2014 International Conference on Topology and its Applications,
July 3-7, 2014, Nafpaktos,
Greece
Selected papers
of the 2014 International Conference
on Topology and its Applications
Editors
D.N. Georgiou
S.D. Iliadis
I.E. Kougias
A.C. Megaritis
Department of Mathematics, University of Patras, Greece
ISBN: 978-618-80609-1-3
Preface
The 2014 International Conference on Topology and its Applica-
tions took place from July 3 to 7 in the 3rd
High School of Nafpak-
tos, Greece. It covered all areas of Topology and its Applications (especially
General Topology, Set-Theoretic Topology, Geometric Topology, Topological
Groups, Dimension Theory, Dynamical Systems and Continua Theory, Com-
putational Topology, History of Topology). This conference was attended by
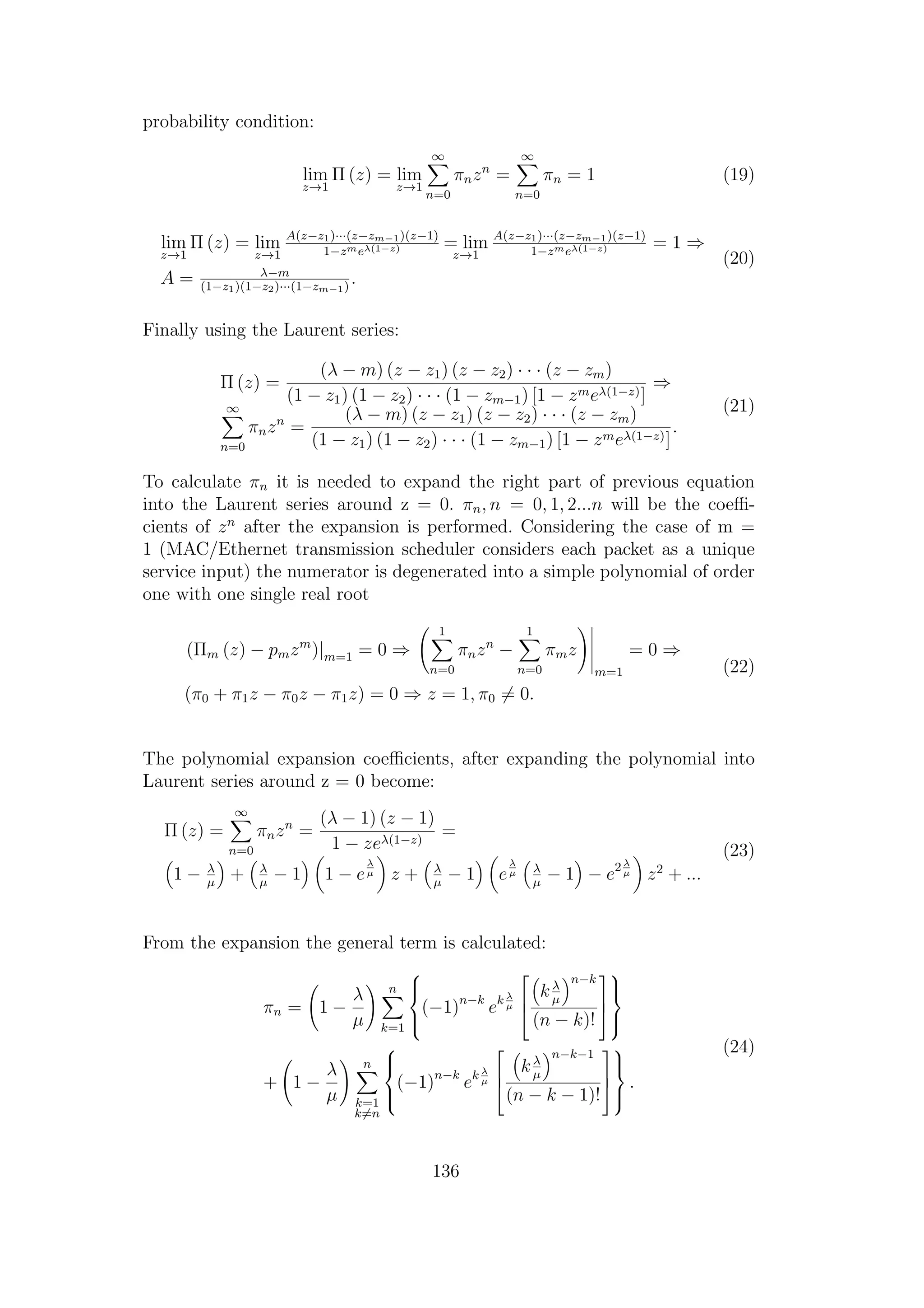
235 participants from 44 countries and the program consisted by 147 talks.
The Organizing Committee consisted of S.D. Iliadis (University of Patras),
D.N. Georgiou (University of Patras), I.E. Kougias (Technological Educational
Institute of Western Greece), A.C. Megaritis (Technological Educational In-
stitute of Western Greece), and I. Boules (Mayor of the city of Nafpaktos).
The Organizing Committee is very much indebted to the City of
Nafpaktos for its hospitality and for its excellent support during
the conference.
The conference was sponsored by University of Patras, Technological Educa-
tional Institute of Western Greece, Municipality of Nafpaktos, New Media Soft
– Internet Solutions, Loux Marlafekas A.B.E.E., TAXYTYPO – TAXYEK-
TYPOSEIS GRAVANIS EPE, Alpha Bank, and Wizard Solutions LTD.
This volume is a special volume under the title: “Selected papers of the 2014
International Conference on Topology and its Applications” which will be
edited by the organizers (D.N. Georgiou, S.D. Iliadis, I.E. Kougias, and A.C.
Megaritis) and published by the University of Patras. We thank the authors
for their submissions.
Editors
D.N. Georgiou
S.D. Iliadis
I.E. Kougias
A.C. Megaritis
3
Contents
M. Aphane and S. P. Moshokoa, On algebraic quasi-cone metric spaces, quasi
metric spaces and fixed point results for contractive mappings . . . . . . . . . . . . . 7
Antonio Boccuto and Xenofon Dimitriou, Strong uniform continuity and filter
exhaustiveness of nets of cone metric space-valued functions . . . . . . . . . . . . . . 21
M. Caldas and S. Jafari, Regularity and normality via βθ-open sets . . . . . . . 37
M. Caldas, S. Jafari, and T. Noiri, On the class of semipre-θ-open sets in
topological spaces . . . . . . . . . . . . . . . . . . . . . . . . . . . . . . . . . . . . . . . . . . . . . . . . . . . . . . . . .49
A. Charakopoulos, T. E. Karakasidis, P.N. Papanicolaou, and A. Liakopoulos,
Application of complex network time series analysis in the study of spatiotem-
poral phenomena . . . . . . . . . . . . . . . . . . . . . . . . . . . . . . . . . . . . . . . . . . . . . . . . . . . . . . . . . 60
S. Jafari and A. Selvakumar, New types of continuous functions via Gα-open
sets . . . . . . . . . . . . . . . . . . . . . . . . . . . . . . . . . . . . . . . . . . . . . . . . . . . . . . . . . . . . . . . . . . . . . . 77
S. Karakasidou and L. Zachilas, Vegetable price time series analysis using
complex networks . . . . . . . . . . . . . . . . . . . . . . . . . . . . . . . . . . . . . . . . . . . . . . . . . . . . . . . . 87
Angeliki Kontolatou, Kyriakos Papadopoulos, and John Stabakis, Quasi-Uni-
formities on Function Spaces Generated by Atoms:
Remarks and Questions . . . . . . . . . . . . . . . . . . . . . . . . . . . . . . . . . . . . . . . . . . . . . . . . . . 96
Ioannis Kougias, Lambrini Seremeti, and Dimitris Kalogeras, Topological ad-
jacency in ontology alignment . . . . . . . . . . . . . . . . . . . . . . . . . . . . . . . . . . . . . . . . . . . 106
Ioannis Kougias, Lambrini Seremeti, and Dimitris Kalogeras, The role of
Topology in Knowledge Representation . . . . . . . . . . . . . . . . . . . . . . . . . . . . . . . . . . 115
Spiros Louvros, Topology Dependant IP Packet Transmission Delay on LTE
Networks . . . . . . . . . . . . . . . . . . . . . . . . . . . . . . . . . . . . . . . . . . . . . . . . . . . . . . . . . . . . . . . 122
Spiros Louvros and Ioannis Kougias, Analysis of LTE Multi-Carrier Signal
Transmission over Wireless Channels with Operators on Heisenberg Group
H (R) . . . . . . . . . . . . . . . . . . . . . . . . . . . . . . . . . . . . . . . . . . . . . . . . . . . . . . . . . . . . . . . . . . . 139
M. Parimala and S. Jafari, mI-open sets and quasi-mI-open sets in terms of
minimal ideal topological spaces . . . . . . . . . . . . . . . . . . . . . . . . . . . . . . . . . . . . . . . . . 151
A. Selvakumar and S. Jafari, Some properties of Gα-closed graphs . . . . . . .159
A. Selvakumar and S. Jafari, Contra Gα-continuous functions . . . . . . . . . . . 168
5
Vladimir Todorov, Minimal (n, ε) - connected compacta are
V n
manifolds . . . . . . . . . . . . . . . . . . . . . . . . . . . . . . . . . . . . . . . . . . . . . . . . . . . . . . . . . . . 182
Zohreh Vaziry, PD Dr. Dieter Leseberg, and Dr. S. B. Nimse, b-topological
frame extension and hypernear frames . . . . . . . . . . . . . . . . . . . . . . . . . . . . . . . . . . .190
6
Selected papers of the 2014 International Conference
on Topology and its Applications
(2015) Pages 7–20
Department of Mathematics
University of Patras
Greece
On algebraic quasi-cone metric spaces, quasi
metric spaces and fixed point results for
contractive mappings
M. Aphane 1
, S. P. Moshokoa 2
1,2 Department of Mathematics and Statistics, Tshwane University of Technology,
Pretoria, 0008, South Africa
Abstract
The aim of this work is to extend interesting results obtained in by A. Niknam et al
[7] from the symmetric distance spaces, namely, algebraic cone metric spaces to the
setting of the unsymmetric distance spaces, which we shall call algebraic quasi cone
metric spaces. We define algebraic quasi cone metric spaces, present fundamental
results for these spaces and show how this spaces are related to quasi metric spaces.
Finally, a fixed point result is presented in this context. Note that our results extends
and generalises results in metric spaces and cone metric spaces.
Key words: Algebraic quasi cone metric space, bicomplete, fixed point.
1991 MSC: Primary 47L07, 15B48; Secondary 46B99.
1. Introduction
Ordered spaces and cones have a wide application in various branches of math-
ematics, for example, in applied mathematics, optimization theory and com-
puter science. There are many generalisations of metric spaces in the literature,
for instance we have pseudo metric spaces and quasi metric spaces. One also
obtains such a generalisation by replacing the codomain of a metric space with
an ordered Banach space. Then one obtains a generalization of a metric space,
referred to as a cone metric space, we refer to the paper by Huang and Zhang
[6]. Since then many fixed points results in metric spaces where extended to
the class of cone metric spaces, see [6], [9] and [10] for example. Further, note
1 AphaneM@tut.ac.za
2 MoshokoaSP@tut.ac.za
that in the literature, one obtains a notion of a quasi metric space as a gen-
eralization of a metric space, see the following references for example [16] and
[17]. The reader should observe that quasi metric spaces have a wider range
of applications in complexity theory and theoretical computer science, see for
example, [14], [8], and [15]. Another way of generalising metric spaces is ob-
tained by replacing the codomain of a metric or a quasi metric with an ordered
Banach space. In this case one gets a cone metric or quasi cone metric space,
respectively, see the papers [5] and [17] for example. Therefore the notion of a
quasi cone metric space is a generalization of both metric spaces, cone metric
spaces and quasi metric spaces. Recently there has been a number of articles
on fixed point results in quasi metric spaces see for example [4], [1] and [2] for
recent papers on this work. It should further be noted that cone metric spaces
are an attempt to generalise metric spaces, and that quasi- cone metric spaces
generalises quasi metric spaces. That is, the class of metric spaces is properly
contained in the class of cone metric spaces.
Recently, the authors in [7] introduced the notion of TVS cone metric space
and replaced the ordered Banach space by a locally convex Hausdorff TVS in
order to generalise the results presented in cone metric spaces with the ordered
Banach space. In the paper we will define a quasi-cone metric with values in a
locally convex Hausdoff TVS, and our results also hold for quasi-cone metric
spaces with an ordered Banach space.
2. Preliminaries
Let E be a topological vector space (TVS, for short) with its zero vector,
θ. A nonempty set P of E is called a convex cone if:
(i) P + P ⊆ E and
(ii) λP ⊆ P for all λ ≥ 0.
A convex cone P in E is said to be pointed if
P ∩ (−P) = {θ}.
For a given convex cone P, a partial ordering on E with respect to P is
defined as x y if and only if y − x ∈ P. We shall write x y if x y and
x = y, while x y will stand for y − x ∈ intP, where intP, is the topological
interior of P.
Now suppose that E is a locally convex Hausdorff TVS with a zero vector θ,
a proper closed and convex pointed cone P in E with intP = ∅, e ∈ intP, and
a partial ordering with respect to P.
Definition 2.1. [7] Let E be a real vector space and P be a convex subset
8
of E. A point x ∈ P is said to be an algebraic interior point of P if for each
v ∈ E there exists > 0 such that x + tv ∈ P, for all t ∈ [0, ].
The set of all algebraic interior points of P is called its algebraic interior and is
denoted by aintP, Moreover, P is algebraically open if and only if P = aintP.
Let P ⊆ E be a convex non empty set such that;
(i) P + P ⊆ P,
(ii) λP ⊆ P for all λ ≥ 0,
(iii) P ∩ (−P) = {θ}.
We shall call P an algebraic cone in E.
For a given algebraic cone P, a partial ordering a on E with respect to P is
defined as x a y if and only if y − x ∈ P. We shall write x a y if x a y
and x = y, while x a y will stand for y − x ∈ aintP, where aintP, is the
algebraic interior of P. We will say that P has the archimedean property
if for each x, y ∈ P there exists a natural number n such that x a ny.
We now present some examples of algebraic cones, also see the references for
more examples:
Example 2.2. Let E = Rn
and P = (x1, x2, ..., xn) ∈ E such that xi ≥ 0, for
all i = 1, 2, ..., n. Then P is an algebraic cone with the archimedean property.
Example 2.3. Let E = CR[a, b] = {f : [a, b] → R}, with f being continuous
and P = {f ∈ E : f(x) ≥ 0} for all x ∈ [a, b]. Then P is an algebraic cone
with the archimedean property.
Example 2.4. Let E = CR(0, ∞) and P = {f : f(x) ≥ 0} for all x ∈ (0, ∞).
Then P is an algebraic cone but does not have the archimedean property.
The proof of the following Lemma is provided in [7].
Lemma 2.5. Let E be a real vector space and P be an algebraic cone in E
with a non-empty algebraic interior. Then
(i) P + aintP ⊂ aintP;
(ii) αaintP ⊂ aintP, for each α > 0;
(iii) For any x, y, z ∈ E, x a y and y a z implies that x a z.
3. Main results
We now introduce the following definition:
Definition 3.1. Let X be a non-empty set, E be a real vector spaces, P an
algebraic cone in E with a non-empty algebraic interior and da : X × X → E
9
satisfy the following for all x, y, x ∈ X :
(a) For x = y, θ a da(x, y) and da(x, x) = θ;
(b) da(x, y) a da(x, z) + da(z, y).
We shall call the function da that satisfies (a) and (b) an algebraic quasi-
pseudo metric on X, and the pair (X, da) will be called an algebraic quasi-
pseudo metric space. Note that the function d−1
a : X × X → E defined by
d−1
a (x, y) = da(y, x), for all x, y ∈ X is also an algebraic quasi pseudo metric
on X, which we call a conjugate of da.
We introduce further definitions:
Definition 3.2. Let X be a non-empty set, E be a real vector spaces, P an
algebraic cone in E with a non-empty algebraic interior and da : X × X → E
satisfy the following for all x, y, x ∈ X :
(a ) For x = y, θ a da(x, y) and da(x, y) = θ if and only if x = y;
(b) da(x, y) a da(x, z) + da(z, y).
We shall call the function da that satisfies (a ) and (b) an algebraic quasi-
cone metric on X, and the pair (X, da) will be called an algebraic quasi-
cone metric space.
It follows that every algebraic quasi-cone metric space is an algebraic quasi-
pseudo cone metric space but not conversely.
Definition 3.3. Let X be a non-empty set, E be a real vector spaces, P an
algebraic cone in E with a non-empty algebraic interior and da : X × X → E
satisfy the following for all x, y, x ∈ X :
(a ) For x = y, θ a da(x, y) and da(x, y) = θ if and only if x = y;
(b ) da(x, y) = da(y, x);
(c) da(x, y) a da(x, z) + da(z, y).
We shall call the function da that satisfies (a ) and (b ) and (c) an algebraic
cone metric on X, and the pair (X, da) will be called an algebraic cone
metric space. Further, given an algebraic quasi-cone metric metric space
(X, da), let d∗
a : X × X → E be defined by
d∗
a(x, y) = max{da(x, y), d−1
a (x, y)}, then d∗
a is an algebraic cone pseudo metric
on X. If da is an algebraic quasi-cone metric on X, then d∗
a is an algebraic
cone metric on X. Furthermore, if da is an algebraic metric on X then da =
d−1
a = d∗
a.
Example 3.4. Let E = R2
and P = {(x1, x2) ∈ E : x1, x2 ≥ 0}. Next, for
X = R and α ≥ 0 define da : X×X → E by da(x, y) = (max{0, y−x}, α|x−y|)
for all x, y ∈ X. Then da is an algebraic quasi-pseudo cone metric on X and
not an algebraic cone metric on X.
10
The class of metric spaces is properly contained in the class of pseudo metric
space and in turn the class of pseudo metric spaces is properly contained in
the class of algebraic quasi pseudo cone metric spaces.
Also, the class of metric spaces is properly contained in the class of quasi
metric spaces, the class of quasi metric spaces is properly contained in the
class of algebraic quasi cone metric space. Finally, the class of algebraic quasi
metric spaces is properly contained in the class of algebraic quasi-pseudo cone
metric space.
Importantly, given an algebraic quasi-cone metric space (X, da), the order ≤da
defined by x ≤da y ⇔ da(x, y) = θ is a specialization order on X. We
put x ≤da y, whenever x ≤da y and x = y. In many examples of quasi metric
spaces as a special case of algebraic quasi cone metric spaces that appear in the
literature [13], particularly, in theoretical computer science the specialization
order provides a rich tool to explain the crucial information on the collection of
elements of X, this maybe applicable to certain information related to words
of the alphabet in certain models of parallel computation.
We briefly discuss bitopological aspects of algebraic quasi-cone metric spaces.
Recall that a bitopological space is a nonempty set X together with two topolo-
gies τ1 and τ2, denoted by (X, τ1, τ2). Now, we start with:
The proof is the same as to the one in algebraic cone metric spaces [7], so we
omit the proof.
Theorem 3.5. Let (X, da) be an algebraic quasi-pseudo metric space. The
collection {Ba(x, c) : c ∈ aintP} forms a subbasis for the topology on X,
where, Bda (x, c) = {y ∈ X : da(x, y) a c}.
So every algebraic quasi-pseudo cone metric da on X generates a topology,
which we denote by τda . It clear that associated to an algebraic quasi pseudo
cone metric space is a bitopological space
(X, τda , τd−1
a
).
Note however, that the topology τd∗
a
on X is not necessarily Hausdorff, as d∗
a
is not necessarily an algebraic cone metric on X. This is unlike in algebraic
cone metric spaces where the topology τda on X induced by the algebraic cone
metric da is Hausdorff, see [7].
We present the following separation axiom for bitopological spaces, induced
by an algebraic quasi-cone metric on X.
Definition 3.6. Let (X, da) be an algebraic quasi-pseudo cone metric space.
We will say that (X, τda , τd−1
a
) is pairwise Hasudorff if for every pair x = y of
points in X there exists a τda -neighbourhood of x and a τd−
a
-neighbourhood
11
of y wich are disjoint or τda -neighbourhood of y and τd−
a
-neighbourhood of x
which are disjoint.
Next we have:
Theorem 3.7. Let (X, da) be an algebraic quasi-pseudo cone metric space.
The following statements are equivalent:
(a) the bitopological space (X, τda , τd−1
a
) is pairwise Hausdorff;
(b) the function d∗
a is an algebraic cone metric on X;
(c) for x = y, we have da(x, y) = θ, imply that da(y, x) a θ;
(d) for x = y, we have da(x, y) a θ or da(y, x) a θ;
(e) for x = y, we have d(x, y) + d(y, x) a θ;
(f) for all x, y ∈ X, d(x, y) + d(y, x) = θ implies that x = y.
Proof. The implications: (c) ⇒ (d) ⇒ (e) ⇒ (f) ⇒ (c) are clear. We will now
show that (a) ⇔ (c). Suppose that (a) is true and x = y. If da(x, y) = θ. Then
we can find c1 ∈ aintP and c2 ∈ aintP with θ a c1 and θ a c2 such that y ∈
Bda (x, c1) but y /∈ Bd−1
a
(x, c1). This is possible since every τda -neigbourhood
of x contains y and (X, τda , τd−1
a
) is pair wise Hausdorff. Thus θ a c1 a
da(y, x) = d−1
a (x, y). Hence, (a) ⇒ (b). Conversely, let x = y, and suppose
that (b) is true. We will show that (X, τda , τd−1
a
) is pair wise Hausdorff. Suppose
that every τd-neighbourhood of x contains y, in particular, y ∈ Bda (x, c), for
all c ∈ aintP. Take c = θ, then d(x, y) = θ. So we must have d−1
a (x, y) = θ.
Let θ c = d−1
a (x, y), where c ∈ aintP. Then Bd−1
a
(x, c
2
) ∩ Bda (y, c
2
) = ∅.
This shows that (X, τda , τd−1
a
) is pair wise Hausdorff. Finally, we show that
(b) ⇔ (f). Clearly, (b) ⇒ (f). Suppose that (f) is true and d∗
a(x, y) = θ. Then
da(x, y) = θ and d−1
a (x, y) = θ. Hence, da(x, y) + da(y, x) = θ. So, x = y. We
conclude that d∗
a(x, y) = θ if and only if x = y.
We will say that an algebraic quasi-pseudo metric da separates point in X if
for x = y implies that da(x, y) a θ.
In the sequel, unless otherwise stated, we will assume that the algebraic quasi-
pseudo cone metric da separates points in X. Hence, the space (X, da) is an
algebraic quasi-cone metric space.
Let (X, da) be an algebraic quasi-cone metric space, x ∈ X and {xn} be a
sequence in X. Then one sees that a sequence {xn} converges to a point x
with respect to τd if for every θ a c there exists a positive N such that for
all n > N we have da(xn, x) a c.
Definition 3.8. Let (X, da) be an algebraic quasi-cone metric space. A se-
quence {xn} is said to be a d∗
a-Cauchy sequence if for every θ a c there ex-
ists a natural number N such that for all m, n > N, we have da(xn, xm) a c.
Moreover, (X, da) is bicomplete, if every d∗
a-Cauchy sequence converges to a
point in X with respect to d∗
a.
12
The reader should be aware that there are a number of inequivalent notions
of completeness in quasi metric spaces see [4], [1], [12] and [11]. Similarly,
we can provide a number of notions for completeness for algebraic quasi-cone
metric spaces. However, for the purpose of the paper, we will stick to the above
definition.
Example 3.9. Let X = [0, 1], E = R2
, P = {(a, b) ∈ E : a, b ≥ 0} and define
da : X × X → E by
da(x, y) =



(x − y), α(x − y)) if x ≥ y
(1, 1) if x < y.
Then (X, da) is an algebraic quasi-cone metric space. Consider the sequence
{xn = 1
n
, n ≥ 1}. We easily see that {xn} is a d∗
a-Cauchy sequence.
We also note that an algebraic quasi-cone metric space (X, da) is bicomplete
if and only if the associated algebraic cone metric space (X, d∗
a) is complete.
Also, (X, da) is bicomplete if and only if (X, d−1
a ) is bicomplete.
Definition 3.10. Let (X, da) and (Y, ρa) be algebraic quasi cone metric spaces.
A map f : (X, da) → (Y, ρa) is called an isometry if for all x, y ∈ X, we have
ρa(f(x), f(y)) = da(x, y).
Theorem 3.11. Let (X, da) be an algebraic quasi-pseudo cone metric space
and R = {(x, y) : da(x, y) = da(y, x) = θ}. Then R is an equivalence relation
and the quotient space X/R can be given an algebraic quasi cone metric such
that the map(quotient map) e : X → X/R is an isometry.
Proof. Let (X, da) be an algebraic quasi-pseudo cone metric space and
R = {(x, y) ∈ X × X : da(x, y) = da(y, x) = θ}.
Define a function Da : X/R × X/R → E by Da(˜x, ˜y) = da(x, y), where
˜x, ˜y ∈ X/R, that is, ˜x and ˜y is each an R- equivalence class containing x and
y, respectively.
Suppose that ( ˜x1, ˜y1) = (˜x, ˜y), then
da(x, y) a da(x, x1) + da(x1, y1) + da(y1, y),
thus
da(x, y) a θ + da(x1, y1) + θ,
thus
da(x, y) a da(x1, y1),
similarly, we have
da(x1, y1) a da(x, y).
13
Since a is a partial order on E through P, we should have
da(x, y) = da(x1, y1).
This shows that D is well defined. By definition of D, we see that e is an
isometry. Finally, we note that Da is an algebraic quasi cone metric on X/R.
Quasi metric spaces have a wide of applications in complexity theory and
theoretical computer science, see [1] for example. Before we conclude this
section of the paper we discuss the relationship between quasi metric spaces
and algebraic quasi cone metric spaces.
It is well known in applications especially in optimization theory that a use-
ful approach for analyzing a vector optimization problem is to reduce it to a
scalar optimization problem. For this nonlinear scalarization functions play an
predominant role in the context of non-convex vector optimization problems.
Recently, this approach has been successfully applied to investigate the equiv-
alence of vectorial versions of fixed point theorems of contractive mappings
in TVS-cone metric spaces and the scalar versions of fixed point theorem for
metric spaces. The paper [3], uses a similar approach to discuss the equivalence
between cone metric spaces and metric spaces. We successfully use scalariza-
tion methods to show the equivalence of more general spaces than cone metric
spaces and metric spaces. In particular, we show the equivalence of algebraic
quasi-cone metric spaces and quasi metric spaces. The class of spaces consid-
ered in the paper are more general and include algebraic cone metric spaces
and metric spaces.
Definition 3.12. Let E be a real vector space and P be an algebraic cone in
E. For a given e ∈ aintP, the nonlinear scalarization function is defined by:
ξe(y) = infMe,y,
where Me,y = {r : y ∈ re − P}, and r is real number.
Let (X, da) be an algebraic quasi-cone metric space and e ∈ aintP.
Then:
(i) The function de : X × X → [0, ∞) defined by
de = ξe ◦ da
is a quasi metric on X and de separates points in X if and only if da separates
points.
(ii) Bde (x, r) = Bda (x, re), where Bde (x, r) = {y ∈ X : de(x, y) < r} and
14
Bda (x, re) = {y ∈ X : da(x, y) a re}. That is τda = τde . Note that the cone
P must have the archimedean property for the equality to hold.
(iii) A sequence {xn} in X is d∗
e-Cauchy if and only if it is d∗
a-Cauchy, where
d∗
e(x, y) = max{de(x, y), de(y, x)}. Hence (X, de) is bicomplete if and only if
(X, da) is bicomplete.
(iv) A map T : X → X satisfies the contractive condition:
da(Tx, Ty) a λda(x, y),
if and only if T : X → X satisfies the contractive condition:
de(Tx, Ty) ≤ λde(x, y)
for λ ∈ (0, 1).
In the next result, we say that a map T : (X, da) → (Y, ρa) between algebraic
quasi-cone metric spaces is (d∗
a − ρ∗
a)- continuous whenever it is continuous
with respect to τd∗
a
and τρ∗
a
in X and Y , respectively.
Theorem 3.13. Let (X, da) be a bicomplete algebraic quasi-cone metric space
and a map T : X → X satisfies the contractive condition:
da(Tx, Ty) a λda(x, y),
for λ ∈ (0, 1). Then T is (d∗
a − d∗
a)-continuous.
From the foregoing discussions we can deduce most rich topological (bitopolog-
ical) properties of algebraic quasi-cone metric spaces from quasi metric spaces.
It therefore becomes important that one could take an interest for example on
those properties of algebraic quasi-cone metric spaces that are not topological,
this could be properties related to completeness and completions as well as
applications to fixed point theory.
Finally, we present a fixed point result in this context, and assume that the
algebraic cone P has the archimedean property.
Theorem 3.14. Let (X, da) be a bicomplete algebraic quasi-cone metric space.
Suppose that a mapping T : X → X satisfies the contractive condition condi-
tion
da(Tx, Ty) a λda(x, y),
for all x, y ∈ X, where λ ∈ (0, 1) is a constant. Then T has a unique fixed
point in X. Moreover, for each x ∈ X, the iterative sequence Tn
x converges
to the fixed point.
Proof. For x0 ∈ X, let x1 = Tx0, and x2 = Tx1 = T2
x0, ..., xn = Tn
x0.
15
Next, we calculate da(xn+1, xn), and note that
da(xn+1, xn) a da(T(Tn
x0), T(Tn−1
x0)) λda(Tn
x0, Tn−1
x0),
continuing this process, we have that
da(xn+1, xn) a λn
da(x1, x0).
Similarly, we have
d−1
a (xn+1, xn) a λn
d−1
a (x1, x0).
Therefore,
d∗
a(xn+1, xn) a λn
d∗
a(x1, x0).
We also, have
d∗
a(Tx, Ty) a λd∗
a(x, y)
for all x, y ∈ X and λ ∈ (0, 1).
Without loss of generality, assume that n > m.
Then
d∗
a(xn, xm) a d∗
a(xn, xn−1) + d∗
a(xn−2, xn−3) + ... + d∗
a(xm+1, xm).
Now
d∗
a(xn, xn−1) + ... + d∗
a(xm+1, xm) = (λn−1
+ λn−2
+ ... + λm
)d∗
a(x1, x0),
Therefore,
d∗
a(xn, xm) a
λm
1 − λ
d∗
a(x1, x0).
Since P has the archimedean property for each θ a c, there exists > 0 such
that d∗
a(x1, x0) a c. Hence there exists a natural number N such that for
each m > N we have
λm
1 − λ
d∗
a(x1, x0) a c.
Hence for m > n the sequence {xn} is a d∗
a-Cauchy sequence. The algebraic
quasi-cone metric space (X, da) is bicomplete, so there exists a unique point
x∗
∈ X and a natural number N such that d∗
a(xn, x∗
) c, for all n > N,
where c ∈ aintP.
So
d∗
a(Tx∗
, x∗
) a d∗
a(Tx∗
, Txn) + d∗
a(Txn, x∗
) a d∗
a(xn, x∗
+ d∗
a(xn, x∗
).
It follows that d∗
a(Tx∗
, x∗
) a
c
m
, m ≥ 1 So, c
m
− d∗
a(Tx∗
, x∗
) ∈ P. Since
c
m
→ 0, m → ∞. We have −d∗
a(Tx∗
, x∗
) ∈ P. Now, d∗
a(Tx∗
, x∗
) ∈ P, also, P is
16
pointed, that is, P ∩ (−P) = θ, hence d∗
a(Tx∗
, x∗
) = θ. This shows that x∗
is
a fixed point of T.
Now suppose that y∗
is another fixed point of T, that is, Ty∗
= y∗
.
Then d(x∗
, y∗
) = d(Tx∗
, Ty∗
) a λd(x∗
, y∗
), thus (1 − λ)d(x∗
, y∗
) a c, c ∈
aintP and θ c. However, (1 − λ) < 0, so d(x∗
, y∗
) = θ. Therefore, x∗
= y∗
.
In the following example we justify Theorem 3.14.
Example 3.15. Let E = R2
and P = {(a, b) : a ≥ 0, b ≥ 0} be a subset of E.
Further, let X = {1, 2, 3, ...} and define da : X × X → E, by
da(x, y) = (
1
x
,
1
y
),
when x = y and da(x, y) = (0, 0) = θ, when x = y. Clearly for x = y, we
have da(x, y) = da(y, x), hence (X, da) is not an algebraic cone metric space
but an algebraic quasi-cone metric space. Also, the map T : X → X defined
by Tx = 2x is a contraction. But there is no fixed point for T because the
space (X, d) is not bicomplete. So we see that the condition that (X, da) is
bicomplete cannot be removed in Theorem 3.14.
The following series of corollaries indicates the important connection between
algebraic quasi-cone metric spaces and quasi metric spaces.
Corollary 3.16. Let (X, d) be a bicomplete quasi metric space. Suppose that
a mapping T : X → X satisfies the contractive condition
d(Tx, Ty) ≤ λd(x, y),
for all x, y ∈ X, where λ ∈ (0, 1) is a constant. Then T has a unique fixed
point in X. Moreover, for each x ∈ X, the iterative sequence Tn
x converges
to the fixed point.
Since every algebraic cone metric space is an algebraic quasi-cone metric space
but not conversely, we have the following:
Corollary 3.17. [7] Let (X, da) be a complete algebraic cone metric space.
Suppose that a mapping T : X → X satisfies the contractive condition condi-
tion
da(Tx, Ty) a λda(x, y),
for all x, y ∈ X, where λ ∈ (0, 1) is a constant. Then T has a unique fixed
point in X. Moreover, for each x ∈ X, the iterative sequence Tn
x converges
to the fixed point.
17
The well-known Banach’s contraction principle for metric spaces.
Corollary 3.18. Let (X, d) be a complete metric space. Suppose that a map-
ping T : X → X satisfies the contractive condition condition
d(Tx, Ty) ≤ λd(x, y),
for all x, y ∈ X, where λ ∈ (0, 1) is a constant. Then T has a unique fixed
point in X. Moreover, for each x ∈ X, the iterative sequence Tn
x converges
to the fixed point.
We conclude the paper with the following:
Example 3.19. Let E = R2
, and P = {(a, b) ∈ E : a, b ≥ 0} be a subset of
E. Clearly, P has an archimedean property. Further, let X be the set of real
numbers. Define da : X × X → E by
da(x, y) = (max{0, y − x}, α|x − y|),
where α ≥ 0. Note that d∗
a(x, y) = (|x − y|, α|x − y|), so that (X, d∗
a) is a
complete algebraic cone metric space. It follows that (X, da) is a bicomplete
algebraic quasi cone metric space. Now define a mapping T : X → X by
Tx = x
3
+ 2, then T is a contraction with a fixed point x = 3. In particular,
Theorem 3.14 holds but Theorem 3.6 in [7] which is about algebraic cone
metric spaces does not apply here since (X, da) is not an algebraic cone metric
space.
4. Conclusion
It is well known that quasi metric spaces provide a more general setting to
study results than metric spaces. Therefore, quasi- cone metric spaces provides
a more general setting than cone metric spaces. The paper has presented re-
sults in quasi cone metric spaces, a setting which is more general than that of
metric spaces and cone metric spaces. In this way we also enlarged the class of
mathematical structures where fixed point results can be studied as well the
applications of these results. Quasi metric spaces are of interest to researchers
in mathematics and theoretical computer scientists. We would like to also
highlight that there a various notions of completeness in the setting of quasi
metric spaces. We have focused our attention to the context of bicomplete
quasi cone metric spaces. Finally, there are results from algebraic quasi-cone
metric spaces that can easily be obtained from quasi metric spaces, includ-
ing the generalised Banach’s fixed point results in quasi-cone metric spaces.
Compare Definition 3.12, Theorem 3.14 and corollaries 3.16 to 3.18.
18
Acknowledgements. The authors would like to thank the report from a
referee. We would like to thank the research support provided by the De-
partment of Mathematics and Statistics at Tshwane University of Technology
(TUT). Finally, The second author would like to also thank the support from
the South African National Research Foundation under grant number 92052
IRF1202210126.
References
[1] Alghamdi MA., Shahzad N., Valero O., Fixed point theorems in generalized
metric spaces with applications to computer science, Fixed Point Theory and
Applications, 2013:118 (2013)
[2] Alegre C., Marin J., Romaguera S., A fixed point theorem for generalized
contractions involving w-distances on complete quasi-metric spaces, Fixed Point
Theory and Applications,2014:40 (2014)
[3] Asadi M., Rhoades B. E., Soleimani H., The equivalence of cone metric spaces
and metric spaces, Fixed Point Theory and Applications, 2012:87 (2012)
[4] Karapinar E., Romaguera S., Tirado P ., Contractive multivalued maps in
terms of Q-functions on complete quasi metric spaces, Fixed Point Theory and
Applications, 2014:53 (2014)
[5] Kazeem EF., Agyingi CA., Gaba YU., On quasi-pseudometric type spaces,
Chinese Journal of Mathematics, volume 2014, Article ID 198685, 7 pages,
(2014)
[6] Long-Guang H., Xian Z., Cone metric spaces and fixed point theorems of
contractive mappings , J. Math. Anal. Appl., 332 1468-1476 (2007)
[7] Niknam A., Gamchi S., Janfada M., Some results on TVS-cone normed
spaces and Algebraic Cone metric spaces, Iranian Journal of mathematics and
Informatics, Vol 9 No. 1 , 71-80 (2014)
[8] Heckmann R., Approximation of metric spaces by partial metric spaces, Applied
Categotical structures, 7, 71-83 (1999)
[9] Rezapour Sh., Hamlbarani R., Some notes on the paper ”Cone metric spaces
and fixed point theorems of contractive mappings”, J. Math. Anal. Appl., 345
719-724 (2008)
[10] Radenovic S., Kadelburg Z., Quasi-contractions on symmetric and cone
symmetric spaces, Banach J. Maths. Anal. 5 no. 1, 38-50 (2011)
[11] Reilly IL., Subrahmanyam PV., Vamanamurthy, MK., Cauchy sequences in
quasi pseudo metric spaces, Monatshefte Math. 93, 127-140 (1982)
[12] Romaguera S., A Kirk type characterization of completeness for partial metric
spaces, Fixed Point Theory and Applications, 2010:493298 (2010)
19
[13] Romaguera S., Sanchis M., Applications of utility functions defined on quasi
metric spaces, J. Math. Anal. Appl. 283 219-235 (2004)
[14] Romaguera S., Schellekens M., Quasi metric properties of complexity spaces,
Topology Appl. 98 311-322 (1999)
[15] Romaguera S., Valero O., A quantitative computational model for complete
partial metric spaces via formal balls, Mathematical Structures in Computer
Science, Vol 9, 541-563 (2009)
[16] Salbany S., Bitopological spaces, Compactifications and Completions, Math.
Monographs, Dept. Math. Univ. Cape Town, 1 (1974)
[17] Shadda F., Md Noorani MS., Fixed point results in quasi cone metric spaces,
Abstract and Applied Analysis, Vol 2013, artice ID 303626, 7 pages, (2013)
20
Selected papers of the 2014 International Conference
on Topology and its Applications
(2015) Pages 21–36
Department of Mathematics
University of Patras
Greece
Strong uniform continuity and filter
exhaustiveness of nets of cone metric
space-valued functions
Antonio Boccuto 1
, Xenofon Dimitriou 2
1Dipartimento di Matematica e Informatica, via Vanvitelli, 1 I-06123 Perugia,
Italy
2Department of Mathematics, University of Athens, Panepistimiopolis, Athens
15784, Greece
Abstract
We give necessary and sufficient conditions for (strong uniform) continuity of the
limit of a pointwise convergent net of cone metric space-valued functions. In this
framework we consider several types of convergence (Alexandroff, Arzel`a, sticky,
strong uniform) in the filter context and some kinds of filter exhaustiveness. Fur-
thermore, we pose some open problems.
Key words: Lattice group, cone metric space, metric semigroup, fuzzy number,
(free) filter, (strong uniform) continuity, filter convergence, strong uniform
convergence, Alexandroff convergence, Arzel`a convergence, sticky convergence,
(strong) filter exhaustiveness of a net, (strong) weak filter exhaustiveness of a net.
1991 MSC: Primary: 26E50, 28A12, 28A33, 28B10, 28B15, 40A35, 46G10, 54A20,
54A40. Secondary: 06F15, 06F20, 06F30, 22A10, 28A05, 40G15, 46G12, 54H11,
54H12.
1. Introduction
We consider the problem of finding necessary and/or sufficient conditions for
continuity of the limit of a pointwise convergent net of functions, defined on
general Hausdorff topological or uniform spaces, and taking values in cone
metric spaces. Examples of cone metric spaces are all (Dedekind complete)
lattice groups and metric semigroups, whose a particular case is the set of
the fuzzy numbers, which is not a group. A comprehensive survey on cone
1 boccuto@yahoo.it
metric spaces and its main properties is found in [24], together with several
recent extensions of classical results in this context, like for example some
versions of the contraction principle. In [24] both the case of normed space-
and lattice group-valued distance are treated (for a comparison between these
two kinds of structures see, for instance, [18]). For a related literature, see also
[9,11–15,17,25,26] and the references therein.
For ordinary metric or uniform space-valued functions, this problem has been
studied in the recent literature in several directions. For some kinds of con-
vergence necessary and sufficient conditions have been found: among them
we recall the Alexandroff convergence (see [1,4,8,19]), the Arzel`a convergence
([2–4,8]), the sticky convergence (see [16]) and the strong uniform convergence
(see also [5,8,19]). Another necessary and sufficient conditions are expressed
in terms of (weak) exhaustiveness and related with statistical or ideal/filter
convergence (see also [4,10,19–21]). An extension of the concept of continuity
is the notion of strong uniform continuity, introduced in [8]. In the literature,
this concept is related to the problem of finding a topology for which the set of
the continuous functions is closed under pointwise convergence in this topology
(see also [7,8,16]). In [7] some characterizations for strong uniform continuity of
the limit function of nets of uniform space-valued functions defined on uniform
topological spaces are given in terms of (classical) Alexandroff, Arzel`a, sticky
and strong uniform convergence. Here we study the case of cone metric space-
valued functions, considering possible filter extensions. Finally, we pose some
open problems.
2. Preliminaries
We begin with the following
Definition 2.1. A nonempty set Λ = (Λ, ≥) is said to be directed iff ≥ is a
reflexive and transitive binary relation on Λ, such that for any two elements
λ1, λ2 ∈ Λ there is λ0 ∈ Λ with λ0 ≥ λ1 and λ0 ≥ λ2.
Definitions 2.2. (a) A quasi-uniformity on a nonempty set X is a set D of
subsets U of the Cartesian product X × X satisfying the following axioms:
• for each U ∈ D, ∆X ⊂ U, where ∆X = {(x, x) : x ∈ X};
• U ∩ V ∈ D for each U, V ∈ D;
• if U ∈ D and U ⊂ V ⊂ X × X, then V ∈ D;
• for every U ∈ D there is V ∈ D with V ◦ V ⊂ U, where
V ◦W := {(x, z) ∈ X×X : there exists y ∈ X with (x, y) ∈ V, (y, z) ∈ W}.
(b) A uniform space (X, D) is a set endowed with a quasi-uniformity D, sat-
isfying the following additional axiom:
22
• for each U ∈ D we get U−1
∈ D, where U−1
:= {(y, x) : (x, y) ∈ U}
(see also [22,23]).
If X is a uniform space and D is the uniform structure on X, then the elements
of D are often called entourages. If D ∈ D and x0 ∈ X, set D(x0) := {x ∈ X:
(x0, x) ∈ D}. If ∅ = B ⊂ X, let D(B) :=
b∈B
D(b). We say that D(B) is
an enlargement of B. When X is a metric space endowed with a distance
d, an example of a set of the type D(x0) is, for every fixed δ > 0, the ball
S(x0, δ) = {x ∈ X : d(x0, x) < δ} (see also [7,10]).
Definitions 2.3. (a) A bornology on a topological space X is any collection
B of nonempty subsets of X, which covers X, closed under finite unions and
hereditary.
(b) A base for a bornology B is a subfamily of B that is cofinal with respect
to inclusion.
Examples 2.4. Examples of bornologies on X are the family of all finite
nonempty subsets of X, the family of all nonempty subsets of X, the family of
all nonempty subsets of X with compact closure, and if (X, d) is a metric space
the families of all nonempty d-bounded subsets of X and of all nonempty d-
totally bounded subsets of X. For a related literature see for instance [7,8,16]
and the bibliography therein.
Definition 2.5. A cone metric space is a nonempty set R endowed with a
function ρ : R × R → Y , where Y is a Dedekind complete lattice group,
satisfying the following axioms:
• ρ(r1, r2) ≥ 0 and ρ(r1, r2) = 0 iff r1 = r2;
• ρ(r1, r2) = ρ(r2, r1);
• ρ(r1, r3) ≤ ρ(r1, r2) + ρ(r2, r3) for all rj ∈ R, j = 1, 2, 3
(see also [24,26]).
Remarks 2.6. (a) Note that any Dedekind complete ( )-group Y is a cone
metric space: indeed, it is enough to take ρ(y1, y2) = |y1 − y2|, y1, y2 ∈ Y (the
absolute value).
(b) When Y = R, we get that R is an ordinary metric space. If moreover R is
a semigroup, then R is a metric semigroup. An example of metric semigroup
which is not a group is the set L(R) of the fuzzy numbers (see also [9]).
We now deal with some fundamental properties concerning convergence and
continuity in the cone metric space context.
Definitions 2.7. (a) Let R be a cone metric space and Y be its associated
Dedekind complete ( )-group. A sequence (σp)p in Y is called an (O)-sequence
23
iff it is decreasing and
p
σp = 0.
(b) A net (xλ)λ∈Λ in R (that is an indexed system of elements of R such that
the index set Λ is directed) is said to be order convergent (or (O)-convergent)
to x ∈ R iff there exists an (O)-sequence (σp)p in Y such that for every p ∈ N
there is λ ∈ Λ with ρ(xζ, x) ≤ σp for all ζ ∈ Λ, ζ ≥ λ, and in this case we will
write (O) lim
λ∈Λ
xλ = x.
We now deal with (global) continuity and strong uniform continuity for cone
metric space-valued functions.
Definitions 2.8. (a) Let X be a Hausdorff topological space. A function
f : X → R is said to be continuous at a point x ∈ X iff there exists an
(O)-sequence (σp)p in Y (depending on x) such that for every p ∈ N there is
a neighborhood Ux of x with ρ(f(z), f(x)) ≤ σp whenever z ∈ Ux. A function
f : X → R is globally continuous on X iff there exists an (O)-sequence (σp)p
in Y (independent of x) such that for any p ∈ N and x ∈ X there is a
neighborhood Ux of x with ρ(f(x), f(z)) ≤ σp for each z ∈ Ux.
(b) Let X be a uniform space, and ∅ = B ⊂ X. We say that a function f :
X → R is strongly uniformly continuous on B iff there is an (O)-sequence (σp)p
in Y (depending on B) such that for every p ∈ N there exists an entourage
D ∈ D with ρ(f(β), f(x)) ≤ σp whenever x ∈ X, β ∈ B and (x, β) ∈ D. If
B is a bornology on X, then we say that a function f : X → R is strongly
uniformly continuous on B iff it is strongly uniformly continuous on B for
every B ∈ B, with respect to a same (O)-sequence independent of B.
We now recall some basic notions on ideals and filters, in order to consider
some fundamental properties of nets of functions, like filter convergence and
filter exhaustiveness of function nets, and relate them with (strong uniform)
continuity of the limit function.
Definitions 2.9.(a) Let Λ be any nonempty set, and P(Λ) be the class of all
subsets of Λ. A family of sets I ⊂ P(Λ) is called an ideal of Λ iff A ∪ B ∈ I
whenever A, B ∈ I and for each A ∈ I and B ⊂ A we get B ∈ I. A class of
sets F ⊂ P(Λ) is a filter of Λ iff A ∩ B ∈ F for all A, B ∈ F and for every
A ∈ F and B ⊃ A we have B ∈ F.
(b) Let (Λ, ≥) be a directed set. An ideal I (resp. a filter F) of Λ is said to
be non-trivial iff I = ∅ and Λ ∈ I (resp. F = ∅ and ∅ ∈ F). A non-trivial
ideal I of Λ is said to be (Λ)-admissible iff Λ  Mλ ∈ I for each λ ∈ Λ, where
Mλ := {ζ ∈ Λ : ζ ≥ λ}. A non-trivial filter F of Λ is (Λ)-free iff Mλ ∈ F for
every λ ∈ Λ.
(c) Given an ideal I of Λ, we call dual filter of I the family F = {ΛI : I ∈ I}.
In this case we say that I is the dual ideal of F and we get I = {ΛF : F ∈ F}.
When Λ = N endowed with the usual order, the (N)-admissible ideals and the
24
(N)-free filters are called simply admissible ideals and free filters respectively.
Remark 2.10. The filter Fcofin is the filter of all subsets of N whose comple-
ment is finite, and its dual ideal Ifin is the family of all finite subsets of N. The
filter Fst is the filter of all subsets of N having asymptotic density 1, while its
dual ideal Ist is the family of all subsets of N, having null asymptotic density.
Definition 2.11. (a) A nonempty family B ⊂ P(Λ) is said to be a filter base
of Λ iff for every A, B ∈ B there is an element C ∈ B with C ⊂ A ∩ B.
Note that, if B is a filter base of Λ, then the family F = {A ⊂ Λ: there is
B ∈ B with B ⊂ A} is a filter of Λ. We call it the filter generated by B . If
B = {Mλ : λ ∈ Λ}, then B is a filter base of Λ, and the filter FΛ generated
by B is a (Λ)-free filter of Λ (see also [11]). We denote by IΛ the dual ideal
of FΛ.
Definitions 2.12.(a) If X is any Hausdorff topological space, F is a (Λ)-
free filter of Λ, x ∈ X and (xλ)λ∈Λ is a net in X, then we say that (xλ)λ
F-converges to x ∈ X (in brief, (F) lim
λ
xλ = x) iff {λ ∈ Λ : xλ ∈ U} ∈ F for
each neighborhood U of x.
(b) A net (xλ)λ∈Λ in a cone metric space R (OF)-converges to x ∈ R (shortly,
(OF) lim
λ
xλ = x) iff there exists an (O)-sequence (σp)p in Y with {λ ∈ Λ :
ρ(xλ, x) ≤ σp} ∈ F for each p ∈ N.
(c) Let Ξ be any nonempty set. We say that a family {(xλ,ξ)λ : ξ ∈ Ξ} in R
(OF)-converges to xξ ∈ R uniformly with respect to ξ ∈ Ξ (shortly, (UOF)-
converges to xξ) as λ varies in Λ, iff there is an (O)-sequence (vp)p in Y with
λ ∈ Λ :
ξ∈Ξ
ρ(xλ,ξ, xξ) ≤ vp ∈ F for every p ∈ N.
(d) A family {(xλ,ξ)λ : ξ ∈ Ξ} (ROF)-converges to xξ ∈ R (as λ varies in Λ)
iff there exists an (O)-sequence (σp)p in Y such that for each p ∈ N and ξ ∈ Ξ
we get λ ∈ Λ : ρ(xλ,ξ, xξ) ≤ σp ∈ F. By (RO)-convergence we will denote
the (ROFΛ)-convergence.
Remark 2.13. Observe that, when R = Y = R, (ROF)-convergence coin-
cides with usual filter convergence (see also [12,13]).
Definitions 2.14. (a) Let X be a uniform space and ∅ = B ⊂ X. A net
of functions fλ : X → R, λ ∈ Λ, is said to be strongly F-exhaustive on B
iff there is an (O)-sequence (σp)p (depending on B) such that for any p ∈ N
there exist an entourage D ∈ D and a set F ∈ F with ρ(fλ(x), fλ(β)) ≤ σp
for each λ ∈ F and x ∈ X, β ∈ B with (x, β) ∈ D.
(b) We say that a net fλ : X → R, λ ∈ Λ, is strongly weakly F-exhaustive
on B iff there is an (O)-sequence (σp)p (depending on B) such that for each
25
p ∈ N there is an entourage D ∈ D such that, for every x ∈ X and β ∈ B with
(x, β) ∈ D, there is F ∈ F (depending on x and β) with ρ(fλ(x), fλ(β)) ≤ σp
whenever λ ∈ F.
(c) Given a bornology B on X, we say that fλ : X → R, λ ∈ Λ, is said to be
strongly (weakly) F-exhaustive on B iff it is strongly (weakly) F-exhaustive
on every B ∈ B with respect to a single (O)-sequence, independent of B.
Remark 2.15 Observe that, in general, strong weak F-exhaustiveness is
strictly weaker than strong F-exhaustiveness, even when Λ = N and R =
Y = R (see also [5, Example 19]).
We now consider some kinds of (weak) filter exhaustiveness of a function net
at a point x ∈ X and on X.
Definitions 2.16. (a) Let x ∈ X. A net fλ : X → R, λ ∈ Λ, is said to be
F-exhaustive at x iff there is an (O)-sequence (σp)p such that for any p ∈ N
there exist a neighborhood U of x and a set F ∈ F such that for each λ ∈ F
and z ∈ U we have ρ(fλ(z), fλ(x)) ≤ σp.
(b) A net fλ : X → R, λ ∈ Λ, is weakly F-exhaustive at x iff there is an
(O)-sequence (σp)p such that for each p ∈ N there is a neighborhood U of x
such that for every z ∈ U there is Fz ∈ F with ρ(fλ(z), fλ(x)) ≤ σp whenever
λ ∈ Fz.
(c) We say that fλ : X → R, λ ∈ Λ, is (weakly) F-exhaustive on X iff it is
(weakly) F-exhaustive at every x ∈ X with respect to a single (O)-sequence,
independent of x ∈ X.
Remarks 2.17. (a) When the bornology involved is the family of all finite
nonempty sets of X, the concept of filter (weak) exhaustiveness coincides with
that of filter strong (weak) exhaustiveness.
(b) Note that the analogous concepts of (strong weak) filter exhaustiveness
can be formulated also for sequences of functions, by taking Λ = N with the
usual order.
(c) In general, the notion of weak F-exhaustiveness is strictly weaker than
F-exhaustiveness, even when Λ = N and R = Y = R (see also [4, Remark
2.8]).
To give some necessary and sufficient conditions for strong uniform continuity
of the limit function on abstract bornologies, we consider some kinds of con-
vergence of functions for lattice group-valued function nets with respect to a
(Λ)-free filter F of Λ and a bornology B on X, assuming that X is a uniform
space (see also [7,8]). When we deal with the bornology of all nonempty finite
subsets of X or with a bornology with a base formed of compact sets, we will
suppose that X is a Hausdorff topological space, not necessarily uniformizable,
even if we often do not say it explicitly, and we will obtain some necessary
26
and sufficient conditions for global continuity or semicontinuity of the limit
function.
Definitions 2.18. (a) A family V of subsets of X is a cover of a subset A ⊂ X
iff A ⊂
V ∈V
V . We say that a family Z of subsets of X refines V iff for every
Z ∈ Z there is V ∈ V with Z ⊂ V .
(b) An open cover V of X is called a B-uniform cover of X iff for every B ∈ B
there is an entourage D ∈ D such that the family {D(x) : x ∈ B} refines V.
If it is possible to choose D in such a way that {D(x) : x ∈ B} refines a finite
subfamily of V, then we say that V is a B-finitely uniform cover of X.
(c) A net fλ : X → R, λ ∈ Λ, (FB)-converges (pointwise) to f : X → R iff
there exists an (O)-sequence (σp)p in Y such that (fλ)λ is (ROF)-convergent
to f with respect to (σp)p, and for every B ∈ B and p ∈ N there is F ∈ F
with ρ(fλ(x), f(x)) ≤ σp for each x ∈ B and λ ∈ F.
(d) A net fλ : X → R, λ ∈ Λ, converges F-strongly uniformly to f on B (and
we write fλ
F−T s
B
→ f), iff there is an (O)-sequence (σp)p with the property that
for every p ∈ N and B ∈ B there exists F ∈ F such that for each λ ∈ F there
is an entourage D ∈ D with ρ(fλ(z), f(z)) ≤ σp whenever z ∈ D(B).
(e) If X is any Hausdorff topological space, then we say that fλ : X → R,
λ ∈ Λ, converges F-sticky to f on B (and we write fλ
F−T
(sti)
B
→ f), iff there
is an (O)-sequence (σp)p such that for every p ∈ N and B ∈ B there exists
F ∈ F such that for each λ ∈ F there is an open set U with B ⊂ U and
ρ(fλ(z), f(z)) ≤ σp for any z ∈ U (see also [7,16] and the references therein).
(f) We say that (fλ)λ converges F-strongly uniformly to f (fλ
F−T s
→ f) iff
there is an (O)-sequence (σp)p such that for each p ∈ N and x ∈ X there is
a set F ∈ F such that for every λ ∈ F there is a neighborhood U of x with
ρ(fλ(z), f(z)) ≤ σp for each z ∈ U.
Remarks 2.19. (a) It is not difficult to see that F-strong uniform convergence
is equivalent to F-sticky convergence on the bornology of all finite nonempty
subsets of X. Moreover, observe that, when X is a uniform space and B is
any bornology on X, F-strong uniform convergence on B implies F-sticky
convergence on B. In general, the converse implication does not hold (see also
[7, §3]).
(b) When Λ = N, R = Y = R and F = Fcofin, the above definition coincides
with that of strong uniform convergence on the bornology B introduced in [8]
(see also [20, §2], [21, §2.1] when F = Fst).
Definitions 2.20. (a) We say that a net fλ : X → R, λ ∈ Λ, is (FB)-
Alexandroff convergent to f : X → R (shortly fλ
(FB)−Al.
→ f) iff there is an
(O)-sequence (σp)p in Y such that for every p ∈ N and F ∈ F there are an
27
infinite set Λ0 ⊂ F and a B-finitely uniform open cover {Uλ : λ ∈ Λ0} of X
with ρ(fλ(z), f(z)) ≤ σp for each λ ∈ Λ0 and z ∈ Uλ.
(b) We say that (fλ)λ is F-Alexandroff convergent to f (fλ
F−Al.
→ f) iff there
exists an (O)-sequence (σp)p such that for every p ∈ N and F ∈ F there exist
a set Λ0 ⊂ F and an open cover {Uλ: λ ∈ Λ0} of X such that for every λ ∈ Λ0
and z ∈ Uλ we have ρ(fλ(z), f(z)) ≤ σp.
Remark 2.21. When Λ = N, R = Y = R and F = Fcofin, the above con-
cept coincides with that of Alexandroff convergence (denoted by fn
Al.
→ f)
introduced in 1948 by P. S. Alexandroff (see also [1,19]).
Definitions 2.22. (a) A net fλ : X → R, λ ∈ Λ, is said to be (FB)-Arzel`a
convergent to f : X → R (shortly fλ
(FB)−Arz.
→ f) iff there exists an (O)-
sequence (σp)p in Y such that (fλ)λ (FB)-converges to f with respect to (σp)p
and for every B ∈ B, p ∈ N and F ∈ F there are a finite set {λ1, . . . , λk} ⊂ F
and an entourage D ∈ D such that for each z ∈ D(B) there is j ∈ [1, k] with
ρ(fλj
(z), f(z)) ≤ σp.
(b) We say that (fλ)λ is F-Arzel`a convergent to f (shortly fλ
F−Arz.
→ f) iff
there exists an (O)-sequence (σp)p such that (fλ)λ (ROF)-converges to f with
respect to (σp)p, and for each x ∈ X, p ∈ N and F ∈ F there exist a finite set
{λ1, λ2, . . . , λk} ⊂ F and an open neighborhood Ux of x such that for every
z ∈ Ux there is j ∈ [1, k] with ρ(fλj
(z), f(z)) ≤ σp.
A similar concept used in the literature when Λ = N, R = Y = R, F = Fst or
F = Fcofin, is the (statistical) quasi-uniform convergence (see also [2,3,6,20]).
Definition 2.23. Given any (Λ)-free filter F of Λ, a function net fλ : X → R,
λ ∈ Λ, is said to converge F-quasi uniformly to f ∈ RX
iff there exists
an (O)-sequence (σp)p in Y such that (fλ)λ (ROF)-converges to f with re-
spect to (σp)p, and for each x ∈ X, p ∈ N and F ∈ F there is a finite
set {λ1, λ2, . . . , λk} ⊂ F such that for every x ∈ X there is j ∈ [1, k] with
ρ(fλj
(x), f(x)) ≤ σp.
3. The main results
We now give, in the context of filter convergence and cone metric spaces,
some necessary and sufficient conditions under which the limit of a pointwise
convergent net (fλ)λ is strongly uniformly continuous or (globally) continuous.
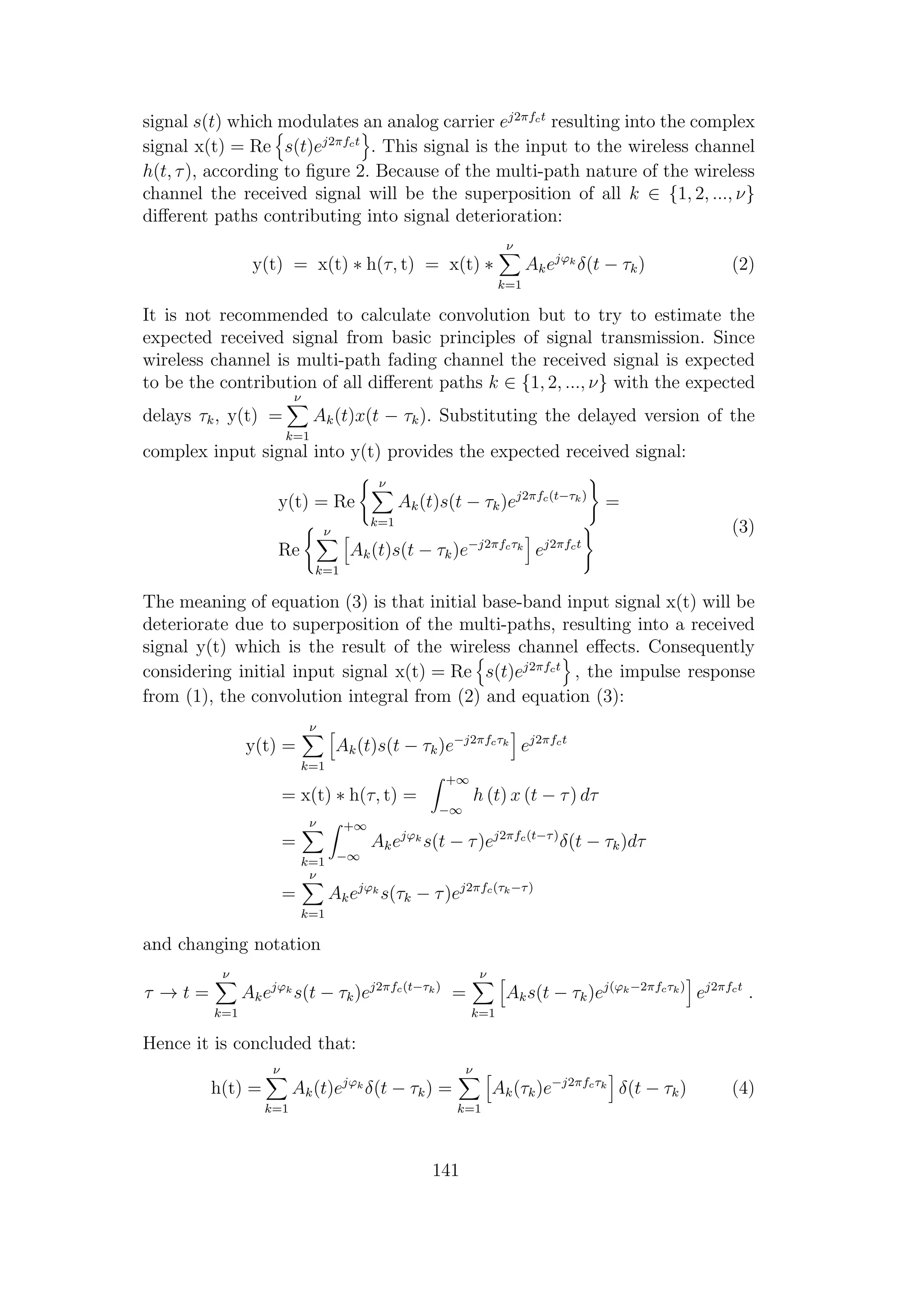
Theorem 3.1. (a) Let X be a uniform space, F be a (Λ)-free filter of Λ,
∅ = B ⊂ X, and suppose that fλ : X → R, λ ∈ Λ, (ROF)-converges to
f : X → R on X with respect to a single (O)-sequence (σ∗
p)p. Then the
28
following are equivalent:
(i) (fλ)λ is strongly weakly F-exhaustive on B;
(ii) f is strongly uniformly continuous on B.
(b) If X is a Hausdorff topological space and x ∈ X is an arbitrarily fixed
point, then the following are equivalent:
(i) (fλ)λ is weakly F-exhaustive at x (resp. on X);
(ii) f is continuous at x (resp. globally continuous on X).
Proof. We give only the proof of (a), since that of (b) is analogous.
(i) =⇒ (ii) Let (σp)p be an (O)-sequence associated with strong weak F-ex-
haustiveness of (fλ)λ on B, and pick p ∈ N. By hypothesis, there exists an
entourage D ∈ D, related with strong weak F-exhaustiveness. Fix arbitrarily
x ∈ X and β ∈ B with (x, β) ∈ D. There is a set F1 ∈ F (depending on x
and β) with ρ(fλ(x), fλ(β)) ≤ σp for all λ ∈ F1. Moreover, thanks to (ROF)-
convergence with respect to the (O)-sequence (σ∗
p)p, there exists a set F2 ∈ F
(depending on x and β) with ρ(fλ(β), f(β)) ≤ σ∗
p and ρ(fλ(x), f(x)) ≤ σ∗
p
whenever λ ∈ F2. Thus for every λ ∈ F1 ∩ F2 we get:
ρ(f(x), f(β)) ≤ ρ(f(x), fλ(x)) + ρ(fλ(x), fλ(β)) + ρ(fλ(β), f(β)) ≤ 2 σ∗
p + σp.
(ii) =⇒ (i) Since f is strongly uniformly continuous, there exists a (O)-
sequence (τp)p such that for each p ∈ N there is an entourage D ∈ D with
ρ(f(x), f(β)) ≤ τp (1)
whenever x ∈ X, β ∈ B with (x, β) ∈ D.
By (ROF)-convergence of (fλ)λ to f on X with respect to the (O)-sequence
(σ∗
p)p, there is a set F∗
∈ F with
ρ(fλ(x), f(x)) ≤ σ∗
p and ρ(fλ(β), f(β)) ≤ σ∗
p (2)
for all λ ∈ F∗
. From (1) and (2) we obtain
ρ(fλ(x), fλ(β)) ≤ ρ(fλ(x), f(x)) + ρ(fλ(β), f(β)) + ρ(f(x), f(β))
≤ 2 σ∗
p + τp
(3)
for every λ ∈ F∗
. From (3) we get the existence of a (O)-sequence (vp)p with
the property that for every x ∈ X, β ∈ B with (x, β) ∈ D there is a set
F∗
∈ F (depending on x and β) with ρ(fλ(x), fλ(β)) ≤ vp whenever λ ∈ F∗
.
Thus the net (fλ)λ is strongly weakly F-exhaustive on B.
Theorem 3.2. Let F be a (Λ)-free filter of Λ, X be a uniform space, B be a
bornology on X, fλ : X → R, λ ∈ Λ, be a net of functions, strongly uniformly
continuous on B with respect to a single (O)-sequence independent of λ ∈ Λ,
and (FB)-convergent to f : X → R. Then the following are equivalent:
29
(i) (fλ)λ is strongly weakly F-exhaustive on B;
(ii) f is strongly uniformly continuous on B;
(iii) fλ
F−T s
B
→ f;
(iv) fλ
(FB)−Al.
→ f;
(v) fλ
(FB)−Arz.
→ f.
Proof. (i) ⇐⇒ (ii) It is enough to proceed analogously as in Theorem 3.1.
(ii) =⇒ (iii) Let (σp)p, (τp)p, (vp)p be three (O)-sequences, according to strong
uniform continuity of f, strong uniform continuity of the fλ’s and (FB)-con-
vergence of (fλ)λ to f respectively. Choose arbitrarily p ∈ N and B ∈ B. By
(FB)-convergence, there is a set F ∈ F with ρ(fλ(x), f(x)) ≤ vp whenever
λ ∈ F and x ∈ B. Pick arbitrarily λ ∈ F. Since fλ and f are strongly uniformly
continuous, there is a symmetric entourage Dλ ∈ D with
ρ(fλ(z), fλ(x)) ≤ τp and ρ(f(z), f(x)) ≤ σp
whenever x ∈ B and (z, x) ∈ Dλ. For such x’s and z’s we have
ρ(fλ(z), f(z)) ≤ ρ(fλ(z), fλ(x))+ρ(fλ(x), f(x))+ρ(f(x), f(z)) ≤ τp +vp +σp.
(iii) =⇒ (iv) Let (τp)p be an (O)-sequence, related to F-T s
B -convergence of
the net fλ, λ ∈ Λ, to f. Pick arbitrarily p ∈ N, F0 ∈ F and B ∈ B. There
exists FB ∈ F such that for each λ ∈ FB ∩ F0 there is an open symmetric
entourage D = DB,λ ∈ D with ρ(fλ(z), f(z)) ≤ τp whenever z ∈ DB,λ. Let
F =
B∈B
FB, we have F ∩ F0 ∈ F. For each λ ∈ F ∩ F0 put
Eλ := B ∈ B : ρ(fλ(z), f(z)) ≤ τp for every z ∈ DB,λ .
It is not difficult to see that X =
λ∈F0
Eλ. For each λ ∈ F0, set Uλ = ∅ if
λ ∈ F0  F and Uλ =
B∈Eλ
DB,λ(B) if λ ∈ F ∩ F0. As B covers X and F is
a (Λ)-free filter, we get that the family {Uλ: λ ∈ F0} is an open cover of X.
Moreover, for each λ ∈ F0 and z ∈ Uλ, there exists B ∈ Eλ with z ∈ DB,λ,
and hence ρ(fλ(z), f(z)) ≤ τp. Now, in correspondence with B, pick any fixed
element λ ∈ FB ∩ F0. We have DB,λ(x) ⊂ Uλ for every x ∈ B, and so the
family {D(x) : x ∈ B} refines {Uλ}. Thus the net (fλ)λ (FB)-Alexandroff
converges to f.
(iv) =⇒ (v) Let (σp)p be an (O)-sequence according to (FB)-Alexandroff
convergence of (fλ)λ to f. Choose arbitrarily B ∈ B, p ∈ N and F ∈ F. By
assumption, there is an infinite set Λ0 ⊂ F and a B-finitely uniform cover
{Uλ : λ ∈ Λ0} of X, with ρ(fλ(z), f(z)) ≤ σp for each λ ∈ Λ0 and z ∈ Uλ.
30
By the definition of B-finitely uniform cover, there are an entourage D ∈ D
and a finite set {λ1, λ2, . . . , λk} ⊂ Λ0 such that {D(b) : b ∈ B} refines {Uλj
:
j ∈ [1, k]}. So, for every z ∈ D(B) there exists j ∈ [1, k] with z ∈ Uλj
, and
thus we get ρ(fλj
(z), f(z)) ≤ σp.
(v) =⇒ (ii) Let (σp)p be an (O)-sequence associated with (FB)-Arzel`a con-
vergence of the net (fλ)λ to f. Note that, by hypothesis, (fλ)λ (FB)-converges
to f with respect to (σp)p. Moreover, let (τp)p be an (O)-sequence, related to
strong uniform continuity of the functions fλ, λ ∈ Λ, and independent of λ.
Choose arbitrarily p ∈ N and B ∈ B. By (FB)-convergence of (fλ)λ of f there
is a set F ∈ F with
ρ(fλ(x), f(x)) ≤ σp for all λ ∈ F and x ∈ B. (4)
By hypothesis there exist a finite set {λ1, λ2, . . . , λk} ⊂ F and an entourage
D0 ∈ D with the property that for every z ∈ D(B) there is j ∈ [1, k] with
ρ(fλj
(z), f(z)) ≤ σp. (5)
Since fλj
is strongly uniformly continuous on B with respect to the (O)-
sequence (τp)p, we find a symmetric entourage D ∈ D, without loss of gener-
ality with D ⊂ D0, such that
ρ(fλj
(z), fλj
(x)) ≤ τp (6)
whenever x ∈ B and z ∈ X with (z, x) ∈ D.
From (4), (5) and (6) it follows that
ρ(f(z), f(x)) ≤ ρ(f(z), fλj
(z)) + ρ(fλj
(z), fλj
(x)) + ρ(fλj
(x), f(x)) ≤ 2σp + τp
for any x ∈ B and z ∈ X with (z, x) ∈ D, and therefore we get the assertion.
This ends the proof.
Remark 3.3. Observe that in Theorem 3.2, even if R = Y = R and Λ = N,
the implication (iv) =⇒ (ii) is in general not true, if in the definition of
(FB)-Alexandroff convergence we replace “B-finitely uniform cover” with “B-
uniform cover” (see also [7, Example 4.10]).
Now we prove the following necessary and sufficient conditions for global con-
tinuity of the limit function on a general Hausdorff topological space.
Theorem 3.4. Let Λ, F, X, R be as above, B be a fixed bornology on X with
compact base, fλ : X → R, λ ∈ Λ, be a net of functions, (FB)-convergent to
f : X → R and such that the fλ’s are globally continuous with respect to a
single (O)-sequence independent of λ. Then the following are equivalent:
(i) f is globally continuous on X;
31
(ii) (fλ)λ converges F-sticky to f on B;
(iii) fλ
F−T s
→ f;
(iv) fλ
F−Al.
→ f;
(v) there exists an (O)-sequence (σp)p in Y such that for every nonempty
compact subset C ⊂ X, for each p ∈ N and F ∈ F there are a finite set
{λ1, λ2, . . . , λk} ⊂ F and an open set U ⊃ C, such that for every z ∈ U
there is j ∈ [1, k] with ρ(fλj
(z), f(z)) ≤ σp;
(vi) fλ
F−Arz.
→ f.
Proof. (i) =⇒ (ii) Let (σp)p, (τp)p, (vp)p be three (O)-sequences, associated
with global continuity of f, global continuity of the fλ’s and (FB)-convergence
of (fλ)λ to f respectively. Choose arbitrarily p ∈ N and B ∈ B. Without loss
of generality, we can assume that B is a basic set and so compact. By virtue of
(FB)-convergence, there is F ∈ F with ρ(fλ(x), f(x)) ≤ vp whenever λ ∈ F
and x ∈ B. Pick arbitrarily λ ∈ F and x ∈ B. Since fλ and f are globally
continuous, there is an open neighborhood Uλ,x of x with
ρ(fλ(z), fλ(x)) ≤ τp and ρ(f(z), f(x)) ≤ σp
for each z ∈ Uλ,x. Let Uλ :=
x∈B
Uλ,x. Since B is compact, there is a finite set
{xj: j ∈ [1, k]} ⊂ X, such that B ⊂ Wλ :=
k
j=1
Uλ,xj
.
Choose arbitrarily z ∈ Wλ. There is j ∈ [1, k] with z ∈ Uλ,xj
. Thus we have
ρ(fλ(z), f(z)) ≤ ρ(fλ(z), fλ(xj)) + ρ(fλ(xj), f(xj)) + ρ(f(xj), f(z)) ≤
≤ τp + vp + σp,
getting F-sticky convergence of (fλ)λ to f on B.
(ii) =⇒ (iii) It is readily seen that F-sticky convergence on B implies F-T s
-
convergence.
(iii) =⇒ (iv) Let (τp)p be an (O)-sequence associated with F-T s
-convergence
of (fλ)λ to f. Fix now p ∈ N and F0 ∈ F. By hypothesis, in correspondence
with each x ∈ X and p there is Fx ∈ F, such that for every λ ∈ Fx there
exists an open neighborhood U = Uλ,x of x with ρ(fλ(z), f(z)) ≤ τp whenever
z ∈ U. Let F =
x∈X
Fx, then F ∩ F0 ∈ F. For every λ ∈ F ∩ F0 set
Eλ := x ∈ X : ρ(fλ(z), f(z)) ≤ τp whenever z ∈ Uλ,x .
It is not difficult to check that X =
λ∈F0
Eλ. For each λ ∈ F0, set Uλ = ∅ if
32
λ ∈ F0  F and Uλ =
x∈Eλ
Uλ,x if λ ∈ F ∩ F0. Observe that {Uλ: λ ∈ F0} is an
open cover of X. For every λ ∈ F0 and z ∈ Uλ there is x ∈ Eλ with z ∈ Uλ,x.
From this we obtain ρ(fλ(z), f(z)) ≤ τp, that is F-Alexandroff convergence of
(fλ)λ to f.
(iv) =⇒ (v) Let (σp)p be an (O)-sequence, associated with F-Alexandroff
convergence of (fλ)λ to f. Fix arbitrarily a compact set C ⊂ X, p ∈ N and
F ∈ F. By hypothesis, there are an infinite subset Λ0 of F and an open cover
X := {Uλ : λ ∈ Λ0} of X, with ρ(fλ(z), f(z)) ≤ σp whenever λ ∈ Λ0 and
z ∈ Uλ. Note that X is also an open cover of C, and so there is a finite sub-
cover of C, say {Uλ1 , Uλ2 , . . . , Uλk
}, where {λ1, λ2, . . . , λk} ⊂ Λ0 ⊂ F. Let
U :=
k
j=1
Uλj
. For each z ∈ U there is j ∈ [1, k] such that z ∈ Uλj
, and hence
ρ(fλj
(z), f(z)) ≤ σp.
(v) =⇒ (vi) Straightforward.
(vi) =⇒ (ii) Let (σp)p be an (O)-sequence, related with F-Arzel`a convergence
of (fλ)λ of f. Note that, by hypothesis, the net (fλ)λ (ROF)-converges to f
with respect to (σp)p. Let (τp)p be an (O)-sequence, associated with global
continuity of the fλ’s and independent of λ. Choose arbitrarily x ∈ X and
p ∈ N. By (ROF)-convergence there exists F ∈ F (depending on p and x)
with
ρ(fλ(x), f(x)) ≤ σp for each λ ∈ F. (7)
By (vi) there exist a finite set {λ1, λ2, . . . , λk} ⊂ F (depending on p and x)
and an open neighborhood Ux of x such that for every z ∈ Ux there is j ∈ [1, k]
with
ρ(fλj
(z), f(z)) ≤ σp. (8)
As fλj
is globally continuous with respect to the (O)-sequence (τp)p, in corre-
spondence with x and p there is a neighborhood W(j)
x of x with
ρ(fλj
(z), fλj
(x)) ≤ τp for every z ∈ Ux ∩ W(j)
x . (9)
From (7), (8) and (9) it follows that
ρ(f(z), f(x)) ≤ ρ(f(z), fλj
(z)) + ρ(fλj
(z), fλj
(x)) + ρ(fλj
(x), f(x)) ≤
≤ 2 σp + τp whenever z ∈ Ux ∩


k
j=1
W(j)
x

 ,
getting global continuity of f.
Corollary 3.5. Let Λ, F, X, R be as in Theorem 3.4, fλ : X → R, λ ∈ Λ, be
a net of functions, (ROF)-convergent to f : X → R with respect to a single
(O)-sequence (σ∗
p)p. Then the following are equivalent:
33
(i) (fλ)λ is weakly F-exhaustive on X;
(ii) f is globally continuous on X;
(iii) fλ
F−T s
→ f;
(iv) fλ
F−Al.
→ f;
(v) fλ
F−Arz.
→ f.
Remark 3.6. Observe that, in general, Theorem 3.4 does not hold if we re-
place Arzel`a convergence with quasi uniform convergence on compact sets
(with respect to a single (O)-sequence independent on the choice of the com-
pact set involved), even when Λ = N, R = Y = R and F = Fcofin (see also
[19, Example 2.7]). However, it is possible to show that the result holds, if
one supposes further conditions on the topological structure of X, which are
satisfied when X is a Hausdorff topological space, either locally compact or
satisfying the first axiom of countability (see for instance, [19, Theorem 2.9]).
Open problems: (a) Prove similar results in other contexts and/or with
respect to different kinds of convergence.
(b) Investigate some properties related with continuity for functions/measures
with values in abstract structures.
References
[1] P. S. Alexandroff, Einf¨uhrung in die Mengenlehre und die Theorie der reellen
Funktionen, Deutscher Verlag der Wissenschaften, 1956.
[2] C. Arzel`a, On continuity of the sum of infinitely many continuous functions
(Italian), R. Accad. Sci. Ist. Bologna Rend. (1883/1884) 79-84.
[3] C. Arzel`a, On function series (Italian), R. Accad. Sci. Bologna Mem., Serie 5 8
(1899/1900) 131-186, 701-744.
[4] E. Athanassiadou, A. Boccuto, X. Dimitriou, N. Papanastassiou, Ascoli-type
theorems and ideal (α)-convergence, Filomat 26 (2) (2012) 397-405. doi:
10.2298/FIL1202397A
[5] E. Athanassiadou, X. Dimitriou, Ch. Papachristodoulos, N. Papanastassiou,
Strong (α)-convergence and ideal strong exhaustiveness of sequences of
functions, Int. J. Pure Appl. Math. 80 (2) (2012) 207-216.
[6] R. G. Bartle, On compactness in functional Analysis, Trans. Amer. Math. Soc.
79 (1955) 35-57.
[7] G. Beer, The Alexandroff property and the preservation of strong uniform
continuity, Appl. Gen. Topology 11 (2) (2010) 117-133.
34
[8] G. Beer, S. Levi, Strong uniform continuity, J. Math. Anal. Appl. 350 (2009)
568-589.
[9] A. Boccuto, D. Candeloro, A. R. Sambucini, Stieltjes-type integrals for metric
semigroup-valued functions defined on unbounded intervals, PanAmerican
Math. J. 17 (2007) 39-58.
[10] A. Boccuto, X. Dimitriou, Convergence Theorems for Lattice Group-Valued
Measures, Bentham Science Publ., U. A. E., 2015. e-ISBN: 978-1-68108-009-3.
ISBN: 978-1-68108-010-9.
[11] A. Boccuto, X. Dimitriou, N. Papanastassiou, Ideal convergence and divergence
of nets in ( )-groups, Czech. Math. J. 62 (137) (2012) 1073-1083.
[12] A. Boccuto, X. Dimitriou, N. Papanastassiou, Basic matrix theorems for I-
convergence in ( )-groups, Math. Slovaca 62 (5) (2012) 885-908.
[13] A. Boccuto, X. Dimitriou, N. Papanastassiou, Schur lemma and limit theorems
in lattice groups with respect to filters, Math. Slovaca 62 (6) (2012) 1145-1166.
[14] A. Boccuto, X. Dimitriou, N. Papanastassiou, W. Wilczy´nski, Ideal
exhaustiveness, continuity and α-convergence for lattice group-valued functions,
Int. J. Pure Appl. Math. 70 (2) (2011) 211-227.
[15] A. Boccuto, X. Dimitriou, N. Papanastassiou, W. Wilczy´nski, Modes of ideal
continuity and the additive property in the Riesz space setting, J. Appl. Anal.
20 (1) (2014) 41-53.
[16] N. Bouleau, Une structure uniforme sur un espace F(E, F), Cahiers Topologie
G´eom. Diff. 11 (1969) 207-214.
[17] D. Candeloro, A. R. Sambucini, Filter convergence and decompositions for
vector lattice-valued measures, Mediterranean J. Math. (2014), in press.
doi:10.1007/s00009-014-0431-0.
[18] D. Candeloro, A. R. Sambucini, Order-type Henstock and McShane integrals
in Banach lattice setting (2014), submitted. arXiv 1405.6502 Sisy 20014- IEEE
12th International Symposium on Intelligent Systems and Informatics, Subotica
- Serbia, September 2014.
[19] A. Caserta, G. Di Maio, L. Hol´a, Arzel`a’s theorem and strong uniform
convergence on bornologies, J. Math Anal. Appl. 371 (2010) 384-392.
[20] A. Caserta, G. Di Maio, Lj. D. R. Koˇcinac, Statistical convergence in function
spaces Abstr. Appl. Anal., Article ID420419 (2011) 11 pages.
[21] A. Caserta, Lj. D. R. Koˇcinac, On statistical exhaustiveness, Appl. Math.
Letters 25 (2012) 1447-1451. doi: 10.1016/j.aml.2011.12.022
[22] R. Engelking, General Topology, PWN, Warsaw, 1977.
[23] J. L. Kelley, General Topology, D. Van Nostrand Co., Inc., Princeton, 1955.
35
[24] P. D. Proinov, A unified theory of cone metric spaces and its applications to
the fixed point theory, Fixed Point Theory Appl., Article 103 2013 (2013) 38 p.
doi: 10.1186/1687-1812-2013-103
[25] P. Vr´abel, M. Vr´abelov´a, I-convergence and I-continuity of the fuzzy number-
valued functions, Acta Math. (Nitra) 16 (2013) 237-243.
[26] P. P. Zabrejko, K-metric and K-normed linear spaces: a survey, Collect. Math.
48 (1997) 825-859.
36
Selected papers of the 2014 International Conference
on Topology and its Applications
(2015) Pages 37–48
Department of Mathematics
University of Patras
Greece
Regularity and normality via βθ-open sets
M. Caldas 1
, S. Jafari 2
1Departmento de Mathem´aatica Aplicada, Universidade Federal Fluminense, Rua
M´ario Santos Braga, s/n, 24020-140, Niter’oi, RJ, Brasil
2College of Vestsjaelland South, Herrestraede 11,4200 Slagelse, Denmark
Abstract
The aim of this paper is to present and study a new type of regularity and normality
called βθ-regularity and βθ-normality, repectively by using βθ-open sets.
Key words: Topological spaces, βθ-open sets, βθ-closed sets, regular spaces,
normal spaces, βθ-regular spaces, βθ-normal spaces.
1991 MSC: 54C10, 54D10.
1. Introduction and preliminaries
It is common viewpoint of many topologists that generalized open sets are
important ingredients in General Topology and they are now the research
topics of many topologists worldwide of which lots of important and inter-
esting results emerged. Indeed a significant theme in General Topology and
Real Analysis concerns the variously modified forms of continuity, separation
axioms etc by utilizing generalized open sets. One of the most well-known no-
tions and also an inspiration source is the notion of β-open sets or semipreopen
sets introduced by Abd El Monsef et al. [1] and Andrijevi´c [2] respectively.
In 2003, Noiri [10] used this notion and the β-closure [1] of a set to introduce
the concepts of βθ-open and βθ-closed sets which provide a formulation of the
βθ-closure of a set in a topological space. Caldas [4-7] continued the work of
Noiri and defined other concepts utilizing βθ-closed sets. In this direction we
shall study some properties of regularity and normality via βθ-open sets and
the βθ-closure operator.
1 gmamccs@vm.uff.br
2 jafaripersia@gmail.com
Throughout the present paper, spaces (X, τ) and (Y, σ) (or simply, X and
Y ) denote topological spaces on which no separation axioms are assumed
unless explicitly stated. Abd El Monsef et al. [1] and Andrijevi´c [2] introduced
the notion of β-open set, which Andrijevi´c called semipreopen, completely
independent of each other. In this paper, we adopt the word β-open for the sake
of clarity. They characterized the most important properties of β-open sets. A
subset A of a topological space (X, τ) is called β-open if A ⊆ Cl(Int(Cl(A))),
where Cl(A) and Int(A) denote the closure and the interior of A, respectively.
The complement of a β-open set is called β-closed. The intersection of all β-
closed sets containing A is called the β-closure of A and is denoted by βCl(A).
The family of all β-open (resp. β-closed, open) subsets of X is denoted by
βO(X, τ) or βO(X) (resp. βC(X, τ), O(X, τ)). We set
βO(X, x) = {U : x ∈ U ∈ βO(X, τ)}
and
βC(X, x) = {U : x ∈ U ∈ βC(X, τ)}.
Now we begin to recall some known notions which will be used in the sequel.
Definition 1.1. [10]. Let A be a subset of X. The βθ-closure of A, denoted
by βClθ(A), is the set of all x ∈ X such that βCl(O) ∩ A = ∅ for every
O ∈ βO(X, x). A subset A is called βθ-closed if A = βClθ(A). The set
{x ∈ X | βCl(O) ⊂ A for some O ∈ βO(X, x)}
is called the βθ-interior of A and is denoted by βIntθ(A). A subset A is called
βθ-open if A = βIntθ(A). The family of all βθ-open (resp. βθ-closed) subsets of
X is denoted by βθO(X, τ) or βθO(X) (resp. βθC(X, τ)). We set βθO(X, x) =
{U : x ∈ U ∈ βθO(X, τ)} and βθC(X, x) = {U : x ∈ U ∈ βθC(X, τ)}.
The following theorem is known and given by Noiri [10].
Theorem 1.2. [10]. For any subset A of X:
(1) βClθ(βClθ(A)) = βClθ(A).
(2) βClθ(A) is βθ-closed.
(3) If Aα ∈ βθC(X) for each α ∈ A, then {Aα | α ∈ A} ∈ βθC(X).
(4) If Aα ∈ βθO(X) for each α ∈ A, then {Aα | α ∈ A} ∈ βθO(X).
(5) βClθ(A) is the intersection of all βθ-closed sets each containing A.
(6) A ⊂ βCl(A) ⊂ βClθ(A) and βCl(A) = βClθ(A) if A ∈ βO(X).
A function f : X → Y is said to be:
(i) βθ-continuous [10] If f−1
(V ) is βθ-closed for every closed set V in Y ,
equivalently if the inverse image of every open set V in Y is βθ-open in X.
(ii) weakly β-irresolute ([10], Theorem 4.5) if f−1
(V ) is βθ-open in X for every
βθ-open set V in Y .
38
2. Maps and βθ-regular spaces
Definition 2.1. A topological space is said to be βθ-regular if for each closed
set F of X and each point x ∈ XF, there exist disjoint βθ-open sets U and
V such that F ⊂ U and x ∈ V .
Theorem 2.2. For a topological space X, the following statements are equiv-
alent:
(1) X is βθ-regular.
(2) For each x ∈ X and each open set U of X containing x, there exists
V ∈ βθO(X) such that x ∈ V ⊂ βClθ(V ) ⊂ U.
(3) For each closed set F of X, ∩{βClθ(V ) | F ⊂ V ∈ βθO(X)} = F.
(4) For each subset A of X and each open set U of X such that A ∩ U = ∅,
there exists V ∈ βθO(X) such that A ∩ V = ∅ and βClθ(V ) ⊂ U.
(5) For each nonempty subset A of X and each closed set F of X such that
A ∩ F = ∅, there exist V, W ∈ βθO(X) such that A ∩ V = ∅, F ⊂ W and
V ∩ W = ∅.
Proof. (1)⇒(2): Let U be an open set containing x, then XU is closed in
X and x /∈ XU. By (1), there exist V, W ∈ βθO(X) such that x ∈ V ,
XU ⊂ W and V ∩ W = ∅. Hence, we have βClθ(V ) ∩ W = ∅ and therefore
x ∈ V ⊂ βClθ(V ) ⊂ U.
(2)⇒(3): Let F be a closed set of X. It is obvious that
∩{βClθ(V ) | F ⊂ V ∈ βθO(X)} ⊃ F.
Conversely, let x /∈ F. Then XF is an open set containing x. By (2), there ex-
ists U ∈ βθO(X) such that x ∈ U ⊂ βClθ(U) ⊂ XF. Put V = XβClθ(U).
It follows from Theorem 1.2 that F ⊂ V ∈ βθO(X) and x /∈ βClθ(V ). This
implies that ∩{βClθ(V ) | F ⊂ V ∈ βθO(X)} ⊂ F.
(3)⇒(4): Let A∩U = ∅ and U be an open set in X. Let x ∈ A∩U, then XU
is a closed set not containing x. By (3), there exists W ∈ βθO(X) such that
XU ⊂ W and x /∈ βClθ(W). Put V = XβClθ(W). By using Theorem 1.2,
we obtain V ∈ βθO(X), x ∈ V ∩A and βClθ(V ) ⊂ βClθ(XW) = XW ⊂ U.
(4)⇒(5): Let A∩F = ∅ and F be closed in X, where A = ∅. Since XF is open
in X and A = ∅, by (4) there exists V ∈ βθO(X) such that A ∩ V = ∅ and
βClθ(V ) ⊂ XF. Put W = XβClθ(V ). Then, we have F ⊂ W ∈ βθO(X)
and V ∩ W = ∅.
(5)⇒(1): The proof is obvious.
Definition 2.3. A topological space is said to be:
(1) (β, θ)-regular if for each βθ-clopen set F of X and each point x ∈ XF,
39
there exist disjoint open sets U and V such that F ⊂ U and x ∈ V .
(2) Extremally βθ-disconnected (briefly, ED∗
) if βClθ(U) is βθ-open in X for
every βθ-open set U of X.
Theorem 2.4. For a topological space X, the following statements are equiv-
alent:
(1) X is (β, θ)-regular.
(2) For each x ∈ X and any βθ-clopen set U of X containing x, there exists
a V ∈ O(X) such that x ∈ V ⊂ Cl(V ) ⊂ U.
Proof. (1)⇒(2): Let U be a βθ-clopen set containing x, then XU is a βθ-
clopen in X and x /∈ XU. By (1), there exist V, W ∈ O(X) such that x ∈ V ,
XU ⊂ W and V ∩ W = ∅. Hence, we have Cl(V ) ∩ W = ∅ and therefore
x ∈ V ⊂ Cl(V ) ⊂ U.
(2)⇒(1): Let F be a βθ-clopen set of X and x ∈ XF = U (say). Hence
x ∈ U and U is βθ-clopen, by (2) there exists a V ∈ O(X) such that x ∈
V ⊂ Cl(V ) ⊂ U. Therefore XU ⊂ XCl(V ). Hence V ∩XCl(V ) = ∅. Thus
shows that X is (β, θ)-regular.
Example 2.5. Let (X, τ) be a topological space such that, X = {a, b, c},
τ = {∅, {b}, {c}, {b, c}, X}. Clearly βθO(X, τ) = {∅, {b}, {c}, {a, c}, {b, c}, X}.
Then (X, τ) is βθ-regular, and it is not (β, θ)-regular and not regular.
Theorem 2.6. If a space X is βθ-regular, ED∗
and (β, θ)-regular, then it is
regular.
Proof. Let U be any open subset X and x ∈ U. Since X is βθ-regular,
there exists V ∈ βθO(X) such that x ∈ V ⊂ βClθ(V ) ⊂ U (Theorem 2.2).
Since X is ED∗
, βClθ(V ) is βθ-clopen and since X is (β, θ)-regular, there
exists an open subset O of X such that x ∈ O ⊂ Cl(O) ⊂ βClθ(V ). Hence
x ∈ O ⊂ Cl(O) ⊂ U. Thus shows that X is regular.
Definition 2.7. [4,7] A function f : X → Y is said to be:
(1) βθ-closed (resp. pre-βθ-closed), if the image of each closed (resp. βθ-closed)
set F in X is βθ-closed in Y .
(2) βθ-open (resp. pre-βθ-open), if the image of each open (resp. βθ-open) set
U in X is βθ-open in Y .
Pre-βθ-open functions are independent of βθ-open functions as it can be seen
from the following example.
Example 2.8. (i) Let (X, τ) be a topological space such that X = {a, b, c}
and τ = {∅, {a}, X}. Let f : (X, τ) → (X, τ) be the identity function. Then f
is pre-βθ-open but it is not βθ-open.
40
(ii) Let (X, τ) be a topological space such that X = {a, b, c} and
τ = {∅, {c}, {a, b}, X}.
Let f : (X, τ) → (X, τ) be defined by f(a) = c, f(c) = a and f(b) = b. Then
f is βθ-open but it is not pre-βθ-open.
Lemma 2.9. A function f : X → Y is βθ-closed (resp. pre-βθ-closed) if and
only if for each subset B of Y and each open (resp. βθ-open) set U containing
f−1
(B) there exists a βθ-open set V of Y containing B such that f−1
(V ) ⊂ U.
Proof. Necessity: Suppose that f is βθ-closed. Let B ⊂ Y and U ∈ O(X)
containing f−1
(B). Put V = Y f(XU). Then we obtain a βθ-open set V of
Y containing B such that f−1
(V ) ⊂ U.
Sufficiency: Let F be any closed set of X. Set f(F) = B, then F ⊂ f−1
(B) and
f−1
(Y B) ⊂ XF ∈ O(X). By hypothesis, there exists V ∈ βθO(Y ) such that
Y B ⊂ V and f−1
(V ) ⊂ XF. Therefore we obtain Y V ⊂ f(F) ⊂ Y V .
Hence f(F) = Y V and f(F) is βθ-closed in Y . Therefore f is βθ-closed.
The other case is analogous.
Theorem 2.10. Let f : X → Y be a continuous βθ-closed surjection with
compact point inverses. If X is regular, then Y is βθ-regular.
Proof. Let F be a closed set of Y and y /∈ F. Then f−1
(F) is closed in X
and f−1
(y) is a compact set. Moreover f−1
(F) and f−1
(y) are disjoint in the
regular space X. Hence, there exist disjoint open sets Uy and UF such that
f−1
(y) ⊂ Uy and f−1
(F) ⊂ UF . Since f is βθ-closed by Lemma 2.9, there
exist Vy, VF ∈ βθO(X) such that y ∈ Vy and F ⊂ VF , f−1
(Vy) ⊂ Uy and
f−1
(VF ) ⊂ UF . Since Uy ∩ UF = ∅ and f is surjective, we obtain Vy ∩ VF = ∅.
This show that Y is βθ-regular.
A subset A of X is said to be gβθ-closed if βClθ(A) ⊂ U whenever A ⊂ U
and U is open in X. A subset of a space (X, τ) is said to be gβθ-open if XA
is gβθ-closed.
Lemma 2.11. A subset A of a space (X, τ) is gβθ-open if and only if F ⊂
βIntθ(A) whenever F ⊂ A and F is closed.
Proof. Necessity. Suppose that A is gβθ-open. Let F ⊂ A and F be closed in
(X, τ). Then XA ⊂ XF and XF is open. Therefore, βClθ(XA) ⊂ XF
and hence F ⊂ βIntθ(A).
Sufficiency. If F is a closed set with F ⊂ βIntθ(A) whenever F ⊂ A. Then it
follows that XA ⊂ XF and XβIntθ(A) ⊂ XF, i.e. βClθ(XA) ⊂ XF.
Therefore XA is gβθ-closed. Thus, A is gβθ-open.
A function f : X → Y is said to be:
(1) generalized βθ-closed (briefly gβθ-closed) if for each closed set F of X,
f(F) is gβθ-closed.
41
(2) pre generalized βθ-closed (briefly pre gβθ-closed) if for each gβθ-closed set
F of X, f(F) is gβθ-closed.
(3) pre generalized βθ-open (briefly pre gβθ-open) if for each gβθ-open set F
of X, f(F) is gβθ-open.
Lemma 2.12. A function f : X → Y is gβθ-closed (resp. pre gβθ-closed)
if and only if for each subset B of Y and each open (resp. gβθ-open) set U
containing f−1
(B), there exists a gβθ-open set V of Y containing B such that
f−1
(V ) ⊂ U.
Proof. The proof is similar to that of Lemma 2.9.
Theorem 2.13. If f : X → Y is a continuous βθ-open and gβθ-closed surjec-
tion from a regular space X onto a space Y , then Y is βθ-regular.
Proof. Let U be a open set containing a point y in Y . Let x be a point of X
such that y = f(x). It follows from assumptions that there is an open set V
such that x ∈ V ⊂ Cl(V )) ⊂ f−1
(U). Then since y ∈ f(V ) ⊂ f(Cl(V ) ⊂ U
and f(Cl(V )) is gβθ-closed, we have βClθ(f(Cl(V )) ⊂ U. Therefore y ∈
f(V ) ⊂ βClθ(f(V ) ⊂ U and f(V ) is βθ-open Y . Hence by Theorem 2.2, Y is
βθ-regular.
3. Maps and βθ-normal spaces
Definition 3.1. A topological space is said to be βθ-normal if for any pair of
disjoint closed sets F1 and F2 of X, there exist disjoint βθ-open sets U1 and
U2 such that F1 ⊂ U1 and F2 ⊂ U2.
We have the following characterizations of βθ-normality.
Theorem 3.2. For a topological space X, the following statements are equiv-
alent:
(1) X is βθ-normal.
(2)For every pair of open sets U and V whose union is X, there exist βθ-closed
sets A and B such that A ⊂ U, B ⊂ V and A ∪ B = X.
(3) For each closed set F and every open set G containing F, there exists a
βθ-open set U such that F ⊂ U ⊂ βClθ(U) ⊂ G.
Proof. (1)⇒(2): Let U and V be a pair of open sets in a βθ-normal space X
such that X = U ∪ V . Then XU, XV are disjoint closed sets. Since X is
βθ-normal, there exist disjoint βθ-open sets U1 and V1 such that XU ⊂ U1
and XV ⊂ V1. Let A = XU1, B = XV1. Then A and B are βθ-closed sets
such that A ⊂ U, B ⊂ V and A ∪ B = X.
(2)⇒(3): Let F be a closed set and G be an open set containing F. Then XF
42
and G are open sets whose union is X. Then by (2), there exist βθ-closed sets
W1 and W2 such that W1 ⊂ XF and W2 ⊂ G and W1 ∪ W2 = X. Then
F ⊂ XW1, XG ⊂ XW2 and (XW1) ∩ (XW2) = ∅. Let U = XW1
and V = XW2. Then U and V are disjoint βθ-open sets such that F ⊂
U ⊂ XV ⊂ G. As XV is a βθ-closed set, we have βClθ(U) ⊂ XV and
F ⊂ U ⊂ βClθ(U) ⊂ G.
(3)⇒(1): Let F1 and F2 be any two disjoint closed sets of X. Put G = XF2,
then F1 ⊂ G where G is an open set. Thus by (3) there exists a βθ-open set U
of X such that F1 ⊂ U ⊂ βClθ(U) ⊂ G. It follows that F2 ⊂ XβClθ(U) = V
(say), then V is βθ-open and U ∩ V = ∅. Hence F1 and F2 are separated by
βθ-open sets U and V . Therefore X is βθ-normal.
Theorem 3.3. For a topological space (X, τ), the following properties are
equivalent:
(1) X is βθ-normal;
(2) For each pair of open sets U and V whose union is X, there exist gβθ-
closed sets A and B such that A ⊂ U, B ⊂ V and A ∪ B = X;
(3) For each closed set F and every open set G containing F, there exists a
gβθ-open set U such that F ⊂ U ⊂ βClθ(U) ⊂ G;
(4) For each pair of disjoint closed sets F1 and F2 of X, there exist disjoint
gβθ-open sets U1 and U2 such that F1 ⊂ U1 and F2 ⊂ U2.
Proof. (1) ⇒ (2): The proof is obvious by Theorem 3.2 since every βθ-closed
set is gβθ-closed.
(2) ⇒ (3): Let F be a closed set and G an open set containing F. Then XF
is open and (XF) ∪ G = X. By (2), there exist gβθ-closed sets W1 and
W2 such that W1 ⊂ XF, W2 ⊂ G and W1 ∪ W2 = X. Then F ⊂ XW1,
XG ⊂ XW2 and (XW1) ∩ (XW2) = ∅. Since XW1 and XW2 are gβθ-
open, put U = βIntθ(XW1) and V = βIntθ(XW2). Then U and V are βθ-
open sets such that F ⊂ U, XG ⊂ V and U ∩V = ∅. Since βClθ(U)∩V = ∅,
we obtain F ⊂ U ⊂ βClθ(U) ⊂ XV ⊂ G.
(3) ⇒ (4): Let F1 and F2 be disjoint closed sets. Then XF2 is an open set
containing F1. By (3), there exists a gβθ-open set U1 such that F ⊂ U1 ⊂
βClθ(U1) ⊂ XF2. Now, put U2 = XβClθ(U1). Then U2 is βθ-open and
hence gβθ-open. Moreover, we have F2 ⊂ U2 and U1 ∩ U2 = ∅.
(4) ⇒ (1): Let F1 and F2 be disjoint closed sets. By (4), there exist disjoint gβθ-
open sets U1 and U2 such that F1 ⊂ U1 and F2 ⊂ U2. By Lemma 2.11, we have
F1 ⊂ βIntθ(U1) and F2 ⊂ βIntθ(U2). Put V1 = βIntθ(U1) and V2 = βIntθ(U2).
Then V1, V2 are βθ-open, F1 ⊂ V1, F2 ⊂ V2 and V1 ∩ V2 = ∅. This shows that
(X, τ) is βθ-normal.
Recall that a topological space (X, τ) is said to be βθ-R0 [4] if every open set
43
of the space contains the βθ-closure of each of its singletons.
Theorem 3.4. If X is βθ-normal and βθ-R0, then X is βθ-regular.
Proof. Let F be closed and x /∈ F. Then x ∈ XF ∈ O(X) which implies
βClθ({x}) ⊂ XF and there exist disjoint βθ-open sets U and V such that
x ∈ βClθ({x}) ⊂ U and F ⊂ V .
Definition 3.5. A function f : X → Y is said to be almost-βθ-irresolute if
f(βClθ(U)) = βClθ(f(U)) for every U ∈ βθO(X).
Theorem 3.6. If f : X → Y is a pre-βθ-open continuous almost-βθ-irresolute
function from a βθ-normal space X onto a space Y , then Y is βθ-normal.
Proof. Let A be a closed subset of Y and B be an open set containing A.
Then by continuity of f, f−1
(A) is closed and f−1
(B) is an open set of X
such that f−1
(A) ⊂ f−1
(B). Since X is βθ-normal, there exists a βθ-open U
in X such that f−1
(A) ⊂ U ⊂ βClθ(U)) ⊂ f−1
(B) by Theorem 3.2. Then
f(f−1
(A)) ⊂ f(U) ⊂ f(βClθ(U)) ⊂ f(f−1
(B)). Since f is pre-βθ-open and
almost-βθ-irresolute surjection, we obtain A ⊂ f(U) ⊂ βClθ(f(U)) ⊂ B.
Then again by Theorem 3.2 the space Y is βθ-normal.
Theorem 3.7. If f : X → Y is a pre-gβθ-closed continuous function from a
βθ-normal space X onto a space Y , then Y is βθ-normal.
Proof. Let A and B be disjoint closed sets in Y . Since X is βθ-normal and f
continuous, there exist disjoint βθ-open sets U and V of X such that f−1
(A) ⊂
U and f−1
(B) ⊂ V . By Lemma 2.12, there exist gβθ-open sets G and H of Y
such that A ⊂ G, B ⊂ H, f−1
(G) ⊂ U and f−1
(H) ⊂ V . Since U and V are
disjoint, so are G and H. It follows from Theorem 3.3 that Y is βθ-normal.
Theorem 3.8. If f : X → Y is a gβθ-closed continuous function from a
normal space X onto a space Y , then Y is βθ-normal.
Proof. The proof is almost analogous to Theorem 3.7.
Definition 3.9. [5,8] A topological space (X, τ) is said to be:
1) βθ-T0 (resp. βθ-T1) if for any distinct pair of points x and y in X, there is
a βθ-open U in X containing x but not y or (resp. and) a βθ-open set V in
X containing y but not x.
2) βθ-T2 (resp. β-T2 [9]) if for every pair of distinct points x and y, there
exist two βθ-open (resp. β-open) sets U and V such that x ∈ U, y ∈ V and
U ∩ V = ∅.
Theorem 3.10. [5,7,8]. For a topological space (X, τ), the following properties
are equivalent:
1) (X, τ) is βθ-T0;
2) (X, τ) is βθ-T1;
44
3) (X, τ) is βθ-T2;
4) (X, τ) is β-T2;
5) For every pair of distinct points x, y ∈ X, there exist U, V ∈ βO(X) such
that x ∈ U, y ∈ V and βCl(U) ∩ βCl(V ) = ∅;
6) For every pair of distinct points x, y ∈ X, there exist U, V ∈ βR(X) such
that x ∈ U, y ∈ V and U ∩ V = ∅.
7) For every pair of distinct points x, y ∈ X, there exist U ∈ βθO(X, x) and
V ∈ βθO(X, y) such that βClθ(U) ∩ βClθ(V ) = ∅.
Definition 3.11. (i) A topological space (X, τ) is said to be weakly Hausdorff
[13] (briefly weakly-T2) if every point of X is an intersection of regular closed
sets of X.
(ii) A subset A of a space X is said to be S-closed relative to X [11] if for
every cover {Vα | α ∈ } of A by semi-open sets of X, there exists a finite
subset 0 of such that A ⊂ {Cl(Vα) | α ∈ 0}. A space X is said to be
S-closed if X is S-closed relative to X.
Now in view of ([12], Lemma 2.2) and Lemma 2.9, we prove the following
result.
Theorem 3.12. If f : X → Y is a pre-βθ-closed function from a weakly
Hausdorff βθ-normal space X onto a space Y and f−1
(y) is S-closed relative
to X for each y ∈ Y , then Y is βθ-T2.
Proof. Let y1 and y2 be any two distinct points of Y . Since X is weakly
Hausdorff and f−1
(yi) is S-closed relative to X for i = 1, 2, by Lemma 2.2 of
[12] f−1
(y1) and f−1
(y2) are disjoint closed subsets of X. As X is βθ-normal,
there exist disjoint βθ-open sets V1 and V2 of X such that f−1
(yi) ⊂ Vi for
i = 1, 2. Since f is pre-βθ-closed, by Lemma 2.9 there exist βθ-open sets U1
and U2 of Y containing y1 and y2 respectively such that f−1
(Ui) ⊂ Vi for
i = 1, 2. Then it follows that U1 ∩ U2 = ∅. Hence Y is βθ-T2.
Theorem 3.13. If f : X → Y is a weakly β-irresolute closed injection from
a space X to a βθ-normal space Y , then X is βθ-normal.
Proof. Let Y be βθ-normal. Let A and B be two closed subsets of X. Since f is
closed and injective, f(A) and f(B) are disjoint closed subsets of Y . Therefore,
there exist disjoint βθ-open subsets U and V of Y such that f(A) ⊂ U and
f(B) ⊂ V . Now f−1
(U) and f−1
(V ) are βθ-open subsets of X such that
A ⊂ f−1
(U), B ⊂ f−1
(V ) and f−1
(U) ∩ f−1
(V ) = ∅. Thus X is βθ-normal.
Theorem 3.14. If f : X → Y is a βθ-continuous closed injection from a space
X to a normal space Y , then X is βθ-normal.
Proof. The proof is analogous to Theorem 3.13.
45
4. (β, θ)∗
-normal spaces
Definition 4.1. A topological space is said to be (β, θ)∗
-normal if for any pair
of disjoint βθ-closed sets F1 and F2 of X, there exist disjoint βθ-open sets U1
and U2 such that F1 ⊂ U1 and F2 ⊂ U2.
Definition 4.2. A subset A of a topological space (X, τ) is said to be (β, θ)-
closed if βClθ(A) ⊂ U whenever A ⊂ U and U is βθ-open. The complement
of a (β, θ)-closed set is said to be (β, θ)-open.
Lemma 4.3. A subset A of a space (X, τ) is (β, θ)-open if and only if F ⊂
βIntθ(A) whenever F ⊂ A and F is βθ-closed.
Proof. The proof is similar to that of Lemma 2.9.
Theorem 4.4. For a topological space X, the following statements are equiv-
alent:
(1) X is (β, θ)∗
-normal;
(2) For every pair of βθ-open sets U and V whose union is X, there exist
βθ-closed sets A and B such that A ⊂ U, B ⊂ V and A ∪ B = X;
(3) For each βθ-closed set F and every βθ-open set G containing F, there
exists a βθ-open set U such that F ⊂ U ⊂ βClθ(U) ⊂ G;
(4) For each pair of βθ-open sets U and V whose union is X, there exist (β, θ)-
closed sets A and B such that A ⊂ U, B ⊂ V and A ∪ B = X;
(5) For each βθ-closed set F and every βθ-open set G containing F, there
exists a (β, θ)-open set U such that F ⊂ U ⊂ βClθ(U) ⊂ G;
(6) For each pair of disjoint βθ-closed sets F1 and F2 of X, there exist disjoint
(β, θ)-open sets U1 and U2 such that F1 ⊂ U1 and F2 ⊂ U2.
Proof. The proof is similar to proofs of Theorem 3.2 and Theorem 3.3.
Definition 4.5. A function f : X → Y is said to be (β, θ)∗
-closed if for any
βθ-closed set F of X, f(F) is (β, θ)-closed in Y .
Lemma 4.6. A function f : X → Y is (θ, β)∗
-closed if and only if for each
subset B of Y and each βθ-open set U containing f−1
(B), there exists a
(β, θ)-open set V of Y containing B such that f−1
(V ) ⊂ U.
Proof. It is similar to the proof of Lemma 2.9.
Theorem 4.7. If a function f : X → Y is (θ, β)∗
-closed and weakly β-
irresolute surjection and X is (β, θ)∗
-normal, then Y is (β, θ)∗
-normal.
Proof. Let K and L be disjoint βθ-closed sets of Y . Since f is weakly β-
irresolute, f−1
(K) and f−1
(L) are disjoint βθ-closed sets. Since X is (β, θ)∗
-
normal, there exist disjoint βθ-open sets U and V such that f−1
(K) ⊂ U and
f−1
(L) ⊂ V . By Lemma 4.6, there exist (β, θ)-open sets G and H of Y such
46
that K ⊂ G, L ⊂ H, f−1
(G) ⊂ U and f−1
(H) ⊂ V . Since U and V are
disjoint, G and H are disjoint. By Theorem 4.4, Y is (β, θ)∗
-normal.
Theorem 4.8. If a function f : X → Y is pre βθ-closed, weakly β-irresolute
injection and Y is (β, θ)∗
-normal, then X is (θ, β)∗
-normal.
Proof. Let A and B be disjoint βθ-closed sets of X. Since f is pre βθ-closed
and injective, f(A) and f(B) are disjoint βθ-closed sets of Y . Since Y is (β, θ)∗
-
normal, there exist disjoint βθ-open sets U and V of Y such that f(A) ⊂ U
and f(B) ⊂ V . Therefore, we have A ⊂ f−1
(U) and B ⊂ f−1
(V ). Since
f is weakly β-irresolute, f−1
(U) and f−1
(V ) are disjoint βθ-open sets of X.
Therefore, X is (β, θ)∗
-normal.
A well known characterization of a normal space is that a space is normal
if and only if every point-finite open cover is shrinkable. We prove a parallel
characterization for (β, θ)∗
-normal spaces.
Definition 4.9. A cover = {Ui : i ∈ I} of a space X is said to be (β, θ)-
shrinkable if there exists a βθ-open cover
√
= {Vi : i ∈ I} of X such that
βClθ(Vi) ⊂ Ui for each i ∈ I. Then the cover
√
is called a (β, θ)-shrinking of
.
A covering is point-finite provided each x ∈ X belongs to only finitely many
elements of .
Theorem 4.10. A space X is (β, θ)∗
-normal if and only if every point-finite
βθ-open cover is (β, θ)-shrinkable.
Proof. Suppose that X is (β, θ)∗
-normal. Let = {Ui : i ∈ I} be a point-finite
βθ-open cover of X. Well order the set I = {i1, i2, ..., i, ...}. Now construct
{Vi : i ∈ I} by transfinite induction as follows: Let Fi1 = X(
i>i1
Ui). Each Ui
being βθ-open,
i>i1
Ui is βθ-open and hence Fi1 is βθ-closed. Also Fi1 ⊂ Ui1 .
Therefore in view of Theorem 4.2, there exists a βθ-open set Vi1 such that
Fi1 ⊂ Vi1 ⊂ βClθ(Vi1 ) ⊂ Ui1 . Let Fi2 = X{Vi1 ∪ (
i>i2
Ui)}. Then Fi2 is a
βθ-closed set such that Fi2 ⊂ Ui2 . Therefore there exists a βθ-open set Vi2
such that Fi2 ⊂ Vi2 ⊂ βClθ(Vi2 ) ⊂ Ui2 . Let us suppose that similarly Vj has
been defined for each j < i. Let Fi = X{(
j<i
Vj) ∪ (
k>i
Uk)}. Then Fi is a
βθ-closed set such that Fi ⊂ Ui. Hence we have a βθ-open set Vi such that
Fi ⊂ Vi ⊂ βClθ(Vi) ⊂ Ui. Now consider the family
√
= {Vi : i ∈ I}. Let
√
be a cover of X. Let x ∈ X. Then, since is a point-finite cover, x ∈ Ui for
finitely many i,
s , say i1, i2, ..., in. Let k = max{i1, i2, ..., in}. Then x /∈ Uj for
j > k. So if x /∈ Vj for j < k, then x ∈ Fk = X{(
j<k
Vj) ∪ (
i>k
Ui)} ⊂ Vk.
Hence in any case x ∈ Vi for i ≤ k. Also each Vi is βθ-open and βClθ(Vi) ⊂ Ui
for each i ∈ I. Thus
√
is a (β, θ)-shrinking of .
For the converse, let F1 and F2 be disjoint βθ-closed subsets of X. Then
47
{XF1, XF2} is a point-finite cover of X. But any (β, θ)-shrinking {V1, V2}
of {XF1, XF2} induces a separation XβClθ(V1), XβClθ(V2) of F1 and
F2.
References
[1] M. E. Abd. El-Monsef, S. N. EL-Deeb and R. A. Mahmoud, β-open and β-
continuous mappings, Bull. Fac. Sci. Assiut Univ., 12 (1983), 77–90.
[2] D. Andrijevi´c, Semi-preopen sets, Mat. Vesnik 38 (1986), 24–32.
[3] S. P. Arya and M. P. Bhamini, Some generalizations of pairwise Urysohn spaces,
Indian J. Pure Appl. Math. 18 (1987), 1088–1093.
[4] M. Caldas, On θ-β-generalized closed sets and θ-β-generalized continuity in
topolological spaces, J. Adv. Math. Studies, 4 (2011), 13–24.
[5] M. Caldas, Weakly sp-θ-closed functions and semipre-Hausdorff spaces, Creative
Math. Inform., 20(2) (2011), 112–123.
[6] M. Caldas, Functions with strongly β-θ-closed graphs, J. Adv. Studies Topology,
3 (2012), 1–6.
[7] M. Caldas, On characterizations of weak θ-β-openness, Antartica J. Math., 9(3)
(2012), 195–203.
[8] M. Caldas, On contra βθ-continuous functions, Proyecciones Journal Math.
39(4) (2013), 333–342.
[9] A. S. Mashhour, M. E. Abd El-Monsef and S. N. El-Deeb, On precontinuous
and weak precontinuous mappings, Proc. Math. Phys. Soc. Egypt, 53 (1982),
47–53.
[10] T. Noiri, Weak and strong forms of β-irresolute functions, Acta Math. Hungar.
99 (2003), 315–328.
[11] T. Noiri, On S-closed subspaces, Atti Accad. Naz. Lincei Rend. Cl. Sci. Fiz.
Mat. Natur, 8(64) (1978), 157–162.
[12] G. L. Garg and D. Sivaraj, Presemiclosed mappings, Periodica Math. Hungarica
19(2)(1988), 97–106.
[13] T. Soundararajan, Weakly Hausdorff and the cardinality of topological spaces,
General topology and its Relations to Modern Analysis and Algebra III, Proc.
Conf. Kampur, (1968), 301–306.
48
Selected papers of the 2014 International Conference
on Topology and its Applications
(2015) Pages 49–59
Department of Mathematics
University of Patras
Greece
On the class of semipre-θ-open sets in
topological spaces
M. Caldas 1
, S. Jafari 2
, T. Noiri 3
1 Departmento de Mathem´aatica Aplicada, Universidade Federal Fluminense, Rua
M´ario Santos Braga, s/n, 24020-140, Niter’oi, RJ, Brasil
2 College of Vestsjaelland South, Herrestraede 11, 4200 Slagelse, Denmark
3 2949-1 Shiokita-cho, Hinagu, Yatsushiro-shi, Kumomoto-ken, 869-5142 Japan
Abstract
In this paper we consider the class of βθ-open sets in topological spaces and inves-
tigate some of their properties. We also present and study some weak separation
axioms by involving the notion of βθ-open sets.
Key words: βθ-open set, βθ-D1 space, β-regular space, βθ-R-continuous.
1991 MSC: 54C10.
1. Introduction and preliminaries
Generalized open sets play a very important role in General Topology and they
are now the research topics of many topologists worldwide. Indeed a significant
theme in General Topology and Real Analysis concerns the variously modified
forms of continuity, separation axioms etc by utilizing generalized open sets.
One of the most well-known notions and also an inspiration source is the
notion of semi-preopen sets (or β-open sets) introduced by Abd El-Monsef et
al. [1] and Andrijevi´c [2] introduced the notion of β-open set, which Andrijevi´c
called semi-preopen, completely independent of each other. In this paper, we
adopt the word β-open for the sake of clarity. Noiri [7] used this notion and
the semipre-closure [2] of a set to introduce the semipre-θ-closure of a set. It
is the object of this paper to further investigate the notion of βθ-open sets by
using the notion of the semipre-θ-closure of a set. We also study some weak
separation axioms defined by using the notion of βθ-open sets.
1 gmamccs@vm.uff.br
2 jafaripersia@gmail.com
3 t.noiri@nifty.com
The (X, τ) and (Y, σ) (or simply, X and Y ) denote topological spaces on which
no separation axioms are assumed unless explicitly stated. A subset A of a
topological space (X, τ) is called β-open [1] if A ⊆ Cl(Int(Cl(A))), where
Cl(A) and Int(A) denote the closure and the interior of A, respectively. The
complement of a β-open set is called β-closed [1]. The intersection of all β-
closed sets containing A is called the semipre-closure [1] of A and is denoted by
spCl(A). A subset A is called semipre-regular (or β-regular) if it is both β-open
and β-closed. The family of all β-open (resp. β-closed, open, β-regular) subsets
of X is denoted by βO(X, τ) or βO(X) (resp. βC(X, τ), O(X, τ), βR(X, τ)).
We set
βO(X, x) = {U : x ∈ U ∈ βO(X, τ)}
and
βC(X, x) = {U : x ∈ U ∈ βC(X, τ)}.
Now we begin to recall some known notions which will be used in the sequel.
Definition 1.1. [7]. Let A be a subset of X. The semipre-θ-closure of A,
denoted by spClθ(A), is the set of all x ∈ X such that βCl(O) ∩ A = ∅ for
every O ∈ βO(X, x). A subset A is called βθ-closed if A = spClθ(A). The
set {x ∈ X | βCl(O) ⊂ A for some O ∈ βO(X, x)} is called the semipre-θ-
interior of A and is denoted by spIntθ(A). A subset A is called βθ-open if A =
spIntθ(A). The family of all βθ-open (resp. βθ-closed) subsets of X is denoted
by βθO(X, τ) or βθO(X) (resp. βθC(X, τ)). We set
βθO(X, x) = {U : x ∈ U ∈ βθO(X, τ)}
and
βθC(X, x) = {U : x ∈ U ∈ βθC(X, τ)}.
Lemma 1.2. [7]. For any subset A of X, the following properties hold:
(1) spClθ(spClθ(A)) = spClθ(A).
(2) spClθ(A) is βθ-closed.
(3) spClθ(A) is the intersection of all βθ-closed sets containing A.
(4) A ⊂ spCl(A) ⊂ spClθ(A) and spCl(A) = spClθ(A) if A ∈ βO(X).
Recall that a function f : X → Y is said to be:
(i) βθ-continuous [7] if f−1
(V ) is βθ-closed for every closed set V in Y ,
equivalently if the inverse image of every open set V in Y is βθ-open in
X.
(ii) weakly β-irresolute ([7], Theorem 4.5) if f−1
(V ) is βθ-open in X for every
βθ-open set V in Y , equivalently spClθf−1
(V ) ⊂ f−1
(spClθ(V )) for every
subset V of Y .
50
2. Semipre-θ-open sets
We begin with the following result:
Lemma 2.1. Let X be a topological space and A ⊂ X. The following state-
ments hold:
(2) X − spIntθ(A) = spClθ(X − A).
(3) spIntθ(spIntθ(A)) = spIntθ(A).
(4)spIntθ(A) is βθ-open.
Lemma 2.2. [7] For any subset O of X, the following properties hold:
(1) O is β-regular if and only if O = spInt(spCl(O)).
(2) O is β-open if and only spCl(O) is β-regular.
Theorem 2.3. If O is β-open, then spInt(spCl(O)) is βθ-open.
Proof. spInt(spCl(O)) = (X − spCl(X − spCl(O))). Since X − spCl(O)
(=A, say) is β-open, spCl(A) = pClθ(A) (Lemma 1.2). Therefore there exists
a subset A = X − spCl(O) for which X − spInt(spCl(O) = spClθ(A). Hence
spInt(spCl(O) is βθ-open.
Corollary 2.4. If O is β-regular, then O is βθ-open.
Proof. It suffices to observe that, the subset O is β-regular if and only if
O = spInt(spCl(O)) (Lemma 2.2).
Theorem 2.5. For any subset A of X, the following properties are equivalent:
(1) A subset A is β-regular if and only if it is βθ-open;
(2) spClθ(A) is β-regular for every subset A of X.
Proof. (1) ⇒ (2): Let A be any subset of X. Then by Lemma 1.2, X −
spClθ(A) is βθ-open. This implies that spClθ(A) is β-regular.
(2) ⇒ (1): Assume spClθ(O) is β-regular for every set O. Suppose U is β-
regular. Therefore β-regular is equivalent to βθ-open.
Theorem 2.6. If O is βθ-open, then O is the union of β-regular sets.
Proof. Since O is βθ-open, O = spIntθ(O). For each x ∈ O, there exists
Ax ∈ βO(X) such that x ∈ Ax ⊂ βCl(Ax) ⊂ O. Therefore, we obtain O =
∪x∈OβCl(Ax) and βCl(Ax) ∈ βR(X).
Corollary 2.7. If B is βθ-closed, then B is the intersection of β-regular sets.
Remark 2.8. (i) T. Noiri in ([7], Theorem 3.4) have proved that the in-
tersection of arbitrary collection of βθ-closed sets is βθ-closed, hence by the
complement, the union of arbitrary collection of βθ-open sets is βθ-open.
(ii) The intersection of βθ-open sets may fail to be βθ-open, as the following
51
example shows.
Example 2.9. Let (X, τ) be a topological space, where X = {a, b, c} and
τ = {∅, {b}, {c}, {b, c}, X}. Then O1 = {a, c} and O2 = {a, b} are βθ-open,
but O1 ∩ O2 = {a} is not βθ-open.
3. Semipre-θ-D1 Topological spaces
Now, we introduce new classes of topological spaces in terms of the concept
of semipre-θ-open sets.
Definition 3.1. A subset A of a topological space X is called a semipre-θ
D-set if there are two sets U, V ∈ βθO(X, τ) such that U = Xand A = U −V .
It is true that every βθ-open set U different from X is a semipre-θ D-set if
A = U and V = ∅.
Definition 3.2. A topological space (X, τ) is called semipre-θ-D0 if for any
pair of distinct points x and y of X there exist a semipre-θ D-set of X con-
taining x but not y or a semipre-θ D-set of X containing y but not x.
Definition 3.3. A topological space (X, τ) is called semipre-θ-D1 if for any
pair of distinct points x and y of X there exist a semipre-θ D-set of X con-
taining x but not y and a semipre-θ D-set of X containing y but not x.
Definition 3.4. A topological space (X, τ) is called semipre- θ-D2 if for any
pair of distinct points x and y of X there exist disjoint semipre-θ D-sets G
and E of X containing x and y, respectively.
Definition 3.5. A topological space (X, τ) is called βθ-T0 [5] if for any pair
of distinct points in X, there exists a βθ-open set containing one of the points
but not the other.
Definition 3.6. A topological space (X, τ) is called βθ-T1 [5] if for any pair
of distinct points x and y in X, there exist a βθ-open U in X containing x
but not y and a βθ-open set V in X containing y but not x.
Definition 3.7. A topological space (X, τ) is called βθ-T2 [5] if for any pair of
distinct points x and y in X, there exist βθ-open sets U and V in X containing
x and y, respectively, such that U ∩ V = ∅.
Remark 3.8. From Definition 3.1 to 3.7, we obtain the following diagram:
52
βθ-T2 → βθ-T1 → βθ-T0
↓ ↓ ↓
semipre-θ-D2 → semipre-θ-D1 → semipre-θ-D0
Theorem 3.9. [4] If a topological space (X, τ) is βθ-T0, then it is βθ-T2.
Proof. For any points x = y, let V be a βθ-open set such that x ∈ V and
y /∈ V . Then, there exists U ∈ βO(X, τ) such that x ∈ U ⊂ βCl(U) ⊂ V. By
Lemma 2.2 βCl(U) ∈ βR(X, τ). Then βCl(U) is βθ-open and also X−βCl(U)
is a βθ-open set containing y. Therefore, X is βθ-T2.
Theorem 3.10. For a topological space (X, τ), the six properties in the dia-
gram are equivalent.
Proof. By Theorem 3.9, we have that βθ-T0 implies βθ-T2. Now we prove
that semipre-θ-D0 implies βθ-T0. Let (X, τ) be semipre-θ-D0 so that for any
pair of distinct points x and y of X, there exists a semipre-θ D-set O, says,
such that x ∈ O and y /∈ O. Suppose O = U − V for which U = X and
U, V ∈ βθO(X, τ). This implies that x ∈ U. For the case that y /∈ O we have
(i) y /∈ U, (ii) y ∈ U and y ∈ V. For (i), the space X is βθ-T0 since x ∈ U and
y /∈ U. For (ii), the space X is also βθ-T0 since y ∈ V but x /∈ V.
Let x be a point of X and V a subset of X. V is called a semipre-θ-neighborhood
of x in X if there exists a βθ-open set O of X such that x ∈ O ⊂ V .
Definition 3.11. A point x ∈ X which has only X as the semipre-θ-neighborh-
ood is called a point common to all βθ-closed sets (briefly semipre-θ-cc).
Theorem 3.12. If a topological space (X, τ) is semipre-θ-D1, then (X, τ) has
no semipre-θ-cc point.
Proof. Since (X, τ) is semipre-θ-D1 , so each point x of X is contained in a
semipre-θ D-set O = U −V and thus in U. By definition U = X. This implies
that x is not a semipre-θ-cc point.
Definition 3.13. A subset A of a topological space (X, τ) is called a quasi
semipre-θ-closed set (briefly qspt-closed) if spClθ(A) ⊂ U whenever A ⊂ U
and U is βθ-open in (X, τ).
The complement of a quasi semipre-θ-closed set is called quasi semipre-θ-open
(briefly qspt-open).
Lemma 3.14. Every βθ-closed set is qspt-closed but not conversely.
Example 3.15. Let X = {a, b, c, d} and let τ = {∅, {c, d}, X}. Set A =
{a, b, d}. Then spCl(A) = X and so A is not β-closed. Hence A is not βθ-
closed. Since X is the only βθ-open set containing A, A is qspt-closed.
53
Theorem 3.16. For a topological space (X, τ), the following properties hold:
(1) For each points x and y in a topological space , x ∈ spClθ({y}) implies
y ∈ spClθ({x}),
(2) For each x ∈ X, the singleton {x} is qspt-closed in (X, τ).
Proof. (1) Let y /∈ spClθ({x}). This implies that there exists V ∈ βO(Y, y)
such that spCl(V ) ∩ {x} = ∅ and X − spCl(V ) ∈ βR(X, x) which means that
x /∈ spClθ({y}).
(2) Suppose that {x} ⊂ U ∈ βθO(X). This implies that there exists V ∈
βO(X, τ) such that x ∈ V ⊂ spCl(V ) ⊂ U. Now we have spClθ({x}) ⊂
spClθ(V ) = spCl(V ) ⊂ U.
Lemma 3.14 and Example 3.15 suggests the following natural definition.
Definition 3.17. A topological space (X, τ) is said to be βθ-T1
2
if every qspt-
closed set is βθ-closed.
Theorem 3.18. For a topological space (X, τ), the following are equivalent:
(1) (X, τ) is βθ-T1
2
;
(2) (X, τ) is βθ-T1.
Proof. (1) → (2) : For distinct points x, y of X , {x} is qspt-closed by Theorem
3.16. By hypothesis, X −{x} is βθ-open and y ∈ X −{x}. By the same token,
x ∈ X − {y} and X − {y} is βθ-open. Therefore (X, τ) is βθ-T1.
(2) → (1) : Suppose that A is a qspt-closed set which is not βθ-closed. There
exists x ∈ spClθ(A) − A. For each a ∈ A, there exists a βθ-open set Va such
that a ∈ Va and x /∈ Va. Since A ⊂ a∈Va Va and a∈Va Va is βθ-open , we
have spClθ(A) ⊂ a∈Va Va . Since x ∈ spClθ(A), there exists a0 ∈ A such that
x ∈ Va0 . But this is a contradiction.
Recall that a topological space (X, τ) is called β-T2 [6] if for any pair of distinct
points x and y in X, there exist β-open sets U and V in X containing x and
y, respectively, such that U ∩ V = ∅.
Theorem 3.19. [5] For a topological space (X, τ), the following are equivalent:
(1) (X, τ) is βθ-T2,
(2) (X, τ) is β-T2.
Definition 3.20. A function f : (X, τ) → (Y, σ) is said to be weakly β-
irresolute [7] if for each x ∈ X and each V ∈ βO(Y, f(x)), there is U ∈
βO(X, x) such that f(U) ⊂ spCl(V ).
Remark 3.21. Noiri [7] proved that a function f : (X, τ) → (Y, σ) is weakly
β-irresolute if and only if f−1
(V ) is βθ-closed (resp.βθ-open) in (X, τ) for
every βθ-closed (resp. βθ-open) set V in (Y, σ).
54
Theorem 3.22. If f : (X, τ) → (Y, σ) is a weakly β-irresolute surjective
function and E is a semipre-θ D-set in Y , then the inverse image of E is a
semipre-θ D-set in X.
Proof. Let E be a semipre-θ D-set in Y . Then there are βθ-open sets U and
V in Y such that E = U − V and U = Y . By weak β-irresoluteness of f,
f−1
(U) and f−1
(V ) are βθ-open in X. Since U = Y , we have f−1
(U) = X.
Hence f−1
(E) = f−1
(U) − f−1
(V ) is a semipre-θ D-set in X.
Theorem 3.23. If (Y, σ) is semipre-θ-D1 and f : (X, τ) → (Y, σ) is a weakly
β-irresolute injection, then (X, τ) is semipre-θ-D1.
Proof. Suppose that Y is a semipre-θ-D1 space. Let x and y be any pair of
distinct points in X. Since f is injective and Y is semipre-θ-D1, there exist
semipre-θ D-sets U and V of Y containing f(x) and f(y), respectively, such
that f(y) /∈ U and f(x) /∈ V . By the above theorem, f−1
(U) and f−1
(V ) are
semipre-θ D-sets in X containing x and y, respectively. This implies that X
is a semipre-θ-D1 space.
Theorem 3.24. For a topological space (X, τ), the following statements are
equivalent:
(1) (X, τ) is semipre-θ-D1;
(2) For each pair of distinct points x, y ∈ X, there exists a weakly β- irresolute
surjective function f : (X, τ) → (Y, σ), where Y is a semipre-θ-D1 space such
that f(x) and f(y) are distinct.
Proof. (1) → (2) : For every pair of distinct points of X, it suffices to take
the identity function on X.
(2) → (1) : Let x and y be any pair of distinct points in X. By hypothesis,
there exists a surjective weakly β-irresolute function f of a space X into a
semipre-θ-D1 space Y such that f(x) = f(y). Therefore, there exist disjoint
semipre-θ D-sets U and V of Y containing f(x) and f(y), respectively, such
that f(y) /∈ U and f(x) /∈ V . Since f is weakly β-irresolute and surjective,
by Theorem 3.22, f−1
(U) and f−1
(V ) are semipre-θ D-sets in X containing
x and y, respectively, such that y /∈ f−1
(U) and x /∈ f−1
(V ). Hence X is a
semipre-θ -D1 space.
4. Additional Properties
Let A be a subset of a topological space (X, τ). The semipre-θ-kernel of A ⊂
(X, τ) [5], denoted by spKerθ(A), is defined to be the set
∩{O ∈ βθO(X, τ) | A ⊂ O},
or equivalently to be the set {x ∈ X | spClθ({x}) ∩ A = ∅}.
55
Definition 4.1. A function f : (X, τ) → (Y, σ) is R-continuous [8] (resp.
βθ-R-continuous, β-R-continuous) if for each x ∈ X and each open set V of Y
containing f(x) (resp. V ∈ βO(Y, f(x))), there exists an open subset U of X
containing x such that Cl(f(U)) ⊂ V (resp. spClθ(f(U)) ⊂ V , spCl(f(U)) ⊂
V ).
Remark 4.2. (i) Since A ⊂ spCl(A) ⊂ spClθ(A) for any set A, βθ-R-
continuity implies β-R-continuity.
(ii) Since the semipre-closure and semipre θ-closure operators agree on β-open
sets (Lemma 1.2), it follows that if f : (X, τ) → (Y, σ) is R-β-continuous and
β-open then f is βθ-R-continuous, where f is called β-open if the image of
each open set of X is β-open.
Definition 4.3. The graph G(f) of a function f : (X, τ) → (Y, σ) is said to
be spθ-c-closed if for each point (x, y) ∈ (X × Y ) − G(f), there exist subsets
U ∈ βO(X, x) and V ∈ βθO(Y, y) such that (spCl(U) × V ) ∩ G(f) = ∅.
Lemma 4.4. The graph G(f) of f : (X, τ) → (Y, σ) is spθ-c-closed in X × Y
if and only if for each point (x, y) ∈ (X ×Y )−G(f), there exist U ∈ βO(X, x)
and V ∈ βθO(Y, y) such that f(spCl(U)) ∩ V = ∅.
Proof. It follows immediately from Definition 4.3.
In [[8], Theorem 4.1], it is shown that the graph of an R-continuous function
into a T1-space is θ-closed with respect to the domain. Here an analogous
result is proved for βθ-R-continuous functions.
Theorem 4.5. If f : (X, τ) → (Y, σ) is βθ-R-continuous weakly β-irresolute
and Y is β-T1, then G(f) is spθ-c-closed.
Proof. Assume (x, y) ∈ (X × Y ) − G(f). Since y = f(x) and Y is β-T1, there
exists a β-open subset V of Y such that f(x) ∈ V and y /∈ V . The βθ-R-
continuity of f implies the existence of an open subset U of X containing x
such that spClθ(f(U)) ⊂ V . Therefore (x, y) ∈ spCl(U) × (Y − spClθ(f(U))
which is disjoint from G(f) because if a ∈ spCl(U), then since f is weakly
β-irresolute, by [[7], Theorem 4.5] f(a) ∈ f(spCl(U)) ⊂ spClθ(f(U)). Note
that Y − spClθ(f(U)) is βθ-open.
It is proved in [[8], Theorem 3.1] that a function f : (X, τ) → (Y, σ) is R-
continuous if and only if for each x ∈ X and each closed subset F of Y with
f(x) /∈ F, there exist open subsets U ⊂ X and V ⊂ Y such that x ∈ U,
F ⊂ V and f(U) ∩ V = ∅. The following theorem is an analogous result for
βθ-R-continuous functions.
Theorem 4.6. Let f : (X, τ) → (Y, σ) be a weakly β-irresolute function.
Then f is βθ-R-continuous if and only if for each x ∈ X and each β-closed
subset F of Y with f(x) /∈ F, there exist an open subset U of X containing x
56
and a βθ-open subset V of Y with F ⊂ V such that f(spCl(U)) ∩ V = ∅.
Proof. Necessity. Let x ∈ X and F be a β-closed subset of Y with f(x) ∈ Y −
F. Since f is βθ-R-continuous, there exists an open subset U of X containing
x such that spClθ(f(U)) ⊂ Y − F. Let V = Y − spClθ(f(U)). Then V is βθ-
open and F ⊂ V . Since f is weakly β-irresolute , f(spCl(U)) ⊂ spClθ(f(U)).
Therefore f(sCl(U)) ∩ V = ∅.
Sufficiency. Let x ∈ X and V be a β-open subset of Y with f(x) ∈ V. Let
F = Y − V. Since f(x) /∈ F, there exists an open subset U of X containing x
and a βθ-open subset W of Y with F ⊂ W such that f(spCl(U)) ∩ W = ∅.
Then f(spCl(U)) ⊂ Y − W, thus spClθ(f(U)) ⊂ spClθ(Y − W) = Y − W ⊂
Y − F = V. Therefore f is βθ-R-continuous.
Corollary 4.7. Let X and Y be topological spaces and f : (X, τ) → (Y, σ)
be a weakly β-irresolute function. Then f is βθ-R-continuous if and only if for
each x ∈ X and each β-open subset V of Y containing spClθ(f(spCl(U))) ⊂ V.
Proof. Assume f is βθ-R-continuous. Let x ∈ X and V be a β-open subset
of Y with f(x) ∈ V. Then there exists an open subset U of X containing x
such that spClθ(f(U)) ⊂ V. Since f is weakly β-irresolute, we have
spClθ(f(spCl(U))) ⊂ spClθ(spClθ(f(U))) = spClθ(f(U)) ⊂ V.
Thus spClθ(f(spCl(U))) ⊂ V . The converse implication is immediate.
Definition 4.8. A topological space (X, τ) is said to be a β-R1 if for x, y ∈ X
with spCl({x}) = spCl({y}), there exist disjoint β-open sets U and V such
that spCl({x}) ⊂ U and spCl({y}) ⊂ V .
Proposition 4.9. A space X is β-R1 if and only if for each β-open set O and
each x ∈ O , spClθ({x}) ⊂ O.
Proof. Necessity. Assume that X is β-R1. Suppose that O is a β-open subset
of X and x ∈ O. Let y be an arbitrary element of X − O. Since X is β-R1,
spClθ({y}) = spCl({y}) ⊂ X − O. Hence we have that x /∈ spClθ({y}) and
y /∈ spClθ({x}). It follows that spClθ({x}) ⊂ O.
Sufficiency. Assume now that, y ∈ spClθ({x}) − spCl({x}) for some x ∈ X.
Then there exists a β-open set O containing y such that spCl(O) ∩ {x} = ∅
but O ∩ {x} = ∅. Then spClθ({y}) ⊂ O and spClθ({y}) ∩ {x} = ∅. Hence
x /∈ spClθ({y}). Thus y /∈ spClθ({x}). By this contradiction, we obtain
spClθ({x}) = spCl({x}) for each x ∈ X. Thus by ([3], Theorem 4.15) X
is β-R1.
Now, we show that the range of a βθ-R-continuous function satisfies the
stronger β-R1 condition.
Theorem 4.10. If f : (X, τ) → (Y, σ) is a βθ-R-continuous surjection, then
(Y, σ) is a β-R1 space.
57
Proof. Let V be a β-open subset of Y and y ∈ V . Let x ∈ X such that
y = f(x). Since f is βθ-R-continuous, there exists an open subset U of X
containing x such that spClθ(f(U)) ⊂ V. Then spClθ({y}) ⊂ spClθ(f(U)) ⊂
V. Therefore by Proposition 4.9, Y is β-R1.
We close this paper with a sample of the basic properties of βθ-R-continuous
functions concerning composition and restriction.
Theorem 4.11. If f : (X, τ) → (Y, σ) is continuous and g : (Y, σ) → (Z, γ) is
βθ-R-continuous, then g ◦ f : (X, τ) → (Z, γ) is βθ-R-continuous.
Proof. Let x ∈ X and W be a β-open subset of Z containing g(f(x)). Since g
is βθ-R-continuous, there exists an open subset V of Y containing f(x) such
that spClθ(g(V )) ⊂ W. Since f is continuous, there exists an open subset U
of X containing x such that f(U) ⊂ V ; hence spClθ(g(f(U)) ⊂ W. Therefore
g ◦ f is βθ-R-continuous.
Theorem 4.12. Let f : (X, τ) → (Y, σ) and g : (Y, σ) → (Z, γ) be functions.
If g ◦ f : (X, τ) → (Z, γ) is βθ-R-continuous and f is an open surjection, then
g is βθ-R-continuous.
Proof. Let y ∈ Y and W be a β-open subset of Z containing g(y). Since f is
surjective, there exists x ∈ X such that y = f(x) and f is an open surjection,
then g is βθ-R-continuous. Since g◦f is βθ-R-continuous, there exists an open
subset U of X containing x such that spClθ(g(f(U)) ⊂ W. Note that f(U) is
an open set containing y. Therefore g is βθ-R-continuous.
Theorem 4.13. If f : (X, τ) → (Y, σ) is βθ-R-continuous, A ⊂ X and
f(A) ⊂ B ∈ βSO(Y, σ), then f/A : A → B is βθ-R-continuous.
Proof. Let x ∈ A and V be a β-open subset of B containing f(x) (note that
f(A) ⊂ B). Hence by [1, Lemma 2.7] V be a β-open subset of Y containing
f(x). Since f is βθ-R-continuous, there exists an open subset U of X contain-
ing x such that spClθ(f(U)) ⊂ V. Let O = U ∩A. Then O is an open subset of
A containing x such that spClθ((f/A)(O)) = spClθ(f(O)) ⊂ spClθ(f(U)) ⊂
V . Therefore f/A : A → B is βθ-R-continuous.
References
[1] M. E. Abd El-Monsef, S. N. El-Deeb and R. A. Mahmoud, β-open sets and
β-continuous mappings, Bull. Fac. Sci. Assiut Univ., 12 (1983), 77–90.
[2] D. Andrijevi´c, Semi-preopen sets, Mat. Vesnik, 38 (1986), 24–32.
[3] S. C. Arora and Sanjay Tahiliani, β-R0 and β-R1 Topological spaces, Vasile
Alesandri, Univ. Bacau. Fac. Sci. Scientific Stud. and Resear. Ser. Math. and
Infor., 20 (2010), 25–36.
58
[4] M. Caldas, Other characterizations of β-θ-R0 topological spaces, Tankang Jr.
Math., 44(3) (2013), 303–311.
[5] E. Ekici and T. Noiri, On separation axioms and sequences, Math. Moravica,
11 (2007), 39–46.
[6] R. A. Mahmoud and M. E. Abd El-Monsef, β-irresolute and β-topological
invariant, Proc. Pakistan Acad. Sci. 27 (1990), 285–296.
[7] T. Noiri, Weak and strong forms of β-irresolute functions, Acta Math. Hungar.
99 (2003), 315–328.
[8] Ch. Konstadilaki-Savvopoulou and D. Jankovic, R-continuous functions,
Internat. J. Math. Math. Sci., 15(1992), 57–64.
59
Selected papers of the 2014 International Conference
on Topology and its Applications
(2015) Pages 60–76
Department of Mathematics
University of Patras
Greece
Application of complex network time series
analysis in the study of spatiotemporal
phenomena
A. Charakopoulos 1
, T.E. Karakasidis 2
, P.N. Papanicolaou 3
,
A. Liakopoulos 4
1Laboratory of Hydromechanics and Environmental Engineering, Department of
Civil Engineering, University of Thessaly, 38334 Volos, Greece
2Laboratory of Hydromechanics and Environmental Engineering, Department of
Civil Engineering, University of Thessaly, 38334 Volos, Greece
3School of Civil Engineering, Department of Water Resources and Environmental
Engineering, National Technical University of Athens, 5 Heroon Polytechniou St.,
15780 Zografos, Greece
4Laboratory of Hydromechanics and Environmental Engineering, Department of
Civil Engineering, University of Thessaly, 38334 Volos, Greece
Abstract
In the last decades time series complex networks have attracted considerable in-
terest and have been proposed to analyze deterministic dynamics. The range of
applications includes many fields such as biology, sociology, physics, climatology
and neurosciences. By representing a time series as a complex network, the dynam-
ics of the time series can be explored through the evaluation of a number of the
network topological properties. In the present study we discuss several methods for
performing this transformation and we apply them to the analysis of experiment
temperature time series recorded at various regions of turbulent heated jet, which
constitutes a well-known spatiotemporal phenomenon. The results show that the
complex network approach allows distinguishing and identifying in a quite detailed
way the various dynamical regions of the jet flow, and associate them to the corre-
sponding physical behavior. The efficiency of the methods for network construction
is also discussed along with suggestions for applications in a wide range of scientific
disciplines.
Key words: Complex networks, time series analysis, spatiotemporal phenomena.
1 avracha@yahoo.gr
2 thkarak@uth.gr
3 panospap@itia.ntua.gr
4 aliakop@uth.gr
1. Introduction
The study of dynamical systems through analysis of the time series of a
variable measured in a physical system, is of particular interest over the
last decades, and gives the possibility of comprehension the underlying sys-
tem dynamics. Time series analysis may include several methods. During the
last decade the concept of analyzing dynamic characteristics of a time series
through a transformation to a complex network system, has been introduced.
Basically, this method firs maps a given time series into a network and then
the generated network can be analyzed in terms of concepts of complex net-
works. The network based theories and methodologies have been applied in
many disciplines such as biology, sociology, physics, climatology and neuro-
sciences [1–6]. Gao and Jin ([7] show that the idea of complex network analysis
is able to identify flow patterns of gas-liquid two phase flows. Also Liu et al.
[8] analyzed time series of energy dissipation rates in three-dimensional fully
developed turbulence using the visibility algorithm.
Using this methodology different aspect of the dynamics of the time series
can be associated with the topological indices of the network and it is shown
how network properties can be employed to distinguish different dynamical
regimes. Analysis of spatiotemporal phenomena is of major importance for
scientists due to spatial and temporal variability of the observable quantity
[9–13]. The aim of the present work is to propose a novel method to study
spatiotemporal phenomena, that of transforming time series to the complex
networks and use the topological spatial variation of the corresponding net-
works in order to distinguish different dynamical regimes of the underlying
physical system. The fact that in the turbulent flow, there appear small and
also large scale structures (vortices) in different temporal and spatial scales
makes the turbulent flow as a characteristic case of spatiotemporal phenomena.
Turbulent flows constitute a challenging case for the application of network
transformed time series analysis which is experimentally obtained since they
present a complex behavior.
A schema view of a vertical turbulent jet flow is shown in Fig. 1 where in the
case of fully developed turbulence one can observe a three region behavior. The
first region corresponds to large distances from the jet axis, actually at the
boundary with ambient water named as Boundary Region (B.R), the second
one, the Inner Region (I.R), concerns the region between the boundary region
and the core of the jet and the third region the Jet axis Region (J.R) is the
region near the core of the jet. The dynamics of these regions is characterized
by the presence of small and large scale structures (vortices). Large scale
structures occupy the full width of the jet and appear with a certain low
frequency that is a function of the distance from the nozzle due to continuous
pairing.
61
Fig. 1. A schematic diagram of turbulent jet flow.
In the present work we approach the hydrodynamic problem of discriminating
the state of the turbulent fluid region as a function of the distance from the
axis of a turbulent jet axis. More specifically, we analyzed temperature fluc-
tuations in vertical turbulent heated jets where temperature time series were
recorded along a horizontal line through the jet axis. We focused to investi-
gate if one can distinguish time series corresponding to regions near the jet
axis, where conditions of fully developed turbulence are expected, from time
series corresponding to regions that are more distant and from those near to
the boundary with the ambient water, as is expected to be in the case of fully
developed turbulence. Our aim was to understand the characteristics of the
turbulent jet flow using nonconventional hydrodynamics methods [14–17].
For each transformed time series to complex network we evaluated topological
properties of the networks such as degree distribution, average path length,
diameter, modularity and clustering coefficient. The above measures present
a spatial variation along a horizontal cut of the flow and the analysis of this
spatial variation reveals that the network constructed from the time series near
the jet region is denser than those originating from more distant measurement
positions. As a general conclusion, the implementation of network analysis in
this physical system is able to extract information of the underlying system
dynamics. The results obtained have shown that the proposed methodology
allows us to distinguish the flow regime around the jet axis and identify the
62
time series corresponding to the jet axis in agreement with the conventional
statistical hydrodynamic method.
The structure of the paper is as follows. In Sec. 2 we discuss briefly the ex-
perimental set-up for temperature measurements. In Sec. 3 we present the
methodology transformed time series to networks and in Sec. 4 we portray
the topological properties of the networks. The results and discussion are pre-
sented in Sec. 5. Finally the conclusions are presented in Sec. V.
2. Data Description and Experimental setup
The experiments were performed ar the Applied Hydraulics Laboratory of the
National Technical University of Athens in a transparent orthogonal tank with
dimensions 1.00m, 0.80m and 0.70m deep, equipped with a peripheral overflow
to remove excess water. A perspective view of the experimental setup is shown
in Fig.2.
Fig. 2. Schematic view of the experimental setup.
The hot water jet supply consists of a water heater made of stainless steel,
which is well insulated and pressurized by air, to provide adequate constant
head pressure to drive to jet. An insulated pipe drives the water from the
heater into the jet plenum, through a calibrated flow meter. The jet plenum
was a cylinder of 4.5 cm i.d. equipped with 5 mm honeycomb and sponge
to destroy the large scale turbulence structures. We used a circular nozzle of
1.5 cm diameter. The jet water temperature To(o
C) was 58.60 o
C, while the
ambient water temperature Ta(o
C) was 24.60 o
C. Temperature measurements
63
were obtained by an array of fast response thermistors positioned at constant
elevation from the nozzle, on the plane of symmetry of the buoyant jet. The jet
trajectories were determined of using a slide projector on a semitransparent
paper sheet (shadowgraph) in order to place the rake of thermistors properly.
In this paper, we use the data recorded at an elevation of 20cm above the
nozzle axis. The basic initial conditions of the flow are tabulated in Table 1.
Table 1. Experimental conditions.
3. Convert time series to complex network
The key point to construct a network from a time series is to define nodes and
edges properly. Several studies demonstrate that distinct features of a time
series can be mapped onto networks with distinct topological characteristics.
First Zhang and Small [18] introduced a transformation from pseudoperiodic
time series to complex network. In this method the pseudoperiodic time series
is approximately divided into many cycles, where each cycle can be treated
as a node and the connection between two nodes can be established if the
distance between them is less than a given threshold Yang and Yang [19] used
linear correlation coefficient as the criterion to connect nodes. Xu et al. [20]
proposed a method based on embedding the time series into an appropriate
phase space and taking each phase space point as a node in the network, which
is connected with its four nearest neighbors. Donner et al. [21] introduced the
transformation of a time series into a network based on the corresponding
Recurrence Plots. Lacasa et al. [22] proposed the transformation of time series
into a network based on the visibility of the nodes. According this method each
point in the time series is considered as a node in the network, and two nodes
connect each other if a straight line between them does not intersect any other
points between them. In this paper, we employed the phase space method (k
nearest neighbors) introduced by Xu et al. [20] since it uses elements of the
reconstructed system phase space and the visibility algorithm proposed by
Lacasa et al. [22] in order to transform time series into an undirected and
unweighted complex networks and investigate also the performance of the two
methods. In the following we briefly describe the methodology used in this
work to convert a time series into a network.
64
3.1 Phase space network (k nearest neighbors)
Xu et al. [20] proposed a method constructing networks which embeds the
time series into an appropriate phase space and then linking each node with
its k nearest neighbors. Let us suppose we have a time series of a length N.
First, we calculate the time delay and then we embed this time series to an
appropriate phase space and we take each point of the space phase as a node
in the network. Next, we choose a fixed number of four nearest neighbors and
at each step, each point will be assigned four new neighbors. By this method
on the average, each node has the same number of links and the networks from
different time series will have the same average degrees.
3.2 Visibility algorithm
The visibility algorithm, proposed by Lacasa et al. [22], maps time series to its
visibility graph. Each node of the visibility graph corresponds to point of time
series. Suppose a time series x(ti)i = 1, . . . , Nmeas of Nmeas data. Two vertices
x(ti) and x(tj) in the time series have visibility and consequently become two
connected nodes in the associated graph, if any other data (tk, x(tk
)) placed
between them (ti < tk < tj) fulfills (1)
. . . x(tk) < x(ti) + (x(tj) − x(ti))
tk − ti
tj − ti
. . . (1)
Hence, i and j are connected if one can draw a straight line in the time series
joining the two points i and j, such that, at all intermediate points (ti¡tk¡tj),
x(tk) falls below this line. Fig. 3 illustrates the procedure of converting time
series to its visibility graph.
Fig. 3. Illustration of converting a time series to its visibility graph.
The order of the nodes in the network is the same as the order of sample
65
times in the time series. In the next paragraph, we briefly describe the main
topological measures which have been applied such as average path length,
diameter, modularity, and clustering coefficient.
4. Topological properties of the network
An undirected and unweighted complex network can be regarded as a graph
G = (N, E) which consists of a set of N = (n1, n2, . . . , nN ) nodes or vertices
and a set of E = (e1, e2, . . . , eN ) edges or links. The topological structure of
the network is described by a NxN adjacency matrix A = [aij] where aij = 1 if
the vertex i is connected to vertex j and aij =0 otherwise. The degree of a node
i(ki) is an important characteristic of a node i. Hence, the degree of a node
is the number of edges that it shares with other nodes [23]. For undirected
networks it can be computed as
ki =
j
aij =
i
aji (2)
and the average degree of a network is the average of ki for all nodes in the
network
< k >=
1
N i
ki =
1
N ij
aij (3)
For a network, the number of edges in a path connecting vertices i and j is
called the length of the path. The distance dij between nodes i, j is the length
of the shortest path connecting nodes i, j. The largest of the shortest path
distances between any pair of nodes is called diameter D of a network and
the average distance < di,j > is the average distance of a network connecting
any pair of points i, j. The average path length or characteristic path length is
defined as the average number of edges along the shortest paths for all possible
nodes in the network [24]
D = maxi,jdi,j (4)
< di,j >=
1
N(N − 1) i,j
di,j (5)
The characteristic path length shows a global accessibility of the network. The
clustering coefficient [24] of a network shows a local connectivity among any
three nodes in the network and for a node i can be defined as
ci =
2ei
ki(ki − 1)
(6)
where ki is the number of neighbors of i and ei is the number of connected pairs
between all neighbors of i. The clustering coefficient C of the whole network
is the average all individual ci and it is defined as
66
C =< ci >=
1
N i
ci (7)
An alternative definition of the clustering coefficient of a node i is the ratio
E/M, where E is the number of edges between the neighbors of node i, and
M is the maximum number of edges that could possibly exist between the
neighbors of i. The clustering coefficient of a node is always a number between
0 and 1. Therefore, the local clustering coefficient measures the probability of
the neighbors of a node i being connected, which is the probability that first
step neighbors of a node i (called friends of the node i) are connected direct
each other. Clustering is a measure of network transitivity, expressing the
extent to which neighbors of a node are neighbors of each other. Modularity
of a network is a measure of the structure of a complex network for detecting
communities/clusters within a network and it was introduced by Newman
[25]. A high value of modularity indicates a strong division of a network into
groups/clusters. Suppose we have a network with n vertices. Let si = 1 if
the vertex i belongs to group 1 and si = −1 if it belongs to group 2. The
modularity Q is defined as:
Q =
1
4m ij
(Aij −
kikj
2m
)sisj (8)
where Aij is the number of edges between vertices i and j (normally Aij is
0 or 1, so-called adjacency matrix), kikj/2m is the expected number of edges
between vertices i and j if edges are placed at random, where ki and kj are
the degrees of the vertices and is the total number of edges in the network.
Community identification in networks is useful because vertices belonging to
the same community are more likely to share the same properties. Networks
presenting high modularity have dense connections between their nodes. A
closely connected community will imply a faster rate of transmission of in-
formation. For a more detailed description of the topological properties of a
network one can consult the following studies [24–26].
5. Results and Discussion
We analyzed 21 recordings of temperature time series, one for each radial
location of measurement, where the sampling time at each location was 40s at
a frequency of 80Hz. The first time series recorded in a position x=32.40cm at
horizontal axis and the last position in x=46.50cm. In Fig. 4 the time series
is displayed. The horizontal axis refers to time (t) and the vertical axis refers
to each time series located as we move from the left boundary (x=32.4cm) of
tank to the right (x=46.5cm).
67
Fig. 4. The time series at various positions.
A representative shadowgraph view of the turbulent flow and the correspond-
ing structures is presented in Fig. 5. Moreover in this figure we present ap-
proximately the jet axis region and the rest regions and also the location of
the centerline of the jet using different colors.
Fig. 5. Shadowgraph view of the experimental setup. The green areas refer to the
boundary region while the blue and red areas refer to the jet axis region and inner
regions respectively. The red arrows indicate the limits of the measurement zone.
As we have mentioned before the main idea is to analyze and investigate tem-
perature fluctuations from a vertical turbulent heated jet where temperature
time series were recorded along a horizontal cut through the jet axis by trans-
forming them to complex networks. The time series are converted into complex
networks by applying the transformation phase space method (k nearest neigh-
bors), proposed by Xu et al. [20] and also the visibility graph suggested by
68
Lacasa et al. [22]. Then for each network (derived from both methods) we eval-
uated the main topological network properties and demonstrated how these
properties can be used to distinguish different dynamical regimes of the liquid
regions. Then for each network, we calculated the basic topological measures
such as the average path length, diameter, modularity, and clustering coef-
ficient. Fig. 6 illustrates an example of representative constructed networks
from time series recorded at different measurement locations along a horizon-
tal line. The first row corresponds to time series recorded in the boundary
region, the second row in the jet axis region and the third in the expected in-
ner region. In the left part, we plot the time series as recorded, then we present
the adjacency matrix of the network, next we represent the graph generated
through the visibility algorithm and the k neighbors method respectively. A
general outcome of this type of analysis is that differences in the time series
dynamical behavior are mapped onto the corresponding network topologies as
a function of the measurement position in the flow region.
Fig. 6. From left to right the time series, adjacency matrix, and network graph
generated through the visibility algorithm and the k neighbors method, respectively,
for time series derived from B.R , I.R , and J.R. The blue color refers to the visibility
method, while the red to the phase space method.
A first comment on the performance of the two methodologies would be that
in the case of the visibility algorithm the way each node is connected to each
other and the possible communities seem to be more clearly represented in
the graph than the networks constructed using the k neighbors method.
5.1. Evaluation of the network topological characteristics
The estimation of the simple topological measures diameter, average path
length, modularity, and clustering coefficient as a function of the horizontal
69
position along the cut as reconstructed using the phase space method and
the visibility algorithm are shown in Fig. 7-10. The obtained results for the
diameter for each time series with visibility method and with phase space
method are displayed in Fig. 7. The horizontal axis refers to the measurement
location of each time series, while the dashed lines indicate approximately the
threshold of the flow region. The result of the diameter of the network by
phase space method is quite symmetric except for the values at the edges.
Furthermore, we can see in the same graph that as we move from the left part
towards the center the calculated values decrease and present a minimum at
the position x=37.40cm, then the values increase again. Although, the profile
of diameter using the visibility algorithm is not as symmetrical as the other
one, it presents its lowest value at x=37.40cm. In fact measurements on the
far right or far left correspond to measurements in the ambient water, which
as one can understand correspond to a different dynamical regime than that of
the flow region. In fact, the main flow region is located approximately between
35 and 42cm. Thus, when we refer to minimum or maximum of a property
we mean in the flow region and not to the whole extend of the measurement
data.
Fig. 7. Diameter of the networks along the horizontal axis using the phase space
method and visibility graph respectively.
Further, Fig.8 shows the results of the average path length. Also the average
path length has a symmetrical behavior both for phase space method and
visibility algorithm. With both methods, the smallest value is observed at
x=37.40cm. The combination of values of diameter and average path length
leads us to the conclusion that the network originating from the time series at
x=37.40cm is more dense than the other. This result allows us to distinguish
this time series (and the corresponding measurement field) from all the others.
70
Fig. 8. Average path length of the networks along the horizontal axis using the
phase space method and visibility graph respectively.
Moreover, in Fig. 9 we have calculated the modularity for each network. One
can also observe that the results from both methods of network construction
present qualitatively the same spatial evolution. It is interesting to note that
the modularity of the groups with the lowest values (in the flow region) appears
for both methods for the time series at x=37.40cm. The spatial evolution of
the modularity values around this lowest value is smoother for the phase space
method. In the network perspective a high modularity means strong separation
in communities. In general, the higher is value the fewer the communities. The
lowest value at the point x=37.40 cm reflects that the corresponding network
will have tendency to form many communities with small population compared
to networks resulting from regions close to the boundary.
Fig. 9. Modularity of the networks along the horizontal axis using the phase space
method and visibility graph respectively.
71
The results for the clustering coefficient are presented in Fig. 10. It is inter-
esting to note that in the inner region (from x=36.40 to x=40.25) there is a
time series at x=37.40, where the clustering coefficient clearly have the lowest
value. In the network topology, the clustering coefficient measures the prob-
ability of the neighbors of a node i being connected, which is the probability
that the friends of node i are friends among each other. This means that in this
network, which results from the time series measured at x=37.40, the nodes
are more independent than in the networks constructed from the rest of the
time series in the flow region.
Fig. 10. Clustering coefficient of the networks along the horizontal axis using the
phase space method and visibility graph respectively.
The behavior of the network topological statistics can be linked to the physi-
cal state of the liquid and the underlying mechanisms. As we have mentioned
before in the case of fully developed turbulence, there exist large and small
vortices. In the jet axis region, the contribution of small, short living structures
is more pronounced leading to fast perturbation of the dynamics thus resulting
fewer connections between nodes, while as we move towards the inner region
and the boundary region the contribution of large structures is more impor-
tant resulting longer memory connections as it is reflected on the diameter and
length properties. According to the modularity, since close to the jet axis the
action of the small vortexes created often perturbation of the system dynamics
and as a result the successive states lose connectivity, while at the boundary
where the large long living structures are predominant more states are con-
nected forming fewer communities. Summarizing, we have clearly shown that
the lowest values of diameter, average path length, modularity, and cluster-
ing coefficient were observed for the time series located at x=37.40cm and
the interpretation of these topological properties indicates that correspond to
the jet axis. It is of interest to note that using conventional hydrodynamics
methods, the position of the jet axis was estimated by an exponential fit at
72
x=37.75cm. Figure 11 shows the difference between the average temperature
and the temperature of ambient fluid with fitting a Gaussian (normal distri-
bution) curve.
Fig. 11. Diferrence between average temperature and the temperature of ambient
fluid.
The average degree profile of each network constructed by visibility graph is
displayed in Fig. 12. The average degree of a network is the average of the
degrees over all nodes in the network. Due to the mechanism of transforming
a time series into a network by phase space method,12 the resulting average
degree is stable equal 2k.
Fig. 12. Average degree of the networks along the horizontal axis.
As we clearly observe, the profile of average degree is quite symmetrical. Close
73
to the boundary (except for the location x=32.40cm on the left and the region
x= 42.50-46.50cm on the right, which lies outside the turbulence trajectories
and in fact corresponds to ambient water) degree takes high values. As we
move from the boundary towards the inner region, its value decreases and
takes the lowest value at x= 37.40cm.
6. Conclusions
In the present study we have provided a first attempt in the study turbulent
jet flows, to distinguish the region near jet axis from those near the boundary
(ambient water) and the one in between, based on temperature time series
analysis through complex network analysis and non-conventional statistical
methods. We focused to identify the corresponding jet axis as well as fur-
ther distinguishing the various region of the flow from the point of view of
their dynamical behavior. In contrast to several previous studies the main
advantage of the method presented is that it does not require prior special-
ist hydrodynamic knowledge. We have applied the the transformation phase
space method (k nearest neighbors), proposed by Xu et al.(2008) and also the
visibility graph suggested by Lacasa et al. (2008). The mapped networks are
then analyzed from the topological properties such as degree distribution, av-
erage path length, diameter, modularity and clustering coefficient as a function
of the measurement position in the jet. We have shown that these topolog-
ical properties provide results that are in agreement with those of applied
hydrodynamics methods. It turns out that the various measures can provide
information about various regions of the jet, as well as about the location of
jet axis. We have associated this spatial variation to the different dynamical
regimes present in the flow and more specifically to the presence of small/large,
short/living vortices which are present in turbulent flows. In fact the results
suggest that the above analysis is capable of extracting information and can
be useful to identify the jet axis. More specifically, the time series near the
jet axis have considerably different range of values of topological properties
from the time series near the boundary with ambient fluid. Comparing the
performance of the two methodologies for network construction, we conclude
that the topological properties of the network have almost the same quali-
tative behavior apart perhaps the fact that in the case of the phase space
method variation of the topological properties except that of the clustering
coefficient seems to be smoother than in the case of visibility algorithm. The
proposed analysis could also be employed in the case to other spatiotemporal
phenomena and extract more complex spatiotemporal dependencies between
other physical variables too.
74
References
[1] Donges, J. F., Zou, Y., Marwan, N., & Kurths, J. (2009). Complex networks
in climate dynamics. The European Physical Journal Special Topics, 174(1),
157-179.
[2] Zou, Y., Small, M., Liu, Z., & Kurths, J. (2014). Complex network approach
to characterize the statistical features of the sunspot series. New Journal of
Physics, 16(1), 013051.
[3] Tang, J., Wang, Y., & Liu, F. (2013). Characterizing traffic time series based on
complex network theory. Physica A: Statistical Mechanics and its Applications,
392(18), 4192-4201.
[4] Xiang, R., Zhang, J., Xu, X. K., & Small, M. (2012). Multiscale characterization
of recurrence-based phase space networks constructed from time series.Chaos:
An Interdisciplinary Journal of Nonlinear Science, 22(1), 013107.
[5] Donner, R. V., Heitzig, J., Donges, J. F., Zou, Y., Marwan, N., & Kurths, J.
(2011). The geometry of chaotic dynamicsa complex network perspective.The
European Physical Journal B, 84(4), 653-672.
[6] Zhang, J., Sun, J., Luo, X., Zhang, K., Nakamura, T., & Small, M.
(2008). Characterizing pseudoperiodic time series through the complex network
approach. Physica D: Nonlinear Phenomena, 237(22), 2856-2865.
[7] Gao, Z., & Jin, N. (2009). Flow-pattern identification and nonlinear dynamics
of gas-liquid two-phase flow in complex networks. Physical Review E, 79(6),
066303.
[8] Liu, C., Zhou, W. X., & Yuan, W. K. (2010). Statistical properties of
visibility graph of energy dissipation rates in three-dimensional fully developed
turbulence. Physica A: Statistical Mechanics and its Applications, 389(13),
2675-2681.
[9] Meiling L, Xiangnan L, Aohui M, Ting L, Zhihong D (2014) Spatio-temporal
stability and abnormality of chlorophyll-a in the Northern South China Sea
during 20022012 from MODIS images using wavelet analysis. Continental Shelf
Research 75:15-27
[10] Xu, M., Guo, Y., Zhang, Y., Westerdahl, D., Mo, Y., Liang, F., & Pan, X.
(2014). Spatiotemporal analysis of particulate air pollution and ischemic heart
disease mortality in Beijing, China. Environmental Health, 13(1), 1-12.
[11] Hengl, T., Heuvelink, G. B., Tadi?, M. P., & Pebesma, E. J. (2012). Spatio-
temporal prediction of daily temperatures using time-series of MODIS LST
images. Theoretical and Applied Climatology, 107(1-2), 265-277.
[12] Guo, Y., Barnett, A. G., & Tong, S. (2013). Spatiotemporal model or time series
model for assessing city-wide temperature effects on mortality?.Environmental
research, 120, 55-62.
75
[13] Voisine, M., Thomas, L., Bor?e, J., & Rey, P. (2011). Spatio-temporal structure
and cycle to cycle variations of an in-cylinder tumbling flow. Experiments in
fluids, 50(5), 1393-1407.
[14] Bradshaw, P. (1976). Turbulence, topics in applied physics.
[15] Monin, A. S., & Yaglom, A. M. (1975). Statistical Fluid Mechanics: Mechanics
of Turbulence, vol. 2, 874 pp.
[16] Michas, S. N., & Papanicolaou, P. N. (2009). Horizontal round heated jets into
calm uniform ambient. Desalination, 248(1), 803-815.
[17] Ball, C. G., Fellouah, H., & Pollard, A. (2012). The flow field in turbulent round
free jets. Progress in Aerospace Sciences, 50, 1-26.
[18] Zhang, J., & Small, M. (2006). Complex network from pseudoperiodic time
series: Topology versus dynamics. Physical Review Letters, 96(23), 238701.
[19] Yang, Y., & Yang, H. (2008). Complex network-based time series
analysis.Physica A: Statistical Mechanics and its Applications, 387(5), 1381-
1386.
[20] Xu, X., Zhang, J., & Small, M. (2008). Superfamily phenomena and motifs of
networks induced from time series. Proceedings of the National Academy of
Sciences, 105(50), 19601-19605.
[21] Donner, R. V., Zou, Y., Donges, J. F., Marwan, N., & Kurths, J. (2010).
Recurrence networksa novel paradigm for nonlinear time series analysis.New
Journal of Physics, 12(3), 033025.
[22] Lacasa, L., Luque, B., Luque, J., & Nuno, J. C. (2009). The visibility graph:
A new method for estimating the Hurst exponent of fractional Brownian
motion.EPL (Europhysics Letters), 86(3), 30001.
[23] Barabasi, A. L., & Albert, R. (1999). Emergence of scaling in random
networks.science, 286(5439), 509-512.
[24] Watts, D. J., & Strogatz, S. H. (1998). Collective dynamics of small-
worldnetworks. nature, 393(6684), 440-442.
[25] Newman, M. E. (2006). Modularity and community structure in networks.
Proceedings of the National Academy of Sciences, 103(23), 8577-8582.
[26] Albert, R., & Barabasi, A. L. (2002), Statistical mechanics of complex networks,
Reviews of modern physics, 74(1), 47.
76
Selected papers of the 2014 International Conference
on Topology and its Applications
(2015) Pages 77–86
Department of Mathematics
University of Patras
Greece
New types of continuous functions via
Gα-open sets
S. Jafari 1
, A. Selvakumar 2
1 College of Vestsjaelland South, Herrestraede 11, 4200 Slagelse, Denmark
2 Info Institute of Engineering Coimbatore-107, Tamilnadu, India
Abstract
In this paper , we will continue the study of related irresolute functions with gα-open
sets [6]. We introduce and study the notion of completely gα-irresolute functions.
Further, we discuss the notion of gα-quotient functions and study some of their
properties.
Key words: gα-open set, gα-irresolute, completely gα-irresolute, gα-quotient.
1991 MSC: 54A05, 54D05 54D10, 54D45.
1. Introduction
The first step of generalizing closed set was done by Levine in 1970 [10].
Recently, as generalization of closed sets, the notion of gα-closed sets were
introduced and studied by R.Devi et al. [6]. Functions and of course irres-
olute functions stand amoung the most important researched points in the
whole of Mathematical Science. Crossley and Hildebrand [2] introduced the
notion of irresoluteness in 1972. Its importance is significant in various areas
of Mathematics and related sciences. In this paper, we will continue the study
of related irresolute functions with gα-open sets. We introduce and study the
notion of completely gα-irresolute functions. Further, we discuss the notion of
gα-quotient functions and study some of their properties.
All through this paper, (X, τ), (Y, σ) and (Z, η) stand for topological spaces
with no separation axioms assumed, unless otherwise stated. Let A ⊆ X,
the closure of A and the interior of A will be denoted by cl(A) and int(A)
1 jafaripersia@gmail.com
2 selvam mphil@yahoo.com
respectively. A is regular open [17] if A = int(cl(A)) and A is regular closed
[17] if its complement is regular open; equivalently A is regular closed if A =
cl(int(A)).
2. Preliminaries
We recall the following definitions, which are useful in the sequel.
Definition 2.1. A subset A of a space (X, τ) is called
1. a semi-open set [11] if A ⊆ cl(int(A)) and a semi-closed set [11] if
int(cl(A)) ⊆ A and
2. an α-open set [15] if A ⊆ int(cl(int(A))) and an α-closed set [15] if
cl(int(cl(A))) ⊆ A.
The semi-closure (resp. α-closure) of a subset A of a space (X, τ) is the inter-
section of all semi-closed (resp. α-closed) sets that contain A and is denoted
by scl(A) (resp. αcl(A)).
Definition 2.2. A subset A of a space (X, τ) is called a
1. g-closed set [21] if cl(A) ⊆ U whenever A ⊆ U and U is semi-open in
(X, τ); the complement of g-closed set is g-open set,
2. ∗
g-closed set [19] if cl(A) ⊆ U whenever A ⊆ U and U is g-open in (X, τ);
the complement of ∗
g-closed set is ∗
g-open set,
3. gs-closed set [20] if scl(A) ⊆ U whenever A ⊆ U and U is ∗
g-open in
(X, τ); the complement of gs-closed set is gs-open set and
4. gα-closed set [6] if αcl(A) ⊆ U whenever A ⊆ U and U is gs-open in
(X, τ); the complement of gα-closed set is gα-open set.
For a topological space (X, τ), RO(X) (resp. RC(X), GαO(X)) denotes the
class of all regular open (resp. regular closed, gs-open) subsets of (X, τ).
Definition 2.3. A function f : (X, τ) → (Y, σ) is called
1. strongly continuous [12] if f−1
(V ) is both open and closed in (X, τ) for
every subset V of (Y, σ),
2. completely continuous [1] if f−1
(V ) is regular open in (X, τ) for every
open set V of (Y, σ),
3. gα-continuous [5] if f−1
(V ) is gα-closed in (X, τ) for every closed set V
of (Y, σ),
4. gα-irresolute [5] if f−1
(V ) is gα-closed in (X, τ) for every gα-closed set
V of (Y, σ),
5. gα-open [5] if f(V ) is gα-open in (Y, σ) for every open set V of (X, τ),
6. gα-closed [5] if f(V ) is gα-closed in (Y, σ) for every closed set V of (X, τ)
and
78
7. quasi gα-open [3] if f(V ) is open in (Y, σ) for every gα-open set V of
(X, τ).
3. Completely gα-irresolute functions
Definition 3.1. A function f : (X, τ) → (Y, σ) is called completely gα-
irresolute if the inverse image of each gα-open subset of Y is regular open in
X.
Theorem 3.2.
(a) Every strongly continuous function is completely gα-irresolute.
(b) Every completely gα-irresolute function is gα-irresolute and hence gα-
continuous.
Proof. It follows from the definitions.
The converse of the above Theorem need not be true in general as seen from
the following examples.
Example 3.3.
(a) Let X = {a, b, c} = Y , τ = {X, φ, {b}, {b, c}} and
σ = {Y, φ, {a}, {a, b}, {a, c}}.
Define a function f : (X, τ) → (Y, σ) by f(a) = c, f(b) = a and f(c) = b.
Clearly, f is completely gα-irresolute but not strongly continuous.
(b) Let X = {a, b, c} = Y , τ = {X, φ, {a}, {b}, {a, b}} and σ = {Y, φ, {a, b}}.
Define an identity function f : (X, τ) → (Y, σ). Clearly, f is gα-irresolute
but not completely gα-irresolute.
Theorem 3.4. If a function f : (X, τ) → (Y, σ) is completely gα-irresolute
then f−1
(F) is regular closed in X for every gα-closed set F of Y .
Proof. Let F be any gα-closed set of Y . Then Y/f ∈ GαO(Y ). By hypothesis,
f−1
(Y/F) = X/f−1
(F) ∈ RO(X). We have f−1
(F) ∈ RC(X).
Converse is similar.
Lemma 3.5. [13] Let S be an open subset of a space (X, τ). Then the following
hold:
(i) If U is regular open in X, then so is U ∩ S in the subspace (S, τS).
(ii) If B ⊂ S is regular open in (S, τS), then there exists a regular open set
U in (X, τ) such that B = U ∩ S.
79
Theorem 3.6. If f : (X, τ) → (Y, σ) is a completely gα-irresolute function
and A is any open subset of X, then the restriction f/A : A → Y is completely
gα-irresolute.
Proof. Let F be a gα-open subset of Y . By hypothesis, f−1
(F) is regular open
in X. Since A is open in X, it follows from Lemma 3.5 that (f/A)−1
(F) =
A ∩ f−1
(F), which is regular open in A. Therefore, f/A is completely gα-
irresolute.
Definition 3.7. [4] A topological space X is said to be gα-normal if each pair
of non-empty disjoint closed sets can be separated by disjoint gα-open sets.
Theorem 3.8. If f : (X, τ) → (Y, σ) is completely gα-irresolute, gα-closed
surjection and X is gα-normal, then Y is gα-normal.
Proof. Let F1 and F2 be any distinct gα-closed sets of Y . Since f is completely
gα-irresolute, f−1
(F1) and f−1
(F2) are disjoint gα-closed sets of X. By gα-
normal of X, there exist U1, U2 ∈ GαO(X) such that f−1
(F1) ⊂ U1 and
f−1
(F2) ⊂ U2 and U1 ∩ U2 = φ. Let Vi = Y − f(X − Ui) for i = 1, 2. Since f
is gα-closed, the sets V1, V2 are gα-open in Y and Fi ⊂ Vi for i = 1, 2. Since
U1 and U2 are disjoint and f−1
(Fi) ⊂ Ui for i = 1, 2, we obtain V1 ∩ V2 = φ.
This shows that Y is gα-normal.
Definition 3.9. A space X is said to be almost connected [8] (resp. gα-
connected [4]) if there does not exist disjoint regular open (resp. gα-open)
sets A and B such that A ∪ B = X.
Theorem 3.10. If f : (X, τ) → (Y, σ) is completely gα-irresolute surjective
function and X is almost connected, then Y is gα-connected.
Proof. Suppose that Y is not gα-connected. Then there exists disjoint gα-
open sets A and B of Y such that A ∪ B = Y . Since f is completely gα-
irresolute surjective, f−1
(A) and f−1
(B) are regular open sets in X. Moreover,
f−1
(A)∪f−1
(B) = X, f−1
(A) = φ and f−1
(B) = φ. This shows that X is not
almost connected, which is contradiction to the assumption that X is almost
connected. By contradiction, Y is gα-connected.
Definition 3.11. A space (X, τ) is said to be gα-T1 [4] (resp. r-T1 [8]) if for
each pair of distinct points x and y of X, there exist gα-open (resp. regular
open) sets U1 and U2 such that x ∈ U1 and y ∈ U2, x /∈ U2 and y /∈ U1.
Theorem 3.12. If f : (X, τ) → (Y, σ) is completely gα-irresolute injective
function and Y is gα-T1, then X is r-T1.
Proof. Suppose that Y is gα-T1. For any two distinct points x and y of X,
there exist gα-open sets F1 and F2 in Y such that f(x) ∈ F1, f(y) ∈ F2, f(x) /∈
F2 and f(y) /∈ F1. Since f is injective completely gα-irresolute function, we
have X is r-T1.
80
Definition 3.13. A space (X, τ) is said to be gα-T2 [4] for each pair of distinct
points x and y in X, there exist distinct gα-open set A and B in X such that
x ∈ A and y ∈ B.
Theorem 3.14. If f : (X, τ) → (Y, σ) is completely gα-irresolute injective
function and Y is gα-T2, then X is T2.
Proof. Similar to the proof of Theorem 3.12.
Definition 3.15. A space X is said to be
(i) Nearly compact [16] if every regular open cover of X has a finite subcover.
(ii) Nearly countably compact [9] if every countable cover by regular open
sets has a finite subcover.
(iii) Nearly Lindelof [8] if every cover of X by regular open sets has a countable
subcover.
(iv) gα-compact if every gα-open cover of X has a finite subcover.
(v) countably gα-compact if every gα-open countable cover of X has a finite
subcover.
(vi) gα-Lindelof if every cover of X by gα-open sets has a countable subcover.
Theorem 3.16. If f : (X, τ) → (Y, σ) is completely gα-irresolute surjective
function. Then the following statements hold:
(i) If X is nearly compact, then Y is gα-compact
(ii) If X is nearly Lindelof, then Y is gα-Lindelof
(i) If X is nearly countably compact, then Y is countably gα-compact
Proof. (i) Let f : (X, τ) → (Y, σ) be a completely gα-irresolute function of
nearly compact space X onto a space Y . Let {Uα : α ∈ ∆} be any gα-open
cover of Y . Then, {f−1
(Uα) : α ∈ ∆} is a regular open cover of X. Since X
is nearly compact, there exists a finite subfamily, {f−1
(Uαi
)/i = 1, 2, ....n} of
{f−1
(Uα) : α ∈ ∆} which cover X. It follows that {Uαi
: i = 1, 2, ..n} is a finite
subfamily of {Uα : α ∈ ∆} which cover Y . Hence, space Y is a gα-compact.
The proof of other cases are similar.
Definition 3.17. A space (X, τ) is said to be:
(i) S-closed [18] (resp. gα-closed compact) if every regular closed (resp. gα-
closed) cover of X has a finite subcover.
(ii) countably S-closed compact [7] (resp. countably gα-closed compact) if
every countable cover of X by regular closed (resp. gα-closed) sets has a
finite subcover.
(iii) S-Lindelof [14] (resp. gα-closed Lindelof) if every cover of X by regular
closed (resp. gα-closed) sets has a countable subcover.
Theorem 3.18. Let f : (X, τ) → (Y, σ) be a completely gα-irresolute surjec-
tive function. Then the following statements hold:
(i) If X is S-closed, then Y is gα-closed compact
81
(ii) If X is S-Lindelof, then Y is gα-closed Lindelof
(iii) If X is countably S-closed-compact, then Y is countably gα-closed com-
pact
Proof. It can be obtained similarly as the Theorem 3.16.
Theorem 3.19. The following hold for function f : (X, τ) → (Y, σ) and
g : (Y, σ) → (Z, η).
(i) If f is completely gα-irresolute and g is strongly gα-continuous, then g◦f
is completely continuous.
(ii) If f is completely gα-irresolute and g is gα-irresolute, then g ◦ f is com-
pletely gα-irresolute.
(iii) If f is completely continuous and g is completely gα-irresolute functions,
then g ◦ f is completely gα-irresolute.
Proof. It is obvious.
4. Gα-Quotient function
Definition 4.1. A surjective function f : (X, τ) → (Y, σ) is said to be a
gα-quotient function if f is gα-continuous and gα-open.
Theorem 4.2. Every quotient function is gα-quotient function.
Proof. Follows from the definitions.
The following example shows that gα-quotient function need not be a quotient
function in general.
Example 4.3. Let X = {a, b, c} = Y , τ = {X, φ, {a}, {b}, {a, b}} and σ =
{Y, φ, {a, b}}. Clearly, the identity function f : (X, τ) → (Y, σ) is gα-quotient
but not quotient function.
Theorem 4.4. Let f : (X, τ) → (Y, σ) be an open surjective gα-irresolute
function and g : (Y, σ) → (Z, η) be a gα-quotient function. Then the compo-
sition g ◦ f : (X, τ) → (Z, η) is a gα-quotient function.
Proof. Let V be any open set in (Z, η). Then g−1
(V ) is a gα-open set, since g
is a gα-quotient function. Since f is gα-irresolute, f−1
(g−1
(V )) = (g ◦f)−1
(V )
is a gα-open in X. This shows that g ◦ f is gα-continuous. Also, assume that
V is open in (X, τ). Since f is open in (Y, σ). Then g(f(V )) is also open in
(Z, η), because g is gα-quotient function. It follows that (g ◦ f)(V ) is open in
(Z, η). Therefore, (g ◦ f)(V ) is gα-open in (Z, η). Thus, (g ◦ f) is gα-quotient
function.
Theorem 4.5. If h : (X, τ) → (Y, σ) is a gα-quotient function and g :
82
(X, τ) → (Z, η)is a continuous function where (Z, η) is a space that is con-
stant on each set h−1
({y}), for y ∈ Y , then g induces a gα-continuous function
f : (Y, σ) → (Z, η) such that f ◦ h = g.
Proof. Since g is constant on h−1
({y}), for each y ∈ Y , the set g(h−1
({y}))
is a point set in (Z, η). Let f(y) denote this point x ∈ X, f(h(x)) = g(x). We
claim that f is gα-continuous. Let V be any open set on (Z, η), then g−1
(V ) is
open, as g is continuous. But g−1
(V ) = h−1
(f−1
(V )) is open in (X, τ). Since
h is a gα-quotient function, f(V ) is gα-open in Y .
Definition 4.6. A surjective function f : (X, τ) → (Y, σ) is said to be a
strongly gα-quotient function if f is gα-continuous and quasi gα-open.
Theorem 4.7. Every strongly gα-quotient function is gα-quotient function.
Proof. It follows from the definitions.
The converse of the above Theorem need not be true by the following example.
Example 4.8. Let X = {a, b, c} = Y , τ = {X, φ, {a}, {b}, {a, b}} and σ =
{Y, φ, {a, b}}. Clearly, the identity function f : (X, τ) → (Y, σ) is gα-quotient
but not strongly gα-quotient function.
Definition 4.9. A function f : (X, τ) → (Y, σ) is called a completely gα-
quotient function if f is gα-irresolute and quasi gα-open.
Theorem 4.10. Every completely gα-quotient function is strongly gα-quotient
function.
Proof. Suppose V is an open set in Y , then it is a gα-open in Y . Since f is
gα-irresolute, f−1
(V ) is a gα-open in X. Thus V is open in Y gives f−1
(V )
is a gα-open set in X. Suppose f−1
(V ) is a gα-open set in X. Since f is
a completely gα-quotient function, V is open set in Y . Hence, f is strongly
gα-quotient function.
Definition 4.11. A function f : (X, τ) → (Y, σ) is called a pre gα-open [4] if
the image of every gα-open set in X is an gα-open in Y .
Theorem 4.12. Let f : (X, τ) → (Y, σ) be a surjective pre gα-open and
gα-irresolute function and g : (Y, σ) → (Z, η) be a completely gα-quotient
function. Then g ◦ f is completely gα-quotient function.
Proof. Let V be a gα-open set in Z. Then g−1
(V ) is a gα-open in Y because
g is a completely gα-quotient function. We claim that g ◦ f is gα-irresolute.
Since f is gα-irresolute, f−1
(g−1
(V )) is a gα-open set in X, that is g ◦ f is
gα-irresolute. Suppose V be a gα-open set in X. Since f is pre gα-open , f(V )
is a gα-open in Y . Since g is completely gα-quotient function, g(f(V )) is open
in Z. Therefore, (g◦f)(V ) is open in Z. Hence, g◦f is completely gα-quotient
function.
83
Theorem 4.13. Let f : (X, τ) → (Y, σ) be a completely gα-quotient func-
tion and g : (Y, σ) → (Z, η) be a gα-irresolute, quasi gα-open, then g ◦ f is
completely gα-quotient function.
Proof. Let V be a gα-open set in Z. Then g−1
(V ) is a gα-open in Y ,
f−1
(g−1
(V )) is a gα-open set in X. Hence g ◦ f is gα-irresolute. Assume that
V be a gα-open in X. Since f is completely gα-quotient, f(V ) is open in Y .
Implies that f(V ) is gα-open in Y . Then g(f(V )) is open in Z. Therefore,
g ◦ f is completely gα-quotient function.
Corollary 4.14. Let f : (X, τ) → (Y, σ) be a strongly gα-quotient function
and g : (Y, σ) → (Z, η) be a strongly gα-quotient, then g ◦ f is strongly
gα-quotient function.
Proof. It follows from the Theorem 4.13.
Theorem 4.15. If f : (X, τ) → (Y, σ) be gα-quotient surjective function and
X is gα-connected (resp. Y is gα-connected), then Y is connected (resp. X is
connected).
Proof. Suppose that Y is not connected. Then there exist disjoint open sets A
and B of Y such that A∪B = Y . Since f is gα-quotient surjective, f−1
(A) and
f−1
(B) are gα-open sets in X. Moreover, f−1
(A) ∩ f−1
(B) = X, f−1
(A) = φ
and f−1
(B) = φ. This shows that X is not gα-connected, which is a con-
tradiction to the assumption that X is gα-connected. By contradiction, Y is
connected.
Theorem 4.16. If f : (X, τ) → (Y, σ) is completely gα-quotient surjective
function and X is gα-connected (resp. Y is connected), then Y is gα-connected
(resp. X is gα-connected).
Proof. Suppose that Y is not gα-connected. Then there exist disjoint gα-
open sets A and B of Y such that A ∪ B = Y . Since f is completely gα-
quotient surjective, f−1
(A) and f−1
(B) are gα-open sets in X. Moreover,
f−1
(A) ∩ f−1
(B) = X, f−1
(A) = φ and f−1
(B) = φ. This shows that X
is not gα-connected, which is a contradiction to the assumption that X is
gα-connected. By contradiction, Y is gα-connected.
Theorem 4.17. If f : (X, τ) → (Y, σ) is strongly gα-quotient surjective
function and X is gα-connected (resp. Y is connected), then Y is connected
(resp. X is gα-connected).
Proof. Suppose that Y is not connected. Then there exist disjoint open sets
A and B of Y such that A∪B = Y . Since f is strongly gα-quotient surjective
function, f−1
(A) and f−1
(B) are gα-open sets in X. Moreover, f−1
(A) ∩
f−1
(B) = X, f−1
(A) = φ and f−1
(B) = φ. This shows that X is not gα-
connected, which is a contradiction to the assumption that X is gα-connected.
By contradiction, Y is connected.
84
References
[1] S. P. Arya and R. Gupta, On strongly continuous maps, Kyungpook Math. J.,
14 (1974), 131–143.
[2] S. G. Crossley and S. K. Hildebrand, Semi Topological properties, Fund. Math.,
74 (1972), 233–254.
[3] R. Devi and A. Selvakumar, Quasi gα-open function, (submitted).
[4] R. Devi, A. Selvakumar and M. Caldas, Contra gα-continuous functions,
(submitted).
[5] R. Devi, A. Selvakumar and S. Jafari, Applications of gα-closed sets,
(submitted).
[6] R. Devi, A. Selvakumar and S. Jafari, gα-closed sets in topological spaces,
(submitted).
[7] K. Dlaska, N. Ergun and M. Ganster, Countable S-closed spaces, Math. Slovaca,
44 (1994), 337–348.
[8] E. Ekici, Generalization of perfectly continuous, Regular set-connected and
clopen functions, Acta Math. Hungar., 107 (3)(2005), 193–206.
[9] N. Ergun, On nearly paracompact spaces, Intanbul. Univ. Fen. Mec. Ser. A, 45
(1980), 65–87.
[10] N. Levine, Generalized closed sets in topology, Rend. Circ. Mat. Palermo, 19
(1970), 89–96.
[11] N. Levine, Semi-open sets and semi-continuity in topological spaces, Amer.
Math. Monthly, 70 (1963), 36–41.
[12] N. Levine, Strong continuity in topological spaces, Amer. Math. Monthly, 67
(1960), 269.
[13] P. E. Long and L. L. Herrington, Basic properties of regular-closed functions,
Rend. Circ. Mat. Palermo, 27 (1978), 20–28.
[14] G. D. Maio, S-closed spaces, S-sets and S-continuous functions, Acad. Sci.
Torino, 118 (1984), 125–134.
[15] O. Njastad, On some classes of nearly open sets, Pacific J. Math., 15(1965),
961–970.
[16] T. Noiri and G. D. Maio, Properties of α-compact spaces, Rend. Circ. Mat.
Palermo. Ser(II), (1998), 359–369.
[17] M. H. Stone, Applications of the theory Boolean rings to general topology, Trans.
Amer. Math. Soc., 41 (1937), 375–381.
[18] T. Thomson, S-closed spaces, Proc. Amer. Math. Soc., 60 (1976), 335–338.
85
[19] M.K.R.S. Veera kumar, Between g∗-closed sets and g-closed sets, Antartica J.
Math., 3(1)(2006), 43–65.
[20] M.K.R.S. Veera kumar, g-semi-closed sets in topological spaces, Antartica J.
Math., 2:2(2005), 201–222.
[21] M.K.R.S. Veera Kumar, g-locally closed sets and GLC-functions, Indian J.
Math., 43(2)(2001), 231–247.
86
Selected papers of the 2014 International Conference
on Topology and its Applications
(2015) Pages 87–95
Department of Mathematics
University of Patras
Greece
Vegetable price time series analysis using
complex networks
S. Karakasidou 1
, L. Zachilas 2
1Department of Economics, University of Thessaly, 38333 Volos, Greece,
Central Market of Thessaloniki, Thessaloniki, Greece
2Department of Economics, University of Thessaly, 38333 Volos, Greece
Abstract
In the present paper we investigate the method of transforming time series to com-
plex networks, by analyzing several time series of vegetable prices taken from the
Central Market of Thessaloniki, Greece. An hierarchical clustering procedure was
employed for the classification of the resulting network topological properties. The
results seem promising for the classification of large number of vegetable prices
based on their corresponding time series.
Key words: Time series analysis, complex networks.
1. Introduction
Time series analysis play an important role in understanding the behavior
of dynamical systems in a large variety of scientific domains such as physics,
economics, biology and mechanics. The majority of methods supposes a linear
behavior for the underlying system as well as the presence of stochastic noise.
Such methods include autocorrelation function and power spectrum which
have been proved quite efficient. However, they present limitations since they
cannot detect non-linear correlations or dynamics in the behavior of the system
under investigation.
In order to identify non-linear behavior and in some cases chaotic behavior
there are several methods that have been proposed. Several such methods are
based on phase space reconstruction and they include calculation of correla-
tion dimension, mutual information [1], recurrence plots [2] and recurrence
1 sofkarak@otenet.gr
2 zachilas@uth.gr
quantification analysis [3,4]. Such methods have been used in the analysis of
systems, such as proteins [5,6], economics [7–9] and in molecular systems [10].
Recently a new concept of transformation of time series to complex networks
has been introduced. In this frame a time series is mapped into a network
and then the resulting network is analyzed in terms of topological concepts
of complex networks. The network based analysis have been applied in many
disciplines such as biology, sociology, physics, climatology and neurosciences
[11–17]. Using this methodology different aspect of the dynamics of the time
series can be associated with the topological indices of the network and it
is shown how network properties can be employed to distinguish different
dynamical regimes. Zhang and Small [18] proposed a transformation from
pseudoperiodic time series to complex network. The pseudoperiodic time series
is approximately divided into many cycles. Each cycle is treated as a node and
the connection between two nodes can be established if the distance between
them is less than a given threshold. Yang and Yang [19] used linear correlation
coefficient as a connectivity criterion. Xu et al. [20] proposed a method based
on embedding the time series into an appropriate phase space and taking each
phase space point as a node in the network. Lacasa et al. [21] introduced
another approach of transformation of time series into a network based on the
visibility of the nodes. According to this method each point in the time series
is considered as a node in the network, and two nodes connect each other,
if the connecting straight line does not pass through any other point. In our
case, we adopted the method of Lacasa et al. [21], since several studies [17]
indicate that it works very well, while being easier to apply and it demands
less computational power. Further details about the method are presented in
the methodology section along with discussion about topological properties.
In the present paper we use the method of transforming the vegetable time
series to complex network. In a first approach we focused on specific group
products in order to investigate the future use for automatic classification
of large number of products in the future. In Section 2 we present the data
that have been used in the present work. In Section 3 the methodology is
analyzed. In Section 4 we present the results, while in Section 5 we present
the conclusions of our work.
2. Data
The data come from the Central Market of Thessaloniki, Greece and deal
with the following products 1) pair of cucumbers 2) dill/parsley (small bunch)
3) leeks 4) rocket (small bunch) 5) salads 6) celery 7) garlic 8) spinach 9)
tomatoes, for a two years period (2008-2009). In Fig. 1 representative time
series are presented.
88
cucumber dill/parsley
leeks celery
Fig. 1. Representative vegetable prices time series.
3. Methodology
In order to construct a network from a time series one has to define nodes
and edges of the corresponding network. Several studies demonstrate that
distinct features of a time series can be mapped onto networks with distinct
topological characteristics. The visibility algorithm, proposed by Lacasa et al.
[21] maps time series to its visibility graph. Each node of the visibility graph
corresponds to a point of time series. Suppose a time series x(ti) i = 1, . . . , N
of N data. Two vertices x(ti) and x(tj) in the time series have visibility and
consequently become two connected nodes in the associated graph, if any other
data (tk, x(tk
)) placed between them (ti < tk < tj) fulfills (eq.1)
. . . x(tk) < x(ti) + (x(tj) − x(ti))
tk − ti
tj − ti
. . . (1)
89
The order of the nodes in the network is the same as the order of sample times
in the time series.
Below we briefly describe the main topological measures which have been ap-
plied such as average path length, diameter, modularity, and clustering coeffi-
cient. An undirected complex network of a set of N = (n1, n2, . . . , nN ) nodes
or vertices and a set of E = (e1, e2, . . . , eN ) edges or links can be regarded
as a graph G = (N, E). The structure of the network can be represented by
N × N adjacency matrix A = [aij] where aij = 1 if the vertex i is connected
to vertex j and aij = 0 otherwise. The degree of a node i, ki, is the number
of edges that it shares with other nodes [22]. For undirected networks it can
be calculated as
ki =
j
aij (2)
and the average degree of a network is the average of degrees over all nodes
< k >=
1
N i
ki =
1
N ij
aij (3)
For a network, the number of edges in a path connecting vertices i and j is
called the length of the path. The distance dij between nodes i, j is the length
of the shortest path connecting nodes i, j. The largest of the shortest path
distances between any pair of nodes is called diameter D of a network and
the average distance < di,j > is the average distance of a network connecting
any pair of points i, j. The average path length or characteristic path length is
defined as the average number of edges along the shortest paths for all possible
nodes in the network [23]
D = maxi,jdi,j (4)
< di,j >=
1
N(N − 1) i,j
di,j (5)
The clustering coefficient [23] of a network shows a local connectivity among
any three nodes in the network and for a node i and is defined as
ci =
2ei
ki(ki − 1)
(6)
where ki is the number of neighbors of i and ei is the number of connected pairs
between all neighbors of i. The clustering coefficient C of the whole network
is the average all individual ci and it is defined as
C =< ci >=
1
N i
ci (7)
The clustering coefficient of a node is always a number between 0 and 1. There-
fore, the local clustering coefficient measures the probability of the neighbors
of a node i being connected, which is the probability that first step neighbors
90
of a node i (called friends of the node i) are connected directly to each other.
Clustering coefficient expresses the extent to which neighbors of a node are
neighbors of each other.
Modularity of a network is a measure of the structure of a complex network
for detecting communities/clusters within a network and it was introduced in
[24]. A high modularity value indicates a strong division of a network into
groups/clusters. Suppose we have a network with n vertices. Let si = 1 if
the vertex i belongs to group 1 and si = −1 if it belongs to group 2. The
modularity Q is defined as:
Q =
1
4m ij
(Aij −
kikj
2m
)sisj (8)
where Aij is the number of edges between vertices i and j (normally Aij is 0
or 1, so-called adjacency matrix), kikj/2m is the expected number of edges
between vertices i and j if edges are placed at random, where ki and kj are the
degrees of the vertices and is the total number of edges in the network. Net-
works with high modularity present dense connections between their nodes.
A closely connected community in general signifies a faster information trans-
mission.
In order to find similarities between the various products we used a clustering
procedure. In the present study we used hierarchical clustering since it permits
the classification of data into categories without any a priori assumptions
about the number of classes.
4. Results and Discussion
In the present study we analysed nine vegetable price time series for a two
year period. Representative networks resulting from the data are presented in
Fig.2 where we can see that two different time series present different complex
dynamic structure representing the different dynamical behavior as can be
estimated from the behavior of the corresponding time series (Fig.1). As we can
see two time series present different network structures. The cucumber time
series presents two large subgroups with smaller communities within it (larger
modularity value)while the celery time series seems to present more distinct
communities (lower modularity value). The resulting topological properties for
the various products are presented in Table 1. The behavior of the network
topological statistics can be linked to the behavior of the corresponding time
series. We can see that dill, leeks and especially garlic present large diameter
values indicating long paths i.e. correlations between values.
91
Fig. 2. Resulting networks from time series (top: cucumbers, bottom: celery).
Table 1. Topological properties of the transformed networks for each time
series.
Degree Diameter Modularity Clustering coefficient
cucumbers 10.803 6 0.680 0.755
dill/parsley 10.227 15 0.539 0.767
leeks 7.858 20 0.629 0.816
rocket 11.732 5 0.409 0.792
salads 11.359 10 0.673 0.755
celery 9.700 6 0.512 0.818
garlic 7.440 63 0.515 0.744
spinach 13.509 5 0.625 0.748
tomatoes 11.176 8 0.662 0.722
92
For the classification we used the topological measures of the resulting net-
works (Table 1). The clustering results are presented in Fig.3. We can see the
formation of several groups. The first group that appears is the garlic time
series. Then we distinguish the rocket time series while a group is formed from
the celery and dill/persil. Then the next groups that we can distinguish are
leeks, spinach and tomatoes. In the last group that was formed we can see
salads and cucumber from the corresponding graphs of the respective time
series. The results are in agreement with results of previous analysis based on
RP analysis [9].
Fig. 3. Hierarchical clustering results based on topological properties of the resulting
networks.
5. Conclusions
The use of non linear tools of analyis like the transformation of time series
to complex networks is particular useful for extracting qualitative conclusions
about the product price variation. The clustering procedure indicates charac-
teristics of their dynamics. Further analysis is in progress for the validation
of the method. This methodology can be extended to larger quantity of data
with extended time duration and number of products.
93
References
[1] Kantz H. and Schreiber T. (2003). Nonlinear Time Series Analysis, 2nd edition,
Cambridge.
[2] Eckmann J.-P., Kamphorst S. O. and Ruelle D. (1987). Recurrence plots of
dynamical systems. Europhysics Letters, 4, 973-977.
[3] Zbilut, J.P., Webber, C.L., Jr. (1992). Embeddings and delays as derived from
quantification of recurrence plots, Physics Letters A, 171, 199-203.
[4] Trulla L.L., Giuliani A., Zbilut J. and Webber, C.L. Jr. (1996). Recurrence
quantification analysis of the logistic equation with transients. Physics Letters
A, 223, 255-260.
[5] Zbilut, J. P., Giuliani, A., Colosimo, A., Mitchell, J. C., Colafranceschi,
M., Marwan, N., Webber Jr.,C.L. and Uversky, V.N. (2004). Charge and
hydrophobicity patterning along the sequence predicts the folding mechanism
and aggregation of proteins: A computational approach. J. Proteome Res., 3,
1243-1253.
[6] Giuliani, A., Benigni, R., Zbilut, J. P., Webber Jr., C. L., Sirabella, P. and
Colosimo, A. (2002). onlinear signal analysis methods in the elucidation of
protein sequence-structure relationships. Chem. Rev., 102, 1471-1491.
[7] Strozzi, F., Zaldiovar, J.-M. and Zbilut, J. P. (2002). Application of nonlinear
time series analysis techniques to high-frequency currency exchange data.
Physica A, 312, 520-538.
[8] Fabretti, A. and Ausloos, M. (2005). Recurrence plot and recurrence
quantification analysis techniques for detecting a critical regime. Examples from
financial market indices. Int. J. Mod. Phys. C, 16, 671-706.
[9] Karakasidou S. (2013). Non-linear analysis of vegetable time seriesQ application
on the Central Market of Thessaloniki S.A., Proceddings oth the 26th
Panhellenic Statisics Conference (2013), pp.98-107 (in greek)
[10] Karakasidis T. E., Fragkou A, Liakopoulos A. (2007). System dynamics revealed
by recurrence quantification analysis: Application to molecular dynamics
simulations. Physical Review E, 76, 021120.
[11] Donges, J. F., Zou, Y., Marwan, N., & Kurths, J. (2009). Complex networks
in climate dynamics. The European Physical Journal Special Topics, 174(1),
157-179.
[12] Zou, Y., Small, M., Liu, Z., & Kurths, J. (2014). Complex network approach
to characterize the statistical features of the sunspot series. New Journal of
Physics, 16(1), 013051.
[13] Tang, J., Wang, Y., & Liu, F. (2013). Characterizing traffic time series based on
complex network theory. Physica A: Statistical Mechanics and its Applications,
392(18), 4192-4201.
94
[14] Xiang, R., Zhang, J., Xu, X. K., & Small, M. (2012). Multiscale characterization
of recurrence-based phase space networks constructed from time series.Chaos:
An Interdisciplinary Journal of Nonlinear Science, 22(1), 013107.
[15] Donner, R. V., Heitzig, J., Donges, J. F., Zou, Y., Marwan, N., & Kurths, J.
(2011). The geometry of chaotic dynamicsa complex network perspective.The
European Physical Journal B, 84(4), 653-672.
[16] Zhang, J., Sun, J., Luo, X., Zhang, K., Nakamura, T., & Small, M.
(2008). Characterizing pseudoperiodic time series through the complex network
approach. Physica D: Nonlinear Phenomena, 237(22), 2856-2865.
[17] Charakopoulos, A. K., Karakasidis, T. E., Papanicolaou, P. N., & Liakopoulos,
A. (2014). The application of complex network time series analysis in turbulent
heated jets. Chaos: An Interdisciplinary Journal of Nonlinear Science, 24(2),
024408.
[18] Zhang, J., & Small, M. (2006). Complex network from pseudoperiodic time
series: Topology versus dynamics. Physical Review Letters, 96(23), 238701.
[19] Yang, Y., & Yang, H. (2008). Complex network-based time series
analysis.Physica A: Statistical Mechanics and its Applications, 387(5), 1381-
1386.
[20] Xu, X., Zhang, J., & Small, M. (2008). Superfamily phenomena and motifs of
networks induced from time series. Proceedings of the National Academy of
Sciences, 105(50), 19601-19605.
[21] Lacasa, L., Luque, B., Luque, J., & Nuno, J. C. (2009). The visibility graph:
A new method for estimating the Hurst exponent of fractional Brownian
motion.EPL (Europhysics Letters), 86(3), 30001.
[22] Barabasi, A. L., & Albert, R. (1999). Emergence of scaling in random
networks.science, 286(5439), 509-512.
[23] Watts, D. J., & Strogatz, S. H. (1998). Collective dynamics of small-
worldnetworks. nature, 393(6684), 440-442.
[24] Newman, M. E. (2006). Modularity and community structure in networks.
Proceedings of the National Academy of Sciences, 103(23), 8577-8582.
[25] Albert, R., & Barabasi, A. L. (2002), Statistical mechanics of complex networks,
Reviews of modern physics, 74(1), 47.
95
Selected papers of the 2014 International Conference
on Topology and its Applications
(2015) Pages 96–105
Department of Mathematics
University of Patras
Greece
Quasi-Uniformities on Function Spaces
Generated by Atoms: Remarks and Questions
Angeliki Kontolatou 1
, Kyriakos Papadopoulos 2
,
John Stabakis 3
1,3 University of Patras, Department of Mathematics, Greece
2 American University of the Middle East, Kuwait
Abstract
Let F(X, Y ) be the function space which consists of all functions from X to Y ,
where X and Y are arbitrary non-empty sets. Assume that A is a transitive atom
in the lattice of quasi uniformities on Y , equipped with the partial order relation
of inclusion. This type of quasi uniformities is known from the work of E.P de
Jager and H.P. K¨unzi. The aim of this article is to present remarks and questions
on quasi-uniformities on function spaces F(X, Y ), that are generated by atoms.
We observe that, although this type of quasi-uniformities can be easily defined,
the corresponding topologies do not behave well with respect to the well-known
exponential laws. These quasi-uniformities will not necessarily be atoms, thus we
state the following problem: how can one define a correspondence between the atoms
of the lattice of quasi-uniformities, and those atoms that are in the lattice of all
quasi-uniformities on Y , in the function space F(X, Y )?
Key words: Quasi-uniformities, function spaces, atoms.
1991 MSC: Primary 54X10, 58Y30; Secondary 55Z10.
1. Introduction
In this section we present some fundamental definitions and results about
quasi-uniformities and function spaces, that are important to the rest of the
paper. This brief exposition is based on material found in [3].
Definition 1.1. A quasi-uniformity on a set X is a filter U, on X × X, such
that:
2 kyriakos.papadopoulos1981@gmail.com
(U1) If U ∈ U, then U ⊇ ∆, where ∆ is the diagonal of U.
(U2) If U ∈ U, then there exists V ∈ U, such that V ◦ V ⊆ U.
The pair (X, U) is called a quasi-uniform space and the members of U are
called entourages.
Definition 1.2. A non-zero subfamily B, of a quasi-uniformity U, is a base
for U, on X, if and only if every member of U contains a member of B.
It can be easily shown, from the definition of quasi-uniformity, that B is a
base for U, if and only if (U1) and (U2) are satisfied, plus the property (F2)
of filters, which states that for every two elements which belong to a filter (B
in our case), their intersection belongs to the filter, too.
Definition 1.3. A collection S of subsets of X × X is a subbase for a (quasi-)
uniformity U, on X, if and only if the family of the finite intersections of the
members of S is a base for U.
It can be also easily shown, again from the definition of quasi-uniformity, that
S is a subbase for U, if and only if (U1) and (U2) are satisfied.
From now on the set of all quasi-uniformities on X will be denoted by q(X),
and q(X), ⊆ will be considered a complete lattice (see for example [3]).
2. Quasi-Uniformities on Function Spaces
The authors of articles [5], [6], [7], [8] and [9] have studied quasi-uniformities
on function spaces in depth.
We can define a (quasi-)uniformity on a function space F(X, Y ), in the fol-
lowing way:
Definition 2.1. Let X be a set and (Y, V) a (quasi-)uniform space. Then,
S = {(S, V ) : S ⊆ P(X), V ∈ V}
= {(f, g) ∈ F(X, Y ) × F(X, Y ) : (f(x), g(x)) ∈ V, ∀x ∈ S}
is a subbase for a (quasi-)uniformity, on F(X, Y ), called the (quasi-)uniformity
of the (quasi-)uniform convergence, on the members of S.
Definition 2.2. Let X be a set, let (Y, V) be a quasi-uniform space and let
also B = {B : B ⊆ X} ⊆ P(X) be a cover for X. Then, the quasi-uniformity
qB
in the members of the cover B, of X, has as a subbase the family:
S = {(B, V ) : B ∈ B, V ∈ V}
97
= {(f, g) ∈ F(X, Y ) × F(X, Y ) : (f(x), g(x)) ∈ V, ∀x ∈ B}
Definition 2.3. Given arbitrary spaces Y and Z let Ct(Y, Z) denote the set
C(Y, Z) of continuous maps from Y to Z equipped with some topology t. The
topology t is said to be splitting on C(Y, Z) if, for every space X, the continuity
of a function f : X × Y → Z implies that its adjoint map ˆf : X → Ct(Y, Z)
is well-defined, where ˆf(x)(y) = f(x, y) for all x and y.
In other words, t is a splitting topology, if the exponential injection
EXY Z : C(X × Y, Z) → C(X, Ct(Y, Z)),
where EXY Z(f) = ˆf, is well defined (see for example [2]).
If for every space X the continuity of ˆf : X → Ct(Y, Z) implies the continuity
of f : X × Y → Z, then t is called jointly continuous (or admissible) on
C(Y, Z). Equivalently, t is jointly continuous on C(Y, Z) if the evaluation map
e : Ct(Y, Z) × Y → Z is continuous, where e(g, y) = g(y).
A splitting-jointly continuous topology, on C(Y, Z), is both the greatest split-
ting and the coarsest jointly continuous topology on C(Y, Z) (see for example
[1]).
The exponential objects of the category Top are exactly the corecompact
topological spaces.
3. Quasi-Uniformities on Function Spaces Generated by Atoms
In [2] E.P. de Jager and H.-P. A. K¨unzi describe atoms, anti-atoms and com-
plements, in the lattice of quasi-uniformities. In this section we will construct
quasi-uniformities on function spaces generated by atoms and we will examine
their topologies.
Definition 3.1. Two comparable, distinct quasi-uniformities on a set X, for
which there does not exist a quasi-uniformity strictly in between, are called
adjacent or neighbours.
Two important special cases of adjacent quasi-uniformities are the upper-
neighbours of I, the indiscrete quasi-uniformity X × X, which will be called
atoms, and the lower-neighbours of D, the discrete quasi-uniformity fil{∆},
which are called anti-atoms of the lattice q(X), ⊆ .
98
In proposition 1., of [2], the authors give the following characterization for a
transitive atom of q(X), ⊆ .
Proposition 3.2. Let SA = (X − A) × X ∪ (X × A) be a preorder, and
A =fil{SA} be the filter generated by SA (where X is a set and A a subset of
X). Then, A is a transitive atom of (q(X), ⊆).
We define a quasi-uniformity, on a function space, which is generated by an
atom, as follows:
Definition 3.3. If A is an atom of q(Y ), ⊆ , then the quasi-uniformity on
F(X, Y ), generated by the subbase:
S = {(X, V ) : V ∈ A}
= {(f, g) ∈ F(X, Y ) × F(X, Y ) : (f(x), g(x)) ∈ V, ∀ x ∈ X}
is called the quasi-uniformity of the atom quasi-uniform convergence, and will
be denoted by qA.
We generalize the above definition, by the following proposition.
Proposition 3.4. Let A be an atom of q(Y ), ⊆ . Then,
S = {(f, g) ∈ F(X, Y ) × F(X, Y ) : f−1
(A) ⊆ g−1
(A)}
will be a subbase for qA.
Proof. A subbase for qA is of the form:
S = {(X, SA)}
= (f, g) ∈ F(X, Y ) × F(X, Y ) : (f(x), g(x)) ∈ SA, ∀ x ∈ X
= (f, g) ∈ F(X, Y ) × F(X, Y ) : f(x), g(x) ∈ ((Y − A) × Y )
∪ (Y × A), ∀ x ∈ X
= (f, g) ∈ F(X, Y ) × F(X, Y ) : f(x) /∈ A ∨ g(x) ∈ A
∀ x ∈ X
= (f, g) ∈ F(X, Y ) × F(X, Y ) : ¬ x ∈ f−1
(A)
∨ x ∈ g−1
(A) , ∀ x ∈ X
= (f, g) ∈ F(X, Y ) × F(X, Y ) : x ∈ f−1
(A) →
99
x ∈ g−1
(A) , ∀ x ∈ X
= (f, g) ∈ F(X, Y ) × F(X, Y ) : f−1
(A) ⊆ g−1
(A) .
For finding the induced topology TqA
of qA, we consider the subbasic neigh-
bourhoods of a function f, of F(X, Y ), and we get the following subbase:
(X, SA)(f) = {g ∈ F(X, Y ) : (f, g) ∈ (X, SA)}
= g ∈ F(X, Y ) : f−1
(A) ⊆ g−1
(A)
Example 3.5. We consider C(X, S), the space of all continuous functions,
XV , from a set X to the Sierpinski set S = {∅, {1}, {0, 1}}, where
Xv(x) =



1, x ∈ V
0, otherwise.
For, say, A = {1}, the subbasic neighbourhoods for a function XV , in C(X, S),
will be:
(X, SA)(XV ) = XU ∈ C(X, S) : X−1
V (1) ⊆ X−1
U (A)
= {XU ∈ C(X, S) : V ⊆ U}
This topology is not a splitting one. Additionally, it is contained in the Isbell
topology, which is the finest splitting topology on C(X, S). So, there exists
H ∈ Ω(X), such that XV ∈ (H, {1}) ⊆ {xU ∈ C(X, S) : V ⊆ U}. Thus, V ∈
H and ∀ U ∈ H, U ⊇ V . So, H = {U ∈ O(X) : U ⊇ V } and, consequently, V
is compact.
Remark 3.6. The set A is open in the topology of the atom A, namely TA.
Indeed,
SA(x) = (((X − A) × X) ∪ (X × A)) (x)
= {y ∈ X : (x, y) ∈ ((X − A) × X) ∪ (X × A)}
= {y ∈ X : y ∈ A}
= A
Thus, A is a neighbourhood for every point which belongs to it, and so A is
open in TA.
Remark 3.7. If (X, T) is a topological space, and A ∈ T, then obviously
TA ⊆ T, since A ∈ TA, and since A is subbasic-open in TA.
Remark 3.8. It is known (see for example [3]) that if (X, T) is a topological
space, then there always exists a quasi-uniformity U, on X, such that T(U) =
100
T. This quasi-uniformity is called Pervin’s quasi-uniformity. In addition, the
subbase S = {SA} is such that T(U) = T. We remark that if (X, T) is a
topological space, then Pervin’s quasi-uniformity is the supremum of all atoms,
that is:
qPervin =
A∈T
A
Furthermore, if X = ∅ and q = A⊆X A, then Tq is the discrete topology.
Proposition 3.9. Let X be a non-empty set, and let (Y, T) be a topological
space. Let also P be Pervin’s quasi-uniformity, compatible with T. Then, the
quasi-uniformity qp, on F(X, Y ), has as subbase the family:
S = {(f, g) ∈ F(X, Y ) × F(X, Y ) : f−1
(A) ⊆ g−1
(A), ∀A ∈ T}
Proof. Since P = supA∈T A, it immediately follows that qp = sup qA.
We will now define the quasi-uniformity of the atom quasi-uniform conver-
gence, in the members of the cover B of X, which will be denoted by qB
A.
Proposition 3.10. Let A be an atom of q(Y ), ⊆ and let B = {B : B ⊆
X} ∈ P(X, Y ) be a cover for X. Then,
S = {(f, g) ∈ F(X, Y ) × F(X, Y ) : B ∩ f−1
(A) ⊆ g−1
(A)}
is a subbase for qB
A.
Proof. A subbase for qB
A is of the form:
S = (B, SA) : B ∈ B
= (f, g) ∈ F(X, Y ) × F(X, Y ) : (f(x), g(x)) ∈ SA, ∀x ∈ B
= (f, g) ∈ F(X, Y ) × F(X, Y ) : f(x), g(x) ∈ (Y − A) × Y
∪ (Y × A), ∀x ∈ B
= (f, g) ∈ F(X, Y ) × F(X, Y ) : f(x) /∈ A ∨
g(x) ∈ A , ∀x ∈ B
= (f, g) ∈ F(X, Y ) × F(X, Y ) : x ∈ f−1
(A)] ∨
x ∈ g−1
(A) , ∀x ∈ B
= (f, g) ∈ F(X, Y ) × F(X, Y ) : x ∈ B →
101
x ∈ f−1
(A) ∨ x ∈ g−1
(A)
= (f, g) ∈ F(X, Y ) × F(X, Y ) : x ∈ B ∩
f−1
(A) ⇒ x ∈ g−1
(A)
= (f, g) ∈ F(X, Y ) × F(X, Y ) : B ∩ f−1
(A) ⊆ g−1
(A) .
Our next step is to find the induced topology of qB
A, namely TB
qA
. So, we
consider the subbasic neighbourhoods of a function f, of F(X, Y ), and we get
the following subbase for such a topology:
(B, SA)(f) = {g ∈ F(X, Y ) : (f, g) ∈ (B, SA)}
= g ∈ F(X, Y ) : B ∩ f−1
(A) ⊆ g−1
(A)
We will compare quasi-uniformities that are induced by atoms, by introducing
a comparison of their covers on X.
Definition 3.11. If B1 and B2 are covers for a set X, and if ∀ B1 ∈ B1 ∃ B2 ∈
B2, such that B2 ⊆ B1, then B1 is said to be finer than B2.
Proposition 3.12. If B1 and B2 are covers for a set X, such that B1 is finer
than B2, then:
qB1
A ⊆ qB2
A
Proof. Indeed, (B1, SA) ∈ qB1
A ⇔ (f, g) ∈ {F(X, Y )×F(X, Y ) : B1∩f−1
(A) ⊆
g−1
(A)}. But since B1 is finer than B2, then there exists a B2 ∈ B2, such that
B2 ⊆ B1. So, B2 ∩ f−1
(A) ⊆ B1 ∩ f−1
(A) ⊆ g−1
(A), which implies that
B2 ∩ f−1
(A) ⊆ g−1
(A). Thus, (B2, SA) ∈ qB2
A , and it follows that qB1
A ⊆ qB2
A .
Corollary 3.13. If qB1
A ⊆ qB2
A , then Tq
B1
A
⊆ Tq
B2
A
.
The proof of Corollary 3.13 is similar to the proof of Proposition 3.12.
Example 3.14. Let B1 = {X}. Then,
S = {(X, SA)}
= (f, g) ∈ F(X, Y ) × F(X, Y ) : X ∩ f−1
(A) ⊆ g−1
(A)
= (f, g) ∈ F(X, Y ) × F(X, Y ) : f−1
(A) ⊆ g−1
(A) .
Let also B2 = {{x} : x ∈ X}. Then,
S = {(x, SA)}
102
= (f, g) ∈ F(X, Y ) × F(X, Y ) : {x} ∩ f−1
(A) ⊆ g−1
(A)
= {(f, g) ∈ F(X, Y ) × F(X, Y ) : f(x) ∈ A ⇒ g(x) ∈ A} .
Let, finally, B3 = {K : K ⊆ X is compact}. Then,
S = {(K, SA)}
= (f, g) ∈ F(X, Y ) × F(X, Y ) : K ∩ f−1
(A) ⊆ g−1
(A) .
Then, qB1
A ⊆ qB2
A ⊆ qB3
A , and thus Tq
B1
A
⊆ Tq
B2
A
⊆ Tq
B3
A
.
Remark 3.15. Let A be a transitive atom of Y . Then, A = filt SA. Question:
what is the conjugate quasi-uniformity of A and of A−1
? Answer: we note that
S−1
A = (X  A) × X ∪ X × A
−1
= X × (X  A) ∪ X × A
= A × X ∪ X × (X  A).
That is,
A−1
= filt(SXA).
So, A−1
is also a transitive atom of Y .
Obviously
qA∨A−1 = qA ∨ qA−1 ,
where ∨ is the supremum of two quasi-uniformities.
Proposition 3.16. Let A = filt(SA), where A ⊂ Y is a transitive atom of
q(Y ), ⊆ . Then
S = (f, g) ∈ F(X, Y ) × F(X, Y ) : f−1
(A) = g−1
(A)
is a subbase for the uniformity qA∨A−1 .
Proof. It is enough to observe that
(X, S−1
) = {(f, g) ∈ F(X, Y ) : f−1
(A) ⊃ g−1
(A)}.
Remark 3.17. If we consider again C(X, S) and A = {1}, we remark that
the quasi-uniformity qA∨A−1 is precisely the discrete one, because:
(X, SA) = (xV , xU ) ∈ C(X, S) × C(X, S) : x−1
V (1) ⊆ x−1
U (1)
= (xV , xU ) : V ⊆ U
and
(X, SA) = (xV , xU ) ∈ C(X, S) × C(X, S) : U ⊆ V .
103
Thus,
(X, SA) ∩ (X, S−1
A ) = (xV , xU ) ∈ C(X, S) × C(X, S) : U = V
= (xV , xU ) : xV ∈ C(X, S)
= ∆C(X,S),
where ∆C(X,S) is the diagonal of C(X, S).
Proposition 3.18. Let f : X → Y be a function. If A is a transitive atom
on q(Y ), ⊆ , then the initial quasi-uniformity on X is the one generated by
the filt(Sf−1(A)).
In other words, the initial uniformity on X is also an atom on q(Y ), ⊆ .
Proof. If A ⊆ Y , then
f−1
2 (SA) = f−1
2 (Y  A) × Y ∪ Y × A
= X  f−1
(A) × X ∪ X × f−1
(A)
= Sf−1(A).
4. Open Problems
(1) Let A be a transitive atom in q(Y ), ⊆ . How can one define an atom in
q F(X, Y ) , ⊆ , that is generated by A?
If we denote by α(Y ) all atoms of q(Y ), ⊆ , this question can be
restated as follows:
Does there exist a map
f : α(Y ) → α F(X, Y ) ?
(2) Does there exist a map
f : α(X × Y ) → α F(X, Y ) ?
(3) Does there exist a map
f : α F(X, Y ) → α(X)?
104
(4) Does there exist a map
f : α F(X, Y ) → α(Y )?
(5) What are the corresponding answers, to the questions above, if we con-
sider an anti-atom in (q(Y ), ⊆)?
References
[1] R. Arens and J. Dugundgi, Topologies for function spaces, Pacific J. Math.,
Volume 1, pp. 5–31, 1951.
[2] J. Dugundgi, Topology. Allyn and Bacon, Boston, MA, USA, 1966.
[3] P. Fletcher and W. F. Lindgren, Quasi-Uniform Spaces, Lecture Notes in Pure
and Applied Mathematics, Volume 77, 1982.
[4] E. P. de Jager and H.-P. K¨unzi, Atoms, anti-atoms and complements in the
lattice of quasi-uniformities, Topology and its Applications, 153 (2006) 3140-
3156.
[5] B.K. Papadopoulos, The Topology of Quasi Uniform Convergence on the Set of
Continuous Maps , III Convegno Nationale Di Toopologia, Trieste, Supplement
Di Rendiconti Del Circolo Matematico Di Palermo, pp. 381-390, (1988).
[6] B.K. Papadopoulos, (Quasi-)Uniformities on the Set of Bounded Maps,
International Journal of Mathematics and Mathematical Sciences, Vol. 17, No
4, pp. 693-696 (1994).
[7] B.K. Papadopoulos, A Note on the Paper ‘Quasi Uniform Convergence on
Function Spaces’, Questions and Answers in General Topology, Vol. 13, 55-56
(1995).
[8] D.N. Georgiou and B.K. Papadopoulos, Convergence and Topologies on
Function Spaces, Panamerican Journal of Mathematics, Vol. 5, No. 1, 101-119
(1995).
[9] D.N. Georgiou and B.K. Papadopoulos, A Note on the Finest Splitting
Topology, Questions and Answers in General Topology, Vol. 13, No. 2, 137-144
(1997).
105
Selected papers of the 2014 International Conference
on Topology and its Applications
(2015) Pages 106–114
Department of Mathematics
University of Patras
Greece
Topological adjacency in ontology alignment
Ioannis Kougias 1
, Lambrini Seremeti 2
, Dimitris Kalogeras 3
1Computer and Informatics Engineering Department, Technological Educational
Institute of Western Greece
2Faculty of Sciences and Technology, Hellenic Open University, Greece
3Mathematics School Counselor of Eastern Greece
Abstract
Recent developments on technological applications are mainly based on knowledge
representation and management. In this perspective, ontologies, as machine readable
artifacts that are capable of formally and explicitly codifying a knowledge domain,
are used as the main stakeholders of these applications. In the present work a struc-
tural similarity measure for ontologies, based on the topological notion of adjacency
is proposed, for it takes into consideration all the paths included in an ontology
graph in order to compute a measure between two distinct ontologies.
1. Introduction
Technological applications are nowadays mainly based on knowledge represen-
tation and management. In this perspective, ontologies, as machine readable
artifacts that are capable of formally and explicitly codifying a knowledge
domain, are used as the main stakeholders of these applications.
Usually, ontologies involve components called entities which are: individuals,
classes or concepts, attributes (parameters that classes can have) and binary
relations associated to classes [6].
Mathematically speaking, ontologies can be considered as labeled quivers, that
is, multigraphs with labeled vertices and edges, where the vertex and edge
labels take values from finite alphabets [11].
1 kougias@teimes.gr
2 kseremeti@hol.gr
3 dkaolger@teimes.gr
Since ontologies are subjective representations of a specific domain, ontology
alignment is needed to support interoperability and common understanding
between different parties. Ontology alignment is used for finding semantic
relations among the entities of ontologies [3]. In mathematical language, it
is a set of correspondences of the form ei, ej, r , where ei, ej are the entities
of the ontologies Oi and Oj, respectively and r the relation holding between
those entities.
During the discovery of those semantic relations, measure for similarity com-
putation is used. This measure can belong to two general groups; namely
lexical measures and structural ones, the first of which are based on similari-
ties of labels used to name the entities of ontologies. The main idea in using a
lexical similarity measure is the fact that usually similar entities have similar
labels. The second ones try to recognize similarities by considering the no-
tion of neighbourhood residing in ontology graphs. The basic idea behind the
use of a structure similarity measure is the fact that entities of two distinct
ontologies are similar when their adjacent entities are similar [5].
This statement refers directly to the topological science, which is typically
defined as spatial relationships between adjacent or neighbouring features [1]
or properties which define relative relationships between spatial elements, in-
cluding adjacency, connectivity and containment [10].
In this paper a structural similarity measure for ontologies is proposed, based
on the topological notion of adjacency, since it takes into consideration all the
paths included in an ontology graph in order to compute a measure between
two distinct ontologies.
2. Related work on structure similarity measures
There have been numerous works for finding structural similarities of graph
entities. Some of them are developed specifically for ontology alignment while
some others have been developed for other domains, but still are useful for the
ontology alignment problem.
2.1. Structural Topological Dissimilarity on Hierarchies
This method computes the dissimilarity of elements in a hierarchy based on
their distance from closest common parent. A structural topological dissim-
ilarity δ : O × O → R is a dissimilarity over a hierarchy H = O, ≤ , such
107
that:
∀e, e ∈ O, δ (e, e ) = min
c∈O
[δ (e, c) + δ (e , c)] . (1)
Where δ (e, c) is the number of intermediate edges between an element e and
another element c [12].
2.2. Upward Cotopic Similarity
The Upward Cotopic distance δ : O×O → R is a dissimilarity over a hierarchy
H = O, ≤ , such that:
δ (c, c ) =
UC (c, H) ∩ C (c , H)
UC (c, H) ∪ UC (c , H)
, (2)
where UC (c, H) = {c ∈ H : c ≤ c } is the set of superclasses of c [9].
2.3. Similarity Distance
This measure computes the relationship among entities for a single hierarchy.
The concept similarity is defined as:
Sim (c1, c2) = 1 − distance (c1, c2) . (3)
Every concept in the hierarchy is assigned a milestone value. Since the distance
between two given concepts in a hierarchy represents the path over the closest
common parent ccp, the distance is calculated as:
distance (c1, c2) = distance (c1, ccp) + distance (c2, ccp) , (4)
distance (c, ccp) = milestone (ccp) − milestone (c) . (5)
The milestone values of concepts in the concept hierarchy are calculated as
follows:
milestone (n) =
1
kl(n)+1
, (6)
where l (n) is the length of the longest path from the root to the node n in
the hierarchy and k is a predefined factor larger than 1 indicating the rate at
which the milestone values decrease along the hierarchy [13].
Similarly methods like those introduced in [7], [2], and [4] also try to use the
similarity of parents, children and siblings to calculate the relationships of
concepts in two ontologies.
All the above-mentioned measures cannot be applied as such in the context of
ontology alignment since the ontologies are not supposed to necessarily share
108
the same taxonomy. For that purpose, it is necessary to extend these kinds of
measures over a pair of ontologies.
3. Proposed topology-based similarity measure
Given two ontologies O1 and O2, calculate the vectors l1, l2 having as elements
the lengths of all the paths from the root of each ontology, to all its leaves,
i.e.,
l1 = [l11, l12, ..., l1i, ...], with l1i = length of the path from the root of ontology
O1to its ith
leaf, i = 1, 2, ..., # leaves of ontology O1
l2 = [l21, l22, ..., l2j, ...] with l2j = length of the path from root of ontology O2
to its jth
leaf, j = 1, 2, ..., # leaves of ontology O2
Let L = max{|l1|, |l2|}, with |li|the dimension of vector li, i = 1, 2. Create two
new vectors a, t, where a is equal to the vector li i = 1, 2 which has the biggest
dimension and where t is produced completing the remaining of the vectors li
with leading zeros. Both vectors a, t, have dimension L. More precisely:
if |li| > |lj|, i, j ∈ {1, 2} and i = j, then a = li, t = 0, lj , with the dimension
of 0 being equal to L − min{|l1|, |l2|}.
Compute now a square L × L matrix C, with elements cij = |ai − tj|, i, j =
1, 2, ..., L. Then, create two new vectors r and s, by appropriately reordering
the vectors a and t, as explained hereafter.
Let us consider two sets B and T with cardinalities equal to L and let βi, τi,
i = 1, 2, ..., L, denote their respective elements. Consider the bipartite graph
having as nodes the elements of the sets B and T and containing all possible
edges between respective elements of the two sets. The edge linking βi, to τj
i, j = 1, 2, ..., L, has a weight equal to cij = |ai − tj|. One can then always find
a square matrix X with dimensions L×L having elements xij, i, j = 1, 2, ..., L,
such that the following relations hold:
1. ∀i = 1, 2, ..., L,
L
j=1
xij = 1,
2. ∀j = 1, 2, ..., L,
L
i=1
xij = 1,
3. ∀i, j = 1, 2, ..., L, xij ≥ 0,
109
4.
L
i=1
L
j=1
cijxij is minimized.
It can be proven that such elements xij, i, j = 1, 2, ..., L, exist and take either
the value 0, or the value 1. If xij = 1, then the ith
element of the reordering r
is ri = ai, while the jth
element of the reordering s is sj = tj. The structural
similarity between the two ontologies is finally calculated as the cosine of the
angle between the vectors r and s:
σ(O1, O2) =
r · s
||r|| · ||s||
=
L
i=1
risi
L
i=1
r2
i
L
i=1
s2
i
.
The idea behind the Structural Similarity Measure, is to compare the structure
of the two ontologies, based on the minimization of the sum of the absolute
values of the differences between the lengths of all the respective pairs of
paths belonging to the two ontologies; these paths lead from the root of each
ontology to each of its leaves.
In order to count the lengths of the paths, we can use a graph traversal al-
gorithm like DFS (Depth First Search) together with a counter, initialized at
zero, augmented by one each time an edge is found, decreased by one each
time that backtracking is considered and memorized in a stack each time a
leaf (no descendants) is encountered. DFS is effective enough, of complexity
Θ (V 2
) when a representation with adjacency matrices is used and Θ (V + E)
when a representation with adjacency lists is used, where V is the number of
the graph vertices and E is the number of the graph edges.
The vectors ¯l1, ¯l2 having as elements the lengths of all the paths of the on-
tologies thus obtained, may have different dimensions. That is why we add
leading zeros to the vector with the lower dimension, in order to compensate
this difference in dimensions (these zeros can be considered to correspond to
the missing paths of one of the ontologies with respect to the other). The
vectors ¯a and ¯t are thus obtained. We have now established a correspondence
between the paths of one of the ontologies and the respective paths of the
second one. In the aim to minimize the sum of the absolute values of the dif-
ferences of the lengths of the corresponding pairs of paths, we need to reorder
the vectors ¯a and ¯t into new vectors ¯r and ¯s, respectively.
In order to achieve this, we reformulate the problem, as a linear assignment
problem. We consider a bipartite graph with all possible nodes connecting
the elements of two sets B and T of cardinality L, as seen in Figure 1. We
consider that the edge linking βi to τj, i, j = 1, 2, ..., L, has a weight equal to
110
cij = |ai − tj| (i.e. the absolute value of the difference of the lengths of the
respective paths).
Fig. 1. The bipartite graph between the elements of the sets B and T
The matrix C corresponds to a weight function C : B × T → R. In order to
maximize the resemblance between the structures of the two ontologies, we
need to minimize the sum of the absolute values of the differences of lengths
between respective paths, that is, referring to Figure 1, we need to find a
bijection f : B → T, such that the cost function
L
i=1
cij is minimized, with
f (βi) = τj being the image of βi under the bijection f. But, this is the
formal definition of the linear assignment problem. The assignment problem
is a special case of the transportation problem, which is a special case of
the minimum cost flow problem, which in turn is a special case of the linear
problem. It is thus possible to solve the minimization problem that we have,
by using the simplex algorithm (very effective in practice, generally taking 2 to
3 times the number of equality constraints iterations at most and converging
in expected polynomial time for certain distributions of random inputs), or
more specialized algorithms, like the Bellman-Ford algorithm (O (V 2
E)), or
the Hungarian algorithm (O (V 2
log (V ) + V E)). Hereafter, we re-express our
minimization problem, as a standard linear problem. Find a matrix X with
dimensions L × L, having elements xij, i, j = 1, 2, ..., L, that minimizes the
objective function
L
i=1
L
j=1
cijxij, subject to the following constraints:
∀i = 1, 2, ..., L,
L
j=1
xij = 1, that is, each element of the set B is assigned to
exactly one element of the set T, ∀j = 1, 2, ..., L,
L
i=1
xij = 1, that is, each
element of the set T is assigned to exactly one element of the set B.
Both the above mentioned constraints are due to the bijection f that we are
111
searching.
∀i, j = 0, 1, ..., L, xij ≥ 0.
The variables xij, i, j = 1, 2, ..., L represent the assignment (or not) of βi to
τj, i, j = 1, 2, ..., L, taking the value 1 if the assignment is done and taking the
value 0 otherwise. The vectors r and s are obtained by appropriately reordering
the vectors a and t with the help of the matrix X, which is obtained as the
solution of the simplex algorithm. The matrix X has only one non zero element
in each of its rows and in each of its columns and this non zero element has
a value of 1. If for some xij = 1, then the ith
element of the reordering r
is ri = ai, while the jth
element of the reordering s is sj = tj. Finally, the
structural similarity between the two ontologies is calculated as the cosine of
the angle between the vectors r and s:
σ(O1, O2) =
r · s
||r|| · ||s||
=
L
i=1
risi
L
i=1
r2
i
L
i=1
s2
i
.
As a more time efficient alternative, the reordered vectors r and s can be
obtained by simply sorting the vectors a and t with a V log(V ) algorithm like
quicksort and then taking pairs of values which are at the same positions in
the two sorted vectors.
For the ontologies of Figure 2, we compute the Structure Similarity Measure
as
σ(O1, O2) =
2 · 2 + 1 · 1 + 1 · 0
√
22 + 12 + 12
√
22 + 12 + 02
=
5
6
= 0.9129,
which means that they have very similar structure. The corresponding struc-
ture similarity factor used in [8], in order to measure the structural similarity
between two ontologies, has a value of 0.5 in the case of our example. Our
Structure Similarity Measure depicts more accurately the similarity of struc-
ture between the two ontologies, which becomes apparent when flipping O1
horizontally.
Fig. 2. Structural Similarity Measure example
The Structure Similarity Measure for the ontologies of Figure 3 is calculated
112
as
σ(O1, O2) =
n
√
n
√
n2
=
1
√
n
,
that is, σ(O1, O2) → 0, as n → ∞.
Fig. 3. Structural Similarity Measure example
4. Conclusion
In contrast to other similarity measures, the proposed one is based on the topo-
logical notion of adjacency, as a natural choice for a distance measure, since
ontologies are considered as labeled quivers and the noema of each ontological
entity is interpreted through its spatial identity. The proposed topology-based
measure is specialized in comparing the structures of two distinct labeled
quivers that are used in applications, where knowledge representation and
management are necessary.
References
[1] M. N. DeMers, Fundamentals of Geographic Information Systems, New York:
John Wiley & Sons, 1997.
[2] Doan, J. Madhavan, P. Domingos and A. Halevy, Learning to map ontologies
on the semantic web, Proceedings of the International World Wide Web
Conference, pp. 662–673, 2003.
[3] M. Ehrig, Ontology alignment: bridging the semantic gap, Springer, 2007.
[4] M. Ehrig, Y. Sure, Ontology mapping -an integrated approach, Proceedings of
the European Semantic Web Symposium, pp. 76–91, 2004.
113
[5] J. Euzenat and P. Valtchev, Similarity-based ontology alignment in owl-lite,
Proceedings of ECAI, pp. 333–337, 2004.
[6] R. T. Gruber, A translation approach to portable specifications, Knowledge
Acquisition, 5(2), pp. 199–220, 1993.
[7] Y. Kalfoglou, B. Hu, Croci mapping system results of the 2005 ontology
alignment contest, Proceedings of K-Cap’05 Integrating Ontologies Workshop,
pp. 77–85, 2005.
[8] J. Li, J. Tang. RiMOM: A dynamic multistrategy ontology alignment framework,
IEEE Transactions on Knowledge and Data Engineering, Vol. 21, No. 8, 2009.
[9] A. Maedche, V. Zacharias, Clustering ontology-based metadata in semantic web,
Proceedings of the 13th ECML and 6th PKDD, 2002.
[10] R. McDonnell, K.K. Kemp, International GIS Dictionary, New York:
GeoInformation International, 1995.
[11] L. Seremeti, A. Kameas, Composable relations induced in networks of aligned
ontologies: a category theoretic approach, Axiomathes, Springer, 2014.
[12] P. Valtchev, J Euzenat, Dissimilarity measures for collections of objects and
values, LNCS, vol. 1280, Springer, 1997.
[13] J. Zhong, H. Zhu, Y. Li and Y. Yu, Conceptual graph matching for semantic
search, Proceedings of Conceptual Structures: Integration and Interfaces, pp.
92–106, 2002.
114
Selected papers of the 2014 International Conference
on Topology and its Applications
(2015) Pages 115–121
Department of Mathematics
University of Patras
Greece
The role of Topology in Knowledge
Representation
Ioannis Kougias 1
, Lambrini Seremeti 2
, Dimitris Kalogeras 3
1Computer and Informatics Engineering Department Technological Educational
Institute of Western Greece, Greece
2Faculty of Sciences and Technology Hellenic Open University, Greece
3Secondary School Counselor of Eastern Greece, Greece
Abstract
Knowledge representation is the area of Artificial Intelligence the goal of which
is to encode human knowledge in such a way that it can be manipulated in an
automated way, by reasoning programs. The present work is an attempt to show
that topological relativity provides a useful theoretical construct that can invigorate
both research and practice in, especially, representing spatio-temporal knowledge,
as it is usually imprecise and vague. We highlight the role of topological relations
in spatio-temporal knowledge representation, by reviewing the relevant literature.
1. Introduction
Knowledge representation can be best understood in terms of five important
and distinctly different roles that a representation plays: (1) it is a surrogate,
used to enable an entity to determine consequences by thinking rather than
acting, (2) it is a set of ontological commitments, i.e., an answer to the question
in what terms should one think about the world, (3) it is a fragmentary theory
of intelligent reasoning, expressed in terms of three components (the represen-
tation’s fundamental conception of intelligent reasoning, the set of inferences
the representation sanctions, and the set of inferences it recommends), (4) it
is a medium for efficient computation, i.e., the computational environment in
which thinking is accomplished, and (5) it is a medium of human expression,
i.e., a language in which we say things about the world [7].
1 kougias@teimes.gr
2 kseremeti@hol.gr
3 dkaolger@teimes.gr
In recent years researchers have applied principles from the mathematical
domain of topology in different fields of knowledge representation [16]. It is
mainly used for spatiotemporal knowledge representation, which has a central
point in domains like artificial intelligence, spatio-temporal reasoning, nat-
ural language processing, human machine interaction, automated reasoning,
etc. In these scientific fields the problem is how to represent, in a machine
understandable way, sentences like ”the cup is on the table”, ”the apple is
in the bowl”, ”this glass contains water”, ”adjacent cities” and similar ones
that mainly contain adverbs of locality or temporality. The main problem is
how can knowledge about the relative position of two objects or events be
represented in information systems, in order to be interoperable (something
like human communication), that is, how is an information system able to
comprehend the notions of ”on”, ”in”, ”contains”, ”adjacent”, etc.
As the representation of relationships in both space and time is a manda-
tory requirement of many applications related to real-world phenomena, we
conjecture that a minimum set of topological relations can efficiently be used
for spatiotemporal knowledge representation. The types of relationships that
are usually addressed in spatial representation are: (a) adjacency between two
segments or two objects of interest or two semantic objects, and (b) neigh-
bourhood between two segments or two objects of interest or two semantic
objects without contact between them.
This paper does not aim at introducing new topological concepts or proving
something already known, but it is based on the idea that topology can serve
as a formal basis for commonsense spatiotemporal knowledge representation.
The paper is structured as follows. First we make an introduction to spatio-
temporal knowledge description. In section 2, the semantics of spatio-temporal
knowledge is briefly presented, then, in section 3, we examine how topological
relations have been used in spatio-temporal knowledge representation and, in
section 4 we provide their semantic interpretation. Finally, section 5 concludes
the paper.
2. Semantics of spatio-temporal knowledge
Space and time are fundamental principles to structure heterogeneous spatio-
temporal data that are used in contemporary information system applications.
Research on semantics and especially on ontologies consist a well-suited model
for spatio-temporal knowledge representation. Ontologies, representing tem-
poral and spatial knowledge, offer the means for coding high level concepts,
their properties and their interrelationships.
Prominent such ontological models are: Time - OWL that conceptualizes re-
116
lations such as before, overlaps, meets, during, starts, etc. [14], SOWL which
offers a representation for spatial objects that are typically formulated us-
ing point, line, polyline and minimum bounding rectangle [3]. Recently, as
big interest has been drawn upon the semantic approach for modeling spatio-
temporal data, many works have conceptualized these data. For example, [2],
[18], [19] offer a global ontology for trajectory data.
Also in [12] an ontology - based pivot model for representing spatio-temporal
sources, is provided.
All these approaches support relations between regions or time intervals whose
locations or end points are known. There are also some other works [5], [1],
[8], [4] that refer to semantic models focused on geographic information.
These efforts to integrate geographic information are based on the idea of
meta-data standards as the key to information sharing and analysis.
3. Topological relations in spatio-temporal knowledge representation
Topology deals with spatial and structural properties of geometric objects or
regions, independently of their extension, type or geometric form. A topolog-
ical relation concerns connections between spatial objects. It is also used for
describing temporal dimension, that is, the temporal dimension is topologi-
cally similar to spatial dimension [11]. For example, in [6], an approach that
combines topological relationships between regions in two-dimensional space
with temporal relationships between convex intervals in time is introduced.
In general, there are two ways to describe temporality: talking about time,
or modeling the change. Researchers have taken many directions in order to
embed topological relationships in spatio-temporal knowledge representation.
Some prominent examples are given below.
In [13], topological relations are used as a formal basis for languages describ-
ing motion events in a qualitative way, that is, a set of relations are expressed
between specific regions which correspond to relative motions of spatial en-
tities and reasoning on these relations is achieved along with temporal and
purely spatial information. In [10], the topological relations between two ar-
row symbols are formalized and the influence of these topological relations on
the semantics of a diagram is discussed. In [9], the semantic correspondence
topological relationships between objects being described and spatial prepo-
sitions, such as ’on’, ’in’, ’at’ that describe the spatial configuration between
two objects is investigated. In [15] a conceptual metamodel based on topologi-
cal relationships is provided, which offers enough modularity and adaptability
to represent the various dimensions of spatio-temporal knowledge, in order
117
to achieve an appropriate interpretation of satellite images. More recently, in
[17], a commonsense theory of space and motion for the high - level semantic
interpretation of dynamic scenes is proposed. This theory consists of spatial
relations that are based on topology and terms of orientation, such as ”left”,
”right”, ”above”, ”below”.
4. Semantic interpretation of topological relations in spatio-temporal
knowledge representation
The following table shows the most common topological relations, as well as
their semantic interpretation in the field of knowledge representation.
Topological
relation
Semantic
relation
Lexical description Graphical
description
Disjoint - Unrelated
- Disconnected
- Irrelevant
- Inappropriate
- Unconnected
- Extraneous
No points exist at the
same time and thus the
intersection of the two re-
gions is empty
Meet - Adjacent
- Neighbouring
- Contiguous
- On
- At
- Adjoining
- Alongside
- Beside
- Touching
The two regions are only
sharing borders
Overlap - Related
- Overlapping
- Associated
- Correlated
- Connate
- Joined
It is possible for regions
to share interior points,
but not all points of the
regions are shared
118
Tangential
proper
part
- Covers
- Covered by
- In
- Inner
- Within
- Interior
- Indoors
One region is a subset
of another region and the
two regions share some
points on the borders
Equal - Same
- Identical
- Equal
- Homologous
If and only if the two
regions are exactly the
same, or in other words,
identical
Non-
tangential
proper
part
- Contains
- Contained in
- Inside
- Includes
- Interior
- Within
One region is inside the
other, but no bordering
points are shared
The benefit from using the strictly defined topological relations for knowledge
representation is the potential of composing them and, thus, inference will not
contain any logical inconsistencies. More precisely, composition of semantically
interpreted topological relations allow for the inference of a relation from a
set of given binary relations. For example, given that region A is disjoint
from region B and that B contains region C, it can be inferred that A is
disjoint from C. The composition table on these relations can be a basis for
applications where qualitative spatial reasoning is needed.
Another challenging problem is to categorize the synonyms of each seman-
tic relation that corresponds to a topological relationship in order to define
a widely accepted conceptual spatio-temporal knowledge model. One area of
research where this proposal may have an impact is in natural language pro-
cessing systems for geographic information extraction.
5. Conclusion
Topology has been the most useful tool in bridging the gap between formal
characterization of relations between spatial entities on the one side and the
cognitive processing of spatial information on the other. Since spatio-temporal
119
aspects are intrinsically linked to both physical objects and geographical fea-
tures, we believe that topological relativity can be a foundation to unify knowl-
edge from these two perspectives. By extending this proposal, the semantic
representation of spatio-temporal knowledge formulated in natural language
plays a central part in language processing systems, rational reasoning over
knowledge bases and generation of natural language expressions from formal
representations. An attempt was made in this note to present the various works
and effords to use topology in spatio-temporal knowledge representation.
References
[1] I.B. Arpinar, A. Sheth, C. Ramakrishnan, Geospatial ontology development and
semantic analytics, In J.P. Wilson and A.S. Fotheringham (eds), Handbook of
Geographic Information Science, Blackwell Publishing, 2004.
[2] M. Baglioni, J. Macedo, C. Renso, M. Wachowicz, An ontology - based approach
for the semantic modeling and reasoning on trajectories, Proceedings of the
ER 2008 workshops on Advances in Conceptual Modeling: Challenges and
Opportunities, pp. 344–353, 2008.
[3] S. Batsakis, E.G.M. Petrakis, SOWL: Spatio-temporal representation, reasoning
and quering over the semantic web, 6th International Conference on Semantic
Systems (I - SEMANTICS’ 2010), Graz, Australia, September 1-3, 2010.
[4] R. Billen, J. Nogueras -Iso, F.J. Lopez - Pellicer, L.M. Vilches - Blazquez,
Ontologies in the geographic information sector, In: G. Falquet, C. Metral, J.
Teller, C. Tweed (eds), Ontologies in Urban Development Projects, pp. 83–103,
Springer London, 2011.
[5] T. Bittner, M. Donnelly, B. Smith, A spatio-temporal ontology for geographic
information integration, International Journal of Geographical Information
Science, Vol. 00, No. 00, pp. 1–29, July 2006.
[6] C. Claramunt and B. Jiang, An integrated representation of spatial and
temporal relationships between evolving regions. Journal of Geographical
Systems, Vol. 3, pp. 411–428, Springer-Verlag, 2001.
[7] R. Davis, H. Shrobe and P. Szolovits, What is a knowledge representation? AI
Magazine, Vol. 14, No. 1, pp. 17–33, 1993.
[8] F.T. Fonseca, M.J. Egenhofer, P. Agouris, Using ontologies for integrated
geographic information system, Transactions in GIS, Vol. 6, No. 3, 2002.
[9] J.D. Kelleher, C. Sloan, B.M. Namee, An investigation into the semantics of
English topological prepositions, Cognitive Processing, Vol. 10, No. 2, pp. 233–
236, Springer, 2009.
120
[10] Y. Kurata, M.J. Egenhofer, Topological relations of arrow symbols in complex
diagrams. Diagrammatic Representation and Inference, Lecture Notes in
Computer Science, Vol. 4045, pp. 112–126, 2006.
[11] G. Langran, N.R. Chrisman, A framework for temporal geographic information,
Cartographica, Vol. 25, No. 3, pp. 1–14, 1988.
[12] M. Manaa, L. Bellatreche, J. Akaichi, S. Khouri, Towards an ontology - based
pivot model for spatio-temporal sources, Proceedings of the 11th Asia - Pacific
Conference on Conceptual Modeling, Sydney, Australia, 2015.
[13] P. Muller, Topological spatio-temporal reasoning and representation,
International Journal of Computational Intelligence, Vol. 18, Issue 3, pp. 420–
450, Wiley, 2002.
[14] F. Pan, J. Hobbs, Temporal aggregates in OWL - Time, Proceedings of the
18th International Florida Artificial Intelligence Research Society Conference,
Florida, AAAI Press, pp. 560–565, 2005.
[15] C. Pierkot, S. Andres, J.F. Faure, F. Seyler, Formalizing spatiotemporal
knowledge in remote sensing applications to improve image interpretation,
Journal of Spatial Information Science, No. 7, pp. 77–98, 2013.
[16] A. Segev and A. Gal, Putting things in context: a topological approach to
mapping contexts to ontologies, Journal on Data Semantics IX. Lecture Notes
in Computer Science, Vol. 4601, pp. 113–140, Springer, 2007.
[17] J. Suchan, M. Bhatl, P.E. Santos, Perceptual narratives of space and motion
for semantic interpretation of visual data, Computer Vision, Lecture notes in
Computer Sciences, Vo. 8926, pp. 339–354, 2015.
[18] R. Wannous, J. Malki, A. Bouju, C. Vincent, Modeling mobile object activities
based on trajectory ontology rules considering spatial relationship rules,
In: A. Amine, O.A. Mohamed, L. Bellatreche (eds), Modeling approaches
and algorithms for advanced computer applications, Vol. 488 of Studies in
Computational Intelligence, PP. 249–258, Springer, 2013.
[19] Z. Yan, J. Macedo, C. Parent, S. Spaccapietra, Trajectory ontologies and
queries, Transactions in GIS, Vol. 12, pp. 75–91, 2008.
121
Selected papers of the 2014 International Conference
on Topology and its Applications
(2015) Pages 122–138
Department of Mathematics
University of Patras
Greece
Topology Dependant IP Packet Transmission
Delay on LTE Networks
Spiros Louvros 1
Computer and Informatics Engineering Department, Technological Educational
Institute of Western Greece
Abstract
Determining average waiting time for transmission packets in modern wireless broad-
band networks, like LTE, is crucial for several applications. Most preferred imple-
mentations to optimize transmission network rely on star network topology. In the
proposed analysis two queue models have been studied. First of all a two-dimension
queue is proposed to estimate the expected delay on priority scheduling decisions
over the IP/Ethernet MAC layer of IP transmission eNodeB equipment. Further-
more a one-dimension queue is proposed to estimate the average packet waiting
on the scheduled buffer due to the traffic load and the transmission bandwidth
availability.
Key words: Star Topology, LTE, Broadband Wireless Networks, Service class.
1. Introduction
Nowadays IP based multi-service mobile handsets are requesting reliable data
transmission. In such networks there is always a negotiation of QoS profiles
prior to the requested connection and admitted network response [1-4]. In
3GPP standards four negotiated QoS profiles are proposed [3] and specific
attributes are predefined; mean and peak throughputs, precedence, delivery
delay, Signalling Data Units (SDU) error ratio. A new generation of wireless
cellular network since 2010, called Enhanced UTRAN or Long Term Evolu-
tion workgroup of 3GPP, has been evolved providing advantages to services
and users [5]. LTE requirements, compared to previous mobile broadband net-
works (HSPA, 3G), pose strong demands on radio throughput and transmis-
sion latency. This could be easily achieved based on OFDM technique over air
interface together with simplified network architecture [6-7]. Several eNodeB
1 splouvros@gmail.com
interconnected topologies have been proposed in order to simplify transmission
network implementation and also to minimize expected IP packet transmission
delays [8]. In IP/Ethernet eNodeB transmission equipment MAC scheduler
packets to be transmitted over the LAN are initially prioritized into different
buffers and then transmitted from buffer following the well known First -in
First-out (FIFO) transmission technique, figure 1. Consequently the expected
delay is split into two phases; first phase considers the expected delay due
to scheduling priority with pre-emption vulnerabilities of pre-empted packets,
second phase considers the expected delay due to queue waiting transmission
time in the transmission buffers. This paper considers the most preferable star
topology where lower layer eNodeBs are interconnection over a centralized eN-
odeB aggregator to forward IPpackets to the EPC core network, figure 1. An
analytically solution for two queue models is proposed to estimate the expected
delay; a two dimension queue with pre-emption priorities to analytically es-
timate the IP/Ethernet MAC priority scheduling and delay of pre-empted
packets and one dimension queue loss model to analyze the expected delay of
the packet transmission due to buffer FIFO function.
Fig. 1. eNodeB star topology implementation in LTE transmission network
2. Two-Dimension Scheduler Priority Queue
Allocation and Retention Priority (ARP) and Traffic Handling Priority (THP)
are two radio features on LTE eNodeB to provide, in Radio Access Network
subsystem (RAN), the ability to differentiate service classes and services into
high priority (pre-emption capable) and low priority (pre-emption vulnerable)
[9-10]. It enables operators and planners to define pre-emption strategies in
the Radio Access Network (RAN) MAC layer to properly tune the scheduling
123
functionality. These Radio MAC scheduler priorities have to be coordinated
and correlated with the DiffServ priority indicator field on IP packet header
and the Pbit priority indicator field on MAC/Ethernet packets over transmis-
sion network. In the international literature proposed techniques distinguish
among priorities but never consider the delay into discrete phases. A very good
analysis, approaching our paper contribution, has been proposed by Carvalho
[11]. A Buffer Management together with Call Admission Control (CAC) al-
gorithms had been introduced providing service differentiation from diverse
applications. Performance metrics have been investigated considering a com-
bined CAC, Scheduling and Buffer Management approach without however
considering dynamical buffer size or expected delay. Perhaps the closest ap-
proaches to our research paper proposed analysis have been published by Tang
[12,13]. In these two papers two different channel allocation schemes, dynamic
partition with pre-emptive priority (DPPP) scheme for high priority and low
priority multi-service applications and complete sharing with pre-emptive pri-
ority (CSPP) scheme, have been investigated. These papers presented excellent
results on dynamic partitioning, however once more the pre-empted packets
have given no further consideration on ARP, resulting into reduced packet
service performance and guaranteeing only priority traffic performance. Our
proposed two dimension queue model, analytically solved to calculate the ex-
pected IP pre-empted packet delay in the MAC/Ethernet scheduler, should
be compliant with ARP and investigate a more compact approach to multi-
service implementation by considering pre-empted packet queue sizes through
a general optimization processes. A pre-emptive priority mechanism is em-
ployed to guarantee the quality of service (QoS) requirement of service class
p (pre-emption capable service class, like VoLTE or Video streaming services)
at the expense of some degradation of service class q (pre-empted vulnera-
ble service class, like FTP or WWW services), while the victim service class
q buffer compensates the degradation. The solution of such Markov queue is
not trivial, on the contrary quit often could become very complicated; however
this paper adopts a mathematical solution based on an intuitive approached
[14,15]. This paper does not consider guard channels since in research litera-
ture it has been proven that, for multi-service applications, wireless networks
guard channels may result on low utilization of the radio channels. Conse-
quently planners and designers are forced to prefer parametric techniques like
dividing the radio channels into specific groups of radio blocks, thus following
a resource sharing strategy between priority and non priority services on user
profile priorities (Gold, Silver & Bronze users on HLR profile) [16-18].
2.1. The Mathematical Model
We consider an IP based multi-service network over LAN where, from ser-
vice priority point of view, there are two dominant service classes, p and q
124
respectively. Service class p has real time rigid class characteristics with a
strict delay constraint, high radio scheduling priority (high ARP and pre-
emption capability (high priority) attribute) and high DiffServ and Pbit pri-
orities over IP-based transmission network. Service class q has mostly flexible
bandwidth packet switched characteristics with integrity constraint on errors
rather than on delay, low Diffserv and Pbit transmission priorities and ARP
pre-emption vulnerability (low priority) attribute. Already established service
class q connections, mostly due to their bandwidth flexibility and delay re-
laxing constraint conditions, could easily be pre-empted from service class p
traffic in blocked conditions through appropriate Capacity Management (CM)
and Flow Control Management (FCM) functionality performance as an over-
all performance enhancement. To preserve however service class q QoS traffic
metrics in pre-emptive conditions, a Q length buffer could be used to store
service class q pre-empted packets for a specified (operator determined) pe-
riod of waiting time before they could be offered again a service into an empty
available resource or be permanently blocked and released.
The analytical model is based on a two-dimensional Markov chain with C
available cell resources, where state (i, j) denotes specifically that there are
i occupied resources from service class p users and j occupied resources from
service class q users respectively in the system. Without packet queue imple-
mentation it is always considered that (i + j) ≤ C while when a finite queue
buffer of size Q is considered for service class q then(i ≤ C) (i + j) ≤ C +Q.
In this model Pij denotes the probability that the system is in state (i, j).
It is also assumed that the arrival of p service requests follow Poisson arrival
processes with rates λn for new services and λh for handoff services respec-
tively while service class q requests follow Poisson arrival process with rates
λd. Moreover p service times are assumed to be exponentially distributed with
a mean of 1/µn
while for service class q is also considered to be exponentially
distributed with a mean of 1/µd
.
2.2. Buffer Queue delay analysis for pre-empted service class q connections
Since a queue buffer of finite size Q is considered in the cell an additional
performance metric, the impatience Tµb period of one service class q exist-
ing in the buffer, is also considered and it is assumed to be exponentially
distributed with a mean 1/µb
. This impatience period is actually a threshold
that defines the maximum time a pre-empted service class q IP packet should
stay in the MAC/Ethernet queue buffer before either be served back into an
empty resource or be finally blocked. State diagrams of such two dimensional
queue models with general C available resources and buffer queue size Q be-
comes really complicated to draw, hence without loss of generality and only
for simplicity reasons we could present the idea for a special case of cell total
125
resources C = 3 and a general queue length Q = 2 in Figure 2.
Fig. 2. two dimensional Markov chain for mixed traffic services with packet queue
The state probabilities are calculated from following recursive formula:
Pi,j = (λn+λh)·Pi−1,j+u(C−i)·u(C+1−i−j)·λd·Pi,j−1
i·µn+u(i+j−C)·(i+j−C)·µb+u(C−i)·j·µd+u(C−i−j)·λd+u(C−i)·(λn+λh)
+
(u(C−j)·(j+1)·µd+u(i+j+1−C)·(i+j+1−C)·µb)·Pi,j+1
i·µn+u(i+j−C)·(i+j−C)·µb+u(C−i)·j·µd+u(C−i−j)·λd+u(C−i)·(λn+λh)
+
u(C−i)·(i+1)·µn·Pi+1,j+u(i+j−C−Q+1)·(λn+λh)·Pi−1,j+1
i·µn+u(i+j−C)·(i+j−C)·µb+u(C−i)·j·µd+u(C−i−j)·λd+u(C−i)·(λn+λh)
.
(1)
Considering also
Pi,j (i<0)(j<0)(i>C)(j>C)(i+j>C+Q) = 0
and
u(x) =



1 x > 0
0 x ≤ 0.
Considering a flexible low priority service class q request with queue buffer
size Q, new request blocking probability is calculated to be:
PPb =
C
i=0
Q
q=0
q≤i
Pi,C−i+q. (2)
126
Regarding high priority service class p request, blocking probability is calcu-
lated to be:
PCb =
Q
q=0
PC,q. (3)
Considering also the pre-emption case in our analysis, a new blocking proba-
bility is needed describing the probability a previously already admitted and
being into service class q connection is blocked after has been pre-empted by
class p priority traffic. Consequently a class q connection already being served
by the system in state (i, j)|j=0will be blocked and rejected if [service class
q connection has been pre-empted with probability a(i,j) and there
was no idle position in the queue] [service class q connection
has been pre-empted with probability a(i,j), gets a position in the
queue but will never be served due to impatience time expiration
with a probability 1 − Tyout/(i,j) ].
To analytically calculate this blocking probability we do consider the Markov
queue as an input – output system with yinandyoutsets of states. As input
yinset we do consider the set of states that could accommodate one service
class p request leading into pre-emption of one packet into the buffer, thus
yin = {(i, j) : (i, j) ∈ {(0, 3) , (1, 3) , (1, 2) , (2, 2) , (2, 1)}}
for total C = 3 resources and Q = 2 positions in the queue. Giving a good
reasoning example why state (0, 3) ∈ yin set will clarify also the same reasoning
for the rest states of the set. Indeed, state (0,3) means that system serves zero
class p services and three class q services; then on receiving a new class p
request, due to its priority over class q, one of the three (usually the latest
arrived since the buffer is considered to be FIFO) class q services on the buffer
will be pre-empted and the system will end up into new state (1,3). On the
contrary (2, 3) /∈ yin since state (2,3) means that system serves two class p
services and three class q services; then on receiving a new class p service,
due to its priority over class q service, one of the three class q services on the
buffer will not be pre-empted (the queue has only two positions) but it will
be discarded and the system will end up into new state (3,2), that is (2,3)
(3,2). Due to same reasoning {(3, 2) , (3, 1) , (3, 0)} /∈ yin since due to capacity
management (admission control) any new class p service will be immediately
rejected since the maximum capacity resource C = 3 would be exceeded. On
the other hand the only allowed state transitions into yin set are: (0, 3) → (1, 3)
or (0, 3) → (1, 3) → (2, 3) or (1, 3) → (2, 3) or (1, 2) → (2, 2) or (2, 2) → (3, 2)
or (1, 2) → (2, 2) → (3, 2) or (2, 1) → (3, 1).
Output yout set is the set of states that one previously pre-empted packet (due
to the acceptance of a new class p request in the system) has found back a
127
resource and has already been served, thus
yout = {(i, j) : (i, j) ∈ {(0, 2) , (1, 1) , (2, 0)}}
for total C = 3 resources and Q = 2 positions in the queue. As an example
state (0,2) means that system serves zero class p services and two class q
services; Following output transitions are valid:
• (1, 3) → (0, 3) → (0, 2). State (1,3) means one active class p service,
two active class q services already in service and one pre-empted class q
service on queue. Then with certain probability, before impatience time
expires, class p service is terminated, pre-empted class q service gets a
free resource and the system jumps into state (0,3) where three class q
services are in service. Finally one class q service is terminated and the
system jumps into state (0,2) as the output state.
• (2, 3) → (1, 3) → (0, 3) → (0, 2). State (2,3) means two active class p
services, one active class q service already in service and two pre-empted
class q services on queue. Then with certain probability, before impa-
tience time expires, one class p service is terminated, one pre-empted
class q service gets a free resource and the system jumps into state (1,3)
where now one active class p connection is in service, two active class q
connections are already in service and one pre-empted class q service exist
on queue. Then with certain probability, before impatience time expires,
last class p service is terminated, last pre-empted class q service gets a
free resource and the system jumps into state (0,3) where three class q
services are in service. Finally one class q service is terminated and the
system jumps into state (0,2) as the output state.
• Any other path is forbidden since they have to pass through state tran-
sitions (1, 3) → (1, 2) or (2, 3) → (2, 2).
In previous statement yout state indicate any combination of class p and class q
occupied resources leaving one extra system resource empty, that is according
to figure 3 the states (0, 2), (1, 1) or (2, 0) respectively. Tyout/(i,j) is defined as
the sum of all possible transition probabilities from any possible state (i,j)
into any possible yout state. Consequently an existing class q service will be
blocked based on the following blocking probability formula:
PB|Q=0 =
C−1
i=0
a(i, C − i − 1) · PQ+i,n−i if Q+i>n
Q+i=n
+
C
i=1
Q−1
q=0
q≤i
a(i, C − i) · 1 − Tyout/(i,n−i+q) Pi,n−i+q.
(4)
128
Fig. 3. The state diagram with queue to calculate Tyout/(i,j)
To calculate the probability Tyout/(i,j) we have to calculate each transition prob-
ability separately. Calculations on transition probabilities could be facilitated
by applying following lemma:
Lemma. Transition probability Q(2,2)→(1,2) could be calculated as [14]:
Q(2,2)→(1,2) =
2µn
2µn + (µb + 2µd) + (µb)
. (5)
Proof. Transition (2, 2) → (1, 2) is a feasible transition only when service time
of traffic classes p (Tµn) is less than minimum class q service time between
(Tµd, Tµb)in state (2,2) and remaining patience time (Tµb), that is:
Q(2,2)→(1,2) = P (min ((Tµd, Tµb) , Tµb) > Tµn) .
However, for any value of time t:
P (min ((Tµd, Tµb) , Tµb) > t) = P (((Tµd, Tµd) > t) ∩ (Tµn > t))
= P ((Tµd, Tµd) > t) · P (Tµn > t)
= (1 − F (Tµd, Tµd)) · (1 − F (Tµn)) .
According to our initial considerations, arrival and service times follow expo-
nential distributions of the form f(t) = ae−at
and F (t) = 1 − e−at
, where a is
the mean service or arrival rate. Hence:
P (min ((Tµd, Tµb) , Tµb) > t) = e−(2µd+µb)·t
· e−µb·t
= e−(2µd+µb+µb)·t
.
Since Tµn follows exponential distribution with mean rate 2µn in state (2,2)
129
then:
Q(2,2)→(1,2) =
∞
0
2µn · e−2µn·t
· e−(2µd+µb+µb)·t
dt =
2µn
2µn + 2µd + µb + µb
.
And the Lemma has been proven.
Based on this proof all other transition probabilities could be calculated in
the same way.
Fig. 4. First case of transition from states (0, 3) or (1, 3) or (1, 2) or (2, 2) into state (0, 2)
Figures 4 up to figure 6 describe the detailed calculations:
Pi,j = Tyout/(i,1)→(i,j) · Pi,1 + Tyout/(i,2)→(i,j) · Pi,2 + ...
+Tyout/(1,j)→(i,j) · P1,j + Tyout/(2,j)→(i,j) · P2,j + ... + SYin→i,j · Yin.
Fig. 5. Second case of transition from states (1, 3) or (2, 3) or (1, 2) or (2, 2) or (2, 1) into state (1, 1)
130
A more compact way to represent the calculation of Pi,j is the use of matrix
representation technique, developed by Chen & Huaichen [15], which could
replace the well known Mason’s Rule when many repetitive calculations had
to be executed.
P = Tyout · P + S · Yin ⇔ W = P/Yin = inv (I − Tyout) · S.
where W is an N × 1 matrix with N states Markoff state model and S an
N × 1 matrix declaring the transition probability from Yin into any possible
system state.
Fig. 6. Third case of transition from states (2, 2) or (2, 1) into state (2, 0)
2.3. No buffer queue for pre-empted q-type services
In case queue length is zero then the model degenerates to Fig. 7. Pre-emption
probability of an already existing class q service into the system equals at least
the sum of products P
i,j
i+j=C
i=C
with the transition probability b(i, j) i+j=C
i=C
.
Transition probability b(i, j) i+j=C
i=C
is defined as Q(i,j)→(i+1,j−1), that is the
probability the system goes over from state (i, j) |i+j=C to state (i + 1, j −
1) |i+j=C . This could happen only if the arrival time of p requests (Tλn, Tλh)
is less than class q serving time (Tµd) and less than class p serving time (Tµn)
in state (i,j), that is:
Q(i,j)→(i+1,j−1) = P (min ((Tµd, Tµb) , Tµb) > Tµn) . (6)
131
Following the same technique as in (5):
Q(i,j)→(i+1,j−1) = b(i, j) i+j=C
i=C
=
λn + λh
λn + λh + iµn + jµd
. (7)
Fig. 7. The state diagram (two dimensional Markov chain) for GSM/GPRS traffic without queue
As a consequence blocking probability of class q connection previously being
served, in case of a model without queue, is calculated to be:
PB|Q=0 =
n
j=1
C−j
i=0
b(i, j) · Pi,j together with the restrictions
0 ≤
C−1
i=0
b(i, C − i) · Pi,C−i ≤ PB|Q=0
C−1
i=0
λn + λh
λn + λh + iµn + (C − i)µd
· Pi,C−i ≤ PB|Q=0 .
Blocking probability for a pre-empted class q connection in a system without
queue is:
PB,pre-empted|Q=0 =
C−1
i=0
λn + λh
λn + λh + iµn + (C − i)µd
· Pi,C−i. (8)
Considering these bounds, recalling equation (4) it can be rewritten as:
0 ≤ PB|Q=0 ≤
C−1
i=0
b(i, C − i + 1) · PQ+i,n−i if Q+i>n
Q+i=n
+
C
i=1
Q−1
q=0
q≤i
b(i, C − i) · 1 − Tyout/(i,n−i+q) Pi,n−i+q,
132
where b(i, j) i+j=C
i=C
is the maximum transition probability when system has
all channels occupied, whereas in all others states case is
b(i, j) i+j≤C
i=C
≤ b(i, j) i+j=C
i=C
.
So, the blocking probability for a pre-empted packet in a system with queue
implementation is calculated as:
PB,pre-empted|Q=0 =
C−1
i=0
b(i, C − i + 1) · PQ+i,n−i if Q+i>n
Q+i=n
+
C
i=1
Q−1
q=0
q≤i
b(i, C − i) · 1 − Tyout/(i,n−i+q) Pi,n−i+q,
or
PB,pre-empted|Q=0 =
C−1
i=0
λn + λh
λn + λh + iµn + (C − i + 1)µd
· PQ+i,n−i if Q+i>n
Q+i=n
+
+
C
i=1
Q−1
q=0
q≤i
λn + λh
λn + λh + iµn + (C − i)µd
· 1 − Tyout/(i,n−i+q) Pi,n−i+q.
(9)
The waiting time of a queued pre-empted packet is defined as the time differ-
ence between the period of time an arbitrarily selected waiting packet spends
in queue to the time it successfully accesses a free channel. The waiting
time Wschedule (i, j) could be calculated using 1 − Tyout(i,j) , which can be
expressed as 1 − Tyout(i,j) = Prob {Tµb > W (i, j)}. Since Tµb is assumed to be
exponentially distributed, Wschedule (i, j) can be obtained by Wschedule (i, j) =
− 1
µb
ln 1 − Tyout(i,j) . Consequently the average scheduling waiting time of a
queued pre-empted packet can be obtained by
Wschedule =
n
j=1
Q−1
q=0
q≤j
W (j, n − j + q) Pj,n−j+q
n
j=1
Q−1
q=0
q≤j
Pj,n−j+q
. (10)
3. One-Dimension Waiting Time FIFO Queue
After pre-empted IP packet enters the buffer and waits in average Wschedule pe-
riod of time, it has to leave the pre-emption buffer and enter the MAC/Ethernet
133
transmission buffer, where other packets have been already scheduled in a
FIFO sequence. In that phase we have to calculate the average delay time a
packet spends on the transmission buffer before transmission over the LAN
towards the EPC core. We do consider a generalized queue system with one
single server, m channels (resources) in parallel [19], finite queue transmission
length, Poisson process arrivals and independent and uniform service timeµ0
distributed on [0, s], s > 0. Transit time effects are neglected on this anal-
ysis and the reasoning behind uniform distributed service time is the really
small scheduling delay for every IP MAC packet in the queue, following the
strict requirements on LTE transmission Pbit priority scheduling delays and
performing average uniform service time distribution. For equilibrium in the
queue solution we do suppose that m > λ. Define πn the probability of existing
specifically n IP MAC packets in both queue and service at a given time τ and
pn the probability that no more than n packets exists in the model at given
time τ. Further in our analysis the probability in the unit of time specifically
zero packets exists in the queue and m packets in service π0 could be calculated
as the intersection of (the probability pm that no more than zero packets exist
in the queue as long as m packets exist in the server at the beginning of unit
of time) and (the probability (Poisson distribution) of zero arrivals during the
considered time interval), that is:
π0 = pm ∩ e−λ
= pm · e−λ
. (11)
Using same reasoning the probability that specifically one packets exists in
the queue π1 at the unit of time could be calculated as the union of [the
intersection of (the probability pm that no more than zero packets exist in
the model as long as m packets exist in the server at the beginning of unit of
time) and (the probability (Poisson distribution) of one arrivals during that
interval τ = 1/µ0)] and [intersection of (the probability πm+1 that exactly one
packet exist in the queue and m packets in service at the beginning of unit of
time) and (the probability (Poisson distribution) of zero arrivals during that
interval)]:
π1 = pm ∩ λe−λ
∪ πm+1 ∩ e−λ
= pm · λe−λ
+ πm+1 · e−λ
. (12)
Considering the general case, the overall probability that specifically n packets
exists in the system πn at the unit of time equals:
πn = pm ·
λn
n!
e−λ
+
n
k=1
πm+k ·
λn−k
(n − k)!
e−λ
=
pm ·
λn
n!
e−λ
+
n
k=0
πm+k ·
λn−k
(n − k)!
e−λ
− πm ·
λn
n!
e−λ
.
(13)
134
To calculate then the probability πn in the above general formula, we do
proceed with Laurent series expansion as follows:
∞
n=0
πnzn
=
∞
n=0
pm ·
λn
n!
e−λ
zn
+
∞
n=0
n
k=0
πm+k ·
λn−k
(n − k)!
e−λ
zn
−
∞
n=0
πm ·
λn
n!
e−λ
zn
(14)
∞
n=0
πnzn
= pme−λ
∞
n=0
(λz)n
n!
+ e−λ
∞
n=0
n
k=0
πm+k ·
(λz)n
λ−k
(n − k)!
−
πme−λ
∞
n=0
(λz)n
n!
.
(15)
Following the summations and after appropriate mathematical calculations we
do simplify (15) into:
Π (z) = (pm − πm) eλ(z−1)
+ e−λ
∞
n=0
πm (λz)n
n!
+ e−λ
∞
n=0
πm+1 (λz)n
λ · (n − 1)!
+ ...
... + e−λ
∞
n=0
πm+n (λz)n
λn
=
Πm (z) − pmzm
1 − zmeλ(1−z)
.
(16)
Where using Laurent power series definition we define the generating function
Π(z) =
∞
n=0
πnzn
and by definition of finite Laurent series Πm(z) =
m
n=0
πnzn
.
Since 0 ≤ πn ≤ 1, complex function Π(z) is a regular function bounded into the
unit circle on the complex space |z| ≤ 1. Numerator Πm (z)−pmzm
consists of
two polynomials of mth
order. Both Πm (z) and pmzm
are analytical functions
inside the simple curve |z| ≤ 1 and also bounded into the unit circle on the
complex space|z| ≤ 1. Since |pmzm
| ≤ |Πm (z)| on |z| ≤ 1 then both have same
number of zeroes inside |z| ≤ 1 and since they are polynomials of mth
order
they have m zeroes inside|z| ≤ 1, denoted as z1, z2, ..., zm respectively leading
into a closed form function of Π (z)can be written then as:
Π (z) =
A (z − z1) (z − z2) · · · (z − zm)
1 − zmeλ(1−z)
=
A (z − z1) (z − z2) · · · (z − zm−1) · (z − 1)
1 − zmeλ(1−z)
.
(17)
Since z = 1 is one of the roots of the numerator are:
lim
z→1
(Πm (z) − pmzm
) = lim
z→1
m
n=0
πnzn
− pmzm
=
m
n=0
πn − pm = 0. (18)
And further more in (17) factor A is a constant calculated from the total
135
probability condition:
lim
z→1
Π (z) = lim
z→1
∞
n=0
πnzn
=
∞
n=0
πn = 1 (19)
lim
z→1
Π (z) = lim
z→1
A(z−z1)···(z−zm−1)(z−1)
1−zmeλ(1−z) = lim
z→1
A(z−z1)···(z−zm−1)(z−1)
1−zmeλ(1−z) = 1 ⇒
A = λ−m
(1−z1)(1−z2)···(1−zm−1)
.
(20)
Finally using the Laurent series:
Π (z) =
(λ − m) (z − z1) (z − z2) · · · (z − zm)
(1 − z1) (1 − z2) · · · (1 − zm−1) [1 − zmeλ(1−z)]
⇒
∞
n=0
πnzn
=
(λ − m) (z − z1) (z − z2) · · · (z − zm)
(1 − z1) (1 − z2) · · · (1 − zm−1) [1 − zmeλ(1−z)]
.
(21)
To calculate πn it is needed to expand the right part of previous equation
into the Laurent series around z = 0. πn, n = 0, 1, 2...n will be the coeffi-
cients of zn
after the expansion is performed. Considering the case of m =
1 (MAC/Ethernet transmission scheduler considers each packet as a unique
service input) the numerator is degenerated into a simple polynomial of order
one with one single real root
(Πm (z) − pmzm
)|m=1 = 0 ⇒
1
n=0
πnzn
−
1
n=0
πmz
m=1
= 0 ⇒
(π0 + π1z − π0z − π1z) = 0 ⇒ z = 1, π0 = 0.
(22)
The polynomial expansion coefficients, after expanding the polynomial into
Laurent series around z = 0 become:
Π (z) =
∞
n=0
πnzn
=
(λ − 1) (z − 1)
1 − zeλ(1−z)
=
1 − λ
µ
+ λ
µ
− 1 1 − e
λ
µ z + λ
µ
− 1 e
λ
µ λ
µ
− 1 − e2 λ
µ z2
+ ...
(23)
From the expansion the general term is calculated:
πn = 1 −
λ
µ
n
k=1



(−1)n−k
ek λ
µ



kλ
µ
n−k
(n − k)!






+ 1 −
λ
µ
n
k=1
k=n



(−1)n−k
ek λ
µ



kλ
µ
n−k−1
(n − k − 1)!






.
(24)
136
And average expected packet buffer delay is calculated as
Wbuffer =
∞
n=1
nπn =
∞
n=1
n


 1 −
λ
µ
n
k=1



(−1)n−k
ek λ
µ



kλ
µ
n−k
(n − k)!








 +
+
∞
n=1
n



 1 −
λ
µ
n
k=1
k=n



(−1)n−k
ek λ
µ



kλ
µ
n−k−1
(n − k − 1)!









 .
(25)
Finally the total pre-empted packet transmission delay equals:
W = Wschedule + Wbuffer (26)
while the total prioritized packet transmission delay equals:
W = Wbuffer. (27)
References
[1] 3GPP TS 23.060 V.8.5.1 service description 2009.
[2] ETSI, GSM Specification Service description, Stage 1, 1999 (02.60); Service
description, Stage 2, 1999 (03.60).
[3] 3GPP TS 23.107 Quality of Service (QoS) concept and architecture WCDMA.
[4] 3GPP TS 29.212 v8.8.0 Policy and Charging Control over Gx Reference Point,
Technical Specification Group Core Network & Terminals.
[5] 3GPP TR 25.913 Feasibility Study of Evolved UTRA and UTRAN.
[6] Dahlman, Parkvall, Skold and Beming, 3G Evolution: HSPA and LTE for
Mobile Broadband, Academic Press, Oxford, UK, 2007.
[7] 3GPP TS 25.104 Base Station (BS) radio transmission and reception (FDD).
[8] Pokhariyal, A., Kolding, T. E. & Mogensen, P. E., Performance of Downlink
Frequency Domain Packet Scheduling For the UTRAN Long Term Evolution,
Proc. of IEEE International Symposium on Personal, Indoor and Mobile Radio
Communications, (2006).
[9] 3GPP TS 29.212 v8.8.0 Policy and Charging Control over Gx Reference Point,
Technical Specification Group Core Network & Terminals.
[10] 3GPP TS 23.203, Policing and Charging Control Architecture, Rel-11, V11.4.0,
2011.
137
[11] Glaucio H.S. Carvalho, Victor S. Martins, Carlos R.L. Frances, Joao C.W.A.
Costa, Solon V. Carvalho, Performance analysis of multi-service wireless
network: An approach integrating CAC, scheduling, and buffer management,
Elsevier journal on Computers & Electrical Engineering (2008), Volume 34,
Issue 4, pp. 346–356.
[12] Shensheng Tang, Wei Liz, Performance analysis of a channel allocation
scheme for multi-service mobile cellular networks, International Journal of
Communication Systems (2007), Volume 20, Issue 2.
[13] Shensheng Tang, Wei Li, Junghwan Kim, Modeling adaptive
bandwidth allocation scheme for multi-service wireless cellular networks, IEEE
International Conference on Wireless And Mobile Computing, Networking And
Communications (WiMob’2005), Vol. 2, pp. 189–195.
[14] Chung-Ju Chang, Tian-Tsair Su and Yueh-Yling Chiang, Analysis of a Cutoff
Priority Cellular Radio System with Finite Queueing and Reneging/Dropping,
Proc. IEEE/ACM Transaction of Networking (1994), Vol. 2, No, 2, pp. 166–175.
[15] Chen, Huaichen, The Matrix Expression of Signal Flow Graph and Its
Application in System Analysis Software, Chinese Journal of Electronics (2002),
Vol.11, No.3, pp. 361–363.
[16] Niyato D, Hossain E., Call admission control for QoS provisioning in 4G
wireless networks: issues and approaches, IEEE Network (2005), Vol.19, issue
5, pp. 5–11.
[17] Ogbonmwan SE, Li W., Kazakos D., Multi-threshold bandwidth reservation
scheme of an integrated voice/data wireless network, International Conference
on Wireless Networks, Communications and Mobile Computing (2005), Vol.1,
pp. 226–231.
[18] Ogbonmwan SE, Li W., Multi-threshold bandwidth reservation scheme of an
integrated voice/data wireless network, Journal of Computer Communications
(2006), Vol.29, Issue 9.
[19] Spiros Louvros, Michael Paraskevas, Analytical average throughput and delay
estimations for LTE uplink cell edge user, Journal of Computers & Electrical
Engineering, eslevier, 40(5): pp. 1552–1563, 2014.
138
Selected papers of the 2014 International Conference
on Topology and its Applications
(2015) Pages 139–150
Department of Mathematics
University of Patras
Greece
Analysis of LTE Multi-Carrier Signal
Transmission over Wireless Channels with
Operators on Heisenberg Group H (R)
Spiros Louvros 1
, Ioannis Kougias 2
1,2 Computer and Informatics Engineering Department, Technological Educational
Institute of Western Greece
Abstract
Wireless Communications phase quit often many problems on signal transmissions
over fading channels. Multi-carrier communications, as OFDM, are very popular
lately on broadband wireless channels. This paper binds together the theory of lin-
ear operators and Heisenberg group with multi-carrier signal transmission analysis
over wireless channels and reveals multi-carrier problems with specific functional
operator formalism.
1. Introduction
As it is well known in wireless communications, fading is defined as the devi-
ation of transmission attenuation affecting a signal over certain propagation
media. Fading for fixed communication links (fixed transmitter and fixed re-
ceiver) varies with time (due to moving surroundings and reflectors as cars,
tree foliage etc), geographical position or radio frequency, and is often modelled
as a random process using Rayleigh distribution. On the other hand mobile
communications radio channel (transmitter and/or receiver are moving com-
ponents of network topology) fading varies always with time due to receiver
and/or transmitter motion. Consequently fading channel is a communication
channel that experiences fading. Specifically in wireless systems, fading might
either be due to multipath propagation (known as multipath fading), or due
to shadowing from obstacles affecting the wave propagation (known as shadow
fading), figure 1.
1 splouvros@gmail.com
2 kougias@teimes.gr
Fig. 1. Block Diagram of Wireless Transmission
2. Basic Wireless Multi-path Channel Analysis
For our mathematical analysis we shall consider a wireless channel with fixed
transmitter (Base Station on cellular communications) and moving receiver
(user handset UE). Such a channel fits perfectly for the Radio Access Network
(RAN) of most common cellular networks, i.e. LTE, WCDMA, GSM. Such a
communication system is presented on figure 2.
Fig. 2. Block Diagram of Wireless multi-path communication system
The impulse response of such a wireless multipath fading channel will be the
superposition of all different paths throughout the transmission environment:
h(τ, t) =
ν
k=1
Ak(t)ejϕk(t)
δ(τ − τk(t)) (1)
Where variable t is the time reference for signal variance, τ is the delay of each
different k ∈ {1, 2, ..., ν} out of ν paths over the wireless channel, ϕk(t) is the
different phase contribution of each path and Ak(t) is the time and travelled
distance dependant amplitude contribution of each path. It is still needed to re-
calculate the impulse response since different phase contributions ϕk(t) are not
known yet. To do such calculations it is needed to consider a general base-band
140
signal s(t) which modulates an analog carrier ej2πfct
resulting into the complex
signal x(t) = Re s(t)ej2πfct
. This signal is the input to the wireless channel
h(t, τ), according to figure 2. Because of the multi-path nature of the wireless
channel the received signal will be the superposition of all k ∈ {1, 2, ..., ν}
different paths contributing into signal deterioration:
y(t) = x(t) ∗ h(τ, t) = x(t) ∗
ν
k=1
Akejϕk
δ(t − τk) (2)
It is not recommended to calculate convolution but to try to estimate the
expected received signal from basic principles of signal transmission. Since
wireless channel is multi-path fading channel the received signal is expected
to be the contribution of all different paths k ∈ {1, 2, ..., ν} with the expected
delays τk, y(t) =
ν
k=1
Ak(t)x(t − τk). Substituting the delayed version of the
complex input signal into y(t) provides the expected received signal:
y(t) = Re
ν
k=1
Ak(t)s(t − τk)ej2πfc(t−τk)
=
Re
ν
k=1
Ak(t)s(t − τk)e−j2πfcτk
ej2πfct
(3)
The meaning of equation (3) is that initial base-band input signal x(t) will be
deteriorate due to superposition of the multi-paths, resulting into a received
signal y(t) which is the result of the wireless channel effects. Consequently
considering initial input signal x(t) = Re s(t)ej2πfct
, the impulse response
from (1), the convolution integral from (2) and equation (3):
y(t) =
ν
k=1
Ak(t)s(t − τk)e−j2πfcτk
ej2πfct
= x(t) ∗ h(τ, t) =
+∞
−∞
h (t) x (t − τ) dτ
=
ν
k=1
+∞
−∞
Akejϕk
s(t − τ)ej2πfc(t−τ)
δ(t − τk)dτ
=
ν
k=1
Akejϕk
s(τk − τ)ej2πfc(τk−τ)
and changing notation
τ → t =
ν
k=1
Akejϕk
s(t − τk)ej2πfc(t−τk)
=
ν
k=1
Aks(t − τk)ej(ϕk−2πfcτk)
ej2πfct
.
Hence it is concluded that:
h(t) =
ν
k=1
Ak(t)ejϕk
δ(t − τk) =
ν
k=1
Ak(τk)e−j2πfcτk
δ(t − τk) (4)
141
3. OFDM Transmitted Pulses Analysis
In a multi-carrier communication system (like OFDM) a bit input sequence
bn = {X1, X2, ..., XN }, information elements of a specific service with sup-
ported R bits/s rate, is introduced into a S/P converter and split into N
parallel sub-sequences of specific s sub-carriers, bn,s = {X1,s, X2,s, ..., XN,s},
n = {1, 2, ..., N}. Each sub-carrier transmits info with R/N bits/s rate with
bit duration Tb = N/R. In such a transmission technique, Inter-Symbol Inter-
ference (ISI) is minimized. However, in order to further eliminate as much as
possible ISI, a cyclic prefix of Tg duration is introduced on the beginning of
each signal period. Each bit symbol {Xn} on the parallel transmission modu-
lates one carrier signal of the following form:
Φn (t) =



ej2πn(∆f)n(t−Tg)
0 ≤ t ≤ Tb
0 Tb < t < +∞
(5)
The resulting signal is the nth
sub-carrier discrete modulated signal XnΦn(t)
= Xnej2π(∆f)nt
, ∆f = 1/(T − Tg). Input signal to the channel is considered
to be the superposition of N discrete sub-carrier modulated signals xs (t) =
N
n=1
Xn,sΦn (t) which on discrete time instance t0 = s is considered to be
xs (t)|t=sT =
N
n=1
Xn,s Φn (t)|t=sT =
N
n=1
Xn,sej2πn(∆f)n(sT−Tg)
.
Information transmission of rate R bits/s is accomplished considering the rep-
etition of xs (t)|t=sT consecutive signals on a time duration of lim
s→∞
t = lim sT
s→∞
,
and finally the input signal to the multipath wireless channel is
x(t) =
+∞
s=−∞
xs (t − sT) =
+∞
s=−∞
N
n=1
Xn,sΦn (t − sT) ,
which after expansion equals:
x(t) =
+∞
s=−∞
xs (t − sT) =
+∞
s=−∞
N
n=1
Xn,se−j2πn(∆f)n(sT+Tg)
ej2πn(∆f)nt
(6)
4. Linear time-frequency shift operator notation
Consider now the following time translation operator ˆTsT x (t) = x (t − sT) and
the following modulation operator ˆM∆f x (t) = ej2π(∆f)t
x (t). The transmitted
142
signal xs (t) =
N
n=1
Xn,sΦn (t) over the multi-path wireless channel could be
re-written as
xs (t) =
N
n=1
Xn,sΦn (t) =
N
n=1
Xn,sej2πn(∆f)n(t−Tg)
=
N
n=1
ˆTTg
ˆM∆f Xn,s (7)
And the multi-path wireless channel impulse response will be rewritten as:
h(τ, t) =
ν
k=1
Ak(τk)e−j2πfcτk
δ(t − τk) =
ν
k=1
ˆTτk
ˆM−fc Ak(t) δ(t − τk) (8)
OFDM assembled signal will be introduced into the multi-path wireless chan-
nel of (1) together with additive noise and considering the convolution prop-
erty of system theory will be received as:
y(t) = h (t) ∗ x (t) + n (t) ⇒ y(t) =
+∞
−∞
h (t) x (t − τ) dτ + n (t) (9)
Or substituting (4) and (6) into (9):
y(t) =
+∞
−∞
ν
k=1
Ak(τk)e−j2πfct
δ(t − τk)
+∞
s=−∞
N
n=1
Xn,se−j2πn∆fn(sT+Tg+τ)
ej2πn∆fnt
dτ + n (t)
y(t) =
Tg
0
ν
k=1
Ak(τk)e−j2πfcτk
δ(t − τk)
+∞
s=−∞
N
n=1
Xn,se−j2πn∆fn(sT+Tg+τ)
ej2πn∆fnt
dτ + n (t)
(10)
Considering the frequency-shift operator representation of (7) and (8), equa-
tion (10) could be re-written as:
y(t) =
Tg
0
ν
k=1
ˆM−fc Ak(t) ˆTτk
δ(t)
+∞
s=−∞
N
n=1
ˆTTg+τ+sT
ˆM∆f Xn,s dτ + n (t)
(11)
Moreover we could also introduce the scalar operator ˆSτ x (t) = ej2πτ
x (t). The
set
ˆSτ , ˆTt0 , ˆM∆f , (t, f) ∈ R × R, ej2πτ
→ τ ∈ A =
R
Z
with the set multiplication R×R×A is known as the Heisenberg Group H (R).
143
5. Signal Recovery on Receiver using Linear Operators
To proceed with our analysis, referring to figure 2, the receiver equation (re-
ceived signal y(t)) could be written as y(t) = h (t) ∗ x (t) + n (t), that is the
convolution of channel impulse response h (t) with input signal x (t) plus the
channel additive noise which is produced by inter-cell interference and Doppler
shifts contributions. However we shall be able to use linear operator formalism
and write the receiver equation in a more compact format, hence use an ap-
propriate “convolution operator” (or channel characteristic operator) ˆH such
as
ˆHx (t) = ˆHx (t) = (h ∗ x) (t)
=
+∞
−∞
h (t) x (t − τ) dτ =
+∞
−∞
h (t − τ) x (t) dτ.
Using such defined operator we could reform the basic received signal equation
on figure 2 as (12):
y(t) =
+∞
−∞
h (t − τ) x (t) dτ + n (t) ⇒ y(t) = (h ∗ x) (t) + n (t) ⇒
y(t) = h (t) ∗ x (t) + n (t) ⇒ y(t) = ˆHx (t) + n (t) (12)
The main concern in a telecommunication link based on OFDM signals (like
LTE air interface radio link) is the ability to recover back the original trans-
mitted signal x (t) from the “corrupted” (deteriorated due to additive noise)
received signal y(t) over the multi-path channel. To express mathematically
such a design demand we should use a matched filter on the receiver. Such a
filtering process imposes the use of specific unique pulses Ψn(t)on the receiver.
To use a proper topological metric spaces formalism, a special scalar linear
operator (inner product operator)
ˆP : ˆPx = x, Ψn
of the metric Heisenberg Group H (R), R × R × A should be applied on the
received signal y(t). Then in close compact format the received signal (which
are in our case is the matched filter sampling sequence of received symbols
Yn,s = {Y1,s, YN,s, ...YN,s}) could be recovered using the linear operation
Yn(t) = ˆPx = y(t), Ψn(t) =
+∞
−∞
y(t) · Ψ∗
n(t)dt.
Using the previous scalar operator formalism together with input signal no-
tation xs (t) =
N
n=1
Xn,sej2πn(∆f)n(t−Tg)
, the received signal sequences could be
144
written as:
Yn =
s=+∞
s=−∞
ˆP ˆH ˆP∗
xs (t) =
s=+∞
s=−∞
y(t), Ψn(t) (13)
under the following two conditions:
1st
Condition: Ψn(t), Ψm(t) = Ψn(t)∗Ψ∗
m(t)dt = an,mδn,m, that is under
the strict constrain for the specific unique pulses Ψn(t) of forming an orthog-
onal basis on L2 (R).
2nd
Condition:
s=+∞
s=−∞
n(t), Ψn(t) ≈ 0.
Proof.
Lemma. Prove
x(t) =
+∞
s=−∞
xs (t − sT)
=
+∞
s=−∞
N
n=1
Xn,sej2πn(∆f)n(t−sT−Tg)
=
+∞
s=−∞
ˆP∗
xs (t − sT)
under the special condition
+∞
−∞
Ψn(t) · e−j2πn(∆f)n(t−sT−Tg)
dt = 1.
Indeed:
ˆP∗
xs (t − sT)= Ψn(t), xs (t − sT) , substituting
xs (t − sT) =
N
n=1
Xn,sej2πn(∆f)n(t−sT−Tg)
:
ˆP∗
xs (t − sT) = Ψn(t), xs (t − sT) =
+∞
−∞
Ψn(t) · x∗
s (t − sT) dt ⇒
ˆP∗
xs (t − sT) =
N
n=1
X∗
n,s
+∞
−∞
Ψn(t) · e−j2πn(∆f)n(t−sT−Tg)
dt.
Then
+∞
s=−∞
ˆP∗
xs (t − sT) =
+∞
s=−∞
N
n=1
X∗
n,s
+∞
−∞
Ψn(t) · e−j2πn(∆f)n(t−sT−Tg)
dt
145
and in case of special condition
+∞
−∞
Ψn(t) · e−j2πn(∆f)n(t−sT−Tg)
dt = 1:
+∞
s=−∞
ˆP∗
xs (t − sT) =
+∞
s=−∞
Ψn(t), xs (t − sT) =
+∞
s=−∞
N
n=1
X∗
n,s = x(t).
Then using this lemma and continue with the proof:
Yn =
s=+∞
s=−∞
ˆP ˆH ˆP∗
xs (t) ⇒ Yn =
s=+∞
s=−∞
ˆP ˆH ˆP∗
xs (t)
⇒ Yn =
s=+∞
s=−∞
ˆP ˆH Ψn(t), xs (t)
⇒ Yn =
s=+∞
s=−∞
ˆP ˆHx(t) ⇒ Yn =
s=+∞
s=−∞
ˆP ˆHx(t) .
From the received signal equation y(t) = ˆHx (t) + n (t) it is obvious that
ˆHx (t)= y(t) − n (t). Substituting in the previous analysis:
Yn =
s=+∞
s=−∞
ˆP ˆHx(t) ⇒ Yn =
s=+∞
s=−∞
ˆP (y(t) − n (t))
and since ˆP : ˆPx = x, Ψn is a well defined scalar linear operator follows:
Yn =
s=+∞
s=−∞
ˆPy(t) −
s=+∞
s=−∞
ˆPn (t) ⇒ Yn =
s=+∞
s=−∞
ˆPy(t) −
s=+∞
s=−∞
ˆPn (t) ⇒
Yn =
s=+∞
s=−∞
y(t), Ψn(t) −
s=+∞
s=−∞
n(t), Ψn(t) .
Now first condition will lead to the selection of the specific unique pulses Ψn(t)
of the matched filter on the receiver. Indeed condition
+∞
−∞
Ψn(t) · e−j2πn(∆f)n(t−sT−Tg)
dt = 1,
implies that the selection of Ψn(t) functions (pulses) should be carefully con-
sidered in order to optimize the receiver performance. A good selection might
be a set of pulses Ψn(t) = e−j2πn(∆f)n(t−sT−Tg)
∗
= ej2πn(∆f)n(t−sT−Tg)
.
The matched filter pulses Ψn(t) = {Ψ1(t), Ψ2(t), ..., ΨN (t)} are then given by
following selection:
Ψn (t) =



Φn (t − T) = 1√
(T−Tg)
ej2πn(∆f)n(t−sT−Tg)
, 0 ≤ t ≤ T − Tg
0, T − Tg < t < +∞.
(12)
146
And filtering out on receiver using matched filter pulses Ψn(t) on time period
[Tg, T] means that on such a time filter period cyclic prefix is removed from
the real user info.
Such selection of pulses, considering the demand
+∞
−∞
Ψn(t) · e−j2πn(∆f)n(t−sT−Tg)
dt = 1,
imposes the strict constrain of forming an orthogonal basis on L2 (R) on time
period [Tg, T], that is Ψm(t), Ψn(t) = Ψn(t) ∗ Ψ∗
m(t)dt = an,mδn,m.
Indeed choice of pulses (12) is an orthogonal basis of L2 (R) on [Tg, T] since:
Ψn(t), Ψm(t) =
T
0
Φn (t) Φ∗
m (t) dt
=
1
(T − Tg)
T
0
ej2πn(∆f)n(t−sT−Tg)
e−j2πm(∆f)m(t−sT−Tg)
dt ⇒
Ψn(t), Ψm(t) =
1
(T − Tg)
T
Tg
ej2π(n−m)(∆f)(t−sT−Tg)
dt = δn,m =



1, n = m
0 n = m
.
However due to non ideal radio conditions, imposed by multi-paths and Doppler
shifts, there will be always a small frequency shift on the carriers. This shift
introduces channel impairs and results into
Ψn(t), Ψm(t) = an.mδn,m =



an, n = m
an,m n = m
,
which practically means that orthogonality is lost and noise (Bit Error Rate
– BER) is introduced into the receiver. As a result condition
+∞
−∞
Ψn(t) · e−j2πn(∆f)n(t−sT−Tg)
dt = 1
it is not realizable on real radio conditions and consequently there is not a
unique set of pulses to satisfy always 1st
condition requirement.
However we could relax the constraint and then consider the selection of ap-
propriate set of pulses Ψn(t) = {Ψ1(t), Ψ2(t), ..., ΨN (t)} so that condition
+∞
−∞
Ψn(t) · e−j2πn(∆f)n(t−sT−Tg)
dt ≈ 1
147
always holds. Suppose then that there is a small frequency shift due to Doppler,
¯Φn (t) =
1
(T − Tg)
ej2πn(∆f+∆f0)n(t−sT−Tg)
,
and time delay due to multi-path on the matched filter pulses,
¯Φm (t − t0) =
1
(T − Tg)
ej2πm(∆f)n(t−t0−sT−Tg)
,
then:
Ψn(t), Ψm(t) =
T
Tg
¯Φn (t) ¯Φ∗
m (t − t0) dt ⇒
Ψn(t), Ψm(t) = 1
(T−Tg)
T
Tg
ej2πn(∆fn+∆f0)(t−sT−Tg)
e−j2πm∆fm(t−t0−sT−Tg)
dt ⇒
Ψn(t), Ψm(t) = 1
(T−Tg)
T
Tg
ej2πn(∆f+∆f0)(t−sT−Tg)
e−j2πm∆f(t−t0−sT−Tg)
dt ⇒
Ψn(t), Ψm(t) =
1
(T−Tg)
T
Tg
ej2π(n−m)(∆f)(t−sT−Tg)
ej2πn(∆f0)(t−sT−Tg)
ej2πm(∆f)t0
dt =
an,mδn,m =



e−j2πm(∆f0)(sT +Tg)ej2πm(∆f)t0
(T−Tg)
T
Tg
ej2πm(∆f0)t
dt, n = m
e−j[2π(n−m)(∆f)+2πn(∆f0)](sT +Tg)ej2πm(∆f)t0
(T−Tg)
T
Tg
ej[2π(n−m)(∆f)+2πn(∆f0)]t
dt n = m
Which means that received signal is recovered on receiver but additive noise
deteriorates its shape. Indeed:
ˆP∗
xs (t − sT) =
N
n=1
X∗
n,s
+∞
−∞
¯Φn (t) ¯Φ∗
m (t − t0) dt ⇒
ˆP∗
xs (t − sT) =



N
n=1
X∗
n,s
e−j2πn(∆f0)(sT +Tg)ej2πn(∆f)t0
(T −Tg)
T
Tg
ej2πn(∆f0)t
dt, n = m
N
n=1
X∗
n,s
e−j[2π(n−m)(∆f)+2πn(∆f0)](sT +Tg)ej2πm(∆f)t0
(T −Tg)
T
Tg
ej[2π(n−m)(∆f)+2πn(∆f0)]t
dt n = m.
148
Consequently:
Yn =
s=+∞
s=−∞
ˆP ˆH ˆP∗
xs (t) ⇒ Yn =
s=+∞
s=−∞
ˆP ˆH ˆP∗
xs (t) ⇒
Yn =
s=+∞
s=−∞
ˆP ˆH Ψn(t), xs (t) =



+∞
s=−∞
N
n=1
ˆP ˆHX∗
n,s
e−j2πn(∆f0)(sT +Tg)ej2πn(∆f)t0
(T −Tg)
T
Tg
ej2πn(∆f0)tdt , n = m
+∞
s=−∞
N
n=1
ˆP ˆHX∗
n,s
e−j[2π(n−m)(∆f)+2πn(∆f0)](sT +Tg)ej2πm(∆f)t0
(T −Tg)
T
Tg
ej[2π(n−m)(∆f)+2πn(∆f0)]tdt n = m
=



+∞
s=−∞
N
n=1
ˆHX∗
n,s
e−j2πn(∆f0)(sT +Tg)ej2πn(∆f)t0
(T −Tg)
T
Tg
ej2πn(∆f0)tdt, Ψn(t) , n = m
+∞
s=−∞
N
n=1
ˆHX∗
n,s
e−j[2π(n−m)(∆f)+2πn(∆f0)](sT +Tg)ej2πm(∆f)t0
(T −Tg)
T
Tg
ej[2π(n−m)(∆f)+2πn(∆f0)]tdt, Ψn(t) n = m
(13)
Term
+∞
s=−∞
N
n=1
ˆHX∗
n,s
e−j2πn(∆f0)(sT+Tg)
ej2πn(∆f)t0
(T − Tg)
T
Tg
ej2πn(∆f0)t
dt, Ψn(t)
is the deteriorated wanted signal from same OFDM sub-carrier (meaning
n∆f = m∆f), while the other term
+∞
s=−∞
N
n=1
ˆHX∗
n,s
e−j[2π(n−m)(∆f)+2πn(∆f0)](sT+Tg)
ej2πm(∆f)t0
(T − Tg)
T
Tg
ej[2π(n−m)(∆f)+2πn(∆f0)]t
dt, Ψn(t)
denotes the additive noise caused by other OFDM sub-carriers (meaning n∆f =
m∆f) due to lost of orthogonality.
References
[1] H. Liu and G. Li, OFDM-Based Broadband Wireless Networks, Design and
Optimisation, John Wiley & Sons, 2005.
149
[2] Marwat, S.N.K..; Zaki, Y.; Goerg, C.; Weerawardane, T.; Design and
Performance Analysis of Bandwidth and QoS aware LTE Uplink Scheduler
in Heterogeneous Traffic Environment, IEEE 8th International Wireless
Communications and Mobile Computing Conference (IWCMC 2012), pp. 499–
504, Limassol, August 27-31, 2012.
[3] Yping Zhao, Sven-Gustav Haggman; An Analysis of Orthogonal Frequency
Division Multiplexing for Mobile Radio Applications, IEEE 44th Vehicular
Technology conference, Vol.3, June, 10, 1994.
[4] Thomas Strohmer; Pseudodifferential Operators and Banach Algebras in Mobile
Communications, Elsevier Journal of Applied and Computational Harmonic
Analysis, Volume 20, Issue 2, pp. 237–249, March 2006.
[5] Dahlman, Parkvall, Skold and Beming, 3G Evolution: HSPA and LTE for
Mobile Broadband, Academic Press, Oxford, UK, 2007.
[6] S. Louvros, A.C. Iossifides, K. Aggelis, A. Baltagiannis, G. Economou, A Semi-
Analytical Macroscopic MAC Layer Model for LTE Uplink, Proc. Of 5th IFIP
International Conference on New Technologies, Mobility and Security (NTMS
2012), Turkey Instanbul, May 2012.
[7] 3GPP TS 36.321, Evolved Universal Terrestrial Radio Access (E-UTRA);
Medium Access Control (MAC) protocol specification (Release 8), V8.1.0, 2008.
150
Selected papers of the 2014 International Conference
on Topology and its Applications
(2015) Pages 151–158
Department of Mathematics
University of Patras
Greece
mI-open sets and quasi-mI-open sets in terms
of minimal ideal topological spaces
M. Parimala 1
, S. Jafari 2
1Department of Mathematics, Bannari Amman Institute of Technology,
Sathyamangalam-638401, Tamil Nadu
2College of Vestsjaelland South, Herrestraede 11, 4200 Slagelse, Denmark
Abstract
The purpose of this paper is to introduce a new type of open sets called mI-open
sets and quasi-mI-open sets in minimal ideal topological spaces and investigate the
relation between minimal structure space and minimal ideal structure spaces. Basic
properties and characterizations related to these sets are given.
Key words: Minimal ideals, minimal local functions, topological ideals, minimal
ideal structure.
1991 MSC: 54A05, 54C10, 54B05.
1. Introduction
An ideal [8] I on a nonempty set X is a nonempty collection of subsets of X
which satisfies (i) A ∈ I and B ⊂ A implies B ∈ I and (ii) A ∈ I and B ∈ I
implies A ∪ B ∈ I. Given a topological space (X, τ) with an ideal I on X and
if P(X) is the set of all subsets of X, a set operator (.)∗
: P(X) → P(X),
called a local function [7] of A with respect to τ and I is defined as follows:
for A ⊂ X, A∗
(I, τ) = {x ∈ X : U ∩ A /∈ I for every U ∈ τ(x)} where
τ(x) = {U ∈ τ : x ∈ U}. A Kuratowski closure operator cl∗
(.) for a topology
τ∗
(I, τ), called the ∗-topology, finer than τ is defined by cl∗
(A) = A∪A∗
(I, τ)
[16]. When there is no chance for confusion, we will simply write A∗
for A∗
(I, τ)
and τ∗
for τ∗
(I, τ). If I is an ideal on X, then the space (X, τ, I) is called an
ideal space. A subset A of an ideal space is said to be ∗-dense in itself [5] (resp.
∗-closed [7]) if A ⊂ A∗
(resp. A∗
⊂ A). By a space (X, τ), we always mean
1 rishwanthpari@gmail.com
2 jafaripersia@gmail.com
a topological space (X, τ) with no separation properties assumed. If A ⊂ X,
then cl(A) and int(A) respectively, denote the closure and interior of A in
(X, τ) and int∗
(A) will denote the interior of A in (X, τ∗
). The notion of I-
open sets was introduced by Jankovic et al. [6], further it was investigated by
Abd El-Monsef [1].
2. Preliminaries
The notion of minimal structures and minimal spaces as a generalization of
topology and topological spaces were introduced in [9, 10]. Some other results
about minimal spaces can be seen in [2, 3, 14]. Also, generalized topologies
which are the other generalization of topology were defined by Csaszar [4].
Noiri and Popa [11] obtained the definitions and characterizations of separa-
tion axioms by using the concept of minimal structures.
Let (X, M) be a minimal space and Um(x) = {Um : x ∈ Um, Um ∈ M} be the
family of m-open sets which contain x.
A family M ⊂ P(X) is said to be a minimal structure on X if φ, X ∈ M. In
this case (X, M) is called a minimal space [9].
Definition 2.1. (See [12]) Let (X, M) be a minimal space with an ideal I
on X and (.)∗
m be a set operator from P(X) to P(X) (P(X) is the set of all
subsets of X). For a subset A ⊆ X,
A∗
m(I, M) = {x ∈ X : Um ∩ A /∈ I : for every Um ∈ Um(x)}
is called the minimal local function of A with respect to I and M. We will
simply write A∗
m for A∗
m(I, M).
Theorem 2.2. (See [12]) Let (X, M) be a minimal space with I, I ideals on
X and A, B be subsets of X. Then
(i) A ⊂ B ⇒ A∗
m ⊂ B∗
m,
(ii) I ⊂ I ⇒ A∗
m(I ) ⊂ A∗
m(I),
(iii) A∗
m = m-cl(A∗
m) ⊂ m-cl(A),
(iv) A∗
m ∪ B∗
m ⊂ (A ∪ B)∗
m,
(v) (A∗
m)∗
m ⊂ A∗
m.
Remark 2.3. (See [12]) If (X, M) has property [I], then A∗
m ∪B∗
m = (A∪B)∗
m.
Definition 2.4. (See [12]) Let (X, M) be a minimal space with an ideal I
on X. The set operator m-cl∗
is called a minimal ∗-closure and is defined as
m-cl∗
(A) = A ∪ A∗
m for A ⊂ X. We will denote by M∗
(I, M) the minimal
structure generated by m-cl∗
, that is, M∗
(I, M) = {U ⊂ X : m-cl∗
(X −U) =
X − U}. M∗
(I, M) is called ∗-minimal structure which is finer than M. The
152
elements of M∗
(I, M) are called minimal ∗-open (briefly, m∗-open) and the
complement of an m∗-open set is called minimal ∗-closed (briefly, m∗-closed).
Throughout the paper we simply write M∗
for M∗
(I, M). If I is an ideal on
X, then (X, M, I) is called an ideal minimal space.
Definition 2.5. A subset A of an m-space (X, M) is called
(i) an m-preopen set (see [15]) if A ⊆ m-int(m-cl(A)) and a m-preclosed set
if m-cl(m-int(A)) ⊆ A,
(ii) an m-semiopen set (see [15]) if A ⊆ m-cl(m-int(A)) and a m-semiclosed
set if m-int(m-cl(A)) ⊆ A,
(iii) m-α-open set (see [13]) if A ⊆ m-int(m-cl(m-int(A))) and an m-α-closed
set if m-cl(m-int(m-cl(A))) ⊆ A.
The m-pre closure (resp. m-semi closure, m-α-closure) of a subset A of an
m-space (X, M) is the intersection of all m-pre closed (resp. m-semi closed,
m-α-closed) sets that contain A and is denoted by m-pcl(A) (resp. m-scl(A),
m-αcl(A)).
Definition 2.6. (see [14]) (i) A minimal structure (X, M) has the property
[U] if the arbitrary union of m-open sets is m-open.
(ii) A minimal structure (X, M) has the property [I] if any finite intersection
of m-open sets is m-open.
3. On minimal-I-open sets and minimal-I-closed sets
Definition 3.1. A subset A of a minimal ideal structure space (X, M, I) is
said to be minimal-I-open (briefly, mI-open) if A ⊆ m-int(A∗
m).
We denote mIO(X, M) = {A ⊆ X : A ⊆ m-int(A∗
m)} or simply we write
mIO for mIO(X, M) when there is no chance for confusion.
Remark 3.2. It is clear that mI-open and m-open are independent concepts.
(Example 3.3.).
Example 3.3. (i) Let X = {a, b, c, d}. Define the m-structure on X as fol-
lows: M = {X, φ, {c}, {d}} and the ideal I = φ, {a}. For A = {a, c, d}, we
have A∗
m = X and m-int(A∗
m) = X ⊃ A. This shows that A ∈ mIO but
A ∈ M.
(ii) Let X = {a, b, c, d}. Define the m-structure on X as follows: M =
{X, φ, {a}, {b},
{a, c}, {b, c}} and the ideal I = φ, {b}, {c}, {b, c}. For A = {a, c}, we have
A∗
m = {a, d} and m-int(A∗
m) = {a} ⊇ A. This shows that A ∈ M but
A ∈ mIO(X).
153
Theorem 3.4. Every mI-open set is a minimal pre open set. Also, mI-
openness and m-semiopenness are independent concepts.
Proof. Let A be mI-open set. A ⊆ m-int(A∗
m) ⇒ A ⊆ m-int(m-cl(A)). Since
A∗
m ⊂ m-cl(A) by Theorem 2.2 (iii). Therefore A is minimal pre open and
follows from the Example 3.5.
The converse of the above theorem need not be true in general, as shown by
the following example.
Example 3.5. (i) Let X = {a, b, c}. Define the m-structure on X as follows:
M = {φ, X, {a}, {b}} and the ideal I = φ, {a}. For A = {a}, we have A∗
m = φ
and m-int(A∗
m) = φ ⊇ A. But m-cl(A) = {a, c} ⇒ m-int(m-cl(A)) = {a} ⊇ A
and m-int(A) = {a} ⇒ m-cl(m-int(A)) = {a, c} ⊇ A . This shows that
A ∈ mPO and A ∈ mSO but A ∈ mIO.
(ii) Let X = {a, b, c, d}. Define the m-structure on X as follows: M =
{φ, X, {c}, {d}} and the ideal I = φ, {a}. For A = {a, c, d}, we have A∗
m = X
and m-int(A∗
m) = X ⊇ A. But m-int(A) = {c} ⇒ m-cl(m-int(A)) =
{a, b, c} ⊇ A. This shows that A ∈ mIO and A ∈ mSO.
Theorem 3.6. Arbitrary union of mI-open sets is also mI-open.
Proof. Let (X, M, I) be any space and Wi ∈ mIO(X, M) for i ∈ , this
means that for each i ∈ , Wi ⊂ (m-int((Wi)∗
m) and so ∪iWi ⊂ ∪i(m-
int((Wi)∗
m) ⊆ m-int(∪iWi)∗
m. Hence ∪iWi ∈ mIO(X, M).
Remark 3.7. The intersection of two mI-open sets need not be mI-open as
is illustrated by the following example.
Example 3.8. Let X = {a, b, c, d}. Define the m-structure on X as follows:
M = {φ, X, {a}, {b}, {a, c}, {b, c}} and the ideal I = φ. Then {a, c}, {b, c} ∈
mIO, but {a, c} ∩ {b, c} = {c} ∈ mIO.
Theorem 3.9. For a space and A ⊆ X, we have:
(i) If I = φ, then A∗
m = m-cl(A), and hence each of mI-open set and minimal
pre open sets coincide.
(ii) If I = P(X), then A∗
m = φ and hence A is mI-open iff A = φ.
Theorem 3.10. For any mI-open set A of a minimal structure space (X, M, I),
we have A∗
m = (m-int(A∗
m))∗
m.
Definition 3.11. A subset A of a minimal ideal structure space (X, M, I) is
said to be minimal-I-closed (briefly, mI-closed) if its complement is mI-open.
Theorem 3.12. For A ⊆ (X, M, I) we have ((int(A))∗
m)c
= (int(Ac
))∗
m in
general (Example 3.13.) where Ac
denotes the complement of A.
154
Example 3.13. Let X = {a, b, c, d}. Define the m-structure on X as follows:
M = {φ, U, {a}, {b}, {a, c}, {b, c}} and the ideal I = φ. Then it is clear that
if A = {a, c}, then ((int(A))∗
m)c
= {b}, but (int(Ac
))∗
m = {b, d}.
Theorem 3.14. If A ⊆ (X, M, I) is minimal-I-closed, then A ⊃ (int(A))∗
m.
Proof. Follows from the definition of mI-closed sets and Theorem 2.2.(iii).
Corollary 3.15. (i) The union of mI-closed set and m-closed set is mI-closed.
(ii) The union of mI-closed set and an mα-closed set is m-pre closed.
Theorem 3.16. If A ⊆ (X, M, I) is mI-open and m-semi closed, then A =
int(A∗
m).
Proof. Follows from Theorem 2.2.(iii).
Theorem 3.17. Let If (X, M, I) be a minimal ideal structure spaces and
A ∈ X. Then the following are equivalent.
(i) A is mI-open.
(ii) A ⊂ A∗
m and m-scl(A) = m-int(m-cl(A)).
(iii) A ⊂ A∗
m and A is m-pre open.
Proof. A ∈ mIO(X) if and only if A ⊂ A∗
m and A ⊂ int(A∗
m) if and only if
A ⊂ A∗
m and A ⊂ m-int(m-cl(A)), since m-cl(A) = A. if and only if A ⊂ A∗
m
and A ∪ m-int(m-cl(A)) = m-int(m-cl(A)) if and only if A ⊂ A∗
m and m-
scl(A) = m-int(m-cl(A)). Therefore, (i) and (ii) are equivalent. It is clear
that (i) and (iii) are equivalent.
Theorem 3.19. For a subset A ⊆ (X, M, I), we have:
(i) If A is M∗
-closed and A ∈ mIO(X), then m-int(A) = m-int(A∗
m).
(ii) A is M∗
-closed iff A is m-open and mI-closed.
(iii) If A is n∗-perfect, then A = m-int(A∗
m), for every A ∈ mIO(X, M).
Proof. Obvious.
4. Quasi-mI-open sets
Definition 4.1. A subset A of a minimal ideal space (X, M, I) is quasi-mI-
open (briefly, q-mI-open) if A ⊆ m-cl(m-int(A∗
m)).
Theorem 4.2. Every mI-open set is q-mI-open. Also, q-mI-openness and
m-semiopenness (resp., preopenness) are independent concepts (by, Examples
4.3.).
The family of all q-mI-open sets is denoted by QmIO(X, M).
155
The connections between q-mI-openness with some other corresponding types
have been given throughout the following implication.
m-open E' mI-open
T
c
c
E q-mI-open
m-semi-open
r
rrr
rrrrjr
rrr
rrrr‰
¡
¡
m-pre-open
¨¨
¨¨¨
¨¨¨B¨¨¨
¨¨¨
¨¨%
e
e
The above relationships can not be reversible as the next examples illustrate.
Example 4.3. (i) Let X = {a, b, c}. Define the m-structure on X as fol-
lows: M = {φ, X, {a}, {b}} and the ideal I = φ, {a}. For A = {a}, we
have A∗
m = φ and m-int(A∗
m) = φ ⇒ m-cl(m-int(A∗
m)) = φ ⊇ A. But m-
cl(A) = {a, c, d} ⇒ m-int(m-cl(A)) = {a} ⊇ A and m-int(A) = {a} ⇒ m-
cl(m-int(A)) = {a, c, d} ⊇ A. This shows that A ∈ mPO and A ∈ mSO but
A ∈ QmIO.
(ii) Let X = {a, b, c, d}. Define the m-structure on X as follows: M =
{φ, X, {c}, {d}} and the ideal I = φ, {a}. For A = {a, c, d}, we have A∗
m = X
and m-cl(m-int(A∗
m)) = X ⊇ A. But m-int(A) = {c} ⇒ m-cl(m-int(A)) =
{a, b, c} ⊇ A. This shows that A ∈ QmIO and A ∈ mSO.
(iii) Let X = {a, b, c, d}. Define the m-structure on X as follows: M =
{φ, X, {a}, {b}, {a, c}, {b, c}} and the ideal I = φ, {b}, {c}, {b, c}. For A =
{a, d}, we have A∗
m = {a, d} and m-cl(m-int(A∗
m)) = {a, d} ⊇ A. But m-
cl(A) = {a, d} ⇒ m-int(m-cl(A)) = {a} ⊇ A. This shows that A ∈ QmIO
but A ∈ mPO and A ∈ mIO.
Theorem 4.4. Arbitrary union of quasi-mI-open sets is also quasi-mI-open.
Proof. Let (X, M, I) be any space and Wi ∈ QmIO(X, M) for i ∈ , this
means that for each i ∈ , Wi ⊂ m-cl(m-int((Wi)∗
m)) and so ∪i ⊂ m-cl(m-
int((Wi)∗
m)) ⊆ m-cl(m-int(∪iWi)∗
m). Hence ∪iWi ∈ QmIO(X, M).
Remark 4.5. A finite intersection of quasi-mI-open sets need not in general
quasi-mI-open, as Example 4.6. shows.
Example 4.6. In Example 4.3. We deduce that the two sets {a, c} and {b, c}
are quasi-mI-open while their intersection does not.
The above remark, turns our attention to establish the following result.
Proposition 4.7. The following statements holds:
156
(i) For (X, M, P(X)) then QmIO(X, M) = mIO(X, M).
(ii) For any (X, M, I) each q-mI-open (resp. m-semi open) which it is m∗-
closed (resp. m∗-dense-in-itself) is m-semi open (resp. q-mI-open).
Since m∗-dense-in-itself and m∗-closeness together of any W ∈ X in (X, M, I)
equivalent with the m∗-perfect property of W in the same space. Then the two
classes QmIO(X, M) and MSO(X, M) are coincides with each other, if each
member of term is m∗-perfect or both of m∗-dense-in-itself and m∗-closed.
In other words, the two parts of statement (ii) previously equivalent with:
QmIO(X, M) = MSO(XM) if W ∈ X is m∗-perfect for any (X, M, I).
References
[1] M. E. Abd El-Monsef, E. F. Lashien and A. A. Nasef, On I-open sets and
I-continuous functions, Kyungpook Math. J., 32 (1992), 21–30.
[2] M. Alimohammady and M. Roohi, Fixed point in minimal spaces, Nonlinear
Anal. Model. Control, 10 (2005), 305–314.
[3] M. Alimohammady and M. Roohi, Linear minimal space, Chaos Solitons
Fractals, 33 (2007), 1348–1354.
[4] A. Csaszar, Generalized topology, generalized continuity, Acta Math. Hungar.,
96(2002), 351–357.
[5] E. Hayashi, Topologies defined by local properties, Math. Ann., 1964, 156: 205–
215.
[6] D. Jankovi and T. R. Hamlett, Compatible extensions of ideals, Boll. Un. Mat.
Ital., B(7)6, (1992), 453–465.
[7] D. Jankovic and T. R. Hamlett, New Topologies from old via Ideals, Amer.
Math. Monthly, 1990, 97(4), 295–310.
[8] K. Kuratowski, Topology, Vol. I, Academic Press (New York, 1966).
[9] H. Maki, J. Umehara and T. Noiri, Every topological space is preT1/2, Mem.
Fac. Sci. Kochi Univ. Ser. A Math., 17 (1996), 33–42.
[10] H. Maki, On generalizing semi-open sets and preopen sets, in: Meeting on
Topological Spaces Theory and its Application (August, 1996), pp. 13–18.
[11] T. Noiri and V. Popa, On m-D-separation axioms, J. Math. Univ. Istanbul Fac.
Sci., 61/62 (2002/2003), 15–28.
[12] O. B. Ozbakir and E. D. Yildirim, On some closed sets in ideal minimal spaces,
Acta Math. Hungar., 125(3) (2009), 227–235.
[13] M. Parimala, Upper and Lower Weaky mX-αψ-Continuous Multifunctions,
Journal of Applied and Computational Mathematics, 2012, 1:2, Page: 1–5.
157
[14] V. Popa and T. Noiri, On m-continuous functions, Anal. Univ. Dunrea de Jos
Galati, Ser. Mat. Fiz. Mec. Teor. (2), 18 (2000), 31–41.
[15] E. Rosas, N. Rajesh and C. Carpintero, Some new types of open sets and closed
sets in minimal structure-I, Int. Mat. Forum 4(44)(2009), 2169–2184.
[16] R. Vaidyanathaswamy, The localization theory in set topology, Proc. Indian
Acad. Sci., 1945, 20: 51–61.
158
Selected papers of the 2014 International Conference
on Topology and its Applications
(2015) Pages 159–167
Department of Mathematics
University of Patras
Greece
Some properties of Gα-closed graphs
A. Selvakumar 1
, S. Jafari 2
1 Info Institute of Engineering Coimbatore-107, Tamilnadu, India
2 College of Vestsjaelland South, Herrestraede 11, 4200 Slagelse, Denmark
Abstract
R.Devi et al. [4] introduced the concept of gα-open sets. In this paper, we introduce
and study some properties of functions with ultra gα-closed graphs and strongly
gα-closed graphs by utilizing gα-open sets and the gα-closure operator.
Key words: gα-open set, ultra gα-closed graphs, strongly gα-closed graph,
gα-Urysohn space.
1991 MSC: 54A05, 54D05 54D10, 54D45.
1. Introduction and Preliminaries
Quite recently, R.Devi et al. [4] introduced the notion of gα-open sets in
topological spaces and introduced the concept of gα-closure of a set by utilizing
the notion of gα-open sets defined in [4]. In 2009, the concept of functions with
strongly λ-closed graphs was introduced and studied by M.Caldas et al. [1].
In this paper, we introduce and study some properties of functions with ultra
gα-closed graphs and strongly gα-closed graphs by utilizing gα-open sets and
the gα-closure operator.
Throughout this paper, by (X, τ) and (Y, σ) (or X and Y ) we always mean
topological spaces. For a subset A of a space (X, τ), cl(A) and int(A) denote
the closure of A and the interior of A respectively.
We recall the following definitions, which are useful in the sequel.
Definition 1.1. A subset A of a space (X, τ) is called
1 selvam mphil@yahoo.com
2 jafaripersia@gmail.com
1. a semi-open set [6] if A ⊆ cl(int(A)) and a semi-closed set [6] if
int(cl(A)) ⊆ A and
2. an α-open set [7] if A ⊆ int(cl(int(A))) and an α-closed set [7] if
cl(int(cl(A))) ⊆ A.
The semi-closure (resp. α-closure) of a subset A of a space (X, τ) is the inter-
section of all semi-closed (resp. α-closed) sets that contain A and is denoted
by scl(A) (resp. αcl(A)).
Definition 1.2. A subset A of a space (X, τ) is called
1. a g-closed set [9] if cl(A) ⊆ U whenever A ⊆ U and U is semi-open in
(X, τ); the complement of a g-closed set is called a g-open set,
2. a ∗
g-closed set [8] if cl(A) ⊆ U whenever A ⊆ U and U is g-open in
(X, τ); the complement of a ∗
g-closed set is called a ∗
g-open set,
3. a gs-closed set [10] if scl(A) ⊆ U whenever A ⊆ U and U is ∗
g-open in
(X, τ); the complement of a gs-closed set is called a gs-open set and
4. a gα-closed set [4] if αcl(A) ⊆ U whenever A ⊆ U and U is gs-open in
(X, τ); the complement of a gα-closed set is called a gα-open set.
Notation 1.3. For a topological space (X, τ), GαC(X, τ) (resp. GαO(X, τ))
denotes the class of all gα-closed (resp. gα-open) subsets of (X, τ). We set
GαO(X, x) = {U : x ∈ U and U ∈ GαO(X, τ)}.
Definition 1.4. A function f : (X, τ) → (Y, σ) is called a
1. gα-continuous [3] if f−1
(V ) is gα-closed in (X, τ) for every closed set V
of (Y, σ) and
2. gα-irresolute [3] if f−1
(V ) is gα-closed in (X, τ) for every gα-closed set
V of (Y, σ).
Definition 1.5. [2]
(i) A space X is said to be gα-T1 if for each pair of distinct points x and y
in X, there exists gα-open sets U and V containing x and y respectively,
such that y /∈ U and x /∈ V .
(ii) A space X is said to be gα-T2 if for each pair of distinct points x and y
in X, there exists gα-open sets U and V containing x and y respectively,
such that U ∩ V = φ.
2. Ultra gα-Closed Graphs
If f : (X, τ) → (Y, σ) is any function, then the subset
G(f) = {(x, f(x)) : x ∈ X}
160
of the product space (X × Y, τ × σ) is called graph of f ([5]).
Definition 2.1. A function f : (X, τ) → (Y, σ) is said to have a ultra gα-
closed graph if for each (x, y) ∈ (X × Y ) − G(f), there exist U ∈ GαO(X, x)
and V ∈ GαO(Y, y) such that f(U) ∩ gαcl(V ) = φ.
Theorem 2.2. If f : (X, τ) → (Y, σ) is a function with a ultra gα-closed
graph, then for each x ∈ X, f(x) = ∩{gαcl(f(U))|U ∈ GαO(X, x)}.
Proof. Suppose the theorem is false. Then there exists a y = f(x) such
that y ∈ ∩{gαcl(f(U))|U ∈ GαO(X, x)}. This implies that y ∈ gαcl(f(U)),
for every U ∈ GαO(X, x). So V ∩ f(U) = φ for every V ∈ GαO(Y, y). This
indicates that gαcl(V )∩f(U) ⊃ V ∩f(U) = φ which contradicts the hypothesis
that f is a function with a ultra gα-closed graph. Hence the theorem holds.
Theorem 2.3. If f : (X, τ) → (Y, σ) is gα-irresolute and Y is gα-T2, then
G(f) is ultra gα-closed.
Proof. Let (x, y) ∈ (X × Y ) − G(f) and V ∈ GαO(Y, y) such that f(x) /∈
gαcl(V ). It follows that there is U ∈ GαO(X, x) such that f(U) ⊂ Y −
gαcl(V ). Hence, f(U) ∩ gαcl(V ) = φ.
The converse need not be true by the following example.
Example 2.4. Let X = {a, b, c}, τ = {φ, X, {a}} and define the identity map
f : (X, τ) → (X, τ). Then f is clearly gα-irresolute and X is not gα-T2 space.
Hence we obtain G(f) is not ultra gα-closed.
Theorem 2.5. If f : (X, τ) → (Y, σ) is surjective and has a ultra gα-closed
graph G(f), then Y is both gα-T2 and gα-T1.
Proof. Let y1, y2(y1 = y2) ∈ Y . The surjectivity of f gives a x1 ∈ X such that
f(x1) = y1. Now (x1, y2) ∈ (X × Y ) − G(f). The ultra gα-closed graph G(f)
gives U ∈ GαO(X, x1) and V ∈ GαO(Y, y2) such that f(U) ∩ gαcl(V ) = φ,
since y1 /∈ gαcl(V ). This means that there exists W ∈ GαO(Y, y1) such that
W ∩ V = φ. So, Y is gα-T2 and hence is gα-T1.
Theorem 2.6. If f : (X, τ) → (Y, σ) is an injection and G(f) is ultra gα-
closed, then X is gα-T1.
Proof. Since f is injective, for any pair of distinct points x1, x2 ∈ X, f(x1) =
f(x2). Then (x1, f(x2)) ∈ (X ×Y )−G(f). Since G(f) is ultra gα-closed, there
exist U ∈ GαO(X, x1) and V ∈ GαO(Y, f(x2)) such that f(U)∩gαcl(V ) = φ.
Therefore, x2 /∈ U. We obtain a set W ∈ GαO(X, x2) such that x1 /∈ W.
Hence, X is gα-T1.
Theorem 2.7. If f : (X, τ) → (Y, σ) is bijective function with ultra gα-closed
graph G(f), then (X, τ) and (Y, σ) are gα-T1 space.
161
Proof. The proof is an immediate consequence of Theorem 2.5. and Theorem
2.6.
Theorem 2.8. A space X is gα-T2 if and only if the identity function f :
(X, τ) → (X, τ) has a ultra gα-closed graph G(f).
Proof. Necessity. Let X be a gα-T2 space. Since the identity function f :
(X, τ) → (X, τ) is gα-irresolute, it follows from Theorem 2.3, that G(f) is
ultra gα-closed.
Sufficiency. Let G(f) be a ultra gα-closed graph. Then the surjectivity of f
and ultra gα-closed graph of G(f) implies, by Theorem 2.5, that X is gα-T2.
Definition 2.9. A function f : (X, τ) → (Y, σ) is called quasi gα-irresolute if
for each x ∈ X and each V ∈ GαO(Y, f(x)), there exist U ∈ GαO(X, x) such
that f(U) ⊂ gαcl(V ).
Theorem 2.10. If a function f : (X, τ) → (Y, σ) is a quasi gα-irresolute
injection with a ultra gα-closed graph G(f), then X is gα-T2.
Proof. Since f is injective, for any pair of distinct points x1, x2 ∈ X, f(x1) =
f(x2). Therefore (x1, f(x2)) ∈ (X × Y ) − G(f). Since G(f) is ultra gα-closed,
there exist U ∈ GαO(X, x1) and V ∈ GαO(Y, f(x2)) such that f(U) ∩
gαcl(V ) = φ, hence we obtain U ∩ f−1
(gαcl(V )) = φ. Consequently,
f−1
(gαcl(V )) ⊂ X − U.
Since f is quasi gα-irresolute, there exists W ∈ GαO(X, x2) such that f(W) ⊂
gαcl(V ). It follows that W ⊂ f−1
(gαcl(V )) ⊂ X −U, hence W ∩U = φ. Thus
for the pair of distinct points x1, x2 ∈ X, there exist U ∈ GαO(X, x1) and
W ∈ GαO(X, x2) such that W ∩ U = φ. Hence, X is gα-T2.
Corollary 2.11. If a function f : (X, τ) → (Y, σ) is a gα-irresolute injection
with a ultra gα-closed graph G(f), then X is gα-T2.
Proof. The proof follows from Theorem 2.10, and the fact that every gα-
irresolute function is quasi gα-irresolute.
Theorem 2.12. If a function f : (X, τ) → (Y, σ) is a quasi gα-irresolute
bijection with a ultra gα-closed graph G(f), then X and Y are gα-T2.
Proof. The proof follows from Theorem 2.10 and Theorem 2.5.
We recall that the union of any two gα-closed sets are gα-closed.
Definition 2.13. A topological space X is called,
(i) gα-extremely disconnected if the gα-closure of every gα-open set is gα-
open.
162
(ii) X is called nearly gα-compact (resp. a subset A of X is said to be nearly
gα-compact relative to X), if every gα-open cover of X (resp. if every
cover of A by gα-open sets of X) has a finite subfamily such that the
union of their gα-closures covers X (resp. has a finite subfamily such
that the union of their gα-closures covers A).
Lemma 2.14. Every open subset of a nearly gα-compact space X is nearly
gα-compact relative to X.
Proof. Let B be any open (hence gα-clopen) subset of a nearly gα-compact
space X. Let {Oα|α ∈ Ω} be any cover of B by gα-open sets in X. Then the
family F = {Oα|α ∈ Ω} ∪ {X − B} is a cover of X by gα-open sets in X.
Because of near gα-compactness of X, there exists a finite subfamily F∗
=
{Oαi
|1 ≤ i ≤ n} ∪ {X − B} of F such that the union of gα-closure covers X.
So, because of gα-clopenness of B we have the family {gαcl(Oαi
)|1 ≤ i ≤ n}
which covers B. Therefore B is nearly gα-compact relative to X.
Theorem 2.15. Let (X, τ) be a gα-space. If Y is a nearly gα-compact and
gα-extremely disconnected space, then a function f : (X, τ) → (Y, σ) with a
ultra gα-closed graph is quasi gα-irresolute.
Proof. Let x ∈ X and V ∈ GαO(Y, f(x)). Take any y ∈ Y − gαcl(V ). Then
(x, y) ∈ (X × Y ) − G(f). Now the ultra gα-closedness of G(f) induces the
existence of Uy(x) ∈ GαO(X, x) and Vy(x) ∈ GαO(Y, y) such that
f(Uy(x)) ∩ gαcl(Vy) = φ. (1)
Now gα-extremal disconnectedness of Y induces the gα-clopenness of gαcl(V )
and hence Y − gαcl(V ) is also gα-clopen. Now {Vy : y ∈ Y |gαcl(V )} is a
cover of Y − gαcl(V ) by gα-open sets in Y . By Lemma 2.14, there exists a
finite subfamily {Vyi
: 1 ≤ i ≤ n} such that Y − gαcl(V ) ⊂ ∪n
i=1gαcl(Vyi
). Let
W = ∩n
i=1Uyi
(x), where Uyi
(x) are gα-open sets in X satisfying (1). Also W ∈
GαO(X, x). Now f(W) ∩ (Y − gαcl(V )) ⊂ f[∩n
i=1Uyi
(x)] ∩ (∪n
i=1gαcl(Vyi
)) ⊂
∪n
i=1(f[Uyi
(x)] ∩ gαcl(Vyi
)) = φ, by (1). Therefore, f(W) ⊂ gαcl(V ) and this
indicates that f is quasi gα-irresolute.
Corollary 2.16. Let (X, τ) be a gα-space. If Y is a nearly gα-compact and
gα-extremely disconnected space, then the surjection f : (X, τ) → (Y, σ) with
a ultra gα-closed graph is quasi gα-irresolute.
Proof. The proof follows from Theorem 2.5 and Theorem 2.15.
3. Strongly Gα-Closed Graphs
Definition 3.1. A graph G(f) of a function f : (X, τ) → (Y, σ) is strongly
gα-closed if for each (x, y) ∈ (X × Y ) − G(f), there exist U ∈ GαO(X, x) and
163
an open set V of Y containing y such that f(U) ∩ V = φ.
Theorem 3.2. Every ultra gα-closed graph is strongly gα-closed graph.
Proof. It follows from the definitions.
Theorem 3.3. If f : (X, τ) → (Y, σ) is gα-continuous and Y is Hausdroff,
then G(f) is strongly gα-closed in X × Y .
Proof. Let (x, y) ∈ (X × Y ) − G(f). Then f(x) = y. Since Y is Hausdorff,
there exist open sets V and W in Y containing f(x) and y respectively such
that V ∩ W = φ. Since f is gα-continuous, there exists U ∈ GαO(X, x) such
that f(U) ⊂ V . Therefore, f(U) ∩ W = φ, G(f) is strongly gα-closed.
Theorem 3.4. If f : (X, τ) → (Y, σ) is surjective and has a strongly gα-closed
graph G(f), then Y is T1.
Proof. Let y1, y2(y1 = y2) ∈ Y . The surjectivity of f gives a x ∈ X such that
f(x) = y2. Hence (x, y1) /∈ G(f). Then by definition, there exists gα-open set
U and an open set V containing x and y1 respectively, such that f(U)∩V = φ.
Hence y2 /∈ V . This means that Y is T1.
Theorem 3.5. If f : (X, τ) → (Y, σ) is a function with a strongly gα-closed
graph, then for each x ∈ X, f(x) = ∩{gαcl(f(U))|U ∈ GαO(X, x)}.
Proof. It follows from the Theorem 2.2 and Theorem 3.2.
Theorem 3.6. If f : (X, τ) → (Y, σ) is surjective and has a strongly gα-closed
graph G(f), then Y is both gα-T2 and gα-T1.
Proof. The proof follows from Theorem 2.5 and Theorem 3.2.
Theorem 3.7. If f : (X, τ) → (Y, σ) is an injection and G(f) is strongly
gα-closed, then X is gα-T1.
Proof. It follows from the Theorem 2.6 and Theorem 3.2.
Theorem 3.8. If f : (X, τ) → (Y, σ) is bijective function with strongly gα-
closed graph G(f), then (X, τ) and (Y, σ) are gα-T1 space.
Proof. The proof is an immediate consequence of Theorem 2.7 and Theorem
3.2.
Theorem 3.9. If f : (X, τ) → (Y, σ) is gα-irresolute and Y is gα-T2, then
G(f) is strongly gα-closed.
Proof. It follows from the Theorem 2.3 and Theorem 3.2.
The converse need not be true by the following example.
Example 3.10. Let X = {a, b, c}, τ = {φ, X, {a}} and define the identity
map f : (X, τ) → (X, τ). Then f is clearly gα-irresolute and X is not gα-T2
164
space. Hence we obtain G(f) is not strongly gα-closed.
Theorem 3.11. A space X is gα-T2 if and only if the identity function f :
(X, τ) → (X, τ) has a strongly gα-closed graph G(f).
Proof. It follows from the Theorem 2.8 and Theorem 3.2.
Theorem 3.12. If a function f : (X, τ) → (Y, σ) is a quasi gα-irresolute
injection with a strongly gα-closed graph G(f), then X is gα-T2.
Proof. It follows from the Theorem 2.10 and Theorem 3.2.
Corollary 3.13. If a function f : (X, τ) → (Y, σ) is a gα-irresolute injection
with a strongly gα-closed graph G(f), then X is gα-T2.
Proof. The proof follows from Theorem 2.11 and the fact that every gα-
irresolute function is quasi gα-irresolute.
Theorem 3.14. If a function f : (X, τ) → (Y, σ) is a quasi gα-irresolute
bijection with a strongly gα-closed graph G(f), then X and Y are gα-T2.
Proof. The proof follows from Theorem 2.12 and Theorem 3.2.
Theorem 3.15. Let (X, τ) be a gα-space. If Y is a nearly gα-compact and
gα-extremely disconnected space, then a function f : (X, τ) → (Y, σ) with a
strongly gα-closed graph is quasi gα-irresolute.
Proof. It follows from the Theorem 2.15 and Theorem 3.2.
Corollary 3.16. Let (X, τ) be a gα-space. If Y is a nearly gα-compact and
gα-extremely disconnected space, then the surjective f : (X, τ) → (Y, σ) with
a strongly gα-closed graph is quasi gα-irresolute.
Proof. The proof follows from Theorem 2.16 and Theorem 3.2.
4. Additional Properties
Definition 4.1. A topological space X is called gα-Urysohn if every pair of
distinct points x, y ∈ X, there exists U ∈ GαO(X, x) and V ∈ GαO(X, y)
such that gαcl(U) ∩ gαcl(V ) = φ.
Theorem 4.2. A gα-Urysohn space is gα-T2.
Proof. Let x and y be two distinct points of X. Since X is gα-Urysohn, there
exist U ∈ GαO(X, x) and V ∈ GαO(X, y) such that gαcl(U) ∩ gαcl(V ) = φ,
hence U ∪ V = φ. Therefore, X is gα-T2.
Theorem 4.3. If Y is gα-Urysohn and f : (X, τ) → (Y, σ) is quasi gα-
165
irresolute injection, then X is gα-T2.
Proof. Since f is injective, for any pair of distinct points x1, x2 ∈ X, f(x1) =
f(x2). The gα-Urysohn property of Y indicates that there exist
Vi ∈ GαO(Y, f(xi)), i = 1, 2
such that gαcl(V1) ∩ gαcl(V2) = φ. Hence f−1
(gαcl(V1)) ∩ f−1
(gαcl(V2)) = φ.
Since f is quasi gα-irresolute, there exists Ui ∈ GαO(X, xi), i = 1, 2 such that
f(Ui) ⊂ gαcl(Vi), i = 1, 2. It follows that Ui ⊂ f−1
(gαcl(Vi)), i = 1, 2. Hence
U1 ∩ U2 ⊂ f−1
(gαcl(V1)) ∩ f−1
(gαcl(V2)) = φ. Therefore, X is gα-T2.
Definition 4.4. [2] A function f : (X, τ) → (Y, σ) is pre gα-open if f(A) ∈
GαO(Y ) for all A ∈ GαO(X).
Lemma 4.5. Let a bijection f : (X, τ) → (Y, σ) be pre gα-open. Then for
any B ∈ Gαc(X), f(B) ∈ Gαc(Y ).
Theorem 4.6. If a bijection f : (X, τ) → (Y, σ) is pre gα-open and X is
gα-Urysohn, then Y is gα-Urysohn.
Proof. Let y1, y2 ∈ Y and y1 = y2. Since f is bijective, f−1
(y1), f−1
(y2) ∈ X
and f−1
(y1) = f−1
(y2). The gα-Urysohn property of X gives the existence of
sets U ∈ GαO(X, f−1
(y1)) and V ∈ GαO(X, f−1
(y2)) such that gαcl(U) ∩
gαcl(V ) = φ. As gαcl(U) is a gα-closed set in X, the bijectivity and gα-
openness of f together indicate by Lemma 4.5, that f(gαcl(U)) ∈ Gαc(Y ).
Again from U ⊂ gαcl(U) it follows that f(U) ⊂ f(gαcl(U)) and hence
gαcl(f(U)) ⊂ gαcl(f(gαcl(U))) = f(gαcl(U)).
Simillarly we have gαcl(f(V )) ⊂ f(gαcl(V )). Therefore, by the injectivity of f,
gαcl(f(U))∩gαcl(f(V )) ⊂ f(gαcl(U))∩f(gαcl(V )) = f(gαcl(U)∩gαcl(V )) =
φ. Thus gα-openness of f gives the existence of two sets f(U) ∈ GαO(Y, y1)
and f(V ) ∈ GαO(Y, y2) such that gαcl(f(U)) ∩ gαcl(f(V )) = φ, which shows
that Y is gα-urysohn.
Theorem 4.7. If a bijection f : (X, τ) → (Y, σ) is pre gα-open and X is
gα-T2, then G(f) is ultra gα-closed.
Proof. Let (x, y) ∈ (X × Y ) − G(f). Then y = f(x). Since f is bijective,
x = f−1
(y). Since X is gα-T2, there exist Ux, Uy ∈ GαO(X) such that x ∈ Ux,
f−1
(y) ∈ Uy and Ux ∩ Uy = φ. Moreover f is pre gα-open and bijective,
therefore f(x) ∈ f(Ux) ∈ GαO(Y ), y ∈ f(Uy) ∈ GαO(Y ) and f(Ux)∩f(Uy) =
φ. Hence f(Ux) ∩ gαcl(f(Uy)) = φ. This shows that G(f) is ultra gα-closed.
Theorem 4.8. If f : (X, τ) → (Y, σ) is quasi gα-irresolute and Y is gα-
urysohn, then G(f) is ultra gα-closed.
166
Proof. Let (x, y) ∈ (X × Y ) − G(f). Then y = f(x). since Y is gα-urysohn,
there exist V ∈ gαO(Y, y) and W ∈ GαO(Y, f(x)) such that gαcl(V ) ∩
gαcl(W) = φ. Since f is quasi gα-irresolute, there exists U ∈ GαO(X, x)
such that f(U) ⊂ gαcl(W). This, implies that f(U) ∩ gαcl(V ) = φ. By defi-
nition, G(f) is ultra gα-closed.
References
[1] M.Caldas, S.Jafari and T.Noiri, On functions with strongly λ-closed graphs,
Southeast Asian Bulletin of Mathematics, 33 (2009), 229–236.
[2] R. Devi, A. Selvakumar and M. Caldas, Contra gα-continuous functions,
(submitted).
[3] R. Devi, A. Selvakumar and S. Jafari, Applications of gα-closed sets,
(submitted).
[4] R. Devi, A. Selvakumar and S. Jafari, gα-closed sets in topological spaces,
(submitted).
[5] T. Husain, Topology and Maps, Plenum Press, New york, (1977).
[6] N. Levine, Semi-open sets and semi-continuity in topological spaces, Amer.
Math. Monthly, 70(1963), 36–41.
[7] O. Njastad, On some classes of nearly open sets, Pacific J. Math., 15(1965),
961–970.
[8] M.K.R.S. Veera kumar, Between g∗-closed sets and g-closed sets, Antartica J.
Math., 3(1)(2006), 43–65.
[9] M.K.R.S. Veera Kumar, On g-closed sets in topological spaces, Allahabad Math.
Soc., 18(2003), 99–112.
[10] M.K.R.S. Veera kumar, g-semi-closed sets in topological spaces, Antartica J.
Math., 2:2(2005), 201–222.
167
Selected papers of the 2014 International Conference
on Topology and its Applications
(2015) Pages 168–181
Department of Mathematics
University of Patras
Greece
Contra Gα-continuous functions
A. Selvakumar 1
, S. Jafari 2
1 Info Institute of Engineering Coimbatore-107, Tamilnadu, India
2 College of Vestsjaelland South, Herrestraede 11, 4200 Slagelse, Denmark
Abstract
The concept of gα-closed sets in a topological space are introduced by R. Devi et.
al. [4]. In this paper, we introduce the notion of contra gα-continuous functions
utilizing gα-open sets and study some of its applications.
Key words: gα-closed sets, contra gα-continuous, gα-normal.
1991 MSC: 54A05, 54D05 54D10, 54D45.
1. Introduction and Preliminaries
In 1996, Dontchev [6] introduced the notions of contra continuity and strong
S-closedness in topological spaces. He defined a function f : X → Y is con-
tra continuous if the pre image of every open set of Y is closed in X. Also a
new class of function called contra semi-continuous function is introduced and
investigated by Dontchev and Noiri [7]. The notions of contra super continu-
ous, contra pre continuous and contra α-continuous functions are introduced
by Jafari and Noiri [11,12]. Nasef [16] has introduced and studied contra γ-
continuous function. In this paper, we introduce the concept of contra gα-
continuous functions via the notion of gα-open set and study some of the
applications of this function.
All through this paper, (X, τ) and (Y, σ) stand for topological spaces with no
separation axioms assumed, unless otherwise stated. Let A ⊆ X, the closure
of A and the interior of A will be denoted by cl(A) and int(A) respectively. A
is regular open if A = int(cl(A)) and A is regular closed if its complement is
regular open; equivalently A is regular closed if A = cl(int(A)), see [25].
1 selvam mphil@yahoo.com
2 jafaripersia@gmail.com
Definition 1.1. A subset A of a space (X, τ) is called a
1. semi-open set [13] if A ⊆ cl(int(A)) and a semi-closed set [13] if
int(cl(A)) ⊆ A,
2. α-open set [17] if A ⊆ int(cl(int(A))) and an α-closed set [17] if
cl(int(cl(A))) ⊆ A,
3. pre open set [14] if A ⊆ int(cl(A)) and pre closed set [14] if
cl(int(A)) ⊆ A,
4. γ-open set [9] if A ⊆ cl(int(A)) ∪ int(cl(A)) and γ-closed set [9] if
int(cl(A)) ∪ cl(int(A)) ⊆ A,
5. β-open set [1] if A ⊆ cl(int(cl(A))) and β-closed set [1] if
int(cl(int(A))) ⊆ A,
6. δ-open set [24] if for each x ∈ A, there exists a regular open set G such
that x ∈ G ⊂ A.
The semi-closure (resp. α-closure) of a subset A of a space (X, τ) is the inter-
section of all semi-closed (resp. α-closed) sets that contain A and is denoted
by scl(A) (resp. αcl(A)).
Definition 1.2. A subset A of a space (X, τ) is called a
1. g-closed set [22,23] if cl(A) ⊆ U whenever A ⊆ U and U is semi-open in
(X, τ),
2. ∗
g-closed set [20] if cl(A) ⊆ U whenever A ⊆ U and U is g-open in (X, τ),
3. gs-closed set [21] if scl(A) ⊆ U whenever A ⊆ U and U is ∗
g-open in
(X, τ).
Let (X, τ) be a space and let A be a subset of X. A is called gα-closed set [4] if
αcl(A) ⊆ U whenever A ⊆ U and U is gs-open set of (X, τ). The complement
of an gα-closed set is called gα-open. The union of two gα-closed sets is gα-
closed set in (X, τ) [4, Let A and B be gα-closed sets. Let A ∪ B ⊆ U, U is
gs-open. Since A and B are gα-closed sets, αcl(A) ⊆ U, αcl(B) ⊆ U. This
implies that αcl(A ∪ B) = αcl(A) ∪ αcl(B) ⊆ U, (since τα
=α-open set forms
a topology [13]) and so αcl(A ∪ B) ⊆ U. Therefore A ∪ B is gα-closed]. We
set gαO(X, x) = {U : x ∈ U and U ∈ τgα}, where τgα denotes the family of
all gα-open subsets of a space (X, τ). The collection of all closed subsets of X
will be denoted by C(X). We set C(X, x) = {V ∈ C(X) : x ∈ V } for x ∈ X.
Definition 1.3. A function f : (X, τ) → (Y, σ) is called a
1. contra continuous [6] if f−1
(V ) is closed in (X, τ) for every open set V of
(Y, σ),
2. RC-continuous [7] if f−1
(V ) is regular-closed in (X, τ) for every open set
V of (Y, σ),
3. contra super continuous [10] if f−1
(V ) is δ-closed in (X, τ) for every open
set V of (Y, σ),
4. contra semi continuous [7] if f−1
(V ) is closed in (X, τ) for every open set
169
V of (Y, σ),
5. contra α-continuous [11] if f−1
(V ) is α-closed in (X, τ) for every open set
V of (Y, σ),
6. contra pre continuous [11] if f−1
(V ) is pre-closed in (X, τ) for every open
set V of (Y, σ),
7. contra γ-continuous [16] if f−1
(V ) is γ-closed in (X, τ) for every open set
V of (Y, σ),
8. contra β-continuous [3] if f−1
(V ) is β-closed in (X, τ) for every open set
V of (Y, σ),
9. gα-continuous [5] if f−1
(V ) is gα-closed in (X, τ) for every closed set V
of (Y, σ),
10. gα-irresolute [5] if f−1
(V ) is gα-closed in (X, τ) for every gα-closed set
V of (Y, σ).
2. Properties of contra gα-continuous functions
Definition 2.1. A function f : (X, τ) → (Y, σ) is called contra gα-continuous
if f−1
(U) is gα-closed in (X, τ) for each open set U in (Y, σ).
Theorem 2.2. Every contra α-continuous function is contra gα-continuous.
Proof. It follows from the fact that every α-closed set is gα-closed.
Corollary 2.3. Every contra-continuous function is contra gα-continuous.
Proof. It follows from the fact that every closed set is gα-closed.
The converse of the Theorem 2.2. and Corollary 2.3. need not be true by
following example.
Example 2.4. Let X = Y = {a, b, c}, τ = {X, φ, {a, b}} and
σ = {Y, φ, {a}, {a, c}}.
Define f : (X, τ) → (Y, σ) by f(a) = b, f(b) = a, f(c) = c. Here {a} is an open
set of (Y, σ) but f−1
({a}) = {b} is not an α-closed and hence not closed set of
(X, τ). Thus f is not contra-α-continuous and hence not contra-continuous,
however f is contra- gα-continuous.
Definition 2.5. Let A be a subset of a space (X, τ).
(a) The set ∩{U ∈ τ : A ⊂ U} is called the kernel of A [13] and is denoted
by ker(A).
(b) The set ∩{F ⊂ X : A ⊆ F, F is gα-closed} is called the gα-closure of A
and is denoted by clgα(A).
170
(c) The set ∪ {F ⊂ X : F ⊆ A, F is gα-open} is called gα-interior of A and
is denoted by intgα(A).
Lemma 2.6. [10] The following properties hold for subsets A, B of a space
X:
(a) x ∈ ker(A) if and only if A ∩ F = φ for any F ∈ C(X, x).
(b) A ⊆ ker(A) and A = ker(A) if A is open in X.
(c) If A ⊆ B, then ker(A) ⊆ ker(B).
Theorem 2.7. For a function f : (X, τ) → (Y, σ) the following conditions are
equivalent:
(1) f is contra gα-continuous;
(2) for every closed subset F of Y , f−1
(F) ∈ gαO(X);
(3) for each x ∈ X and each F ∈ C(Y, f(x)), there exists U ∈ gαO(X, x)
such that f(U) ⊆ F;
(4) f(clgα(A)) ⊆ ker(f(A)) for every subset A of X;
(5) clgα(f−1
(B)) ⊆ f−1
(ker(B)) for every subset B of Y .
Proof. The implications (1) ⇔ (2) and (2) ⇒ (3) are obvious.
(3) ⇒ (2) Let F be any closed set of Y and x ∈ f−1
(F). Then f(x) ∈ F
and there exists Ux ∈ gαO(X, x) such that f(Ux) ⊆ F. Therefore, we obtain
f−1
(F) = ∪{Ux/x ∈ f−1
(F)} and f−1
(F) is gα-open, by [4, Theorem 3.15].
(2) ⇒ (4) Let A be any subset of X. Suppose that y /∈ ker(f(A)). Then by
Lemma 2.6. there exists F ∈ C(Y, f(x)) such that f(A)∩F = φ. Thus, we have
A∩f−1
(F) = φ and since f−1
(F) is gα-open then we have clgα(A)∩f−1
(F) =
φ. Therefore, we obtain f(clgα(A)) ∩ F = φ and y /∈ f(clgα(A)). This implies
that f(clgα(A)) ⊆ ker(f(A)).
(4) ⇒ (5) Let B be any subset of Y . By (4) and Lemma 2.6., we have
f(clgα(f−1
(B))) ⊆ ker(f(f−1
(B))) ⊆ ker(B).
Thus clgα(f−1
(B)) ⊆ f−1
(ker(B)).
(5) ⇒ (1) Let V be any open set of Y . Then, by Lemma 2.6., we have
clgα(f−1
(V )) ⊆ f−1
(ker(V )) = f−1
(V ) and clgα(f−1
(V )) = f−1
(V ). This
shows that f−1
(V ) is gα-closed in X.
Theorem 2.8. Let f : X → Y be a function, then the following are equivalent.
(1) The function f is gα-continuous.
(2) For each point x ∈ X and each open set V of Y with f(x) ∈ V , there
exists a gα-open set U of X such that x ∈ U, f(U) ⊂ U.
Proof. (1) ⇒ (2) Let f(x) ∈ V . Then x ∈ f−1
(V ) ∈ gαO(X), since f is
gα-continuous. Let U = f−1
(V ). Then x ∈ X and f(U) ⊂ U.
171
(2) ⇒ (1) Let V be an open set of Y and let x ∈ f−1
(V ). Then f(x) ∈ V .
Then f(x) ∈ V and thus there exists an gα-open set Ux of X such that x ∈ Ux
and f(U) ⊂ V . Now, x ∈ Ux ⊂ f−1
(V ) and f−1
(V ) = ∪Ux. Then f−1
(V ) is
gα-open in X. Therefore, f is gα-continuous.
Theorem 2.9. If a function f : X → Y is contra gα-continuous and Y is
regular, then f is gα-continuous.
Proof. Let x be an arbitrary point of X and let V be an open set of Y
containing f(x); since Y is regular, there exists an open set W in Y containing
f(x) such that cl(W) ⊆ V . Since f is contra gα-continuous, so by Theorem
2.7.(3) there exists U ∈ gαO(X, x) such that f(U) ⊆ cl(W). Then f(U) ⊆
cl(W) ⊆ V . Hence, f is gα-continuous.
Corollary 2.10. If a function f : X → Y is contra gα-continuous and Y is
regular, then f is continuous.
Proof. It suffices to observe that every continuous function is gα-continuous.
Remark 2.11. The converse of Corollary 2.10. is not true. The following
example shows that continuity does not necessarily imply contra gα-continuity
even if the range is regular.
Example 2.12. The identity function on the real line with the usual topology
is continuous and hence gα-continuous. The inverse image of (0, 1) is not gα-
closed and consequently the function is not contra gα-continuous.
Definition 2.13. A space (X, τ) is said to be gα-space (resp. locally gα-
indiscrete) if every gα-open set is open (resp. closed) in X.
Theorem 2.14. If a function f : X → Y is contra gα-continuous and X is
gα-space, then f is contra-continuous.
Proof. Let V be a closed set in Y . Since f is contra-gα-continuous, f−1
(V ) is
gα-open in X. Since X is gα-space, f−1
(V ) is open in X. Hence f is contra-
continuous.
Corollary 2.15. If X is a gα-space, then for a f : X → Y function following
statements are equivalent,
(1) f is contra-continuous.
(2) f is contra gα-continuous.
Theorem 2.16. Let X be locally gα-indiscrete. If a function f : X → Y is
contra gα-continuous, then f is continuous.
Proof. Let V be a closed set in Y . Since f is contra-gα-continuous, f−1
(V ) is
gα-open in X. Since X is locally gα-indiscrete, f−1
(V ) is closed in X. Hence
172
f is continuous.
Definition 2.17. A function f : X → Y is called almost gα-continuous
if for each x ∈ X and each open set V of Y containing f(x), there exists
U ∈ gαO(X, x) such that f(U) ⊆ intgα(cl(V )).
Theorem 2.18. A function f : X → Y is almost gα-continuous if and only if
for each x ∈ X and each regular open set V of Y containing f(x), there exists
U ∈ gαO(X, x) such that f(U) ⊆ V .
Proof. Let V be regular open set of Y containing f(x) for each x ∈ X. This
implies that V is an open set of Y containing f(x) for each x ∈ X. Since
f is almost gα-continuous, there exists U ∈ gαO(X, x) such that f(U) ⊆
intgα(cl(V )).
Conversely, if for each x ∈ X and each regular open set V of Y containing
f(x), there exists U ∈ gαO(X, x) such that f(U) ⊆ V . This implies V is
an open set of Y containing f(x), there exists U ∈ gαO(X, x) such that
f(U) ⊆ V = intgα(cl(V )). Therefore f is almost gα-continuous.
Definition 2.19. A function f : X → Y is said to be pre gα-open if the image
of each gα-open set is gα-open.
Theorem 2.20. If a function f : X → Y is a pre gα-open and contra gα-
continuous, then f is almost gα-continuous.
Proof. Let x be any arbitrary point of X and V be an open set containing
f(x). Since f is contra gα-continuous, then by Theorem 2.7.(3) there exists
U ∈ gαO(X, x) such that f(U) ⊆ cl(V ). Since f is pre gα-open, f(U) is gα-
open in Y . Therefore, f(U) = intgαf(U) ⊆ intgα(cl(f(U))) ⊆ intgα(cl(V )).
This shows that f is almost gα-continuous.
Definition 2.21. The gα-frontier of A of a space (X, τ), denoted by Frgα(A)
is defined by Frgα(A) = clgα(A) ∩ clgα(X − A).
Theorem 2.22. Let K = {x ∈ X : V ∩ U = φ} for every gα-open set V
containing x, then clgα(U) = K.
Proof.
Let x ∈ K ⇔ V ∩ U = φ, x ∈ V, V is a gα-open set
⇔ x ∈ U or every gα-open sets containing x contains
a point of U other than x
⇔ x ∈ clgα(U).
Theorem 2.23. The set of all points x of X at which f : X → Y is not contra
gα-continuous is identical with the union of the gα-frontier of the inverse image
of closed sets of Y containing f(x).
173
Proof. Suppose f is not contra gα-continuous at x ∈ X. There exists F ∈
C(Y, f(x)) such that f(U) ∩ (Y − F) = φ for every U ∈ gαO(X, x). This
implies that U ∩ f−1
(Y − F) = φ. Therefore, we have x ∈ clgα(f−1
(Y −
F)) = clgα(X − f−1
(F)). However, since x ∈ f−1
(F) ⊆ clgα(f−1
(F)), thus
x ∈ clgα(f−1
(F))∩clgα(f−1
(Y −F)). Therefore, we obtain x ∈ Frgα(f−1
(F)).
Suppose that x ∈ Frgα(f−1
(F)) for some F ∈ C(Y, f(x)) and f is contra
gα-continuous at x, then there exists U ∈ gαO(X, x) such that f(U) ⊆ F.
Therefore, we have x ∈ U ⊆ f−1
(F) and hence x ∈ intgα(f−1
(F)) ⊆ X −
Frgα(f−1
(F)). This is a contradiction. This means that f is not contra gα-
continuous.
Theorem 2.24. Let (Xλ : λ ∈ Λ) be any family of topological spaces. If
f : X → Xλ is a contra gα-continuous function. Then Pλ ◦ f : X → Xλ is
contra gα-continuous for each λ ∈ Λ, where Pλ is the projection of Xλ onto
Xλ.
Proof. We shall consider a fixed λ ∈ Λ. Suppose Uλ is an arbitrary open set
in Xλ. Then P−1
λ (Uλ) is open in Xλ. Since f is contra gα-continuous, we
have by definition f−1
(P−1
λ (Uλ)) = (Pλ ◦f)−1
(Uλ) is gα-closed in X. Therefore
Pλ ◦ f is contra gα-continuous.
Theorem 2.25. Let f : X → Y and g : Y → Z be two functions and
g ◦ f : X → Z. Then
(i) g ◦ f is contra-gα-continuous, if g is continuous and f is contra-gα-
continuous.
(ii) g ◦ f is contra-gα-continuous, if g is contra-continuous and f is gα-
continuous.
(iii) g◦f is contra-gα-continuous, if f and g are gα-continuous and Y is locally
gα-indiscrete.
Theorem 2.26. If f : X → Y be surjective gα-irresolute and pre-gα-open
and g : Y → Z be any function. Then g ◦ f : X → Z is contra gα-continuous
if and only if g is contra gα-continuous.
Proof. The ’if’ part is easy to prove. To prove the ’only if’ part, let g ◦ f :
X → Z is contra gα-continuous and let F be a closed subset of Z. Then
(g ◦ f)−1
(F) is a gα-open of X. That is f−1
(g−1
(F)) is an gα-open subset of
X. Since f is pre-gα-open, f(f−1
(g−1
(F))) is gα-open subset of Y . So, g−1
(F)
is an gα-open in Y . Hence g is contra gα-continuous.
Recall that for a function f : X → Y , the subset {(x, f(x)) : x ∈ X} ⊆ X ×Y
is called the graph of f and is denoted by Gr(f).
Definition 2.27. The graph Gr(f) of a function f : X → Y is said to
be contra gα-closed if for each (x, y) ∈ (X × Y ) − Gr(f), there exists U ∈
gαO(X, x) and V ∈ C(Y, y) such that (U × V ) ∩ Gr(f) = φ and it is denoted
174
by Cgα-closed.
Lemma 2.28. [8] Let Gr(f) be the graph of f, for any subset A ⊆ X and
B ⊆ Y , we have f(A) ∩ B = φ if and only if (A × B) ∩ G(f) = φ.
Lemma 2.29. The graph Gr(f) of a function f : X → Y is Cgα-closed
in X × Y if and only if for each (x, y) ∈ (X × Y ) − Gr(f), there exists
U ∈ gαO(X, x) and V ∈ C(Y, y) such that f(U) ∩ V = φ.
Theorem 2.30. If f : X → Y is contra gα-continuous and Y is Urysohn,
then f is Cgα-closed in the product space X × Y .
Proof. Let (x, y) ∈ (X × Y ) − Gr(f). Then y = f(x) and there exists open
sets H1, H2 such that f(x) ∈ H1, y ∈ H2 and cl(H1) ∩ cl(H2) = φ. From
hypothesis, there exists V ∈ gαO(X, x) such that f(V ) ⊆ cl(H1). Therefore,
we obtain f(V ) ∩ cl(H2) = φ. This shows that f is Cgα-closed.
Theorem 2.31. If f : X → Y and g : X → Y are contra gα-continuous and
Y is Urysohn, then K = {x ∈ X : f(x) = g(x)} is gα-closed in X.
Proof. Let x ∈ X−K. Then f(x) = g(x). Since Y is Urysohn, there exist open
sets U and V such that f(x) ∈ U, g(x) ∈ V and cl(U)∩cl(V ) = φ. Since f and
g are contra gα-continuous, f−1
(cl(U)) ∈ gαO(X) and g−1
(cl(V )) ∈ gαO(X).
Let A = f−1
(cl(U)) and B = f−1
(cl(V )), then A and B contains x. Set
C = A∩B. C is gα-open in X [4, Theorem 2.15]. Hence f(C)∩g(C) = φ and
x /∈ clgα(K). Thus, K is gα-closed in X.
Theorem 2.32. Let f : X → Y be a function and let g : X → X × Y be
the graph function of f, defined by g(x) = (x, f(x)) for every x ∈ X. If g is
contra gα-continuous, then f is contra gα-continuous.
Proof. Let U be an open set in Y , then X × U is an open set in X × Y .
Since g is contra gα-continuous, it follows that f−1
(U) = g−1
(X × U) is an
gα-closed set in X. Thus, f is contra gα-continuous.
Theorem 2.33. If f : X → Y is gα-continuous and Y is T1, then f is Cgα-
closed in X × Y .
Proof. Let (x, y) ∈ (X ×Y )−Gr(f). Then f(x) = y and there exists an open
set V of Y such that f(x) ∈ V and y /∈ V . Since f is gα-continuous there exists
U ∈ gαO(X, x) such that f(U) ⊆ V . Therefore, we have f(U) ∩ (Y − V ) = φ
and Y − V ∈ C(Y, y). This shows that f is Cgα-closed in X × Y .
Definition 2.34.
(i) A space X is said to be gα-T1 if for each pair of distinct points x and y
in X, there exists gα-open sets U and V containing x and y respectively,
such that y /∈ U and x /∈ V .
(ii) A space X is said to be gα-T2 if for each pair of distinct points x and y
175
in X, there exists gα-open sets U and V containing x and y respectively,
such that U ∩ V = φ.
Theorem 2.35. Let X is a topological space and for each pair of distinct
points x and y in X there exists a map f of X into a Urysohn topological
space Y such that f(x) = f(y) and f is contra gα-continuous at x and y, then
X is gα-T2.
Proof. Let x and y be any distinct points in X. Then, there exists a Urysohn
space Y and a function f : X → Y such that f(x) = f(y) and f is contra
gα-continuous at x and y. Let a = f(x) and b = f(y). Then a = b. Since
Y is Urysohn space, there exists open sets V and W containing a and b,
respectively, such that cl(V ) ∩ cl(W) = φ. Since f is contra gα-continuous at
x and y, there exist gα-open sets A and B containing a and b, respectively, such
that f(A) ⊆ cl(V ) and f(B) ⊆ cl(W). Then f(A) ∩ f(B) = φ, so A ∩ B = φ.
Hence, X is gα-T2.
Corollary 2.36. Let f : X → Y be contra gα-continuous injection. If Y is
an Urysohn space, then X is gα-T2.
Definition 2.37. A space X is said to be weakly Hausdorff [18] if each element
of X is an intersection of regular closed sets.
Theorem 2.38. If f : X → Y is a contra gα-continuous injection and Y is
weakly Hausdorff, then X is gα-T1.
Proof. Suppose that Y weakly Hausdorff. For any distinct points x1 and x2 in
X, there exists regular closed sets U and V in Y such that f(x1) ∈ U, f(x2) /∈
U, f(x1) /∈ V and f(x2) ∈ V . Since f is contra gα-continuous, f−1
(U) and
f−1
(V ) are gα-open subsets of X such that x1 ∈ f−1
(U), x2 /∈ f−1
(U), x1 /∈
f−1
(V ) and x2 ∈ f−1
(V ). This shows that X is gα-T1.
Theorem 2.39. Let f : X → Y have a Cgα-graph. If f is injective, then X
is gα-T1.
Proof. Let x1 and x2 be any two distinct points of X. Then, we have
(x1, f(x2)) ∈ (X × Y ) − G(f).
Then, there exist a gα-open set U in X containing x1 and F ∈ C(Y, f(x2))
such that f(U) ∩ F = φ hence U ∩ f−1
(F) = φ. Therefore we have x2 /∈ U.
This implies that X is gα-T1.
Definition 2.40. A topological space X is said to be ultra Hausdorff [19] if
for each pair of distinct points x and y in X there exist clopen sets A and B
containing x and y containing x and y, respectively such that A ∩ B = φ.
Theorem 2.41. Let f : X → Y be a contra gα-continuous injection. If Y is
176
ultra Hausdorff space, then X is gα-T2.
Proof. Let x1 and x2 be any distinct points in X, then f(x1) = f(x2) and
there exist clopen sets U and V containing f(x1) and f(x2) respectively such
that U ∩ V = φ. Since f is contra gα-continuous, then f−1
(U) ∈ gαO(X) and
f−1
(V ) ∈ gαO(X) such that f−1
(U) ∩ f−1
(V ) = φ. Hence, X is gα-T2.
Definition 2.42. The graph Gr(f) of f : X → Y is said to be strongly contra-
gα-closed if for each (x, y) ∈ (X, Y ) − Gr(f), there exists U ∈ gαO(X, x) and
V ∈ RC(Y, y) such that (U × V ) ∩ Gr(f) = φ.
Lemma 2.43. The graph Gr(f) of f : X → Y is strongly contra-gα-closed
graph in X × Y if and only if for each (x, y) ∈ (X × Y ) − Gr(f), there exist
U ∈ gαO(X, x) and V ∈ RC(Y, y) such that f(U) ∩ V = φ.
Theorem 2.44. If f : X → Y is almost gα-continuous and Y is Hausdorff,
then Gr(f) is strongly contra-gα-closed.
Proof. Suppose that (x, y) ∈ (X × Y ) − Gr(f). Then y = f(x). Since Y
is Hausdorff, there exist open sets V and W in Y containing y and f(x),
respectively, such that V ∩ W = φ; hence, cl(V ) ∩ int(cl(W)) = φ. Since
f is almost gα-continuous and W is regular open by Theorem 2.18. there
exists U ∈ gαO(X, x) such that f(U) ⊆ W ⊆ int(cl(W)). This shows that
f(U)∩cl(V ) = φ and hence by Lemma 2.43. we have Gr(f) is strongly contra-
gα-closed.
Remark 2.45. The following diagram shows the relationships established
between contra gα-continuous functions and some other continuous functions.
A → B represents A implies B but not conversely.
A H
↓
B C → D → E → I
↓ ↓
F −→ G
Notation 2.46. A= RC-continuous, B= contra super continuous, C= con-
tra α-continuous, D= contra semi-continuous, E= contra γ-continuous, F=
contra continuous, G= contra gα-continuous, H= contra pre-continuous, I=
contra β-continuous.
Remark 2.47. It should be mentioned that none of these implication is re-
versible as shown by the example stated below.
Example 2.48. [16] The digital line or the so-called Khalimsky line is the
177
set of all integers Z, equipped with the topology k, generated by subbase
τk = {2n − 1, 2n, 2n + 1} : n ∈ Z . Let (Z, k) be the digital line and f :
(Z, k) → (Z, k) be a function defined as follows: f(x) = 0, if x is odd; f(x) = 1,
if x is even. It can be easily observed that f is contra super continuous but
not RC-continuous.
Example 2.49. [16] Let X = {a, b} be the Sierpinski space by setting τ =
{X, φ, {a}} and σ = {X, φ, {b}}. The identity function f : (X, τ) → (X, σ) is
contra continuous but not contra super continuous.
Example 2.50. [11] Let X = {a, b, c} = Y , τ = {X, φ, {a}} and σ =
{X, φ, {b}, {c}, {b, c}}. Then the identity function f : (X, τ) → (Y, σ) is contra
α-continuous but not contra continuous.
Example 2.51. [16] Let X = {a, b} with the indiscrete topology τ and
σ = {X, φ, {a}. Then the identity function f : (X, τ) → (X, σ) is contra
γ-continuous but not contra semi continuous, since A = {a} ∈ σ but A is not
semi closed in (X, τ).
Example 2.52. [12] Let X = {a, b, c, d} and
τ = {X, φ, {b}, {c}, {b, c}, {a, b}, {a, b, c}, {b, c, d}}.
Define a function f : (X, τ) → (X, τ) as follows : f(a) = b, f(b) = a f(c) = d
and f(d) = c. Then f is contra semi-continuous. However, f is not contra
α-continuous, since {c, d} is closed set of (X, τ) and f−1
({c, d}) = {c, d} is
not α-open.
Example 2.53. Let X = {a, b, c}, τ = {X, φ, {a}, {b}, {a, b}} and Y = {1, 2}
be the Sierpinski space with the topology σ = {Y, φ, {1}}. Let f : (X, τ) →
(Y, σ) be defined by: f(a) = 1 and f(b) = f(c) = 2. Then f is contra γ
continuous but neither contra pre continuous nor contra gα-continuous.
Example 2.54. [7] A contra semi continuous function need not be contra
pre continuous. Let f : R → R be the function f(x) = [x], where [x] is
the Gaussion symbol. If V is a closed subset of the real line, its pre image
U = f−1
(V ) is the union of the intervals of the form [n, n+1], n ∈ Z; hence U
is semi open being union of semi open sets. But f is not contra pre continuous,
since f−1
(0.5, 1.5) = [1, 2) is not pre closed in R.
Example 2.55. [7] A contra pre continuous function need not be contra semi
continuous. Let X = {a, b}, τ = {X, φ} and σ = {X, φ, {a}}. Then the
identity function f : (X, τ) → (Y, σ) is contra pre continuous as only the
trivial subsets of X are open in (X, τ). However f−1
({a}) = {a} is not semi
closed in (X, τ); hence f is not contra semi continuous.
178
Example 2.56. Let X = {a, b, c}, τ = {X, φ, {a}, {b}, {a, b}} and Y = {p, q},
σ = {Y, φ, {p}}. Let f : (X, τ) → (Y, σ) be defined by f(a) = p and f(b) =
f(c) = q. Then f is contra β-continuous but neither contra pre continuous
nor gα-continuous, since f−1
({q}) = {b, c} is β-open neither pre open nor
gα-open.
Example 2.57. Let X = {a, b, c} = Y and τ = {X, φ, {a}, {b}, {a, b}}. Let
f : (X, τ) → (Y, τ) be defined by: f(a) = c, f(b) = b and f(c) = a. Then f
is contra semi continuous but not contra gα-continuous, since f−1
({a, c}) =
{a, c} is not gα-open.
Example 2.58. Let X = {a, b, c} = Y , τ = {X, φ, {a}, {b, c}} and σ =
{Y, φ, {a}, {b}, {a, b}}. Then the identity function f : (X, τ) → (Y, σ) is contra
pre continuous but not contra gα-continuous, since f−1
({c}) = {c} is not gα-
open.
3. Applications of contra-gα-Continuous Functions
Definition 3.1. A topological space X is said to be
(a) gα-normal if each pair of non-empty disjoint closed sets can be separated
by disjoint gα-open sets,
(b) ultranormal [15] if each pair of non-empty disjoint closed sets can be
separated by disjoint clopen sets.
Theorem 3.2. If f : X → Y is a contra gα-continuous, closed injection and
Y is ultranormal, then X is gα-normal.
Proof. Let F1 and F2 be disjoint closed subsets of X. Since f is closed injective,
f(F1) and f(F2) are disjoint closed subsets of Y . Since Y is ultranormal, f(F1)
and f(F2) are separated by disjoint clopen sets V1 and V2, respectively. Hence
Fi ⊂ f−1
(Vi), f−1
(Vi) ∈ gαO(X) for i = 1, 2 and f−1
(V1) ∩ f−1
(V2) = φ. Thus
X is gα-normal.
Definition 3.3. A topological space X is said to be gα-connected if X is not
the union of two disjoint non-empty gα-open subsets of X.
Theorem 3.4. A contra gα-continuous image of a gα-connected space is
connected.
Proof. Let f : X → Y be a contra gα-continuous function of a gα-connected
space X onto to a topological space Y . If possible, let Y is disconnected. Let
A and B form a disconnected of Y . Then A and B are clopen and Y = A ∪ B
where A ∩ B = φ. Since f is contra gα-continuous, X = f−1
(Y ) = f−1
(A ∪
B) = f−1
(A)∪f−1
(B) where f−1
(A) and f−1
(B) are non-empty gα-open sets
179
in X. Also, f−1
(A) ∩ f−1
(B) = φ. Hence X is non-gα-connected which is a
contradiction. Therefore Y is connected.
Theorem 3.5. Let X be gα-connected and Y be T1. If f : X → Y is contra
gα-continuous, then f is constant.
Proof. Since Y is T1 space, v = {f−1
(y) : y ∈ Y } is a disjoint gα-open
partition of X. If |v| ≥ 2, then X is the union of two non-empty gα-open sets.
Since X is gα-connected, |v| = 1. Therefore, f is constant.
Theorem 3.6. If f : X → Y is a contra gα-continuous function from a
gα-connected space X onto any space Y , then Y is not a discrete space.
Proof. Suppose that Y is discrete. Let A be a proper non-empty open and
closed subset of Y . Then f−1
(A) is a proper nonempty gα-clopen subset of X,
which is a contradiction to the fact X is gα-connected.
References
[1] M. E. Abd El-Monsef, S. N. El-Deed and R. A. Mahmoud, β-open sets and
β-continuous mappings, Bull. Fac. Sci. Assiut Univ., 12 (1983), 77–90.
[2] Ahmad Al-Omari and Mohd Salmi Md Noorani, Contra-ω-continuous
and Almost contra-ω-continuous, International journal of Mathematics and
Mathematical Sciences, (2007), 1–13.
[3] M. Caldas and S. Jafari, Some properties of contra β-continuous functions,
Mem. Fac. Sci. Kochi Univ.(Math), 22 (2001), 19–28.
[4] R. Devi, A. Selvakumar and S. Jafari, gα-closed sets in topological spaces,
(submitted).
[5] R. Devi, A. Selvakumar and S. Jafari, Applications of gα-closed sets,
(submitted).
[6] J. Dontchev, Contra-continuous functions and strongly S-closed spaces,
International journal of Mathematics and Mathematical Sciences, Vol. 19, No.
2 (1996), 303–310.
[7] J. Dontchev and T. Noiri, Contra-semi continuous functions, Mathematica
Pannonica, Vol. 10, No. 2 (1999), 159–168.
[8] E. Ekici, Almost contra-precontinuous functions, Bulletin of the Malaysian
Mathematical Sciences Society, Vol. 27, no. 1 (2004), 53–65.
[9] A. A. El-Atick, A study of some types of mappings on topological spaces, M.
Sci. thesis, Tanta Univ., Egypt, 1997.
[10] S. Jafari and T. Noiri, Contra-super-continuous functions, Annales Univ. Sci.
Budapest, 42 (1999), 27–34.
180
[11] S. Jafari and T. Noiri, Contra-α-continuous functions between topological spaces,
Iranian International Journal of Sciences, Vol. 2, No. 2 (2001), 153–167.
[12] S. Jafari and T. Noiri, On contra-precontinuous functions, Bulletin of the
Malaysian Mathematical Sciences Society, Vol. 25, No. 2 (2002), 115–128.
[13] N. Levine, Semi-open sets and semi-continuity in topological spaces, Amer.
Math. Monthly, 70(1963), 36–41.
[14] A. S. Mashhour, M. E. Abd El-Monsef and S. N. El-Deeb, On pre continuous
and weak pre continuous mappings, Proc. Math. Phys. Soc., Egypt, 53 (1982),
7–53.
[15] M. Mrsevic, On pairwise R0 and pairwise R1 bitopological spaces, Bull. Math.
Soc. Sci. Math. RS Roumami, 30 (78)(1986), 141–148.
[16] A. A. Nasef, Some properties of contra-γ-continuous functions, choas, Solitons
& Fractals, Vol. 24, No. 2 (2005), 471–477.
[17] O. Njastad, On some classes of nearly open sets, Pacific J. Math., 15(1965),
961–970.
[18] T. Soundararajan, Weakly Hausdorff spaces and the cardinality of topological
spaces, In: General topology and its relation to modern analysis and algebra,
III, Proc. Conf. Kanpur, 1968, Academia, Prague 1971, p 3016.
[19] R. Staum, The algebra of bounded continuous functions into nonarchimedean
field, Pacific J. Math., 50 (1974), 169–185.
[20] M.K.R.S. Veera kumar, Between g∗-closed sets and g-closed sets, Antartica J.
Math., 3(1)(2006), 43–65.
[21] M.K.R.S. Veera kumar, g-semi-closed sets in topological spaces, Antartica J.
Math., 2:2(2005), 201–222.
[22] M.K.R.S. Veera Kumar, g-locally closed sets and GLC-functions, Indian J.
Math., 43(2)(2001), 231–247.
[23] M.K.R.S. Veera Kumar, On g-closed sets in topological spaces, Allahabad Math.
Soc., 18(2003), 99–112.
[24] N. V. Velicko, H-closed topological spaces, Amer. Math. Soc. Transl., 78 (1968),
103–118.
[25] S. Willard, General Topology, Addison - Wesley, Reading, Mass, USA (1970).
181
Selected papers of the 2014 International Conference
on Topology and its Applications
(2015) Pages 182–189
Department of Mathematics
University of Patras
Greece
Minimal (n, ε) - connected compacta are V n
manifolds
Vladimir Todorov 1
Department of Mathematic; University of Architecture, Civil Engineering and
Geodesy; Hristo Smirnenski Blvd. #1, 1046 Sofia, Bulgaria
Abstract
We prove in this note that if a compact metric space X is a minimally V n connected
between disjoint closed sets P ⊂ X, Q ⊂ X then X is a continuum V n.
Key words: Cantor n-manifold, V n-continuum, V n connectedness, dimensional
diameter.
1991 MSC: Primary 55M10, 55M15; Secondary 54F45.
1. Introduction
All spaces in this note are compact metric or subsets of metric compacta. We
deal below as well with the classical Lebesgue covering dimension dim.
Cantor manifolds were introduced by Urysohn [1] (1925) as a generalization
of Euclidean manifolds. Recall that a space X is a Cantor n-manifold if X
cannot be separated by by any (n − 2)-dimensional closed subset. In other
words, X is not a sum of two proper closed subsets whose intersection is at
most (n − 2) dimensional.
Another specification of Cantor manifolds was considered by Hadˇziivanov [3]
(1970): X is a strong Cantor n-manifold if for arbitrary representation X =
∞
i=1 Fi, where all Fi are proper closed subsets of X, we have dim(Fi ∩ Fj) ≥
n−1 for some i = j. Hadˇziivanov and Todorov [4] introduced (1980) the class
of Mazurkiewicz n-manifolds, which is a proper sub-class of the strong Cantor
n-manifold spaces: X is a Mazurkiewicz n-manifold if for any disjoint closed
subsets A and B of X, both having non-empty interior in X, and any (n−2)-
dimensional set M ⊂ X, there exists a continuum in X M intersecting A and
1 tt.vladimir@gmail.com
B (equivalently, no such space is cutting X between A and B). The notion of a
Mazurkiewicz n-manifold has its roots in the classical Mazurkiewicz theorem
saying that no region in the Euclidean n-space can be cut by a subset of
dimension ≤ n − 2, see [5].
Meanwhile Alexandroff [2] introduced in 1957 the stronger notion of V n
-
continua: a compactum X is a V n
-continuum if for every two closed disjoint
subsets A, B of X, both with non-empty interior, there exists such ε > 0
that every partition C between A and B has an (n − 2) dimensional diameter
dn−2(C) ≥ ε.
Obviously, strong Cantor n-manifolds are Cantor n-manifolds. Moreover, every
V n
-continuum is a Mazurkiewicz n-manifold and Mazurkiewicz n-manifolds
are strong Cantor n-manifolds, see [4]. None of the above inclusions is re-
versible, see [6].
In the present paper we prove that if X is minimal (n, ε) connected between
its closed subsets P and Q then X is a continuum V n
(see the definitions
below, where X is a compact space with metric in it).
Definition 1.1. For A ⊂ X the diameter of A is the number
diam A = sup{ (x, y)| x ∈ A, y ∈ A}
Recall next some useful notion. For an arbitrary Y ⊂ X by Y and Y ◦
we
denote the closure and the interior of Y . Let furthermore U = {U1, U2, . . . , Up}
be a finite system of subsets of X. A body |U| of U is the set |U| = p
i=1 Ui.
If |U| = X then U is called a cover of X. The closure of U is the system
U = {Ui}p
i=1.
We recall also two well known notions: the order ord U is by definition the max-
imal number of elements of U with nonemapty intersection and the measure:
mesh U = max{diam (Ui)| Ui ∈ U}.
Definition 1.2. The n-dimensional diameter dn(X) of X is the number
inf{mesh U} where U runs the set of all finite (or locally finite) covers of
X, each of them with ord ≤ n + 1.
Note that d−1(X) = diam X.
Definition 1.3. Let P and Q are disjoint closed subsets of the metric space
X and ε > 0. We say that X is (n, ε) connected between P and Q if for every
partition C between P and Q one has dn−2(C) ≥ ε.
Also we shall say sometimes that X is V n
connected between P and Q meaning
that it is a (n, ε) connected for some ε > 0.
183
Note that every partition in normal space contains a thin one. i.e. a partition
with an empty interior. Hence without loss of generality we shall deal below
primarily with thin partitions.
Definition 1.4. A space X is an Alexandroff manifold (or a continuum V n
) if
for every two closed disjoint subsets F and G with non-empty interior, there
exists ε > 0 such that X is (n, ε) connected between F and G.
Let P and Q be a fixed pair of disjoint closed subsets of a compact metric
space (X, ). Next suppose that X is a minimal (n, ε) connected between P
and Q. Minimality means as usual that every proper closed subset Y for which
P ∪ Q ⊂ Y ⊂ X is not (n, ε) connected between P and Q for the given ε > 0
(Note however that Y may be an (n, ε ) connected petween P and Q for some
ε < ε). We are going to prove here that X is a continuum V n
.
2. Main Results
Let U = {U1, U2, . . . , Up} be a finite open system in a metric space X for which
the number λU defined by
λU =
1
3
min{ (Ui, Uj)|1 ≤ i, j ≤ p; , Ui ∩ Uj = ∅}
is positive.
note:Below we will say that a system U is a proper system if λU > 0.
All spaces in this paper are metric (hence normal) and this allows us to deal
with proper finite open (or closed) systems. Also we will call the number λU
a proper number of U.
Now let U be a proper open system and Oλ(Ui) = Oi = {x| (x, Ui) < λU }
for i = 1, 2 . . . , p. It is easy to see than that the systems U and OU =
{O1, O2, . . . , Op} are similar, i.e. Ui ∩ Uj = ∅ if an only if Oi ∩ Oj = ∅ and as
well O is also proper. Now we can formulate the following useful lemma.
Lemma 2.1. Let U = {U1, U2, . . . , Up} be as above and V = {V1, V2, . . . , Vq}
be a finite open system for which meshV < λU . Then we can ”join” U and
V to obtain an open system W = J (U, V) for which following conditions are
fulfilled:
a) |V| = |U| ∪ |V|
b) ord W ≤ max{ord U, ord V}
c) mesh W ≤ mesh U + 2mesh V
184
Proof. Denote for i = 1, 2, . . . , p by Ni the set Ni = {j| Ui ∩ Vj = ∅} and put
Ni = ∅ if Ui ∩ Vj = ∅ for every j = 1, 2, . . . , p.
Furthermore let {Wk} be an open system in X which is generated by (swelling
U by V) modifying systems U and V as follows: W1 = U1 ∪ {Vj| j ∈ N1} if
N1 = ∅ and W1 = U1 otherwise and for k ≥ 2 define Wk as
Wk = Uk ∪ {Vj| j ∈ Nk 
k−1
l=1
Nl}
if Nk 
k−1
l=1
Nl = ∅ and Wk = Uk for Nk 
k−1
l=1
Nl = ∅. Thus we have obtained an
open system W∗
= {W1, W2, . . . , Wp}. If |W∗
| = |U|∪|V| the Lemma is proven,
so W ≡ W∗
. The relation |W∗
| = |U| ∪ |V| means that there is some integers,
say j1, . . . , jm for which Vjk
∩|W∗
| = ∅. To finish the proof it remains to rename
Vjk
’s: Wp+k ≡ Vjk
; k = 1, 2, . . . , m. Thus we obtain a system W = {Wl}p+m
l=1 .
Note that the system W∗
is similar to U because Uk ⊆ Wk ⊂ Ok and hence
ord U = ord W∗
and ord W∗
≤ ord W ≤ max{ord U, ord V}. It is easy to see
now that W satisfies the conditions a) and c).
Theorem 2.2. Let (X, ) be a compact metric space and P and Q be a fixed
disjoint pair of closed subsets of X. Suppose that X is a minimal (n, ε0)-
connected between P and Q (with fixed ε0 > 0).
Then X is V n
-connected between every two disjoint closed subsets with non-
empty interiors in X  (P ∪ Q).
If in addition dim X = n and P and Q are with empty interiors then X is a
continuum V n
.
Proof. Suppose the contrary. We are going to obtain a contradiction by con-
structing a partition C between P and Q in X for which dn−2(C) < ε0.
And so let A and B are two disjoint closed subsets of X  (P ∪ Q) with non-
empty interiors in X  (P ∪ Q) for which X is not V n
-connected between A
and B. This means that for every τ > 0 one can find a partition Cτ between
A and B for which dn−2(Cτ ) < τ.
In the sequel we put XA = X  A◦
and XB = X  B◦
respectively.
Keeping in mind the minimality of X we see that one can find a partition
CA ⊂ XA between P and Q for which dn−2(CA) < ε0. Hence we can find an
open (in X) cover UA of CA for which:
(i) mesh UA = εA < ε
(ii) ord UA ≤ n − 1.
It follows from this that XA = UA ∪ CA ∪ UB where UA ⊃ P and UB ⊃ Q are
185
disjoint open sets in XA (hence in X). Note further that there is two options:
Case 1. Suppose first, that CA ∩ B = ∅. Then B ⊂ UA or B ⊂ UB. Situation
here is symmetrical, so we assume for example that B ⊂ UB. Now let us denote
by PA the set PA = UA ∪ CA ∪ A. Note that X is minimal (n, ε0) connected
between PA and Q because P ⊂ PA (if B ⊂ UA then put PB = UB ∪ CA ∪ A).
It follows now that one can find a partition CB in X  B between PA and Q
for which dn−2CB < ε0. Thus XB = VA ∪CB ∪VB where VA ⊃ PA and VB ⊃ Q
are disjoint open sets in XB (hence in X). According to Definition 1.3 we can
find an open cover UB of CB satisfying the following conditions:
(iii) mesh UB = εV < ε0
(iv) ord UB ≤ n − 1.
Furthermore, denote by λA and λB the proper numbers of UA and UB and
choose δ > 0 such that
δ <
1
4
min{ε0 − εA, ε0 − εB, λA, λB, (CA ∪ A, CB ∪ B)}.
Now let C∗
be a partition in X between A and B in X with dn−2(C∗
) < δ. Thus
we obtain a decomposition X = WA ∪ C∗
∪ WB where WA ⊃ A and WB ⊃ B
are disjoint open sets in X. Next we are going to construct a partition C
between P and Q in X with dn−2(C) < ε0.
For this purpose denote X∗
= X  (UP ∪ VQ) and put
C = CA ∪ (C∗
∩ X∗
) ∪ CB
To show that C is a wonted partition let us consider a finite open cover V∗
of C∗
with mesh V∗
< δ and ord V∗
≤ n − 1. Note that for U = UA ∪ UB
we have mesh V < ε0 − 2δ and ord V ≤ n − 1; the last inequality follows by
|UA| ∩ |UB| = ∅. Now apply Lemma 2.1 to obtain an open cover V = J(ω, V∗
).
Then ord V ≤ n − 1 and mesh V < mesh U + 2δ < ε0 − 2δ + 2δ = ε0.
To reach a contradiction it remains to show that C is a partition between P
and Q. To perform this let OP = (WA ∪ UP )  V Q and OQ = (WB ∪ VQ)  UP .
Obviously OP and OQ are open subsets of X and OP ⊃ P, OQ ⊃ Q. It follows
as well by de Morgan’s law that they are disjoint:
OP ∩ OQ = (WA ∪ UP )  V Q ∩ (WB ∪ VQ)  UP
= ((WA ∪ UP ) ∩ (WB ∪ VQ))  (UP ∪ V Q)
= ((WA ∩ VQ) ∪ (WB ∩ UP ))  (UP ∪ V Q) = ∅
because WA ∩ VQ ⊂ V Q and WB ∩ UP ⊂ UP . It is easy to convince now that
∂(OP ) ⊂ CA ∪ C∗
∪ CB ⊃ ∂(OQ). Since (CA ∪ C∗
∪ CB)◦
= ∅ we obtain the
186
set C := OP ∩ OQ ⊂ CA ∪ C∗
∪ CB is a partition in X between A and B with
dn−2(C) < ε0, a contradiction.
To finish the proof we should see what happens when CA ∩ B = ∅.
Case 2. Remind that the interior B◦
is non empty on condition and the
partition CA was thin. Hence B◦
 CA = ∅. Clearly we may choose an open
subset H ⊂ B◦
 CA for which H ⊂ B◦
 CA. Now we can replace B with H
and then return to the Case 1.
Finally note that it follows from the above that dim X ≥ n. If dim X = n and
P and Q are with empty interiors then X is V n
connected between any two
closed ”fat” disjoint subsets and hence is a continuum V n
.
To continue on, let us remind some more basic facts from the Dimension
Theory. Given a system F = {(P1, Q1), (P2, Q2), . . . , (Pn, Qn) consisting of n
disjoint pars of closed subsets of a compact metric space (X, ). F is called to
be essential (or n-defined system) if for every collection of partitions {Ci}n
i=1
between Pi and Qi in X the intersection n
i=1 Ci = ∅.
Further we call Pi’s and Qi’s faces of F. The system F is said to be minimal
if for every proper closed subset Y ⊂ X the system F|Y = {(Pi|Y ), (Qi|Y )}n
i=1
is not essential.
Proposition 2.3. Let F be a minimal n-defined system in a compact metric
space (X, ). Then there exists an equivalent metric ∗
in X under which X
is a minimal (n, 1) connected between every pair Pi, Qi; i = 1, 2, . . . , n.
Proof. Let for every integer i; 1 ≤ i ≤ n fi : X → [0, 1] be the continuous
function defined by fi(x) = (x, Pi)/( (x, Pi) + (x, Qi)). Evidently f(Pi) =
0 and f(Qi) = 1. Now we put (x, y) = (x, y) + max1≤i≤n |fi(x) − fi(y)|
and ∗
(x, y) = min{1, (x, y)}. It is easy to see that metrics and ∗
are
equivalent. In considerations below we shall use the metric ∗
.
It seems that the following claim is a folklore fact otherwise it can be found
for example in [7] or [8].
claim: Suppose that V is a finite open cover of a compact space Y with an
n-defined system H. If ord V ≤ n then at least one element of η intersects two
opposite faces of H.
Next we are going to show that X is an (n, 1) connected between every two
opposite sides of F. We shall demonstrate this for pair (Pn, Qn). Suppose
that C is a partition between Pn and Qn and U is an open cover of C with
ord U ≤ n − 1. Now put
H = {(P1 ∩ C, Q1 ∩ C), (P2 ∩ C, Q2 ∩ C), . . . , (Pn−1 ∩ C, Qn−1 ∩ C).
187
Note that H is an n − 1 defined system in C. It follows from the Claim that
there is an element, say U of U which meets some opposite pair of H - for
example (P1 ∩ C, Q1 ∩ C) i.e. P1 ∩ C = ∅ = Q1 ∩ C. Then diam(U) = 1 since
∗
(P1 ∩ C, Q1 ∩ C) = 1 which means that meshU = 1.
Theorem 2.4. Let F be a minimal n-defined system in a compact metric
space (X, ) with dim X = n. Then X is a continuum V n
.
Proof. By Proposition 2.3. X is (n, 1) connected between every pair of oppo-
site faces of F. So it is sufficient to show that X is a minimal (n, 1) connected
between some pair of opposite faces. Let U be a nonempty open subset of
X. Then Y = X  U is a proper closed subset of X and hence the sys-
tem F|Y is not essential. Therefore we can find partitions Ci between Y ∩ Pi
and Y ∩ Qi in Y , i = 1, 2, . . . , n for which n
i=1 Ci = ∅. Note that for each
i = 1, 2, . . . , n one has Y = Fi∪Gi where Fi and Gi are closed sets, F◦
i ⊃ Pi∩Y ,
G◦
i ⊃ Qi ∩ Y and Fi ∩ Gi = Ci (the interiors here are in Y ). Furthermore
put L = {Fi ∩ Gj| i, j = 1, 2, . . . , n}. Clearly L is a closed cover of Y and
ord L ≤ n − 1. Note that by construction no elements of L intersects any two
opposite faces of F|Y simultaneously. It remains to take appropriate swelling V
of L which preserve the order and none element of which meets some opposite
faces of F|Y . It follows then that mesh V < 1, thus Y is not (n, 1) connected
between any pair of opposite faces.
Note that the classical theorem of Alexandroff [2] is a simple consequence of
Theorem 2.4.
Theorem 2.5. Every n-dimensional compact metric space X contains a con-
tinuum V n
.
Proof. It follows by dimX = n that there is an n-defined system F in X. By
virtue of Zorn lemma now we obtain that there exists a closed subset Y ⊂ X
for which the system F|Y is a minimal n-defined. Hence according to theorem
2.4. X is a continuum V n
.
Remark 2.6. Observe that in [2] the Theorem 2.5. is proven by using a
methods of Algebraic Topology. It seems that Theorem 2.2 my be an useful
tool in investigations a geometric structure of Cantor Manifolds. One may
introduce for example an idea for terminal(n, ε) continua.
Generally speaking Theorem 2.2. can be successfully used in different situa-
tions.
Remark 2.7. If X is a strongly connected n-pseudomanifold with nonempty
boundary then X is an n-membrane, i.e. there is a minimal n-defined system
in X cf.[9]. It follows by Theorem 2.2. that X is a continuum V n
.
188
note: The author thanks the referee for his/her valuable re-
marks and suggestions which improved the paper.
References
[1] P. Urysohn, Memoire sur les multiplicites cantoriennes, Fund. Math. 7 (1925),
30–137 (French).
[2] P. S. Alexandroff, Die Kontinua (V p) - eine Versch¨arfung der Cantorschen
Mannigfaltigkeiten, Monatshefte fur Math. 61 (1957), 67–76 (German).
[3] N. Hadˇziivanov, Strong Cantor manifolds, C. R. Acad. Bulgare Sci. 30 (1977),
1247–1249 (Russian).
[4] N. Hadˇziivanov and V. Todorov, On non-Euclidean manifolds, C. R. Acad.
Bulgare Sci. 33 (1980), 449–452 (Russian).
[5] S. Mazurkiewicz, Sur les ensembles de dimension faible, Fund. Math. 13
(1929), 210–217.
[6] A. Karassev, P. Krupski, V. Todorov and V. Valov, Generalized Cantor
manifolds and homogeneity, Houston J. Math.
[7] P. Alexandroff, B. Pasinkov, An introduction to the Dimension Theory,
Moskow, Nauka, 1973. (Russian)
[8] V. Todorov, A. Hamamjiev, S. Stefanov, A compatible metric for computing
the dimensiona diameters of subsets of essential systems, Proceedings of the
XXXVIII Spring Conference of UBM, 2009, pp. 151–154.
[9] A. Hamamjiev, S. Stefanov, V. Todorov, EUQLIDEAN MEMBRANES,
Proceedings of the XXXIII Spring Conference of UBM, 2004, pp. 139–143.
189
Selected papers of the 2014 International Conference
on Topology and its Applications
(2015) Pages 190–215
Department of Mathematics
University of Patras
Greece
b-topological frame extension and hypernear
frames
Zohreh Vaziry 1
, PD Dr. Dieter Leseberg 2
, Dr. S. B. Nimse 3
1Department of Mathematics, College of Basic Science, Karaj Branch, Islamic
Azad University, Alborz, Iran
2Department of Mathematics and Informatics, Free University of Berlin,
Germany. And Head of Chemistry library, Technical University of Braunschweig,
Germany, a.D. (retired)
3Vice-Chancellor, Lucknow University, Lucknow, India
Abstract
Herrlich introduced nearness on a set which is called nearness space. Then, D. Lese-
berg introduced supernearness on a set which is a natural generalization of nearness
spaces and supertopologies as defined by Doitchinov. In this paper, our work is based
on representation theorem of M. H. Stone and the definition of supernearness. Here,
we define hypernearness on Boolean frame and consider corresponding topological
frame extension.
Key words: Boolean frame, boundedness, hypernear frame, topological extension,
frame extension.
1991 MSC: 18B30, 54B30, 54A05, 54D35, 54E05, 06C15, 06D22, 54E17.
1. Introduction
Nearness space was introduced by Herrlich in 1974 [7,8] as an axiomatization
of the concept of nearness of arbitrary collection of sets , the corresponding
category is denoted by NEAR [9]. Supernearness, introduced by D. Leseberg
in 2002 [12], is a natural generalization of nearness spaces and supertopolo-
gies as defined by Doitchinov [6]. As a special case supernearness coincide
with nearness also it is shown that completion of supernearness as a special
1 z−m−vaziry@yahoo.co.in
2 leseberg@zedat.fu-berlin.de
3 dr.sbnimse@rediffmail.com
case coincide with completion of nearness [18]. Concepts of supercovering, su-
perfarness, supersmallness which are defined in [19], are in a corresponding
relation with supernearness. Therefore easily we can mention that developing
of supernearness will develop nearness and its other corresponding relations.
Now by considering representation theorem of Stone [17] we can say:
For each Boolean algebra B or equivalently Boolean ring B there exists a set
X and an injective function i : B → PX such that the following holds:
i(0) = ∅; i(1) = X; i(a∧b) = i(a)∩i(b); i(a∨b) = i(a)∪i(b) and i(a ) = Xi(a),
hence it is isomorphic to the set-algebra on i(B).
In this paper, our work is based on representation theorem of Stone and the
definition of supernearness in the sense of D. Leseberg [14, 15, 16]. Here, we
define boundedness and hypernearness on Boolean frame, and then, we study
b-topological extension on Boolean frame.
Topological extensions [1] play an important role in the theory of proximities
or nearness, respectively. For example Invanova and Invanov [10] studied con-
tiguity spaces and bicompact extension. Herrlich found a useful generalization
of contiguity spaces by introducing nearness spaces, and Bentley [2] showed
that those nearness spaces which can be extended to topological ones have a
neat internal characterization.
D. Leseberg introduced supernearness spaces and corresponding topological
extensions [12, 13]. So here we give a corresponding description in the realm
of Boolean frames.
2. Background
Definition 2.1. [11], [20] A complete lattice L is called frame if and only if
it satisfies the following 1st
infinity distributive law:
(IFD1) ∀ a ∈ L, ∀ S ⊆ L, a ∧ S = {a ∧ x|x ∈ S}.
A frame L is called Boolean frame if and only if it is complementary.
Note that in this case each element has unique complement. i.e.
∀ a ∈ L ∃! a ∈ L s.t. a ∧ a = 0 and a ∨ a = 1
Therefore Boolean frame additionally satisfies the following 2nd
infinity dis-
tributive law.
(IFD2) ∀ a ∈ L, ∀ S ⊆ L, a ∨ S = {a ∨ x|x ∈ S}.
Frame homomorphisms between Boolean frames preserve top, bottom (de-
noted by 1 and 0 respectively) meets, joins and complements.
Definition 2.2. [4], [8] Let A and B be subsets of a Boolean frame L. Then
we define.
(1) secA = {x ∈ L|∀ a ∈ A, x ∧ a = 0};
(2) stackA = {x ∈ L|∃ a ∈ A s.t. a ≤ x};
191
(3) A B = {a ∨ b|a ∈ A, b ∈ B};
(4) A B = {a ∧ b|a ∈ A, b ∈ B};
(5) A = {a |a ∈ A};
(6) st(x, A) = {a ∈ A|a ∧ x = 0};
(7) st(x, A)d
= {a ∈ A|a ∨ x = 1};
(8) A << B iff ∀a ∈ A ∃ b ∈ B s.t. b ≤ a; (A corefines B)
(9) A B iff ∀a ∈ A ∃ b ∈ B s.t. a ≤ b. (A refines B)
Definition 2.3. Let L be a Boolean frame. A function c : L → L is called
frame-closure on L if and only if it satisfies the following conditions:
(fcl1) 0c
= 0;
(fcl2) x, z ∈ L and x ≤ z imply xc
≤ zc
;
(fcl3) x ∈ L implies x ≤ xc
;
(fcl4) x, z ∈ L implies (x ∨ z)c
≤ xc
∨ zc
;
(fcl5) x ∈ L implies (xc
)c
≤ xc
.
If additionally ”c” satisfies the following condition, it is called symmetrical
frame closure
(sym) x, z ∈ L{0, 1} and x ≤ zc
imply z ≤ xc
.
Definition 2.4. Let L be a Boolean frame. A function N : L → P(P(L)) is
called a supernear frame operator (snf- operator), and the pair (L, N) is called
a supernear frame if and only if N satisfies the following conditions:
(snf1) x ∈ L, A, D ⊂ L and A << D ∈ N(x) imply A ∈ N(x);
(snf2) x ∈ L implies N(x) = ∅;
(snf3) A ∈ N(0) implies A = ∅ and {0} /∈ N(1);
(snf4) (0 =)x ∈ L implies {x} ∈ N(x);
(snf5) x, y ∈ L and x ≤ y imply N(x) ⊆ N(y);
(snf6) x ∈ L and A, D ⊂ L and A∨D ∈ N(x) imply A ∈ N(x) or D ∈ N(x);
(snf7) x ∈ L, A ⊂ L and zN
: z ∈ A ∈ N(x) imply A ∈ N(x).
Where 0
N
:= 0, 1
N
:= 1 and
for z ∈ L {0, 1}, zN
:= {x ∈ L {0, 1} : {z} ∈ N(x)}.
Then −N : L → L is called N-closure on L.
For x ∈ L and A ∈ N(x), A is called x-near set in N.
For supernear frames (L1, N1) and (L2, N2) a frame homomorphism g : L1 →
192
L2 is called supernear frame map (or shortly, snf-map) if and only if it satisfies
the following condition:
(snf) x ∈ L1 and A ∈ N1(x) imply g[A] ∈ N2(g(x)).
The corresponding category is denoted by SNFRM.
A supernear frame (L, N) is called paranear frame if and only if N is addi-
tionally symmetric by satisfying the following condition:
(sym) x ∈ L {0} and A ∈ N(x) imply {x} ∪ A ∈ {N(z)|z ∈ A ∪ {x}}.
The corresponding category is denoted by PNFRM which is full subcategory
of SNFRM.
Lemma 2.5. [21] For every supernear frame (L, N) the N- closure is a frame
- closure.
Definition 2.6. Let L and M be Boolean frames with frame closures cL
and cM respectively. A frame homomorphism g : L → M is called frame-
continuous (fc- map) if and only if it satisfies the following condition:
(fc) x ∈ L implies g(xcL
) ≤ (g(x))cM
.
Lemma 2.7. [21] Let (L1, N1) and (L2, N2) be supernear frames and g : L1 →
L2 be a snf-map. Then g : (L1, −N1 ) → (L2, −N2 ) is frame- continuous.
3. Frame-boundedness and hypernear frame
Definition 3.1. Let BL
be a subset of a Boolean frame L. Then BL
is called
frame-boundedness if and only if it satisfies the following conditions:
(fb1) 0 ∈ BL
;
(fb2) x ≤ z ∈ BL
implies x ∈ BL
;
(fb3) ∨BL
∈ BL
.
Let BL
and BM
be frame-boundednesses and f : L → M be a frame homo-
morphism. Then f is called frame-bounded map ( or shortly fb-map) if and
only if it satisfies the following condition:
(fb) f[BL
] ⊂ BM
.
A frame boundedness BL
is called saturated if and only if 1 ∈ BL
.
Example 3.2. Let L be a Boolean frame and x ∈ L{1}. Then,
x− := {a ∈ L|a ≤ x}
193
is a frame-boundedness.
Definition 3.3. Let L be a Boolean frame and BL
be a frame boundedness.
Then the function ”c” from BL
to BL
is called b-frame-preclosure if and only
if it satisfies the following conditions:
(bfcl1) 0c
= 0;
(bfcl2) If x, z ∈ BL
with x ≤ z then, we have xc
≤ zc
;
(bfcl3) x ∈ BL
implies x ≤ xc
;
(bfcl4) x, z ∈ BL
implies (x ∨ z)c
≤ xc
∨ zc
.
And the function ”c” is called b-frame-closure if and only if it additionally
satisfies the following condition:
(bfcl5) x ∈ BL
implies (xc
)c
≤ xc
.
Remark 3.4. Let BL
be a saturated frame-boundedness, then 1c
= 1. More-
over b-frame-closures and frame-closures are the same.
Example 3.5. Let L be a Boolean frame and BL
be a frame-boundedness.Then
by the following definitions •l : BL
→ BL
and •s : BL
→ BL
are b-frame clo-
sures.
•l(x) :=



0 if x = 0
1 if x = 1 (if 1 ∈ BL
)
∨{z ∈ BL
{0, 1}|x ≤ z } if x ∈ BL
{0, 1}
•s(x) :=



0 if x = 0
1 if x = 1 (if 1 ∈ BL
)
∨BL
{0, 1} if x ∈ BL
{0, 1}
Definition 3.6. Let L be a Boolean frame and BL
be a frame-boundedness
BL
. Then a function N : BL
→ P(P(BL
)) is called prehypernear operator and
a triple (L, BL
, N) is called prehypernear frame if and only if it satisfies the
following conditions:
(In addition we note that image of BL
under N is contained in P(P(L)).)
(hnf1) x ∈ BL
, A, D ⊂ BL
and A << D ∈ N(x) imply A ∈ N(x);
(hnf2) x ∈ BL
implies {0} /∈ N(x) = ∅;
(hnf3) A ∈ N(0) implies A = ∅;
(hnf4) (0 =)x ∈ BL
implies {x} ∈ N(x);
194
(hnf5) x, z ∈ L and x ≤ z ∈ BL
imply N(x) ⊆ N(z);
(hnf6) x ∈ BL
and A, D ⊂ BL
and A ∨ D ∈ N(x) imply A ∈ N(x) or
D ∈ N(x).
The function N is called hypernear operator and a triple (L, BL
, N) is called
hypernear frame if and only if it additionally satisfies the following condition:
(hnf7) x ∈ BL
, A ⊂ BL
and zN
: z ∈ A ∈ N(x) imply A ∈ N(x).
Where 0
N
= 0; and for x ∈ BL
{0, 1}, xN
:= ∨{z ∈ BL
{0, 1} :
{x} ∈ N(z)}; and if 1 ∈ BL
then, 1
N
= 1.
Then, −N : BL
→ BL
is called the N-closure for BL
.
For x ∈ BL
and A ∈ N(x), A is called x-near set in N.
For hypernear frames (L1, BL1
, N1) and (L2, BL2
, N2) a frame-bounded f :
L1 → L2 is called hypernear frame map ( or shortly hnf-map) if and only if it
satisfies the following condition:
(hnf) x ∈ BL1
and A ∈ N1(x) imply f[A] ∈ N2(f(x)).
We denote by HNFRM the corresponding category.
Definition 3.7. A hypernear frame (L, BL
, N) is called saturated if and only
if BL
is saturated.
Remark 3.8. In the saturated case hypernear frames and supernear frames
are the same.
Theorem 3.9. For a Boolean frame L with frame-boundedness BL
, let c :
BL
:→ BL
be a b-frame-closure. Now, we consider the function Nc
: BL
→
P(P(BL
)) defined by setting:
Nc
(x) :=



{∅} if x = 0
A ⊂ BL
 {0} |∀ a ∈ A x ∧ ac
= 0 otherwise.
Then, (L, BL
, Nc
) is a prehypernear frame such that xc
≤ xNc
.
Proof. First we show that (L, BL
, Nc
) is a prehypernear frame.
To (hnf1): Let x ∈ BL
and A, D ⊂ BL
such that A << D ∈ Nc
(x). Without
restriction let x = 0. For every a ∈ A there exists d ∈ D such that d ≤ a, then
by (bfcl2), dc
≤ ac
since D ∈ Nc
(x) by definition of Nc
, x ∧ dc
= 0 therefore
x ∧ ac
= 0 i.e. A ∈ Nc
(x).
By definition easily we can see (hnf2) and (hnf3) hold.
To (hnf4): Let (0 =)x ∈ BL
,then by (bfcl3), x ∧ xc
= x so by definition of Nc
,
{x} ∈ Nc
(x).
To (hnf5): Let x ≤ z ∈ BL
and A ∈ Nc
(x). Without restriction let x = 0, so
for every a ∈ A, x∧ac
= 0 therefore for every a ∈ A, z ∧ac
= 0 i.e. A ∈ Nc
(z).
195
To (hnf6): Let x ∈ BL
and A, D ⊂ BL
such that A ∨ D ∈ Nc
(x). Without
restriction let x = 0. If A /∈ Nc
(x) and D /∈ Nc
(x), then there exists a ∈ A
such that x ∧ ac
= 0 and there exists d ∈ D such that x ∧ dc
= 0 therefore
(x ∧ ac
) ∨ (x ∧ dc
) = 0 so x ∧ (ac
∨ dc
) = 0 therefore by (bfcl4), x ∧ (a ∨ d)c
= 0
and since a ∨ d ∈ A ∨ D, by definition of Nc
, we have A ∨ D /∈ Nc
(x) which
is a contradiction. So either A ∈ Nc
(x) or D ∈ Nc
(x).
Now we show that xc
≤ xNc
.
Without restriction let x ∈ BL
{0, 1}. Since xNc
is join of set, it is enough
to show that {x} ∈ Nc
(xc
). Since xc
∧ xc
= xc
(= 0) so by definition of Nc
,
{x} ∈ Nc
(xc
).
Lemma 3.10. For a prehypernear frame (L, BL
, N) the N- closure on BL
is
a b-frame-preclosure on BL
.
Proof. To (bfcl1): By definition it holds.
To (bfcl2): Without restriction let x, z ∈ BL
 {0, 1} such that x ≤ z ∈ BL
.
Then we have to verify xN
≤ zN
.
Let y ∈ BL
{0, 1} such that {x} ∈ N(y), by supposition {z} << {x}, and
according to (hnf1), {z} ∈ N(y). Also since zN
is the join of set, y ≤ zN
.
Hence xN
≤ zN
, because xN
is the join of set.
To (bfcl3): Let x ∈ BL
and without restriction let x = 0 then, by (hnf4) we
have, {x} ∈ N(x). So by definition of −N we have, x ≤ xN
.
To (bfcl4): Let x, z ∈ BL
 {0, 1} and without restriction let x∨z ∈ BL
{0, 1}.
Let y ∈ BL
 {0, 1} such that {x ∨ z} ∈ N(y), by supposition and according
to (hnf6), either {x} ∈ N(y) or {z} ∈ N(y). In the first case, we have y ≤ xN
,
and in the second case we have, y ≤ zN
, therefore in every case y ≤ xN
∨ yN
.
Hence x ∨ zN
≤ xN
∨ zN
, because x ∨ zN
is the join of set.
Lemma 3.11. For a hypernear frame (L, BL
, N) the N- closure on BL
is a
b-frame-closure.
Proof. Since every hypernear frame is a prehypernear frame, by above lemma,
(bfcl1) to (bfcl4) hold.
To (bfcl5): Let x ∈ BL
and without restriction, xN
∈ BL
{0, 1}.
Let y ∈ BL
 {0, 1} such that {xN
} ∈ N(y), according to (hnf7) we have,
{x} ∈ N(y), and consequently y ≤ xN
. Hence (xN )
N
≤ xN
, because (xN )
N
is
the join of set.
Definition 3.12. A prehypernear frame (L, BL
, N) is called conic if and only
if it additionally satisfies the following condition:
(con) x ∈ BL
implies {A ⊂ BL
{0} : A ∈ N(x)} ∈ N(x).
Theorem 3.13. For a Boolean frame L with frame-boundedness BL
, let c :
BL
→ BL
be a b-frame-closure. Now, we consider the function Nc : BL
→
196
P(P(BL
)) defined by setting:
Nc(x) :=



{∅} if x = 0
A ⊂ BL
 {0} |∀ a ∈ A xc
∧ ac
= 0 otherwise
Then, (L, BL
, Nc) is a conic prehypernear frame such that xc
≤ xNc
.
Proof. First we show that (L, BL
, Nc) is a conic prehypernear frame.
To (hnf1): Let x ∈ BL
and A, D ⊂ BL
also A << D ∈ Nc(x). Without
restriction let x = 0. For every a ∈ A there exists d ∈ D such that d ≤ a then,
by (bfcl2), dc
≤ ac
. Since D ∈ Nc(x), by definition of Nc, xc
∧ dc
= 0 therefore
xc
∧ ac
= 0 i.e. A ∈ Nc(x).
By definition easily we can see (hnf2) and (hnf3) hold.
To (hnf4): Let (0 =)x ∈ BL
, then by (bfcl3), xc
= 0. So by definition of Nc we
have, {x} ∈ Nc(x).
To (hnf5): Let x ≤ z ∈ BL
therefore by (bfcl2), xc
≤ zc
. And let A ∈ Nc(x),
without restriction let x = 0, so for every a ∈ A, xc
∧ ac
= 0. Therefore for
every a ∈ A, zc
∧ ac
= 0 i.e. A ∈ Nc(z).
To (hnf6): Let x ∈ BL
and A, D ⊂ BL
such that A ∨ D ∈ Nc(x). Without
restriction let x = 0. If A /∈ Nc(x) and D /∈ Nc(x), then there exists a ∈ A
such that xc
∧ ac
= 0 and there exists d ∈ D such that xc
∧ dc
= 0 therefore
(xc
∧ac
)∨(xc
∧dc
) = 0 so xc
∧(ac
∨dc
) = 0 therefore by (bfcl4), xc
∧(a∨d)c
= 0
and since a ∨ d ∈ A ∨ D, by definition of Nc, we have A ∨ D /∈ Nc(x) which is
a contradiction. So either A ∈ Nc(x) or D ∈ Nc(x).
To (con): Let x ∈ BL
and A ∈ Nc(x) therefore by definition of Nc we have,
xc
∧ ac
= 0 and easily it implies {A ∈ BL
{0}|A ∈ Nc(x)} ∈ Nc(x).
Now we show that xc
≤ xNc
.
Without restriction let x ∈ BL
{0, 1}. Since xNc
is join of set, it is enough to
show that {x} ∈ Nc(xc
). Since by (bfcl5) we have, (xc
)c
∧ xc
= xc
(= 0), so by
definition of Nc, obviously {x} ∈ Nc(xc
).
Definition 3.14. A hypernear frame (L, BL
, N) is called hyperparanear frame
iff N is additionally symmetric by satisfying the following condition:
(sym) x ∈ BL
 {0} and A ∈ N(x) imply {x} ∪ A ∈ {N(z)|z ∈ A ∪ {x}}.
The corresponding category is denoted by HPNFRM which is full subcate-
gory of HNFRM.
Remark 3.15. In the saturated case hyperparanear frames and paranear
frames are the same. (See corresponding definitions.)
Definition 3.16. Let L be a Boolean frame with frame-boundedness BL
and
c : BL
→ BL
be a b-frame-closure then, ”c” is called symmetrical b-frame
closure if and only if it additionally satisfies the following condition:
(sym) x, z ∈ BL
{0, 1} and x ≤ zc
imply z ≤ xc
.
197
Lemma 3.17. Let L be a Boolean frame, BL
be a frame-boundedness and c :
BL
→ BL
be a b-frame-closure. Then the following statements are equivalent:
(i) c is symmetrical;
(ii) x ∈ BL
{0, 1} implies ( (BL
{0, 1}))c
≤ xc
;
(iii) x, z ∈ BL
{0, 1} implies z ≤ xc
.
Proof. (i) ⇒ (ii)
Let x ∈ BL
{0, 1} so, x ≤ (BL
{0, 1}) ≤ ( (BL
{0, 1}))c
, hence since
”c” is symmetrical, (BL
{0, 1}) ≤ xc
. Consequently by (bfcl5) we have,
( (BL
{0, 1}))c
≤ xc
.
(ii)⇒ (iii)
Let x, z ∈ BL
{0, 1} then, z ≤ (BL
{0, 1}) ≤ ( (BL
{0, 1}))c
and by hy-
pothesis ( (BL
{0, 1}))c
≤ xc
so z ≤ xc
.
(iii)⇒ (i): Obviously holds.
Theorem 3.18. For a Boolean frame L with frame boundedness BL
, let c :
BL
→ BL
be a symmetrical b-frame-closure. Then, (L, BL
, Nc
) is a hypernear
frame such that for each x ∈ BL
, xc
= xNc
.(Where Nc
is defined in theorem
3.9)
Proof. By Theorem 3.9, we know, xc
≤ xNc
and (L, BL
, Nc
) is prehypernear
frame. Therefore it remains to prove that, xNc
≤ xc
and (L, BL
, Nc
) satisfies
(hnf7).
Without restriction let x ∈ BL
{0, 1}, hence
xNc
≤ (BL
{0, 1}) ≤ ( (BL
{0, 1}))c
and since ”c” is symmetrical by Lemma 3.17, we have ( (BL
{0, 1}))c
≤ xc
.
Therefore xNc
≤ xc
. Which implies xc
= xNc
.
To (hnf7): Let x ∈ BL
{0} and A ⊂ BL
such that {aNc
: a ∈ A} ∈ Nc
(x), our
goal is to verify A ∈ Nc
(x).
By definition of Nc
, for every a ∈ A we have, x ∧ (aNc
)c
= 0. But by above
proof, ac
= aNc
and by considering (bfcl3) and (bfcl5), (aNc
)c
= ac
. So for
every a ∈ A, we have x ∧ ac
= 0 and by definition of Nc
it implies A ∈ Nc
(x).
Corollary 3.19. For a Boolean frame L with frame-boundeness BL
let c :
BL
→ BL
be a symmetrical b-frame closure. Then, (L, BL
, Nc) is a conic
hyperparanear frame such that xNc
= xc
. (Where Nc is defined in theorem
3.13)
Proof. By Theorem 3.13, we know, xc
≤ xNc
and (L, BL
, Nc) is conic pre-
hypernear frame. Therefore it remains to prove xNc
≤ xc
and, (L, BL
, Nc)
satisfies (hnf7) and (sym).
198
Without restriction let x ∈ BL
{0, 1}, hence
xNc
≤ (BL
{0, 1}) ≤ ( (BL
{0, 1}))c
.
And since ”c” is symmetrical by lemma 3.17, we have ( (BL
{0, 1}))c
≤ xc
,
therefore xNc
≤ xc
. Which implies xc
= xNc
.
To (hnf7): Let x ∈ BL
{0} and A ⊂ BL
such that {aNc
: a ∈ A} ∈ Nc(x), we
have to verify A ∈ Nc(x).
By definition of Nc we know, for every a ∈ A, xc
∧(aNc
)c
= 0. But by the above
proof, ac
= aNc
and by considering (bfcl3) and (bfcl5) we have, (aNc
)c
= ac
.
So for every a ∈ A, we have xc
∧ ac
= 0 and by definition of Nc it implies
A ∈ Nc(x).
To (sym): Let x ∈ BL
{0} and A ∈ Nc(x), therefore for every a ∈ A, xc
∧ac
=
0. Now we have two cases, either ac
= 1 or ac
= 1. If ac
= 1, then x ≤ ac
and
if ac
= 1, then xc
∧ ac
= 1. Therefore we have (xc
∧ ac
), ac
∈ BL
{0, 1} and
we know xc
∧ ac
≤ ac
then, since ”c” is symmetrical it implies a ≤ (xc
∧ ac
)c
.
And since xc
∧ ac
≤ xc
by (bfcl2) and (bfcl5), (xc
∧ ac
)c
≤ xc
so a ≤ xc
again
by symmetrical property of ”c”, we have x ≤ ac
. Therefore for every a ∈ A
we have x ≤ ac
, also we know x ≤ xc
, so we can say for every z, y ∈ A ∪ {x},
x ≤ zc
∧ yc
therefore zc
∧ yc
= 0. Now by definition of Nc we have A ∪ {x} ∈
{Nc(z)|z ∈ A ∪ {x}}.
Therefore (L, BL
, Nc) is conic hyperparanear frame.
Definition 3.20. Let L and M be Boolean frames with frame boundednesses
BL
and BM
respectively, and b-frame-closures cL and cM respectively. A frame
bounded map g : L → M is called b-frame- continuous map ( or shortly bfc-
map) if and only if it satisfies the following condition:
(bfc) x ∈ BL
implies g(xcL
) ≤ (g(x))cM
.
Remark 3.21. In the saturated case b-frame continuous maps and frame
continuous maps are the same.
Lemma 3.22. Let (L1, BL1
, N1) and (L2, BL2
, N2) be hypernear frames and
g : L1 → L2 be a hnf-map. Then g : (BL1
, −N1 ) → (BL2
, −N2 ) is b-frame-
continuous map.
Proof. Without restriction for x ∈ BL1
 {0, 1} we have to show that g(xN1
) ≤
g(x)
N2
. If g(x) = 1, then nothing need to prove. In other case if g(x) = 1 then,
g(x) ∈ BL2
{0, 1} so it only remains to verify that
g(∨{y ∈ BL1
{0, 1}|{x} ∈ N1(y)}) ≤ ∨{z ∈ BL2
{0, 1}|{g(x)} ∈ N2(z)}.
Also because g is frame homomorphism and carry over arbitrary join, equiv-
alently we have to show that ∨{g(y)|y ∈ BL1
{0, 1} and {x} ∈ N1(y)} ≤
∨{z ∈ BL2
{0, 1}|{g(x)} ∈ N2(z)}.
Since g is hnf-map, we have
{g(y)|y ∈ BL1
{0, 1} and {x} ∈ N1(y)} ⊆
{g(y)|y ∈ BL1
{0, 1} and {g(x)} ∈ N2(g(y)} also
199
{g(y)|y ∈ BL1
{0, 1} and {g(x)} ∈ N2(g(y)} ⊆
{z ∈ BL2
{0, 1}|{g(x)} ∈ N2(z)}.
Therefore
{g(y)|y ∈ BL1
{0, 1} and {x} ∈ N1(y)} ⊆
{z ∈ BL2
{0, 1}|{g(x)} ∈ N2(z)} so
∨{g(y)|y ∈ BL1
{0, 1} and {x} ∈ N1(y)} ≤
∨{z ∈ BL2
{0, 1}|{g(x)} ∈ N2(z)}.
Definition 3.23. A hypernear frame (L, BL
, N) is called connected if and
only if it satisfies the following condition:
(cnc) x, z ∈ BL
implies N(x ∨ z) ⊂ N(x) ∪ N(z).
Definition 3.24. A hypernear frame (L, BL
, N) is called dense if and only if
it satisfies the following condition:
(d) x ∈ BL
implies N(xN
) ⊂ N(x).
Lemma 3.25. Every hyperparanear frame is connected and dense.
Proof. Let (L, BL
, N) be a hyperparanear frame.
To (cnc): Without restriction for x∨z ∈ BL
 {0, 1}, let A ∈ N(x∨z), then by
(sym)we have {x ∨ z}∪A ∈ N(x∨z), hence by (hnf1), ({x}∪A)∨({z}∪A) ∈
N(x ∨ z) and according to (hnf6), {x} ∪ A ∈ N(x ∨ z) or {z} ∪ A ∈ N(x ∨ z).
In the first case according to (sym) we have, {x ∨ z} ∪ ({x} ∪ A) ∈ N(x) and
by (hnf1), A ∈ N(x) so A ∈ N(x)∪N(z). The second case can be analogously
verified, hence in every case A ∈ N(x) ∪ N(z).
To (d): By (sym), A ∈ N(xN
) implies xN
∪ A ∈ N(xN
) then, according
to (hnf1), xN
∪ aN
: a ∈ A ∈ N(xN
). Consequently, by (hnf7) we have,
{x} ∪ A ∈ N(xN
) and with respect to (sym), xN
∪ ({x} ∪ A) ∈ N(x) . At
the end by (hnf1), A ∈ N(x) follows.
Proposition 3.26. Let (L, BL
, N) be a hyperparanear frame, then N-closure
is symmetrical b-frame closure.
Proof. Let x, z ∈ BL
{0, 1} such that x ≤ zN
, then by (hnf4) and (hnf5),
we have {x} ∈ N(x) ⊂ N(zN
) and since N is dense, N(zN
) ⊂ N(z) so
{x} ∈ N(z) and since xN
is join of set, z ≤ xN
.
Definition 3.27. A conic hyperparanear frame (L, BL
, N) is called frame-
closed if and only if it satisfies the following conditions:
(fc1) x ∈ BL
{0} and A ∈ N(x) imply xN
∧ aN
= 0 for all a ∈ A;
(fc2) x ∈ BL
{0} and xN
∧ aN
= 0 imply {a} ∈ N(x).
The corresponding category is denoted by FC-HPNFRM which is full sub-
category of HPNFRM.
200
Remark 3.28. It is easy to see (L, BL
, Nc) is frame-closed, and if (L, BL
, M)
is a frame-closed, then N−M
= M.
Theorem 3.29. The category FC-HPNFRM is isomorphic to category Sb-
CLFRM whose objects are symmetrical b-frame-closure spaces and its mor-
phisms are b-frame-continuous maps.
Proof. Let (L, BL
, M) be a frame-closed, then by Proposition 3.26, (BL
, −M )
is a symmetrical b-frame closure space. And by considering Corollary 3.19 and
remark 3.28, (L, BL
, N−M
) is frame-closed with N−M
= M.
Now Let f : (L1, BL1
, M1) → (L2, BL2
, M2) be a hnf-map, then by Lemma
3.22, f is b-frame-continuous. Conversely, let f : (BL1
, −M1 ) → (BL2
, −M2 ) be
a b-frame-continuous map, then for every x ∈ BL1
{0}, f(xM1
) ≤ f(x)
M2
.
We consider frame-closed (L1, BL1
, M1) and (L2, BL2
, M2). Let for x ∈ BL1
{0},
A ∈ M1(x), then by (fc1), for every a ∈ A, xM1
∧aM1
= 0. Since f is frame ho-
momorphism between Boolean frames M1 and M2 therefore, f(xM1
∧aM1
) = 0
i.e. f(xM1
) ∧ f(aM1
) = 0 but f(xM1
) ∧ f(aM1
) ≤ f(x)
M2
∧ f(a)
M2
. Therefore
for every a ∈ A, f(x)
M2
∧ f(a)
M2
= 0. By (fc2) and conic property, we have
f[A] ∈ M2(f(x)) i.e. f is hnf-map.
Lemma 3.30. For a hyperparanear frame (L, BL
, N), we consider the function
clN
: P(BL
{0}) → P(BL
{0}) defined by setting:
clN
(A) :=



∅ if A = ∅
x ∈ BL
 {0} |∃ a ∈ A s.t. a ≤ xN
otherwise
Then, clN
is symmetrical topological closure operator on BL
{0}. And it is
b-convenient, which means it satisfies additionally the following axioms:
(b-cv1) 0 = a1 ≤ a2 implies clN
({a1}) ⊂ clN
({a2});
(b-cv2) a1, a2 ∈ BL
{0} implies clN
({a1 ∨ a2}) ⊂ clN
({a1}) ∪ clN
({a2});
(b-cv3) {x ∈ BL
{0, 1} : x ∈ clN
({a})} =: aclN
∈ clN
({a}) ∀a ∈ BL
{0, 1}.
Proof. First we show that clN
is topological closure.
(1) By definition clN
(∅) = ∅.
(2) Let (∅ =)A ⊂ D ⊂ BL
{0} and x ∈ clN
(A), so there exists a ∈ A such that
a ≤ xN
. Since A ⊂ D, a ∈ D, which implies x ∈ clN
(D) i.e. clN
(A) ⊂ clN
(D).
(3) Let A ⊂ BL
{0}, by (bfcl3), for every a ∈ A we have a ≤ aN
i.e. a ∈ clN
(A)
so A ⊂ clN
(A).
(4) Let A, B ⊂ BL
{0}, we have to show that clN
(A ∪ B) ⊂ clN
(A) ∪ clN
(B).
Let x ∈ clN
(A∪B) so y ≤ xN
for some y ∈ A∪B. Therefore either x ∈ clN
(A)
or x ∈ clN
(B) which implies clN
(A ∪ B) ⊂ clN
(A) ∪ clN
(B).
(5) Let A ⊂ BL
{0}, we show that clN
(clN
(A)) = clN
(A).
Obviously clN
(A) ⊂ clN
(clN
(A)). Now let x ∈ clN
(clN
(A)) so there exists
b ∈ clN
(A) such that b ≤ xN
, by (bfcl2), b
N
≤ xN
N
and by (bfcl5), b
N
≤ xN
.
201
On the other hand since b ∈ clN
(A) there exists a ∈ A such that a ≤ b
N
. All
together implies a ≤ xN
for a ∈ A i.e. x ∈ clN
(A) so clN
(clN
(A)) ⊂ clN
(A).
Therefore clN
is topological closure.
Now let x ∈ clN
({y}) therefore, y ≤ xN
. Since (L, BL
, N) is hyperparanear
frame, by Proposition 3.26, −N is symmetrical b-frame closure, so x ≤ yN
which implies y ∈ clN
({x}). Therefore clN
is symmetrical. Now we show that
clN
is b-convenient.
To (b-cv1): Let 0 = a1 ≤ a2 and x ∈ clN
({a1}), we have to show that x ∈
clN
({a2}). Since (L, BL
, N) is hyperparanearness, by Proposition 3.26, −N is
symmetrical b-frame closure, and by Lemma 3.17, since x, a2 ∈ BL
{0}, we
have a2 ≤ xN
i.e. x ∈ clN
({a2}).
To (b-cv2): Let a1, a2 ∈ BL
{0} and x ∈ clN
({a1 ∨ a2}) i.e. a1 ∨ a2 ≤ xN
therefore a1 ≤ xN
so x ∈ clN
({a1}) ∪ clN
({a2}).
To (b-cv3): Let a ∈ BL
{0, 1}, by (fb2) and (fb3), aclN
∈ BL
. Therefore by
Lemma 3.17 and Proposition 3.26, we have a ≤ aclN N
i.e. aclN
∈ clN
({a}).
Lemma 3.31. Let (L, BL
, N) be a hyperparanear frame and h : P(BL
{0}) →
P(BL
{0}) be an b-convenient symmetrical topological closure operator. Also
let •h
: BL
→ BL
be defined by setting:
•h
(x) :=



0 if x = 0
1 if x = 1 (if 1 ∈ BL
)
{z ∈ BL
{0, 1} : z ∈ h({x})} if x ∈ BL
{0, 1}
Proof. To (bfcl1): By definition of •h
, it holds.
To (bfcl2): Let a1, a2 ∈ BL
and a1 ≤ a2. Without restriction let a1 = 0,
since h is b-convenient symmetrical topological closure, by (b-cv1), h({a1}) ⊂
cl({a2}). Therefore {z ∈ BL
{0, 1} : z ∈ h({a1})} ≤ {z ∈ BL
{0, 1} : z ∈
h({a2})} i.e. ah
1 ≤ ah
2.
To (bfcl3): Let x ∈ BL
and without restriction let, x = 0. So x ∈ h({x})
because, h is topological closure, therefore x ≤ xh
.
To (bfcl4): Let a1, a2 ∈ BL
we have to show that (a1∨a2)h
≤ ah
1 ∨ah
2. If a1 = 0 or
a2 = 0 obviously, it holds. So suppose a1, a2 ∈ BL
{0}, since h is b-convenient,
by (b-cv2), h({a1 ∨ a2) ⊂ h({a1}) ∪ h({a2}) therefore (a1 ∨ a2)h
≤ ah
1 ∨ ah
2.
To (bfcl5): Let x ∈ BL
we have to show that (xh
)h
≤ xh
. If x ∈ {0, 1}
it obviously holds, so let x ∈ BL
{0, 1}, since h is b-convenient, by (b-
cv3), xh
∈ h({x}) i.e. {xh
} ⊂ h({x}) and since h is topological closure,
h({xh
}) ⊂ h(h({x})) = h({x}). So (xh
)h
≤ xh
.
Therefore •h
is b-frame closure operator.
To (sym): Let x, z ∈ BL
{0, 1} and x ≤ zh
we show that z ≤ xh
.
Since h is b-convenient, by (b-cv1), x ≤ zh
implies h({x}) ⊂ h({zh
}) and since
h is topological closure so {x} ⊂ h({x}) therefore x ∈ h({zh
}). Now since h is
symmetrical it implies zh
∈ h({x}) and by definition of •h
we have zh
≤ xh
.
202
Since •h
is b-frame closure, by (bfcl3), z ≤ zh
, so we have z ≤ xh
.
Now we show that for every x ∈ BL
, xh
= xN
.
For x = 0 by definition it holds. So suppose x = 0.
We know x ≤ xN
and since h is b-convenient by (b-cv1), h({x}) ⊂ h({xN
})
also since h is topological closure we have {x} ⊂ h({x}) therefore x ∈ h({xN
}).
Now by symmetrical property of h, we have, xN
∈ h({x}) therefore by defini-
tion of •h
, we have xN
≤ xh
.
On the other hand since •h
is b-frame closure, by (bfcl3), x ≤ xh
, then by
(hnf5), N(x) ⊂ N(xh
), also by (hnf4), {x} ∈ N(x). Therefore {x} ∈ N(xh
)
which implies xh
≤ xN
.
All together imply xh
= xN
.
4. b-topological frame extensions
Definition 4.1. A b-topological frame extension consists of a triple (e, BL
, Y ),
where L is a Boolean frame, BL
is a frame-boundedness and ”c” is a b-frame
closure on that. Moreover
Y := (X ∪ {∞}, clY ) is a topological space with underlying set X and closure
operator clY . Also e : BL
→ Y is a which satisfies the following conditions:
(btfe0) e(0) = ∞ and (z = 0) ∈ BL
, implies e(z) = ∞;
(btfe1) clY (e[BL
 {0}]) = X, which means that the image of BL
 {0} under
e is dense in X;
(btfe2) z ∈ BL
 {0, 1} implies zc
= ∨e−1
[clY ({e(z)})];
(btfe3) z ∈ BL
implies e(zc
) ∈ clY ({e(z)});
(btfe4) z1, z2 ∈ BL
and (0 =)z1 ≤ z2 imply clY ({e(z1)}) ⊂ clY ({e(z2)});
(btfe5) For each z1, z2 ∈ L with z1∨z2 ∈ BL
, clY ({e(z1 ∨ z2)}) ⊂ clY ({e(z1)})∪
clY ({e(z2)}).
For b-topological frame extensions (e, BL
, Y )and(e , BL
, Y ) a pair (g, h) of
maps g : L → L and h : Y → Y is called btfe-morphism if and only if g
is b-frame continuous map such that h is continuous map and the following
diagram commutes:
BL e
−→ Y
g ↓ ↓ h
BL e
−→ Y
If (g, h) : (e, BL
, Y ) → (e , BL
, Y ) and (g , h ) : (e , BL
, Y ) → (e , BL
, Y )
are btfe-morphisms then, they can be composed according to the rule:
203
(g , h ) ◦ (g, h) := (g ◦ g, h ◦ h) : (e, BL
, Y ) → (e , BL
, Y ) , where ◦ denote
the composition of maps.
The corresponding category is denoted by bTFE.
Definition 4.2. A b-topological frame extension (e, BL
, Y ) is called
(i) Strict b-topological frame extension if and only if in addition it satisfies
the following condition:
(str) clY (e[A]) : A ⊂ BL
forms a base for the closed subsets of Y .
The corresponding category is denoted by STRbTFE which is full sub-
category of bTFE.
(ii) Symmetric b-topological frame extension if and only if in addition it sat-
isfies the following condition:
(s) x ∈ BL
 {0} and y ∈ clY ({e(x)}) imply e(x) ∈ clY ({y}).
The corresponding category is denoted by SbTFE which is full subcat-
egory of bTFE.
Example 4.3. Let (e, BL
, Y ) be a b-topological frame extension. Then the
following function is a hypernear operator on BL
:
Ne(x) :=



{∅} if x = 0
A ⊂ BL
 {0} |clY ({e(x)}) ∈ sec {clY ({e(a)})|a ∈ A} otherwise
Lemma 4.4. Let (e, BL
, Y ) be a symmetric b-topological frame extension.
Then (L, BL
, NS
e ) is a hyperparanear frame such that for each x ∈ BL
we
have xNS
e = xc
.
NS
e (x) :=



{∅} if x = 0
A ⊂ BL
 {0} | {clY ({e(z)})|z ∈ A ∪ {x}} = ∅ otherwise
Proof. First we show that xNS
e = xc
.
Without restriction let x ∈ BL
 {0, 1}. By considering clY is topological clo-
sure operator and by (btfe3) we have, e(xc
) ∈ clY ({e(x)}) ∩ clY ({e(xc
)}) so
{x} ∈ NS
e (xc
) therefore xc
≤ xNS
e .
Conversely, we show that, xc
is upper bound of the set
A := z ∈ BL
 {0, 1} | {x} ∈ NS
e (z) .
Let z ∈ A so {x} ∈ NS
e (z), hence by definition of NS
e ,
clY ({e(x)}) ∩ clY ({e(z)}) = ∅.
So there exists y ∈ clY ({e(z)}) such that y ∈ clY ({e(x)}). Since clY is topo-
logical closure operator and by (s), we have e(z) ∈ clY ({y}) ⊂ clY ({e(x)}).
Therefore z ∈ e−1
[clY ({e(x)})] and according to (btfe2) it implies z ≤ xc
therefore xNS
e ≤ xc
.
204
All together imply xc
= xNS
e .
Secondly we have to verify that NS
e satisfies the axioms (hnf1) to (hnf7) and
(sym).
To (hnf1): Let x ∈ BL
and A, D ⊂ L. Without restriction let x = 0 and
A << D ∈ NS
e (x), hence {clY ({e(d)}) : d ∈ D ∪ {x}} = ∅ and 0 /∈ A.
Now, let a be an arbitrary element of A,then there exists d ∈ D such that
d ≤ a.
Consequently, by (btfe4) we have, clY ({e(d)}) ⊂ clY ({e(a)}), and we know
there exists y ∈ {clY ({e(d)}) : d ∈ D ∪ {x}}. So y ∈ ∩{clY ({e(a)})|y ∈
A ∪ {x}} and therefore {clY ({e(a)}) : a ∈ A ∪ {x}} = ∅ i.e. A ∈ NS
e (x).
To (hnf2): Let x ∈ BL
. If x = 0, then by definition {0} /∈ NS
e (0) = ∅. If
x = 0, then by definition, we have {x} ∈ NS
e (x) hence (hnf2) and (hnf4) hold,
moreover {0} /∈ NS
e (x).
To (hnf3): By definition it is obvious.
To (hnf5): Without restriction let x, z ∈ BL
{0} and A ∈ NS
e (x). So
∩ {clY ({e(a)}) : a ∈ A ∪ {x}} = ∅.
Since by (btfe4), clY ({e(x)}) ⊂ clY ({e(z)}), then
∩ {clY ({e(a)})|a ∈ A ∪ {z}} = ∅
so A ∈ NS
e (z).
To (hnf6): Without restriction let x ∈ BL
 {0} and A ∨ D ∈ NS
e (x) hence,
A, D ⊂ BL
and ∩ {clY ({e(z)}) : z ∈ (A ∨ D) ∪ {x}} = ∅.
So there exists y ∈ ∩ {clY ({e(z)}) : z ∈ (A ∨ D) ∪ {x}} therefore for all a ∈ A
and all d ∈ D we have y ∈ clY ({e(a ∨ d)}) which by (btfe5) implies for all
a ∈ A and all d ∈ D, y ∈ clY ({e(a)}) ∪ clY ({e(d)}).
Suppose A /∈ NS
e (x) and D /∈ NS
e (x), hence four cases are possible:
Case 1: 0 ∈ A and 0 ∈ D, then 0 ∈ A ∨ D so A ∨ D /∈ NS
e (x) which is a
contradiction.
Case 2: 0 ∈ A and there exists d ∈ D s.t. y /∈ clY ({e(d)}) so D ⊂ A ∨ D and
for d ∈ A ∨ D we have y /∈ clY ({e(d)}) which is a contradiction.
Case 3: 0 ∈ D and there exists a ∈ A s.t. y /∈ clY ({e(d)}) which similar to
case 2 we reach to a contradiction.
Case 4: There exists a ∈ A with y /∈ clY ({e(a)}) and there exists d ∈ D with
y /∈ clY ({e(d)}), then we have y /∈ clY ({e(a)}) ∪ clY ({e(d)}), which is a con-
tradiction.
So either A ∈ NS
e (x) or D ∈ NS
e (x).
To (hnf7): Without restriction let x ∈ BL
 {0} and A ⊂ BL
such that
zNS
e |z ∈ A ∈ NS
e (x).
Let y ∈ clY ({e(x)}), So y ∈ clY ( e(zNS
e ) ) for all z ∈ A. Therefore since
zNS
e = zc
, y ∈ clY ({e(zc
)}) for all z ∈ A.
According to (btfe3), e(zc
) ∈ clY ({e(z)}), therefore clY ({e(zc
)}) ⊂ clY ({e(z)}).
Consequently for all z ∈ A, y ∈ clY ({e(z)}), which shows, A ∈ NS
e (x).
205
To (sym): Let x ∈ BL
 {0} such that A ∈ NS
e (x). We have to verify
{x} ∪ A ∈ ∩ NS
e (z)|z ∈ A ∪ {x} .
By hypothesis y ∈ ∩ {clY ({e(a)})|a ∈ A} for some y ∈ clY ({e(x)}),
hence {x} ∪ A ∈ NS
e (x).
For z ∈ A we claim that {x} ∪ A ∈ NS
e (z), which means
clY ({e(z)}) ∩ (∩ {clY ({e(b)})|b ∈ {x} ∪ A} = ∅.
But by hypothesis, y ∈ clY ({e(z)}) ∩ clY ({e(x)}) ∩ (∩ {clY ({e(a)})|a ∈ A}) so
the statement is valid.
Lemma 4.5. Let (e, BL
, Y ) be a symmetric b-topological frame extension,
then c : BL
→ BL
is symmetrical b-frame closure.
Proof. By Lemma 4.4, for each x ∈ BL
, we have xc
= xNS
e also (L, BL
, NS
e )
is hyperparanear frame. Therefore by Proposition 3.26, −NS
e
is symmetrical,
which implies ”c” is symmetrical b-frame closure.
Definition 4.6. For a hypernear frame (L, BL
, N) and x ∈ BL
 {0}, G ⊂ BL
is called x-b-frame clan in N if and only if it satisfies the following conditions:
(bfcla0) 0 /∈ G;
(bfcla1) z1 ∈ G and z1 ≤ z2 ∈ BL
imply z2 ∈ G;
(bfcla2) z1, z2 ∈ BL
and z1 ∨ z2 ∈ G imply z1 ∈ G or z2 ∈ G;
(bfcla3) x ∈ G ∈ N(x);
(bfcla4) y ∈ BL
and yN
∈ G imply y ∈ G.
Then set of all x-b-frame clans in N is denoted by bFCLA(L).
Remark 4.7. For a hypernear frame (L, BL
, N) and for each x ∈ BL
 {0},
xN := z ∈ BL
|x ≤ zN
is x-b-frame clan in N, moreover xN is maximal
element in N(x){∅}, ordered by inclusion.
Proof. To (bfcla0): It is obvious.
To (bfcla1): Let z1 ∈ xN and z1 ≤ z2 ∈ BL
, so we have x ≤ z1
N
≤ z2
N
,
therefore z2 ∈ xN .
To (bfcla3): Let x ∈ BL
 {0}, so evidently x ∈ xN . We set A := zN
: z ∈ xN ,
hence A << {x} and by (hnf4), {x} ∈ N(x) therefore, by (hnf1), A ∈ N(x)
which by (hnf7) it implies xN ∈ N(x).
To (bfcla2): Without restriction let z1, z2 ∈ BL
 {0, 1} such that z1 ∨ z2 ∈ xN .
Since xN ∈ N(x) according to (hnf1), we have {z1 ∨ z2} ∈ N(x) , hence
{z1} ∨ {z2} ∈ N(x), by (hnf6) either {z1} ∈ N(x) or {z2} ∈ N(x) therefore
x ≤ z1
N
or x ≤ z2
N
i.e. z1 ∈ xN or z2 ∈ xN .
To (bfcla4): Let y ∈ BL
and yN
∈ xN . Since xN ∈ N(x) according to (hnf1)
we have, {yN
} ∈ N(x) so by (hnf7), {y} ∈ N(x) which implies x ≤ yN
, hence
y ∈ xN .
At last let A ∈ N(x) such that xN ⊂ A. Without restriction for z ∈ A {1}
206
we have, z ∈ BL
and {z} ∈ N(x) so x ≤ zN
, hence z ∈ xN and consequently,
A = xN .
Lemma 4.8. Let (L, BL
, N) be a hyperparanear frame and x ∈ BL
{0}. Then
the following statements are equivalent:
(1) G ⊂ BL
is x-b-frame clan in N;
(2) G = xN ;
(3) G is maximal in N(x){∅}.
Remark 4.9. The above lemma gives us an alternate description of the con-
struction in remark 5.8.
Definition 4.10. A hypernear frame (L, BL
, N) is called hyperclan frame if
and only if it satisfies the following condition:
(cla) x ∈ BL
 {0} and A ∈ N(x) imply ∃C ∈ bFCLA(L) ∩ N(x) such that
A ⊂ C.
(See also [21].)
Remark 4.11. A hyperparanear frame which satisfies (cla) will be called
hyperparaclan frame.
And the corresponding category is denoted by CLA-HPNFRM which is full
subcategory of HPNFRM.
Example 4.12. Let (e, BL
, Y ) be a symmetric topological frame extension,
then (L, BL
, NS
e ) is a hyperparaclan frame.(Where (L, BL
, NS
e ) is defined in
lemma 4.4.)
Proof. With respect to lemma 4.4, (L, BL
NS
e ), is a hyperparanear frame. Now
we show that it also satisfies (cla).
Let x ∈ BL
 {0} and A ∈ NS
e (x) so there exists y ∈ clY ({e(x)}) such that
y ∈ ∩ {clY ({e(a)})|a ∈ A}.
We put
Cy := z ∈ BL
 {0} |y ∈ clY ({e(z)}) ,
then we show that Cy ∈ bFCLA(L).
To (bfcla0): evident.
To (bfcla1): Let z1 ∈ Cy and z1 ≤ z2 ∈ BL
according to (btfe4) and definition
of Cy, y ∈ clY ({e(z1)}) ⊂ clY ({e(z2)}), hence z2 ∈ Cy.
To (bfcla2): Let z1, z2 ∈ BL
, such that z1∨z2 ∈ Cy, we have y ∈ clY ({e(z1 ∨ z2)})
and according to (btfe5), clY ({e(z1 ∨ z2)}) ⊂ clY ({e(z1)})∪clY ({e(z2)}) there-
fore y ∈ clY ({e(z1)}) or y ∈ clY ({e(z2)}), hence z1 ∈ Cy or z2 ∈ Cy.
To (bfcla3): We know x ∈ Cy, since y ∈ clY ({e(x)}). Also because for all
z ∈ Cy, y ∈ clY ({e(z)}) we have Cy ∈ NS
e (x).
To (bfcla4): Let z ∈ BL
such that zNS
e ∈ Cy therefore y ∈ clY ( e(zNS
e ) ),
207
since by Lemma 4.4, zNS
e = zc
, so y ∈ clY ({e(zc
)}). But according to (btfe3),
e(zc
) ∈ clY ({e(z)}), hence because clY is topological closure operator, then
clY ({e(zc
)}) ⊂ clY ({e(z)}). Consequently, y ∈ clY ({e(z)}), therefore z ∈ Cy.
It only remains to prove that A ⊂ Cy. Let a be an arbitrary element of A,
then y ∈ clY ({e(a)}) so a ∈ Cy which implies A ⊂ Cy.
Theorem 4.13. Let F be defined on SbTFE by the following statements:
(a) Let (e, BL
, Y ) be a symmetric b-topological frame extension, then
F(e, BL
, Y ) := (L, BL
, NS
e );
(b) Let (g, h) : (e, BL
, Y ) → (e , BL
, Y ) be a btfe-morphism, then
F(g, h) := g.
So, F is a functor from SbTFE to CLA-HPNFRM.
Proof. According to example 4.12 only remaining fact is to show that g :
(L, BL
, NS
e ) → (L , BL
, NS
e ) is hnf-map. By hypothesis g is especially frame
homomorphism, so let x ∈ BL
 {0} and A ∈ NS
e (x), hence
y ∈ ∩ {clY ({e(a)})|a ∈ A} for some y ∈ clY ({e(x)}).
By knowing h is continuous map we have h(y) ∈ clY ({h(e(x))}). And since
the diagram in definition 4.1 commutes, clY ({h(e(x))}) = clY ({e (g(x))}).
Therefore h(y) ∈ clY ({e (g(x))}).
On the other hand for a ∈ A, we have y ∈ clY ({e(a)}) , and consequently
z = h(y) ∈ clY ({h(e(a))}) = clY ({e (g(a))}).
Therefore all together imply g[A] ∈ NS
e (g(x)).
5. Strict b-topological frame extension
In the previous section we have found a functor from SbTFE to CLA-
HPNFRM. Now, we are going to introduce a related one in the opposite
direction.
Lemma 5.1. Let (L, BL
, N) be a hyperparanear frame. We set
L∗
:= bFCLA(L) ∪ {∅}. And for each A∗
⊂ L∗
we put:
clL∗ (A∗
) := {D ∈ L∗
|∆A∗
⊂ D}, where ∆A∗
:= z ∈ BL
|∀ F ∈ A∗
z ∈ F .
(By convention if A∗
= ∅ then, ∆A∗
= BL
and if ∅ ∈ A∗
then, ∆A∗
= ∅).
Then, clL∗ : PL∗
→ PL∗
is a topological closure operator.
Proof. We show that clL∗ satisfies all conditions of topological closure oper-
ator.
1) Suppose clL∗ (∅) = ∅, hence there exists D ∈ L∗
such that ∆∅ ⊂ D. Conse-
quently 0 ∈ D which leads us to a contradiction therefore, clL∗ (∅) = ∅.
2) Let for A∗
⊂ L∗
, D ∈ A∗
and z ∈ ∆A∗
so z ∈ D, hence ∆A∗
⊂ D, therefore
D ∈ clL∗ (A∗
) which implies A∗
⊂ clL∗ (A∗
).
208
3) Let A∗
1 ⊂ A∗
2 ⊂ L∗
and D ∈ clL∗ (A∗
1) so ∆A∗
1 ⊂ D. But ∆A∗
2 ⊂ ∆A∗
1 which
leads us to D ∈ clL∗ (A∗
2) therefore clL∗ (A∗
1) ⊂ clL∗ (A∗
2).
4) Let for A∗
1, A∗
2 ⊂ L∗
, D ∈ clL∗ (A∗
1∪A∗
2) and suppose D /∈ clL∗ (A∗
1)∪clL∗ (A∗
2),
we can choose z1 ∈ ∆A∗
1 such that z1 /∈ D and z2 ∈ ∆A∗
2 such that z2 /∈ D.
By hypothesis ∆(A∗
1 ∪ A∗
2) ⊂ D so, z1 ∨ z2 ∈ ∆(A∗
1 ∪ A∗
2), because for
F ∈ (A∗
1 ∪ A∗
2) either F ∈ A∗
1 or F ∈ A∗
2. If F ∈ A∗
1, then z1 ∈ F, hence
∅ = F ∈ FCLA(L) with z1 ≤ z1 ∨ z2 ∈ BL
. But F satisfies (bfcla1), so
z1 ∨ z2 ∈ F. And if F ∈ A∗
2, then z2 ∈ F, hence ∅ = F ∈ bFCLA(L)
with z2 ≤ z1 ∨ z2 ∈ BL
. But F satisfies (bfcla1), so z1 ∨ z2 ∈ F. Therefore
z1 ∨ z2 ∈ ∆(A∗
1 ∪ A∗
2) ⊂ D. Consequently, since D satisfies (bfcla2), either
z1 ∈ D or z2 ∈ D which lead us to a contradiction.
5) Now, at last, let A∗
⊂ L∗
and D ∈ clL∗ (clL∗ (A∗
)). Suppose D /∈ clL∗ (A∗
),
hence there exists z ∈ ∆A∗
s.t. z /∈ D.
On the other hand by hypothesis, ∆clL∗ (A∗
) ⊂ D.
Since x ∈ ∆A∗
and F ∈ clL∗ (A∗
) imply ∆A∗
⊂ F, hence x ∈ F, therefore
∆A∗
⊂ ∆clL∗ (A∗
). Consequently, we have z ∈ D which is a contradiction
therefore clL∗ (clL∗ (A∗
)) ⊂ clL∗ (A∗
).( Our forums proving is based essentially
on the fact that ∅ /∈ A∗
⊂ L∗
, but this does not any matter).
Theorem 5.2. Let (L, BL
, N) and (Y, BY
, M) be hyperparanear frames and
f : L → Y be a hnf-map. Let the function f∗
: L∗
→ Y ∗
be defined by setting:
f∗
(C) :=



∅ if C = ∅
y ∈ BY
|∃z ∈ (f[C]) s.t. z ≤ yM
otherwise
Then, the following statements are valid:
(1) f∗
is a continuous map from (L∗
, clL∗ ) to (Y ∗
, clY ∗ );
(2) The composites f∗
◦ eN and eM ◦ f coincide, where eN : BL
→ L∗
is
defined by setting:
eN (x) :=



∅ if x = 0
xN if x ∈ BL
{0}
Proof. First we show that f∗
(C) ∈ Y ∗
.
If C = ∅ then, it is obvious. So let C = ∅.
To (bfcla0): Suppose 0 ∈ f∗
(C), hence there exists z ∈ f[C] such that
z ≤ 0
M
= 0, so 0 ∈ f[C],then 0 ∈ C and since C ∈ L∗
so 0 ∈ ∅ which
is a contradiction.
To (bfcla1): Let y1 ∈ f∗
(C) and y1 ≤ y2 ∈ BY
. So there exist z ∈ f[C] with
z ≤ y1
M
≤ y2
M
therefore y2 ∈ f∗
(C).
To (bfcla2): Let y1, y2 ∈ BY
such that y1 ∨ y2 ∈ f∗
(C), hence y1 ∨ y2 = 0
so y1 = 0 or y2 = 0. Without restriction let y1 = 0 and y2 = 0, then,
y1 = y1 ∨ y2 ∈ f∗
(C) and the other case can be analogously deduced.
Now, suppose y1 = 0 = y2 then, there exists z ∈ f[C] such that z ≤ y1 ∨ y2
M
.
Also by (bfcl4), y1 ∨ y2
M
≤ y1
M
∨ y2
M
, hence y1
M
∨ y2
M
<< {z}. By hy-
209
pothesis z = 0 so, {z} ∈ M(z), consequently by(hnf1), y1
M
∨ y2
M
∈ M(z) ,
and by (hnf6), y1
M
∈ M(z) or y2
M
∈ M(z) then, by (hnf7), {y1} ∈ M(z)
or {y2} ∈ M(z), which shows that z ≤ y1
M
or z ≤ y2
M
. Therefore y1 ∈ f∗
(C)
or y2 ∈ f∗
(C).
To (bfcla3): Let (∅ =)C ∈ L∗
, then there exists x ∈ BL
such that x ∈ C ∈
N(x), hence f(x) ∈ BY
and f(x) ∈ f(C) ∈ M(f(x)) so f(x) ≤ f(x)
M
so
f(x) ∈ f∗
(C).
Now we put A := yM
|y ∈ f∗
(C) , then for y ∈ f∗
(C) we have zy ≤ yM
for
some zy ∈ f[C]. By hypothesis, zy = 0 and A << {zy|y ∈ f∗
(C)} ⊂ f[C] ∈
M(f(x)), then by (hnf1), we have A ∈ M(f(x)) . Consequently, by (hnf7),
f∗
(C) ∈ M(f(x)).
To (bfcla4): Let y ∈ BY
and yM
∈ f∗
(C). Since f∗
(C) ∈ M(f(x)) by (hnf1),
{yM
} ∈ M(f(x)) so by (hnf7), {y} ∈ M(f(x)) therefore, f(x) ≤ yM
where,
f(x) ∈ f[C] so y ∈ f∗
(C).
All together show that f∗
(C) ∈ bFCLA(Y ), hence f∗
(C) ∈ Y ∗
.
To (1): We show that f∗
: (L∗
, clL∗ ) → (Y ∗
, clY ∗ ) is a continuous map.
Let A∗
⊂ L∗
and C ∈ clL∗ (A∗
), we have to verify f∗
(C) ∈ clY ∗ (f∗
[A∗
]).
Case 1: A∗
= ∅, then the above implication is valid.
Case 2: ∅ ∈ A∗
hence, ∆A∗
= ∅ therefore, clL∗ (A∗
) = L∗
, which implies
f∗
[clL∗ (A∗
)] = f∗
[L∗
] ⊂ Y ∗
. And since ∅ ∈ f∗
[A∗
], we have clY ∗ [f∗
[A∗
]] = Y ∗
.
Therefore f∗
[clL∗ (A∗
)] ⊂ clY ∗ [f∗
[A∗
]].
Case 3: f∗
(C) = ∅, hence ∅ ∈ f∗
[A∗
], and clY ∗ (f∗
[A∗
]) = Y ∗
, consequently
f∗
(C) ∈ clY ∗ (f∗
[A∗
]).
Case 4: For every D ∈ A∗
we have D = ∅ .
Suppose f∗
(C) /∈ clY ∗ (f∗
[A∗
]), then there exists y ∈ ∆f∗
[A∗
], y /∈ f∗
(C).
We put Ay := x ∈ BL
|f(x) ≤ yM
, then ∨Ay /∈ C. Because if ∨Ay ∈ C
we have, f[∨Ay] = ∨ {f(a)|a ∈ Ay} = ∨f[Ay] ∈ f[C] {0}. Consequently,
f[∨Ay] ≤ yM
therefore y ∈ f∗
(C), which is a contradiction, therefore ∨Ay /∈
C.
By hypothesis, C ∈ clL∗ (A∗
) so ∆A∗
⊂ C therefore ∨Ay /∈ ∆A∗
. Hence, there
exists D ∈ A∗
such that ∨Ay /∈ D. Consequently, f∗
(D) ∈ f∗
[A∗
] and since
y ∈ ∆f∗
[A∗
] we have y ∈ f∗
(D).
Now by definition of f∗
, there exists z ∈ f[D] such that z ≤ yM
. But z = f(d)
for some d ∈ D, hence d ∈ Ay and d ≤ ∨Ay therefore, ∨Ay ∈ D which is a
contradiction. So f∗
(C) ∈ clY ∗ (f∗
[A∗
]).
Therefore we obtain that f∗
is a continuous map from (L∗
, clL∗ ) to (Y ∗
, clY ∗ ).
To (2): If x = 0, then by considering f is a frame homomorphism we have,
eM (f(x)) = ∅ = f∗
(eN (x)).
If x = 0, then f(x) = 0 and eM (f(x)) = f(x)M with 0 /∈ f(x)M and
f(x)M ∈ M(f(x)) {∅}.
First we show that f∗
(xN ) ∈ M(f(x)).
We know f∗
(xN ) = ∅. Now since xN ∈ N(x) we get, f[xN ] ∈ M(f(x)). And
we put A := yM
: y ∈ f∗
(xN ) .
210
For arbitrary y ∈ f∗
(xN ) there exists z ∈ f[xN ] such that z ≤ yM
, hence
A << f[xN ] then, by (hnf1), it implies A ∈ M(f(x)) and by (hnf7), we have
f∗
(xN ) ∈ M(f(x)) .
It remains to verify that f(x)M ⊂ f∗
(xN ).
Let y ∈ f(x)M so 0 = f(x) ≤ yM
and consequently y ∈ f∗
(xN ) so f(x)M ⊂
f∗
(xN ).
Now since f(x)M is maximal in M(f(x)) {∅}, we have f(x)M = f∗
(xN ).
Theorem 5.3. Let G be defined by the following:
(a) G(L, BL
, N) := (eN , BL
, L∗
) for hyperparaclan frame (L, BL
, N), with
BL
:= (BL
, −N ) and L∗
:= (L∗
, clL∗);
(b) G(f) := (f, f∗
) for any hnf-map f : (L, BL
, N) → (Y, BY
, M).
Then G is a functor from CLA- HPNFRM to SbTFE.
Proof. We already know that (L, BL
, −N ) is a Boolean frame with b-frame-
closure −N : BL
→ BL
and L∗
:= (bFCLA(L) ∪ {∅} , clL∗ ) is a topological
space. And eN is a function from BL
to L∗
. Now we verify eN satisfies axioms
(btfe0) to (btfe5) and (sym).
To (btfe0): By definition we have, eN (0) = ∅;
To (btfe1): We have to show that clL∗ (eN ([BL
 {0}])) = bFCLA(L);
Let D ∈ bFCLA(L) and suppose D /∈ clL∗ (eN [BL
 {0}]), hence ∆eN [BL
 {0}]
does not subset of D, so there exists z ∈ ∆eN [BL
 {0}] such that z /∈ D.
Consequently, ∨BL
{0} /∈ D.
On the other hand for some x ∈ BL
 {0} such that x ∈ D. Hence ∨BL
{0} ∈
D, which is a contradiction. (Note that ∨BL
{0} ∈ BL
.)
Conversely, let be D ∈ clL∗ (eN [BL
 {0}]) so, D ∈ L∗
and ∆eN [BL
 {0}] ⊂ D.
Since ∨BL
{0} ∈ ∆eN [BL
 {0}], then ∨BL
{0} ∈ D, and consequently D ∈
bFCLA(L). (Note that L∗
:= bFCLA(L) ∪ {∅}.)
To (btfe2): For z ∈ BL
{0, 1} we put
Az := {x ∈ BL
{0, 1} : eN (x) ∈ clL∗ ({eN (z)})}.
And we claim that zN
is upper bound of Az.
Let x ∈ Az so eN (x) ∈ clL∗ ({eN (z)}), hence ∆{zN } = ∆{eN (z)} ⊂ eN (x) =
xN .
Consequently, z ∈ xN which shows that x ≤ zN
. So ∨e−1
N [clL∗ ({eN (z)})] =
∨Az ≤ zN
.
Conversely, we claim that ∨Az is upper bound of
D := y ∈ BL
 {0, 1} | {z} ∈ N(y) .
Let y ∈ D so {z} ∈ N(y) and y ≤ zN
.
We have to verify eN (y) ∈ clL∗ ({eN (z)}), which means ∆ {eN (z)} ⊂ eN (y).
Let a ∈ ∆ {eN (z)} so, a ∈ eN (z) = zN , hence z ≤ aN
so, y ≤ zN
≤ (aN )
N
≤
aN
, therefore a ∈ eN (y). Consequently, y ≤ ∨Az. But zN
is join of D, hence
211
zN
≤ ∨Az.
All together imply zN
= ∨e−1
N [clL∗ ({eN (z)})].
To (btfe3): Let z ∈ BL
either z = 0 or z = 0. If z = 0, then eN (zN
) = ∅ and
clL∗ ({eN (z)}) = clL∗ ({∅}) = L∗
, because ∆ {∅} = ∅, but ∅ ∈ L∗
.
If z = 0, then eN (z) = zN . We have to verify that ∆ {zN } ⊂ (zN
)N .
Let a ∈ ∆ {zN } so z ≤ aN
, hence zN
≤ (aN )
N
≤ aN
, which shows a ∈ (zN
)N .
To (btfe4): Let a, b ∈ BL
such that 0 = a ≤ b and D ∈ clL∗ ({eN (a)}), we have
to verify that ∆ {bN } = ∆ {eN (b)} ⊂ D.
Let z ∈ ∆ {bN } so b ≤ zN
, and by hypothesis we get a ≤ zN
, therefore
z ∈ aN = eN (a) which implies z ∈ D.
To (btfe5): Let a, b ∈ BL
with a ∨ b ∈ BL
and D ∈ clL∗ ({eN (a ∨ b)}) then,
without restriction let a = 0 = b.
Suppose D /∈ clL∗ ({eN (a)}) ∪ clL∗ ({eN (b)}) so D /∈ clL∗ ({eN (a)}) and D /∈
clL∗ ({eN (b)}), hence ∆ {aN } = ∆ {eN (a)} does not subset of D and ∆ {bN } =
∆ {eN (b)} does not subset of D.
Choose xa ∈ aN such that xa /∈ D and xb ∈ bN such that xb /∈ D, hence
a ≤ xa
N
and b ≤ xb
N
.
We set x := xa ∨ xb, hence x ∈ aN and x ∈ bN and x /∈ D, because D ∈
bFCLA(L) or D = ∅.
On the other hand x ∈ (a ∨ b)N = eN (a ∨ b).
Since D ∈ clL∗ ({eN (a ∨ b)}) = clL∗ ({(a ∨ b)N }), hence ∆ {(a ∨ b)N } ⊂ D so
x ∈ D, which is a contradiction.
To (sym): Let x ∈ BL
 {0} and D ∈ clL∗ ({eN (x)}) so ∆ {eN (x)} ⊂ D, hence
xN = eN (x) ⊂ D.
On the other hand, for some y ∈ BL
 {0} we have D ∈ N(y). Consequently,
{y} ∪ D ∈ N(x), because by hypothesis (L, BL
, N) is hyperparaclan frame.
So, D ∈ N(x) {∅} and because eN (x) is maximal in N(x) {∅}, then eN (x) =
D. Consequently eN (x) ∈ clL∗ ({D}).
Therefore (eN , BL
, L∗
) is symmetric b- topological frame extension.
By theorem 5.2, we already know that G(f) is a btfe-morphism. It is clear
that for hnf-maps (BL
, N)
f
→ (BY
, M)
g
→ (BZ
, P) the equation G(g ◦ f) =
G(g) ◦ G(f) holds.
Corollary 5.4. The image of G is also contained in STRbTFE.
Proof. Let A∗
be closed in bFCLA(L) and D ∈ bFCLA(L) such that D /∈ A∗
,
then, D /∈ clL∗ (A∗
), hence ∆A∗
does not subset of D. Consequently there exists
z ∈ ∆A∗
such that z /∈ D.
Therefore for each F ∈ A∗
we have z ∈ F. Now let a be an arbitrary element
of ∆ {eN (z)} so a ∈ zN , and consequently z ≤ aN
. Since z ∈ F and F ∈
bFCLA(L) so aN
∈ F, and by (bfcla4), a ∈ F. Therefore ∆ {eN (z)} ⊂ F,
thus F ∈ clL∗ ({eN (z)}). On the other hand since z /∈ D we have ∆ {eN (z)}
does not subset of D, so D /∈ clL∗ ({eN (z)}). Therefore, A∗
= clL∗ ({eN (z)}) =
clL∗ (eN [{z}]).
In the case if A∗
= bFCLA(L) then, we have A∗
= clL∗ (eN [BL
 {0}]).
212
Theorem 5.5. Let F : SbTFE → CLA-HPNFRM and G : CLA-HPNFRM
→ SbTFE be the above defined functors. For each object (L, BL
, N) of CLA-
HPNFRM let t(L,BL,N) denotes the identity map idL : F(G(L, BL
, N)) →
(L, BL
, N). Then, t : F ◦ G → 1CLA-HPNFRM is natural equivalence from
F ◦ G to the identity functor 1CLA-HPNFRM.
F(G(L, BL
, N))
idL
−→ (L, BL
, N)
F(G(f)) ↓ ↓ f
F(G(Y, BY
, M))
idY
−→ (Y, BY
, M))
i.e. idL is a hnf-map in both directions for each object (L, BL
, N), and the
above diagram commutes for each hnf-map f : (L, BL
, N) → (Y, BY
, M).
Proof. The commutativity of the diagram is obvious, because of F(G(f)) = f.
It remains to prove that idL : F(G(L, BL
, N)) → (L, , BL
, N) is hnf- map in
both direction.
Let F(G(L, BL
, N)) = (L, BL
, N1). It suffices to show that for each x ∈
BL
 {0} we have N1(x) ⊂ N(x) ⊂ N1(x).
To this end assume A ∈ N1(x), then there exists C ∈ clL∗ ({eN (x)}) such that
C ∈ {clL∗ ({eN (a)}) : a ∈ A}, hence ∆ {eN (x)} ⊂ C.
We get x ∈ C, and C ∈ N(z) for some z ∈ BL
 {0}.
Since N is symmetric we have {z} ∪ C ∈ N(x), which by (hnf1), shows that
C ∈ N(x) .
Let a be an arbitrary element of A implies C ∈ clL∗ ({eN (a)}), therefore
∆ {eN (a)} ⊂ C, so a ∈ C. Consequently, by (hnf1), A ∈ N(x).
Conversely, let A ∈ N(x). Since (L, BL
, N) is hyperparaclan frame we can
choose a x-b-frame clan C in N with A ⊂ C.
In order to show, A ∈ N1(x) we need to verify
(i) C ∈ clL∗ ({eN (x)});
(ii) a ∈ A implies C ∈ clL∗ ({eN (a)}).
To (i): By definition it suffices to establish ∆ {eN (x)} ⊂ C.
Let z ∈ ∆ {eN (x)}, so x ≤ zN
, hence zN
∈ C, therefore z ∈ C.
To (ii): Let a be an element of A and z be an element of ∆ {eN (a)}, hence
a ≤ zN
and by hypothesis a ∈ C. Consequently zN
∈ C so, z ∈ C which
shows C ∈ clL∗ ({eN (a)}).
Remark 5.6. Making this last theorem more transparent. We claim that a
hyperparanear frame (L, BL
, N) has a symmetric strict b-topological frame
extension if and only if it is a hyperparaclan frame. Hence, there exists a
topological space (Y, clY ) which is the union of a set X with some point not
contained in X, so that BL
{0} can be densely embedded in X, and the x-
near sets in N are characterized by the fact that all their closures meet in
X. We note in addition if supposing Boolean frames, hence uniform frames,
respectively proximal frames then, can be equivalently described in terms of
213
hypernear frames or hyperparanear frames respectively.
Hence for all the above mentioned and subsumed spaces this fundamental
theorem also can be applied.
Definition 5.7. A hyperpernear frame (L, BL
, N) is called separated if and
only if it satisfies the following condition:
(sep) x, z ∈ BL
 {0} and {z} ∈ N(x) imply x = z.
Remark 5.8. If (L, BL
, N) is a separated hyperparanear frame then, eN :
BL
→ L∗
is injective. Conversely, for a T1 extension (e, BL
, Y ), where e is
injective and Y = (Y, clY ) is a T1- space then, (L, BL
, N) is separated.
Here, it should be strictly pointed out that the topological space (L∗
, clL∗ ),
constructed in lemma 5.1. even is a T1-space.
References
[1] B. Banaschewski, Extensions of topological spaces. Canadian Math.Bull.
7(1964), 1-23.
[2] H.L. Bentley, Nearness spaces and extension of topological spaces. In: Studies
in topology Academic Press, NY (1975), 47-66.
[3] H.L. Bentley, Paracompact spaces, Topology Appl. 39(1991)283-297.
[4] G. Birkhoff, Lattice theory, Trans. Amer. Math. Soc. Colloquium Publications,
third edition(Amer. Math. Scoc., RI, 1973).
[5] D. Doitchinov, Compactly determined extensions of topological spaces.
SERDICA Bulgarice Math. Pub. 11(1985), 269-286.
[6] D. Doitchinov, A unified theory of topological, proximal and uniform spaces,
Doklady Akad. Nauk SSSR 159(1964) 21-24 (Russian); English translation:
Soviet Math. Dokl. 5(1964)595-598 (English).
[7] H. Herrlich, A concept of nearness, Gen. Topology Appl. 4 (1974) 191-212.
[8] H. Herrlich, Topological structures in : Topological structures I, Math. Centre
Tracts 52 (1974) pp. 59-122 .
[9] H. Herrlich, Some topological theorems which fail to be true, in : Categorical
Topology, Lecture Notes in Mathematics, Vol. 540(Springer, Berlin, 1976)265-
285.
[10] V.M. Ivanova, A.A. Ivanov, Contiguity spaces and bicompact extensions, Dokl.
Akad. Nauk SSSR 127(1959) 20-22.
[11] P.T. Johnstone, Stone Spaces,Cambridge Studies in Advanced Mathematics3,
Cambridge University Press, 1982.
214
[12] D. Leseberg, Supernearness, a common concept of supertopologies and nearness,
Topology and its Application 123 (2002) 145-156.
[13] D. Leseberg, Symmetrical extensions and generalized nearness, Note di
Matematica 22, n. 2, 2003, 93-111.
[14] D. Leseberg, A new concept of convergence space. Math. Pannonica 19/2(2008),
291-303 and http://www.digibib.tu-bs.de/?docid=00024313, TU Braunschweig
(2009).
[15] D.Leseberg, Improved nearness research II, Rostock. Math. Kolloq.66(2011),
87-102.
[16] D.Leseberg, Improved nearness research III, Int. J.Math. Sci. and Appl. Vol 1,
No. 2, May 2011.
[17] M. H. Stone, The theory of representations for Boolean Algebras, in:
Transactions of the American Mathematical Society 40 (1936), 37-111.
[18] Z.Vaziry and D.Leseberg, Completion in supernear spaces, Int. J.Math. Sci. and
Appl. Vol. 1, No. 2, May 2011.
[19] Z.Vaziry, S.B.Nimse and D.Leseberg, On supercovering spaces. Int. J.of Math.
and Scientific comp. vol2, No1 (2012), 56-69.
[20] Z.Vaziry, S.B.Nimse and D.Leseberg, B-nearness on Boolean frames. Rostock.
Math. Kolloq.67 (2012), 3-19.
[21] Z.Vaziry and D. Leseberg, Topological frame extension, Math. Appl. 2(2013),
169-189.
215
216
2014 INTERNATIONAL CONFERENCE
on TOPOLOGY and its APPLICATIONS
Organizing committee:
• S. D. Iliadis (Moscow State University (M.V. Lomonosov))
Chairman
• D. N. Georgiou (University of Patras)
• I. E. Kougias
(Technological Educational Institute of Western Greece)
• A. C. Megaritis
(Technological Educational Institute of Western Greece)
• I. Boules (Mayor of the city of Nafpaktos)
July 3-7, 2014 Nafpaktos, Greece
Department of Mathematics
University of Patras,
Computer and Informatics Engineering Department,
Technological Educational Institute of Western Greece
Municipality
of Nafpaktos
Homepage: http://www.lepantotopology.gr
E-mail: lepanto@math.upatras.gr
Photo: www.tsousis.com
C
M
Y
CM
MY
CY
CMY
K
georgiou afisa.pdf 11/14/13 12:57:51 AM
217
ISBN: 978-618-80609-1-3

Selected papers-2014 Topology Conference

  • 2.
    2014 International Conferenceon Topology and its Applications, July 3-7, 2014, Nafpaktos, Greece Selected papers of the 2014 International Conference on Topology and its Applications Editors D.N. Georgiou S.D. Iliadis I.E. Kougias A.C. Megaritis Department of Mathematics, University of Patras, Greece
  • 3.
  • 4.
    Preface The 2014 InternationalConference on Topology and its Applica- tions took place from July 3 to 7 in the 3rd High School of Nafpak- tos, Greece. It covered all areas of Topology and its Applications (especially General Topology, Set-Theoretic Topology, Geometric Topology, Topological Groups, Dimension Theory, Dynamical Systems and Continua Theory, Com- putational Topology, History of Topology). This conference was attended by 235 participants from 44 countries and the program consisted by 147 talks. The Organizing Committee consisted of S.D. Iliadis (University of Patras), D.N. Georgiou (University of Patras), I.E. Kougias (Technological Educational Institute of Western Greece), A.C. Megaritis (Technological Educational In- stitute of Western Greece), and I. Boules (Mayor of the city of Nafpaktos). The Organizing Committee is very much indebted to the City of Nafpaktos for its hospitality and for its excellent support during the conference. The conference was sponsored by University of Patras, Technological Educa- tional Institute of Western Greece, Municipality of Nafpaktos, New Media Soft – Internet Solutions, Loux Marlafekas A.B.E.E., TAXYTYPO – TAXYEK- TYPOSEIS GRAVANIS EPE, Alpha Bank, and Wizard Solutions LTD. This volume is a special volume under the title: “Selected papers of the 2014 International Conference on Topology and its Applications” which will be edited by the organizers (D.N. Georgiou, S.D. Iliadis, I.E. Kougias, and A.C. Megaritis) and published by the University of Patras. We thank the authors for their submissions. Editors D.N. Georgiou S.D. Iliadis I.E. Kougias A.C. Megaritis 3
  • 6.
    Contents M. Aphane andS. P. Moshokoa, On algebraic quasi-cone metric spaces, quasi metric spaces and fixed point results for contractive mappings . . . . . . . . . . . . . 7 Antonio Boccuto and Xenofon Dimitriou, Strong uniform continuity and filter exhaustiveness of nets of cone metric space-valued functions . . . . . . . . . . . . . . 21 M. Caldas and S. Jafari, Regularity and normality via βθ-open sets . . . . . . . 37 M. Caldas, S. Jafari, and T. Noiri, On the class of semipre-θ-open sets in topological spaces . . . . . . . . . . . . . . . . . . . . . . . . . . . . . . . . . . . . . . . . . . . . . . . . . . . . . . . . .49 A. Charakopoulos, T. E. Karakasidis, P.N. Papanicolaou, and A. Liakopoulos, Application of complex network time series analysis in the study of spatiotem- poral phenomena . . . . . . . . . . . . . . . . . . . . . . . . . . . . . . . . . . . . . . . . . . . . . . . . . . . . . . . . . 60 S. Jafari and A. Selvakumar, New types of continuous functions via Gα-open sets . . . . . . . . . . . . . . . . . . . . . . . . . . . . . . . . . . . . . . . . . . . . . . . . . . . . . . . . . . . . . . . . . . . . . . 77 S. Karakasidou and L. Zachilas, Vegetable price time series analysis using complex networks . . . . . . . . . . . . . . . . . . . . . . . . . . . . . . . . . . . . . . . . . . . . . . . . . . . . . . . . 87 Angeliki Kontolatou, Kyriakos Papadopoulos, and John Stabakis, Quasi-Uni- formities on Function Spaces Generated by Atoms: Remarks and Questions . . . . . . . . . . . . . . . . . . . . . . . . . . . . . . . . . . . . . . . . . . . . . . . . . . 96 Ioannis Kougias, Lambrini Seremeti, and Dimitris Kalogeras, Topological ad- jacency in ontology alignment . . . . . . . . . . . . . . . . . . . . . . . . . . . . . . . . . . . . . . . . . . . 106 Ioannis Kougias, Lambrini Seremeti, and Dimitris Kalogeras, The role of Topology in Knowledge Representation . . . . . . . . . . . . . . . . . . . . . . . . . . . . . . . . . . 115 Spiros Louvros, Topology Dependant IP Packet Transmission Delay on LTE Networks . . . . . . . . . . . . . . . . . . . . . . . . . . . . . . . . . . . . . . . . . . . . . . . . . . . . . . . . . . . . . . . 122 Spiros Louvros and Ioannis Kougias, Analysis of LTE Multi-Carrier Signal Transmission over Wireless Channels with Operators on Heisenberg Group H (R) . . . . . . . . . . . . . . . . . . . . . . . . . . . . . . . . . . . . . . . . . . . . . . . . . . . . . . . . . . . . . . . . . . . 139 M. Parimala and S. Jafari, mI-open sets and quasi-mI-open sets in terms of minimal ideal topological spaces . . . . . . . . . . . . . . . . . . . . . . . . . . . . . . . . . . . . . . . . . 151 A. Selvakumar and S. Jafari, Some properties of Gα-closed graphs . . . . . . .159 A. Selvakumar and S. Jafari, Contra Gα-continuous functions . . . . . . . . . . . 168 5
  • 7.
    Vladimir Todorov, Minimal(n, ε) - connected compacta are V n manifolds . . . . . . . . . . . . . . . . . . . . . . . . . . . . . . . . . . . . . . . . . . . . . . . . . . . . . . . . . . . 182 Zohreh Vaziry, PD Dr. Dieter Leseberg, and Dr. S. B. Nimse, b-topological frame extension and hypernear frames . . . . . . . . . . . . . . . . . . . . . . . . . . . . . . . . . . .190 6
  • 8.
    Selected papers ofthe 2014 International Conference on Topology and its Applications (2015) Pages 7–20 Department of Mathematics University of Patras Greece On algebraic quasi-cone metric spaces, quasi metric spaces and fixed point results for contractive mappings M. Aphane 1 , S. P. Moshokoa 2 1,2 Department of Mathematics and Statistics, Tshwane University of Technology, Pretoria, 0008, South Africa Abstract The aim of this work is to extend interesting results obtained in by A. Niknam et al [7] from the symmetric distance spaces, namely, algebraic cone metric spaces to the setting of the unsymmetric distance spaces, which we shall call algebraic quasi cone metric spaces. We define algebraic quasi cone metric spaces, present fundamental results for these spaces and show how this spaces are related to quasi metric spaces. Finally, a fixed point result is presented in this context. Note that our results extends and generalises results in metric spaces and cone metric spaces. Key words: Algebraic quasi cone metric space, bicomplete, fixed point. 1991 MSC: Primary 47L07, 15B48; Secondary 46B99. 1. Introduction Ordered spaces and cones have a wide application in various branches of math- ematics, for example, in applied mathematics, optimization theory and com- puter science. There are many generalisations of metric spaces in the literature, for instance we have pseudo metric spaces and quasi metric spaces. One also obtains such a generalisation by replacing the codomain of a metric space with an ordered Banach space. Then one obtains a generalization of a metric space, referred to as a cone metric space, we refer to the paper by Huang and Zhang [6]. Since then many fixed points results in metric spaces where extended to the class of cone metric spaces, see [6], [9] and [10] for example. Further, note 1 AphaneM@tut.ac.za 2 MoshokoaSP@tut.ac.za
  • 9.
    that in theliterature, one obtains a notion of a quasi metric space as a gen- eralization of a metric space, see the following references for example [16] and [17]. The reader should observe that quasi metric spaces have a wider range of applications in complexity theory and theoretical computer science, see for example, [14], [8], and [15]. Another way of generalising metric spaces is ob- tained by replacing the codomain of a metric or a quasi metric with an ordered Banach space. In this case one gets a cone metric or quasi cone metric space, respectively, see the papers [5] and [17] for example. Therefore the notion of a quasi cone metric space is a generalization of both metric spaces, cone metric spaces and quasi metric spaces. Recently there has been a number of articles on fixed point results in quasi metric spaces see for example [4], [1] and [2] for recent papers on this work. It should further be noted that cone metric spaces are an attempt to generalise metric spaces, and that quasi- cone metric spaces generalises quasi metric spaces. That is, the class of metric spaces is properly contained in the class of cone metric spaces. Recently, the authors in [7] introduced the notion of TVS cone metric space and replaced the ordered Banach space by a locally convex Hausdorff TVS in order to generalise the results presented in cone metric spaces with the ordered Banach space. In the paper we will define a quasi-cone metric with values in a locally convex Hausdoff TVS, and our results also hold for quasi-cone metric spaces with an ordered Banach space. 2. Preliminaries Let E be a topological vector space (TVS, for short) with its zero vector, θ. A nonempty set P of E is called a convex cone if: (i) P + P ⊆ E and (ii) λP ⊆ P for all λ ≥ 0. A convex cone P in E is said to be pointed if P ∩ (−P) = {θ}. For a given convex cone P, a partial ordering on E with respect to P is defined as x y if and only if y − x ∈ P. We shall write x y if x y and x = y, while x y will stand for y − x ∈ intP, where intP, is the topological interior of P. Now suppose that E is a locally convex Hausdorff TVS with a zero vector θ, a proper closed and convex pointed cone P in E with intP = ∅, e ∈ intP, and a partial ordering with respect to P. Definition 2.1. [7] Let E be a real vector space and P be a convex subset 8
  • 10.
    of E. Apoint x ∈ P is said to be an algebraic interior point of P if for each v ∈ E there exists > 0 such that x + tv ∈ P, for all t ∈ [0, ]. The set of all algebraic interior points of P is called its algebraic interior and is denoted by aintP, Moreover, P is algebraically open if and only if P = aintP. Let P ⊆ E be a convex non empty set such that; (i) P + P ⊆ P, (ii) λP ⊆ P for all λ ≥ 0, (iii) P ∩ (−P) = {θ}. We shall call P an algebraic cone in E. For a given algebraic cone P, a partial ordering a on E with respect to P is defined as x a y if and only if y − x ∈ P. We shall write x a y if x a y and x = y, while x a y will stand for y − x ∈ aintP, where aintP, is the algebraic interior of P. We will say that P has the archimedean property if for each x, y ∈ P there exists a natural number n such that x a ny. We now present some examples of algebraic cones, also see the references for more examples: Example 2.2. Let E = Rn and P = (x1, x2, ..., xn) ∈ E such that xi ≥ 0, for all i = 1, 2, ..., n. Then P is an algebraic cone with the archimedean property. Example 2.3. Let E = CR[a, b] = {f : [a, b] → R}, with f being continuous and P = {f ∈ E : f(x) ≥ 0} for all x ∈ [a, b]. Then P is an algebraic cone with the archimedean property. Example 2.4. Let E = CR(0, ∞) and P = {f : f(x) ≥ 0} for all x ∈ (0, ∞). Then P is an algebraic cone but does not have the archimedean property. The proof of the following Lemma is provided in [7]. Lemma 2.5. Let E be a real vector space and P be an algebraic cone in E with a non-empty algebraic interior. Then (i) P + aintP ⊂ aintP; (ii) αaintP ⊂ aintP, for each α > 0; (iii) For any x, y, z ∈ E, x a y and y a z implies that x a z. 3. Main results We now introduce the following definition: Definition 3.1. Let X be a non-empty set, E be a real vector spaces, P an algebraic cone in E with a non-empty algebraic interior and da : X × X → E 9
  • 11.
    satisfy the followingfor all x, y, x ∈ X : (a) For x = y, θ a da(x, y) and da(x, x) = θ; (b) da(x, y) a da(x, z) + da(z, y). We shall call the function da that satisfies (a) and (b) an algebraic quasi- pseudo metric on X, and the pair (X, da) will be called an algebraic quasi- pseudo metric space. Note that the function d−1 a : X × X → E defined by d−1 a (x, y) = da(y, x), for all x, y ∈ X is also an algebraic quasi pseudo metric on X, which we call a conjugate of da. We introduce further definitions: Definition 3.2. Let X be a non-empty set, E be a real vector spaces, P an algebraic cone in E with a non-empty algebraic interior and da : X × X → E satisfy the following for all x, y, x ∈ X : (a ) For x = y, θ a da(x, y) and da(x, y) = θ if and only if x = y; (b) da(x, y) a da(x, z) + da(z, y). We shall call the function da that satisfies (a ) and (b) an algebraic quasi- cone metric on X, and the pair (X, da) will be called an algebraic quasi- cone metric space. It follows that every algebraic quasi-cone metric space is an algebraic quasi- pseudo cone metric space but not conversely. Definition 3.3. Let X be a non-empty set, E be a real vector spaces, P an algebraic cone in E with a non-empty algebraic interior and da : X × X → E satisfy the following for all x, y, x ∈ X : (a ) For x = y, θ a da(x, y) and da(x, y) = θ if and only if x = y; (b ) da(x, y) = da(y, x); (c) da(x, y) a da(x, z) + da(z, y). We shall call the function da that satisfies (a ) and (b ) and (c) an algebraic cone metric on X, and the pair (X, da) will be called an algebraic cone metric space. Further, given an algebraic quasi-cone metric metric space (X, da), let d∗ a : X × X → E be defined by d∗ a(x, y) = max{da(x, y), d−1 a (x, y)}, then d∗ a is an algebraic cone pseudo metric on X. If da is an algebraic quasi-cone metric on X, then d∗ a is an algebraic cone metric on X. Furthermore, if da is an algebraic metric on X then da = d−1 a = d∗ a. Example 3.4. Let E = R2 and P = {(x1, x2) ∈ E : x1, x2 ≥ 0}. Next, for X = R and α ≥ 0 define da : X×X → E by da(x, y) = (max{0, y−x}, α|x−y|) for all x, y ∈ X. Then da is an algebraic quasi-pseudo cone metric on X and not an algebraic cone metric on X. 10
  • 12.
    The class ofmetric spaces is properly contained in the class of pseudo metric space and in turn the class of pseudo metric spaces is properly contained in the class of algebraic quasi pseudo cone metric spaces. Also, the class of metric spaces is properly contained in the class of quasi metric spaces, the class of quasi metric spaces is properly contained in the class of algebraic quasi cone metric space. Finally, the class of algebraic quasi metric spaces is properly contained in the class of algebraic quasi-pseudo cone metric space. Importantly, given an algebraic quasi-cone metric space (X, da), the order ≤da defined by x ≤da y ⇔ da(x, y) = θ is a specialization order on X. We put x ≤da y, whenever x ≤da y and x = y. In many examples of quasi metric spaces as a special case of algebraic quasi cone metric spaces that appear in the literature [13], particularly, in theoretical computer science the specialization order provides a rich tool to explain the crucial information on the collection of elements of X, this maybe applicable to certain information related to words of the alphabet in certain models of parallel computation. We briefly discuss bitopological aspects of algebraic quasi-cone metric spaces. Recall that a bitopological space is a nonempty set X together with two topolo- gies τ1 and τ2, denoted by (X, τ1, τ2). Now, we start with: The proof is the same as to the one in algebraic cone metric spaces [7], so we omit the proof. Theorem 3.5. Let (X, da) be an algebraic quasi-pseudo metric space. The collection {Ba(x, c) : c ∈ aintP} forms a subbasis for the topology on X, where, Bda (x, c) = {y ∈ X : da(x, y) a c}. So every algebraic quasi-pseudo cone metric da on X generates a topology, which we denote by τda . It clear that associated to an algebraic quasi pseudo cone metric space is a bitopological space (X, τda , τd−1 a ). Note however, that the topology τd∗ a on X is not necessarily Hausdorff, as d∗ a is not necessarily an algebraic cone metric on X. This is unlike in algebraic cone metric spaces where the topology τda on X induced by the algebraic cone metric da is Hausdorff, see [7]. We present the following separation axiom for bitopological spaces, induced by an algebraic quasi-cone metric on X. Definition 3.6. Let (X, da) be an algebraic quasi-pseudo cone metric space. We will say that (X, τda , τd−1 a ) is pairwise Hasudorff if for every pair x = y of points in X there exists a τda -neighbourhood of x and a τd− a -neighbourhood 11
  • 13.
    of y wichare disjoint or τda -neighbourhood of y and τd− a -neighbourhood of x which are disjoint. Next we have: Theorem 3.7. Let (X, da) be an algebraic quasi-pseudo cone metric space. The following statements are equivalent: (a) the bitopological space (X, τda , τd−1 a ) is pairwise Hausdorff; (b) the function d∗ a is an algebraic cone metric on X; (c) for x = y, we have da(x, y) = θ, imply that da(y, x) a θ; (d) for x = y, we have da(x, y) a θ or da(y, x) a θ; (e) for x = y, we have d(x, y) + d(y, x) a θ; (f) for all x, y ∈ X, d(x, y) + d(y, x) = θ implies that x = y. Proof. The implications: (c) ⇒ (d) ⇒ (e) ⇒ (f) ⇒ (c) are clear. We will now show that (a) ⇔ (c). Suppose that (a) is true and x = y. If da(x, y) = θ. Then we can find c1 ∈ aintP and c2 ∈ aintP with θ a c1 and θ a c2 such that y ∈ Bda (x, c1) but y /∈ Bd−1 a (x, c1). This is possible since every τda -neigbourhood of x contains y and (X, τda , τd−1 a ) is pair wise Hausdorff. Thus θ a c1 a da(y, x) = d−1 a (x, y). Hence, (a) ⇒ (b). Conversely, let x = y, and suppose that (b) is true. We will show that (X, τda , τd−1 a ) is pair wise Hausdorff. Suppose that every τd-neighbourhood of x contains y, in particular, y ∈ Bda (x, c), for all c ∈ aintP. Take c = θ, then d(x, y) = θ. So we must have d−1 a (x, y) = θ. Let θ c = d−1 a (x, y), where c ∈ aintP. Then Bd−1 a (x, c 2 ) ∩ Bda (y, c 2 ) = ∅. This shows that (X, τda , τd−1 a ) is pair wise Hausdorff. Finally, we show that (b) ⇔ (f). Clearly, (b) ⇒ (f). Suppose that (f) is true and d∗ a(x, y) = θ. Then da(x, y) = θ and d−1 a (x, y) = θ. Hence, da(x, y) + da(y, x) = θ. So, x = y. We conclude that d∗ a(x, y) = θ if and only if x = y. We will say that an algebraic quasi-pseudo metric da separates point in X if for x = y implies that da(x, y) a θ. In the sequel, unless otherwise stated, we will assume that the algebraic quasi- pseudo cone metric da separates points in X. Hence, the space (X, da) is an algebraic quasi-cone metric space. Let (X, da) be an algebraic quasi-cone metric space, x ∈ X and {xn} be a sequence in X. Then one sees that a sequence {xn} converges to a point x with respect to τd if for every θ a c there exists a positive N such that for all n > N we have da(xn, x) a c. Definition 3.8. Let (X, da) be an algebraic quasi-cone metric space. A se- quence {xn} is said to be a d∗ a-Cauchy sequence if for every θ a c there ex- ists a natural number N such that for all m, n > N, we have da(xn, xm) a c. Moreover, (X, da) is bicomplete, if every d∗ a-Cauchy sequence converges to a point in X with respect to d∗ a. 12
  • 14.
    The reader shouldbe aware that there are a number of inequivalent notions of completeness in quasi metric spaces see [4], [1], [12] and [11]. Similarly, we can provide a number of notions for completeness for algebraic quasi-cone metric spaces. However, for the purpose of the paper, we will stick to the above definition. Example 3.9. Let X = [0, 1], E = R2 , P = {(a, b) ∈ E : a, b ≥ 0} and define da : X × X → E by da(x, y) =    (x − y), α(x − y)) if x ≥ y (1, 1) if x < y. Then (X, da) is an algebraic quasi-cone metric space. Consider the sequence {xn = 1 n , n ≥ 1}. We easily see that {xn} is a d∗ a-Cauchy sequence. We also note that an algebraic quasi-cone metric space (X, da) is bicomplete if and only if the associated algebraic cone metric space (X, d∗ a) is complete. Also, (X, da) is bicomplete if and only if (X, d−1 a ) is bicomplete. Definition 3.10. Let (X, da) and (Y, ρa) be algebraic quasi cone metric spaces. A map f : (X, da) → (Y, ρa) is called an isometry if for all x, y ∈ X, we have ρa(f(x), f(y)) = da(x, y). Theorem 3.11. Let (X, da) be an algebraic quasi-pseudo cone metric space and R = {(x, y) : da(x, y) = da(y, x) = θ}. Then R is an equivalence relation and the quotient space X/R can be given an algebraic quasi cone metric such that the map(quotient map) e : X → X/R is an isometry. Proof. Let (X, da) be an algebraic quasi-pseudo cone metric space and R = {(x, y) ∈ X × X : da(x, y) = da(y, x) = θ}. Define a function Da : X/R × X/R → E by Da(˜x, ˜y) = da(x, y), where ˜x, ˜y ∈ X/R, that is, ˜x and ˜y is each an R- equivalence class containing x and y, respectively. Suppose that ( ˜x1, ˜y1) = (˜x, ˜y), then da(x, y) a da(x, x1) + da(x1, y1) + da(y1, y), thus da(x, y) a θ + da(x1, y1) + θ, thus da(x, y) a da(x1, y1), similarly, we have da(x1, y1) a da(x, y). 13
  • 15.
    Since a isa partial order on E through P, we should have da(x, y) = da(x1, y1). This shows that D is well defined. By definition of D, we see that e is an isometry. Finally, we note that Da is an algebraic quasi cone metric on X/R. Quasi metric spaces have a wide of applications in complexity theory and theoretical computer science, see [1] for example. Before we conclude this section of the paper we discuss the relationship between quasi metric spaces and algebraic quasi cone metric spaces. It is well known in applications especially in optimization theory that a use- ful approach for analyzing a vector optimization problem is to reduce it to a scalar optimization problem. For this nonlinear scalarization functions play an predominant role in the context of non-convex vector optimization problems. Recently, this approach has been successfully applied to investigate the equiv- alence of vectorial versions of fixed point theorems of contractive mappings in TVS-cone metric spaces and the scalar versions of fixed point theorem for metric spaces. The paper [3], uses a similar approach to discuss the equivalence between cone metric spaces and metric spaces. We successfully use scalariza- tion methods to show the equivalence of more general spaces than cone metric spaces and metric spaces. In particular, we show the equivalence of algebraic quasi-cone metric spaces and quasi metric spaces. The class of spaces consid- ered in the paper are more general and include algebraic cone metric spaces and metric spaces. Definition 3.12. Let E be a real vector space and P be an algebraic cone in E. For a given e ∈ aintP, the nonlinear scalarization function is defined by: ξe(y) = infMe,y, where Me,y = {r : y ∈ re − P}, and r is real number. Let (X, da) be an algebraic quasi-cone metric space and e ∈ aintP. Then: (i) The function de : X × X → [0, ∞) defined by de = ξe ◦ da is a quasi metric on X and de separates points in X if and only if da separates points. (ii) Bde (x, r) = Bda (x, re), where Bde (x, r) = {y ∈ X : de(x, y) < r} and 14
  • 16.
    Bda (x, re)= {y ∈ X : da(x, y) a re}. That is τda = τde . Note that the cone P must have the archimedean property for the equality to hold. (iii) A sequence {xn} in X is d∗ e-Cauchy if and only if it is d∗ a-Cauchy, where d∗ e(x, y) = max{de(x, y), de(y, x)}. Hence (X, de) is bicomplete if and only if (X, da) is bicomplete. (iv) A map T : X → X satisfies the contractive condition: da(Tx, Ty) a λda(x, y), if and only if T : X → X satisfies the contractive condition: de(Tx, Ty) ≤ λde(x, y) for λ ∈ (0, 1). In the next result, we say that a map T : (X, da) → (Y, ρa) between algebraic quasi-cone metric spaces is (d∗ a − ρ∗ a)- continuous whenever it is continuous with respect to τd∗ a and τρ∗ a in X and Y , respectively. Theorem 3.13. Let (X, da) be a bicomplete algebraic quasi-cone metric space and a map T : X → X satisfies the contractive condition: da(Tx, Ty) a λda(x, y), for λ ∈ (0, 1). Then T is (d∗ a − d∗ a)-continuous. From the foregoing discussions we can deduce most rich topological (bitopolog- ical) properties of algebraic quasi-cone metric spaces from quasi metric spaces. It therefore becomes important that one could take an interest for example on those properties of algebraic quasi-cone metric spaces that are not topological, this could be properties related to completeness and completions as well as applications to fixed point theory. Finally, we present a fixed point result in this context, and assume that the algebraic cone P has the archimedean property. Theorem 3.14. Let (X, da) be a bicomplete algebraic quasi-cone metric space. Suppose that a mapping T : X → X satisfies the contractive condition condi- tion da(Tx, Ty) a λda(x, y), for all x, y ∈ X, where λ ∈ (0, 1) is a constant. Then T has a unique fixed point in X. Moreover, for each x ∈ X, the iterative sequence Tn x converges to the fixed point. Proof. For x0 ∈ X, let x1 = Tx0, and x2 = Tx1 = T2 x0, ..., xn = Tn x0. 15
  • 17.
    Next, we calculateda(xn+1, xn), and note that da(xn+1, xn) a da(T(Tn x0), T(Tn−1 x0)) λda(Tn x0, Tn−1 x0), continuing this process, we have that da(xn+1, xn) a λn da(x1, x0). Similarly, we have d−1 a (xn+1, xn) a λn d−1 a (x1, x0). Therefore, d∗ a(xn+1, xn) a λn d∗ a(x1, x0). We also, have d∗ a(Tx, Ty) a λd∗ a(x, y) for all x, y ∈ X and λ ∈ (0, 1). Without loss of generality, assume that n > m. Then d∗ a(xn, xm) a d∗ a(xn, xn−1) + d∗ a(xn−2, xn−3) + ... + d∗ a(xm+1, xm). Now d∗ a(xn, xn−1) + ... + d∗ a(xm+1, xm) = (λn−1 + λn−2 + ... + λm )d∗ a(x1, x0), Therefore, d∗ a(xn, xm) a λm 1 − λ d∗ a(x1, x0). Since P has the archimedean property for each θ a c, there exists > 0 such that d∗ a(x1, x0) a c. Hence there exists a natural number N such that for each m > N we have λm 1 − λ d∗ a(x1, x0) a c. Hence for m > n the sequence {xn} is a d∗ a-Cauchy sequence. The algebraic quasi-cone metric space (X, da) is bicomplete, so there exists a unique point x∗ ∈ X and a natural number N such that d∗ a(xn, x∗ ) c, for all n > N, where c ∈ aintP. So d∗ a(Tx∗ , x∗ ) a d∗ a(Tx∗ , Txn) + d∗ a(Txn, x∗ ) a d∗ a(xn, x∗ + d∗ a(xn, x∗ ). It follows that d∗ a(Tx∗ , x∗ ) a c m , m ≥ 1 So, c m − d∗ a(Tx∗ , x∗ ) ∈ P. Since c m → 0, m → ∞. We have −d∗ a(Tx∗ , x∗ ) ∈ P. Now, d∗ a(Tx∗ , x∗ ) ∈ P, also, P is 16
  • 18.
    pointed, that is,P ∩ (−P) = θ, hence d∗ a(Tx∗ , x∗ ) = θ. This shows that x∗ is a fixed point of T. Now suppose that y∗ is another fixed point of T, that is, Ty∗ = y∗ . Then d(x∗ , y∗ ) = d(Tx∗ , Ty∗ ) a λd(x∗ , y∗ ), thus (1 − λ)d(x∗ , y∗ ) a c, c ∈ aintP and θ c. However, (1 − λ) < 0, so d(x∗ , y∗ ) = θ. Therefore, x∗ = y∗ . In the following example we justify Theorem 3.14. Example 3.15. Let E = R2 and P = {(a, b) : a ≥ 0, b ≥ 0} be a subset of E. Further, let X = {1, 2, 3, ...} and define da : X × X → E, by da(x, y) = ( 1 x , 1 y ), when x = y and da(x, y) = (0, 0) = θ, when x = y. Clearly for x = y, we have da(x, y) = da(y, x), hence (X, da) is not an algebraic cone metric space but an algebraic quasi-cone metric space. Also, the map T : X → X defined by Tx = 2x is a contraction. But there is no fixed point for T because the space (X, d) is not bicomplete. So we see that the condition that (X, da) is bicomplete cannot be removed in Theorem 3.14. The following series of corollaries indicates the important connection between algebraic quasi-cone metric spaces and quasi metric spaces. Corollary 3.16. Let (X, d) be a bicomplete quasi metric space. Suppose that a mapping T : X → X satisfies the contractive condition d(Tx, Ty) ≤ λd(x, y), for all x, y ∈ X, where λ ∈ (0, 1) is a constant. Then T has a unique fixed point in X. Moreover, for each x ∈ X, the iterative sequence Tn x converges to the fixed point. Since every algebraic cone metric space is an algebraic quasi-cone metric space but not conversely, we have the following: Corollary 3.17. [7] Let (X, da) be a complete algebraic cone metric space. Suppose that a mapping T : X → X satisfies the contractive condition condi- tion da(Tx, Ty) a λda(x, y), for all x, y ∈ X, where λ ∈ (0, 1) is a constant. Then T has a unique fixed point in X. Moreover, for each x ∈ X, the iterative sequence Tn x converges to the fixed point. 17
  • 19.
    The well-known Banach’scontraction principle for metric spaces. Corollary 3.18. Let (X, d) be a complete metric space. Suppose that a map- ping T : X → X satisfies the contractive condition condition d(Tx, Ty) ≤ λd(x, y), for all x, y ∈ X, where λ ∈ (0, 1) is a constant. Then T has a unique fixed point in X. Moreover, for each x ∈ X, the iterative sequence Tn x converges to the fixed point. We conclude the paper with the following: Example 3.19. Let E = R2 , and P = {(a, b) ∈ E : a, b ≥ 0} be a subset of E. Clearly, P has an archimedean property. Further, let X be the set of real numbers. Define da : X × X → E by da(x, y) = (max{0, y − x}, α|x − y|), where α ≥ 0. Note that d∗ a(x, y) = (|x − y|, α|x − y|), so that (X, d∗ a) is a complete algebraic cone metric space. It follows that (X, da) is a bicomplete algebraic quasi cone metric space. Now define a mapping T : X → X by Tx = x 3 + 2, then T is a contraction with a fixed point x = 3. In particular, Theorem 3.14 holds but Theorem 3.6 in [7] which is about algebraic cone metric spaces does not apply here since (X, da) is not an algebraic cone metric space. 4. Conclusion It is well known that quasi metric spaces provide a more general setting to study results than metric spaces. Therefore, quasi- cone metric spaces provides a more general setting than cone metric spaces. The paper has presented re- sults in quasi cone metric spaces, a setting which is more general than that of metric spaces and cone metric spaces. In this way we also enlarged the class of mathematical structures where fixed point results can be studied as well the applications of these results. Quasi metric spaces are of interest to researchers in mathematics and theoretical computer scientists. We would like to also highlight that there a various notions of completeness in the setting of quasi metric spaces. We have focused our attention to the context of bicomplete quasi cone metric spaces. Finally, there are results from algebraic quasi-cone metric spaces that can easily be obtained from quasi metric spaces, includ- ing the generalised Banach’s fixed point results in quasi-cone metric spaces. Compare Definition 3.12, Theorem 3.14 and corollaries 3.16 to 3.18. 18
  • 20.
    Acknowledgements. The authorswould like to thank the report from a referee. We would like to thank the research support provided by the De- partment of Mathematics and Statistics at Tshwane University of Technology (TUT). Finally, The second author would like to also thank the support from the South African National Research Foundation under grant number 92052 IRF1202210126. References [1] Alghamdi MA., Shahzad N., Valero O., Fixed point theorems in generalized metric spaces with applications to computer science, Fixed Point Theory and Applications, 2013:118 (2013) [2] Alegre C., Marin J., Romaguera S., A fixed point theorem for generalized contractions involving w-distances on complete quasi-metric spaces, Fixed Point Theory and Applications,2014:40 (2014) [3] Asadi M., Rhoades B. E., Soleimani H., The equivalence of cone metric spaces and metric spaces, Fixed Point Theory and Applications, 2012:87 (2012) [4] Karapinar E., Romaguera S., Tirado P ., Contractive multivalued maps in terms of Q-functions on complete quasi metric spaces, Fixed Point Theory and Applications, 2014:53 (2014) [5] Kazeem EF., Agyingi CA., Gaba YU., On quasi-pseudometric type spaces, Chinese Journal of Mathematics, volume 2014, Article ID 198685, 7 pages, (2014) [6] Long-Guang H., Xian Z., Cone metric spaces and fixed point theorems of contractive mappings , J. Math. Anal. Appl., 332 1468-1476 (2007) [7] Niknam A., Gamchi S., Janfada M., Some results on TVS-cone normed spaces and Algebraic Cone metric spaces, Iranian Journal of mathematics and Informatics, Vol 9 No. 1 , 71-80 (2014) [8] Heckmann R., Approximation of metric spaces by partial metric spaces, Applied Categotical structures, 7, 71-83 (1999) [9] Rezapour Sh., Hamlbarani R., Some notes on the paper ”Cone metric spaces and fixed point theorems of contractive mappings”, J. Math. Anal. Appl., 345 719-724 (2008) [10] Radenovic S., Kadelburg Z., Quasi-contractions on symmetric and cone symmetric spaces, Banach J. Maths. Anal. 5 no. 1, 38-50 (2011) [11] Reilly IL., Subrahmanyam PV., Vamanamurthy, MK., Cauchy sequences in quasi pseudo metric spaces, Monatshefte Math. 93, 127-140 (1982) [12] Romaguera S., A Kirk type characterization of completeness for partial metric spaces, Fixed Point Theory and Applications, 2010:493298 (2010) 19
  • 21.
    [13] Romaguera S.,Sanchis M., Applications of utility functions defined on quasi metric spaces, J. Math. Anal. Appl. 283 219-235 (2004) [14] Romaguera S., Schellekens M., Quasi metric properties of complexity spaces, Topology Appl. 98 311-322 (1999) [15] Romaguera S., Valero O., A quantitative computational model for complete partial metric spaces via formal balls, Mathematical Structures in Computer Science, Vol 9, 541-563 (2009) [16] Salbany S., Bitopological spaces, Compactifications and Completions, Math. Monographs, Dept. Math. Univ. Cape Town, 1 (1974) [17] Shadda F., Md Noorani MS., Fixed point results in quasi cone metric spaces, Abstract and Applied Analysis, Vol 2013, artice ID 303626, 7 pages, (2013) 20
  • 22.
    Selected papers ofthe 2014 International Conference on Topology and its Applications (2015) Pages 21–36 Department of Mathematics University of Patras Greece Strong uniform continuity and filter exhaustiveness of nets of cone metric space-valued functions Antonio Boccuto 1 , Xenofon Dimitriou 2 1Dipartimento di Matematica e Informatica, via Vanvitelli, 1 I-06123 Perugia, Italy 2Department of Mathematics, University of Athens, Panepistimiopolis, Athens 15784, Greece Abstract We give necessary and sufficient conditions for (strong uniform) continuity of the limit of a pointwise convergent net of cone metric space-valued functions. In this framework we consider several types of convergence (Alexandroff, Arzel`a, sticky, strong uniform) in the filter context and some kinds of filter exhaustiveness. Fur- thermore, we pose some open problems. Key words: Lattice group, cone metric space, metric semigroup, fuzzy number, (free) filter, (strong uniform) continuity, filter convergence, strong uniform convergence, Alexandroff convergence, Arzel`a convergence, sticky convergence, (strong) filter exhaustiveness of a net, (strong) weak filter exhaustiveness of a net. 1991 MSC: Primary: 26E50, 28A12, 28A33, 28B10, 28B15, 40A35, 46G10, 54A20, 54A40. Secondary: 06F15, 06F20, 06F30, 22A10, 28A05, 40G15, 46G12, 54H11, 54H12. 1. Introduction We consider the problem of finding necessary and/or sufficient conditions for continuity of the limit of a pointwise convergent net of functions, defined on general Hausdorff topological or uniform spaces, and taking values in cone metric spaces. Examples of cone metric spaces are all (Dedekind complete) lattice groups and metric semigroups, whose a particular case is the set of the fuzzy numbers, which is not a group. A comprehensive survey on cone 1 boccuto@yahoo.it
  • 23.
    metric spaces andits main properties is found in [24], together with several recent extensions of classical results in this context, like for example some versions of the contraction principle. In [24] both the case of normed space- and lattice group-valued distance are treated (for a comparison between these two kinds of structures see, for instance, [18]). For a related literature, see also [9,11–15,17,25,26] and the references therein. For ordinary metric or uniform space-valued functions, this problem has been studied in the recent literature in several directions. For some kinds of con- vergence necessary and sufficient conditions have been found: among them we recall the Alexandroff convergence (see [1,4,8,19]), the Arzel`a convergence ([2–4,8]), the sticky convergence (see [16]) and the strong uniform convergence (see also [5,8,19]). Another necessary and sufficient conditions are expressed in terms of (weak) exhaustiveness and related with statistical or ideal/filter convergence (see also [4,10,19–21]). An extension of the concept of continuity is the notion of strong uniform continuity, introduced in [8]. In the literature, this concept is related to the problem of finding a topology for which the set of the continuous functions is closed under pointwise convergence in this topology (see also [7,8,16]). In [7] some characterizations for strong uniform continuity of the limit function of nets of uniform space-valued functions defined on uniform topological spaces are given in terms of (classical) Alexandroff, Arzel`a, sticky and strong uniform convergence. Here we study the case of cone metric space- valued functions, considering possible filter extensions. Finally, we pose some open problems. 2. Preliminaries We begin with the following Definition 2.1. A nonempty set Λ = (Λ, ≥) is said to be directed iff ≥ is a reflexive and transitive binary relation on Λ, such that for any two elements λ1, λ2 ∈ Λ there is λ0 ∈ Λ with λ0 ≥ λ1 and λ0 ≥ λ2. Definitions 2.2. (a) A quasi-uniformity on a nonempty set X is a set D of subsets U of the Cartesian product X × X satisfying the following axioms: • for each U ∈ D, ∆X ⊂ U, where ∆X = {(x, x) : x ∈ X}; • U ∩ V ∈ D for each U, V ∈ D; • if U ∈ D and U ⊂ V ⊂ X × X, then V ∈ D; • for every U ∈ D there is V ∈ D with V ◦ V ⊂ U, where V ◦W := {(x, z) ∈ X×X : there exists y ∈ X with (x, y) ∈ V, (y, z) ∈ W}. (b) A uniform space (X, D) is a set endowed with a quasi-uniformity D, sat- isfying the following additional axiom: 22
  • 24.
    • for eachU ∈ D we get U−1 ∈ D, where U−1 := {(y, x) : (x, y) ∈ U} (see also [22,23]). If X is a uniform space and D is the uniform structure on X, then the elements of D are often called entourages. If D ∈ D and x0 ∈ X, set D(x0) := {x ∈ X: (x0, x) ∈ D}. If ∅ = B ⊂ X, let D(B) := b∈B D(b). We say that D(B) is an enlargement of B. When X is a metric space endowed with a distance d, an example of a set of the type D(x0) is, for every fixed δ > 0, the ball S(x0, δ) = {x ∈ X : d(x0, x) < δ} (see also [7,10]). Definitions 2.3. (a) A bornology on a topological space X is any collection B of nonempty subsets of X, which covers X, closed under finite unions and hereditary. (b) A base for a bornology B is a subfamily of B that is cofinal with respect to inclusion. Examples 2.4. Examples of bornologies on X are the family of all finite nonempty subsets of X, the family of all nonempty subsets of X, the family of all nonempty subsets of X with compact closure, and if (X, d) is a metric space the families of all nonempty d-bounded subsets of X and of all nonempty d- totally bounded subsets of X. For a related literature see for instance [7,8,16] and the bibliography therein. Definition 2.5. A cone metric space is a nonempty set R endowed with a function ρ : R × R → Y , where Y is a Dedekind complete lattice group, satisfying the following axioms: • ρ(r1, r2) ≥ 0 and ρ(r1, r2) = 0 iff r1 = r2; • ρ(r1, r2) = ρ(r2, r1); • ρ(r1, r3) ≤ ρ(r1, r2) + ρ(r2, r3) for all rj ∈ R, j = 1, 2, 3 (see also [24,26]). Remarks 2.6. (a) Note that any Dedekind complete ( )-group Y is a cone metric space: indeed, it is enough to take ρ(y1, y2) = |y1 − y2|, y1, y2 ∈ Y (the absolute value). (b) When Y = R, we get that R is an ordinary metric space. If moreover R is a semigroup, then R is a metric semigroup. An example of metric semigroup which is not a group is the set L(R) of the fuzzy numbers (see also [9]). We now deal with some fundamental properties concerning convergence and continuity in the cone metric space context. Definitions 2.7. (a) Let R be a cone metric space and Y be its associated Dedekind complete ( )-group. A sequence (σp)p in Y is called an (O)-sequence 23
  • 25.
    iff it isdecreasing and p σp = 0. (b) A net (xλ)λ∈Λ in R (that is an indexed system of elements of R such that the index set Λ is directed) is said to be order convergent (or (O)-convergent) to x ∈ R iff there exists an (O)-sequence (σp)p in Y such that for every p ∈ N there is λ ∈ Λ with ρ(xζ, x) ≤ σp for all ζ ∈ Λ, ζ ≥ λ, and in this case we will write (O) lim λ∈Λ xλ = x. We now deal with (global) continuity and strong uniform continuity for cone metric space-valued functions. Definitions 2.8. (a) Let X be a Hausdorff topological space. A function f : X → R is said to be continuous at a point x ∈ X iff there exists an (O)-sequence (σp)p in Y (depending on x) such that for every p ∈ N there is a neighborhood Ux of x with ρ(f(z), f(x)) ≤ σp whenever z ∈ Ux. A function f : X → R is globally continuous on X iff there exists an (O)-sequence (σp)p in Y (independent of x) such that for any p ∈ N and x ∈ X there is a neighborhood Ux of x with ρ(f(x), f(z)) ≤ σp for each z ∈ Ux. (b) Let X be a uniform space, and ∅ = B ⊂ X. We say that a function f : X → R is strongly uniformly continuous on B iff there is an (O)-sequence (σp)p in Y (depending on B) such that for every p ∈ N there exists an entourage D ∈ D with ρ(f(β), f(x)) ≤ σp whenever x ∈ X, β ∈ B and (x, β) ∈ D. If B is a bornology on X, then we say that a function f : X → R is strongly uniformly continuous on B iff it is strongly uniformly continuous on B for every B ∈ B, with respect to a same (O)-sequence independent of B. We now recall some basic notions on ideals and filters, in order to consider some fundamental properties of nets of functions, like filter convergence and filter exhaustiveness of function nets, and relate them with (strong uniform) continuity of the limit function. Definitions 2.9.(a) Let Λ be any nonempty set, and P(Λ) be the class of all subsets of Λ. A family of sets I ⊂ P(Λ) is called an ideal of Λ iff A ∪ B ∈ I whenever A, B ∈ I and for each A ∈ I and B ⊂ A we get B ∈ I. A class of sets F ⊂ P(Λ) is a filter of Λ iff A ∩ B ∈ F for all A, B ∈ F and for every A ∈ F and B ⊃ A we have B ∈ F. (b) Let (Λ, ≥) be a directed set. An ideal I (resp. a filter F) of Λ is said to be non-trivial iff I = ∅ and Λ ∈ I (resp. F = ∅ and ∅ ∈ F). A non-trivial ideal I of Λ is said to be (Λ)-admissible iff Λ Mλ ∈ I for each λ ∈ Λ, where Mλ := {ζ ∈ Λ : ζ ≥ λ}. A non-trivial filter F of Λ is (Λ)-free iff Mλ ∈ F for every λ ∈ Λ. (c) Given an ideal I of Λ, we call dual filter of I the family F = {ΛI : I ∈ I}. In this case we say that I is the dual ideal of F and we get I = {ΛF : F ∈ F}. When Λ = N endowed with the usual order, the (N)-admissible ideals and the 24
  • 26.
    (N)-free filters arecalled simply admissible ideals and free filters respectively. Remark 2.10. The filter Fcofin is the filter of all subsets of N whose comple- ment is finite, and its dual ideal Ifin is the family of all finite subsets of N. The filter Fst is the filter of all subsets of N having asymptotic density 1, while its dual ideal Ist is the family of all subsets of N, having null asymptotic density. Definition 2.11. (a) A nonempty family B ⊂ P(Λ) is said to be a filter base of Λ iff for every A, B ∈ B there is an element C ∈ B with C ⊂ A ∩ B. Note that, if B is a filter base of Λ, then the family F = {A ⊂ Λ: there is B ∈ B with B ⊂ A} is a filter of Λ. We call it the filter generated by B . If B = {Mλ : λ ∈ Λ}, then B is a filter base of Λ, and the filter FΛ generated by B is a (Λ)-free filter of Λ (see also [11]). We denote by IΛ the dual ideal of FΛ. Definitions 2.12.(a) If X is any Hausdorff topological space, F is a (Λ)- free filter of Λ, x ∈ X and (xλ)λ∈Λ is a net in X, then we say that (xλ)λ F-converges to x ∈ X (in brief, (F) lim λ xλ = x) iff {λ ∈ Λ : xλ ∈ U} ∈ F for each neighborhood U of x. (b) A net (xλ)λ∈Λ in a cone metric space R (OF)-converges to x ∈ R (shortly, (OF) lim λ xλ = x) iff there exists an (O)-sequence (σp)p in Y with {λ ∈ Λ : ρ(xλ, x) ≤ σp} ∈ F for each p ∈ N. (c) Let Ξ be any nonempty set. We say that a family {(xλ,ξ)λ : ξ ∈ Ξ} in R (OF)-converges to xξ ∈ R uniformly with respect to ξ ∈ Ξ (shortly, (UOF)- converges to xξ) as λ varies in Λ, iff there is an (O)-sequence (vp)p in Y with λ ∈ Λ : ξ∈Ξ ρ(xλ,ξ, xξ) ≤ vp ∈ F for every p ∈ N. (d) A family {(xλ,ξ)λ : ξ ∈ Ξ} (ROF)-converges to xξ ∈ R (as λ varies in Λ) iff there exists an (O)-sequence (σp)p in Y such that for each p ∈ N and ξ ∈ Ξ we get λ ∈ Λ : ρ(xλ,ξ, xξ) ≤ σp ∈ F. By (RO)-convergence we will denote the (ROFΛ)-convergence. Remark 2.13. Observe that, when R = Y = R, (ROF)-convergence coin- cides with usual filter convergence (see also [12,13]). Definitions 2.14. (a) Let X be a uniform space and ∅ = B ⊂ X. A net of functions fλ : X → R, λ ∈ Λ, is said to be strongly F-exhaustive on B iff there is an (O)-sequence (σp)p (depending on B) such that for any p ∈ N there exist an entourage D ∈ D and a set F ∈ F with ρ(fλ(x), fλ(β)) ≤ σp for each λ ∈ F and x ∈ X, β ∈ B with (x, β) ∈ D. (b) We say that a net fλ : X → R, λ ∈ Λ, is strongly weakly F-exhaustive on B iff there is an (O)-sequence (σp)p (depending on B) such that for each 25
  • 27.
    p ∈ Nthere is an entourage D ∈ D such that, for every x ∈ X and β ∈ B with (x, β) ∈ D, there is F ∈ F (depending on x and β) with ρ(fλ(x), fλ(β)) ≤ σp whenever λ ∈ F. (c) Given a bornology B on X, we say that fλ : X → R, λ ∈ Λ, is said to be strongly (weakly) F-exhaustive on B iff it is strongly (weakly) F-exhaustive on every B ∈ B with respect to a single (O)-sequence, independent of B. Remark 2.15 Observe that, in general, strong weak F-exhaustiveness is strictly weaker than strong F-exhaustiveness, even when Λ = N and R = Y = R (see also [5, Example 19]). We now consider some kinds of (weak) filter exhaustiveness of a function net at a point x ∈ X and on X. Definitions 2.16. (a) Let x ∈ X. A net fλ : X → R, λ ∈ Λ, is said to be F-exhaustive at x iff there is an (O)-sequence (σp)p such that for any p ∈ N there exist a neighborhood U of x and a set F ∈ F such that for each λ ∈ F and z ∈ U we have ρ(fλ(z), fλ(x)) ≤ σp. (b) A net fλ : X → R, λ ∈ Λ, is weakly F-exhaustive at x iff there is an (O)-sequence (σp)p such that for each p ∈ N there is a neighborhood U of x such that for every z ∈ U there is Fz ∈ F with ρ(fλ(z), fλ(x)) ≤ σp whenever λ ∈ Fz. (c) We say that fλ : X → R, λ ∈ Λ, is (weakly) F-exhaustive on X iff it is (weakly) F-exhaustive at every x ∈ X with respect to a single (O)-sequence, independent of x ∈ X. Remarks 2.17. (a) When the bornology involved is the family of all finite nonempty sets of X, the concept of filter (weak) exhaustiveness coincides with that of filter strong (weak) exhaustiveness. (b) Note that the analogous concepts of (strong weak) filter exhaustiveness can be formulated also for sequences of functions, by taking Λ = N with the usual order. (c) In general, the notion of weak F-exhaustiveness is strictly weaker than F-exhaustiveness, even when Λ = N and R = Y = R (see also [4, Remark 2.8]). To give some necessary and sufficient conditions for strong uniform continuity of the limit function on abstract bornologies, we consider some kinds of con- vergence of functions for lattice group-valued function nets with respect to a (Λ)-free filter F of Λ and a bornology B on X, assuming that X is a uniform space (see also [7,8]). When we deal with the bornology of all nonempty finite subsets of X or with a bornology with a base formed of compact sets, we will suppose that X is a Hausdorff topological space, not necessarily uniformizable, even if we often do not say it explicitly, and we will obtain some necessary 26
  • 28.
    and sufficient conditionsfor global continuity or semicontinuity of the limit function. Definitions 2.18. (a) A family V of subsets of X is a cover of a subset A ⊂ X iff A ⊂ V ∈V V . We say that a family Z of subsets of X refines V iff for every Z ∈ Z there is V ∈ V with Z ⊂ V . (b) An open cover V of X is called a B-uniform cover of X iff for every B ∈ B there is an entourage D ∈ D such that the family {D(x) : x ∈ B} refines V. If it is possible to choose D in such a way that {D(x) : x ∈ B} refines a finite subfamily of V, then we say that V is a B-finitely uniform cover of X. (c) A net fλ : X → R, λ ∈ Λ, (FB)-converges (pointwise) to f : X → R iff there exists an (O)-sequence (σp)p in Y such that (fλ)λ is (ROF)-convergent to f with respect to (σp)p, and for every B ∈ B and p ∈ N there is F ∈ F with ρ(fλ(x), f(x)) ≤ σp for each x ∈ B and λ ∈ F. (d) A net fλ : X → R, λ ∈ Λ, converges F-strongly uniformly to f on B (and we write fλ F−T s B → f), iff there is an (O)-sequence (σp)p with the property that for every p ∈ N and B ∈ B there exists F ∈ F such that for each λ ∈ F there is an entourage D ∈ D with ρ(fλ(z), f(z)) ≤ σp whenever z ∈ D(B). (e) If X is any Hausdorff topological space, then we say that fλ : X → R, λ ∈ Λ, converges F-sticky to f on B (and we write fλ F−T (sti) B → f), iff there is an (O)-sequence (σp)p such that for every p ∈ N and B ∈ B there exists F ∈ F such that for each λ ∈ F there is an open set U with B ⊂ U and ρ(fλ(z), f(z)) ≤ σp for any z ∈ U (see also [7,16] and the references therein). (f) We say that (fλ)λ converges F-strongly uniformly to f (fλ F−T s → f) iff there is an (O)-sequence (σp)p such that for each p ∈ N and x ∈ X there is a set F ∈ F such that for every λ ∈ F there is a neighborhood U of x with ρ(fλ(z), f(z)) ≤ σp for each z ∈ U. Remarks 2.19. (a) It is not difficult to see that F-strong uniform convergence is equivalent to F-sticky convergence on the bornology of all finite nonempty subsets of X. Moreover, observe that, when X is a uniform space and B is any bornology on X, F-strong uniform convergence on B implies F-sticky convergence on B. In general, the converse implication does not hold (see also [7, §3]). (b) When Λ = N, R = Y = R and F = Fcofin, the above definition coincides with that of strong uniform convergence on the bornology B introduced in [8] (see also [20, §2], [21, §2.1] when F = Fst). Definitions 2.20. (a) We say that a net fλ : X → R, λ ∈ Λ, is (FB)- Alexandroff convergent to f : X → R (shortly fλ (FB)−Al. → f) iff there is an (O)-sequence (σp)p in Y such that for every p ∈ N and F ∈ F there are an 27
  • 29.
    infinite set Λ0⊂ F and a B-finitely uniform open cover {Uλ : λ ∈ Λ0} of X with ρ(fλ(z), f(z)) ≤ σp for each λ ∈ Λ0 and z ∈ Uλ. (b) We say that (fλ)λ is F-Alexandroff convergent to f (fλ F−Al. → f) iff there exists an (O)-sequence (σp)p such that for every p ∈ N and F ∈ F there exist a set Λ0 ⊂ F and an open cover {Uλ: λ ∈ Λ0} of X such that for every λ ∈ Λ0 and z ∈ Uλ we have ρ(fλ(z), f(z)) ≤ σp. Remark 2.21. When Λ = N, R = Y = R and F = Fcofin, the above con- cept coincides with that of Alexandroff convergence (denoted by fn Al. → f) introduced in 1948 by P. S. Alexandroff (see also [1,19]). Definitions 2.22. (a) A net fλ : X → R, λ ∈ Λ, is said to be (FB)-Arzel`a convergent to f : X → R (shortly fλ (FB)−Arz. → f) iff there exists an (O)- sequence (σp)p in Y such that (fλ)λ (FB)-converges to f with respect to (σp)p and for every B ∈ B, p ∈ N and F ∈ F there are a finite set {λ1, . . . , λk} ⊂ F and an entourage D ∈ D such that for each z ∈ D(B) there is j ∈ [1, k] with ρ(fλj (z), f(z)) ≤ σp. (b) We say that (fλ)λ is F-Arzel`a convergent to f (shortly fλ F−Arz. → f) iff there exists an (O)-sequence (σp)p such that (fλ)λ (ROF)-converges to f with respect to (σp)p, and for each x ∈ X, p ∈ N and F ∈ F there exist a finite set {λ1, λ2, . . . , λk} ⊂ F and an open neighborhood Ux of x such that for every z ∈ Ux there is j ∈ [1, k] with ρ(fλj (z), f(z)) ≤ σp. A similar concept used in the literature when Λ = N, R = Y = R, F = Fst or F = Fcofin, is the (statistical) quasi-uniform convergence (see also [2,3,6,20]). Definition 2.23. Given any (Λ)-free filter F of Λ, a function net fλ : X → R, λ ∈ Λ, is said to converge F-quasi uniformly to f ∈ RX iff there exists an (O)-sequence (σp)p in Y such that (fλ)λ (ROF)-converges to f with re- spect to (σp)p, and for each x ∈ X, p ∈ N and F ∈ F there is a finite set {λ1, λ2, . . . , λk} ⊂ F such that for every x ∈ X there is j ∈ [1, k] with ρ(fλj (x), f(x)) ≤ σp. 3. The main results We now give, in the context of filter convergence and cone metric spaces, some necessary and sufficient conditions under which the limit of a pointwise convergent net (fλ)λ is strongly uniformly continuous or (globally) continuous. Theorem 3.1. (a) Let X be a uniform space, F be a (Λ)-free filter of Λ, ∅ = B ⊂ X, and suppose that fλ : X → R, λ ∈ Λ, (ROF)-converges to f : X → R on X with respect to a single (O)-sequence (σ∗ p)p. Then the 28
  • 30.
    following are equivalent: (i)(fλ)λ is strongly weakly F-exhaustive on B; (ii) f is strongly uniformly continuous on B. (b) If X is a Hausdorff topological space and x ∈ X is an arbitrarily fixed point, then the following are equivalent: (i) (fλ)λ is weakly F-exhaustive at x (resp. on X); (ii) f is continuous at x (resp. globally continuous on X). Proof. We give only the proof of (a), since that of (b) is analogous. (i) =⇒ (ii) Let (σp)p be an (O)-sequence associated with strong weak F-ex- haustiveness of (fλ)λ on B, and pick p ∈ N. By hypothesis, there exists an entourage D ∈ D, related with strong weak F-exhaustiveness. Fix arbitrarily x ∈ X and β ∈ B with (x, β) ∈ D. There is a set F1 ∈ F (depending on x and β) with ρ(fλ(x), fλ(β)) ≤ σp for all λ ∈ F1. Moreover, thanks to (ROF)- convergence with respect to the (O)-sequence (σ∗ p)p, there exists a set F2 ∈ F (depending on x and β) with ρ(fλ(β), f(β)) ≤ σ∗ p and ρ(fλ(x), f(x)) ≤ σ∗ p whenever λ ∈ F2. Thus for every λ ∈ F1 ∩ F2 we get: ρ(f(x), f(β)) ≤ ρ(f(x), fλ(x)) + ρ(fλ(x), fλ(β)) + ρ(fλ(β), f(β)) ≤ 2 σ∗ p + σp. (ii) =⇒ (i) Since f is strongly uniformly continuous, there exists a (O)- sequence (τp)p such that for each p ∈ N there is an entourage D ∈ D with ρ(f(x), f(β)) ≤ τp (1) whenever x ∈ X, β ∈ B with (x, β) ∈ D. By (ROF)-convergence of (fλ)λ to f on X with respect to the (O)-sequence (σ∗ p)p, there is a set F∗ ∈ F with ρ(fλ(x), f(x)) ≤ σ∗ p and ρ(fλ(β), f(β)) ≤ σ∗ p (2) for all λ ∈ F∗ . From (1) and (2) we obtain ρ(fλ(x), fλ(β)) ≤ ρ(fλ(x), f(x)) + ρ(fλ(β), f(β)) + ρ(f(x), f(β)) ≤ 2 σ∗ p + τp (3) for every λ ∈ F∗ . From (3) we get the existence of a (O)-sequence (vp)p with the property that for every x ∈ X, β ∈ B with (x, β) ∈ D there is a set F∗ ∈ F (depending on x and β) with ρ(fλ(x), fλ(β)) ≤ vp whenever λ ∈ F∗ . Thus the net (fλ)λ is strongly weakly F-exhaustive on B. Theorem 3.2. Let F be a (Λ)-free filter of Λ, X be a uniform space, B be a bornology on X, fλ : X → R, λ ∈ Λ, be a net of functions, strongly uniformly continuous on B with respect to a single (O)-sequence independent of λ ∈ Λ, and (FB)-convergent to f : X → R. Then the following are equivalent: 29
  • 31.
    (i) (fλ)λ isstrongly weakly F-exhaustive on B; (ii) f is strongly uniformly continuous on B; (iii) fλ F−T s B → f; (iv) fλ (FB)−Al. → f; (v) fλ (FB)−Arz. → f. Proof. (i) ⇐⇒ (ii) It is enough to proceed analogously as in Theorem 3.1. (ii) =⇒ (iii) Let (σp)p, (τp)p, (vp)p be three (O)-sequences, according to strong uniform continuity of f, strong uniform continuity of the fλ’s and (FB)-con- vergence of (fλ)λ to f respectively. Choose arbitrarily p ∈ N and B ∈ B. By (FB)-convergence, there is a set F ∈ F with ρ(fλ(x), f(x)) ≤ vp whenever λ ∈ F and x ∈ B. Pick arbitrarily λ ∈ F. Since fλ and f are strongly uniformly continuous, there is a symmetric entourage Dλ ∈ D with ρ(fλ(z), fλ(x)) ≤ τp and ρ(f(z), f(x)) ≤ σp whenever x ∈ B and (z, x) ∈ Dλ. For such x’s and z’s we have ρ(fλ(z), f(z)) ≤ ρ(fλ(z), fλ(x))+ρ(fλ(x), f(x))+ρ(f(x), f(z)) ≤ τp +vp +σp. (iii) =⇒ (iv) Let (τp)p be an (O)-sequence, related to F-T s B -convergence of the net fλ, λ ∈ Λ, to f. Pick arbitrarily p ∈ N, F0 ∈ F and B ∈ B. There exists FB ∈ F such that for each λ ∈ FB ∩ F0 there is an open symmetric entourage D = DB,λ ∈ D with ρ(fλ(z), f(z)) ≤ τp whenever z ∈ DB,λ. Let F = B∈B FB, we have F ∩ F0 ∈ F. For each λ ∈ F ∩ F0 put Eλ := B ∈ B : ρ(fλ(z), f(z)) ≤ τp for every z ∈ DB,λ . It is not difficult to see that X = λ∈F0 Eλ. For each λ ∈ F0, set Uλ = ∅ if λ ∈ F0 F and Uλ = B∈Eλ DB,λ(B) if λ ∈ F ∩ F0. As B covers X and F is a (Λ)-free filter, we get that the family {Uλ: λ ∈ F0} is an open cover of X. Moreover, for each λ ∈ F0 and z ∈ Uλ, there exists B ∈ Eλ with z ∈ DB,λ, and hence ρ(fλ(z), f(z)) ≤ τp. Now, in correspondence with B, pick any fixed element λ ∈ FB ∩ F0. We have DB,λ(x) ⊂ Uλ for every x ∈ B, and so the family {D(x) : x ∈ B} refines {Uλ}. Thus the net (fλ)λ (FB)-Alexandroff converges to f. (iv) =⇒ (v) Let (σp)p be an (O)-sequence according to (FB)-Alexandroff convergence of (fλ)λ to f. Choose arbitrarily B ∈ B, p ∈ N and F ∈ F. By assumption, there is an infinite set Λ0 ⊂ F and a B-finitely uniform cover {Uλ : λ ∈ Λ0} of X, with ρ(fλ(z), f(z)) ≤ σp for each λ ∈ Λ0 and z ∈ Uλ. 30
  • 32.
    By the definitionof B-finitely uniform cover, there are an entourage D ∈ D and a finite set {λ1, λ2, . . . , λk} ⊂ Λ0 such that {D(b) : b ∈ B} refines {Uλj : j ∈ [1, k]}. So, for every z ∈ D(B) there exists j ∈ [1, k] with z ∈ Uλj , and thus we get ρ(fλj (z), f(z)) ≤ σp. (v) =⇒ (ii) Let (σp)p be an (O)-sequence associated with (FB)-Arzel`a con- vergence of the net (fλ)λ to f. Note that, by hypothesis, (fλ)λ (FB)-converges to f with respect to (σp)p. Moreover, let (τp)p be an (O)-sequence, related to strong uniform continuity of the functions fλ, λ ∈ Λ, and independent of λ. Choose arbitrarily p ∈ N and B ∈ B. By (FB)-convergence of (fλ)λ of f there is a set F ∈ F with ρ(fλ(x), f(x)) ≤ σp for all λ ∈ F and x ∈ B. (4) By hypothesis there exist a finite set {λ1, λ2, . . . , λk} ⊂ F and an entourage D0 ∈ D with the property that for every z ∈ D(B) there is j ∈ [1, k] with ρ(fλj (z), f(z)) ≤ σp. (5) Since fλj is strongly uniformly continuous on B with respect to the (O)- sequence (τp)p, we find a symmetric entourage D ∈ D, without loss of gener- ality with D ⊂ D0, such that ρ(fλj (z), fλj (x)) ≤ τp (6) whenever x ∈ B and z ∈ X with (z, x) ∈ D. From (4), (5) and (6) it follows that ρ(f(z), f(x)) ≤ ρ(f(z), fλj (z)) + ρ(fλj (z), fλj (x)) + ρ(fλj (x), f(x)) ≤ 2σp + τp for any x ∈ B and z ∈ X with (z, x) ∈ D, and therefore we get the assertion. This ends the proof. Remark 3.3. Observe that in Theorem 3.2, even if R = Y = R and Λ = N, the implication (iv) =⇒ (ii) is in general not true, if in the definition of (FB)-Alexandroff convergence we replace “B-finitely uniform cover” with “B- uniform cover” (see also [7, Example 4.10]). Now we prove the following necessary and sufficient conditions for global con- tinuity of the limit function on a general Hausdorff topological space. Theorem 3.4. Let Λ, F, X, R be as above, B be a fixed bornology on X with compact base, fλ : X → R, λ ∈ Λ, be a net of functions, (FB)-convergent to f : X → R and such that the fλ’s are globally continuous with respect to a single (O)-sequence independent of λ. Then the following are equivalent: (i) f is globally continuous on X; 31
  • 33.
    (ii) (fλ)λ convergesF-sticky to f on B; (iii) fλ F−T s → f; (iv) fλ F−Al. → f; (v) there exists an (O)-sequence (σp)p in Y such that for every nonempty compact subset C ⊂ X, for each p ∈ N and F ∈ F there are a finite set {λ1, λ2, . . . , λk} ⊂ F and an open set U ⊃ C, such that for every z ∈ U there is j ∈ [1, k] with ρ(fλj (z), f(z)) ≤ σp; (vi) fλ F−Arz. → f. Proof. (i) =⇒ (ii) Let (σp)p, (τp)p, (vp)p be three (O)-sequences, associated with global continuity of f, global continuity of the fλ’s and (FB)-convergence of (fλ)λ to f respectively. Choose arbitrarily p ∈ N and B ∈ B. Without loss of generality, we can assume that B is a basic set and so compact. By virtue of (FB)-convergence, there is F ∈ F with ρ(fλ(x), f(x)) ≤ vp whenever λ ∈ F and x ∈ B. Pick arbitrarily λ ∈ F and x ∈ B. Since fλ and f are globally continuous, there is an open neighborhood Uλ,x of x with ρ(fλ(z), fλ(x)) ≤ τp and ρ(f(z), f(x)) ≤ σp for each z ∈ Uλ,x. Let Uλ := x∈B Uλ,x. Since B is compact, there is a finite set {xj: j ∈ [1, k]} ⊂ X, such that B ⊂ Wλ := k j=1 Uλ,xj . Choose arbitrarily z ∈ Wλ. There is j ∈ [1, k] with z ∈ Uλ,xj . Thus we have ρ(fλ(z), f(z)) ≤ ρ(fλ(z), fλ(xj)) + ρ(fλ(xj), f(xj)) + ρ(f(xj), f(z)) ≤ ≤ τp + vp + σp, getting F-sticky convergence of (fλ)λ to f on B. (ii) =⇒ (iii) It is readily seen that F-sticky convergence on B implies F-T s - convergence. (iii) =⇒ (iv) Let (τp)p be an (O)-sequence associated with F-T s -convergence of (fλ)λ to f. Fix now p ∈ N and F0 ∈ F. By hypothesis, in correspondence with each x ∈ X and p there is Fx ∈ F, such that for every λ ∈ Fx there exists an open neighborhood U = Uλ,x of x with ρ(fλ(z), f(z)) ≤ τp whenever z ∈ U. Let F = x∈X Fx, then F ∩ F0 ∈ F. For every λ ∈ F ∩ F0 set Eλ := x ∈ X : ρ(fλ(z), f(z)) ≤ τp whenever z ∈ Uλ,x . It is not difficult to check that X = λ∈F0 Eλ. For each λ ∈ F0, set Uλ = ∅ if 32
  • 34.
    λ ∈ F0 F and Uλ = x∈Eλ Uλ,x if λ ∈ F ∩ F0. Observe that {Uλ: λ ∈ F0} is an open cover of X. For every λ ∈ F0 and z ∈ Uλ there is x ∈ Eλ with z ∈ Uλ,x. From this we obtain ρ(fλ(z), f(z)) ≤ τp, that is F-Alexandroff convergence of (fλ)λ to f. (iv) =⇒ (v) Let (σp)p be an (O)-sequence, associated with F-Alexandroff convergence of (fλ)λ to f. Fix arbitrarily a compact set C ⊂ X, p ∈ N and F ∈ F. By hypothesis, there are an infinite subset Λ0 of F and an open cover X := {Uλ : λ ∈ Λ0} of X, with ρ(fλ(z), f(z)) ≤ σp whenever λ ∈ Λ0 and z ∈ Uλ. Note that X is also an open cover of C, and so there is a finite sub- cover of C, say {Uλ1 , Uλ2 , . . . , Uλk }, where {λ1, λ2, . . . , λk} ⊂ Λ0 ⊂ F. Let U := k j=1 Uλj . For each z ∈ U there is j ∈ [1, k] such that z ∈ Uλj , and hence ρ(fλj (z), f(z)) ≤ σp. (v) =⇒ (vi) Straightforward. (vi) =⇒ (ii) Let (σp)p be an (O)-sequence, related with F-Arzel`a convergence of (fλ)λ of f. Note that, by hypothesis, the net (fλ)λ (ROF)-converges to f with respect to (σp)p. Let (τp)p be an (O)-sequence, associated with global continuity of the fλ’s and independent of λ. Choose arbitrarily x ∈ X and p ∈ N. By (ROF)-convergence there exists F ∈ F (depending on p and x) with ρ(fλ(x), f(x)) ≤ σp for each λ ∈ F. (7) By (vi) there exist a finite set {λ1, λ2, . . . , λk} ⊂ F (depending on p and x) and an open neighborhood Ux of x such that for every z ∈ Ux there is j ∈ [1, k] with ρ(fλj (z), f(z)) ≤ σp. (8) As fλj is globally continuous with respect to the (O)-sequence (τp)p, in corre- spondence with x and p there is a neighborhood W(j) x of x with ρ(fλj (z), fλj (x)) ≤ τp for every z ∈ Ux ∩ W(j) x . (9) From (7), (8) and (9) it follows that ρ(f(z), f(x)) ≤ ρ(f(z), fλj (z)) + ρ(fλj (z), fλj (x)) + ρ(fλj (x), f(x)) ≤ ≤ 2 σp + τp whenever z ∈ Ux ∩   k j=1 W(j) x   , getting global continuity of f. Corollary 3.5. Let Λ, F, X, R be as in Theorem 3.4, fλ : X → R, λ ∈ Λ, be a net of functions, (ROF)-convergent to f : X → R with respect to a single (O)-sequence (σ∗ p)p. Then the following are equivalent: 33
  • 35.
    (i) (fλ)λ isweakly F-exhaustive on X; (ii) f is globally continuous on X; (iii) fλ F−T s → f; (iv) fλ F−Al. → f; (v) fλ F−Arz. → f. Remark 3.6. Observe that, in general, Theorem 3.4 does not hold if we re- place Arzel`a convergence with quasi uniform convergence on compact sets (with respect to a single (O)-sequence independent on the choice of the com- pact set involved), even when Λ = N, R = Y = R and F = Fcofin (see also [19, Example 2.7]). However, it is possible to show that the result holds, if one supposes further conditions on the topological structure of X, which are satisfied when X is a Hausdorff topological space, either locally compact or satisfying the first axiom of countability (see for instance, [19, Theorem 2.9]). Open problems: (a) Prove similar results in other contexts and/or with respect to different kinds of convergence. (b) Investigate some properties related with continuity for functions/measures with values in abstract structures. References [1] P. S. Alexandroff, Einf¨uhrung in die Mengenlehre und die Theorie der reellen Funktionen, Deutscher Verlag der Wissenschaften, 1956. [2] C. Arzel`a, On continuity of the sum of infinitely many continuous functions (Italian), R. Accad. Sci. Ist. Bologna Rend. (1883/1884) 79-84. [3] C. Arzel`a, On function series (Italian), R. Accad. Sci. Bologna Mem., Serie 5 8 (1899/1900) 131-186, 701-744. [4] E. Athanassiadou, A. Boccuto, X. Dimitriou, N. Papanastassiou, Ascoli-type theorems and ideal (α)-convergence, Filomat 26 (2) (2012) 397-405. doi: 10.2298/FIL1202397A [5] E. Athanassiadou, X. Dimitriou, Ch. Papachristodoulos, N. Papanastassiou, Strong (α)-convergence and ideal strong exhaustiveness of sequences of functions, Int. J. Pure Appl. Math. 80 (2) (2012) 207-216. [6] R. G. Bartle, On compactness in functional Analysis, Trans. Amer. Math. Soc. 79 (1955) 35-57. [7] G. Beer, The Alexandroff property and the preservation of strong uniform continuity, Appl. Gen. Topology 11 (2) (2010) 117-133. 34
  • 36.
    [8] G. Beer,S. Levi, Strong uniform continuity, J. Math. Anal. Appl. 350 (2009) 568-589. [9] A. Boccuto, D. Candeloro, A. R. Sambucini, Stieltjes-type integrals for metric semigroup-valued functions defined on unbounded intervals, PanAmerican Math. J. 17 (2007) 39-58. [10] A. Boccuto, X. Dimitriou, Convergence Theorems for Lattice Group-Valued Measures, Bentham Science Publ., U. A. E., 2015. e-ISBN: 978-1-68108-009-3. ISBN: 978-1-68108-010-9. [11] A. Boccuto, X. Dimitriou, N. Papanastassiou, Ideal convergence and divergence of nets in ( )-groups, Czech. Math. J. 62 (137) (2012) 1073-1083. [12] A. Boccuto, X. Dimitriou, N. Papanastassiou, Basic matrix theorems for I- convergence in ( )-groups, Math. Slovaca 62 (5) (2012) 885-908. [13] A. Boccuto, X. Dimitriou, N. Papanastassiou, Schur lemma and limit theorems in lattice groups with respect to filters, Math. Slovaca 62 (6) (2012) 1145-1166. [14] A. Boccuto, X. Dimitriou, N. Papanastassiou, W. Wilczy´nski, Ideal exhaustiveness, continuity and α-convergence for lattice group-valued functions, Int. J. Pure Appl. Math. 70 (2) (2011) 211-227. [15] A. Boccuto, X. Dimitriou, N. Papanastassiou, W. Wilczy´nski, Modes of ideal continuity and the additive property in the Riesz space setting, J. Appl. Anal. 20 (1) (2014) 41-53. [16] N. Bouleau, Une structure uniforme sur un espace F(E, F), Cahiers Topologie G´eom. Diff. 11 (1969) 207-214. [17] D. Candeloro, A. R. Sambucini, Filter convergence and decompositions for vector lattice-valued measures, Mediterranean J. Math. (2014), in press. doi:10.1007/s00009-014-0431-0. [18] D. Candeloro, A. R. Sambucini, Order-type Henstock and McShane integrals in Banach lattice setting (2014), submitted. arXiv 1405.6502 Sisy 20014- IEEE 12th International Symposium on Intelligent Systems and Informatics, Subotica - Serbia, September 2014. [19] A. Caserta, G. Di Maio, L. Hol´a, Arzel`a’s theorem and strong uniform convergence on bornologies, J. Math Anal. Appl. 371 (2010) 384-392. [20] A. Caserta, G. Di Maio, Lj. D. R. Koˇcinac, Statistical convergence in function spaces Abstr. Appl. Anal., Article ID420419 (2011) 11 pages. [21] A. Caserta, Lj. D. R. Koˇcinac, On statistical exhaustiveness, Appl. Math. Letters 25 (2012) 1447-1451. doi: 10.1016/j.aml.2011.12.022 [22] R. Engelking, General Topology, PWN, Warsaw, 1977. [23] J. L. Kelley, General Topology, D. Van Nostrand Co., Inc., Princeton, 1955. 35
  • 37.
    [24] P. D.Proinov, A unified theory of cone metric spaces and its applications to the fixed point theory, Fixed Point Theory Appl., Article 103 2013 (2013) 38 p. doi: 10.1186/1687-1812-2013-103 [25] P. Vr´abel, M. Vr´abelov´a, I-convergence and I-continuity of the fuzzy number- valued functions, Acta Math. (Nitra) 16 (2013) 237-243. [26] P. P. Zabrejko, K-metric and K-normed linear spaces: a survey, Collect. Math. 48 (1997) 825-859. 36
  • 38.
    Selected papers ofthe 2014 International Conference on Topology and its Applications (2015) Pages 37–48 Department of Mathematics University of Patras Greece Regularity and normality via βθ-open sets M. Caldas 1 , S. Jafari 2 1Departmento de Mathem´aatica Aplicada, Universidade Federal Fluminense, Rua M´ario Santos Braga, s/n, 24020-140, Niter’oi, RJ, Brasil 2College of Vestsjaelland South, Herrestraede 11,4200 Slagelse, Denmark Abstract The aim of this paper is to present and study a new type of regularity and normality called βθ-regularity and βθ-normality, repectively by using βθ-open sets. Key words: Topological spaces, βθ-open sets, βθ-closed sets, regular spaces, normal spaces, βθ-regular spaces, βθ-normal spaces. 1991 MSC: 54C10, 54D10. 1. Introduction and preliminaries It is common viewpoint of many topologists that generalized open sets are important ingredients in General Topology and they are now the research topics of many topologists worldwide of which lots of important and inter- esting results emerged. Indeed a significant theme in General Topology and Real Analysis concerns the variously modified forms of continuity, separation axioms etc by utilizing generalized open sets. One of the most well-known no- tions and also an inspiration source is the notion of β-open sets or semipreopen sets introduced by Abd El Monsef et al. [1] and Andrijevi´c [2] respectively. In 2003, Noiri [10] used this notion and the β-closure [1] of a set to introduce the concepts of βθ-open and βθ-closed sets which provide a formulation of the βθ-closure of a set in a topological space. Caldas [4-7] continued the work of Noiri and defined other concepts utilizing βθ-closed sets. In this direction we shall study some properties of regularity and normality via βθ-open sets and the βθ-closure operator. 1 gmamccs@vm.uff.br 2 jafaripersia@gmail.com
  • 39.
    Throughout the presentpaper, spaces (X, τ) and (Y, σ) (or simply, X and Y ) denote topological spaces on which no separation axioms are assumed unless explicitly stated. Abd El Monsef et al. [1] and Andrijevi´c [2] introduced the notion of β-open set, which Andrijevi´c called semipreopen, completely independent of each other. In this paper, we adopt the word β-open for the sake of clarity. They characterized the most important properties of β-open sets. A subset A of a topological space (X, τ) is called β-open if A ⊆ Cl(Int(Cl(A))), where Cl(A) and Int(A) denote the closure and the interior of A, respectively. The complement of a β-open set is called β-closed. The intersection of all β- closed sets containing A is called the β-closure of A and is denoted by βCl(A). The family of all β-open (resp. β-closed, open) subsets of X is denoted by βO(X, τ) or βO(X) (resp. βC(X, τ), O(X, τ)). We set βO(X, x) = {U : x ∈ U ∈ βO(X, τ)} and βC(X, x) = {U : x ∈ U ∈ βC(X, τ)}. Now we begin to recall some known notions which will be used in the sequel. Definition 1.1. [10]. Let A be a subset of X. The βθ-closure of A, denoted by βClθ(A), is the set of all x ∈ X such that βCl(O) ∩ A = ∅ for every O ∈ βO(X, x). A subset A is called βθ-closed if A = βClθ(A). The set {x ∈ X | βCl(O) ⊂ A for some O ∈ βO(X, x)} is called the βθ-interior of A and is denoted by βIntθ(A). A subset A is called βθ-open if A = βIntθ(A). The family of all βθ-open (resp. βθ-closed) subsets of X is denoted by βθO(X, τ) or βθO(X) (resp. βθC(X, τ)). We set βθO(X, x) = {U : x ∈ U ∈ βθO(X, τ)} and βθC(X, x) = {U : x ∈ U ∈ βθC(X, τ)}. The following theorem is known and given by Noiri [10]. Theorem 1.2. [10]. For any subset A of X: (1) βClθ(βClθ(A)) = βClθ(A). (2) βClθ(A) is βθ-closed. (3) If Aα ∈ βθC(X) for each α ∈ A, then {Aα | α ∈ A} ∈ βθC(X). (4) If Aα ∈ βθO(X) for each α ∈ A, then {Aα | α ∈ A} ∈ βθO(X). (5) βClθ(A) is the intersection of all βθ-closed sets each containing A. (6) A ⊂ βCl(A) ⊂ βClθ(A) and βCl(A) = βClθ(A) if A ∈ βO(X). A function f : X → Y is said to be: (i) βθ-continuous [10] If f−1 (V ) is βθ-closed for every closed set V in Y , equivalently if the inverse image of every open set V in Y is βθ-open in X. (ii) weakly β-irresolute ([10], Theorem 4.5) if f−1 (V ) is βθ-open in X for every βθ-open set V in Y . 38
  • 40.
    2. Maps andβθ-regular spaces Definition 2.1. A topological space is said to be βθ-regular if for each closed set F of X and each point x ∈ XF, there exist disjoint βθ-open sets U and V such that F ⊂ U and x ∈ V . Theorem 2.2. For a topological space X, the following statements are equiv- alent: (1) X is βθ-regular. (2) For each x ∈ X and each open set U of X containing x, there exists V ∈ βθO(X) such that x ∈ V ⊂ βClθ(V ) ⊂ U. (3) For each closed set F of X, ∩{βClθ(V ) | F ⊂ V ∈ βθO(X)} = F. (4) For each subset A of X and each open set U of X such that A ∩ U = ∅, there exists V ∈ βθO(X) such that A ∩ V = ∅ and βClθ(V ) ⊂ U. (5) For each nonempty subset A of X and each closed set F of X such that A ∩ F = ∅, there exist V, W ∈ βθO(X) such that A ∩ V = ∅, F ⊂ W and V ∩ W = ∅. Proof. (1)⇒(2): Let U be an open set containing x, then XU is closed in X and x /∈ XU. By (1), there exist V, W ∈ βθO(X) such that x ∈ V , XU ⊂ W and V ∩ W = ∅. Hence, we have βClθ(V ) ∩ W = ∅ and therefore x ∈ V ⊂ βClθ(V ) ⊂ U. (2)⇒(3): Let F be a closed set of X. It is obvious that ∩{βClθ(V ) | F ⊂ V ∈ βθO(X)} ⊃ F. Conversely, let x /∈ F. Then XF is an open set containing x. By (2), there ex- ists U ∈ βθO(X) such that x ∈ U ⊂ βClθ(U) ⊂ XF. Put V = XβClθ(U). It follows from Theorem 1.2 that F ⊂ V ∈ βθO(X) and x /∈ βClθ(V ). This implies that ∩{βClθ(V ) | F ⊂ V ∈ βθO(X)} ⊂ F. (3)⇒(4): Let A∩U = ∅ and U be an open set in X. Let x ∈ A∩U, then XU is a closed set not containing x. By (3), there exists W ∈ βθO(X) such that XU ⊂ W and x /∈ βClθ(W). Put V = XβClθ(W). By using Theorem 1.2, we obtain V ∈ βθO(X), x ∈ V ∩A and βClθ(V ) ⊂ βClθ(XW) = XW ⊂ U. (4)⇒(5): Let A∩F = ∅ and F be closed in X, where A = ∅. Since XF is open in X and A = ∅, by (4) there exists V ∈ βθO(X) such that A ∩ V = ∅ and βClθ(V ) ⊂ XF. Put W = XβClθ(V ). Then, we have F ⊂ W ∈ βθO(X) and V ∩ W = ∅. (5)⇒(1): The proof is obvious. Definition 2.3. A topological space is said to be: (1) (β, θ)-regular if for each βθ-clopen set F of X and each point x ∈ XF, 39
  • 41.
    there exist disjointopen sets U and V such that F ⊂ U and x ∈ V . (2) Extremally βθ-disconnected (briefly, ED∗ ) if βClθ(U) is βθ-open in X for every βθ-open set U of X. Theorem 2.4. For a topological space X, the following statements are equiv- alent: (1) X is (β, θ)-regular. (2) For each x ∈ X and any βθ-clopen set U of X containing x, there exists a V ∈ O(X) such that x ∈ V ⊂ Cl(V ) ⊂ U. Proof. (1)⇒(2): Let U be a βθ-clopen set containing x, then XU is a βθ- clopen in X and x /∈ XU. By (1), there exist V, W ∈ O(X) such that x ∈ V , XU ⊂ W and V ∩ W = ∅. Hence, we have Cl(V ) ∩ W = ∅ and therefore x ∈ V ⊂ Cl(V ) ⊂ U. (2)⇒(1): Let F be a βθ-clopen set of X and x ∈ XF = U (say). Hence x ∈ U and U is βθ-clopen, by (2) there exists a V ∈ O(X) such that x ∈ V ⊂ Cl(V ) ⊂ U. Therefore XU ⊂ XCl(V ). Hence V ∩XCl(V ) = ∅. Thus shows that X is (β, θ)-regular. Example 2.5. Let (X, τ) be a topological space such that, X = {a, b, c}, τ = {∅, {b}, {c}, {b, c}, X}. Clearly βθO(X, τ) = {∅, {b}, {c}, {a, c}, {b, c}, X}. Then (X, τ) is βθ-regular, and it is not (β, θ)-regular and not regular. Theorem 2.6. If a space X is βθ-regular, ED∗ and (β, θ)-regular, then it is regular. Proof. Let U be any open subset X and x ∈ U. Since X is βθ-regular, there exists V ∈ βθO(X) such that x ∈ V ⊂ βClθ(V ) ⊂ U (Theorem 2.2). Since X is ED∗ , βClθ(V ) is βθ-clopen and since X is (β, θ)-regular, there exists an open subset O of X such that x ∈ O ⊂ Cl(O) ⊂ βClθ(V ). Hence x ∈ O ⊂ Cl(O) ⊂ U. Thus shows that X is regular. Definition 2.7. [4,7] A function f : X → Y is said to be: (1) βθ-closed (resp. pre-βθ-closed), if the image of each closed (resp. βθ-closed) set F in X is βθ-closed in Y . (2) βθ-open (resp. pre-βθ-open), if the image of each open (resp. βθ-open) set U in X is βθ-open in Y . Pre-βθ-open functions are independent of βθ-open functions as it can be seen from the following example. Example 2.8. (i) Let (X, τ) be a topological space such that X = {a, b, c} and τ = {∅, {a}, X}. Let f : (X, τ) → (X, τ) be the identity function. Then f is pre-βθ-open but it is not βθ-open. 40
  • 42.
    (ii) Let (X,τ) be a topological space such that X = {a, b, c} and τ = {∅, {c}, {a, b}, X}. Let f : (X, τ) → (X, τ) be defined by f(a) = c, f(c) = a and f(b) = b. Then f is βθ-open but it is not pre-βθ-open. Lemma 2.9. A function f : X → Y is βθ-closed (resp. pre-βθ-closed) if and only if for each subset B of Y and each open (resp. βθ-open) set U containing f−1 (B) there exists a βθ-open set V of Y containing B such that f−1 (V ) ⊂ U. Proof. Necessity: Suppose that f is βθ-closed. Let B ⊂ Y and U ∈ O(X) containing f−1 (B). Put V = Y f(XU). Then we obtain a βθ-open set V of Y containing B such that f−1 (V ) ⊂ U. Sufficiency: Let F be any closed set of X. Set f(F) = B, then F ⊂ f−1 (B) and f−1 (Y B) ⊂ XF ∈ O(X). By hypothesis, there exists V ∈ βθO(Y ) such that Y B ⊂ V and f−1 (V ) ⊂ XF. Therefore we obtain Y V ⊂ f(F) ⊂ Y V . Hence f(F) = Y V and f(F) is βθ-closed in Y . Therefore f is βθ-closed. The other case is analogous. Theorem 2.10. Let f : X → Y be a continuous βθ-closed surjection with compact point inverses. If X is regular, then Y is βθ-regular. Proof. Let F be a closed set of Y and y /∈ F. Then f−1 (F) is closed in X and f−1 (y) is a compact set. Moreover f−1 (F) and f−1 (y) are disjoint in the regular space X. Hence, there exist disjoint open sets Uy and UF such that f−1 (y) ⊂ Uy and f−1 (F) ⊂ UF . Since f is βθ-closed by Lemma 2.9, there exist Vy, VF ∈ βθO(X) such that y ∈ Vy and F ⊂ VF , f−1 (Vy) ⊂ Uy and f−1 (VF ) ⊂ UF . Since Uy ∩ UF = ∅ and f is surjective, we obtain Vy ∩ VF = ∅. This show that Y is βθ-regular. A subset A of X is said to be gβθ-closed if βClθ(A) ⊂ U whenever A ⊂ U and U is open in X. A subset of a space (X, τ) is said to be gβθ-open if XA is gβθ-closed. Lemma 2.11. A subset A of a space (X, τ) is gβθ-open if and only if F ⊂ βIntθ(A) whenever F ⊂ A and F is closed. Proof. Necessity. Suppose that A is gβθ-open. Let F ⊂ A and F be closed in (X, τ). Then XA ⊂ XF and XF is open. Therefore, βClθ(XA) ⊂ XF and hence F ⊂ βIntθ(A). Sufficiency. If F is a closed set with F ⊂ βIntθ(A) whenever F ⊂ A. Then it follows that XA ⊂ XF and XβIntθ(A) ⊂ XF, i.e. βClθ(XA) ⊂ XF. Therefore XA is gβθ-closed. Thus, A is gβθ-open. A function f : X → Y is said to be: (1) generalized βθ-closed (briefly gβθ-closed) if for each closed set F of X, f(F) is gβθ-closed. 41
  • 43.
    (2) pre generalizedβθ-closed (briefly pre gβθ-closed) if for each gβθ-closed set F of X, f(F) is gβθ-closed. (3) pre generalized βθ-open (briefly pre gβθ-open) if for each gβθ-open set F of X, f(F) is gβθ-open. Lemma 2.12. A function f : X → Y is gβθ-closed (resp. pre gβθ-closed) if and only if for each subset B of Y and each open (resp. gβθ-open) set U containing f−1 (B), there exists a gβθ-open set V of Y containing B such that f−1 (V ) ⊂ U. Proof. The proof is similar to that of Lemma 2.9. Theorem 2.13. If f : X → Y is a continuous βθ-open and gβθ-closed surjec- tion from a regular space X onto a space Y , then Y is βθ-regular. Proof. Let U be a open set containing a point y in Y . Let x be a point of X such that y = f(x). It follows from assumptions that there is an open set V such that x ∈ V ⊂ Cl(V )) ⊂ f−1 (U). Then since y ∈ f(V ) ⊂ f(Cl(V ) ⊂ U and f(Cl(V )) is gβθ-closed, we have βClθ(f(Cl(V )) ⊂ U. Therefore y ∈ f(V ) ⊂ βClθ(f(V ) ⊂ U and f(V ) is βθ-open Y . Hence by Theorem 2.2, Y is βθ-regular. 3. Maps and βθ-normal spaces Definition 3.1. A topological space is said to be βθ-normal if for any pair of disjoint closed sets F1 and F2 of X, there exist disjoint βθ-open sets U1 and U2 such that F1 ⊂ U1 and F2 ⊂ U2. We have the following characterizations of βθ-normality. Theorem 3.2. For a topological space X, the following statements are equiv- alent: (1) X is βθ-normal. (2)For every pair of open sets U and V whose union is X, there exist βθ-closed sets A and B such that A ⊂ U, B ⊂ V and A ∪ B = X. (3) For each closed set F and every open set G containing F, there exists a βθ-open set U such that F ⊂ U ⊂ βClθ(U) ⊂ G. Proof. (1)⇒(2): Let U and V be a pair of open sets in a βθ-normal space X such that X = U ∪ V . Then XU, XV are disjoint closed sets. Since X is βθ-normal, there exist disjoint βθ-open sets U1 and V1 such that XU ⊂ U1 and XV ⊂ V1. Let A = XU1, B = XV1. Then A and B are βθ-closed sets such that A ⊂ U, B ⊂ V and A ∪ B = X. (2)⇒(3): Let F be a closed set and G be an open set containing F. Then XF 42
  • 44.
    and G areopen sets whose union is X. Then by (2), there exist βθ-closed sets W1 and W2 such that W1 ⊂ XF and W2 ⊂ G and W1 ∪ W2 = X. Then F ⊂ XW1, XG ⊂ XW2 and (XW1) ∩ (XW2) = ∅. Let U = XW1 and V = XW2. Then U and V are disjoint βθ-open sets such that F ⊂ U ⊂ XV ⊂ G. As XV is a βθ-closed set, we have βClθ(U) ⊂ XV and F ⊂ U ⊂ βClθ(U) ⊂ G. (3)⇒(1): Let F1 and F2 be any two disjoint closed sets of X. Put G = XF2, then F1 ⊂ G where G is an open set. Thus by (3) there exists a βθ-open set U of X such that F1 ⊂ U ⊂ βClθ(U) ⊂ G. It follows that F2 ⊂ XβClθ(U) = V (say), then V is βθ-open and U ∩ V = ∅. Hence F1 and F2 are separated by βθ-open sets U and V . Therefore X is βθ-normal. Theorem 3.3. For a topological space (X, τ), the following properties are equivalent: (1) X is βθ-normal; (2) For each pair of open sets U and V whose union is X, there exist gβθ- closed sets A and B such that A ⊂ U, B ⊂ V and A ∪ B = X; (3) For each closed set F and every open set G containing F, there exists a gβθ-open set U such that F ⊂ U ⊂ βClθ(U) ⊂ G; (4) For each pair of disjoint closed sets F1 and F2 of X, there exist disjoint gβθ-open sets U1 and U2 such that F1 ⊂ U1 and F2 ⊂ U2. Proof. (1) ⇒ (2): The proof is obvious by Theorem 3.2 since every βθ-closed set is gβθ-closed. (2) ⇒ (3): Let F be a closed set and G an open set containing F. Then XF is open and (XF) ∪ G = X. By (2), there exist gβθ-closed sets W1 and W2 such that W1 ⊂ XF, W2 ⊂ G and W1 ∪ W2 = X. Then F ⊂ XW1, XG ⊂ XW2 and (XW1) ∩ (XW2) = ∅. Since XW1 and XW2 are gβθ- open, put U = βIntθ(XW1) and V = βIntθ(XW2). Then U and V are βθ- open sets such that F ⊂ U, XG ⊂ V and U ∩V = ∅. Since βClθ(U)∩V = ∅, we obtain F ⊂ U ⊂ βClθ(U) ⊂ XV ⊂ G. (3) ⇒ (4): Let F1 and F2 be disjoint closed sets. Then XF2 is an open set containing F1. By (3), there exists a gβθ-open set U1 such that F ⊂ U1 ⊂ βClθ(U1) ⊂ XF2. Now, put U2 = XβClθ(U1). Then U2 is βθ-open and hence gβθ-open. Moreover, we have F2 ⊂ U2 and U1 ∩ U2 = ∅. (4) ⇒ (1): Let F1 and F2 be disjoint closed sets. By (4), there exist disjoint gβθ- open sets U1 and U2 such that F1 ⊂ U1 and F2 ⊂ U2. By Lemma 2.11, we have F1 ⊂ βIntθ(U1) and F2 ⊂ βIntθ(U2). Put V1 = βIntθ(U1) and V2 = βIntθ(U2). Then V1, V2 are βθ-open, F1 ⊂ V1, F2 ⊂ V2 and V1 ∩ V2 = ∅. This shows that (X, τ) is βθ-normal. Recall that a topological space (X, τ) is said to be βθ-R0 [4] if every open set 43
  • 45.
    of the spacecontains the βθ-closure of each of its singletons. Theorem 3.4. If X is βθ-normal and βθ-R0, then X is βθ-regular. Proof. Let F be closed and x /∈ F. Then x ∈ XF ∈ O(X) which implies βClθ({x}) ⊂ XF and there exist disjoint βθ-open sets U and V such that x ∈ βClθ({x}) ⊂ U and F ⊂ V . Definition 3.5. A function f : X → Y is said to be almost-βθ-irresolute if f(βClθ(U)) = βClθ(f(U)) for every U ∈ βθO(X). Theorem 3.6. If f : X → Y is a pre-βθ-open continuous almost-βθ-irresolute function from a βθ-normal space X onto a space Y , then Y is βθ-normal. Proof. Let A be a closed subset of Y and B be an open set containing A. Then by continuity of f, f−1 (A) is closed and f−1 (B) is an open set of X such that f−1 (A) ⊂ f−1 (B). Since X is βθ-normal, there exists a βθ-open U in X such that f−1 (A) ⊂ U ⊂ βClθ(U)) ⊂ f−1 (B) by Theorem 3.2. Then f(f−1 (A)) ⊂ f(U) ⊂ f(βClθ(U)) ⊂ f(f−1 (B)). Since f is pre-βθ-open and almost-βθ-irresolute surjection, we obtain A ⊂ f(U) ⊂ βClθ(f(U)) ⊂ B. Then again by Theorem 3.2 the space Y is βθ-normal. Theorem 3.7. If f : X → Y is a pre-gβθ-closed continuous function from a βθ-normal space X onto a space Y , then Y is βθ-normal. Proof. Let A and B be disjoint closed sets in Y . Since X is βθ-normal and f continuous, there exist disjoint βθ-open sets U and V of X such that f−1 (A) ⊂ U and f−1 (B) ⊂ V . By Lemma 2.12, there exist gβθ-open sets G and H of Y such that A ⊂ G, B ⊂ H, f−1 (G) ⊂ U and f−1 (H) ⊂ V . Since U and V are disjoint, so are G and H. It follows from Theorem 3.3 that Y is βθ-normal. Theorem 3.8. If f : X → Y is a gβθ-closed continuous function from a normal space X onto a space Y , then Y is βθ-normal. Proof. The proof is almost analogous to Theorem 3.7. Definition 3.9. [5,8] A topological space (X, τ) is said to be: 1) βθ-T0 (resp. βθ-T1) if for any distinct pair of points x and y in X, there is a βθ-open U in X containing x but not y or (resp. and) a βθ-open set V in X containing y but not x. 2) βθ-T2 (resp. β-T2 [9]) if for every pair of distinct points x and y, there exist two βθ-open (resp. β-open) sets U and V such that x ∈ U, y ∈ V and U ∩ V = ∅. Theorem 3.10. [5,7,8]. For a topological space (X, τ), the following properties are equivalent: 1) (X, τ) is βθ-T0; 2) (X, τ) is βθ-T1; 44
  • 46.
    3) (X, τ)is βθ-T2; 4) (X, τ) is β-T2; 5) For every pair of distinct points x, y ∈ X, there exist U, V ∈ βO(X) such that x ∈ U, y ∈ V and βCl(U) ∩ βCl(V ) = ∅; 6) For every pair of distinct points x, y ∈ X, there exist U, V ∈ βR(X) such that x ∈ U, y ∈ V and U ∩ V = ∅. 7) For every pair of distinct points x, y ∈ X, there exist U ∈ βθO(X, x) and V ∈ βθO(X, y) such that βClθ(U) ∩ βClθ(V ) = ∅. Definition 3.11. (i) A topological space (X, τ) is said to be weakly Hausdorff [13] (briefly weakly-T2) if every point of X is an intersection of regular closed sets of X. (ii) A subset A of a space X is said to be S-closed relative to X [11] if for every cover {Vα | α ∈ } of A by semi-open sets of X, there exists a finite subset 0 of such that A ⊂ {Cl(Vα) | α ∈ 0}. A space X is said to be S-closed if X is S-closed relative to X. Now in view of ([12], Lemma 2.2) and Lemma 2.9, we prove the following result. Theorem 3.12. If f : X → Y is a pre-βθ-closed function from a weakly Hausdorff βθ-normal space X onto a space Y and f−1 (y) is S-closed relative to X for each y ∈ Y , then Y is βθ-T2. Proof. Let y1 and y2 be any two distinct points of Y . Since X is weakly Hausdorff and f−1 (yi) is S-closed relative to X for i = 1, 2, by Lemma 2.2 of [12] f−1 (y1) and f−1 (y2) are disjoint closed subsets of X. As X is βθ-normal, there exist disjoint βθ-open sets V1 and V2 of X such that f−1 (yi) ⊂ Vi for i = 1, 2. Since f is pre-βθ-closed, by Lemma 2.9 there exist βθ-open sets U1 and U2 of Y containing y1 and y2 respectively such that f−1 (Ui) ⊂ Vi for i = 1, 2. Then it follows that U1 ∩ U2 = ∅. Hence Y is βθ-T2. Theorem 3.13. If f : X → Y is a weakly β-irresolute closed injection from a space X to a βθ-normal space Y , then X is βθ-normal. Proof. Let Y be βθ-normal. Let A and B be two closed subsets of X. Since f is closed and injective, f(A) and f(B) are disjoint closed subsets of Y . Therefore, there exist disjoint βθ-open subsets U and V of Y such that f(A) ⊂ U and f(B) ⊂ V . Now f−1 (U) and f−1 (V ) are βθ-open subsets of X such that A ⊂ f−1 (U), B ⊂ f−1 (V ) and f−1 (U) ∩ f−1 (V ) = ∅. Thus X is βθ-normal. Theorem 3.14. If f : X → Y is a βθ-continuous closed injection from a space X to a normal space Y , then X is βθ-normal. Proof. The proof is analogous to Theorem 3.13. 45
  • 47.
    4. (β, θ)∗ -normalspaces Definition 4.1. A topological space is said to be (β, θ)∗ -normal if for any pair of disjoint βθ-closed sets F1 and F2 of X, there exist disjoint βθ-open sets U1 and U2 such that F1 ⊂ U1 and F2 ⊂ U2. Definition 4.2. A subset A of a topological space (X, τ) is said to be (β, θ)- closed if βClθ(A) ⊂ U whenever A ⊂ U and U is βθ-open. The complement of a (β, θ)-closed set is said to be (β, θ)-open. Lemma 4.3. A subset A of a space (X, τ) is (β, θ)-open if and only if F ⊂ βIntθ(A) whenever F ⊂ A and F is βθ-closed. Proof. The proof is similar to that of Lemma 2.9. Theorem 4.4. For a topological space X, the following statements are equiv- alent: (1) X is (β, θ)∗ -normal; (2) For every pair of βθ-open sets U and V whose union is X, there exist βθ-closed sets A and B such that A ⊂ U, B ⊂ V and A ∪ B = X; (3) For each βθ-closed set F and every βθ-open set G containing F, there exists a βθ-open set U such that F ⊂ U ⊂ βClθ(U) ⊂ G; (4) For each pair of βθ-open sets U and V whose union is X, there exist (β, θ)- closed sets A and B such that A ⊂ U, B ⊂ V and A ∪ B = X; (5) For each βθ-closed set F and every βθ-open set G containing F, there exists a (β, θ)-open set U such that F ⊂ U ⊂ βClθ(U) ⊂ G; (6) For each pair of disjoint βθ-closed sets F1 and F2 of X, there exist disjoint (β, θ)-open sets U1 and U2 such that F1 ⊂ U1 and F2 ⊂ U2. Proof. The proof is similar to proofs of Theorem 3.2 and Theorem 3.3. Definition 4.5. A function f : X → Y is said to be (β, θ)∗ -closed if for any βθ-closed set F of X, f(F) is (β, θ)-closed in Y . Lemma 4.6. A function f : X → Y is (θ, β)∗ -closed if and only if for each subset B of Y and each βθ-open set U containing f−1 (B), there exists a (β, θ)-open set V of Y containing B such that f−1 (V ) ⊂ U. Proof. It is similar to the proof of Lemma 2.9. Theorem 4.7. If a function f : X → Y is (θ, β)∗ -closed and weakly β- irresolute surjection and X is (β, θ)∗ -normal, then Y is (β, θ)∗ -normal. Proof. Let K and L be disjoint βθ-closed sets of Y . Since f is weakly β- irresolute, f−1 (K) and f−1 (L) are disjoint βθ-closed sets. Since X is (β, θ)∗ - normal, there exist disjoint βθ-open sets U and V such that f−1 (K) ⊂ U and f−1 (L) ⊂ V . By Lemma 4.6, there exist (β, θ)-open sets G and H of Y such 46
  • 48.
    that K ⊂G, L ⊂ H, f−1 (G) ⊂ U and f−1 (H) ⊂ V . Since U and V are disjoint, G and H are disjoint. By Theorem 4.4, Y is (β, θ)∗ -normal. Theorem 4.8. If a function f : X → Y is pre βθ-closed, weakly β-irresolute injection and Y is (β, θ)∗ -normal, then X is (θ, β)∗ -normal. Proof. Let A and B be disjoint βθ-closed sets of X. Since f is pre βθ-closed and injective, f(A) and f(B) are disjoint βθ-closed sets of Y . Since Y is (β, θ)∗ - normal, there exist disjoint βθ-open sets U and V of Y such that f(A) ⊂ U and f(B) ⊂ V . Therefore, we have A ⊂ f−1 (U) and B ⊂ f−1 (V ). Since f is weakly β-irresolute, f−1 (U) and f−1 (V ) are disjoint βθ-open sets of X. Therefore, X is (β, θ)∗ -normal. A well known characterization of a normal space is that a space is normal if and only if every point-finite open cover is shrinkable. We prove a parallel characterization for (β, θ)∗ -normal spaces. Definition 4.9. A cover = {Ui : i ∈ I} of a space X is said to be (β, θ)- shrinkable if there exists a βθ-open cover √ = {Vi : i ∈ I} of X such that βClθ(Vi) ⊂ Ui for each i ∈ I. Then the cover √ is called a (β, θ)-shrinking of . A covering is point-finite provided each x ∈ X belongs to only finitely many elements of . Theorem 4.10. A space X is (β, θ)∗ -normal if and only if every point-finite βθ-open cover is (β, θ)-shrinkable. Proof. Suppose that X is (β, θ)∗ -normal. Let = {Ui : i ∈ I} be a point-finite βθ-open cover of X. Well order the set I = {i1, i2, ..., i, ...}. Now construct {Vi : i ∈ I} by transfinite induction as follows: Let Fi1 = X( i>i1 Ui). Each Ui being βθ-open, i>i1 Ui is βθ-open and hence Fi1 is βθ-closed. Also Fi1 ⊂ Ui1 . Therefore in view of Theorem 4.2, there exists a βθ-open set Vi1 such that Fi1 ⊂ Vi1 ⊂ βClθ(Vi1 ) ⊂ Ui1 . Let Fi2 = X{Vi1 ∪ ( i>i2 Ui)}. Then Fi2 is a βθ-closed set such that Fi2 ⊂ Ui2 . Therefore there exists a βθ-open set Vi2 such that Fi2 ⊂ Vi2 ⊂ βClθ(Vi2 ) ⊂ Ui2 . Let us suppose that similarly Vj has been defined for each j < i. Let Fi = X{( j<i Vj) ∪ ( k>i Uk)}. Then Fi is a βθ-closed set such that Fi ⊂ Ui. Hence we have a βθ-open set Vi such that Fi ⊂ Vi ⊂ βClθ(Vi) ⊂ Ui. Now consider the family √ = {Vi : i ∈ I}. Let √ be a cover of X. Let x ∈ X. Then, since is a point-finite cover, x ∈ Ui for finitely many i, s , say i1, i2, ..., in. Let k = max{i1, i2, ..., in}. Then x /∈ Uj for j > k. So if x /∈ Vj for j < k, then x ∈ Fk = X{( j<k Vj) ∪ ( i>k Ui)} ⊂ Vk. Hence in any case x ∈ Vi for i ≤ k. Also each Vi is βθ-open and βClθ(Vi) ⊂ Ui for each i ∈ I. Thus √ is a (β, θ)-shrinking of . For the converse, let F1 and F2 be disjoint βθ-closed subsets of X. Then 47
  • 49.
    {XF1, XF2} isa point-finite cover of X. But any (β, θ)-shrinking {V1, V2} of {XF1, XF2} induces a separation XβClθ(V1), XβClθ(V2) of F1 and F2. References [1] M. E. Abd. El-Monsef, S. N. EL-Deeb and R. A. Mahmoud, β-open and β- continuous mappings, Bull. Fac. Sci. Assiut Univ., 12 (1983), 77–90. [2] D. Andrijevi´c, Semi-preopen sets, Mat. Vesnik 38 (1986), 24–32. [3] S. P. Arya and M. P. Bhamini, Some generalizations of pairwise Urysohn spaces, Indian J. Pure Appl. Math. 18 (1987), 1088–1093. [4] M. Caldas, On θ-β-generalized closed sets and θ-β-generalized continuity in topolological spaces, J. Adv. Math. Studies, 4 (2011), 13–24. [5] M. Caldas, Weakly sp-θ-closed functions and semipre-Hausdorff spaces, Creative Math. Inform., 20(2) (2011), 112–123. [6] M. Caldas, Functions with strongly β-θ-closed graphs, J. Adv. Studies Topology, 3 (2012), 1–6. [7] M. Caldas, On characterizations of weak θ-β-openness, Antartica J. Math., 9(3) (2012), 195–203. [8] M. Caldas, On contra βθ-continuous functions, Proyecciones Journal Math. 39(4) (2013), 333–342. [9] A. S. Mashhour, M. E. Abd El-Monsef and S. N. El-Deeb, On precontinuous and weak precontinuous mappings, Proc. Math. Phys. Soc. Egypt, 53 (1982), 47–53. [10] T. Noiri, Weak and strong forms of β-irresolute functions, Acta Math. Hungar. 99 (2003), 315–328. [11] T. Noiri, On S-closed subspaces, Atti Accad. Naz. Lincei Rend. Cl. Sci. Fiz. Mat. Natur, 8(64) (1978), 157–162. [12] G. L. Garg and D. Sivaraj, Presemiclosed mappings, Periodica Math. Hungarica 19(2)(1988), 97–106. [13] T. Soundararajan, Weakly Hausdorff and the cardinality of topological spaces, General topology and its Relations to Modern Analysis and Algebra III, Proc. Conf. Kampur, (1968), 301–306. 48
  • 50.
    Selected papers ofthe 2014 International Conference on Topology and its Applications (2015) Pages 49–59 Department of Mathematics University of Patras Greece On the class of semipre-θ-open sets in topological spaces M. Caldas 1 , S. Jafari 2 , T. Noiri 3 1 Departmento de Mathem´aatica Aplicada, Universidade Federal Fluminense, Rua M´ario Santos Braga, s/n, 24020-140, Niter’oi, RJ, Brasil 2 College of Vestsjaelland South, Herrestraede 11, 4200 Slagelse, Denmark 3 2949-1 Shiokita-cho, Hinagu, Yatsushiro-shi, Kumomoto-ken, 869-5142 Japan Abstract In this paper we consider the class of βθ-open sets in topological spaces and inves- tigate some of their properties. We also present and study some weak separation axioms by involving the notion of βθ-open sets. Key words: βθ-open set, βθ-D1 space, β-regular space, βθ-R-continuous. 1991 MSC: 54C10. 1. Introduction and preliminaries Generalized open sets play a very important role in General Topology and they are now the research topics of many topologists worldwide. Indeed a significant theme in General Topology and Real Analysis concerns the variously modified forms of continuity, separation axioms etc by utilizing generalized open sets. One of the most well-known notions and also an inspiration source is the notion of semi-preopen sets (or β-open sets) introduced by Abd El-Monsef et al. [1] and Andrijevi´c [2] introduced the notion of β-open set, which Andrijevi´c called semi-preopen, completely independent of each other. In this paper, we adopt the word β-open for the sake of clarity. Noiri [7] used this notion and the semipre-closure [2] of a set to introduce the semipre-θ-closure of a set. It is the object of this paper to further investigate the notion of βθ-open sets by using the notion of the semipre-θ-closure of a set. We also study some weak separation axioms defined by using the notion of βθ-open sets. 1 gmamccs@vm.uff.br 2 jafaripersia@gmail.com 3 t.noiri@nifty.com
  • 51.
    The (X, τ)and (Y, σ) (or simply, X and Y ) denote topological spaces on which no separation axioms are assumed unless explicitly stated. A subset A of a topological space (X, τ) is called β-open [1] if A ⊆ Cl(Int(Cl(A))), where Cl(A) and Int(A) denote the closure and the interior of A, respectively. The complement of a β-open set is called β-closed [1]. The intersection of all β- closed sets containing A is called the semipre-closure [1] of A and is denoted by spCl(A). A subset A is called semipre-regular (or β-regular) if it is both β-open and β-closed. The family of all β-open (resp. β-closed, open, β-regular) subsets of X is denoted by βO(X, τ) or βO(X) (resp. βC(X, τ), O(X, τ), βR(X, τ)). We set βO(X, x) = {U : x ∈ U ∈ βO(X, τ)} and βC(X, x) = {U : x ∈ U ∈ βC(X, τ)}. Now we begin to recall some known notions which will be used in the sequel. Definition 1.1. [7]. Let A be a subset of X. The semipre-θ-closure of A, denoted by spClθ(A), is the set of all x ∈ X such that βCl(O) ∩ A = ∅ for every O ∈ βO(X, x). A subset A is called βθ-closed if A = spClθ(A). The set {x ∈ X | βCl(O) ⊂ A for some O ∈ βO(X, x)} is called the semipre-θ- interior of A and is denoted by spIntθ(A). A subset A is called βθ-open if A = spIntθ(A). The family of all βθ-open (resp. βθ-closed) subsets of X is denoted by βθO(X, τ) or βθO(X) (resp. βθC(X, τ)). We set βθO(X, x) = {U : x ∈ U ∈ βθO(X, τ)} and βθC(X, x) = {U : x ∈ U ∈ βθC(X, τ)}. Lemma 1.2. [7]. For any subset A of X, the following properties hold: (1) spClθ(spClθ(A)) = spClθ(A). (2) spClθ(A) is βθ-closed. (3) spClθ(A) is the intersection of all βθ-closed sets containing A. (4) A ⊂ spCl(A) ⊂ spClθ(A) and spCl(A) = spClθ(A) if A ∈ βO(X). Recall that a function f : X → Y is said to be: (i) βθ-continuous [7] if f−1 (V ) is βθ-closed for every closed set V in Y , equivalently if the inverse image of every open set V in Y is βθ-open in X. (ii) weakly β-irresolute ([7], Theorem 4.5) if f−1 (V ) is βθ-open in X for every βθ-open set V in Y , equivalently spClθf−1 (V ) ⊂ f−1 (spClθ(V )) for every subset V of Y . 50
  • 52.
    2. Semipre-θ-open sets Webegin with the following result: Lemma 2.1. Let X be a topological space and A ⊂ X. The following state- ments hold: (2) X − spIntθ(A) = spClθ(X − A). (3) spIntθ(spIntθ(A)) = spIntθ(A). (4)spIntθ(A) is βθ-open. Lemma 2.2. [7] For any subset O of X, the following properties hold: (1) O is β-regular if and only if O = spInt(spCl(O)). (2) O is β-open if and only spCl(O) is β-regular. Theorem 2.3. If O is β-open, then spInt(spCl(O)) is βθ-open. Proof. spInt(spCl(O)) = (X − spCl(X − spCl(O))). Since X − spCl(O) (=A, say) is β-open, spCl(A) = pClθ(A) (Lemma 1.2). Therefore there exists a subset A = X − spCl(O) for which X − spInt(spCl(O) = spClθ(A). Hence spInt(spCl(O) is βθ-open. Corollary 2.4. If O is β-regular, then O is βθ-open. Proof. It suffices to observe that, the subset O is β-regular if and only if O = spInt(spCl(O)) (Lemma 2.2). Theorem 2.5. For any subset A of X, the following properties are equivalent: (1) A subset A is β-regular if and only if it is βθ-open; (2) spClθ(A) is β-regular for every subset A of X. Proof. (1) ⇒ (2): Let A be any subset of X. Then by Lemma 1.2, X − spClθ(A) is βθ-open. This implies that spClθ(A) is β-regular. (2) ⇒ (1): Assume spClθ(O) is β-regular for every set O. Suppose U is β- regular. Therefore β-regular is equivalent to βθ-open. Theorem 2.6. If O is βθ-open, then O is the union of β-regular sets. Proof. Since O is βθ-open, O = spIntθ(O). For each x ∈ O, there exists Ax ∈ βO(X) such that x ∈ Ax ⊂ βCl(Ax) ⊂ O. Therefore, we obtain O = ∪x∈OβCl(Ax) and βCl(Ax) ∈ βR(X). Corollary 2.7. If B is βθ-closed, then B is the intersection of β-regular sets. Remark 2.8. (i) T. Noiri in ([7], Theorem 3.4) have proved that the in- tersection of arbitrary collection of βθ-closed sets is βθ-closed, hence by the complement, the union of arbitrary collection of βθ-open sets is βθ-open. (ii) The intersection of βθ-open sets may fail to be βθ-open, as the following 51
  • 53.
    example shows. Example 2.9.Let (X, τ) be a topological space, where X = {a, b, c} and τ = {∅, {b}, {c}, {b, c}, X}. Then O1 = {a, c} and O2 = {a, b} are βθ-open, but O1 ∩ O2 = {a} is not βθ-open. 3. Semipre-θ-D1 Topological spaces Now, we introduce new classes of topological spaces in terms of the concept of semipre-θ-open sets. Definition 3.1. A subset A of a topological space X is called a semipre-θ D-set if there are two sets U, V ∈ βθO(X, τ) such that U = Xand A = U −V . It is true that every βθ-open set U different from X is a semipre-θ D-set if A = U and V = ∅. Definition 3.2. A topological space (X, τ) is called semipre-θ-D0 if for any pair of distinct points x and y of X there exist a semipre-θ D-set of X con- taining x but not y or a semipre-θ D-set of X containing y but not x. Definition 3.3. A topological space (X, τ) is called semipre-θ-D1 if for any pair of distinct points x and y of X there exist a semipre-θ D-set of X con- taining x but not y and a semipre-θ D-set of X containing y but not x. Definition 3.4. A topological space (X, τ) is called semipre- θ-D2 if for any pair of distinct points x and y of X there exist disjoint semipre-θ D-sets G and E of X containing x and y, respectively. Definition 3.5. A topological space (X, τ) is called βθ-T0 [5] if for any pair of distinct points in X, there exists a βθ-open set containing one of the points but not the other. Definition 3.6. A topological space (X, τ) is called βθ-T1 [5] if for any pair of distinct points x and y in X, there exist a βθ-open U in X containing x but not y and a βθ-open set V in X containing y but not x. Definition 3.7. A topological space (X, τ) is called βθ-T2 [5] if for any pair of distinct points x and y in X, there exist βθ-open sets U and V in X containing x and y, respectively, such that U ∩ V = ∅. Remark 3.8. From Definition 3.1 to 3.7, we obtain the following diagram: 52
  • 54.
    βθ-T2 → βθ-T1→ βθ-T0 ↓ ↓ ↓ semipre-θ-D2 → semipre-θ-D1 → semipre-θ-D0 Theorem 3.9. [4] If a topological space (X, τ) is βθ-T0, then it is βθ-T2. Proof. For any points x = y, let V be a βθ-open set such that x ∈ V and y /∈ V . Then, there exists U ∈ βO(X, τ) such that x ∈ U ⊂ βCl(U) ⊂ V. By Lemma 2.2 βCl(U) ∈ βR(X, τ). Then βCl(U) is βθ-open and also X−βCl(U) is a βθ-open set containing y. Therefore, X is βθ-T2. Theorem 3.10. For a topological space (X, τ), the six properties in the dia- gram are equivalent. Proof. By Theorem 3.9, we have that βθ-T0 implies βθ-T2. Now we prove that semipre-θ-D0 implies βθ-T0. Let (X, τ) be semipre-θ-D0 so that for any pair of distinct points x and y of X, there exists a semipre-θ D-set O, says, such that x ∈ O and y /∈ O. Suppose O = U − V for which U = X and U, V ∈ βθO(X, τ). This implies that x ∈ U. For the case that y /∈ O we have (i) y /∈ U, (ii) y ∈ U and y ∈ V. For (i), the space X is βθ-T0 since x ∈ U and y /∈ U. For (ii), the space X is also βθ-T0 since y ∈ V but x /∈ V. Let x be a point of X and V a subset of X. V is called a semipre-θ-neighborhood of x in X if there exists a βθ-open set O of X such that x ∈ O ⊂ V . Definition 3.11. A point x ∈ X which has only X as the semipre-θ-neighborh- ood is called a point common to all βθ-closed sets (briefly semipre-θ-cc). Theorem 3.12. If a topological space (X, τ) is semipre-θ-D1, then (X, τ) has no semipre-θ-cc point. Proof. Since (X, τ) is semipre-θ-D1 , so each point x of X is contained in a semipre-θ D-set O = U −V and thus in U. By definition U = X. This implies that x is not a semipre-θ-cc point. Definition 3.13. A subset A of a topological space (X, τ) is called a quasi semipre-θ-closed set (briefly qspt-closed) if spClθ(A) ⊂ U whenever A ⊂ U and U is βθ-open in (X, τ). The complement of a quasi semipre-θ-closed set is called quasi semipre-θ-open (briefly qspt-open). Lemma 3.14. Every βθ-closed set is qspt-closed but not conversely. Example 3.15. Let X = {a, b, c, d} and let τ = {∅, {c, d}, X}. Set A = {a, b, d}. Then spCl(A) = X and so A is not β-closed. Hence A is not βθ- closed. Since X is the only βθ-open set containing A, A is qspt-closed. 53
  • 55.
    Theorem 3.16. Fora topological space (X, τ), the following properties hold: (1) For each points x and y in a topological space , x ∈ spClθ({y}) implies y ∈ spClθ({x}), (2) For each x ∈ X, the singleton {x} is qspt-closed in (X, τ). Proof. (1) Let y /∈ spClθ({x}). This implies that there exists V ∈ βO(Y, y) such that spCl(V ) ∩ {x} = ∅ and X − spCl(V ) ∈ βR(X, x) which means that x /∈ spClθ({y}). (2) Suppose that {x} ⊂ U ∈ βθO(X). This implies that there exists V ∈ βO(X, τ) such that x ∈ V ⊂ spCl(V ) ⊂ U. Now we have spClθ({x}) ⊂ spClθ(V ) = spCl(V ) ⊂ U. Lemma 3.14 and Example 3.15 suggests the following natural definition. Definition 3.17. A topological space (X, τ) is said to be βθ-T1 2 if every qspt- closed set is βθ-closed. Theorem 3.18. For a topological space (X, τ), the following are equivalent: (1) (X, τ) is βθ-T1 2 ; (2) (X, τ) is βθ-T1. Proof. (1) → (2) : For distinct points x, y of X , {x} is qspt-closed by Theorem 3.16. By hypothesis, X −{x} is βθ-open and y ∈ X −{x}. By the same token, x ∈ X − {y} and X − {y} is βθ-open. Therefore (X, τ) is βθ-T1. (2) → (1) : Suppose that A is a qspt-closed set which is not βθ-closed. There exists x ∈ spClθ(A) − A. For each a ∈ A, there exists a βθ-open set Va such that a ∈ Va and x /∈ Va. Since A ⊂ a∈Va Va and a∈Va Va is βθ-open , we have spClθ(A) ⊂ a∈Va Va . Since x ∈ spClθ(A), there exists a0 ∈ A such that x ∈ Va0 . But this is a contradiction. Recall that a topological space (X, τ) is called β-T2 [6] if for any pair of distinct points x and y in X, there exist β-open sets U and V in X containing x and y, respectively, such that U ∩ V = ∅. Theorem 3.19. [5] For a topological space (X, τ), the following are equivalent: (1) (X, τ) is βθ-T2, (2) (X, τ) is β-T2. Definition 3.20. A function f : (X, τ) → (Y, σ) is said to be weakly β- irresolute [7] if for each x ∈ X and each V ∈ βO(Y, f(x)), there is U ∈ βO(X, x) such that f(U) ⊂ spCl(V ). Remark 3.21. Noiri [7] proved that a function f : (X, τ) → (Y, σ) is weakly β-irresolute if and only if f−1 (V ) is βθ-closed (resp.βθ-open) in (X, τ) for every βθ-closed (resp. βθ-open) set V in (Y, σ). 54
  • 56.
    Theorem 3.22. Iff : (X, τ) → (Y, σ) is a weakly β-irresolute surjective function and E is a semipre-θ D-set in Y , then the inverse image of E is a semipre-θ D-set in X. Proof. Let E be a semipre-θ D-set in Y . Then there are βθ-open sets U and V in Y such that E = U − V and U = Y . By weak β-irresoluteness of f, f−1 (U) and f−1 (V ) are βθ-open in X. Since U = Y , we have f−1 (U) = X. Hence f−1 (E) = f−1 (U) − f−1 (V ) is a semipre-θ D-set in X. Theorem 3.23. If (Y, σ) is semipre-θ-D1 and f : (X, τ) → (Y, σ) is a weakly β-irresolute injection, then (X, τ) is semipre-θ-D1. Proof. Suppose that Y is a semipre-θ-D1 space. Let x and y be any pair of distinct points in X. Since f is injective and Y is semipre-θ-D1, there exist semipre-θ D-sets U and V of Y containing f(x) and f(y), respectively, such that f(y) /∈ U and f(x) /∈ V . By the above theorem, f−1 (U) and f−1 (V ) are semipre-θ D-sets in X containing x and y, respectively. This implies that X is a semipre-θ-D1 space. Theorem 3.24. For a topological space (X, τ), the following statements are equivalent: (1) (X, τ) is semipre-θ-D1; (2) For each pair of distinct points x, y ∈ X, there exists a weakly β- irresolute surjective function f : (X, τ) → (Y, σ), where Y is a semipre-θ-D1 space such that f(x) and f(y) are distinct. Proof. (1) → (2) : For every pair of distinct points of X, it suffices to take the identity function on X. (2) → (1) : Let x and y be any pair of distinct points in X. By hypothesis, there exists a surjective weakly β-irresolute function f of a space X into a semipre-θ-D1 space Y such that f(x) = f(y). Therefore, there exist disjoint semipre-θ D-sets U and V of Y containing f(x) and f(y), respectively, such that f(y) /∈ U and f(x) /∈ V . Since f is weakly β-irresolute and surjective, by Theorem 3.22, f−1 (U) and f−1 (V ) are semipre-θ D-sets in X containing x and y, respectively, such that y /∈ f−1 (U) and x /∈ f−1 (V ). Hence X is a semipre-θ -D1 space. 4. Additional Properties Let A be a subset of a topological space (X, τ). The semipre-θ-kernel of A ⊂ (X, τ) [5], denoted by spKerθ(A), is defined to be the set ∩{O ∈ βθO(X, τ) | A ⊂ O}, or equivalently to be the set {x ∈ X | spClθ({x}) ∩ A = ∅}. 55
  • 57.
    Definition 4.1. Afunction f : (X, τ) → (Y, σ) is R-continuous [8] (resp. βθ-R-continuous, β-R-continuous) if for each x ∈ X and each open set V of Y containing f(x) (resp. V ∈ βO(Y, f(x))), there exists an open subset U of X containing x such that Cl(f(U)) ⊂ V (resp. spClθ(f(U)) ⊂ V , spCl(f(U)) ⊂ V ). Remark 4.2. (i) Since A ⊂ spCl(A) ⊂ spClθ(A) for any set A, βθ-R- continuity implies β-R-continuity. (ii) Since the semipre-closure and semipre θ-closure operators agree on β-open sets (Lemma 1.2), it follows that if f : (X, τ) → (Y, σ) is R-β-continuous and β-open then f is βθ-R-continuous, where f is called β-open if the image of each open set of X is β-open. Definition 4.3. The graph G(f) of a function f : (X, τ) → (Y, σ) is said to be spθ-c-closed if for each point (x, y) ∈ (X × Y ) − G(f), there exist subsets U ∈ βO(X, x) and V ∈ βθO(Y, y) such that (spCl(U) × V ) ∩ G(f) = ∅. Lemma 4.4. The graph G(f) of f : (X, τ) → (Y, σ) is spθ-c-closed in X × Y if and only if for each point (x, y) ∈ (X ×Y )−G(f), there exist U ∈ βO(X, x) and V ∈ βθO(Y, y) such that f(spCl(U)) ∩ V = ∅. Proof. It follows immediately from Definition 4.3. In [[8], Theorem 4.1], it is shown that the graph of an R-continuous function into a T1-space is θ-closed with respect to the domain. Here an analogous result is proved for βθ-R-continuous functions. Theorem 4.5. If f : (X, τ) → (Y, σ) is βθ-R-continuous weakly β-irresolute and Y is β-T1, then G(f) is spθ-c-closed. Proof. Assume (x, y) ∈ (X × Y ) − G(f). Since y = f(x) and Y is β-T1, there exists a β-open subset V of Y such that f(x) ∈ V and y /∈ V . The βθ-R- continuity of f implies the existence of an open subset U of X containing x such that spClθ(f(U)) ⊂ V . Therefore (x, y) ∈ spCl(U) × (Y − spClθ(f(U)) which is disjoint from G(f) because if a ∈ spCl(U), then since f is weakly β-irresolute, by [[7], Theorem 4.5] f(a) ∈ f(spCl(U)) ⊂ spClθ(f(U)). Note that Y − spClθ(f(U)) is βθ-open. It is proved in [[8], Theorem 3.1] that a function f : (X, τ) → (Y, σ) is R- continuous if and only if for each x ∈ X and each closed subset F of Y with f(x) /∈ F, there exist open subsets U ⊂ X and V ⊂ Y such that x ∈ U, F ⊂ V and f(U) ∩ V = ∅. The following theorem is an analogous result for βθ-R-continuous functions. Theorem 4.6. Let f : (X, τ) → (Y, σ) be a weakly β-irresolute function. Then f is βθ-R-continuous if and only if for each x ∈ X and each β-closed subset F of Y with f(x) /∈ F, there exist an open subset U of X containing x 56
  • 58.
    and a βθ-opensubset V of Y with F ⊂ V such that f(spCl(U)) ∩ V = ∅. Proof. Necessity. Let x ∈ X and F be a β-closed subset of Y with f(x) ∈ Y − F. Since f is βθ-R-continuous, there exists an open subset U of X containing x such that spClθ(f(U)) ⊂ Y − F. Let V = Y − spClθ(f(U)). Then V is βθ- open and F ⊂ V . Since f is weakly β-irresolute , f(spCl(U)) ⊂ spClθ(f(U)). Therefore f(sCl(U)) ∩ V = ∅. Sufficiency. Let x ∈ X and V be a β-open subset of Y with f(x) ∈ V. Let F = Y − V. Since f(x) /∈ F, there exists an open subset U of X containing x and a βθ-open subset W of Y with F ⊂ W such that f(spCl(U)) ∩ W = ∅. Then f(spCl(U)) ⊂ Y − W, thus spClθ(f(U)) ⊂ spClθ(Y − W) = Y − W ⊂ Y − F = V. Therefore f is βθ-R-continuous. Corollary 4.7. Let X and Y be topological spaces and f : (X, τ) → (Y, σ) be a weakly β-irresolute function. Then f is βθ-R-continuous if and only if for each x ∈ X and each β-open subset V of Y containing spClθ(f(spCl(U))) ⊂ V. Proof. Assume f is βθ-R-continuous. Let x ∈ X and V be a β-open subset of Y with f(x) ∈ V. Then there exists an open subset U of X containing x such that spClθ(f(U)) ⊂ V. Since f is weakly β-irresolute, we have spClθ(f(spCl(U))) ⊂ spClθ(spClθ(f(U))) = spClθ(f(U)) ⊂ V. Thus spClθ(f(spCl(U))) ⊂ V . The converse implication is immediate. Definition 4.8. A topological space (X, τ) is said to be a β-R1 if for x, y ∈ X with spCl({x}) = spCl({y}), there exist disjoint β-open sets U and V such that spCl({x}) ⊂ U and spCl({y}) ⊂ V . Proposition 4.9. A space X is β-R1 if and only if for each β-open set O and each x ∈ O , spClθ({x}) ⊂ O. Proof. Necessity. Assume that X is β-R1. Suppose that O is a β-open subset of X and x ∈ O. Let y be an arbitrary element of X − O. Since X is β-R1, spClθ({y}) = spCl({y}) ⊂ X − O. Hence we have that x /∈ spClθ({y}) and y /∈ spClθ({x}). It follows that spClθ({x}) ⊂ O. Sufficiency. Assume now that, y ∈ spClθ({x}) − spCl({x}) for some x ∈ X. Then there exists a β-open set O containing y such that spCl(O) ∩ {x} = ∅ but O ∩ {x} = ∅. Then spClθ({y}) ⊂ O and spClθ({y}) ∩ {x} = ∅. Hence x /∈ spClθ({y}). Thus y /∈ spClθ({x}). By this contradiction, we obtain spClθ({x}) = spCl({x}) for each x ∈ X. Thus by ([3], Theorem 4.15) X is β-R1. Now, we show that the range of a βθ-R-continuous function satisfies the stronger β-R1 condition. Theorem 4.10. If f : (X, τ) → (Y, σ) is a βθ-R-continuous surjection, then (Y, σ) is a β-R1 space. 57
  • 59.
    Proof. Let Vbe a β-open subset of Y and y ∈ V . Let x ∈ X such that y = f(x). Since f is βθ-R-continuous, there exists an open subset U of X containing x such that spClθ(f(U)) ⊂ V. Then spClθ({y}) ⊂ spClθ(f(U)) ⊂ V. Therefore by Proposition 4.9, Y is β-R1. We close this paper with a sample of the basic properties of βθ-R-continuous functions concerning composition and restriction. Theorem 4.11. If f : (X, τ) → (Y, σ) is continuous and g : (Y, σ) → (Z, γ) is βθ-R-continuous, then g ◦ f : (X, τ) → (Z, γ) is βθ-R-continuous. Proof. Let x ∈ X and W be a β-open subset of Z containing g(f(x)). Since g is βθ-R-continuous, there exists an open subset V of Y containing f(x) such that spClθ(g(V )) ⊂ W. Since f is continuous, there exists an open subset U of X containing x such that f(U) ⊂ V ; hence spClθ(g(f(U)) ⊂ W. Therefore g ◦ f is βθ-R-continuous. Theorem 4.12. Let f : (X, τ) → (Y, σ) and g : (Y, σ) → (Z, γ) be functions. If g ◦ f : (X, τ) → (Z, γ) is βθ-R-continuous and f is an open surjection, then g is βθ-R-continuous. Proof. Let y ∈ Y and W be a β-open subset of Z containing g(y). Since f is surjective, there exists x ∈ X such that y = f(x) and f is an open surjection, then g is βθ-R-continuous. Since g◦f is βθ-R-continuous, there exists an open subset U of X containing x such that spClθ(g(f(U)) ⊂ W. Note that f(U) is an open set containing y. Therefore g is βθ-R-continuous. Theorem 4.13. If f : (X, τ) → (Y, σ) is βθ-R-continuous, A ⊂ X and f(A) ⊂ B ∈ βSO(Y, σ), then f/A : A → B is βθ-R-continuous. Proof. Let x ∈ A and V be a β-open subset of B containing f(x) (note that f(A) ⊂ B). Hence by [1, Lemma 2.7] V be a β-open subset of Y containing f(x). Since f is βθ-R-continuous, there exists an open subset U of X contain- ing x such that spClθ(f(U)) ⊂ V. Let O = U ∩A. Then O is an open subset of A containing x such that spClθ((f/A)(O)) = spClθ(f(O)) ⊂ spClθ(f(U)) ⊂ V . Therefore f/A : A → B is βθ-R-continuous. References [1] M. E. Abd El-Monsef, S. N. El-Deeb and R. A. Mahmoud, β-open sets and β-continuous mappings, Bull. Fac. Sci. Assiut Univ., 12 (1983), 77–90. [2] D. Andrijevi´c, Semi-preopen sets, Mat. Vesnik, 38 (1986), 24–32. [3] S. C. Arora and Sanjay Tahiliani, β-R0 and β-R1 Topological spaces, Vasile Alesandri, Univ. Bacau. Fac. Sci. Scientific Stud. and Resear. Ser. Math. and Infor., 20 (2010), 25–36. 58
  • 60.
    [4] M. Caldas,Other characterizations of β-θ-R0 topological spaces, Tankang Jr. Math., 44(3) (2013), 303–311. [5] E. Ekici and T. Noiri, On separation axioms and sequences, Math. Moravica, 11 (2007), 39–46. [6] R. A. Mahmoud and M. E. Abd El-Monsef, β-irresolute and β-topological invariant, Proc. Pakistan Acad. Sci. 27 (1990), 285–296. [7] T. Noiri, Weak and strong forms of β-irresolute functions, Acta Math. Hungar. 99 (2003), 315–328. [8] Ch. Konstadilaki-Savvopoulou and D. Jankovic, R-continuous functions, Internat. J. Math. Math. Sci., 15(1992), 57–64. 59
  • 61.
    Selected papers ofthe 2014 International Conference on Topology and its Applications (2015) Pages 60–76 Department of Mathematics University of Patras Greece Application of complex network time series analysis in the study of spatiotemporal phenomena A. Charakopoulos 1 , T.E. Karakasidis 2 , P.N. Papanicolaou 3 , A. Liakopoulos 4 1Laboratory of Hydromechanics and Environmental Engineering, Department of Civil Engineering, University of Thessaly, 38334 Volos, Greece 2Laboratory of Hydromechanics and Environmental Engineering, Department of Civil Engineering, University of Thessaly, 38334 Volos, Greece 3School of Civil Engineering, Department of Water Resources and Environmental Engineering, National Technical University of Athens, 5 Heroon Polytechniou St., 15780 Zografos, Greece 4Laboratory of Hydromechanics and Environmental Engineering, Department of Civil Engineering, University of Thessaly, 38334 Volos, Greece Abstract In the last decades time series complex networks have attracted considerable in- terest and have been proposed to analyze deterministic dynamics. The range of applications includes many fields such as biology, sociology, physics, climatology and neurosciences. By representing a time series as a complex network, the dynam- ics of the time series can be explored through the evaluation of a number of the network topological properties. In the present study we discuss several methods for performing this transformation and we apply them to the analysis of experiment temperature time series recorded at various regions of turbulent heated jet, which constitutes a well-known spatiotemporal phenomenon. The results show that the complex network approach allows distinguishing and identifying in a quite detailed way the various dynamical regions of the jet flow, and associate them to the corre- sponding physical behavior. The efficiency of the methods for network construction is also discussed along with suggestions for applications in a wide range of scientific disciplines. Key words: Complex networks, time series analysis, spatiotemporal phenomena. 1 avracha@yahoo.gr 2 thkarak@uth.gr 3 panospap@itia.ntua.gr 4 aliakop@uth.gr
  • 62.
    1. Introduction The studyof dynamical systems through analysis of the time series of a variable measured in a physical system, is of particular interest over the last decades, and gives the possibility of comprehension the underlying sys- tem dynamics. Time series analysis may include several methods. During the last decade the concept of analyzing dynamic characteristics of a time series through a transformation to a complex network system, has been introduced. Basically, this method firs maps a given time series into a network and then the generated network can be analyzed in terms of concepts of complex net- works. The network based theories and methodologies have been applied in many disciplines such as biology, sociology, physics, climatology and neuro- sciences [1–6]. Gao and Jin ([7] show that the idea of complex network analysis is able to identify flow patterns of gas-liquid two phase flows. Also Liu et al. [8] analyzed time series of energy dissipation rates in three-dimensional fully developed turbulence using the visibility algorithm. Using this methodology different aspect of the dynamics of the time series can be associated with the topological indices of the network and it is shown how network properties can be employed to distinguish different dynamical regimes. Analysis of spatiotemporal phenomena is of major importance for scientists due to spatial and temporal variability of the observable quantity [9–13]. The aim of the present work is to propose a novel method to study spatiotemporal phenomena, that of transforming time series to the complex networks and use the topological spatial variation of the corresponding net- works in order to distinguish different dynamical regimes of the underlying physical system. The fact that in the turbulent flow, there appear small and also large scale structures (vortices) in different temporal and spatial scales makes the turbulent flow as a characteristic case of spatiotemporal phenomena. Turbulent flows constitute a challenging case for the application of network transformed time series analysis which is experimentally obtained since they present a complex behavior. A schema view of a vertical turbulent jet flow is shown in Fig. 1 where in the case of fully developed turbulence one can observe a three region behavior. The first region corresponds to large distances from the jet axis, actually at the boundary with ambient water named as Boundary Region (B.R), the second one, the Inner Region (I.R), concerns the region between the boundary region and the core of the jet and the third region the Jet axis Region (J.R) is the region near the core of the jet. The dynamics of these regions is characterized by the presence of small and large scale structures (vortices). Large scale structures occupy the full width of the jet and appear with a certain low frequency that is a function of the distance from the nozzle due to continuous pairing. 61
  • 63.
    Fig. 1. Aschematic diagram of turbulent jet flow. In the present work we approach the hydrodynamic problem of discriminating the state of the turbulent fluid region as a function of the distance from the axis of a turbulent jet axis. More specifically, we analyzed temperature fluc- tuations in vertical turbulent heated jets where temperature time series were recorded along a horizontal line through the jet axis. We focused to investi- gate if one can distinguish time series corresponding to regions near the jet axis, where conditions of fully developed turbulence are expected, from time series corresponding to regions that are more distant and from those near to the boundary with the ambient water, as is expected to be in the case of fully developed turbulence. Our aim was to understand the characteristics of the turbulent jet flow using nonconventional hydrodynamics methods [14–17]. For each transformed time series to complex network we evaluated topological properties of the networks such as degree distribution, average path length, diameter, modularity and clustering coefficient. The above measures present a spatial variation along a horizontal cut of the flow and the analysis of this spatial variation reveals that the network constructed from the time series near the jet region is denser than those originating from more distant measurement positions. As a general conclusion, the implementation of network analysis in this physical system is able to extract information of the underlying system dynamics. The results obtained have shown that the proposed methodology allows us to distinguish the flow regime around the jet axis and identify the 62
  • 64.
    time series correspondingto the jet axis in agreement with the conventional statistical hydrodynamic method. The structure of the paper is as follows. In Sec. 2 we discuss briefly the ex- perimental set-up for temperature measurements. In Sec. 3 we present the methodology transformed time series to networks and in Sec. 4 we portray the topological properties of the networks. The results and discussion are pre- sented in Sec. 5. Finally the conclusions are presented in Sec. V. 2. Data Description and Experimental setup The experiments were performed ar the Applied Hydraulics Laboratory of the National Technical University of Athens in a transparent orthogonal tank with dimensions 1.00m, 0.80m and 0.70m deep, equipped with a peripheral overflow to remove excess water. A perspective view of the experimental setup is shown in Fig.2. Fig. 2. Schematic view of the experimental setup. The hot water jet supply consists of a water heater made of stainless steel, which is well insulated and pressurized by air, to provide adequate constant head pressure to drive to jet. An insulated pipe drives the water from the heater into the jet plenum, through a calibrated flow meter. The jet plenum was a cylinder of 4.5 cm i.d. equipped with 5 mm honeycomb and sponge to destroy the large scale turbulence structures. We used a circular nozzle of 1.5 cm diameter. The jet water temperature To(o C) was 58.60 o C, while the ambient water temperature Ta(o C) was 24.60 o C. Temperature measurements 63
  • 65.
    were obtained byan array of fast response thermistors positioned at constant elevation from the nozzle, on the plane of symmetry of the buoyant jet. The jet trajectories were determined of using a slide projector on a semitransparent paper sheet (shadowgraph) in order to place the rake of thermistors properly. In this paper, we use the data recorded at an elevation of 20cm above the nozzle axis. The basic initial conditions of the flow are tabulated in Table 1. Table 1. Experimental conditions. 3. Convert time series to complex network The key point to construct a network from a time series is to define nodes and edges properly. Several studies demonstrate that distinct features of a time series can be mapped onto networks with distinct topological characteristics. First Zhang and Small [18] introduced a transformation from pseudoperiodic time series to complex network. In this method the pseudoperiodic time series is approximately divided into many cycles, where each cycle can be treated as a node and the connection between two nodes can be established if the distance between them is less than a given threshold Yang and Yang [19] used linear correlation coefficient as the criterion to connect nodes. Xu et al. [20] proposed a method based on embedding the time series into an appropriate phase space and taking each phase space point as a node in the network, which is connected with its four nearest neighbors. Donner et al. [21] introduced the transformation of a time series into a network based on the corresponding Recurrence Plots. Lacasa et al. [22] proposed the transformation of time series into a network based on the visibility of the nodes. According this method each point in the time series is considered as a node in the network, and two nodes connect each other if a straight line between them does not intersect any other points between them. In this paper, we employed the phase space method (k nearest neighbors) introduced by Xu et al. [20] since it uses elements of the reconstructed system phase space and the visibility algorithm proposed by Lacasa et al. [22] in order to transform time series into an undirected and unweighted complex networks and investigate also the performance of the two methods. In the following we briefly describe the methodology used in this work to convert a time series into a network. 64
  • 66.
    3.1 Phase spacenetwork (k nearest neighbors) Xu et al. [20] proposed a method constructing networks which embeds the time series into an appropriate phase space and then linking each node with its k nearest neighbors. Let us suppose we have a time series of a length N. First, we calculate the time delay and then we embed this time series to an appropriate phase space and we take each point of the space phase as a node in the network. Next, we choose a fixed number of four nearest neighbors and at each step, each point will be assigned four new neighbors. By this method on the average, each node has the same number of links and the networks from different time series will have the same average degrees. 3.2 Visibility algorithm The visibility algorithm, proposed by Lacasa et al. [22], maps time series to its visibility graph. Each node of the visibility graph corresponds to point of time series. Suppose a time series x(ti)i = 1, . . . , Nmeas of Nmeas data. Two vertices x(ti) and x(tj) in the time series have visibility and consequently become two connected nodes in the associated graph, if any other data (tk, x(tk )) placed between them (ti < tk < tj) fulfills (1) . . . x(tk) < x(ti) + (x(tj) − x(ti)) tk − ti tj − ti . . . (1) Hence, i and j are connected if one can draw a straight line in the time series joining the two points i and j, such that, at all intermediate points (ti¡tk¡tj), x(tk) falls below this line. Fig. 3 illustrates the procedure of converting time series to its visibility graph. Fig. 3. Illustration of converting a time series to its visibility graph. The order of the nodes in the network is the same as the order of sample 65
  • 67.
    times in thetime series. In the next paragraph, we briefly describe the main topological measures which have been applied such as average path length, diameter, modularity, and clustering coefficient. 4. Topological properties of the network An undirected and unweighted complex network can be regarded as a graph G = (N, E) which consists of a set of N = (n1, n2, . . . , nN ) nodes or vertices and a set of E = (e1, e2, . . . , eN ) edges or links. The topological structure of the network is described by a NxN adjacency matrix A = [aij] where aij = 1 if the vertex i is connected to vertex j and aij =0 otherwise. The degree of a node i(ki) is an important characteristic of a node i. Hence, the degree of a node is the number of edges that it shares with other nodes [23]. For undirected networks it can be computed as ki = j aij = i aji (2) and the average degree of a network is the average of ki for all nodes in the network < k >= 1 N i ki = 1 N ij aij (3) For a network, the number of edges in a path connecting vertices i and j is called the length of the path. The distance dij between nodes i, j is the length of the shortest path connecting nodes i, j. The largest of the shortest path distances between any pair of nodes is called diameter D of a network and the average distance < di,j > is the average distance of a network connecting any pair of points i, j. The average path length or characteristic path length is defined as the average number of edges along the shortest paths for all possible nodes in the network [24] D = maxi,jdi,j (4) < di,j >= 1 N(N − 1) i,j di,j (5) The characteristic path length shows a global accessibility of the network. The clustering coefficient [24] of a network shows a local connectivity among any three nodes in the network and for a node i can be defined as ci = 2ei ki(ki − 1) (6) where ki is the number of neighbors of i and ei is the number of connected pairs between all neighbors of i. The clustering coefficient C of the whole network is the average all individual ci and it is defined as 66
  • 68.
    C =< ci>= 1 N i ci (7) An alternative definition of the clustering coefficient of a node i is the ratio E/M, where E is the number of edges between the neighbors of node i, and M is the maximum number of edges that could possibly exist between the neighbors of i. The clustering coefficient of a node is always a number between 0 and 1. Therefore, the local clustering coefficient measures the probability of the neighbors of a node i being connected, which is the probability that first step neighbors of a node i (called friends of the node i) are connected direct each other. Clustering is a measure of network transitivity, expressing the extent to which neighbors of a node are neighbors of each other. Modularity of a network is a measure of the structure of a complex network for detecting communities/clusters within a network and it was introduced by Newman [25]. A high value of modularity indicates a strong division of a network into groups/clusters. Suppose we have a network with n vertices. Let si = 1 if the vertex i belongs to group 1 and si = −1 if it belongs to group 2. The modularity Q is defined as: Q = 1 4m ij (Aij − kikj 2m )sisj (8) where Aij is the number of edges between vertices i and j (normally Aij is 0 or 1, so-called adjacency matrix), kikj/2m is the expected number of edges between vertices i and j if edges are placed at random, where ki and kj are the degrees of the vertices and is the total number of edges in the network. Community identification in networks is useful because vertices belonging to the same community are more likely to share the same properties. Networks presenting high modularity have dense connections between their nodes. A closely connected community will imply a faster rate of transmission of in- formation. For a more detailed description of the topological properties of a network one can consult the following studies [24–26]. 5. Results and Discussion We analyzed 21 recordings of temperature time series, one for each radial location of measurement, where the sampling time at each location was 40s at a frequency of 80Hz. The first time series recorded in a position x=32.40cm at horizontal axis and the last position in x=46.50cm. In Fig. 4 the time series is displayed. The horizontal axis refers to time (t) and the vertical axis refers to each time series located as we move from the left boundary (x=32.4cm) of tank to the right (x=46.5cm). 67
  • 69.
    Fig. 4. Thetime series at various positions. A representative shadowgraph view of the turbulent flow and the correspond- ing structures is presented in Fig. 5. Moreover in this figure we present ap- proximately the jet axis region and the rest regions and also the location of the centerline of the jet using different colors. Fig. 5. Shadowgraph view of the experimental setup. The green areas refer to the boundary region while the blue and red areas refer to the jet axis region and inner regions respectively. The red arrows indicate the limits of the measurement zone. As we have mentioned before the main idea is to analyze and investigate tem- perature fluctuations from a vertical turbulent heated jet where temperature time series were recorded along a horizontal cut through the jet axis by trans- forming them to complex networks. The time series are converted into complex networks by applying the transformation phase space method (k nearest neigh- bors), proposed by Xu et al. [20] and also the visibility graph suggested by 68
  • 70.
    Lacasa et al.[22]. Then for each network (derived from both methods) we eval- uated the main topological network properties and demonstrated how these properties can be used to distinguish different dynamical regimes of the liquid regions. Then for each network, we calculated the basic topological measures such as the average path length, diameter, modularity, and clustering coef- ficient. Fig. 6 illustrates an example of representative constructed networks from time series recorded at different measurement locations along a horizon- tal line. The first row corresponds to time series recorded in the boundary region, the second row in the jet axis region and the third in the expected in- ner region. In the left part, we plot the time series as recorded, then we present the adjacency matrix of the network, next we represent the graph generated through the visibility algorithm and the k neighbors method respectively. A general outcome of this type of analysis is that differences in the time series dynamical behavior are mapped onto the corresponding network topologies as a function of the measurement position in the flow region. Fig. 6. From left to right the time series, adjacency matrix, and network graph generated through the visibility algorithm and the k neighbors method, respectively, for time series derived from B.R , I.R , and J.R. The blue color refers to the visibility method, while the red to the phase space method. A first comment on the performance of the two methodologies would be that in the case of the visibility algorithm the way each node is connected to each other and the possible communities seem to be more clearly represented in the graph than the networks constructed using the k neighbors method. 5.1. Evaluation of the network topological characteristics The estimation of the simple topological measures diameter, average path length, modularity, and clustering coefficient as a function of the horizontal 69
  • 71.
    position along thecut as reconstructed using the phase space method and the visibility algorithm are shown in Fig. 7-10. The obtained results for the diameter for each time series with visibility method and with phase space method are displayed in Fig. 7. The horizontal axis refers to the measurement location of each time series, while the dashed lines indicate approximately the threshold of the flow region. The result of the diameter of the network by phase space method is quite symmetric except for the values at the edges. Furthermore, we can see in the same graph that as we move from the left part towards the center the calculated values decrease and present a minimum at the position x=37.40cm, then the values increase again. Although, the profile of diameter using the visibility algorithm is not as symmetrical as the other one, it presents its lowest value at x=37.40cm. In fact measurements on the far right or far left correspond to measurements in the ambient water, which as one can understand correspond to a different dynamical regime than that of the flow region. In fact, the main flow region is located approximately between 35 and 42cm. Thus, when we refer to minimum or maximum of a property we mean in the flow region and not to the whole extend of the measurement data. Fig. 7. Diameter of the networks along the horizontal axis using the phase space method and visibility graph respectively. Further, Fig.8 shows the results of the average path length. Also the average path length has a symmetrical behavior both for phase space method and visibility algorithm. With both methods, the smallest value is observed at x=37.40cm. The combination of values of diameter and average path length leads us to the conclusion that the network originating from the time series at x=37.40cm is more dense than the other. This result allows us to distinguish this time series (and the corresponding measurement field) from all the others. 70
  • 72.
    Fig. 8. Averagepath length of the networks along the horizontal axis using the phase space method and visibility graph respectively. Moreover, in Fig. 9 we have calculated the modularity for each network. One can also observe that the results from both methods of network construction present qualitatively the same spatial evolution. It is interesting to note that the modularity of the groups with the lowest values (in the flow region) appears for both methods for the time series at x=37.40cm. The spatial evolution of the modularity values around this lowest value is smoother for the phase space method. In the network perspective a high modularity means strong separation in communities. In general, the higher is value the fewer the communities. The lowest value at the point x=37.40 cm reflects that the corresponding network will have tendency to form many communities with small population compared to networks resulting from regions close to the boundary. Fig. 9. Modularity of the networks along the horizontal axis using the phase space method and visibility graph respectively. 71
  • 73.
    The results forthe clustering coefficient are presented in Fig. 10. It is inter- esting to note that in the inner region (from x=36.40 to x=40.25) there is a time series at x=37.40, where the clustering coefficient clearly have the lowest value. In the network topology, the clustering coefficient measures the prob- ability of the neighbors of a node i being connected, which is the probability that the friends of node i are friends among each other. This means that in this network, which results from the time series measured at x=37.40, the nodes are more independent than in the networks constructed from the rest of the time series in the flow region. Fig. 10. Clustering coefficient of the networks along the horizontal axis using the phase space method and visibility graph respectively. The behavior of the network topological statistics can be linked to the physi- cal state of the liquid and the underlying mechanisms. As we have mentioned before in the case of fully developed turbulence, there exist large and small vortices. In the jet axis region, the contribution of small, short living structures is more pronounced leading to fast perturbation of the dynamics thus resulting fewer connections between nodes, while as we move towards the inner region and the boundary region the contribution of large structures is more impor- tant resulting longer memory connections as it is reflected on the diameter and length properties. According to the modularity, since close to the jet axis the action of the small vortexes created often perturbation of the system dynamics and as a result the successive states lose connectivity, while at the boundary where the large long living structures are predominant more states are con- nected forming fewer communities. Summarizing, we have clearly shown that the lowest values of diameter, average path length, modularity, and cluster- ing coefficient were observed for the time series located at x=37.40cm and the interpretation of these topological properties indicates that correspond to the jet axis. It is of interest to note that using conventional hydrodynamics methods, the position of the jet axis was estimated by an exponential fit at 72
  • 74.
    x=37.75cm. Figure 11shows the difference between the average temperature and the temperature of ambient fluid with fitting a Gaussian (normal distri- bution) curve. Fig. 11. Diferrence between average temperature and the temperature of ambient fluid. The average degree profile of each network constructed by visibility graph is displayed in Fig. 12. The average degree of a network is the average of the degrees over all nodes in the network. Due to the mechanism of transforming a time series into a network by phase space method,12 the resulting average degree is stable equal 2k. Fig. 12. Average degree of the networks along the horizontal axis. As we clearly observe, the profile of average degree is quite symmetrical. Close 73
  • 75.
    to the boundary(except for the location x=32.40cm on the left and the region x= 42.50-46.50cm on the right, which lies outside the turbulence trajectories and in fact corresponds to ambient water) degree takes high values. As we move from the boundary towards the inner region, its value decreases and takes the lowest value at x= 37.40cm. 6. Conclusions In the present study we have provided a first attempt in the study turbulent jet flows, to distinguish the region near jet axis from those near the boundary (ambient water) and the one in between, based on temperature time series analysis through complex network analysis and non-conventional statistical methods. We focused to identify the corresponding jet axis as well as fur- ther distinguishing the various region of the flow from the point of view of their dynamical behavior. In contrast to several previous studies the main advantage of the method presented is that it does not require prior special- ist hydrodynamic knowledge. We have applied the the transformation phase space method (k nearest neighbors), proposed by Xu et al.(2008) and also the visibility graph suggested by Lacasa et al. (2008). The mapped networks are then analyzed from the topological properties such as degree distribution, av- erage path length, diameter, modularity and clustering coefficient as a function of the measurement position in the jet. We have shown that these topolog- ical properties provide results that are in agreement with those of applied hydrodynamics methods. It turns out that the various measures can provide information about various regions of the jet, as well as about the location of jet axis. We have associated this spatial variation to the different dynamical regimes present in the flow and more specifically to the presence of small/large, short/living vortices which are present in turbulent flows. In fact the results suggest that the above analysis is capable of extracting information and can be useful to identify the jet axis. More specifically, the time series near the jet axis have considerably different range of values of topological properties from the time series near the boundary with ambient fluid. Comparing the performance of the two methodologies for network construction, we conclude that the topological properties of the network have almost the same quali- tative behavior apart perhaps the fact that in the case of the phase space method variation of the topological properties except that of the clustering coefficient seems to be smoother than in the case of visibility algorithm. The proposed analysis could also be employed in the case to other spatiotemporal phenomena and extract more complex spatiotemporal dependencies between other physical variables too. 74
  • 76.
    References [1] Donges, J.F., Zou, Y., Marwan, N., & Kurths, J. (2009). Complex networks in climate dynamics. The European Physical Journal Special Topics, 174(1), 157-179. [2] Zou, Y., Small, M., Liu, Z., & Kurths, J. (2014). Complex network approach to characterize the statistical features of the sunspot series. New Journal of Physics, 16(1), 013051. [3] Tang, J., Wang, Y., & Liu, F. (2013). Characterizing traffic time series based on complex network theory. Physica A: Statistical Mechanics and its Applications, 392(18), 4192-4201. [4] Xiang, R., Zhang, J., Xu, X. K., & Small, M. (2012). Multiscale characterization of recurrence-based phase space networks constructed from time series.Chaos: An Interdisciplinary Journal of Nonlinear Science, 22(1), 013107. [5] Donner, R. V., Heitzig, J., Donges, J. F., Zou, Y., Marwan, N., & Kurths, J. (2011). The geometry of chaotic dynamicsa complex network perspective.The European Physical Journal B, 84(4), 653-672. [6] Zhang, J., Sun, J., Luo, X., Zhang, K., Nakamura, T., & Small, M. (2008). Characterizing pseudoperiodic time series through the complex network approach. Physica D: Nonlinear Phenomena, 237(22), 2856-2865. [7] Gao, Z., & Jin, N. (2009). Flow-pattern identification and nonlinear dynamics of gas-liquid two-phase flow in complex networks. Physical Review E, 79(6), 066303. [8] Liu, C., Zhou, W. X., & Yuan, W. K. (2010). Statistical properties of visibility graph of energy dissipation rates in three-dimensional fully developed turbulence. Physica A: Statistical Mechanics and its Applications, 389(13), 2675-2681. [9] Meiling L, Xiangnan L, Aohui M, Ting L, Zhihong D (2014) Spatio-temporal stability and abnormality of chlorophyll-a in the Northern South China Sea during 20022012 from MODIS images using wavelet analysis. Continental Shelf Research 75:15-27 [10] Xu, M., Guo, Y., Zhang, Y., Westerdahl, D., Mo, Y., Liang, F., & Pan, X. (2014). Spatiotemporal analysis of particulate air pollution and ischemic heart disease mortality in Beijing, China. Environmental Health, 13(1), 1-12. [11] Hengl, T., Heuvelink, G. B., Tadi?, M. P., & Pebesma, E. J. (2012). Spatio- temporal prediction of daily temperatures using time-series of MODIS LST images. Theoretical and Applied Climatology, 107(1-2), 265-277. [12] Guo, Y., Barnett, A. G., & Tong, S. (2013). Spatiotemporal model or time series model for assessing city-wide temperature effects on mortality?.Environmental research, 120, 55-62. 75
  • 77.
    [13] Voisine, M.,Thomas, L., Bor?e, J., & Rey, P. (2011). Spatio-temporal structure and cycle to cycle variations of an in-cylinder tumbling flow. Experiments in fluids, 50(5), 1393-1407. [14] Bradshaw, P. (1976). Turbulence, topics in applied physics. [15] Monin, A. S., & Yaglom, A. M. (1975). Statistical Fluid Mechanics: Mechanics of Turbulence, vol. 2, 874 pp. [16] Michas, S. N., & Papanicolaou, P. N. (2009). Horizontal round heated jets into calm uniform ambient. Desalination, 248(1), 803-815. [17] Ball, C. G., Fellouah, H., & Pollard, A. (2012). The flow field in turbulent round free jets. Progress in Aerospace Sciences, 50, 1-26. [18] Zhang, J., & Small, M. (2006). Complex network from pseudoperiodic time series: Topology versus dynamics. Physical Review Letters, 96(23), 238701. [19] Yang, Y., & Yang, H. (2008). Complex network-based time series analysis.Physica A: Statistical Mechanics and its Applications, 387(5), 1381- 1386. [20] Xu, X., Zhang, J., & Small, M. (2008). Superfamily phenomena and motifs of networks induced from time series. Proceedings of the National Academy of Sciences, 105(50), 19601-19605. [21] Donner, R. V., Zou, Y., Donges, J. F., Marwan, N., & Kurths, J. (2010). Recurrence networksa novel paradigm for nonlinear time series analysis.New Journal of Physics, 12(3), 033025. [22] Lacasa, L., Luque, B., Luque, J., & Nuno, J. C. (2009). The visibility graph: A new method for estimating the Hurst exponent of fractional Brownian motion.EPL (Europhysics Letters), 86(3), 30001. [23] Barabasi, A. L., & Albert, R. (1999). Emergence of scaling in random networks.science, 286(5439), 509-512. [24] Watts, D. J., & Strogatz, S. H. (1998). Collective dynamics of small- worldnetworks. nature, 393(6684), 440-442. [25] Newman, M. E. (2006). Modularity and community structure in networks. Proceedings of the National Academy of Sciences, 103(23), 8577-8582. [26] Albert, R., & Barabasi, A. L. (2002), Statistical mechanics of complex networks, Reviews of modern physics, 74(1), 47. 76
  • 78.
    Selected papers ofthe 2014 International Conference on Topology and its Applications (2015) Pages 77–86 Department of Mathematics University of Patras Greece New types of continuous functions via Gα-open sets S. Jafari 1 , A. Selvakumar 2 1 College of Vestsjaelland South, Herrestraede 11, 4200 Slagelse, Denmark 2 Info Institute of Engineering Coimbatore-107, Tamilnadu, India Abstract In this paper , we will continue the study of related irresolute functions with gα-open sets [6]. We introduce and study the notion of completely gα-irresolute functions. Further, we discuss the notion of gα-quotient functions and study some of their properties. Key words: gα-open set, gα-irresolute, completely gα-irresolute, gα-quotient. 1991 MSC: 54A05, 54D05 54D10, 54D45. 1. Introduction The first step of generalizing closed set was done by Levine in 1970 [10]. Recently, as generalization of closed sets, the notion of gα-closed sets were introduced and studied by R.Devi et al. [6]. Functions and of course irres- olute functions stand amoung the most important researched points in the whole of Mathematical Science. Crossley and Hildebrand [2] introduced the notion of irresoluteness in 1972. Its importance is significant in various areas of Mathematics and related sciences. In this paper, we will continue the study of related irresolute functions with gα-open sets. We introduce and study the notion of completely gα-irresolute functions. Further, we discuss the notion of gα-quotient functions and study some of their properties. All through this paper, (X, τ), (Y, σ) and (Z, η) stand for topological spaces with no separation axioms assumed, unless otherwise stated. Let A ⊆ X, the closure of A and the interior of A will be denoted by cl(A) and int(A) 1 jafaripersia@gmail.com 2 selvam mphil@yahoo.com
  • 79.
    respectively. A isregular open [17] if A = int(cl(A)) and A is regular closed [17] if its complement is regular open; equivalently A is regular closed if A = cl(int(A)). 2. Preliminaries We recall the following definitions, which are useful in the sequel. Definition 2.1. A subset A of a space (X, τ) is called 1. a semi-open set [11] if A ⊆ cl(int(A)) and a semi-closed set [11] if int(cl(A)) ⊆ A and 2. an α-open set [15] if A ⊆ int(cl(int(A))) and an α-closed set [15] if cl(int(cl(A))) ⊆ A. The semi-closure (resp. α-closure) of a subset A of a space (X, τ) is the inter- section of all semi-closed (resp. α-closed) sets that contain A and is denoted by scl(A) (resp. αcl(A)). Definition 2.2. A subset A of a space (X, τ) is called a 1. g-closed set [21] if cl(A) ⊆ U whenever A ⊆ U and U is semi-open in (X, τ); the complement of g-closed set is g-open set, 2. ∗ g-closed set [19] if cl(A) ⊆ U whenever A ⊆ U and U is g-open in (X, τ); the complement of ∗ g-closed set is ∗ g-open set, 3. gs-closed set [20] if scl(A) ⊆ U whenever A ⊆ U and U is ∗ g-open in (X, τ); the complement of gs-closed set is gs-open set and 4. gα-closed set [6] if αcl(A) ⊆ U whenever A ⊆ U and U is gs-open in (X, τ); the complement of gα-closed set is gα-open set. For a topological space (X, τ), RO(X) (resp. RC(X), GαO(X)) denotes the class of all regular open (resp. regular closed, gs-open) subsets of (X, τ). Definition 2.3. A function f : (X, τ) → (Y, σ) is called 1. strongly continuous [12] if f−1 (V ) is both open and closed in (X, τ) for every subset V of (Y, σ), 2. completely continuous [1] if f−1 (V ) is regular open in (X, τ) for every open set V of (Y, σ), 3. gα-continuous [5] if f−1 (V ) is gα-closed in (X, τ) for every closed set V of (Y, σ), 4. gα-irresolute [5] if f−1 (V ) is gα-closed in (X, τ) for every gα-closed set V of (Y, σ), 5. gα-open [5] if f(V ) is gα-open in (Y, σ) for every open set V of (X, τ), 6. gα-closed [5] if f(V ) is gα-closed in (Y, σ) for every closed set V of (X, τ) and 78
  • 80.
    7. quasi gα-open[3] if f(V ) is open in (Y, σ) for every gα-open set V of (X, τ). 3. Completely gα-irresolute functions Definition 3.1. A function f : (X, τ) → (Y, σ) is called completely gα- irresolute if the inverse image of each gα-open subset of Y is regular open in X. Theorem 3.2. (a) Every strongly continuous function is completely gα-irresolute. (b) Every completely gα-irresolute function is gα-irresolute and hence gα- continuous. Proof. It follows from the definitions. The converse of the above Theorem need not be true in general as seen from the following examples. Example 3.3. (a) Let X = {a, b, c} = Y , τ = {X, φ, {b}, {b, c}} and σ = {Y, φ, {a}, {a, b}, {a, c}}. Define a function f : (X, τ) → (Y, σ) by f(a) = c, f(b) = a and f(c) = b. Clearly, f is completely gα-irresolute but not strongly continuous. (b) Let X = {a, b, c} = Y , τ = {X, φ, {a}, {b}, {a, b}} and σ = {Y, φ, {a, b}}. Define an identity function f : (X, τ) → (Y, σ). Clearly, f is gα-irresolute but not completely gα-irresolute. Theorem 3.4. If a function f : (X, τ) → (Y, σ) is completely gα-irresolute then f−1 (F) is regular closed in X for every gα-closed set F of Y . Proof. Let F be any gα-closed set of Y . Then Y/f ∈ GαO(Y ). By hypothesis, f−1 (Y/F) = X/f−1 (F) ∈ RO(X). We have f−1 (F) ∈ RC(X). Converse is similar. Lemma 3.5. [13] Let S be an open subset of a space (X, τ). Then the following hold: (i) If U is regular open in X, then so is U ∩ S in the subspace (S, τS). (ii) If B ⊂ S is regular open in (S, τS), then there exists a regular open set U in (X, τ) such that B = U ∩ S. 79
  • 81.
    Theorem 3.6. Iff : (X, τ) → (Y, σ) is a completely gα-irresolute function and A is any open subset of X, then the restriction f/A : A → Y is completely gα-irresolute. Proof. Let F be a gα-open subset of Y . By hypothesis, f−1 (F) is regular open in X. Since A is open in X, it follows from Lemma 3.5 that (f/A)−1 (F) = A ∩ f−1 (F), which is regular open in A. Therefore, f/A is completely gα- irresolute. Definition 3.7. [4] A topological space X is said to be gα-normal if each pair of non-empty disjoint closed sets can be separated by disjoint gα-open sets. Theorem 3.8. If f : (X, τ) → (Y, σ) is completely gα-irresolute, gα-closed surjection and X is gα-normal, then Y is gα-normal. Proof. Let F1 and F2 be any distinct gα-closed sets of Y . Since f is completely gα-irresolute, f−1 (F1) and f−1 (F2) are disjoint gα-closed sets of X. By gα- normal of X, there exist U1, U2 ∈ GαO(X) such that f−1 (F1) ⊂ U1 and f−1 (F2) ⊂ U2 and U1 ∩ U2 = φ. Let Vi = Y − f(X − Ui) for i = 1, 2. Since f is gα-closed, the sets V1, V2 are gα-open in Y and Fi ⊂ Vi for i = 1, 2. Since U1 and U2 are disjoint and f−1 (Fi) ⊂ Ui for i = 1, 2, we obtain V1 ∩ V2 = φ. This shows that Y is gα-normal. Definition 3.9. A space X is said to be almost connected [8] (resp. gα- connected [4]) if there does not exist disjoint regular open (resp. gα-open) sets A and B such that A ∪ B = X. Theorem 3.10. If f : (X, τ) → (Y, σ) is completely gα-irresolute surjective function and X is almost connected, then Y is gα-connected. Proof. Suppose that Y is not gα-connected. Then there exists disjoint gα- open sets A and B of Y such that A ∪ B = Y . Since f is completely gα- irresolute surjective, f−1 (A) and f−1 (B) are regular open sets in X. Moreover, f−1 (A)∪f−1 (B) = X, f−1 (A) = φ and f−1 (B) = φ. This shows that X is not almost connected, which is contradiction to the assumption that X is almost connected. By contradiction, Y is gα-connected. Definition 3.11. A space (X, τ) is said to be gα-T1 [4] (resp. r-T1 [8]) if for each pair of distinct points x and y of X, there exist gα-open (resp. regular open) sets U1 and U2 such that x ∈ U1 and y ∈ U2, x /∈ U2 and y /∈ U1. Theorem 3.12. If f : (X, τ) → (Y, σ) is completely gα-irresolute injective function and Y is gα-T1, then X is r-T1. Proof. Suppose that Y is gα-T1. For any two distinct points x and y of X, there exist gα-open sets F1 and F2 in Y such that f(x) ∈ F1, f(y) ∈ F2, f(x) /∈ F2 and f(y) /∈ F1. Since f is injective completely gα-irresolute function, we have X is r-T1. 80
  • 82.
    Definition 3.13. Aspace (X, τ) is said to be gα-T2 [4] for each pair of distinct points x and y in X, there exist distinct gα-open set A and B in X such that x ∈ A and y ∈ B. Theorem 3.14. If f : (X, τ) → (Y, σ) is completely gα-irresolute injective function and Y is gα-T2, then X is T2. Proof. Similar to the proof of Theorem 3.12. Definition 3.15. A space X is said to be (i) Nearly compact [16] if every regular open cover of X has a finite subcover. (ii) Nearly countably compact [9] if every countable cover by regular open sets has a finite subcover. (iii) Nearly Lindelof [8] if every cover of X by regular open sets has a countable subcover. (iv) gα-compact if every gα-open cover of X has a finite subcover. (v) countably gα-compact if every gα-open countable cover of X has a finite subcover. (vi) gα-Lindelof if every cover of X by gα-open sets has a countable subcover. Theorem 3.16. If f : (X, τ) → (Y, σ) is completely gα-irresolute surjective function. Then the following statements hold: (i) If X is nearly compact, then Y is gα-compact (ii) If X is nearly Lindelof, then Y is gα-Lindelof (i) If X is nearly countably compact, then Y is countably gα-compact Proof. (i) Let f : (X, τ) → (Y, σ) be a completely gα-irresolute function of nearly compact space X onto a space Y . Let {Uα : α ∈ ∆} be any gα-open cover of Y . Then, {f−1 (Uα) : α ∈ ∆} is a regular open cover of X. Since X is nearly compact, there exists a finite subfamily, {f−1 (Uαi )/i = 1, 2, ....n} of {f−1 (Uα) : α ∈ ∆} which cover X. It follows that {Uαi : i = 1, 2, ..n} is a finite subfamily of {Uα : α ∈ ∆} which cover Y . Hence, space Y is a gα-compact. The proof of other cases are similar. Definition 3.17. A space (X, τ) is said to be: (i) S-closed [18] (resp. gα-closed compact) if every regular closed (resp. gα- closed) cover of X has a finite subcover. (ii) countably S-closed compact [7] (resp. countably gα-closed compact) if every countable cover of X by regular closed (resp. gα-closed) sets has a finite subcover. (iii) S-Lindelof [14] (resp. gα-closed Lindelof) if every cover of X by regular closed (resp. gα-closed) sets has a countable subcover. Theorem 3.18. Let f : (X, τ) → (Y, σ) be a completely gα-irresolute surjec- tive function. Then the following statements hold: (i) If X is S-closed, then Y is gα-closed compact 81
  • 83.
    (ii) If Xis S-Lindelof, then Y is gα-closed Lindelof (iii) If X is countably S-closed-compact, then Y is countably gα-closed com- pact Proof. It can be obtained similarly as the Theorem 3.16. Theorem 3.19. The following hold for function f : (X, τ) → (Y, σ) and g : (Y, σ) → (Z, η). (i) If f is completely gα-irresolute and g is strongly gα-continuous, then g◦f is completely continuous. (ii) If f is completely gα-irresolute and g is gα-irresolute, then g ◦ f is com- pletely gα-irresolute. (iii) If f is completely continuous and g is completely gα-irresolute functions, then g ◦ f is completely gα-irresolute. Proof. It is obvious. 4. Gα-Quotient function Definition 4.1. A surjective function f : (X, τ) → (Y, σ) is said to be a gα-quotient function if f is gα-continuous and gα-open. Theorem 4.2. Every quotient function is gα-quotient function. Proof. Follows from the definitions. The following example shows that gα-quotient function need not be a quotient function in general. Example 4.3. Let X = {a, b, c} = Y , τ = {X, φ, {a}, {b}, {a, b}} and σ = {Y, φ, {a, b}}. Clearly, the identity function f : (X, τ) → (Y, σ) is gα-quotient but not quotient function. Theorem 4.4. Let f : (X, τ) → (Y, σ) be an open surjective gα-irresolute function and g : (Y, σ) → (Z, η) be a gα-quotient function. Then the compo- sition g ◦ f : (X, τ) → (Z, η) is a gα-quotient function. Proof. Let V be any open set in (Z, η). Then g−1 (V ) is a gα-open set, since g is a gα-quotient function. Since f is gα-irresolute, f−1 (g−1 (V )) = (g ◦f)−1 (V ) is a gα-open in X. This shows that g ◦ f is gα-continuous. Also, assume that V is open in (X, τ). Since f is open in (Y, σ). Then g(f(V )) is also open in (Z, η), because g is gα-quotient function. It follows that (g ◦ f)(V ) is open in (Z, η). Therefore, (g ◦ f)(V ) is gα-open in (Z, η). Thus, (g ◦ f) is gα-quotient function. Theorem 4.5. If h : (X, τ) → (Y, σ) is a gα-quotient function and g : 82
  • 84.
    (X, τ) →(Z, η)is a continuous function where (Z, η) is a space that is con- stant on each set h−1 ({y}), for y ∈ Y , then g induces a gα-continuous function f : (Y, σ) → (Z, η) such that f ◦ h = g. Proof. Since g is constant on h−1 ({y}), for each y ∈ Y , the set g(h−1 ({y})) is a point set in (Z, η). Let f(y) denote this point x ∈ X, f(h(x)) = g(x). We claim that f is gα-continuous. Let V be any open set on (Z, η), then g−1 (V ) is open, as g is continuous. But g−1 (V ) = h−1 (f−1 (V )) is open in (X, τ). Since h is a gα-quotient function, f(V ) is gα-open in Y . Definition 4.6. A surjective function f : (X, τ) → (Y, σ) is said to be a strongly gα-quotient function if f is gα-continuous and quasi gα-open. Theorem 4.7. Every strongly gα-quotient function is gα-quotient function. Proof. It follows from the definitions. The converse of the above Theorem need not be true by the following example. Example 4.8. Let X = {a, b, c} = Y , τ = {X, φ, {a}, {b}, {a, b}} and σ = {Y, φ, {a, b}}. Clearly, the identity function f : (X, τ) → (Y, σ) is gα-quotient but not strongly gα-quotient function. Definition 4.9. A function f : (X, τ) → (Y, σ) is called a completely gα- quotient function if f is gα-irresolute and quasi gα-open. Theorem 4.10. Every completely gα-quotient function is strongly gα-quotient function. Proof. Suppose V is an open set in Y , then it is a gα-open in Y . Since f is gα-irresolute, f−1 (V ) is a gα-open in X. Thus V is open in Y gives f−1 (V ) is a gα-open set in X. Suppose f−1 (V ) is a gα-open set in X. Since f is a completely gα-quotient function, V is open set in Y . Hence, f is strongly gα-quotient function. Definition 4.11. A function f : (X, τ) → (Y, σ) is called a pre gα-open [4] if the image of every gα-open set in X is an gα-open in Y . Theorem 4.12. Let f : (X, τ) → (Y, σ) be a surjective pre gα-open and gα-irresolute function and g : (Y, σ) → (Z, η) be a completely gα-quotient function. Then g ◦ f is completely gα-quotient function. Proof. Let V be a gα-open set in Z. Then g−1 (V ) is a gα-open in Y because g is a completely gα-quotient function. We claim that g ◦ f is gα-irresolute. Since f is gα-irresolute, f−1 (g−1 (V )) is a gα-open set in X, that is g ◦ f is gα-irresolute. Suppose V be a gα-open set in X. Since f is pre gα-open , f(V ) is a gα-open in Y . Since g is completely gα-quotient function, g(f(V )) is open in Z. Therefore, (g◦f)(V ) is open in Z. Hence, g◦f is completely gα-quotient function. 83
  • 85.
    Theorem 4.13. Letf : (X, τ) → (Y, σ) be a completely gα-quotient func- tion and g : (Y, σ) → (Z, η) be a gα-irresolute, quasi gα-open, then g ◦ f is completely gα-quotient function. Proof. Let V be a gα-open set in Z. Then g−1 (V ) is a gα-open in Y , f−1 (g−1 (V )) is a gα-open set in X. Hence g ◦ f is gα-irresolute. Assume that V be a gα-open in X. Since f is completely gα-quotient, f(V ) is open in Y . Implies that f(V ) is gα-open in Y . Then g(f(V )) is open in Z. Therefore, g ◦ f is completely gα-quotient function. Corollary 4.14. Let f : (X, τ) → (Y, σ) be a strongly gα-quotient function and g : (Y, σ) → (Z, η) be a strongly gα-quotient, then g ◦ f is strongly gα-quotient function. Proof. It follows from the Theorem 4.13. Theorem 4.15. If f : (X, τ) → (Y, σ) be gα-quotient surjective function and X is gα-connected (resp. Y is gα-connected), then Y is connected (resp. X is connected). Proof. Suppose that Y is not connected. Then there exist disjoint open sets A and B of Y such that A∪B = Y . Since f is gα-quotient surjective, f−1 (A) and f−1 (B) are gα-open sets in X. Moreover, f−1 (A) ∩ f−1 (B) = X, f−1 (A) = φ and f−1 (B) = φ. This shows that X is not gα-connected, which is a con- tradiction to the assumption that X is gα-connected. By contradiction, Y is connected. Theorem 4.16. If f : (X, τ) → (Y, σ) is completely gα-quotient surjective function and X is gα-connected (resp. Y is connected), then Y is gα-connected (resp. X is gα-connected). Proof. Suppose that Y is not gα-connected. Then there exist disjoint gα- open sets A and B of Y such that A ∪ B = Y . Since f is completely gα- quotient surjective, f−1 (A) and f−1 (B) are gα-open sets in X. Moreover, f−1 (A) ∩ f−1 (B) = X, f−1 (A) = φ and f−1 (B) = φ. This shows that X is not gα-connected, which is a contradiction to the assumption that X is gα-connected. By contradiction, Y is gα-connected. Theorem 4.17. If f : (X, τ) → (Y, σ) is strongly gα-quotient surjective function and X is gα-connected (resp. Y is connected), then Y is connected (resp. X is gα-connected). Proof. Suppose that Y is not connected. Then there exist disjoint open sets A and B of Y such that A∪B = Y . Since f is strongly gα-quotient surjective function, f−1 (A) and f−1 (B) are gα-open sets in X. Moreover, f−1 (A) ∩ f−1 (B) = X, f−1 (A) = φ and f−1 (B) = φ. This shows that X is not gα- connected, which is a contradiction to the assumption that X is gα-connected. By contradiction, Y is connected. 84
  • 86.
    References [1] S. P.Arya and R. Gupta, On strongly continuous maps, Kyungpook Math. J., 14 (1974), 131–143. [2] S. G. Crossley and S. K. Hildebrand, Semi Topological properties, Fund. Math., 74 (1972), 233–254. [3] R. Devi and A. Selvakumar, Quasi gα-open function, (submitted). [4] R. Devi, A. Selvakumar and M. Caldas, Contra gα-continuous functions, (submitted). [5] R. Devi, A. Selvakumar and S. Jafari, Applications of gα-closed sets, (submitted). [6] R. Devi, A. Selvakumar and S. Jafari, gα-closed sets in topological spaces, (submitted). [7] K. Dlaska, N. Ergun and M. Ganster, Countable S-closed spaces, Math. Slovaca, 44 (1994), 337–348. [8] E. Ekici, Generalization of perfectly continuous, Regular set-connected and clopen functions, Acta Math. Hungar., 107 (3)(2005), 193–206. [9] N. Ergun, On nearly paracompact spaces, Intanbul. Univ. Fen. Mec. Ser. A, 45 (1980), 65–87. [10] N. Levine, Generalized closed sets in topology, Rend. Circ. Mat. Palermo, 19 (1970), 89–96. [11] N. Levine, Semi-open sets and semi-continuity in topological spaces, Amer. Math. Monthly, 70 (1963), 36–41. [12] N. Levine, Strong continuity in topological spaces, Amer. Math. Monthly, 67 (1960), 269. [13] P. E. Long and L. L. Herrington, Basic properties of regular-closed functions, Rend. Circ. Mat. Palermo, 27 (1978), 20–28. [14] G. D. Maio, S-closed spaces, S-sets and S-continuous functions, Acad. Sci. Torino, 118 (1984), 125–134. [15] O. Njastad, On some classes of nearly open sets, Pacific J. Math., 15(1965), 961–970. [16] T. Noiri and G. D. Maio, Properties of α-compact spaces, Rend. Circ. Mat. Palermo. Ser(II), (1998), 359–369. [17] M. H. Stone, Applications of the theory Boolean rings to general topology, Trans. Amer. Math. Soc., 41 (1937), 375–381. [18] T. Thomson, S-closed spaces, Proc. Amer. Math. Soc., 60 (1976), 335–338. 85
  • 87.
    [19] M.K.R.S. Veerakumar, Between g∗-closed sets and g-closed sets, Antartica J. Math., 3(1)(2006), 43–65. [20] M.K.R.S. Veera kumar, g-semi-closed sets in topological spaces, Antartica J. Math., 2:2(2005), 201–222. [21] M.K.R.S. Veera Kumar, g-locally closed sets and GLC-functions, Indian J. Math., 43(2)(2001), 231–247. 86
  • 88.
    Selected papers ofthe 2014 International Conference on Topology and its Applications (2015) Pages 87–95 Department of Mathematics University of Patras Greece Vegetable price time series analysis using complex networks S. Karakasidou 1 , L. Zachilas 2 1Department of Economics, University of Thessaly, 38333 Volos, Greece, Central Market of Thessaloniki, Thessaloniki, Greece 2Department of Economics, University of Thessaly, 38333 Volos, Greece Abstract In the present paper we investigate the method of transforming time series to com- plex networks, by analyzing several time series of vegetable prices taken from the Central Market of Thessaloniki, Greece. An hierarchical clustering procedure was employed for the classification of the resulting network topological properties. The results seem promising for the classification of large number of vegetable prices based on their corresponding time series. Key words: Time series analysis, complex networks. 1. Introduction Time series analysis play an important role in understanding the behavior of dynamical systems in a large variety of scientific domains such as physics, economics, biology and mechanics. The majority of methods supposes a linear behavior for the underlying system as well as the presence of stochastic noise. Such methods include autocorrelation function and power spectrum which have been proved quite efficient. However, they present limitations since they cannot detect non-linear correlations or dynamics in the behavior of the system under investigation. In order to identify non-linear behavior and in some cases chaotic behavior there are several methods that have been proposed. Several such methods are based on phase space reconstruction and they include calculation of correla- tion dimension, mutual information [1], recurrence plots [2] and recurrence 1 sofkarak@otenet.gr 2 zachilas@uth.gr
  • 89.
    quantification analysis [3,4].Such methods have been used in the analysis of systems, such as proteins [5,6], economics [7–9] and in molecular systems [10]. Recently a new concept of transformation of time series to complex networks has been introduced. In this frame a time series is mapped into a network and then the resulting network is analyzed in terms of topological concepts of complex networks. The network based analysis have been applied in many disciplines such as biology, sociology, physics, climatology and neurosciences [11–17]. Using this methodology different aspect of the dynamics of the time series can be associated with the topological indices of the network and it is shown how network properties can be employed to distinguish different dynamical regimes. Zhang and Small [18] proposed a transformation from pseudoperiodic time series to complex network. The pseudoperiodic time series is approximately divided into many cycles. Each cycle is treated as a node and the connection between two nodes can be established if the distance between them is less than a given threshold. Yang and Yang [19] used linear correlation coefficient as a connectivity criterion. Xu et al. [20] proposed a method based on embedding the time series into an appropriate phase space and taking each phase space point as a node in the network. Lacasa et al. [21] introduced another approach of transformation of time series into a network based on the visibility of the nodes. According to this method each point in the time series is considered as a node in the network, and two nodes connect each other, if the connecting straight line does not pass through any other point. In our case, we adopted the method of Lacasa et al. [21], since several studies [17] indicate that it works very well, while being easier to apply and it demands less computational power. Further details about the method are presented in the methodology section along with discussion about topological properties. In the present paper we use the method of transforming the vegetable time series to complex network. In a first approach we focused on specific group products in order to investigate the future use for automatic classification of large number of products in the future. In Section 2 we present the data that have been used in the present work. In Section 3 the methodology is analyzed. In Section 4 we present the results, while in Section 5 we present the conclusions of our work. 2. Data The data come from the Central Market of Thessaloniki, Greece and deal with the following products 1) pair of cucumbers 2) dill/parsley (small bunch) 3) leeks 4) rocket (small bunch) 5) salads 6) celery 7) garlic 8) spinach 9) tomatoes, for a two years period (2008-2009). In Fig. 1 representative time series are presented. 88
  • 90.
    cucumber dill/parsley leeks celery Fig.1. Representative vegetable prices time series. 3. Methodology In order to construct a network from a time series one has to define nodes and edges of the corresponding network. Several studies demonstrate that distinct features of a time series can be mapped onto networks with distinct topological characteristics. The visibility algorithm, proposed by Lacasa et al. [21] maps time series to its visibility graph. Each node of the visibility graph corresponds to a point of time series. Suppose a time series x(ti) i = 1, . . . , N of N data. Two vertices x(ti) and x(tj) in the time series have visibility and consequently become two connected nodes in the associated graph, if any other data (tk, x(tk )) placed between them (ti < tk < tj) fulfills (eq.1) . . . x(tk) < x(ti) + (x(tj) − x(ti)) tk − ti tj − ti . . . (1) 89
  • 91.
    The order ofthe nodes in the network is the same as the order of sample times in the time series. Below we briefly describe the main topological measures which have been ap- plied such as average path length, diameter, modularity, and clustering coeffi- cient. An undirected complex network of a set of N = (n1, n2, . . . , nN ) nodes or vertices and a set of E = (e1, e2, . . . , eN ) edges or links can be regarded as a graph G = (N, E). The structure of the network can be represented by N × N adjacency matrix A = [aij] where aij = 1 if the vertex i is connected to vertex j and aij = 0 otherwise. The degree of a node i, ki, is the number of edges that it shares with other nodes [22]. For undirected networks it can be calculated as ki = j aij (2) and the average degree of a network is the average of degrees over all nodes < k >= 1 N i ki = 1 N ij aij (3) For a network, the number of edges in a path connecting vertices i and j is called the length of the path. The distance dij between nodes i, j is the length of the shortest path connecting nodes i, j. The largest of the shortest path distances between any pair of nodes is called diameter D of a network and the average distance < di,j > is the average distance of a network connecting any pair of points i, j. The average path length or characteristic path length is defined as the average number of edges along the shortest paths for all possible nodes in the network [23] D = maxi,jdi,j (4) < di,j >= 1 N(N − 1) i,j di,j (5) The clustering coefficient [23] of a network shows a local connectivity among any three nodes in the network and for a node i and is defined as ci = 2ei ki(ki − 1) (6) where ki is the number of neighbors of i and ei is the number of connected pairs between all neighbors of i. The clustering coefficient C of the whole network is the average all individual ci and it is defined as C =< ci >= 1 N i ci (7) The clustering coefficient of a node is always a number between 0 and 1. There- fore, the local clustering coefficient measures the probability of the neighbors of a node i being connected, which is the probability that first step neighbors 90
  • 92.
    of a nodei (called friends of the node i) are connected directly to each other. Clustering coefficient expresses the extent to which neighbors of a node are neighbors of each other. Modularity of a network is a measure of the structure of a complex network for detecting communities/clusters within a network and it was introduced in [24]. A high modularity value indicates a strong division of a network into groups/clusters. Suppose we have a network with n vertices. Let si = 1 if the vertex i belongs to group 1 and si = −1 if it belongs to group 2. The modularity Q is defined as: Q = 1 4m ij (Aij − kikj 2m )sisj (8) where Aij is the number of edges between vertices i and j (normally Aij is 0 or 1, so-called adjacency matrix), kikj/2m is the expected number of edges between vertices i and j if edges are placed at random, where ki and kj are the degrees of the vertices and is the total number of edges in the network. Net- works with high modularity present dense connections between their nodes. A closely connected community in general signifies a faster information trans- mission. In order to find similarities between the various products we used a clustering procedure. In the present study we used hierarchical clustering since it permits the classification of data into categories without any a priori assumptions about the number of classes. 4. Results and Discussion In the present study we analysed nine vegetable price time series for a two year period. Representative networks resulting from the data are presented in Fig.2 where we can see that two different time series present different complex dynamic structure representing the different dynamical behavior as can be estimated from the behavior of the corresponding time series (Fig.1). As we can see two time series present different network structures. The cucumber time series presents two large subgroups with smaller communities within it (larger modularity value)while the celery time series seems to present more distinct communities (lower modularity value). The resulting topological properties for the various products are presented in Table 1. The behavior of the network topological statistics can be linked to the behavior of the corresponding time series. We can see that dill, leeks and especially garlic present large diameter values indicating long paths i.e. correlations between values. 91
  • 93.
    Fig. 2. Resultingnetworks from time series (top: cucumbers, bottom: celery). Table 1. Topological properties of the transformed networks for each time series. Degree Diameter Modularity Clustering coefficient cucumbers 10.803 6 0.680 0.755 dill/parsley 10.227 15 0.539 0.767 leeks 7.858 20 0.629 0.816 rocket 11.732 5 0.409 0.792 salads 11.359 10 0.673 0.755 celery 9.700 6 0.512 0.818 garlic 7.440 63 0.515 0.744 spinach 13.509 5 0.625 0.748 tomatoes 11.176 8 0.662 0.722 92
  • 94.
    For the classificationwe used the topological measures of the resulting net- works (Table 1). The clustering results are presented in Fig.3. We can see the formation of several groups. The first group that appears is the garlic time series. Then we distinguish the rocket time series while a group is formed from the celery and dill/persil. Then the next groups that we can distinguish are leeks, spinach and tomatoes. In the last group that was formed we can see salads and cucumber from the corresponding graphs of the respective time series. The results are in agreement with results of previous analysis based on RP analysis [9]. Fig. 3. Hierarchical clustering results based on topological properties of the resulting networks. 5. Conclusions The use of non linear tools of analyis like the transformation of time series to complex networks is particular useful for extracting qualitative conclusions about the product price variation. The clustering procedure indicates charac- teristics of their dynamics. Further analysis is in progress for the validation of the method. This methodology can be extended to larger quantity of data with extended time duration and number of products. 93
  • 95.
    References [1] Kantz H.and Schreiber T. (2003). Nonlinear Time Series Analysis, 2nd edition, Cambridge. [2] Eckmann J.-P., Kamphorst S. O. and Ruelle D. (1987). Recurrence plots of dynamical systems. Europhysics Letters, 4, 973-977. [3] Zbilut, J.P., Webber, C.L., Jr. (1992). Embeddings and delays as derived from quantification of recurrence plots, Physics Letters A, 171, 199-203. [4] Trulla L.L., Giuliani A., Zbilut J. and Webber, C.L. Jr. (1996). Recurrence quantification analysis of the logistic equation with transients. Physics Letters A, 223, 255-260. [5] Zbilut, J. P., Giuliani, A., Colosimo, A., Mitchell, J. C., Colafranceschi, M., Marwan, N., Webber Jr.,C.L. and Uversky, V.N. (2004). Charge and hydrophobicity patterning along the sequence predicts the folding mechanism and aggregation of proteins: A computational approach. J. Proteome Res., 3, 1243-1253. [6] Giuliani, A., Benigni, R., Zbilut, J. P., Webber Jr., C. L., Sirabella, P. and Colosimo, A. (2002). onlinear signal analysis methods in the elucidation of protein sequence-structure relationships. Chem. Rev., 102, 1471-1491. [7] Strozzi, F., Zaldiovar, J.-M. and Zbilut, J. P. (2002). Application of nonlinear time series analysis techniques to high-frequency currency exchange data. Physica A, 312, 520-538. [8] Fabretti, A. and Ausloos, M. (2005). Recurrence plot and recurrence quantification analysis techniques for detecting a critical regime. Examples from financial market indices. Int. J. Mod. Phys. C, 16, 671-706. [9] Karakasidou S. (2013). Non-linear analysis of vegetable time seriesQ application on the Central Market of Thessaloniki S.A., Proceddings oth the 26th Panhellenic Statisics Conference (2013), pp.98-107 (in greek) [10] Karakasidis T. E., Fragkou A, Liakopoulos A. (2007). System dynamics revealed by recurrence quantification analysis: Application to molecular dynamics simulations. Physical Review E, 76, 021120. [11] Donges, J. F., Zou, Y., Marwan, N., & Kurths, J. (2009). Complex networks in climate dynamics. The European Physical Journal Special Topics, 174(1), 157-179. [12] Zou, Y., Small, M., Liu, Z., & Kurths, J. (2014). Complex network approach to characterize the statistical features of the sunspot series. New Journal of Physics, 16(1), 013051. [13] Tang, J., Wang, Y., & Liu, F. (2013). Characterizing traffic time series based on complex network theory. Physica A: Statistical Mechanics and its Applications, 392(18), 4192-4201. 94
  • 96.
    [14] Xiang, R.,Zhang, J., Xu, X. K., & Small, M. (2012). Multiscale characterization of recurrence-based phase space networks constructed from time series.Chaos: An Interdisciplinary Journal of Nonlinear Science, 22(1), 013107. [15] Donner, R. V., Heitzig, J., Donges, J. F., Zou, Y., Marwan, N., & Kurths, J. (2011). The geometry of chaotic dynamicsa complex network perspective.The European Physical Journal B, 84(4), 653-672. [16] Zhang, J., Sun, J., Luo, X., Zhang, K., Nakamura, T., & Small, M. (2008). Characterizing pseudoperiodic time series through the complex network approach. Physica D: Nonlinear Phenomena, 237(22), 2856-2865. [17] Charakopoulos, A. K., Karakasidis, T. E., Papanicolaou, P. N., & Liakopoulos, A. (2014). The application of complex network time series analysis in turbulent heated jets. Chaos: An Interdisciplinary Journal of Nonlinear Science, 24(2), 024408. [18] Zhang, J., & Small, M. (2006). Complex network from pseudoperiodic time series: Topology versus dynamics. Physical Review Letters, 96(23), 238701. [19] Yang, Y., & Yang, H. (2008). Complex network-based time series analysis.Physica A: Statistical Mechanics and its Applications, 387(5), 1381- 1386. [20] Xu, X., Zhang, J., & Small, M. (2008). Superfamily phenomena and motifs of networks induced from time series. Proceedings of the National Academy of Sciences, 105(50), 19601-19605. [21] Lacasa, L., Luque, B., Luque, J., & Nuno, J. C. (2009). The visibility graph: A new method for estimating the Hurst exponent of fractional Brownian motion.EPL (Europhysics Letters), 86(3), 30001. [22] Barabasi, A. L., & Albert, R. (1999). Emergence of scaling in random networks.science, 286(5439), 509-512. [23] Watts, D. J., & Strogatz, S. H. (1998). Collective dynamics of small- worldnetworks. nature, 393(6684), 440-442. [24] Newman, M. E. (2006). Modularity and community structure in networks. Proceedings of the National Academy of Sciences, 103(23), 8577-8582. [25] Albert, R., & Barabasi, A. L. (2002), Statistical mechanics of complex networks, Reviews of modern physics, 74(1), 47. 95
  • 97.
    Selected papers ofthe 2014 International Conference on Topology and its Applications (2015) Pages 96–105 Department of Mathematics University of Patras Greece Quasi-Uniformities on Function Spaces Generated by Atoms: Remarks and Questions Angeliki Kontolatou 1 , Kyriakos Papadopoulos 2 , John Stabakis 3 1,3 University of Patras, Department of Mathematics, Greece 2 American University of the Middle East, Kuwait Abstract Let F(X, Y ) be the function space which consists of all functions from X to Y , where X and Y are arbitrary non-empty sets. Assume that A is a transitive atom in the lattice of quasi uniformities on Y , equipped with the partial order relation of inclusion. This type of quasi uniformities is known from the work of E.P de Jager and H.P. K¨unzi. The aim of this article is to present remarks and questions on quasi-uniformities on function spaces F(X, Y ), that are generated by atoms. We observe that, although this type of quasi-uniformities can be easily defined, the corresponding topologies do not behave well with respect to the well-known exponential laws. These quasi-uniformities will not necessarily be atoms, thus we state the following problem: how can one define a correspondence between the atoms of the lattice of quasi-uniformities, and those atoms that are in the lattice of all quasi-uniformities on Y , in the function space F(X, Y )? Key words: Quasi-uniformities, function spaces, atoms. 1991 MSC: Primary 54X10, 58Y30; Secondary 55Z10. 1. Introduction In this section we present some fundamental definitions and results about quasi-uniformities and function spaces, that are important to the rest of the paper. This brief exposition is based on material found in [3]. Definition 1.1. A quasi-uniformity on a set X is a filter U, on X × X, such that: 2 kyriakos.papadopoulos1981@gmail.com
  • 98.
    (U1) If U∈ U, then U ⊇ ∆, where ∆ is the diagonal of U. (U2) If U ∈ U, then there exists V ∈ U, such that V ◦ V ⊆ U. The pair (X, U) is called a quasi-uniform space and the members of U are called entourages. Definition 1.2. A non-zero subfamily B, of a quasi-uniformity U, is a base for U, on X, if and only if every member of U contains a member of B. It can be easily shown, from the definition of quasi-uniformity, that B is a base for U, if and only if (U1) and (U2) are satisfied, plus the property (F2) of filters, which states that for every two elements which belong to a filter (B in our case), their intersection belongs to the filter, too. Definition 1.3. A collection S of subsets of X × X is a subbase for a (quasi-) uniformity U, on X, if and only if the family of the finite intersections of the members of S is a base for U. It can be also easily shown, again from the definition of quasi-uniformity, that S is a subbase for U, if and only if (U1) and (U2) are satisfied. From now on the set of all quasi-uniformities on X will be denoted by q(X), and q(X), ⊆ will be considered a complete lattice (see for example [3]). 2. Quasi-Uniformities on Function Spaces The authors of articles [5], [6], [7], [8] and [9] have studied quasi-uniformities on function spaces in depth. We can define a (quasi-)uniformity on a function space F(X, Y ), in the fol- lowing way: Definition 2.1. Let X be a set and (Y, V) a (quasi-)uniform space. Then, S = {(S, V ) : S ⊆ P(X), V ∈ V} = {(f, g) ∈ F(X, Y ) × F(X, Y ) : (f(x), g(x)) ∈ V, ∀x ∈ S} is a subbase for a (quasi-)uniformity, on F(X, Y ), called the (quasi-)uniformity of the (quasi-)uniform convergence, on the members of S. Definition 2.2. Let X be a set, let (Y, V) be a quasi-uniform space and let also B = {B : B ⊆ X} ⊆ P(X) be a cover for X. Then, the quasi-uniformity qB in the members of the cover B, of X, has as a subbase the family: S = {(B, V ) : B ∈ B, V ∈ V} 97
  • 99.
    = {(f, g)∈ F(X, Y ) × F(X, Y ) : (f(x), g(x)) ∈ V, ∀x ∈ B} Definition 2.3. Given arbitrary spaces Y and Z let Ct(Y, Z) denote the set C(Y, Z) of continuous maps from Y to Z equipped with some topology t. The topology t is said to be splitting on C(Y, Z) if, for every space X, the continuity of a function f : X × Y → Z implies that its adjoint map ˆf : X → Ct(Y, Z) is well-defined, where ˆf(x)(y) = f(x, y) for all x and y. In other words, t is a splitting topology, if the exponential injection EXY Z : C(X × Y, Z) → C(X, Ct(Y, Z)), where EXY Z(f) = ˆf, is well defined (see for example [2]). If for every space X the continuity of ˆf : X → Ct(Y, Z) implies the continuity of f : X × Y → Z, then t is called jointly continuous (or admissible) on C(Y, Z). Equivalently, t is jointly continuous on C(Y, Z) if the evaluation map e : Ct(Y, Z) × Y → Z is continuous, where e(g, y) = g(y). A splitting-jointly continuous topology, on C(Y, Z), is both the greatest split- ting and the coarsest jointly continuous topology on C(Y, Z) (see for example [1]). The exponential objects of the category Top are exactly the corecompact topological spaces. 3. Quasi-Uniformities on Function Spaces Generated by Atoms In [2] E.P. de Jager and H.-P. A. K¨unzi describe atoms, anti-atoms and com- plements, in the lattice of quasi-uniformities. In this section we will construct quasi-uniformities on function spaces generated by atoms and we will examine their topologies. Definition 3.1. Two comparable, distinct quasi-uniformities on a set X, for which there does not exist a quasi-uniformity strictly in between, are called adjacent or neighbours. Two important special cases of adjacent quasi-uniformities are the upper- neighbours of I, the indiscrete quasi-uniformity X × X, which will be called atoms, and the lower-neighbours of D, the discrete quasi-uniformity fil{∆}, which are called anti-atoms of the lattice q(X), ⊆ . 98
  • 100.
    In proposition 1.,of [2], the authors give the following characterization for a transitive atom of q(X), ⊆ . Proposition 3.2. Let SA = (X − A) × X ∪ (X × A) be a preorder, and A =fil{SA} be the filter generated by SA (where X is a set and A a subset of X). Then, A is a transitive atom of (q(X), ⊆). We define a quasi-uniformity, on a function space, which is generated by an atom, as follows: Definition 3.3. If A is an atom of q(Y ), ⊆ , then the quasi-uniformity on F(X, Y ), generated by the subbase: S = {(X, V ) : V ∈ A} = {(f, g) ∈ F(X, Y ) × F(X, Y ) : (f(x), g(x)) ∈ V, ∀ x ∈ X} is called the quasi-uniformity of the atom quasi-uniform convergence, and will be denoted by qA. We generalize the above definition, by the following proposition. Proposition 3.4. Let A be an atom of q(Y ), ⊆ . Then, S = {(f, g) ∈ F(X, Y ) × F(X, Y ) : f−1 (A) ⊆ g−1 (A)} will be a subbase for qA. Proof. A subbase for qA is of the form: S = {(X, SA)} = (f, g) ∈ F(X, Y ) × F(X, Y ) : (f(x), g(x)) ∈ SA, ∀ x ∈ X = (f, g) ∈ F(X, Y ) × F(X, Y ) : f(x), g(x) ∈ ((Y − A) × Y ) ∪ (Y × A), ∀ x ∈ X = (f, g) ∈ F(X, Y ) × F(X, Y ) : f(x) /∈ A ∨ g(x) ∈ A ∀ x ∈ X = (f, g) ∈ F(X, Y ) × F(X, Y ) : ¬ x ∈ f−1 (A) ∨ x ∈ g−1 (A) , ∀ x ∈ X = (f, g) ∈ F(X, Y ) × F(X, Y ) : x ∈ f−1 (A) → 99
  • 101.
    x ∈ g−1 (A), ∀ x ∈ X = (f, g) ∈ F(X, Y ) × F(X, Y ) : f−1 (A) ⊆ g−1 (A) . For finding the induced topology TqA of qA, we consider the subbasic neigh- bourhoods of a function f, of F(X, Y ), and we get the following subbase: (X, SA)(f) = {g ∈ F(X, Y ) : (f, g) ∈ (X, SA)} = g ∈ F(X, Y ) : f−1 (A) ⊆ g−1 (A) Example 3.5. We consider C(X, S), the space of all continuous functions, XV , from a set X to the Sierpinski set S = {∅, {1}, {0, 1}}, where Xv(x) =    1, x ∈ V 0, otherwise. For, say, A = {1}, the subbasic neighbourhoods for a function XV , in C(X, S), will be: (X, SA)(XV ) = XU ∈ C(X, S) : X−1 V (1) ⊆ X−1 U (A) = {XU ∈ C(X, S) : V ⊆ U} This topology is not a splitting one. Additionally, it is contained in the Isbell topology, which is the finest splitting topology on C(X, S). So, there exists H ∈ Ω(X), such that XV ∈ (H, {1}) ⊆ {xU ∈ C(X, S) : V ⊆ U}. Thus, V ∈ H and ∀ U ∈ H, U ⊇ V . So, H = {U ∈ O(X) : U ⊇ V } and, consequently, V is compact. Remark 3.6. The set A is open in the topology of the atom A, namely TA. Indeed, SA(x) = (((X − A) × X) ∪ (X × A)) (x) = {y ∈ X : (x, y) ∈ ((X − A) × X) ∪ (X × A)} = {y ∈ X : y ∈ A} = A Thus, A is a neighbourhood for every point which belongs to it, and so A is open in TA. Remark 3.7. If (X, T) is a topological space, and A ∈ T, then obviously TA ⊆ T, since A ∈ TA, and since A is subbasic-open in TA. Remark 3.8. It is known (see for example [3]) that if (X, T) is a topological space, then there always exists a quasi-uniformity U, on X, such that T(U) = 100
  • 102.
    T. This quasi-uniformityis called Pervin’s quasi-uniformity. In addition, the subbase S = {SA} is such that T(U) = T. We remark that if (X, T) is a topological space, then Pervin’s quasi-uniformity is the supremum of all atoms, that is: qPervin = A∈T A Furthermore, if X = ∅ and q = A⊆X A, then Tq is the discrete topology. Proposition 3.9. Let X be a non-empty set, and let (Y, T) be a topological space. Let also P be Pervin’s quasi-uniformity, compatible with T. Then, the quasi-uniformity qp, on F(X, Y ), has as subbase the family: S = {(f, g) ∈ F(X, Y ) × F(X, Y ) : f−1 (A) ⊆ g−1 (A), ∀A ∈ T} Proof. Since P = supA∈T A, it immediately follows that qp = sup qA. We will now define the quasi-uniformity of the atom quasi-uniform conver- gence, in the members of the cover B of X, which will be denoted by qB A. Proposition 3.10. Let A be an atom of q(Y ), ⊆ and let B = {B : B ⊆ X} ∈ P(X, Y ) be a cover for X. Then, S = {(f, g) ∈ F(X, Y ) × F(X, Y ) : B ∩ f−1 (A) ⊆ g−1 (A)} is a subbase for qB A. Proof. A subbase for qB A is of the form: S = (B, SA) : B ∈ B = (f, g) ∈ F(X, Y ) × F(X, Y ) : (f(x), g(x)) ∈ SA, ∀x ∈ B = (f, g) ∈ F(X, Y ) × F(X, Y ) : f(x), g(x) ∈ (Y − A) × Y ∪ (Y × A), ∀x ∈ B = (f, g) ∈ F(X, Y ) × F(X, Y ) : f(x) /∈ A ∨ g(x) ∈ A , ∀x ∈ B = (f, g) ∈ F(X, Y ) × F(X, Y ) : x ∈ f−1 (A)] ∨ x ∈ g−1 (A) , ∀x ∈ B = (f, g) ∈ F(X, Y ) × F(X, Y ) : x ∈ B → 101
  • 103.
    x ∈ f−1 (A)∨ x ∈ g−1 (A) = (f, g) ∈ F(X, Y ) × F(X, Y ) : x ∈ B ∩ f−1 (A) ⇒ x ∈ g−1 (A) = (f, g) ∈ F(X, Y ) × F(X, Y ) : B ∩ f−1 (A) ⊆ g−1 (A) . Our next step is to find the induced topology of qB A, namely TB qA . So, we consider the subbasic neighbourhoods of a function f, of F(X, Y ), and we get the following subbase for such a topology: (B, SA)(f) = {g ∈ F(X, Y ) : (f, g) ∈ (B, SA)} = g ∈ F(X, Y ) : B ∩ f−1 (A) ⊆ g−1 (A) We will compare quasi-uniformities that are induced by atoms, by introducing a comparison of their covers on X. Definition 3.11. If B1 and B2 are covers for a set X, and if ∀ B1 ∈ B1 ∃ B2 ∈ B2, such that B2 ⊆ B1, then B1 is said to be finer than B2. Proposition 3.12. If B1 and B2 are covers for a set X, such that B1 is finer than B2, then: qB1 A ⊆ qB2 A Proof. Indeed, (B1, SA) ∈ qB1 A ⇔ (f, g) ∈ {F(X, Y )×F(X, Y ) : B1∩f−1 (A) ⊆ g−1 (A)}. But since B1 is finer than B2, then there exists a B2 ∈ B2, such that B2 ⊆ B1. So, B2 ∩ f−1 (A) ⊆ B1 ∩ f−1 (A) ⊆ g−1 (A), which implies that B2 ∩ f−1 (A) ⊆ g−1 (A). Thus, (B2, SA) ∈ qB2 A , and it follows that qB1 A ⊆ qB2 A . Corollary 3.13. If qB1 A ⊆ qB2 A , then Tq B1 A ⊆ Tq B2 A . The proof of Corollary 3.13 is similar to the proof of Proposition 3.12. Example 3.14. Let B1 = {X}. Then, S = {(X, SA)} = (f, g) ∈ F(X, Y ) × F(X, Y ) : X ∩ f−1 (A) ⊆ g−1 (A) = (f, g) ∈ F(X, Y ) × F(X, Y ) : f−1 (A) ⊆ g−1 (A) . Let also B2 = {{x} : x ∈ X}. Then, S = {(x, SA)} 102
  • 104.
    = (f, g)∈ F(X, Y ) × F(X, Y ) : {x} ∩ f−1 (A) ⊆ g−1 (A) = {(f, g) ∈ F(X, Y ) × F(X, Y ) : f(x) ∈ A ⇒ g(x) ∈ A} . Let, finally, B3 = {K : K ⊆ X is compact}. Then, S = {(K, SA)} = (f, g) ∈ F(X, Y ) × F(X, Y ) : K ∩ f−1 (A) ⊆ g−1 (A) . Then, qB1 A ⊆ qB2 A ⊆ qB3 A , and thus Tq B1 A ⊆ Tq B2 A ⊆ Tq B3 A . Remark 3.15. Let A be a transitive atom of Y . Then, A = filt SA. Question: what is the conjugate quasi-uniformity of A and of A−1 ? Answer: we note that S−1 A = (X A) × X ∪ X × A −1 = X × (X A) ∪ X × A = A × X ∪ X × (X A). That is, A−1 = filt(SXA). So, A−1 is also a transitive atom of Y . Obviously qA∨A−1 = qA ∨ qA−1 , where ∨ is the supremum of two quasi-uniformities. Proposition 3.16. Let A = filt(SA), where A ⊂ Y is a transitive atom of q(Y ), ⊆ . Then S = (f, g) ∈ F(X, Y ) × F(X, Y ) : f−1 (A) = g−1 (A) is a subbase for the uniformity qA∨A−1 . Proof. It is enough to observe that (X, S−1 ) = {(f, g) ∈ F(X, Y ) : f−1 (A) ⊃ g−1 (A)}. Remark 3.17. If we consider again C(X, S) and A = {1}, we remark that the quasi-uniformity qA∨A−1 is precisely the discrete one, because: (X, SA) = (xV , xU ) ∈ C(X, S) × C(X, S) : x−1 V (1) ⊆ x−1 U (1) = (xV , xU ) : V ⊆ U and (X, SA) = (xV , xU ) ∈ C(X, S) × C(X, S) : U ⊆ V . 103
  • 105.
    Thus, (X, SA) ∩(X, S−1 A ) = (xV , xU ) ∈ C(X, S) × C(X, S) : U = V = (xV , xU ) : xV ∈ C(X, S) = ∆C(X,S), where ∆C(X,S) is the diagonal of C(X, S). Proposition 3.18. Let f : X → Y be a function. If A is a transitive atom on q(Y ), ⊆ , then the initial quasi-uniformity on X is the one generated by the filt(Sf−1(A)). In other words, the initial uniformity on X is also an atom on q(Y ), ⊆ . Proof. If A ⊆ Y , then f−1 2 (SA) = f−1 2 (Y A) × Y ∪ Y × A = X f−1 (A) × X ∪ X × f−1 (A) = Sf−1(A). 4. Open Problems (1) Let A be a transitive atom in q(Y ), ⊆ . How can one define an atom in q F(X, Y ) , ⊆ , that is generated by A? If we denote by α(Y ) all atoms of q(Y ), ⊆ , this question can be restated as follows: Does there exist a map f : α(Y ) → α F(X, Y ) ? (2) Does there exist a map f : α(X × Y ) → α F(X, Y ) ? (3) Does there exist a map f : α F(X, Y ) → α(X)? 104
  • 106.
    (4) Does thereexist a map f : α F(X, Y ) → α(Y )? (5) What are the corresponding answers, to the questions above, if we con- sider an anti-atom in (q(Y ), ⊆)? References [1] R. Arens and J. Dugundgi, Topologies for function spaces, Pacific J. Math., Volume 1, pp. 5–31, 1951. [2] J. Dugundgi, Topology. Allyn and Bacon, Boston, MA, USA, 1966. [3] P. Fletcher and W. F. Lindgren, Quasi-Uniform Spaces, Lecture Notes in Pure and Applied Mathematics, Volume 77, 1982. [4] E. P. de Jager and H.-P. K¨unzi, Atoms, anti-atoms and complements in the lattice of quasi-uniformities, Topology and its Applications, 153 (2006) 3140- 3156. [5] B.K. Papadopoulos, The Topology of Quasi Uniform Convergence on the Set of Continuous Maps , III Convegno Nationale Di Toopologia, Trieste, Supplement Di Rendiconti Del Circolo Matematico Di Palermo, pp. 381-390, (1988). [6] B.K. Papadopoulos, (Quasi-)Uniformities on the Set of Bounded Maps, International Journal of Mathematics and Mathematical Sciences, Vol. 17, No 4, pp. 693-696 (1994). [7] B.K. Papadopoulos, A Note on the Paper ‘Quasi Uniform Convergence on Function Spaces’, Questions and Answers in General Topology, Vol. 13, 55-56 (1995). [8] D.N. Georgiou and B.K. Papadopoulos, Convergence and Topologies on Function Spaces, Panamerican Journal of Mathematics, Vol. 5, No. 1, 101-119 (1995). [9] D.N. Georgiou and B.K. Papadopoulos, A Note on the Finest Splitting Topology, Questions and Answers in General Topology, Vol. 13, No. 2, 137-144 (1997). 105
  • 107.
    Selected papers ofthe 2014 International Conference on Topology and its Applications (2015) Pages 106–114 Department of Mathematics University of Patras Greece Topological adjacency in ontology alignment Ioannis Kougias 1 , Lambrini Seremeti 2 , Dimitris Kalogeras 3 1Computer and Informatics Engineering Department, Technological Educational Institute of Western Greece 2Faculty of Sciences and Technology, Hellenic Open University, Greece 3Mathematics School Counselor of Eastern Greece Abstract Recent developments on technological applications are mainly based on knowledge representation and management. In this perspective, ontologies, as machine readable artifacts that are capable of formally and explicitly codifying a knowledge domain, are used as the main stakeholders of these applications. In the present work a struc- tural similarity measure for ontologies, based on the topological notion of adjacency is proposed, for it takes into consideration all the paths included in an ontology graph in order to compute a measure between two distinct ontologies. 1. Introduction Technological applications are nowadays mainly based on knowledge represen- tation and management. In this perspective, ontologies, as machine readable artifacts that are capable of formally and explicitly codifying a knowledge domain, are used as the main stakeholders of these applications. Usually, ontologies involve components called entities which are: individuals, classes or concepts, attributes (parameters that classes can have) and binary relations associated to classes [6]. Mathematically speaking, ontologies can be considered as labeled quivers, that is, multigraphs with labeled vertices and edges, where the vertex and edge labels take values from finite alphabets [11]. 1 kougias@teimes.gr 2 kseremeti@hol.gr 3 dkaolger@teimes.gr
  • 108.
    Since ontologies aresubjective representations of a specific domain, ontology alignment is needed to support interoperability and common understanding between different parties. Ontology alignment is used for finding semantic relations among the entities of ontologies [3]. In mathematical language, it is a set of correspondences of the form ei, ej, r , where ei, ej are the entities of the ontologies Oi and Oj, respectively and r the relation holding between those entities. During the discovery of those semantic relations, measure for similarity com- putation is used. This measure can belong to two general groups; namely lexical measures and structural ones, the first of which are based on similari- ties of labels used to name the entities of ontologies. The main idea in using a lexical similarity measure is the fact that usually similar entities have similar labels. The second ones try to recognize similarities by considering the no- tion of neighbourhood residing in ontology graphs. The basic idea behind the use of a structure similarity measure is the fact that entities of two distinct ontologies are similar when their adjacent entities are similar [5]. This statement refers directly to the topological science, which is typically defined as spatial relationships between adjacent or neighbouring features [1] or properties which define relative relationships between spatial elements, in- cluding adjacency, connectivity and containment [10]. In this paper a structural similarity measure for ontologies is proposed, based on the topological notion of adjacency, since it takes into consideration all the paths included in an ontology graph in order to compute a measure between two distinct ontologies. 2. Related work on structure similarity measures There have been numerous works for finding structural similarities of graph entities. Some of them are developed specifically for ontology alignment while some others have been developed for other domains, but still are useful for the ontology alignment problem. 2.1. Structural Topological Dissimilarity on Hierarchies This method computes the dissimilarity of elements in a hierarchy based on their distance from closest common parent. A structural topological dissim- ilarity δ : O × O → R is a dissimilarity over a hierarchy H = O, ≤ , such 107
  • 109.
    that: ∀e, e ∈O, δ (e, e ) = min c∈O [δ (e, c) + δ (e , c)] . (1) Where δ (e, c) is the number of intermediate edges between an element e and another element c [12]. 2.2. Upward Cotopic Similarity The Upward Cotopic distance δ : O×O → R is a dissimilarity over a hierarchy H = O, ≤ , such that: δ (c, c ) = UC (c, H) ∩ C (c , H) UC (c, H) ∪ UC (c , H) , (2) where UC (c, H) = {c ∈ H : c ≤ c } is the set of superclasses of c [9]. 2.3. Similarity Distance This measure computes the relationship among entities for a single hierarchy. The concept similarity is defined as: Sim (c1, c2) = 1 − distance (c1, c2) . (3) Every concept in the hierarchy is assigned a milestone value. Since the distance between two given concepts in a hierarchy represents the path over the closest common parent ccp, the distance is calculated as: distance (c1, c2) = distance (c1, ccp) + distance (c2, ccp) , (4) distance (c, ccp) = milestone (ccp) − milestone (c) . (5) The milestone values of concepts in the concept hierarchy are calculated as follows: milestone (n) = 1 kl(n)+1 , (6) where l (n) is the length of the longest path from the root to the node n in the hierarchy and k is a predefined factor larger than 1 indicating the rate at which the milestone values decrease along the hierarchy [13]. Similarly methods like those introduced in [7], [2], and [4] also try to use the similarity of parents, children and siblings to calculate the relationships of concepts in two ontologies. All the above-mentioned measures cannot be applied as such in the context of ontology alignment since the ontologies are not supposed to necessarily share 108
  • 110.
    the same taxonomy.For that purpose, it is necessary to extend these kinds of measures over a pair of ontologies. 3. Proposed topology-based similarity measure Given two ontologies O1 and O2, calculate the vectors l1, l2 having as elements the lengths of all the paths from the root of each ontology, to all its leaves, i.e., l1 = [l11, l12, ..., l1i, ...], with l1i = length of the path from the root of ontology O1to its ith leaf, i = 1, 2, ..., # leaves of ontology O1 l2 = [l21, l22, ..., l2j, ...] with l2j = length of the path from root of ontology O2 to its jth leaf, j = 1, 2, ..., # leaves of ontology O2 Let L = max{|l1|, |l2|}, with |li|the dimension of vector li, i = 1, 2. Create two new vectors a, t, where a is equal to the vector li i = 1, 2 which has the biggest dimension and where t is produced completing the remaining of the vectors li with leading zeros. Both vectors a, t, have dimension L. More precisely: if |li| > |lj|, i, j ∈ {1, 2} and i = j, then a = li, t = 0, lj , with the dimension of 0 being equal to L − min{|l1|, |l2|}. Compute now a square L × L matrix C, with elements cij = |ai − tj|, i, j = 1, 2, ..., L. Then, create two new vectors r and s, by appropriately reordering the vectors a and t, as explained hereafter. Let us consider two sets B and T with cardinalities equal to L and let βi, τi, i = 1, 2, ..., L, denote their respective elements. Consider the bipartite graph having as nodes the elements of the sets B and T and containing all possible edges between respective elements of the two sets. The edge linking βi, to τj i, j = 1, 2, ..., L, has a weight equal to cij = |ai − tj|. One can then always find a square matrix X with dimensions L×L having elements xij, i, j = 1, 2, ..., L, such that the following relations hold: 1. ∀i = 1, 2, ..., L, L j=1 xij = 1, 2. ∀j = 1, 2, ..., L, L i=1 xij = 1, 3. ∀i, j = 1, 2, ..., L, xij ≥ 0, 109
  • 111.
    4. L i=1 L j=1 cijxij is minimized. Itcan be proven that such elements xij, i, j = 1, 2, ..., L, exist and take either the value 0, or the value 1. If xij = 1, then the ith element of the reordering r is ri = ai, while the jth element of the reordering s is sj = tj. The structural similarity between the two ontologies is finally calculated as the cosine of the angle between the vectors r and s: σ(O1, O2) = r · s ||r|| · ||s|| = L i=1 risi L i=1 r2 i L i=1 s2 i . The idea behind the Structural Similarity Measure, is to compare the structure of the two ontologies, based on the minimization of the sum of the absolute values of the differences between the lengths of all the respective pairs of paths belonging to the two ontologies; these paths lead from the root of each ontology to each of its leaves. In order to count the lengths of the paths, we can use a graph traversal al- gorithm like DFS (Depth First Search) together with a counter, initialized at zero, augmented by one each time an edge is found, decreased by one each time that backtracking is considered and memorized in a stack each time a leaf (no descendants) is encountered. DFS is effective enough, of complexity Θ (V 2 ) when a representation with adjacency matrices is used and Θ (V + E) when a representation with adjacency lists is used, where V is the number of the graph vertices and E is the number of the graph edges. The vectors ¯l1, ¯l2 having as elements the lengths of all the paths of the on- tologies thus obtained, may have different dimensions. That is why we add leading zeros to the vector with the lower dimension, in order to compensate this difference in dimensions (these zeros can be considered to correspond to the missing paths of one of the ontologies with respect to the other). The vectors ¯a and ¯t are thus obtained. We have now established a correspondence between the paths of one of the ontologies and the respective paths of the second one. In the aim to minimize the sum of the absolute values of the dif- ferences of the lengths of the corresponding pairs of paths, we need to reorder the vectors ¯a and ¯t into new vectors ¯r and ¯s, respectively. In order to achieve this, we reformulate the problem, as a linear assignment problem. We consider a bipartite graph with all possible nodes connecting the elements of two sets B and T of cardinality L, as seen in Figure 1. We consider that the edge linking βi to τj, i, j = 1, 2, ..., L, has a weight equal to 110
  • 112.
    cij = |ai− tj| (i.e. the absolute value of the difference of the lengths of the respective paths). Fig. 1. The bipartite graph between the elements of the sets B and T The matrix C corresponds to a weight function C : B × T → R. In order to maximize the resemblance between the structures of the two ontologies, we need to minimize the sum of the absolute values of the differences of lengths between respective paths, that is, referring to Figure 1, we need to find a bijection f : B → T, such that the cost function L i=1 cij is minimized, with f (βi) = τj being the image of βi under the bijection f. But, this is the formal definition of the linear assignment problem. The assignment problem is a special case of the transportation problem, which is a special case of the minimum cost flow problem, which in turn is a special case of the linear problem. It is thus possible to solve the minimization problem that we have, by using the simplex algorithm (very effective in practice, generally taking 2 to 3 times the number of equality constraints iterations at most and converging in expected polynomial time for certain distributions of random inputs), or more specialized algorithms, like the Bellman-Ford algorithm (O (V 2 E)), or the Hungarian algorithm (O (V 2 log (V ) + V E)). Hereafter, we re-express our minimization problem, as a standard linear problem. Find a matrix X with dimensions L × L, having elements xij, i, j = 1, 2, ..., L, that minimizes the objective function L i=1 L j=1 cijxij, subject to the following constraints: ∀i = 1, 2, ..., L, L j=1 xij = 1, that is, each element of the set B is assigned to exactly one element of the set T, ∀j = 1, 2, ..., L, L i=1 xij = 1, that is, each element of the set T is assigned to exactly one element of the set B. Both the above mentioned constraints are due to the bijection f that we are 111
  • 113.
    searching. ∀i, j =0, 1, ..., L, xij ≥ 0. The variables xij, i, j = 1, 2, ..., L represent the assignment (or not) of βi to τj, i, j = 1, 2, ..., L, taking the value 1 if the assignment is done and taking the value 0 otherwise. The vectors r and s are obtained by appropriately reordering the vectors a and t with the help of the matrix X, which is obtained as the solution of the simplex algorithm. The matrix X has only one non zero element in each of its rows and in each of its columns and this non zero element has a value of 1. If for some xij = 1, then the ith element of the reordering r is ri = ai, while the jth element of the reordering s is sj = tj. Finally, the structural similarity between the two ontologies is calculated as the cosine of the angle between the vectors r and s: σ(O1, O2) = r · s ||r|| · ||s|| = L i=1 risi L i=1 r2 i L i=1 s2 i . As a more time efficient alternative, the reordered vectors r and s can be obtained by simply sorting the vectors a and t with a V log(V ) algorithm like quicksort and then taking pairs of values which are at the same positions in the two sorted vectors. For the ontologies of Figure 2, we compute the Structure Similarity Measure as σ(O1, O2) = 2 · 2 + 1 · 1 + 1 · 0 √ 22 + 12 + 12 √ 22 + 12 + 02 = 5 6 = 0.9129, which means that they have very similar structure. The corresponding struc- ture similarity factor used in [8], in order to measure the structural similarity between two ontologies, has a value of 0.5 in the case of our example. Our Structure Similarity Measure depicts more accurately the similarity of struc- ture between the two ontologies, which becomes apparent when flipping O1 horizontally. Fig. 2. Structural Similarity Measure example The Structure Similarity Measure for the ontologies of Figure 3 is calculated 112
  • 114.
    as σ(O1, O2) = n √ n √ n2 = 1 √ n , thatis, σ(O1, O2) → 0, as n → ∞. Fig. 3. Structural Similarity Measure example 4. Conclusion In contrast to other similarity measures, the proposed one is based on the topo- logical notion of adjacency, as a natural choice for a distance measure, since ontologies are considered as labeled quivers and the noema of each ontological entity is interpreted through its spatial identity. The proposed topology-based measure is specialized in comparing the structures of two distinct labeled quivers that are used in applications, where knowledge representation and management are necessary. References [1] M. N. DeMers, Fundamentals of Geographic Information Systems, New York: John Wiley & Sons, 1997. [2] Doan, J. Madhavan, P. Domingos and A. Halevy, Learning to map ontologies on the semantic web, Proceedings of the International World Wide Web Conference, pp. 662–673, 2003. [3] M. Ehrig, Ontology alignment: bridging the semantic gap, Springer, 2007. [4] M. Ehrig, Y. Sure, Ontology mapping -an integrated approach, Proceedings of the European Semantic Web Symposium, pp. 76–91, 2004. 113
  • 115.
    [5] J. Euzenatand P. Valtchev, Similarity-based ontology alignment in owl-lite, Proceedings of ECAI, pp. 333–337, 2004. [6] R. T. Gruber, A translation approach to portable specifications, Knowledge Acquisition, 5(2), pp. 199–220, 1993. [7] Y. Kalfoglou, B. Hu, Croci mapping system results of the 2005 ontology alignment contest, Proceedings of K-Cap’05 Integrating Ontologies Workshop, pp. 77–85, 2005. [8] J. Li, J. Tang. RiMOM: A dynamic multistrategy ontology alignment framework, IEEE Transactions on Knowledge and Data Engineering, Vol. 21, No. 8, 2009. [9] A. Maedche, V. Zacharias, Clustering ontology-based metadata in semantic web, Proceedings of the 13th ECML and 6th PKDD, 2002. [10] R. McDonnell, K.K. Kemp, International GIS Dictionary, New York: GeoInformation International, 1995. [11] L. Seremeti, A. Kameas, Composable relations induced in networks of aligned ontologies: a category theoretic approach, Axiomathes, Springer, 2014. [12] P. Valtchev, J Euzenat, Dissimilarity measures for collections of objects and values, LNCS, vol. 1280, Springer, 1997. [13] J. Zhong, H. Zhu, Y. Li and Y. Yu, Conceptual graph matching for semantic search, Proceedings of Conceptual Structures: Integration and Interfaces, pp. 92–106, 2002. 114
  • 116.
    Selected papers ofthe 2014 International Conference on Topology and its Applications (2015) Pages 115–121 Department of Mathematics University of Patras Greece The role of Topology in Knowledge Representation Ioannis Kougias 1 , Lambrini Seremeti 2 , Dimitris Kalogeras 3 1Computer and Informatics Engineering Department Technological Educational Institute of Western Greece, Greece 2Faculty of Sciences and Technology Hellenic Open University, Greece 3Secondary School Counselor of Eastern Greece, Greece Abstract Knowledge representation is the area of Artificial Intelligence the goal of which is to encode human knowledge in such a way that it can be manipulated in an automated way, by reasoning programs. The present work is an attempt to show that topological relativity provides a useful theoretical construct that can invigorate both research and practice in, especially, representing spatio-temporal knowledge, as it is usually imprecise and vague. We highlight the role of topological relations in spatio-temporal knowledge representation, by reviewing the relevant literature. 1. Introduction Knowledge representation can be best understood in terms of five important and distinctly different roles that a representation plays: (1) it is a surrogate, used to enable an entity to determine consequences by thinking rather than acting, (2) it is a set of ontological commitments, i.e., an answer to the question in what terms should one think about the world, (3) it is a fragmentary theory of intelligent reasoning, expressed in terms of three components (the represen- tation’s fundamental conception of intelligent reasoning, the set of inferences the representation sanctions, and the set of inferences it recommends), (4) it is a medium for efficient computation, i.e., the computational environment in which thinking is accomplished, and (5) it is a medium of human expression, i.e., a language in which we say things about the world [7]. 1 kougias@teimes.gr 2 kseremeti@hol.gr 3 dkaolger@teimes.gr
  • 117.
    In recent yearsresearchers have applied principles from the mathematical domain of topology in different fields of knowledge representation [16]. It is mainly used for spatiotemporal knowledge representation, which has a central point in domains like artificial intelligence, spatio-temporal reasoning, nat- ural language processing, human machine interaction, automated reasoning, etc. In these scientific fields the problem is how to represent, in a machine understandable way, sentences like ”the cup is on the table”, ”the apple is in the bowl”, ”this glass contains water”, ”adjacent cities” and similar ones that mainly contain adverbs of locality or temporality. The main problem is how can knowledge about the relative position of two objects or events be represented in information systems, in order to be interoperable (something like human communication), that is, how is an information system able to comprehend the notions of ”on”, ”in”, ”contains”, ”adjacent”, etc. As the representation of relationships in both space and time is a manda- tory requirement of many applications related to real-world phenomena, we conjecture that a minimum set of topological relations can efficiently be used for spatiotemporal knowledge representation. The types of relationships that are usually addressed in spatial representation are: (a) adjacency between two segments or two objects of interest or two semantic objects, and (b) neigh- bourhood between two segments or two objects of interest or two semantic objects without contact between them. This paper does not aim at introducing new topological concepts or proving something already known, but it is based on the idea that topology can serve as a formal basis for commonsense spatiotemporal knowledge representation. The paper is structured as follows. First we make an introduction to spatio- temporal knowledge description. In section 2, the semantics of spatio-temporal knowledge is briefly presented, then, in section 3, we examine how topological relations have been used in spatio-temporal knowledge representation and, in section 4 we provide their semantic interpretation. Finally, section 5 concludes the paper. 2. Semantics of spatio-temporal knowledge Space and time are fundamental principles to structure heterogeneous spatio- temporal data that are used in contemporary information system applications. Research on semantics and especially on ontologies consist a well-suited model for spatio-temporal knowledge representation. Ontologies, representing tem- poral and spatial knowledge, offer the means for coding high level concepts, their properties and their interrelationships. Prominent such ontological models are: Time - OWL that conceptualizes re- 116
  • 118.
    lations such asbefore, overlaps, meets, during, starts, etc. [14], SOWL which offers a representation for spatial objects that are typically formulated us- ing point, line, polyline and minimum bounding rectangle [3]. Recently, as big interest has been drawn upon the semantic approach for modeling spatio- temporal data, many works have conceptualized these data. For example, [2], [18], [19] offer a global ontology for trajectory data. Also in [12] an ontology - based pivot model for representing spatio-temporal sources, is provided. All these approaches support relations between regions or time intervals whose locations or end points are known. There are also some other works [5], [1], [8], [4] that refer to semantic models focused on geographic information. These efforts to integrate geographic information are based on the idea of meta-data standards as the key to information sharing and analysis. 3. Topological relations in spatio-temporal knowledge representation Topology deals with spatial and structural properties of geometric objects or regions, independently of their extension, type or geometric form. A topolog- ical relation concerns connections between spatial objects. It is also used for describing temporal dimension, that is, the temporal dimension is topologi- cally similar to spatial dimension [11]. For example, in [6], an approach that combines topological relationships between regions in two-dimensional space with temporal relationships between convex intervals in time is introduced. In general, there are two ways to describe temporality: talking about time, or modeling the change. Researchers have taken many directions in order to embed topological relationships in spatio-temporal knowledge representation. Some prominent examples are given below. In [13], topological relations are used as a formal basis for languages describ- ing motion events in a qualitative way, that is, a set of relations are expressed between specific regions which correspond to relative motions of spatial en- tities and reasoning on these relations is achieved along with temporal and purely spatial information. In [10], the topological relations between two ar- row symbols are formalized and the influence of these topological relations on the semantics of a diagram is discussed. In [9], the semantic correspondence topological relationships between objects being described and spatial prepo- sitions, such as ’on’, ’in’, ’at’ that describe the spatial configuration between two objects is investigated. In [15] a conceptual metamodel based on topologi- cal relationships is provided, which offers enough modularity and adaptability to represent the various dimensions of spatio-temporal knowledge, in order 117
  • 119.
    to achieve anappropriate interpretation of satellite images. More recently, in [17], a commonsense theory of space and motion for the high - level semantic interpretation of dynamic scenes is proposed. This theory consists of spatial relations that are based on topology and terms of orientation, such as ”left”, ”right”, ”above”, ”below”. 4. Semantic interpretation of topological relations in spatio-temporal knowledge representation The following table shows the most common topological relations, as well as their semantic interpretation in the field of knowledge representation. Topological relation Semantic relation Lexical description Graphical description Disjoint - Unrelated - Disconnected - Irrelevant - Inappropriate - Unconnected - Extraneous No points exist at the same time and thus the intersection of the two re- gions is empty Meet - Adjacent - Neighbouring - Contiguous - On - At - Adjoining - Alongside - Beside - Touching The two regions are only sharing borders Overlap - Related - Overlapping - Associated - Correlated - Connate - Joined It is possible for regions to share interior points, but not all points of the regions are shared 118
  • 120.
    Tangential proper part - Covers - Coveredby - In - Inner - Within - Interior - Indoors One region is a subset of another region and the two regions share some points on the borders Equal - Same - Identical - Equal - Homologous If and only if the two regions are exactly the same, or in other words, identical Non- tangential proper part - Contains - Contained in - Inside - Includes - Interior - Within One region is inside the other, but no bordering points are shared The benefit from using the strictly defined topological relations for knowledge representation is the potential of composing them and, thus, inference will not contain any logical inconsistencies. More precisely, composition of semantically interpreted topological relations allow for the inference of a relation from a set of given binary relations. For example, given that region A is disjoint from region B and that B contains region C, it can be inferred that A is disjoint from C. The composition table on these relations can be a basis for applications where qualitative spatial reasoning is needed. Another challenging problem is to categorize the synonyms of each seman- tic relation that corresponds to a topological relationship in order to define a widely accepted conceptual spatio-temporal knowledge model. One area of research where this proposal may have an impact is in natural language pro- cessing systems for geographic information extraction. 5. Conclusion Topology has been the most useful tool in bridging the gap between formal characterization of relations between spatial entities on the one side and the cognitive processing of spatial information on the other. Since spatio-temporal 119
  • 121.
    aspects are intrinsicallylinked to both physical objects and geographical fea- tures, we believe that topological relativity can be a foundation to unify knowl- edge from these two perspectives. By extending this proposal, the semantic representation of spatio-temporal knowledge formulated in natural language plays a central part in language processing systems, rational reasoning over knowledge bases and generation of natural language expressions from formal representations. An attempt was made in this note to present the various works and effords to use topology in spatio-temporal knowledge representation. References [1] I.B. Arpinar, A. Sheth, C. Ramakrishnan, Geospatial ontology development and semantic analytics, In J.P. Wilson and A.S. Fotheringham (eds), Handbook of Geographic Information Science, Blackwell Publishing, 2004. [2] M. Baglioni, J. Macedo, C. Renso, M. Wachowicz, An ontology - based approach for the semantic modeling and reasoning on trajectories, Proceedings of the ER 2008 workshops on Advances in Conceptual Modeling: Challenges and Opportunities, pp. 344–353, 2008. [3] S. Batsakis, E.G.M. Petrakis, SOWL: Spatio-temporal representation, reasoning and quering over the semantic web, 6th International Conference on Semantic Systems (I - SEMANTICS’ 2010), Graz, Australia, September 1-3, 2010. [4] R. Billen, J. Nogueras -Iso, F.J. Lopez - Pellicer, L.M. Vilches - Blazquez, Ontologies in the geographic information sector, In: G. Falquet, C. Metral, J. Teller, C. Tweed (eds), Ontologies in Urban Development Projects, pp. 83–103, Springer London, 2011. [5] T. Bittner, M. Donnelly, B. Smith, A spatio-temporal ontology for geographic information integration, International Journal of Geographical Information Science, Vol. 00, No. 00, pp. 1–29, July 2006. [6] C. Claramunt and B. Jiang, An integrated representation of spatial and temporal relationships between evolving regions. Journal of Geographical Systems, Vol. 3, pp. 411–428, Springer-Verlag, 2001. [7] R. Davis, H. Shrobe and P. Szolovits, What is a knowledge representation? AI Magazine, Vol. 14, No. 1, pp. 17–33, 1993. [8] F.T. Fonseca, M.J. Egenhofer, P. Agouris, Using ontologies for integrated geographic information system, Transactions in GIS, Vol. 6, No. 3, 2002. [9] J.D. Kelleher, C. Sloan, B.M. Namee, An investigation into the semantics of English topological prepositions, Cognitive Processing, Vol. 10, No. 2, pp. 233– 236, Springer, 2009. 120
  • 122.
    [10] Y. Kurata,M.J. Egenhofer, Topological relations of arrow symbols in complex diagrams. Diagrammatic Representation and Inference, Lecture Notes in Computer Science, Vol. 4045, pp. 112–126, 2006. [11] G. Langran, N.R. Chrisman, A framework for temporal geographic information, Cartographica, Vol. 25, No. 3, pp. 1–14, 1988. [12] M. Manaa, L. Bellatreche, J. Akaichi, S. Khouri, Towards an ontology - based pivot model for spatio-temporal sources, Proceedings of the 11th Asia - Pacific Conference on Conceptual Modeling, Sydney, Australia, 2015. [13] P. Muller, Topological spatio-temporal reasoning and representation, International Journal of Computational Intelligence, Vol. 18, Issue 3, pp. 420– 450, Wiley, 2002. [14] F. Pan, J. Hobbs, Temporal aggregates in OWL - Time, Proceedings of the 18th International Florida Artificial Intelligence Research Society Conference, Florida, AAAI Press, pp. 560–565, 2005. [15] C. Pierkot, S. Andres, J.F. Faure, F. Seyler, Formalizing spatiotemporal knowledge in remote sensing applications to improve image interpretation, Journal of Spatial Information Science, No. 7, pp. 77–98, 2013. [16] A. Segev and A. Gal, Putting things in context: a topological approach to mapping contexts to ontologies, Journal on Data Semantics IX. Lecture Notes in Computer Science, Vol. 4601, pp. 113–140, Springer, 2007. [17] J. Suchan, M. Bhatl, P.E. Santos, Perceptual narratives of space and motion for semantic interpretation of visual data, Computer Vision, Lecture notes in Computer Sciences, Vo. 8926, pp. 339–354, 2015. [18] R. Wannous, J. Malki, A. Bouju, C. Vincent, Modeling mobile object activities based on trajectory ontology rules considering spatial relationship rules, In: A. Amine, O.A. Mohamed, L. Bellatreche (eds), Modeling approaches and algorithms for advanced computer applications, Vol. 488 of Studies in Computational Intelligence, PP. 249–258, Springer, 2013. [19] Z. Yan, J. Macedo, C. Parent, S. Spaccapietra, Trajectory ontologies and queries, Transactions in GIS, Vol. 12, pp. 75–91, 2008. 121
  • 123.
    Selected papers ofthe 2014 International Conference on Topology and its Applications (2015) Pages 122–138 Department of Mathematics University of Patras Greece Topology Dependant IP Packet Transmission Delay on LTE Networks Spiros Louvros 1 Computer and Informatics Engineering Department, Technological Educational Institute of Western Greece Abstract Determining average waiting time for transmission packets in modern wireless broad- band networks, like LTE, is crucial for several applications. Most preferred imple- mentations to optimize transmission network rely on star network topology. In the proposed analysis two queue models have been studied. First of all a two-dimension queue is proposed to estimate the expected delay on priority scheduling decisions over the IP/Ethernet MAC layer of IP transmission eNodeB equipment. Further- more a one-dimension queue is proposed to estimate the average packet waiting on the scheduled buffer due to the traffic load and the transmission bandwidth availability. Key words: Star Topology, LTE, Broadband Wireless Networks, Service class. 1. Introduction Nowadays IP based multi-service mobile handsets are requesting reliable data transmission. In such networks there is always a negotiation of QoS profiles prior to the requested connection and admitted network response [1-4]. In 3GPP standards four negotiated QoS profiles are proposed [3] and specific attributes are predefined; mean and peak throughputs, precedence, delivery delay, Signalling Data Units (SDU) error ratio. A new generation of wireless cellular network since 2010, called Enhanced UTRAN or Long Term Evolu- tion workgroup of 3GPP, has been evolved providing advantages to services and users [5]. LTE requirements, compared to previous mobile broadband net- works (HSPA, 3G), pose strong demands on radio throughput and transmis- sion latency. This could be easily achieved based on OFDM technique over air interface together with simplified network architecture [6-7]. Several eNodeB 1 splouvros@gmail.com
  • 124.
    interconnected topologies havebeen proposed in order to simplify transmission network implementation and also to minimize expected IP packet transmission delays [8]. In IP/Ethernet eNodeB transmission equipment MAC scheduler packets to be transmitted over the LAN are initially prioritized into different buffers and then transmitted from buffer following the well known First -in First-out (FIFO) transmission technique, figure 1. Consequently the expected delay is split into two phases; first phase considers the expected delay due to scheduling priority with pre-emption vulnerabilities of pre-empted packets, second phase considers the expected delay due to queue waiting transmission time in the transmission buffers. This paper considers the most preferable star topology where lower layer eNodeBs are interconnection over a centralized eN- odeB aggregator to forward IPpackets to the EPC core network, figure 1. An analytically solution for two queue models is proposed to estimate the expected delay; a two dimension queue with pre-emption priorities to analytically es- timate the IP/Ethernet MAC priority scheduling and delay of pre-empted packets and one dimension queue loss model to analyze the expected delay of the packet transmission due to buffer FIFO function. Fig. 1. eNodeB star topology implementation in LTE transmission network 2. Two-Dimension Scheduler Priority Queue Allocation and Retention Priority (ARP) and Traffic Handling Priority (THP) are two radio features on LTE eNodeB to provide, in Radio Access Network subsystem (RAN), the ability to differentiate service classes and services into high priority (pre-emption capable) and low priority (pre-emption vulnerable) [9-10]. It enables operators and planners to define pre-emption strategies in the Radio Access Network (RAN) MAC layer to properly tune the scheduling 123
  • 125.
    functionality. These RadioMAC scheduler priorities have to be coordinated and correlated with the DiffServ priority indicator field on IP packet header and the Pbit priority indicator field on MAC/Ethernet packets over transmis- sion network. In the international literature proposed techniques distinguish among priorities but never consider the delay into discrete phases. A very good analysis, approaching our paper contribution, has been proposed by Carvalho [11]. A Buffer Management together with Call Admission Control (CAC) al- gorithms had been introduced providing service differentiation from diverse applications. Performance metrics have been investigated considering a com- bined CAC, Scheduling and Buffer Management approach without however considering dynamical buffer size or expected delay. Perhaps the closest ap- proaches to our research paper proposed analysis have been published by Tang [12,13]. In these two papers two different channel allocation schemes, dynamic partition with pre-emptive priority (DPPP) scheme for high priority and low priority multi-service applications and complete sharing with pre-emptive pri- ority (CSPP) scheme, have been investigated. These papers presented excellent results on dynamic partitioning, however once more the pre-empted packets have given no further consideration on ARP, resulting into reduced packet service performance and guaranteeing only priority traffic performance. Our proposed two dimension queue model, analytically solved to calculate the ex- pected IP pre-empted packet delay in the MAC/Ethernet scheduler, should be compliant with ARP and investigate a more compact approach to multi- service implementation by considering pre-empted packet queue sizes through a general optimization processes. A pre-emptive priority mechanism is em- ployed to guarantee the quality of service (QoS) requirement of service class p (pre-emption capable service class, like VoLTE or Video streaming services) at the expense of some degradation of service class q (pre-empted vulnera- ble service class, like FTP or WWW services), while the victim service class q buffer compensates the degradation. The solution of such Markov queue is not trivial, on the contrary quit often could become very complicated; however this paper adopts a mathematical solution based on an intuitive approached [14,15]. This paper does not consider guard channels since in research litera- ture it has been proven that, for multi-service applications, wireless networks guard channels may result on low utilization of the radio channels. Conse- quently planners and designers are forced to prefer parametric techniques like dividing the radio channels into specific groups of radio blocks, thus following a resource sharing strategy between priority and non priority services on user profile priorities (Gold, Silver & Bronze users on HLR profile) [16-18]. 2.1. The Mathematical Model We consider an IP based multi-service network over LAN where, from ser- vice priority point of view, there are two dominant service classes, p and q 124
  • 126.
    respectively. Service classp has real time rigid class characteristics with a strict delay constraint, high radio scheduling priority (high ARP and pre- emption capability (high priority) attribute) and high DiffServ and Pbit pri- orities over IP-based transmission network. Service class q has mostly flexible bandwidth packet switched characteristics with integrity constraint on errors rather than on delay, low Diffserv and Pbit transmission priorities and ARP pre-emption vulnerability (low priority) attribute. Already established service class q connections, mostly due to their bandwidth flexibility and delay re- laxing constraint conditions, could easily be pre-empted from service class p traffic in blocked conditions through appropriate Capacity Management (CM) and Flow Control Management (FCM) functionality performance as an over- all performance enhancement. To preserve however service class q QoS traffic metrics in pre-emptive conditions, a Q length buffer could be used to store service class q pre-empted packets for a specified (operator determined) pe- riod of waiting time before they could be offered again a service into an empty available resource or be permanently blocked and released. The analytical model is based on a two-dimensional Markov chain with C available cell resources, where state (i, j) denotes specifically that there are i occupied resources from service class p users and j occupied resources from service class q users respectively in the system. Without packet queue imple- mentation it is always considered that (i + j) ≤ C while when a finite queue buffer of size Q is considered for service class q then(i ≤ C) (i + j) ≤ C +Q. In this model Pij denotes the probability that the system is in state (i, j). It is also assumed that the arrival of p service requests follow Poisson arrival processes with rates λn for new services and λh for handoff services respec- tively while service class q requests follow Poisson arrival process with rates λd. Moreover p service times are assumed to be exponentially distributed with a mean of 1/µn while for service class q is also considered to be exponentially distributed with a mean of 1/µd . 2.2. Buffer Queue delay analysis for pre-empted service class q connections Since a queue buffer of finite size Q is considered in the cell an additional performance metric, the impatience Tµb period of one service class q exist- ing in the buffer, is also considered and it is assumed to be exponentially distributed with a mean 1/µb . This impatience period is actually a threshold that defines the maximum time a pre-empted service class q IP packet should stay in the MAC/Ethernet queue buffer before either be served back into an empty resource or be finally blocked. State diagrams of such two dimensional queue models with general C available resources and buffer queue size Q be- comes really complicated to draw, hence without loss of generality and only for simplicity reasons we could present the idea for a special case of cell total 125
  • 127.
    resources C =3 and a general queue length Q = 2 in Figure 2. Fig. 2. two dimensional Markov chain for mixed traffic services with packet queue The state probabilities are calculated from following recursive formula: Pi,j = (λn+λh)·Pi−1,j+u(C−i)·u(C+1−i−j)·λd·Pi,j−1 i·µn+u(i+j−C)·(i+j−C)·µb+u(C−i)·j·µd+u(C−i−j)·λd+u(C−i)·(λn+λh) + (u(C−j)·(j+1)·µd+u(i+j+1−C)·(i+j+1−C)·µb)·Pi,j+1 i·µn+u(i+j−C)·(i+j−C)·µb+u(C−i)·j·µd+u(C−i−j)·λd+u(C−i)·(λn+λh) + u(C−i)·(i+1)·µn·Pi+1,j+u(i+j−C−Q+1)·(λn+λh)·Pi−1,j+1 i·µn+u(i+j−C)·(i+j−C)·µb+u(C−i)·j·µd+u(C−i−j)·λd+u(C−i)·(λn+λh) . (1) Considering also Pi,j (i<0)(j<0)(i>C)(j>C)(i+j>C+Q) = 0 and u(x) =    1 x > 0 0 x ≤ 0. Considering a flexible low priority service class q request with queue buffer size Q, new request blocking probability is calculated to be: PPb = C i=0 Q q=0 q≤i Pi,C−i+q. (2) 126
  • 128.
    Regarding high priorityservice class p request, blocking probability is calcu- lated to be: PCb = Q q=0 PC,q. (3) Considering also the pre-emption case in our analysis, a new blocking proba- bility is needed describing the probability a previously already admitted and being into service class q connection is blocked after has been pre-empted by class p priority traffic. Consequently a class q connection already being served by the system in state (i, j)|j=0will be blocked and rejected if [service class q connection has been pre-empted with probability a(i,j) and there was no idle position in the queue] [service class q connection has been pre-empted with probability a(i,j), gets a position in the queue but will never be served due to impatience time expiration with a probability 1 − Tyout/(i,j) ]. To analytically calculate this blocking probability we do consider the Markov queue as an input – output system with yinandyoutsets of states. As input yinset we do consider the set of states that could accommodate one service class p request leading into pre-emption of one packet into the buffer, thus yin = {(i, j) : (i, j) ∈ {(0, 3) , (1, 3) , (1, 2) , (2, 2) , (2, 1)}} for total C = 3 resources and Q = 2 positions in the queue. Giving a good reasoning example why state (0, 3) ∈ yin set will clarify also the same reasoning for the rest states of the set. Indeed, state (0,3) means that system serves zero class p services and three class q services; then on receiving a new class p request, due to its priority over class q, one of the three (usually the latest arrived since the buffer is considered to be FIFO) class q services on the buffer will be pre-empted and the system will end up into new state (1,3). On the contrary (2, 3) /∈ yin since state (2,3) means that system serves two class p services and three class q services; then on receiving a new class p service, due to its priority over class q service, one of the three class q services on the buffer will not be pre-empted (the queue has only two positions) but it will be discarded and the system will end up into new state (3,2), that is (2,3) (3,2). Due to same reasoning {(3, 2) , (3, 1) , (3, 0)} /∈ yin since due to capacity management (admission control) any new class p service will be immediately rejected since the maximum capacity resource C = 3 would be exceeded. On the other hand the only allowed state transitions into yin set are: (0, 3) → (1, 3) or (0, 3) → (1, 3) → (2, 3) or (1, 3) → (2, 3) or (1, 2) → (2, 2) or (2, 2) → (3, 2) or (1, 2) → (2, 2) → (3, 2) or (2, 1) → (3, 1). Output yout set is the set of states that one previously pre-empted packet (due to the acceptance of a new class p request in the system) has found back a 127
  • 129.
    resource and hasalready been served, thus yout = {(i, j) : (i, j) ∈ {(0, 2) , (1, 1) , (2, 0)}} for total C = 3 resources and Q = 2 positions in the queue. As an example state (0,2) means that system serves zero class p services and two class q services; Following output transitions are valid: • (1, 3) → (0, 3) → (0, 2). State (1,3) means one active class p service, two active class q services already in service and one pre-empted class q service on queue. Then with certain probability, before impatience time expires, class p service is terminated, pre-empted class q service gets a free resource and the system jumps into state (0,3) where three class q services are in service. Finally one class q service is terminated and the system jumps into state (0,2) as the output state. • (2, 3) → (1, 3) → (0, 3) → (0, 2). State (2,3) means two active class p services, one active class q service already in service and two pre-empted class q services on queue. Then with certain probability, before impa- tience time expires, one class p service is terminated, one pre-empted class q service gets a free resource and the system jumps into state (1,3) where now one active class p connection is in service, two active class q connections are already in service and one pre-empted class q service exist on queue. Then with certain probability, before impatience time expires, last class p service is terminated, last pre-empted class q service gets a free resource and the system jumps into state (0,3) where three class q services are in service. Finally one class q service is terminated and the system jumps into state (0,2) as the output state. • Any other path is forbidden since they have to pass through state tran- sitions (1, 3) → (1, 2) or (2, 3) → (2, 2). In previous statement yout state indicate any combination of class p and class q occupied resources leaving one extra system resource empty, that is according to figure 3 the states (0, 2), (1, 1) or (2, 0) respectively. Tyout/(i,j) is defined as the sum of all possible transition probabilities from any possible state (i,j) into any possible yout state. Consequently an existing class q service will be blocked based on the following blocking probability formula: PB|Q=0 = C−1 i=0 a(i, C − i − 1) · PQ+i,n−i if Q+i>n Q+i=n + C i=1 Q−1 q=0 q≤i a(i, C − i) · 1 − Tyout/(i,n−i+q) Pi,n−i+q. (4) 128
  • 130.
    Fig. 3. Thestate diagram with queue to calculate Tyout/(i,j) To calculate the probability Tyout/(i,j) we have to calculate each transition prob- ability separately. Calculations on transition probabilities could be facilitated by applying following lemma: Lemma. Transition probability Q(2,2)→(1,2) could be calculated as [14]: Q(2,2)→(1,2) = 2µn 2µn + (µb + 2µd) + (µb) . (5) Proof. Transition (2, 2) → (1, 2) is a feasible transition only when service time of traffic classes p (Tµn) is less than minimum class q service time between (Tµd, Tµb)in state (2,2) and remaining patience time (Tµb), that is: Q(2,2)→(1,2) = P (min ((Tµd, Tµb) , Tµb) > Tµn) . However, for any value of time t: P (min ((Tµd, Tµb) , Tµb) > t) = P (((Tµd, Tµd) > t) ∩ (Tµn > t)) = P ((Tµd, Tµd) > t) · P (Tµn > t) = (1 − F (Tµd, Tµd)) · (1 − F (Tµn)) . According to our initial considerations, arrival and service times follow expo- nential distributions of the form f(t) = ae−at and F (t) = 1 − e−at , where a is the mean service or arrival rate. Hence: P (min ((Tµd, Tµb) , Tµb) > t) = e−(2µd+µb)·t · e−µb·t = e−(2µd+µb+µb)·t . Since Tµn follows exponential distribution with mean rate 2µn in state (2,2) 129
  • 131.
    then: Q(2,2)→(1,2) = ∞ 0 2µn ·e−2µn·t · e−(2µd+µb+µb)·t dt = 2µn 2µn + 2µd + µb + µb . And the Lemma has been proven. Based on this proof all other transition probabilities could be calculated in the same way. Fig. 4. First case of transition from states (0, 3) or (1, 3) or (1, 2) or (2, 2) into state (0, 2) Figures 4 up to figure 6 describe the detailed calculations: Pi,j = Tyout/(i,1)→(i,j) · Pi,1 + Tyout/(i,2)→(i,j) · Pi,2 + ... +Tyout/(1,j)→(i,j) · P1,j + Tyout/(2,j)→(i,j) · P2,j + ... + SYin→i,j · Yin. Fig. 5. Second case of transition from states (1, 3) or (2, 3) or (1, 2) or (2, 2) or (2, 1) into state (1, 1) 130
  • 132.
    A more compactway to represent the calculation of Pi,j is the use of matrix representation technique, developed by Chen & Huaichen [15], which could replace the well known Mason’s Rule when many repetitive calculations had to be executed. P = Tyout · P + S · Yin ⇔ W = P/Yin = inv (I − Tyout) · S. where W is an N × 1 matrix with N states Markoff state model and S an N × 1 matrix declaring the transition probability from Yin into any possible system state. Fig. 6. Third case of transition from states (2, 2) or (2, 1) into state (2, 0) 2.3. No buffer queue for pre-empted q-type services In case queue length is zero then the model degenerates to Fig. 7. Pre-emption probability of an already existing class q service into the system equals at least the sum of products P i,j i+j=C i=C with the transition probability b(i, j) i+j=C i=C . Transition probability b(i, j) i+j=C i=C is defined as Q(i,j)→(i+1,j−1), that is the probability the system goes over from state (i, j) |i+j=C to state (i + 1, j − 1) |i+j=C . This could happen only if the arrival time of p requests (Tλn, Tλh) is less than class q serving time (Tµd) and less than class p serving time (Tµn) in state (i,j), that is: Q(i,j)→(i+1,j−1) = P (min ((Tµd, Tµb) , Tµb) > Tµn) . (6) 131
  • 133.
    Following the sametechnique as in (5): Q(i,j)→(i+1,j−1) = b(i, j) i+j=C i=C = λn + λh λn + λh + iµn + jµd . (7) Fig. 7. The state diagram (two dimensional Markov chain) for GSM/GPRS traffic without queue As a consequence blocking probability of class q connection previously being served, in case of a model without queue, is calculated to be: PB|Q=0 = n j=1 C−j i=0 b(i, j) · Pi,j together with the restrictions 0 ≤ C−1 i=0 b(i, C − i) · Pi,C−i ≤ PB|Q=0 C−1 i=0 λn + λh λn + λh + iµn + (C − i)µd · Pi,C−i ≤ PB|Q=0 . Blocking probability for a pre-empted class q connection in a system without queue is: PB,pre-empted|Q=0 = C−1 i=0 λn + λh λn + λh + iµn + (C − i)µd · Pi,C−i. (8) Considering these bounds, recalling equation (4) it can be rewritten as: 0 ≤ PB|Q=0 ≤ C−1 i=0 b(i, C − i + 1) · PQ+i,n−i if Q+i>n Q+i=n + C i=1 Q−1 q=0 q≤i b(i, C − i) · 1 − Tyout/(i,n−i+q) Pi,n−i+q, 132
  • 134.
    where b(i, j)i+j=C i=C is the maximum transition probability when system has all channels occupied, whereas in all others states case is b(i, j) i+j≤C i=C ≤ b(i, j) i+j=C i=C . So, the blocking probability for a pre-empted packet in a system with queue implementation is calculated as: PB,pre-empted|Q=0 = C−1 i=0 b(i, C − i + 1) · PQ+i,n−i if Q+i>n Q+i=n + C i=1 Q−1 q=0 q≤i b(i, C − i) · 1 − Tyout/(i,n−i+q) Pi,n−i+q, or PB,pre-empted|Q=0 = C−1 i=0 λn + λh λn + λh + iµn + (C − i + 1)µd · PQ+i,n−i if Q+i>n Q+i=n + + C i=1 Q−1 q=0 q≤i λn + λh λn + λh + iµn + (C − i)µd · 1 − Tyout/(i,n−i+q) Pi,n−i+q. (9) The waiting time of a queued pre-empted packet is defined as the time differ- ence between the period of time an arbitrarily selected waiting packet spends in queue to the time it successfully accesses a free channel. The waiting time Wschedule (i, j) could be calculated using 1 − Tyout(i,j) , which can be expressed as 1 − Tyout(i,j) = Prob {Tµb > W (i, j)}. Since Tµb is assumed to be exponentially distributed, Wschedule (i, j) can be obtained by Wschedule (i, j) = − 1 µb ln 1 − Tyout(i,j) . Consequently the average scheduling waiting time of a queued pre-empted packet can be obtained by Wschedule = n j=1 Q−1 q=0 q≤j W (j, n − j + q) Pj,n−j+q n j=1 Q−1 q=0 q≤j Pj,n−j+q . (10) 3. One-Dimension Waiting Time FIFO Queue After pre-empted IP packet enters the buffer and waits in average Wschedule pe- riod of time, it has to leave the pre-emption buffer and enter the MAC/Ethernet 133
  • 135.
    transmission buffer, whereother packets have been already scheduled in a FIFO sequence. In that phase we have to calculate the average delay time a packet spends on the transmission buffer before transmission over the LAN towards the EPC core. We do consider a generalized queue system with one single server, m channels (resources) in parallel [19], finite queue transmission length, Poisson process arrivals and independent and uniform service timeµ0 distributed on [0, s], s > 0. Transit time effects are neglected on this anal- ysis and the reasoning behind uniform distributed service time is the really small scheduling delay for every IP MAC packet in the queue, following the strict requirements on LTE transmission Pbit priority scheduling delays and performing average uniform service time distribution. For equilibrium in the queue solution we do suppose that m > λ. Define πn the probability of existing specifically n IP MAC packets in both queue and service at a given time τ and pn the probability that no more than n packets exists in the model at given time τ. Further in our analysis the probability in the unit of time specifically zero packets exists in the queue and m packets in service π0 could be calculated as the intersection of (the probability pm that no more than zero packets exist in the queue as long as m packets exist in the server at the beginning of unit of time) and (the probability (Poisson distribution) of zero arrivals during the considered time interval), that is: π0 = pm ∩ e−λ = pm · e−λ . (11) Using same reasoning the probability that specifically one packets exists in the queue π1 at the unit of time could be calculated as the union of [the intersection of (the probability pm that no more than zero packets exist in the model as long as m packets exist in the server at the beginning of unit of time) and (the probability (Poisson distribution) of one arrivals during that interval τ = 1/µ0)] and [intersection of (the probability πm+1 that exactly one packet exist in the queue and m packets in service at the beginning of unit of time) and (the probability (Poisson distribution) of zero arrivals during that interval)]: π1 = pm ∩ λe−λ ∪ πm+1 ∩ e−λ = pm · λe−λ + πm+1 · e−λ . (12) Considering the general case, the overall probability that specifically n packets exists in the system πn at the unit of time equals: πn = pm · λn n! e−λ + n k=1 πm+k · λn−k (n − k)! e−λ = pm · λn n! e−λ + n k=0 πm+k · λn−k (n − k)! e−λ − πm · λn n! e−λ . (13) 134
  • 136.
    To calculate thenthe probability πn in the above general formula, we do proceed with Laurent series expansion as follows: ∞ n=0 πnzn = ∞ n=0 pm · λn n! e−λ zn + ∞ n=0 n k=0 πm+k · λn−k (n − k)! e−λ zn − ∞ n=0 πm · λn n! e−λ zn (14) ∞ n=0 πnzn = pme−λ ∞ n=0 (λz)n n! + e−λ ∞ n=0 n k=0 πm+k · (λz)n λ−k (n − k)! − πme−λ ∞ n=0 (λz)n n! . (15) Following the summations and after appropriate mathematical calculations we do simplify (15) into: Π (z) = (pm − πm) eλ(z−1) + e−λ ∞ n=0 πm (λz)n n! + e−λ ∞ n=0 πm+1 (λz)n λ · (n − 1)! + ... ... + e−λ ∞ n=0 πm+n (λz)n λn = Πm (z) − pmzm 1 − zmeλ(1−z) . (16) Where using Laurent power series definition we define the generating function Π(z) = ∞ n=0 πnzn and by definition of finite Laurent series Πm(z) = m n=0 πnzn . Since 0 ≤ πn ≤ 1, complex function Π(z) is a regular function bounded into the unit circle on the complex space |z| ≤ 1. Numerator Πm (z)−pmzm consists of two polynomials of mth order. Both Πm (z) and pmzm are analytical functions inside the simple curve |z| ≤ 1 and also bounded into the unit circle on the complex space|z| ≤ 1. Since |pmzm | ≤ |Πm (z)| on |z| ≤ 1 then both have same number of zeroes inside |z| ≤ 1 and since they are polynomials of mth order they have m zeroes inside|z| ≤ 1, denoted as z1, z2, ..., zm respectively leading into a closed form function of Π (z)can be written then as: Π (z) = A (z − z1) (z − z2) · · · (z − zm) 1 − zmeλ(1−z) = A (z − z1) (z − z2) · · · (z − zm−1) · (z − 1) 1 − zmeλ(1−z) . (17) Since z = 1 is one of the roots of the numerator are: lim z→1 (Πm (z) − pmzm ) = lim z→1 m n=0 πnzn − pmzm = m n=0 πn − pm = 0. (18) And further more in (17) factor A is a constant calculated from the total 135
  • 137.
    probability condition: lim z→1 Π (z)= lim z→1 ∞ n=0 πnzn = ∞ n=0 πn = 1 (19) lim z→1 Π (z) = lim z→1 A(z−z1)···(z−zm−1)(z−1) 1−zmeλ(1−z) = lim z→1 A(z−z1)···(z−zm−1)(z−1) 1−zmeλ(1−z) = 1 ⇒ A = λ−m (1−z1)(1−z2)···(1−zm−1) . (20) Finally using the Laurent series: Π (z) = (λ − m) (z − z1) (z − z2) · · · (z − zm) (1 − z1) (1 − z2) · · · (1 − zm−1) [1 − zmeλ(1−z)] ⇒ ∞ n=0 πnzn = (λ − m) (z − z1) (z − z2) · · · (z − zm) (1 − z1) (1 − z2) · · · (1 − zm−1) [1 − zmeλ(1−z)] . (21) To calculate πn it is needed to expand the right part of previous equation into the Laurent series around z = 0. πn, n = 0, 1, 2...n will be the coeffi- cients of zn after the expansion is performed. Considering the case of m = 1 (MAC/Ethernet transmission scheduler considers each packet as a unique service input) the numerator is degenerated into a simple polynomial of order one with one single real root (Πm (z) − pmzm )|m=1 = 0 ⇒ 1 n=0 πnzn − 1 n=0 πmz m=1 = 0 ⇒ (π0 + π1z − π0z − π1z) = 0 ⇒ z = 1, π0 = 0. (22) The polynomial expansion coefficients, after expanding the polynomial into Laurent series around z = 0 become: Π (z) = ∞ n=0 πnzn = (λ − 1) (z − 1) 1 − zeλ(1−z) = 1 − λ µ + λ µ − 1 1 − e λ µ z + λ µ − 1 e λ µ λ µ − 1 − e2 λ µ z2 + ... (23) From the expansion the general term is calculated: πn = 1 − λ µ n k=1    (−1)n−k ek λ µ    kλ µ n−k (n − k)!       + 1 − λ µ n k=1 k=n    (−1)n−k ek λ µ    kλ µ n−k−1 (n − k − 1)!       . (24) 136
  • 138.
    And average expectedpacket buffer delay is calculated as Wbuffer = ∞ n=1 nπn = ∞ n=1 n    1 − λ µ n k=1    (−1)n−k ek λ µ    kλ µ n−k (n − k)!          + + ∞ n=1 n     1 − λ µ n k=1 k=n    (−1)n−k ek λ µ    kλ µ n−k−1 (n − k − 1)!           . (25) Finally the total pre-empted packet transmission delay equals: W = Wschedule + Wbuffer (26) while the total prioritized packet transmission delay equals: W = Wbuffer. (27) References [1] 3GPP TS 23.060 V.8.5.1 service description 2009. [2] ETSI, GSM Specification Service description, Stage 1, 1999 (02.60); Service description, Stage 2, 1999 (03.60). [3] 3GPP TS 23.107 Quality of Service (QoS) concept and architecture WCDMA. [4] 3GPP TS 29.212 v8.8.0 Policy and Charging Control over Gx Reference Point, Technical Specification Group Core Network & Terminals. [5] 3GPP TR 25.913 Feasibility Study of Evolved UTRA and UTRAN. [6] Dahlman, Parkvall, Skold and Beming, 3G Evolution: HSPA and LTE for Mobile Broadband, Academic Press, Oxford, UK, 2007. [7] 3GPP TS 25.104 Base Station (BS) radio transmission and reception (FDD). [8] Pokhariyal, A., Kolding, T. E. & Mogensen, P. E., Performance of Downlink Frequency Domain Packet Scheduling For the UTRAN Long Term Evolution, Proc. of IEEE International Symposium on Personal, Indoor and Mobile Radio Communications, (2006). [9] 3GPP TS 29.212 v8.8.0 Policy and Charging Control over Gx Reference Point, Technical Specification Group Core Network & Terminals. [10] 3GPP TS 23.203, Policing and Charging Control Architecture, Rel-11, V11.4.0, 2011. 137
  • 139.
    [11] Glaucio H.S.Carvalho, Victor S. Martins, Carlos R.L. Frances, Joao C.W.A. Costa, Solon V. Carvalho, Performance analysis of multi-service wireless network: An approach integrating CAC, scheduling, and buffer management, Elsevier journal on Computers & Electrical Engineering (2008), Volume 34, Issue 4, pp. 346–356. [12] Shensheng Tang, Wei Liz, Performance analysis of a channel allocation scheme for multi-service mobile cellular networks, International Journal of Communication Systems (2007), Volume 20, Issue 2. [13] Shensheng Tang, Wei Li, Junghwan Kim, Modeling adaptive bandwidth allocation scheme for multi-service wireless cellular networks, IEEE International Conference on Wireless And Mobile Computing, Networking And Communications (WiMob’2005), Vol. 2, pp. 189–195. [14] Chung-Ju Chang, Tian-Tsair Su and Yueh-Yling Chiang, Analysis of a Cutoff Priority Cellular Radio System with Finite Queueing and Reneging/Dropping, Proc. IEEE/ACM Transaction of Networking (1994), Vol. 2, No, 2, pp. 166–175. [15] Chen, Huaichen, The Matrix Expression of Signal Flow Graph and Its Application in System Analysis Software, Chinese Journal of Electronics (2002), Vol.11, No.3, pp. 361–363. [16] Niyato D, Hossain E., Call admission control for QoS provisioning in 4G wireless networks: issues and approaches, IEEE Network (2005), Vol.19, issue 5, pp. 5–11. [17] Ogbonmwan SE, Li W., Kazakos D., Multi-threshold bandwidth reservation scheme of an integrated voice/data wireless network, International Conference on Wireless Networks, Communications and Mobile Computing (2005), Vol.1, pp. 226–231. [18] Ogbonmwan SE, Li W., Multi-threshold bandwidth reservation scheme of an integrated voice/data wireless network, Journal of Computer Communications (2006), Vol.29, Issue 9. [19] Spiros Louvros, Michael Paraskevas, Analytical average throughput and delay estimations for LTE uplink cell edge user, Journal of Computers & Electrical Engineering, eslevier, 40(5): pp. 1552–1563, 2014. 138
  • 140.
    Selected papers ofthe 2014 International Conference on Topology and its Applications (2015) Pages 139–150 Department of Mathematics University of Patras Greece Analysis of LTE Multi-Carrier Signal Transmission over Wireless Channels with Operators on Heisenberg Group H (R) Spiros Louvros 1 , Ioannis Kougias 2 1,2 Computer and Informatics Engineering Department, Technological Educational Institute of Western Greece Abstract Wireless Communications phase quit often many problems on signal transmissions over fading channels. Multi-carrier communications, as OFDM, are very popular lately on broadband wireless channels. This paper binds together the theory of lin- ear operators and Heisenberg group with multi-carrier signal transmission analysis over wireless channels and reveals multi-carrier problems with specific functional operator formalism. 1. Introduction As it is well known in wireless communications, fading is defined as the devi- ation of transmission attenuation affecting a signal over certain propagation media. Fading for fixed communication links (fixed transmitter and fixed re- ceiver) varies with time (due to moving surroundings and reflectors as cars, tree foliage etc), geographical position or radio frequency, and is often modelled as a random process using Rayleigh distribution. On the other hand mobile communications radio channel (transmitter and/or receiver are moving com- ponents of network topology) fading varies always with time due to receiver and/or transmitter motion. Consequently fading channel is a communication channel that experiences fading. Specifically in wireless systems, fading might either be due to multipath propagation (known as multipath fading), or due to shadowing from obstacles affecting the wave propagation (known as shadow fading), figure 1. 1 splouvros@gmail.com 2 kougias@teimes.gr
  • 141.
    Fig. 1. BlockDiagram of Wireless Transmission 2. Basic Wireless Multi-path Channel Analysis For our mathematical analysis we shall consider a wireless channel with fixed transmitter (Base Station on cellular communications) and moving receiver (user handset UE). Such a channel fits perfectly for the Radio Access Network (RAN) of most common cellular networks, i.e. LTE, WCDMA, GSM. Such a communication system is presented on figure 2. Fig. 2. Block Diagram of Wireless multi-path communication system The impulse response of such a wireless multipath fading channel will be the superposition of all different paths throughout the transmission environment: h(τ, t) = ν k=1 Ak(t)ejϕk(t) δ(τ − τk(t)) (1) Where variable t is the time reference for signal variance, τ is the delay of each different k ∈ {1, 2, ..., ν} out of ν paths over the wireless channel, ϕk(t) is the different phase contribution of each path and Ak(t) is the time and travelled distance dependant amplitude contribution of each path. It is still needed to re- calculate the impulse response since different phase contributions ϕk(t) are not known yet. To do such calculations it is needed to consider a general base-band 140
  • 142.
    signal s(t) whichmodulates an analog carrier ej2πfct resulting into the complex signal x(t) = Re s(t)ej2πfct . This signal is the input to the wireless channel h(t, τ), according to figure 2. Because of the multi-path nature of the wireless channel the received signal will be the superposition of all k ∈ {1, 2, ..., ν} different paths contributing into signal deterioration: y(t) = x(t) ∗ h(τ, t) = x(t) ∗ ν k=1 Akejϕk δ(t − τk) (2) It is not recommended to calculate convolution but to try to estimate the expected received signal from basic principles of signal transmission. Since wireless channel is multi-path fading channel the received signal is expected to be the contribution of all different paths k ∈ {1, 2, ..., ν} with the expected delays τk, y(t) = ν k=1 Ak(t)x(t − τk). Substituting the delayed version of the complex input signal into y(t) provides the expected received signal: y(t) = Re ν k=1 Ak(t)s(t − τk)ej2πfc(t−τk) = Re ν k=1 Ak(t)s(t − τk)e−j2πfcτk ej2πfct (3) The meaning of equation (3) is that initial base-band input signal x(t) will be deteriorate due to superposition of the multi-paths, resulting into a received signal y(t) which is the result of the wireless channel effects. Consequently considering initial input signal x(t) = Re s(t)ej2πfct , the impulse response from (1), the convolution integral from (2) and equation (3): y(t) = ν k=1 Ak(t)s(t − τk)e−j2πfcτk ej2πfct = x(t) ∗ h(τ, t) = +∞ −∞ h (t) x (t − τ) dτ = ν k=1 +∞ −∞ Akejϕk s(t − τ)ej2πfc(t−τ) δ(t − τk)dτ = ν k=1 Akejϕk s(τk − τ)ej2πfc(τk−τ) and changing notation τ → t = ν k=1 Akejϕk s(t − τk)ej2πfc(t−τk) = ν k=1 Aks(t − τk)ej(ϕk−2πfcτk) ej2πfct . Hence it is concluded that: h(t) = ν k=1 Ak(t)ejϕk δ(t − τk) = ν k=1 Ak(τk)e−j2πfcτk δ(t − τk) (4) 141
  • 143.
    3. OFDM TransmittedPulses Analysis In a multi-carrier communication system (like OFDM) a bit input sequence bn = {X1, X2, ..., XN }, information elements of a specific service with sup- ported R bits/s rate, is introduced into a S/P converter and split into N parallel sub-sequences of specific s sub-carriers, bn,s = {X1,s, X2,s, ..., XN,s}, n = {1, 2, ..., N}. Each sub-carrier transmits info with R/N bits/s rate with bit duration Tb = N/R. In such a transmission technique, Inter-Symbol Inter- ference (ISI) is minimized. However, in order to further eliminate as much as possible ISI, a cyclic prefix of Tg duration is introduced on the beginning of each signal period. Each bit symbol {Xn} on the parallel transmission modu- lates one carrier signal of the following form: Φn (t) =    ej2πn(∆f)n(t−Tg) 0 ≤ t ≤ Tb 0 Tb < t < +∞ (5) The resulting signal is the nth sub-carrier discrete modulated signal XnΦn(t) = Xnej2π(∆f)nt , ∆f = 1/(T − Tg). Input signal to the channel is considered to be the superposition of N discrete sub-carrier modulated signals xs (t) = N n=1 Xn,sΦn (t) which on discrete time instance t0 = s is considered to be xs (t)|t=sT = N n=1 Xn,s Φn (t)|t=sT = N n=1 Xn,sej2πn(∆f)n(sT−Tg) . Information transmission of rate R bits/s is accomplished considering the rep- etition of xs (t)|t=sT consecutive signals on a time duration of lim s→∞ t = lim sT s→∞ , and finally the input signal to the multipath wireless channel is x(t) = +∞ s=−∞ xs (t − sT) = +∞ s=−∞ N n=1 Xn,sΦn (t − sT) , which after expansion equals: x(t) = +∞ s=−∞ xs (t − sT) = +∞ s=−∞ N n=1 Xn,se−j2πn(∆f)n(sT+Tg) ej2πn(∆f)nt (6) 4. Linear time-frequency shift operator notation Consider now the following time translation operator ˆTsT x (t) = x (t − sT) and the following modulation operator ˆM∆f x (t) = ej2π(∆f)t x (t). The transmitted 142
  • 144.
    signal xs (t)= N n=1 Xn,sΦn (t) over the multi-path wireless channel could be re-written as xs (t) = N n=1 Xn,sΦn (t) = N n=1 Xn,sej2πn(∆f)n(t−Tg) = N n=1 ˆTTg ˆM∆f Xn,s (7) And the multi-path wireless channel impulse response will be rewritten as: h(τ, t) = ν k=1 Ak(τk)e−j2πfcτk δ(t − τk) = ν k=1 ˆTτk ˆM−fc Ak(t) δ(t − τk) (8) OFDM assembled signal will be introduced into the multi-path wireless chan- nel of (1) together with additive noise and considering the convolution prop- erty of system theory will be received as: y(t) = h (t) ∗ x (t) + n (t) ⇒ y(t) = +∞ −∞ h (t) x (t − τ) dτ + n (t) (9) Or substituting (4) and (6) into (9): y(t) = +∞ −∞ ν k=1 Ak(τk)e−j2πfct δ(t − τk) +∞ s=−∞ N n=1 Xn,se−j2πn∆fn(sT+Tg+τ) ej2πn∆fnt dτ + n (t) y(t) = Tg 0 ν k=1 Ak(τk)e−j2πfcτk δ(t − τk) +∞ s=−∞ N n=1 Xn,se−j2πn∆fn(sT+Tg+τ) ej2πn∆fnt dτ + n (t) (10) Considering the frequency-shift operator representation of (7) and (8), equa- tion (10) could be re-written as: y(t) = Tg 0 ν k=1 ˆM−fc Ak(t) ˆTτk δ(t) +∞ s=−∞ N n=1 ˆTTg+τ+sT ˆM∆f Xn,s dτ + n (t) (11) Moreover we could also introduce the scalar operator ˆSτ x (t) = ej2πτ x (t). The set ˆSτ , ˆTt0 , ˆM∆f , (t, f) ∈ R × R, ej2πτ → τ ∈ A = R Z with the set multiplication R×R×A is known as the Heisenberg Group H (R). 143
  • 145.
    5. Signal Recoveryon Receiver using Linear Operators To proceed with our analysis, referring to figure 2, the receiver equation (re- ceived signal y(t)) could be written as y(t) = h (t) ∗ x (t) + n (t), that is the convolution of channel impulse response h (t) with input signal x (t) plus the channel additive noise which is produced by inter-cell interference and Doppler shifts contributions. However we shall be able to use linear operator formalism and write the receiver equation in a more compact format, hence use an ap- propriate “convolution operator” (or channel characteristic operator) ˆH such as ˆHx (t) = ˆHx (t) = (h ∗ x) (t) = +∞ −∞ h (t) x (t − τ) dτ = +∞ −∞ h (t − τ) x (t) dτ. Using such defined operator we could reform the basic received signal equation on figure 2 as (12): y(t) = +∞ −∞ h (t − τ) x (t) dτ + n (t) ⇒ y(t) = (h ∗ x) (t) + n (t) ⇒ y(t) = h (t) ∗ x (t) + n (t) ⇒ y(t) = ˆHx (t) + n (t) (12) The main concern in a telecommunication link based on OFDM signals (like LTE air interface radio link) is the ability to recover back the original trans- mitted signal x (t) from the “corrupted” (deteriorated due to additive noise) received signal y(t) over the multi-path channel. To express mathematically such a design demand we should use a matched filter on the receiver. Such a filtering process imposes the use of specific unique pulses Ψn(t)on the receiver. To use a proper topological metric spaces formalism, a special scalar linear operator (inner product operator) ˆP : ˆPx = x, Ψn of the metric Heisenberg Group H (R), R × R × A should be applied on the received signal y(t). Then in close compact format the received signal (which are in our case is the matched filter sampling sequence of received symbols Yn,s = {Y1,s, YN,s, ...YN,s}) could be recovered using the linear operation Yn(t) = ˆPx = y(t), Ψn(t) = +∞ −∞ y(t) · Ψ∗ n(t)dt. Using the previous scalar operator formalism together with input signal no- tation xs (t) = N n=1 Xn,sej2πn(∆f)n(t−Tg) , the received signal sequences could be 144
  • 146.
    written as: Yn = s=+∞ s=−∞ ˆPˆH ˆP∗ xs (t) = s=+∞ s=−∞ y(t), Ψn(t) (13) under the following two conditions: 1st Condition: Ψn(t), Ψm(t) = Ψn(t)∗Ψ∗ m(t)dt = an,mδn,m, that is under the strict constrain for the specific unique pulses Ψn(t) of forming an orthog- onal basis on L2 (R). 2nd Condition: s=+∞ s=−∞ n(t), Ψn(t) ≈ 0. Proof. Lemma. Prove x(t) = +∞ s=−∞ xs (t − sT) = +∞ s=−∞ N n=1 Xn,sej2πn(∆f)n(t−sT−Tg) = +∞ s=−∞ ˆP∗ xs (t − sT) under the special condition +∞ −∞ Ψn(t) · e−j2πn(∆f)n(t−sT−Tg) dt = 1. Indeed: ˆP∗ xs (t − sT)= Ψn(t), xs (t − sT) , substituting xs (t − sT) = N n=1 Xn,sej2πn(∆f)n(t−sT−Tg) : ˆP∗ xs (t − sT) = Ψn(t), xs (t − sT) = +∞ −∞ Ψn(t) · x∗ s (t − sT) dt ⇒ ˆP∗ xs (t − sT) = N n=1 X∗ n,s +∞ −∞ Ψn(t) · e−j2πn(∆f)n(t−sT−Tg) dt. Then +∞ s=−∞ ˆP∗ xs (t − sT) = +∞ s=−∞ N n=1 X∗ n,s +∞ −∞ Ψn(t) · e−j2πn(∆f)n(t−sT−Tg) dt 145
  • 147.
    and in caseof special condition +∞ −∞ Ψn(t) · e−j2πn(∆f)n(t−sT−Tg) dt = 1: +∞ s=−∞ ˆP∗ xs (t − sT) = +∞ s=−∞ Ψn(t), xs (t − sT) = +∞ s=−∞ N n=1 X∗ n,s = x(t). Then using this lemma and continue with the proof: Yn = s=+∞ s=−∞ ˆP ˆH ˆP∗ xs (t) ⇒ Yn = s=+∞ s=−∞ ˆP ˆH ˆP∗ xs (t) ⇒ Yn = s=+∞ s=−∞ ˆP ˆH Ψn(t), xs (t) ⇒ Yn = s=+∞ s=−∞ ˆP ˆHx(t) ⇒ Yn = s=+∞ s=−∞ ˆP ˆHx(t) . From the received signal equation y(t) = ˆHx (t) + n (t) it is obvious that ˆHx (t)= y(t) − n (t). Substituting in the previous analysis: Yn = s=+∞ s=−∞ ˆP ˆHx(t) ⇒ Yn = s=+∞ s=−∞ ˆP (y(t) − n (t)) and since ˆP : ˆPx = x, Ψn is a well defined scalar linear operator follows: Yn = s=+∞ s=−∞ ˆPy(t) − s=+∞ s=−∞ ˆPn (t) ⇒ Yn = s=+∞ s=−∞ ˆPy(t) − s=+∞ s=−∞ ˆPn (t) ⇒ Yn = s=+∞ s=−∞ y(t), Ψn(t) − s=+∞ s=−∞ n(t), Ψn(t) . Now first condition will lead to the selection of the specific unique pulses Ψn(t) of the matched filter on the receiver. Indeed condition +∞ −∞ Ψn(t) · e−j2πn(∆f)n(t−sT−Tg) dt = 1, implies that the selection of Ψn(t) functions (pulses) should be carefully con- sidered in order to optimize the receiver performance. A good selection might be a set of pulses Ψn(t) = e−j2πn(∆f)n(t−sT−Tg) ∗ = ej2πn(∆f)n(t−sT−Tg) . The matched filter pulses Ψn(t) = {Ψ1(t), Ψ2(t), ..., ΨN (t)} are then given by following selection: Ψn (t) =    Φn (t − T) = 1√ (T−Tg) ej2πn(∆f)n(t−sT−Tg) , 0 ≤ t ≤ T − Tg 0, T − Tg < t < +∞. (12) 146
  • 148.
    And filtering outon receiver using matched filter pulses Ψn(t) on time period [Tg, T] means that on such a time filter period cyclic prefix is removed from the real user info. Such selection of pulses, considering the demand +∞ −∞ Ψn(t) · e−j2πn(∆f)n(t−sT−Tg) dt = 1, imposes the strict constrain of forming an orthogonal basis on L2 (R) on time period [Tg, T], that is Ψm(t), Ψn(t) = Ψn(t) ∗ Ψ∗ m(t)dt = an,mδn,m. Indeed choice of pulses (12) is an orthogonal basis of L2 (R) on [Tg, T] since: Ψn(t), Ψm(t) = T 0 Φn (t) Φ∗ m (t) dt = 1 (T − Tg) T 0 ej2πn(∆f)n(t−sT−Tg) e−j2πm(∆f)m(t−sT−Tg) dt ⇒ Ψn(t), Ψm(t) = 1 (T − Tg) T Tg ej2π(n−m)(∆f)(t−sT−Tg) dt = δn,m =    1, n = m 0 n = m . However due to non ideal radio conditions, imposed by multi-paths and Doppler shifts, there will be always a small frequency shift on the carriers. This shift introduces channel impairs and results into Ψn(t), Ψm(t) = an.mδn,m =    an, n = m an,m n = m , which practically means that orthogonality is lost and noise (Bit Error Rate – BER) is introduced into the receiver. As a result condition +∞ −∞ Ψn(t) · e−j2πn(∆f)n(t−sT−Tg) dt = 1 it is not realizable on real radio conditions and consequently there is not a unique set of pulses to satisfy always 1st condition requirement. However we could relax the constraint and then consider the selection of ap- propriate set of pulses Ψn(t) = {Ψ1(t), Ψ2(t), ..., ΨN (t)} so that condition +∞ −∞ Ψn(t) · e−j2πn(∆f)n(t−sT−Tg) dt ≈ 1 147
  • 149.
    always holds. Supposethen that there is a small frequency shift due to Doppler, ¯Φn (t) = 1 (T − Tg) ej2πn(∆f+∆f0)n(t−sT−Tg) , and time delay due to multi-path on the matched filter pulses, ¯Φm (t − t0) = 1 (T − Tg) ej2πm(∆f)n(t−t0−sT−Tg) , then: Ψn(t), Ψm(t) = T Tg ¯Φn (t) ¯Φ∗ m (t − t0) dt ⇒ Ψn(t), Ψm(t) = 1 (T−Tg) T Tg ej2πn(∆fn+∆f0)(t−sT−Tg) e−j2πm∆fm(t−t0−sT−Tg) dt ⇒ Ψn(t), Ψm(t) = 1 (T−Tg) T Tg ej2πn(∆f+∆f0)(t−sT−Tg) e−j2πm∆f(t−t0−sT−Tg) dt ⇒ Ψn(t), Ψm(t) = 1 (T−Tg) T Tg ej2π(n−m)(∆f)(t−sT−Tg) ej2πn(∆f0)(t−sT−Tg) ej2πm(∆f)t0 dt = an,mδn,m =    e−j2πm(∆f0)(sT +Tg)ej2πm(∆f)t0 (T−Tg) T Tg ej2πm(∆f0)t dt, n = m e−j[2π(n−m)(∆f)+2πn(∆f0)](sT +Tg)ej2πm(∆f)t0 (T−Tg) T Tg ej[2π(n−m)(∆f)+2πn(∆f0)]t dt n = m Which means that received signal is recovered on receiver but additive noise deteriorates its shape. Indeed: ˆP∗ xs (t − sT) = N n=1 X∗ n,s +∞ −∞ ¯Φn (t) ¯Φ∗ m (t − t0) dt ⇒ ˆP∗ xs (t − sT) =    N n=1 X∗ n,s e−j2πn(∆f0)(sT +Tg)ej2πn(∆f)t0 (T −Tg) T Tg ej2πn(∆f0)t dt, n = m N n=1 X∗ n,s e−j[2π(n−m)(∆f)+2πn(∆f0)](sT +Tg)ej2πm(∆f)t0 (T −Tg) T Tg ej[2π(n−m)(∆f)+2πn(∆f0)]t dt n = m. 148
  • 150.
    Consequently: Yn = s=+∞ s=−∞ ˆP ˆHˆP∗ xs (t) ⇒ Yn = s=+∞ s=−∞ ˆP ˆH ˆP∗ xs (t) ⇒ Yn = s=+∞ s=−∞ ˆP ˆH Ψn(t), xs (t) =    +∞ s=−∞ N n=1 ˆP ˆHX∗ n,s e−j2πn(∆f0)(sT +Tg)ej2πn(∆f)t0 (T −Tg) T Tg ej2πn(∆f0)tdt , n = m +∞ s=−∞ N n=1 ˆP ˆHX∗ n,s e−j[2π(n−m)(∆f)+2πn(∆f0)](sT +Tg)ej2πm(∆f)t0 (T −Tg) T Tg ej[2π(n−m)(∆f)+2πn(∆f0)]tdt n = m =    +∞ s=−∞ N n=1 ˆHX∗ n,s e−j2πn(∆f0)(sT +Tg)ej2πn(∆f)t0 (T −Tg) T Tg ej2πn(∆f0)tdt, Ψn(t) , n = m +∞ s=−∞ N n=1 ˆHX∗ n,s e−j[2π(n−m)(∆f)+2πn(∆f0)](sT +Tg)ej2πm(∆f)t0 (T −Tg) T Tg ej[2π(n−m)(∆f)+2πn(∆f0)]tdt, Ψn(t) n = m (13) Term +∞ s=−∞ N n=1 ˆHX∗ n,s e−j2πn(∆f0)(sT+Tg) ej2πn(∆f)t0 (T − Tg) T Tg ej2πn(∆f0)t dt, Ψn(t) is the deteriorated wanted signal from same OFDM sub-carrier (meaning n∆f = m∆f), while the other term +∞ s=−∞ N n=1 ˆHX∗ n,s e−j[2π(n−m)(∆f)+2πn(∆f0)](sT+Tg) ej2πm(∆f)t0 (T − Tg) T Tg ej[2π(n−m)(∆f)+2πn(∆f0)]t dt, Ψn(t) denotes the additive noise caused by other OFDM sub-carriers (meaning n∆f = m∆f) due to lost of orthogonality. References [1] H. Liu and G. Li, OFDM-Based Broadband Wireless Networks, Design and Optimisation, John Wiley & Sons, 2005. 149
  • 151.
    [2] Marwat, S.N.K..;Zaki, Y.; Goerg, C.; Weerawardane, T.; Design and Performance Analysis of Bandwidth and QoS aware LTE Uplink Scheduler in Heterogeneous Traffic Environment, IEEE 8th International Wireless Communications and Mobile Computing Conference (IWCMC 2012), pp. 499– 504, Limassol, August 27-31, 2012. [3] Yping Zhao, Sven-Gustav Haggman; An Analysis of Orthogonal Frequency Division Multiplexing for Mobile Radio Applications, IEEE 44th Vehicular Technology conference, Vol.3, June, 10, 1994. [4] Thomas Strohmer; Pseudodifferential Operators and Banach Algebras in Mobile Communications, Elsevier Journal of Applied and Computational Harmonic Analysis, Volume 20, Issue 2, pp. 237–249, March 2006. [5] Dahlman, Parkvall, Skold and Beming, 3G Evolution: HSPA and LTE for Mobile Broadband, Academic Press, Oxford, UK, 2007. [6] S. Louvros, A.C. Iossifides, K. Aggelis, A. Baltagiannis, G. Economou, A Semi- Analytical Macroscopic MAC Layer Model for LTE Uplink, Proc. Of 5th IFIP International Conference on New Technologies, Mobility and Security (NTMS 2012), Turkey Instanbul, May 2012. [7] 3GPP TS 36.321, Evolved Universal Terrestrial Radio Access (E-UTRA); Medium Access Control (MAC) protocol specification (Release 8), V8.1.0, 2008. 150
  • 152.
    Selected papers ofthe 2014 International Conference on Topology and its Applications (2015) Pages 151–158 Department of Mathematics University of Patras Greece mI-open sets and quasi-mI-open sets in terms of minimal ideal topological spaces M. Parimala 1 , S. Jafari 2 1Department of Mathematics, Bannari Amman Institute of Technology, Sathyamangalam-638401, Tamil Nadu 2College of Vestsjaelland South, Herrestraede 11, 4200 Slagelse, Denmark Abstract The purpose of this paper is to introduce a new type of open sets called mI-open sets and quasi-mI-open sets in minimal ideal topological spaces and investigate the relation between minimal structure space and minimal ideal structure spaces. Basic properties and characterizations related to these sets are given. Key words: Minimal ideals, minimal local functions, topological ideals, minimal ideal structure. 1991 MSC: 54A05, 54C10, 54B05. 1. Introduction An ideal [8] I on a nonempty set X is a nonempty collection of subsets of X which satisfies (i) A ∈ I and B ⊂ A implies B ∈ I and (ii) A ∈ I and B ∈ I implies A ∪ B ∈ I. Given a topological space (X, τ) with an ideal I on X and if P(X) is the set of all subsets of X, a set operator (.)∗ : P(X) → P(X), called a local function [7] of A with respect to τ and I is defined as follows: for A ⊂ X, A∗ (I, τ) = {x ∈ X : U ∩ A /∈ I for every U ∈ τ(x)} where τ(x) = {U ∈ τ : x ∈ U}. A Kuratowski closure operator cl∗ (.) for a topology τ∗ (I, τ), called the ∗-topology, finer than τ is defined by cl∗ (A) = A∪A∗ (I, τ) [16]. When there is no chance for confusion, we will simply write A∗ for A∗ (I, τ) and τ∗ for τ∗ (I, τ). If I is an ideal on X, then the space (X, τ, I) is called an ideal space. A subset A of an ideal space is said to be ∗-dense in itself [5] (resp. ∗-closed [7]) if A ⊂ A∗ (resp. A∗ ⊂ A). By a space (X, τ), we always mean 1 rishwanthpari@gmail.com 2 jafaripersia@gmail.com
  • 153.
    a topological space(X, τ) with no separation properties assumed. If A ⊂ X, then cl(A) and int(A) respectively, denote the closure and interior of A in (X, τ) and int∗ (A) will denote the interior of A in (X, τ∗ ). The notion of I- open sets was introduced by Jankovic et al. [6], further it was investigated by Abd El-Monsef [1]. 2. Preliminaries The notion of minimal structures and minimal spaces as a generalization of topology and topological spaces were introduced in [9, 10]. Some other results about minimal spaces can be seen in [2, 3, 14]. Also, generalized topologies which are the other generalization of topology were defined by Csaszar [4]. Noiri and Popa [11] obtained the definitions and characterizations of separa- tion axioms by using the concept of minimal structures. Let (X, M) be a minimal space and Um(x) = {Um : x ∈ Um, Um ∈ M} be the family of m-open sets which contain x. A family M ⊂ P(X) is said to be a minimal structure on X if φ, X ∈ M. In this case (X, M) is called a minimal space [9]. Definition 2.1. (See [12]) Let (X, M) be a minimal space with an ideal I on X and (.)∗ m be a set operator from P(X) to P(X) (P(X) is the set of all subsets of X). For a subset A ⊆ X, A∗ m(I, M) = {x ∈ X : Um ∩ A /∈ I : for every Um ∈ Um(x)} is called the minimal local function of A with respect to I and M. We will simply write A∗ m for A∗ m(I, M). Theorem 2.2. (See [12]) Let (X, M) be a minimal space with I, I ideals on X and A, B be subsets of X. Then (i) A ⊂ B ⇒ A∗ m ⊂ B∗ m, (ii) I ⊂ I ⇒ A∗ m(I ) ⊂ A∗ m(I), (iii) A∗ m = m-cl(A∗ m) ⊂ m-cl(A), (iv) A∗ m ∪ B∗ m ⊂ (A ∪ B)∗ m, (v) (A∗ m)∗ m ⊂ A∗ m. Remark 2.3. (See [12]) If (X, M) has property [I], then A∗ m ∪B∗ m = (A∪B)∗ m. Definition 2.4. (See [12]) Let (X, M) be a minimal space with an ideal I on X. The set operator m-cl∗ is called a minimal ∗-closure and is defined as m-cl∗ (A) = A ∪ A∗ m for A ⊂ X. We will denote by M∗ (I, M) the minimal structure generated by m-cl∗ , that is, M∗ (I, M) = {U ⊂ X : m-cl∗ (X −U) = X − U}. M∗ (I, M) is called ∗-minimal structure which is finer than M. The 152
  • 154.
    elements of M∗ (I,M) are called minimal ∗-open (briefly, m∗-open) and the complement of an m∗-open set is called minimal ∗-closed (briefly, m∗-closed). Throughout the paper we simply write M∗ for M∗ (I, M). If I is an ideal on X, then (X, M, I) is called an ideal minimal space. Definition 2.5. A subset A of an m-space (X, M) is called (i) an m-preopen set (see [15]) if A ⊆ m-int(m-cl(A)) and a m-preclosed set if m-cl(m-int(A)) ⊆ A, (ii) an m-semiopen set (see [15]) if A ⊆ m-cl(m-int(A)) and a m-semiclosed set if m-int(m-cl(A)) ⊆ A, (iii) m-α-open set (see [13]) if A ⊆ m-int(m-cl(m-int(A))) and an m-α-closed set if m-cl(m-int(m-cl(A))) ⊆ A. The m-pre closure (resp. m-semi closure, m-α-closure) of a subset A of an m-space (X, M) is the intersection of all m-pre closed (resp. m-semi closed, m-α-closed) sets that contain A and is denoted by m-pcl(A) (resp. m-scl(A), m-αcl(A)). Definition 2.6. (see [14]) (i) A minimal structure (X, M) has the property [U] if the arbitrary union of m-open sets is m-open. (ii) A minimal structure (X, M) has the property [I] if any finite intersection of m-open sets is m-open. 3. On minimal-I-open sets and minimal-I-closed sets Definition 3.1. A subset A of a minimal ideal structure space (X, M, I) is said to be minimal-I-open (briefly, mI-open) if A ⊆ m-int(A∗ m). We denote mIO(X, M) = {A ⊆ X : A ⊆ m-int(A∗ m)} or simply we write mIO for mIO(X, M) when there is no chance for confusion. Remark 3.2. It is clear that mI-open and m-open are independent concepts. (Example 3.3.). Example 3.3. (i) Let X = {a, b, c, d}. Define the m-structure on X as fol- lows: M = {X, φ, {c}, {d}} and the ideal I = φ, {a}. For A = {a, c, d}, we have A∗ m = X and m-int(A∗ m) = X ⊃ A. This shows that A ∈ mIO but A ∈ M. (ii) Let X = {a, b, c, d}. Define the m-structure on X as follows: M = {X, φ, {a}, {b}, {a, c}, {b, c}} and the ideal I = φ, {b}, {c}, {b, c}. For A = {a, c}, we have A∗ m = {a, d} and m-int(A∗ m) = {a} ⊇ A. This shows that A ∈ M but A ∈ mIO(X). 153
  • 155.
    Theorem 3.4. EverymI-open set is a minimal pre open set. Also, mI- openness and m-semiopenness are independent concepts. Proof. Let A be mI-open set. A ⊆ m-int(A∗ m) ⇒ A ⊆ m-int(m-cl(A)). Since A∗ m ⊂ m-cl(A) by Theorem 2.2 (iii). Therefore A is minimal pre open and follows from the Example 3.5. The converse of the above theorem need not be true in general, as shown by the following example. Example 3.5. (i) Let X = {a, b, c}. Define the m-structure on X as follows: M = {φ, X, {a}, {b}} and the ideal I = φ, {a}. For A = {a}, we have A∗ m = φ and m-int(A∗ m) = φ ⊇ A. But m-cl(A) = {a, c} ⇒ m-int(m-cl(A)) = {a} ⊇ A and m-int(A) = {a} ⇒ m-cl(m-int(A)) = {a, c} ⊇ A . This shows that A ∈ mPO and A ∈ mSO but A ∈ mIO. (ii) Let X = {a, b, c, d}. Define the m-structure on X as follows: M = {φ, X, {c}, {d}} and the ideal I = φ, {a}. For A = {a, c, d}, we have A∗ m = X and m-int(A∗ m) = X ⊇ A. But m-int(A) = {c} ⇒ m-cl(m-int(A)) = {a, b, c} ⊇ A. This shows that A ∈ mIO and A ∈ mSO. Theorem 3.6. Arbitrary union of mI-open sets is also mI-open. Proof. Let (X, M, I) be any space and Wi ∈ mIO(X, M) for i ∈ , this means that for each i ∈ , Wi ⊂ (m-int((Wi)∗ m) and so ∪iWi ⊂ ∪i(m- int((Wi)∗ m) ⊆ m-int(∪iWi)∗ m. Hence ∪iWi ∈ mIO(X, M). Remark 3.7. The intersection of two mI-open sets need not be mI-open as is illustrated by the following example. Example 3.8. Let X = {a, b, c, d}. Define the m-structure on X as follows: M = {φ, X, {a}, {b}, {a, c}, {b, c}} and the ideal I = φ. Then {a, c}, {b, c} ∈ mIO, but {a, c} ∩ {b, c} = {c} ∈ mIO. Theorem 3.9. For a space and A ⊆ X, we have: (i) If I = φ, then A∗ m = m-cl(A), and hence each of mI-open set and minimal pre open sets coincide. (ii) If I = P(X), then A∗ m = φ and hence A is mI-open iff A = φ. Theorem 3.10. For any mI-open set A of a minimal structure space (X, M, I), we have A∗ m = (m-int(A∗ m))∗ m. Definition 3.11. A subset A of a minimal ideal structure space (X, M, I) is said to be minimal-I-closed (briefly, mI-closed) if its complement is mI-open. Theorem 3.12. For A ⊆ (X, M, I) we have ((int(A))∗ m)c = (int(Ac ))∗ m in general (Example 3.13.) where Ac denotes the complement of A. 154
  • 156.
    Example 3.13. LetX = {a, b, c, d}. Define the m-structure on X as follows: M = {φ, U, {a}, {b}, {a, c}, {b, c}} and the ideal I = φ. Then it is clear that if A = {a, c}, then ((int(A))∗ m)c = {b}, but (int(Ac ))∗ m = {b, d}. Theorem 3.14. If A ⊆ (X, M, I) is minimal-I-closed, then A ⊃ (int(A))∗ m. Proof. Follows from the definition of mI-closed sets and Theorem 2.2.(iii). Corollary 3.15. (i) The union of mI-closed set and m-closed set is mI-closed. (ii) The union of mI-closed set and an mα-closed set is m-pre closed. Theorem 3.16. If A ⊆ (X, M, I) is mI-open and m-semi closed, then A = int(A∗ m). Proof. Follows from Theorem 2.2.(iii). Theorem 3.17. Let If (X, M, I) be a minimal ideal structure spaces and A ∈ X. Then the following are equivalent. (i) A is mI-open. (ii) A ⊂ A∗ m and m-scl(A) = m-int(m-cl(A)). (iii) A ⊂ A∗ m and A is m-pre open. Proof. A ∈ mIO(X) if and only if A ⊂ A∗ m and A ⊂ int(A∗ m) if and only if A ⊂ A∗ m and A ⊂ m-int(m-cl(A)), since m-cl(A) = A. if and only if A ⊂ A∗ m and A ∪ m-int(m-cl(A)) = m-int(m-cl(A)) if and only if A ⊂ A∗ m and m- scl(A) = m-int(m-cl(A)). Therefore, (i) and (ii) are equivalent. It is clear that (i) and (iii) are equivalent. Theorem 3.19. For a subset A ⊆ (X, M, I), we have: (i) If A is M∗ -closed and A ∈ mIO(X), then m-int(A) = m-int(A∗ m). (ii) A is M∗ -closed iff A is m-open and mI-closed. (iii) If A is n∗-perfect, then A = m-int(A∗ m), for every A ∈ mIO(X, M). Proof. Obvious. 4. Quasi-mI-open sets Definition 4.1. A subset A of a minimal ideal space (X, M, I) is quasi-mI- open (briefly, q-mI-open) if A ⊆ m-cl(m-int(A∗ m)). Theorem 4.2. Every mI-open set is q-mI-open. Also, q-mI-openness and m-semiopenness (resp., preopenness) are independent concepts (by, Examples 4.3.). The family of all q-mI-open sets is denoted by QmIO(X, M). 155
  • 157.
    The connections betweenq-mI-openness with some other corresponding types have been given throughout the following implication. m-open E' mI-open T c c E q-mI-open m-semi-open r rrr rrrrjr rrr rrrr‰ ¡ ¡ m-pre-open ¨¨ ¨¨¨ ¨¨¨B¨¨¨ ¨¨¨ ¨¨% e e The above relationships can not be reversible as the next examples illustrate. Example 4.3. (i) Let X = {a, b, c}. Define the m-structure on X as fol- lows: M = {φ, X, {a}, {b}} and the ideal I = φ, {a}. For A = {a}, we have A∗ m = φ and m-int(A∗ m) = φ ⇒ m-cl(m-int(A∗ m)) = φ ⊇ A. But m- cl(A) = {a, c, d} ⇒ m-int(m-cl(A)) = {a} ⊇ A and m-int(A) = {a} ⇒ m- cl(m-int(A)) = {a, c, d} ⊇ A. This shows that A ∈ mPO and A ∈ mSO but A ∈ QmIO. (ii) Let X = {a, b, c, d}. Define the m-structure on X as follows: M = {φ, X, {c}, {d}} and the ideal I = φ, {a}. For A = {a, c, d}, we have A∗ m = X and m-cl(m-int(A∗ m)) = X ⊇ A. But m-int(A) = {c} ⇒ m-cl(m-int(A)) = {a, b, c} ⊇ A. This shows that A ∈ QmIO and A ∈ mSO. (iii) Let X = {a, b, c, d}. Define the m-structure on X as follows: M = {φ, X, {a}, {b}, {a, c}, {b, c}} and the ideal I = φ, {b}, {c}, {b, c}. For A = {a, d}, we have A∗ m = {a, d} and m-cl(m-int(A∗ m)) = {a, d} ⊇ A. But m- cl(A) = {a, d} ⇒ m-int(m-cl(A)) = {a} ⊇ A. This shows that A ∈ QmIO but A ∈ mPO and A ∈ mIO. Theorem 4.4. Arbitrary union of quasi-mI-open sets is also quasi-mI-open. Proof. Let (X, M, I) be any space and Wi ∈ QmIO(X, M) for i ∈ , this means that for each i ∈ , Wi ⊂ m-cl(m-int((Wi)∗ m)) and so ∪i ⊂ m-cl(m- int((Wi)∗ m)) ⊆ m-cl(m-int(∪iWi)∗ m). Hence ∪iWi ∈ QmIO(X, M). Remark 4.5. A finite intersection of quasi-mI-open sets need not in general quasi-mI-open, as Example 4.6. shows. Example 4.6. In Example 4.3. We deduce that the two sets {a, c} and {b, c} are quasi-mI-open while their intersection does not. The above remark, turns our attention to establish the following result. Proposition 4.7. The following statements holds: 156
  • 158.
    (i) For (X,M, P(X)) then QmIO(X, M) = mIO(X, M). (ii) For any (X, M, I) each q-mI-open (resp. m-semi open) which it is m∗- closed (resp. m∗-dense-in-itself) is m-semi open (resp. q-mI-open). Since m∗-dense-in-itself and m∗-closeness together of any W ∈ X in (X, M, I) equivalent with the m∗-perfect property of W in the same space. Then the two classes QmIO(X, M) and MSO(X, M) are coincides with each other, if each member of term is m∗-perfect or both of m∗-dense-in-itself and m∗-closed. In other words, the two parts of statement (ii) previously equivalent with: QmIO(X, M) = MSO(XM) if W ∈ X is m∗-perfect for any (X, M, I). References [1] M. E. Abd El-Monsef, E. F. Lashien and A. A. Nasef, On I-open sets and I-continuous functions, Kyungpook Math. J., 32 (1992), 21–30. [2] M. Alimohammady and M. Roohi, Fixed point in minimal spaces, Nonlinear Anal. Model. Control, 10 (2005), 305–314. [3] M. Alimohammady and M. Roohi, Linear minimal space, Chaos Solitons Fractals, 33 (2007), 1348–1354. [4] A. Csaszar, Generalized topology, generalized continuity, Acta Math. Hungar., 96(2002), 351–357. [5] E. Hayashi, Topologies defined by local properties, Math. Ann., 1964, 156: 205– 215. [6] D. Jankovi and T. R. Hamlett, Compatible extensions of ideals, Boll. Un. Mat. Ital., B(7)6, (1992), 453–465. [7] D. Jankovic and T. R. Hamlett, New Topologies from old via Ideals, Amer. Math. Monthly, 1990, 97(4), 295–310. [8] K. Kuratowski, Topology, Vol. I, Academic Press (New York, 1966). [9] H. Maki, J. Umehara and T. Noiri, Every topological space is preT1/2, Mem. Fac. Sci. Kochi Univ. Ser. A Math., 17 (1996), 33–42. [10] H. Maki, On generalizing semi-open sets and preopen sets, in: Meeting on Topological Spaces Theory and its Application (August, 1996), pp. 13–18. [11] T. Noiri and V. Popa, On m-D-separation axioms, J. Math. Univ. Istanbul Fac. Sci., 61/62 (2002/2003), 15–28. [12] O. B. Ozbakir and E. D. Yildirim, On some closed sets in ideal minimal spaces, Acta Math. Hungar., 125(3) (2009), 227–235. [13] M. Parimala, Upper and Lower Weaky mX-αψ-Continuous Multifunctions, Journal of Applied and Computational Mathematics, 2012, 1:2, Page: 1–5. 157
  • 159.
    [14] V. Popaand T. Noiri, On m-continuous functions, Anal. Univ. Dunrea de Jos Galati, Ser. Mat. Fiz. Mec. Teor. (2), 18 (2000), 31–41. [15] E. Rosas, N. Rajesh and C. Carpintero, Some new types of open sets and closed sets in minimal structure-I, Int. Mat. Forum 4(44)(2009), 2169–2184. [16] R. Vaidyanathaswamy, The localization theory in set topology, Proc. Indian Acad. Sci., 1945, 20: 51–61. 158
  • 160.
    Selected papers ofthe 2014 International Conference on Topology and its Applications (2015) Pages 159–167 Department of Mathematics University of Patras Greece Some properties of Gα-closed graphs A. Selvakumar 1 , S. Jafari 2 1 Info Institute of Engineering Coimbatore-107, Tamilnadu, India 2 College of Vestsjaelland South, Herrestraede 11, 4200 Slagelse, Denmark Abstract R.Devi et al. [4] introduced the concept of gα-open sets. In this paper, we introduce and study some properties of functions with ultra gα-closed graphs and strongly gα-closed graphs by utilizing gα-open sets and the gα-closure operator. Key words: gα-open set, ultra gα-closed graphs, strongly gα-closed graph, gα-Urysohn space. 1991 MSC: 54A05, 54D05 54D10, 54D45. 1. Introduction and Preliminaries Quite recently, R.Devi et al. [4] introduced the notion of gα-open sets in topological spaces and introduced the concept of gα-closure of a set by utilizing the notion of gα-open sets defined in [4]. In 2009, the concept of functions with strongly λ-closed graphs was introduced and studied by M.Caldas et al. [1]. In this paper, we introduce and study some properties of functions with ultra gα-closed graphs and strongly gα-closed graphs by utilizing gα-open sets and the gα-closure operator. Throughout this paper, by (X, τ) and (Y, σ) (or X and Y ) we always mean topological spaces. For a subset A of a space (X, τ), cl(A) and int(A) denote the closure of A and the interior of A respectively. We recall the following definitions, which are useful in the sequel. Definition 1.1. A subset A of a space (X, τ) is called 1 selvam mphil@yahoo.com 2 jafaripersia@gmail.com
  • 161.
    1. a semi-openset [6] if A ⊆ cl(int(A)) and a semi-closed set [6] if int(cl(A)) ⊆ A and 2. an α-open set [7] if A ⊆ int(cl(int(A))) and an α-closed set [7] if cl(int(cl(A))) ⊆ A. The semi-closure (resp. α-closure) of a subset A of a space (X, τ) is the inter- section of all semi-closed (resp. α-closed) sets that contain A and is denoted by scl(A) (resp. αcl(A)). Definition 1.2. A subset A of a space (X, τ) is called 1. a g-closed set [9] if cl(A) ⊆ U whenever A ⊆ U and U is semi-open in (X, τ); the complement of a g-closed set is called a g-open set, 2. a ∗ g-closed set [8] if cl(A) ⊆ U whenever A ⊆ U and U is g-open in (X, τ); the complement of a ∗ g-closed set is called a ∗ g-open set, 3. a gs-closed set [10] if scl(A) ⊆ U whenever A ⊆ U and U is ∗ g-open in (X, τ); the complement of a gs-closed set is called a gs-open set and 4. a gα-closed set [4] if αcl(A) ⊆ U whenever A ⊆ U and U is gs-open in (X, τ); the complement of a gα-closed set is called a gα-open set. Notation 1.3. For a topological space (X, τ), GαC(X, τ) (resp. GαO(X, τ)) denotes the class of all gα-closed (resp. gα-open) subsets of (X, τ). We set GαO(X, x) = {U : x ∈ U and U ∈ GαO(X, τ)}. Definition 1.4. A function f : (X, τ) → (Y, σ) is called a 1. gα-continuous [3] if f−1 (V ) is gα-closed in (X, τ) for every closed set V of (Y, σ) and 2. gα-irresolute [3] if f−1 (V ) is gα-closed in (X, τ) for every gα-closed set V of (Y, σ). Definition 1.5. [2] (i) A space X is said to be gα-T1 if for each pair of distinct points x and y in X, there exists gα-open sets U and V containing x and y respectively, such that y /∈ U and x /∈ V . (ii) A space X is said to be gα-T2 if for each pair of distinct points x and y in X, there exists gα-open sets U and V containing x and y respectively, such that U ∩ V = φ. 2. Ultra gα-Closed Graphs If f : (X, τ) → (Y, σ) is any function, then the subset G(f) = {(x, f(x)) : x ∈ X} 160
  • 162.
    of the productspace (X × Y, τ × σ) is called graph of f ([5]). Definition 2.1. A function f : (X, τ) → (Y, σ) is said to have a ultra gα- closed graph if for each (x, y) ∈ (X × Y ) − G(f), there exist U ∈ GαO(X, x) and V ∈ GαO(Y, y) such that f(U) ∩ gαcl(V ) = φ. Theorem 2.2. If f : (X, τ) → (Y, σ) is a function with a ultra gα-closed graph, then for each x ∈ X, f(x) = ∩{gαcl(f(U))|U ∈ GαO(X, x)}. Proof. Suppose the theorem is false. Then there exists a y = f(x) such that y ∈ ∩{gαcl(f(U))|U ∈ GαO(X, x)}. This implies that y ∈ gαcl(f(U)), for every U ∈ GαO(X, x). So V ∩ f(U) = φ for every V ∈ GαO(Y, y). This indicates that gαcl(V )∩f(U) ⊃ V ∩f(U) = φ which contradicts the hypothesis that f is a function with a ultra gα-closed graph. Hence the theorem holds. Theorem 2.3. If f : (X, τ) → (Y, σ) is gα-irresolute and Y is gα-T2, then G(f) is ultra gα-closed. Proof. Let (x, y) ∈ (X × Y ) − G(f) and V ∈ GαO(Y, y) such that f(x) /∈ gαcl(V ). It follows that there is U ∈ GαO(X, x) such that f(U) ⊂ Y − gαcl(V ). Hence, f(U) ∩ gαcl(V ) = φ. The converse need not be true by the following example. Example 2.4. Let X = {a, b, c}, τ = {φ, X, {a}} and define the identity map f : (X, τ) → (X, τ). Then f is clearly gα-irresolute and X is not gα-T2 space. Hence we obtain G(f) is not ultra gα-closed. Theorem 2.5. If f : (X, τ) → (Y, σ) is surjective and has a ultra gα-closed graph G(f), then Y is both gα-T2 and gα-T1. Proof. Let y1, y2(y1 = y2) ∈ Y . The surjectivity of f gives a x1 ∈ X such that f(x1) = y1. Now (x1, y2) ∈ (X × Y ) − G(f). The ultra gα-closed graph G(f) gives U ∈ GαO(X, x1) and V ∈ GαO(Y, y2) such that f(U) ∩ gαcl(V ) = φ, since y1 /∈ gαcl(V ). This means that there exists W ∈ GαO(Y, y1) such that W ∩ V = φ. So, Y is gα-T2 and hence is gα-T1. Theorem 2.6. If f : (X, τ) → (Y, σ) is an injection and G(f) is ultra gα- closed, then X is gα-T1. Proof. Since f is injective, for any pair of distinct points x1, x2 ∈ X, f(x1) = f(x2). Then (x1, f(x2)) ∈ (X ×Y )−G(f). Since G(f) is ultra gα-closed, there exist U ∈ GαO(X, x1) and V ∈ GαO(Y, f(x2)) such that f(U)∩gαcl(V ) = φ. Therefore, x2 /∈ U. We obtain a set W ∈ GαO(X, x2) such that x1 /∈ W. Hence, X is gα-T1. Theorem 2.7. If f : (X, τ) → (Y, σ) is bijective function with ultra gα-closed graph G(f), then (X, τ) and (Y, σ) are gα-T1 space. 161
  • 163.
    Proof. The proofis an immediate consequence of Theorem 2.5. and Theorem 2.6. Theorem 2.8. A space X is gα-T2 if and only if the identity function f : (X, τ) → (X, τ) has a ultra gα-closed graph G(f). Proof. Necessity. Let X be a gα-T2 space. Since the identity function f : (X, τ) → (X, τ) is gα-irresolute, it follows from Theorem 2.3, that G(f) is ultra gα-closed. Sufficiency. Let G(f) be a ultra gα-closed graph. Then the surjectivity of f and ultra gα-closed graph of G(f) implies, by Theorem 2.5, that X is gα-T2. Definition 2.9. A function f : (X, τ) → (Y, σ) is called quasi gα-irresolute if for each x ∈ X and each V ∈ GαO(Y, f(x)), there exist U ∈ GαO(X, x) such that f(U) ⊂ gαcl(V ). Theorem 2.10. If a function f : (X, τ) → (Y, σ) is a quasi gα-irresolute injection with a ultra gα-closed graph G(f), then X is gα-T2. Proof. Since f is injective, for any pair of distinct points x1, x2 ∈ X, f(x1) = f(x2). Therefore (x1, f(x2)) ∈ (X × Y ) − G(f). Since G(f) is ultra gα-closed, there exist U ∈ GαO(X, x1) and V ∈ GαO(Y, f(x2)) such that f(U) ∩ gαcl(V ) = φ, hence we obtain U ∩ f−1 (gαcl(V )) = φ. Consequently, f−1 (gαcl(V )) ⊂ X − U. Since f is quasi gα-irresolute, there exists W ∈ GαO(X, x2) such that f(W) ⊂ gαcl(V ). It follows that W ⊂ f−1 (gαcl(V )) ⊂ X −U, hence W ∩U = φ. Thus for the pair of distinct points x1, x2 ∈ X, there exist U ∈ GαO(X, x1) and W ∈ GαO(X, x2) such that W ∩ U = φ. Hence, X is gα-T2. Corollary 2.11. If a function f : (X, τ) → (Y, σ) is a gα-irresolute injection with a ultra gα-closed graph G(f), then X is gα-T2. Proof. The proof follows from Theorem 2.10, and the fact that every gα- irresolute function is quasi gα-irresolute. Theorem 2.12. If a function f : (X, τ) → (Y, σ) is a quasi gα-irresolute bijection with a ultra gα-closed graph G(f), then X and Y are gα-T2. Proof. The proof follows from Theorem 2.10 and Theorem 2.5. We recall that the union of any two gα-closed sets are gα-closed. Definition 2.13. A topological space X is called, (i) gα-extremely disconnected if the gα-closure of every gα-open set is gα- open. 162
  • 164.
    (ii) X iscalled nearly gα-compact (resp. a subset A of X is said to be nearly gα-compact relative to X), if every gα-open cover of X (resp. if every cover of A by gα-open sets of X) has a finite subfamily such that the union of their gα-closures covers X (resp. has a finite subfamily such that the union of their gα-closures covers A). Lemma 2.14. Every open subset of a nearly gα-compact space X is nearly gα-compact relative to X. Proof. Let B be any open (hence gα-clopen) subset of a nearly gα-compact space X. Let {Oα|α ∈ Ω} be any cover of B by gα-open sets in X. Then the family F = {Oα|α ∈ Ω} ∪ {X − B} is a cover of X by gα-open sets in X. Because of near gα-compactness of X, there exists a finite subfamily F∗ = {Oαi |1 ≤ i ≤ n} ∪ {X − B} of F such that the union of gα-closure covers X. So, because of gα-clopenness of B we have the family {gαcl(Oαi )|1 ≤ i ≤ n} which covers B. Therefore B is nearly gα-compact relative to X. Theorem 2.15. Let (X, τ) be a gα-space. If Y is a nearly gα-compact and gα-extremely disconnected space, then a function f : (X, τ) → (Y, σ) with a ultra gα-closed graph is quasi gα-irresolute. Proof. Let x ∈ X and V ∈ GαO(Y, f(x)). Take any y ∈ Y − gαcl(V ). Then (x, y) ∈ (X × Y ) − G(f). Now the ultra gα-closedness of G(f) induces the existence of Uy(x) ∈ GαO(X, x) and Vy(x) ∈ GαO(Y, y) such that f(Uy(x)) ∩ gαcl(Vy) = φ. (1) Now gα-extremal disconnectedness of Y induces the gα-clopenness of gαcl(V ) and hence Y − gαcl(V ) is also gα-clopen. Now {Vy : y ∈ Y |gαcl(V )} is a cover of Y − gαcl(V ) by gα-open sets in Y . By Lemma 2.14, there exists a finite subfamily {Vyi : 1 ≤ i ≤ n} such that Y − gαcl(V ) ⊂ ∪n i=1gαcl(Vyi ). Let W = ∩n i=1Uyi (x), where Uyi (x) are gα-open sets in X satisfying (1). Also W ∈ GαO(X, x). Now f(W) ∩ (Y − gαcl(V )) ⊂ f[∩n i=1Uyi (x)] ∩ (∪n i=1gαcl(Vyi )) ⊂ ∪n i=1(f[Uyi (x)] ∩ gαcl(Vyi )) = φ, by (1). Therefore, f(W) ⊂ gαcl(V ) and this indicates that f is quasi gα-irresolute. Corollary 2.16. Let (X, τ) be a gα-space. If Y is a nearly gα-compact and gα-extremely disconnected space, then the surjection f : (X, τ) → (Y, σ) with a ultra gα-closed graph is quasi gα-irresolute. Proof. The proof follows from Theorem 2.5 and Theorem 2.15. 3. Strongly Gα-Closed Graphs Definition 3.1. A graph G(f) of a function f : (X, τ) → (Y, σ) is strongly gα-closed if for each (x, y) ∈ (X × Y ) − G(f), there exist U ∈ GαO(X, x) and 163
  • 165.
    an open setV of Y containing y such that f(U) ∩ V = φ. Theorem 3.2. Every ultra gα-closed graph is strongly gα-closed graph. Proof. It follows from the definitions. Theorem 3.3. If f : (X, τ) → (Y, σ) is gα-continuous and Y is Hausdroff, then G(f) is strongly gα-closed in X × Y . Proof. Let (x, y) ∈ (X × Y ) − G(f). Then f(x) = y. Since Y is Hausdorff, there exist open sets V and W in Y containing f(x) and y respectively such that V ∩ W = φ. Since f is gα-continuous, there exists U ∈ GαO(X, x) such that f(U) ⊂ V . Therefore, f(U) ∩ W = φ, G(f) is strongly gα-closed. Theorem 3.4. If f : (X, τ) → (Y, σ) is surjective and has a strongly gα-closed graph G(f), then Y is T1. Proof. Let y1, y2(y1 = y2) ∈ Y . The surjectivity of f gives a x ∈ X such that f(x) = y2. Hence (x, y1) /∈ G(f). Then by definition, there exists gα-open set U and an open set V containing x and y1 respectively, such that f(U)∩V = φ. Hence y2 /∈ V . This means that Y is T1. Theorem 3.5. If f : (X, τ) → (Y, σ) is a function with a strongly gα-closed graph, then for each x ∈ X, f(x) = ∩{gαcl(f(U))|U ∈ GαO(X, x)}. Proof. It follows from the Theorem 2.2 and Theorem 3.2. Theorem 3.6. If f : (X, τ) → (Y, σ) is surjective and has a strongly gα-closed graph G(f), then Y is both gα-T2 and gα-T1. Proof. The proof follows from Theorem 2.5 and Theorem 3.2. Theorem 3.7. If f : (X, τ) → (Y, σ) is an injection and G(f) is strongly gα-closed, then X is gα-T1. Proof. It follows from the Theorem 2.6 and Theorem 3.2. Theorem 3.8. If f : (X, τ) → (Y, σ) is bijective function with strongly gα- closed graph G(f), then (X, τ) and (Y, σ) are gα-T1 space. Proof. The proof is an immediate consequence of Theorem 2.7 and Theorem 3.2. Theorem 3.9. If f : (X, τ) → (Y, σ) is gα-irresolute and Y is gα-T2, then G(f) is strongly gα-closed. Proof. It follows from the Theorem 2.3 and Theorem 3.2. The converse need not be true by the following example. Example 3.10. Let X = {a, b, c}, τ = {φ, X, {a}} and define the identity map f : (X, τ) → (X, τ). Then f is clearly gα-irresolute and X is not gα-T2 164
  • 166.
    space. Hence weobtain G(f) is not strongly gα-closed. Theorem 3.11. A space X is gα-T2 if and only if the identity function f : (X, τ) → (X, τ) has a strongly gα-closed graph G(f). Proof. It follows from the Theorem 2.8 and Theorem 3.2. Theorem 3.12. If a function f : (X, τ) → (Y, σ) is a quasi gα-irresolute injection with a strongly gα-closed graph G(f), then X is gα-T2. Proof. It follows from the Theorem 2.10 and Theorem 3.2. Corollary 3.13. If a function f : (X, τ) → (Y, σ) is a gα-irresolute injection with a strongly gα-closed graph G(f), then X is gα-T2. Proof. The proof follows from Theorem 2.11 and the fact that every gα- irresolute function is quasi gα-irresolute. Theorem 3.14. If a function f : (X, τ) → (Y, σ) is a quasi gα-irresolute bijection with a strongly gα-closed graph G(f), then X and Y are gα-T2. Proof. The proof follows from Theorem 2.12 and Theorem 3.2. Theorem 3.15. Let (X, τ) be a gα-space. If Y is a nearly gα-compact and gα-extremely disconnected space, then a function f : (X, τ) → (Y, σ) with a strongly gα-closed graph is quasi gα-irresolute. Proof. It follows from the Theorem 2.15 and Theorem 3.2. Corollary 3.16. Let (X, τ) be a gα-space. If Y is a nearly gα-compact and gα-extremely disconnected space, then the surjective f : (X, τ) → (Y, σ) with a strongly gα-closed graph is quasi gα-irresolute. Proof. The proof follows from Theorem 2.16 and Theorem 3.2. 4. Additional Properties Definition 4.1. A topological space X is called gα-Urysohn if every pair of distinct points x, y ∈ X, there exists U ∈ GαO(X, x) and V ∈ GαO(X, y) such that gαcl(U) ∩ gαcl(V ) = φ. Theorem 4.2. A gα-Urysohn space is gα-T2. Proof. Let x and y be two distinct points of X. Since X is gα-Urysohn, there exist U ∈ GαO(X, x) and V ∈ GαO(X, y) such that gαcl(U) ∩ gαcl(V ) = φ, hence U ∪ V = φ. Therefore, X is gα-T2. Theorem 4.3. If Y is gα-Urysohn and f : (X, τ) → (Y, σ) is quasi gα- 165
  • 167.
    irresolute injection, thenX is gα-T2. Proof. Since f is injective, for any pair of distinct points x1, x2 ∈ X, f(x1) = f(x2). The gα-Urysohn property of Y indicates that there exist Vi ∈ GαO(Y, f(xi)), i = 1, 2 such that gαcl(V1) ∩ gαcl(V2) = φ. Hence f−1 (gαcl(V1)) ∩ f−1 (gαcl(V2)) = φ. Since f is quasi gα-irresolute, there exists Ui ∈ GαO(X, xi), i = 1, 2 such that f(Ui) ⊂ gαcl(Vi), i = 1, 2. It follows that Ui ⊂ f−1 (gαcl(Vi)), i = 1, 2. Hence U1 ∩ U2 ⊂ f−1 (gαcl(V1)) ∩ f−1 (gαcl(V2)) = φ. Therefore, X is gα-T2. Definition 4.4. [2] A function f : (X, τ) → (Y, σ) is pre gα-open if f(A) ∈ GαO(Y ) for all A ∈ GαO(X). Lemma 4.5. Let a bijection f : (X, τ) → (Y, σ) be pre gα-open. Then for any B ∈ Gαc(X), f(B) ∈ Gαc(Y ). Theorem 4.6. If a bijection f : (X, τ) → (Y, σ) is pre gα-open and X is gα-Urysohn, then Y is gα-Urysohn. Proof. Let y1, y2 ∈ Y and y1 = y2. Since f is bijective, f−1 (y1), f−1 (y2) ∈ X and f−1 (y1) = f−1 (y2). The gα-Urysohn property of X gives the existence of sets U ∈ GαO(X, f−1 (y1)) and V ∈ GαO(X, f−1 (y2)) such that gαcl(U) ∩ gαcl(V ) = φ. As gαcl(U) is a gα-closed set in X, the bijectivity and gα- openness of f together indicate by Lemma 4.5, that f(gαcl(U)) ∈ Gαc(Y ). Again from U ⊂ gαcl(U) it follows that f(U) ⊂ f(gαcl(U)) and hence gαcl(f(U)) ⊂ gαcl(f(gαcl(U))) = f(gαcl(U)). Simillarly we have gαcl(f(V )) ⊂ f(gαcl(V )). Therefore, by the injectivity of f, gαcl(f(U))∩gαcl(f(V )) ⊂ f(gαcl(U))∩f(gαcl(V )) = f(gαcl(U)∩gαcl(V )) = φ. Thus gα-openness of f gives the existence of two sets f(U) ∈ GαO(Y, y1) and f(V ) ∈ GαO(Y, y2) such that gαcl(f(U)) ∩ gαcl(f(V )) = φ, which shows that Y is gα-urysohn. Theorem 4.7. If a bijection f : (X, τ) → (Y, σ) is pre gα-open and X is gα-T2, then G(f) is ultra gα-closed. Proof. Let (x, y) ∈ (X × Y ) − G(f). Then y = f(x). Since f is bijective, x = f−1 (y). Since X is gα-T2, there exist Ux, Uy ∈ GαO(X) such that x ∈ Ux, f−1 (y) ∈ Uy and Ux ∩ Uy = φ. Moreover f is pre gα-open and bijective, therefore f(x) ∈ f(Ux) ∈ GαO(Y ), y ∈ f(Uy) ∈ GαO(Y ) and f(Ux)∩f(Uy) = φ. Hence f(Ux) ∩ gαcl(f(Uy)) = φ. This shows that G(f) is ultra gα-closed. Theorem 4.8. If f : (X, τ) → (Y, σ) is quasi gα-irresolute and Y is gα- urysohn, then G(f) is ultra gα-closed. 166
  • 168.
    Proof. Let (x,y) ∈ (X × Y ) − G(f). Then y = f(x). since Y is gα-urysohn, there exist V ∈ gαO(Y, y) and W ∈ GαO(Y, f(x)) such that gαcl(V ) ∩ gαcl(W) = φ. Since f is quasi gα-irresolute, there exists U ∈ GαO(X, x) such that f(U) ⊂ gαcl(W). This, implies that f(U) ∩ gαcl(V ) = φ. By defi- nition, G(f) is ultra gα-closed. References [1] M.Caldas, S.Jafari and T.Noiri, On functions with strongly λ-closed graphs, Southeast Asian Bulletin of Mathematics, 33 (2009), 229–236. [2] R. Devi, A. Selvakumar and M. Caldas, Contra gα-continuous functions, (submitted). [3] R. Devi, A. Selvakumar and S. Jafari, Applications of gα-closed sets, (submitted). [4] R. Devi, A. Selvakumar and S. Jafari, gα-closed sets in topological spaces, (submitted). [5] T. Husain, Topology and Maps, Plenum Press, New york, (1977). [6] N. Levine, Semi-open sets and semi-continuity in topological spaces, Amer. Math. Monthly, 70(1963), 36–41. [7] O. Njastad, On some classes of nearly open sets, Pacific J. Math., 15(1965), 961–970. [8] M.K.R.S. Veera kumar, Between g∗-closed sets and g-closed sets, Antartica J. Math., 3(1)(2006), 43–65. [9] M.K.R.S. Veera Kumar, On g-closed sets in topological spaces, Allahabad Math. Soc., 18(2003), 99–112. [10] M.K.R.S. Veera kumar, g-semi-closed sets in topological spaces, Antartica J. Math., 2:2(2005), 201–222. 167
  • 169.
    Selected papers ofthe 2014 International Conference on Topology and its Applications (2015) Pages 168–181 Department of Mathematics University of Patras Greece Contra Gα-continuous functions A. Selvakumar 1 , S. Jafari 2 1 Info Institute of Engineering Coimbatore-107, Tamilnadu, India 2 College of Vestsjaelland South, Herrestraede 11, 4200 Slagelse, Denmark Abstract The concept of gα-closed sets in a topological space are introduced by R. Devi et. al. [4]. In this paper, we introduce the notion of contra gα-continuous functions utilizing gα-open sets and study some of its applications. Key words: gα-closed sets, contra gα-continuous, gα-normal. 1991 MSC: 54A05, 54D05 54D10, 54D45. 1. Introduction and Preliminaries In 1996, Dontchev [6] introduced the notions of contra continuity and strong S-closedness in topological spaces. He defined a function f : X → Y is con- tra continuous if the pre image of every open set of Y is closed in X. Also a new class of function called contra semi-continuous function is introduced and investigated by Dontchev and Noiri [7]. The notions of contra super continu- ous, contra pre continuous and contra α-continuous functions are introduced by Jafari and Noiri [11,12]. Nasef [16] has introduced and studied contra γ- continuous function. In this paper, we introduce the concept of contra gα- continuous functions via the notion of gα-open set and study some of the applications of this function. All through this paper, (X, τ) and (Y, σ) stand for topological spaces with no separation axioms assumed, unless otherwise stated. Let A ⊆ X, the closure of A and the interior of A will be denoted by cl(A) and int(A) respectively. A is regular open if A = int(cl(A)) and A is regular closed if its complement is regular open; equivalently A is regular closed if A = cl(int(A)), see [25]. 1 selvam mphil@yahoo.com 2 jafaripersia@gmail.com
  • 170.
    Definition 1.1. Asubset A of a space (X, τ) is called a 1. semi-open set [13] if A ⊆ cl(int(A)) and a semi-closed set [13] if int(cl(A)) ⊆ A, 2. α-open set [17] if A ⊆ int(cl(int(A))) and an α-closed set [17] if cl(int(cl(A))) ⊆ A, 3. pre open set [14] if A ⊆ int(cl(A)) and pre closed set [14] if cl(int(A)) ⊆ A, 4. γ-open set [9] if A ⊆ cl(int(A)) ∪ int(cl(A)) and γ-closed set [9] if int(cl(A)) ∪ cl(int(A)) ⊆ A, 5. β-open set [1] if A ⊆ cl(int(cl(A))) and β-closed set [1] if int(cl(int(A))) ⊆ A, 6. δ-open set [24] if for each x ∈ A, there exists a regular open set G such that x ∈ G ⊂ A. The semi-closure (resp. α-closure) of a subset A of a space (X, τ) is the inter- section of all semi-closed (resp. α-closed) sets that contain A and is denoted by scl(A) (resp. αcl(A)). Definition 1.2. A subset A of a space (X, τ) is called a 1. g-closed set [22,23] if cl(A) ⊆ U whenever A ⊆ U and U is semi-open in (X, τ), 2. ∗ g-closed set [20] if cl(A) ⊆ U whenever A ⊆ U and U is g-open in (X, τ), 3. gs-closed set [21] if scl(A) ⊆ U whenever A ⊆ U and U is ∗ g-open in (X, τ). Let (X, τ) be a space and let A be a subset of X. A is called gα-closed set [4] if αcl(A) ⊆ U whenever A ⊆ U and U is gs-open set of (X, τ). The complement of an gα-closed set is called gα-open. The union of two gα-closed sets is gα- closed set in (X, τ) [4, Let A and B be gα-closed sets. Let A ∪ B ⊆ U, U is gs-open. Since A and B are gα-closed sets, αcl(A) ⊆ U, αcl(B) ⊆ U. This implies that αcl(A ∪ B) = αcl(A) ∪ αcl(B) ⊆ U, (since τα =α-open set forms a topology [13]) and so αcl(A ∪ B) ⊆ U. Therefore A ∪ B is gα-closed]. We set gαO(X, x) = {U : x ∈ U and U ∈ τgα}, where τgα denotes the family of all gα-open subsets of a space (X, τ). The collection of all closed subsets of X will be denoted by C(X). We set C(X, x) = {V ∈ C(X) : x ∈ V } for x ∈ X. Definition 1.3. A function f : (X, τ) → (Y, σ) is called a 1. contra continuous [6] if f−1 (V ) is closed in (X, τ) for every open set V of (Y, σ), 2. RC-continuous [7] if f−1 (V ) is regular-closed in (X, τ) for every open set V of (Y, σ), 3. contra super continuous [10] if f−1 (V ) is δ-closed in (X, τ) for every open set V of (Y, σ), 4. contra semi continuous [7] if f−1 (V ) is closed in (X, τ) for every open set 169
  • 171.
    V of (Y,σ), 5. contra α-continuous [11] if f−1 (V ) is α-closed in (X, τ) for every open set V of (Y, σ), 6. contra pre continuous [11] if f−1 (V ) is pre-closed in (X, τ) for every open set V of (Y, σ), 7. contra γ-continuous [16] if f−1 (V ) is γ-closed in (X, τ) for every open set V of (Y, σ), 8. contra β-continuous [3] if f−1 (V ) is β-closed in (X, τ) for every open set V of (Y, σ), 9. gα-continuous [5] if f−1 (V ) is gα-closed in (X, τ) for every closed set V of (Y, σ), 10. gα-irresolute [5] if f−1 (V ) is gα-closed in (X, τ) for every gα-closed set V of (Y, σ). 2. Properties of contra gα-continuous functions Definition 2.1. A function f : (X, τ) → (Y, σ) is called contra gα-continuous if f−1 (U) is gα-closed in (X, τ) for each open set U in (Y, σ). Theorem 2.2. Every contra α-continuous function is contra gα-continuous. Proof. It follows from the fact that every α-closed set is gα-closed. Corollary 2.3. Every contra-continuous function is contra gα-continuous. Proof. It follows from the fact that every closed set is gα-closed. The converse of the Theorem 2.2. and Corollary 2.3. need not be true by following example. Example 2.4. Let X = Y = {a, b, c}, τ = {X, φ, {a, b}} and σ = {Y, φ, {a}, {a, c}}. Define f : (X, τ) → (Y, σ) by f(a) = b, f(b) = a, f(c) = c. Here {a} is an open set of (Y, σ) but f−1 ({a}) = {b} is not an α-closed and hence not closed set of (X, τ). Thus f is not contra-α-continuous and hence not contra-continuous, however f is contra- gα-continuous. Definition 2.5. Let A be a subset of a space (X, τ). (a) The set ∩{U ∈ τ : A ⊂ U} is called the kernel of A [13] and is denoted by ker(A). (b) The set ∩{F ⊂ X : A ⊆ F, F is gα-closed} is called the gα-closure of A and is denoted by clgα(A). 170
  • 172.
    (c) The set∪ {F ⊂ X : F ⊆ A, F is gα-open} is called gα-interior of A and is denoted by intgα(A). Lemma 2.6. [10] The following properties hold for subsets A, B of a space X: (a) x ∈ ker(A) if and only if A ∩ F = φ for any F ∈ C(X, x). (b) A ⊆ ker(A) and A = ker(A) if A is open in X. (c) If A ⊆ B, then ker(A) ⊆ ker(B). Theorem 2.7. For a function f : (X, τ) → (Y, σ) the following conditions are equivalent: (1) f is contra gα-continuous; (2) for every closed subset F of Y , f−1 (F) ∈ gαO(X); (3) for each x ∈ X and each F ∈ C(Y, f(x)), there exists U ∈ gαO(X, x) such that f(U) ⊆ F; (4) f(clgα(A)) ⊆ ker(f(A)) for every subset A of X; (5) clgα(f−1 (B)) ⊆ f−1 (ker(B)) for every subset B of Y . Proof. The implications (1) ⇔ (2) and (2) ⇒ (3) are obvious. (3) ⇒ (2) Let F be any closed set of Y and x ∈ f−1 (F). Then f(x) ∈ F and there exists Ux ∈ gαO(X, x) such that f(Ux) ⊆ F. Therefore, we obtain f−1 (F) = ∪{Ux/x ∈ f−1 (F)} and f−1 (F) is gα-open, by [4, Theorem 3.15]. (2) ⇒ (4) Let A be any subset of X. Suppose that y /∈ ker(f(A)). Then by Lemma 2.6. there exists F ∈ C(Y, f(x)) such that f(A)∩F = φ. Thus, we have A∩f−1 (F) = φ and since f−1 (F) is gα-open then we have clgα(A)∩f−1 (F) = φ. Therefore, we obtain f(clgα(A)) ∩ F = φ and y /∈ f(clgα(A)). This implies that f(clgα(A)) ⊆ ker(f(A)). (4) ⇒ (5) Let B be any subset of Y . By (4) and Lemma 2.6., we have f(clgα(f−1 (B))) ⊆ ker(f(f−1 (B))) ⊆ ker(B). Thus clgα(f−1 (B)) ⊆ f−1 (ker(B)). (5) ⇒ (1) Let V be any open set of Y . Then, by Lemma 2.6., we have clgα(f−1 (V )) ⊆ f−1 (ker(V )) = f−1 (V ) and clgα(f−1 (V )) = f−1 (V ). This shows that f−1 (V ) is gα-closed in X. Theorem 2.8. Let f : X → Y be a function, then the following are equivalent. (1) The function f is gα-continuous. (2) For each point x ∈ X and each open set V of Y with f(x) ∈ V , there exists a gα-open set U of X such that x ∈ U, f(U) ⊂ U. Proof. (1) ⇒ (2) Let f(x) ∈ V . Then x ∈ f−1 (V ) ∈ gαO(X), since f is gα-continuous. Let U = f−1 (V ). Then x ∈ X and f(U) ⊂ U. 171
  • 173.
    (2) ⇒ (1)Let V be an open set of Y and let x ∈ f−1 (V ). Then f(x) ∈ V . Then f(x) ∈ V and thus there exists an gα-open set Ux of X such that x ∈ Ux and f(U) ⊂ V . Now, x ∈ Ux ⊂ f−1 (V ) and f−1 (V ) = ∪Ux. Then f−1 (V ) is gα-open in X. Therefore, f is gα-continuous. Theorem 2.9. If a function f : X → Y is contra gα-continuous and Y is regular, then f is gα-continuous. Proof. Let x be an arbitrary point of X and let V be an open set of Y containing f(x); since Y is regular, there exists an open set W in Y containing f(x) such that cl(W) ⊆ V . Since f is contra gα-continuous, so by Theorem 2.7.(3) there exists U ∈ gαO(X, x) such that f(U) ⊆ cl(W). Then f(U) ⊆ cl(W) ⊆ V . Hence, f is gα-continuous. Corollary 2.10. If a function f : X → Y is contra gα-continuous and Y is regular, then f is continuous. Proof. It suffices to observe that every continuous function is gα-continuous. Remark 2.11. The converse of Corollary 2.10. is not true. The following example shows that continuity does not necessarily imply contra gα-continuity even if the range is regular. Example 2.12. The identity function on the real line with the usual topology is continuous and hence gα-continuous. The inverse image of (0, 1) is not gα- closed and consequently the function is not contra gα-continuous. Definition 2.13. A space (X, τ) is said to be gα-space (resp. locally gα- indiscrete) if every gα-open set is open (resp. closed) in X. Theorem 2.14. If a function f : X → Y is contra gα-continuous and X is gα-space, then f is contra-continuous. Proof. Let V be a closed set in Y . Since f is contra-gα-continuous, f−1 (V ) is gα-open in X. Since X is gα-space, f−1 (V ) is open in X. Hence f is contra- continuous. Corollary 2.15. If X is a gα-space, then for a f : X → Y function following statements are equivalent, (1) f is contra-continuous. (2) f is contra gα-continuous. Theorem 2.16. Let X be locally gα-indiscrete. If a function f : X → Y is contra gα-continuous, then f is continuous. Proof. Let V be a closed set in Y . Since f is contra-gα-continuous, f−1 (V ) is gα-open in X. Since X is locally gα-indiscrete, f−1 (V ) is closed in X. Hence 172
  • 174.
    f is continuous. Definition2.17. A function f : X → Y is called almost gα-continuous if for each x ∈ X and each open set V of Y containing f(x), there exists U ∈ gαO(X, x) such that f(U) ⊆ intgα(cl(V )). Theorem 2.18. A function f : X → Y is almost gα-continuous if and only if for each x ∈ X and each regular open set V of Y containing f(x), there exists U ∈ gαO(X, x) such that f(U) ⊆ V . Proof. Let V be regular open set of Y containing f(x) for each x ∈ X. This implies that V is an open set of Y containing f(x) for each x ∈ X. Since f is almost gα-continuous, there exists U ∈ gαO(X, x) such that f(U) ⊆ intgα(cl(V )). Conversely, if for each x ∈ X and each regular open set V of Y containing f(x), there exists U ∈ gαO(X, x) such that f(U) ⊆ V . This implies V is an open set of Y containing f(x), there exists U ∈ gαO(X, x) such that f(U) ⊆ V = intgα(cl(V )). Therefore f is almost gα-continuous. Definition 2.19. A function f : X → Y is said to be pre gα-open if the image of each gα-open set is gα-open. Theorem 2.20. If a function f : X → Y is a pre gα-open and contra gα- continuous, then f is almost gα-continuous. Proof. Let x be any arbitrary point of X and V be an open set containing f(x). Since f is contra gα-continuous, then by Theorem 2.7.(3) there exists U ∈ gαO(X, x) such that f(U) ⊆ cl(V ). Since f is pre gα-open, f(U) is gα- open in Y . Therefore, f(U) = intgαf(U) ⊆ intgα(cl(f(U))) ⊆ intgα(cl(V )). This shows that f is almost gα-continuous. Definition 2.21. The gα-frontier of A of a space (X, τ), denoted by Frgα(A) is defined by Frgα(A) = clgα(A) ∩ clgα(X − A). Theorem 2.22. Let K = {x ∈ X : V ∩ U = φ} for every gα-open set V containing x, then clgα(U) = K. Proof. Let x ∈ K ⇔ V ∩ U = φ, x ∈ V, V is a gα-open set ⇔ x ∈ U or every gα-open sets containing x contains a point of U other than x ⇔ x ∈ clgα(U). Theorem 2.23. The set of all points x of X at which f : X → Y is not contra gα-continuous is identical with the union of the gα-frontier of the inverse image of closed sets of Y containing f(x). 173
  • 175.
    Proof. Suppose fis not contra gα-continuous at x ∈ X. There exists F ∈ C(Y, f(x)) such that f(U) ∩ (Y − F) = φ for every U ∈ gαO(X, x). This implies that U ∩ f−1 (Y − F) = φ. Therefore, we have x ∈ clgα(f−1 (Y − F)) = clgα(X − f−1 (F)). However, since x ∈ f−1 (F) ⊆ clgα(f−1 (F)), thus x ∈ clgα(f−1 (F))∩clgα(f−1 (Y −F)). Therefore, we obtain x ∈ Frgα(f−1 (F)). Suppose that x ∈ Frgα(f−1 (F)) for some F ∈ C(Y, f(x)) and f is contra gα-continuous at x, then there exists U ∈ gαO(X, x) such that f(U) ⊆ F. Therefore, we have x ∈ U ⊆ f−1 (F) and hence x ∈ intgα(f−1 (F)) ⊆ X − Frgα(f−1 (F)). This is a contradiction. This means that f is not contra gα- continuous. Theorem 2.24. Let (Xλ : λ ∈ Λ) be any family of topological spaces. If f : X → Xλ is a contra gα-continuous function. Then Pλ ◦ f : X → Xλ is contra gα-continuous for each λ ∈ Λ, where Pλ is the projection of Xλ onto Xλ. Proof. We shall consider a fixed λ ∈ Λ. Suppose Uλ is an arbitrary open set in Xλ. Then P−1 λ (Uλ) is open in Xλ. Since f is contra gα-continuous, we have by definition f−1 (P−1 λ (Uλ)) = (Pλ ◦f)−1 (Uλ) is gα-closed in X. Therefore Pλ ◦ f is contra gα-continuous. Theorem 2.25. Let f : X → Y and g : Y → Z be two functions and g ◦ f : X → Z. Then (i) g ◦ f is contra-gα-continuous, if g is continuous and f is contra-gα- continuous. (ii) g ◦ f is contra-gα-continuous, if g is contra-continuous and f is gα- continuous. (iii) g◦f is contra-gα-continuous, if f and g are gα-continuous and Y is locally gα-indiscrete. Theorem 2.26. If f : X → Y be surjective gα-irresolute and pre-gα-open and g : Y → Z be any function. Then g ◦ f : X → Z is contra gα-continuous if and only if g is contra gα-continuous. Proof. The ’if’ part is easy to prove. To prove the ’only if’ part, let g ◦ f : X → Z is contra gα-continuous and let F be a closed subset of Z. Then (g ◦ f)−1 (F) is a gα-open of X. That is f−1 (g−1 (F)) is an gα-open subset of X. Since f is pre-gα-open, f(f−1 (g−1 (F))) is gα-open subset of Y . So, g−1 (F) is an gα-open in Y . Hence g is contra gα-continuous. Recall that for a function f : X → Y , the subset {(x, f(x)) : x ∈ X} ⊆ X ×Y is called the graph of f and is denoted by Gr(f). Definition 2.27. The graph Gr(f) of a function f : X → Y is said to be contra gα-closed if for each (x, y) ∈ (X × Y ) − Gr(f), there exists U ∈ gαO(X, x) and V ∈ C(Y, y) such that (U × V ) ∩ Gr(f) = φ and it is denoted 174
  • 176.
    by Cgα-closed. Lemma 2.28.[8] Let Gr(f) be the graph of f, for any subset A ⊆ X and B ⊆ Y , we have f(A) ∩ B = φ if and only if (A × B) ∩ G(f) = φ. Lemma 2.29. The graph Gr(f) of a function f : X → Y is Cgα-closed in X × Y if and only if for each (x, y) ∈ (X × Y ) − Gr(f), there exists U ∈ gαO(X, x) and V ∈ C(Y, y) such that f(U) ∩ V = φ. Theorem 2.30. If f : X → Y is contra gα-continuous and Y is Urysohn, then f is Cgα-closed in the product space X × Y . Proof. Let (x, y) ∈ (X × Y ) − Gr(f). Then y = f(x) and there exists open sets H1, H2 such that f(x) ∈ H1, y ∈ H2 and cl(H1) ∩ cl(H2) = φ. From hypothesis, there exists V ∈ gαO(X, x) such that f(V ) ⊆ cl(H1). Therefore, we obtain f(V ) ∩ cl(H2) = φ. This shows that f is Cgα-closed. Theorem 2.31. If f : X → Y and g : X → Y are contra gα-continuous and Y is Urysohn, then K = {x ∈ X : f(x) = g(x)} is gα-closed in X. Proof. Let x ∈ X−K. Then f(x) = g(x). Since Y is Urysohn, there exist open sets U and V such that f(x) ∈ U, g(x) ∈ V and cl(U)∩cl(V ) = φ. Since f and g are contra gα-continuous, f−1 (cl(U)) ∈ gαO(X) and g−1 (cl(V )) ∈ gαO(X). Let A = f−1 (cl(U)) and B = f−1 (cl(V )), then A and B contains x. Set C = A∩B. C is gα-open in X [4, Theorem 2.15]. Hence f(C)∩g(C) = φ and x /∈ clgα(K). Thus, K is gα-closed in X. Theorem 2.32. Let f : X → Y be a function and let g : X → X × Y be the graph function of f, defined by g(x) = (x, f(x)) for every x ∈ X. If g is contra gα-continuous, then f is contra gα-continuous. Proof. Let U be an open set in Y , then X × U is an open set in X × Y . Since g is contra gα-continuous, it follows that f−1 (U) = g−1 (X × U) is an gα-closed set in X. Thus, f is contra gα-continuous. Theorem 2.33. If f : X → Y is gα-continuous and Y is T1, then f is Cgα- closed in X × Y . Proof. Let (x, y) ∈ (X ×Y )−Gr(f). Then f(x) = y and there exists an open set V of Y such that f(x) ∈ V and y /∈ V . Since f is gα-continuous there exists U ∈ gαO(X, x) such that f(U) ⊆ V . Therefore, we have f(U) ∩ (Y − V ) = φ and Y − V ∈ C(Y, y). This shows that f is Cgα-closed in X × Y . Definition 2.34. (i) A space X is said to be gα-T1 if for each pair of distinct points x and y in X, there exists gα-open sets U and V containing x and y respectively, such that y /∈ U and x /∈ V . (ii) A space X is said to be gα-T2 if for each pair of distinct points x and y 175
  • 177.
    in X, thereexists gα-open sets U and V containing x and y respectively, such that U ∩ V = φ. Theorem 2.35. Let X is a topological space and for each pair of distinct points x and y in X there exists a map f of X into a Urysohn topological space Y such that f(x) = f(y) and f is contra gα-continuous at x and y, then X is gα-T2. Proof. Let x and y be any distinct points in X. Then, there exists a Urysohn space Y and a function f : X → Y such that f(x) = f(y) and f is contra gα-continuous at x and y. Let a = f(x) and b = f(y). Then a = b. Since Y is Urysohn space, there exists open sets V and W containing a and b, respectively, such that cl(V ) ∩ cl(W) = φ. Since f is contra gα-continuous at x and y, there exist gα-open sets A and B containing a and b, respectively, such that f(A) ⊆ cl(V ) and f(B) ⊆ cl(W). Then f(A) ∩ f(B) = φ, so A ∩ B = φ. Hence, X is gα-T2. Corollary 2.36. Let f : X → Y be contra gα-continuous injection. If Y is an Urysohn space, then X is gα-T2. Definition 2.37. A space X is said to be weakly Hausdorff [18] if each element of X is an intersection of regular closed sets. Theorem 2.38. If f : X → Y is a contra gα-continuous injection and Y is weakly Hausdorff, then X is gα-T1. Proof. Suppose that Y weakly Hausdorff. For any distinct points x1 and x2 in X, there exists regular closed sets U and V in Y such that f(x1) ∈ U, f(x2) /∈ U, f(x1) /∈ V and f(x2) ∈ V . Since f is contra gα-continuous, f−1 (U) and f−1 (V ) are gα-open subsets of X such that x1 ∈ f−1 (U), x2 /∈ f−1 (U), x1 /∈ f−1 (V ) and x2 ∈ f−1 (V ). This shows that X is gα-T1. Theorem 2.39. Let f : X → Y have a Cgα-graph. If f is injective, then X is gα-T1. Proof. Let x1 and x2 be any two distinct points of X. Then, we have (x1, f(x2)) ∈ (X × Y ) − G(f). Then, there exist a gα-open set U in X containing x1 and F ∈ C(Y, f(x2)) such that f(U) ∩ F = φ hence U ∩ f−1 (F) = φ. Therefore we have x2 /∈ U. This implies that X is gα-T1. Definition 2.40. A topological space X is said to be ultra Hausdorff [19] if for each pair of distinct points x and y in X there exist clopen sets A and B containing x and y containing x and y, respectively such that A ∩ B = φ. Theorem 2.41. Let f : X → Y be a contra gα-continuous injection. If Y is 176
  • 178.
    ultra Hausdorff space,then X is gα-T2. Proof. Let x1 and x2 be any distinct points in X, then f(x1) = f(x2) and there exist clopen sets U and V containing f(x1) and f(x2) respectively such that U ∩ V = φ. Since f is contra gα-continuous, then f−1 (U) ∈ gαO(X) and f−1 (V ) ∈ gαO(X) such that f−1 (U) ∩ f−1 (V ) = φ. Hence, X is gα-T2. Definition 2.42. The graph Gr(f) of f : X → Y is said to be strongly contra- gα-closed if for each (x, y) ∈ (X, Y ) − Gr(f), there exists U ∈ gαO(X, x) and V ∈ RC(Y, y) such that (U × V ) ∩ Gr(f) = φ. Lemma 2.43. The graph Gr(f) of f : X → Y is strongly contra-gα-closed graph in X × Y if and only if for each (x, y) ∈ (X × Y ) − Gr(f), there exist U ∈ gαO(X, x) and V ∈ RC(Y, y) such that f(U) ∩ V = φ. Theorem 2.44. If f : X → Y is almost gα-continuous and Y is Hausdorff, then Gr(f) is strongly contra-gα-closed. Proof. Suppose that (x, y) ∈ (X × Y ) − Gr(f). Then y = f(x). Since Y is Hausdorff, there exist open sets V and W in Y containing y and f(x), respectively, such that V ∩ W = φ; hence, cl(V ) ∩ int(cl(W)) = φ. Since f is almost gα-continuous and W is regular open by Theorem 2.18. there exists U ∈ gαO(X, x) such that f(U) ⊆ W ⊆ int(cl(W)). This shows that f(U)∩cl(V ) = φ and hence by Lemma 2.43. we have Gr(f) is strongly contra- gα-closed. Remark 2.45. The following diagram shows the relationships established between contra gα-continuous functions and some other continuous functions. A → B represents A implies B but not conversely. A H ↓ B C → D → E → I ↓ ↓ F −→ G Notation 2.46. A= RC-continuous, B= contra super continuous, C= con- tra α-continuous, D= contra semi-continuous, E= contra γ-continuous, F= contra continuous, G= contra gα-continuous, H= contra pre-continuous, I= contra β-continuous. Remark 2.47. It should be mentioned that none of these implication is re- versible as shown by the example stated below. Example 2.48. [16] The digital line or the so-called Khalimsky line is the 177
  • 179.
    set of allintegers Z, equipped with the topology k, generated by subbase τk = {2n − 1, 2n, 2n + 1} : n ∈ Z . Let (Z, k) be the digital line and f : (Z, k) → (Z, k) be a function defined as follows: f(x) = 0, if x is odd; f(x) = 1, if x is even. It can be easily observed that f is contra super continuous but not RC-continuous. Example 2.49. [16] Let X = {a, b} be the Sierpinski space by setting τ = {X, φ, {a}} and σ = {X, φ, {b}}. The identity function f : (X, τ) → (X, σ) is contra continuous but not contra super continuous. Example 2.50. [11] Let X = {a, b, c} = Y , τ = {X, φ, {a}} and σ = {X, φ, {b}, {c}, {b, c}}. Then the identity function f : (X, τ) → (Y, σ) is contra α-continuous but not contra continuous. Example 2.51. [16] Let X = {a, b} with the indiscrete topology τ and σ = {X, φ, {a}. Then the identity function f : (X, τ) → (X, σ) is contra γ-continuous but not contra semi continuous, since A = {a} ∈ σ but A is not semi closed in (X, τ). Example 2.52. [12] Let X = {a, b, c, d} and τ = {X, φ, {b}, {c}, {b, c}, {a, b}, {a, b, c}, {b, c, d}}. Define a function f : (X, τ) → (X, τ) as follows : f(a) = b, f(b) = a f(c) = d and f(d) = c. Then f is contra semi-continuous. However, f is not contra α-continuous, since {c, d} is closed set of (X, τ) and f−1 ({c, d}) = {c, d} is not α-open. Example 2.53. Let X = {a, b, c}, τ = {X, φ, {a}, {b}, {a, b}} and Y = {1, 2} be the Sierpinski space with the topology σ = {Y, φ, {1}}. Let f : (X, τ) → (Y, σ) be defined by: f(a) = 1 and f(b) = f(c) = 2. Then f is contra γ continuous but neither contra pre continuous nor contra gα-continuous. Example 2.54. [7] A contra semi continuous function need not be contra pre continuous. Let f : R → R be the function f(x) = [x], where [x] is the Gaussion symbol. If V is a closed subset of the real line, its pre image U = f−1 (V ) is the union of the intervals of the form [n, n+1], n ∈ Z; hence U is semi open being union of semi open sets. But f is not contra pre continuous, since f−1 (0.5, 1.5) = [1, 2) is not pre closed in R. Example 2.55. [7] A contra pre continuous function need not be contra semi continuous. Let X = {a, b}, τ = {X, φ} and σ = {X, φ, {a}}. Then the identity function f : (X, τ) → (Y, σ) is contra pre continuous as only the trivial subsets of X are open in (X, τ). However f−1 ({a}) = {a} is not semi closed in (X, τ); hence f is not contra semi continuous. 178
  • 180.
    Example 2.56. LetX = {a, b, c}, τ = {X, φ, {a}, {b}, {a, b}} and Y = {p, q}, σ = {Y, φ, {p}}. Let f : (X, τ) → (Y, σ) be defined by f(a) = p and f(b) = f(c) = q. Then f is contra β-continuous but neither contra pre continuous nor gα-continuous, since f−1 ({q}) = {b, c} is β-open neither pre open nor gα-open. Example 2.57. Let X = {a, b, c} = Y and τ = {X, φ, {a}, {b}, {a, b}}. Let f : (X, τ) → (Y, τ) be defined by: f(a) = c, f(b) = b and f(c) = a. Then f is contra semi continuous but not contra gα-continuous, since f−1 ({a, c}) = {a, c} is not gα-open. Example 2.58. Let X = {a, b, c} = Y , τ = {X, φ, {a}, {b, c}} and σ = {Y, φ, {a}, {b}, {a, b}}. Then the identity function f : (X, τ) → (Y, σ) is contra pre continuous but not contra gα-continuous, since f−1 ({c}) = {c} is not gα- open. 3. Applications of contra-gα-Continuous Functions Definition 3.1. A topological space X is said to be (a) gα-normal if each pair of non-empty disjoint closed sets can be separated by disjoint gα-open sets, (b) ultranormal [15] if each pair of non-empty disjoint closed sets can be separated by disjoint clopen sets. Theorem 3.2. If f : X → Y is a contra gα-continuous, closed injection and Y is ultranormal, then X is gα-normal. Proof. Let F1 and F2 be disjoint closed subsets of X. Since f is closed injective, f(F1) and f(F2) are disjoint closed subsets of Y . Since Y is ultranormal, f(F1) and f(F2) are separated by disjoint clopen sets V1 and V2, respectively. Hence Fi ⊂ f−1 (Vi), f−1 (Vi) ∈ gαO(X) for i = 1, 2 and f−1 (V1) ∩ f−1 (V2) = φ. Thus X is gα-normal. Definition 3.3. A topological space X is said to be gα-connected if X is not the union of two disjoint non-empty gα-open subsets of X. Theorem 3.4. A contra gα-continuous image of a gα-connected space is connected. Proof. Let f : X → Y be a contra gα-continuous function of a gα-connected space X onto to a topological space Y . If possible, let Y is disconnected. Let A and B form a disconnected of Y . Then A and B are clopen and Y = A ∪ B where A ∩ B = φ. Since f is contra gα-continuous, X = f−1 (Y ) = f−1 (A ∪ B) = f−1 (A)∪f−1 (B) where f−1 (A) and f−1 (B) are non-empty gα-open sets 179
  • 181.
    in X. Also,f−1 (A) ∩ f−1 (B) = φ. Hence X is non-gα-connected which is a contradiction. Therefore Y is connected. Theorem 3.5. Let X be gα-connected and Y be T1. If f : X → Y is contra gα-continuous, then f is constant. Proof. Since Y is T1 space, v = {f−1 (y) : y ∈ Y } is a disjoint gα-open partition of X. If |v| ≥ 2, then X is the union of two non-empty gα-open sets. Since X is gα-connected, |v| = 1. Therefore, f is constant. Theorem 3.6. If f : X → Y is a contra gα-continuous function from a gα-connected space X onto any space Y , then Y is not a discrete space. Proof. Suppose that Y is discrete. Let A be a proper non-empty open and closed subset of Y . Then f−1 (A) is a proper nonempty gα-clopen subset of X, which is a contradiction to the fact X is gα-connected. References [1] M. E. Abd El-Monsef, S. N. El-Deed and R. A. Mahmoud, β-open sets and β-continuous mappings, Bull. Fac. Sci. Assiut Univ., 12 (1983), 77–90. [2] Ahmad Al-Omari and Mohd Salmi Md Noorani, Contra-ω-continuous and Almost contra-ω-continuous, International journal of Mathematics and Mathematical Sciences, (2007), 1–13. [3] M. Caldas and S. Jafari, Some properties of contra β-continuous functions, Mem. Fac. Sci. Kochi Univ.(Math), 22 (2001), 19–28. [4] R. Devi, A. Selvakumar and S. Jafari, gα-closed sets in topological spaces, (submitted). [5] R. Devi, A. Selvakumar and S. Jafari, Applications of gα-closed sets, (submitted). [6] J. Dontchev, Contra-continuous functions and strongly S-closed spaces, International journal of Mathematics and Mathematical Sciences, Vol. 19, No. 2 (1996), 303–310. [7] J. Dontchev and T. Noiri, Contra-semi continuous functions, Mathematica Pannonica, Vol. 10, No. 2 (1999), 159–168. [8] E. Ekici, Almost contra-precontinuous functions, Bulletin of the Malaysian Mathematical Sciences Society, Vol. 27, no. 1 (2004), 53–65. [9] A. A. El-Atick, A study of some types of mappings on topological spaces, M. Sci. thesis, Tanta Univ., Egypt, 1997. [10] S. Jafari and T. Noiri, Contra-super-continuous functions, Annales Univ. Sci. Budapest, 42 (1999), 27–34. 180
  • 182.
    [11] S. Jafariand T. Noiri, Contra-α-continuous functions between topological spaces, Iranian International Journal of Sciences, Vol. 2, No. 2 (2001), 153–167. [12] S. Jafari and T. Noiri, On contra-precontinuous functions, Bulletin of the Malaysian Mathematical Sciences Society, Vol. 25, No. 2 (2002), 115–128. [13] N. Levine, Semi-open sets and semi-continuity in topological spaces, Amer. Math. Monthly, 70(1963), 36–41. [14] A. S. Mashhour, M. E. Abd El-Monsef and S. N. El-Deeb, On pre continuous and weak pre continuous mappings, Proc. Math. Phys. Soc., Egypt, 53 (1982), 7–53. [15] M. Mrsevic, On pairwise R0 and pairwise R1 bitopological spaces, Bull. Math. Soc. Sci. Math. RS Roumami, 30 (78)(1986), 141–148. [16] A. A. Nasef, Some properties of contra-γ-continuous functions, choas, Solitons & Fractals, Vol. 24, No. 2 (2005), 471–477. [17] O. Njastad, On some classes of nearly open sets, Pacific J. Math., 15(1965), 961–970. [18] T. Soundararajan, Weakly Hausdorff spaces and the cardinality of topological spaces, In: General topology and its relation to modern analysis and algebra, III, Proc. Conf. Kanpur, 1968, Academia, Prague 1971, p 3016. [19] R. Staum, The algebra of bounded continuous functions into nonarchimedean field, Pacific J. Math., 50 (1974), 169–185. [20] M.K.R.S. Veera kumar, Between g∗-closed sets and g-closed sets, Antartica J. Math., 3(1)(2006), 43–65. [21] M.K.R.S. Veera kumar, g-semi-closed sets in topological spaces, Antartica J. Math., 2:2(2005), 201–222. [22] M.K.R.S. Veera Kumar, g-locally closed sets and GLC-functions, Indian J. Math., 43(2)(2001), 231–247. [23] M.K.R.S. Veera Kumar, On g-closed sets in topological spaces, Allahabad Math. Soc., 18(2003), 99–112. [24] N. V. Velicko, H-closed topological spaces, Amer. Math. Soc. Transl., 78 (1968), 103–118. [25] S. Willard, General Topology, Addison - Wesley, Reading, Mass, USA (1970). 181
  • 183.
    Selected papers ofthe 2014 International Conference on Topology and its Applications (2015) Pages 182–189 Department of Mathematics University of Patras Greece Minimal (n, ε) - connected compacta are V n manifolds Vladimir Todorov 1 Department of Mathematic; University of Architecture, Civil Engineering and Geodesy; Hristo Smirnenski Blvd. #1, 1046 Sofia, Bulgaria Abstract We prove in this note that if a compact metric space X is a minimally V n connected between disjoint closed sets P ⊂ X, Q ⊂ X then X is a continuum V n. Key words: Cantor n-manifold, V n-continuum, V n connectedness, dimensional diameter. 1991 MSC: Primary 55M10, 55M15; Secondary 54F45. 1. Introduction All spaces in this note are compact metric or subsets of metric compacta. We deal below as well with the classical Lebesgue covering dimension dim. Cantor manifolds were introduced by Urysohn [1] (1925) as a generalization of Euclidean manifolds. Recall that a space X is a Cantor n-manifold if X cannot be separated by by any (n − 2)-dimensional closed subset. In other words, X is not a sum of two proper closed subsets whose intersection is at most (n − 2) dimensional. Another specification of Cantor manifolds was considered by Hadˇziivanov [3] (1970): X is a strong Cantor n-manifold if for arbitrary representation X = ∞ i=1 Fi, where all Fi are proper closed subsets of X, we have dim(Fi ∩ Fj) ≥ n−1 for some i = j. Hadˇziivanov and Todorov [4] introduced (1980) the class of Mazurkiewicz n-manifolds, which is a proper sub-class of the strong Cantor n-manifold spaces: X is a Mazurkiewicz n-manifold if for any disjoint closed subsets A and B of X, both having non-empty interior in X, and any (n−2)- dimensional set M ⊂ X, there exists a continuum in X M intersecting A and 1 tt.vladimir@gmail.com
  • 184.
    B (equivalently, nosuch space is cutting X between A and B). The notion of a Mazurkiewicz n-manifold has its roots in the classical Mazurkiewicz theorem saying that no region in the Euclidean n-space can be cut by a subset of dimension ≤ n − 2, see [5]. Meanwhile Alexandroff [2] introduced in 1957 the stronger notion of V n - continua: a compactum X is a V n -continuum if for every two closed disjoint subsets A, B of X, both with non-empty interior, there exists such ε > 0 that every partition C between A and B has an (n − 2) dimensional diameter dn−2(C) ≥ ε. Obviously, strong Cantor n-manifolds are Cantor n-manifolds. Moreover, every V n -continuum is a Mazurkiewicz n-manifold and Mazurkiewicz n-manifolds are strong Cantor n-manifolds, see [4]. None of the above inclusions is re- versible, see [6]. In the present paper we prove that if X is minimal (n, ε) connected between its closed subsets P and Q then X is a continuum V n (see the definitions below, where X is a compact space with metric in it). Definition 1.1. For A ⊂ X the diameter of A is the number diam A = sup{ (x, y)| x ∈ A, y ∈ A} Recall next some useful notion. For an arbitrary Y ⊂ X by Y and Y ◦ we denote the closure and the interior of Y . Let furthermore U = {U1, U2, . . . , Up} be a finite system of subsets of X. A body |U| of U is the set |U| = p i=1 Ui. If |U| = X then U is called a cover of X. The closure of U is the system U = {Ui}p i=1. We recall also two well known notions: the order ord U is by definition the max- imal number of elements of U with nonemapty intersection and the measure: mesh U = max{diam (Ui)| Ui ∈ U}. Definition 1.2. The n-dimensional diameter dn(X) of X is the number inf{mesh U} where U runs the set of all finite (or locally finite) covers of X, each of them with ord ≤ n + 1. Note that d−1(X) = diam X. Definition 1.3. Let P and Q are disjoint closed subsets of the metric space X and ε > 0. We say that X is (n, ε) connected between P and Q if for every partition C between P and Q one has dn−2(C) ≥ ε. Also we shall say sometimes that X is V n connected between P and Q meaning that it is a (n, ε) connected for some ε > 0. 183
  • 185.
    Note that everypartition in normal space contains a thin one. i.e. a partition with an empty interior. Hence without loss of generality we shall deal below primarily with thin partitions. Definition 1.4. A space X is an Alexandroff manifold (or a continuum V n ) if for every two closed disjoint subsets F and G with non-empty interior, there exists ε > 0 such that X is (n, ε) connected between F and G. Let P and Q be a fixed pair of disjoint closed subsets of a compact metric space (X, ). Next suppose that X is a minimal (n, ε) connected between P and Q. Minimality means as usual that every proper closed subset Y for which P ∪ Q ⊂ Y ⊂ X is not (n, ε) connected between P and Q for the given ε > 0 (Note however that Y may be an (n, ε ) connected petween P and Q for some ε < ε). We are going to prove here that X is a continuum V n . 2. Main Results Let U = {U1, U2, . . . , Up} be a finite open system in a metric space X for which the number λU defined by λU = 1 3 min{ (Ui, Uj)|1 ≤ i, j ≤ p; , Ui ∩ Uj = ∅} is positive. note:Below we will say that a system U is a proper system if λU > 0. All spaces in this paper are metric (hence normal) and this allows us to deal with proper finite open (or closed) systems. Also we will call the number λU a proper number of U. Now let U be a proper open system and Oλ(Ui) = Oi = {x| (x, Ui) < λU } for i = 1, 2 . . . , p. It is easy to see than that the systems U and OU = {O1, O2, . . . , Op} are similar, i.e. Ui ∩ Uj = ∅ if an only if Oi ∩ Oj = ∅ and as well O is also proper. Now we can formulate the following useful lemma. Lemma 2.1. Let U = {U1, U2, . . . , Up} be as above and V = {V1, V2, . . . , Vq} be a finite open system for which meshV < λU . Then we can ”join” U and V to obtain an open system W = J (U, V) for which following conditions are fulfilled: a) |V| = |U| ∪ |V| b) ord W ≤ max{ord U, ord V} c) mesh W ≤ mesh U + 2mesh V 184
  • 186.
    Proof. Denote fori = 1, 2, . . . , p by Ni the set Ni = {j| Ui ∩ Vj = ∅} and put Ni = ∅ if Ui ∩ Vj = ∅ for every j = 1, 2, . . . , p. Furthermore let {Wk} be an open system in X which is generated by (swelling U by V) modifying systems U and V as follows: W1 = U1 ∪ {Vj| j ∈ N1} if N1 = ∅ and W1 = U1 otherwise and for k ≥ 2 define Wk as Wk = Uk ∪ {Vj| j ∈ Nk k−1 l=1 Nl} if Nk k−1 l=1 Nl = ∅ and Wk = Uk for Nk k−1 l=1 Nl = ∅. Thus we have obtained an open system W∗ = {W1, W2, . . . , Wp}. If |W∗ | = |U|∪|V| the Lemma is proven, so W ≡ W∗ . The relation |W∗ | = |U| ∪ |V| means that there is some integers, say j1, . . . , jm for which Vjk ∩|W∗ | = ∅. To finish the proof it remains to rename Vjk ’s: Wp+k ≡ Vjk ; k = 1, 2, . . . , m. Thus we obtain a system W = {Wl}p+m l=1 . Note that the system W∗ is similar to U because Uk ⊆ Wk ⊂ Ok and hence ord U = ord W∗ and ord W∗ ≤ ord W ≤ max{ord U, ord V}. It is easy to see now that W satisfies the conditions a) and c). Theorem 2.2. Let (X, ) be a compact metric space and P and Q be a fixed disjoint pair of closed subsets of X. Suppose that X is a minimal (n, ε0)- connected between P and Q (with fixed ε0 > 0). Then X is V n -connected between every two disjoint closed subsets with non- empty interiors in X (P ∪ Q). If in addition dim X = n and P and Q are with empty interiors then X is a continuum V n . Proof. Suppose the contrary. We are going to obtain a contradiction by con- structing a partition C between P and Q in X for which dn−2(C) < ε0. And so let A and B are two disjoint closed subsets of X (P ∪ Q) with non- empty interiors in X (P ∪ Q) for which X is not V n -connected between A and B. This means that for every τ > 0 one can find a partition Cτ between A and B for which dn−2(Cτ ) < τ. In the sequel we put XA = X A◦ and XB = X B◦ respectively. Keeping in mind the minimality of X we see that one can find a partition CA ⊂ XA between P and Q for which dn−2(CA) < ε0. Hence we can find an open (in X) cover UA of CA for which: (i) mesh UA = εA < ε (ii) ord UA ≤ n − 1. It follows from this that XA = UA ∪ CA ∪ UB where UA ⊃ P and UB ⊃ Q are 185
  • 187.
    disjoint open setsin XA (hence in X). Note further that there is two options: Case 1. Suppose first, that CA ∩ B = ∅. Then B ⊂ UA or B ⊂ UB. Situation here is symmetrical, so we assume for example that B ⊂ UB. Now let us denote by PA the set PA = UA ∪ CA ∪ A. Note that X is minimal (n, ε0) connected between PA and Q because P ⊂ PA (if B ⊂ UA then put PB = UB ∪ CA ∪ A). It follows now that one can find a partition CB in X B between PA and Q for which dn−2CB < ε0. Thus XB = VA ∪CB ∪VB where VA ⊃ PA and VB ⊃ Q are disjoint open sets in XB (hence in X). According to Definition 1.3 we can find an open cover UB of CB satisfying the following conditions: (iii) mesh UB = εV < ε0 (iv) ord UB ≤ n − 1. Furthermore, denote by λA and λB the proper numbers of UA and UB and choose δ > 0 such that δ < 1 4 min{ε0 − εA, ε0 − εB, λA, λB, (CA ∪ A, CB ∪ B)}. Now let C∗ be a partition in X between A and B in X with dn−2(C∗ ) < δ. Thus we obtain a decomposition X = WA ∪ C∗ ∪ WB where WA ⊃ A and WB ⊃ B are disjoint open sets in X. Next we are going to construct a partition C between P and Q in X with dn−2(C) < ε0. For this purpose denote X∗ = X (UP ∪ VQ) and put C = CA ∪ (C∗ ∩ X∗ ) ∪ CB To show that C is a wonted partition let us consider a finite open cover V∗ of C∗ with mesh V∗ < δ and ord V∗ ≤ n − 1. Note that for U = UA ∪ UB we have mesh V < ε0 − 2δ and ord V ≤ n − 1; the last inequality follows by |UA| ∩ |UB| = ∅. Now apply Lemma 2.1 to obtain an open cover V = J(ω, V∗ ). Then ord V ≤ n − 1 and mesh V < mesh U + 2δ < ε0 − 2δ + 2δ = ε0. To reach a contradiction it remains to show that C is a partition between P and Q. To perform this let OP = (WA ∪ UP ) V Q and OQ = (WB ∪ VQ) UP . Obviously OP and OQ are open subsets of X and OP ⊃ P, OQ ⊃ Q. It follows as well by de Morgan’s law that they are disjoint: OP ∩ OQ = (WA ∪ UP ) V Q ∩ (WB ∪ VQ) UP = ((WA ∪ UP ) ∩ (WB ∪ VQ)) (UP ∪ V Q) = ((WA ∩ VQ) ∪ (WB ∩ UP )) (UP ∪ V Q) = ∅ because WA ∩ VQ ⊂ V Q and WB ∩ UP ⊂ UP . It is easy to convince now that ∂(OP ) ⊂ CA ∪ C∗ ∪ CB ⊃ ∂(OQ). Since (CA ∪ C∗ ∪ CB)◦ = ∅ we obtain the 186
  • 188.
    set C :=OP ∩ OQ ⊂ CA ∪ C∗ ∪ CB is a partition in X between A and B with dn−2(C) < ε0, a contradiction. To finish the proof we should see what happens when CA ∩ B = ∅. Case 2. Remind that the interior B◦ is non empty on condition and the partition CA was thin. Hence B◦ CA = ∅. Clearly we may choose an open subset H ⊂ B◦ CA for which H ⊂ B◦ CA. Now we can replace B with H and then return to the Case 1. Finally note that it follows from the above that dim X ≥ n. If dim X = n and P and Q are with empty interiors then X is V n connected between any two closed ”fat” disjoint subsets and hence is a continuum V n . To continue on, let us remind some more basic facts from the Dimension Theory. Given a system F = {(P1, Q1), (P2, Q2), . . . , (Pn, Qn) consisting of n disjoint pars of closed subsets of a compact metric space (X, ). F is called to be essential (or n-defined system) if for every collection of partitions {Ci}n i=1 between Pi and Qi in X the intersection n i=1 Ci = ∅. Further we call Pi’s and Qi’s faces of F. The system F is said to be minimal if for every proper closed subset Y ⊂ X the system F|Y = {(Pi|Y ), (Qi|Y )}n i=1 is not essential. Proposition 2.3. Let F be a minimal n-defined system in a compact metric space (X, ). Then there exists an equivalent metric ∗ in X under which X is a minimal (n, 1) connected between every pair Pi, Qi; i = 1, 2, . . . , n. Proof. Let for every integer i; 1 ≤ i ≤ n fi : X → [0, 1] be the continuous function defined by fi(x) = (x, Pi)/( (x, Pi) + (x, Qi)). Evidently f(Pi) = 0 and f(Qi) = 1. Now we put (x, y) = (x, y) + max1≤i≤n |fi(x) − fi(y)| and ∗ (x, y) = min{1, (x, y)}. It is easy to see that metrics and ∗ are equivalent. In considerations below we shall use the metric ∗ . It seems that the following claim is a folklore fact otherwise it can be found for example in [7] or [8]. claim: Suppose that V is a finite open cover of a compact space Y with an n-defined system H. If ord V ≤ n then at least one element of η intersects two opposite faces of H. Next we are going to show that X is an (n, 1) connected between every two opposite sides of F. We shall demonstrate this for pair (Pn, Qn). Suppose that C is a partition between Pn and Qn and U is an open cover of C with ord U ≤ n − 1. Now put H = {(P1 ∩ C, Q1 ∩ C), (P2 ∩ C, Q2 ∩ C), . . . , (Pn−1 ∩ C, Qn−1 ∩ C). 187
  • 189.
    Note that His an n − 1 defined system in C. It follows from the Claim that there is an element, say U of U which meets some opposite pair of H - for example (P1 ∩ C, Q1 ∩ C) i.e. P1 ∩ C = ∅ = Q1 ∩ C. Then diam(U) = 1 since ∗ (P1 ∩ C, Q1 ∩ C) = 1 which means that meshU = 1. Theorem 2.4. Let F be a minimal n-defined system in a compact metric space (X, ) with dim X = n. Then X is a continuum V n . Proof. By Proposition 2.3. X is (n, 1) connected between every pair of oppo- site faces of F. So it is sufficient to show that X is a minimal (n, 1) connected between some pair of opposite faces. Let U be a nonempty open subset of X. Then Y = X U is a proper closed subset of X and hence the sys- tem F|Y is not essential. Therefore we can find partitions Ci between Y ∩ Pi and Y ∩ Qi in Y , i = 1, 2, . . . , n for which n i=1 Ci = ∅. Note that for each i = 1, 2, . . . , n one has Y = Fi∪Gi where Fi and Gi are closed sets, F◦ i ⊃ Pi∩Y , G◦ i ⊃ Qi ∩ Y and Fi ∩ Gi = Ci (the interiors here are in Y ). Furthermore put L = {Fi ∩ Gj| i, j = 1, 2, . . . , n}. Clearly L is a closed cover of Y and ord L ≤ n − 1. Note that by construction no elements of L intersects any two opposite faces of F|Y simultaneously. It remains to take appropriate swelling V of L which preserve the order and none element of which meets some opposite faces of F|Y . It follows then that mesh V < 1, thus Y is not (n, 1) connected between any pair of opposite faces. Note that the classical theorem of Alexandroff [2] is a simple consequence of Theorem 2.4. Theorem 2.5. Every n-dimensional compact metric space X contains a con- tinuum V n . Proof. It follows by dimX = n that there is an n-defined system F in X. By virtue of Zorn lemma now we obtain that there exists a closed subset Y ⊂ X for which the system F|Y is a minimal n-defined. Hence according to theorem 2.4. X is a continuum V n . Remark 2.6. Observe that in [2] the Theorem 2.5. is proven by using a methods of Algebraic Topology. It seems that Theorem 2.2 my be an useful tool in investigations a geometric structure of Cantor Manifolds. One may introduce for example an idea for terminal(n, ε) continua. Generally speaking Theorem 2.2. can be successfully used in different situa- tions. Remark 2.7. If X is a strongly connected n-pseudomanifold with nonempty boundary then X is an n-membrane, i.e. there is a minimal n-defined system in X cf.[9]. It follows by Theorem 2.2. that X is a continuum V n . 188
  • 190.
    note: The authorthanks the referee for his/her valuable re- marks and suggestions which improved the paper. References [1] P. Urysohn, Memoire sur les multiplicites cantoriennes, Fund. Math. 7 (1925), 30–137 (French). [2] P. S. Alexandroff, Die Kontinua (V p) - eine Versch¨arfung der Cantorschen Mannigfaltigkeiten, Monatshefte fur Math. 61 (1957), 67–76 (German). [3] N. Hadˇziivanov, Strong Cantor manifolds, C. R. Acad. Bulgare Sci. 30 (1977), 1247–1249 (Russian). [4] N. Hadˇziivanov and V. Todorov, On non-Euclidean manifolds, C. R. Acad. Bulgare Sci. 33 (1980), 449–452 (Russian). [5] S. Mazurkiewicz, Sur les ensembles de dimension faible, Fund. Math. 13 (1929), 210–217. [6] A. Karassev, P. Krupski, V. Todorov and V. Valov, Generalized Cantor manifolds and homogeneity, Houston J. Math. [7] P. Alexandroff, B. Pasinkov, An introduction to the Dimension Theory, Moskow, Nauka, 1973. (Russian) [8] V. Todorov, A. Hamamjiev, S. Stefanov, A compatible metric for computing the dimensiona diameters of subsets of essential systems, Proceedings of the XXXVIII Spring Conference of UBM, 2009, pp. 151–154. [9] A. Hamamjiev, S. Stefanov, V. Todorov, EUQLIDEAN MEMBRANES, Proceedings of the XXXIII Spring Conference of UBM, 2004, pp. 139–143. 189
  • 191.
    Selected papers ofthe 2014 International Conference on Topology and its Applications (2015) Pages 190–215 Department of Mathematics University of Patras Greece b-topological frame extension and hypernear frames Zohreh Vaziry 1 , PD Dr. Dieter Leseberg 2 , Dr. S. B. Nimse 3 1Department of Mathematics, College of Basic Science, Karaj Branch, Islamic Azad University, Alborz, Iran 2Department of Mathematics and Informatics, Free University of Berlin, Germany. And Head of Chemistry library, Technical University of Braunschweig, Germany, a.D. (retired) 3Vice-Chancellor, Lucknow University, Lucknow, India Abstract Herrlich introduced nearness on a set which is called nearness space. Then, D. Lese- berg introduced supernearness on a set which is a natural generalization of nearness spaces and supertopologies as defined by Doitchinov. In this paper, our work is based on representation theorem of M. H. Stone and the definition of supernearness. Here, we define hypernearness on Boolean frame and consider corresponding topological frame extension. Key words: Boolean frame, boundedness, hypernear frame, topological extension, frame extension. 1991 MSC: 18B30, 54B30, 54A05, 54D35, 54E05, 06C15, 06D22, 54E17. 1. Introduction Nearness space was introduced by Herrlich in 1974 [7,8] as an axiomatization of the concept of nearness of arbitrary collection of sets , the corresponding category is denoted by NEAR [9]. Supernearness, introduced by D. Leseberg in 2002 [12], is a natural generalization of nearness spaces and supertopolo- gies as defined by Doitchinov [6]. As a special case supernearness coincide with nearness also it is shown that completion of supernearness as a special 1 z−m−vaziry@yahoo.co.in 2 leseberg@zedat.fu-berlin.de 3 dr.sbnimse@rediffmail.com
  • 192.
    case coincide withcompletion of nearness [18]. Concepts of supercovering, su- perfarness, supersmallness which are defined in [19], are in a corresponding relation with supernearness. Therefore easily we can mention that developing of supernearness will develop nearness and its other corresponding relations. Now by considering representation theorem of Stone [17] we can say: For each Boolean algebra B or equivalently Boolean ring B there exists a set X and an injective function i : B → PX such that the following holds: i(0) = ∅; i(1) = X; i(a∧b) = i(a)∩i(b); i(a∨b) = i(a)∪i(b) and i(a ) = Xi(a), hence it is isomorphic to the set-algebra on i(B). In this paper, our work is based on representation theorem of Stone and the definition of supernearness in the sense of D. Leseberg [14, 15, 16]. Here, we define boundedness and hypernearness on Boolean frame, and then, we study b-topological extension on Boolean frame. Topological extensions [1] play an important role in the theory of proximities or nearness, respectively. For example Invanova and Invanov [10] studied con- tiguity spaces and bicompact extension. Herrlich found a useful generalization of contiguity spaces by introducing nearness spaces, and Bentley [2] showed that those nearness spaces which can be extended to topological ones have a neat internal characterization. D. Leseberg introduced supernearness spaces and corresponding topological extensions [12, 13]. So here we give a corresponding description in the realm of Boolean frames. 2. Background Definition 2.1. [11], [20] A complete lattice L is called frame if and only if it satisfies the following 1st infinity distributive law: (IFD1) ∀ a ∈ L, ∀ S ⊆ L, a ∧ S = {a ∧ x|x ∈ S}. A frame L is called Boolean frame if and only if it is complementary. Note that in this case each element has unique complement. i.e. ∀ a ∈ L ∃! a ∈ L s.t. a ∧ a = 0 and a ∨ a = 1 Therefore Boolean frame additionally satisfies the following 2nd infinity dis- tributive law. (IFD2) ∀ a ∈ L, ∀ S ⊆ L, a ∨ S = {a ∨ x|x ∈ S}. Frame homomorphisms between Boolean frames preserve top, bottom (de- noted by 1 and 0 respectively) meets, joins and complements. Definition 2.2. [4], [8] Let A and B be subsets of a Boolean frame L. Then we define. (1) secA = {x ∈ L|∀ a ∈ A, x ∧ a = 0}; (2) stackA = {x ∈ L|∃ a ∈ A s.t. a ≤ x}; 191
  • 193.
    (3) A B= {a ∨ b|a ∈ A, b ∈ B}; (4) A B = {a ∧ b|a ∈ A, b ∈ B}; (5) A = {a |a ∈ A}; (6) st(x, A) = {a ∈ A|a ∧ x = 0}; (7) st(x, A)d = {a ∈ A|a ∨ x = 1}; (8) A << B iff ∀a ∈ A ∃ b ∈ B s.t. b ≤ a; (A corefines B) (9) A B iff ∀a ∈ A ∃ b ∈ B s.t. a ≤ b. (A refines B) Definition 2.3. Let L be a Boolean frame. A function c : L → L is called frame-closure on L if and only if it satisfies the following conditions: (fcl1) 0c = 0; (fcl2) x, z ∈ L and x ≤ z imply xc ≤ zc ; (fcl3) x ∈ L implies x ≤ xc ; (fcl4) x, z ∈ L implies (x ∨ z)c ≤ xc ∨ zc ; (fcl5) x ∈ L implies (xc )c ≤ xc . If additionally ”c” satisfies the following condition, it is called symmetrical frame closure (sym) x, z ∈ L{0, 1} and x ≤ zc imply z ≤ xc . Definition 2.4. Let L be a Boolean frame. A function N : L → P(P(L)) is called a supernear frame operator (snf- operator), and the pair (L, N) is called a supernear frame if and only if N satisfies the following conditions: (snf1) x ∈ L, A, D ⊂ L and A << D ∈ N(x) imply A ∈ N(x); (snf2) x ∈ L implies N(x) = ∅; (snf3) A ∈ N(0) implies A = ∅ and {0} /∈ N(1); (snf4) (0 =)x ∈ L implies {x} ∈ N(x); (snf5) x, y ∈ L and x ≤ y imply N(x) ⊆ N(y); (snf6) x ∈ L and A, D ⊂ L and A∨D ∈ N(x) imply A ∈ N(x) or D ∈ N(x); (snf7) x ∈ L, A ⊂ L and zN : z ∈ A ∈ N(x) imply A ∈ N(x). Where 0 N := 0, 1 N := 1 and for z ∈ L {0, 1}, zN := {x ∈ L {0, 1} : {z} ∈ N(x)}. Then −N : L → L is called N-closure on L. For x ∈ L and A ∈ N(x), A is called x-near set in N. For supernear frames (L1, N1) and (L2, N2) a frame homomorphism g : L1 → 192
  • 194.
    L2 is calledsupernear frame map (or shortly, snf-map) if and only if it satisfies the following condition: (snf) x ∈ L1 and A ∈ N1(x) imply g[A] ∈ N2(g(x)). The corresponding category is denoted by SNFRM. A supernear frame (L, N) is called paranear frame if and only if N is addi- tionally symmetric by satisfying the following condition: (sym) x ∈ L {0} and A ∈ N(x) imply {x} ∪ A ∈ {N(z)|z ∈ A ∪ {x}}. The corresponding category is denoted by PNFRM which is full subcategory of SNFRM. Lemma 2.5. [21] For every supernear frame (L, N) the N- closure is a frame - closure. Definition 2.6. Let L and M be Boolean frames with frame closures cL and cM respectively. A frame homomorphism g : L → M is called frame- continuous (fc- map) if and only if it satisfies the following condition: (fc) x ∈ L implies g(xcL ) ≤ (g(x))cM . Lemma 2.7. [21] Let (L1, N1) and (L2, N2) be supernear frames and g : L1 → L2 be a snf-map. Then g : (L1, −N1 ) → (L2, −N2 ) is frame- continuous. 3. Frame-boundedness and hypernear frame Definition 3.1. Let BL be a subset of a Boolean frame L. Then BL is called frame-boundedness if and only if it satisfies the following conditions: (fb1) 0 ∈ BL ; (fb2) x ≤ z ∈ BL implies x ∈ BL ; (fb3) ∨BL ∈ BL . Let BL and BM be frame-boundednesses and f : L → M be a frame homo- morphism. Then f is called frame-bounded map ( or shortly fb-map) if and only if it satisfies the following condition: (fb) f[BL ] ⊂ BM . A frame boundedness BL is called saturated if and only if 1 ∈ BL . Example 3.2. Let L be a Boolean frame and x ∈ L{1}. Then, x− := {a ∈ L|a ≤ x} 193
  • 195.
    is a frame-boundedness. Definition3.3. Let L be a Boolean frame and BL be a frame boundedness. Then the function ”c” from BL to BL is called b-frame-preclosure if and only if it satisfies the following conditions: (bfcl1) 0c = 0; (bfcl2) If x, z ∈ BL with x ≤ z then, we have xc ≤ zc ; (bfcl3) x ∈ BL implies x ≤ xc ; (bfcl4) x, z ∈ BL implies (x ∨ z)c ≤ xc ∨ zc . And the function ”c” is called b-frame-closure if and only if it additionally satisfies the following condition: (bfcl5) x ∈ BL implies (xc )c ≤ xc . Remark 3.4. Let BL be a saturated frame-boundedness, then 1c = 1. More- over b-frame-closures and frame-closures are the same. Example 3.5. Let L be a Boolean frame and BL be a frame-boundedness.Then by the following definitions •l : BL → BL and •s : BL → BL are b-frame clo- sures. •l(x) :=    0 if x = 0 1 if x = 1 (if 1 ∈ BL ) ∨{z ∈ BL {0, 1}|x ≤ z } if x ∈ BL {0, 1} •s(x) :=    0 if x = 0 1 if x = 1 (if 1 ∈ BL ) ∨BL {0, 1} if x ∈ BL {0, 1} Definition 3.6. Let L be a Boolean frame and BL be a frame-boundedness BL . Then a function N : BL → P(P(BL )) is called prehypernear operator and a triple (L, BL , N) is called prehypernear frame if and only if it satisfies the following conditions: (In addition we note that image of BL under N is contained in P(P(L)).) (hnf1) x ∈ BL , A, D ⊂ BL and A << D ∈ N(x) imply A ∈ N(x); (hnf2) x ∈ BL implies {0} /∈ N(x) = ∅; (hnf3) A ∈ N(0) implies A = ∅; (hnf4) (0 =)x ∈ BL implies {x} ∈ N(x); 194
  • 196.
    (hnf5) x, z∈ L and x ≤ z ∈ BL imply N(x) ⊆ N(z); (hnf6) x ∈ BL and A, D ⊂ BL and A ∨ D ∈ N(x) imply A ∈ N(x) or D ∈ N(x). The function N is called hypernear operator and a triple (L, BL , N) is called hypernear frame if and only if it additionally satisfies the following condition: (hnf7) x ∈ BL , A ⊂ BL and zN : z ∈ A ∈ N(x) imply A ∈ N(x). Where 0 N = 0; and for x ∈ BL {0, 1}, xN := ∨{z ∈ BL {0, 1} : {x} ∈ N(z)}; and if 1 ∈ BL then, 1 N = 1. Then, −N : BL → BL is called the N-closure for BL . For x ∈ BL and A ∈ N(x), A is called x-near set in N. For hypernear frames (L1, BL1 , N1) and (L2, BL2 , N2) a frame-bounded f : L1 → L2 is called hypernear frame map ( or shortly hnf-map) if and only if it satisfies the following condition: (hnf) x ∈ BL1 and A ∈ N1(x) imply f[A] ∈ N2(f(x)). We denote by HNFRM the corresponding category. Definition 3.7. A hypernear frame (L, BL , N) is called saturated if and only if BL is saturated. Remark 3.8. In the saturated case hypernear frames and supernear frames are the same. Theorem 3.9. For a Boolean frame L with frame-boundedness BL , let c : BL :→ BL be a b-frame-closure. Now, we consider the function Nc : BL → P(P(BL )) defined by setting: Nc (x) :=    {∅} if x = 0 A ⊂ BL {0} |∀ a ∈ A x ∧ ac = 0 otherwise. Then, (L, BL , Nc ) is a prehypernear frame such that xc ≤ xNc . Proof. First we show that (L, BL , Nc ) is a prehypernear frame. To (hnf1): Let x ∈ BL and A, D ⊂ BL such that A << D ∈ Nc (x). Without restriction let x = 0. For every a ∈ A there exists d ∈ D such that d ≤ a, then by (bfcl2), dc ≤ ac since D ∈ Nc (x) by definition of Nc , x ∧ dc = 0 therefore x ∧ ac = 0 i.e. A ∈ Nc (x). By definition easily we can see (hnf2) and (hnf3) hold. To (hnf4): Let (0 =)x ∈ BL ,then by (bfcl3), x ∧ xc = x so by definition of Nc , {x} ∈ Nc (x). To (hnf5): Let x ≤ z ∈ BL and A ∈ Nc (x). Without restriction let x = 0, so for every a ∈ A, x∧ac = 0 therefore for every a ∈ A, z ∧ac = 0 i.e. A ∈ Nc (z). 195
  • 197.
    To (hnf6): Letx ∈ BL and A, D ⊂ BL such that A ∨ D ∈ Nc (x). Without restriction let x = 0. If A /∈ Nc (x) and D /∈ Nc (x), then there exists a ∈ A such that x ∧ ac = 0 and there exists d ∈ D such that x ∧ dc = 0 therefore (x ∧ ac ) ∨ (x ∧ dc ) = 0 so x ∧ (ac ∨ dc ) = 0 therefore by (bfcl4), x ∧ (a ∨ d)c = 0 and since a ∨ d ∈ A ∨ D, by definition of Nc , we have A ∨ D /∈ Nc (x) which is a contradiction. So either A ∈ Nc (x) or D ∈ Nc (x). Now we show that xc ≤ xNc . Without restriction let x ∈ BL {0, 1}. Since xNc is join of set, it is enough to show that {x} ∈ Nc (xc ). Since xc ∧ xc = xc (= 0) so by definition of Nc , {x} ∈ Nc (xc ). Lemma 3.10. For a prehypernear frame (L, BL , N) the N- closure on BL is a b-frame-preclosure on BL . Proof. To (bfcl1): By definition it holds. To (bfcl2): Without restriction let x, z ∈ BL {0, 1} such that x ≤ z ∈ BL . Then we have to verify xN ≤ zN . Let y ∈ BL {0, 1} such that {x} ∈ N(y), by supposition {z} << {x}, and according to (hnf1), {z} ∈ N(y). Also since zN is the join of set, y ≤ zN . Hence xN ≤ zN , because xN is the join of set. To (bfcl3): Let x ∈ BL and without restriction let x = 0 then, by (hnf4) we have, {x} ∈ N(x). So by definition of −N we have, x ≤ xN . To (bfcl4): Let x, z ∈ BL {0, 1} and without restriction let x∨z ∈ BL {0, 1}. Let y ∈ BL {0, 1} such that {x ∨ z} ∈ N(y), by supposition and according to (hnf6), either {x} ∈ N(y) or {z} ∈ N(y). In the first case, we have y ≤ xN , and in the second case we have, y ≤ zN , therefore in every case y ≤ xN ∨ yN . Hence x ∨ zN ≤ xN ∨ zN , because x ∨ zN is the join of set. Lemma 3.11. For a hypernear frame (L, BL , N) the N- closure on BL is a b-frame-closure. Proof. Since every hypernear frame is a prehypernear frame, by above lemma, (bfcl1) to (bfcl4) hold. To (bfcl5): Let x ∈ BL and without restriction, xN ∈ BL {0, 1}. Let y ∈ BL {0, 1} such that {xN } ∈ N(y), according to (hnf7) we have, {x} ∈ N(y), and consequently y ≤ xN . Hence (xN ) N ≤ xN , because (xN ) N is the join of set. Definition 3.12. A prehypernear frame (L, BL , N) is called conic if and only if it additionally satisfies the following condition: (con) x ∈ BL implies {A ⊂ BL {0} : A ∈ N(x)} ∈ N(x). Theorem 3.13. For a Boolean frame L with frame-boundedness BL , let c : BL → BL be a b-frame-closure. Now, we consider the function Nc : BL → 196
  • 198.
    P(P(BL )) defined bysetting: Nc(x) :=    {∅} if x = 0 A ⊂ BL {0} |∀ a ∈ A xc ∧ ac = 0 otherwise Then, (L, BL , Nc) is a conic prehypernear frame such that xc ≤ xNc . Proof. First we show that (L, BL , Nc) is a conic prehypernear frame. To (hnf1): Let x ∈ BL and A, D ⊂ BL also A << D ∈ Nc(x). Without restriction let x = 0. For every a ∈ A there exists d ∈ D such that d ≤ a then, by (bfcl2), dc ≤ ac . Since D ∈ Nc(x), by definition of Nc, xc ∧ dc = 0 therefore xc ∧ ac = 0 i.e. A ∈ Nc(x). By definition easily we can see (hnf2) and (hnf3) hold. To (hnf4): Let (0 =)x ∈ BL , then by (bfcl3), xc = 0. So by definition of Nc we have, {x} ∈ Nc(x). To (hnf5): Let x ≤ z ∈ BL therefore by (bfcl2), xc ≤ zc . And let A ∈ Nc(x), without restriction let x = 0, so for every a ∈ A, xc ∧ ac = 0. Therefore for every a ∈ A, zc ∧ ac = 0 i.e. A ∈ Nc(z). To (hnf6): Let x ∈ BL and A, D ⊂ BL such that A ∨ D ∈ Nc(x). Without restriction let x = 0. If A /∈ Nc(x) and D /∈ Nc(x), then there exists a ∈ A such that xc ∧ ac = 0 and there exists d ∈ D such that xc ∧ dc = 0 therefore (xc ∧ac )∨(xc ∧dc ) = 0 so xc ∧(ac ∨dc ) = 0 therefore by (bfcl4), xc ∧(a∨d)c = 0 and since a ∨ d ∈ A ∨ D, by definition of Nc, we have A ∨ D /∈ Nc(x) which is a contradiction. So either A ∈ Nc(x) or D ∈ Nc(x). To (con): Let x ∈ BL and A ∈ Nc(x) therefore by definition of Nc we have, xc ∧ ac = 0 and easily it implies {A ∈ BL {0}|A ∈ Nc(x)} ∈ Nc(x). Now we show that xc ≤ xNc . Without restriction let x ∈ BL {0, 1}. Since xNc is join of set, it is enough to show that {x} ∈ Nc(xc ). Since by (bfcl5) we have, (xc )c ∧ xc = xc (= 0), so by definition of Nc, obviously {x} ∈ Nc(xc ). Definition 3.14. A hypernear frame (L, BL , N) is called hyperparanear frame iff N is additionally symmetric by satisfying the following condition: (sym) x ∈ BL {0} and A ∈ N(x) imply {x} ∪ A ∈ {N(z)|z ∈ A ∪ {x}}. The corresponding category is denoted by HPNFRM which is full subcate- gory of HNFRM. Remark 3.15. In the saturated case hyperparanear frames and paranear frames are the same. (See corresponding definitions.) Definition 3.16. Let L be a Boolean frame with frame-boundedness BL and c : BL → BL be a b-frame-closure then, ”c” is called symmetrical b-frame closure if and only if it additionally satisfies the following condition: (sym) x, z ∈ BL {0, 1} and x ≤ zc imply z ≤ xc . 197
  • 199.
    Lemma 3.17. LetL be a Boolean frame, BL be a frame-boundedness and c : BL → BL be a b-frame-closure. Then the following statements are equivalent: (i) c is symmetrical; (ii) x ∈ BL {0, 1} implies ( (BL {0, 1}))c ≤ xc ; (iii) x, z ∈ BL {0, 1} implies z ≤ xc . Proof. (i) ⇒ (ii) Let x ∈ BL {0, 1} so, x ≤ (BL {0, 1}) ≤ ( (BL {0, 1}))c , hence since ”c” is symmetrical, (BL {0, 1}) ≤ xc . Consequently by (bfcl5) we have, ( (BL {0, 1}))c ≤ xc . (ii)⇒ (iii) Let x, z ∈ BL {0, 1} then, z ≤ (BL {0, 1}) ≤ ( (BL {0, 1}))c and by hy- pothesis ( (BL {0, 1}))c ≤ xc so z ≤ xc . (iii)⇒ (i): Obviously holds. Theorem 3.18. For a Boolean frame L with frame boundedness BL , let c : BL → BL be a symmetrical b-frame-closure. Then, (L, BL , Nc ) is a hypernear frame such that for each x ∈ BL , xc = xNc .(Where Nc is defined in theorem 3.9) Proof. By Theorem 3.9, we know, xc ≤ xNc and (L, BL , Nc ) is prehypernear frame. Therefore it remains to prove that, xNc ≤ xc and (L, BL , Nc ) satisfies (hnf7). Without restriction let x ∈ BL {0, 1}, hence xNc ≤ (BL {0, 1}) ≤ ( (BL {0, 1}))c and since ”c” is symmetrical by Lemma 3.17, we have ( (BL {0, 1}))c ≤ xc . Therefore xNc ≤ xc . Which implies xc = xNc . To (hnf7): Let x ∈ BL {0} and A ⊂ BL such that {aNc : a ∈ A} ∈ Nc (x), our goal is to verify A ∈ Nc (x). By definition of Nc , for every a ∈ A we have, x ∧ (aNc )c = 0. But by above proof, ac = aNc and by considering (bfcl3) and (bfcl5), (aNc )c = ac . So for every a ∈ A, we have x ∧ ac = 0 and by definition of Nc it implies A ∈ Nc (x). Corollary 3.19. For a Boolean frame L with frame-boundeness BL let c : BL → BL be a symmetrical b-frame closure. Then, (L, BL , Nc) is a conic hyperparanear frame such that xNc = xc . (Where Nc is defined in theorem 3.13) Proof. By Theorem 3.13, we know, xc ≤ xNc and (L, BL , Nc) is conic pre- hypernear frame. Therefore it remains to prove xNc ≤ xc and, (L, BL , Nc) satisfies (hnf7) and (sym). 198
  • 200.
    Without restriction letx ∈ BL {0, 1}, hence xNc ≤ (BL {0, 1}) ≤ ( (BL {0, 1}))c . And since ”c” is symmetrical by lemma 3.17, we have ( (BL {0, 1}))c ≤ xc , therefore xNc ≤ xc . Which implies xc = xNc . To (hnf7): Let x ∈ BL {0} and A ⊂ BL such that {aNc : a ∈ A} ∈ Nc(x), we have to verify A ∈ Nc(x). By definition of Nc we know, for every a ∈ A, xc ∧(aNc )c = 0. But by the above proof, ac = aNc and by considering (bfcl3) and (bfcl5) we have, (aNc )c = ac . So for every a ∈ A, we have xc ∧ ac = 0 and by definition of Nc it implies A ∈ Nc(x). To (sym): Let x ∈ BL {0} and A ∈ Nc(x), therefore for every a ∈ A, xc ∧ac = 0. Now we have two cases, either ac = 1 or ac = 1. If ac = 1, then x ≤ ac and if ac = 1, then xc ∧ ac = 1. Therefore we have (xc ∧ ac ), ac ∈ BL {0, 1} and we know xc ∧ ac ≤ ac then, since ”c” is symmetrical it implies a ≤ (xc ∧ ac )c . And since xc ∧ ac ≤ xc by (bfcl2) and (bfcl5), (xc ∧ ac )c ≤ xc so a ≤ xc again by symmetrical property of ”c”, we have x ≤ ac . Therefore for every a ∈ A we have x ≤ ac , also we know x ≤ xc , so we can say for every z, y ∈ A ∪ {x}, x ≤ zc ∧ yc therefore zc ∧ yc = 0. Now by definition of Nc we have A ∪ {x} ∈ {Nc(z)|z ∈ A ∪ {x}}. Therefore (L, BL , Nc) is conic hyperparanear frame. Definition 3.20. Let L and M be Boolean frames with frame boundednesses BL and BM respectively, and b-frame-closures cL and cM respectively. A frame bounded map g : L → M is called b-frame- continuous map ( or shortly bfc- map) if and only if it satisfies the following condition: (bfc) x ∈ BL implies g(xcL ) ≤ (g(x))cM . Remark 3.21. In the saturated case b-frame continuous maps and frame continuous maps are the same. Lemma 3.22. Let (L1, BL1 , N1) and (L2, BL2 , N2) be hypernear frames and g : L1 → L2 be a hnf-map. Then g : (BL1 , −N1 ) → (BL2 , −N2 ) is b-frame- continuous map. Proof. Without restriction for x ∈ BL1 {0, 1} we have to show that g(xN1 ) ≤ g(x) N2 . If g(x) = 1, then nothing need to prove. In other case if g(x) = 1 then, g(x) ∈ BL2 {0, 1} so it only remains to verify that g(∨{y ∈ BL1 {0, 1}|{x} ∈ N1(y)}) ≤ ∨{z ∈ BL2 {0, 1}|{g(x)} ∈ N2(z)}. Also because g is frame homomorphism and carry over arbitrary join, equiv- alently we have to show that ∨{g(y)|y ∈ BL1 {0, 1} and {x} ∈ N1(y)} ≤ ∨{z ∈ BL2 {0, 1}|{g(x)} ∈ N2(z)}. Since g is hnf-map, we have {g(y)|y ∈ BL1 {0, 1} and {x} ∈ N1(y)} ⊆ {g(y)|y ∈ BL1 {0, 1} and {g(x)} ∈ N2(g(y)} also 199
  • 201.
    {g(y)|y ∈ BL1 {0,1} and {g(x)} ∈ N2(g(y)} ⊆ {z ∈ BL2 {0, 1}|{g(x)} ∈ N2(z)}. Therefore {g(y)|y ∈ BL1 {0, 1} and {x} ∈ N1(y)} ⊆ {z ∈ BL2 {0, 1}|{g(x)} ∈ N2(z)} so ∨{g(y)|y ∈ BL1 {0, 1} and {x} ∈ N1(y)} ≤ ∨{z ∈ BL2 {0, 1}|{g(x)} ∈ N2(z)}. Definition 3.23. A hypernear frame (L, BL , N) is called connected if and only if it satisfies the following condition: (cnc) x, z ∈ BL implies N(x ∨ z) ⊂ N(x) ∪ N(z). Definition 3.24. A hypernear frame (L, BL , N) is called dense if and only if it satisfies the following condition: (d) x ∈ BL implies N(xN ) ⊂ N(x). Lemma 3.25. Every hyperparanear frame is connected and dense. Proof. Let (L, BL , N) be a hyperparanear frame. To (cnc): Without restriction for x∨z ∈ BL {0, 1}, let A ∈ N(x∨z), then by (sym)we have {x ∨ z}∪A ∈ N(x∨z), hence by (hnf1), ({x}∪A)∨({z}∪A) ∈ N(x ∨ z) and according to (hnf6), {x} ∪ A ∈ N(x ∨ z) or {z} ∪ A ∈ N(x ∨ z). In the first case according to (sym) we have, {x ∨ z} ∪ ({x} ∪ A) ∈ N(x) and by (hnf1), A ∈ N(x) so A ∈ N(x)∪N(z). The second case can be analogously verified, hence in every case A ∈ N(x) ∪ N(z). To (d): By (sym), A ∈ N(xN ) implies xN ∪ A ∈ N(xN ) then, according to (hnf1), xN ∪ aN : a ∈ A ∈ N(xN ). Consequently, by (hnf7) we have, {x} ∪ A ∈ N(xN ) and with respect to (sym), xN ∪ ({x} ∪ A) ∈ N(x) . At the end by (hnf1), A ∈ N(x) follows. Proposition 3.26. Let (L, BL , N) be a hyperparanear frame, then N-closure is symmetrical b-frame closure. Proof. Let x, z ∈ BL {0, 1} such that x ≤ zN , then by (hnf4) and (hnf5), we have {x} ∈ N(x) ⊂ N(zN ) and since N is dense, N(zN ) ⊂ N(z) so {x} ∈ N(z) and since xN is join of set, z ≤ xN . Definition 3.27. A conic hyperparanear frame (L, BL , N) is called frame- closed if and only if it satisfies the following conditions: (fc1) x ∈ BL {0} and A ∈ N(x) imply xN ∧ aN = 0 for all a ∈ A; (fc2) x ∈ BL {0} and xN ∧ aN = 0 imply {a} ∈ N(x). The corresponding category is denoted by FC-HPNFRM which is full sub- category of HPNFRM. 200
  • 202.
    Remark 3.28. Itis easy to see (L, BL , Nc) is frame-closed, and if (L, BL , M) is a frame-closed, then N−M = M. Theorem 3.29. The category FC-HPNFRM is isomorphic to category Sb- CLFRM whose objects are symmetrical b-frame-closure spaces and its mor- phisms are b-frame-continuous maps. Proof. Let (L, BL , M) be a frame-closed, then by Proposition 3.26, (BL , −M ) is a symmetrical b-frame closure space. And by considering Corollary 3.19 and remark 3.28, (L, BL , N−M ) is frame-closed with N−M = M. Now Let f : (L1, BL1 , M1) → (L2, BL2 , M2) be a hnf-map, then by Lemma 3.22, f is b-frame-continuous. Conversely, let f : (BL1 , −M1 ) → (BL2 , −M2 ) be a b-frame-continuous map, then for every x ∈ BL1 {0}, f(xM1 ) ≤ f(x) M2 . We consider frame-closed (L1, BL1 , M1) and (L2, BL2 , M2). Let for x ∈ BL1 {0}, A ∈ M1(x), then by (fc1), for every a ∈ A, xM1 ∧aM1 = 0. Since f is frame ho- momorphism between Boolean frames M1 and M2 therefore, f(xM1 ∧aM1 ) = 0 i.e. f(xM1 ) ∧ f(aM1 ) = 0 but f(xM1 ) ∧ f(aM1 ) ≤ f(x) M2 ∧ f(a) M2 . Therefore for every a ∈ A, f(x) M2 ∧ f(a) M2 = 0. By (fc2) and conic property, we have f[A] ∈ M2(f(x)) i.e. f is hnf-map. Lemma 3.30. For a hyperparanear frame (L, BL , N), we consider the function clN : P(BL {0}) → P(BL {0}) defined by setting: clN (A) :=    ∅ if A = ∅ x ∈ BL {0} |∃ a ∈ A s.t. a ≤ xN otherwise Then, clN is symmetrical topological closure operator on BL {0}. And it is b-convenient, which means it satisfies additionally the following axioms: (b-cv1) 0 = a1 ≤ a2 implies clN ({a1}) ⊂ clN ({a2}); (b-cv2) a1, a2 ∈ BL {0} implies clN ({a1 ∨ a2}) ⊂ clN ({a1}) ∪ clN ({a2}); (b-cv3) {x ∈ BL {0, 1} : x ∈ clN ({a})} =: aclN ∈ clN ({a}) ∀a ∈ BL {0, 1}. Proof. First we show that clN is topological closure. (1) By definition clN (∅) = ∅. (2) Let (∅ =)A ⊂ D ⊂ BL {0} and x ∈ clN (A), so there exists a ∈ A such that a ≤ xN . Since A ⊂ D, a ∈ D, which implies x ∈ clN (D) i.e. clN (A) ⊂ clN (D). (3) Let A ⊂ BL {0}, by (bfcl3), for every a ∈ A we have a ≤ aN i.e. a ∈ clN (A) so A ⊂ clN (A). (4) Let A, B ⊂ BL {0}, we have to show that clN (A ∪ B) ⊂ clN (A) ∪ clN (B). Let x ∈ clN (A∪B) so y ≤ xN for some y ∈ A∪B. Therefore either x ∈ clN (A) or x ∈ clN (B) which implies clN (A ∪ B) ⊂ clN (A) ∪ clN (B). (5) Let A ⊂ BL {0}, we show that clN (clN (A)) = clN (A). Obviously clN (A) ⊂ clN (clN (A)). Now let x ∈ clN (clN (A)) so there exists b ∈ clN (A) such that b ≤ xN , by (bfcl2), b N ≤ xN N and by (bfcl5), b N ≤ xN . 201
  • 203.
    On the otherhand since b ∈ clN (A) there exists a ∈ A such that a ≤ b N . All together implies a ≤ xN for a ∈ A i.e. x ∈ clN (A) so clN (clN (A)) ⊂ clN (A). Therefore clN is topological closure. Now let x ∈ clN ({y}) therefore, y ≤ xN . Since (L, BL , N) is hyperparanear frame, by Proposition 3.26, −N is symmetrical b-frame closure, so x ≤ yN which implies y ∈ clN ({x}). Therefore clN is symmetrical. Now we show that clN is b-convenient. To (b-cv1): Let 0 = a1 ≤ a2 and x ∈ clN ({a1}), we have to show that x ∈ clN ({a2}). Since (L, BL , N) is hyperparanearness, by Proposition 3.26, −N is symmetrical b-frame closure, and by Lemma 3.17, since x, a2 ∈ BL {0}, we have a2 ≤ xN i.e. x ∈ clN ({a2}). To (b-cv2): Let a1, a2 ∈ BL {0} and x ∈ clN ({a1 ∨ a2}) i.e. a1 ∨ a2 ≤ xN therefore a1 ≤ xN so x ∈ clN ({a1}) ∪ clN ({a2}). To (b-cv3): Let a ∈ BL {0, 1}, by (fb2) and (fb3), aclN ∈ BL . Therefore by Lemma 3.17 and Proposition 3.26, we have a ≤ aclN N i.e. aclN ∈ clN ({a}). Lemma 3.31. Let (L, BL , N) be a hyperparanear frame and h : P(BL {0}) → P(BL {0}) be an b-convenient symmetrical topological closure operator. Also let •h : BL → BL be defined by setting: •h (x) :=    0 if x = 0 1 if x = 1 (if 1 ∈ BL ) {z ∈ BL {0, 1} : z ∈ h({x})} if x ∈ BL {0, 1} Proof. To (bfcl1): By definition of •h , it holds. To (bfcl2): Let a1, a2 ∈ BL and a1 ≤ a2. Without restriction let a1 = 0, since h is b-convenient symmetrical topological closure, by (b-cv1), h({a1}) ⊂ cl({a2}). Therefore {z ∈ BL {0, 1} : z ∈ h({a1})} ≤ {z ∈ BL {0, 1} : z ∈ h({a2})} i.e. ah 1 ≤ ah 2. To (bfcl3): Let x ∈ BL and without restriction let, x = 0. So x ∈ h({x}) because, h is topological closure, therefore x ≤ xh . To (bfcl4): Let a1, a2 ∈ BL we have to show that (a1∨a2)h ≤ ah 1 ∨ah 2. If a1 = 0 or a2 = 0 obviously, it holds. So suppose a1, a2 ∈ BL {0}, since h is b-convenient, by (b-cv2), h({a1 ∨ a2) ⊂ h({a1}) ∪ h({a2}) therefore (a1 ∨ a2)h ≤ ah 1 ∨ ah 2. To (bfcl5): Let x ∈ BL we have to show that (xh )h ≤ xh . If x ∈ {0, 1} it obviously holds, so let x ∈ BL {0, 1}, since h is b-convenient, by (b- cv3), xh ∈ h({x}) i.e. {xh } ⊂ h({x}) and since h is topological closure, h({xh }) ⊂ h(h({x})) = h({x}). So (xh )h ≤ xh . Therefore •h is b-frame closure operator. To (sym): Let x, z ∈ BL {0, 1} and x ≤ zh we show that z ≤ xh . Since h is b-convenient, by (b-cv1), x ≤ zh implies h({x}) ⊂ h({zh }) and since h is topological closure so {x} ⊂ h({x}) therefore x ∈ h({zh }). Now since h is symmetrical it implies zh ∈ h({x}) and by definition of •h we have zh ≤ xh . 202
  • 204.
    Since •h is b-frameclosure, by (bfcl3), z ≤ zh , so we have z ≤ xh . Now we show that for every x ∈ BL , xh = xN . For x = 0 by definition it holds. So suppose x = 0. We know x ≤ xN and since h is b-convenient by (b-cv1), h({x}) ⊂ h({xN }) also since h is topological closure we have {x} ⊂ h({x}) therefore x ∈ h({xN }). Now by symmetrical property of h, we have, xN ∈ h({x}) therefore by defini- tion of •h , we have xN ≤ xh . On the other hand since •h is b-frame closure, by (bfcl3), x ≤ xh , then by (hnf5), N(x) ⊂ N(xh ), also by (hnf4), {x} ∈ N(x). Therefore {x} ∈ N(xh ) which implies xh ≤ xN . All together imply xh = xN . 4. b-topological frame extensions Definition 4.1. A b-topological frame extension consists of a triple (e, BL , Y ), where L is a Boolean frame, BL is a frame-boundedness and ”c” is a b-frame closure on that. Moreover Y := (X ∪ {∞}, clY ) is a topological space with underlying set X and closure operator clY . Also e : BL → Y is a which satisfies the following conditions: (btfe0) e(0) = ∞ and (z = 0) ∈ BL , implies e(z) = ∞; (btfe1) clY (e[BL {0}]) = X, which means that the image of BL {0} under e is dense in X; (btfe2) z ∈ BL {0, 1} implies zc = ∨e−1 [clY ({e(z)})]; (btfe3) z ∈ BL implies e(zc ) ∈ clY ({e(z)}); (btfe4) z1, z2 ∈ BL and (0 =)z1 ≤ z2 imply clY ({e(z1)}) ⊂ clY ({e(z2)}); (btfe5) For each z1, z2 ∈ L with z1∨z2 ∈ BL , clY ({e(z1 ∨ z2)}) ⊂ clY ({e(z1)})∪ clY ({e(z2)}). For b-topological frame extensions (e, BL , Y )and(e , BL , Y ) a pair (g, h) of maps g : L → L and h : Y → Y is called btfe-morphism if and only if g is b-frame continuous map such that h is continuous map and the following diagram commutes: BL e −→ Y g ↓ ↓ h BL e −→ Y If (g, h) : (e, BL , Y ) → (e , BL , Y ) and (g , h ) : (e , BL , Y ) → (e , BL , Y ) are btfe-morphisms then, they can be composed according to the rule: 203
  • 205.
    (g , h) ◦ (g, h) := (g ◦ g, h ◦ h) : (e, BL , Y ) → (e , BL , Y ) , where ◦ denote the composition of maps. The corresponding category is denoted by bTFE. Definition 4.2. A b-topological frame extension (e, BL , Y ) is called (i) Strict b-topological frame extension if and only if in addition it satisfies the following condition: (str) clY (e[A]) : A ⊂ BL forms a base for the closed subsets of Y . The corresponding category is denoted by STRbTFE which is full sub- category of bTFE. (ii) Symmetric b-topological frame extension if and only if in addition it sat- isfies the following condition: (s) x ∈ BL {0} and y ∈ clY ({e(x)}) imply e(x) ∈ clY ({y}). The corresponding category is denoted by SbTFE which is full subcat- egory of bTFE. Example 4.3. Let (e, BL , Y ) be a b-topological frame extension. Then the following function is a hypernear operator on BL : Ne(x) :=    {∅} if x = 0 A ⊂ BL {0} |clY ({e(x)}) ∈ sec {clY ({e(a)})|a ∈ A} otherwise Lemma 4.4. Let (e, BL , Y ) be a symmetric b-topological frame extension. Then (L, BL , NS e ) is a hyperparanear frame such that for each x ∈ BL we have xNS e = xc . NS e (x) :=    {∅} if x = 0 A ⊂ BL {0} | {clY ({e(z)})|z ∈ A ∪ {x}} = ∅ otherwise Proof. First we show that xNS e = xc . Without restriction let x ∈ BL {0, 1}. By considering clY is topological clo- sure operator and by (btfe3) we have, e(xc ) ∈ clY ({e(x)}) ∩ clY ({e(xc )}) so {x} ∈ NS e (xc ) therefore xc ≤ xNS e . Conversely, we show that, xc is upper bound of the set A := z ∈ BL {0, 1} | {x} ∈ NS e (z) . Let z ∈ A so {x} ∈ NS e (z), hence by definition of NS e , clY ({e(x)}) ∩ clY ({e(z)}) = ∅. So there exists y ∈ clY ({e(z)}) such that y ∈ clY ({e(x)}). Since clY is topo- logical closure operator and by (s), we have e(z) ∈ clY ({y}) ⊂ clY ({e(x)}). Therefore z ∈ e−1 [clY ({e(x)})] and according to (btfe2) it implies z ≤ xc therefore xNS e ≤ xc . 204
  • 206.
    All together implyxc = xNS e . Secondly we have to verify that NS e satisfies the axioms (hnf1) to (hnf7) and (sym). To (hnf1): Let x ∈ BL and A, D ⊂ L. Without restriction let x = 0 and A << D ∈ NS e (x), hence {clY ({e(d)}) : d ∈ D ∪ {x}} = ∅ and 0 /∈ A. Now, let a be an arbitrary element of A,then there exists d ∈ D such that d ≤ a. Consequently, by (btfe4) we have, clY ({e(d)}) ⊂ clY ({e(a)}), and we know there exists y ∈ {clY ({e(d)}) : d ∈ D ∪ {x}}. So y ∈ ∩{clY ({e(a)})|y ∈ A ∪ {x}} and therefore {clY ({e(a)}) : a ∈ A ∪ {x}} = ∅ i.e. A ∈ NS e (x). To (hnf2): Let x ∈ BL . If x = 0, then by definition {0} /∈ NS e (0) = ∅. If x = 0, then by definition, we have {x} ∈ NS e (x) hence (hnf2) and (hnf4) hold, moreover {0} /∈ NS e (x). To (hnf3): By definition it is obvious. To (hnf5): Without restriction let x, z ∈ BL {0} and A ∈ NS e (x). So ∩ {clY ({e(a)}) : a ∈ A ∪ {x}} = ∅. Since by (btfe4), clY ({e(x)}) ⊂ clY ({e(z)}), then ∩ {clY ({e(a)})|a ∈ A ∪ {z}} = ∅ so A ∈ NS e (z). To (hnf6): Without restriction let x ∈ BL {0} and A ∨ D ∈ NS e (x) hence, A, D ⊂ BL and ∩ {clY ({e(z)}) : z ∈ (A ∨ D) ∪ {x}} = ∅. So there exists y ∈ ∩ {clY ({e(z)}) : z ∈ (A ∨ D) ∪ {x}} therefore for all a ∈ A and all d ∈ D we have y ∈ clY ({e(a ∨ d)}) which by (btfe5) implies for all a ∈ A and all d ∈ D, y ∈ clY ({e(a)}) ∪ clY ({e(d)}). Suppose A /∈ NS e (x) and D /∈ NS e (x), hence four cases are possible: Case 1: 0 ∈ A and 0 ∈ D, then 0 ∈ A ∨ D so A ∨ D /∈ NS e (x) which is a contradiction. Case 2: 0 ∈ A and there exists d ∈ D s.t. y /∈ clY ({e(d)}) so D ⊂ A ∨ D and for d ∈ A ∨ D we have y /∈ clY ({e(d)}) which is a contradiction. Case 3: 0 ∈ D and there exists a ∈ A s.t. y /∈ clY ({e(d)}) which similar to case 2 we reach to a contradiction. Case 4: There exists a ∈ A with y /∈ clY ({e(a)}) and there exists d ∈ D with y /∈ clY ({e(d)}), then we have y /∈ clY ({e(a)}) ∪ clY ({e(d)}), which is a con- tradiction. So either A ∈ NS e (x) or D ∈ NS e (x). To (hnf7): Without restriction let x ∈ BL {0} and A ⊂ BL such that zNS e |z ∈ A ∈ NS e (x). Let y ∈ clY ({e(x)}), So y ∈ clY ( e(zNS e ) ) for all z ∈ A. Therefore since zNS e = zc , y ∈ clY ({e(zc )}) for all z ∈ A. According to (btfe3), e(zc ) ∈ clY ({e(z)}), therefore clY ({e(zc )}) ⊂ clY ({e(z)}). Consequently for all z ∈ A, y ∈ clY ({e(z)}), which shows, A ∈ NS e (x). 205
  • 207.
    To (sym): Letx ∈ BL {0} such that A ∈ NS e (x). We have to verify {x} ∪ A ∈ ∩ NS e (z)|z ∈ A ∪ {x} . By hypothesis y ∈ ∩ {clY ({e(a)})|a ∈ A} for some y ∈ clY ({e(x)}), hence {x} ∪ A ∈ NS e (x). For z ∈ A we claim that {x} ∪ A ∈ NS e (z), which means clY ({e(z)}) ∩ (∩ {clY ({e(b)})|b ∈ {x} ∪ A} = ∅. But by hypothesis, y ∈ clY ({e(z)}) ∩ clY ({e(x)}) ∩ (∩ {clY ({e(a)})|a ∈ A}) so the statement is valid. Lemma 4.5. Let (e, BL , Y ) be a symmetric b-topological frame extension, then c : BL → BL is symmetrical b-frame closure. Proof. By Lemma 4.4, for each x ∈ BL , we have xc = xNS e also (L, BL , NS e ) is hyperparanear frame. Therefore by Proposition 3.26, −NS e is symmetrical, which implies ”c” is symmetrical b-frame closure. Definition 4.6. For a hypernear frame (L, BL , N) and x ∈ BL {0}, G ⊂ BL is called x-b-frame clan in N if and only if it satisfies the following conditions: (bfcla0) 0 /∈ G; (bfcla1) z1 ∈ G and z1 ≤ z2 ∈ BL imply z2 ∈ G; (bfcla2) z1, z2 ∈ BL and z1 ∨ z2 ∈ G imply z1 ∈ G or z2 ∈ G; (bfcla3) x ∈ G ∈ N(x); (bfcla4) y ∈ BL and yN ∈ G imply y ∈ G. Then set of all x-b-frame clans in N is denoted by bFCLA(L). Remark 4.7. For a hypernear frame (L, BL , N) and for each x ∈ BL {0}, xN := z ∈ BL |x ≤ zN is x-b-frame clan in N, moreover xN is maximal element in N(x){∅}, ordered by inclusion. Proof. To (bfcla0): It is obvious. To (bfcla1): Let z1 ∈ xN and z1 ≤ z2 ∈ BL , so we have x ≤ z1 N ≤ z2 N , therefore z2 ∈ xN . To (bfcla3): Let x ∈ BL {0}, so evidently x ∈ xN . We set A := zN : z ∈ xN , hence A << {x} and by (hnf4), {x} ∈ N(x) therefore, by (hnf1), A ∈ N(x) which by (hnf7) it implies xN ∈ N(x). To (bfcla2): Without restriction let z1, z2 ∈ BL {0, 1} such that z1 ∨ z2 ∈ xN . Since xN ∈ N(x) according to (hnf1), we have {z1 ∨ z2} ∈ N(x) , hence {z1} ∨ {z2} ∈ N(x), by (hnf6) either {z1} ∈ N(x) or {z2} ∈ N(x) therefore x ≤ z1 N or x ≤ z2 N i.e. z1 ∈ xN or z2 ∈ xN . To (bfcla4): Let y ∈ BL and yN ∈ xN . Since xN ∈ N(x) according to (hnf1) we have, {yN } ∈ N(x) so by (hnf7), {y} ∈ N(x) which implies x ≤ yN , hence y ∈ xN . At last let A ∈ N(x) such that xN ⊂ A. Without restriction for z ∈ A {1} 206
  • 208.
    we have, z∈ BL and {z} ∈ N(x) so x ≤ zN , hence z ∈ xN and consequently, A = xN . Lemma 4.8. Let (L, BL , N) be a hyperparanear frame and x ∈ BL {0}. Then the following statements are equivalent: (1) G ⊂ BL is x-b-frame clan in N; (2) G = xN ; (3) G is maximal in N(x){∅}. Remark 4.9. The above lemma gives us an alternate description of the con- struction in remark 5.8. Definition 4.10. A hypernear frame (L, BL , N) is called hyperclan frame if and only if it satisfies the following condition: (cla) x ∈ BL {0} and A ∈ N(x) imply ∃C ∈ bFCLA(L) ∩ N(x) such that A ⊂ C. (See also [21].) Remark 4.11. A hyperparanear frame which satisfies (cla) will be called hyperparaclan frame. And the corresponding category is denoted by CLA-HPNFRM which is full subcategory of HPNFRM. Example 4.12. Let (e, BL , Y ) be a symmetric topological frame extension, then (L, BL , NS e ) is a hyperparaclan frame.(Where (L, BL , NS e ) is defined in lemma 4.4.) Proof. With respect to lemma 4.4, (L, BL NS e ), is a hyperparanear frame. Now we show that it also satisfies (cla). Let x ∈ BL {0} and A ∈ NS e (x) so there exists y ∈ clY ({e(x)}) such that y ∈ ∩ {clY ({e(a)})|a ∈ A}. We put Cy := z ∈ BL {0} |y ∈ clY ({e(z)}) , then we show that Cy ∈ bFCLA(L). To (bfcla0): evident. To (bfcla1): Let z1 ∈ Cy and z1 ≤ z2 ∈ BL according to (btfe4) and definition of Cy, y ∈ clY ({e(z1)}) ⊂ clY ({e(z2)}), hence z2 ∈ Cy. To (bfcla2): Let z1, z2 ∈ BL , such that z1∨z2 ∈ Cy, we have y ∈ clY ({e(z1 ∨ z2)}) and according to (btfe5), clY ({e(z1 ∨ z2)}) ⊂ clY ({e(z1)})∪clY ({e(z2)}) there- fore y ∈ clY ({e(z1)}) or y ∈ clY ({e(z2)}), hence z1 ∈ Cy or z2 ∈ Cy. To (bfcla3): We know x ∈ Cy, since y ∈ clY ({e(x)}). Also because for all z ∈ Cy, y ∈ clY ({e(z)}) we have Cy ∈ NS e (x). To (bfcla4): Let z ∈ BL such that zNS e ∈ Cy therefore y ∈ clY ( e(zNS e ) ), 207
  • 209.
    since by Lemma4.4, zNS e = zc , so y ∈ clY ({e(zc )}). But according to (btfe3), e(zc ) ∈ clY ({e(z)}), hence because clY is topological closure operator, then clY ({e(zc )}) ⊂ clY ({e(z)}). Consequently, y ∈ clY ({e(z)}), therefore z ∈ Cy. It only remains to prove that A ⊂ Cy. Let a be an arbitrary element of A, then y ∈ clY ({e(a)}) so a ∈ Cy which implies A ⊂ Cy. Theorem 4.13. Let F be defined on SbTFE by the following statements: (a) Let (e, BL , Y ) be a symmetric b-topological frame extension, then F(e, BL , Y ) := (L, BL , NS e ); (b) Let (g, h) : (e, BL , Y ) → (e , BL , Y ) be a btfe-morphism, then F(g, h) := g. So, F is a functor from SbTFE to CLA-HPNFRM. Proof. According to example 4.12 only remaining fact is to show that g : (L, BL , NS e ) → (L , BL , NS e ) is hnf-map. By hypothesis g is especially frame homomorphism, so let x ∈ BL {0} and A ∈ NS e (x), hence y ∈ ∩ {clY ({e(a)})|a ∈ A} for some y ∈ clY ({e(x)}). By knowing h is continuous map we have h(y) ∈ clY ({h(e(x))}). And since the diagram in definition 4.1 commutes, clY ({h(e(x))}) = clY ({e (g(x))}). Therefore h(y) ∈ clY ({e (g(x))}). On the other hand for a ∈ A, we have y ∈ clY ({e(a)}) , and consequently z = h(y) ∈ clY ({h(e(a))}) = clY ({e (g(a))}). Therefore all together imply g[A] ∈ NS e (g(x)). 5. Strict b-topological frame extension In the previous section we have found a functor from SbTFE to CLA- HPNFRM. Now, we are going to introduce a related one in the opposite direction. Lemma 5.1. Let (L, BL , N) be a hyperparanear frame. We set L∗ := bFCLA(L) ∪ {∅}. And for each A∗ ⊂ L∗ we put: clL∗ (A∗ ) := {D ∈ L∗ |∆A∗ ⊂ D}, where ∆A∗ := z ∈ BL |∀ F ∈ A∗ z ∈ F . (By convention if A∗ = ∅ then, ∆A∗ = BL and if ∅ ∈ A∗ then, ∆A∗ = ∅). Then, clL∗ : PL∗ → PL∗ is a topological closure operator. Proof. We show that clL∗ satisfies all conditions of topological closure oper- ator. 1) Suppose clL∗ (∅) = ∅, hence there exists D ∈ L∗ such that ∆∅ ⊂ D. Conse- quently 0 ∈ D which leads us to a contradiction therefore, clL∗ (∅) = ∅. 2) Let for A∗ ⊂ L∗ , D ∈ A∗ and z ∈ ∆A∗ so z ∈ D, hence ∆A∗ ⊂ D, therefore D ∈ clL∗ (A∗ ) which implies A∗ ⊂ clL∗ (A∗ ). 208
  • 210.
    3) Let A∗ 1⊂ A∗ 2 ⊂ L∗ and D ∈ clL∗ (A∗ 1) so ∆A∗ 1 ⊂ D. But ∆A∗ 2 ⊂ ∆A∗ 1 which leads us to D ∈ clL∗ (A∗ 2) therefore clL∗ (A∗ 1) ⊂ clL∗ (A∗ 2). 4) Let for A∗ 1, A∗ 2 ⊂ L∗ , D ∈ clL∗ (A∗ 1∪A∗ 2) and suppose D /∈ clL∗ (A∗ 1)∪clL∗ (A∗ 2), we can choose z1 ∈ ∆A∗ 1 such that z1 /∈ D and z2 ∈ ∆A∗ 2 such that z2 /∈ D. By hypothesis ∆(A∗ 1 ∪ A∗ 2) ⊂ D so, z1 ∨ z2 ∈ ∆(A∗ 1 ∪ A∗ 2), because for F ∈ (A∗ 1 ∪ A∗ 2) either F ∈ A∗ 1 or F ∈ A∗ 2. If F ∈ A∗ 1, then z1 ∈ F, hence ∅ = F ∈ FCLA(L) with z1 ≤ z1 ∨ z2 ∈ BL . But F satisfies (bfcla1), so z1 ∨ z2 ∈ F. And if F ∈ A∗ 2, then z2 ∈ F, hence ∅ = F ∈ bFCLA(L) with z2 ≤ z1 ∨ z2 ∈ BL . But F satisfies (bfcla1), so z1 ∨ z2 ∈ F. Therefore z1 ∨ z2 ∈ ∆(A∗ 1 ∪ A∗ 2) ⊂ D. Consequently, since D satisfies (bfcla2), either z1 ∈ D or z2 ∈ D which lead us to a contradiction. 5) Now, at last, let A∗ ⊂ L∗ and D ∈ clL∗ (clL∗ (A∗ )). Suppose D /∈ clL∗ (A∗ ), hence there exists z ∈ ∆A∗ s.t. z /∈ D. On the other hand by hypothesis, ∆clL∗ (A∗ ) ⊂ D. Since x ∈ ∆A∗ and F ∈ clL∗ (A∗ ) imply ∆A∗ ⊂ F, hence x ∈ F, therefore ∆A∗ ⊂ ∆clL∗ (A∗ ). Consequently, we have z ∈ D which is a contradiction therefore clL∗ (clL∗ (A∗ )) ⊂ clL∗ (A∗ ).( Our forums proving is based essentially on the fact that ∅ /∈ A∗ ⊂ L∗ , but this does not any matter). Theorem 5.2. Let (L, BL , N) and (Y, BY , M) be hyperparanear frames and f : L → Y be a hnf-map. Let the function f∗ : L∗ → Y ∗ be defined by setting: f∗ (C) :=    ∅ if C = ∅ y ∈ BY |∃z ∈ (f[C]) s.t. z ≤ yM otherwise Then, the following statements are valid: (1) f∗ is a continuous map from (L∗ , clL∗ ) to (Y ∗ , clY ∗ ); (2) The composites f∗ ◦ eN and eM ◦ f coincide, where eN : BL → L∗ is defined by setting: eN (x) :=    ∅ if x = 0 xN if x ∈ BL {0} Proof. First we show that f∗ (C) ∈ Y ∗ . If C = ∅ then, it is obvious. So let C = ∅. To (bfcla0): Suppose 0 ∈ f∗ (C), hence there exists z ∈ f[C] such that z ≤ 0 M = 0, so 0 ∈ f[C],then 0 ∈ C and since C ∈ L∗ so 0 ∈ ∅ which is a contradiction. To (bfcla1): Let y1 ∈ f∗ (C) and y1 ≤ y2 ∈ BY . So there exist z ∈ f[C] with z ≤ y1 M ≤ y2 M therefore y2 ∈ f∗ (C). To (bfcla2): Let y1, y2 ∈ BY such that y1 ∨ y2 ∈ f∗ (C), hence y1 ∨ y2 = 0 so y1 = 0 or y2 = 0. Without restriction let y1 = 0 and y2 = 0, then, y1 = y1 ∨ y2 ∈ f∗ (C) and the other case can be analogously deduced. Now, suppose y1 = 0 = y2 then, there exists z ∈ f[C] such that z ≤ y1 ∨ y2 M . Also by (bfcl4), y1 ∨ y2 M ≤ y1 M ∨ y2 M , hence y1 M ∨ y2 M << {z}. By hy- 209
  • 211.
    pothesis z =0 so, {z} ∈ M(z), consequently by(hnf1), y1 M ∨ y2 M ∈ M(z) , and by (hnf6), y1 M ∈ M(z) or y2 M ∈ M(z) then, by (hnf7), {y1} ∈ M(z) or {y2} ∈ M(z), which shows that z ≤ y1 M or z ≤ y2 M . Therefore y1 ∈ f∗ (C) or y2 ∈ f∗ (C). To (bfcla3): Let (∅ =)C ∈ L∗ , then there exists x ∈ BL such that x ∈ C ∈ N(x), hence f(x) ∈ BY and f(x) ∈ f(C) ∈ M(f(x)) so f(x) ≤ f(x) M so f(x) ∈ f∗ (C). Now we put A := yM |y ∈ f∗ (C) , then for y ∈ f∗ (C) we have zy ≤ yM for some zy ∈ f[C]. By hypothesis, zy = 0 and A << {zy|y ∈ f∗ (C)} ⊂ f[C] ∈ M(f(x)), then by (hnf1), we have A ∈ M(f(x)) . Consequently, by (hnf7), f∗ (C) ∈ M(f(x)). To (bfcla4): Let y ∈ BY and yM ∈ f∗ (C). Since f∗ (C) ∈ M(f(x)) by (hnf1), {yM } ∈ M(f(x)) so by (hnf7), {y} ∈ M(f(x)) therefore, f(x) ≤ yM where, f(x) ∈ f[C] so y ∈ f∗ (C). All together show that f∗ (C) ∈ bFCLA(Y ), hence f∗ (C) ∈ Y ∗ . To (1): We show that f∗ : (L∗ , clL∗ ) → (Y ∗ , clY ∗ ) is a continuous map. Let A∗ ⊂ L∗ and C ∈ clL∗ (A∗ ), we have to verify f∗ (C) ∈ clY ∗ (f∗ [A∗ ]). Case 1: A∗ = ∅, then the above implication is valid. Case 2: ∅ ∈ A∗ hence, ∆A∗ = ∅ therefore, clL∗ (A∗ ) = L∗ , which implies f∗ [clL∗ (A∗ )] = f∗ [L∗ ] ⊂ Y ∗ . And since ∅ ∈ f∗ [A∗ ], we have clY ∗ [f∗ [A∗ ]] = Y ∗ . Therefore f∗ [clL∗ (A∗ )] ⊂ clY ∗ [f∗ [A∗ ]]. Case 3: f∗ (C) = ∅, hence ∅ ∈ f∗ [A∗ ], and clY ∗ (f∗ [A∗ ]) = Y ∗ , consequently f∗ (C) ∈ clY ∗ (f∗ [A∗ ]). Case 4: For every D ∈ A∗ we have D = ∅ . Suppose f∗ (C) /∈ clY ∗ (f∗ [A∗ ]), then there exists y ∈ ∆f∗ [A∗ ], y /∈ f∗ (C). We put Ay := x ∈ BL |f(x) ≤ yM , then ∨Ay /∈ C. Because if ∨Ay ∈ C we have, f[∨Ay] = ∨ {f(a)|a ∈ Ay} = ∨f[Ay] ∈ f[C] {0}. Consequently, f[∨Ay] ≤ yM therefore y ∈ f∗ (C), which is a contradiction, therefore ∨Ay /∈ C. By hypothesis, C ∈ clL∗ (A∗ ) so ∆A∗ ⊂ C therefore ∨Ay /∈ ∆A∗ . Hence, there exists D ∈ A∗ such that ∨Ay /∈ D. Consequently, f∗ (D) ∈ f∗ [A∗ ] and since y ∈ ∆f∗ [A∗ ] we have y ∈ f∗ (D). Now by definition of f∗ , there exists z ∈ f[D] such that z ≤ yM . But z = f(d) for some d ∈ D, hence d ∈ Ay and d ≤ ∨Ay therefore, ∨Ay ∈ D which is a contradiction. So f∗ (C) ∈ clY ∗ (f∗ [A∗ ]). Therefore we obtain that f∗ is a continuous map from (L∗ , clL∗ ) to (Y ∗ , clY ∗ ). To (2): If x = 0, then by considering f is a frame homomorphism we have, eM (f(x)) = ∅ = f∗ (eN (x)). If x = 0, then f(x) = 0 and eM (f(x)) = f(x)M with 0 /∈ f(x)M and f(x)M ∈ M(f(x)) {∅}. First we show that f∗ (xN ) ∈ M(f(x)). We know f∗ (xN ) = ∅. Now since xN ∈ N(x) we get, f[xN ] ∈ M(f(x)). And we put A := yM : y ∈ f∗ (xN ) . 210
  • 212.
    For arbitrary y∈ f∗ (xN ) there exists z ∈ f[xN ] such that z ≤ yM , hence A << f[xN ] then, by (hnf1), it implies A ∈ M(f(x)) and by (hnf7), we have f∗ (xN ) ∈ M(f(x)) . It remains to verify that f(x)M ⊂ f∗ (xN ). Let y ∈ f(x)M so 0 = f(x) ≤ yM and consequently y ∈ f∗ (xN ) so f(x)M ⊂ f∗ (xN ). Now since f(x)M is maximal in M(f(x)) {∅}, we have f(x)M = f∗ (xN ). Theorem 5.3. Let G be defined by the following: (a) G(L, BL , N) := (eN , BL , L∗ ) for hyperparaclan frame (L, BL , N), with BL := (BL , −N ) and L∗ := (L∗ , clL∗); (b) G(f) := (f, f∗ ) for any hnf-map f : (L, BL , N) → (Y, BY , M). Then G is a functor from CLA- HPNFRM to SbTFE. Proof. We already know that (L, BL , −N ) is a Boolean frame with b-frame- closure −N : BL → BL and L∗ := (bFCLA(L) ∪ {∅} , clL∗ ) is a topological space. And eN is a function from BL to L∗ . Now we verify eN satisfies axioms (btfe0) to (btfe5) and (sym). To (btfe0): By definition we have, eN (0) = ∅; To (btfe1): We have to show that clL∗ (eN ([BL {0}])) = bFCLA(L); Let D ∈ bFCLA(L) and suppose D /∈ clL∗ (eN [BL {0}]), hence ∆eN [BL {0}] does not subset of D, so there exists z ∈ ∆eN [BL {0}] such that z /∈ D. Consequently, ∨BL {0} /∈ D. On the other hand for some x ∈ BL {0} such that x ∈ D. Hence ∨BL {0} ∈ D, which is a contradiction. (Note that ∨BL {0} ∈ BL .) Conversely, let be D ∈ clL∗ (eN [BL {0}]) so, D ∈ L∗ and ∆eN [BL {0}] ⊂ D. Since ∨BL {0} ∈ ∆eN [BL {0}], then ∨BL {0} ∈ D, and consequently D ∈ bFCLA(L). (Note that L∗ := bFCLA(L) ∪ {∅}.) To (btfe2): For z ∈ BL {0, 1} we put Az := {x ∈ BL {0, 1} : eN (x) ∈ clL∗ ({eN (z)})}. And we claim that zN is upper bound of Az. Let x ∈ Az so eN (x) ∈ clL∗ ({eN (z)}), hence ∆{zN } = ∆{eN (z)} ⊂ eN (x) = xN . Consequently, z ∈ xN which shows that x ≤ zN . So ∨e−1 N [clL∗ ({eN (z)})] = ∨Az ≤ zN . Conversely, we claim that ∨Az is upper bound of D := y ∈ BL {0, 1} | {z} ∈ N(y) . Let y ∈ D so {z} ∈ N(y) and y ≤ zN . We have to verify eN (y) ∈ clL∗ ({eN (z)}), which means ∆ {eN (z)} ⊂ eN (y). Let a ∈ ∆ {eN (z)} so, a ∈ eN (z) = zN , hence z ≤ aN so, y ≤ zN ≤ (aN ) N ≤ aN , therefore a ∈ eN (y). Consequently, y ≤ ∨Az. But zN is join of D, hence 211
  • 213.
    zN ≤ ∨Az. All togetherimply zN = ∨e−1 N [clL∗ ({eN (z)})]. To (btfe3): Let z ∈ BL either z = 0 or z = 0. If z = 0, then eN (zN ) = ∅ and clL∗ ({eN (z)}) = clL∗ ({∅}) = L∗ , because ∆ {∅} = ∅, but ∅ ∈ L∗ . If z = 0, then eN (z) = zN . We have to verify that ∆ {zN } ⊂ (zN )N . Let a ∈ ∆ {zN } so z ≤ aN , hence zN ≤ (aN ) N ≤ aN , which shows a ∈ (zN )N . To (btfe4): Let a, b ∈ BL such that 0 = a ≤ b and D ∈ clL∗ ({eN (a)}), we have to verify that ∆ {bN } = ∆ {eN (b)} ⊂ D. Let z ∈ ∆ {bN } so b ≤ zN , and by hypothesis we get a ≤ zN , therefore z ∈ aN = eN (a) which implies z ∈ D. To (btfe5): Let a, b ∈ BL with a ∨ b ∈ BL and D ∈ clL∗ ({eN (a ∨ b)}) then, without restriction let a = 0 = b. Suppose D /∈ clL∗ ({eN (a)}) ∪ clL∗ ({eN (b)}) so D /∈ clL∗ ({eN (a)}) and D /∈ clL∗ ({eN (b)}), hence ∆ {aN } = ∆ {eN (a)} does not subset of D and ∆ {bN } = ∆ {eN (b)} does not subset of D. Choose xa ∈ aN such that xa /∈ D and xb ∈ bN such that xb /∈ D, hence a ≤ xa N and b ≤ xb N . We set x := xa ∨ xb, hence x ∈ aN and x ∈ bN and x /∈ D, because D ∈ bFCLA(L) or D = ∅. On the other hand x ∈ (a ∨ b)N = eN (a ∨ b). Since D ∈ clL∗ ({eN (a ∨ b)}) = clL∗ ({(a ∨ b)N }), hence ∆ {(a ∨ b)N } ⊂ D so x ∈ D, which is a contradiction. To (sym): Let x ∈ BL {0} and D ∈ clL∗ ({eN (x)}) so ∆ {eN (x)} ⊂ D, hence xN = eN (x) ⊂ D. On the other hand, for some y ∈ BL {0} we have D ∈ N(y). Consequently, {y} ∪ D ∈ N(x), because by hypothesis (L, BL , N) is hyperparaclan frame. So, D ∈ N(x) {∅} and because eN (x) is maximal in N(x) {∅}, then eN (x) = D. Consequently eN (x) ∈ clL∗ ({D}). Therefore (eN , BL , L∗ ) is symmetric b- topological frame extension. By theorem 5.2, we already know that G(f) is a btfe-morphism. It is clear that for hnf-maps (BL , N) f → (BY , M) g → (BZ , P) the equation G(g ◦ f) = G(g) ◦ G(f) holds. Corollary 5.4. The image of G is also contained in STRbTFE. Proof. Let A∗ be closed in bFCLA(L) and D ∈ bFCLA(L) such that D /∈ A∗ , then, D /∈ clL∗ (A∗ ), hence ∆A∗ does not subset of D. Consequently there exists z ∈ ∆A∗ such that z /∈ D. Therefore for each F ∈ A∗ we have z ∈ F. Now let a be an arbitrary element of ∆ {eN (z)} so a ∈ zN , and consequently z ≤ aN . Since z ∈ F and F ∈ bFCLA(L) so aN ∈ F, and by (bfcla4), a ∈ F. Therefore ∆ {eN (z)} ⊂ F, thus F ∈ clL∗ ({eN (z)}). On the other hand since z /∈ D we have ∆ {eN (z)} does not subset of D, so D /∈ clL∗ ({eN (z)}). Therefore, A∗ = clL∗ ({eN (z)}) = clL∗ (eN [{z}]). In the case if A∗ = bFCLA(L) then, we have A∗ = clL∗ (eN [BL {0}]). 212
  • 214.
    Theorem 5.5. LetF : SbTFE → CLA-HPNFRM and G : CLA-HPNFRM → SbTFE be the above defined functors. For each object (L, BL , N) of CLA- HPNFRM let t(L,BL,N) denotes the identity map idL : F(G(L, BL , N)) → (L, BL , N). Then, t : F ◦ G → 1CLA-HPNFRM is natural equivalence from F ◦ G to the identity functor 1CLA-HPNFRM. F(G(L, BL , N)) idL −→ (L, BL , N) F(G(f)) ↓ ↓ f F(G(Y, BY , M)) idY −→ (Y, BY , M)) i.e. idL is a hnf-map in both directions for each object (L, BL , N), and the above diagram commutes for each hnf-map f : (L, BL , N) → (Y, BY , M). Proof. The commutativity of the diagram is obvious, because of F(G(f)) = f. It remains to prove that idL : F(G(L, BL , N)) → (L, , BL , N) is hnf- map in both direction. Let F(G(L, BL , N)) = (L, BL , N1). It suffices to show that for each x ∈ BL {0} we have N1(x) ⊂ N(x) ⊂ N1(x). To this end assume A ∈ N1(x), then there exists C ∈ clL∗ ({eN (x)}) such that C ∈ {clL∗ ({eN (a)}) : a ∈ A}, hence ∆ {eN (x)} ⊂ C. We get x ∈ C, and C ∈ N(z) for some z ∈ BL {0}. Since N is symmetric we have {z} ∪ C ∈ N(x), which by (hnf1), shows that C ∈ N(x) . Let a be an arbitrary element of A implies C ∈ clL∗ ({eN (a)}), therefore ∆ {eN (a)} ⊂ C, so a ∈ C. Consequently, by (hnf1), A ∈ N(x). Conversely, let A ∈ N(x). Since (L, BL , N) is hyperparaclan frame we can choose a x-b-frame clan C in N with A ⊂ C. In order to show, A ∈ N1(x) we need to verify (i) C ∈ clL∗ ({eN (x)}); (ii) a ∈ A implies C ∈ clL∗ ({eN (a)}). To (i): By definition it suffices to establish ∆ {eN (x)} ⊂ C. Let z ∈ ∆ {eN (x)}, so x ≤ zN , hence zN ∈ C, therefore z ∈ C. To (ii): Let a be an element of A and z be an element of ∆ {eN (a)}, hence a ≤ zN and by hypothesis a ∈ C. Consequently zN ∈ C so, z ∈ C which shows C ∈ clL∗ ({eN (a)}). Remark 5.6. Making this last theorem more transparent. We claim that a hyperparanear frame (L, BL , N) has a symmetric strict b-topological frame extension if and only if it is a hyperparaclan frame. Hence, there exists a topological space (Y, clY ) which is the union of a set X with some point not contained in X, so that BL {0} can be densely embedded in X, and the x- near sets in N are characterized by the fact that all their closures meet in X. We note in addition if supposing Boolean frames, hence uniform frames, respectively proximal frames then, can be equivalently described in terms of 213
  • 215.
    hypernear frames orhyperparanear frames respectively. Hence for all the above mentioned and subsumed spaces this fundamental theorem also can be applied. Definition 5.7. A hyperpernear frame (L, BL , N) is called separated if and only if it satisfies the following condition: (sep) x, z ∈ BL {0} and {z} ∈ N(x) imply x = z. Remark 5.8. If (L, BL , N) is a separated hyperparanear frame then, eN : BL → L∗ is injective. Conversely, for a T1 extension (e, BL , Y ), where e is injective and Y = (Y, clY ) is a T1- space then, (L, BL , N) is separated. Here, it should be strictly pointed out that the topological space (L∗ , clL∗ ), constructed in lemma 5.1. even is a T1-space. References [1] B. Banaschewski, Extensions of topological spaces. Canadian Math.Bull. 7(1964), 1-23. [2] H.L. Bentley, Nearness spaces and extension of topological spaces. In: Studies in topology Academic Press, NY (1975), 47-66. [3] H.L. Bentley, Paracompact spaces, Topology Appl. 39(1991)283-297. [4] G. Birkhoff, Lattice theory, Trans. Amer. Math. Soc. Colloquium Publications, third edition(Amer. Math. Scoc., RI, 1973). [5] D. Doitchinov, Compactly determined extensions of topological spaces. SERDICA Bulgarice Math. Pub. 11(1985), 269-286. [6] D. Doitchinov, A unified theory of topological, proximal and uniform spaces, Doklady Akad. Nauk SSSR 159(1964) 21-24 (Russian); English translation: Soviet Math. Dokl. 5(1964)595-598 (English). [7] H. Herrlich, A concept of nearness, Gen. Topology Appl. 4 (1974) 191-212. [8] H. Herrlich, Topological structures in : Topological structures I, Math. Centre Tracts 52 (1974) pp. 59-122 . [9] H. Herrlich, Some topological theorems which fail to be true, in : Categorical Topology, Lecture Notes in Mathematics, Vol. 540(Springer, Berlin, 1976)265- 285. [10] V.M. Ivanova, A.A. Ivanov, Contiguity spaces and bicompact extensions, Dokl. Akad. Nauk SSSR 127(1959) 20-22. [11] P.T. Johnstone, Stone Spaces,Cambridge Studies in Advanced Mathematics3, Cambridge University Press, 1982. 214
  • 216.
    [12] D. Leseberg,Supernearness, a common concept of supertopologies and nearness, Topology and its Application 123 (2002) 145-156. [13] D. Leseberg, Symmetrical extensions and generalized nearness, Note di Matematica 22, n. 2, 2003, 93-111. [14] D. Leseberg, A new concept of convergence space. Math. Pannonica 19/2(2008), 291-303 and http://www.digibib.tu-bs.de/?docid=00024313, TU Braunschweig (2009). [15] D.Leseberg, Improved nearness research II, Rostock. Math. Kolloq.66(2011), 87-102. [16] D.Leseberg, Improved nearness research III, Int. J.Math. Sci. and Appl. Vol 1, No. 2, May 2011. [17] M. H. Stone, The theory of representations for Boolean Algebras, in: Transactions of the American Mathematical Society 40 (1936), 37-111. [18] Z.Vaziry and D.Leseberg, Completion in supernear spaces, Int. J.Math. Sci. and Appl. Vol. 1, No. 2, May 2011. [19] Z.Vaziry, S.B.Nimse and D.Leseberg, On supercovering spaces. Int. J.of Math. and Scientific comp. vol2, No1 (2012), 56-69. [20] Z.Vaziry, S.B.Nimse and D.Leseberg, B-nearness on Boolean frames. Rostock. Math. Kolloq.67 (2012), 3-19. [21] Z.Vaziry and D. Leseberg, Topological frame extension, Math. Appl. 2(2013), 169-189. 215
  • 217.
  • 218.
    2014 INTERNATIONAL CONFERENCE onTOPOLOGY and its APPLICATIONS Organizing committee: • S. D. Iliadis (Moscow State University (M.V. Lomonosov)) Chairman • D. N. Georgiou (University of Patras) • I. E. Kougias (Technological Educational Institute of Western Greece) • A. C. Megaritis (Technological Educational Institute of Western Greece) • I. Boules (Mayor of the city of Nafpaktos) July 3-7, 2014 Nafpaktos, Greece Department of Mathematics University of Patras, Computer and Informatics Engineering Department, Technological Educational Institute of Western Greece Municipality of Nafpaktos Homepage: http://www.lepantotopology.gr E-mail: lepanto@math.upatras.gr Photo: www.tsousis.com C M Y CM MY CY CMY K georgiou afisa.pdf 11/14/13 12:57:51 AM 217
  • 219.