JOURNAL PRESENTATION
Presenter: Dr Mizan Rahaman
Moderator: Dr B.S Nazeer
The prognostic value of the fracture level in the
treatment of Gartland type III supracondylar
humeral fracture in children.
• Bone Joint Journal 2015;97-B:134–40.
• S. Kang,
• M. Kam,
• F. Miraj,
• S-S. Park
INTRODUCTION
• Supracondylar humeral fracture (SCHF) is the most common
elbow fracture in children, more than half of all elbow fractures.
• A supracondylar fracture occurs through the thin part of the distal
humerus above the level of the growth plate.
• Supracondylar fractures are initially divided into two types,
depending on the direction of displacement of the distal fragment.
Gartland classification
Flexion-type (rare) - distal fragment is displaced anteriorly
Extension-type (98%) - distal fragment is displaced posteriorly
INTRODUCTION
• Closed reduction and percutaneous pinning (CRPP) with
Kirschner (K-) wires is the usual surgical option and has been
shown to improve outcomes.
• Many studies report satisfactory clinical outcomes following
SCHF in children.
• Elbow stiffness is less common than in adults.
INTRODUCTION
• However, in some paediatric patients managed surgically, the
elbow range of movement (ROM) never recovers or is slow to
return to normal.
• This is a concern to patients, parents and the surgeon.
INTRODUCTION
• Some studies report that the patient’s age and severity
of the fracture, have prognostic value in predicting the
final ROM of the elbow.
• However, these studies do not discriminate between
conservative and operative management.
• The prognostic indicators for functional and cosmetic
outcomes following surgical treatment, therefore, remain
poorly understood.
INTRODUCTION
• As practically all Gartland III fractures are managed surgically
a more detailed subclassification system is needed to study
prognostic indicators for clinical outcomes.
• On the basis of these observations,we hypothesised that the
level of the fracture may play an important role in
determining outcome.
• Thus, this study subclassified fractures according to whether
they were above or below the isthmus of the distal humerus.
INTRODUCTION
• We performed a retrospective cohort study to determine if
the level of fracture affects the functional outcome of children
with a Gartland type III SCHF who are managed with CRPP.
• We compared clinical and radiological outcomes for patients
with fractures above and below the level of the distal humeral
isthmus using multivariate analysis.
Patients and Methods
• Patient selection.
• We performed a retrospective review of the medical records
of pediatric patients who had undergone CRPP in our
institution for a Gartland type III SCHF following ethical
approval by our institutional review board.
• Time periods 2003 march to 2012 December.
• 284 patients met the inclusion criteria
Patients and Methods
• Excluded criteria –
1. combined fractures or nerve injuries at the time of
injury (n = 19),
2. compartment syndrome (n = 1),
3. flexion type injuries (n = 13),
4. open fractures (n = 4)
5. patients who required open reduction (n = 7).
6. patients who were lost to follow-up within six
months (n = 10).
Patients and Methods
• After applying our exclusion criteria,
• Total -- 230 patients (144 boys and 86 girls,
mean age six years; 1.1 to 15.2).
Patients and Methods
• Surgical technique and post-operative follow-
up.
• A single paediatric orthopaedic surgeon under general
anaesthesia.
• All fractures were reduced then stabilised with two to four
percutaneous 0.062-inch K-wires.
• Generally, two K-wires were inserted laterally and a third K-
wire was inserted medially, with -- by intra-operative
fluoroscopy.
•
Patients and Methods
• A fourth wire was used if necessary to obtain stable
fixation.
• The wires were cut, bent and then buried under the skin.
• After surgery, the elbow joint was immobilised in neutral
rotation and 45° flexion with a temporary splint for one
week
Patients and Methods
• Initial pre-operative visit – antero posterior (AP) and
lateral radiographs of both elbows, as is our routine
practice, in order to use the uninjured side as a
reference intra-operatively.
• All patients were routinely seen at post-operative weeks
one, two, four, six, and ten.
• At post-operative week one, a full cast was applied with
the elbow in neutral rotation and at 90° flexion.
Patients and Methods
• At four weeks, the K-wires were removed under local or
general anaesthesia.
• Following pin removal, active movement of the elbow
was encouraged but passive movement and strenuous
activities were restricted for an additional month.
• No patients received physiotherapy.
Patients and Methods
• Any functional deficit or limitation of movement at 10th
post-operative week ---- continued to review the patient
at intervals of four to 12 weeks.
• patients is discharged when full movement was
achieved.
• The mean follow-up duration was 17.4 weeks.
Patients and Methods
• Data collection.
• To determine the level of fracture, a reference line was
defined on the sagittal radiograph at the isthmus of the
distal humerus, and on the AP radiograph as a line con-
necting the medial epicondyle, the olecranon fossa and
the lateral epicondyle.
 High fractures - defined as those exclusively
above the reference line.
low fractures - below or involving the reference
line.
Patients and Methods
• The level of fracture was identified independently by two
experienced and board-certified orthopaedic surgeons.
• The variables were recorded:
age at surgery, gender,
injured side (right or left),
waiting time for surgery,
operative time,
post-operative loss of reduction,
the duration of immobilisation in a cast,
post-operative complication(s),
level of fracture
Patients and Methods
• Loss of reduction defined --- the change of > 10° of
the Baumann angle or lateral capitellohumeral
angles.
• For the comparison between the low and high
fracture type groups.
• Mean values were used for the time from injury to
surgery, the operative time and duration of
immobilisation.
Baumann angle
Patients and Methods
• Clinical outcomes.
• The recorded clinical outcomes were the duration of
time to restoration of full elbow movement and the
modified Flynn grading at the latest follow-up
• The passive, painless range of elbow movement was
measured with a goniometer at each visit from two
weeks after removal of the cast.
Patients and Methods
• Restoration of full elbow ROM was defined
1. As greater than 10° of hyperextension and
140° of further flexion or elbow flexion/extension to
within 5° of the range displayed by the uninjured
elbow.
2. forearm rotation over 160°.
Patients and Methods
• Radiological outcomes.
• The Baumann angle was measured from a radiograph
taken at the 10th post-operative week and compared
with a radiograph of the uninjured arm.
• The difference between angles was then calculated.
• For statistical analysis, the mean increase in the
Baumann angle was divided into < 5° and ≥ 5°.
Patients and Methods
• Statistical analysis.
• The high and low fracture groups, were compare –
• significance of differences between means follow-up
duration, age, time from injury to surgery, operative time,
immobilisation duration, carrying angle, Baumann angle
were calculated using the independent t-test.
RESULTS
• Complications
1. four cases with superficial infection at the pin site
and
2. one case with radial nerve impairment.
• All the problems with pin site resolved within one week
after pin removal and the radial nerve impairment
resolved by the tenth post-operative week.
• Thus we didn’t consider complication due to low rates
RESULTS
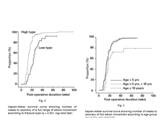
• Prognostic factors
• Low fracture level types
• Age at surgery of ≥ ten years
• These factors associated independently with poor
prognosis.
• The median time to recovery of the full range of elbow
movement for the high and low fracture types was 14.3
weeks and 23.0 weeks respectively.
RESULTS
• Patients under ten years of age recovered
their elbow movement sooner.
• The median times to regaining the full range
of elbow movement in the < five, five to ten,
and ≥ ten year-old groups were 14.0 , 14.3 ,
and 17.1 weeks, respectively.
RESULTS
• Multivariate analysis also found -low fracture
type was the only independent factor
associated with a poor prognosis for recovery
of the Baumann angle at the tenth
postoperative week.
• Similarly, fracture level was the only
independent prognostic factor for the Flynn
grade.
RESULTS
Comparison of high and low fracture type
group.
. Low fractures were more likely in patients over ten
years of age and less likely in the younger age group
of five to ten years.
Patients with the low fracture type also had a longer
follow-up duration.
A less satisfactory Flynn grade
Slower recovery of the ROM of the elbow than the
high-type patients
DISCUSSION
• It is the first to introduce a new subtype classification
system for Gartland type III SCHF - influences the
prognosis.
• Bahk et al previously subtyped the Gartland
classification system on the basis of the configuration
of the fracture and proposed optimal K-wiring sites
and components for each subtype.
• However, associations between these subtypes and
clinical outcomes were not presented.
DISCUSSION
• When considering the results, it is important
to be aware that each of the three outcome
variables was measured at a different time
point.
• The Baumann angle was assessed at the tenth
post-operative week to assess the accuracy of
surgical reduction
DISCUSSION
• As patients were discharged when they had
recovered full function, the Flynn grade was
measured at different times.
• It must keep- that despite a longer follow-up
period, the Flynn grade was worse in low fracture
types.
• Our relatively short mean follow-up (17.4 weeks)
means we are unable to comment on delayed
complications such as growth disturbance.
DISCUSSION
• A single-surgeon series ensured consistency in both
treatment and evaluation but raises a problem for
external validity.
• The most likely explanation for the poorer outcome
in low fracture types is the small distal bone
fragment.
• This makes accurate closed reduction difficult.
DISCUSSION
• The small distal fragment also predisposes the
fixation to be dynamically unstable, risking loss of
reduction in the low fracture type group.
• The nature of the low fracture types means
surrounding tissues such as joint capsules and
ligaments are more likely to be injured.
• This is recognised as an important cause of joint
stiffness
DISCUSSION
• Multivariate analysis revealed that an age of ≥ ten
years was also significantly associated with worse
recovery of elbow movement.
• Older children are thought to have poorer outcomes
following SCHF due to limited potential for
remodelling.
• It is interesting, that patients with low fractures
types were significantly more likely to be ≥ ten years
old than the patients with high-type fractures.
DISCUSSION
• The increase in low fractures with age may be due to
the ossification stage or higher energy injuries.
Sub classification according to the level of the
fracture is beneficial for pre-operative discussion of
expected outcomes with patients and their parents.
• It might also help a surgeon to be aware of the
difficulty in the closed reduction of low types of
SCHF.
DISCUSSION
• conclusion:
• This study shown the classification of SCHF into
high or low types to be a simple and significant
prognostic factor for all three outcomes:
• restoration of the full range of elbow movement,
• the angular deformity at the tenth post-operative
week.
• Flynn grade.
•
DISCUSSION
• Conclusion :
• This will enable patients, parents and
surgeons to understand better and predict
outcomes in this common paediatric fracture
group.
• This it will facilitating perioperative
counselling and directing future research to
improve clinical outcomes.
• Thank you.

Mizanjournaljuly

  • 1.
    JOURNAL PRESENTATION Presenter: DrMizan Rahaman Moderator: Dr B.S Nazeer
  • 2.
    The prognostic valueof the fracture level in the treatment of Gartland type III supracondylar humeral fracture in children. • Bone Joint Journal 2015;97-B:134–40. • S. Kang, • M. Kam, • F. Miraj, • S-S. Park
  • 3.
    INTRODUCTION • Supracondylar humeralfracture (SCHF) is the most common elbow fracture in children, more than half of all elbow fractures. • A supracondylar fracture occurs through the thin part of the distal humerus above the level of the growth plate. • Supracondylar fractures are initially divided into two types, depending on the direction of displacement of the distal fragment.
  • 4.
    Gartland classification Flexion-type (rare)- distal fragment is displaced anteriorly Extension-type (98%) - distal fragment is displaced posteriorly
  • 5.
    INTRODUCTION • Closed reductionand percutaneous pinning (CRPP) with Kirschner (K-) wires is the usual surgical option and has been shown to improve outcomes. • Many studies report satisfactory clinical outcomes following SCHF in children. • Elbow stiffness is less common than in adults.
  • 6.
    INTRODUCTION • However, insome paediatric patients managed surgically, the elbow range of movement (ROM) never recovers or is slow to return to normal. • This is a concern to patients, parents and the surgeon.
  • 7.
    INTRODUCTION • Some studiesreport that the patient’s age and severity of the fracture, have prognostic value in predicting the final ROM of the elbow. • However, these studies do not discriminate between conservative and operative management. • The prognostic indicators for functional and cosmetic outcomes following surgical treatment, therefore, remain poorly understood.
  • 8.
    INTRODUCTION • As practicallyall Gartland III fractures are managed surgically a more detailed subclassification system is needed to study prognostic indicators for clinical outcomes. • On the basis of these observations,we hypothesised that the level of the fracture may play an important role in determining outcome. • Thus, this study subclassified fractures according to whether they were above or below the isthmus of the distal humerus.
  • 10.
    INTRODUCTION • We performeda retrospective cohort study to determine if the level of fracture affects the functional outcome of children with a Gartland type III SCHF who are managed with CRPP. • We compared clinical and radiological outcomes for patients with fractures above and below the level of the distal humeral isthmus using multivariate analysis.
  • 11.
    Patients and Methods •Patient selection. • We performed a retrospective review of the medical records of pediatric patients who had undergone CRPP in our institution for a Gartland type III SCHF following ethical approval by our institutional review board. • Time periods 2003 march to 2012 December. • 284 patients met the inclusion criteria
  • 12.
    Patients and Methods •Excluded criteria – 1. combined fractures or nerve injuries at the time of injury (n = 19), 2. compartment syndrome (n = 1), 3. flexion type injuries (n = 13), 4. open fractures (n = 4) 5. patients who required open reduction (n = 7). 6. patients who were lost to follow-up within six months (n = 10).
  • 13.
    Patients and Methods •After applying our exclusion criteria, • Total -- 230 patients (144 boys and 86 girls, mean age six years; 1.1 to 15.2).
  • 14.
    Patients and Methods •Surgical technique and post-operative follow- up. • A single paediatric orthopaedic surgeon under general anaesthesia. • All fractures were reduced then stabilised with two to four percutaneous 0.062-inch K-wires. • Generally, two K-wires were inserted laterally and a third K- wire was inserted medially, with -- by intra-operative fluoroscopy. •
  • 15.
    Patients and Methods •A fourth wire was used if necessary to obtain stable fixation. • The wires were cut, bent and then buried under the skin. • After surgery, the elbow joint was immobilised in neutral rotation and 45° flexion with a temporary splint for one week
  • 16.
    Patients and Methods •Initial pre-operative visit – antero posterior (AP) and lateral radiographs of both elbows, as is our routine practice, in order to use the uninjured side as a reference intra-operatively. • All patients were routinely seen at post-operative weeks one, two, four, six, and ten. • At post-operative week one, a full cast was applied with the elbow in neutral rotation and at 90° flexion.
  • 17.
    Patients and Methods •At four weeks, the K-wires were removed under local or general anaesthesia. • Following pin removal, active movement of the elbow was encouraged but passive movement and strenuous activities were restricted for an additional month. • No patients received physiotherapy.
  • 18.
    Patients and Methods •Any functional deficit or limitation of movement at 10th post-operative week ---- continued to review the patient at intervals of four to 12 weeks. • patients is discharged when full movement was achieved. • The mean follow-up duration was 17.4 weeks.
  • 19.
    Patients and Methods •Data collection. • To determine the level of fracture, a reference line was defined on the sagittal radiograph at the isthmus of the distal humerus, and on the AP radiograph as a line con- necting the medial epicondyle, the olecranon fossa and the lateral epicondyle.  High fractures - defined as those exclusively above the reference line. low fractures - below or involving the reference line.
  • 21.
    Patients and Methods •The level of fracture was identified independently by two experienced and board-certified orthopaedic surgeons. • The variables were recorded: age at surgery, gender, injured side (right or left), waiting time for surgery, operative time, post-operative loss of reduction, the duration of immobilisation in a cast, post-operative complication(s), level of fracture
  • 22.
    Patients and Methods •Loss of reduction defined --- the change of > 10° of the Baumann angle or lateral capitellohumeral angles. • For the comparison between the low and high fracture type groups. • Mean values were used for the time from injury to surgery, the operative time and duration of immobilisation.
  • 23.
  • 24.
    Patients and Methods •Clinical outcomes. • The recorded clinical outcomes were the duration of time to restoration of full elbow movement and the modified Flynn grading at the latest follow-up • The passive, painless range of elbow movement was measured with a goniometer at each visit from two weeks after removal of the cast.
  • 26.
    Patients and Methods •Restoration of full elbow ROM was defined 1. As greater than 10° of hyperextension and 140° of further flexion or elbow flexion/extension to within 5° of the range displayed by the uninjured elbow. 2. forearm rotation over 160°.
  • 27.
    Patients and Methods •Radiological outcomes. • The Baumann angle was measured from a radiograph taken at the 10th post-operative week and compared with a radiograph of the uninjured arm. • The difference between angles was then calculated. • For statistical analysis, the mean increase in the Baumann angle was divided into < 5° and ≥ 5°.
  • 28.
    Patients and Methods •Statistical analysis. • The high and low fracture groups, were compare – • significance of differences between means follow-up duration, age, time from injury to surgery, operative time, immobilisation duration, carrying angle, Baumann angle were calculated using the independent t-test.
  • 29.
    RESULTS • Complications 1. fourcases with superficial infection at the pin site and 2. one case with radial nerve impairment. • All the problems with pin site resolved within one week after pin removal and the radial nerve impairment resolved by the tenth post-operative week. • Thus we didn’t consider complication due to low rates
  • 30.
    RESULTS • Prognostic factors •Low fracture level types • Age at surgery of ≥ ten years • These factors associated independently with poor prognosis. • The median time to recovery of the full range of elbow movement for the high and low fracture types was 14.3 weeks and 23.0 weeks respectively.
  • 34.
    RESULTS • Patients underten years of age recovered their elbow movement sooner. • The median times to regaining the full range of elbow movement in the < five, five to ten, and ≥ ten year-old groups were 14.0 , 14.3 , and 17.1 weeks, respectively.
  • 35.
    RESULTS • Multivariate analysisalso found -low fracture type was the only independent factor associated with a poor prognosis for recovery of the Baumann angle at the tenth postoperative week. • Similarly, fracture level was the only independent prognostic factor for the Flynn grade.
  • 36.
    RESULTS Comparison of highand low fracture type group. . Low fractures were more likely in patients over ten years of age and less likely in the younger age group of five to ten years. Patients with the low fracture type also had a longer follow-up duration. A less satisfactory Flynn grade Slower recovery of the ROM of the elbow than the high-type patients
  • 38.
    DISCUSSION • It isthe first to introduce a new subtype classification system for Gartland type III SCHF - influences the prognosis. • Bahk et al previously subtyped the Gartland classification system on the basis of the configuration of the fracture and proposed optimal K-wiring sites and components for each subtype. • However, associations between these subtypes and clinical outcomes were not presented.
  • 39.
    DISCUSSION • When consideringthe results, it is important to be aware that each of the three outcome variables was measured at a different time point. • The Baumann angle was assessed at the tenth post-operative week to assess the accuracy of surgical reduction
  • 40.
    DISCUSSION • As patientswere discharged when they had recovered full function, the Flynn grade was measured at different times. • It must keep- that despite a longer follow-up period, the Flynn grade was worse in low fracture types. • Our relatively short mean follow-up (17.4 weeks) means we are unable to comment on delayed complications such as growth disturbance.
  • 41.
    DISCUSSION • A single-surgeonseries ensured consistency in both treatment and evaluation but raises a problem for external validity. • The most likely explanation for the poorer outcome in low fracture types is the small distal bone fragment. • This makes accurate closed reduction difficult.
  • 42.
    DISCUSSION • The smalldistal fragment also predisposes the fixation to be dynamically unstable, risking loss of reduction in the low fracture type group. • The nature of the low fracture types means surrounding tissues such as joint capsules and ligaments are more likely to be injured. • This is recognised as an important cause of joint stiffness
  • 43.
    DISCUSSION • Multivariate analysisrevealed that an age of ≥ ten years was also significantly associated with worse recovery of elbow movement. • Older children are thought to have poorer outcomes following SCHF due to limited potential for remodelling. • It is interesting, that patients with low fractures types were significantly more likely to be ≥ ten years old than the patients with high-type fractures.
  • 44.
    DISCUSSION • The increasein low fractures with age may be due to the ossification stage or higher energy injuries. Sub classification according to the level of the fracture is beneficial for pre-operative discussion of expected outcomes with patients and their parents. • It might also help a surgeon to be aware of the difficulty in the closed reduction of low types of SCHF.
  • 45.
    DISCUSSION • conclusion: • Thisstudy shown the classification of SCHF into high or low types to be a simple and significant prognostic factor for all three outcomes: • restoration of the full range of elbow movement, • the angular deformity at the tenth post-operative week. • Flynn grade. •
  • 46.
    DISCUSSION • Conclusion : •This will enable patients, parents and surgeons to understand better and predict outcomes in this common paediatric fracture group. • This it will facilitating perioperative counselling and directing future research to improve clinical outcomes.
  • 47.