The Role of Healthy Lifestyle Choices on College Students 1
The Role of Healthy Lifestyle Choices
on a College Campus
Amy Teresa
Matea Mamic
Seattle University
The Role of Healthy Lifestyle Choices on College Students 2
Abstract
As it is known, exercise and healthy food choices are important for ones’ overall health. Due to
poor healthy lifestyle choices, one may suffer not just physiological health problems, but also
psychological health problems. Psychologist have studied and linked multiple factors that
influence a college student’s health, such as: health behavior, self-esteem, physical activity,
social support, nutrition, mental health, self-evaluation, mood, and stress. Research has indicated
that there is a strong indication that healthy living has benefits for physical and psychological
health. (Allen, Vella & Laborde, 2015.) Seeing’s as one of the researchers that conducted this
study is an athlete and an international student, and the other researcher is neither, we were
interested in differences in healthy lifestyle choices, self–esteem, and stress due to athletic
involvement, an international student, or neither. For the first time upon moving away from their
parents’ all students are responsible for making their own lifestyle choices and decisions on what
they consume on a daily basis. What are we going to eat? Where are we going to eat? How much
are we going to eat? Do we need to exercise? All these choices, and afterwards decisions affect
one’s overall health. Diet, exercise, self–esteem and stress are huge components that influence
how a college student moves through their four years of college. Part of this could be influenced
in the students eating habits, data associated with eating habits showed importance for increasing
fruits, vegetables, milk and dairy products intake, while the intake of sweets, soft drinks and fats
should be lowered (Djordjevic, 2013, p.552). Are athletes and non–athletes really prepared and
able to make this decision to the best of their knowledge? While diet is important, exercise has
just as much as an impact on a college student, during the last ten years’ research has shown that
young people spend increasingly more time in front of the TV/computer (Djordjevic, 2013,
The Role of Healthy Lifestyle Choices on College Students 3
p.548). In addition, less – frequent exercise was related with more negative health symptoms and
poorer health. (Weatherill, Krill, Orazem & Taft, 2013.) This has taken away from the time that
the student would spend being active or engaging with other students. Moreover, this could
create a feeling of isolation which could lead to lower self-esteem. Current research has proven
that greater knowledge about diet, physical activity, frequent healthy eating would predict higher
self-esteem (Marcos, 2010, p.144-145). Many college campuses have become aware of this and
have tried to engage the students in a healthy life style. Athletes are unique because they do
intense sports activities, five or more hours per day which separates them from non–athletes, and
that is why we decided to dive into that topic more deeply. Our data on this subject has been
obtained from Seattle University. There is limited information regarding variety of activities,
type of sports, and resources that athletes have access to on college campus, but regardless our
research will be focused more on athletes and their healthy lifestyle choices versus international
students.
The Role of Healthy Lifestyle Choices on a College Campus
Health, in regards to diet and exercise, is of paramount importance during one’s four
years spent at college because, it can determine how the rest of one’s adult life plays out.
Previous research has found that one’s lifestyle choices is an indicator of one’s overall well-
being. There is an array of factors that influences one’s overall health. The current study explores
stress and self-esteem to see how these factors influenced or impacted health. Healthy lifestyle
choices is operationally defined as, individual choices students make regarding diet and exercise.
Stress is operationally defined as, the degree which to college students perceive their lives as
stressful. Self-esteem is operationally defined as, feeling of self-worth that includes positive
The Role of Healthy Lifestyle Choices on College Students 4
feelings towards oneself. The current study found that most current researcher focused on gender
and its relationship and or effect on the demographic variables. Instead of focusing on gender,
the current study decided to explore athletes, international, and traditional students and its
relationship and or effect on the demographic variables of health, stress, and self-esteem. The
reason for conducted this study was to educate athletes, international, and traditional college
students on the importance of making health decision, limiting stress, and having higher self-
esteem.
An article written by Hubbs, Bowden, and Doyle (2012) was very similar to the current
study, they explored the relationships among self-esteem, stress and physical activity in college.
There findings revealed that there was no significant correlation between perceived stress, and
self-esteem. And that there was no significant correlation between self-esteem and physical
activity or perceived stress and physical activity. These findings indicate that self-esteem,
perceived stress, and physical activity have a different effect on both genders as they move
through their college years. Although Kelly, Melnyk, Jacobson, and O’Haver (2011) found that
ones’ lifestyle influences their attitude, behavior skills, and social support.
Another article focused on international students. Almohannas, Conforti, Eigel, and
Barbeau (2015) explored the impact of dietary acculturation on the food habits, weight, blood
pressure, and fasting blood glucose levels of international students. Their findings indicate that
there was a decline among international student’s consumption of their native diet and cooking
meals at home, an increase in consumption of fast food, skipping meals, which was replaced with
snacks, eating out, and an overall decrease in physical activities. Spendlove (2012) focused on
athletes, their findings reveal that athletes overall are more education about making healthy
decisions compared to non-athletes.
The Role of Healthy Lifestyle Choices on College Students 5
Health was one of the key search terms when researching for the current study, due to the
importance of healthy eating and exercise, according to (Djordevic, 2013). An article by Allen,
Vella, and Laborde, (2015) explored health–related behavior and personality trait development in
adulthood. Their findings suggest that healthy lifestyle choices is associated with personality trait
development in adulthood. Another study by O’dea (2013) examined barriers to healthy lifestyle
choices that influence adolescents, with the hopes of informing adolescents of the importance of
healthy lifestyle choices before attending college. Currently, our society needs to be better
educated on the importance of health because Racette et al., (2008) found that during a student’s
four years spent at college their weight and BMI increases significantly, and that the majority of
this weight gain does happen the students’ freshmen year. Still another article by Plotnikoff et
al., (2015) explored effectiveness of interventions targeting physical activity, nutrition and
healthy weight for university and college students. Their findings suggest that there is a positive
effectiveness of interventions targeting nutrition, physical activity, and weight-loss behavior
amongst university students.
Self-esteem was another of the key search terms. An article by Merianos, Nabors,
Vidourek, and King (2013) examined the influence of self-esteem and social support and the
influence of family, friends, and significant others on college students’ and how they perceive
their mental health problems. The findings lead one to conclude that although a majority of
college students suffered from a chronic condition, what helped them move through their
struggles was their relationship with parents, friends, and peers. Interestingly enough Popov and
Radanovic (2015) imply within their reserach that it’s not the level of self-esteem that is
important, rather the quality. Still another article by Marcos (2010) explored whether or not
health behaviors and motives predict college student’s self-esteem. They found that if one eats
The Role of Healthy Lifestyle Choices on College Students 6
poorly and exercised less regularly then they would be more likely to suffer from lower self-
esteem. Makinen et al., (2012) found that females experienced much more body dissatisfaction
compared to males, while males reported higher self–esteem scores than females. Interestingly in
Marcos (2010) study, better eating pattern were associated with males. These findings suggest
that primarily choosing foods and exercising for health reasons can significantly predict higher
self-esteem in college students. However, athletic involvement during college effects one
physically and psychologically, many have too much on their plate and are over training causing
them to have higher levels of stress.
Not only is health of paramount importance on a college campus but self-esteem as well.
The current study wanted to dig a little deeper and see how athletes, international, and traditional
students were effected by outside influences that shaped their self-esteem. An article by Gunes,
and Calik, (2015) found that ones’ choice of study within college effects their overall health.
Although the current study did not look at major’s students were studying, within the survey the
individual marked whether or not they were an athlete, whether or not they chose to relocate to
this university from another country, or if they chose to do neither.
Still another avenue of research within the current study was Stress. Current research has
revealed that one in five American adults reported experiencing a mental illness within the last 5
years (Merianos, 2013) and that currently there are 10 million full-time college students within
the United States, (Racette, 2008). A study by Rutter et al., (2013) explored posttraumatic stress
disorder symptoms, depressive symptoms, exercise, and health on a college campus. These
findings suggest that exercise may partially account for the relationship between depressive
symptoms, poor health, and PTSD. Although the current study could not directly ask the
question of PTSD, and depressive symptoms, within the qualitative portion of the survey there
The Role of Healthy Lifestyle Choices on College Students 7
was a space for the surveyor to fill in what they thought influenced their overall health.
Surprisingly enough, everyone wrote positive comments and not one person alluded to anything
negative.
In summary, over the past five years, from 2011 to current day, much research has been
conducted to better understand the health on college campuses. They have studied and linked
multiple factors such as: health behavior, self-esteem, eating attitudes, physical activity, social
support, nutrition, healthy weight, mental health, self-evaluation, mood, and stress. The findings
have been consistent and astonishing. Regardless of the reasoning, college campuses should take
these finding serious and try and make college campus a safe place for student’s overall health.
Currently research by Gunes and Calik (2015) indicates that, college students constitute one of
the risk groups due the psychosocial conditions that they experience with regard to age and
living in a new environment. Diet, exercise and self-esteem are huge components of how a
college student moves through these four years. Part of this could be influenced in the students
eating habits, simply they are not eating enough fruits, vegetables, milk and dairy products, while
the majority of their diet consist of sweets, soft drinks and food rich in fat (Djordjevic, 2013).
While diet is important, exercise has just as much as an impact on a college student
because, it has become the norm for young people to spend the majority of their time in front of
the TV/computer (Djordjevic, 2013). This has taken away from the time that the student would
have spent being active or engaging with other students. This could create a feeling of isolation
which could lead to lower self-esteem. Current research according to Marcos (2010) has proven
that, college students need to have a greater knowledge of diet, spend more time being physical
activity, and make healthier eating choices and in order to increase their self-esteem. Many
The Role of Healthy Lifestyle Choices on College Students 8
college campuses have become aware of this and have tried to engage the students in a healthy
life style.
It is a common belief within our society that people consume food as a means of comfort.
The overabundance of fast food, proceed food, and easy means of transportation have greatly
impacted this new life style change. Throughout the United States of America people have a
tendency to overeat because they have not properly learned to recognize when they are hungry or
satisfied and need signals from outside factors to know when to eat and how much. Emotional
tension and unpleasant feelings will drive such a person to overeating (Kister, 2015). Both the
feelings of emotional tension and unpleasant feelings bombard college students as they learn to
fit into a new environment. This can be increased for international students because the shift
from their previous life to current circumstances is much larger. This can cause college students
to be at a higher risk for no making healthy lifestyle choices, having an increase of stress and low
self-esteem.
The current study aims to take all these findings and fill in the gaps and hypothesized that
exercise on a regular basis would be predictive of healthy lifestyle choices, athletic involvement
would have a positive effect on healthy lifestyle choices, international students would have a
positive effect on healthy lifestyle choices, and that athletic involvement would have a positive
effect on stress. Focusing on athletes, international, and traditional students and the importance
of how stress effects their healthy lifestyle choices and self-esteem.
Methods
Participants
The Role of Healthy Lifestyle Choices on College Students 9
Two participants out of 101 failed to complete the survey, and because of that their data
was excluded for the purposes of the research. Incomplete demographics part of the survey was
left in the Excel and SPSS as blank.
Measures
Demographic Information
Stress Survey respondents were asked to rank, all items on a 5 – point scale, ranging from
0 (never) to 4 (almost always). Cohens Perceived Stress Scale (PSS) scores are acquired by
reversing scores of the 4 positively stated items, out of the total 10. Items 4, 5, 7 and 8 are
reverse scored where 0=4, 1=3, 2=2, and then summed across all 10 items.
Self–esteem Survey respondents were ranked on a Rosenberg self–esteem scale
0=strongly disagree, 1=disagree, 2=agree, 3=strongly agree. Items 2, 5, 6, 8, and 9 are reverse
scored where 0=3, and 1=2. All scores are summed across all 10 items.
Healthy lifestyle choices This scale was created regarding questions about diet, eating
habits, healthy lifestyle, and exercising. Variables are related and summed in order to get a one
variable “healthy lifestyle choices”. Variable “exercise on a regular basis” was looked
individually from healthy lifestyle scale for purposes of hypothesis 1.
Other Measures There was a final qualitative section that asked participants to rate their
self-esteem as either low, medium, or high, and two open-ended questions regarding
participants’ perception of closeness in relationships.
Analyses
Hypothesis 1: Exercise on a regular basis is predictive of healthy lifestyle choices.
Regression analysis was conducted to examine is exercise on regular basis predictive of healthy
lifestyle choices. After entry of Healthy Lifestyle Scale into SPSS, the final measure indicates
The Role of Healthy Lifestyle Choices on College Students 10
that exercise on a regular basis is significantly predictive of healthy lifestyle choices ( = .604,
p= .0001). See Figure 3, Appendices.
Hypothesis 2: Athletic involvement has a positive effect on healthy lifestyle choices.
Independent samples t – test was conducted to examine effect between athletic involvement and
healthy lifestyle choices. Equal variances cannot be assumed, however there is alternative t – value
which satisfies the fact when variances are unequal. The results of an independent samples t – test
revealed that athletic involvement has a significant positive effect on healthy lifestyle choices t
(87.877) = 5.288, p = .0001.
Hypothesis 3: Gender has an effect on healthy lifestyle choices. Independent samples t –
test was conducted to examine effect of gender on healthy lifestyle choices. Equal variances cannot
be assumed, however there is alternative t – value which satisfies the fact when variances are
unequal. The results of an independent samples t – test revealed that gender has no significant
effect on healthy lifestyle choices t (73.312) = 1.329, p = .188. It did not matter if someone is male
or female in their preference for healthy lifestyle. See Table 2, Appendices.
Hypothesis 4: International students have an effect on healthy lifestyle choices.
Independent samples t – test was conducted to examine if international students have an effect on
healthy lifestyle choices. Equal variances are assumed, and the results of an independent samples
t – test revealed that there is no significant effect between being international student and healthy
lifestyle t (97) = 1.610, p = .111.
Hypothesis 5: Athletic involvement has an effect on stress. Independent samples t – test
was conducted to examine if athletic involvement has an effect on stress. Equal variances are
assumed, and the results of an independent samples t – test revealed that athletic involvement has
a significant effect on stress t (97) = -2.450, p = .016. As expected, athletes reported more stress
The Role of Healthy Lifestyle Choices on College Students 11
than non–athletes. Figure 2 shows the mean stress of athletes and non-athletes. See Figure 2,
Appendices.
Hypothesis 6: Athletic involvement has an effect on body confidence.
To examine effect of an athletic involvement on a body confidence an independent
samples t – test was run. Lavene’s test for homogeneity of variances indicated that equal
variances could be assumed. The results of an independent samples t – test revealed that athletic
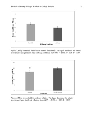
involvement has significant effect on body confidence t (89.808) = -2.890, p < .005, d = 4.087.
See Figure 1, Appendices.
Hypothesis 7: There is relationship between athletic involvement and self-esteem.
To examine relationship between athletic involvement and self-esteem correlation
analyses were run. The results of correlation analyses indicated that there was a negative
relationship between athletic involvement and self-esteem r (99) = - .397, p < .0001, r2 = 0.158.
Results
Participants
Seventy – two persons were approached and asked if they want to participate in the brief
voluntary anonymous survey. Of these, seventy of them agreed to participate. One participant
was not qualified to participate because she was under age of 18. One participant failed to
complete the survey. Thirty – one participants took our survey online through the Qualtrics.
Total number of our sample includes 99 participants (96% of those who agreed to participate).
The sample contains 51 females (51%), 44 males (44%), 1 transgender (1%), 1 non –
binary (1%), and 2 participants identified as other (2%). The average age of our sample is 20
years (SD = 2.2). The sample involved 42 Caucasian (42%), 8 African – Americans (8%), 26
Asian – Pacific (26%), 16 Mixed (16%), 3 Hispanics (3%), and 2 Other (2%).
The Role of Healthy Lifestyle Choices on College Students 12
Preliminary Analysis
The results of our preliminary correlation analysis revealed that athletic involvement had
significant relationship with healthy lifestyle choices (r = - .457, p = .0001). Additionally,
correlation analysis revealed that there is significant relationship between ethnicity and athletic
involvement (r = .203, p = .046), and international students and athletes (r = .304, p = .002).
Table 1 shows differences in mean of student identifiers.
Hypothesis 1: Exercise on a regular basis is predictive of healthy lifestyle choices.
Regression analysis was conducted to examine is exercise on regular basis predictive of
healthy lifestyle choices. After entry of Healthy Lifestyle Scale into SPSS, the final measure
indicates that exercise on a regular basis is significantly predictive of healthy lifestyle choices (
= .604, p= .0001).
Hypothesis 2: Athletic involvement has a positive effect on healthy lifestyle choices.
Independent samples t – test was conducted to examine effect between athletic involvement
and healthy lifestyle choices. Equal variances cannot be assumed, however there is alternative t –
value which satisfies the fact when variances are unequal. The results of an independent samples
t – test revealed that athletic involvement has a significant positive effect on healthy lifestyle
choices t (87.877) = 5.288, p = .0001.
Hypothesis 3: Gender has an effect on healthy lifestyle choices.
Independent samples t – test was conducted to examine effect of gender on healthy lifestyle
choices. Equal variances cannot be assumed, however there is alternative t – value which satisfies
the fact when variances are unequal. The results of an independent samples t – test revealed that
gender has no significant effect on healthy lifestyle choices t (73.312) = 1.329, p = .188. It did not
matter if someone is male or female in their preference for healthy lifestyle.
The Role of Healthy Lifestyle Choices on College Students 13
Hypothesis 4: International students have an effect on healthy lifestyle choices.
Independent samples t – test was conducted to examine if international students have an
effect on healthy lifestyle choices. Equal variances are assumed, and the results of an
independent samples t – test revealed that there is no significant effect between being
international student and healthy lifestyle t (97) = 1.610, p = .111.
Hypothesis 5: Athletic involvement has an effect on stress.
Independent samples t – test was conducted to examine if athletic involvement has an
effect on stress. Equal variances are assumed, and the results of an independent samples t – test
revealed that athletic involvement has a significant effect on stress t (97) = -2.450, p = .016. As
expected, athletes reported more stress than non–athletes. Figure 2 shows the mean stress of
athletes and non–athletes.
Discussion
This study examined the impact of healthy lifestyle choices on a college campus, and
how various factors, such as stress, self-esteem, being an international student, an athlete, or a
non-athlete effected how the students moves through their four years of college. Our findings
indicate that athletes are under more stress then non-athletes, that athletes have a higher body
confidence then non-athletes, and that athletes make better healthy lifestyle choices then non-
athletes. We speculate that there are outside factors that have influenced our findings. It is a
common understanding that the US encourages emerging adults to receive a higher education,
and independence we do not promote being mindful of making healthy lifestyle choices. All one
simply needs to do, is tour a few of the college campuses across the US and look at what is being
served in the cafeteria and what the students are consuming. Our results from doing a study at
Seattle University are a little skewed because Seattle as a whole is a more mindful city then
The Role of Healthy Lifestyle Choices on College Students 14
many others. A majority of individuals that reside within Seattle try to be mindful of the foods
they are consuming, and the amount of exercise they engage in. One could speculate that this is
due to the fact that a large majority of individuals that live within Seattle are highly educated
with a salary to match. All this influences the environment that we know as Seattle. However,
many students that attended Seattle University are not from the Seattle area. Many come from
other states or even other countries. And it is interesting to look and see how living in Seattle, a
larger more urban community, has effected the college student’s healthy lifestyle choices. Within
the study we looked at the foods that students were consuming on a regular basis. It would have
been interesting to see how their food consumption had changed from living at home with their
parents to moving to college and living on their own.
We speculate that athletes are under more stress then non-athletes because they have
more on their plate. Not only do they have to perform well on the field/ court in order to keep
their position on the team, but they have to perform well in the class room in order to stay on the
team. On top of that there is the financial aspect. Many athletes are attending college on a
scholarship and if they receive poor grades then they can lose their scholarship and if they
perform poorly on the field/court they then could also lose their scholarship. Either way they are
required to perform well both academically and on the field/ court. For many this is a lot to
juggle, and can be daunting for college students because on top of all that is expected of them,
college, for many, is their first time living away from home and being solely responsible for their
actions.
We also speculate, that the reason for athletes having higher body confidence is due to
the fact that they exercise on a regular basis and have a strict diet that they have to follow. This
causes them to not only feel good about their body but also keeps them in a more fit shape
The Role of Healthy Lifestyle Choices on College Students 15
allowing them to be pleased with their physical appearance. One must also take into
consideration that college athletes have been training and competitively playing for many years
prior to college. One’s body confidence is not something that emerges in college, rather it is
something that all individuals develop from a young age. Due to this one could speculate that
athletes in general have higher body confidence then non-athletes because they have always
engaged in an activity that caused them to have a fit body and a more mindful attitude on the
importance of staying in shape.
Lastly we speculate that athletes make better healthy lifestyle choices then non-athletes
simply due to the fact that they are educated by their coach and nutritionist on the overall
importance of making healthy lifestyle choices. On top of that they are required in order to play
on the team to follow through with what they have learned. Athletes unlike non-athletes have an
adult that they have to check in with and communicate their eating and exercise habits. Most all
other non-athletic college students don’t have anyone to check in with, it could be due to this that
they take greater risk in making unhealthy food choices.
As was indicated in the current study, non-athletic involvement was correlated with low
body confidence. It is of paramount importance that this issue gets not only addressed but
corrected. We live in a society that has bombards adolescence that they must look a certain way
in order to fit the norm. Due to this we have many emerging adults with body confidence issues,
eating disorders, low self-esteem, etc. This must change. Instead of the relationship between food
consumption and physical appeal, we should create the idea of making good food choices with
living a healthier, more active, and long life. Education should start in elementary school and the
importance of eating whole foods and not processed foods should be pushed. There are so many
lifelong benefits and that is what we as a society should be focusing on. This could be great
The Role of Healthy Lifestyle Choices on College Students 16
suggestion for future research, to look at college students that were taught the importance of
making healthy food choices at a young age compared to college students whom were given no
education on the importance and impact of making healthy lifestyle choices.
Acknowledgments
I would like to thank the Seattle University Psychology Department for funding our
project, as well as Michael J. Spinetta, Ph.D., for his continuous support in helping me to
complete this study.
The Role of Healthy Lifestyle Choices on College Students 17
References
Allen, M. S., Vella, S. A., & Laborde, S. (2015). Health-related behavior and personality trait
development in adulthood. Journal of Research in Personality, 59104-110.
doi:10.1016/j.jrp.2015.10.005
Almohanna, A., Conforti, F., Eigel, W., & Barbeau W. (2015). Impact of Dietary Acculturation
on the Food Habits, Weight, Blood Pressure, and Fasting Blood Glucose Levels of
International College Students. Journal of American College Health, 63:5, 307-314. DOI:
101080/074481.2015.1025075
Bandura, A. (1997). Self – efficacy: Toward a unifying theory of behavioral change.
Psychological Review, 84(2), 191 – 215.
Djordjevic-Nikic, M., Dopsaj, M., Veskovic, A. (2013) Nutritional and physical activity
behaviors and habits in adolescent population of Belgrade. Vojnosanitetski pregled 70
(6), 548 – 554. DOI: 10.2298/VSP1306548D
Houghton, J. D., Wu, J., Godwin, J. L., Neck, C. P., & Manz, C. C. (2012). Effective Stress
Management: A Model of Emotional Intelligence, Self – Leadership, and Student Stress
Coping. Journal of Management Education, 36(2), 220 - 238. DOI:
10.1177/1052562911430205
Hubbs, A., Doyle, E. I., Bowden, R. G., & Doyle, R. D. (2012). Relationships among self-
esteem, stress, and physical activity in college students. Psychological Reports, 110(2),
469-474. doi:10.2466/02.07.09.PR0.110.2.469-474
Hughes, L., & Leavey, G. (2012). Setting the bar: athletes and vulnerability to mental illness.
The British Journal of Psychiatry, 200(2), 95-96. DOI: 10.1192/bjp.bp.111.095976
The Role of Healthy Lifestyle Choices on College Students 18
Kelly, S. A., Melnyk, B. M., Jacobson D. L., & O’ Haver, J. A. (2011). Correlates among healthy
lifestyle cognitive beliefs, healthy lifestyle choices, social support, and healthy behaviors
in adolescents: implications for behavioral change strategies and future research. Journal
of Pediatric Health Care, 25(4), 216-23. doi: 10.1016/j.pedhc.2010.03.002
Mäkinen, M., Viertomies – Puukko, L. R., Lindberg, N., Siimes M. A., Aalberg, V. (2012) Body
dissatisfaction and body mass in girls and boys transitioning from early to mid-
adolescence: additional role of self-esteem and eating habits. BMC Psychiatry 12(35), 1-
8. DOI: 10.1186/1471-244X-12-35
Melnyk, B., Small, L., Morrison-Beedy, D., Strasser, A., Spath, L., Kreipe, R., Van
Blankenstein, S. (2006). Mental health correlates of healthy lifestyle attitudes, choices
behaviors in overweight teens. Journal of Pediatric Health Care, 20(6), 401-406.
Merianos, A. L., Nabors, L. A., Vidourek, R. A., & King, K. A. (2013). The impact of self-
esteem and social support on college students' mental health. American Journal of Health
Studies, 28(1), 27-34.
Nastaskin, R. S., Fiocco A. J. (2015) A survey of diet self – efficacy and food intake in students
with high and low perceived stress. Nutrition Journal 14(42), 1 – 8. DOI:
10.1186/s12937-015-0026-z
Nicholls, A. R., Polman, R. J., Levy, A. R., & Borkoles, E. (2010). The mediating role of coping:
A cross-sectional analysis of the relationship between coping selfefficacy and coping
effectiveness among athletes. International Journal of Stress Management, 17, 181-192.
O’dea, J. A. (2003). Why do kids eat healthful food? Perceived benefits of and barriers to
healthful eating and physical activity among children and adolescents. Journal of
American Dietetic Association, 103, 497 – 501. doi: 10.1053/jada.2003.50064
The Role of Healthy Lifestyle Choices on College Students 19
Plotnikoff, R. C., Costigan, S. A., Williams, R. L., Hutchesson, M. J., Kennedy, S. G., Robards,
S. L., & ... Germov, J. (2015). Effectiveness of interventions targeting physical activity,
nutrition and healthy weight for university and college students: A systematic review and
meta-analysis. The International Journal of Behavioral Nutrition And Physical Activity,
12. doi:10.1186/s12966-015-0203-7
Racette, S. B., Deusinger, S. S., Strube, M. J., Highstein, G. R., & Deusinger, R. H. (2008).
Changes in weight and health behaviors from freshman through senior year of college.
Journal Of Nutrition Education And Behavior, 40(1), 39-42.
doi:10.1016/j.jneb.2007.01.001
Rutter, L. A., Weatherill, R. P., Krill, S. C., Orazem, R., & Taft, C. T. (2013). Posttraumatic
stress disorder symptoms, depressive symptoms, exercise, and health in college students.
Psychological Trauma: Theory, Research, Practice, and Policy, 5(1), 56-61.
doi:10.1037/a0021996
Spendlove, J. K., Heaney, S. E., Gifford, J. A., Prvan, T., Denyer, G. S., & O’ Connor, H. T.
(2012). Evaluation of general nutrition knowledge in elite Australian athletes. British
Journal of Nutrition, 107, 1871 – 1880. doi:10.1017/S0007114511005125
Spink, K. S., Shields, C. A., Chad, K., Odnokon, P., Muhajarine, N., & Humbert, L. (2006).
Correlations of structured and unstructured activity among sufficiently active youth and
adolescents: A new approach to understanding physical activity. Pediatric Exercise
Science, 18(2), 203 – 215.
The Role of Healthy Lifestyle Choices on College Students 20
Appendices
Table 1
Shows number of individuals sampled and their scores based on the dependent variables exercise
frequency, healthy lifestyle, self-esteem, and stress.
# Of
Students
Often
Exercise
Healthy
Lifestyle
Scale
Self-esteem Stress
International/ Athlete 20 3 ± 0 30.35 ± 2.87 16.8 ± 1.99 17.6 ±
6.42
International/ not an
Athlete
9 1.11 ± .33 25 ± 4.18 14.56 ±
2.92
20.78 ±
4.90
Not International/
Athlete
25 2.88 ± .33 29.36 ± 2.72 15.6 ± 1.82 16.24 ±
5.46
Not International/ Not
Athlete
45 1.8 ± .63 25.87 ± 4.90 14.51 ±
1.53
19.53 ±
6.03
Table 2
Shows number of individuals, their sex assigned at birth and their score based on the dependent
variables exercise frequency, healthy lifestyle, self-esteem, and stress.
# of
International
# of
Athletes
# of
Students
Often
Exercise
Healthy
Lifestyle
Scale
Self-
esteem
Stress
Female 14 23 52 2.33 28.17±3.50 14.98±1.90 19.40±6.13
Male 15 22 47 2.17 26.91±5.30 15.55±2.17 17.34±5.73
The Role of Healthy Lifestyle Choices on College Students 21
Figure 1. Body confidence mean of non–athletes and athletes. This figure illustrates that athletic
involvement has significant effect on body confidence t (89.808) = -2.890, p < .005, d = 4.087.
Figure 2. Mean stress of athletes and non–athletes. This figure illustrates that athletic
involvement has a significant effect on stress t (97) = -2.450, p < .016, d = 3.465.
0
0.5
1
1.5
2
2.5
3
Non Athl Athlete
BodyConfidenceMean
College Students
0
5
10
15
20
25
Athlete Not an Athlete
MeanStress±SEM
Students
*
The Role of Healthy Lifestyle Choices on College Students 22
Figure 3. Indicates that exercise on a regular basis was predictive of healthy lifestyle choices 
= .604, p < .0001, 2 = .359.
Exercise r = .604, p < .0001. r² = .359
Healthy
lifestyle
choices

Psyc 3050 Final Paper

  • 1.
    The Role ofHealthy Lifestyle Choices on College Students 1 The Role of Healthy Lifestyle Choices on a College Campus Amy Teresa Matea Mamic Seattle University
  • 2.
    The Role ofHealthy Lifestyle Choices on College Students 2 Abstract As it is known, exercise and healthy food choices are important for ones’ overall health. Due to poor healthy lifestyle choices, one may suffer not just physiological health problems, but also psychological health problems. Psychologist have studied and linked multiple factors that influence a college student’s health, such as: health behavior, self-esteem, physical activity, social support, nutrition, mental health, self-evaluation, mood, and stress. Research has indicated that there is a strong indication that healthy living has benefits for physical and psychological health. (Allen, Vella & Laborde, 2015.) Seeing’s as one of the researchers that conducted this study is an athlete and an international student, and the other researcher is neither, we were interested in differences in healthy lifestyle choices, self–esteem, and stress due to athletic involvement, an international student, or neither. For the first time upon moving away from their parents’ all students are responsible for making their own lifestyle choices and decisions on what they consume on a daily basis. What are we going to eat? Where are we going to eat? How much are we going to eat? Do we need to exercise? All these choices, and afterwards decisions affect one’s overall health. Diet, exercise, self–esteem and stress are huge components that influence how a college student moves through their four years of college. Part of this could be influenced in the students eating habits, data associated with eating habits showed importance for increasing fruits, vegetables, milk and dairy products intake, while the intake of sweets, soft drinks and fats should be lowered (Djordjevic, 2013, p.552). Are athletes and non–athletes really prepared and able to make this decision to the best of their knowledge? While diet is important, exercise has just as much as an impact on a college student, during the last ten years’ research has shown that young people spend increasingly more time in front of the TV/computer (Djordjevic, 2013,
  • 3.
    The Role ofHealthy Lifestyle Choices on College Students 3 p.548). In addition, less – frequent exercise was related with more negative health symptoms and poorer health. (Weatherill, Krill, Orazem & Taft, 2013.) This has taken away from the time that the student would spend being active or engaging with other students. Moreover, this could create a feeling of isolation which could lead to lower self-esteem. Current research has proven that greater knowledge about diet, physical activity, frequent healthy eating would predict higher self-esteem (Marcos, 2010, p.144-145). Many college campuses have become aware of this and have tried to engage the students in a healthy life style. Athletes are unique because they do intense sports activities, five or more hours per day which separates them from non–athletes, and that is why we decided to dive into that topic more deeply. Our data on this subject has been obtained from Seattle University. There is limited information regarding variety of activities, type of sports, and resources that athletes have access to on college campus, but regardless our research will be focused more on athletes and their healthy lifestyle choices versus international students. The Role of Healthy Lifestyle Choices on a College Campus Health, in regards to diet and exercise, is of paramount importance during one’s four years spent at college because, it can determine how the rest of one’s adult life plays out. Previous research has found that one’s lifestyle choices is an indicator of one’s overall well- being. There is an array of factors that influences one’s overall health. The current study explores stress and self-esteem to see how these factors influenced or impacted health. Healthy lifestyle choices is operationally defined as, individual choices students make regarding diet and exercise. Stress is operationally defined as, the degree which to college students perceive their lives as stressful. Self-esteem is operationally defined as, feeling of self-worth that includes positive
  • 4.
    The Role ofHealthy Lifestyle Choices on College Students 4 feelings towards oneself. The current study found that most current researcher focused on gender and its relationship and or effect on the demographic variables. Instead of focusing on gender, the current study decided to explore athletes, international, and traditional students and its relationship and or effect on the demographic variables of health, stress, and self-esteem. The reason for conducted this study was to educate athletes, international, and traditional college students on the importance of making health decision, limiting stress, and having higher self- esteem. An article written by Hubbs, Bowden, and Doyle (2012) was very similar to the current study, they explored the relationships among self-esteem, stress and physical activity in college. There findings revealed that there was no significant correlation between perceived stress, and self-esteem. And that there was no significant correlation between self-esteem and physical activity or perceived stress and physical activity. These findings indicate that self-esteem, perceived stress, and physical activity have a different effect on both genders as they move through their college years. Although Kelly, Melnyk, Jacobson, and O’Haver (2011) found that ones’ lifestyle influences their attitude, behavior skills, and social support. Another article focused on international students. Almohannas, Conforti, Eigel, and Barbeau (2015) explored the impact of dietary acculturation on the food habits, weight, blood pressure, and fasting blood glucose levels of international students. Their findings indicate that there was a decline among international student’s consumption of their native diet and cooking meals at home, an increase in consumption of fast food, skipping meals, which was replaced with snacks, eating out, and an overall decrease in physical activities. Spendlove (2012) focused on athletes, their findings reveal that athletes overall are more education about making healthy decisions compared to non-athletes.
  • 5.
    The Role ofHealthy Lifestyle Choices on College Students 5 Health was one of the key search terms when researching for the current study, due to the importance of healthy eating and exercise, according to (Djordevic, 2013). An article by Allen, Vella, and Laborde, (2015) explored health–related behavior and personality trait development in adulthood. Their findings suggest that healthy lifestyle choices is associated with personality trait development in adulthood. Another study by O’dea (2013) examined barriers to healthy lifestyle choices that influence adolescents, with the hopes of informing adolescents of the importance of healthy lifestyle choices before attending college. Currently, our society needs to be better educated on the importance of health because Racette et al., (2008) found that during a student’s four years spent at college their weight and BMI increases significantly, and that the majority of this weight gain does happen the students’ freshmen year. Still another article by Plotnikoff et al., (2015) explored effectiveness of interventions targeting physical activity, nutrition and healthy weight for university and college students. Their findings suggest that there is a positive effectiveness of interventions targeting nutrition, physical activity, and weight-loss behavior amongst university students. Self-esteem was another of the key search terms. An article by Merianos, Nabors, Vidourek, and King (2013) examined the influence of self-esteem and social support and the influence of family, friends, and significant others on college students’ and how they perceive their mental health problems. The findings lead one to conclude that although a majority of college students suffered from a chronic condition, what helped them move through their struggles was their relationship with parents, friends, and peers. Interestingly enough Popov and Radanovic (2015) imply within their reserach that it’s not the level of self-esteem that is important, rather the quality. Still another article by Marcos (2010) explored whether or not health behaviors and motives predict college student’s self-esteem. They found that if one eats
  • 6.
    The Role ofHealthy Lifestyle Choices on College Students 6 poorly and exercised less regularly then they would be more likely to suffer from lower self- esteem. Makinen et al., (2012) found that females experienced much more body dissatisfaction compared to males, while males reported higher self–esteem scores than females. Interestingly in Marcos (2010) study, better eating pattern were associated with males. These findings suggest that primarily choosing foods and exercising for health reasons can significantly predict higher self-esteem in college students. However, athletic involvement during college effects one physically and psychologically, many have too much on their plate and are over training causing them to have higher levels of stress. Not only is health of paramount importance on a college campus but self-esteem as well. The current study wanted to dig a little deeper and see how athletes, international, and traditional students were effected by outside influences that shaped their self-esteem. An article by Gunes, and Calik, (2015) found that ones’ choice of study within college effects their overall health. Although the current study did not look at major’s students were studying, within the survey the individual marked whether or not they were an athlete, whether or not they chose to relocate to this university from another country, or if they chose to do neither. Still another avenue of research within the current study was Stress. Current research has revealed that one in five American adults reported experiencing a mental illness within the last 5 years (Merianos, 2013) and that currently there are 10 million full-time college students within the United States, (Racette, 2008). A study by Rutter et al., (2013) explored posttraumatic stress disorder symptoms, depressive symptoms, exercise, and health on a college campus. These findings suggest that exercise may partially account for the relationship between depressive symptoms, poor health, and PTSD. Although the current study could not directly ask the question of PTSD, and depressive symptoms, within the qualitative portion of the survey there
  • 7.
    The Role ofHealthy Lifestyle Choices on College Students 7 was a space for the surveyor to fill in what they thought influenced their overall health. Surprisingly enough, everyone wrote positive comments and not one person alluded to anything negative. In summary, over the past five years, from 2011 to current day, much research has been conducted to better understand the health on college campuses. They have studied and linked multiple factors such as: health behavior, self-esteem, eating attitudes, physical activity, social support, nutrition, healthy weight, mental health, self-evaluation, mood, and stress. The findings have been consistent and astonishing. Regardless of the reasoning, college campuses should take these finding serious and try and make college campus a safe place for student’s overall health. Currently research by Gunes and Calik (2015) indicates that, college students constitute one of the risk groups due the psychosocial conditions that they experience with regard to age and living in a new environment. Diet, exercise and self-esteem are huge components of how a college student moves through these four years. Part of this could be influenced in the students eating habits, simply they are not eating enough fruits, vegetables, milk and dairy products, while the majority of their diet consist of sweets, soft drinks and food rich in fat (Djordjevic, 2013). While diet is important, exercise has just as much as an impact on a college student because, it has become the norm for young people to spend the majority of their time in front of the TV/computer (Djordjevic, 2013). This has taken away from the time that the student would have spent being active or engaging with other students. This could create a feeling of isolation which could lead to lower self-esteem. Current research according to Marcos (2010) has proven that, college students need to have a greater knowledge of diet, spend more time being physical activity, and make healthier eating choices and in order to increase their self-esteem. Many
  • 8.
    The Role ofHealthy Lifestyle Choices on College Students 8 college campuses have become aware of this and have tried to engage the students in a healthy life style. It is a common belief within our society that people consume food as a means of comfort. The overabundance of fast food, proceed food, and easy means of transportation have greatly impacted this new life style change. Throughout the United States of America people have a tendency to overeat because they have not properly learned to recognize when they are hungry or satisfied and need signals from outside factors to know when to eat and how much. Emotional tension and unpleasant feelings will drive such a person to overeating (Kister, 2015). Both the feelings of emotional tension and unpleasant feelings bombard college students as they learn to fit into a new environment. This can be increased for international students because the shift from their previous life to current circumstances is much larger. This can cause college students to be at a higher risk for no making healthy lifestyle choices, having an increase of stress and low self-esteem. The current study aims to take all these findings and fill in the gaps and hypothesized that exercise on a regular basis would be predictive of healthy lifestyle choices, athletic involvement would have a positive effect on healthy lifestyle choices, international students would have a positive effect on healthy lifestyle choices, and that athletic involvement would have a positive effect on stress. Focusing on athletes, international, and traditional students and the importance of how stress effects their healthy lifestyle choices and self-esteem. Methods Participants
  • 9.
    The Role ofHealthy Lifestyle Choices on College Students 9 Two participants out of 101 failed to complete the survey, and because of that their data was excluded for the purposes of the research. Incomplete demographics part of the survey was left in the Excel and SPSS as blank. Measures Demographic Information Stress Survey respondents were asked to rank, all items on a 5 – point scale, ranging from 0 (never) to 4 (almost always). Cohens Perceived Stress Scale (PSS) scores are acquired by reversing scores of the 4 positively stated items, out of the total 10. Items 4, 5, 7 and 8 are reverse scored where 0=4, 1=3, 2=2, and then summed across all 10 items. Self–esteem Survey respondents were ranked on a Rosenberg self–esteem scale 0=strongly disagree, 1=disagree, 2=agree, 3=strongly agree. Items 2, 5, 6, 8, and 9 are reverse scored where 0=3, and 1=2. All scores are summed across all 10 items. Healthy lifestyle choices This scale was created regarding questions about diet, eating habits, healthy lifestyle, and exercising. Variables are related and summed in order to get a one variable “healthy lifestyle choices”. Variable “exercise on a regular basis” was looked individually from healthy lifestyle scale for purposes of hypothesis 1. Other Measures There was a final qualitative section that asked participants to rate their self-esteem as either low, medium, or high, and two open-ended questions regarding participants’ perception of closeness in relationships. Analyses Hypothesis 1: Exercise on a regular basis is predictive of healthy lifestyle choices. Regression analysis was conducted to examine is exercise on regular basis predictive of healthy lifestyle choices. After entry of Healthy Lifestyle Scale into SPSS, the final measure indicates
  • 10.
    The Role ofHealthy Lifestyle Choices on College Students 10 that exercise on a regular basis is significantly predictive of healthy lifestyle choices ( = .604, p= .0001). See Figure 3, Appendices. Hypothesis 2: Athletic involvement has a positive effect on healthy lifestyle choices. Independent samples t – test was conducted to examine effect between athletic involvement and healthy lifestyle choices. Equal variances cannot be assumed, however there is alternative t – value which satisfies the fact when variances are unequal. The results of an independent samples t – test revealed that athletic involvement has a significant positive effect on healthy lifestyle choices t (87.877) = 5.288, p = .0001. Hypothesis 3: Gender has an effect on healthy lifestyle choices. Independent samples t – test was conducted to examine effect of gender on healthy lifestyle choices. Equal variances cannot be assumed, however there is alternative t – value which satisfies the fact when variances are unequal. The results of an independent samples t – test revealed that gender has no significant effect on healthy lifestyle choices t (73.312) = 1.329, p = .188. It did not matter if someone is male or female in their preference for healthy lifestyle. See Table 2, Appendices. Hypothesis 4: International students have an effect on healthy lifestyle choices. Independent samples t – test was conducted to examine if international students have an effect on healthy lifestyle choices. Equal variances are assumed, and the results of an independent samples t – test revealed that there is no significant effect between being international student and healthy lifestyle t (97) = 1.610, p = .111. Hypothesis 5: Athletic involvement has an effect on stress. Independent samples t – test was conducted to examine if athletic involvement has an effect on stress. Equal variances are assumed, and the results of an independent samples t – test revealed that athletic involvement has a significant effect on stress t (97) = -2.450, p = .016. As expected, athletes reported more stress
  • 11.
    The Role ofHealthy Lifestyle Choices on College Students 11 than non–athletes. Figure 2 shows the mean stress of athletes and non-athletes. See Figure 2, Appendices. Hypothesis 6: Athletic involvement has an effect on body confidence. To examine effect of an athletic involvement on a body confidence an independent samples t – test was run. Lavene’s test for homogeneity of variances indicated that equal variances could be assumed. The results of an independent samples t – test revealed that athletic involvement has significant effect on body confidence t (89.808) = -2.890, p < .005, d = 4.087. See Figure 1, Appendices. Hypothesis 7: There is relationship between athletic involvement and self-esteem. To examine relationship between athletic involvement and self-esteem correlation analyses were run. The results of correlation analyses indicated that there was a negative relationship between athletic involvement and self-esteem r (99) = - .397, p < .0001, r2 = 0.158. Results Participants Seventy – two persons were approached and asked if they want to participate in the brief voluntary anonymous survey. Of these, seventy of them agreed to participate. One participant was not qualified to participate because she was under age of 18. One participant failed to complete the survey. Thirty – one participants took our survey online through the Qualtrics. Total number of our sample includes 99 participants (96% of those who agreed to participate). The sample contains 51 females (51%), 44 males (44%), 1 transgender (1%), 1 non – binary (1%), and 2 participants identified as other (2%). The average age of our sample is 20 years (SD = 2.2). The sample involved 42 Caucasian (42%), 8 African – Americans (8%), 26 Asian – Pacific (26%), 16 Mixed (16%), 3 Hispanics (3%), and 2 Other (2%).
  • 12.
    The Role ofHealthy Lifestyle Choices on College Students 12 Preliminary Analysis The results of our preliminary correlation analysis revealed that athletic involvement had significant relationship with healthy lifestyle choices (r = - .457, p = .0001). Additionally, correlation analysis revealed that there is significant relationship between ethnicity and athletic involvement (r = .203, p = .046), and international students and athletes (r = .304, p = .002). Table 1 shows differences in mean of student identifiers. Hypothesis 1: Exercise on a regular basis is predictive of healthy lifestyle choices. Regression analysis was conducted to examine is exercise on regular basis predictive of healthy lifestyle choices. After entry of Healthy Lifestyle Scale into SPSS, the final measure indicates that exercise on a regular basis is significantly predictive of healthy lifestyle choices ( = .604, p= .0001). Hypothesis 2: Athletic involvement has a positive effect on healthy lifestyle choices. Independent samples t – test was conducted to examine effect between athletic involvement and healthy lifestyle choices. Equal variances cannot be assumed, however there is alternative t – value which satisfies the fact when variances are unequal. The results of an independent samples t – test revealed that athletic involvement has a significant positive effect on healthy lifestyle choices t (87.877) = 5.288, p = .0001. Hypothesis 3: Gender has an effect on healthy lifestyle choices. Independent samples t – test was conducted to examine effect of gender on healthy lifestyle choices. Equal variances cannot be assumed, however there is alternative t – value which satisfies the fact when variances are unequal. The results of an independent samples t – test revealed that gender has no significant effect on healthy lifestyle choices t (73.312) = 1.329, p = .188. It did not matter if someone is male or female in their preference for healthy lifestyle.
  • 13.
    The Role ofHealthy Lifestyle Choices on College Students 13 Hypothesis 4: International students have an effect on healthy lifestyle choices. Independent samples t – test was conducted to examine if international students have an effect on healthy lifestyle choices. Equal variances are assumed, and the results of an independent samples t – test revealed that there is no significant effect between being international student and healthy lifestyle t (97) = 1.610, p = .111. Hypothesis 5: Athletic involvement has an effect on stress. Independent samples t – test was conducted to examine if athletic involvement has an effect on stress. Equal variances are assumed, and the results of an independent samples t – test revealed that athletic involvement has a significant effect on stress t (97) = -2.450, p = .016. As expected, athletes reported more stress than non–athletes. Figure 2 shows the mean stress of athletes and non–athletes. Discussion This study examined the impact of healthy lifestyle choices on a college campus, and how various factors, such as stress, self-esteem, being an international student, an athlete, or a non-athlete effected how the students moves through their four years of college. Our findings indicate that athletes are under more stress then non-athletes, that athletes have a higher body confidence then non-athletes, and that athletes make better healthy lifestyle choices then non- athletes. We speculate that there are outside factors that have influenced our findings. It is a common understanding that the US encourages emerging adults to receive a higher education, and independence we do not promote being mindful of making healthy lifestyle choices. All one simply needs to do, is tour a few of the college campuses across the US and look at what is being served in the cafeteria and what the students are consuming. Our results from doing a study at Seattle University are a little skewed because Seattle as a whole is a more mindful city then
  • 14.
    The Role ofHealthy Lifestyle Choices on College Students 14 many others. A majority of individuals that reside within Seattle try to be mindful of the foods they are consuming, and the amount of exercise they engage in. One could speculate that this is due to the fact that a large majority of individuals that live within Seattle are highly educated with a salary to match. All this influences the environment that we know as Seattle. However, many students that attended Seattle University are not from the Seattle area. Many come from other states or even other countries. And it is interesting to look and see how living in Seattle, a larger more urban community, has effected the college student’s healthy lifestyle choices. Within the study we looked at the foods that students were consuming on a regular basis. It would have been interesting to see how their food consumption had changed from living at home with their parents to moving to college and living on their own. We speculate that athletes are under more stress then non-athletes because they have more on their plate. Not only do they have to perform well on the field/ court in order to keep their position on the team, but they have to perform well in the class room in order to stay on the team. On top of that there is the financial aspect. Many athletes are attending college on a scholarship and if they receive poor grades then they can lose their scholarship and if they perform poorly on the field/court they then could also lose their scholarship. Either way they are required to perform well both academically and on the field/ court. For many this is a lot to juggle, and can be daunting for college students because on top of all that is expected of them, college, for many, is their first time living away from home and being solely responsible for their actions. We also speculate, that the reason for athletes having higher body confidence is due to the fact that they exercise on a regular basis and have a strict diet that they have to follow. This causes them to not only feel good about their body but also keeps them in a more fit shape
  • 15.
    The Role ofHealthy Lifestyle Choices on College Students 15 allowing them to be pleased with their physical appearance. One must also take into consideration that college athletes have been training and competitively playing for many years prior to college. One’s body confidence is not something that emerges in college, rather it is something that all individuals develop from a young age. Due to this one could speculate that athletes in general have higher body confidence then non-athletes because they have always engaged in an activity that caused them to have a fit body and a more mindful attitude on the importance of staying in shape. Lastly we speculate that athletes make better healthy lifestyle choices then non-athletes simply due to the fact that they are educated by their coach and nutritionist on the overall importance of making healthy lifestyle choices. On top of that they are required in order to play on the team to follow through with what they have learned. Athletes unlike non-athletes have an adult that they have to check in with and communicate their eating and exercise habits. Most all other non-athletic college students don’t have anyone to check in with, it could be due to this that they take greater risk in making unhealthy food choices. As was indicated in the current study, non-athletic involvement was correlated with low body confidence. It is of paramount importance that this issue gets not only addressed but corrected. We live in a society that has bombards adolescence that they must look a certain way in order to fit the norm. Due to this we have many emerging adults with body confidence issues, eating disorders, low self-esteem, etc. This must change. Instead of the relationship between food consumption and physical appeal, we should create the idea of making good food choices with living a healthier, more active, and long life. Education should start in elementary school and the importance of eating whole foods and not processed foods should be pushed. There are so many lifelong benefits and that is what we as a society should be focusing on. This could be great
  • 16.
    The Role ofHealthy Lifestyle Choices on College Students 16 suggestion for future research, to look at college students that were taught the importance of making healthy food choices at a young age compared to college students whom were given no education on the importance and impact of making healthy lifestyle choices. Acknowledgments I would like to thank the Seattle University Psychology Department for funding our project, as well as Michael J. Spinetta, Ph.D., for his continuous support in helping me to complete this study.
  • 17.
    The Role ofHealthy Lifestyle Choices on College Students 17 References Allen, M. S., Vella, S. A., & Laborde, S. (2015). Health-related behavior and personality trait development in adulthood. Journal of Research in Personality, 59104-110. doi:10.1016/j.jrp.2015.10.005 Almohanna, A., Conforti, F., Eigel, W., & Barbeau W. (2015). Impact of Dietary Acculturation on the Food Habits, Weight, Blood Pressure, and Fasting Blood Glucose Levels of International College Students. Journal of American College Health, 63:5, 307-314. DOI: 101080/074481.2015.1025075 Bandura, A. (1997). Self – efficacy: Toward a unifying theory of behavioral change. Psychological Review, 84(2), 191 – 215. Djordjevic-Nikic, M., Dopsaj, M., Veskovic, A. (2013) Nutritional and physical activity behaviors and habits in adolescent population of Belgrade. Vojnosanitetski pregled 70 (6), 548 – 554. DOI: 10.2298/VSP1306548D Houghton, J. D., Wu, J., Godwin, J. L., Neck, C. P., & Manz, C. C. (2012). Effective Stress Management: A Model of Emotional Intelligence, Self – Leadership, and Student Stress Coping. Journal of Management Education, 36(2), 220 - 238. DOI: 10.1177/1052562911430205 Hubbs, A., Doyle, E. I., Bowden, R. G., & Doyle, R. D. (2012). Relationships among self- esteem, stress, and physical activity in college students. Psychological Reports, 110(2), 469-474. doi:10.2466/02.07.09.PR0.110.2.469-474 Hughes, L., & Leavey, G. (2012). Setting the bar: athletes and vulnerability to mental illness. The British Journal of Psychiatry, 200(2), 95-96. DOI: 10.1192/bjp.bp.111.095976
  • 18.
    The Role ofHealthy Lifestyle Choices on College Students 18 Kelly, S. A., Melnyk, B. M., Jacobson D. L., & O’ Haver, J. A. (2011). Correlates among healthy lifestyle cognitive beliefs, healthy lifestyle choices, social support, and healthy behaviors in adolescents: implications for behavioral change strategies and future research. Journal of Pediatric Health Care, 25(4), 216-23. doi: 10.1016/j.pedhc.2010.03.002 Mäkinen, M., Viertomies – Puukko, L. R., Lindberg, N., Siimes M. A., Aalberg, V. (2012) Body dissatisfaction and body mass in girls and boys transitioning from early to mid- adolescence: additional role of self-esteem and eating habits. BMC Psychiatry 12(35), 1- 8. DOI: 10.1186/1471-244X-12-35 Melnyk, B., Small, L., Morrison-Beedy, D., Strasser, A., Spath, L., Kreipe, R., Van Blankenstein, S. (2006). Mental health correlates of healthy lifestyle attitudes, choices behaviors in overweight teens. Journal of Pediatric Health Care, 20(6), 401-406. Merianos, A. L., Nabors, L. A., Vidourek, R. A., & King, K. A. (2013). The impact of self- esteem and social support on college students' mental health. American Journal of Health Studies, 28(1), 27-34. Nastaskin, R. S., Fiocco A. J. (2015) A survey of diet self – efficacy and food intake in students with high and low perceived stress. Nutrition Journal 14(42), 1 – 8. DOI: 10.1186/s12937-015-0026-z Nicholls, A. R., Polman, R. J., Levy, A. R., & Borkoles, E. (2010). The mediating role of coping: A cross-sectional analysis of the relationship between coping selfefficacy and coping effectiveness among athletes. International Journal of Stress Management, 17, 181-192. O’dea, J. A. (2003). Why do kids eat healthful food? Perceived benefits of and barriers to healthful eating and physical activity among children and adolescents. Journal of American Dietetic Association, 103, 497 – 501. doi: 10.1053/jada.2003.50064
  • 19.
    The Role ofHealthy Lifestyle Choices on College Students 19 Plotnikoff, R. C., Costigan, S. A., Williams, R. L., Hutchesson, M. J., Kennedy, S. G., Robards, S. L., & ... Germov, J. (2015). Effectiveness of interventions targeting physical activity, nutrition and healthy weight for university and college students: A systematic review and meta-analysis. The International Journal of Behavioral Nutrition And Physical Activity, 12. doi:10.1186/s12966-015-0203-7 Racette, S. B., Deusinger, S. S., Strube, M. J., Highstein, G. R., & Deusinger, R. H. (2008). Changes in weight and health behaviors from freshman through senior year of college. Journal Of Nutrition Education And Behavior, 40(1), 39-42. doi:10.1016/j.jneb.2007.01.001 Rutter, L. A., Weatherill, R. P., Krill, S. C., Orazem, R., & Taft, C. T. (2013). Posttraumatic stress disorder symptoms, depressive symptoms, exercise, and health in college students. Psychological Trauma: Theory, Research, Practice, and Policy, 5(1), 56-61. doi:10.1037/a0021996 Spendlove, J. K., Heaney, S. E., Gifford, J. A., Prvan, T., Denyer, G. S., & O’ Connor, H. T. (2012). Evaluation of general nutrition knowledge in elite Australian athletes. British Journal of Nutrition, 107, 1871 – 1880. doi:10.1017/S0007114511005125 Spink, K. S., Shields, C. A., Chad, K., Odnokon, P., Muhajarine, N., & Humbert, L. (2006). Correlations of structured and unstructured activity among sufficiently active youth and adolescents: A new approach to understanding physical activity. Pediatric Exercise Science, 18(2), 203 – 215.
  • 20.
    The Role ofHealthy Lifestyle Choices on College Students 20 Appendices Table 1 Shows number of individuals sampled and their scores based on the dependent variables exercise frequency, healthy lifestyle, self-esteem, and stress. # Of Students Often Exercise Healthy Lifestyle Scale Self-esteem Stress International/ Athlete 20 3 ± 0 30.35 ± 2.87 16.8 ± 1.99 17.6 ± 6.42 International/ not an Athlete 9 1.11 ± .33 25 ± 4.18 14.56 ± 2.92 20.78 ± 4.90 Not International/ Athlete 25 2.88 ± .33 29.36 ± 2.72 15.6 ± 1.82 16.24 ± 5.46 Not International/ Not Athlete 45 1.8 ± .63 25.87 ± 4.90 14.51 ± 1.53 19.53 ± 6.03 Table 2 Shows number of individuals, their sex assigned at birth and their score based on the dependent variables exercise frequency, healthy lifestyle, self-esteem, and stress. # of International # of Athletes # of Students Often Exercise Healthy Lifestyle Scale Self- esteem Stress Female 14 23 52 2.33 28.17±3.50 14.98±1.90 19.40±6.13 Male 15 22 47 2.17 26.91±5.30 15.55±2.17 17.34±5.73
  • 21.
    The Role ofHealthy Lifestyle Choices on College Students 21 Figure 1. Body confidence mean of non–athletes and athletes. This figure illustrates that athletic involvement has significant effect on body confidence t (89.808) = -2.890, p < .005, d = 4.087. Figure 2. Mean stress of athletes and non–athletes. This figure illustrates that athletic involvement has a significant effect on stress t (97) = -2.450, p < .016, d = 3.465. 0 0.5 1 1.5 2 2.5 3 Non Athl Athlete BodyConfidenceMean College Students 0 5 10 15 20 25 Athlete Not an Athlete MeanStress±SEM Students *
  • 22.
    The Role ofHealthy Lifestyle Choices on College Students 22 Figure 3. Indicates that exercise on a regular basis was predictive of healthy lifestyle choices  = .604, p < .0001, 2 = .359. Exercise r = .604, p < .0001. r² = .359 Healthy lifestyle choices