NANO-PARTICLE DRUG
Nano drug carriers
Introduction
As a carrier in pharmaceutical
Improve the performance and efficiency of drug
Side effects
Made of different materials
Different sizes
Novel drug delivery systems
Control and release &
Protection of drug
Pass more easily and reach the target tissue
Increased half-life
More drug accumulation and increased
concentration
Ease of Preparation
Choose physicochemical properties of chemicals
Negative points
Stimulating the immune system
The interaction with lipoprotein
Toxicity
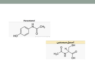
Acetaminophen
• Paracetamol
• Para Amino Phenol derivatives
• Analgesic
• Antipyretic
• OTC
• ‫کبدی‬ ‫سمیت‬ ( NAPQI)
• Antidot
• N-acetyl cysteine
Liposome
‫شامل‬ ‫میکروسکوپی‬ ‫وزیکول‬2‫یک‬ ‫کننده‬ ‫احاطه‬ ‫فسفولیپید‬ ‫الیه‬
‫مائی‬ ‫فضای‬
nm‫ضخامت‬6-3
‫قطر‬50nm‫تا‬50‫میکرون‬
‫آمفیپاتیک‬ ‫خاصیت‬
‫ایمونوژنیسیته‬ ‫فقدان‬
‫پذیر‬ ‫تجزیه‬
...
‫فسفولی‬ ‫اجتماع‬ ‫از‬ ‫ها‬ ‫لیپوزوم‬ ‫یا‬ ‫فسفولیپیدی‬ ‫های‬ ‫وزیکول‬‫به‬ ‫ها‬ ‫پید‬
‫آیند‬ ‫می‬ ‫وجود‬
‫می‬ ‫کنترل‬ ‫غشا‬ ‫سیالیت‬ ‫خاصیت‬ ، ‫کلسترول‬ ‫کردن‬ ‫اضافه‬ ‫با‬‫شود‬
‫شود‬ ‫می‬ ‫بهینه‬ ‫ها‬ ‫قند‬ ‫و‬ ‫پروتئین‬ ‫تلفیق‬ ‫با‬ ‫لیپوزوم‬ ‫سطح‬
‫پایداری‬ ، ‫تر‬ ‫راحت‬ ‫غشا‬ ‫از‬ ‫عبور‬ ، ‫باشد‬ ‫کوچکتر‬ ‫اندازه‬ ‫هرچقدر‬
‫کمتر‬ ‫کارآیی‬ ، ‫کمتر‬ ‫دارو‬ ‫حجم‬ ، ‫کمتر‬
...
‫به‬‫گـری‬‫آب‬ ‫داروهـاي‬ ‫رسـانـدن‬ ‫تـوانـایـي‬ ‫هـا‬‫لـیـپــوزوم‬ ‫كـلــي‬ ‫طــور‬‫ـز‬
‫فیلـي‬‫آمفـي‬ ‫و‬ ‫دوسـت‬‫آب‬ ،(‫دوست‬‫دوگانه‬)‫دارند‬ ‫را‬.
‫در‬‫قر‬ ‫لیپوزوم‬ ‫غیرقطبي‬ ‫بخش‬ ‫در‬ ‫گـریـز‬‫آب‬ ‫داروهـاي‬ ، ‫حقیقت‬‫ار‬
‫گیرند‬‫مي‬.
‫حال‬‫قـرار‬ ‫لیپـوزوم‬ ‫داخلـي‬ ‫آب‬ ‫فـاز‬ ‫در‬ ‫دوسـت‬‫آب‬ ‫داروهاي‬ ‫كه‬ ‫آن‬
‫فیلي‬ ‫آمفي‬ ‫داروهاي‬ ‫و‬ ‫گرفت‬ ‫خـواهند‬(‫دوست‬ ‫دوگانه‬)‫فاص‬ ‫حد‬ ‫در‬‫ل‬
‫گرفت‬ ‫خواهند‬ ‫قرار‬ ‫گریز‬‫آب‬ ‫بخش‬ ‫و‬ ‫داخلي‬ ‫آب‬ ‫بخش‬.
Niozome
‫یونی‬ ‫غیر‬ ‫های‬ ‫فکتانت‬ ‫سور‬ ‫از‬ ‫که‬ ‫باشد‬ ‫می‬ ‫ای‬ ‫ذره‬ ‫نانو‬ ‫نیوزوم‬‫در‬
‫آبی‬ ‫محیط‬(‫هیدراته‬)‫ساخ‬ ‫آن‬ ‫مشتقات‬ ‫یا‬ ‫کلسترول‬ ‫تلفیق‬ ‫با‬‫شود‬ ‫می‬ ‫ته‬
‫سورفکتانت‬‫حالل‬ ‫که‬ ‫مجزا‬ ‫ناحیه‬ ‫دو‬ ‫با‬ ‫فیل‬ ‫آمفی‬ ‫مولکولهای‬ ،‫یت‬
‫دارند‬ ‫متفاوتی‬ ‫بسیار‬
‫قطبی‬ ‫سر‬ ‫در‬ ‫موجود‬ ‫عاملی‬ ‫گروه‬ ‫اساس‬ ‫بر‬:‫کاتیونی‬ ، ‫آنیونی‬‫آمفو‬ ،
‫یونی‬ ‫غیر‬ ‫و‬ ،‫تریک‬
…
‫هستند‬ ‫خود‬ ‫سر‬ ‫در‬ ‫بار‬ ‫فاقد‬ ‫یونی‬ ‫غیر‬ ‫های‬ ‫سورفکتانت‬
‫مح‬ ‫مقابل‬ ‫در‬ ‫قطبی‬ ‫سر‬ ‫که‬ ‫دهند‬ ‫تشکیل‬ ‫ساختارهایی‬ ‫توانند‬ ‫می‬‫آبی‬ ‫لول‬
‫گیرد‬ ‫قرار‬ ‫آلی‬ ‫محلول‬ ‫مقابل‬ ‫در‬ ‫دوست‬ ‫آب‬ ‫دم‬ ‫و‬
‫وی‬ ‫ها‬ ‫نیوزوم‬ ، ‫یونی‬ ‫غیر‬ ‫های‬ ‫سورفکتانت‬ ‫ویژگی‬ ‫این‬ ‫بخاطر‬‫ژگی‬
‫دارند‬ ‫هایی‬...
‫نیوزوم‬‫دارند‬ ‫بسیاری‬ ‫مزایای‬ ‫های‬
‫نیوزوم‬‫ازلحاظ‬ ‫ها‬‫ذ‬ ‫زمان‬ ‫و‬ ‫بوده‬ ‫پایدار‬ ‫شیمیایی‬ ‫طور‬ ‫به‬ ، ‫فعال‬ ‫اسموتیک‬‫خیره‬
‫دارند‬ ‫ها‬ ‫لیپوزوم‬ ‫به‬ ‫نسبت‬ ‫طوالنی‬ ‫سازی‬.
‫تشکیل‬‫ر‬ ‫بر‬ ‫عاملی‬ ‫گروههای‬ ‫زیرا‬ ‫است‬ ‫راحت‬ ‫بسیار‬ ‫آن‬ ‫اصالح‬ ‫و‬ ‫آنها‬ ‫سطح‬‫وی‬
‫است‬ ‫گرفته‬ ‫قرار‬ ‫دوست‬ ‫آب‬ ‫سر‬.
‫نیوزوم‬‫ها‬‫سیس‬ ‫با‬ ‫خوبی‬ ‫بسیار‬ ‫سازگاری‬ ‫شان‬ ‫یونی‬ ‫غیر‬ ‫ماهیت‬ ‫خاطر‬ ‫به‬‫های‬ ‫تم‬
‫دارند‬ ‫پایینی‬ ‫بسیار‬ ‫سمیت‬ ‫و‬ ‫داشته‬ ‫زیستی‬
…
‫این‬‫پذیراند‬ ‫تخریب‬ ‫زیست‬ ‫مواد‬
‫این‬‫ی‬ ‫دوالیه‬ ‫غشای‬ ‫در‬ ‫را‬ ‫گریز‬ ‫آب‬ ‫داروهای‬ ‫توانند‬ ‫می‬ ‫مواد‬
‫دام‬ ‫به‬ ‫خود‬ ‫آبی‬ ‫قسمت‬ ‫در‬ ‫را‬ ‫دوست‬ ‫آب‬ ‫داروهای‬ ‫و‬ ‫وزیکولی‬‫بینداز‬‫ند‬
‫نیوزوم‬‫توس‬ ‫را‬ ‫دارویی‬ ‫مولکولهای‬ ‫درمانی‬ ‫عملکرد‬ ‫توانند‬ ‫می‬ ‫ها‬‫ط‬
‫ببخشند‬ ‫بهبود‬ ‫بیولوژیکی‬ ‫محیطهای‬ ‫از‬ ‫دارو‬ ‫از‬ ‫محافظت‬.‫این‬
‫داوری‬ ‫رسانش‬ ‫سیستم‬ ‫و‬ ‫بهتر‬ ‫پذیری‬ ‫دسترس‬ ‫به‬ ‫منجر‬ ‫موضوع‬‫کنترل‬
‫شود‬ ‫می‬ ‫شده‬.
…
‫است‬ ‫آسان‬ ‫خام‬ ‫مواد‬ ‫به‬ ‫دسترسی‬
‫سورفکتان‬ ‫کارگیری‬ ‫به‬ ‫و‬ ‫مدیریت‬ ‫فسفولیپیدها‬ ‫خالف‬ ‫بر‬‫تها‬‫به‬ ‫نیاز‬
‫ندارد‬ ‫شرایطی‬ ‫و‬ ‫مقدمه‬ ‫هیچ‬
‫پوست‬ ‫در‬ ‫دارو‬ ‫نفوذپذیری‬ ‫مواد‬ ‫این‬‫دهد‬ ‫می‬ ‫افزایش‬ ‫را‬
‫کرد‬ ‫کنترل‬ ‫توان‬ ‫می‬ ‫را‬ ‫ها‬ ‫نیوزوم‬ ‫متغیر‬ ‫خواص‬.
‫دام‬ ‫به‬ ‫کارآیی‬ ، ‫اندازه‬ ‫اساس‬ ‫بر‬ ‫ها‬ ‫نیوزوم‬ ‫نوع‬ ‫مانند‬ ‫خواصی‬
‫سورفکت‬ ، ‫تهیه‬ ‫روش‬ ‫از‬ ‫استفاده‬ ‫با‬ ‫را‬ ‫پایداری‬ ‫و‬ ‫دارو‬ ‫انداختن‬،‫انت‬
‫سوسپانسیون‬ ‫غلظت‬ ‫و‬ ‫سطحی‬ ‫بار‬ ، ‫اندازه‬ ، ‫کلسترول‬ ‫محتوای‬‫کنترل‬
‫کرد‬.
Review Articles
2014
Blieden
‫متحده‬ ‫ایاالت‬ ‫در‬ ‫میر‬ ‫و‬ ‫مرگ‬ ‫موارد‬ ‫و‬ ‫کبدی‬ ‫مسمومیت‬ ‫بررسی‬
‫استامین‬ ‫با‬ ‫مسمومیت‬ ‫شیوع‬ ، ‫بیمارستانی‬ ‫سوابق‬ ‫بررسی‬ ‫با‬‫را‬ ‫وفن‬
‫نمودند‬ ‫ارائه‬ ‫را‬ ‫آماری‬ ‫و‬ ‫داده‬ ‫قرار‬ ‫بررسی‬ ‫مورد‬
‫در‬ ‫که‬ ‫بوده‬ ‫عمدی‬ ‫غیر‬ ‫دالیل‬ ‫به‬ ‫مسمومیت‬ ‫موارد‬ ‫از‬ ‫نیمی‬17%
‫است‬ ‫شده‬ ‫تایید‬ ‫مسمومیت‬ ‫از‬ ‫ناشی‬ ‫کبدی‬ ‫آسیب‬ ‫هم‬ ‫موارد‬
…
2013
Alipour
‫آوردند‬ ‫در‬ ‫لیپوزوم‬ ‫شکل‬ ‫به‬ ‫را‬ ‫سیستئین‬ ‫استیل‬ ‫ان‬ ‫داروی‬
‫ای‬ ‫مقایسه‬ ‫طور‬ ‫به‬ ‫را‬ ‫دارویی‬ ‫شکل‬ ‫این‬‫سیستئی‬ ‫استیل‬ ‫ان‬ ‫با‬‫در‬ ‫ن‬
‫گ‬ ‫کار‬ ‫به‬ ‫بودند‬ ‫شده‬ ‫مسموم‬ ‫استامینوفن‬ ‫وسیله‬ ‫به‬ ‫که‬ ‫موشهایی‬‫رفتند‬
‫خو‬ ‫های‬ ‫نمونه‬ ‫و‬ ‫کبد‬ ‫بافت‬ ‫از‬ ‫شده‬ ‫گرفته‬ ‫های‬ ‫نمونه‬ ‫بررسی‬ ‫با‬‫از‬ ‫نی‬
‫شده‬ ‫لود‬ ‫داروی‬ ‫که‬ ‫دادند‬ ‫نشان‬ ، ‫موشها‬ ‫ی‬ ‫شده‬ ‫کار‬ ‫مختلف‬ ‫گروههای‬
‫است‬ ‫کرده‬ ‫عمل‬ ‫تر‬ ‫موثر‬ ‫بسیار‬ ‫لیپوزوم‬ ‫ذره‬ ‫نانو‬ ‫در‬
…
2013
Makeshwar
‫و‬ ‫پرداخته‬ ‫نیوزوم‬ ‫ذره‬ ‫نانو‬ ‫مورد‬ ‫در‬ ‫شرح‬ ‫به‬ ‫مروری‬ ‫مقاله‬ ‫یک‬ ‫در‬
‫اشا‬ ‫لیپوزوم‬ ‫با‬ ‫آن‬ ‫آیی‬ ‫کار‬ ‫و‬ ‫ساختاری‬ ‫های‬ ‫شباهت‬ ‫و‬ ‫مقایسه‬ ‫به‬‫ره‬
‫کردند‬
‫ن‬ ‫این‬ ‫مولکولی‬ ‫و‬ ‫ساختاری‬ ‫خصوصیات‬ ‫بررسی‬ ‫به‬ ‫مقاله‬ ‫این‬ ‫در‬‫انو‬
‫همچنین‬ ‫و‬ ‫آن‬ ‫در‬ ‫دارو‬ ‫بارگیری‬ ‫چگونگی‬ ‫و‬ ‫تشکیل‬ ‫نحوه‬ ، ‫ذره‬
‫موفق‬ ‫تجربیات‬ ‫و‬ ‫ذرات‬ ‫نانو‬ ‫این‬ ‫از‬ ‫دارو‬ ‫سازی‬ ‫رها‬ ‫های‬ ‫مکانیسم‬
‫اند‬ ‫پرداخته‬ ‫آن‬ ‫از‬ ‫استفاده‬
…
2008
Karki
‫اسپن‬ ‫با‬ ‫را‬ ‫ایزونیازید‬ ‫های‬ ‫نیوزوم‬60‫کرد‬ ‫بهینه‬ ‫کلسترول‬ ‫و‬
‫به‬ ‫دارو‬ ‫داد‬ ‫نشان‬ ‫صحرایی‬ ‫های‬ ‫موش‬ ‫در‬ ‫بافتی‬ ‫توزیع‬ ‫مطالعات‬
‫احشایی‬ ‫ارگانهای‬ ‫در‬ ‫لیپوزوم‬ ‫نانو‬ ‫شکل‬(‫ط‬ ‫و‬ ‫کبد‬ ، ‫ریه‬ ، ‫کلیه‬‫حال‬)
‫داشته‬ ‫محلول‬ ‫فرم‬ ‫به‬ ‫نسبت‬ ‫بیشتری‬ ‫تجمع‬
‫است‬ ‫بوده‬ ‫کمتر‬ ‫نیز‬ ‫نیوزوم‬ ‫سمیت‬ ‫آن‬ ‫بر‬ ‫عالوه‬
Result
• Effectiveness in the treatment of liver toxicity
• N-acetyl cysteine<Liposome<Niozome
‫شما‬ ‫توجه‬ ‫از‬ ‫تشکر‬ ‫با‬...
‫گر‬‫باش‬ ‫نخل‬ ‫چو‬ ‫برآید‬ ‫زدستت‬‫کریم‬
‫ورت‬‫آزاد‬ ‫باش‬ ‫سرو‬ ‫چو‬ ، ‫نیاید‬ ‫دست‬ ‫ز‬
‫کن‬ ‫نیکی‬ ‫و‬ ‫گیر‬ ‫پیش‬ ‫من‬ ‫نصیحت‬ ‫همین‬
‫یاد‬ ‫نیکی‬ ‫به‬ ‫کنی‬ ‫مرگم‬ ‫پس‬ ‫از‬ ‫دائم‬ ‫که‬
‫حضرت‬‫الرحمه‬ ‫علیه‬ ‫سعدی‬...
‫ارائه‬:
‫کرمی‬ ‫صفورا‬

nanomedicine

  • 1.
  • 2.
    Introduction As a carrierin pharmaceutical Improve the performance and efficiency of drug Side effects Made of different materials Different sizes Novel drug delivery systems Control and release & Protection of drug
  • 3.
    Pass more easilyand reach the target tissue Increased half-life More drug accumulation and increased concentration Ease of Preparation Choose physicochemical properties of chemicals
  • 4.
    Negative points Stimulating theimmune system The interaction with lipoprotein Toxicity
  • 6.
    Acetaminophen • Paracetamol • ParaAmino Phenol derivatives • Analgesic • Antipyretic • OTC • ‫کبدی‬ ‫سمیت‬ ( NAPQI) • Antidot • N-acetyl cysteine
  • 8.
    Liposome ‫شامل‬ ‫میکروسکوپی‬ ‫وزیکول‬2‫یک‬‫کننده‬ ‫احاطه‬ ‫فسفولیپید‬ ‫الیه‬ ‫مائی‬ ‫فضای‬ nm‫ضخامت‬6-3 ‫قطر‬50nm‫تا‬50‫میکرون‬ ‫آمفیپاتیک‬ ‫خاصیت‬ ‫ایمونوژنیسیته‬ ‫فقدان‬ ‫پذیر‬ ‫تجزیه‬
  • 9.
    ... ‫فسفولی‬ ‫اجتماع‬ ‫از‬‫ها‬ ‫لیپوزوم‬ ‫یا‬ ‫فسفولیپیدی‬ ‫های‬ ‫وزیکول‬‫به‬ ‫ها‬ ‫پید‬ ‫آیند‬ ‫می‬ ‫وجود‬ ‫می‬ ‫کنترل‬ ‫غشا‬ ‫سیالیت‬ ‫خاصیت‬ ، ‫کلسترول‬ ‫کردن‬ ‫اضافه‬ ‫با‬‫شود‬ ‫شود‬ ‫می‬ ‫بهینه‬ ‫ها‬ ‫قند‬ ‫و‬ ‫پروتئین‬ ‫تلفیق‬ ‫با‬ ‫لیپوزوم‬ ‫سطح‬ ‫پایداری‬ ، ‫تر‬ ‫راحت‬ ‫غشا‬ ‫از‬ ‫عبور‬ ، ‫باشد‬ ‫کوچکتر‬ ‫اندازه‬ ‫هرچقدر‬ ‫کمتر‬ ‫کارآیی‬ ، ‫کمتر‬ ‫دارو‬ ‫حجم‬ ، ‫کمتر‬
  • 10.
    ... ‫به‬‫گـری‬‫آب‬ ‫داروهـاي‬ ‫رسـانـدن‬‫تـوانـایـي‬ ‫هـا‬‫لـیـپــوزوم‬ ‫كـلــي‬ ‫طــور‬‫ـز‬ ‫فیلـي‬‫آمفـي‬ ‫و‬ ‫دوسـت‬‫آب‬ ،(‫دوست‬‫دوگانه‬)‫دارند‬ ‫را‬. ‫در‬‫قر‬ ‫لیپوزوم‬ ‫غیرقطبي‬ ‫بخش‬ ‫در‬ ‫گـریـز‬‫آب‬ ‫داروهـاي‬ ، ‫حقیقت‬‫ار‬ ‫گیرند‬‫مي‬. ‫حال‬‫قـرار‬ ‫لیپـوزوم‬ ‫داخلـي‬ ‫آب‬ ‫فـاز‬ ‫در‬ ‫دوسـت‬‫آب‬ ‫داروهاي‬ ‫كه‬ ‫آن‬ ‫فیلي‬ ‫آمفي‬ ‫داروهاي‬ ‫و‬ ‫گرفت‬ ‫خـواهند‬(‫دوست‬ ‫دوگانه‬)‫فاص‬ ‫حد‬ ‫در‬‫ل‬ ‫گرفت‬ ‫خواهند‬ ‫قرار‬ ‫گریز‬‫آب‬ ‫بخش‬ ‫و‬ ‫داخلي‬ ‫آب‬ ‫بخش‬.
  • 14.
    Niozome ‫یونی‬ ‫غیر‬ ‫های‬‫فکتانت‬ ‫سور‬ ‫از‬ ‫که‬ ‫باشد‬ ‫می‬ ‫ای‬ ‫ذره‬ ‫نانو‬ ‫نیوزوم‬‫در‬ ‫آبی‬ ‫محیط‬(‫هیدراته‬)‫ساخ‬ ‫آن‬ ‫مشتقات‬ ‫یا‬ ‫کلسترول‬ ‫تلفیق‬ ‫با‬‫شود‬ ‫می‬ ‫ته‬ ‫سورفکتانت‬‫حالل‬ ‫که‬ ‫مجزا‬ ‫ناحیه‬ ‫دو‬ ‫با‬ ‫فیل‬ ‫آمفی‬ ‫مولکولهای‬ ،‫یت‬ ‫دارند‬ ‫متفاوتی‬ ‫بسیار‬ ‫قطبی‬ ‫سر‬ ‫در‬ ‫موجود‬ ‫عاملی‬ ‫گروه‬ ‫اساس‬ ‫بر‬:‫کاتیونی‬ ، ‫آنیونی‬‫آمفو‬ ، ‫یونی‬ ‫غیر‬ ‫و‬ ،‫تریک‬
  • 19.
    … ‫هستند‬ ‫خود‬ ‫سر‬‫در‬ ‫بار‬ ‫فاقد‬ ‫یونی‬ ‫غیر‬ ‫های‬ ‫سورفکتانت‬ ‫مح‬ ‫مقابل‬ ‫در‬ ‫قطبی‬ ‫سر‬ ‫که‬ ‫دهند‬ ‫تشکیل‬ ‫ساختارهایی‬ ‫توانند‬ ‫می‬‫آبی‬ ‫لول‬ ‫گیرد‬ ‫قرار‬ ‫آلی‬ ‫محلول‬ ‫مقابل‬ ‫در‬ ‫دوست‬ ‫آب‬ ‫دم‬ ‫و‬ ‫وی‬ ‫ها‬ ‫نیوزوم‬ ، ‫یونی‬ ‫غیر‬ ‫های‬ ‫سورفکتانت‬ ‫ویژگی‬ ‫این‬ ‫بخاطر‬‫ژگی‬ ‫دارند‬ ‫هایی‬...
  • 20.
    ‫نیوزوم‬‫دارند‬ ‫بسیاری‬ ‫مزایای‬‫های‬ ‫نیوزوم‬‫ازلحاظ‬ ‫ها‬‫ذ‬ ‫زمان‬ ‫و‬ ‫بوده‬ ‫پایدار‬ ‫شیمیایی‬ ‫طور‬ ‫به‬ ، ‫فعال‬ ‫اسموتیک‬‫خیره‬ ‫دارند‬ ‫ها‬ ‫لیپوزوم‬ ‫به‬ ‫نسبت‬ ‫طوالنی‬ ‫سازی‬. ‫تشکیل‬‫ر‬ ‫بر‬ ‫عاملی‬ ‫گروههای‬ ‫زیرا‬ ‫است‬ ‫راحت‬ ‫بسیار‬ ‫آن‬ ‫اصالح‬ ‫و‬ ‫آنها‬ ‫سطح‬‫وی‬ ‫است‬ ‫گرفته‬ ‫قرار‬ ‫دوست‬ ‫آب‬ ‫سر‬. ‫نیوزوم‬‫ها‬‫سیس‬ ‫با‬ ‫خوبی‬ ‫بسیار‬ ‫سازگاری‬ ‫شان‬ ‫یونی‬ ‫غیر‬ ‫ماهیت‬ ‫خاطر‬ ‫به‬‫های‬ ‫تم‬ ‫دارند‬ ‫پایینی‬ ‫بسیار‬ ‫سمیت‬ ‫و‬ ‫داشته‬ ‫زیستی‬
  • 21.
    … ‫این‬‫پذیراند‬ ‫تخریب‬ ‫زیست‬‫مواد‬ ‫این‬‫ی‬ ‫دوالیه‬ ‫غشای‬ ‫در‬ ‫را‬ ‫گریز‬ ‫آب‬ ‫داروهای‬ ‫توانند‬ ‫می‬ ‫مواد‬ ‫دام‬ ‫به‬ ‫خود‬ ‫آبی‬ ‫قسمت‬ ‫در‬ ‫را‬ ‫دوست‬ ‫آب‬ ‫داروهای‬ ‫و‬ ‫وزیکولی‬‫بینداز‬‫ند‬ ‫نیوزوم‬‫توس‬ ‫را‬ ‫دارویی‬ ‫مولکولهای‬ ‫درمانی‬ ‫عملکرد‬ ‫توانند‬ ‫می‬ ‫ها‬‫ط‬ ‫ببخشند‬ ‫بهبود‬ ‫بیولوژیکی‬ ‫محیطهای‬ ‫از‬ ‫دارو‬ ‫از‬ ‫محافظت‬.‫این‬ ‫داوری‬ ‫رسانش‬ ‫سیستم‬ ‫و‬ ‫بهتر‬ ‫پذیری‬ ‫دسترس‬ ‫به‬ ‫منجر‬ ‫موضوع‬‫کنترل‬ ‫شود‬ ‫می‬ ‫شده‬.
  • 22.
    … ‫است‬ ‫آسان‬ ‫خام‬‫مواد‬ ‫به‬ ‫دسترسی‬ ‫سورفکتان‬ ‫کارگیری‬ ‫به‬ ‫و‬ ‫مدیریت‬ ‫فسفولیپیدها‬ ‫خالف‬ ‫بر‬‫تها‬‫به‬ ‫نیاز‬ ‫ندارد‬ ‫شرایطی‬ ‫و‬ ‫مقدمه‬ ‫هیچ‬ ‫پوست‬ ‫در‬ ‫دارو‬ ‫نفوذپذیری‬ ‫مواد‬ ‫این‬‫دهد‬ ‫می‬ ‫افزایش‬ ‫را‬ ‫کرد‬ ‫کنترل‬ ‫توان‬ ‫می‬ ‫را‬ ‫ها‬ ‫نیوزوم‬ ‫متغیر‬ ‫خواص‬. ‫دام‬ ‫به‬ ‫کارآیی‬ ، ‫اندازه‬ ‫اساس‬ ‫بر‬ ‫ها‬ ‫نیوزوم‬ ‫نوع‬ ‫مانند‬ ‫خواصی‬ ‫سورفکت‬ ، ‫تهیه‬ ‫روش‬ ‫از‬ ‫استفاده‬ ‫با‬ ‫را‬ ‫پایداری‬ ‫و‬ ‫دارو‬ ‫انداختن‬،‫انت‬ ‫سوسپانسیون‬ ‫غلظت‬ ‫و‬ ‫سطحی‬ ‫بار‬ ، ‫اندازه‬ ، ‫کلسترول‬ ‫محتوای‬‫کنترل‬ ‫کرد‬.
  • 23.
    Review Articles 2014 Blieden ‫متحده‬ ‫ایاالت‬‫در‬ ‫میر‬ ‫و‬ ‫مرگ‬ ‫موارد‬ ‫و‬ ‫کبدی‬ ‫مسمومیت‬ ‫بررسی‬ ‫استامین‬ ‫با‬ ‫مسمومیت‬ ‫شیوع‬ ، ‫بیمارستانی‬ ‫سوابق‬ ‫بررسی‬ ‫با‬‫را‬ ‫وفن‬ ‫نمودند‬ ‫ارائه‬ ‫را‬ ‫آماری‬ ‫و‬ ‫داده‬ ‫قرار‬ ‫بررسی‬ ‫مورد‬ ‫در‬ ‫که‬ ‫بوده‬ ‫عمدی‬ ‫غیر‬ ‫دالیل‬ ‫به‬ ‫مسمومیت‬ ‫موارد‬ ‫از‬ ‫نیمی‬17% ‫است‬ ‫شده‬ ‫تایید‬ ‫مسمومیت‬ ‫از‬ ‫ناشی‬ ‫کبدی‬ ‫آسیب‬ ‫هم‬ ‫موارد‬
  • 24.
    … 2013 Alipour ‫آوردند‬ ‫در‬ ‫لیپوزوم‬‫شکل‬ ‫به‬ ‫را‬ ‫سیستئین‬ ‫استیل‬ ‫ان‬ ‫داروی‬ ‫ای‬ ‫مقایسه‬ ‫طور‬ ‫به‬ ‫را‬ ‫دارویی‬ ‫شکل‬ ‫این‬‫سیستئی‬ ‫استیل‬ ‫ان‬ ‫با‬‫در‬ ‫ن‬ ‫گ‬ ‫کار‬ ‫به‬ ‫بودند‬ ‫شده‬ ‫مسموم‬ ‫استامینوفن‬ ‫وسیله‬ ‫به‬ ‫که‬ ‫موشهایی‬‫رفتند‬ ‫خو‬ ‫های‬ ‫نمونه‬ ‫و‬ ‫کبد‬ ‫بافت‬ ‫از‬ ‫شده‬ ‫گرفته‬ ‫های‬ ‫نمونه‬ ‫بررسی‬ ‫با‬‫از‬ ‫نی‬ ‫شده‬ ‫لود‬ ‫داروی‬ ‫که‬ ‫دادند‬ ‫نشان‬ ، ‫موشها‬ ‫ی‬ ‫شده‬ ‫کار‬ ‫مختلف‬ ‫گروههای‬ ‫است‬ ‫کرده‬ ‫عمل‬ ‫تر‬ ‫موثر‬ ‫بسیار‬ ‫لیپوزوم‬ ‫ذره‬ ‫نانو‬ ‫در‬
  • 25.
    … 2013 Makeshwar ‫و‬ ‫پرداخته‬ ‫نیوزوم‬‫ذره‬ ‫نانو‬ ‫مورد‬ ‫در‬ ‫شرح‬ ‫به‬ ‫مروری‬ ‫مقاله‬ ‫یک‬ ‫در‬ ‫اشا‬ ‫لیپوزوم‬ ‫با‬ ‫آن‬ ‫آیی‬ ‫کار‬ ‫و‬ ‫ساختاری‬ ‫های‬ ‫شباهت‬ ‫و‬ ‫مقایسه‬ ‫به‬‫ره‬ ‫کردند‬ ‫ن‬ ‫این‬ ‫مولکولی‬ ‫و‬ ‫ساختاری‬ ‫خصوصیات‬ ‫بررسی‬ ‫به‬ ‫مقاله‬ ‫این‬ ‫در‬‫انو‬ ‫همچنین‬ ‫و‬ ‫آن‬ ‫در‬ ‫دارو‬ ‫بارگیری‬ ‫چگونگی‬ ‫و‬ ‫تشکیل‬ ‫نحوه‬ ، ‫ذره‬ ‫موفق‬ ‫تجربیات‬ ‫و‬ ‫ذرات‬ ‫نانو‬ ‫این‬ ‫از‬ ‫دارو‬ ‫سازی‬ ‫رها‬ ‫های‬ ‫مکانیسم‬ ‫اند‬ ‫پرداخته‬ ‫آن‬ ‫از‬ ‫استفاده‬
  • 26.
    … 2008 Karki ‫اسپن‬ ‫با‬ ‫را‬‫ایزونیازید‬ ‫های‬ ‫نیوزوم‬60‫کرد‬ ‫بهینه‬ ‫کلسترول‬ ‫و‬ ‫به‬ ‫دارو‬ ‫داد‬ ‫نشان‬ ‫صحرایی‬ ‫های‬ ‫موش‬ ‫در‬ ‫بافتی‬ ‫توزیع‬ ‫مطالعات‬ ‫احشایی‬ ‫ارگانهای‬ ‫در‬ ‫لیپوزوم‬ ‫نانو‬ ‫شکل‬(‫ط‬ ‫و‬ ‫کبد‬ ، ‫ریه‬ ، ‫کلیه‬‫حال‬) ‫داشته‬ ‫محلول‬ ‫فرم‬ ‫به‬ ‫نسبت‬ ‫بیشتری‬ ‫تجمع‬ ‫است‬ ‫بوده‬ ‫کمتر‬ ‫نیز‬ ‫نیوزوم‬ ‫سمیت‬ ‫آن‬ ‫بر‬ ‫عالوه‬
  • 27.
    Result • Effectiveness inthe treatment of liver toxicity • N-acetyl cysteine<Liposome<Niozome
  • 28.
    ‫شما‬ ‫توجه‬ ‫از‬‫تشکر‬ ‫با‬... ‫گر‬‫باش‬ ‫نخل‬ ‫چو‬ ‫برآید‬ ‫زدستت‬‫کریم‬ ‫ورت‬‫آزاد‬ ‫باش‬ ‫سرو‬ ‫چو‬ ، ‫نیاید‬ ‫دست‬ ‫ز‬ ‫کن‬ ‫نیکی‬ ‫و‬ ‫گیر‬ ‫پیش‬ ‫من‬ ‫نصیحت‬ ‫همین‬ ‫یاد‬ ‫نیکی‬ ‫به‬ ‫کنی‬ ‫مرگم‬ ‫پس‬ ‫از‬ ‫دائم‬ ‫که‬ ‫حضرت‬‫الرحمه‬ ‫علیه‬ ‫سعدی‬... ‫ارائه‬: ‫کرمی‬ ‫صفورا‬