Risk Assessmerat sursrxs?*ry f*r €ke potentiatr presemce of,
N*rsitroscdixm ethylaneiree (NSMA],
N-mitrcssdiethylarmine (F{BEA} cr other N-xritrosamine
C*xataaseim*ticxas Exa ?eirg}isartaxs
*oetaxnea!€ N*. .&AR.C.-zS2S&€At-2
E re drx q€ Eee"hxcgBopv C_$g€pq
SA Bepartame$€
Frep*ra€aoxr Scp€.
Saf'*keeg:ixtg Sept"
ffiffix&ffi trtr#tr
ffitr?EW?ffiffi$9ffiffiffi$ffiffiX3
zt {€jthzuG t{uefi *. r ptlhrlrlthc.EtiT'is&L { 6.,i-?o"
RishA"ssessment Sumrnary forthe Fotential Fresenee of
N-rdtrosodircethylamine {NDMA), N-nitrosodiethytamine (NDE.A} or ] Versior:S2
other N-nitrssa*?ine Ccntaminations in Telmisart*n
Socurceert Chax'age History
Version No. Effective Date Summary of Changes from Previous Version
01 2020.(ii,04 New document"
a2
).a;n..!, *
l.Correct the error value of process purging capability and
risk level of N-nitiosarnine i.mpurity in Telmisartan.
2.Add risk assessment number RARC-2020011 1-2.
ffilxwFffiffistrffifffiffi$trffiffi
XpiEJlfi,FES HUilHtt Fg{rrtir}r$r!6Hu-!-lcel-cc-r-inl
Review and Approva3
RiskAsssssme*t sumrrcaly for the potentis! Fresersce *f
N'nitror odim ethylam ine (NIMA), N- nitrosodiethylam ine (NlE.&) o r
ether lt[-nitros *mine Contaminations lrr Telmisartan
rersion:02
Froduct
l.echnology
Center
Wenquan Lin / TE
director
Dralling the
document
f6.,f(
]alo, ri.l I
Production
Department
Gang Qian / Production
manager
R"evieu,ing the
document
t31'4'rt '
rj
Product
?echnology
Center
Yuanxuru Zhu I TE
I r tqriGE!l
lo.Lo-"1.i!
Quality Contiol
Department
Xiaiihua Zhang/ QC
rnanager
Quaiity
Management
Deparlrnent
Jinyi Lii QA assistai'rt
director"
L^.
4u#
>f>0 -,i. /7
"t
/
Quaiitl, F"4anager
Xiacrirong Zhaa I QA
cirectcr'
Approving the
doc*:rent
^i
19,iC ,i:j
ffifxw?reffi$&&tr€*reffiffiffiT
Elisii Assessnre rit Sun"lnrur, iot' tlre Potcntial Ilrcsel:cc of
li-n itrosociirnethyiam inc ( N l)14,{}. N -* itrosodietlry lam imc (}i I}[iA) on
oth er is{ - E} it r+sir *r i * e C o rt tit m i * * t ic ll s i t:'['ci nt isa ria :t
tr/ensiocl:(}2
C+ntemE
1.
?.
4.
t, Iluckgroutid
Due to the recent episoric thal triice aurorrut of N-riitrosodirnethylamine (NDMA) was
detected in Valsarlan nI'1. the l'oo1 clttsc of this ev*n1 has been thoroirghiy investigated and
analyzerl at i-{uaiiai. The impulitl, NDI.{A va- generaled in the tetrazole fonrration step of
Valsarlan in rvhich the quenching of unreacted azirie by nitrous acid takes place in the
prcseltce of prodllcr. [n this quenchir:g step, dimethylforrnamide (he nce its
clcgradantiinipurity. dirnethylarriirie) ard nitrous acicl exist simultaneously 1o reuder the
nitrosation of dimethylar.nirre to 1:r'ocecd. gcncruting irace anlount of NDi4A. ht addirion,
since the clucuciiir:g lakes place in tite presence of tlie target product. trace arrrotult of NDkIA
lbrmed dirring the quenching step could be present in that targct product and ntal' also be
carried r>r,er inlo tlre flnal API. Ilaseci on this eiuciciated root cause, tlre presettce of trace
aulount ot'NDX,{A in thc final Valsartan AI'1 r'eqr:ires the convergence of the follorving tbirr
lactors: i) usc ,-ri'cirnreihyllbrr':ramide (Dtr,lF;. ii) cluenching of'azicic using nitrous acid, and
iti) qLrcnching lakcs placc iri ihc prt:scncc o'1'thc targcl producl. iv) thc process !acks adequate
puriiicatioii stcps alicl ihc gencratir;n pt.riiii o1'the ND4A.
More rcccntl'. ciuring tlie rc-uLrlatorv irscrrr.ic-q'iind irrdustry's ongoing investigation.
titri,'sautiue impurity. i,e.. N-niiiosodiinethylarnrne (NDMA), ira-* also bee.n i<ientified rn
oiher iron-sartan ilrugs. e.g., iir Lratches o1'I{anitidrne nranulactured by ceitain r:-:anuf'acturers.
Based o:r the iibove analysis of'the 4 ke1. factors, r.ve lrave der,clcped a risk assessnrent lool
lbr the risk of gerieration atid poteniiai presence oi' N-njtrosocliniethylarnine (NDh,iA). N-
nin'osodietirl,laniine NDfjA) or other N-nitrosamrnc impuritics in any sartans ol chemically
synthesized APis. The overull rish wouki tre dcpcndent upon if the first 3 factors convergc
tnd il'' the p".ocess fias adeqLrate puril'rcaticu steps (typically crystallization) after the
genrraiion point cf tirat particuial nitr<"rsaniine iurpurity (ihe 4'r' factor). trn tl-ris expanclecl
velsion til"Foirr Faclors rrralysis". u,e ltave uori, irilroduccd il sco::ing systern:
i) I'rescnce ol a secondary alklri anrine (and tc a nlt.cii iess dcgt'r'r-'. a tertlary antine) in
the nrauLrl'acluring process * For ilrc trminc factor (A), if tl'rc process lias a secondary
iimine as n leagent" it uotild bc consitlr,red thc lrighcsi risk and be assigned a score of 10.
i.e .. A =. 1(-i in sr"tch a c;rsc.
ii) 1)rcscntc oirritritc in tire nranutilcfllriug llroccss (cithcr as a rcagcilt or to a muclt icss
drgrce. as atr inrpurilr, irr a rcagcni) * i'ol iirc nitritr,'laclor (N)" if ilic process has
i:itritcinitroLrs acid as a reagel'it" ri u,ouid be eor-rsiclered the higirest risk and be assigued a
scoir of 10, i.e., N = i{i it: such a case.
iii)The co-presence oi'tire bcuonriJri aniine anri niirite in the sanle reaction step
(patticularl5,iu an acidic conclition) and in the presence o1'the target product of tirat step,
- i--or thc co-existeircc iacicr (Coe), if it exists, i1 rvould be consiclered the lrighest risk
and b,j assigued a scorc oii0, i.c. Coc: l0 iti sucl: a casc.
i1r)Tlie AI'l piocess has hou,irrany tLirit)c*tiorr sieps {the purging capa"oility of ti:e
ploccss) zrfiel thc gcneLatir,.n point ol thc N-nitrosan:ir:e - Eased or'I oilr .ciu.Jies, ever,v
purilicatir:n srep i.,.oul,J havc ilr lcasi 90')/o piu'ging L:apability fbr small nilrosamines sucii
as NIih4A au<i Ili)EA. lienr,c. a purging lactor'(F) oJ'l0 rvoitld be as-"igned 1cr each
piilific,aliou slcp aiict iirc tiittosa;;iiitc re ire li-ilrr:n i'roiitl.
ltisk Assessme*t Sumnrarc' tirr thc L)*tcutial Pnesc*ee *f'
N-n if rosod inl eth,1*rn ine ( Fi * i{A}- N -n it rosod ietltv !:t ril i *e
(NDEAi or ct'lrer N-nltros;entine Contanlinafiorts in
Te Inrisiirtrn
Version;S2 Pngelof'!5
Etislt A.ssessrnellt Summ*n, fcr the I]otential Presence of
N-nitrosodimetlil,lamime {N*MA}, N-nitrcsodict!rt,Eac}liare
{l{*EA) or other N-nitros:rn:iuc Contanliniltiorrs in
Telmisartan
Version:02 Fage 2 of i5
"[ lrus,, the ove ra!! risk (lListe) = Axxcoe/F
For Huahai's old Valsarlan Ilrocess
l0x 10>r i0"10 : l{)0. ri,hich is a high
lcielrcd tr> as 4lAS Antlysi.u.
Wt' have used tliis llothodolog-v to pcrfbrm lisk asscsslreilt ou all the sartans Huahai
ilanuf'actttred and the assessiilent rcsulis are generally in line u,itl: tlre actual screening/testing
rc,suhs. Ccnsecluetttly. rire 4ElS ,Antt/l'-;is can bc used as an effective tool to evaluate the
polelttial ttitlosamine risli for a sylriheiic pircess of any dnrg substauce. As we ilhistrated
above, the Risk Score tbr Huahai's old Valsartan process (7.nCl|; is i00, indicating the
genera{ion oinitt'osamines in that plocess w,:uld be high. On the contrary, if o:re of the above
4 tactors is clifl'crcnt fi'orn that itr the old Virlsaltan proccss, thcn thc rjsk for thc gencration of
rrilt-osatnines would be lou,. For exampie, ila proccss cronlains secondary anrines and source
rii'nitrite. but the secondary arnines and nitlite are introduced ir: <JilTerent reaction st€ps" then
the risk for the geueration oinitrosanrines *,oulci be low (Risk Score cf I or less). iri another
sccnat'io in u'iricir oue ol tlte four iacto;.s is missing, e.g., il'a process does not contair
secondary atlines or it docs not have a sourcL' of'nitrite, tlien ihe risk fbr the gencration r:f
nitrosamittes in that process rvould be ven, low or negligible (l{isl< Scr-rre o1'0.1 or less). The
<letaiis ot'Lrtilizrng tirc l1;.li,t ,lntiy.tr,t u,ili bc clcnronsilated in tlic fcllorr,ing paragraphs ivitli
'j-clin1-suri.llii
ls llte eirsc sittril',
2. l{isk Ev*luaficn lor 'lelr::isirr'(xpe
A cotttpreltensit'e ancl sysiematic risk identificaiion and evaliiation of NIIMA, NIIIEA or afiv
otirer N-nitlr:sanrinc intpurity il Teirnisartau has been pe,rfbrnied bascd on thc gcneral
princ,iplcs t:f "tF,4S Anal;.xi.r', urrclcrtal<cn as loilou,'s, co..'crinu ihe ploccss anci n:irtcriiils. J'hc
i-isk irlentillcatioti ancl evalualiol dlle io conliur:inatii:n 0lcross-contarlination u,ill be
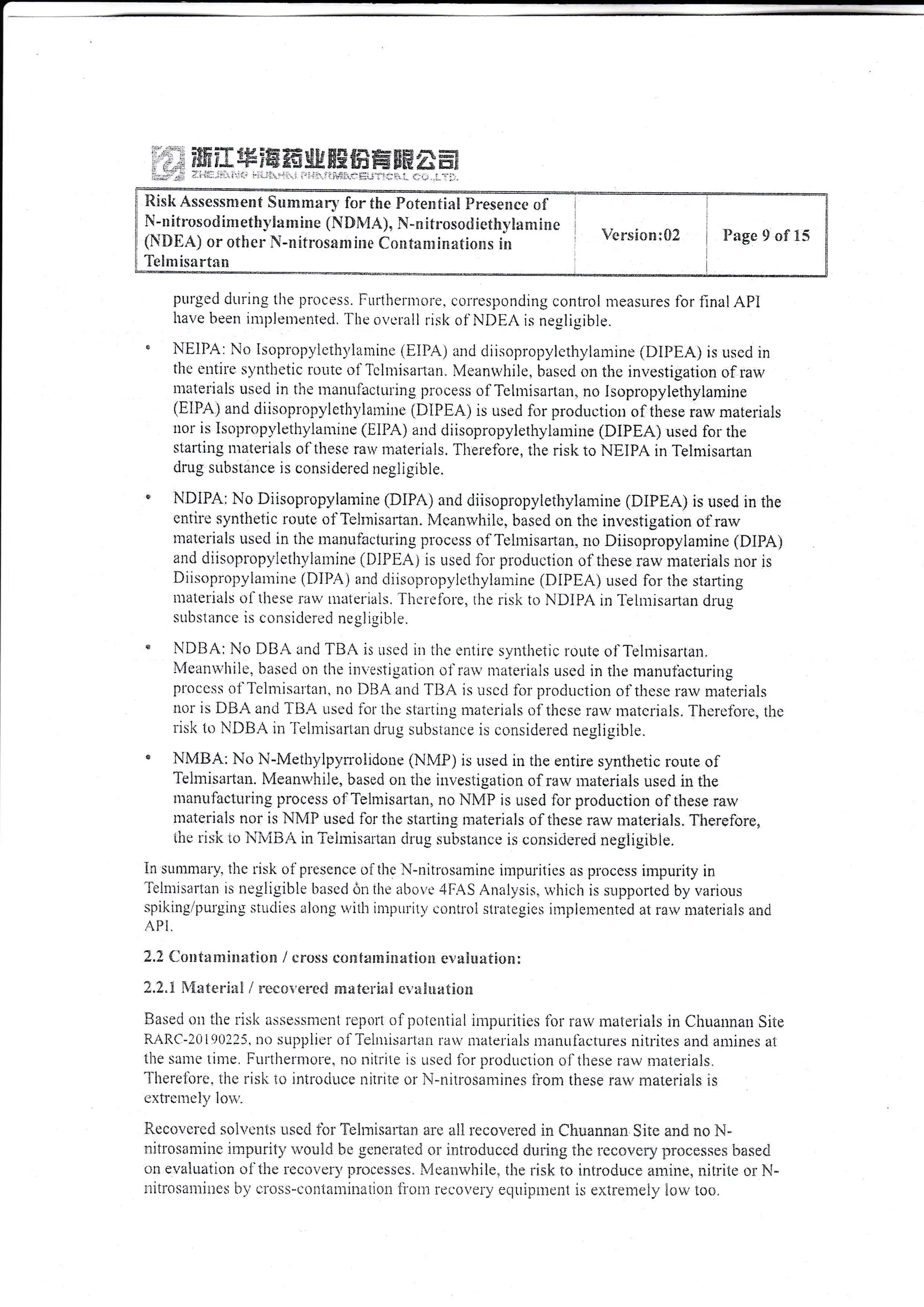
prescnted aijei'*'arris. The.sy:itltetic route iblTeinrisartau is ixeseuted in Figure-! as iire
,r^-rl.-,,.-^i.,r F^-- .t t: t ( 1.. -.)... :.
irqi ir!1x .lJtrilrL lrJt +i',-|,) ."1ilu1_1t.t..
(ZnC'l:) u'hich trigged the NIIN{A even1, llisk :
risk. This fbur thctors iinalvsis u,itli scorinr: can bc
, ;:,.t ?&&?x ss?ffi ffi gg ffi ffi ffi ffffi * ffi
, .]
-. ,: ri,. -'
:t6 E? **{ :fa ffi eq Er #fi Eia ffi *Fi n:a ffi
6giE il* &f- jE# AIJ:ilE- EdE E},'3 ffi SEg i: ffii
Risk Assess*rerlf Sun?fir*ra' for tEre Poter.itiitI Frese*ce of
N-n itrosori inrethy la m ir.!e (N $h'IA), Fi-n itros<id ietl:yln r:r !m e
(n*tr)EAi or othcr N-*itrosilnri*c Coaltam!na€ions !m
Telnr is*rt* n
Vsrsiom:02 Fage 3 of i5
LIll
,-N rctlr
iI I J'
0oA4r'
t'rir ll
lletzint idazole
l'oll,pltosphoric acid.
l-oluene
clli
6:':..--rclt,
^=.
N""/zL x'
(/i.r
 zz-N
/-t t
L,t tl
9)ehydrate product
i
. 'll
rll I
V,r*tt tilfi
2 NaOI{, ijCi
Actii,e carbon
Isopropirnol
li-methS'l-o-phr'lr.i'ki!liliin e
clilr5'cl1n.1,1o,'Ut'
DiU F, S odi unr lryciroxidc
L,il, , , [)i;ltlurt,tttcrlr.rrre
,-/-L il-1
U itt. l'l(rccssir[(l
)-cF{.
cku,
t-tct,
Acelic acid
Ethanoi,
NH1.ll'G
'I'fit} Tei rnisa rtam ter!-bu i,vl ester'
Nlir'H.c)
,lcetic acid. l:thanol
Tol"rica'.+."-
^-",I- s glri!lsiir[alx
Figure-t 5t+ute ofl Sve:{Elesis (tt{}S) Sctte:*c ior ?eh*isartan
] B llrrrcose iitllrrr+fir'
-. " "...""....111
e 1l;AS Atluljt.sl,t'
lor .il.A, Anuly.sis methodoiogv utiiizeci to determine the risk" of'N-nitrosarnine impurity in
sartans or chemicall,v synthesized rPis, the poiential presence ol anrines or nitrite in tire
ilrocess is sr,rb.jecl to specitlc assess*r€ilt so as 1o deten^rrine ihe cor-responding risks
intro<Juced by: i) ral rr:aleLials.2) manulircturing illocL:ss,3) plocess degradation. and 4)
oihcr possiirlc strurees,
u L)aterminuliotl oi tire lii.tk !tr,e i L'.' -{fi|5 iinul.ysis
Tlrc lisk t:{'eactr N-r:ir,r'osanriilc inrllLriii-/ is anaiyzeri f}om ti:c ibur inctcrs ard quantiletiveiy
:'eirrcscni*cl by a R!si< Scr.rrc or'?rirging factol asscssccl fi'o:n cacil iacior" Ti:c cverali F.isk af'
each N-i:it!'osa*iinr in-ipui"il;, is ii:raily rietelinined b),the coljrlliilaiio* of'tl:e Risk Score. Thr
.- z
,'I
t(rir.,
i
l
eIiectiveness o1"J/?lS.intl.,si,';:nethodolog)r has been tested and demonstrated rvith the risk
assesstrtcnt perl'ortncd on all tltc sartans I'lirahai mauutactured. all of u,hich assessment lias
bceu sttpported iry the screeni:rg test iesulls of the sr-ibjr,ct product. The specific qualitative
ancl quarrtitativc anallsis r"rsing tiic plincilrlcs ot'/,[1.5 ,'1nul).'.ri.s is pr.cse ntcd bclou,:
2,1.1 An:rl,s,sis of Amille F'aetor (A)
j'*!nfr" 'llre rrrr.lirrritrrrlr rl:tl::r nn tlrp nitr':rc:rlinrr rrtec ni'-l':'ielhr:1:r1ine 11o!-strq Tlirrll-tl11ul31njy1g
by nitrous acid indicate a score oi0.2 appears ta be warlanLed. i-{oi,r,ever', a more consen'atir,'e
vahter o1-up to i ean bc ttscd dcpcndcnt u]:ou eaci: inrliviriualcase duriug the meantime.
2.1.2 Arraiysis of FJitrite Factor {H}
Risli Assess$lerlt Sunrnl*rv for the ilartential !)nesemce of'
N - n i tro s o d i nr c f h 1. I a m i * e (N I) ivIA), N - n i tro s o tl i cf h,v I a em ! n o
{NtsE,{) or other N-lritnosanrime Car*t**li*rrtions irr
Telnrisartan
V*rsion:02 Page ,6 of !5
The risk score of this lactor is classilleclbased ou the poiential sources of amines:
Sources of Arrlints . ,:: :"':
. .. i,..' . , ' :.
I'Iigh
Prescncc olsccondutv alk;-..1 aminc in the nranui'ucturing proccss
eitlier as a rarv ulaterial ol as an iitterntediate-
0l
PLesence oi'olher lari, nrateLial under spec,iiic conditions,
rcsuiiing iu liigh lisk to iutroducr secondary aikyi arriincs (e.g.,
desradation olDh4F under irigh tentperiiture and acidiciaikaline
coldilions t'o: iong tinre to gcnerate diruethylarrine )
t0
l{cclir"rrr tu i,ov
I)re scrncc of tertiarv aliir,l iiutinc (c.g.. Tiicrhylanrine) in the
tttitttttlactr-rring proccss eithcr';-rs a r'.:',t, llrittcrill ttr its an
intcntrcd iate
/l "l 1*
Low
Pr*sencc u.f sccondart,.rtcrlialv Ilk1,l 0,,,,Ina in thc ntanlrf:rcttrring
process, cilircr as an irrrpr-rrit1, irr a rarv itraterial. I process
impurity cI inlerntediate nranul'acturing ttloces;. or trac€
clegradatiou im1turily- irf intermediate
0.1
Lixtremeiy log, No source of anrirics idcniillcci t0''
Tl-ie risk scole ot'tltis iactol is ciassilled bascd on the potentialsources of'nitrite:
Rislt of'
!ntrod ucing
Nitrite
Sources oi'Fi;trite*
Hrgl] Prcscrrrte oi'nitritc in tlrrr ntanirtactr.u'ing ltroccss as a reagcllt IO
fuIediuni
Ilrcscricc oi nit;:ilc iu ihr: rii:riiiriacturing irrocess a: ln irnpuritv or
dcgradalt in a icaseni {NC1-irnpurity content *lgi,; I
Lorv
i'rescnce ol'nitr:itc iri the n:ianuliictitijrg ilr'ocrss ;is e trace
ir:rpurity in ;r reaguut (NO;"iinpuritv c(1t'licrlt ^0. i9t,), sucli as
s,,lcliuur ;zide" rrl is ii iracc ricglarli:nl
fli
Risk Score
idlsk Assessn:ent $umniar1, lbr tlre ilotentiiil Presc:nce ot'
l{-nitrosodin:etl:vi*rulrte (Fil}&,iAi, ld-r: itroso*l iethl,!*::l ims;
{liX}EA} or other hi-nitr*sami*e Cc:tfa:*i:lr:tlons iru
Telmisartan
&rsion:G2 Pagc 5 of 15
l:.,:&isk$,erot, i:
Extrcu:cly lorv
I'resence of nilriLe in litr ntanuiactr.ring pt'ocess as an irrpurity in
poliiblc or' pLiri {icd u,ater
(n*03-iu pota[ric rvatcr ri I ppt:i; NOl- in puril'ied ,ater <20 ppb]
t 0'4
"h*otc: lf nitrite lcst lcstilts trl lhc slrnplc is rr.aiiablc. thc risk scolc could thcn br classiilcd bascd on the
arctiui tesl lcstills.
2.t.3 Analy,'sis olCo-cxisic:ncc |actur ((loe) of Arnine and Nitritc lo ]icirdcr ihe Nitrosariou
Rcaction
An anrine artd nitrile nrLlst ex.ist sirntrltane,ously iri tlrc reactii:n systenl ,.o render an e1'fectir,e
uillosation reaction to proceetl, generatirrg lhc coiresponcling N-nitroatnine impurity. .I{ence,
il'the atlirre and nitrite co-exislpresent. the rislt of' N-nitrosautine ii:rpurity lormation n'ould
be the highcst. Tirc:'isk scorc o1'this factor is ctrassit-rccl as ibllous:
2.i.4 An:llvs!s *f ilurgii;g C*gr:rbiXitr'(l)) t,f ilie Froc*ss fo i{eraecve N-mi€l"osamime
!:r-npuritv
N-Nit;'osaririnc iill:uritics are ra'ihcr si:-rail nroiccrilcs as coilparcd tc'rire clieinicai structurcs
ol'in'lcrilcciiiltr:s and iiri:ir strurctili'rs iiiL- sigiiiiirar:tiv iiiil'erent fi^onr lhat of the target produci.
'i'hcre
lore. pu:'ilir,ation steils Lrr solid-liquiri scnLriirtroir Llpci'atioils such ;ls crystallizatioi-i and
scparatiou irr$cess it,r,r-rld il: geuet'ai ltiii'e saiisiictorv i:LiiEirig eitpabiiit.v to remove/purge the
N-iritrosarxinc inil:uritics. wi:ich is supported by tlrc cun'cni ciata obtaincd fl"<x: our
ir>ri'rg;rclicilsii,c ini,estigatioi-rs tri'rtii 'iirc s;ri-ialrs. I'-,.::'c:<.iii^rrplc, our daia irrdicate iirai *ne-step
ijxirclnelY loir,
: ;-l i$ffi ffi w?ffi ffi wHg iltffi $ffi * ffi
{ ccii Lrnr
trtisli of
lntrod ucing
Nitritc
',
Co-presence Facior Strtus
High The anrine aird nitr-ite are introdirced in tire sanre leaciion step l0
l'lte irtlrotiucing pr-ririt ol'llie arnine is oue stcp a,,r,ay fionr llrc
intrcducirig rroint oi' nitlite
I
Lrru'
Tlic introtjucile poiirl oi tlre arlincs is trvo steps arva1, fioin the
introdui: trlu troinl oi' nitlite:
0.1
The irttloriucing point of tirc rurincs is threc or ntorc steps a1,ay
.iion: ihe introducing poirlt olfliirite
0.0 i or iora,er
(scorc reduced
by onc order o1'
rrragrritr.rrie fbr
each additional
stcp benvccr:
the twc;
ir,1troduciirg
noinfs)
Ntgiigiblc
Nitritc onh, inuocir.rced fr"om potabie/purifierl rvater', or
ti'ie procoss r-ic-.esnot itllitairi all/ cour^e olamines or it does n*t
itavr r: s0urcc oi'nitl'iic
r n"l
IU
d&
I{isk Assessn:cnt Sunrnl:rry tiir thc Poieertiitl Presence cf
N- n itrcsotl i nr e( ir, la rn i cl * ( N E) 1 { A}, ll" - * i l :'oso el iet Ett, l it :m i m c
iNtlEA) or other li-nif rcsantine Co:rf:l*:inetions im
'Ielmisartnn
Vea"sio*:S2 F*ge 6 of XS
cI'crystzrllization operation in Candesartiln Ciiexetil and Valsartau process ltas a renroval rate
of urore than 90% fbr srr-rall urolecule N-iiitr'osanrine intpuritics such as NDMA and NDEA.
Therefbre, each step oisolicl-iiqr-iiclst:ilaration oirerati,:n aijer the generalioi-i poini of the N-
nitrosaurine rvoulcl reCuce tlie Dresencc of N-rritrosarnine iti the targct product by l0 fblds
{i.e., a purging factol P of 10), and a proccss rvith multiple times (n) of such solid-liquici
separation oneratio:r ivould have a purging lafior (P) of 1[.]".
2.1.5 {}r,entll }tisl*.,ssessntetrl
Bascd on tlio abor.c cpalitativc and ciLrantitutivc: unalysis pnnciplcs ol- 1il15 lnaly"'i.t, thc risl<
lcvcl i;1'eac[r indiviciual N-:'ritrosanrinc is ciiiculatccl as !tESK:AxI{xCoelP. The higher the
calculaicd scolc is. thc highcl tl:e Lisk ot' j-nilrosarrine contamination in the final rPi wouki be.
The ovcrall lisk assesst:reut along with thc cr:rrcsg;oitditig actioi':s in responsc to cach lisk level is
;ndicrteil irelorr':
Id.isk Levetr ttisli Score A,ctittils
I-liglr Risk2l0c
Anaiyze rcpreseutative batcltes, immediaiely
modify or clrange process
Mediurt X.isk --10
Analyzc representative batches, tigitt control
poinls (ser limits lor secondary amine, nitrite,
etc), rnodify or change process
Lon' Risii .- i
Anaiyze rcpresentative batches, implement
appropriaie controil{est rnethod lbr
iritrosani jrrc ii^ itcccssarl'
Iivlrerrrelrr I r:rrr Itisl.: .-0. i No 1'-rrther action in .'eneial
Neeligiblc Risit 10.()i No furlhel action
:et
fggE
.:..11:::i ::t: :t.i: .
iff ?* r E ff a E!-?t .6tL 1r# tf #. ,*q :=::l
6e* EE Ek Effi nic ffi Sffi "ds- ffii
Risk Assessment Sr.Emnlilrj for the Potemtiir! Presence erf
l{-n itrosod iinethylam ine (N}}[4.4), ]i'n i troscctr ie€h5,]nmi i *c
iN IlE,,t) o!' cther N-n itros* nr ine Cc* tasn in atio*s in
Teimisartan
Versiosr:02 F*ge 7 cfl tr5
1
a
2.t "6 Assess*rent ldesu[ts
The zrssessruent rcsults olr psfs61i3l N-nilro-rarline contarninatioris in Huahai's Telmisartarr
plocess using 4FAS Aua11,5i5 are presenieij in the tabie belou,:
Corc):l
Ptoduct
':
ltime''
_il
,.
, , lmpurity.
Pr:eSdnce of .
Arniue-s (Al
Presence of
Nitrite (N)
'.,-.:;:-PrqC-0ss "'
, lu-+ing,:,.,
:
Qapa!i!!y
.. r :: {P.l:- : -
I
i
I
I
I
i
1
t
I
1
I
1
i
I
I
I
I
I
I
I
I
I
I
i
I
i
i
i
I
I
I
I
I
I
I
I
i
'felmisa
ltdll
I
!
hr n
-I-- _'-v
zN
NDMA
10 0.1 i
I 0-r
Extr-crr.rely L,:w
Notes li:r')iD:v{A
D4F uscd
ils Ia:
nratcrial in
the pror:css,
at ir igh
tell ll)0raturc
artd alkalirre
conditi ons
Nitlitc as
r nrpirritl,
fionr
B crrzinrirla;r
ole
Onc stt:n
bctwc-cn
ir:trodur:irrg
pr>irrts o l'
IIN{A and
uirrite
I step oi
solid-iicluiti
scprlat ion
rliei llie
potential
generatiori
point of
NDi,iA
NDMA resuhs ol
ali the API batrdres
nranu lacturcd
fior.u 20 I 5 to 20 i 9
in corrpliancc
rvilh requirerrent
I
l
-N'^,"O
l
NDEA
f ai".'
0,i l0-'1 r00
l0-i{'
r.r*egligible
Notes fbr ND]:,
No risk
idelrt iller!
fbl pre scnce
o1
.'-....- -",'.'. l:
t(I tull)0tlql
lg arninc in
lhe irlocess
Nitrite as
'i:utltlilr,
1l'orn
:) g l t1-, lr I I (arl-
olc
r)
2 stcps of
solicl-liquid
sc1:arat i on
alicr thc
...,_ -..1--_-
)rrp ulirlE
Benzinridaz
ole
NDEA results oi'
all the API batches
nianrrfauiurecl
lhnr 2015 to 20i9
in cornpliarrce
u,ith t'equilerlent
I
I
-trJn
YN
i
NDIPA
:0'r 0t t0-'; r00
i 0-ir'
Negiigiblc
Notcs ibr NDIF.,
- "------ -*- -
I
.,, a
..-l t i.r'-
l''
i
iillrr/..
!C:ti-f
Nl rrsli
ir.leniilietl
iul prcs,:rrct:
ci'
g{)11.g_rpo;r{.{i
;ig iut:inr: in
the pl cccs'!
r n-l
Nitrite irs
inrpuritv
fl'onr
lJcrrzinridaz
0lc
l!o
(.-'+
2 stcps of
soii<l-1irpiti
scparatior-t
aftcr thc
siep uriing
13*nzinri daz
_ oi**_
10,J
NDIPA tesl rllsults
of 3 seiective
batchcs all <i,Ol)
{() 001 ppnr}
1(}"1{l
Negiigibic
'.'' 'Co-. "'r
pr:lseflte .:
PossibilitlL.
.r. iCoel : '
?xE#?reffi$*$#€*ffi#ffiffiffiE
Notes: Res*lts.fronz ctiditicruil s{udic:; sur* rzs specilit sg;iking/gturging sf udies tofurtleer
suflpstt tkc 4FAS .,|sse sr'iltettt ilesults *htaincd shove.
fr"cspecii v'e11,"
- NDMA: Tlie poi*n1iai source oi l)fui; is ti-om Dh4F. Meanr.vliiie. spikirtg study rvith
ilir4A , niirite ar:ii l{Dh,IA irave couilnned tirat l!DM,r couid be eII'ecrively purged
dtrt'i:r-u'the process. Fui'the:'iiiore. *oi'resirrxriiing conrrsl :rgastrres foi'rarv materiais arid
finalAPi hiive bcer: inipicirentcd. The overall rislt ol'NIIN4A is extrerreiy iou,.
. l'iDEA: i{o lfEA aiirlTEa is uscd iu tli.i ertilc synihctic roule of Teimisartan.
:'"4eiintvhiie, spiicing str"rdv u.iih i.":l;HA iras co;rfln:rccl that i{I}}:A *ortlct he eff-ectivcl},
llisk.Assessnteut Summ*rY fcrr the llctential Prese*ce cfl
N -n itrosori im ethr.!$ cr'! i ue ( N i) i{A), 5 -ir i trosod ietl:r'!:l m i n e
{NIIEA) or other N-nit:'ostrnrinc {-'ontanrinaf ions irr
?e lrnisartan
Version:{}2 I'age I of l5
t
I
i
:,i.,r.,r.Irfiprtritir :
: Slructurel Presenie'of
'.
xitiiJ{N),
-,:i COr: ri:t:..
:
pl:9s.e.{lc-!,
,,..1
Fqsgi[il!tyf
{Coei, ';':r'
'r.:Pip-ce'Si:::.:::
* - ingl. ,,
-,Capa$,ility: ,
.,,. '. '.iPi. ' :
Notcs Ibl NIllPA
No rislt
iclenti {led
lbr pr'escnce
oi'
con espondi
trg arliirc in
lltc ploccss
Nitrite as
impr.u ily
liorrr
Benzinridaz
ole
No
2 strrps o{'
solid-liquicl
sepafation
at'tel the
step r.rsing
Benzimidaz
ole
NEiPA tesl resrlts
of 3 selective
batche-s all <LOD
(0.001pprn)
i
("
I
.r z^_, .1,.].. .o
1
NDSA
i l_'
0.1 l0'.1 100
l0-i{r
Ncgiigibic
Noics iirr NDIIi
No risk
identiied
{irl pie seurr.
r)I
,-,orresponrli
:tg anriuc irr
{tre Dtoccss
liitrite as
irnpulity
iionr
Benzir::iilaz
olc
No
2 stcps of
solid-liquid
scparittion
aftcr thc
stel: using
Benzimidaz
()le
FtrDB/r tesi resulls
ol'3 sciective
bntchcs all ":LOD
(0.010 ppm)
I! -O
,, '- tt'
NMBA
l(}- 0.1 i0'r 100
i 0':"
i.fu:gligible
Notes iiri NMBA
Ntr risk
idcnt ilied
fbl plescncr
oi'
cnr: espondi
ng arrtirrc iu
!1rc pLoie ss
Nitlitc as
inrpu ritl'
lit,rnt
IJcnzimidaz
r.llc
Nc
2 steps ol'
solid-liquid
seplt atroll
al'ter 1he
str.1 r,rsing
ilcnzimiriarz
ole
l{MBA tesl lcsuiis
ol"3 scicctive
batche-s a11 <LOD
(0.03{l pprir)
EEF ;Y'f,&{* !* ?H aEEr ffiE! {}'a # *H rTt ffi
sHE ,-! ;f; j W &El jtE trX &fi H5 SEE d.e- EEX
]:..]i::..l':.|..:..:.,..:,:;:].1;::i:'-.']:-l
purged dtrrin-e tlte pitlcess. i:urtheriuore, corresponding controI n-]easures {br iinal API
have Lreen ir"u1;lentented. 'flrc ovetall risk of NDHA is negiigible.
NEIPA: No isoplopylcthylarninc (i1lPA) and diisopropylctl"ry,ianrrne (DIFEA) is usecl in
lltc entire syntlietic rouic oll'cliriisaltan. Meanu,hile. hasecl on the ini,estigation of raw
ntatel'ials useci in the tlauttlactr,iring process of'Te Inrisartal], no Isopropylethylamine
(EIPA; and diisoprt"rpl,lctlrl,lanTine (DIPEA) is used for production of tbese raw rnateriais
ttor is Isopt"opl'leth,vlan"rine (fllA) anri diisopropyleth.v-laniine (DIPEA) used fbr the
starting nraterials of'tirese ral nraterials. Therefbre, the risk ro NEIPA in Telmisartan
drug siibstance is considered negligibie.
N,DIPA; No Diisopropylamine (DfPA) and diisopropviethylamine (DIPEA) is usecl in the
entirc synthetic t"oute of Teimisartan. Mcanlvliilc. bascci on thc investigation olrau,
matcrials usccl in the manriihcturing proccss of Te lnrisarran, 1lo Diisopropylaminc (DIPA)
attd dii,copropylethylaniine (tllPHAi is used ibr production of these i'arv n:arerials nor is
Diisopropvlatnine (DIPA) a;rd cliisopropylcthylaminc (DIPEA) usecl foi tlie starting
tttaterials of these larv uraierials, Tirclciole, the ris1.l. to NDlPA in'feIr.nisartan drug
subslancc is corrsiclercd ncgiigible.
NDiIA: No DB: rnrJTBA is Lrscd in thc cntirc syntlreiic rouie ol'Telrnisartall,
I4ealtl'lti1c. irasr-:d on the iilr,estiglrtion ol'l'iltv tlateliais used in tiic manufacturirr-u
proctss of'J'clnrisartail, no DIIA anrlI'liA is uscd ii;r produclion olthese rarv materials
nor is IfBr and TLIA irscti ibt liic stalting niatcrials of thcsc rau, rnarcrials. Tliercftrie, thc
iisk to NDBA in'lcirlisarran c{iug subsiarce is considered negligibie.
NMBA; No N-Meihylpyroiidone (NIr4P) is used in the entire synthetic rouie of
Telmisai'tan. Nileanu,hile, based on the investigation of rau, uraterials used in the
ntanufactitling process oi'Tehuisarlarl, no IrlN4F is used lor production of these rarv
ntateria!s nor is Nh{P used 1'or thc slartir:g n:aterials of these raw n:atcriais. Therefore.
ihr lisi< llr iririii.r in Tr:itnisariatt rit'ug srii''starice is cLrnsidelsci negligrblc.
In suntmarv. tlte rrsk of plesence oltl'le N-nitrilsanrine inrpuritics ils process impurity in
-i-eimisartan
is riegligible bascrl oLr the at"iovc 4FAS Anal,vsis. u,hic'ir is sr-tpportec.i by varioris
spiking/pr:r'gitts stitclies alr)l1g yith it.npirrilr, eonlloi straregies inrpicnicntecl at raw n:aterials ancl
API,
2.? {iorrf**ii:l:rtlon / cross cc*tzlnrinatiom er,*!urtiolt:
f "2.i .iatcr"ilil ,/ :'ecr;-' rl'eri s^trxtci'iui cr':i lrrirtic'u
Basec.l ott lhe iisl< assessnicr"rt icpoll ilf pt:tciitial inii:itrities fbr rarv:laierials in Ci:uannan Site
R/rRC-2til90ll5. tto supplicr olTclurisariirrr ra: nratcr-ia1s manuiiictures nitr"ites arrtJ amines ai
1he srnie tirle, Furthernturc. uo riitrire is LrsecJ ior i:roduc'rion ol'thcse raw r:raleriais.
l'lierctrbrc. thc ris'il ic introriuce iritriie or l'i-nilrosanrines iion; these raw materials is
extrci:tej, lotr'"
Rccovclcri soli:cttts uscd ttr:"fulmrsartan are all recor,*t'ed in Chuannan Site and no i'j-
nitrosamjtic iitrpurity rvouiri !:r scneiatcd o: irtroduccd dulir:g ihc le covciy processes based
on evailtatioi: c:f ihe rccilver-),processcs. l,'iear:rr,,hile" tlre risk io introduce amine, irilrite or N-
:iitrosalltii;cs '*1'el'cris-cor:iarr;ineijoir il'or:r reeoveiy eclri;tincnt is extrei:rei1.' icvi, lco.
Rish Assessmen€ Summary for the Potentia! preseirce oi
N-n ifrr:socl inr ethy,ir*ritie (l{D1,!,4), N-* itrosorl ietiiS,lamr!ilc
{Ni}EA) or o{her }i-nitrosaauirac Co*fiti*!n:rtioxs !n
Te imisartrtn
trsiom:{}2 Page 9 of 35
{tisii,4ssessnl e* t S * rnn, u * iii il* p" t-,, f ,- i ffi-*f
li - n it ros o d i nr eth Y iil s* i * e (i:- i) M Ai, rt' - * ! t ro s o c! i et h l,i a clt i n e
{lDEA) on other N-nitros*miue Cont:r:*inatlc}r}s !;
?elnrisarfan
Versi*m:ijZ r Page !S of 3S
2"2,2 Puck*gin;; nutericl evsluutiott
fhe pacl<aging niateriai conlactecl ri'ith the API clirectly is the polyetlrylene ba_s used as rhe
primai'v pachagin-ti ulatcrial in Chuannan sirc. Thc,,ruin.n,rlplr*ni ui'rhe pollcrhylcne bag is
compound polycthylcne. No anrincs or rritrilc is Lrscci iu thc synthcsis prt-rcess of t5e
po])'ctir1'1ene" Tlrc l'isl< 1o itrtt'oriucc nirr"itc ol A--rritlosunrin.-s fi.onr pu.jt rgin; ,rrrt.r,ut ;,
extrcrnely lor.v-
2,2.3 trivaluation of Po€e*{i:rl cros-q-c<;ntienritt*fion of'g.il.oc!uctioir !ipc
Teitnisanan is manulirciuled iit Vo;'kshop /05 of Clruanuan Site. the vr.orksirop is rledicated
ibr t:ituru {acturing of' Telr:risartan.
I"luahai has established "soP PR-O16 AP? Contaririnarion & Cross-contamination preventing
tr'{anagement Proceditre", iJase<l 0n tfie proceciure, risk assessment of potential cross-
11}!li1ation in tlte productiou wor:kshop of Chuanna:r Site 4re5s Zone(Doc No": RARD-
20180827)has bccn performecl. covcring pct'sonncl nlanagcnleni, cquipment use, material
t-rontrol, cleaning nlethocls, ufility system. surrouncling .nijron,r.nt and other factors rejevant
io potential ct'oss L:onta[tittation TJ:e assessment conclucled that the compaly,s cross-
contamination conlrol tl'IeasLlt'es iu personnel, eriuip:lent, materiais, proclu"tion and
ent'ironmeut are eflcciive, and uo high-risl< items ire ideniilleci, For ltr:lti-pufpose
r'vork-shops' campaign lrased production ancl cirarrge-over cleairings are stricrly, implemenied,
ti'ltich ciiir eiY'ectivelv rcduce the risk ot'cLoss-coutainirration betieen clifl'ererit pro,l,,.rr.
2,2.4 Pr*cess w,a{er es,alusf ion
Proccss lvater'(potablc natcr fbr cl.rcr:rical s),nthcsis arca ar:cl puritlecl q,ater fbr clean area)
us'-rd 1bt'itianuf'aclul'ing ol-Tcl:trisartan API i,'as iinalyzcci. tlrc'coltcnl of iliu.itc, NDh,fA and
NDI],' in process walel are ali lorver than LOD. lLOn of nirrite 0.00i ppm: L{}D 6l},{Dl4A
0'01 ppm; LOD of NDEA i].(ll ppur) It inchcated tl:at the risk tc intrccluce nitrite orN-
.-:.,-^ _-.
r.rus"ilililrr [1Lri'r.{ ano:ut]Al Il.o1r proL-css vater is extrer:reiy Iow.
Jn conclusioit- the lisk cf inn'o<lucirrg N-nitrcsaurine impr:rities by contanrination or cross-
contamination in Telmisarlan Apl is extremelv lou,.
2,3 Elegra<Saticu sva ! u:rtir_rr.:
Thr chclnical structurc of Te lnrisartan iiocs
:iiniiie moielv. fitclelbrc. uo N-nitrosliniinc
,lCgiLiCiUiiorr l)r'r)ce ss (rl)()il sf Orij It.
3. ,,tr:rh,tical itesults
'i'lte above t'isk assesstuent inclicates that rhe risi< fbr uitrosar:-rine contamination irr Huahai,s
Tc!misarten is lcgiigiblc. Ncv.ct.thcir:.qs. r,lut: io tlic reguiaiory r:onccrns thai ail sartans with
ictrazolc ring u'oLtici bc cot'tsi<Jci'cti lr havc irigircr risk rhan otl:ci. che i;"iicai ciriigs bascri c*
iiti'armaliou cc.rlle,,:ted horl;ill relglar,l nranuiirciulers bl, tirc: regulator-y ,,g",,ri'rr. sirniiarl,y
fbr Telr:risarlall. $.'r pcribr:::e il liDhiA iurri NIrEA scresiiing teiting r:n ali the Tein:isartar:
batches:itanuiactureri i:'or:r 2Ai5 * 2Ci9 i.eai (a rotai oi'atj0 uatcnes,yro anaiyze the pcteniiai
liiesellce'l'ehnisaitan o1'Nll,)fu{A r:nrj NI}x:A. ]ri ;,cklitior:. wr irave peijbnired ie ieeti,,e b;itcl.ies
ruoi contain nitri:, rrift.oso or aikyl seconclary
iirrpuriiles t,ill hc gcner.atecj during the Api
I,;1 rT#
[x
€# ?eEe
$$ EBffi ffi Fffi * ffi
. : ;E#f -"Eg;ffi EEt6dr #*t**.r#r,&sft =
siiE ia -a* j 6d j*u,$.tr eie EJJ H ;p&u d,_x ElT
-'.*_
of Telnrisartan l.br tlte potential presence oi'NlliPA, NDIpA. h,rDiiA. anclNMBA. Tire testing
restilts. flrcir analytical :nethocls ancl evaluationslr aiiclations ar.e presented as foilows:
{or Eplentiul frtDMA:
1)-DMA
is a carcinogcnic risk subsiancc ti:r rvliici: suttlcient carcinogenicity data exisi, ancl
lbr whicl: the accePtablc claily inlake is 9(r ng/day as pcr f,lv{A/CHMp considcration, ihe
:itf::ll:llmit
of NDir4A in'ltlmisartan is 1.:oo ppn] ciepending on iis maxirnat daiiy ctose
r)i 6u l]]q'oav.
For Potentiu{ i{DEA:
NPEA is a carcinogenic risk srtbsiance fbr rvhich sulllcient carcinogenicity <iata exist, and tbr
rvhich tlte acceptable dailv irrtake is 26.5 ngidty as per EMAiCI{Mp consirieration, ihe
acceptable limit ol'NDEA in Telnrisrrian is 0.330 pfrn clepending on its n:axir:ral jaily dose
of ll0 nrsidav.
To lurtht| confinl il'rt il:e;'isk oil!DM,, anci NDEA in Fiuahai's Teln:isartan woukl be
negligihle' a FDA-based ilC-lV{S/h4S nretirod is develoi:ed to test the nitrosamines in
Telrilisariat: ?lre nlcthoel has been r,;ilidateil to bc sr:itablc 1or its inlended use. inciuding
specilicity, Linearitl" Prccision (re;,"eaiahiliiy & inremiediaie precisioni" Accuracy, LLrrit of
Detcction (LoD) anci Liniir of eua:rtiiarion (LoQ), solurion srabiiiry and Range. Ti:e
urethocjvalidatior: sullllllillry is shorvn in Tabie 2 anrJ analysis rcsults clleprcsentative batcircs
cI'lelmisartan are prescnteci in T'able J.
Table 2. &'€etErod vaiitEation surnman,of NIIMA and &rDEA in T.elmisartan
ilisk Assessm em t s u rm nr * ry, f'o-G*Fc,ffif*
N-rr it'osoc! inr eth'irnr !*e (NB [t.4], N -* !tros.c ic€ !r3,ia an in e
(ll llflrt) or other Fi-n i trosa*-r in e Con $:t nt !s: :rtiorrs ! el
Tclmisartan
n
ragc rE cI E3
1'nlidntion eicnr*nt ;!"cce5rfu rice criteria Stesu lts
Snccificitl'
Sanltie solution has ;ro iuierf'ercncc or;
llr.' ,let..rrrrirrrri-r,, 'r Vh, 4 ..-.-r tr rr n
I (rtrr:l/t-.
g ::-lSctftLiy so i u Li o r r.
rO lnlCt-ICI'Ct')CC
Prccisitx:
Repeatabiiiiv
The recovcr;,of'NDMA anej NDE,, tbr 6
dctenri nltions i0'l.n- I _l Lliljo
N DI,IA : 8 4.3%,-8 5.4o/b
NDEA: CA.A,16- I 0 1.5%
l']rc ltSD calciilated trv recovcn, of'
NDh'l4 and rr*DL.rl {2t}.(),11t
NDM;: U.501ii,
NDIA: 0.5]?1,
Intc:llcdirie
precisiorr
'lhe recover) r,rl'D4; end ND!.lA ior (r
iieiclrninr:lions i O9/,,- | i{),ii,
N D ,1,, ; 1t4,.3
o/i,-B
5. 5%
NIIEA: i 0{}. lata- 1 i) i.6%
'l'he RSD caicr.rlated bv recover-v cif"
NDI1A and NDEA <20.0it
NDli4A:0.51%
NDEA:0.62%
'l'irc RSD cirlcriiaictl by rccoi'cry oi
N i)ivl; alrd NDli: lionr I arltlvsrs
<20.()'li,
Nl)MA: 0.5 i9,o
NDEA: 0.559i,
,/"uclltocy iltr:oioit,. 7(I'rir - ii()ir; l)!4rt : 7
"1
)bii,-82.90A
NDB..t : 97. ito;ir-1)9. I },u
Dr:ic.cliot: lir:,lii
lnd cluantitatirr*
i-,3ii
NDM,A- : 1-Cf.t10,ii I Cr:pni
Iil)E,:r: LOD.:C.0 ] Ulrpn;
I{DMA: i.} 0i}5 ppni
NDEA: 0.00lppni
iill iffiF€& r#ffi ss #s
ffi ffi Ftr * ff
Itislt Assessnrent Sumnror
",
t
"
tl,* lrJ* F
N-n itrosoci inrcthylam ine (Nili,{i!), N-u i t rusr.rt} ie€ hv !anl ! me
(liElEA.) or other N-nltrosemine Ccntirnrinations iir
Tclmisartan
ilage 92 of tr5
Acceptance criteria
I I{SD at LOQ lcvci tbr ND,{A lnd
I I
r!,rr .L( rrllrJ
i ' NDHA<]0?;
NDIWA: LOQ <0.05pprl
Nl)HA: i.OO s0.{}j
rr*DMA:0.0011 ppur
NDtiA: 0.Lt()5
NDMA:3.52?i,
NDBA.2,O7%
Cr.rrr'clatiorr couljlcir:irt i R:): 211.q9g
ilarrec: uirhin rhe r.lugc ol-LOe icvel tc;
.3.Opp nr.
ND4A: R:=0.1)999
NDEA: R1.,.0.99q9
lla rigc o !' N I)M i :
2.53 T0ngrnrl--3 04.:13 53 ng/nrL,
cqr"iivalent to 0.()25 ppn.r * 3.0 pprn
in samplc.
Range ol NDI?A:
2,5 53 2nghnl-3 06.3 8521g,,m1..,
cquivalcnt toO.025ppm---3.0pprn in
So1rr1]on Stririlit'r,
Th* iest solriiion is stirblc il inrpririt,v
peak tinrc is rvirhin lhe iass acquisition
rirttc and irrrIurit1 conie nr r'ariution
lbovc LOQ lrrvci sitorrld ire lr:1 uxcccd
l0'll of'linrir.
-ll'rc
:i(iIt(lat-ri sol Lrli Ltir rs sta blc i i' inrprrii tt,
rcuolr:ry is rvitl.:in i 0,i,- 130,,.,
Thc rcsr soiurion is stable u.ithin
2rlays, llie slandard solution is stable
ru,ithin 2days.
conelusiolt: rll ol'this |atidation rcsulls rncci tirc 1>rc-rlerennlnccl rcqui;-cnrr:;-,,r]r*-lr,i"r"*r*.",1*
:*!toii crl
"l]g!iiv uoilrrol lbr' DI{A rlrl NDIA in ]'ciruisar-ran.
Tal:le 3. i]a(ci: A*;th.sis $ar* cf'Nl]],E,q anci F{!}EA !:.:
Telrr: isa rtE:r
R.cpresentative tsatciles ofl
l'he tcst results tionr scleciccl l;ate lir_:s
the possibility iirr the pres^e nce orthe
txlrcl'xcll, ic$," antl tl.rc |isk o:'NDEA
irs listccl .thovc are consisrent ivith ihe cvaiuation that
inrpur-itics NIIMA in Fli;ahai's'[clniisafian Apl is
is considercd ii; br: ne giigibic.
, ilatcfi Nc.
R.esults
NI}I{,A . ,,.NSEA,,,
?'cinl isil l'f ll cr
I-OE} U.005 pprn 0.001 ppnr
[.{]Q l).008 pprl 0.005 ppnr
il5:71- tr-00 i <LOI) <LOD
D527 i- 19-()02 <LOD <LOD
DS1-l-l()-trlr1
'!-uL) <LOD
ll is k,Assessr':r elr f S u *: m a r--*, for tll e ilof exi* I tr,-ure,,.*r, f.
N-n itrosori inr ethy la m iue lN ll ilt A i, i{-* itrosril iethi,!i,r sn i n e
fi*fiA) or other NI-nitrosi*:rine Ccnt;t*rir:ations il:
?elmis*rtan
-!brsi<rm:(i2 !-age EJ o! 15
ilry Fotcnticl ,'.1,f BA:
NMBA rs a carcinogenic risk substance 1or *tich the acceptable daiJy intal<e is 96 ngiday as
per E4A considcratiori, the acceptablc lirlir olNDfuiA in ielmisarton i, t.200 ppm
depending orr its nraximal rlaily dosc ol g0 urg/da_v.
To fu|thcl confinlr tlte actual ler,ei of NN4BA in Huahai's Telmisarian, a LC-MS/ MS methorl
is developed to test the inrpurity'in'lelilisartan, the test lrethod has been evaluated to be
sLritablc fbrits intended r"ise. inc,luding ,pecificit.1,.l,inartit.l;, Limii o./'Detection (l,OD) and
l'imit t:./'Quanlittttirtn (LOq, SttlLrlian Stuhilit"t,,'lhe nrcihocl valrdatlein slul"]i.llary and aualysis
rcsults o1''consccLriirre balchcs cf l'ehrrisartan ar.r presentecl in T*btre 4.
J'hc lcst resul$ as listcd ai:ove a;'c *onsisicnl u,irh lhe cvaluaiion lhat there has essenlially r:cr
possilrilitl' lbr iire prcsr:nce o{'the in:pulit}, N&4tsA it Tekrisartan rising rhe designed
inanuiact';ring proccss.
l;'ttt' llorert !i tt[,rl] B.l :
ND13A is ir earcinogcnic rish siibslauce lbi r.i'hicli'fD5{},,,, reported as 0.691 mg/kg exists. rhe
ace ept.ible ii:nit ol'li-Nitrosr:riibiiltiiiinl:nr iii ?e ir:ris*riiin ;i; 8.ti30 ppr;i <ie1:er.:riing on irs
rttaxinrrl ilaily dose ol'li0 tlg/r1er,
Tairle.{. }{ethod l/alidr:trou sunrnr*13,sf }iMi}A in T'e[mrsartan
l'alitl*tion elemert Acrrpla nce criteri*
Spcciii cit1,
lllank soluriol and sautplc lialc tio inicr.lcrurcc
r:it litc dctcrnriiiaiitrn ol'  N.,lliA.
Blank srilutiorr and sarnple have no
inlcrfi'rcncc on thu dctermination
of N{BA.
Lincarit,r
Con'cietion coe.fllcienr ( R:l r 0.99 R2=0.9997
Rangc of i,0-Lf:: rvirhin the ran:rc ol
0ng; nrI-.-ii().{)rrg,,tirL. eqirr valut( 1o OlDl1l *
.1.()ppnt in samplc.
Itange ol'L0-L6:
0.0000 ng/rrl -60.71 04ng/inl,
*luivnlerrt to 0.00 ppnr -4.00 pprr
in snrnple .
Dclcction linrir alti
quar rtitarior.r li:'nit
I-OD<i).01 0pprr': 0.0 i0 ppnr
LOQ<0 0i0pprlr 0.030ppm
IiSD tLOQ icycl lirr Ml:1., )<2()(h RSD, 4.S3 %
Ilcpcauibilit_v
Rccot'ery {6 d(ielltljnrtlorl); l(.)9/o- I l0{j.,1 L)9.i%"'106.5%
i(SD (rr.coreriB.i ot () Lie lcrniinatiol): <20.0,ii, RSD, 2.39%
St:nrl-.ie Tr'.cl
D5l7l-1-s-0(,-l < L-OD(0.01Oppnr)
D5271- t 9-105 < l.OD(0.rJ l0p1;m)
ll5l71- I 9-i)66 < L0D(0.0lOppra)
i" . &$?,X f& 3ffi ffi $&$Effi ffi ffffi tr ffi
i],li:::-:'":i::':]:,!.....::..:..:l':r.l::3:.::1:;:ii.'.]'....
{o r Fat ar t i t i htD I pA/N E I p.4 :
NDIPAT'NEIPA are carcino,{enic risk substarices, {i':r *,hich the acceprable dail1, iniake is 26.5
ngiday as pcr EIvIA considcriition: l:clicc. ilic acccptablc liniit of hiDIpA,NEIpA in
Teltttisartan AP{ is 0.330 ppn: clepending ,.rn iis rnarimal daily riosc oi 80 n:gl<iay.
To furtlicr confirm the irclual level of NE.IIA/NDIPA ancl NDBA in Hr-rahai's Tehnisarran" a
GC-MS/MS rnethod is deYelopecl to iest the in:purity in Telmisartan, the test liethod has been
cvaluated to be suitaLrle for its intenclecl use, inclu<iirig Specificity, l.inear:ity and LoD &
LOQ' The tnetliod evaluation slnlll:laiy and analysis i.rrirr of consecutive batches of
Telmisartan are presenreci in ?abie S:
'r "- '-*-.'-* v' vv'
Table 5. &{efhod Flvaluation Sut:'lntar"y and tr}atclies Analysis Results of Telniisartan
itisk Assessm ent Sum n, o ry,ffi
N-* itrasod i mrrth)'xa *r irte ( N I)fi{A}, }i-n !trosoil ietlrvianl i *e
(Fi$E,q) or other N-nifrosam!ne C'o:rf*niinations ill
Telniisartirn
v erst{}sr: tJl, Page !4 of tr5
rtr cce1:tance criteria
Results
]EIPA *$lPA
Spccificin:
lllank solutiern ir:td satu;:lc
lravc no inlcrlct'cncc orr tIc
deternrilatior-: ol'
F.l P.+ ) l)liA .rrrd i)lt.
lJlalli srilLLtion and sarnplc lravc no irrlc;-ler.ence rtn lhe
rictelnti narion o1' NF.ll,A/NDI I,A and NDBA.
Iir'pcllabili1,
Rc co ver,u.- ( (r ilcterur ination).
7 011i,- I -'i
(i,li 99 M,-- t04 f)% I() 1 21i^- l0:1.-<'i{) 9'l.1ttti-- l{1.'l%
RSD irecovelics o1 (i
rle ti:r:ninalion: < 20':o
i{SD: 1 .9.4'2i RSD, I.2C% RSD,3.6li,i,
Dclection
limir and
rpritrtitation
iinrit
NEiPA and NDIPA,
LOD<0.00lppm
NIlilA; l-OD<0.0i0ppnr
0.()0lppnr ().()0 I ppr:: 0.0i0ppn:
Sigral-to-rroi.ic rario (S N;:
about 3 (ar l*a$r)
SlNr l0 S,itl-: 4 (.'tt - I I
iiSIi ( perk alr.:a latio ibr.
LOQ to rnrclnll stiutJald t, .
20.0,!t,,
RSI), s.ii,t,i, ItSD:5.ti2',i) RSII:3.8Ii9;r,
NI-.lIrA auti NDIPA,
L0Q<0 005ppnr
Nl)llA: l_0e:ti.025rrprl
0.lX)5ppr:r 0.()05ppn 1i.02_5ppni
Signal-ro-rioisc ;'atio ( S,'N ) :
abrlut i0 (at least;
Srn*: 23 Sil'r'.: 2. I s/Ni l7
Saniplt Tcst
D52i1-i9-064 <L-0D(0.()(i lppnr) <LOl)(0.0U lppnii <L01X0.01 ft:prrr i
Il5l7 i- r 9-0(;5 <i-OD(0.001nrrni) <LODiO.00lppm) <LOD(0.010pnm)
D527 l- tr-066 ., 1.OD(().()(l Ippm) .;l,OD(0.U0 lppnr) <LOD(0.0 I (iounr i
The {est results as listcd abot'c tirc Lrollsisicut r.viih the i'isk assessnent conclusions tirat ti:crc
are .ssetltially no possibiiities for ti:c p,.rtentialprcscnce of ttrle riitrosamjEs impgriries NDBA.
ItDIPA anii NEIPA in'fel:ttisailalr iisiirs l':iLiahai's cuirent nlanrifactui-ing prccess of
Teinrisaltali.
NI}$A
:tE 3*f 6fi:# # rF tr ffif,s EF! * ftH ala ffi!
6ClEgJ#f4glr*tr ffiE tT* !€FEe'A"a ffi;
;-:i1'-,:i..i. -,-.)t;..t.',1. .::.i i,'..' -... r. '.r :.::.i.
,{" Concltsiolrs
To the bcst of onr cLlrrirrt l<irowledge arl(i based o11 l-lriahai's rorlte oi synthesis, the risk of
NDN4A inTclnTisaltan is consicicrcd 1o bc rrxtren.lcly lorv. and tirc risk of NDEA, NEIPA,
NIilPA, NMilA, NDI3A or aily othci N-rrilrosarnire iirrpuriiy in r-iur'leimisartan API is
considerecl to be negligibie,
Based on the above risl< asscssmcrt anci rvith lefe.rcnce to lhe ultimate control limit of
NDMA^{DEA irt tetrazole saitau Al}is envisicled b,y the Eurcpcan Clonrn:ission . the
fi'lllotving coirtrol stratlrgics hu,c alrcadv bccu establishcd to firrtlrcr nrjnirrize tire risk:
" Pcriodically rnonitor the contcnt of NOz- in potable rvater
. Periodically r:ronitot'the cclr"itenf oiNO:- in pulifieclwatcr
" Routine control oIDMA in di*rethyltbrmamidc (DMF)
n Routinc conflol <;l NDIvIA in Tclnli-cartan u,ith NMT 0.030 ppil:
* iLouiine c,rntroi of NDEA in l'cintisaiian u,itir Ni4T 0 030 ppr::
Risk Assess:"*ent S**rnlafi f'or tlre Fjctexltia! Elresence of
N-n itrosod imethl,Eam ir:c (NIlMAlu N-m !trosori i*tfu y!aitrime
(NfiEA) or other N-nltrosasl:ine Contartelsiatioias !sr
Telmisartan
Versi*n:02 Fage !.5 of i5

presentation on Risk Assessment Summary.pdf

  • 1.
    Risk Assessmerat sursrxs?*ryf*r €ke potentiatr presemce of, N*rsitroscdixm ethylaneiree (NSMA], N-mitrcssdiethylarmine (F{BEA} cr other N-xritrosamine C*xataaseim*ticxas Exa ?eirg}isartaxs *oetaxnea!€ N*. .&AR.C.-zS2S&€At-2 E re drx q€ Eee"hxcgBopv C_$g€pq SA Bepartame$€ Frep*ra€aoxr Scp€. Saf'*keeg:ixtg Sept" ffiffix&ffi trtr#tr
  • 2.
    ffitr?EW?ffiffi$9ffiffiffi$ffiffiX3 zt {€jthzuG t{uefi*. r ptlhrlrlthc.EtiT'is&L { 6.,i-?o" RishA"ssessment Sumrnary forthe Fotential Fresenee of N-rdtrosodircethylamine {NDMA), N-nitrosodiethytamine (NDE.A} or ] Versior:S2 other N-nitrssa*?ine Ccntaminations in Telmisart*n Socurceert Chax'age History Version No. Effective Date Summary of Changes from Previous Version 01 2020.(ii,04 New document" a2 ).a;n..!, * l.Correct the error value of process purging capability and risk level of N-nitiosarnine i.mpurity in Telmisartan. 2.Add risk assessment number RARC-2020011 1-2.
  • 3.
    ffilxwFffiffistrffifffiffi$trffiffi XpiEJlfi,FES HUilHtt Fg{rrtir}r$r!6Hu-!-lcel-cc-r-inl Reviewand Approva3 RiskAsssssme*t sumrrcaly for the potentis! Fresersce *f N'nitror odim ethylam ine (NIMA), N- nitrosodiethylam ine (NlE.&) o r ether lt[-nitros *mine Contaminations lrr Telmisartan rersion:02 Froduct l.echnology Center Wenquan Lin / TE director Dralling the document f6.,f( ]alo, ri.l I Production Department Gang Qian / Production manager R"evieu,ing the document t31'4'rt ' rj Product ?echnology Center Yuanxuru Zhu I TE I r tqriGE!l lo.Lo-"1.i! Quality Contiol Department Xiaiihua Zhang/ QC rnanager Quaiity Management Deparlrnent Jinyi Lii QA assistai'rt director" L^. 4u# >f>0 -,i. /7 "t / Quaiitl, F"4anager Xiacrirong Zhaa I QA cirectcr' Approving the doc*:rent ^i 19,iC ,i:j
  • 4.
    ffifxw?reffi$&&tr€*reffiffiffiT Elisii Assessnre ritSun"lnrur, iot' tlre Potcntial Ilrcsel:cc of li-n itrosociirnethyiam inc ( N l)14,{}. N -* itrosodietlry lam imc (}i I}[iA) on oth er is{ - E} it r+sir *r i * e C o rt tit m i * * t ic ll s i t:'['ci nt isa ria :t tr/ensiocl:(}2 C+ntemE 1. ?. 4.
  • 5.
    t, Iluckgroutid Due tothe recent episoric thal triice aurorrut of N-riitrosodirnethylamine (NDMA) was detected in Valsarlan nI'1. the l'oo1 clttsc of this ev*n1 has been thoroirghiy investigated and analyzerl at i-{uaiiai. The impulitl, NDI.{A va- generaled in the tetrazole fonrration step of Valsarlan in rvhich the quenching of unreacted azirie by nitrous acid takes place in the prcseltce of prodllcr. [n this quenchir:g step, dimethylforrnamide (he nce its clcgradantiinipurity. dirnethylarriirie) ard nitrous acicl exist simultaneously 1o reuder the nitrosation of dimethylar.nirre to 1:r'ocecd. gcncruting irace anlount of NDi4A. ht addirion, since the clucuciiir:g lakes place in tite presence of tlie target product. trace arrrotult of NDkIA lbrmed dirring the quenching step could be present in that targct product and ntal' also be carried r>r,er inlo tlre flnal API. Ilaseci on this eiuciciated root cause, tlre presettce of trace aulount ot'NDX,{A in thc final Valsartan AI'1 r'eqr:ires the convergence of the follorving tbirr lactors: i) usc ,-ri'cirnreihyllbrr':ramide (Dtr,lF;. ii) cluenching of'azicic using nitrous acid, and iti) qLrcnching lakcs placc iri ihc prt:scncc o'1'thc targcl producl. iv) thc process !acks adequate puriiicatioii stcps alicl ihc gencratir;n pt.riiii o1'the ND4A. More rcccntl'. ciuring tlie rc-uLrlatorv irscrrr.ic-q'iind irrdustry's ongoing investigation. titri,'sautiue impurity. i,e.. N-niiiosodiinethylarnrne (NDMA), ira-* also bee.n i<ientified rn oiher iron-sartan ilrugs. e.g., iir Lratches o1'I{anitidrne nranulactured by ceitain r:-:anuf'acturers. Based o:r the iibove analysis of'the 4 ke1. factors, r.ve lrave der,clcped a risk assessnrent lool lbr the risk of gerieration atid poteniiai presence oi' N-njtrosocliniethylarnine (NDh,iA). N- nin'osodietirl,laniine NDfjA) or other N-nitrosamrnc impuritics in any sartans ol chemically synthesized APis. The overull rish wouki tre dcpcndent upon if the first 3 factors convergc tnd il'' the p".ocess fias adeqLrate puril'rcaticu steps (typically crystallization) after the genrraiion point cf tirat particuial nitr<"rsaniine iurpurity (ihe 4'r' factor). trn tl-ris expanclecl velsion til"Foirr Faclors rrralysis". u,e ltave uori, irilroduccd il sco::ing systern: i) I'rescnce ol a secondary alklri anrine (and tc a nlt.cii iess dcgt'r'r-'. a tertlary antine) in the nrauLrl'acluring process * For ilrc trminc factor (A), if tl'rc process lias a secondary iimine as n leagent" it uotild bc consitlr,red thc lrighcsi risk and be assigned a score of 10. i.e .. A =. 1(-i in sr"tch a c;rsc. ii) 1)rcscntc oirritritc in tire nranutilcfllriug llroccss (cithcr as a rcagcilt or to a muclt icss drgrce. as atr inrpurilr, irr a rcagcni) * i'ol iirc nitritr,'laclor (N)" if ilic process has i:itritcinitroLrs acid as a reagel'it" ri u,ouid be eor-rsiclered the higirest risk and be assigued a scoir of 10, i.e., N = i{i it: such a case. iii)The co-presence oi'tire bcuonriJri aniine anri niirite in the sanle reaction step (patticularl5,iu an acidic conclition) and in the presence o1'the target product of tirat step, - i--or thc co-existeircc iacicr (Coe), if it exists, i1 rvould be consiclered the lrighest risk and b,j assigued a scorc oii0, i.c. Coc: l0 iti sucl: a casc. i1r)Tlie AI'l piocess has hou,irrany tLirit)c*tiorr sieps {the purging capa"oility of ti:e ploccss) zrfiel thc gcneLatir,.n point ol thc N-nitrosan:ir:e - Eased or'I oilr .ciu.Jies, ever,v purilicatir:n srep i.,.oul,J havc ilr lcasi 90')/o piu'ging L:apability fbr small nilrosamines sucii as NIih4A au<i Ili)EA. lienr,c. a purging lactor'(F) oJ'l0 rvoitld be as-"igned 1cr each piilific,aliou slcp aiict iirc tiittosa;;iiitc re ire li-ilrr:n i'roiitl. ltisk Assessme*t Sumnrarc' tirr thc L)*tcutial Pnesc*ee *f' N-n if rosod inl eth,1*rn ine ( Fi * i{A}- N -n it rosod ietltv !:t ril i *e (NDEAi or ct'lrer N-nltros;entine Contanlinafiorts in Te Inrisiirtrn Version;S2 Pngelof'!5
  • 6.
    Etislt A.ssessrnellt Summ*n,fcr the I]otential Presence of N-nitrosodimetlil,lamime {N*MA}, N-nitrcsodict!rt,Eac}liare {l{*EA) or other N-nitros:rn:iuc Contanliniltiorrs in Telmisartan Version:02 Fage 2 of i5 "[ lrus,, the ove ra!! risk (lListe) = Axxcoe/F For Huahai's old Valsarlan Ilrocess l0x 10>r i0"10 : l{)0. ri,hich is a high lcielrcd tr> as 4lAS Antlysi.u. Wt' have used tliis llothodolog-v to pcrfbrm lisk asscsslreilt ou all the sartans Huahai ilanuf'actttred and the assessiilent rcsulis are generally in line u,itl: tlre actual screening/testing rc,suhs. Ccnsecluetttly. rire 4ElS ,Antt/l'-;is can bc used as an effective tool to evaluate the polelttial ttitlosamine risli for a sylriheiic pircess of any dnrg substauce. As we ilhistrated above, the Risk Score tbr Huahai's old Valsartan process (7.nCl|; is i00, indicating the genera{ion oinitt'osamines in that plocess w,:uld be high. On the contrary, if o:re of the above 4 tactors is clifl'crcnt fi'orn that itr the old Virlsaltan proccss, thcn thc rjsk for thc gencration of rrilt-osatnines would be lou,. For exampie, ila proccss cronlains secondary anrines and source rii'nitrite. but the secondary arnines and nitlite are introduced ir: <JilTerent reaction st€ps" then the risk for the geueration oinitrosanrines *,oulci be low (Risk Score cf I or less). iri another sccnat'io in u'iricir oue ol tlte four iacto;.s is missing, e.g., il'a process does not contair secondary atlines or it docs not have a sourcL' of'nitrite, tlien ihe risk fbr the gencration r:f nitrosamittes in that process rvould be ven, low or negligible (l{isl< Scr-rre o1'0.1 or less). The <letaiis ot'Lrtilizrng tirc l1;.li,t ,lntiy.tr,t u,ili bc clcnronsilated in tlic fcllorr,ing paragraphs ivitli 'j-clin1-suri.llii ls llte eirsc sittril', 2. l{isk Ev*luaficn lor 'lelr::isirr'(xpe A cotttpreltensit'e ancl sysiematic risk identificaiion and evaliiation of NIIMA, NIIIEA or afiv otirer N-nitlr:sanrinc intpurity il Teirnisartau has been pe,rfbrnied bascd on thc gcneral princ,iplcs t:f "tF,4S Anal;.xi.r', urrclcrtal<cn as loilou,'s, co..'crinu ihe ploccss anci n:irtcriiils. J'hc i-isk irlentillcatioti ancl evalualiol dlle io conliur:inatii:n 0lcross-contarlination u,ill be prescnted aijei'*'arris. The.sy:itltetic route iblTeinrisartau is ixeseuted in Figure-! as iire ,r^-rl.-,,.-^i.,r F^-- .t t: t ( 1.. -.)... :. irqi ir!1x .lJtrilrL lrJt +i',-|,) ."1ilu1_1t.t.. (ZnC'l:) u'hich trigged the NIIN{A even1, llisk : risk. This fbur thctors iinalvsis u,itli scorinr: can bc , ;:,.t ?&&?x ss?ffi ffi gg ffi ffi ffi ffffi * ffi , .] -. ,: ri,. -'
  • 7.
    :t6 E? **{:fa ffi eq Er #fi Eia ffi *Fi n:a ffi 6giE il* &f- jE# AIJ:ilE- EdE E},'3 ffi SEg i: ffii Risk Assess*rerlf Sun?fir*ra' for tEre Poter.itiitI Frese*ce of N-n itrosori inrethy la m ir.!e (N $h'IA), Fi-n itros<id ietl:yln r:r !m e (n*tr)EAi or othcr N-*itrosilnri*c Coaltam!na€ions !m Telnr is*rt* n Vsrsiom:02 Fage 3 of i5 LIll ,-N rctlr iI I J' 0oA4r' t'rir ll lletzint idazole l'oll,pltosphoric acid. l-oluene clli 6:':..--rclt, ^=. N""/zL x' (/i.r zz-N /-t t L,t tl 9)ehydrate product i . 'll rll I V,r*tt tilfi 2 NaOI{, ijCi Actii,e carbon Isopropirnol li-methS'l-o-phr'lr.i'ki!liliin e clilr5'cl1n.1,1o,'Ut' DiU F, S odi unr lryciroxidc L,il, , , [)i;ltlurt,tttcrlr.rrre ,-/-L il-1 U itt. l'l(rccssir[(l )-cF{. cku, t-tct, Acelic acid Ethanoi, NH1.ll'G 'I'fit} Tei rnisa rtam ter!-bu i,vl ester' Nlir'H.c) ,lcetic acid. l:thanol Tol"rica'.+."- ^-",I- s glri!lsiir[alx Figure-t 5t+ute ofl Sve:{Elesis (tt{}S) Sctte:*c ior ?eh*isartan ] B llrrrcose iitllrrr+fir' -. " "...""....111 e 1l;AS Atluljt.sl,t' lor .il.A, Anuly.sis methodoiogv utiiizeci to determine the risk" of'N-nitrosarnine impurity in sartans or chemicall,v synthesized rPis, the poiential presence ol anrines or nitrite in tire ilrocess is sr,rb.jecl to specitlc assess*r€ilt so as 1o deten^rrine ihe cor-responding risks intro<Juced by: i) ral rr:aleLials.2) manulircturing illocL:ss,3) plocess degradation. and 4) oihcr possiirlc strurees, u L)aterminuliotl oi tire lii.tk !tr,e i L'.' -{fi|5 iinul.ysis Tlrc lisk t:{'eactr N-r:ir,r'osanriilc inrllLriii-/ is anaiyzeri f}om ti:c ibur inctcrs ard quantiletiveiy :'eirrcscni*cl by a R!si< Scr.rrc or'?rirging factol asscssccl fi'o:n cacil iacior" Ti:c cverali F.isk af' each N-i:it!'osa*iinr in-ipui"il;, is ii:raily rietelinined b),the coljrlliilaiio* of'tl:e Risk Score. Thr .- z ,'I t(rir., i l
  • 8.
    eIiectiveness o1"J/?lS.intl.,si,';:nethodolog)r hasbeen tested and demonstrated rvith the risk assesstrtcnt perl'ortncd on all tltc sartans I'lirahai mauutactured. all of u,hich assessment lias bceu sttpported iry the screeni:rg test iesulls of the sr-ibjr,ct product. The specific qualitative ancl quarrtitativc anallsis r"rsing tiic plincilrlcs ot'/,[1.5 ,'1nul).'.ri.s is pr.cse ntcd bclou,: 2,1.1 An:rl,s,sis of Amille F'aetor (A) j'*!nfr" 'llre rrrr.lirrritrrrlr rl:tl::r nn tlrp nitr':rc:rlinrr rrtec ni'-l':'ielhr:1:r1ine 11o!-strq Tlirrll-tl11ul31njy1g by nitrous acid indicate a score oi0.2 appears ta be warlanLed. i-{oi,r,ever', a more consen'atir,'e vahter o1-up to i ean bc ttscd dcpcndcnt u]:ou eaci: inrliviriualcase duriug the meantime. 2.1.2 Arraiysis of FJitrite Factor {H} Risli Assess$lerlt Sunrnl*rv for the ilartential !)nesemce of' N - n i tro s o d i nr c f h 1. I a m i * e (N I) ivIA), N - n i tro s o tl i cf h,v I a em ! n o {NtsE,{) or other N-lritnosanrime Car*t**li*rrtions irr Telnrisartan V*rsion:02 Page ,6 of !5 The risk score of this lactor is classilleclbased ou the poiential sources of amines: Sources of Arrlints . ,:: :"': . .. i,..' . , ' :. I'Iigh Prescncc olsccondutv alk;-..1 aminc in the nranui'ucturing proccss eitlier as a rarv ulaterial ol as an iitterntediate- 0l PLesence oi'olher lari, nrateLial under spec,iiic conditions, rcsuiiing iu liigh lisk to iutroducr secondary aikyi arriincs (e.g., desradation olDh4F under irigh tentperiiture and acidiciaikaline coldilions t'o: iong tinre to gcnerate diruethylarrine ) t0 l{cclir"rrr tu i,ov I)re scrncc of tertiarv aliir,l iiutinc (c.g.. Tiicrhylanrine) in the tttitttttlactr-rring proccss eithcr';-rs a r'.:',t, llrittcrill ttr its an intcntrcd iate /l "l 1* Low Pr*sencc u.f sccondart,.rtcrlialv Ilk1,l 0,,,,Ina in thc ntanlrf:rcttrring process, cilircr as an irrrpr-rrit1, irr a rarv itraterial. I process impurity cI inlerntediate nranul'acturing ttloces;. or trac€ clegradatiou im1turily- irf intermediate 0.1 Lixtremeiy log, No source of anrirics idcniillcci t0'' Tl-ie risk scole ot'tltis iactol is ciassilled bascd on the potentialsources of'nitrite: Rislt of' !ntrod ucing Nitrite Sources oi'Fi;trite* Hrgl] Prcscrrrte oi'nitritc in tlrrr ntanirtactr.u'ing ltroccss as a reagcllt IO fuIediuni Ilrcscricc oi nit;:ilc iu ihr: rii:riiiriacturing irrocess a: ln irnpuritv or dcgradalt in a icaseni {NC1-irnpurity content *lgi,; I Lorv i'rescnce ol'nitr:itc iri the n:ianuliictitijrg ilr'ocrss ;is e trace ir:rpurity in ;r reaguut (NO;"iinpuritv c(1t'licrlt ^0. i9t,), sucli as s,,lcliuur ;zide" rrl is ii iracc ricglarli:nl fli Risk Score
  • 9.
    idlsk Assessn:ent $umniar1,lbr tlre ilotentiiil Presc:nce ot' l{-nitrosodin:etl:vi*rulrte (Fil}&,iAi, ld-r: itroso*l iethl,!*::l ims; {liX}EA} or other hi-nitr*sami*e Cc:tfa:*i:lr:tlons iru Telmisartan &rsion:G2 Pagc 5 of 15 l:.,:&isk$,erot, i: Extrcu:cly lorv I'resence of nilriLe in litr ntanuiactr.ring pt'ocess as an irrpurity in poliiblc or' pLiri {icd u,ater (n*03-iu pota[ric rvatcr ri I ppt:i; NOl- in puril'ied ,ater <20 ppb] t 0'4 "h*otc: lf nitrite lcst lcstilts trl lhc slrnplc is rr.aiiablc. thc risk scolc could thcn br classiilcd bascd on the arctiui tesl lcstills. 2.t.3 Analy,'sis olCo-cxisic:ncc |actur ((loe) of Arnine and Nitritc lo ]icirdcr ihe Nitrosariou Rcaction An anrine artd nitrile nrLlst ex.ist sirntrltane,ously iri tlrc reactii:n systenl ,.o render an e1'fectir,e uillosation reaction to proceetl, generatirrg lhc coiresponcling N-nitroatnine impurity. .I{ence, il'the atlirre and nitrite co-exislpresent. the rislt of' N-nitrosautine ii:rpurity lormation n'ould be the highcst. Tirc:'isk scorc o1'this factor is ctrassit-rccl as ibllous: 2.i.4 An:llvs!s *f ilurgii;g C*gr:rbiXitr'(l)) t,f ilie Froc*ss fo i{eraecve N-mi€l"osamime !:r-npuritv N-Nit;'osaririnc iill:uritics are ra'ihcr si:-rail nroiccrilcs as coilparcd tc'rire clieinicai structurcs ol'in'lcrilcciiiltr:s and iiri:ir strurctili'rs iiiL- sigiiiiirar:tiv iiiil'erent fi^onr lhat of the target produci. 'i'hcre lore. pu:'ilir,ation steils Lrr solid-liquiri scnLriirtroir Llpci'atioils such ;ls crystallizatioi-i and scparatiou irr$cess it,r,r-rld il: geuet'ai ltiii'e saiisiictorv i:LiiEirig eitpabiiit.v to remove/purge the N-iritrosarxinc inil:uritics. wi:ich is supported by tlrc cun'cni ciata obtaincd fl"<x: our ir>ri'rg;rclicilsii,c ini,estigatioi-rs tri'rtii 'iirc s;ri-ialrs. I'-,.::'c:<.iii^rrplc, our daia irrdicate iirai *ne-step ijxirclnelY loir, : ;-l i$ffi ffi w?ffi ffi wHg iltffi $ffi * ffi { ccii Lrnr trtisli of lntrod ucing Nitritc ', Co-presence Facior Strtus High The anrine aird nitr-ite are introdirced in tire sanre leaciion step l0 l'lte irtlrotiucing pr-ririt ol'llie arnine is oue stcp a,,r,ay fionr llrc intrcducirig rroint oi' nitlite I Lrru' Tlic introtjucile poiirl oi tlre arlincs is trvo steps arva1, fioin the introdui: trlu troinl oi' nitlite: 0.1 The irttloriucing point of tirc rurincs is threc or ntorc steps a1,ay .iion: ihe introducing poirlt olfliirite 0.0 i or iora,er (scorc reduced by onc order o1' rrragrritr.rrie fbr each additional stcp benvccr: the twc; ir,1troduciirg noinfs) Ntgiigiblc Nitritc onh, inuocir.rced fr"om potabie/purifierl rvater', or ti'ie procoss r-ic-.esnot itllitairi all/ cour^e olamines or it does n*t itavr r: s0urcc oi'nitl'iic r n"l IU
  • 10.
    d& I{isk Assessn:cnt Sunrnl:rrytiir thc Poieertiitl Presence cf N- n itrcsotl i nr e( ir, la rn i cl * ( N E) 1 { A}, ll" - * i l :'oso el iet Ett, l it :m i m c iNtlEA) or other li-nif rcsantine Co:rf:l*:inetions im 'Ielmisartnn Vea"sio*:S2 F*ge 6 of XS cI'crystzrllization operation in Candesartiln Ciiexetil and Valsartau process ltas a renroval rate of urore than 90% fbr srr-rall urolecule N-iiitr'osanrine intpuritics such as NDMA and NDEA. Therefbre, each step oisolicl-iiqr-iiclst:ilaration oirerati,:n aijer the generalioi-i poini of the N- nitrosaurine rvoulcl reCuce tlie Dresencc of N-rritrosarnine iti the targct product by l0 fblds {i.e., a purging factol P of 10), and a proccss rvith multiple times (n) of such solid-liquici separation oneratio:r ivould have a purging lafior (P) of 1[.]". 2.1.5 {}r,entll }tisl*.,ssessntetrl Bascd on tlio abor.c cpalitativc and ciLrantitutivc: unalysis pnnciplcs ol- 1il15 lnaly"'i.t, thc risl< lcvcl i;1'eac[r indiviciual N-:'ritrosanrinc is ciiiculatccl as !tESK:AxI{xCoelP. The higher the calculaicd scolc is. thc highcl tl:e Lisk ot' j-nilrosarrine contamination in the final rPi wouki be. The ovcrall lisk assesst:reut along with thc cr:rrcsg;oitditig actioi':s in responsc to cach lisk level is ;ndicrteil irelorr': Id.isk Levetr ttisli Score A,ctittils I-liglr Risk2l0c Anaiyze rcpreseutative batcltes, immediaiely modify or clrange process Mediurt X.isk --10 Analyzc representative batches, tigitt control poinls (ser limits lor secondary amine, nitrite, etc), rnodify or change process Lon' Risii .- i Anaiyze rcpresentative batches, implement appropriaie controil{est rnethod lbr iritrosani jrrc ii^ itcccssarl' Iivlrerrrelrr I r:rrr Itisl.: .-0. i No 1'-rrther action in .'eneial Neeligiblc Risit 10.()i No furlhel action
  • 11.
    :et fggE .:..11:::i ::t: :t.i:. iff ?* r E ff a E!-?t .6tL 1r# tf #. ,*q :=::l 6e* EE Ek Effi nic ffi Sffi "ds- ffii Risk Assessment Sr.Emnlilrj for the Potemtiir! Presence erf l{-n itrosod iinethylam ine (N}}[4.4), ]i'n i troscctr ie€h5,]nmi i *c iN IlE,,t) o!' cther N-n itros* nr ine Cc* tasn in atio*s in Teimisartan Versiosr:02 F*ge 7 cfl tr5 1 a 2.t "6 Assess*rent ldesu[ts The zrssessruent rcsults olr psfs61i3l N-nilro-rarline contarninatioris in Huahai's Telmisartarr plocess using 4FAS Aua11,5i5 are presenieij in the tabie belou,: Corc):l Ptoduct ': ltime'' _il ,. , , lmpurity. Pr:eSdnce of . Arniue-s (Al Presence of Nitrite (N) '.,-.:;:-PrqC-0ss "' , lu-+ing,:,., : Qapa!i!!y .. r :: {P.l:- : - I i I I I i 1 t I 1 I 1 i I I I I I I I I I I i I i i i I I I I I I I I i 'felmisa ltdll I ! hr n -I-- _'-v zN NDMA 10 0.1 i I 0-r Extr-crr.rely L,:w Notes li:r')iD:v{A D4F uscd ils Ia: nratcrial in the pror:css, at ir igh tell ll)0raturc artd alkalirre conditi ons Nitlitc as r nrpirritl, fionr B crrzinrirla;r ole Onc stt:n bctwc-cn ir:trodur:irrg pr>irrts o l' IIN{A and uirrite I step oi solid-iicluiti scprlat ion rliei llie potential generatiori point of NDi,iA NDMA resuhs ol ali the API batrdres nranu lacturcd fior.u 20 I 5 to 20 i 9 in corrpliancc rvilh requirerrent I l -N'^,"O l NDEA f ai".' 0,i l0-'1 r00 l0-i{' r.r*egligible Notes fbr ND]:, No risk idelrt iller! fbl pre scnce o1 .'-....- -",'.'. l: t(I tull)0tlql lg arninc in lhe irlocess Nitrite as 'i:utltlilr, 1l'orn :) g l t1-, lr I I (arl- olc r) 2 stcps of solicl-liquid sc1:arat i on alicr thc ...,_ -..1--_- )rrp ulirlE Benzinridaz ole NDEA results oi' all the API batches nianrrfauiurecl lhnr 2015 to 20i9 in cornpliarrce u,ith t'equilerlent I I -trJn YN i NDIPA :0'r 0t t0-'; r00 i 0-ir' Negiigiblc Notcs ibr NDIF., - "------ -*- - I .,, a ..-l t i.r'- l'' i iillrr/.. !C:ti-f Nl rrsli ir.leniilietl iul prcs,:rrct: ci' g{)11.g_rpo;r{.{i ;ig iut:inr: in the pl cccs'! r n-l Nitrite irs inrpuritv fl'onr lJcrrzinridaz 0lc l!o (.-'+ 2 stcps of soii<l-1irpiti scparatior-t aftcr thc siep uriing 13*nzinri daz _ oi**_ 10,J NDIPA tesl rllsults of 3 seiective batchcs all <i,Ol) {() 001 ppnr} 1(}"1{l Negiigibic '.'' 'Co-. "'r pr:lseflte .: PossibilitlL. .r. iCoel : '
  • 12.
    ?xE#?reffi$*$#€*ffi#ffiffiffiE Notes: Res*lts.fronz ctiditicruils{udic:; sur* rzs specilit sg;iking/gturging sf udies tofurtleer suflpstt tkc 4FAS .,|sse sr'iltettt ilesults *htaincd shove. fr"cspecii v'e11," - NDMA: Tlie poi*n1iai source oi l)fui; is ti-om Dh4F. Meanr.vliiie. spikirtg study rvith ilir4A , niirite ar:ii l{Dh,IA irave couilnned tirat l!DM,r couid be eII'ecrively purged dtrt'i:r-u'the process. Fui'the:'iiiore. *oi'resirrxriiing conrrsl :rgastrres foi'rarv materiais arid finalAPi hiive bcer: inipicirentcd. The overall rislt ol'NIIN4A is extrerreiy iou,. . l'iDEA: i{o lfEA aiirlTEa is uscd iu tli.i ertilc synihctic roule of Teimisartan. :'"4eiintvhiie, spiicing str"rdv u.iih i.":l;HA iras co;rfln:rccl that i{I}}:A *ortlct he eff-ectivcl}, llisk.Assessnteut Summ*rY fcrr the llctential Prese*ce cfl N -n itrosori im ethr.!$ cr'! i ue ( N i) i{A), 5 -ir i trosod ietl:r'!:l m i n e {NIIEA) or other N-nit:'ostrnrinc {-'ontanrinaf ions irr ?e lrnisartan Version:{}2 I'age I of l5 t I i :,i.,r.,r.Irfiprtritir : : Slructurel Presenie'of '. xitiiJ{N), -,:i COr: ri:t:.. : pl:9s.e.{lc-!, ,,..1 Fqsgi[il!tyf {Coei, ';':r' 'r.:Pip-ce'Si:::.::: * - ingl. ,, -,Capa$,ility: , .,,. '. '.iPi. ' : Notcs Ibl NIllPA No rislt iclenti {led lbr pr'escnce oi' con espondi trg arliirc in lltc ploccss Nitrite as impr.u ily liorrr Benzinridaz ole No 2 strrps o{' solid-liquicl sepafation at'tel the step r.rsing Benzimidaz ole NEiPA tesl resrlts of 3 selective batche-s all <LOD (0.001pprn) i (" I .r z^_, .1,.].. .o 1 NDSA i l_' 0.1 l0'.1 100 l0-i{r Ncgiigibic Noics iirr NDIIi No risk identiied {irl pie seurr. r)I ,-,orresponrli :tg anriuc irr {tre Dtoccss liitrite as irnpulity iionr Benzir::iilaz olc No 2 stcps of solid-liquid scparittion aftcr thc stel: using Benzimidaz ()le FtrDB/r tesi resulls ol'3 sciective bntchcs all ":LOD (0.010 ppm) I! -O ,, '- tt' NMBA l(}- 0.1 i0'r 100 i 0':" i.fu:gligible Notes iiri NMBA Ntr risk idcnt ilied fbl plescncr oi' cnr: espondi ng arrtirrc iu !1rc pLoie ss Nitlitc as inrpu ritl' lit,rnt IJcnzimidaz r.llc Nc 2 steps ol' solid-liquid seplt atroll al'ter 1he str.1 r,rsing ilcnzimiriarz ole l{MBA tesl lcsuiis ol"3 scicctive batche-s a11 <LOD (0.03{l pprir)
  • 13.
    EEF ;Y'f,&{* !*?H aEEr ffiE! {}'a # *H rTt ffi sHE ,-! ;f; j W &El jtE trX &fi H5 SEE d.e- EEX ]:..]i::..l':.|..:..:.,..:,:;:].1;::i:'-.']:-l purged dtrrin-e tlte pitlcess. i:urtheriuore, corresponding controI n-]easures {br iinal API have Lreen ir"u1;lentented. 'flrc ovetall risk of NDHA is negiigible. NEIPA: No isoplopylcthylarninc (i1lPA) and diisopropylctl"ry,ianrrne (DIFEA) is usecl in lltc entire syntlietic rouic oll'cliriisaltan. Meanu,hile. hasecl on the ini,estigation of raw ntatel'ials useci in the tlauttlactr,iring process of'Te Inrisartal], no Isopropylethylamine (EIPA; and diisoprt"rpl,lctlrl,lanTine (DIPEA) is used for production of tbese raw rnateriais ttor is Isopt"opl'leth,vlan"rine (fllA) anri diisopropyleth.v-laniine (DIPEA) used fbr the starting nraterials of'tirese ral nraterials. Therefbre, the risk ro NEIPA in Telmisartan drug siibstance is considered negligibie. N,DIPA; No Diisopropylamine (DfPA) and diisopropviethylamine (DIPEA) is usecl in the entirc synthetic t"oute of Teimisartan. Mcanlvliilc. bascci on thc investigation olrau, matcrials usccl in the manriihcturing proccss of Te lnrisarran, 1lo Diisopropylaminc (DIPA) attd dii,copropylethylaniine (tllPHAi is used ibr production of these i'arv n:arerials nor is Diisopropvlatnine (DIPA) a;rd cliisopropylcthylaminc (DIPEA) usecl foi tlie starting tttaterials of these larv uraierials, Tirclciole, the ris1.l. to NDlPA in'feIr.nisartan drug subslancc is corrsiclercd ncgiigible. NDiIA: No DB: rnrJTBA is Lrscd in thc cntirc syntlreiic rouie ol'Telrnisartall, I4ealtl'lti1c. irasr-:d on the iilr,estiglrtion ol'l'iltv tlateliais used in tiic manufacturirr-u proctss of'J'clnrisartail, no DIIA anrlI'liA is uscd ii;r produclion olthese rarv materials nor is IfBr and TLIA irscti ibt liic stalting niatcrials of thcsc rau, rnarcrials. Tliercftrie, thc iisk to NDBA in'lcirlisarran c{iug subsiarce is considered negligibie. NMBA; No N-Meihylpyroiidone (NIr4P) is used in the entire synthetic rouie of Telmisai'tan. Nileanu,hile, based on the investigation of rau, uraterials used in the ntanufactitling process oi'Tehuisarlarl, no IrlN4F is used lor production of these rarv ntateria!s nor is Nh{P used 1'or thc slartir:g n:aterials of these raw n:atcriais. Therefore. ihr lisi< llr iririii.r in Tr:itnisariatt rit'ug srii''starice is cLrnsidelsci negligrblc. In suntmarv. tlte rrsk of plesence oltl'le N-nitrilsanrine inrpuritics ils process impurity in -i-eimisartan is riegligible bascrl oLr the at"iovc 4FAS Anal,vsis. u,hic'ir is sr-tpportec.i by varioris spiking/pr:r'gitts stitclies alr)l1g yith it.npirrilr, eonlloi straregies inrpicnicntecl at raw n:aterials ancl API, 2.? {iorrf**ii:l:rtlon / cross cc*tzlnrinatiom er,*!urtiolt: f "2.i .iatcr"ilil ,/ :'ecr;-' rl'eri s^trxtci'iui cr':i lrrirtic'u Basec.l ott lhe iisl< assessnicr"rt icpoll ilf pt:tciitial inii:itrities fbr rarv:laierials in Ci:uannan Site R/rRC-2til90ll5. tto supplicr olTclurisariirrr ra: nratcr-ia1s manuiiictures nitr"ites arrtJ amines ai 1he srnie tirle, Furthernturc. uo riitrire is LrsecJ ior i:roduc'rion ol'thcse raw r:raleriais. l'lierctrbrc. thc ris'il ic introriuce iritriie or l'i-nilrosanrines iion; these raw materials is extrci:tej, lotr'" Rccovclcri soli:cttts uscd ttr:"fulmrsartan are all recor,*t'ed in Chuannan Site and no i'j- nitrosamjtic iitrpurity rvouiri !:r scneiatcd o: irtroduccd dulir:g ihc le covciy processes based on evailtatioi: c:f ihe rccilver-),processcs. l,'iear:rr,,hile" tlre risk io introduce amine, irilrite or N- :iitrosalltii;cs '*1'el'cris-cor:iarr;ineijoir il'or:r reeoveiy eclri;tincnt is extrei:rei1.' icvi, lco. Rish Assessmen€ Summary for the Potentia! preseirce oi N-n ifrr:socl inr ethy,ir*ritie (l{D1,!,4), N-* itrosorl ietiiS,lamr!ilc {Ni}EA) or o{her }i-nitrosaauirac Co*fiti*!n:rtioxs !n Te imisartrtn trsiom:{}2 Page 9 of 35
  • 14.
    {tisii,4ssessnl e* tS * rnn, u * iii il* p" t-,, f ,- i ffi-*f li - n it ros o d i nr eth Y iil s* i * e (i:- i) M Ai, rt' - * ! t ro s o c! i et h l,i a clt i n e {lDEA) on other N-nitros*miue Cont:r:*inatlc}r}s !; ?elnrisarfan Versi*m:ijZ r Page !S of 3S 2"2,2 Puck*gin;; nutericl evsluutiott fhe pacl<aging niateriai conlactecl ri'ith the API clirectly is the polyetlrylene ba_s used as rhe primai'v pachagin-ti ulatcrial in Chuannan sirc. Thc,,ruin.n,rlplr*ni ui'rhe pollcrhylcne bag is compound polycthylcne. No anrincs or rritrilc is Lrscci iu thc synthcsis prt-rcess of t5e po])'ctir1'1ene" Tlrc l'isl< 1o itrtt'oriucc nirr"itc ol A--rritlosunrin.-s fi.onr pu.jt rgin; ,rrrt.r,ut ;, extrcrnely lor.v- 2,2.3 trivaluation of Po€e*{i:rl cros-q-c<;ntienritt*fion of'g.il.oc!uctioir !ipc Teitnisanan is manulirciuled iit Vo;'kshop /05 of Clruanuan Site. the vr.orksirop is rledicated ibr t:ituru {acturing of' Telr:risartan. I"luahai has established "soP PR-O16 AP? Contaririnarion & Cross-contamination preventing tr'{anagement Proceditre", iJase<l 0n tfie proceciure, risk assessment of potential cross- 11}!li1ation in tlte productiou wor:kshop of Chuanna:r Site 4re5s Zone(Doc No": RARD- 20180827)has bccn performecl. covcring pct'sonncl nlanagcnleni, cquipment use, material t-rontrol, cleaning nlethocls, ufility system. surrouncling .nijron,r.nt and other factors rejevant io potential ct'oss L:onta[tittation TJ:e assessment conclucled that the compaly,s cross- contamination conlrol tl'IeasLlt'es iu personnel, eriuip:lent, materiais, proclu"tion and ent'ironmeut are eflcciive, and uo high-risl< items ire ideniilleci, For ltr:lti-pufpose r'vork-shops' campaign lrased production ancl cirarrge-over cleairings are stricrly, implemenied, ti'ltich ciiir eiY'ectivelv rcduce the risk ot'cLoss-coutainirration betieen clifl'ererit pro,l,,.rr. 2,2.4 Pr*cess w,a{er es,alusf ion Proccss lvater'(potablc natcr fbr cl.rcr:rical s),nthcsis arca ar:cl puritlecl q,ater fbr clean area) us'-rd 1bt'itianuf'aclul'ing ol-Tcl:trisartan API i,'as iinalyzcci. tlrc'coltcnl of iliu.itc, NDh,fA and NDI],' in process walel are ali lorver than LOD. lLOn of nirrite 0.00i ppm: L{}D 6l},{Dl4A 0'01 ppm; LOD of NDEA i].(ll ppur) It inchcated tl:at the risk tc intrccluce nitrite orN- .-:.,-^ _-. r.rus"ilililrr [1Lri'r.{ ano:ut]Al Il.o1r proL-css vater is extrer:reiy Iow. Jn conclusioit- the lisk cf inn'o<lucirrg N-nitrcsaurine impr:rities by contanrination or cross- contamination in Telmisarlan Apl is extremelv lou,. 2,3 Elegra<Saticu sva ! u:rtir_rr.: Thr chclnical structurc of Te lnrisartan iiocs :iiniiie moielv. fitclelbrc. uo N-nitrosliniinc ,lCgiLiCiUiiorr l)r'r)ce ss (rl)()il sf Orij It. 3. ,,tr:rh,tical itesults 'i'lte above t'isk assesstuent inclicates that rhe risi< fbr uitrosar:-rine contamination irr Huahai,s Tc!misarten is lcgiigiblc. Ncv.ct.thcir:.qs. r,lut: io tlic reguiaiory r:onccrns thai ail sartans with ictrazolc ring u'oLtici bc cot'tsi<Jci'cti lr havc irigircr risk rhan otl:ci. che i;"iicai ciriigs bascri c* iiti'armaliou cc.rlle,,:ted horl;ill relglar,l nranuiirciulers bl, tirc: regulator-y ,,g",,ri'rr. sirniiarl,y fbr Telr:risarlall. $.'r pcribr:::e il liDhiA iurri NIrEA scresiiing teiting r:n ali the Tein:isartar: batches:itanuiactureri i:'or:r 2Ai5 * 2Ci9 i.eai (a rotai oi'atj0 uatcnes,yro anaiyze the pcteniiai liiesellce'l'ehnisaitan o1'Nll,)fu{A r:nrj NI}x:A. ]ri ;,cklitior:. wr irave peijbnired ie ieeti,,e b;itcl.ies ruoi contain nitri:, rrift.oso or aikyl seconclary iirrpuriiles t,ill hc gcner.atecj during the Api I,;1 rT# [x €# ?eEe $$ EBffi ffi Fffi * ffi
  • 15.
    . : ;E#f-"Eg;ffi EEt6dr #*t**.r#r,&sft = siiE ia -a* j 6d j*u,$.tr eie EJJ H ;p&u d,_x ElT -'.*_ of Telnrisartan l.br tlte potential presence oi'NlliPA, NDIpA. h,rDiiA. anclNMBA. Tire testing restilts. flrcir analytical :nethocls ancl evaluationslr aiiclations ar.e presented as foilows: {or Eplentiul frtDMA: 1)-DMA is a carcinogcnic risk subsiancc ti:r rvliici: suttlcient carcinogenicity data exisi, ancl lbr whicl: the accePtablc claily inlake is 9(r ng/day as pcr f,lv{A/CHMp considcration, ihe :itf::ll:llmit of NDir4A in'ltlmisartan is 1.:oo ppn] ciepending on iis maxirnat daiiy ctose r)i 6u l]]q'oav. For Potentiu{ i{DEA: NPEA is a carcinogenic risk srtbsiance fbr rvhich sulllcient carcinogenicity <iata exist, and tbr rvhich tlte acceptable dailv irrtake is 26.5 ngidty as per EMAiCI{Mp consirieration, ihe acceptable limit ol'NDEA in Telnrisrrian is 0.330 pfrn clepending on its n:axir:ral jaily dose of ll0 nrsidav. To lurtht| confinl il'rt il:e;'isk oil!DM,, anci NDEA in Fiuahai's Teln:isartan woukl be negligihle' a FDA-based ilC-lV{S/h4S nretirod is develoi:ed to test the nitrosamines in Telrilisariat: ?lre nlcthoel has been r,;ilidateil to bc sr:itablc 1or its inlended use. inciuding specilicity, Linearitl" Prccision (re;,"eaiahiliiy & inremiediaie precisioni" Accuracy, LLrrit of Detcction (LoD) anci Liniir of eua:rtiiarion (LoQ), solurion srabiiiry and Range. Ti:e urethocjvalidatior: sullllllillry is shorvn in Tabie 2 anrJ analysis rcsults clleprcsentative batcircs cI'lelmisartan are prescnteci in T'able J. Table 2. &'€etErod vaiitEation surnman,of NIIMA and &rDEA in T.elmisartan ilisk Assessm em t s u rm nr * ry, f'o-G*Fc,ffif* N-rr it'osoc! inr eth'irnr !*e (NB [t.4], N -* !tros.c ic€ !r3,ia an in e (ll llflrt) or other Fi-n i trosa*-r in e Con $:t nt !s: :rtiorrs ! el Tclmisartan n ragc rE cI E3 1'nlidntion eicnr*nt ;!"cce5rfu rice criteria Stesu lts Snccificitl' Sanltie solution has ;ro iuierf'ercncc or; llr.' ,let..rrrrirrrri-r,, 'r Vh, 4 ..-.-r tr rr n I (rtrr:l/t-. g ::-lSctftLiy so i u Li o r r. rO lnlCt-ICI'Ct')CC Prccisitx: Repeatabiiiiv The recovcr;,of'NDMA anej NDE,, tbr 6 dctenri nltions i0'l.n- I _l Lliljo N DI,IA : 8 4.3%,-8 5.4o/b NDEA: CA.A,16- I 0 1.5% l']rc ltSD calciilated trv recovcn, of' NDh'l4 and rr*DL.rl {2t}.(),11t NDM;: U.501ii, NDIA: 0.5]?1, Intc:llcdirie precisiorr 'lhe recover) r,rl'D4; end ND!.lA ior (r iieiclrninr:lions i O9/,,- | i{),ii, N D ,1,, ; 1t4,.3 o/i,-B 5. 5% NIIEA: i 0{}. lata- 1 i) i.6% 'l'he RSD caicr.rlated bv recover-v cif" NDI1A and NDEA <20.0it NDli4A:0.51% NDEA:0.62% 'l'irc RSD cirlcriiaictl by rccoi'cry oi N i)ivl; alrd NDli: lionr I arltlvsrs <20.()'li, Nl)MA: 0.5 i9,o NDEA: 0.559i, ,/"uclltocy iltr:oioit,. 7(I'rir - ii()ir; l)!4rt : 7 "1 )bii,-82.90A NDB..t : 97. ito;ir-1)9. I },u Dr:ic.cliot: lir:,lii lnd cluantitatirr* i-,3ii NDM,A- : 1-Cf.t10,ii I Cr:pni Iil)E,:r: LOD.:C.0 ] Ulrpn; I{DMA: i.} 0i}5 ppni NDEA: 0.00lppni
  • 16.
    iill iffiF€& r#ffiss #s ffi ffi Ftr * ff Itislt Assessnrent Sumnror ", t " tl,* lrJ* F N-n itrosoci inrcthylam ine (Nili,{i!), N-u i t rusr.rt} ie€ hv !anl ! me (liElEA.) or other N-nltrosemine Ccntirnrinations iir Tclmisartan ilage 92 of tr5 Acceptance criteria I I{SD at LOQ lcvci tbr ND,{A lnd I I r!,rr .L( rrllrJ i ' NDHA<]0?; NDIWA: LOQ <0.05pprl Nl)HA: i.OO s0.{}j rr*DMA:0.0011 ppur NDtiA: 0.Lt()5 NDMA:3.52?i, NDBA.2,O7% Cr.rrr'clatiorr couljlcir:irt i R:): 211.q9g ilarrec: uirhin rhe r.lugc ol-LOe icvel tc; .3.Opp nr. ND4A: R:=0.1)999 NDEA: R1.,.0.99q9 lla rigc o !' N I)M i : 2.53 T0ngrnrl--3 04.:13 53 ng/nrL, cqr"iivalent to 0.()25 ppn.r * 3.0 pprn in samplc. Range ol NDI?A: 2,5 53 2nghnl-3 06.3 8521g,,m1.., cquivalcnt toO.025ppm---3.0pprn in So1rr1]on Stririlit'r, Th* iest solriiion is stirblc il inrpririt,v peak tinrc is rvirhin lhe iass acquisition rirttc and irrrIurit1 conie nr r'ariution lbovc LOQ lrrvci sitorrld ire lr:1 uxcccd l0'll of'linrir. -ll'rc :i(iIt(lat-ri sol Lrli Ltir rs sta blc i i' inrprrii tt, rcuolr:ry is rvitl.:in i 0,i,- 130,,., Thc rcsr soiurion is stable u.ithin 2rlays, llie slandard solution is stable ru,ithin 2days. conelusiolt: rll ol'this |atidation rcsulls rncci tirc 1>rc-rlerennlnccl rcqui;-cnrr:;-,,r]r*-lr,i"r"*r*.",1* :*!toii crl "l]g!iiv uoilrrol lbr' DI{A rlrl NDIA in ]'ciruisar-ran. Tal:le 3. i]a(ci: A*;th.sis $ar* cf'Nl]],E,q anci F{!}EA !:.: Telrr: isa rtE:r R.cpresentative tsatciles ofl l'he tcst results tionr scleciccl l;ate lir_:s the possibility iirr the pres^e nce orthe txlrcl'xcll, ic$," antl tl.rc |isk o:'NDEA irs listccl .thovc are consisrent ivith ihe cvaiuation that inrpur-itics NIIMA in Fli;ahai's'[clniisafian Apl is is considercd ii; br: ne giigibic. , ilatcfi Nc. R.esults NI}I{,A . ,,.NSEA,,, ?'cinl isil l'f ll cr I-OE} U.005 pprn 0.001 ppnr [.{]Q l).008 pprl 0.005 ppnr il5:71- tr-00 i <LOI) <LOD D527 i- 19-()02 <LOD <LOD DS1-l-l()-trlr1 '!-uL) <LOD
  • 17.
    ll is k,Assessr':relr f S u *: m a r--*, for tll e ilof exi* I tr,-ure,,.*r, f. N-n itrosori inr ethy la m iue lN ll ilt A i, i{-* itrosril iethi,!i,r sn i n e fi*fiA) or other NI-nitrosi*:rine Ccnt;t*rir:ations il: ?elmis*rtan -!brsi<rm:(i2 !-age EJ o! 15 ilry Fotcnticl ,'.1,f BA: NMBA rs a carcinogenic risk substance 1or *tich the acceptable daiJy intal<e is 96 ngiday as per E4A considcratiori, the acceptablc lirlir olNDfuiA in ielmisarton i, t.200 ppm depending orr its nraximal rlaily dosc ol g0 urg/da_v. To fu|thcl confinlr tlte actual ler,ei of NN4BA in Huahai's Telmisarian, a LC-MS/ MS methorl is developed to test the inrpurity'in'lelilisartan, the test lrethod has been evaluated to be sLritablc fbrits intended r"ise. inc,luding ,pecificit.1,.l,inartit.l;, Limii o./'Detection (l,OD) and l'imit t:./'Quanlittttirtn (LOq, SttlLrlian Stuhilit"t,,'lhe nrcihocl valrdatlein slul"]i.llary and aualysis rcsults o1''consccLriirre balchcs cf l'ehrrisartan ar.r presentecl in T*btre 4. J'hc lcst resul$ as listcd ai:ove a;'c *onsisicnl u,irh lhe cvaluaiion lhat there has essenlially r:cr possilrilitl' lbr iire prcsr:nce o{'the in:pulit}, N&4tsA it Tekrisartan rising rhe designed inanuiact';ring proccss. l;'ttt' llorert !i tt[,rl] B.l : ND13A is ir earcinogcnic rish siibslauce lbi r.i'hicli'fD5{},,,, reported as 0.691 mg/kg exists. rhe ace ept.ible ii:nit ol'li-Nitrosr:riibiiltiiiinl:nr iii ?e ir:ris*riiin ;i; 8.ti30 ppr;i <ie1:er.:riing on irs rttaxinrrl ilaily dose ol'li0 tlg/r1er, Tairle.{. }{ethod l/alidr:trou sunrnr*13,sf }iMi}A in T'e[mrsartan l'alitl*tion elemert Acrrpla nce criteri* Spcciii cit1, lllank soluriol and sautplc lialc tio inicr.lcrurcc r:it litc dctcrnriiiaiitrn ol' N.,lliA. Blank srilutiorr and sarnple have no inlcrfi'rcncc on thu dctermination of N{BA. Lincarit,r Con'cietion coe.fllcienr ( R:l r 0.99 R2=0.9997 Rangc of i,0-Lf:: rvirhin the ran:rc ol 0ng; nrI-.-ii().{)rrg,,tirL. eqirr valut( 1o OlDl1l * .1.()ppnt in samplc. Itange ol'L0-L6: 0.0000 ng/rrl -60.71 04ng/inl, *luivnlerrt to 0.00 ppnr -4.00 pprr in snrnple . Dclcction linrir alti quar rtitarior.r li:'nit I-OD<i).01 0pprr': 0.0 i0 ppnr LOQ<0 0i0pprlr 0.030ppm IiSD tLOQ icycl lirr Ml:1., )<2()(h RSD, 4.S3 % Ilcpcauibilit_v Rccot'ery {6 d(ielltljnrtlorl); l(.)9/o- I l0{j.,1 L)9.i%"'106.5% i(SD (rr.coreriB.i ot () Lie lcrniinatiol): <20.0,ii, RSD, 2.39% St:nrl-.ie Tr'.cl D5l7l-1-s-0(,-l < L-OD(0.01Oppnr) D5271- t 9-105 < l.OD(0.rJ l0p1;m) ll5l71- I 9-i)66 < L0D(0.0lOppra)
  • 18.
    i" . &$?,Xf& 3ffi ffi $&$Effi ffi ffffi tr ffi i],li:::-:'":i::':]:,!.....::..:..:l':r.l::3:.::1:;:ii.'.]'.... {o r Fat ar t i t i htD I pA/N E I p.4 : NDIPAT'NEIPA are carcino,{enic risk substarices, {i':r *,hich the acceprable dail1, iniake is 26.5 ngiday as pcr EIvIA considcriition: l:clicc. ilic acccptablc liniit of hiDIpA,NEIpA in Teltttisartan AP{ is 0.330 ppn: clepending ,.rn iis rnarimal daily riosc oi 80 n:gl<iay. To furtlicr confirm the irclual level of NE.IIA/NDIPA ancl NDBA in Hr-rahai's Tehnisarran" a GC-MS/MS rnethod is deYelopecl to iest the in:purity in Telmisartan, the test liethod has been cvaluated to be suitaLrle for its intenclecl use, inclu<iirig Specificity, l.inear:ity and LoD & LOQ' The tnetliod evaluation slnlll:laiy and analysis i.rrirr of consecutive batches of Telmisartan are presenreci in ?abie S: 'r "- '-*-.'-* v' vv' Table 5. &{efhod Flvaluation Sut:'lntar"y and tr}atclies Analysis Results of Telniisartan itisk Assessm ent Sum n, o ry,ffi N-* itrasod i mrrth)'xa *r irte ( N I)fi{A}, }i-n !trosoil ietlrvianl i *e (Fi$E,q) or other N-nifrosam!ne C'o:rf*niinations ill Telniisartirn v erst{}sr: tJl, Page !4 of tr5 rtr cce1:tance criteria Results ]EIPA *$lPA Spccificin: lllank solutiern ir:td satu;:lc lravc no inlcrlct'cncc orr tIc deternrilatior-: ol' F.l P.+ ) l)liA .rrrd i)lt. lJlalli srilLLtion and sarnplc lravc no irrlc;-ler.ence rtn lhe rictelnti narion o1' NF.ll,A/NDI I,A and NDBA. Iir'pcllabili1, Rc co ver,u.- ( (r ilcterur ination). 7 011i,- I -'i (i,li 99 M,-- t04 f)% I() 1 21i^- l0:1.-<'i{) 9'l.1ttti-- l{1.'l% RSD irecovelics o1 (i rle ti:r:ninalion: < 20':o i{SD: 1 .9.4'2i RSD, I.2C% RSD,3.6li,i, Dclection limir and rpritrtitation iinrit NEiPA and NDIPA, LOD<0.00lppm NIlilA; l-OD<0.0i0ppnr 0.()0lppnr ().()0 I ppr:: 0.0i0ppn: Sigral-to-rroi.ic rario (S N;: about 3 (ar l*a$r) SlNr l0 S,itl-: 4 (.'tt - I I iiSIi ( perk alr.:a latio ibr. LOQ to rnrclnll stiutJald t, . 20.0,!t,, RSI), s.ii,t,i, ItSD:5.ti2',i) RSII:3.8Ii9;r, NI-.lIrA auti NDIPA, L0Q<0 005ppnr Nl)llA: l_0e:ti.025rrprl 0.lX)5ppr:r 0.()05ppn 1i.02_5ppni Signal-ro-rioisc ;'atio ( S,'N ) : abrlut i0 (at least; Srn*: 23 Sil'r'.: 2. I s/Ni l7 Saniplt Tcst D52i1-i9-064 <L-0D(0.()(i lppnr) <LOl)(0.0U lppnii <L01X0.01 ft:prrr i Il5l7 i- r 9-0(;5 <i-OD(0.001nrrni) <LODiO.00lppm) <LOD(0.010pnm) D527 l- tr-066 ., 1.OD(().()(l Ippm) .;l,OD(0.U0 lppnr) <LOD(0.0 I (iounr i The {est results as listcd abot'c tirc Lrollsisicut r.viih the i'isk assessnent conclusions tirat ti:crc are .ssetltially no possibiiities for ti:c p,.rtentialprcscnce of ttrle riitrosamjEs impgriries NDBA. ItDIPA anii NEIPA in'fel:ttisailalr iisiirs l':iLiahai's cuirent nlanrifactui-ing prccess of Teinrisaltali. NI}$A
  • 19.
    :tE 3*f 6fi:## rF tr ffif,s EF! * ftH ala ffi! 6ClEgJ#f4glr*tr ffiE tT* !€FEe'A"a ffi; ;-:i1'-,:i..i. -,-.)t;..t.',1. .::.i i,'..' -... r. '.r :.::.i. ,{" Concltsiolrs To the bcst of onr cLlrrirrt l<irowledge arl(i based o11 l-lriahai's rorlte oi synthesis, the risk of NDN4A inTclnTisaltan is consicicrcd 1o bc rrxtren.lcly lorv. and tirc risk of NDEA, NEIPA, NIilPA, NMilA, NDI3A or aily othci N-rrilrosarnire iirrpuriiy in r-iur'leimisartan API is considerecl to be negligibie, Based on the above risl< asscssmcrt anci rvith lefe.rcnce to lhe ultimate control limit of NDMA^{DEA irt tetrazole saitau Al}is envisicled b,y the Eurcpcan Clonrn:ission . the fi'lllotving coirtrol stratlrgics hu,c alrcadv bccu establishcd to firrtlrcr nrjnirrize tire risk: " Pcriodically rnonitor the contcnt of NOz- in potable rvater . Periodically r:ronitot'the cclr"itenf oiNO:- in pulifieclwatcr " Routine control oIDMA in di*rethyltbrmamidc (DMF) n Routinc conflol <;l NDIvIA in Tclnli-cartan u,ith NMT 0.030 ppil: * iLouiine c,rntroi of NDEA in l'cintisaiian u,itir Ni4T 0 030 ppr:: Risk Assess:"*ent S**rnlafi f'or tlre Fjctexltia! Elresence of N-n itrosod imethl,Eam ir:c (NIlMAlu N-m !trosori i*tfu y!aitrime (NfiEA) or other N-nltrosasl:ine Contartelsiatioias !sr Telmisartan Versi*n:02 Fage !.5 of i5