PROBLEMES DE
SOLUBILITAT
Es preparen 200 mL d’una dissolució saturada de fosfat
de plata. Quan s’evapora el dissolvent queda un residu
sec de 3,2 mg. Quina és la solubilitat del fosfat de plata
en mol/L
El residu sec és la massa de sal que es dissol en la dissolució
saturada, per tant:
s=
3' 2 mg de fosfat de plata
200 mL
x
1g
1000 mg
x
1mol de fosfat de plata
202' 9 g de fosfat de plata
x
1000mL
1 L
=7' 9·10−5
M
Calculem la solubilitat de cada sal a partir del Kps
seguint el seu
equilibri:
AgCl (s) ↔ Ag+
(aq) + Cl-
(aq)
[ ]e - s s
Kps= [Ag+
]·[Cl-
]= s·s = s2
Ag2CrO4 (s) ↔ 2 Ag+
(aq) + CrO4
2-
(aq)
[ ]e - 2s 3s
Kps= [Ag+
]2
·[CrO4
2-
] = (2s)2
·s = 4·s3
Per tant la sal més soluble, la que té major solubilitat és el AgCl
Quin
Quina sal és més soluble el AgCl (Kps=1,76·10-10
) o el
Ag2CrO4 (Kps=1,1·10-12
)
MKs ps
510
10·33'110·76'1 −−
===
M
K
s
ps 73
12
3 10·2'5
4
10·1'1
4
−
−
===
Calculem la solubilitat de cada sal a partir del Kps
seguint el seu
equilibri:
AgCl (s) ↔ Ag+
(aq) + Cl-
(aq)
[ ]e - s s
Kps= [Ag+
]·[Cl-
]= s·s = s2
Ag2CrO4 (s) ↔ 2 Ag+
(aq) + CrO4
2-
(aq)
[ ]e - 2s 3s
Kps= [Ag+
]2
·[CrO4
2-
] = (2s)2
·s = 4·s3
Per tant la sal més soluble, la que té major solubilitat és el AgCl
Quin
Quina sal és més soluble el AgCl (Kps=1,76·10-10
) o el
Ag2CrO4 (Kps=1,1·10-12
)
MKs ps
510
10·33'110·76'1 −−
===
M
K
s
ps 73
12
3 10·2'5
4
10·1'1
4
−
−
===
Calculem la solubilitat del BaSO4
a partir del Kps
BaSO4
(s) ↔ Ba2+
(aq) + SO4
2-
(aq)
[ ]e - s s
Kps= [Ba2+
]·[SO4
2-
]= s·s = s2
Quina quantitat de Ba2+
(aq) contenen 200 mL d'una
dissolució saturada de BaSO4
? Kps = 1'1·10-10
(20)
MKs ps
510
10·05'110·1'1 −−
===
+−−+
===⇒= +
2652
10·1'22'0·10·05'1·][ 2 BamolL
L
mol
VsnBas Ba
+−−
=== ++
246
10·88'2
1
3'137
·10·1'2·22 Bag
mol
g
molMnm BaBaBa
Les ppm és una forma d'expressar la concentració (g de solut per
cada milió de grams d'aigua o dissolució. La passaren a mol/L
Calculem la solubilitat de la dissolució i comparem
PbSO4
(s) ↔ Pb2+
(aq) + SO4
2-
(aq)
[ ]e - s s
Kps= [Pb2+
]·[SO4
2-
]= s·s = s2
Per tant una dissolució saturada de PbSO4
té una major
concentració en Pb2+
i sobrepassa el limit permés.
La màxima quantitat de Pb2+
(aq) en l'aigua potable és
0'05 ppm. Una dissolució saturada de PbSO4
rebasaria
aquesta quantitat? Kps = 1'6·10-8
(22)
M
aiguadL
aiguadg
x
Pbg
Pbmol
x
aiguadg
Pbg 6
2
2
6
2
10·4'2
'1
'1000
2'207
1
'10
5'0 −
+
++
=
MKs ps
48
10·26'110·6'1 −−
===
Calculem la solubilitat a 50ºC i a 25ºC
MgA2 (s) ↔ Mg2+
(aq) + 2 A-
(aq)
[ ]e - s 2s
Kps= [Mg2+
]·[A-
]2
= s·(2s)2
= 4·s3
A 50 ºC A 25 ºC
La massa de sal dissolta a cada temperarura és
A 50 ºC
A 25 ºC
msal que precipita
= mdissolta a 50ºC
– mdissolta a 25ºC
= 0'03 – 0'026= 0'004 g
Per al palmitat de magnesi Mg(C16O31O2)2 la Kps a
50ºC val 4'8·10-12 i a 25ºC és de 3'3·10-12. A partir de
525 mL d'una dissolució saturada d'aquesta sal calcula la
quantitat de sal que precipitarà quan si es refreda la
dissolució de 50º C a 25ºC (24)
3
4
psK
s =
Ms 43
12
10·07'1
4
10·8'4 −
−
== Ms 53
12
10·38'9
4
10·3'3 −
−
==
g
mol
gmolMnm
molL
L
molVsVMgAn
MgAsal
sal
03'03'534·10·6'5·
10·6'5525'0·10·07'1·]·[
5
54
2
2
===
====
−
−−
g
mol
gmolMnm
molL
L
molVsVMgAn
MgAsal
sal
026'03'534·10·9'4·
10·9'4525'0·10·38'9·]·[
5
55
2
2
===
====
−
−−
A partir de l'equilibri
AgI (s) ↔ Ag+
(aq) + I-
(aq)
[ ]e - s s
Kps= [Ag+
]·[I-
]= s·s = s2
= (1'22·10-8
)2 = 1'22·10-8
= 1'49·10-16
La solubilitat del iodur de plata, AgI, és de 1'22·10-8
mol/L
a 25ºC. Calcula Kps
(2)
Amb el pH podem calcular la [OH-
]
pOH= 14-12'4= 1'6 [OH-
]=10-1'6= 0'025 M
A partir de l'equilibri de solubilitat del Ca(OH)2
Ca(OH)2 (s) ↔ Ca2+
(aq) + 2 OH-
(aq)
[ ]e - s 2s
Segons l'equilibri la [OH-
]=2s
s= 0'025/2= 0'0126 M
Kps= [Ca2+
]·[OH-
]2
= s·(2s)2
= 4·s3
= 4·(0'0126)3
= 8·10-6
Quan s'afegeixen 4'68 g de Ca(OH)2
a 1 L d'aigua s'obté
una dissolució de pH=12'4. Calcula la Kps
del Ca(OH)2
(27)
A partir de l'equilibri
Ni(OH)2 (s) ↔ Ni2+
(aq) + 2 OH-
(aq)
Qps= [Ni2+
]i
·[OH-
]i
2
La dissolució començarà a precipitar quan Q>Kps.
0'01·[OH-
]2
> 1'6·10-14
[OH-
] > 1'26·10-6
M
pOH = -log 1'26·10-6
= 5'9
pH > 8'1
Disposem d'una dissolució de Ni2+
0'01 M. A quin valor de
pH començarà a precipitar el Ni(OH)2
. Kps=1'6·10-14
(3)
Els equilibris de cada sal són:
AgCl (s) ↔ Ag+
(aq) + Cl-
(aq)
Qps= [Ag+
]i
·[Cl-
]i
Ag2CrO4 (s) ↔ 2 Ag+
(aq) + CrO4
2-
(aq)
Qps= [Ag+
]i
2
·[CrO4
2-
]i
Les sals precipitaran quan Qps
>Kps
Calculem la quantitat de Ag+
que fa falta per a precipitar cada sal
AgCl [Ag+
]i
·0'2 > 1'1·10-10
[Ag+
]i
> 5'5·10-10
M
Ag2CrO4 [Ag+
]i
2
·0'1 > 1'9·10-12
[Ag+
]i
> 4'4·10-6
M
Precipitarà primerament la sal que necessite menys Ag+
, per tant
serà el AgCl
Una dissolució és 0’2M de Cl-
i 0’1M de CrO4
2-
.
Afegim gota a gota una dissolució de AgNO3 (aq).
Quina sal precipitarà en primer lloc?
Kps(AgCl)=1’1·10-10
; Kps(Ag2CrO4)=1’9·10-12
A partir dels equilibris:
Pb(OH)2 (s) ↔ Pb2+
(aq) + 2 OH-
(aq) Qps= [Pb2+
]i
·[OH-
]i
2
Zn(OH)2 (s) ↔ Zn2+
(aq) + 2 OH-
(aq) Qps= [Zn2+
]i
·[OH-
]i
2
A partir del pH calculem [OH-
]
pOH=14-6=8 [OH-
]= 10-pOH
= 10-8
M
Si Qps > Kps precipitaran
Pb(OH)2 Qps= 10-6
·(10-8
)2
= 10-22
< 2'8·10-16
No precipita
Zn(OH)2 Qps= 10-6
·(10-8
)2
= 10-22
< 4'5·10-17
No precipita
Un aigua subterrània de pH= 6 conté una
dissolució que és 10-6
M en Pb2+
i en Zn2+
.
Precipitarà Pb(OH)2
o Zn(OH)2
.
Kps
(Pb(OH)2
)=2'8·10-16
, Kps
(Zn(OH)2
)= 4'5·10-17
(36)
Les sals de Pb(NO3
)2
i Na2
SO4
són prou solubles
Pb(NO3
)2
(s)  Pb2+
(aq) + 2 NO3
-
(aq)
Na2
SO4
(s)  2 Na+
(aq) + SO4
2-
(aq)
però a l'entrar en contacte les seues dissolucions, l'ió Pb2+
i el
SO4
2
s'estableix un nou equilibri que pot formar la sal PbSO4
que
és insoluble. Es formarà precipitat si Qps>Kps. Siga l'equilibri:
PbSO4
(s) ↔ Pb2+
(aq) + SO4
2-
(aq) Qps= [Pb2+
]i
·[SO4
2-
]i
Indica si es forma precipitat quan s'afegeixen
0'1 L d'una dissolució 0'003 M de Pb(NO3
)2
a 0'4 L
d'una dissolució 0'005 M de Na2
SO4
. Nota:
Kps
(PbSO4
)=1'6·10-6
(R2)
M
L
L
molL
Pb i
42
10·6
)4'01'0(
003'0·1'0
][ −+
=
+
=
Qps= [Pb2+
]i
·[SO4
2-
]i
= 6·10-4
·4·10-3
= 2'4·10-6
Com es compleix que Qps
(2'4·10-6
) > Kps
(1'6·10-6
)
Si que es forma precipitat
M
L
L
molL
SO i
32
4 10·4
)4'01'0(
005'0·4'0
][ −−
=
+
=
A partir de l'equilibri
CaCO3
(s) ↔ Ca2+
(aq) + CO3
2-
(aq)
[ ]e - s s
Kps= [Ca2+
]·[CO3
2-
]= s·s = s2
= (9'3·10-5
)2
= 8'65·10-9
La dissolució de Na2
CO3
proporciona inicialment una concentració
d'ions [CO3
2-
]i
= 0'05 M, la solubilitat augmentarà per efecte d'ió
comú
CaCO3
(s) ↔ Ca2+
(aq) + CO3
2-
(aq)
[ ]i - - 0'05
[ ]e - s' 0'05 + s'
Kps= [Ca2+
]·[CO3
2-
]= s'·(s' + 0'05) = 8'65·10-9
s'= 1'7·10-7
M
La solubilitat del CaCO3
en aigua pura és de
9'3·10-5
M, calcula la seua solubilitat en una
dissolució 0'05 M de Na2
CO3
. (23)
Augmentarà la solubilitat de les sals que continguen un anió que
siga una base dèbil que al disminuir el pH reaccionarà amb H+
i
serà eliminat de l'equilibri de solubilitat i per tant segons el Principi
de Le Chatelier per contrarestar la seua dismininució l'equilibri
evolucionarà Sal Ions.
AgCl (s)  Ag+
(aq) + Cl-
(aq)
Base molt dèbil ( no reacciona)
Ni(OH)2
(s)  Ni2+
(aq) + OH-
(aq)
Amb H+
s'elimina (solubilitat )
CaCO3
(s)  Ca2+
(aq) + CO3
2-
(aq)
Base dèbil (s'elimina)
CO3
2-
(aq) + H+
 HCO3
-
(solubilitat )
Indica per a quines de les sals següents la
solubilitat augmenta al diminuir el pH: AgCl,
Ni(OH)2
, CaCO3
(6)
Apliquem el Principi de Le Chatelier.
a) Si s'augmenta la temperatura per tal contrarestar l'equilibri
evoluciona en el sentit de la reacció endotèrmica Sal  Ions,
augmentarà la quantitat de Ba2+
.
b) El Na2
SO4
és una sal soluble que aporta ions SO4
2-
. Per efecte
d'ió comú per contrarestar aquest increment, l'equilibri evoluciona
en el sentit que el fa disminuir Sal  Ions. Disminueix la quantitat
de Ba2+
.
c) En un equilibri heterogeni la variació en la quantitat del sòlid no
modifica l'equilibri.
Quins dels mètodes següents disminiurà la
concentraciò de Ba2+
en l'equilibri:
BaSO4
(s)  Ba2+
(aq) + SO4
2-
(aq) ΔH>0
a) Augmentar la temperatura.
b) Afegir Na2
SO4
c) Afegir BaSO4
(21)
Tots els equilibris estàn relacionats entre si
a) Com a Cu2+
(aq). Color blau cel.
b) Es forma un precipitat de Cu(OH)2
segons l'equilibri 1
c) El NH3
(base dèbil) proporciona OH-
segons l'equilibri 4 Es
forma un precipitat de Cu(OH)2
predomina l'equilibri 1 sobre el 2,
Tenint en compte els següents equilibris:
1) Cu(OH)2
(s) (blau)  Cu2+
(aq) (blau cel) + OH-
(aq) Ks=2'2·10-20
2) Cu2+
(aq) (blau cel) + NH3
(aq)  Cu(NH3
)4
2+
(aq) (blau metàl·lic) Kc=1'1·1013
3) NH3
(aq) + HCl (aq)  NH4
+
(aq) + Cl-
(aq) Kn= molt gran
4) NH3
(aq) + H2
O (aq)  NH4
+
(aq) + OH-
(aq) Kb= 1'8·10-5
De quina manera es trobarà el Cu2+
en:
a) En aigua.
b) En un medi bàsic
c) Amb una baixa concentració d'amoníac.
d) Am una alta concentració d'amoníac
d) En el medi anterior si afegim HCl
d) Es forma Cu(NH3
)4
2+
(aq) de color blau metàl·lic. Predomina
l'equilibri 2. Si inicialment hi haguera precipitat de Cu(OH)2
(blau)
l'excès d'amoniac al reaccionar amb Cu2+
l'eliminaria de l'equilibri 1
i el despalaçaria Sal  Ions.
e) Si afegim HCl, aquest eliminarà NH3
de l'equilibri 2 i desapareix
El Cu(NH3
)4
2+
, com també influeix en l'equilibri 1, depenint del pH
predominarà el Cu2+
(blau cel) o el Cu(OH)2
(precipitat blau)
Calculem el mols de BaSO4
Segons l'estequiometria
BaSO4
(s)  Ba2+
(aq) + SO4
2-
(aq)
per cada mol de BaSO4
hi ha 1 mol de SO4
2-
, per tant
nSO42-
= nBaSO4
= 0'01 mol de SO4
2-
Per a determinar el contingut de Na2SO4 en una
mostra es van dissoldre 2 g amb aigua, es va fer
reaccionar amb Ba(OH)2, obtenint-se 2,46 g de
BaSO4 precipitat. Quin és el % de sulfat de sodi en
la mostra ?
401'0
3'233
46'2
4
BaSOdemol
mol
g
g
M
m
nBaSO ===
Segons l'estequiometria
Na2
SO4
(s)  2 Na+
(aq) + SO4
2-
(aq)
per cada mol de Na2
SO4
hi ha 1 mol de SO4
2-
, per tant
nSO42-
= nNa2SO4
= 0'01 mol de Na2
SO4
La massa de Na2
SO4
serà
%71100·
2
42'1
100·%
42'18'141·01'0·
42
42
42
42
===
===
g
g
m
m
SONa
SONagMnm
mescla
SONa
SONa

Problemessolubilitat2bat

  • 1.
  • 2.
    Es preparen 200mL d’una dissolució saturada de fosfat de plata. Quan s’evapora el dissolvent queda un residu sec de 3,2 mg. Quina és la solubilitat del fosfat de plata en mol/L El residu sec és la massa de sal que es dissol en la dissolució saturada, per tant: s= 3' 2 mg de fosfat de plata 200 mL x 1g 1000 mg x 1mol de fosfat de plata 202' 9 g de fosfat de plata x 1000mL 1 L =7' 9·10−5 M
  • 3.
    Calculem la solubilitatde cada sal a partir del Kps seguint el seu equilibri: AgCl (s) ↔ Ag+ (aq) + Cl- (aq) [ ]e - s s Kps= [Ag+ ]·[Cl- ]= s·s = s2 Ag2CrO4 (s) ↔ 2 Ag+ (aq) + CrO4 2- (aq) [ ]e - 2s 3s Kps= [Ag+ ]2 ·[CrO4 2- ] = (2s)2 ·s = 4·s3 Per tant la sal més soluble, la que té major solubilitat és el AgCl Quin Quina sal és més soluble el AgCl (Kps=1,76·10-10 ) o el Ag2CrO4 (Kps=1,1·10-12 ) MKs ps 510 10·33'110·76'1 −− === M K s ps 73 12 3 10·2'5 4 10·1'1 4 − − ===
  • 4.
    Calculem la solubilitatde cada sal a partir del Kps seguint el seu equilibri: AgCl (s) ↔ Ag+ (aq) + Cl- (aq) [ ]e - s s Kps= [Ag+ ]·[Cl- ]= s·s = s2 Ag2CrO4 (s) ↔ 2 Ag+ (aq) + CrO4 2- (aq) [ ]e - 2s 3s Kps= [Ag+ ]2 ·[CrO4 2- ] = (2s)2 ·s = 4·s3 Per tant la sal més soluble, la que té major solubilitat és el AgCl Quin Quina sal és més soluble el AgCl (Kps=1,76·10-10 ) o el Ag2CrO4 (Kps=1,1·10-12 ) MKs ps 510 10·33'110·76'1 −− === M K s ps 73 12 3 10·2'5 4 10·1'1 4 − − ===
  • 5.
    Calculem la solubilitatdel BaSO4 a partir del Kps BaSO4 (s) ↔ Ba2+ (aq) + SO4 2- (aq) [ ]e - s s Kps= [Ba2+ ]·[SO4 2- ]= s·s = s2 Quina quantitat de Ba2+ (aq) contenen 200 mL d'una dissolució saturada de BaSO4 ? Kps = 1'1·10-10 (20) MKs ps 510 10·05'110·1'1 −− === +−−+ ===⇒= + 2652 10·1'22'0·10·05'1·][ 2 BamolL L mol VsnBas Ba +−− === ++ 246 10·88'2 1 3'137 ·10·1'2·22 Bag mol g molMnm BaBaBa
  • 6.
    Les ppm ésuna forma d'expressar la concentració (g de solut per cada milió de grams d'aigua o dissolució. La passaren a mol/L Calculem la solubilitat de la dissolució i comparem PbSO4 (s) ↔ Pb2+ (aq) + SO4 2- (aq) [ ]e - s s Kps= [Pb2+ ]·[SO4 2- ]= s·s = s2 Per tant una dissolució saturada de PbSO4 té una major concentració en Pb2+ i sobrepassa el limit permés. La màxima quantitat de Pb2+ (aq) en l'aigua potable és 0'05 ppm. Una dissolució saturada de PbSO4 rebasaria aquesta quantitat? Kps = 1'6·10-8 (22) M aiguadL aiguadg x Pbg Pbmol x aiguadg Pbg 6 2 2 6 2 10·4'2 '1 '1000 2'207 1 '10 5'0 − + ++ = MKs ps 48 10·26'110·6'1 −− ===
  • 7.
    Calculem la solubilitata 50ºC i a 25ºC MgA2 (s) ↔ Mg2+ (aq) + 2 A- (aq) [ ]e - s 2s Kps= [Mg2+ ]·[A- ]2 = s·(2s)2 = 4·s3 A 50 ºC A 25 ºC La massa de sal dissolta a cada temperarura és A 50 ºC A 25 ºC msal que precipita = mdissolta a 50ºC – mdissolta a 25ºC = 0'03 – 0'026= 0'004 g Per al palmitat de magnesi Mg(C16O31O2)2 la Kps a 50ºC val 4'8·10-12 i a 25ºC és de 3'3·10-12. A partir de 525 mL d'una dissolució saturada d'aquesta sal calcula la quantitat de sal que precipitarà quan si es refreda la dissolució de 50º C a 25ºC (24) 3 4 psK s = Ms 43 12 10·07'1 4 10·8'4 − − == Ms 53 12 10·38'9 4 10·3'3 − − == g mol gmolMnm molL L molVsVMgAn MgAsal sal 03'03'534·10·6'5· 10·6'5525'0·10·07'1·]·[ 5 54 2 2 === ==== − −− g mol gmolMnm molL L molVsVMgAn MgAsal sal 026'03'534·10·9'4· 10·9'4525'0·10·38'9·]·[ 5 55 2 2 === ==== − −−
  • 8.
    A partir del'equilibri AgI (s) ↔ Ag+ (aq) + I- (aq) [ ]e - s s Kps= [Ag+ ]·[I- ]= s·s = s2 = (1'22·10-8 )2 = 1'22·10-8 = 1'49·10-16 La solubilitat del iodur de plata, AgI, és de 1'22·10-8 mol/L a 25ºC. Calcula Kps (2)
  • 9.
    Amb el pHpodem calcular la [OH- ] pOH= 14-12'4= 1'6 [OH- ]=10-1'6= 0'025 M A partir de l'equilibri de solubilitat del Ca(OH)2 Ca(OH)2 (s) ↔ Ca2+ (aq) + 2 OH- (aq) [ ]e - s 2s Segons l'equilibri la [OH- ]=2s s= 0'025/2= 0'0126 M Kps= [Ca2+ ]·[OH- ]2 = s·(2s)2 = 4·s3 = 4·(0'0126)3 = 8·10-6 Quan s'afegeixen 4'68 g de Ca(OH)2 a 1 L d'aigua s'obté una dissolució de pH=12'4. Calcula la Kps del Ca(OH)2 (27)
  • 10.
    A partir del'equilibri Ni(OH)2 (s) ↔ Ni2+ (aq) + 2 OH- (aq) Qps= [Ni2+ ]i ·[OH- ]i 2 La dissolució començarà a precipitar quan Q>Kps. 0'01·[OH- ]2 > 1'6·10-14 [OH- ] > 1'26·10-6 M pOH = -log 1'26·10-6 = 5'9 pH > 8'1 Disposem d'una dissolució de Ni2+ 0'01 M. A quin valor de pH començarà a precipitar el Ni(OH)2 . Kps=1'6·10-14 (3)
  • 11.
    Els equilibris decada sal són: AgCl (s) ↔ Ag+ (aq) + Cl- (aq) Qps= [Ag+ ]i ·[Cl- ]i Ag2CrO4 (s) ↔ 2 Ag+ (aq) + CrO4 2- (aq) Qps= [Ag+ ]i 2 ·[CrO4 2- ]i Les sals precipitaran quan Qps >Kps Calculem la quantitat de Ag+ que fa falta per a precipitar cada sal AgCl [Ag+ ]i ·0'2 > 1'1·10-10 [Ag+ ]i > 5'5·10-10 M Ag2CrO4 [Ag+ ]i 2 ·0'1 > 1'9·10-12 [Ag+ ]i > 4'4·10-6 M Precipitarà primerament la sal que necessite menys Ag+ , per tant serà el AgCl Una dissolució és 0’2M de Cl- i 0’1M de CrO4 2- . Afegim gota a gota una dissolució de AgNO3 (aq). Quina sal precipitarà en primer lloc? Kps(AgCl)=1’1·10-10 ; Kps(Ag2CrO4)=1’9·10-12
  • 12.
    A partir delsequilibris: Pb(OH)2 (s) ↔ Pb2+ (aq) + 2 OH- (aq) Qps= [Pb2+ ]i ·[OH- ]i 2 Zn(OH)2 (s) ↔ Zn2+ (aq) + 2 OH- (aq) Qps= [Zn2+ ]i ·[OH- ]i 2 A partir del pH calculem [OH- ] pOH=14-6=8 [OH- ]= 10-pOH = 10-8 M Si Qps > Kps precipitaran Pb(OH)2 Qps= 10-6 ·(10-8 )2 = 10-22 < 2'8·10-16 No precipita Zn(OH)2 Qps= 10-6 ·(10-8 )2 = 10-22 < 4'5·10-17 No precipita Un aigua subterrània de pH= 6 conté una dissolució que és 10-6 M en Pb2+ i en Zn2+ . Precipitarà Pb(OH)2 o Zn(OH)2 . Kps (Pb(OH)2 )=2'8·10-16 , Kps (Zn(OH)2 )= 4'5·10-17 (36)
  • 13.
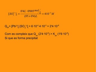
    Les sals dePb(NO3 )2 i Na2 SO4 són prou solubles Pb(NO3 )2 (s)  Pb2+ (aq) + 2 NO3 - (aq) Na2 SO4 (s)  2 Na+ (aq) + SO4 2- (aq) però a l'entrar en contacte les seues dissolucions, l'ió Pb2+ i el SO4 2 s'estableix un nou equilibri que pot formar la sal PbSO4 que és insoluble. Es formarà precipitat si Qps>Kps. Siga l'equilibri: PbSO4 (s) ↔ Pb2+ (aq) + SO4 2- (aq) Qps= [Pb2+ ]i ·[SO4 2- ]i Indica si es forma precipitat quan s'afegeixen 0'1 L d'una dissolució 0'003 M de Pb(NO3 )2 a 0'4 L d'una dissolució 0'005 M de Na2 SO4 . Nota: Kps (PbSO4 )=1'6·10-6 (R2) M L L molL Pb i 42 10·6 )4'01'0( 003'0·1'0 ][ −+ = + =
  • 14.
    Qps= [Pb2+ ]i ·[SO4 2- ]i = 6·10-4 ·4·10-3 =2'4·10-6 Com es compleix que Qps (2'4·10-6 ) > Kps (1'6·10-6 ) Si que es forma precipitat M L L molL SO i 32 4 10·4 )4'01'0( 005'0·4'0 ][ −− = + =
  • 15.
    A partir del'equilibri CaCO3 (s) ↔ Ca2+ (aq) + CO3 2- (aq) [ ]e - s s Kps= [Ca2+ ]·[CO3 2- ]= s·s = s2 = (9'3·10-5 )2 = 8'65·10-9 La dissolució de Na2 CO3 proporciona inicialment una concentració d'ions [CO3 2- ]i = 0'05 M, la solubilitat augmentarà per efecte d'ió comú CaCO3 (s) ↔ Ca2+ (aq) + CO3 2- (aq) [ ]i - - 0'05 [ ]e - s' 0'05 + s' Kps= [Ca2+ ]·[CO3 2- ]= s'·(s' + 0'05) = 8'65·10-9 s'= 1'7·10-7 M La solubilitat del CaCO3 en aigua pura és de 9'3·10-5 M, calcula la seua solubilitat en una dissolució 0'05 M de Na2 CO3 . (23)
  • 16.
    Augmentarà la solubilitatde les sals que continguen un anió que siga una base dèbil que al disminuir el pH reaccionarà amb H+ i serà eliminat de l'equilibri de solubilitat i per tant segons el Principi de Le Chatelier per contrarestar la seua dismininució l'equilibri evolucionarà Sal Ions. AgCl (s)  Ag+ (aq) + Cl- (aq) Base molt dèbil ( no reacciona) Ni(OH)2 (s)  Ni2+ (aq) + OH- (aq) Amb H+ s'elimina (solubilitat ) CaCO3 (s)  Ca2+ (aq) + CO3 2- (aq) Base dèbil (s'elimina) CO3 2- (aq) + H+  HCO3 - (solubilitat ) Indica per a quines de les sals següents la solubilitat augmenta al diminuir el pH: AgCl, Ni(OH)2 , CaCO3 (6)
  • 17.
    Apliquem el Principide Le Chatelier. a) Si s'augmenta la temperatura per tal contrarestar l'equilibri evoluciona en el sentit de la reacció endotèrmica Sal  Ions, augmentarà la quantitat de Ba2+ . b) El Na2 SO4 és una sal soluble que aporta ions SO4 2- . Per efecte d'ió comú per contrarestar aquest increment, l'equilibri evoluciona en el sentit que el fa disminuir Sal  Ions. Disminueix la quantitat de Ba2+ . c) En un equilibri heterogeni la variació en la quantitat del sòlid no modifica l'equilibri. Quins dels mètodes següents disminiurà la concentraciò de Ba2+ en l'equilibri: BaSO4 (s)  Ba2+ (aq) + SO4 2- (aq) ΔH>0 a) Augmentar la temperatura. b) Afegir Na2 SO4 c) Afegir BaSO4 (21)
  • 18.
    Tots els equilibrisestàn relacionats entre si a) Com a Cu2+ (aq). Color blau cel. b) Es forma un precipitat de Cu(OH)2 segons l'equilibri 1 c) El NH3 (base dèbil) proporciona OH- segons l'equilibri 4 Es forma un precipitat de Cu(OH)2 predomina l'equilibri 1 sobre el 2, Tenint en compte els següents equilibris: 1) Cu(OH)2 (s) (blau)  Cu2+ (aq) (blau cel) + OH- (aq) Ks=2'2·10-20 2) Cu2+ (aq) (blau cel) + NH3 (aq)  Cu(NH3 )4 2+ (aq) (blau metàl·lic) Kc=1'1·1013 3) NH3 (aq) + HCl (aq)  NH4 + (aq) + Cl- (aq) Kn= molt gran 4) NH3 (aq) + H2 O (aq)  NH4 + (aq) + OH- (aq) Kb= 1'8·10-5 De quina manera es trobarà el Cu2+ en: a) En aigua. b) En un medi bàsic c) Amb una baixa concentració d'amoníac. d) Am una alta concentració d'amoníac d) En el medi anterior si afegim HCl
  • 19.
    d) Es formaCu(NH3 )4 2+ (aq) de color blau metàl·lic. Predomina l'equilibri 2. Si inicialment hi haguera precipitat de Cu(OH)2 (blau) l'excès d'amoniac al reaccionar amb Cu2+ l'eliminaria de l'equilibri 1 i el despalaçaria Sal  Ions. e) Si afegim HCl, aquest eliminarà NH3 de l'equilibri 2 i desapareix El Cu(NH3 )4 2+ , com també influeix en l'equilibri 1, depenint del pH predominarà el Cu2+ (blau cel) o el Cu(OH)2 (precipitat blau)
  • 20.
    Calculem el molsde BaSO4 Segons l'estequiometria BaSO4 (s)  Ba2+ (aq) + SO4 2- (aq) per cada mol de BaSO4 hi ha 1 mol de SO4 2- , per tant nSO42- = nBaSO4 = 0'01 mol de SO4 2- Per a determinar el contingut de Na2SO4 en una mostra es van dissoldre 2 g amb aigua, es va fer reaccionar amb Ba(OH)2, obtenint-se 2,46 g de BaSO4 precipitat. Quin és el % de sulfat de sodi en la mostra ? 401'0 3'233 46'2 4 BaSOdemol mol g g M m nBaSO ===
  • 21.
    Segons l'estequiometria Na2 SO4 (s) 2 Na+ (aq) + SO4 2- (aq) per cada mol de Na2 SO4 hi ha 1 mol de SO4 2- , per tant nSO42- = nNa2SO4 = 0'01 mol de Na2 SO4 La massa de Na2 SO4 serà %71100· 2 42'1 100·% 42'18'141·01'0· 42 42 42 42 === === g g m m SONa SONagMnm mescla SONa SONa