GOVERNING CONTROL AND EXCITATION CONTROL FOR STABILITY OF POWER SYSTEM GCT DEE
SESSION 2014-2018 Page 1
Chapter 1
INTRODUCTION
Power system stability issue has been studied widely. Many significant contributions have been
made, not only in the aspects of analyzing and explaining the dynamic phenomena, but also in the
efforts of improving the stability of transmission systems. Among these techniques, generator
control is one of the most widely applied in the power industry.
This typically includes governing and excitation control. Most attention is directed toward the
excitation control. Most of excitation controls are based on SISO-PID control, MIMO linear
control, optimal linear and non-linear control, and intelligent control, such as applications of neural
network and fuzzy logic and hybrid of these two i.e. neuro-fuzzy systems. In this piece of research
work, coordination of governing control and excitation control using neuro-fuzzy. In the field
power plant engineering fuzzy set theory is applied in system control, planning and load
scheduling. Neuro-fuzzy controller is applied to a single machine infinite bus system. A 3-phase
fault is used as an example of system disturbances.
SIMULINK simulation model is built to study the dynamic behavior of synchronous machine and
the performance of proposed controller. The neural network has also been applied in power system
control by developing neural controllers. Fuzzy logic has also been applied to design power system
stabilizers. Governing system behavior is neglected in the design of excitation control. Part of the
reason is the slow response of governing systems compared with exciting system.
1.1 Neuro-Fuzzy Control Design
The basic dynamic behavior of a generator can be shown using a simple single machine to infinite
bus system. In proposed study, the control scheme was designed for the single generator. The
governing control is a traditional PID Control, which is similar to International Journal of Electrical
and Electronics Engineering (IEEE). The excitation control is a ANFIS architecture. The
fuzzification of input parameters i.e. incremental angular speed, power and terminal voltage
respectively. The output parameters i.e. source voltage and command signal respectively. ANFIS is
an adaptive neuro-fuzzy inference system applied in power system. The output power Pe , speed,
terminal voltage Vt and the exciting field voltage E fd of synchronous machine are introduced as
feedbacks in the excitation control.
GOVERNING CONTROL AND EXCITATION CONTROL FOR STABILITY OF POWER SYSTEM GCT DEE
SESSION 2014-2018 Page 2
1.2 History
The reliability of a system can be determined on the basis of tests or the acquisition of operational
data. However, due to the uncertainty and inaccuracy of this data, the estimation of precise values
of probabilities is very difficult in many systems (e.g. power system, electrical machine, hardware
etc., Hammer (2001), El-Hawary (2000).
The basis for this approach is constituted by the fundamental works on fuzzy set theory of Zadeh
(1978), Dubois and Prade (1980), Zimmerman (1986) and other. The theory of fuzzy reliability
was proposed and development by several authors, Cai, Wen and Zhang (1991, 1993); Cai (1996);
Chen, Mon (1993); Hammer (2001); El-Hawary (2000), Onisawa, Kacprzyk (1995); Utkin, Gurov
(1995).
The recent collection of papers by Onisawa and Kacprzyk(1995), gave 654 I.M. ALIEV, Z. KARA
many different approach for fuzzy reliability. According to Cai, Wen and Zhang (1991, 1993); Cai
(1996) various form of fuzzy reliability theories, including profust reliability theory Dobois, Prade
(1980); Cai, Wen and Zhang (1993); Cai (1996); Chen, Mon (1993); Hammer (2001); El -Hawary
(2000); Utkin, Gurov(1995), posbist reliability theory, Cai, Wen and Zhang (1991, 1993) and
posfust reliability theory, can be considered by taking new assumptions, such as the possibility
assumption, or the fuzzy state assumption, in place of the probability assumption or the binary state
assumption.
Chen analyzed the fuzzy system reliability using vague set theory. The values of the membership
and non-membership of an element, in a vague set, are represented by a real number in. Cai, Wen
and Zhang (1993) presented a fuzzy set based approach to failure rate and reliability analysis,
where profust failure rate is defined in the context of statistics. El-Nawary (2000) presented models
for fuzzy power system reliability analysis, where the failure rate of a system is represented by a
triangular fuzzy number.
The work of Jerry M.Mendel and Feilong Liu (2007) on Super-Exponential Convergence of the
Karnik–Mendel Algorithms for Computing the Centroid of an Interval Type-2 Fuzzy Set is a well-
recognized work in the field. Design of Interval Type-2 Fuzzy Logic Based Power System
Stabilizer (Imam Robandi, and Bedy Kharisma 2008) has sufficient materials as a reference work.
Juan R. Castro and Oscar Castillo (2007) worked on Interval Type -2 Fuzzy Logic for Intelligent
Control Applications. Also Jerry M. Mendel and Robert I.Bob John (2002) presented, how Type-2
Fuzzy Sets Made Simple. Mamdani ( 1974) developed the method to apply the fuzzy algorithm for
simple control of dynamic plant.
GOVERNING CONTROL AND EXCITATION CONTROL FOR STABILITY OF POWER SYSTEM GCT DEE
SESSION 2014-2018 Page 3
Qureshi (2003) published his work on power system reliability problems, control problems and
protection problems. Qureshi (2004) in his Ph.D. thesis took the project work of Reliability of
nuclear plants using fuzzy logic transformation. R.R.Yager(2000) reported a valuable information
on fuzzy subsets of type-2 in decision. N.N.Karnik and J.M. Mendel worked on interval type-2
fuzzy logic systems and reported his findings in IEEE Transactions, fuzzy systems.
GOVERNING CONTROL AND EXCITATION CONTROL FOR STABILITY OF POWER SYSTEM GCT DEE
SESSION 2014-2018 Page 4
Chapter 2
POWER SYSTEM STABILITY
2.1 About Power System Stability
POWER system stability has been recognized as an important problem for secure system operation
since the 1920s. Many major blackouts caused by power system instability have illustrated the
importance of this phenomenon. Historically, transient instability has been the dominant stability
problem on most systems, and has been the focus of much of the industry’s Attention concerning
system stability. As power systems have evolved through continuing growth in interconnections,
use of new technologies and controls, and the increased operation in highly stressed conditions,
different forms of system instability have emerged. For example, voltage stability, frequency
stability and interarea oscillations have become greater concerns than in the past. This has created a
need to review the definition and classification of power system stability.
A clear understanding of different types of instability and how they are interrelated is essential for
the satisfactory design and operation of power systems. As well, consistent use of terminology is
required for developing system design and operating criteria, standard analytical tools, and study
procedures. The problem of defining and classifying power system stability is an old one, and there
have been several previous reports on the subject by CIGRE and IEEE Task Forces. These,
however, do not completely reflect current industry needs, experiences, and understanding. In
particular, definitions are not precise and the classifications do not encompass all practical
instability scenarios. Our objectives are to:
 Provide a systematic basis for classifying power system stability, identifying and defining
different categories, and providing a broad picture of the phenomena.
Discuss linkages to related issues such as power system reliability and security. Power system
stability is similar to the stability of any dynamic system, and has fundamental mathematical
underpinnings. Precise definitions of stability can be found in the literature dealing with the
rigorous mathematical theory of stability of dynamic systems.
 Our intent here is to provide a physically motivated definition of power system stability
which in broad terms conforms to precise mathematical definitions. The report is organized
as follows.
GOVERNING CONTROL AND EXCITATION CONTROL FOR STABILITY OF POWER SYSTEM GCT DEE
SESSION 2014-2018 Page 5
 Define power system stability more precisely, inclusive of all forms.
 In section II The definition of Power System Stability is provided. A detailed discussion
and elaboration of the definition are presented. The conformance of this definition with the
system theoretic definitions is established.
 Section III provides a detailed classification of power system stability.
 In Section IV of the report there relationship between the concepts of power system
reliability, security, and stability is discussed. A description of how these terms have been
defined and used in practice is also provided.
 Finally, in Section V definitions and concepts of stability from mathematics and control
theory are reviewed to provide background information concerning stability of dynamic
systems in general and to establish theoretical connections. The analytical definitions
presented in Section V constitute a key aspect of the report. They provide the mathematical
underpinnings and bases for the definitions provided in the earlier sections.
It is also typically assumed that distributed nature of some elements of a power system (e.g.,
transmission lines) can be approximated with lumped parameter models without a major loss of
model fidelity.
2.2 Definition of Power System Stability
In this section, we provide a formal definition of power system stability. The intent is to provide a
physically based definition which, while conforming to definitions from system theory, is easily
understood and readily applied by power system engineering practitioners.
A. Proposed Definition
Power system stability is the ability of an electric power system, for a given initial operating
condition, the system must be able to adjust to the changing conditions and operate satisfactorily. It
must also be able to survive numerous disturbances of a severe nature, A stable equilibrium set
thus has a finite region of attraction; the larger the region, the more robust the system with respect
to large disturbances. The region of attraction changes with the operating condition of the power
system. such as a short circuit on a transmission line or loss of a large generator. A large
disturbance may lead to structural changes due to the isolation of the faulted elements. To regain a
state of operating equilibrium after being subjected to a physical disturbance, with most system
variables bounded so that practically the entire system remains intact.
GOVERNING CONTROL AND EXCITATION CONTROL FOR STABILITY OF POWER SYSTEM GCT DEE
SESSION 2014-2018 Page 6
B. Discussion and Elaboration
The definition applies to an interconnected power system as a whole. Often, however, the stability
of a particular generator or group of generators is also of interest. A remote generator may lose
stability (synchronism) without cascading instability of the main system. Similarly, stability of
particular loads or load areas may be of interest; motors may lose stability (run down and stall)
without cascading instability of the main system. The power system is a highly nonlinear system
that operates in a constantly changing environment; loads, generator outputs and key operating
parameters change continually.
When subjected to a disturbance, the stability of the system depends on the initial operating
condition as well as the nature of the disturbance. Stability of an electric power system is thus a
property of the system motion around an equilibrium set, i.e., the initial operating condition. In an
equilibrium set, the various opposing forces that exist in the system are equal instantaneously (as in
the case of equilibrium points) or over a cycle (as in the case of slow cyclical variations due to
continuous small fluctuations in loads or a periodic attractors).
Power systems are subjected to a wide range of disturbances, small and large. Small disturbances in
the form of load changes occur continually; the system must be able to adjust to the changing
conditions and operate satisfactorily. It must also be able to survive numerous disturbances of a
severe nature, such as a short circuit on a transmission line or loss of a large generator. A large
disturbance may lead to structural changes due to the isolation of the faulted elements. At an
equilibrium set, a power system may be stable for a given (large) physical disturbance, and
unstable for another.
It is impractical and uneconomical to design power systems to be stable for every possible
disturbance. The design contingencies are selected on the basis they have a reasonably high
probability of occurrence. Hence, large-disturbance stability always refers to a specified
disturbance scenario. Most of excitation controls are based on SISO-PID control, MIMO linear
control, optimal linear and non-linear control, and intelligent control, such as applications of neural
network and fuzzy logic and hybrid of these two i.e. neuro-fuzzy systems. In this piece of research
work, coordination of governing control and excitation control using neuro-fuzzy. A stable
equilibrium set thus has a finite region of attraction; the larger the region, the more robust the
system with respect to large disturbances. The region of attraction changes with the operating
condition of the power system. The response of the power system to a disturbance may involve
much of the equipment. For instance, a fault on a critical element followed by its isolation by
protective relays will cause variations in power flows, network bus voltages, and machine rotor
speeds.
GOVERNING CONTROL AND EXCITATION CONTROL FOR STABILITY OF POWER SYSTEM GCT DEE
SESSION 2014-2018 Page 7
The voltage variations will actuate both generator and transmission network voltage regulators; the
generator speed variations will actuate prime mover governors. The voltage and frequency
variations will affect the system loads to varying degrees depending on their individual
characteristics. Further, devices used to protect individual equipment may respond to variations in
system variables and cause tripping of the equipment, thereby weakening the system and possibly
leading to system instability.
If following a disturbance the power system is stable, it will reach a new equilibrium state with the
system integrity preserved i.e., with practically all generators and loads connected through a single
contiguous transmission system. Some generators and loads may be disconnected by the isolation
of faulted elements or intentional tripping to preserve the continuity of operation of bulk of the
system. Interconnected systems, for certain severe disturbances, may also be intentionally split into
two or more “islands” to preserve as much of the generation and load as possible.
The actions of automatic controls and possibly human operators will eventually restore the system
to normal state.On the other hand, if the system is unstable, it will result in a run-away or run-down
situation; for example, a progressive increase in angular separation of generator rotors, or a
progressive decrease in bus voltages. An unstable system condition could lead to cascading outages
and a shutdown of a major portion of the power system. Power systems are continually
experiencing fluctuations of small magnitudes. However, for assessing stability when subjected to
a specified disturbance, it is usually valid to assume that the system is initially in a true steady-state
operating condition.
C. Conformance With System
Theoretic Definitions In Section II-A, we have formulated the definition by considering a given
operating condition and the system being subjected to a physical disturbance. Under these
conditions we require the system to either regain a new state of operating equilibrium or return to
the original operating condition (if no topological changes occurred in the system). These
requirements are directly correlated to the system-theoretic definition of asymptotic stability given
in Section V-C-I. It should be recognized here that this definition requires the equilibrium to be
A.) Stable in the sense of Lyapunov, i.e., all initial conditions starting in a small spherical
neighbourhood of radius result in the system trajectory remaining in a cylinder of radius
for all time the initial time which corresponds to all of the system state variables being
bounded.
GOVERNING CONTROL AND EXCITATION CONTROL FOR STABILITY OF POWER SYSTEM GCT DEE
SESSION 2014-2018 Page 8
B.) At time the system trajectory approaches the equilibrium point which corresponds to the
equilibrium point being attractive. As a result, one observes that the analytical definition
directly correlates to the expected behaviour in a physical system.
2.3 Classification of Power System Stability
A typical modern power system is a high-order multivariable process whose dynamic response is
influenced by a wide array of devices with different characteristics and response rates. Stability is a
condition of equilibrium between opposing forces. The power system is a highly nonlinear system
that operates in a constantly changing environment; loads, generator outputs and key operating
parameters change continually. As power systems have evolved through continuing growth in
interconnections, use of new technologies and controls, and the increased operation in highly
stressed conditions, different forms of system instability have emerged.
For example, voltage stability, frequency stability and interarea oscillations have become greater
concerns than in the past. The resulting angular difference transfers part of the load from the slow
machine to the fast machine, depending on the power-angle relationship. This tends to reduce the
speed difference and hence the angular separation. The power-angle relationship is highly
nonlinear. Beyond a certain limit, an increase in angular separation is accompanied by a decrease in
power transfer such that the angular separation is increased further.When subjected to a
disturbance.
It is the process by which the sequence of events accompanying voltage instability leads to a
blackout or abnormally low voltages in a significant part of the power system. Stable (steady)
operation at low voltage may continue after transformer tap changers reach their boost limit, with
intentional and/or unintentional tripping of some load. Remaining load tends to be voltage
sensitive. The stability of the system depends on the initial operating condition as well as the nature
of the disturbance. As power systems have evolved through continuing growth in interconnections,
use of new technologies and controls, and the increased operation in highly stressed conditions,
different forms of system instability have emerged.
For example, voltage stability, frequency stability and interarea oscillations have become greater
concerns than in the past. Depending on the network topology, system operating condition and the
form of disturbance, different sets of opposing forces may experience sustained imbalance leading
to different forms of instability. In this section, we provide a systematic basis for classification of
power system stability.
GOVERNING CONTROL AND EXCITATION CONTROL FOR STABILITY OF POWER SYSTEM GCT DEE
SESSION 2014-2018 Page 9
A.) Need for Classification
Power system stability is essentially a single problem; however, the various forms of instabilities
that a power system may undergo cannot be properly understood and effectively dealt with by
treating it as such. Because of high dimensionality and complexity of stability problems, it helps to
make simplifying assumptions to analyze specific types of problems using an appropriate degree of
detail of system representation and appropriate analytical techniques.
Analysis of stability, including identifying key factors that contribute to instability and devising
methods of improving stable operation, is greatly facilitated by classification of stability into
appropriate categories. Classification, therefore, is essential for meaningful practical analysis and
resolution of power system stability problems. As discussed in Section V-C-I, such classification is
entirely justified theoretically by the concept of partial stability.
B.) Categories of Stability
The classification of power system stability proposed here is based on the following
considerations...
 The physical nature of the resulting mode of instability as indicated by the main system
variable in which instability can be observed.
 The size of the disturbance considered which influences the method of calculation and
prediction of stability.
 The devices, processes, and the time span that must be taken into consideration in order to
assess stability.
2.3.1 Rotor Angle Stability
Rotor angle stability refers to the ability of synchronous machines of an interconnected power
system to remain in synchronism after being subjected to a disturbance. It depends on the ability to
maintain/restore equilibrium between electromagnetic torque and mechanical torque of each
synchronous machine in the system. Instability that may result occurs in the form of increasing
angular swings of some generators leading to their loss of synchronism with other generators. The
rotor angle stability problem involves the study of the Electro mechanical oscillations inherent in
power systems. The stability of the system depends on the initial operating condition as well as the
nature of the disturbance. As power systems have evolved through continuing growth in
interconnections, use of new technologies.
GOVERNING CONTROL AND EXCITATION CONTROL FOR STABILITY OF POWER SYSTEM GCT DEE
SESSION 2014-2018 Page 10
A fundamental factor in this problem is the manner in which the power outputs of synchronous
machines vary as their rotor angles change. Under steady-state conditions, there is equilibrium
between the input mechanical torque and the output electromagnetic torque of each generator, and
the speed remains constant. If the system is perturbed, this equilibrium is upset, resulting in
acceleration or deceleration of the rotors of the machines according to the laws of motion of a
rotating body.
If one generator temporarily runs faster than another, the angular position of its rotor relative to that
of the slower machine will advance. The resulting angular difference transfers part of the load from
the slow machine to the fast machine, depending on the power-angle relationship. This tends to
reduce the speed difference and hence the angular separation. The power-angle relationship is
highly nonlinear. Beyond a certain limit, an increase in angular separation is accompanied by a
decrease in power transfer such that the angular separation is increased further. Instability results if
the system cannot absorb the kinetic energy corresponding to these rotor speed differences.
For any given situation, the stability of the system depends on whether or not the deviations in
angular positions of the rotors result in sufficient restoring torques. Loss of synchronism can occur
between one machine and the rest of the system, or between groups of machines, with synchronism
maintained within each group after separating from each other. The change in electromagnetic
torque of a synchronous machine following a perturbation can be resolved into two components:
 Synchronizing torque component, in phase with rotor angle deviation.
 Damping torque component, in phase with the speed deviation. System stability depends on
the existence of both components of torque for each of the synchronous machines. Lack of
sufficient synchronizing torque results in a periodic or no oscillatory instability, whereas
lack of damping torque results in oscillatory instability. For convenience in analysis and for
gaining useful insight into the nature of stability problems, it is useful to characterize rotor
angle stability in terms of the following two subcategories:
 Small-disturbance (or small-signal) rotor angle stability is concerned with the ability of the
power system to maintain synchronism under small disturbances. The disturbances are
considered to be sufficiently small that linearization of system equations is permissible for
purposes of analysis.
 The time frame of interest in small-disturbance stability studies is on the order of 10 to 20
seconds following a disturbance. Load characteristics, in particular, have a major effect on
the stability of interarea modes.
GOVERNING CONTROL AND EXCITATION CONTROL FOR STABILITY OF POWER SYSTEM GCT DEE
SESSION 2014-2018 Page 11
Rotor oscillations of increasing amplitude due to lack of sufficient damping torque. In today’s
power systems, small-disturbance rotor angle stability problem is usually associated with
insufficient damping of oscillations. The periodic instability problem has been largely eliminated
by use of continuously acting generator voltage regulators; however, this problem can still occur
when generators operate with constant excitation when subjected to the actions of excitation
limiters (field current limiters).
Fig 2.1 :- Classification of power system stability
 Small-disturbance rotor angle stability problems may be either local or global in nature.
Local problems involve a small part of the power system, and are usually associated with
rotor angle oscillations of a single power plant against the rest of the power system. Such
oscillations are called local plant mode oscillations. Stability (damping) of these oscillations
depends on the strength of the transmission system as seen by the power plant, generator
excitation control systems and plant output.
 Global problems are caused by interactions among large groups of generators and have
widespread effects. They involve oscillations of a group of generators in one area swinging
against a group of generators in another area. Such oscillations are called interarea mode
oscillations. Their characteristics are very complex and significantly differ from those of
local plant mode oscillations.
GOVERNING CONTROL AND EXCITATION CONTROL FOR STABILITY OF POWER SYSTEM GCT DEE
SESSION 2014-2018 Page 12
 Large-disturbance rotor angle stability or transient stability, as it is commonly referred to, is
concerned with the ability of the power system to maintain synchronism when subjected to
a severe disturbance, such as a short circuit on a transmission line. The resulting system
response involves large excursions of generator rotor angles and is influenced by the
nonlinear power-angle relationship.
 Transient stability depends on both the initial operating state of the system and the severity
of the disturbance. Instability is usually in the form of a periodic angular separation due to
insufficient synchronizing torque, manifesting as first swing instability. However, in large
power systems, transient instability may not always occur as first swing instability
associated with a single mode; it could be a result of superposition of a slow inter area
swing mode and a local-plant swing mode causing a large excursion of rotor angle beyond
the first swing. It could also be a result of nonlinear effects affecting a single mode causing
instability beyond the first swing.
 The time frame of interest in transient stability studies is usually 3 to 5 seconds following
the disturbance. It may extend to 10–20 seconds for very large systems with dominant inter-
area swings. As identified small-disturbance rotor angle stability as well as transient
stability are categorized as short term phenomena.
 The term dynamic stability also appears in the literature as a class of rotor angle stability.
However, it has been used to denote different phenomena by different authors. In the North
American literature. Any disturbance in the system will cause the imbalance between the
mechanical power input to the generator and electrical power output of the generator to be
affected.
 As a result, some of the generators will tend to speed up and some will tend to slow down.
it has been used mostly to denote small-disturbance stability in the presence of automatic
controls (particularly, the generation excitation controls) as distinct from the classical
“steady-state stability” with no generator controls, They are usually associated with HVDC
links connected to weak ac systems and may occur at rectifier or inverter stations, and are
associated with the unfavourable reactive power “load” characteristics of the converters.
 The HVDC link control strategies have a very significant influence on such problems, since
the active and reactive power at the ac/dc junction are determined by the controls. In the
European literature, it has been used to denote transient stability. Since much confusion has
resulted from the use of the term dynamic stability, we recommend against its usage, as did
the previous IEEE and CIGRE Task Forces.
GOVERNING CONTROL AND EXCITATION CONTROL FOR STABILITY OF POWER SYSTEM GCT DEE
SESSION 2014-2018 Page 13
2.3.2 Voltage Stability
Voltage stability refers to the ability of a power system to maintain steady voltages at all buses in
the system after being subjected to a disturbance from a given initial operating condition. It
depends on the ability to maintain/restore equilibrium between load demand and load supply from
the power system. Instability that may result occurs in the form of a progressive fall or rise of
voltages of some buses. A possible outcome of voltage instability is loss of load in an area, or
tripping of transmission lines and other elements by their protective systems leading to cascading
outages.
Loss of synchronism of some generators may result from these outages or from operating
conditions that violate field current limit. Progressive drop in bus voltages can also be associated
with rotor angle instability.
For example, the loss of synchronism of machines as rotor angles between two groups of machines
approach 180 causes rapid drop in voltages at intermediate points in the network close to the
electrical centre. Normally, protective systems operate to separate the two groups of machines and
the voltages recover to levels depending on the post-separation conditions. If, however, the system
is not so separated, the voltages near the electrical center rapidly oscillate between high and low
values as a result of repeated “pole slips” between the two groups of machines.
In contrast, the type of sustained fall of voltage that is related to voltage instability involves loads
and may occur where rotor angle stability is not an issue. The term voltage collapse is also often
used. It is the process by which the sequence of events accompanying voltage instability leads to a
blackout or abnormally low voltages in a significant part of the power system. Stable (steady)
operation at low voltage may continue after transformer tap changers reach their boost limit, with
intentional and/or unintentional tripping of some load. Remaining load tends to be voltage
sensitive, and the connected demand at normal voltage is not met. It is based on the following
considerations
 The driving force for voltage instability is usually the loads; in response to a disturbance,
power consumed by the loads tends to be restored by the action of motor slip adjustment,
distribution voltage regulators, tap-changing transformers, and thermostats. Restored loads
increase the stress on the high voltage network by increasing the reactive power
consumption and causing further voltage reduction.
GOVERNING CONTROL AND EXCITATION CONTROL FOR STABILITY OF POWER SYSTEM GCT DEE
SESSION 2014-2018 Page 14
 A major factor contributing to voltage instability is the voltage drop that occurs when active
and reactive power flow through inductive reactance of the transmission network; this
limits the capability of the transmission network for power transfer and voltage support.
The power transfer and voltage support are further limited when some of the generators hit
their field or armature current time-overload capability limits. Voltage stability is
threatened when a disturbance increases the reactive power demand beyond the sustainable
capacity of the available reactive power resources.
 The instability is associated with the in ability of the combined generation and transmission
system to operate below some load level. In their attempt to restore this load power,
transformer tap changers cause long-term voltage instability.
 While the most common form of voltage instability is the progressive drop of bus voltages,
the risk of overvoltage instability also exists and has been experienced at least on one
system. It is caused by a capacitive behaviour of the network (EHV transmission lines
operating below surge impedance loading) as well as by under excitation limiters
preventing generators and/or synchronous compensators from absorbing the excess
reactive.
 Voltage stability problems may also be experienced at the terminals of HVDC links used
for either long distance or back-to-back applications. They are usually associated with
HVDC links connected to weak ac systems and may occur at rectifier or inverter stations,
and are associated with the unfavourable reactive power “load” characteristics of the
converters. The angle between the two is known as the power angle or torque angle. During
the disturbance, rotor will decelerate or accelerate with respect to the synchronism rotating
air gap MMF, and the relative motion begins.
 If the oscillation, the rotor locks back into synchronism speed after the oscillation, the
generator will maintain its stability. If the disturbance does not involve any net changes in
the power,The HVDC link control strategies have a very significant influence on such
problems, since the active and reactive power at the ac/dc junction are determined by the
controls. If the resulting loading on the ac transmission stresses it beyond its capability,
voltage instability occurs. Such a phenomenon is relatively fast with the time frame of
interest being in the order of one second or less.
 Voltage instability may also be associated with converter transformer tap-changer controls,
which is a considerably slower phenomenon. Recent developments in HVDC technology
(voltage source converters and capacitor commutated converters) have significantly
increased the limits for stable operation of HVDC links in weak systems as compared with
the limits for line commutated converters. One form of voltage stability problem that results
in uncontrolled overvoltage is the self-excitation of synchronous machines.
GOVERNING CONTROL AND EXCITATION CONTROL FOR STABILITY OF POWER SYSTEM GCT DEE
SESSION 2014-2018 Page 15
Chapter 3
TRANSIENT STABILITY IN POWER SYSTEM
3.1 Transient Stability
Transient State Stability is the ability of the power system to maintain in stability after large, major
and sudden disturbances. For example are, occurrence of faults, sudden load changes, loss of
generating unit, line switching. Large disturbance do occur on the system. These include severe
lightning strikes, loss of transmission line carrying bulk power due to overloading. The transient
stability studies involve the determination of whether or not synchronism is maintained after the
machine has been subjected to severe disturbance.
Types of disturbances:-
i) Sudden application of load/sudden load changing
ii) Loss of generation
iii) Fault on the system
Each generator operates at the same synchronous speed and frequency of 50 hertz while a delicate
balance between the input mechanical power and output electrical power is maintained. Whenever
generation is less than the actual consumer load, the system frequency falls. On the other hand,
whenever the generation is more than the actual load, the system frequency rise. The generators are
also interconnected with each other and with the loads they supply via high voltage transmission
line. This may be sudden application of load, loss of generation, loss of large load.
A fault on the system. In most disturbances, oscillations are of such magnitude that linearization is
not permissible and the nonlinear swing equation must be solved. Any disturbance in the system
will cause the imbalance between the mechanical power input to the generator and electrical power
output of the generator to be affected. As a result, some of the generators will tend to speed up and
some will tend to slow down. If, for a particular generator, this tendency is too great, it will no
longer remain in synchronism with the rest of the system and will be automatically disconnected
from the system. This phenomenon is referred to as a generator going out of step.
GOVERNING CONTROL AND EXCITATION CONTROL FOR STABILITY OF POWER SYSTEM GCT DEE
SESSION 2014-2018 Page 16
Figure 3.1 :- Transient Stability Illustration
Transient stability is primarily concerned with the immediate effects of a transmission line
disturbance on generator synchronism. If the retarding torque is insufficient, the power angle will
continue to increase until synchronism with the power system is lost Power system stability
depends on the clearing time for a fault on the transmission system. If there is enough retarding
torque after fault clearing to make up for the acceleration during the fault, the generator will be
transiently stable on the first swing and will move back toward its operating point. Figure 3.1
illustrates the typical behavior of a generator in response to a fault condition. Starting from the
initial operating condition :-
a. A close-in transmission fault causes the generator electrical output power Pe to be
drastically reduced. The resultant difference between electrical power and the mechanical
turbine power causes the generator rotor to accelerate with respect to the system, increasing
the power angle.
b. When the fault is cleared, the electrical power is restored to a level corresponding to the
appropriate point on the power angle curve.
c. Clearing the fault necessarily removes one or more transmission elements from service and
at least temporarily weakens the transmission system. After clearing the fault, the electrical
power out of the generator becomes greater than the turbine power. This causes the unit to
decelerate.
GOVERNING CONTROL AND EXCITATION CONTROL FOR STABILITY OF POWER SYSTEM GCT DEE
SESSION 2014-2018 Page 17
Figure 3.2: Effect of fault clearing time
3.2 Swing Equation
Under normal operating condition, the relative position of the rotor axis and the resultant magnetic
field axis is fixed. The angle between the two is known as the power angle or torque angle. During
the disturbance, rotor will decelerate or accelerate with respect to the synchronism rotating air gap
MMF, and the relative motion begins. If the oscillation, the rotor locks back into synchronism
speed after the oscillation, the generator will maintain its stability. If the disturbance does not
involve any net changes in the power, the rotor returns to its original position. If the disturbance is
created by a changes in generation, load, or in network conditions, the rotor comes to a new
operating power angle relative to the synchronously revolving field. The acceleration power Pa and
the rotor angle δ is known as Swing Equation. Solution of swing equation will show how the rotor
angle changes with respect to time following a disturbance. The plot of δ vs time t is called the
Swing Curve. Once the swing curve is known, the stability of the system can be assessed.
Fig 3.3 :- The flow of mechanical and electrical power in a generator and motor
Consider a synchronous generator shown in figure 2.3 (a) developing an electromagnetic torque Te.
. It receives mechanical power Pm at the shaft torque Te running at the synchronous speed via shaft
from the prime-mover. It delivers
GOVERNING CONTROL AND EXCITATION CONTROL FOR STABILITY OF POWER SYSTEM GCT DEE
SESSION 2014-2018 Page 18
electrical power Pe to the power system network via the bus bars. If z is the driving Due to a
disturbance, an acceleration ( ) or decelerating ( ) torque on a rotor is
produced,
If is the combined moment of inertia of the prime mover and generator, neglecting frictional and
damping torque, from laws of rotation
Where is the angular displacement of the rotor with respect to stationary reference axis on the
rotor. The angular reference is chosen relative to a synchronously rotating reference frame moving
with constant angular velocity .
And the rotor acceleration is,
(3.4)
Substituting (3.4) into (3.3),
(3.5)
Multiplying (3.5) by , result in
Since angular velocity times torque is equal to the power, above equation can be write in terms of
power
The quantity is called the inertia constant and it is denoted by M. The swing equation in terms
of the inertia constant becomes
Where,
M = inertia constant, it is not really constant when the rotor speed deviates from the
synchronous speed.
Pm = Shaft mechanical power input, corrected for winding and friction losses.
Pe = Pa sin δ = electrical power output, corrected for electrical losses.
Pa = amplitude for the power angle curve.
δm = mechanical power angle.
GOVERNING CONTROL AND EXCITATION CONTROL FOR STABILITY OF POWER SYSTEM GCT DEE
SESSION 2014-2018 Page 19
Swing curve, which is the plot of torque angle δ vs time t, can be obtained by solving the swing
equation. Two typical swing curves are shown in figure
Fig 3.4: Swing curve
Swing curves are used to determine the stability of the system. If the rotor angle reaches a
maximum and then decreases, then it shows that the system has transient stability. On the other
hand if the rotor angle δ increases indefinitely, then it shows that the system is unstable.
3.2.1 Transfer Reactance
Assume that before the fault occurs, the power system is operating at some stable steady-state
operating condition. The power system transient stability problem is then defined as that of
assessing whether or not the system will reach an acceptable steady-state operating point following
the fault. The resulting angular difference transfers part of the load from the slow machine to the
fast machine, depending on the power-angle relationship.
Several of these applications have found their way into practice and logic methods have become an
important approach for practicing engineers to consider. Here, the focus is on the more general
concepts. The reader is referred to for a more detailed survey of the literature. as a general model of
uncertainty encountered in engineering systems. His approach emphasized modeling uncertainties
that arise commonly in human thought processes.
This tends to reduce the speed difference and hence the angular separation. The power-angle
relationship is highly nonlinear. Beyond a certain limit, an increase in angular separation is
accompanied by a decrease in power transfer such that the angular separation is increased further.
Sub transient period is normally very short compared to the period of the rotor swings. The effect
of the sub-transient phenomena on the electromechanical dynamics can be neglected. This allows
the generator classical model to be used to study the transient stability problem when the swings
equation is expressed as below.
GOVERNING CONTROL AND EXCITATION CONTROL FOR STABILITY OF POWER SYSTEM GCT DEE
SESSION 2014-2018 Page 20
During major fault, such as short circuit, the equivalent reactance X appearing will be subjected to
change so that
power output will also change and the power balance within the system will be disturbed. This will
result in energy transfers between the generators producing corresponding rotor oscillations.
Usually there are three states accompanying a disturbing with three, generally different, value of
reactance:
i. The pre-fault state when reactance
ii. The fault state when the reactance
iii. The post fault state when the reactance
3.3 Equal Area Criterion
The transient stability studies involve the determination of whether or not synchronism is
maintained after the machine has been subjected to sever disturbance. This may be sudden
application of load, loss of generation, loss of large load, or a fault on the system. In most
disturbances, oscillations are of such magnitude that linearization is not permissible and the
nonlinear swing equation must be solved. A method known as the equal-area criterion can be used
for a quick prediction of stability. This method is based on the graphical interpretation of the
energy stored in the rotating mass as an aid to determine if the machine maintains its stability after
a disturbance. The method is only applicable to a one-machine system connected to an infinite bus
or a two-machine system From the swing equation.
Where is the accelerating power From the above equation,
Multiplying both side by 2 , 2
Integrating both side,
GOVERNING CONTROL AND EXCITATION CONTROL FOR STABILITY OF POWER SYSTEM GCT DEE
SESSION 2014-2018 Page 21
OR
Equation gives the relative speed of the machine with respect to the synchronously revolving
reference frame. For stability, this speed must be zero at the sometime after the disturbance.
Therefore the stability criterion,
Consider the machine operating at the equilibrium point δ0, corresponding to the mechanical power
input Consider a sudden increase in input power represented by a horizontal line Pm.
Since . The acceleration power on the rotor is positive and the power angle increases.
The access energy stored in the rotor during the initial acceleration is, With increase in , the
electrical power increases and δ = δ1, the electrical power matches the new input power Pm1.
Even though the accelerating power is zero at this point, the rotor is running above synchronous speed;
hence δ and the electrical power Pe continue to increase. Now , causing the rotor
decelerates toward synchronous speed until . The energy given as the rotor decelerates
back to synchronous speed is,
Fig 3.5 :- equal area criterion
GOVERNING CONTROL AND EXCITATION CONTROL FOR STABILITY OF POWER SYSTEM GCT DEE
SESSION 2014-2018 Page 22
Chapter 4
CONTROL OF STABILITY
4.1 Governor Control
Governor is A device used to control the speed of a prime mover. A governor protects the prime
mover from overspeed and keeps the prime mover speed at or near the desired revolutions per
minute. The resulting angular difference transfers part of the load from the slow machine to the
fast machine, depending on the power-angle relationship. This tends to reduce the speed
difference and hence the angular separation. The power-angle relationship is highly nonlinear.
When a prime mover drives an alternator supplying electrical power at a given frequency, a
governor must be used to hold the prime mover at a speed that will yield this frequency. An
unloaded diesel engine will fly to pieces unless it is under governor control.
4.1.1 Load Frequency Control
1. Sense the bus bar frequency & power frequency
2. Difference fed to the integrator & to speed changer
3. Tie line frequency maintained constant
4.1.2 Economic Dispatch Control
1. When load distribution between a number of generator units considered optimum
schedule affected when increase at one replaces a decreases at other.
2. Optimum use of generators at each station at various load is known as economic
dispatch control.
4.1.3 Automatic Voltage Regulator
1. Regulate generator voltage and output power.
2. Terminal voltage & reactive power is also
4.1.4 Security Control
1. Monitoring & decision
2. Control
GOVERNING CONTROL AND EXCITATION CONTROL FOR STABILITY OF POWER SYSTEM GCT DEE
SESSION 2014-2018 Page 23
4.1.5 System Voltage Control
Control the voltage within the tolerable limits. Devices used are
1. Static VAR compensator
2. Synchronous condenser
3. Tap changing transformer
4. Switches
5. Capacitor
6. Reactor
4.1.6 Control
1. Proper commands are generated for correcting the abnormality in protecting
the system.
2. If no abnormality is observed, then the normal operation proceeds for next
interval.
3. Central controls are used to monitor the interconnected areas.
4. Inter connected areas can be tolerate larger load changes with smaller
frequency deviations.
5. Central control centre monitors information about frequency, generating unit
outputs and tie line power flows to interconnected areas.
6. This information is used by automation load frequency control in order to maintain
area frequency at its scheduled value.
4.1.7 Monitoring & Decision
1. Condition of the system continuously observed in the control centers by relays.
2. If any continuous severe problem occurs system is in abnormal condition.
3. It is an error sensing device in load frequency control.
It includes all the elements that are directly responsive to speed and influence other elements of the
system to initiate action. Instability is usually in the form of a periodic angular separation due to
insufficient synchronizing torque, manifesting as first swing instability. However, in large power
systems, transient instability may not always occur as first swing instability associated with a single
mode.
GOVERNING CONTROL AND EXCITATION CONTROL FOR STABILITY OF POWER SYSTEM GCT DEE
SESSION 2014-2018 Page 24
4.2 Governor
The power system is basically dependent upon the synchronous generator and its satisfactory
performance. The important control loops in the system are:
i. Frequency control.
ii. Automatic voltage control.
Frequency control is achieved through generator control mechanism. The governing systems for
thermal and hydro generating plants are different in nature since, the inertia of water that flows into
the turbine presents additional constrains which are not present with steam flow in a thermal plant.
However, the basic principle is still the same; i.e. the speed of the shaft is sensed and compared
with a reference, and the feedback signal is utilized to increase or decrease the power generated by
controlling the inlet valve to turbine of steam or water.
a. Speed Governing Mechanism The speed governing mechanism includes the following
parts.
i. Speed Governor:- It is an error sensing device in load frequency control. It includes all
the elements that are directly responsive to speed and influence other elements of the
system to initiate action.
ii. Governor Controlled Valves:- They control the input to the turbine and are actuated
by the speed control mechanism.
iii. Speed Control Mechanism:- It includes all equipment such as levers and
linkages,servomotors, amplifying devices and relays that are placed between the speed
governor and the governor controlled valves.
iv. Speed Changer:- It enables the speed governor system to adjust the speed of the
generator unit while in operation.
Fig 4.1 :- Circuit of Governer Mechanism
GOVERNING CONTROL AND EXCITATION CONTROL FOR STABILITY OF POWER SYSTEM GCT DEE
SESSION 2014-2018 Page 25
The pilot valve v operates to increase or decrease the opening of the steam inlet valve V. Let XB
and Xc be the changes in the position of the pilot valve v and control valve V responding to a
change in governor position. XA due to load. When the pilot valve is closed XB= 0 and Xc == 0,
(Le.,) the control valve is not completely closed, as the unit has to supply its no-load losses. Let be
the no-load angular speed of the turbine. As load is applied, the speed falls and through the
linkages the governor operates to move the piston P downwards along with points A and B. The
pilot valve v admits soil under n and lifts it up so that the input is increased and speed rise.
If the link Be is removed then the pilot valve comes to rest only when the speed returns to its
original value. An "isochronous" characteristic will be obtained with such an arrangement where
speed is restored to its preload. With the link Be, the steady state is reached at a speed slightly
lower than the no load speed giving a drooping characteristic for the governor system. A finite
value of the steady state speed regulation is obtained with this arrangement. For a given speed
changer position, the per unit steady state speed regulation is defined by Steady state speed
regulation = No-Nr/N
Where
N0 = Speed at no – load
Nr = Rated speed
N = Speed at rated load
The automatic voltage regulator circuit is used for voltage control .This bus bar voltage is stepped
down using a potential transformer to a small value of voltage. This is sent to the rectifier circuit
which converts Ac voltage into DC voltage and a filter circuit is used in this removes the
harmonics .The voltage V, thus rectified is compared with a reference voltage vref in the comparator
and a voltage error signal is generated .The amplified form of this voltage gives a condition for the
generator is stepped up using a transformer and fed to the bus bar. Thus the voltage is regulated and
controlled in the control loop circuit.
4.3 P-F Control Loop
Primary ALFC :- The circuit primarily controls the steam valve leading to the turbine .A speed
senses the speed of the turbine. This is compared with a reference speed, governor whose main
activity is to control the speed of the steam by closing and opening of the control valve ie if the
differential speed is low ,then the control valve is opened to let out the steam at high speed, thereby
increasing turbine’s speed and vice versa. The control of speed in turn controls the frequency.
GOVERNING CONTROL AND EXCITATION CONTROL FOR STABILITY OF POWER SYSTEM GCT DEE
SESSION 2014-2018 Page 26
Secondary ALFC:- The circuit involves a frequency sensor that senses the frequency of the bus
bar and compare it with tie line power frequencies in the signal mixer.The output of this is an area
control error which is sent to the speed changer through integrator .The speed changer gives the
reference speed to the governor. Integral controller is used to reduce the steady state frequency
change to zero. After this part of the circuit, is the introduction of the primary ALFC loop whose
function has already been described.
GOVERNING CONTROL AND EXCITATION CONTROL FOR STABILITY OF POWER SYSTEM GCT DEE
SESSION 2014-2018 Page 27
Chapter 5
METHODS OF PSS DESIGN
In this chapter we shall design and review different aspects and methods of PSS design, its
advantages, disadvantages and uses in field.
First, we discuss conventional methods of PSS design and then move onto more advanced methods
and recent developments.
The schematic below represents different methods of PSS design:-
POWER SYSTEM
STABILIZER
CONVENTIONAL NON-
METHODS CONVENTIONAL
ANALOG DIGITAL NON-LINEAR ADAPTIVE
LINEAR ANALOG DIGITAL ANALOG DIGITAL
Fig.5.1 Methods of PSS design
We will mainly focus on analog methods of PSS design which can be further divided into linear
and non-linear methods. Lack of sufficient synchronizing torque results in a periodic or no
oscillatory instability. Stable (steady) operation at low voltage may continue after transformer tap
changers reach their boost limit, with intentional and/or unintentional tripping of some load.
Remaining load tends to be voltage sensitive. The stability of the system depends on the initial
operating condition as well as the nature of the disturbance. whereas lack of damping torque results
in oscillatory instability. For convenience in analysis and for gaining useful insight into the nature
of stability problems.
GOVERNING CONTROL AND EXCITATION CONTROL FOR STABILITY OF POWER SYSTEM GCT DEE
SESSION 2014-2018 Page 28
5.1 Linear Methods
1. Pole-Placement Method
Controllers designed using simultaneous stabilization design have fixed gain constant to adaptive
controllers. The root locus technique can be utilized after designing gains separately to adjust the
gains by which only dominant modes are selected. In a more efficient manner the pole-placement
design was proposed in which participation factor were used to determine size and number of
stabilizers in a multi machine system.
2. Pole-Shifting Method
By this method system input-output relationship are continuously estimated form the measured
inputs and outputs and the gain setting of the self-tuning PID stabilizer was adjusted in addition to
this the real part of the complex open loop poles can be shifted to any desired location.
3. Linear Quadratic Regulation
This is proposed using differential geometric linearization approach . This stabilizer used
information at the secondary bus of the step-up transformer as the input signal to the internal
generator bus and the secondary bus is defined as the reference bus in place of an infinite bus.
4. Eigen Value Sensitivity Analysis
Based on second order Eigen-sensitivities an objective function can be utilized to carry out the co-
ordination between the power system stabilizer and FACTS device stabilizer. The objective
function can be solved by two methods the Levenberg-Marquardt method and a genetic algorithm
in face of various operating conditions.
5. Quantitative Feedback Theory
By simply retuning the PSS the conventional stabilizer performance can be extended to wide range
of operating and system conditions. The parametric uncertainty can be handled using the
Quantitative feedback Theory.
6. H2 Control
Application of H2 optimal adaptive control can be utilized for disturbance attenuation in the sense
of H2 norm for nonlinear systems and can be successful for the control of non-linear systems like
synchronous generators.
7. Sliding Mode Control
GOVERNING CONTROL AND EXCITATION CONTROL FOR STABILITY OF POWER SYSTEM GCT DEE
SESSION 2014-2018 Page 29
Due to the inexact cancellation of non-linear terms the exact input output linearization is difficult.
The sliding mode control makes the control design robust. The linearized system in controllable
canonical form can be controlled by the SMC method. The control objective is to choose the
control signal to make the output track the desired output.
8. Reduced Order Model
Through aggregation and perturbation reduced order model can be obtained but as it is based on open
loop plant matrix only the results cannot be accurate.
But with suitable analytical tools reduced order model can be optimized to obtain state variables
those are physically realizable and can be implemented with simple hard-wares.
5.2 Non-Linear Methods
1. Adaptive Control
Several adaptive methods have been suggested like Adaptive Automatic Method, Heuristic
Dynamic programming. In adaptive automatic method the lack of adaptability of the PSS to the
system operating changes can be overcome. Heuristic Dynamic programming combines the
concepts of dynamic programming and reinforcement learning in the design of non-linear optimal
PSS.
2. Genetic Algorithm
Genetic algorithm is independent of complexity of performance indices and suffices to specify the
objective function and to place the finite bounds on the optimized parameters. As a result it has
been used either to simultaneously tune multiple controllers in different operating conditions or to
enhance the power system stability via PSS and SVC based stabilizer when used independently and
through coordinated applications.
3. Particle Swarm Optimization
Unlike other heuristic techniques ,PSO has characteristics of simple concept, easy implementation,
computationally efficient , and has a flexible and well balanced mechanism to enhance the local
and global exploration abilities.
4. Fuzzy Logic
These controllers are model-free controllers. They do not require an exact mathematical model of
the control system. Several papers have been suggested for the systematic development of the PSS
GOVERNING CONTROL AND EXCITATION CONTROL FOR STABILITY OF POWER SYSTEM GCT DEE
SESSION 2014-2018 Page 30
using this method.
5. Neural Network
Extremely fast processing facility and the ability to realize complicated nonlinear mapping from
the input space to the outer space has put forward the Neural Network. The work on the application
of neural networks to the PSS design includes online tuning of conventional PSS parameters, the
implementation of inverse mode control, direct control, and indirect adaptive control.
6. Tabu Search
By using Tabu Search the computation of sensitivity factors and Eigen vectors can be avoided to
design a PSS for multi machine systems.
7. Simulated Annealing
It is derivative free optimization algorithm and to evaluate objective function no sensitivity analysis
is required.
8. Lyapunov Method
With the properly chosen control gains the Lyapunov Method shows that the system is
exponentially stable.
9. Dissipative Method
A framework based on the dissipative method concept can be used to design PSS which is based on
the concept of viewing the role of PSS as one of dissipating rotor energy and to quantify energy
dissipation using the system theory notation of passivity.
10. Phasor Measurement
An architecture using multi-site power system control using wide area information provided by
GPS based phasor measurement units can give a step wise development
11. Gain Scheduling Method
Due to the difficulty of obtaining a fixed set of feedback gains design of optimum gain scheduling
PSS is proposed to give satisfactory performance over wide range of operation. Beyond a certain
limit, an increase in angular separation is accompanied by a decrease in power transfer such that
the angular separation is increased further. A method known as the equal-area criterion can be used
GOVERNING CONTROL AND EXCITATION CONTROL FOR STABILITY OF POWER SYSTEM GCT DEE
SESSION 2014-2018 Page 31
for a quick prediction of stability. This method is based on the graphical interpretation of the
energy stored in the rotating mass as an aid to determine.
Small-disturbance rotor angle stability problem is usually associated with insufficient damping of
oscillations. The periodic instability problem has been largely eliminated by use of continuously
acting generator voltage regulators; however, this problem can still occur when generators operate
with constant excitation. Sub transient period is normally very short compared to the period of the
rotor swings. The effect of the sub-transient phenomena on the electromechanical dynamics can be
neglected. As time delay can make a control system to have less damping and eventually result in
loss of synchronism, a centralized wide area control design using system wide has been
investigated to enhance large interconnected power system dynamic performance. A gain
scheduling model was proposed to accommodate the time delay.
5.3 Design of Pss The Excitation System Model
The SIMULINK™
model of the single machine excitation system is given below:
Fig.5.2 SIMULINK model of the 1-machine infinite bus
The above SIMULINK model adapted from was used by us to design an optimum Voltage
regulator and the “power system stabilizer” using various design methods that we discuss later.
The Different Parts Of The Model Are Discussed As Follows
1. Vref
the reference voltage signal is a step voltage of 0.1 V. the final aim is to maintain the voltage at a
constant level without oscillations.
2. VOLTAGE REGULATOR (AVR)
GOVERNING CONTROL AND EXCITATION CONTROL FOR STABILITY OF POWER SYSTEM GCT DEE
SESSION 2014-2018 Page 32
The excitation of the alternator is varied by varying the main exciter output voltage which is varied
by the AVR. The actual AVR contains:
 Power magnetic amplifier
 Voltage correctors
 Bias circuit
 Feedback circuit
 Matching circuit etc.
For our simulations, we have utilized a
1. Proportional VR Kv(s) =Kp (10, 20, 30…)
2. PI VR Kv(s) = kpi =kp(1+ki/s)
3. Lag VR (compensator or filter)
4. Observer based controller VR (5th
order and 1st
order)
The effect of different types of control and different values of kp and ki on the AVR and the
overall power system has been shown in the simulated results.
3. POWER SYSTEM MODEL
As described in the previous section, we use a state space mode of the power system having 7 state
variables, 1input and 3 output variables.The details of the model are given in the previous.
4. WASHOUT FILTER
The output w is fed back through a sign inverter to the washout filter which is a high pass filter
having a dc gain of 0. This is provided to cut-out the PSS path when the steady state [1]. In our
simulation we take the filter as a transfer function model of
F(s) = (10s/10s+1)
5. TORSIONAL FILTER
This block filters out the high frequency oscillatins due to the torsional interactions of the
alternator. In our simulation, we take the transfer function model of this filter as Tor(s) =
(1/1+0.06s+0.0017s2
).
6. PSS
This is the main part of our design problem. The power system stabilizer takes input from the filter
outputs of the rotor speed variables and gives a stable output to the voltage regulator. The pss acts
as a damper to the oscillation of the synchronous machine rotor due to unstable operating
GOVERNING CONTROL AND EXCITATION CONTROL FOR STABILITY OF POWER SYSTEM GCT DEE
SESSION 2014-2018 Page 33
condition. This tends to reduce the speed difference and hence the angular separation. The power-
angle relationship is highly nonlinear.
Beyond a certain limit, an increase in angular separation is accompanied by a decrease in power
transfer such that the angular separation is increased further. It does this task by taking rotor speed
as input (with the swings in the rotor) and feeding a stabilized output to the voltage regulator. A
PSS is tuned by several methods to provide optimal damping for a stable operation. They are tuned
around a steady state operating point which we shall try to design.
5.4 Design Of Avr Or Pss Using Conventional Methods
In our model for the control of the single-machine excitation system, we have two aspects of design
namely:
a) Voltage regulator (AVR)
b) Power system stabilizer (PSS)
The power system stabilizer design performed by us has been grouped under three heads:
1. Root-Locus approach (Lead-Lead compensator)
2. Frequency response approach (Lead-Lead compensator)
3. State-Space approach (Observer based Controllers)
We now discuss each method in details; the steps involved, the results obtained and finally, give a
brief review on the merits and demerits of each method
5.4.1 Root Locus Method
The root locus design method of the PSS involves the following steps:
a) Design of AVR
We take a PI controller as the voltage regulator having the transfer function, V(s). that the design
specs: tr < 0.5 sec and Mp < 10% are satisfied. For this, we make a table of different Kr and Kp
values and their corresponding Tr and Mp values and choose the appropriate value as given in.
We get Kp=35 and Ki=0.6 which satisfy the above specifications.
The output Vterm for different values of Ki is plotted below in figure.
GOVERNING CONTROL AND EXCITATION CONTROL FOR STABILITY OF POWER SYSTEM GCT DEE
SESSION 2014-2018 Page 34
Fig.5.3 Step response for regulation loop for different Ki values.
b) Design of PSS
We close the VR loop with the above Kp and Ki and simulate the system response for a step input.
The above plot shows that the steady state error =0. Hence, the system is able to follow the step
input by introduction of the AVR; but due to the PI controller of the AVR, the swing mode
(dominant complex poles) becomes unstable and oscillations are introduced in the output Vterm.
Now, to reduce the oscillations, we have to introduce a feedback loop involving the swing in rotor
angular speed (∆ω) as input to the PSS loop.
Root Locus
25
20
15 X: -0.4801
Y: 9.332
10
Axis
5
Imaginary
0
-5
-10
-15
-20
-25
-25 -20 -15 Real
-
Axis
10
-5 0 5
Fig5.4 Root locus of PSS loop showing the dominant complex pole
GOVERNING CONTROL AND EXCITATION CONTROL FOR STABILITY OF POWER SYSTEM GCT DEE
SESSION 2014-2018 Page 35
We see that the dominant complex poles are at (-0.4801+9.332i, -0.4801-9.332i). Next, we find the
angle of departure (Φp) from the pole using MATLAB. We get Φp = 43.28. Based on this angle we
design the lead-lead compensator :
After the design we find that:
z= 3.5
p= 24
Kα= 13.8
K= 0.4
Next, we implement this PSS and close the loop and simulate the response. The root-locus plot of
the final PSS loop and the comparison of responses are given below:
Fig.5.5. Root-locus of the final PSS loop showing Φp 180º for dominant poles
GOVERNING CONTROL AND EXCITATION CONTROL FOR STABILITY OF POWER SYSTEM GCT DEE
SESSION 2014-2018 Page 36
Fig.5.6. Comparison of step response of uncompensated and compensated systems
5.4.2 Frequency Response Method
The frequency response design method involves the use of bode-diagrams to measure the phase
and gain margin of the system and compensating the phase by using lag controller for AVR and
lead controller for PSS. The design details are as below:
a) Design of the AVR
First, we plot and analyse the bode plot of the open-loop Power system. From this, we find that:
Gain margin Gm = 35dB
Phase margin Pm = inf.
DC gain= -2.57dB (0.74)
The design specs [1] require the DC gain > 200 (=46dB) and phase margin > 80º. Thus the required
gain Kc=10^((200+0.74)/20) = 269. Now, for the phase margin to be >80º, the new gain crossover
frequency = 5rad/sec. Thus the final AVR is:
V(s) = 35.
GOVERNING CONTROL AND EXCITATION CONTROL FOR STABILITY OF POWER SYSTEM GCT DEE
SESSION 2014-2018 Page 37
The frequency response of the uncompensated and the compensated system are shown below:
Fig.5.7. Comparison of frequency response with and without VR lo
Next, we implement this AVR in the SIMULINK model and get the step-response:
Fig.5.8. Step response of the lag compensat
GOVERNING CONTROL AND EXCITATION CONTROL FOR STABILITY OF POWER SYSTEM GCT DEE
SESSION 2014-2018 Page 38
b.) Design of PSS
As in case of the previous design method, we find that the introduction of the voltage regulator
eliminates the steady state error and makes the system much faster. But it also introduces low
frequency oscillations in the system. Hence we have to design the PSS loop taking input as the
perturbation in rotor angular speed (∆ω). First, we generate the state-space model from Vref to ω with
the regulation loop closed. we isolate the path Q(s)= effect of speed on electric torque due to machine
dynamics and find Aω matrix from the main matrix A. The resulting state-space model has input ∆ω
and output τ (balancing torque). Thus we get A33(5*5 matrix) , a32 (5*1 vector), a23(1*5 matrix).
We convert this state space model to transfer function and connect Q(s) to the torsional and washout
filters to get F(s). Then we plot and analyze the frequency response of F(s) from 1rad/sec to 100
rad/sec.
Phase at 2rad/sec = -37º
Phase at 20 rad/sec = -105º
As per the design specs , we have to increase this phase at 2 to 20 rad/sec from the above values to
approximately 0º to -15º, such that the feedback loop will add pure damping to the dominant poles.
Thu we require a lead compensator of the form:
Hence, maximum phase addition Φm is at 20 rad/sec =100º. This is too large for a single lead
compensator as shown in figure. below:
Fig.5.9. Maximum phase addition Φm vs alpha α
To give the required phase lag to the system at this crossover frequency, we take a lag-compensator as
the AVR, having transfer function. Now, the lag required at 5rad/sec is -18dB. Hence, 20 = -18, i.e.
GOVERNING CONTROL AND EXCITATION CONTROL FOR STABILITY OF POWER SYSTEM GCT DEE
SESSION 2014-2018 Page 39
β=8. We choose the corner frequency = 0.1 to make the system faster. So, z = 0.1. Hence, p=0.1/8 =
0.0125, Kl= 269/8 = 35. From the above figure, we see that for Φm>60º, α is too small. Hence we use
two identical lead-compensators in series. Thus for each compensator.
We need an additional phase of:
35º at 2 rad/sec
60º at 12 rad/sec
100º at 20 rad/sec
Φm=50º.
Kα=1/α = 7.5
Then we implement this PSS and close the loop and simulate the resultant model. We find the step
response and the rise time and maximum overshoot of the compensated system.
Below fig. shows the root locus plot of the damping loop and fig15. Shows the step-response of the
final system:
Fig. 5.10 Root locus plot of the PSS loop showing the dominant poles
5.4.3 State-Space Method
The state space design involves designing full state observers using pole placement to measure the
states and then designing the controller such that the closed loop poles lie in the desired place. As
GOVERNING CONTROL AND EXCITATION CONTROL FOR STABILITY OF POWER SYSTEM GCT DEE
SESSION 2014-2018 Page 40
before, we first design the voltage controller AVR such that the dominant pole is made faster by
placing it away from the jω axis. Then, we design the PSS to stabilize the oscillations due to the VR
loop by manipulating the swing mode (dominant poles). The details are given below:
Design of AVR
We first obtain the 1-input 1-output model of the power system as given in [1] from Vref to Vterm. Hence,
we get A1 (7*7 matrix), B1 (7*1 vector), C1 (1*7 matrix), and D1(1*1) as given in this text. We find the
open loop poles of this system:
(-114.33, -35.36, -26.72, -0.48±9.33j, -3.08, -0.1054).
Hence the dominant real pole is -0.1054. For the controller design, we have to make this dominant pole
faster and steady state error zero. We choose the shifted pole at -4.0+0.0j and leave the other poles
unchanged. Then, using MATLAB, we find the gain matrix Kc for the controller.
We shift it to: (-1.5 ± 9.33j), leaving all other poles unchanged. Using MATLAB, we get the
controller gain matrix Kc=acker (Ag, Bg, mod_poles). For the observer design, we choose the poles as
(-4.5 ± 9.33j) so that it decays faster. Ko=place (Ag', Cg', poles_obs)'.
Thus we get the 11
th
order observer-controller as:
Ao= A1-(Ko*C1) – (B1*Kc)
Bo= Ko
Co= Kc
Do= 0
Kc= acker(A1, B1, modified poles)
Next, we design the full-order observer to measure the states. We choose the observer dominant pole
such that it is far from the jw axis, hence it decays very fast. We take it to be -8.0+0.0j and leave
other poles unchanged. Again, using MATLAB, we find the observer gain matrix Ko.
Ko= place(A1', C1', modified poles)'
Finally we find the state space representation and the transfer function of the above designed
observer-controller as:
Ao= A1-(Ko*C1) – (B1*Kc) Bo= Ko
Co= Kc Do= 0
We show the step response of the system after implementing the 7th order VR and the 1
st
order VR
GOVERNING CONTROL AND EXCITATION CONTROL FOR STABILITY OF POWER SYSTEM GCT DEE
SESSION 2014-2018 Page 41
below in fig.
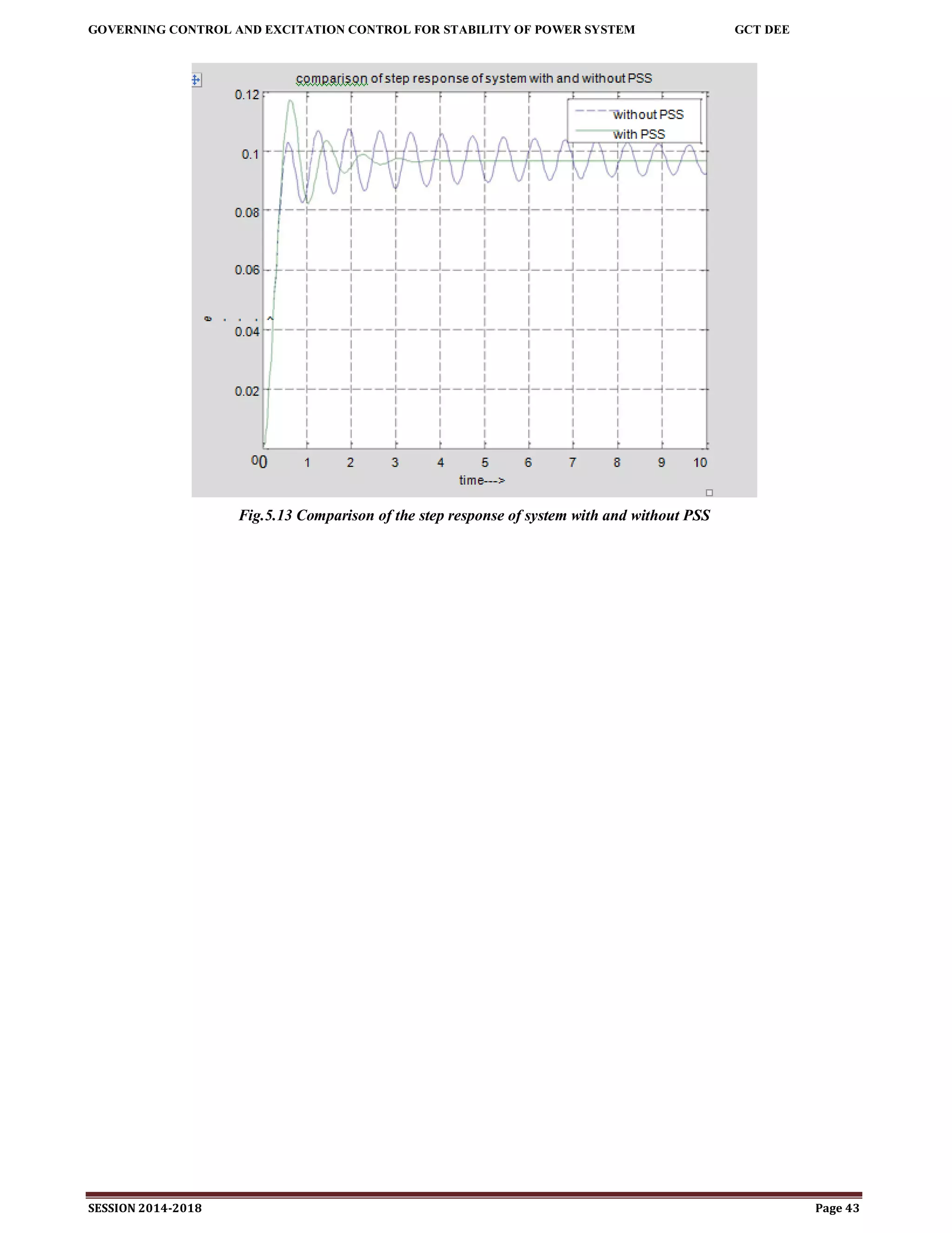
Fig.5.11. Step response comparison of 7th
order and 1st
order VR
We find that the step response is identical except that due to minimization of order, oscillations are
introduced in the 1
st
order VR. Hence, we design the damping (PSS) loop to stabilize the system.
Design of PSS
As mentioned above, use of the 1st
order AVR introduces oscillations in the system. Hence we design
the PSS loop. First we find the 1-input, 1-output model of the system from Vref to ωf, including the 1st
order VR designed previously. This is an 11th
order transfer function as given iin this text. Thus we get
the state space model Ag, Bg, Cg, Dg. From the root locus plot of this system, we find that the
dominant complex pole is at (-0.48 ± 9.33j).For the controller design, we have to shift the swing mode
to get a faster response. We shift it to: (-1.5 ± 9.33j), leaving all other poles unchanged. Using
MATLAB, we get the controller gain matrix Kc=acker (Ag, Bg, mod_poles).
Hence we have to design the PSS loop taking input as the perturbation in rotor angular speed (∆ω).
First, we generate the state-space model from Vref to ω with the regulation loop closed. we isolate the
path Q(s)= effect of speed on electric torque due to machine dynamics and find Aω matrix from the
main matrix A. For the observer design, we choose the poles as (-4.5 ± 9.33j) so that it decays faster.
Ko=place (Ag', Cg', poles_obs)'.
Thus we get the 11
th
order observer-controller as:
Ao= A1-(Ko*C1) – (B1*Kc)
GOVERNING CONTROL AND EXCITATION CONTROL FOR STABILITY OF POWER SYSTEM GCT DEE
SESSION 2014-2018 Page 42
Bo= Ko
Co= Kc
Do= 0
We incorporate these poles and zeros for the 5
th
order PSS After Implementing the PSS, we plot the
root locus of the damping loop as below:
Fig.5.12. Root locus plot of the damping (PSS) loop with 5th
order PSS implemented
From the previous root locus plot, we find that the 5
th
order PSS manifests a pure damping at the
dominant pole as the angle of departure is approximately= 180º. The gain for ζ=15% is found to be
0.7.
Finally, we implement the above design in the SIMULINK model and find the step response. It is
shown in fig. below:
GOVERNING CONTROL AND EXCITATION CONTROL FOR STABILITY OF POWER SYSTEM GCT DEE
SESSION 2014-2018 Page 43
Fig.5.13 Comparison of the step response of system with and without PSS
GOVERNING CONTROL AND EXCITATION CONTROL FOR STABILITY OF POWER SYSTEM GCT DEE
SESSION 2014-2018 Page 44
Chapter 6
FUZZY SYSTEMS APPLICATIONS
6.1 Introduction
The purpose of this chapter of the short-course is to overview the relevance of fuzzy techniques to
power system problems, to provide some specific example applications and to provide a brief survey
of fuzzy set applications in power systems. Fuzzy mathematics is a broad field touching on nearly all
traditional mathematical areas, the ideas presented in this discussion are intended to be representative
of the more straightforward application of these techniques in power systems to date. Fuzzy logic
technology has achieved impressive success in diverse engineering applications ranging from mass
market consumer products to sophisticated decision and control problems.
Applications within power systems are extensive with more than 100 archival publications in a 1995
survey. Several of these applications have found their way into practice and fuzzy logic methods have
become an important approach for practicing engineers to consider. Here, the focus is on the more
general concepts. The reader is referred to for a more detailed survey of the literature. As a result,
some of the generators will tend to speed up and some will tend to slow down. it has been used mostly
to denote small-disturbance stability in the presence of automatic controls (particularly, the generation
excitation controls) as distinct from the classical “steady-state stability” with no generator controls,
They are usually associated with HVDC links connected to weak ac systems and may occur at rectifier
or inverter stations, and are associated with the unfavourable reactive power “load” characteristics of
the converters.
The HVDC link control strategies have a very significant influence on such problems, since the active
and reactive power at the ac/dc junction are determined by the controls. In the European literature, it
has been used to denote transient stability. Since much confusion has resulted from the use of the term
dynamic stability, we recommend against its usage, as did the previous IEEE and CIGRE Task Forces.
as a general model of uncertainty encountered in engineering systems. His approach emphasized
modeling uncertainties that arise commonly in human thought processes. Bellman and Zadeh write:
“Much of the decision-making in the real world takes place in an environment in which the goals, the
constraints and the consequences of possible actions are not known precisely”. Fuzzy sets began as a
generalization of conventional set theory.
GOVERNING CONTROL AND EXCITATION CONTROL FOR STABILITY OF POWER SYSTEM GCT DEE
SESSION 2014-2018 Page 45
Partially as result of this fact, fuzzy logic remained the purview of highly specialized technical journals
for many years. This changed with the highly visible success of numerous control applications in the
late 1980s. Although fuzzy mathematics arose and developed from the systems area, it perhaps belongs
best to in the realm of Artificial Intelligence (AI) techniques as an interesting form of knowledge
representation. Still, the primary development of fuzzy techniques has been outside the mainstream AI
community. Uncertainty in fuzzy logic typically arises in the form of vagueness and/or conflicts,
which are not represented naturally within the probabilistic framework. To be sure, uncertainty in
reasoning may arise in a variety of ways. Consider the most common sort of discourse about a system
among experts, and say to be more specific, a statement relevant to contaminants in the insulating oil
of high voltage transformers.
The moisture level in the oil is high. While this is a vague statement that does not indicate an exact
measurement of the moisture, it does convey information. In fact, one might argue that this conveys
more information than merely the actual moisture measurement since the qualifier “high” provides an
assessment of the oil condition. Clearly, such a statement contains uncertainty, that is, the moisture
level, the severity of the high reading, the implication of such moisture content, and so on, are all
imprecise and may require clarification. Fuzzy sets emphasize the importance of modelling such
uncertainty. With some effort, traditional probabilistic methods can be adapted to these problems.
Still, researchers in the fuzzy set area have found that this is not usually an effective approach. To
begin, the fuzzy set approach poses new views of systems that has resulted in such novel applications
as fuzzy logic control.
More importantly, fuzzy sets create a framework for modeling that does not exist under probability.
Less formal methods, such as, certainty factors do not allow for as systematic as an approach. Still,
there remains controversy among researchers about the need for fuzzy mathematics and As power
systems have evolved through continuing growth in interconnections, use of new technologies and
controls, and the increased operation in highly stressed conditions, different forms of system instability
have emerged. a variety of techniques have arisen in both the Systems and Control community and the
AI community to address similar problems. This paper will sidestep such controversy but it is worth
noting the large number of successful applications of fuzzy logic and while subsequent developments
may lead to different techniques, fuzzy logic has already played an important role in bringing this class
of problems to light.
GOVERNING CONTROL AND EXCITATION CONTROL FOR STABILITY OF POWER SYSTEM GCT DEE
SESSION 2014-2018 Page 46
To begin with some generalities, some of the most useful capabilities and features provided by
modelling in fuzzy set approaches are:
 Representation methods for natural language statements.
 Models of uncertainty where statistics are unavailable or imprecise, as in say, intervals of
probability.
 Information models of subjective statements (e.g., the fuzzy measures of belief and possibility).
 Measures of the quality of subjective statements (e.g., the fuzzy information measures of
vagueness and confusion).
 Integration between logical and numerical methods.
 Models for soft constraints.
 Models for resolving multiple conflicting objectives.
 Strong mathematical foundation for manipulation of the above representations.
Uncertainty arises in many ways within power system problems. Historically, uncertainty has been
modeled based on randomness, as in, stochastic models for random load variations, noise in
measurements for state estimation, fluctuations in model parameters, and so on. In practice,
uncertainty certainly arises from the knowledge of the system performance and goals of operation as
well. Clearly, the objectives in most decision problems are subjective. For example, the relative
importance of cost versus reliability is not precise. The underlying models of the system also exhibit
uncertainty through approximations arising from, linearized models and other modeling
approximations, parameter variations, costs and pricing, and so on. Heuristics, intuition, experience,
and linguistic descriptions are obviously important to power engineers. The power system is a highly
nonlinear system that operates in a constantly changing environment; loads, generator outputs and key
operating parameters change continually.
As power systems have evolved through continuing growth in interconnections, use of new
technologies and controls, and the increased operation in highly stressed conditions, different forms of
system instability have emerged. For example, voltage stability, frequency stability and interarea
oscillations have become greater concerns than in the past. The resulting angular difference transfers
part of the load from the slow machine to the fast machine, depending on the power-angle relationship.
This tends to reduce the speed difference and hence the angular separation. The power-angle
relationship is highly nonlinear. Virtually any practical engineering problem requires some
“imprecision” in the problem formulation and subsequent analysis.
GOVERNING CONTROL AND EXCITATION CONTROL FOR STABILITY OF POWER SYSTEM GCT DEE
SESSION 2014-2018 Page 47
For example, distribution system planners rely on spatial load forecasting simulation programs to
provide information for a various planning scenarios Linguistic descriptions of growth patterns, such
as, fast development, and design objectives, such as, reduce losses, are imprecise in nature. The
conventional engineering formulations do not capture such linguistic and heuristic knowledge in an
effective manner. Subjective assessments of the above uncertainties are needed to reach a decision.
These uncertainties can be broadly separated into two groups:
i. Measurements and models of the system.
ii. Constraints and objectives arising from the decision-making process.
6.2 Fuzzy Logic Applications
Fuzzy sets have been applied to many areas of power systems. Table 3 is a list of the more common
application areas. This section discusses the applications based on the particular fuzzy method used.
There are essentially three groups of applications: rule-based systems with fuzzy logic, fuzzy logic
controllers and fuzzy decision systems.
6.2.1 Rule-Based Fuzzy Systems
The most common application of fuzzy set techniques lies within the realm of rule-based systems.
Here, uncertainties are associated with each rule in the rule-base. For example, consider a transformer
diagnostics problem where dissolved gas concentrations indicate incipient faults. A sample statement
as earlier for transformer diagnostics might be A high level of hydrogen in the insulating oil of a
transformer often indicates arcing. The simplifications of the system model and subjectivity of the
objectives may often be represented as uncertainties in the fuzzy model. Consider optimal power flow.
It depends on the ability to maintain/restore equilibrium between load demand and load supply from
the power system. The two uncertainties to be modeled are “often” and “high,” which are most easily
represented as a fuzzy measure and fuzzy set, respectively.
Strict mathematical methods have been developed for manipulating the numerical values associated
with such uncertainty. Note equipment diagnostics tend to be a particularly attractive area for
application since developing precise numerical models for failure modes is usually not practical. It is
difficult to know just how many rule-based systems in power systems employ fuzzy logic techniques
as many development tools have built in mechanisms.
GOVERNING CONTROL AND EXCITATION CONTROL FOR STABILITY OF POWER SYSTEM GCT DEE
SESSION 2014-2018 Page 48
6.2.2 Fuzzy Controllers
The traditional control design paradigm is to form a system model and develop control laws from
analysis of this model. The controller may be modified based on results of testing and experience. Due
to difficulties of analysis, many such controllers are linear. The fuzzy controller approach is to
somewhat reversed. General control rules that are relevant to a particular system based on experience
are introduced and analysis or modeling considerations come later.
For example, consider the following general control law for a positioning system. This rule
implements a control concept for anticipating the desired position and reducing the control level before
the set point is reached in order to avoid overshoot. The quantities “small” and “large” are fuzzy
quantities. the inertia of water that flows into the turbine presents additional constrains which are not
present with steam flow in a thermal plant. However, the basic principle is still the same; i.e. the speed
of the shaft is sensed and compared with a reference, and the feedback signal is utilized to increase or
decreaseA full control design requires developing a set of control rules based on available inputs and
designing a method of combining all rule conclusions. The precise fuzzy membership functions
depend on the valid range of inputs and the general response characteristics of the system. Within
power systems, fuzzy logic controllers have been proposed primarily for stabilization control
6.3 Fuzzy Decision-Making And Optimization
The broadest class of problems within power system planning and operation is decision-making and
optimization, which includes transmission planning, security analysis, optimal power flow, state
estimation, and unit commitment, among others. These general areas have received great attention in
the research community with some notable successes; however, most utilities still rely more heavily on
experts than on sophisticated optimization algorithms. The problem arises from attempting to fit
practical problems into rigid models of the system that can be optimized. This results in reduction in
information either in the form of simplified constraints or objectives.
The simplifications of the system model and subjectivity of the objectives may often be represented as
uncertainties in the fuzzy model. Consider optimal power flow. It depends on the ability to
maintain/restore equilibrium between load demand and load supply from the power system. Instability
that may result occurs in the form of a progressive fall or rise of voltages of some buses.
GOVERNING CONTROL AND EXCITATION CONTROL FOR STABILITY OF POWER SYSTEM GCT DEE
SESSION 2014-2018 Page 49
A possible outcome of voltage instability is loss of load in an area, or tripping of transmission lines
and other elements by their protective systems leading to cascading outages. Loss of synchronism of
some generators may result from these outages or from operating conditions that violate field current
limit. Progressive drop in bus voltages can also be associated with rotor angle instability. Objectives
could be cost minimization, minimal control adjustments, minimal emission of pollutants or
maximization of adequate security margins. Physical constraints must include generator and load bus
voltage levels, line flow limits and reserve margins.
In practice, none of these constraints or objectives are well-defined. Still, a compromise is needed
among these various considerations in order to achieve an acceptable solution. Fuzzy mathematics
provides a mathematical framework for these considerations. The applications in this category are an
attempt to model such compromises.

report on the Governing control and excitation control for stability of power system

  • 1.
    GOVERNING CONTROL ANDEXCITATION CONTROL FOR STABILITY OF POWER SYSTEM GCT DEE SESSION 2014-2018 Page 1 Chapter 1 INTRODUCTION Power system stability issue has been studied widely. Many significant contributions have been made, not only in the aspects of analyzing and explaining the dynamic phenomena, but also in the efforts of improving the stability of transmission systems. Among these techniques, generator control is one of the most widely applied in the power industry. This typically includes governing and excitation control. Most attention is directed toward the excitation control. Most of excitation controls are based on SISO-PID control, MIMO linear control, optimal linear and non-linear control, and intelligent control, such as applications of neural network and fuzzy logic and hybrid of these two i.e. neuro-fuzzy systems. In this piece of research work, coordination of governing control and excitation control using neuro-fuzzy. In the field power plant engineering fuzzy set theory is applied in system control, planning and load scheduling. Neuro-fuzzy controller is applied to a single machine infinite bus system. A 3-phase fault is used as an example of system disturbances. SIMULINK simulation model is built to study the dynamic behavior of synchronous machine and the performance of proposed controller. The neural network has also been applied in power system control by developing neural controllers. Fuzzy logic has also been applied to design power system stabilizers. Governing system behavior is neglected in the design of excitation control. Part of the reason is the slow response of governing systems compared with exciting system. 1.1 Neuro-Fuzzy Control Design The basic dynamic behavior of a generator can be shown using a simple single machine to infinite bus system. In proposed study, the control scheme was designed for the single generator. The governing control is a traditional PID Control, which is similar to International Journal of Electrical and Electronics Engineering (IEEE). The excitation control is a ANFIS architecture. The fuzzification of input parameters i.e. incremental angular speed, power and terminal voltage respectively. The output parameters i.e. source voltage and command signal respectively. ANFIS is an adaptive neuro-fuzzy inference system applied in power system. The output power Pe , speed, terminal voltage Vt and the exciting field voltage E fd of synchronous machine are introduced as feedbacks in the excitation control.
  • 2.
    GOVERNING CONTROL ANDEXCITATION CONTROL FOR STABILITY OF POWER SYSTEM GCT DEE SESSION 2014-2018 Page 2 1.2 History The reliability of a system can be determined on the basis of tests or the acquisition of operational data. However, due to the uncertainty and inaccuracy of this data, the estimation of precise values of probabilities is very difficult in many systems (e.g. power system, electrical machine, hardware etc., Hammer (2001), El-Hawary (2000). The basis for this approach is constituted by the fundamental works on fuzzy set theory of Zadeh (1978), Dubois and Prade (1980), Zimmerman (1986) and other. The theory of fuzzy reliability was proposed and development by several authors, Cai, Wen and Zhang (1991, 1993); Cai (1996); Chen, Mon (1993); Hammer (2001); El-Hawary (2000), Onisawa, Kacprzyk (1995); Utkin, Gurov (1995). The recent collection of papers by Onisawa and Kacprzyk(1995), gave 654 I.M. ALIEV, Z. KARA many different approach for fuzzy reliability. According to Cai, Wen and Zhang (1991, 1993); Cai (1996) various form of fuzzy reliability theories, including profust reliability theory Dobois, Prade (1980); Cai, Wen and Zhang (1993); Cai (1996); Chen, Mon (1993); Hammer (2001); El -Hawary (2000); Utkin, Gurov(1995), posbist reliability theory, Cai, Wen and Zhang (1991, 1993) and posfust reliability theory, can be considered by taking new assumptions, such as the possibility assumption, or the fuzzy state assumption, in place of the probability assumption or the binary state assumption. Chen analyzed the fuzzy system reliability using vague set theory. The values of the membership and non-membership of an element, in a vague set, are represented by a real number in. Cai, Wen and Zhang (1993) presented a fuzzy set based approach to failure rate and reliability analysis, where profust failure rate is defined in the context of statistics. El-Nawary (2000) presented models for fuzzy power system reliability analysis, where the failure rate of a system is represented by a triangular fuzzy number. The work of Jerry M.Mendel and Feilong Liu (2007) on Super-Exponential Convergence of the Karnik–Mendel Algorithms for Computing the Centroid of an Interval Type-2 Fuzzy Set is a well- recognized work in the field. Design of Interval Type-2 Fuzzy Logic Based Power System Stabilizer (Imam Robandi, and Bedy Kharisma 2008) has sufficient materials as a reference work. Juan R. Castro and Oscar Castillo (2007) worked on Interval Type -2 Fuzzy Logic for Intelligent Control Applications. Also Jerry M. Mendel and Robert I.Bob John (2002) presented, how Type-2 Fuzzy Sets Made Simple. Mamdani ( 1974) developed the method to apply the fuzzy algorithm for simple control of dynamic plant.
  • 3.
    GOVERNING CONTROL ANDEXCITATION CONTROL FOR STABILITY OF POWER SYSTEM GCT DEE SESSION 2014-2018 Page 3 Qureshi (2003) published his work on power system reliability problems, control problems and protection problems. Qureshi (2004) in his Ph.D. thesis took the project work of Reliability of nuclear plants using fuzzy logic transformation. R.R.Yager(2000) reported a valuable information on fuzzy subsets of type-2 in decision. N.N.Karnik and J.M. Mendel worked on interval type-2 fuzzy logic systems and reported his findings in IEEE Transactions, fuzzy systems.
  • 4.
    GOVERNING CONTROL ANDEXCITATION CONTROL FOR STABILITY OF POWER SYSTEM GCT DEE SESSION 2014-2018 Page 4 Chapter 2 POWER SYSTEM STABILITY 2.1 About Power System Stability POWER system stability has been recognized as an important problem for secure system operation since the 1920s. Many major blackouts caused by power system instability have illustrated the importance of this phenomenon. Historically, transient instability has been the dominant stability problem on most systems, and has been the focus of much of the industry’s Attention concerning system stability. As power systems have evolved through continuing growth in interconnections, use of new technologies and controls, and the increased operation in highly stressed conditions, different forms of system instability have emerged. For example, voltage stability, frequency stability and interarea oscillations have become greater concerns than in the past. This has created a need to review the definition and classification of power system stability. A clear understanding of different types of instability and how they are interrelated is essential for the satisfactory design and operation of power systems. As well, consistent use of terminology is required for developing system design and operating criteria, standard analytical tools, and study procedures. The problem of defining and classifying power system stability is an old one, and there have been several previous reports on the subject by CIGRE and IEEE Task Forces. These, however, do not completely reflect current industry needs, experiences, and understanding. In particular, definitions are not precise and the classifications do not encompass all practical instability scenarios. Our objectives are to:  Provide a systematic basis for classifying power system stability, identifying and defining different categories, and providing a broad picture of the phenomena. Discuss linkages to related issues such as power system reliability and security. Power system stability is similar to the stability of any dynamic system, and has fundamental mathematical underpinnings. Precise definitions of stability can be found in the literature dealing with the rigorous mathematical theory of stability of dynamic systems.  Our intent here is to provide a physically motivated definition of power system stability which in broad terms conforms to precise mathematical definitions. The report is organized as follows.
  • 5.
    GOVERNING CONTROL ANDEXCITATION CONTROL FOR STABILITY OF POWER SYSTEM GCT DEE SESSION 2014-2018 Page 5  Define power system stability more precisely, inclusive of all forms.  In section II The definition of Power System Stability is provided. A detailed discussion and elaboration of the definition are presented. The conformance of this definition with the system theoretic definitions is established.  Section III provides a detailed classification of power system stability.  In Section IV of the report there relationship between the concepts of power system reliability, security, and stability is discussed. A description of how these terms have been defined and used in practice is also provided.  Finally, in Section V definitions and concepts of stability from mathematics and control theory are reviewed to provide background information concerning stability of dynamic systems in general and to establish theoretical connections. The analytical definitions presented in Section V constitute a key aspect of the report. They provide the mathematical underpinnings and bases for the definitions provided in the earlier sections. It is also typically assumed that distributed nature of some elements of a power system (e.g., transmission lines) can be approximated with lumped parameter models without a major loss of model fidelity. 2.2 Definition of Power System Stability In this section, we provide a formal definition of power system stability. The intent is to provide a physically based definition which, while conforming to definitions from system theory, is easily understood and readily applied by power system engineering practitioners. A. Proposed Definition Power system stability is the ability of an electric power system, for a given initial operating condition, the system must be able to adjust to the changing conditions and operate satisfactorily. It must also be able to survive numerous disturbances of a severe nature, A stable equilibrium set thus has a finite region of attraction; the larger the region, the more robust the system with respect to large disturbances. The region of attraction changes with the operating condition of the power system. such as a short circuit on a transmission line or loss of a large generator. A large disturbance may lead to structural changes due to the isolation of the faulted elements. To regain a state of operating equilibrium after being subjected to a physical disturbance, with most system variables bounded so that practically the entire system remains intact.
  • 6.
    GOVERNING CONTROL ANDEXCITATION CONTROL FOR STABILITY OF POWER SYSTEM GCT DEE SESSION 2014-2018 Page 6 B. Discussion and Elaboration The definition applies to an interconnected power system as a whole. Often, however, the stability of a particular generator or group of generators is also of interest. A remote generator may lose stability (synchronism) without cascading instability of the main system. Similarly, stability of particular loads or load areas may be of interest; motors may lose stability (run down and stall) without cascading instability of the main system. The power system is a highly nonlinear system that operates in a constantly changing environment; loads, generator outputs and key operating parameters change continually. When subjected to a disturbance, the stability of the system depends on the initial operating condition as well as the nature of the disturbance. Stability of an electric power system is thus a property of the system motion around an equilibrium set, i.e., the initial operating condition. In an equilibrium set, the various opposing forces that exist in the system are equal instantaneously (as in the case of equilibrium points) or over a cycle (as in the case of slow cyclical variations due to continuous small fluctuations in loads or a periodic attractors). Power systems are subjected to a wide range of disturbances, small and large. Small disturbances in the form of load changes occur continually; the system must be able to adjust to the changing conditions and operate satisfactorily. It must also be able to survive numerous disturbances of a severe nature, such as a short circuit on a transmission line or loss of a large generator. A large disturbance may lead to structural changes due to the isolation of the faulted elements. At an equilibrium set, a power system may be stable for a given (large) physical disturbance, and unstable for another. It is impractical and uneconomical to design power systems to be stable for every possible disturbance. The design contingencies are selected on the basis they have a reasonably high probability of occurrence. Hence, large-disturbance stability always refers to a specified disturbance scenario. Most of excitation controls are based on SISO-PID control, MIMO linear control, optimal linear and non-linear control, and intelligent control, such as applications of neural network and fuzzy logic and hybrid of these two i.e. neuro-fuzzy systems. In this piece of research work, coordination of governing control and excitation control using neuro-fuzzy. A stable equilibrium set thus has a finite region of attraction; the larger the region, the more robust the system with respect to large disturbances. The region of attraction changes with the operating condition of the power system. The response of the power system to a disturbance may involve much of the equipment. For instance, a fault on a critical element followed by its isolation by protective relays will cause variations in power flows, network bus voltages, and machine rotor speeds.
  • 7.
    GOVERNING CONTROL ANDEXCITATION CONTROL FOR STABILITY OF POWER SYSTEM GCT DEE SESSION 2014-2018 Page 7 The voltage variations will actuate both generator and transmission network voltage regulators; the generator speed variations will actuate prime mover governors. The voltage and frequency variations will affect the system loads to varying degrees depending on their individual characteristics. Further, devices used to protect individual equipment may respond to variations in system variables and cause tripping of the equipment, thereby weakening the system and possibly leading to system instability. If following a disturbance the power system is stable, it will reach a new equilibrium state with the system integrity preserved i.e., with practically all generators and loads connected through a single contiguous transmission system. Some generators and loads may be disconnected by the isolation of faulted elements or intentional tripping to preserve the continuity of operation of bulk of the system. Interconnected systems, for certain severe disturbances, may also be intentionally split into two or more “islands” to preserve as much of the generation and load as possible. The actions of automatic controls and possibly human operators will eventually restore the system to normal state.On the other hand, if the system is unstable, it will result in a run-away or run-down situation; for example, a progressive increase in angular separation of generator rotors, or a progressive decrease in bus voltages. An unstable system condition could lead to cascading outages and a shutdown of a major portion of the power system. Power systems are continually experiencing fluctuations of small magnitudes. However, for assessing stability when subjected to a specified disturbance, it is usually valid to assume that the system is initially in a true steady-state operating condition. C. Conformance With System Theoretic Definitions In Section II-A, we have formulated the definition by considering a given operating condition and the system being subjected to a physical disturbance. Under these conditions we require the system to either regain a new state of operating equilibrium or return to the original operating condition (if no topological changes occurred in the system). These requirements are directly correlated to the system-theoretic definition of asymptotic stability given in Section V-C-I. It should be recognized here that this definition requires the equilibrium to be A.) Stable in the sense of Lyapunov, i.e., all initial conditions starting in a small spherical neighbourhood of radius result in the system trajectory remaining in a cylinder of radius for all time the initial time which corresponds to all of the system state variables being bounded.
  • 8.
    GOVERNING CONTROL ANDEXCITATION CONTROL FOR STABILITY OF POWER SYSTEM GCT DEE SESSION 2014-2018 Page 8 B.) At time the system trajectory approaches the equilibrium point which corresponds to the equilibrium point being attractive. As a result, one observes that the analytical definition directly correlates to the expected behaviour in a physical system. 2.3 Classification of Power System Stability A typical modern power system is a high-order multivariable process whose dynamic response is influenced by a wide array of devices with different characteristics and response rates. Stability is a condition of equilibrium between opposing forces. The power system is a highly nonlinear system that operates in a constantly changing environment; loads, generator outputs and key operating parameters change continually. As power systems have evolved through continuing growth in interconnections, use of new technologies and controls, and the increased operation in highly stressed conditions, different forms of system instability have emerged. For example, voltage stability, frequency stability and interarea oscillations have become greater concerns than in the past. The resulting angular difference transfers part of the load from the slow machine to the fast machine, depending on the power-angle relationship. This tends to reduce the speed difference and hence the angular separation. The power-angle relationship is highly nonlinear. Beyond a certain limit, an increase in angular separation is accompanied by a decrease in power transfer such that the angular separation is increased further.When subjected to a disturbance. It is the process by which the sequence of events accompanying voltage instability leads to a blackout or abnormally low voltages in a significant part of the power system. Stable (steady) operation at low voltage may continue after transformer tap changers reach their boost limit, with intentional and/or unintentional tripping of some load. Remaining load tends to be voltage sensitive. The stability of the system depends on the initial operating condition as well as the nature of the disturbance. As power systems have evolved through continuing growth in interconnections, use of new technologies and controls, and the increased operation in highly stressed conditions, different forms of system instability have emerged. For example, voltage stability, frequency stability and interarea oscillations have become greater concerns than in the past. Depending on the network topology, system operating condition and the form of disturbance, different sets of opposing forces may experience sustained imbalance leading to different forms of instability. In this section, we provide a systematic basis for classification of power system stability.
  • 9.
    GOVERNING CONTROL ANDEXCITATION CONTROL FOR STABILITY OF POWER SYSTEM GCT DEE SESSION 2014-2018 Page 9 A.) Need for Classification Power system stability is essentially a single problem; however, the various forms of instabilities that a power system may undergo cannot be properly understood and effectively dealt with by treating it as such. Because of high dimensionality and complexity of stability problems, it helps to make simplifying assumptions to analyze specific types of problems using an appropriate degree of detail of system representation and appropriate analytical techniques. Analysis of stability, including identifying key factors that contribute to instability and devising methods of improving stable operation, is greatly facilitated by classification of stability into appropriate categories. Classification, therefore, is essential for meaningful practical analysis and resolution of power system stability problems. As discussed in Section V-C-I, such classification is entirely justified theoretically by the concept of partial stability. B.) Categories of Stability The classification of power system stability proposed here is based on the following considerations...  The physical nature of the resulting mode of instability as indicated by the main system variable in which instability can be observed.  The size of the disturbance considered which influences the method of calculation and prediction of stability.  The devices, processes, and the time span that must be taken into consideration in order to assess stability. 2.3.1 Rotor Angle Stability Rotor angle stability refers to the ability of synchronous machines of an interconnected power system to remain in synchronism after being subjected to a disturbance. It depends on the ability to maintain/restore equilibrium between electromagnetic torque and mechanical torque of each synchronous machine in the system. Instability that may result occurs in the form of increasing angular swings of some generators leading to their loss of synchronism with other generators. The rotor angle stability problem involves the study of the Electro mechanical oscillations inherent in power systems. The stability of the system depends on the initial operating condition as well as the nature of the disturbance. As power systems have evolved through continuing growth in interconnections, use of new technologies.
  • 10.
    GOVERNING CONTROL ANDEXCITATION CONTROL FOR STABILITY OF POWER SYSTEM GCT DEE SESSION 2014-2018 Page 10 A fundamental factor in this problem is the manner in which the power outputs of synchronous machines vary as their rotor angles change. Under steady-state conditions, there is equilibrium between the input mechanical torque and the output electromagnetic torque of each generator, and the speed remains constant. If the system is perturbed, this equilibrium is upset, resulting in acceleration or deceleration of the rotors of the machines according to the laws of motion of a rotating body. If one generator temporarily runs faster than another, the angular position of its rotor relative to that of the slower machine will advance. The resulting angular difference transfers part of the load from the slow machine to the fast machine, depending on the power-angle relationship. This tends to reduce the speed difference and hence the angular separation. The power-angle relationship is highly nonlinear. Beyond a certain limit, an increase in angular separation is accompanied by a decrease in power transfer such that the angular separation is increased further. Instability results if the system cannot absorb the kinetic energy corresponding to these rotor speed differences. For any given situation, the stability of the system depends on whether or not the deviations in angular positions of the rotors result in sufficient restoring torques. Loss of synchronism can occur between one machine and the rest of the system, or between groups of machines, with synchronism maintained within each group after separating from each other. The change in electromagnetic torque of a synchronous machine following a perturbation can be resolved into two components:  Synchronizing torque component, in phase with rotor angle deviation.  Damping torque component, in phase with the speed deviation. System stability depends on the existence of both components of torque for each of the synchronous machines. Lack of sufficient synchronizing torque results in a periodic or no oscillatory instability, whereas lack of damping torque results in oscillatory instability. For convenience in analysis and for gaining useful insight into the nature of stability problems, it is useful to characterize rotor angle stability in terms of the following two subcategories:  Small-disturbance (or small-signal) rotor angle stability is concerned with the ability of the power system to maintain synchronism under small disturbances. The disturbances are considered to be sufficiently small that linearization of system equations is permissible for purposes of analysis.  The time frame of interest in small-disturbance stability studies is on the order of 10 to 20 seconds following a disturbance. Load characteristics, in particular, have a major effect on the stability of interarea modes.
  • 11.
    GOVERNING CONTROL ANDEXCITATION CONTROL FOR STABILITY OF POWER SYSTEM GCT DEE SESSION 2014-2018 Page 11 Rotor oscillations of increasing amplitude due to lack of sufficient damping torque. In today’s power systems, small-disturbance rotor angle stability problem is usually associated with insufficient damping of oscillations. The periodic instability problem has been largely eliminated by use of continuously acting generator voltage regulators; however, this problem can still occur when generators operate with constant excitation when subjected to the actions of excitation limiters (field current limiters). Fig 2.1 :- Classification of power system stability  Small-disturbance rotor angle stability problems may be either local or global in nature. Local problems involve a small part of the power system, and are usually associated with rotor angle oscillations of a single power plant against the rest of the power system. Such oscillations are called local plant mode oscillations. Stability (damping) of these oscillations depends on the strength of the transmission system as seen by the power plant, generator excitation control systems and plant output.  Global problems are caused by interactions among large groups of generators and have widespread effects. They involve oscillations of a group of generators in one area swinging against a group of generators in another area. Such oscillations are called interarea mode oscillations. Their characteristics are very complex and significantly differ from those of local plant mode oscillations.
  • 12.
    GOVERNING CONTROL ANDEXCITATION CONTROL FOR STABILITY OF POWER SYSTEM GCT DEE SESSION 2014-2018 Page 12  Large-disturbance rotor angle stability or transient stability, as it is commonly referred to, is concerned with the ability of the power system to maintain synchronism when subjected to a severe disturbance, such as a short circuit on a transmission line. The resulting system response involves large excursions of generator rotor angles and is influenced by the nonlinear power-angle relationship.  Transient stability depends on both the initial operating state of the system and the severity of the disturbance. Instability is usually in the form of a periodic angular separation due to insufficient synchronizing torque, manifesting as first swing instability. However, in large power systems, transient instability may not always occur as first swing instability associated with a single mode; it could be a result of superposition of a slow inter area swing mode and a local-plant swing mode causing a large excursion of rotor angle beyond the first swing. It could also be a result of nonlinear effects affecting a single mode causing instability beyond the first swing.  The time frame of interest in transient stability studies is usually 3 to 5 seconds following the disturbance. It may extend to 10–20 seconds for very large systems with dominant inter- area swings. As identified small-disturbance rotor angle stability as well as transient stability are categorized as short term phenomena.  The term dynamic stability also appears in the literature as a class of rotor angle stability. However, it has been used to denote different phenomena by different authors. In the North American literature. Any disturbance in the system will cause the imbalance between the mechanical power input to the generator and electrical power output of the generator to be affected.  As a result, some of the generators will tend to speed up and some will tend to slow down. it has been used mostly to denote small-disturbance stability in the presence of automatic controls (particularly, the generation excitation controls) as distinct from the classical “steady-state stability” with no generator controls, They are usually associated with HVDC links connected to weak ac systems and may occur at rectifier or inverter stations, and are associated with the unfavourable reactive power “load” characteristics of the converters.  The HVDC link control strategies have a very significant influence on such problems, since the active and reactive power at the ac/dc junction are determined by the controls. In the European literature, it has been used to denote transient stability. Since much confusion has resulted from the use of the term dynamic stability, we recommend against its usage, as did the previous IEEE and CIGRE Task Forces.
  • 13.
    GOVERNING CONTROL ANDEXCITATION CONTROL FOR STABILITY OF POWER SYSTEM GCT DEE SESSION 2014-2018 Page 13 2.3.2 Voltage Stability Voltage stability refers to the ability of a power system to maintain steady voltages at all buses in the system after being subjected to a disturbance from a given initial operating condition. It depends on the ability to maintain/restore equilibrium between load demand and load supply from the power system. Instability that may result occurs in the form of a progressive fall or rise of voltages of some buses. A possible outcome of voltage instability is loss of load in an area, or tripping of transmission lines and other elements by their protective systems leading to cascading outages. Loss of synchronism of some generators may result from these outages or from operating conditions that violate field current limit. Progressive drop in bus voltages can also be associated with rotor angle instability. For example, the loss of synchronism of machines as rotor angles between two groups of machines approach 180 causes rapid drop in voltages at intermediate points in the network close to the electrical centre. Normally, protective systems operate to separate the two groups of machines and the voltages recover to levels depending on the post-separation conditions. If, however, the system is not so separated, the voltages near the electrical center rapidly oscillate between high and low values as a result of repeated “pole slips” between the two groups of machines. In contrast, the type of sustained fall of voltage that is related to voltage instability involves loads and may occur where rotor angle stability is not an issue. The term voltage collapse is also often used. It is the process by which the sequence of events accompanying voltage instability leads to a blackout or abnormally low voltages in a significant part of the power system. Stable (steady) operation at low voltage may continue after transformer tap changers reach their boost limit, with intentional and/or unintentional tripping of some load. Remaining load tends to be voltage sensitive, and the connected demand at normal voltage is not met. It is based on the following considerations  The driving force for voltage instability is usually the loads; in response to a disturbance, power consumed by the loads tends to be restored by the action of motor slip adjustment, distribution voltage regulators, tap-changing transformers, and thermostats. Restored loads increase the stress on the high voltage network by increasing the reactive power consumption and causing further voltage reduction.
  • 14.
    GOVERNING CONTROL ANDEXCITATION CONTROL FOR STABILITY OF POWER SYSTEM GCT DEE SESSION 2014-2018 Page 14  A major factor contributing to voltage instability is the voltage drop that occurs when active and reactive power flow through inductive reactance of the transmission network; this limits the capability of the transmission network for power transfer and voltage support. The power transfer and voltage support are further limited when some of the generators hit their field or armature current time-overload capability limits. Voltage stability is threatened when a disturbance increases the reactive power demand beyond the sustainable capacity of the available reactive power resources.  The instability is associated with the in ability of the combined generation and transmission system to operate below some load level. In their attempt to restore this load power, transformer tap changers cause long-term voltage instability.  While the most common form of voltage instability is the progressive drop of bus voltages, the risk of overvoltage instability also exists and has been experienced at least on one system. It is caused by a capacitive behaviour of the network (EHV transmission lines operating below surge impedance loading) as well as by under excitation limiters preventing generators and/or synchronous compensators from absorbing the excess reactive.  Voltage stability problems may also be experienced at the terminals of HVDC links used for either long distance or back-to-back applications. They are usually associated with HVDC links connected to weak ac systems and may occur at rectifier or inverter stations, and are associated with the unfavourable reactive power “load” characteristics of the converters. The angle between the two is known as the power angle or torque angle. During the disturbance, rotor will decelerate or accelerate with respect to the synchronism rotating air gap MMF, and the relative motion begins.  If the oscillation, the rotor locks back into synchronism speed after the oscillation, the generator will maintain its stability. If the disturbance does not involve any net changes in the power,The HVDC link control strategies have a very significant influence on such problems, since the active and reactive power at the ac/dc junction are determined by the controls. If the resulting loading on the ac transmission stresses it beyond its capability, voltage instability occurs. Such a phenomenon is relatively fast with the time frame of interest being in the order of one second or less.  Voltage instability may also be associated with converter transformer tap-changer controls, which is a considerably slower phenomenon. Recent developments in HVDC technology (voltage source converters and capacitor commutated converters) have significantly increased the limits for stable operation of HVDC links in weak systems as compared with the limits for line commutated converters. One form of voltage stability problem that results in uncontrolled overvoltage is the self-excitation of synchronous machines.
  • 15.
    GOVERNING CONTROL ANDEXCITATION CONTROL FOR STABILITY OF POWER SYSTEM GCT DEE SESSION 2014-2018 Page 15 Chapter 3 TRANSIENT STABILITY IN POWER SYSTEM 3.1 Transient Stability Transient State Stability is the ability of the power system to maintain in stability after large, major and sudden disturbances. For example are, occurrence of faults, sudden load changes, loss of generating unit, line switching. Large disturbance do occur on the system. These include severe lightning strikes, loss of transmission line carrying bulk power due to overloading. The transient stability studies involve the determination of whether or not synchronism is maintained after the machine has been subjected to severe disturbance. Types of disturbances:- i) Sudden application of load/sudden load changing ii) Loss of generation iii) Fault on the system Each generator operates at the same synchronous speed and frequency of 50 hertz while a delicate balance between the input mechanical power and output electrical power is maintained. Whenever generation is less than the actual consumer load, the system frequency falls. On the other hand, whenever the generation is more than the actual load, the system frequency rise. The generators are also interconnected with each other and with the loads they supply via high voltage transmission line. This may be sudden application of load, loss of generation, loss of large load. A fault on the system. In most disturbances, oscillations are of such magnitude that linearization is not permissible and the nonlinear swing equation must be solved. Any disturbance in the system will cause the imbalance between the mechanical power input to the generator and electrical power output of the generator to be affected. As a result, some of the generators will tend to speed up and some will tend to slow down. If, for a particular generator, this tendency is too great, it will no longer remain in synchronism with the rest of the system and will be automatically disconnected from the system. This phenomenon is referred to as a generator going out of step.
  • 16.
    GOVERNING CONTROL ANDEXCITATION CONTROL FOR STABILITY OF POWER SYSTEM GCT DEE SESSION 2014-2018 Page 16 Figure 3.1 :- Transient Stability Illustration Transient stability is primarily concerned with the immediate effects of a transmission line disturbance on generator synchronism. If the retarding torque is insufficient, the power angle will continue to increase until synchronism with the power system is lost Power system stability depends on the clearing time for a fault on the transmission system. If there is enough retarding torque after fault clearing to make up for the acceleration during the fault, the generator will be transiently stable on the first swing and will move back toward its operating point. Figure 3.1 illustrates the typical behavior of a generator in response to a fault condition. Starting from the initial operating condition :- a. A close-in transmission fault causes the generator electrical output power Pe to be drastically reduced. The resultant difference between electrical power and the mechanical turbine power causes the generator rotor to accelerate with respect to the system, increasing the power angle. b. When the fault is cleared, the electrical power is restored to a level corresponding to the appropriate point on the power angle curve. c. Clearing the fault necessarily removes one or more transmission elements from service and at least temporarily weakens the transmission system. After clearing the fault, the electrical power out of the generator becomes greater than the turbine power. This causes the unit to decelerate.
  • 17.
    GOVERNING CONTROL ANDEXCITATION CONTROL FOR STABILITY OF POWER SYSTEM GCT DEE SESSION 2014-2018 Page 17 Figure 3.2: Effect of fault clearing time 3.2 Swing Equation Under normal operating condition, the relative position of the rotor axis and the resultant magnetic field axis is fixed. The angle between the two is known as the power angle or torque angle. During the disturbance, rotor will decelerate or accelerate with respect to the synchronism rotating air gap MMF, and the relative motion begins. If the oscillation, the rotor locks back into synchronism speed after the oscillation, the generator will maintain its stability. If the disturbance does not involve any net changes in the power, the rotor returns to its original position. If the disturbance is created by a changes in generation, load, or in network conditions, the rotor comes to a new operating power angle relative to the synchronously revolving field. The acceleration power Pa and the rotor angle δ is known as Swing Equation. Solution of swing equation will show how the rotor angle changes with respect to time following a disturbance. The plot of δ vs time t is called the Swing Curve. Once the swing curve is known, the stability of the system can be assessed. Fig 3.3 :- The flow of mechanical and electrical power in a generator and motor Consider a synchronous generator shown in figure 2.3 (a) developing an electromagnetic torque Te. . It receives mechanical power Pm at the shaft torque Te running at the synchronous speed via shaft from the prime-mover. It delivers
  • 18.
    GOVERNING CONTROL ANDEXCITATION CONTROL FOR STABILITY OF POWER SYSTEM GCT DEE SESSION 2014-2018 Page 18 electrical power Pe to the power system network via the bus bars. If z is the driving Due to a disturbance, an acceleration ( ) or decelerating ( ) torque on a rotor is produced, If is the combined moment of inertia of the prime mover and generator, neglecting frictional and damping torque, from laws of rotation Where is the angular displacement of the rotor with respect to stationary reference axis on the rotor. The angular reference is chosen relative to a synchronously rotating reference frame moving with constant angular velocity . And the rotor acceleration is, (3.4) Substituting (3.4) into (3.3), (3.5) Multiplying (3.5) by , result in Since angular velocity times torque is equal to the power, above equation can be write in terms of power The quantity is called the inertia constant and it is denoted by M. The swing equation in terms of the inertia constant becomes Where, M = inertia constant, it is not really constant when the rotor speed deviates from the synchronous speed. Pm = Shaft mechanical power input, corrected for winding and friction losses. Pe = Pa sin δ = electrical power output, corrected for electrical losses. Pa = amplitude for the power angle curve. δm = mechanical power angle.
  • 19.
    GOVERNING CONTROL ANDEXCITATION CONTROL FOR STABILITY OF POWER SYSTEM GCT DEE SESSION 2014-2018 Page 19 Swing curve, which is the plot of torque angle δ vs time t, can be obtained by solving the swing equation. Two typical swing curves are shown in figure Fig 3.4: Swing curve Swing curves are used to determine the stability of the system. If the rotor angle reaches a maximum and then decreases, then it shows that the system has transient stability. On the other hand if the rotor angle δ increases indefinitely, then it shows that the system is unstable. 3.2.1 Transfer Reactance Assume that before the fault occurs, the power system is operating at some stable steady-state operating condition. The power system transient stability problem is then defined as that of assessing whether or not the system will reach an acceptable steady-state operating point following the fault. The resulting angular difference transfers part of the load from the slow machine to the fast machine, depending on the power-angle relationship. Several of these applications have found their way into practice and logic methods have become an important approach for practicing engineers to consider. Here, the focus is on the more general concepts. The reader is referred to for a more detailed survey of the literature. as a general model of uncertainty encountered in engineering systems. His approach emphasized modeling uncertainties that arise commonly in human thought processes. This tends to reduce the speed difference and hence the angular separation. The power-angle relationship is highly nonlinear. Beyond a certain limit, an increase in angular separation is accompanied by a decrease in power transfer such that the angular separation is increased further. Sub transient period is normally very short compared to the period of the rotor swings. The effect of the sub-transient phenomena on the electromechanical dynamics can be neglected. This allows the generator classical model to be used to study the transient stability problem when the swings equation is expressed as below.
  • 20.
    GOVERNING CONTROL ANDEXCITATION CONTROL FOR STABILITY OF POWER SYSTEM GCT DEE SESSION 2014-2018 Page 20 During major fault, such as short circuit, the equivalent reactance X appearing will be subjected to change so that power output will also change and the power balance within the system will be disturbed. This will result in energy transfers between the generators producing corresponding rotor oscillations. Usually there are three states accompanying a disturbing with three, generally different, value of reactance: i. The pre-fault state when reactance ii. The fault state when the reactance iii. The post fault state when the reactance 3.3 Equal Area Criterion The transient stability studies involve the determination of whether or not synchronism is maintained after the machine has been subjected to sever disturbance. This may be sudden application of load, loss of generation, loss of large load, or a fault on the system. In most disturbances, oscillations are of such magnitude that linearization is not permissible and the nonlinear swing equation must be solved. A method known as the equal-area criterion can be used for a quick prediction of stability. This method is based on the graphical interpretation of the energy stored in the rotating mass as an aid to determine if the machine maintains its stability after a disturbance. The method is only applicable to a one-machine system connected to an infinite bus or a two-machine system From the swing equation. Where is the accelerating power From the above equation, Multiplying both side by 2 , 2 Integrating both side,
  • 21.
    GOVERNING CONTROL ANDEXCITATION CONTROL FOR STABILITY OF POWER SYSTEM GCT DEE SESSION 2014-2018 Page 21 OR Equation gives the relative speed of the machine with respect to the synchronously revolving reference frame. For stability, this speed must be zero at the sometime after the disturbance. Therefore the stability criterion, Consider the machine operating at the equilibrium point δ0, corresponding to the mechanical power input Consider a sudden increase in input power represented by a horizontal line Pm. Since . The acceleration power on the rotor is positive and the power angle increases. The access energy stored in the rotor during the initial acceleration is, With increase in , the electrical power increases and δ = δ1, the electrical power matches the new input power Pm1. Even though the accelerating power is zero at this point, the rotor is running above synchronous speed; hence δ and the electrical power Pe continue to increase. Now , causing the rotor decelerates toward synchronous speed until . The energy given as the rotor decelerates back to synchronous speed is, Fig 3.5 :- equal area criterion
  • 22.
    GOVERNING CONTROL ANDEXCITATION CONTROL FOR STABILITY OF POWER SYSTEM GCT DEE SESSION 2014-2018 Page 22 Chapter 4 CONTROL OF STABILITY 4.1 Governor Control Governor is A device used to control the speed of a prime mover. A governor protects the prime mover from overspeed and keeps the prime mover speed at or near the desired revolutions per minute. The resulting angular difference transfers part of the load from the slow machine to the fast machine, depending on the power-angle relationship. This tends to reduce the speed difference and hence the angular separation. The power-angle relationship is highly nonlinear. When a prime mover drives an alternator supplying electrical power at a given frequency, a governor must be used to hold the prime mover at a speed that will yield this frequency. An unloaded diesel engine will fly to pieces unless it is under governor control. 4.1.1 Load Frequency Control 1. Sense the bus bar frequency & power frequency 2. Difference fed to the integrator & to speed changer 3. Tie line frequency maintained constant 4.1.2 Economic Dispatch Control 1. When load distribution between a number of generator units considered optimum schedule affected when increase at one replaces a decreases at other. 2. Optimum use of generators at each station at various load is known as economic dispatch control. 4.1.3 Automatic Voltage Regulator 1. Regulate generator voltage and output power. 2. Terminal voltage & reactive power is also 4.1.4 Security Control 1. Monitoring & decision 2. Control
  • 23.
    GOVERNING CONTROL ANDEXCITATION CONTROL FOR STABILITY OF POWER SYSTEM GCT DEE SESSION 2014-2018 Page 23 4.1.5 System Voltage Control Control the voltage within the tolerable limits. Devices used are 1. Static VAR compensator 2. Synchronous condenser 3. Tap changing transformer 4. Switches 5. Capacitor 6. Reactor 4.1.6 Control 1. Proper commands are generated for correcting the abnormality in protecting the system. 2. If no abnormality is observed, then the normal operation proceeds for next interval. 3. Central controls are used to monitor the interconnected areas. 4. Inter connected areas can be tolerate larger load changes with smaller frequency deviations. 5. Central control centre monitors information about frequency, generating unit outputs and tie line power flows to interconnected areas. 6. This information is used by automation load frequency control in order to maintain area frequency at its scheduled value. 4.1.7 Monitoring & Decision 1. Condition of the system continuously observed in the control centers by relays. 2. If any continuous severe problem occurs system is in abnormal condition. 3. It is an error sensing device in load frequency control. It includes all the elements that are directly responsive to speed and influence other elements of the system to initiate action. Instability is usually in the form of a periodic angular separation due to insufficient synchronizing torque, manifesting as first swing instability. However, in large power systems, transient instability may not always occur as first swing instability associated with a single mode.
  • 24.
    GOVERNING CONTROL ANDEXCITATION CONTROL FOR STABILITY OF POWER SYSTEM GCT DEE SESSION 2014-2018 Page 24 4.2 Governor The power system is basically dependent upon the synchronous generator and its satisfactory performance. The important control loops in the system are: i. Frequency control. ii. Automatic voltage control. Frequency control is achieved through generator control mechanism. The governing systems for thermal and hydro generating plants are different in nature since, the inertia of water that flows into the turbine presents additional constrains which are not present with steam flow in a thermal plant. However, the basic principle is still the same; i.e. the speed of the shaft is sensed and compared with a reference, and the feedback signal is utilized to increase or decrease the power generated by controlling the inlet valve to turbine of steam or water. a. Speed Governing Mechanism The speed governing mechanism includes the following parts. i. Speed Governor:- It is an error sensing device in load frequency control. It includes all the elements that are directly responsive to speed and influence other elements of the system to initiate action. ii. Governor Controlled Valves:- They control the input to the turbine and are actuated by the speed control mechanism. iii. Speed Control Mechanism:- It includes all equipment such as levers and linkages,servomotors, amplifying devices and relays that are placed between the speed governor and the governor controlled valves. iv. Speed Changer:- It enables the speed governor system to adjust the speed of the generator unit while in operation. Fig 4.1 :- Circuit of Governer Mechanism
  • 25.
    GOVERNING CONTROL ANDEXCITATION CONTROL FOR STABILITY OF POWER SYSTEM GCT DEE SESSION 2014-2018 Page 25 The pilot valve v operates to increase or decrease the opening of the steam inlet valve V. Let XB and Xc be the changes in the position of the pilot valve v and control valve V responding to a change in governor position. XA due to load. When the pilot valve is closed XB= 0 and Xc == 0, (Le.,) the control valve is not completely closed, as the unit has to supply its no-load losses. Let be the no-load angular speed of the turbine. As load is applied, the speed falls and through the linkages the governor operates to move the piston P downwards along with points A and B. The pilot valve v admits soil under n and lifts it up so that the input is increased and speed rise. If the link Be is removed then the pilot valve comes to rest only when the speed returns to its original value. An "isochronous" characteristic will be obtained with such an arrangement where speed is restored to its preload. With the link Be, the steady state is reached at a speed slightly lower than the no load speed giving a drooping characteristic for the governor system. A finite value of the steady state speed regulation is obtained with this arrangement. For a given speed changer position, the per unit steady state speed regulation is defined by Steady state speed regulation = No-Nr/N Where N0 = Speed at no – load Nr = Rated speed N = Speed at rated load The automatic voltage regulator circuit is used for voltage control .This bus bar voltage is stepped down using a potential transformer to a small value of voltage. This is sent to the rectifier circuit which converts Ac voltage into DC voltage and a filter circuit is used in this removes the harmonics .The voltage V, thus rectified is compared with a reference voltage vref in the comparator and a voltage error signal is generated .The amplified form of this voltage gives a condition for the generator is stepped up using a transformer and fed to the bus bar. Thus the voltage is regulated and controlled in the control loop circuit. 4.3 P-F Control Loop Primary ALFC :- The circuit primarily controls the steam valve leading to the turbine .A speed senses the speed of the turbine. This is compared with a reference speed, governor whose main activity is to control the speed of the steam by closing and opening of the control valve ie if the differential speed is low ,then the control valve is opened to let out the steam at high speed, thereby increasing turbine’s speed and vice versa. The control of speed in turn controls the frequency.
  • 26.
    GOVERNING CONTROL ANDEXCITATION CONTROL FOR STABILITY OF POWER SYSTEM GCT DEE SESSION 2014-2018 Page 26 Secondary ALFC:- The circuit involves a frequency sensor that senses the frequency of the bus bar and compare it with tie line power frequencies in the signal mixer.The output of this is an area control error which is sent to the speed changer through integrator .The speed changer gives the reference speed to the governor. Integral controller is used to reduce the steady state frequency change to zero. After this part of the circuit, is the introduction of the primary ALFC loop whose function has already been described.
  • 27.
    GOVERNING CONTROL ANDEXCITATION CONTROL FOR STABILITY OF POWER SYSTEM GCT DEE SESSION 2014-2018 Page 27 Chapter 5 METHODS OF PSS DESIGN In this chapter we shall design and review different aspects and methods of PSS design, its advantages, disadvantages and uses in field. First, we discuss conventional methods of PSS design and then move onto more advanced methods and recent developments. The schematic below represents different methods of PSS design:- POWER SYSTEM STABILIZER CONVENTIONAL NON- METHODS CONVENTIONAL ANALOG DIGITAL NON-LINEAR ADAPTIVE LINEAR ANALOG DIGITAL ANALOG DIGITAL Fig.5.1 Methods of PSS design We will mainly focus on analog methods of PSS design which can be further divided into linear and non-linear methods. Lack of sufficient synchronizing torque results in a periodic or no oscillatory instability. Stable (steady) operation at low voltage may continue after transformer tap changers reach their boost limit, with intentional and/or unintentional tripping of some load. Remaining load tends to be voltage sensitive. The stability of the system depends on the initial operating condition as well as the nature of the disturbance. whereas lack of damping torque results in oscillatory instability. For convenience in analysis and for gaining useful insight into the nature of stability problems.
  • 28.
    GOVERNING CONTROL ANDEXCITATION CONTROL FOR STABILITY OF POWER SYSTEM GCT DEE SESSION 2014-2018 Page 28 5.1 Linear Methods 1. Pole-Placement Method Controllers designed using simultaneous stabilization design have fixed gain constant to adaptive controllers. The root locus technique can be utilized after designing gains separately to adjust the gains by which only dominant modes are selected. In a more efficient manner the pole-placement design was proposed in which participation factor were used to determine size and number of stabilizers in a multi machine system. 2. Pole-Shifting Method By this method system input-output relationship are continuously estimated form the measured inputs and outputs and the gain setting of the self-tuning PID stabilizer was adjusted in addition to this the real part of the complex open loop poles can be shifted to any desired location. 3. Linear Quadratic Regulation This is proposed using differential geometric linearization approach . This stabilizer used information at the secondary bus of the step-up transformer as the input signal to the internal generator bus and the secondary bus is defined as the reference bus in place of an infinite bus. 4. Eigen Value Sensitivity Analysis Based on second order Eigen-sensitivities an objective function can be utilized to carry out the co- ordination between the power system stabilizer and FACTS device stabilizer. The objective function can be solved by two methods the Levenberg-Marquardt method and a genetic algorithm in face of various operating conditions. 5. Quantitative Feedback Theory By simply retuning the PSS the conventional stabilizer performance can be extended to wide range of operating and system conditions. The parametric uncertainty can be handled using the Quantitative feedback Theory. 6. H2 Control Application of H2 optimal adaptive control can be utilized for disturbance attenuation in the sense of H2 norm for nonlinear systems and can be successful for the control of non-linear systems like synchronous generators. 7. Sliding Mode Control
  • 29.
    GOVERNING CONTROL ANDEXCITATION CONTROL FOR STABILITY OF POWER SYSTEM GCT DEE SESSION 2014-2018 Page 29 Due to the inexact cancellation of non-linear terms the exact input output linearization is difficult. The sliding mode control makes the control design robust. The linearized system in controllable canonical form can be controlled by the SMC method. The control objective is to choose the control signal to make the output track the desired output. 8. Reduced Order Model Through aggregation and perturbation reduced order model can be obtained but as it is based on open loop plant matrix only the results cannot be accurate. But with suitable analytical tools reduced order model can be optimized to obtain state variables those are physically realizable and can be implemented with simple hard-wares. 5.2 Non-Linear Methods 1. Adaptive Control Several adaptive methods have been suggested like Adaptive Automatic Method, Heuristic Dynamic programming. In adaptive automatic method the lack of adaptability of the PSS to the system operating changes can be overcome. Heuristic Dynamic programming combines the concepts of dynamic programming and reinforcement learning in the design of non-linear optimal PSS. 2. Genetic Algorithm Genetic algorithm is independent of complexity of performance indices and suffices to specify the objective function and to place the finite bounds on the optimized parameters. As a result it has been used either to simultaneously tune multiple controllers in different operating conditions or to enhance the power system stability via PSS and SVC based stabilizer when used independently and through coordinated applications. 3. Particle Swarm Optimization Unlike other heuristic techniques ,PSO has characteristics of simple concept, easy implementation, computationally efficient , and has a flexible and well balanced mechanism to enhance the local and global exploration abilities. 4. Fuzzy Logic These controllers are model-free controllers. They do not require an exact mathematical model of the control system. Several papers have been suggested for the systematic development of the PSS
  • 30.
    GOVERNING CONTROL ANDEXCITATION CONTROL FOR STABILITY OF POWER SYSTEM GCT DEE SESSION 2014-2018 Page 30 using this method. 5. Neural Network Extremely fast processing facility and the ability to realize complicated nonlinear mapping from the input space to the outer space has put forward the Neural Network. The work on the application of neural networks to the PSS design includes online tuning of conventional PSS parameters, the implementation of inverse mode control, direct control, and indirect adaptive control. 6. Tabu Search By using Tabu Search the computation of sensitivity factors and Eigen vectors can be avoided to design a PSS for multi machine systems. 7. Simulated Annealing It is derivative free optimization algorithm and to evaluate objective function no sensitivity analysis is required. 8. Lyapunov Method With the properly chosen control gains the Lyapunov Method shows that the system is exponentially stable. 9. Dissipative Method A framework based on the dissipative method concept can be used to design PSS which is based on the concept of viewing the role of PSS as one of dissipating rotor energy and to quantify energy dissipation using the system theory notation of passivity. 10. Phasor Measurement An architecture using multi-site power system control using wide area information provided by GPS based phasor measurement units can give a step wise development 11. Gain Scheduling Method Due to the difficulty of obtaining a fixed set of feedback gains design of optimum gain scheduling PSS is proposed to give satisfactory performance over wide range of operation. Beyond a certain limit, an increase in angular separation is accompanied by a decrease in power transfer such that the angular separation is increased further. A method known as the equal-area criterion can be used
  • 31.
    GOVERNING CONTROL ANDEXCITATION CONTROL FOR STABILITY OF POWER SYSTEM GCT DEE SESSION 2014-2018 Page 31 for a quick prediction of stability. This method is based on the graphical interpretation of the energy stored in the rotating mass as an aid to determine. Small-disturbance rotor angle stability problem is usually associated with insufficient damping of oscillations. The periodic instability problem has been largely eliminated by use of continuously acting generator voltage regulators; however, this problem can still occur when generators operate with constant excitation. Sub transient period is normally very short compared to the period of the rotor swings. The effect of the sub-transient phenomena on the electromechanical dynamics can be neglected. As time delay can make a control system to have less damping and eventually result in loss of synchronism, a centralized wide area control design using system wide has been investigated to enhance large interconnected power system dynamic performance. A gain scheduling model was proposed to accommodate the time delay. 5.3 Design of Pss The Excitation System Model The SIMULINK™ model of the single machine excitation system is given below: Fig.5.2 SIMULINK model of the 1-machine infinite bus The above SIMULINK model adapted from was used by us to design an optimum Voltage regulator and the “power system stabilizer” using various design methods that we discuss later. The Different Parts Of The Model Are Discussed As Follows 1. Vref the reference voltage signal is a step voltage of 0.1 V. the final aim is to maintain the voltage at a constant level without oscillations. 2. VOLTAGE REGULATOR (AVR)
  • 32.
    GOVERNING CONTROL ANDEXCITATION CONTROL FOR STABILITY OF POWER SYSTEM GCT DEE SESSION 2014-2018 Page 32 The excitation of the alternator is varied by varying the main exciter output voltage which is varied by the AVR. The actual AVR contains:  Power magnetic amplifier  Voltage correctors  Bias circuit  Feedback circuit  Matching circuit etc. For our simulations, we have utilized a 1. Proportional VR Kv(s) =Kp (10, 20, 30…) 2. PI VR Kv(s) = kpi =kp(1+ki/s) 3. Lag VR (compensator or filter) 4. Observer based controller VR (5th order and 1st order) The effect of different types of control and different values of kp and ki on the AVR and the overall power system has been shown in the simulated results. 3. POWER SYSTEM MODEL As described in the previous section, we use a state space mode of the power system having 7 state variables, 1input and 3 output variables.The details of the model are given in the previous. 4. WASHOUT FILTER The output w is fed back through a sign inverter to the washout filter which is a high pass filter having a dc gain of 0. This is provided to cut-out the PSS path when the steady state [1]. In our simulation we take the filter as a transfer function model of F(s) = (10s/10s+1) 5. TORSIONAL FILTER This block filters out the high frequency oscillatins due to the torsional interactions of the alternator. In our simulation, we take the transfer function model of this filter as Tor(s) = (1/1+0.06s+0.0017s2 ). 6. PSS This is the main part of our design problem. The power system stabilizer takes input from the filter outputs of the rotor speed variables and gives a stable output to the voltage regulator. The pss acts as a damper to the oscillation of the synchronous machine rotor due to unstable operating
  • 33.
    GOVERNING CONTROL ANDEXCITATION CONTROL FOR STABILITY OF POWER SYSTEM GCT DEE SESSION 2014-2018 Page 33 condition. This tends to reduce the speed difference and hence the angular separation. The power- angle relationship is highly nonlinear. Beyond a certain limit, an increase in angular separation is accompanied by a decrease in power transfer such that the angular separation is increased further. It does this task by taking rotor speed as input (with the swings in the rotor) and feeding a stabilized output to the voltage regulator. A PSS is tuned by several methods to provide optimal damping for a stable operation. They are tuned around a steady state operating point which we shall try to design. 5.4 Design Of Avr Or Pss Using Conventional Methods In our model for the control of the single-machine excitation system, we have two aspects of design namely: a) Voltage regulator (AVR) b) Power system stabilizer (PSS) The power system stabilizer design performed by us has been grouped under three heads: 1. Root-Locus approach (Lead-Lead compensator) 2. Frequency response approach (Lead-Lead compensator) 3. State-Space approach (Observer based Controllers) We now discuss each method in details; the steps involved, the results obtained and finally, give a brief review on the merits and demerits of each method 5.4.1 Root Locus Method The root locus design method of the PSS involves the following steps: a) Design of AVR We take a PI controller as the voltage regulator having the transfer function, V(s). that the design specs: tr < 0.5 sec and Mp < 10% are satisfied. For this, we make a table of different Kr and Kp values and their corresponding Tr and Mp values and choose the appropriate value as given in. We get Kp=35 and Ki=0.6 which satisfy the above specifications. The output Vterm for different values of Ki is plotted below in figure.
  • 34.
    GOVERNING CONTROL ANDEXCITATION CONTROL FOR STABILITY OF POWER SYSTEM GCT DEE SESSION 2014-2018 Page 34 Fig.5.3 Step response for regulation loop for different Ki values. b) Design of PSS We close the VR loop with the above Kp and Ki and simulate the system response for a step input. The above plot shows that the steady state error =0. Hence, the system is able to follow the step input by introduction of the AVR; but due to the PI controller of the AVR, the swing mode (dominant complex poles) becomes unstable and oscillations are introduced in the output Vterm. Now, to reduce the oscillations, we have to introduce a feedback loop involving the swing in rotor angular speed (∆ω) as input to the PSS loop. Root Locus 25 20 15 X: -0.4801 Y: 9.332 10 Axis 5 Imaginary 0 -5 -10 -15 -20 -25 -25 -20 -15 Real - Axis 10 -5 0 5 Fig5.4 Root locus of PSS loop showing the dominant complex pole
  • 35.
    GOVERNING CONTROL ANDEXCITATION CONTROL FOR STABILITY OF POWER SYSTEM GCT DEE SESSION 2014-2018 Page 35 We see that the dominant complex poles are at (-0.4801+9.332i, -0.4801-9.332i). Next, we find the angle of departure (Φp) from the pole using MATLAB. We get Φp = 43.28. Based on this angle we design the lead-lead compensator : After the design we find that: z= 3.5 p= 24 Kα= 13.8 K= 0.4 Next, we implement this PSS and close the loop and simulate the response. The root-locus plot of the final PSS loop and the comparison of responses are given below: Fig.5.5. Root-locus of the final PSS loop showing Φp 180º for dominant poles
  • 36.
    GOVERNING CONTROL ANDEXCITATION CONTROL FOR STABILITY OF POWER SYSTEM GCT DEE SESSION 2014-2018 Page 36 Fig.5.6. Comparison of step response of uncompensated and compensated systems 5.4.2 Frequency Response Method The frequency response design method involves the use of bode-diagrams to measure the phase and gain margin of the system and compensating the phase by using lag controller for AVR and lead controller for PSS. The design details are as below: a) Design of the AVR First, we plot and analyse the bode plot of the open-loop Power system. From this, we find that: Gain margin Gm = 35dB Phase margin Pm = inf. DC gain= -2.57dB (0.74) The design specs [1] require the DC gain > 200 (=46dB) and phase margin > 80º. Thus the required gain Kc=10^((200+0.74)/20) = 269. Now, for the phase margin to be >80º, the new gain crossover frequency = 5rad/sec. Thus the final AVR is: V(s) = 35.
  • 37.
    GOVERNING CONTROL ANDEXCITATION CONTROL FOR STABILITY OF POWER SYSTEM GCT DEE SESSION 2014-2018 Page 37 The frequency response of the uncompensated and the compensated system are shown below: Fig.5.7. Comparison of frequency response with and without VR lo Next, we implement this AVR in the SIMULINK model and get the step-response: Fig.5.8. Step response of the lag compensat
  • 38.
    GOVERNING CONTROL ANDEXCITATION CONTROL FOR STABILITY OF POWER SYSTEM GCT DEE SESSION 2014-2018 Page 38 b.) Design of PSS As in case of the previous design method, we find that the introduction of the voltage regulator eliminates the steady state error and makes the system much faster. But it also introduces low frequency oscillations in the system. Hence we have to design the PSS loop taking input as the perturbation in rotor angular speed (∆ω). First, we generate the state-space model from Vref to ω with the regulation loop closed. we isolate the path Q(s)= effect of speed on electric torque due to machine dynamics and find Aω matrix from the main matrix A. The resulting state-space model has input ∆ω and output τ (balancing torque). Thus we get A33(5*5 matrix) , a32 (5*1 vector), a23(1*5 matrix). We convert this state space model to transfer function and connect Q(s) to the torsional and washout filters to get F(s). Then we plot and analyze the frequency response of F(s) from 1rad/sec to 100 rad/sec. Phase at 2rad/sec = -37º Phase at 20 rad/sec = -105º As per the design specs , we have to increase this phase at 2 to 20 rad/sec from the above values to approximately 0º to -15º, such that the feedback loop will add pure damping to the dominant poles. Thu we require a lead compensator of the form: Hence, maximum phase addition Φm is at 20 rad/sec =100º. This is too large for a single lead compensator as shown in figure. below: Fig.5.9. Maximum phase addition Φm vs alpha α To give the required phase lag to the system at this crossover frequency, we take a lag-compensator as the AVR, having transfer function. Now, the lag required at 5rad/sec is -18dB. Hence, 20 = -18, i.e.
  • 39.
    GOVERNING CONTROL ANDEXCITATION CONTROL FOR STABILITY OF POWER SYSTEM GCT DEE SESSION 2014-2018 Page 39 β=8. We choose the corner frequency = 0.1 to make the system faster. So, z = 0.1. Hence, p=0.1/8 = 0.0125, Kl= 269/8 = 35. From the above figure, we see that for Φm>60º, α is too small. Hence we use two identical lead-compensators in series. Thus for each compensator. We need an additional phase of: 35º at 2 rad/sec 60º at 12 rad/sec 100º at 20 rad/sec Φm=50º. Kα=1/α = 7.5 Then we implement this PSS and close the loop and simulate the resultant model. We find the step response and the rise time and maximum overshoot of the compensated system. Below fig. shows the root locus plot of the damping loop and fig15. Shows the step-response of the final system: Fig. 5.10 Root locus plot of the PSS loop showing the dominant poles 5.4.3 State-Space Method The state space design involves designing full state observers using pole placement to measure the states and then designing the controller such that the closed loop poles lie in the desired place. As
  • 40.
    GOVERNING CONTROL ANDEXCITATION CONTROL FOR STABILITY OF POWER SYSTEM GCT DEE SESSION 2014-2018 Page 40 before, we first design the voltage controller AVR such that the dominant pole is made faster by placing it away from the jω axis. Then, we design the PSS to stabilize the oscillations due to the VR loop by manipulating the swing mode (dominant poles). The details are given below: Design of AVR We first obtain the 1-input 1-output model of the power system as given in [1] from Vref to Vterm. Hence, we get A1 (7*7 matrix), B1 (7*1 vector), C1 (1*7 matrix), and D1(1*1) as given in this text. We find the open loop poles of this system: (-114.33, -35.36, -26.72, -0.48±9.33j, -3.08, -0.1054). Hence the dominant real pole is -0.1054. For the controller design, we have to make this dominant pole faster and steady state error zero. We choose the shifted pole at -4.0+0.0j and leave the other poles unchanged. Then, using MATLAB, we find the gain matrix Kc for the controller. We shift it to: (-1.5 ± 9.33j), leaving all other poles unchanged. Using MATLAB, we get the controller gain matrix Kc=acker (Ag, Bg, mod_poles). For the observer design, we choose the poles as (-4.5 ± 9.33j) so that it decays faster. Ko=place (Ag', Cg', poles_obs)'. Thus we get the 11 th order observer-controller as: Ao= A1-(Ko*C1) – (B1*Kc) Bo= Ko Co= Kc Do= 0 Kc= acker(A1, B1, modified poles) Next, we design the full-order observer to measure the states. We choose the observer dominant pole such that it is far from the jw axis, hence it decays very fast. We take it to be -8.0+0.0j and leave other poles unchanged. Again, using MATLAB, we find the observer gain matrix Ko. Ko= place(A1', C1', modified poles)' Finally we find the state space representation and the transfer function of the above designed observer-controller as: Ao= A1-(Ko*C1) – (B1*Kc) Bo= Ko Co= Kc Do= 0 We show the step response of the system after implementing the 7th order VR and the 1 st order VR
  • 41.
    GOVERNING CONTROL ANDEXCITATION CONTROL FOR STABILITY OF POWER SYSTEM GCT DEE SESSION 2014-2018 Page 41 below in fig. Fig.5.11. Step response comparison of 7th order and 1st order VR We find that the step response is identical except that due to minimization of order, oscillations are introduced in the 1 st order VR. Hence, we design the damping (PSS) loop to stabilize the system. Design of PSS As mentioned above, use of the 1st order AVR introduces oscillations in the system. Hence we design the PSS loop. First we find the 1-input, 1-output model of the system from Vref to ωf, including the 1st order VR designed previously. This is an 11th order transfer function as given iin this text. Thus we get the state space model Ag, Bg, Cg, Dg. From the root locus plot of this system, we find that the dominant complex pole is at (-0.48 ± 9.33j).For the controller design, we have to shift the swing mode to get a faster response. We shift it to: (-1.5 ± 9.33j), leaving all other poles unchanged. Using MATLAB, we get the controller gain matrix Kc=acker (Ag, Bg, mod_poles). Hence we have to design the PSS loop taking input as the perturbation in rotor angular speed (∆ω). First, we generate the state-space model from Vref to ω with the regulation loop closed. we isolate the path Q(s)= effect of speed on electric torque due to machine dynamics and find Aω matrix from the main matrix A. For the observer design, we choose the poles as (-4.5 ± 9.33j) so that it decays faster. Ko=place (Ag', Cg', poles_obs)'. Thus we get the 11 th order observer-controller as: Ao= A1-(Ko*C1) – (B1*Kc)
  • 42.
    GOVERNING CONTROL ANDEXCITATION CONTROL FOR STABILITY OF POWER SYSTEM GCT DEE SESSION 2014-2018 Page 42 Bo= Ko Co= Kc Do= 0 We incorporate these poles and zeros for the 5 th order PSS After Implementing the PSS, we plot the root locus of the damping loop as below: Fig.5.12. Root locus plot of the damping (PSS) loop with 5th order PSS implemented From the previous root locus plot, we find that the 5 th order PSS manifests a pure damping at the dominant pole as the angle of departure is approximately= 180º. The gain for ζ=15% is found to be 0.7. Finally, we implement the above design in the SIMULINK model and find the step response. It is shown in fig. below:
  • 43.
    GOVERNING CONTROL ANDEXCITATION CONTROL FOR STABILITY OF POWER SYSTEM GCT DEE SESSION 2014-2018 Page 43 Fig.5.13 Comparison of the step response of system with and without PSS
  • 44.
    GOVERNING CONTROL ANDEXCITATION CONTROL FOR STABILITY OF POWER SYSTEM GCT DEE SESSION 2014-2018 Page 44 Chapter 6 FUZZY SYSTEMS APPLICATIONS 6.1 Introduction The purpose of this chapter of the short-course is to overview the relevance of fuzzy techniques to power system problems, to provide some specific example applications and to provide a brief survey of fuzzy set applications in power systems. Fuzzy mathematics is a broad field touching on nearly all traditional mathematical areas, the ideas presented in this discussion are intended to be representative of the more straightforward application of these techniques in power systems to date. Fuzzy logic technology has achieved impressive success in diverse engineering applications ranging from mass market consumer products to sophisticated decision and control problems. Applications within power systems are extensive with more than 100 archival publications in a 1995 survey. Several of these applications have found their way into practice and fuzzy logic methods have become an important approach for practicing engineers to consider. Here, the focus is on the more general concepts. The reader is referred to for a more detailed survey of the literature. As a result, some of the generators will tend to speed up and some will tend to slow down. it has been used mostly to denote small-disturbance stability in the presence of automatic controls (particularly, the generation excitation controls) as distinct from the classical “steady-state stability” with no generator controls, They are usually associated with HVDC links connected to weak ac systems and may occur at rectifier or inverter stations, and are associated with the unfavourable reactive power “load” characteristics of the converters. The HVDC link control strategies have a very significant influence on such problems, since the active and reactive power at the ac/dc junction are determined by the controls. In the European literature, it has been used to denote transient stability. Since much confusion has resulted from the use of the term dynamic stability, we recommend against its usage, as did the previous IEEE and CIGRE Task Forces. as a general model of uncertainty encountered in engineering systems. His approach emphasized modeling uncertainties that arise commonly in human thought processes. Bellman and Zadeh write: “Much of the decision-making in the real world takes place in an environment in which the goals, the constraints and the consequences of possible actions are not known precisely”. Fuzzy sets began as a generalization of conventional set theory.
  • 45.
    GOVERNING CONTROL ANDEXCITATION CONTROL FOR STABILITY OF POWER SYSTEM GCT DEE SESSION 2014-2018 Page 45 Partially as result of this fact, fuzzy logic remained the purview of highly specialized technical journals for many years. This changed with the highly visible success of numerous control applications in the late 1980s. Although fuzzy mathematics arose and developed from the systems area, it perhaps belongs best to in the realm of Artificial Intelligence (AI) techniques as an interesting form of knowledge representation. Still, the primary development of fuzzy techniques has been outside the mainstream AI community. Uncertainty in fuzzy logic typically arises in the form of vagueness and/or conflicts, which are not represented naturally within the probabilistic framework. To be sure, uncertainty in reasoning may arise in a variety of ways. Consider the most common sort of discourse about a system among experts, and say to be more specific, a statement relevant to contaminants in the insulating oil of high voltage transformers. The moisture level in the oil is high. While this is a vague statement that does not indicate an exact measurement of the moisture, it does convey information. In fact, one might argue that this conveys more information than merely the actual moisture measurement since the qualifier “high” provides an assessment of the oil condition. Clearly, such a statement contains uncertainty, that is, the moisture level, the severity of the high reading, the implication of such moisture content, and so on, are all imprecise and may require clarification. Fuzzy sets emphasize the importance of modelling such uncertainty. With some effort, traditional probabilistic methods can be adapted to these problems. Still, researchers in the fuzzy set area have found that this is not usually an effective approach. To begin, the fuzzy set approach poses new views of systems that has resulted in such novel applications as fuzzy logic control. More importantly, fuzzy sets create a framework for modeling that does not exist under probability. Less formal methods, such as, certainty factors do not allow for as systematic as an approach. Still, there remains controversy among researchers about the need for fuzzy mathematics and As power systems have evolved through continuing growth in interconnections, use of new technologies and controls, and the increased operation in highly stressed conditions, different forms of system instability have emerged. a variety of techniques have arisen in both the Systems and Control community and the AI community to address similar problems. This paper will sidestep such controversy but it is worth noting the large number of successful applications of fuzzy logic and while subsequent developments may lead to different techniques, fuzzy logic has already played an important role in bringing this class of problems to light.
  • 46.
    GOVERNING CONTROL ANDEXCITATION CONTROL FOR STABILITY OF POWER SYSTEM GCT DEE SESSION 2014-2018 Page 46 To begin with some generalities, some of the most useful capabilities and features provided by modelling in fuzzy set approaches are:  Representation methods for natural language statements.  Models of uncertainty where statistics are unavailable or imprecise, as in say, intervals of probability.  Information models of subjective statements (e.g., the fuzzy measures of belief and possibility).  Measures of the quality of subjective statements (e.g., the fuzzy information measures of vagueness and confusion).  Integration between logical and numerical methods.  Models for soft constraints.  Models for resolving multiple conflicting objectives.  Strong mathematical foundation for manipulation of the above representations. Uncertainty arises in many ways within power system problems. Historically, uncertainty has been modeled based on randomness, as in, stochastic models for random load variations, noise in measurements for state estimation, fluctuations in model parameters, and so on. In practice, uncertainty certainly arises from the knowledge of the system performance and goals of operation as well. Clearly, the objectives in most decision problems are subjective. For example, the relative importance of cost versus reliability is not precise. The underlying models of the system also exhibit uncertainty through approximations arising from, linearized models and other modeling approximations, parameter variations, costs and pricing, and so on. Heuristics, intuition, experience, and linguistic descriptions are obviously important to power engineers. The power system is a highly nonlinear system that operates in a constantly changing environment; loads, generator outputs and key operating parameters change continually. As power systems have evolved through continuing growth in interconnections, use of new technologies and controls, and the increased operation in highly stressed conditions, different forms of system instability have emerged. For example, voltage stability, frequency stability and interarea oscillations have become greater concerns than in the past. The resulting angular difference transfers part of the load from the slow machine to the fast machine, depending on the power-angle relationship. This tends to reduce the speed difference and hence the angular separation. The power-angle relationship is highly nonlinear. Virtually any practical engineering problem requires some “imprecision” in the problem formulation and subsequent analysis.
  • 47.
    GOVERNING CONTROL ANDEXCITATION CONTROL FOR STABILITY OF POWER SYSTEM GCT DEE SESSION 2014-2018 Page 47 For example, distribution system planners rely on spatial load forecasting simulation programs to provide information for a various planning scenarios Linguistic descriptions of growth patterns, such as, fast development, and design objectives, such as, reduce losses, are imprecise in nature. The conventional engineering formulations do not capture such linguistic and heuristic knowledge in an effective manner. Subjective assessments of the above uncertainties are needed to reach a decision. These uncertainties can be broadly separated into two groups: i. Measurements and models of the system. ii. Constraints and objectives arising from the decision-making process. 6.2 Fuzzy Logic Applications Fuzzy sets have been applied to many areas of power systems. Table 3 is a list of the more common application areas. This section discusses the applications based on the particular fuzzy method used. There are essentially three groups of applications: rule-based systems with fuzzy logic, fuzzy logic controllers and fuzzy decision systems. 6.2.1 Rule-Based Fuzzy Systems The most common application of fuzzy set techniques lies within the realm of rule-based systems. Here, uncertainties are associated with each rule in the rule-base. For example, consider a transformer diagnostics problem where dissolved gas concentrations indicate incipient faults. A sample statement as earlier for transformer diagnostics might be A high level of hydrogen in the insulating oil of a transformer often indicates arcing. The simplifications of the system model and subjectivity of the objectives may often be represented as uncertainties in the fuzzy model. Consider optimal power flow. It depends on the ability to maintain/restore equilibrium between load demand and load supply from the power system. The two uncertainties to be modeled are “often” and “high,” which are most easily represented as a fuzzy measure and fuzzy set, respectively. Strict mathematical methods have been developed for manipulating the numerical values associated with such uncertainty. Note equipment diagnostics tend to be a particularly attractive area for application since developing precise numerical models for failure modes is usually not practical. It is difficult to know just how many rule-based systems in power systems employ fuzzy logic techniques as many development tools have built in mechanisms.
  • 48.
    GOVERNING CONTROL ANDEXCITATION CONTROL FOR STABILITY OF POWER SYSTEM GCT DEE SESSION 2014-2018 Page 48 6.2.2 Fuzzy Controllers The traditional control design paradigm is to form a system model and develop control laws from analysis of this model. The controller may be modified based on results of testing and experience. Due to difficulties of analysis, many such controllers are linear. The fuzzy controller approach is to somewhat reversed. General control rules that are relevant to a particular system based on experience are introduced and analysis or modeling considerations come later. For example, consider the following general control law for a positioning system. This rule implements a control concept for anticipating the desired position and reducing the control level before the set point is reached in order to avoid overshoot. The quantities “small” and “large” are fuzzy quantities. the inertia of water that flows into the turbine presents additional constrains which are not present with steam flow in a thermal plant. However, the basic principle is still the same; i.e. the speed of the shaft is sensed and compared with a reference, and the feedback signal is utilized to increase or decreaseA full control design requires developing a set of control rules based on available inputs and designing a method of combining all rule conclusions. The precise fuzzy membership functions depend on the valid range of inputs and the general response characteristics of the system. Within power systems, fuzzy logic controllers have been proposed primarily for stabilization control 6.3 Fuzzy Decision-Making And Optimization The broadest class of problems within power system planning and operation is decision-making and optimization, which includes transmission planning, security analysis, optimal power flow, state estimation, and unit commitment, among others. These general areas have received great attention in the research community with some notable successes; however, most utilities still rely more heavily on experts than on sophisticated optimization algorithms. The problem arises from attempting to fit practical problems into rigid models of the system that can be optimized. This results in reduction in information either in the form of simplified constraints or objectives. The simplifications of the system model and subjectivity of the objectives may often be represented as uncertainties in the fuzzy model. Consider optimal power flow. It depends on the ability to maintain/restore equilibrium between load demand and load supply from the power system. Instability that may result occurs in the form of a progressive fall or rise of voltages of some buses.
  • 49.
    GOVERNING CONTROL ANDEXCITATION CONTROL FOR STABILITY OF POWER SYSTEM GCT DEE SESSION 2014-2018 Page 49 A possible outcome of voltage instability is loss of load in an area, or tripping of transmission lines and other elements by their protective systems leading to cascading outages. Loss of synchronism of some generators may result from these outages or from operating conditions that violate field current limit. Progressive drop in bus voltages can also be associated with rotor angle instability. Objectives could be cost minimization, minimal control adjustments, minimal emission of pollutants or maximization of adequate security margins. Physical constraints must include generator and load bus voltage levels, line flow limits and reserve margins. In practice, none of these constraints or objectives are well-defined. Still, a compromise is needed among these various considerations in order to achieve an acceptable solution. Fuzzy mathematics provides a mathematical framework for these considerations. The applications in this category are an attempt to model such compromises.