Section 2.3 Polynomial and
Synthetic Division
What you should learn
• How to use long division to divide
polynomials by other polynomials
• How to use synthetic division to divide
polynomials by binomials of the form
(x – k)
• How to use the Remainder Theorem and the
Factor Theorem
6
4
1 2
3



 x
x
x
x
2
x
1. x goes into x3
? x2
times.
2. Multiply (x-1) by x2
.
2
3
x
x 
2
2
0 x
 x
4

4. Bring down 4x.
5. x goes into 2x2
? 2xtimes.
x
2

6. Multiply (x-1) by 2x.
x
x 2
2 2

x
6
0

8. Bring down -6.
6

9. x goes into 6x?
6

6
6 
x
0
3. Change sign, Add.
7. Change sign, Add
6times.
11. Change sign, Add .
10. Multiply (x-1) by 6.
3 2
x x
 
2
2 2
x x
 
6 6
x
 
Long Division.
15
8
3 2


 x
x
x
x
x
x 3
2

15
5 
x
5

15
5 
x
0
)
5
)(
3
( 
 x
x
Check
15
3
5
2



 x
x
x
15
8
2


 x
x
2
3
x x
 
5 15
x
 
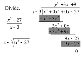
Divide.
3
27
3
x
x


3
3 27
x x
 
3 2
3 0 0 27
x x x x
   
2
x
3 2
3
x x

3 2
3
x x
 
2
3 0
x x

3x

2
3 9
x x

2
3 9
x x
 
9 27
x 
9

9 27
x 
9 27
x
 
0
Long Division.
8
2
4 2


 x
x
x
x
x
x 4
2

8
2 
x
2

8
2 
x
0
)
4
)(
2
( 
 x
x
Check
8
2
4
2



 x
x
x
8
2
2


 x
x
2
4
x x
 
2 8
x
 
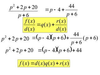
Example
20
2
6 2


 p
p
p
p
p
p 6
2

20
4 
 p
4

24
4 
 p
44













6
44
)
6
(
)
4
)(
6
(
p
p
p
p
Check
44
24
6
4
2




 p
p
p
20
2
2


 p
p
6
20
2
2



p
p
p
6
44


p
2
6
p p
 
4 24
p
 
=
20
2
2

 p
p
6
20
2
2



p
p
p
6
44
4




p
p
   )
6
(
6
44
6
4 




 p
p
p
p
   44
6
4 


 p
p
20
2
2

 p
p
)
(
)
(
)
(
)
(
)
(
x
d
x
r
x
q
x
d
x
f


)
(
)
(
)
(
)
( x
r
x
q
x
d
x
f 

The Division Algorithm
If f(x) and d(x) are polynomials such that d(x) ≠ 0,
and the degree of d(x) is less than or equal to the
degree of f(x), there exists a unique polynomials
q(x) and r(x) such that
Where r(x) = 0 or the degree of r(x) is less than
the degree of d(x).
)
(
)
(
)
(
)
( x
r
x
q
x
d
x
f 

Proper and Improper
• Since the degree of f(x) is more than or equal
to d(x), the rational expression f(x)/d(x) is
improper.
• Since the degree of r(x) is less than than d(x),
the rational expression r(x)/d(x) is proper.
)
(
)
(
)
(
)
(
)
(
x
d
x
r
x
q
x
d
x
f


Synthetic Division
Divide x4
– 10x2
– 2x + 4 by x + 3
1 0 -10 -2 4
-3
1
-3
-3
+9
-1
3
1
-3
1





3
4
2
10 2
4
x
x
x
x
3
1


x
1
3 2
3


 x
x
x
Long Division.
8
2
3 2


 x
x
x
x
x
x 3
2

8

x
1

3

x
5

8
2
)
( 2


 x
x
x
f
x
x 3
2


3

 x

)
3
(
f 8
)
3
(
2
)
3
( 2


8
6
9 


5


1 -2 -8
3
1
3
1
3
-5
The Remainder Theorem
If a polynomial f(x) is divided by x – k, the
remainder is r = f(k).
8
2
)
( 2


 x
x
x
f

)
3
(
f 8
)
3
(
2
)
3
( 2


8
6
9 


5


8
2
3 2


 x
x
x
x
x
x 3
2

8

x
1

3

x
5

x
x 3
2


3

 x
The Factor Theorem
A polynomial f(x) has a factor (x – k) if and only
if f(k) = 0.
Show that (x – 2) and (x + 3) are factors of
f(x) = 2x4
+ 7x3
– 4x2
– 27x – 18
2 7 -4 -27 -18
+2
2
4
11
22
18
36
9
18
0
Example 6 continued
Show that (x – 2) and (x + 3) are factors of
f(x) = 2x4
+ 7x3
– 4x2
– 27x – 18
2 7 -4 -27 -18
+2
2
4
11
22
18
36
9
18
-3
2
-6
5
-15
3
-9
0 18
27
4
7
2 2
3
4



 x
x
x
x
)
2
)(
9
18
11
2
( 2
3



 x
x
x
x
)
3
)(
2
)(
3
5
2
( 2



 x
x
x
x
)
3
)(
2
)(
1
)(
3
2
( 


 x
x
x
x
Uses of the Remainder in Synthetic
Division
The remainder r, obtained in synthetic division
of f(x) by (x – k), provides the following
information.
1. r = f(k)
2. If r = 0 then (x – k) is a factor of f(x).
3. If r = 0 then (k, 0) is an x intercept of the
graph of f.
Fun with SYN and the TI-83
• Use SYN program to calculate f(-3)
• [STAT] > Edit
• Enter 1, 8, 15 into L1, then [2nd
][QUIT]
• Run SYN
• Enter -3
15
8
)
( 2


 x
x
x
f 
 )
3
(
f
Fun with SYN and the TI-83
• Use SYN program to calculate f(-2/3)
• [STAT] > Edit
• Enter 15, 10, -6, 0, 14 into L1, then [2nd
]
[QUIT]
• Run SYN
• Enter 2/3
14
6
10
15
)
( 2
3
4



 x
x
x
x
f
2.3 Homework
• 1-67 odd

polynomial_and_synthetic_division.pptpoi

  • 1.
    Section 2.3 Polynomialand Synthetic Division
  • 2.
    What you shouldlearn • How to use long division to divide polynomials by other polynomials • How to use synthetic division to divide polynomials by binomials of the form (x – k) • How to use the Remainder Theorem and the Factor Theorem
  • 3.
    6 4 1 2 3     x x x x 2 x 1.x goes into x3 ? x2 times. 2. Multiply (x-1) by x2 . 2 3 x x  2 2 0 x  x 4  4. Bring down 4x. 5. x goes into 2x2 ? 2xtimes. x 2  6. Multiply (x-1) by 2x. x x 2 2 2  x 6 0  8. Bring down -6. 6  9. x goes into 6x? 6  6 6  x 0 3. Change sign, Add. 7. Change sign, Add 6times. 11. Change sign, Add . 10. Multiply (x-1) by 6. 3 2 x x   2 2 2 x x   6 6 x  
  • 4.
    Long Division. 15 8 3 2   x x x x x x 3 2  15 5  x 5  15 5  x 0 ) 5 )( 3 (   x x Check 15 3 5 2     x x x 15 8 2    x x 2 3 x x   5 15 x  
  • 5.
    Divide. 3 27 3 x x   3 3 27 x x  3 2 3 0 0 27 x x x x     2 x 3 2 3 x x  3 2 3 x x   2 3 0 x x  3x  2 3 9 x x  2 3 9 x x   9 27 x  9  9 27 x  9 27 x   0
  • 6.
    Long Division. 8 2 4 2   x x x x x x 4 2  8 2  x 2  8 2  x 0 ) 4 )( 2 (   x x Check 8 2 4 2     x x x 8 2 2    x x 2 4 x x   2 8 x  
  • 7.
    Example 20 2 6 2    p p p p p p6 2  20 4   p 4  24 4   p 44              6 44 ) 6 ( ) 4 )( 6 ( p p p p Check 44 24 6 4 2      p p p 20 2 2    p p 6 20 2 2    p p p 6 44   p 2 6 p p   4 24 p   =
  • 8.
    20 2 2   p p 6 20 2 2    p p p 6 44 4     p p   ) 6 ( 6 44 6 4       p p p p    44 6 4     p p 20 2 2   p p ) ( ) ( ) ( ) ( ) ( x d x r x q x d x f   ) ( ) ( ) ( ) ( x r x q x d x f  
  • 9.
    The Division Algorithm Iff(x) and d(x) are polynomials such that d(x) ≠ 0, and the degree of d(x) is less than or equal to the degree of f(x), there exists a unique polynomials q(x) and r(x) such that Where r(x) = 0 or the degree of r(x) is less than the degree of d(x). ) ( ) ( ) ( ) ( x r x q x d x f  
  • 10.
    Proper and Improper •Since the degree of f(x) is more than or equal to d(x), the rational expression f(x)/d(x) is improper. • Since the degree of r(x) is less than than d(x), the rational expression r(x)/d(x) is proper. ) ( ) ( ) ( ) ( ) ( x d x r x q x d x f  
  • 11.
    Synthetic Division Divide x4 –10x2 – 2x + 4 by x + 3 1 0 -10 -2 4 -3 1 -3 -3 +9 -1 3 1 -3 1      3 4 2 10 2 4 x x x x 3 1   x 1 3 2 3    x x x
  • 12.
    Long Division. 8 2 3 2   x x x x x x 3 2  8  x 1  3  x 5  8 2 ) ( 2    x x x f x x 3 2   3   x  ) 3 ( f 8 ) 3 ( 2 ) 3 ( 2   8 6 9    5   1 -2 -8 3 1 3 1 3 -5
  • 13.
    The Remainder Theorem Ifa polynomial f(x) is divided by x – k, the remainder is r = f(k). 8 2 ) ( 2    x x x f  ) 3 ( f 8 ) 3 ( 2 ) 3 ( 2   8 6 9    5   8 2 3 2    x x x x x x 3 2  8  x 1  3  x 5  x x 3 2   3   x
  • 14.
    The Factor Theorem Apolynomial f(x) has a factor (x – k) if and only if f(k) = 0. Show that (x – 2) and (x + 3) are factors of f(x) = 2x4 + 7x3 – 4x2 – 27x – 18 2 7 -4 -27 -18 +2 2 4 11 22 18 36 9 18 0
  • 15.
    Example 6 continued Showthat (x – 2) and (x + 3) are factors of f(x) = 2x4 + 7x3 – 4x2 – 27x – 18 2 7 -4 -27 -18 +2 2 4 11 22 18 36 9 18 -3 2 -6 5 -15 3 -9 0 18 27 4 7 2 2 3 4     x x x x ) 2 )( 9 18 11 2 ( 2 3     x x x x ) 3 )( 2 )( 3 5 2 ( 2     x x x x ) 3 )( 2 )( 1 )( 3 2 (     x x x x
  • 16.
    Uses of theRemainder in Synthetic Division The remainder r, obtained in synthetic division of f(x) by (x – k), provides the following information. 1. r = f(k) 2. If r = 0 then (x – k) is a factor of f(x). 3. If r = 0 then (k, 0) is an x intercept of the graph of f.
  • 17.
    Fun with SYNand the TI-83 • Use SYN program to calculate f(-3) • [STAT] > Edit • Enter 1, 8, 15 into L1, then [2nd ][QUIT] • Run SYN • Enter -3 15 8 ) ( 2    x x x f   ) 3 ( f
  • 18.
    Fun with SYNand the TI-83 • Use SYN program to calculate f(-2/3) • [STAT] > Edit • Enter 15, 10, -6, 0, 14 into L1, then [2nd ] [QUIT] • Run SYN • Enter 2/3 14 6 10 15 ) ( 2 3 4     x x x x f
  • 19.