Embed presentation
Download as PDF, PPTX




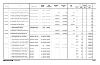
Dokumen ini merupakan laporan realisasi penyerapan dana desa tahap III tahun 2020 untuk pemerintah desa Seboro, Kecamatan Sadang, Kabupaten Kebumen. Total anggaran dana desa mencapai Rp 2.061.968.000, dengan realisasi yang telah dilakukan sebesar Rp 766.366.700. Laporan ini mencakup berbagai kegiatan seperti pembangunan infrastruktur, pengelolaan administrasi, serta dukungan pendidikan dan kesehatan masyarakat.



