmonic
oscillator.
𝜀𝑛 = 𝑛 +
1
2
hν = (𝑛 +
1
2
)ℏω
It is possible to consider 𝜀𝑛 as constructed by adding n excitation quanta each of energy
ℏω to the ground state.
𝜀0 =
1
2
ℏω
A transition from a lower energy level to a higher energy level.
∆𝜀 = 𝑛2 +
1
2
ℏω − 𝑛1 +
1
2
ℏ𝜔 = 𝑛2 − 𝑛1 ℏω → ∆𝜀 = ℏω absorption of phonon
57
Zero-point energy
As mentioned before, even at 0K the atoms vibrate in the crystal and have a zero point
energy. This is the minimum energy of the system:
𝜀 =
1
2
ℏω +
ℏω
𝑒ℏω/𝐾𝐵𝑇−1
(1)
The thermal average number of phonons n(ω) at temperature T is given by Bose-
Einstein or (Planck distribution):
𝑛 𝜔 =
1
𝑒ℏω/𝐾𝐵𝑇−1
(2)
 By using eq. (2) in eq. (1) can be written: 𝜀 = ℏω[𝑛 ω +
1
2
] in this form, the
quantum mechanical energy level for a simple harmonic oscillator. That is, it look
similar to: 𝜀𝑛 = (𝑛 +
1
2
)ℏω
 Consider the low temperature limit: 𝜀 =
1
2
ℏω +
ℏω
𝑒ℏω/𝐾𝐵𝑇−1
58
→ ℏω ≫ 𝐾𝐵𝑇
𝜀 =
1
2
ℏω +
ℏω
𝑒ℏω/𝐾𝐵𝑇−1
𝑇 → 0, exponential 0
𝜀 =
1
2
ℏω Zero-point energy
is independent of temperature (T)
→ ℏω ≪ 𝐾𝐵𝑇
𝑒𝑥 = 1 + 𝑥 +
𝑥2
2!
+ ⋯ 𝑒
ℏω
𝐾𝐵
𝑇
=1+
ℏω
𝐾𝐵𝑇
𝜀 =
1
2
ℏω +
ℏω
1 +
ℏω
𝐾𝐵𝑇
− 1
→ 𝜀 =
1
2
ℏω + 𝐾𝐵𝑇
𝜀 ≈ 𝐾𝐵𝑇 is independent of frequency of oscillation
 Consider the high temperature limit:
59
Specific heat of solids (Dulong-Petit law)
- Specific heat is heat capacity per unit mass. It has units as J/Kg/oC.
- When the solid is heated, the atoms vibrate around their sites like a set of harmonic
oscillators. The average energy for a 1D oscillator is 𝐾𝐵𝑇. Therefore, the average
energy per atom, regarded as a 3D oscillator is 3𝐾𝐵𝑇, and the energy per mole is:
𝜀 = 3𝑁𝐴𝐾𝐵𝑇
where NA is Avogadro's number, KB is Boltzmann constant and R is the gas constant.
Specific heat at constant volume:
𝐶𝑣 =
𝑑𝜀
𝑑𝑇 𝑣
= 3𝑁𝐴𝐾𝐵 = 3𝑅 = 3 × 6.02 × 1023
(atoms/mole) × 1.38 × 10−23
(J/K).
Experimental results regarding the specific heats of
(Pb, Al, Si, and Diamond) solids, the specific heat
value approximately the same value and changes
little with the increase in temperature but the
specific heats of all solids drop sharply at low
temperatures and approach zero as T approach
zero. Clearly something is wrong with the
analysis.
60
Quantum theory of specific heat of a solid (Einstein’s theory)
In Einstein’s theory, the crystal lattice structure of a solid comprising N atoms can be created as
an assembly of 3N distinguishable one-dimensional oscillators. This assumption is based on that
each atom is free to move in three dimensions.
The energy level of harmonic oscillator is:
𝐸𝑛 = 𝑛 +
1
2
ℏ𝜔 where ℏ =
ℎ
2𝜋
and n=0,1,2,….
Here 𝜃𝐸 =
ℏ𝜔
𝐾𝐵
, called as Einstein temperature. N= no. of atoms in the solid
𝐶𝑣 = 3𝑁𝐾𝐵
𝜃𝐸
𝑇
2
𝑒
𝜃𝐸
𝑇
𝑒
𝜃𝐸
𝑇 − 1
2
Case I: High temperature behavior; 𝐾𝐵𝑇 ≫ ℏ𝜔 or 𝑇 ≫ 𝜃𝐸
𝑒𝐾𝐵𝑇
− 1 ≅ 1 +
ℏ𝜔
𝐾𝐵𝑇
− 1 =
ℏ𝜔
𝐾𝐵𝑇
→ 𝐶𝑣 = 3𝑁𝐾𝐵
ℏ𝜔
𝐾𝐵𝑇
2 1 +
ℏ𝜔
𝐾𝐵𝑇
ℏ𝜔
𝐾𝐵𝑇
2
61
𝐶𝑣 = 3𝑁𝐾𝐵
ℏ𝜔
𝐾𝐵𝑇
→ 0 for large T
Which is the Dulong and petits law as obtain from classical theory.
Case II: Low temperature behavior; 𝐾𝐵𝑇 ≪ ℏ𝜔 or 𝑇 ≪ 𝜃𝐸
𝜃𝐸
𝑇
≫ 1 ∴ 𝑒
𝜃𝐸
𝑇 −1 ≈ 𝑒
𝜃𝐸
𝑇
𝐶𝑣 = 3𝑁𝐾𝐵
𝜃𝐸
𝑇
2
𝑒
𝜃𝐸
𝑇
𝑒
𝜃𝐸
𝑇
2
𝑪𝒗 = 𝟑𝑵𝑲𝑩
𝜽𝑬
𝑻
𝟐
𝟏
𝒆
𝜽𝑬
𝑻
= 𝟑𝑵𝑲𝑩
𝜽𝑬
𝑻
𝟐
𝒆
− 𝜽𝑬
𝑻
Thus, for 𝑇 ≪ 𝜃𝐸 the heat capacity (𝐶𝑣) is proportional to 𝑒−𝜃𝐸/𝑇
which is the dominating factor.
But experimentally it is found to vary as 𝑇3
for most of the solid.
62
Debye’s theory of the specific heat of a solid
The main problem of Einstein theory lies in the assumption that a single frequency of vibration
characterizes all 3N oscillators. In Debye’s theory a solid is viewed as a phonon gas. Vibrational
waves are matter waves, each with its own de Broglie wavelength and associated particle. Debay
considered the vibration of crystal as whole. In a vibrating solid, there are three types of waves.
𝑪𝒗 = 𝟗𝑵𝑲𝑩
𝑻
𝜽𝑫
𝟑
𝒙𝟒𝒆𝒙
𝒆𝒙 − 𝟏 𝟐
𝒙𝒎
𝟎
𝒅𝒙 … … . (1)
Case I : At high temperature,
𝜃𝐷
𝑇
≪ 1, 𝑥 ≪ 1 and 𝑒𝑥
≈ 1
∴ 𝑒𝑥
− 1 ≈ 𝑥 eq. (1) becomes; 𝐶𝑣 = 9𝑁𝐾𝐵
𝑇
𝜃𝐷
3 𝑥4×1
𝑥2 𝑑𝑥
𝜃𝐷
𝑇
0
𝐶𝑣 = 9𝑁𝐾𝐵
𝑇
𝜃𝐷
3
𝑥2
𝑑𝑥
𝜃𝐷
𝑇
0
𝐶𝑣 = 9𝑁𝐾𝐵
𝑇
𝜃𝐷
3
𝜃𝐷
3𝑇
3
= 3𝑁𝐾𝐵
𝑇
𝜃𝐷
3
𝜃𝐷
𝑇
3
= 3𝑁𝐾𝐵 = 3𝑅
63
Here
ℎ𝑣𝑚
𝐾𝐵
= 𝜃𝐷 , called as Debye’s temperature
Case II : At low temperature,
𝜃𝐷
𝑇
≫ 1 → 𝜃𝐷 ≫ 𝑇,
𝜃𝐷
𝑇
→ ∞ eq. (1) becomes;
𝐶𝑣 = 9𝑁𝐾𝐵
𝑇
𝜃𝐷
3 𝑥4𝑒𝑥
𝑒𝑥−1 2
∞
0
𝑑𝑥 = 9𝑁𝐾𝐵
𝑇
𝜃𝐷
3 4
15
𝜋2
N the number of unit cells is equal to the number of atoms, if a monoatomic crystal in three
dimensions = 3 (the heat capacity dependency on temperature in 3D, 2D and 1D).
∴ 𝐶𝑣 ≈ 1944
𝑇
𝜃𝐷
3
∴ 𝐶𝑣 ∝ 𝑇3
The Debye model can accurately predict the low-temperature dependence of the heat capacity
that is proportional to T3 (the Debye T3 law).
Debye and Einstein models compared with experimental data
for silver (Ag):
The Debye model treats atomic vibrations as phonons in a box,
while the Einstein model considers each atom in the solid
lattice as an independent 3D quantum harmonic oscillator. The
Debye model accurately explains the low-temperature
dependence of heat capacity, proportional to T3. In contrast, the
Einstein model introduces a linear temperature dependence for
the heat capacity at low temperatures. 64
65
Thermal conductivity
The quantity of heat flowing per second across unit area of a substance for unit
temperature gradient.
Thermal conductivity (K) quantity of heat (Q) transmitted in time (t) thickness (L)
surface of area (A) with different temperature (∆𝑇).
𝐾 =
𝑄
𝑡
×
𝐿
𝐴×∆𝑇
unit: watt per kelvin.meters (W/K.m)
 The heat flux density is depend upon: area, length and difference in temperature
T2>T1.
Thermal expansion
The expansion of solids as the temperature is increased, it can expressed as
∆𝐿
𝐿
= 𝛼∆𝑇
Where ∆𝐿 is the change in length of the material with the change in ∆𝑇 temperature
and L is the original length of the material and α is coefficient of thermal expansion.
The expansion of the material depends upon it.
Q// A Brass strip is 3 cm long at 0 ºC. How long will it be at 100 ºC if the coefficient
of linear expansion for Brass is 1.8 x 10-5 /ºC?
Solution
∆𝐿 = 𝛼. 𝐿𝑖 . ∆𝑇
∆𝐿 = 1.8 × 10−5 𝑜𝐶−1
× 3 𝑐𝑚 × 100 − 0 𝑜𝐶
∆𝐿 = 0.0054 𝑐𝑚
𝐿𝑓 = ∆𝐿 + 𝐿𝑖 = 0.0054 + 3 = 3.0054 (𝑐𝑚) 66
Effect of temperature on the Fermi-Dirac Distribution
Ef
Conduction band
Valence band
Ef
Conduction band
Valence band
T= 0K
T> 0K
 The highest occupied energy level at absolute zero temperature
(0K) is called as Fermi level.
 At temperature T > 0K, the distribution of electrons over a range
of allowed energy level at thermal equilibrium is given by
Fermi-Dirac Distribution function.
f 𝐸 =
1
1 + 𝑒
𝐸−𝐸𝐹
𝐾𝐵𝑇
where f(E) is the probability of occupancy for energy level E.
Ef is Fermi energy
T is temperature in 0K
KB = Boltzmann constant
The Fermi-Dirac Distribution function. 67
At T= 0K, for E < EF
f 𝐸 =
1
1+𝑒
𝐸−𝐸𝐹
𝐾𝐵𝑇
𝑒
𝐸−𝐸𝐹
𝐾𝐵𝑇 = 𝑒
− 𝑛𝑢𝑚𝑏𝑒𝑟
0
= 𝑒−∞=
1
𝑒∞=
1
∞
=0
→ f 𝐸 =
1
1+𝑒
𝐸−𝐸𝐹
𝐾𝐵𝑇
=
1
1+0
= 1 This indicates all energy level below EF are
completely filled at absolute zero temperature (T).
At T= 0K, for E > EF
𝑒
𝐸−𝐸𝐹
𝐾𝐵𝑇 = 𝑒
+ 𝑛𝑢𝑚𝑏𝑒𝑟
0
= 𝑒+ ∞= ∞
f 𝐸 =
1
1+𝑒
𝐸−𝐸𝐹
𝐾𝐵𝑇
=
1
1+∞
= 0
This indicates all energy level above EF are completely empty at absolute zero T.
At T= 0K, for E = EF
𝑒
𝐸−𝐸𝐹
𝐾𝐵𝑇 = 𝑒
0
0 = 𝑁𝑜𝑡 𝑑𝑒𝑓𝑖𝑛𝑒𝑑 f(E) can not give us probability of occupancy of Fermi
level at 0K. 68
At T> 0K, for E = EF
𝑒
𝐸−𝐸𝐹
𝐾𝐵𝑇 = 𝑒
0
𝐾𝐵𝑇
=1
f 𝐸 =
1
1 + 𝑒
𝐸−𝐸𝐹
𝐾𝐵𝑇
=
1
1 + 1
=
1
2
At T > 0K, probability of occupancy for Fermi level is always half (0.5).
Q// Calculate the probabilities for an electronic state to be occupied at 20 oC, if the
energy of these states lies 0.11eV above and 0.11eV below the Fermi level.
Solution: Probability of occupying an energy level 0.11eV above Fermi level.
f 𝐸 =
1
1+𝑒
𝐸−𝐸𝐹
𝐾𝐵𝑇
=
1
1+𝑒4.2307 = 0.0126
Probability of occupying an energy level 0.11eV below Fermi level
f 𝐸 ==
1
1+𝑒 − 4.2307 = 0.987
69

Solid state physics_Ch-3.ppt last year acadimic

  • 1.
    Chapter three: phononand lattice vibration Mechanical properties and lattice vibration of solid A phonon is a collective oscillation of several atoms. A phonon is a unit of vibrational energy that arises from oscillating atoms within a crystal lattice. Lattice vibrations can explain: Thermal properties such as heat capacity, thermal expansion. Thermal conduction in solids by oscillation of the atoms λ heat The quantum of lattice vibrations are called phonon. 43
  • 2.
    𝐹𝑠𝑝𝑟𝑖𝑛𝑔 = 𝑚𝑎= −𝐾. 𝑥 𝑑2𝑥 𝑑𝑡2 + 𝑘 𝑚 𝑥 𝑡 = 0 x = 𝐴 sin ω𝑡 + ϕ 𝜔 = 𝑘 𝑚 44 Simple harmonic motion - Harmonic oscillator in classical mechanics such as vertical spring. Solution for simple harmonic motion:
  • 3.
    Lattice vibration  Thelattice vibration means studying lattice atoms vibration. The vibration of the atoms in the crystal lattice gives the total behavior of the solid materials in different physical properties, thermal, electrical, mechanical and optical properties.  The atoms in the crystal lattice moves with simple harmonic motion without any transition from its position to another. If an external force on the atoms it may be displaced from its equilibrium positions, but there is a restoring force (F) act to return the atom to its equilibrium position.  This force depends on the displacement of the atom from its equilibrium position (x). That’s means (according to Hooks law). 𝐹 = −𝜇𝑥 where μ is force constant  The atomic harmonic motion depends on the temperature, where at 0 kelvin the atoms stay in its equilibrium positions in static state and when the temperature increase the atoms being to oscillate around the equilibrium positions with displacement depending on the temperature which may be reaches (10%) of the 45
  • 4.
    distance between thenearest atoms at very high temperatures.  According to the classical theories the atomic vibrational modes in the crystal lattice is an elastic sound waves travel in a certain order through continues media in to indefinite crystal.  The wave which formed by lattice vibration is regular repeating of atomic displacement, which is longitudinal or transverse or mixing of them.  We can distinguish this wave by propagation velocity (V, not constant), the wave vector (K) and the angular frequency (ω) which related with the propagation velocity in the relation: 𝜔 = 2𝜋𝜈 = 𝑉𝐾 𝜔 = 𝑉 𝑜𝐾 where Vo is sound wave velocity Longitudinal Waves Transverse Waves 46
  • 5.
    Vibrational modes oflinear monoatomic lattice  The vibration of linear lattice which consist of monoatomic linear series is the simplest type of vibration modes. The aim of studying this mode is to fined the dispersion relation between the angular frequency (ω, of the vibrated atom) and the wave vector (K) of the wave which formed from the vibration. m: mass of each atom in the series a: atomic distance between any two neighboring atoms (lattice constant). μ: force constant between any two neighboring atoms (elastic constant). Un: n atom displacement from its equilibrium position. N: the total number of the series atoms. Fn: the resultant force which act on the n atom. 0 a a Un-1 Un Un+1 Spring 1 Spring 2 M Longitudinal Waves Transverse Waves 47
  • 6.
     According tothe Hooks law the influence force on an atom is linearly dependent on the distance of the nearest atom (first neighbor, only nearest neighbor interaction) from the vibration atom and neglected the other.  We can calculated the total force Fn which influence on the (n) atom in the series as shown in the Figure. Therefore, equation of motion for nth atom: 𝐹𝑛 = 𝑚𝑈 = 𝐹𝑛 𝑅 − 𝐹𝑛 𝐿 = −𝜇(𝑈𝑛+1 − 2𝑈𝑛 + 𝑈𝑛−1) We can solve this equation like any transfer wave when we neglect the boundary conditions. By using the displacement equation we can represent the transfer of longitudinal wave in homogenous solid in certain direction like x. 𝐹𝑛 𝐿 = −𝜇 𝑈𝑛 − 𝑈𝑛−1 𝐹𝑛(𝑅) = −𝜇(𝑈𝑛 − 𝑈𝑛+1) 𝑈 = 𝐴 𝑒𝑖(𝑘𝑥−𝜔𝑥) 48
  • 7.
    Where x isthe distance of the equilibrium position of the vibration atom from the source point. Then we can write x = na the distance of the n atom equilibrium position. 𝑈𝑛 = 𝐴 𝑒𝑖(𝑘𝑛𝑎−𝜔𝑡) 2nd derivative of 𝑢𝑛 we get the acceleration of this atom: 𝑈 = −𝜔2 𝐴 𝑒𝑖 𝑘𝑛𝑎−𝜔𝑡 = −𝜔2 𝑈𝑛 By using Newton's 2nd law, the restoring force which influence on the n atom is: 𝐹𝑛 = −𝑚 𝜔2 𝑈𝑛 −𝑚 𝜔2𝑈𝑛 = −𝜇(𝑈𝑛+1 − 2𝑈𝑛 + 𝑈𝑛−1) 𝜔2 = 𝜇 𝑚 2 − 𝑈𝑛+1 𝑈𝑛 − 𝑈𝑛−1 𝑈𝑛 49
  • 8.
    𝑈𝑛+1 𝑈𝑛 = 𝐴 𝑒𝑖[𝑘 𝑛+1𝑎 −𝑖𝜔𝑡] 𝐴 𝑒[𝑖𝑘𝑛𝑎 −𝑖𝜔𝑡] = 𝑒𝑖𝑘𝑎 𝑈𝑛−1 𝑈𝑛 = 𝐴 𝑒𝑖[𝑘 𝑛−1 𝑎 −𝑖𝜔𝑡] 𝐴 𝑒[𝑖𝑘𝑛𝑎 −𝑖𝜔𝑡] = 𝑒−𝑖𝑘𝑎 ∴ 𝜔2= 𝜇 𝑚 2 − (𝑒𝑖𝑘𝑎 + 𝑒−𝑖𝑘𝑎) 𝑒𝑖𝑘𝑎 + 𝑒−𝑖𝑘𝑎 = 2 cos 𝑘𝑎 𝜔2 = 𝜇 𝑚 2 − (2𝑐𝑜𝑠𝑘𝑎) = 2𝜇 𝑚 1 − 𝑐𝑜𝑠𝑘𝑎 = 2𝜇 𝑚 2 𝑠𝑖𝑛2 𝑘𝑎 2 𝜔2 = 4𝜇 𝑚 𝑠𝑖𝑛2 𝑘𝑎 2 → ∴ 𝝎 = ±𝟐 𝝁 𝒎 𝟏/𝟐 𝒔𝒊𝒏 𝒌𝒂 𝟐 50
  • 9.
    This equation iscalled the dispersion relation between the angular frequency (ω) of the vibration atom and the wave vector (k) of the wave which produced from the vibration. The positive or negative signals (+), (−) describe the transfer direction of the wave, where to the right (+) or to the left (−), and the motion in any point is periodic with the time. ω versus k relation for monoatomic chains. 1- We can note that there is maximum limit of angular frequency (ω) when the wave vector value is equal to ±π/a: 𝜔𝑚 = 2 𝜇 𝑚 1/2 ⇛ when K= ±π/a The maximum value of the ω (K= ±π/a) and this result means that there is an upper w –2π/a – π/a 0 π/a 2π/a k 51
  • 10.
    limit or cutofffrequency of elastic waves (sound waves) in the solid materials about 10 15 Hz. 2- All probability of vibration is limited by K in the range −𝜋/𝑎 ≤ 𝐾 ≪ 𝜋/𝑎 is called the 1st Brillouin zone for linear lattice, the next range with half periodic ±𝜋/𝑎 to each sides is called 2nd Brillouin zone. 3- For the waves which have large wavelength λ (when K is small): sin 𝑘𝑎 2 = 𝑘𝑎 2 ∴ 𝜔 = 𝜔𝑚𝑎 𝑘 2 This wave is called the acoustic mode and neighboring atoms in acoustic wave move in w –2π/a – π/a 0 π/a 2π/a k 1st Brillouin zone 2nd BZ 52
  • 11.
    We have propagationrelation: 𝜔 = 𝑉𝐾 𝑉𝐾 = 𝜔𝑚𝑎𝐾 2 → 𝑉 = 𝜔𝑚𝑎 2 Substitute 𝜔𝑚 we get: 𝑉 𝑜 = 𝑎 𝐾 𝑀 1/2 The largest wavelength for an infinite string. The shortest wavelength All the atoms displaced by the same amount in the same direction Figure B Figure A Same direction. When sound waves travel in solid, they involve this type of lattice oscillation near K= 0 ((as shown in Figure A). 53
  • 12.
    4- For thewave with small wavelengths (when K is large), then the wavelength values is very small 𝜆 ≪ 𝑎 that mean the wave vector is large and the wave propagation velocity is not constant but its decreases with the increasing of the wave vector, when K is equal to ±π/a (as shown in Figure B) then the wavelength is equal to: 𝐾 = 2𝜋 𝜆 = 𝜋 𝑎 → 𝜆 = 2 𝑎 Velocities in the wave motion There is three kinds of velocities in the wave motion which is distinguish from each others, but its related with each other by mathematical relations: A: atomic velocity B: phase velocity C: group velocity A: atomic velocity: it is the atom harmonic velocity around its equilibrium position, and has variable quantity, its higher limit when the atom reach its equilibrium position and its equal to zero when the atom is in the maximum displacement from its equilibrium position. 54
  • 13.
    B: phase velocity:it is the propagation velocity of a certain phase for single wave, it is constant quantity in the same media, we can represent it mathematically by the relation: 𝑉𝑝ℎ = 𝜔/𝐾 C: group velocity: it can be mathematically express by the relation: 𝑉 𝑔 = 𝑑𝜔 𝑑𝐾 Phase velocity and group velocity in the lattice: The physically distinguish between phase velocity and group velocity is the phase velocity Vph is the velocity of intrinsic wave propagate with a certain frequency (ω) and wave vector (K), while the group velocity is the propagation velocity of unlimited number of frequencies. The behavior of phase velocity and group velocity in the long waves is limited which with small values of (K), the phase velocity is equal to the group velocity: 𝜔 𝐾 = 𝑑𝜔 𝑑𝐾 = 𝑉 𝑔 = 𝑉𝑝ℎ 55
  • 14.
    𝑉 𝑔 = 𝑑𝜔 𝑑𝑘 = 𝑉𝑝ℎcos 𝑘𝑎 2 𝑉𝑝ℎ = 𝜔 𝑘 = 2𝑉 𝑘𝑎 sin 𝑘𝑎 2 When 𝑘 → 0 also 𝑉 𝑔 → 0 while 𝑉𝑝ℎ → sound velocity (Vo) If 𝑘 → 𝜋/𝑎 then 𝑉 𝑔 → 0 while 𝑉𝑝ℎ → 2𝑉/𝜋 vg  (dω/dk) Experimental for speed of sound (c) in various bulk media: 𝑐 = 2𝑠/∆𝑡 where t is time, s is length of rod Rod: Cu, Al,… s Al 56
  • 15.
    Energy of harmonicoscillator In classical description: the lattice vibrations have many normal modes of frequency ω(k), which are independent and harmonic. Describe each normal mode of frequency ω as a quantum mechanical harmonic oscillator. 𝜀𝑛 = 𝑛 + 1 2 hν = (𝑛 + 1 2 )ℏω It is possible to consider 𝜀𝑛 as constructed by adding n excitation quanta each of energy ℏω to the ground state. 𝜀0 = 1 2 ℏω A transition from a lower energy level to a higher energy level. ∆𝜀 = 𝑛2 + 1 2 ℏω − 𝑛1 + 1 2 ℏ𝜔 = 𝑛2 − 𝑛1 ℏω → ∆𝜀 = ℏω absorption of phonon 57
  • 16.
    Zero-point energy As mentionedbefore, even at 0K the atoms vibrate in the crystal and have a zero point energy. This is the minimum energy of the system: 𝜀 = 1 2 ℏω + ℏω 𝑒ℏω/𝐾𝐵𝑇−1 (1) The thermal average number of phonons n(ω) at temperature T is given by Bose- Einstein or (Planck distribution): 𝑛 𝜔 = 1 𝑒ℏω/𝐾𝐵𝑇−1 (2)  By using eq. (2) in eq. (1) can be written: 𝜀 = ℏω[𝑛 ω + 1 2 ] in this form, the quantum mechanical energy level for a simple harmonic oscillator. That is, it look similar to: 𝜀𝑛 = (𝑛 + 1 2 )ℏω  Consider the low temperature limit: 𝜀 = 1 2 ℏω + ℏω 𝑒ℏω/𝐾𝐵𝑇−1 58
  • 17.
    → ℏω ≫𝐾𝐵𝑇 𝜀 = 1 2 ℏω + ℏω 𝑒ℏω/𝐾𝐵𝑇−1 𝑇 → 0, exponential 0 𝜀 = 1 2 ℏω Zero-point energy is independent of temperature (T) → ℏω ≪ 𝐾𝐵𝑇 𝑒𝑥 = 1 + 𝑥 + 𝑥2 2! + ⋯ 𝑒 ℏω 𝐾𝐵 𝑇 =1+ ℏω 𝐾𝐵𝑇 𝜀 = 1 2 ℏω + ℏω 1 + ℏω 𝐾𝐵𝑇 − 1 → 𝜀 = 1 2 ℏω + 𝐾𝐵𝑇 𝜀 ≈ 𝐾𝐵𝑇 is independent of frequency of oscillation  Consider the high temperature limit: 59
  • 18.
    Specific heat ofsolids (Dulong-Petit law) - Specific heat is heat capacity per unit mass. It has units as J/Kg/oC. - When the solid is heated, the atoms vibrate around their sites like a set of harmonic oscillators. The average energy for a 1D oscillator is 𝐾𝐵𝑇. Therefore, the average energy per atom, regarded as a 3D oscillator is 3𝐾𝐵𝑇, and the energy per mole is: 𝜀 = 3𝑁𝐴𝐾𝐵𝑇 where NA is Avogadro's number, KB is Boltzmann constant and R is the gas constant. Specific heat at constant volume: 𝐶𝑣 = 𝑑𝜀 𝑑𝑇 𝑣 = 3𝑁𝐴𝐾𝐵 = 3𝑅 = 3 × 6.02 × 1023 (atoms/mole) × 1.38 × 10−23 (J/K). Experimental results regarding the specific heats of (Pb, Al, Si, and Diamond) solids, the specific heat value approximately the same value and changes little with the increase in temperature but the specific heats of all solids drop sharply at low temperatures and approach zero as T approach zero. Clearly something is wrong with the analysis. 60
  • 19.
    Quantum theory ofspecific heat of a solid (Einstein’s theory) In Einstein’s theory, the crystal lattice structure of a solid comprising N atoms can be created as an assembly of 3N distinguishable one-dimensional oscillators. This assumption is based on that each atom is free to move in three dimensions. The energy level of harmonic oscillator is: 𝐸𝑛 = 𝑛 + 1 2 ℏ𝜔 where ℏ = ℎ 2𝜋 and n=0,1,2,…. Here 𝜃𝐸 = ℏ𝜔 𝐾𝐵 , called as Einstein temperature. N= no. of atoms in the solid 𝐶𝑣 = 3𝑁𝐾𝐵 𝜃𝐸 𝑇 2 𝑒 𝜃𝐸 𝑇 𝑒 𝜃𝐸 𝑇 − 1 2 Case I: High temperature behavior; 𝐾𝐵𝑇 ≫ ℏ𝜔 or 𝑇 ≫ 𝜃𝐸 𝑒𝐾𝐵𝑇 − 1 ≅ 1 + ℏ𝜔 𝐾𝐵𝑇 − 1 = ℏ𝜔 𝐾𝐵𝑇 → 𝐶𝑣 = 3𝑁𝐾𝐵 ℏ𝜔 𝐾𝐵𝑇 2 1 + ℏ𝜔 𝐾𝐵𝑇 ℏ𝜔 𝐾𝐵𝑇 2 61
  • 20.
    𝐶𝑣 = 3𝑁𝐾𝐵 ℏ𝜔 𝐾𝐵𝑇 →0 for large T Which is the Dulong and petits law as obtain from classical theory. Case II: Low temperature behavior; 𝐾𝐵𝑇 ≪ ℏ𝜔 or 𝑇 ≪ 𝜃𝐸 𝜃𝐸 𝑇 ≫ 1 ∴ 𝑒 𝜃𝐸 𝑇 −1 ≈ 𝑒 𝜃𝐸 𝑇 𝐶𝑣 = 3𝑁𝐾𝐵 𝜃𝐸 𝑇 2 𝑒 𝜃𝐸 𝑇 𝑒 𝜃𝐸 𝑇 2 𝑪𝒗 = 𝟑𝑵𝑲𝑩 𝜽𝑬 𝑻 𝟐 𝟏 𝒆 𝜽𝑬 𝑻 = 𝟑𝑵𝑲𝑩 𝜽𝑬 𝑻 𝟐 𝒆 − 𝜽𝑬 𝑻 Thus, for 𝑇 ≪ 𝜃𝐸 the heat capacity (𝐶𝑣) is proportional to 𝑒−𝜃𝐸/𝑇 which is the dominating factor. But experimentally it is found to vary as 𝑇3 for most of the solid. 62
  • 21.
    Debye’s theory ofthe specific heat of a solid The main problem of Einstein theory lies in the assumption that a single frequency of vibration characterizes all 3N oscillators. In Debye’s theory a solid is viewed as a phonon gas. Vibrational waves are matter waves, each with its own de Broglie wavelength and associated particle. Debay considered the vibration of crystal as whole. In a vibrating solid, there are three types of waves. 𝑪𝒗 = 𝟗𝑵𝑲𝑩 𝑻 𝜽𝑫 𝟑 𝒙𝟒𝒆𝒙 𝒆𝒙 − 𝟏 𝟐 𝒙𝒎 𝟎 𝒅𝒙 … … . (1) Case I : At high temperature, 𝜃𝐷 𝑇 ≪ 1, 𝑥 ≪ 1 and 𝑒𝑥 ≈ 1 ∴ 𝑒𝑥 − 1 ≈ 𝑥 eq. (1) becomes; 𝐶𝑣 = 9𝑁𝐾𝐵 𝑇 𝜃𝐷 3 𝑥4×1 𝑥2 𝑑𝑥 𝜃𝐷 𝑇 0 𝐶𝑣 = 9𝑁𝐾𝐵 𝑇 𝜃𝐷 3 𝑥2 𝑑𝑥 𝜃𝐷 𝑇 0 𝐶𝑣 = 9𝑁𝐾𝐵 𝑇 𝜃𝐷 3 𝜃𝐷 3𝑇 3 = 3𝑁𝐾𝐵 𝑇 𝜃𝐷 3 𝜃𝐷 𝑇 3 = 3𝑁𝐾𝐵 = 3𝑅 63 Here ℎ𝑣𝑚 𝐾𝐵 = 𝜃𝐷 , called as Debye’s temperature
  • 22.
    Case II :At low temperature, 𝜃𝐷 𝑇 ≫ 1 → 𝜃𝐷 ≫ 𝑇, 𝜃𝐷 𝑇 → ∞ eq. (1) becomes; 𝐶𝑣 = 9𝑁𝐾𝐵 𝑇 𝜃𝐷 3 𝑥4𝑒𝑥 𝑒𝑥−1 2 ∞ 0 𝑑𝑥 = 9𝑁𝐾𝐵 𝑇 𝜃𝐷 3 4 15 𝜋2 N the number of unit cells is equal to the number of atoms, if a monoatomic crystal in three dimensions = 3 (the heat capacity dependency on temperature in 3D, 2D and 1D). ∴ 𝐶𝑣 ≈ 1944 𝑇 𝜃𝐷 3 ∴ 𝐶𝑣 ∝ 𝑇3 The Debye model can accurately predict the low-temperature dependence of the heat capacity that is proportional to T3 (the Debye T3 law). Debye and Einstein models compared with experimental data for silver (Ag): The Debye model treats atomic vibrations as phonons in a box, while the Einstein model considers each atom in the solid lattice as an independent 3D quantum harmonic oscillator. The Debye model accurately explains the low-temperature dependence of heat capacity, proportional to T3. In contrast, the Einstein model introduces a linear temperature dependence for the heat capacity at low temperatures. 64
  • 23.
    65 Thermal conductivity The quantityof heat flowing per second across unit area of a substance for unit temperature gradient. Thermal conductivity (K) quantity of heat (Q) transmitted in time (t) thickness (L) surface of area (A) with different temperature (∆𝑇). 𝐾 = 𝑄 𝑡 × 𝐿 𝐴×∆𝑇 unit: watt per kelvin.meters (W/K.m)  The heat flux density is depend upon: area, length and difference in temperature T2>T1. Thermal expansion The expansion of solids as the temperature is increased, it can expressed as ∆𝐿 𝐿 = 𝛼∆𝑇
  • 24.
    Where ∆𝐿 isthe change in length of the material with the change in ∆𝑇 temperature and L is the original length of the material and α is coefficient of thermal expansion. The expansion of the material depends upon it. Q// A Brass strip is 3 cm long at 0 ºC. How long will it be at 100 ºC if the coefficient of linear expansion for Brass is 1.8 x 10-5 /ºC? Solution ∆𝐿 = 𝛼. 𝐿𝑖 . ∆𝑇 ∆𝐿 = 1.8 × 10−5 𝑜𝐶−1 × 3 𝑐𝑚 × 100 − 0 𝑜𝐶 ∆𝐿 = 0.0054 𝑐𝑚 𝐿𝑓 = ∆𝐿 + 𝐿𝑖 = 0.0054 + 3 = 3.0054 (𝑐𝑚) 66
  • 25.
    Effect of temperatureon the Fermi-Dirac Distribution Ef Conduction band Valence band Ef Conduction band Valence band T= 0K T> 0K  The highest occupied energy level at absolute zero temperature (0K) is called as Fermi level.  At temperature T > 0K, the distribution of electrons over a range of allowed energy level at thermal equilibrium is given by Fermi-Dirac Distribution function. f 𝐸 = 1 1 + 𝑒 𝐸−𝐸𝐹 𝐾𝐵𝑇 where f(E) is the probability of occupancy for energy level E. Ef is Fermi energy T is temperature in 0K KB = Boltzmann constant The Fermi-Dirac Distribution function. 67
  • 26.
    At T= 0K,for E < EF f 𝐸 = 1 1+𝑒 𝐸−𝐸𝐹 𝐾𝐵𝑇 𝑒 𝐸−𝐸𝐹 𝐾𝐵𝑇 = 𝑒 − 𝑛𝑢𝑚𝑏𝑒𝑟 0 = 𝑒−∞= 1 𝑒∞= 1 ∞ =0 → f 𝐸 = 1 1+𝑒 𝐸−𝐸𝐹 𝐾𝐵𝑇 = 1 1+0 = 1 This indicates all energy level below EF are completely filled at absolute zero temperature (T). At T= 0K, for E > EF 𝑒 𝐸−𝐸𝐹 𝐾𝐵𝑇 = 𝑒 + 𝑛𝑢𝑚𝑏𝑒𝑟 0 = 𝑒+ ∞= ∞ f 𝐸 = 1 1+𝑒 𝐸−𝐸𝐹 𝐾𝐵𝑇 = 1 1+∞ = 0 This indicates all energy level above EF are completely empty at absolute zero T. At T= 0K, for E = EF 𝑒 𝐸−𝐸𝐹 𝐾𝐵𝑇 = 𝑒 0 0 = 𝑁𝑜𝑡 𝑑𝑒𝑓𝑖𝑛𝑒𝑑 f(E) can not give us probability of occupancy of Fermi level at 0K. 68
  • 27.
    At T> 0K,for E = EF 𝑒 𝐸−𝐸𝐹 𝐾𝐵𝑇 = 𝑒 0 𝐾𝐵𝑇 =1 f 𝐸 = 1 1 + 𝑒 𝐸−𝐸𝐹 𝐾𝐵𝑇 = 1 1 + 1 = 1 2 At T > 0K, probability of occupancy for Fermi level is always half (0.5). Q// Calculate the probabilities for an electronic state to be occupied at 20 oC, if the energy of these states lies 0.11eV above and 0.11eV below the Fermi level. Solution: Probability of occupying an energy level 0.11eV above Fermi level. f 𝐸 = 1 1+𝑒 𝐸−𝐸𝐹 𝐾𝐵𝑇 = 1 1+𝑒4.2307 = 0.0126 Probability of occupying an energy level 0.11eV below Fermi level f 𝐸 == 1 1+𝑒 − 4.2307 = 0.987 69