Physical Chemistry 3
Lecture 2
Review of Mathematical Concepts
3D Vector – can be represented by specifying its
components 𝑎𝑖 with respect to a set of three mutually
perpendicular unit vectors 𝑒𝑖 as;
𝑎 = 𝑒1𝑎1 + 𝑒2𝑎2 + 𝑒3𝑎3 =
𝑖=1
3
𝑒𝑖𝑎𝑖
the basis is not unique;
𝑎 = 𝜀1𝑎1 + 𝜀2𝑎2 + 𝜀3𝑎3 =
𝑖=1
3
𝜀𝑖𝑎𝑖
𝑒 =
1 0 0
0 1 0
0 0 1
𝜀 =
0.354 0.612 0.707
−0.927 0.127 0.354
0.127 −0.78 0.612
Same vector under two basis
𝑎1
𝑎2
𝑎3
=
−0.5
0.5
0.75
𝑎1
𝑎2
𝑎3
=
−0.55
−0.83
0.28
0.28
Red
Blue
Green
-0.83
-0.55
What is a basis
𝑒 =
1 0 0
0 1 0
0 0 1
𝑒1 =
1
0
0
𝑒2 =
0
1
0
𝑒3 =
0
0
1
𝜀 =
0.354 0.612 0.707
−0.927 0.127 0.354
0.127 −0.78 0.612
𝜀1 =
0.354
−0.927
0.127
𝜀2 =
0.612
0.12
−0.78
𝜀3 =
0.707
0.354
0.612
𝑎 = 𝑒1𝑎1 + 𝑒2𝑎2 + 𝑒3𝑎3 =
𝑖=1
3
𝑒𝑖𝑎𝑖
𝑎 =
1
0
0
−0.5 +
0
1
0
0.5 +
1
0
0
0.75 =
−0.5
0.5
0.75
𝑎 =
0.354
−0.927
0.127
−0.55 +
0.612
0.12
−0.78
−0.83 +
0.707
0.354
0.612
0.28
𝑎 =
−0.5
0.5
0.75
𝑎 = 𝑒𝑖|𝑎𝑖
0.354 0.612 0.707
−0.927 0.127 0.354
0.127 −0.78 0.612
𝑇
−0.55
−0.83
0.28
Properties of basis
𝑒 𝑖|𝑒 𝑗 =
1 𝑖𝑓 𝑖 = 𝑗
0 𝑜𝑡ℎ𝑒𝑟𝑤𝑖𝑠𝑒
0.354 −0.927 0.127
0.612
0.12
−0.78
= 0
𝑒 =
1 0 0
0 1 0
0 0 1
𝜀 =
0.354 0.612 0.707
−0.927 0.127 0.354
0.127 −0.78 0.612
0.354 −0.927 0.127
0.354
−0.927
0.127
= 1
𝑎 = 𝑒1𝑎1 + 𝑒2𝑎2 + 𝑒3𝑎3 =
𝑖=1
3
𝑒𝑖𝑎𝑖
𝑒𝑗𝑎 = 𝑎𝑗
𝑒 𝑖𝑒 𝑗 =
1 𝑖𝑓 𝑖 = 𝑗
0 𝑜𝑡ℎ𝑒𝑟𝑤𝑖𝑠𝑒
𝑒 2𝑎 = 𝑒 2𝑒1𝑎1 + 𝑒 2𝑒2𝑎2 + 𝑒 2𝑒3𝑎3
𝑒 2𝑎 = 0 ∗ 𝑎1 + 1 ∗ 𝑎2 + 0 ∗ 𝑎3
𝑒 2𝑎 = 𝑎2
Since
Properties of basis
Coordinate systems
Cartesian and Polar coordinate
Scalar Product of Two Vectors
𝑎 ∗ 𝑏 = 𝑎1𝑏1 + 𝑎2𝑏2 + 𝑎3𝑏3 =
𝑖=1
3
𝑎𝑖𝑏𝑖
𝑎 ∗ 𝑏 =
𝑖 𝑗
𝑒 𝑖𝑒 𝑗𝑎𝑖𝑏𝑖
𝑒 𝑖|𝑒 𝑗 = 𝛿𝑖𝑗 =
1 𝑖𝑓 𝑖 = 𝑗
0 𝑜𝑡ℎ𝑒𝑟𝑤𝑖𝑠𝑒
Orthonormal -mutually perpendicular and have unit length
𝑖
𝑒 𝑖𝑒 𝑖 = 1
What is an Operator?
Operator – a quantity that when acting on a vector 𝑎
converts it into a vector 𝑏
𝒪𝑎 = 𝑏
𝒪 𝑥𝑎 + 𝑦𝑏 = 𝑥𝒪𝑎 + 𝑦𝒪𝑏
Linear Operator
Completely determined linear operator – its e 𝑂13 on every
possible vector is known
𝒪𝑒𝑖 =
𝑗=1
3
𝑒𝑗 𝑂𝑗𝑖
𝑂 =
𝑂11 𝑂12 𝑂13
𝑂21 𝑂22 𝑂23
𝑂31 𝑂32 𝑂33
Matrix representation of 𝒪 in 𝑒𝑖
Permutation Operator
𝓟 =
0 1 0
1 0 0
0 0 1
𝜀1 =
0.354
−0.927
0.127
𝓟𝜀1 =
0 1 0
1 0 0
0 0 1
0.354
−0.927
0.127
=
−0.927
0.354
0.127
𝓟𝜀1 =
𝑗=1
3
𝜀𝑗1 𝑃𝑗1
How to perform column permutations?
𝜀2 =
0.612
0.12
−0.78
How to get P?
𝜀 =
0.354 0.612 0.707
−0.927 0.127 0.354
0.127 −0.78 0.612
𝓟𝜀 =
−0.927 0.127 0.354
0.354 0.612 0.707
0.127 −0.78 0.612
𝓟 =
0 1 0
1 0 0
0 0 1
𝑃 = 𝜀 𝓟 𝜀 =
0.354 0.612 0.707
−0.927 0.127 0.354
0.127 −0.78 0.612
𝑇
𝓟𝜀
𝑃 =
−0.640 −0.621 −0.621
−0.621 0.764 −0.171
−0.452 −0.171 0.875
𝓟𝜀𝑖 =
𝑗=1
3
𝜀𝑗 𝑃𝑗𝑖
𝑃 =
−0.640 −0.621 −0.621
−0.621 0.764 −0.171
−0.452 −0.171 0.875
𝓟 =
0 1 0
1 0 0
0 0 1
𝜀 =
0.354 0.612 0.707
−0.927 0.127 0.354
0.127 −0.78 0.612
𝓟𝜀2 =
𝑗=1
3
𝜀𝑗 𝑃𝑗2
𝓟𝜀2 =
0.127
0.612
−0.78
=
0.354
−0.927
0.127
−0.621 +
0.612
0.12
−0.78
0.764 +
0.707
0.354
0.612
−0.171
Rotation Operator
𝜀 =
0.354 0.612 0.707
−0.927 0.127 0.354
0.127 −0.78 0.612
𝑅𝑥𝑦 =
0.707 0.000 0.707
−0.500 0.707 0.500
−0.5 −0.707 0.500
𝑅𝑥𝑦𝜀 =
0.340 −0.119 0.933
−0.769 −0.606 0.203
0.542 −0.786 −0.298
Matrix multiplication
𝓒 = 𝓐𝓑
𝓒𝑒𝑖 =
𝑗=1
3
𝑒𝑗 𝐶𝑗𝑖
𝓐𝓑𝑒𝑖 =
𝑗=1
3
𝑒𝑗 𝐶𝑗𝑖
𝓐
𝑗=1
3
𝑒𝑘 𝐵𝑘𝑖 =
𝑗=1
3
𝑒𝑗 𝐶𝑗𝑖
𝑗=1
3
𝓐𝑒𝑘 𝐵𝑘𝑖 =
𝑗=1
3
𝑒𝑗 𝐶𝑗𝑖
𝑗=1
3
𝑘=1
3
𝑒𝑗𝐴𝑗𝑘𝐵𝑘𝑖 =
𝑗=1
3
𝑒𝑗 𝐶𝑗𝑖
𝐶𝑗𝑖 =
𝑘=1
3
𝐴𝑗𝑘𝐵𝑘𝑖
Order of Matrix multiplication
𝓐𝓑 ≠ 𝓑𝓐
Commutator of operators
Do not commute
𝐴, 𝐵 = 𝐴𝐵 − 𝐵𝐴
Anti-commutator of operators
𝐴, 𝐵 = 𝐴𝐵 + 𝐵𝐴
Matrices : Definition
𝐴 =
𝐴11 𝐴12 ⋯ 𝐴1𝑀
𝐴21 𝐴22 ⋯ 𝐴2𝑀
⋮ ⋮ ⋯ ⋮
𝐴𝑁1 𝐴𝑁2 … 𝐴𝑁𝑀
If N = M, matrix is square matrix
𝑎 =
𝑎1
𝑎2
⋮
𝑎𝑁
𝐴𝑎 = 𝑏 𝑏𝑖 =
𝑖=1
𝑀
𝐴𝑖𝑗𝑎𝑗
Adjoint and Transpose
𝑂 =
𝑂11 𝑂12 𝑂13
𝑂21 𝑂22 𝑂23
𝑂31 𝑂32 𝑂33
𝑂𝑇
=
𝑂11 𝑂21 𝑂31
𝑂12 𝑂22 𝑂32
𝑂13 𝑂23 𝑂33
𝐴𝑇
𝑖𝑗 = 𝐴𝑗𝑖
𝐴†
𝑖𝑗
𝑇
= 𝐴∗
𝑗𝑖
Take complex conjugate of each
element and interchange the rows
interchange the rows
complex conjugate - the sign of the imaginary part of all its complex numbers have been changed
complex numbers
Complex numbers - extends the real numbers with a specific
element denoted i, called the imaginary unit.
𝑖 = −1 𝑖2
= −1
If a and b are real numbers, then 𝑎 + 𝑏𝑖 is a complex number
𝑎 + 𝑏𝑖
The Complex Plane Basic operations
𝑧1 = 𝑥1 + 𝑖𝑦1 𝑧2 = 𝑥2 + 𝑖𝑦2
𝑧1 + 𝑧2 = 𝑥1 + 𝑥1 + 𝑖 𝑦1 + 𝑦2
𝑧1 − 𝑧2 = 𝑥1 − 𝑥1 + 𝑖 𝑦1 − 𝑦2
𝑎𝑧1 = 𝑎𝑥1 + 𝑎𝑖𝑦1
Definition in square Matrices
Diagonal matrix – all off diagonals are zero
Trace of matrix – sum of the diagonal elements
Unit matrix – Identity matrix, diagonal with 1 in diagonal
Inverse; 𝐴−1
𝐴−1
𝐴 = 𝐴𝐴−1
= 𝐼 = 1
Unitary matrix
𝐴−1 = 𝐴†
Orthogonal matrix – real unitary matrix
Hermitian matrix – self adjoint 𝐴 = 𝐴†
Symmetric matrix – real Hermitian matrix
Determinants
𝑑𝑒𝑡 𝐴 = 𝐴 =
𝐴11 ⋯ 𝐴1𝑁
⋮ ⋮ ⋮
𝐴𝑁1 ⋯ 𝐴𝑁𝑁
𝐴 =
𝑖=1
𝑁!
−1 𝑝𝑖
𝓟𝑖𝐴11𝐴12 ⋯ 𝐴𝑁𝑁
−1 0
𝐴11𝐴22𝐴33 + −1 1
𝐴12𝐴21𝐴33 +
−1 1
𝐴13𝐴22𝐴31 + −1 1
𝐴11𝐴23𝐴32
+ −1 2
𝐴13𝐴21𝐴32 + −1 2
𝐴12𝐴23𝐴31
𝐴11 𝐴12 𝐴13
𝐴21 𝐴22 𝐴23
𝐴31 𝐴32 𝐴33
=
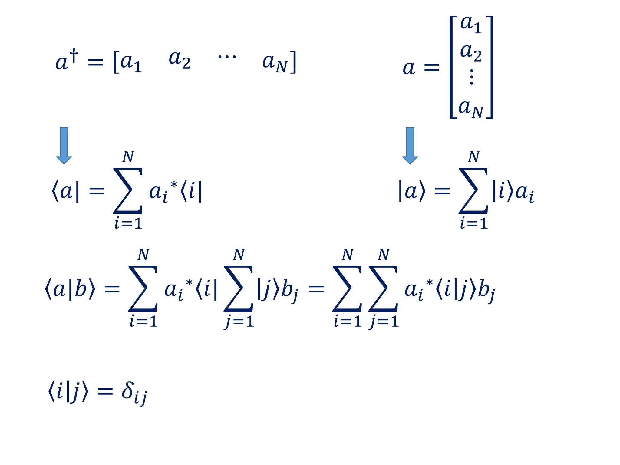
N-dimensional vector spaces
𝑒 |𝑖 𝑖 = 1,2, … , 𝑁 |𝑎 =
𝑖=1
𝑁
|𝑖 𝑎𝑖
𝑎 =
𝑎1
𝑎2
⋮
𝑎𝑁
ket vectors
𝑎† = 𝑎1 𝑎2 ⋯ 𝑎𝑁
bra vectors
Braket notation
𝑎||𝑏 = 𝑎|𝑏 =
𝑖=1
𝑁
𝑎∗
𝑖𝑏𝑖 = 𝑎1 𝑎2 ⋯ 𝑎𝑁
𝑏1
𝑏2
⋮
𝑏𝑁
𝑎|𝑎 =
𝑖=1
𝑁
𝑎∗
𝑖𝑎𝑖 =
𝑖=1
𝑁
𝑎𝑖
2
𝑎 =
𝑎1
𝑎2
⋮
𝑎𝑁
|𝑎 =
𝑖=1
𝑁
|𝑖 𝑎𝑖
𝑎† = 𝑎1 𝑎2 ⋯ 𝑎𝑁
𝑎| =
𝑖=1
𝑁
𝑎𝑖
∗ 𝑖|
𝑎|𝑏 =
𝑖=1
𝑁
𝑎𝑖
∗ 𝑖|
𝑗=1
𝑁
|𝑗 𝑏𝑗 =
𝑖=1
𝑁
𝑗=1
𝑁
𝑎𝑖
∗ 𝑖|𝑗 𝑏𝑗
𝑖|𝑗 = 𝛿𝑖𝑗
How to determine components with respect to a basis?
|𝑎 =
𝑖=1
𝑁
|𝑖 𝑎𝑖
𝑎| =
𝑖=1
𝑁
𝑎𝑖
∗ 𝑖|
𝑎|𝑗 =
𝑖=1
𝑁
𝑎𝑖
∗
𝑖|𝑗 𝑗|𝑎 =
𝑖=1
𝑁
𝑗|𝑖 𝑎𝑖
𝑎|𝑗 = 𝑎𝑗
∗ 𝑗|𝑎 = 𝑎𝑗
|𝑎 =
𝑖=1
𝑁
|𝑖 𝑖|𝑎
𝑎| =
𝑖=1
𝑁
𝑎|𝑖 𝑖|
𝑖=1
𝑁
|𝑖 𝑖| = 1
Completeness of the basis
0.354
−0.927
0.127
0.354 −0.927 0.127 +
0.612
0.127
−0.78
0.612 0.127 −0.78 +
0.707
0.354
0.612
0.707 0.354 0.612 =
1 0 0
0 1 0
0 0 1
|𝑖 =
0.354 0.612 0.707
−0.927 0.127 0.354
0.127 −0.78 0.612 𝑖=1
𝑁
|𝑖 𝑖| = 1
𝒪|𝑎 = |𝑏
𝒪|𝑖 =
𝑗
𝑁
|𝑗 𝑂𝑗𝑖
𝑂 is the matrix representation
of 𝒪 in the basis |𝑖
𝑘|𝒪|𝑖 =
𝑗
𝑁
𝑘|𝑗 𝑂𝑗𝑖 = 𝑂𝑘𝑖
Using completeness relation
𝒪|𝑖 = 1𝒪|𝑖 =
𝑖=1
𝑁
|𝑖 𝑖| 𝒪|𝑖
𝑗 𝒪|𝑖 = 𝑗 𝒪|𝑖 = 𝑂𝑗𝑖
𝓒 = 𝓐𝓑
𝑖|𝓒|𝑗 = 𝑖|𝓐𝓑|𝑗
𝑖|𝓐1𝓑|𝑗
𝑖|𝓐
𝑘=1
𝑁
|𝑘 𝑘| 𝓑|𝑗
𝑘=1
𝑁
𝑖|𝓐|𝑘 𝑘| 𝓑|𝑗
𝐶𝑖𝑗 =
𝑘=1
𝑁
𝐴𝑖𝑘𝐵𝑘𝑗
Hermitian operator – self adjoint
𝒪∗† = 𝒪
Change of basis
We can express any ket in the basis |α as a linear
combination of the kets in basis |𝑖
|α = 1|α |α =
𝑖=1
𝑁
|𝑖 𝑖|α |α =
𝑖=1
𝑁
|𝑖 𝑈𝑖∝
𝑖|α = 𝑈 Transformation matrix
𝑖|α = 𝑈
Properties of transformation matrix
𝑈†𝑈 = 1 𝑈𝑈† = 1
𝙊, 𝞨, Matrix representation two operators in
basis |𝑖 and ∝ respectively
𝞨 = 𝑈𝙊𝑈† 𝙊 = 𝑈†𝞨U

PhyChem3_vector_matrix_mechanics.pptx

  • 1.
  • 2.
    Review of MathematicalConcepts 3D Vector – can be represented by specifying its components 𝑎𝑖 with respect to a set of three mutually perpendicular unit vectors 𝑒𝑖 as; 𝑎 = 𝑒1𝑎1 + 𝑒2𝑎2 + 𝑒3𝑎3 = 𝑖=1 3 𝑒𝑖𝑎𝑖 the basis is not unique; 𝑎 = 𝜀1𝑎1 + 𝜀2𝑎2 + 𝜀3𝑎3 = 𝑖=1 3 𝜀𝑖𝑎𝑖
  • 3.
    𝑒 = 1 00 0 1 0 0 0 1 𝜀 = 0.354 0.612 0.707 −0.927 0.127 0.354 0.127 −0.78 0.612 Same vector under two basis 𝑎1 𝑎2 𝑎3 = −0.5 0.5 0.75 𝑎1 𝑎2 𝑎3 = −0.55 −0.83 0.28 0.28 Red Blue Green -0.83 -0.55
  • 4.
    What is abasis 𝑒 = 1 0 0 0 1 0 0 0 1 𝑒1 = 1 0 0 𝑒2 = 0 1 0 𝑒3 = 0 0 1 𝜀 = 0.354 0.612 0.707 −0.927 0.127 0.354 0.127 −0.78 0.612 𝜀1 = 0.354 −0.927 0.127 𝜀2 = 0.612 0.12 −0.78 𝜀3 = 0.707 0.354 0.612
  • 5.
    𝑎 = 𝑒1𝑎1+ 𝑒2𝑎2 + 𝑒3𝑎3 = 𝑖=1 3 𝑒𝑖𝑎𝑖 𝑎 = 1 0 0 −0.5 + 0 1 0 0.5 + 1 0 0 0.75 = −0.5 0.5 0.75 𝑎 = 0.354 −0.927 0.127 −0.55 + 0.612 0.12 −0.78 −0.83 + 0.707 0.354 0.612 0.28 𝑎 = −0.5 0.5 0.75 𝑎 = 𝑒𝑖|𝑎𝑖 0.354 0.612 0.707 −0.927 0.127 0.354 0.127 −0.78 0.612 𝑇 −0.55 −0.83 0.28
  • 6.
    Properties of basis 𝑒𝑖|𝑒 𝑗 = 1 𝑖𝑓 𝑖 = 𝑗 0 𝑜𝑡ℎ𝑒𝑟𝑤𝑖𝑠𝑒 0.354 −0.927 0.127 0.612 0.12 −0.78 = 0 𝑒 = 1 0 0 0 1 0 0 0 1 𝜀 = 0.354 0.612 0.707 −0.927 0.127 0.354 0.127 −0.78 0.612 0.354 −0.927 0.127 0.354 −0.927 0.127 = 1
  • 7.
    𝑎 = 𝑒1𝑎1+ 𝑒2𝑎2 + 𝑒3𝑎3 = 𝑖=1 3 𝑒𝑖𝑎𝑖 𝑒𝑗𝑎 = 𝑎𝑗 𝑒 𝑖𝑒 𝑗 = 1 𝑖𝑓 𝑖 = 𝑗 0 𝑜𝑡ℎ𝑒𝑟𝑤𝑖𝑠𝑒 𝑒 2𝑎 = 𝑒 2𝑒1𝑎1 + 𝑒 2𝑒2𝑎2 + 𝑒 2𝑒3𝑎3 𝑒 2𝑎 = 0 ∗ 𝑎1 + 1 ∗ 𝑎2 + 0 ∗ 𝑎3 𝑒 2𝑎 = 𝑎2 Since Properties of basis
  • 8.
  • 9.
    Scalar Product ofTwo Vectors 𝑎 ∗ 𝑏 = 𝑎1𝑏1 + 𝑎2𝑏2 + 𝑎3𝑏3 = 𝑖=1 3 𝑎𝑖𝑏𝑖 𝑎 ∗ 𝑏 = 𝑖 𝑗 𝑒 𝑖𝑒 𝑗𝑎𝑖𝑏𝑖 𝑒 𝑖|𝑒 𝑗 = 𝛿𝑖𝑗 = 1 𝑖𝑓 𝑖 = 𝑗 0 𝑜𝑡ℎ𝑒𝑟𝑤𝑖𝑠𝑒 Orthonormal -mutually perpendicular and have unit length 𝑖 𝑒 𝑖𝑒 𝑖 = 1
  • 10.
    What is anOperator? Operator – a quantity that when acting on a vector 𝑎 converts it into a vector 𝑏 𝒪𝑎 = 𝑏 𝒪 𝑥𝑎 + 𝑦𝑏 = 𝑥𝒪𝑎 + 𝑦𝒪𝑏 Linear Operator Completely determined linear operator – its e 𝑂13 on every possible vector is known 𝒪𝑒𝑖 = 𝑗=1 3 𝑒𝑗 𝑂𝑗𝑖 𝑂 = 𝑂11 𝑂12 𝑂13 𝑂21 𝑂22 𝑂23 𝑂31 𝑂32 𝑂33 Matrix representation of 𝒪 in 𝑒𝑖
  • 11.
    Permutation Operator 𝓟 = 01 0 1 0 0 0 0 1 𝜀1 = 0.354 −0.927 0.127 𝓟𝜀1 = 0 1 0 1 0 0 0 0 1 0.354 −0.927 0.127 = −0.927 0.354 0.127 𝓟𝜀1 = 𝑗=1 3 𝜀𝑗1 𝑃𝑗1 How to perform column permutations? 𝜀2 = 0.612 0.12 −0.78 How to get P?
  • 12.
    𝜀 = 0.354 0.6120.707 −0.927 0.127 0.354 0.127 −0.78 0.612 𝓟𝜀 = −0.927 0.127 0.354 0.354 0.612 0.707 0.127 −0.78 0.612 𝓟 = 0 1 0 1 0 0 0 0 1 𝑃 = 𝜀 𝓟 𝜀 = 0.354 0.612 0.707 −0.927 0.127 0.354 0.127 −0.78 0.612 𝑇 𝓟𝜀 𝑃 = −0.640 −0.621 −0.621 −0.621 0.764 −0.171 −0.452 −0.171 0.875
  • 13.
    𝓟𝜀𝑖 = 𝑗=1 3 𝜀𝑗 𝑃𝑗𝑖 𝑃= −0.640 −0.621 −0.621 −0.621 0.764 −0.171 −0.452 −0.171 0.875 𝓟 = 0 1 0 1 0 0 0 0 1 𝜀 = 0.354 0.612 0.707 −0.927 0.127 0.354 0.127 −0.78 0.612 𝓟𝜀2 = 𝑗=1 3 𝜀𝑗 𝑃𝑗2 𝓟𝜀2 = 0.127 0.612 −0.78 = 0.354 −0.927 0.127 −0.621 + 0.612 0.12 −0.78 0.764 + 0.707 0.354 0.612 −0.171
  • 14.
  • 15.
    𝜀 = 0.354 0.6120.707 −0.927 0.127 0.354 0.127 −0.78 0.612 𝑅𝑥𝑦 = 0.707 0.000 0.707 −0.500 0.707 0.500 −0.5 −0.707 0.500 𝑅𝑥𝑦𝜀 = 0.340 −0.119 0.933 −0.769 −0.606 0.203 0.542 −0.786 −0.298
  • 17.
    Matrix multiplication 𝓒 =𝓐𝓑 𝓒𝑒𝑖 = 𝑗=1 3 𝑒𝑗 𝐶𝑗𝑖 𝓐𝓑𝑒𝑖 = 𝑗=1 3 𝑒𝑗 𝐶𝑗𝑖 𝓐 𝑗=1 3 𝑒𝑘 𝐵𝑘𝑖 = 𝑗=1 3 𝑒𝑗 𝐶𝑗𝑖 𝑗=1 3 𝓐𝑒𝑘 𝐵𝑘𝑖 = 𝑗=1 3 𝑒𝑗 𝐶𝑗𝑖 𝑗=1 3 𝑘=1 3 𝑒𝑗𝐴𝑗𝑘𝐵𝑘𝑖 = 𝑗=1 3 𝑒𝑗 𝐶𝑗𝑖 𝐶𝑗𝑖 = 𝑘=1 3 𝐴𝑗𝑘𝐵𝑘𝑖
  • 18.
    Order of Matrixmultiplication 𝓐𝓑 ≠ 𝓑𝓐 Commutator of operators Do not commute 𝐴, 𝐵 = 𝐴𝐵 − 𝐵𝐴 Anti-commutator of operators 𝐴, 𝐵 = 𝐴𝐵 + 𝐵𝐴
  • 19.
    Matrices : Definition 𝐴= 𝐴11 𝐴12 ⋯ 𝐴1𝑀 𝐴21 𝐴22 ⋯ 𝐴2𝑀 ⋮ ⋮ ⋯ ⋮ 𝐴𝑁1 𝐴𝑁2 … 𝐴𝑁𝑀 If N = M, matrix is square matrix 𝑎 = 𝑎1 𝑎2 ⋮ 𝑎𝑁 𝐴𝑎 = 𝑏 𝑏𝑖 = 𝑖=1 𝑀 𝐴𝑖𝑗𝑎𝑗
  • 20.
    Adjoint and Transpose 𝑂= 𝑂11 𝑂12 𝑂13 𝑂21 𝑂22 𝑂23 𝑂31 𝑂32 𝑂33 𝑂𝑇 = 𝑂11 𝑂21 𝑂31 𝑂12 𝑂22 𝑂32 𝑂13 𝑂23 𝑂33 𝐴𝑇 𝑖𝑗 = 𝐴𝑗𝑖 𝐴† 𝑖𝑗 𝑇 = 𝐴∗ 𝑗𝑖 Take complex conjugate of each element and interchange the rows interchange the rows complex conjugate - the sign of the imaginary part of all its complex numbers have been changed
  • 21.
    complex numbers Complex numbers- extends the real numbers with a specific element denoted i, called the imaginary unit. 𝑖 = −1 𝑖2 = −1 If a and b are real numbers, then 𝑎 + 𝑏𝑖 is a complex number 𝑎 + 𝑏𝑖 The Complex Plane Basic operations 𝑧1 = 𝑥1 + 𝑖𝑦1 𝑧2 = 𝑥2 + 𝑖𝑦2 𝑧1 + 𝑧2 = 𝑥1 + 𝑥1 + 𝑖 𝑦1 + 𝑦2 𝑧1 − 𝑧2 = 𝑥1 − 𝑥1 + 𝑖 𝑦1 − 𝑦2 𝑎𝑧1 = 𝑎𝑥1 + 𝑎𝑖𝑦1
  • 22.
    Definition in squareMatrices Diagonal matrix – all off diagonals are zero Trace of matrix – sum of the diagonal elements Unit matrix – Identity matrix, diagonal with 1 in diagonal Inverse; 𝐴−1 𝐴−1 𝐴 = 𝐴𝐴−1 = 𝐼 = 1 Unitary matrix 𝐴−1 = 𝐴† Orthogonal matrix – real unitary matrix
  • 23.
    Hermitian matrix –self adjoint 𝐴 = 𝐴† Symmetric matrix – real Hermitian matrix Determinants 𝑑𝑒𝑡 𝐴 = 𝐴 = 𝐴11 ⋯ 𝐴1𝑁 ⋮ ⋮ ⋮ 𝐴𝑁1 ⋯ 𝐴𝑁𝑁 𝐴 = 𝑖=1 𝑁! −1 𝑝𝑖 𝓟𝑖𝐴11𝐴12 ⋯ 𝐴𝑁𝑁 −1 0 𝐴11𝐴22𝐴33 + −1 1 𝐴12𝐴21𝐴33 + −1 1 𝐴13𝐴22𝐴31 + −1 1 𝐴11𝐴23𝐴32 + −1 2 𝐴13𝐴21𝐴32 + −1 2 𝐴12𝐴23𝐴31 𝐴11 𝐴12 𝐴13 𝐴21 𝐴22 𝐴23 𝐴31 𝐴32 𝐴33 =
  • 24.
    N-dimensional vector spaces 𝑒|𝑖 𝑖 = 1,2, … , 𝑁 |𝑎 = 𝑖=1 𝑁 |𝑖 𝑎𝑖 𝑎 = 𝑎1 𝑎2 ⋮ 𝑎𝑁 ket vectors 𝑎† = 𝑎1 𝑎2 ⋯ 𝑎𝑁 bra vectors Braket notation 𝑎||𝑏 = 𝑎|𝑏 = 𝑖=1 𝑁 𝑎∗ 𝑖𝑏𝑖 = 𝑎1 𝑎2 ⋯ 𝑎𝑁 𝑏1 𝑏2 ⋮ 𝑏𝑁 𝑎|𝑎 = 𝑖=1 𝑁 𝑎∗ 𝑖𝑎𝑖 = 𝑖=1 𝑁 𝑎𝑖 2
  • 25.
    𝑎 = 𝑎1 𝑎2 ⋮ 𝑎𝑁 |𝑎 = 𝑖=1 𝑁 |𝑖𝑎𝑖 𝑎† = 𝑎1 𝑎2 ⋯ 𝑎𝑁 𝑎| = 𝑖=1 𝑁 𝑎𝑖 ∗ 𝑖| 𝑎|𝑏 = 𝑖=1 𝑁 𝑎𝑖 ∗ 𝑖| 𝑗=1 𝑁 |𝑗 𝑏𝑗 = 𝑖=1 𝑁 𝑗=1 𝑁 𝑎𝑖 ∗ 𝑖|𝑗 𝑏𝑗 𝑖|𝑗 = 𝛿𝑖𝑗
  • 26.
    How to determinecomponents with respect to a basis? |𝑎 = 𝑖=1 𝑁 |𝑖 𝑎𝑖 𝑎| = 𝑖=1 𝑁 𝑎𝑖 ∗ 𝑖| 𝑎|𝑗 = 𝑖=1 𝑁 𝑎𝑖 ∗ 𝑖|𝑗 𝑗|𝑎 = 𝑖=1 𝑁 𝑗|𝑖 𝑎𝑖 𝑎|𝑗 = 𝑎𝑗 ∗ 𝑗|𝑎 = 𝑎𝑗 |𝑎 = 𝑖=1 𝑁 |𝑖 𝑖|𝑎 𝑎| = 𝑖=1 𝑁 𝑎|𝑖 𝑖| 𝑖=1 𝑁 |𝑖 𝑖| = 1 Completeness of the basis
  • 27.
    0.354 −0.927 0.127 0.354 −0.927 0.127+ 0.612 0.127 −0.78 0.612 0.127 −0.78 + 0.707 0.354 0.612 0.707 0.354 0.612 = 1 0 0 0 1 0 0 0 1 |𝑖 = 0.354 0.612 0.707 −0.927 0.127 0.354 0.127 −0.78 0.612 𝑖=1 𝑁 |𝑖 𝑖| = 1
  • 28.
    𝒪|𝑎 = |𝑏 𝒪|𝑖= 𝑗 𝑁 |𝑗 𝑂𝑗𝑖 𝑂 is the matrix representation of 𝒪 in the basis |𝑖 𝑘|𝒪|𝑖 = 𝑗 𝑁 𝑘|𝑗 𝑂𝑗𝑖 = 𝑂𝑘𝑖 Using completeness relation 𝒪|𝑖 = 1𝒪|𝑖 = 𝑖=1 𝑁 |𝑖 𝑖| 𝒪|𝑖 𝑗 𝒪|𝑖 = 𝑗 𝒪|𝑖 = 𝑂𝑗𝑖 𝓒 = 𝓐𝓑 𝑖|𝓒|𝑗 = 𝑖|𝓐𝓑|𝑗 𝑖|𝓐1𝓑|𝑗 𝑖|𝓐 𝑘=1 𝑁 |𝑘 𝑘| 𝓑|𝑗 𝑘=1 𝑁 𝑖|𝓐|𝑘 𝑘| 𝓑|𝑗 𝐶𝑖𝑗 = 𝑘=1 𝑁 𝐴𝑖𝑘𝐵𝑘𝑗
  • 29.
    Hermitian operator –self adjoint 𝒪∗† = 𝒪 Change of basis We can express any ket in the basis |α as a linear combination of the kets in basis |𝑖 |α = 1|α |α = 𝑖=1 𝑁 |𝑖 𝑖|α |α = 𝑖=1 𝑁 |𝑖 𝑈𝑖∝ 𝑖|α = 𝑈 Transformation matrix
  • 30.
    𝑖|α = 𝑈 Propertiesof transformation matrix 𝑈†𝑈 = 1 𝑈𝑈† = 1 𝙊, 𝞨, Matrix representation two operators in basis |𝑖 and ∝ respectively 𝞨 = 𝑈𝙊𝑈† 𝙊 = 𝑈†𝞨U