PROJECT REPORT ON
“A STUDY OF SOCIETY’S PERCEPTION TOWARDS THE
USAGE OF ELECTRONIC SECURITY SUVEILLANCE”
IN
ZICOM SAAS PVT. LTD.
SUBMITTED IN PARTIAL FULFILMENT OF THE REQUIREMENT
OF
MASTER OF MANAGEMENT STUDIES
BY
NIKHIL D’SOUZA
ROLL NO 2014035
MMS-II (SEM III)
YEAR 2014-2016
LALA LAJPATRAI INSTITUTE OF MANAGEMENT
MAHALAXMI, MUMBAI – 400034
SUMMER INTERNSHIP PROJECT
SUBMITTED BY
NIKHIL D’SOUZA
ROLL NO – 2014035
MMS – II (SEM III)
YEAR 2014 - 2016
To whomsoever it may concern
This is to certify that Mr. Nikhil D‟souza, student of Lala Lajpatrai Institute of
management has successfully completed his summer internship with our
organization from 10th
may 2015 to 7th
july 2015
His performance in the said project has been good and as per company
expectations.
We wish him all the best in his future endeavors
Yours sincerely,
Melvyn Mathews
Manager – Human Resources
Certificate
This is to certify that the project work titled “A study of society’s perception
towards the usage of electronic security Suvelliance” is a summer internship
work carried out by Mr. Nikhil D’souza.
The project was completed for Zicom SaaS Pvt. Ltd. under the guidance of
Mrs. Samiksha Verunkar
I further certify that the said work has not been submitted in the part or in full,
to any other University.
Date: 31st
August, 2015
_____________________ __________________________
Dr. M. Gowri Shankar Dr V.B. Angadi
Project Guide Director
DECLARATION
I, Mr. Nikhil D’souza, student of Lala Lajpatrai Institute of Management of
MMS II (Semester III) hereby declare that I have completed the summer
internship project on “A study of society’s perception towards the usage of
electronic security Suvelliance” with Zicom SaaS Pvt. Ltd. in the Academic
year 2014 - 2016. The information submitted is true & original to the best of my
knowledge.
Nikhil D’souza
ACKNOWLEDGEMENT
At the outset of this project, I would like to express my profound thanks to a
few people without whose help, completion of this project would not have been
possible.
First and foremost, I would like to express sincere thanks to Zicom SaaS Pvt.
Ltd. for giving me this opportunity to work with them.
The list is endless but to name a few special people, I would like to thank Mr.
Mellwyn Mathews for being extremely supportive and guiding me throughout
my internship and giving me constant motivation and expert advice.
I would also like to thank the entire Mrs. Samiksha Verunkar (HR Team) for
providing me their precious time and making this internship a successful
learning experience.
I am very grateful to Dr. Angadi, Director of Lala Lajpat Rai Institute of
Management, for giving me the opportunity to do this project in Zicom SaaS
Pvt. Ltd.
I would also like to thank Dr. M. Gowri Shankar for being an excellent mentor
and helping me whenever I approached him/her.
Last but not the least; I take pride in thanking my parents Mr. Stanislaus
D’souza & Mrs. Hilda D’souza, siblings and friends for their much valued
support.
EXECUTIVE SUMMARY
Our City Mumbai is witnessing increased crime rate in housing societies. Attack on senior
citizen, women when they are alone and kidnapping of Children/House Break in Theft &
Vandalizing of Motor Car have increased dramatically specially in our area with little or no
evidence of the culprits. We need to take step towards controlling these rampant criminal
activities.
Closed circuit television (CCTV) cameras are now a common sight on public highways and
in shopping malls and arcades. As the number of systems has increased so has their
technological sophistication. But little is known about public opinion towards CCTV or
indeed about how the systems are used by those who install them.
In 1991 the Home Office commissioned a comprehensive examination of public attitudes
towards a number of issues surrounding the use of CCTV including public awareness of
CCTV systems; their perceived purpose and effectiveness; concern over their use and who
the public feel should and who should not be allowed to install CCTV and have subsequent
access to taped material. The results of this work are described in this report.
Further work is now underway looking at the actual effect CCTV systems have on crime and
disorder on the streets.
Keeping in mind the current scenario, Zicom Introduced a new service offering called “ Make
Your City Safe” this initiative has now made the benefits of technology of CCTV
Surveillance System accessible to every housing society without having to purchase or to
own it and made every resident in your society „feel safe‟.
Faced with the demand that they develop more efficacious security measures and find more
cost-effective crime prevention strategies, law enforcement agencies around the globe are,
now more than ever, turning toward technological systems to enhance operational capacities,
extend their reach and reduce costs. In this context, CCTV surveillance systems have been
adopted for use in public spaces in many countries. While these systems were originally
embraced for their deterrent effect on crime and touted for their salutary effects on public
fear, the fact is that no body of scientific evidence actually existed at the time they were
adopted that could either support or refute claims to such effects. Today, the situation is
different: there is a significant body of research on CCTV, though it must be acknowledged
that the literature is still in its nascence and hence, that many questions are left unanswered.
Notwithstanding this caveat, it is quite clear that there is a need for an independent
assessment of the record of evidence in order to determine what we know about the effects of
CCTV. This review is a response to that need and describes what we know about the impact
of CCTV on crime and crime prevention; on the criminal justice system more generally; and,
on the public's feeling of safety.
INDEX
SR.
NO.
CONTENT PAGE NO.
EXECUTIVE SUMMARY
1 OBJECTIVES 1
2 INTRODUCTION 2
3 LITERATURE REVIEW 28
4 RESEARCH METHODOLGY 34
5 DATA ANALYSIS 37
6 FINDINGS 47
7 LIMITATIONS 48
8 CONCLUSION 49
9 RECOMMENDATION 50
10 APPENDIX
11 BIBLIOGRAPHY
1
Chapter No.1
OBJECTIVES
1. To study and analyze the Electronic Security System Market.
2. To study the pitching of electronic security systems (CCTV) on service basis
to different societies.
3. To make society‟s aware regarding the advantages of electronic security
systems (CCTV).
4. To study how to market CCTV service module in society segment.
2
Chapter No.2
INTRODUCTION
Society perceptions of the purpose of CCTV systems:
When asked in the General Survey about the purposes for which CCTV was used,
most respondents‟ first reactions were expressed in very general terms, e.g., “to record
happenings” and many were unable to be more specific. As a result the top three free
responses were very broad descriptors: “security purposes”. There were, however,
some more specific responses from one or two people and these included: “to prevent
terrorists from planting bombs”; “to stop drug dealing in alleyways”; and, “to prevent
people taking part in demos”. In addition, 18% of those interviewed were
unwilling/unable to provide any free response and appeared to have no idea about the
purposes of CCTV without being prompted.
When provided with a list of possible reasons for the use of CCTV, the majority of
General Survey respondents endorsed the detection of crime, prevention of crime and
safety of the society. However, the possibility of it being used in a negative way was
acknowledged by a substantial number of respondents who endorsed the item: “to
detective on society.”
3
INTRODUCTION TO COMPANY
Company Profile
Incorporated in the year 1994, Zicom listed on BSE, is a pioneer in the field of
electronic security in India. With a history of offering high quality products and
solutions to the most complex projects in the country, the name Zicom has now
become synonymous with electronic security in India.
Our sustained growth and success is based on designing and developing unique
concept in making electronic security system and services at our path breaking. In a
short span of less than 2 decades, the company has established as a „leader‟ in the
security domain in distinctive innovation for the rest in the industry to follow.
Zicom has been the first Indian Electronic Security Systems company to:
 Be listed on the Indian Bourses in 1995.
 Pioneered the category of Electronic Security in India.
 Introduce 24 x 7 Zicom Command Centre (ZCC) in 1995.
 Introduce wireless security equipment‟s in the home and retail segment.
 Introduce Security Services called e-SaaS (Electronic Security as a Service).
Our array of products and services which are state-of-the-art, reliable, high-quality
products and solutions such as CCTV Surveillance System, Access Control System,
Fire Alarm System, Multi-Apartment Video Door Phones, Video Door Phone,
Intruder Alarm Systems, Fingerprint Locks and Remote Managed Services (RAM)
using the power of Cloud.
4
Our clientele is a proof of our unparalleled operation excellence. From quality
products to professional after sales services, Zicom has driven the markets with
customer centric focus.
With over 691 crores in annual sales, operations in over 5 countries, 400 cities in
India and over 1 million customer‟s, Zicom is today synonymous with Electronic
Security in India.
Zicom’s Aim
To be a world class, Indian MNC, one-stop-shop for high quality security products
and services.
Zicom’s Vision
To be the Company you Trust the most
To protect what you Value the most
Zicom’s Mission Statement
Zicom is committed to provide safety to customers by continuously developing and
delivering / offering new technologies, innovative products, solutions and delightful
Services,by abiding all its commitments to customers. We will nurture our channel
partners by providing profitable avenues of growth and fulfill responsibilities towards
shareholders by achieving consistent growth in shareholder‟s value and adhering to
fair practices in all its dealings with employees and business partners.
5
COMPANY HISTORY
Zicom Electronic Security Systems (ZESSL) incorporated in 1994, is engaged in the
business of developing security systems. ZESSL is popularly known as Zicom. The
company offers surveillance systems that cater to the security needs of small, medium
and large enterprise.
Being the largest electronic security systems provider in India, the company has
offices located in over 30 cities and town. It has an employee strength of 400 people.
The company have wholly owned subsidiaries Zicom Retail Products (ZRPPL),
UNISAFE Fire Protection Specialists LLC, Dubai and Zicom Manufacturing Co.
(HK).
Zicom Manufacturing Co. (HK) is set up in Hong Kong with an objective to trade
internationally, explore and manage manufacturing facilities
at China, Korea and Taiwan.
Company has clientele namely Johnson and Johnson, Ranbaxy Laboratories, Ashok
Leyland, Star India, iflex Solutions, Reliance Retail, BPL Mobile Cellular, Microsoft
India (R&D), Kingfisher Airlines are among others.
The company is also part of international project namely A3 lumeirah Lake lowers,
The Palm lumeirah phase II & Crescent
Infrastructure, Alwaqra Hospital for Hamad Medical Corp, Daman Building Project
Dubai, votes Limited-Al-Ethihad Towers are among others.
6
Milestones
1994- Zicom Electronic Security Systems was incorporated.
1995- Zicom was first electronic security systems company in India to get listed on
Indian stock exchanges.
1996- ZESSL installed first central monitoring station in India.
1997- The company became first to indigenously manufacture access controller and
fire alarm panel with inherent software capabilities.
1998- The company was first to launch wireless security systems in India.
1999- ZESSL widens its 24x7 Online Alerts Network to various cities.
2000- Zicom entered into agreement with Motorola and Schlumberger for smart card
business.
2002- The company received the Computer Associates, US Smart certification for
intelligent Door Controller. The same year, it became the first to manufacture
Biometric based Access Control System integrated with Smart Cards.
2003- It was the first company in Electronic Security Industry in India to start a Toll
Free Number, 1600 22 4567.
2004- The company became the first to launch service scheme 'Z-Security'.
2005- It entered in joint venture in UAE in order to foray international markets.
7
2006- Zicom became 1st
in India to launch Retail Electronic Security Showrooms that
has a pan-India presence.
2007- Company increased its capacity by acquiring UNISAFE Fire Protection
Specialists LLC, Dubai.
2008- Company formed a joint venture with CNA Group to form Zicom CNA
Automation, an expert in Integrated Building Management System and connected real
estate
Outlook
Zicom Electronic Security Systems was awarded two orders worth 50 million rupees
from the Chandigarh police department for Chandigarh City Surveillance project and
for the city's border surveillance project
8
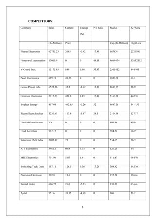
COMPETITORS
Company Sales Current Change
(%)
P/E Ratio Market 52-Week
(Rs.Million) Price Cap.(Rs.Million) High/Low
Bharat Electronics 62755.23 2085 -0.62 17.85 167836 2320/895
Honeywell Automation 17069.9 0 0 48.13 46694.74 5385/2312
V-Guard Inds. 15175.63 846 0.98 33.47 25014.12 844/403
Pearl Electronics 689.19 49.75 0 0 9833.71 61/13
Genus Power Infra 6523.36 33.2 -1.92 13.11 8687.97 38/9
Centrum Electronics 2917.73 421.8 1.85 17.41 5167.98 442/76
Swelect Energy 497.08 462.65 -0.26 32 4687.59 541/150
ZicomElectn.Sec Sys 3230.63 117.6 -1.67 24.5 2104.94 127/37
LinaksMicroelectron NA 0 0 0 806.96 49/0
Hind Rectifiers 967.17 0 0 0 784.52 66/29
Solectron EMS India 2205.82 73 0 0 534.65 76/72
JCT Electronics 3461.1 0.68 3.03 0 520.25 1/0
MIC Electronics 701.96 5.07 1.6 0 511.47 08-Feb
Switching Tech. Gunt 117.11 126.5 0.36 17.26 308.82 145/20
Precision Electronic 202.8 18.6 0 0 257.58 19-Jun
Samtel Color 666.73 2.61 -3.33 0 230.81 03-Jan
Aplab 951.6 39.15 -4.98 0 206 51/21
9
PRODUCTS
There has been a considerable growth in recent years in the use of Closed Circuit
Television Systems (CCTV) in sites to which the public has free access, and there has
been much debate over the deployment and possible regulation of such systems.
However, there is surprisingly little independent research that directly asks the
following:
Are such systems acceptable to the public?
What is their effectiveness?
Effectiveness in respect of the reduction of crime and disorder is the focus of a second
research programmed that is currently being undertaken for the Home Office. This
report focuses on potential public concern and the perceived effectiveness of CCTV.
That there has been concern in some quarters is evident from the following:
“Video surveillance … touches on a wide range of civil liberty issues including
privacy, free association, and the democratic accountability of the police and other
institutions … We need to reduce the risk of abuse before it is too late.”
Nevertheless, it is clear that any expressed concern is always qualified by reference to
the situation in which the cameras are used, the reasons for their use and the degree to
which this is covert. At one extreme there is the covert surveillance of individuals in
their own homes, for which the 1984 Police and Criminal Evidence Act recommends
regulation by statute. At the other extreme there is the widely accepted use of CCTV
in such places as Building Society branches. Indeed, the Liberty briefing document
referred to above allows that “… in many of its applications video surveillance is
accepted as useful and even necessary”.
10
At present, there are no statutory controls on the use of CCTV in public places, and
the existing Home Office guidelines (Home Office Circular, 1984) are now generally
acknowledged to be inadequate: they focus primarily on audio surveillance and there
is only one specific recommendation on the general visual surveillance of public
places.
This is simply that the “Chief Constable should satisfy himself that the use of the
equipment will not involve any unwarrantable intrusion of privacy”. Guidelines
emanating from the private sector are no more detailed: the 1988 BSIA (British
Security Industry Association) Code of Practice for CCTV refers to technical matters
only and the amended version (June 1990) only suggests “that there is no undue
intrusion to the public‟s general right to privacy”. The lack of Home Office guidelines
specifically designed for visual surveillance has also led to some frustration within
parts of the police service itself. A recent ACPO working party comments.
“There seems to be an unnecessary caviling in the (1984) guidelines, which may well
have been in step with public opinion concerning listening devices but seems
unnecessary in respect of photography in public places at least”. (ACPO report cited
in Police Review, p.1916, September 1989)
Moreover, in respect of collecting reliable evidence for potential prosecution, the
same working party argues that:
“The camera, recording in a public place, sees no more nor less than a plainclothes
officer sees and is certainly a more accurate record. There is no reason why conduct in
a public place should entail rights of privacy.” The lack of guidelines coupled with
unsupported assumptions about public opinion has led to ad hoc developments in
respect of written codes of practice. No matter how helpful such guidelines may be,
they necessarily reflect local pressures and factors unique to the particular system in
11
question. For example, the constructive and often cited code developed by the Norfolk
Police Committee (1990) provides detailed advice on tape storage, but provides no
guidance on how to ensure adequate consultation prior to the installation or the
enhancement of CCTV. Nor does the Norfolk code give guidance on the reporting of
CCTV related incidents.
In addition, the Norfolk code is not designed for CCTV schemes where police
involvement is relatively insignificant, or where the primary role of a scheme is not
crime control, but serves some other management function. The position in respect of
advice on the deployment, effectiveness or control of CCTV systems is further
complicated by the sheer variety of schemes in operation. At a technical level,
systems ranged from a handful of humble, fixed black and white cameras with no
recording facilities to state-of-the-art pan tilt zoom combinations of colour and black
and white cameras with multiplexed and alternative recording options in purpose built
control rooms. In terms of collaboration between lead agencies‟ and others, notably
the police, there are very different operating practices.
Most schemes retain close contact with the police, but there are also some where there
is no formal acknowledgement of police involvement whatsoever. Existing systems
are continually updated, so any controlled evaluation of technical or organizational
changes in the use of CCTV is complex. Moreover, developments in CCTV typically
form part of a package of other changes relating to security and more efficient
management. Finally, the generally held assumption that CCTV is all about crime
control is also unfounded. The CCTV managers sampled in this research usually saw
CCTV as part of a relatively wide ranging organizational initiative. Four closely inter-
related aims for such change are identified by managers: efficient management, public
12
reassurance and increased customer flow as well as crime control. An evaluation of
public concern and the perceived effectiveness of CCTV must take the above factors
into account.
ADVANTAGES OF CCTV CAMERA IN THE SOCIETY
The debate on CCTV cameras over whether they intrude on public freedom or
whether they act as a deterrent for criminals is irrelevant if you do not know how to
measure the effects of the technology. What good is it debating the dangers of a lack
of citizens‟ freedoms if CCTV does not protect citizens? If we accept losing a bit of
liberty, it‟s so as we can be better protected. Certainly, the predictions of George
Orwell in 1984 are definitely wrong: in our society, there is no “thought police”, in
fact the opposite: freedom of expression is greater in Europe and in the United-States
than anywhere else in the world. It may be that CCTV doesn‟t take any of our
freedoms away, but if it doesn‟t help to improve the citizens‟ protection, the citizens
still do not win: it is they who pay taxes or pay through the products they buy (bus
tickets or for parking). The citizens‟ keen interest in a measure which is going to
prove useless will not last. We need serious evaluations to understand what works. In
the majority of cases, CCTV systems are installed based on personal experience or
advice (“Someone told me that they thought that this system worked”), but also from
a vague belief (“this should have an effect since „we can see better”‟), or a small study
(“in such a road in a given city there was a reduction in crime following the
installation of a CCTV system”). Only resorting to independent evaluations focused
on established methods will be able to establish whether installation would be
advisable. This is important. The money spent on CCTV cannot be spent elsewhere,
and if it doesn‟t work, this money has been wasted, and the community will be
deprived of the reduction in crime that there were expecting. The public is not going
13
to be happy for ever with good intentions or good will (if CCTV is installed, it‟s
because the administration or local elected representative are really trying to tackle
the problem). The greater the security, the lower the crime rate: this is what the
community is looking for.
There are lots of “pitfalls” in these apparently convincing demonstrations, the most
common being the lack of any references. Let‟s look at an example. Today, crime is
falling in certain communes. The council newspaper in one of these explains that
with this fall, crime has reached a level which is “the lowest seen in 10 years”. As this
breakthrough happened after the installation of a CCTV system, temptation would be
to conclude that the system is very effective, and that “I believe what I see”. But the
problem with this evaluation is that the neighboring commune, which does not have
CCTV cameras in its streets, has seen the same decrease. Thus in order to see if
CCTV brings a possible benefit, we must be able to compare the changes in the places
studied (streets, car parks, schools etc…) and other comparable places (streets, car
parks, schools etc…) and in which this technology has not been installed. This is
known as the “control condition”.
What do we definitely know if we only look at a summary of the most indisputable
studies? Firstly, CCTV can theoretically have three different effects: marginally lower
crime rates, higher crime rates, or neither of these. In practice, we see all three
occurring.
First of all, the lack of effect. We know that CCTV can help lower crime rates in
different ways (by making criminals think that it‟s too risky, by sending police to
where a crime has been spotted by the cameras, and by drawing the attention of
citizens to a threat which makes him take more precautions for example). In certain
cases there are no effects whatsoever, whatever crime we look at (thefts, violence,
14
vandalism etc.).Secondly, the positive effect. When looking at places which have
CCTV (compared to areas which are inspected), evaluation shows that a reduction in
crime, when there is one, is minimal, and in certain cases is so low that it is barely
noticeable.
The studies found that crime was reduced by the order of two percent, in particular in
residential areas or in city centers. This reduction is completely negligible, especially
taking into account the amount invested.
The fact that the users (national and local police forces for example) find the system
practical is another question: they have the impression that it guarantees effectiveness
as they “look at the screen and they intervene”. Evaluation is there to remind them
that this is not the opinion of the people who analyses the effectiveness of the
measure.The only strong positive effects are from CCTV systems in car parks, and
even this does not concern physical thefts and attacks. We will come back to this
point.
We cannot forget the negative effects, i.e. the opposite to what was expected: a rise in
crime. In the city centers, out of five evaluations, three showed a negligible
improvement of 2%, and two others had an “undesirable” effect. On public transport,
two evaluations also showed a small improvement, one with no effect and one with an
opposite effect to the desired one. In London, in Oxford Circus underground station,
after 32 months in operation, violent crimes have increased by almost half (47%), thus
twice that of the “inspected” (no CCTV) station on Tottenham Court Road! When all
these evaluations are collected together, if we calculate an average, we will not see a
significant impact on crime levels. We are not condemning CCTV in principle, but
judging it on the facts. It can improve situations, under very restrictive conditions,
15
and for specific types of crimes. This is the case for car parks, as we have already
said. At times, installing CCTV in a car park reduces up to 40% thefts from cars. But
not thefts of vehicles. We do not know exactly why, nor whether this is achieved by
the CCTV cameras or if other factors contribute.
In fact, in the evaluations which saw an improvement in security in car parks, the
manager had taken other measures such as improving the lighting, or police patrols
had more often passed through the area. If the lighting and the patrols are enough to
explain the improvement, these should be favored, as they cost less. After all, the
police can easily be deployed when and where crime happens. Not cameras.
Finally, the evaluation reports concerning the improvement of lighting show that this
has a better increase on crime with a decrease of twenty percent in the number of
crimes. More powerful public lighting could reduce crime more than CCTV; that is
one of the lessons from these evaluations!
Furthermore, the studies note the effects of transferals, in time and in space. When
cameras do not operate all the time, crimes are committed when the system is shut
down. When an area is monitored, there are effects which may increase crime in the
neighboring area. Inside car parks in Hartlepool, Bradford and Coventry have been
equipped with CCTV and the number of crimes has dropped. But, if we look at the
changes in the number of crimes in all car parks, inside and out, crime continues to
rise. More precise studies are necessary if we want to know if overall (prevented
crimes minus transferred crimes) citizens have lost out.
The debate today is far from the issue of car parks: it‟s about extending the
miraculous solution of technology to public spaces (schools, shopping centers, streets
in city centers). Today, Great Britain is a country which has greatly developed this
16
option. In the United States, this has not happened, which has not prevented the
country from experiencing a sharp drop in the crime rate. In France, there are around
ten times less cameras in public areas than in Great Britain, which doesn‟t it from
having a lower level of violent attacks than Great Britain.
These results, and above all those from independent scientific evaluations, give
elected representatives and managers a lot to think about and consider before a lot of
money is invested: CCTV systems are not magic wands – quite the opposite. We can
work out how much CCTV costs, and we can also say that it does not lead to
significant improvements. Do we want to communicate to the citizens by using
technology as a clear symbol of determination, or do we want to reduce the risk of
being a victim and increase the number of criminals who are caught?
SaaS (Security as a service) tools
Zicom uses the power of Internet for all its innovations in the field of services. All
services provided by it are Internet connected with the Zicom Central Command
Centre which not only monitors each and every activity inside the store/warehouse,
but also reports them back to their end customer through E-services connected via
Internet to the Zicom Command Centre. It provides information such as opening and
closing time of an establishment, any trouble in the system and alarm conditioning.
E-sense, is another vital service provided by Zicom and which primarily relates to fire
alarm. It amazingly senses any outbreak of fire and then sends alert telephonically to
the Zicom Central Command Centre which in turn, alerts customers through SMS or
telephonic calls.
17
What makes Zicom services unique is that they come without any capital expenditure
liability. There is zero investment on equipment, 24X7 surveillance is available, latest
technology introduced with automatic software upgrades, customized security
solution at all points of time along with complete technical support. And, there are
simple payment options. And, that is what makes Zicom so different from its
competitors.
18
PRODUCTS
Zicom CCTV Surveillance System
PRODUCTS
Zicom CCTV Surveillance Systems
KEY FEATURES:
• 1/3″ Sony CCD image sensor
• 2.8-12 mm lens
• 700 TV lines of resolution
• Digital day/night improves the camera’s low light sensitivity
• 90′ IR range
• IP66 weather rated
• BNC analog video output
• Operates on 12 Vdc @ 450 mA
• Built-in OSD
19
PRODUCTS
Zicom CCTV Surveillance Systems
KEY FEATURES:
• 1/4" Sony CCD
• 36x optical zoom
• 700TVL high resolution
• Up to 100m IR range
• 3D DNR, D WDR
• IP66 rating
• 3D intelligent positioning
20
PRODUCTS
Zicom CCTV Surveillance Systems
KEY FEATURES:
• 3 megapixel high resolution
• Low illumination
• 3D DNR & DWDR & BLC
• IP66 rating
• IR range: up to 50m
• True day / night
21
PRODUCTS
Zicom CCTV Surveillance Systems
KEY FEATURES:
• 1/2.5‟‟ progressive scan CMOS
• Up to 5 megapixel resolution
• Full HD 1080P real time video
• H.264 / MPEG4 / MJPEG video compression
• True day / night
• Two-way audio
• PoE
• Wi-Fi optional
22
PRODUCTS
Zicom CCTV Surveillance Systems
KEY FEATURES:
• 3 megapixel high resolution
• Low illumination
• 3D DNR & DWDR & BLC
• IP66 rating
• IR range: up to 50m
• True day / night
23
PRODUCTS
Zicom CCTV Surveillance Systems
KEY FEATURES:
• H.264 video compression
• 1920×1080P resolution real-time recording
• 4/8 HD-SDI interfaces input
• HDMI and VGA output at 1920×1080P resolution
• 4/8-ch synchronous playback
• HDD quota and group management
• Dual Gigabit network interfaces
24
SERVICES MODEL OF ZICOM
SERVICES ECONOMY VALUE PREMIUM
Free Equipment   
Free System Maintenance   
Free Spares Replacement   
System Upgrade   
Event Retrieval   
Free Software Upgrades   
Daily Video Health Check   
Hard Disk Full Notification   
Hard Disk Failure Alert   
Alert on Illegal Tampering   
Video Masking of Camera   
Dedicated Relationship   
Visitor Pass Management   
25
BRIEFING OF SERVICES MODEL
 Free Equipment:
Under this service pack we are providing the free equipment to the societies and we
charge certain amount per month on it. The equipment‟s are Dome cameras for inside
the building, Bullet cameras for outside the building, DVR, Monitor, Zicom CCTV
surveillance indication board, 1 TB Hard disk.
 Free System Maintenance:
Under this we have maintain whole system of cameras, which is set up in a society.
 Free Spares Replacement:
Zicom will be taking care of all equipment‟s, which were installed in societies. If we
found any problem arise in any equipment then that equipment will be repair or
replace within 24 hours.
 24x7 Toll Free Support:
We have available toll free number which is Call=1-800-270-8888 and SMS=58888,
to the society. If any problem arise in the society regarding cameras they can call at
any time because this toll free number run by 24x7.
 System Upgrade after 48 Months:
As technology has change day by day so that we are upgrade the system as like DVR,
cameras, hard disk etc. after 48 months.
26
 Event Retrieval for Forensic Purposes:
If any incident happens in the society and society demand for the footage then our
technical team will provide them that particular video footage of incident. And this
footage will hand over to the society chairman.
 Free Software Upgrades:
In that we keep upgrade software after certain period. Due to changing the technology
we change our software also.
 Daily Video Health Check:
Under this service we have check daily video health check, There are certain code has
been given behind each equipment, which is directly connecting to the technical
department, those who taking care of all equipment‟s via server, whether video has
been properly recorded or not, Is there any problem arises in cameras which will be
directly indicates to the technical department.
 Hard Disk Full Alert:
There is an alert facility has been given to the customers. After 15 to 20 days hard
disk will get full. So it gets full, 2 to 3 days before we inform them that your hard disk
will get full with 3 days whether you want to save it in Pen drive or CD etc. If they
are not save it then it will be automatically deleting on next day of hard disk full.
27
 Hard Disk Failure Alert:
There is another alert system given to the customers and that is hard disk failure,
ultimately this is electronic things which are going to spoil somewhere else. So,
whenever any problem will arise in hard disk then it will give alert to the contact
person of the society and to the technical department which will went to that society
and immediate replace it.
 Alert on Illegal Tampering of Video:
If anyone is tampering a video means editing or deleting of video which is recorded
then the alert is send on tampering of videos.
 Video Masking of Camera:
If anybody intentionally masking on camera by cloths or any then it will directly give
alert to the society contact person. The Zicom provides sensitive cameras which have
sensor, directly indicate to technical department and the contact person of the society.
28
Chapter No.3
REVIEW OF LITERATURE
The review shows that the effects of CCTV on crime are both quite variable and fairly
unpredictable. Deterrence effects of CCTV are not constant over time and they vary
across crime categories. For example, CCTV systems appear to have the least effect
upon public disorder offences. The magnitude of deterrence effects appears to depend
on location: the greatest effect appears to occur in car parks. Furthermore, the cameras
do not need to be operational for deterrence effects to be observed. The deterrence
effects of CCTV are highest when it is used in conjunction with other crime reduction
measures and when tailored to the local setting. Finally, while deterrence effects have
been shown before the cameras are operational, continuing publicity is required to
maintain the effects?
With the recurring terror attacks, increase in incidents of rape and molestation
burglary and theft in Mumbai and other cities across the country. Security is every
sense of the word has become very important for India‟s business and non-business
sectors. The security lapses were more than unfortunate for India as they indicated a
serious gap and sense of apathy toward the importance of the deployment of new age
security systems. However, in the face of dissuading factors prevailing in the country,
the security solutions services industry in India is fast growing at an average of 20%.
That number is likely to go all the way up to 35% over the next four to five year.
Security is now the topmost concern of many companies.
29
A Burgeoning Industry
Right now, India‟s domestic security industry, which includes man-guarding
electronic security, cash in transit, and consulting, is estimated to be around Rs.22000
crores. If conservatively estimated, according to the associated chambers of
commerce and Industries of India.
(ASSOCHAM), the India security services industry is expected to reach Rs. 40000
crores. By 2015, thus making it one of the top ten security markets in the world.
Which include homeland security and equipment purchase by government and private
sectors to across Rs. 54000 crores by 2016.
Towards Tech-enabled Security Solution
Now security premises means more than placing a few surveillance cameras and
access control and tracking devices like RFID‟s. The new generations of security
systems are IP-enabled for interoperability and connectivity and demand a great deal
of expertise and experience in deployment of IT infrastructure solutions “India‟s
dominance in the IT solution and services space can help India overcome this gap.
New age security service leverage the capabilities of IT to integrate security in a truly
seamless manner”, says on analyst.
30
Public concern over CCTV systems
The nature of these worries varied, but the majority of responses related to one of six
Main issues:
(i) Controllers might „look for‟ incidents to justify installation costs
(ii) Controllers of CCTV might abuse the system
(iii) Once installed, CCTV might be used in covert ways
(iv) There was a general unease at „being watched‟
(v) CCTV „evidence‟ might be misleading
(vi) There may be a gradual erosion of civil liberties
Data from the general survey and the group discussions are also relevant to a
discussion of these six issues.
Controllers might ‘look for’ incidents to justify installation costs
Some participants in the group discussions felt that the pressures to demonstrate the
effectiveness of having a CCTV system installed, in terms of dealing with potential
crime/incivilities, may lead to those monitoring the cameras over-scrutinizing
particular groups – e.g., young black males, “scruffy people” – without due cause.
Group participants commented that “such selectivity is dangerous” in terms of
potential infringement of civil liberties.
31
CCTV ‘evidence’ might be misleading
This issue was discussed extensively by participants in the group sessions. It was felt
quite strongly that there was potential for what was seen on CCTV monitors/
videotapes to be misleading as inappropriate inferences could be drawn from
inadequate information (e.g., poor picture quality, lack of sound, small monitoring
screen) and could be further compounded by the people monitoring the activity
operating on stereotypical expectations (e.g., grouping of young males = gang of
troublemakers) which could lead to „innocent‟ actions being misinterpreted. Of
particular concern to participants in the youth groups was the notion of being „guilty
by association‟ if seen talking to someone who has previously been in trouble with the
police.
One other concern raised in several of the group discussions was the potential for
videotapes to be tampered with and then presented as evidence under the banner that
“the camera does not lie”.
Fear of Crime levels and public concern
In respect of „Fear of Crime‟ (FOC): „Do you ever worry about the possibility that
you or anyone else who lives with you might be the victim of crime?‟, there were no
significant associations with worries over CCTV or whether or not it would be
welcome in the street sites. However, when the more sensitive measure of FOC is
used higher FOC was associated with lower concern over CCTV.
32
Public concern in sites with CCTV and in sites without CCTV
There was no statistically significant difference between „with‟ and „without‟ sites in
terms of those who had worries about CCTV street installations. It might have been
expected that those in sites with CCTV may have had some of their fears either
allayed or substantiated by experience. However, a possible explanation for the lack
of difference is that only around one third of those in each of the „with CCTV‟ sites
reported they were aware of the CCTV system being in place prior to being
interviewed.
As such they were in the same position as those in the „without CCTV‟ site, in that
they were considering a new idea, rather than reporting attitudes formed through
experience. Further analysis revealed that people who already knew about the
existence of the systems were more worried about its use compared to those who
learned of its existence at the interview.
For each of the Site Specific Surveys, more people expressed concern about the use of
CCTV in „other places‟ than had expressed concern in that particular site. This was
most marked for shopping centers where only 4% had worries within the site, but
17% had worries about CCTV installation elsewhere. The highest figure was from the
small night time sample of sixty – 29% expressed concern over the fitting of CCTV
camera in other places. An explanation for these findings relates to the types of „other
places‟ respondents cited as causing concern about the possible installation of CCTV:
places of entertainment such as pubs, restaurants, cinemas and residential areas. In
such cases, CCTV was seen as a potential invasion into home and social life rather
than the „business‟ of city centre streets and shopping centers.
33
SECURITY SURVEILLANCE MARKET: AN OVERVIEW
 Globally the security industry is estimated at $200 billion growing at the rate of 14%
a year.
 The US market alone accounts for 42% of that, following by western European
market at 26%, and Asia-Pacific at 12%-13%.
 By 2015 India will command a market share of 4%, thus making among the top 10
markets for security.
 Indian electronic security market is currently estimated at $450 million which will
grow at 25% over the next four years.
 Video surveillance will take a lead with $250 million, followed by access control at
$140 million, intrusion alarms at $10 million and other peripherals at $50 million.
34
Chapter No.4
RESEARCH METHODOLOGY
Primary Data:
GENERAL SOCIETY SURVEY
Sample Size (N) = 70
Sampling method = Purposive sampling method
Type of Study:
Descriptive Research: Descriptive research includes survey and fact finding
enquiries of different kinds. The major purpose of descriptive research is description
of the same of affairs as it exists at present. Descriptive research is used to describe
characteristics of a population or phenomenon being studied. It does not answer
questions about how/when/why the characteristics occurred. The characteristics used
to describe the situation or population are usually some kind of categorical scheme
also known as descriptive categories. For example, the periodic table categorizes the
elements. Scientists use knowledge about the nature of electrons, protons and
neutrons to devise this categorical scheme. We now take for granted the periodic
table, yet it took descriptive research to devise it. Descriptive research generally
precedes explanatory research. For example, over time the periodic table‟s description
of the elements allowed scientists to explain chemical reaction and make sound
prediction when elements were combined.
35
SCOPE OF STUDY:-
 This report is based on the study conducted at the Bombay Central, Agripada, and
Mahalaxmi.
 It aims to understanding the society‟s perception towards electronic security system.
 It aims to spread awareness of crimes happening in societies without CCTV camera.
Data sources:
Research is totally based on primary data. Secondary data can be used only for the
reference. Research has been done by primary data collection, and primary data has
been collected by interacting with various people. The secondary data has been
collected through various journals, websites and some special publications.
36
Data Collection Method:
Primary Method
Survey Method: The Survey method is the technique of gathering data by asking
questions to people who are thought to have desired information. A formal list of
questionnaire is prepared. Generally a non-disguised approach is used. The
respondents are asked questions on their demographic interest opinion.
Data Collection Tool:
The questionnaire was prepared and administered to collect the relevant primary data.
The data collection method was based on Questionnaire.
Secondary Method
The secondary data has been collected through various books, newspapers, journals,
online articles and some special publications.
37
Chapter No.5
DATA ANALYSIS& INTERPRETATION
1] Is electronic security systems are important in societies?
No. of Respondent
Societies Yes No
70 56 14
Above table shows:
According to survey 80% societies responded that “Yes” it is important to install
Electronic Security Systems in different societies and 14 societies responded “No”
that is because they are unaware about the crimes happening in different societies.
80%
20%
Yes No
38
2] Does CCTV affect the way you behave?
Above table shows:
According to survey 90% societies responded that “Yes” CCTV will affect the way of
behavior in society and 10% societies responded “No” that is because they are
unaware about the importance of CCTV cameras.
90%
10%
Yes No
No. of Respondent
Societies Yes No
70 63 7
39
3] Do you think CCTV controls societies and invades privacy?
Above pie diagram shows:
According to survey 80% societies responded that “Yes” CCTV can control crimes in
society and 15%societies responded “No” that it will not control because they are
unaware about the importance of CCTV cameras and 5% societies responded that
they Don‟t know.
80%
15%
5%
Yes No Don't Know
No. of Respondent
Societies Yes No Don’t Know
70 56 11 3
40
4] Does CCTV make you feel safer?
Above table shows:
According to survey 50% societies responded that “Yes” CCTV can make you safer
in the society and 40%societies responded “No” that it will not because they are
unaware about the importance of CCTV cameras in society and 10% societies
responded that it Doesn‟t effect on safety.
50%
40%
10%
Yes No Doesn't Affect
No. of Respondent
Societies Yes No Doesn’t Affect
70 35 28 7
41
5] Does CCTV affect the risk of crime?
No. of Respondent
Societies Yes No Don’t Know
70 35 28 7
Above table shows:
According to survey 50% societies responded that “Yes” CCTV will affect the risk of
crime in the society and 40%societies responded “No” that it will not because they are
unaware about the importance of CCTV cameras in society and 10% societies
responded that they Don‟t know.
50%
40%
10%
Yes No Don't Know
42
6] How do you think crime in surrounding areas is affected by
CCTV?
No. of Respondent
Societies Reduce Increase
70 49 21
Above table shows:
According to survey 70% societies responded that “Reduce” CCTV will helps to
reduce the crimes in the society and 30%societies responded “Increase” because they
are unaware about the crimes happening in society.
70%
30%
Reduce Increase
43
7] Do you think the societies would be safe without CCTV?
Above table shows:
According to survey 80% societies responded that “Yes” CCTV would make safe
people in the society and 20%societies responded “No” that it will not because they
are unaware about the importance of CCTV cameras in society.
20%
80%
Yes No
No. of Respondent
Societies Yes No
70 14 56
44
8] Does CCTV affect different crimes in different ways
No. of Respondent
Societies Yes No Neutral
70 21 6 43
Above table shows:
According to survey 30% societies responded that “Yes” CCTV will affect the
different crime‟s in different ways and 9%societies responded “No” that it will not
because they are unaware about the importance of CCTV cameras in society and 61%
societies respondents are “Neutral” that they Don‟t know.
30%
9%
61%
Yes No Neutral
45
9] How does CCTV affect society safety?
Above table shows:
According to survey 70% societies responded that “Detect crime” CCTV will detect
the crime happening in the society and 30%society‟s responded “Deters crime” that it
will not because they are unaware about the importance of CCTV cameras in society.
70%
30%
Detect Crime Deters Crime
No. of Respondent
Societies Detect crime Deters crime
70 49 21
46
10] Does CCTV affect victimization?
Above table shows:
According to survey 80% societies responded that “Yes” CCTV will affect the
victimization and 20%societies responded “No” that it will not affect the
victimization because they are unaware about the importance of CCTV cameras in
society.
80%
20%
Yes No
No. of Respondent
Societies Yes No
70 56 14
47
Chapter No.6
OBSERVATION/ FINDINGS
 80% of the societies say that electronic security (CCTV) is important and 20 %
societies say, it need not require.
 7 societies said CCTV surveillance will not affecting on behavior of resident. 63
societies said CCTV surveillance will affecting on behavior of resident. 56 societies
said CCTV surveillance will control societies.
 11 societies said that CCTV surveillance will not control societies. 3 societies said,
we don‟t know about it. 35 societies said CCTV surveillance will make safe societies.
 28 societies said CCTV surveillance will not make feel safe. 7 societies said, it
doesn‟t make them feel unsafe. 35 societies said CCTV surveillance will be effect on
risk of crime.
 28 societies said CCTV surveillance will be no effect on risk of crime. 7 societies
said, they don‟t know. 49 societies said CCTV surveillance will effect on
surroundings.
 21 societies said it will increase crime in surrounding. 56 societies said without CCTV
societies would not be safe. 14 societies said yes it will be safe without CCTV. 21
said CCTV does affect different crimes in different ways.
 6 societies said it will not affect society safety. 43 societies are neutral. 49 societies
said CCTV surveillance will affect society safety. 21 societies said it will not affect.
56 societies said CCTV surveillance will affect victimization. 14 societies said it will
not affect the victimization.
48
Chapter No.7
LIMITATIONS
1. Time limit was a major constraint
2. The survey was made only of South Mumbai.
3. Sample size of questionnaire is 70 which was very small and was not enough to study
the society perception towards the usage of CCTV surveillance.
4. The questionnaire was filled by one person of each society on behalf of society.
5. At the time of research the security guard was not allowing to enter society.
6. As per company many information was not disclosed.
7. Respondent were not sincere and careful to fill up the questionnaire so we cannot find
right solution.
49
Chapter No.8
CONCLUSION
Currently, CCTV has a broadly positive reception from societies and the levels of
concern are not high and CCTV is assumed to be effective in crime control. However,
public acceptance is limited and partly inaccurate knowledge of the functions and
capabilities of CCTV systems in societies. There may be a need for guidelines that
will make possible an informed society for acceptance of CCTV through fuller
consultation and the provision of information. There is also a need to encourage
operational procedures that will maximize the effectiveness of CCTV and minimize
any threat to civil liberties which may arise from either messy practice or the
deliberate misuse of such systems. Any guidelines must anticipate future problems
due to the production of CCTV systems, and the pace of technological development
which allows increasingly powerful forms of surveillance.
50
Chapter No.9
RECOMMENDATION
The company needs to spread awareness among the societies regarding the usage of
CCTV cameras. They have to conduct seminars and event for spreading awareness.
Company need to use more promotional strategies to promote the products. They need
to give live demonstration of CCTV cameras to societies and shown them importance
of CCTV cameras.
Chapter No.10
ANNEXURE
1] Is electronic security systems are important in societies?
 Yes
 No
2] Does CCTV affect the way you behave?
 Yes
 No
 Don’t know
3] Do you think CCTV controls societies and invades privacy?
 Yes
 No
 Don’t know
4] Do you think CCTV is needed in order to detect and deter crime and for
public safety?
 Yes
 No
 Don’t know
5] Does CCTV affect the risk of crime?
Yes
No
Don’t know
6] How do you think crime surrounding areas is affected by CCTV?
Reduce
Increase
7] Do you think the societies would be safe without CCTV?
Yes
No
8] Does CCTV affect different crimes in different?
Yes
No
Neutral
9] How does CCTV affect Public Safety?
 Detects Crime
 Deters Crime
10] Does CCTV affect victimization?
 Yes
 No
LIST OF SOCIETIES WHERE SURVEY WAS CONDUCTED
Sr No Names of Societies Visited
1 Deeplaxmi Tower
2 United
3 Sunshine
4 Nilgiri
5 Aazad House
6 Sapna Castle
7 Nazmeen
8 Elite Residence
9 Yusuf Manzil
10 Murzban Colony
11 Aziz Castle
12 CreesetVila
13 Shirin Vila
14 Sahara
15 Al aba
16 Fine Touch
17 Park View
18 Bagerehemat Bldg.
19 Blue Hevan
20 Oscar Tower
21 United Cristal
22 Orchid Tower
23 Orchid Enclave
24 Orchid Bldg.
25 Zia Apartment
26 Center Court
27 Tanveer Apartment
28 Elite Cristal
29 Hayat Palace
30 Agdas Bldg.
31 All Hoor
32 Klassic Tower
33 Hajimiya Patel Bldg.
34 Siddhiki Chembar
35 Khatija Mension
36 Alaraza Bldg.
37 Ehemad Tower
38 Khatija Apartment
39 Dustakir Bldg.
40 Patrawala Bldg.
41 Amina Hight
42 Imran Apartment
43 Alamaden Bldg.
44 Aakash Tower
45 Shanti Niketan
46 Vanjari Chal
47 Banjari Chal
48 Ratan Sadan
49 Shiv Dershan
50 Umar Mension
51 Prabhu Nivas
52 La View
53 Sai Krupa Bldg.
54 Ganesh Krupa Bldg.
55 Gayatri Sadan
56 Tayyab Bldg.
57 Mahalaxmi Darshan
58 Star Mansion
59 Modern Mill Compound
60 Aga Khan Bldg.
61 New Aga Khan Bldg.
62 Kashinath Bldg.
63 Lakhpati Bldg.
64 Rangwala Bldg.
65 Model Residency
66 Bhagwa Mahal
67 Kinjal Tower
68 Khushnooma Apartment
69 Barkat Bldg.
70 Kinjal Tower
Chapter No.11
BIBLIOGRAPHY
Web sites:
 www.zicom.com
 www.makeyourcitysafe.com
 http://makeyourcitysafe.com/wp-content/uploads/2013/08/The-Gaurdian-new.pdf
Books:
 Research Methodology Methods and Techniques-Third Edition (C R KOTHARI)
 Marketing Management: A South Asian Perspective (Philip Kotler) Pearson
Education India 2009

merged_document

  • 1.
    PROJECT REPORT ON “ASTUDY OF SOCIETY’S PERCEPTION TOWARDS THE USAGE OF ELECTRONIC SECURITY SUVEILLANCE” IN ZICOM SAAS PVT. LTD. SUBMITTED IN PARTIAL FULFILMENT OF THE REQUIREMENT OF MASTER OF MANAGEMENT STUDIES BY NIKHIL D’SOUZA ROLL NO 2014035 MMS-II (SEM III) YEAR 2014-2016 LALA LAJPATRAI INSTITUTE OF MANAGEMENT MAHALAXMI, MUMBAI – 400034
  • 2.
    SUMMER INTERNSHIP PROJECT SUBMITTEDBY NIKHIL D’SOUZA ROLL NO – 2014035 MMS – II (SEM III) YEAR 2014 - 2016
  • 3.
    To whomsoever itmay concern This is to certify that Mr. Nikhil D‟souza, student of Lala Lajpatrai Institute of management has successfully completed his summer internship with our organization from 10th may 2015 to 7th july 2015 His performance in the said project has been good and as per company expectations. We wish him all the best in his future endeavors Yours sincerely, Melvyn Mathews Manager – Human Resources
  • 4.
    Certificate This is tocertify that the project work titled “A study of society’s perception towards the usage of electronic security Suvelliance” is a summer internship work carried out by Mr. Nikhil D’souza. The project was completed for Zicom SaaS Pvt. Ltd. under the guidance of Mrs. Samiksha Verunkar I further certify that the said work has not been submitted in the part or in full, to any other University. Date: 31st August, 2015 _____________________ __________________________ Dr. M. Gowri Shankar Dr V.B. Angadi Project Guide Director
  • 5.
    DECLARATION I, Mr. NikhilD’souza, student of Lala Lajpatrai Institute of Management of MMS II (Semester III) hereby declare that I have completed the summer internship project on “A study of society’s perception towards the usage of electronic security Suvelliance” with Zicom SaaS Pvt. Ltd. in the Academic year 2014 - 2016. The information submitted is true & original to the best of my knowledge. Nikhil D’souza
  • 6.
    ACKNOWLEDGEMENT At the outsetof this project, I would like to express my profound thanks to a few people without whose help, completion of this project would not have been possible. First and foremost, I would like to express sincere thanks to Zicom SaaS Pvt. Ltd. for giving me this opportunity to work with them. The list is endless but to name a few special people, I would like to thank Mr. Mellwyn Mathews for being extremely supportive and guiding me throughout my internship and giving me constant motivation and expert advice. I would also like to thank the entire Mrs. Samiksha Verunkar (HR Team) for providing me their precious time and making this internship a successful learning experience. I am very grateful to Dr. Angadi, Director of Lala Lajpat Rai Institute of Management, for giving me the opportunity to do this project in Zicom SaaS Pvt. Ltd. I would also like to thank Dr. M. Gowri Shankar for being an excellent mentor and helping me whenever I approached him/her. Last but not the least; I take pride in thanking my parents Mr. Stanislaus D’souza & Mrs. Hilda D’souza, siblings and friends for their much valued support.
  • 7.
    EXECUTIVE SUMMARY Our CityMumbai is witnessing increased crime rate in housing societies. Attack on senior citizen, women when they are alone and kidnapping of Children/House Break in Theft & Vandalizing of Motor Car have increased dramatically specially in our area with little or no evidence of the culprits. We need to take step towards controlling these rampant criminal activities. Closed circuit television (CCTV) cameras are now a common sight on public highways and in shopping malls and arcades. As the number of systems has increased so has their technological sophistication. But little is known about public opinion towards CCTV or indeed about how the systems are used by those who install them. In 1991 the Home Office commissioned a comprehensive examination of public attitudes towards a number of issues surrounding the use of CCTV including public awareness of CCTV systems; their perceived purpose and effectiveness; concern over their use and who the public feel should and who should not be allowed to install CCTV and have subsequent access to taped material. The results of this work are described in this report. Further work is now underway looking at the actual effect CCTV systems have on crime and disorder on the streets. Keeping in mind the current scenario, Zicom Introduced a new service offering called “ Make Your City Safe” this initiative has now made the benefits of technology of CCTV Surveillance System accessible to every housing society without having to purchase or to own it and made every resident in your society „feel safe‟. Faced with the demand that they develop more efficacious security measures and find more cost-effective crime prevention strategies, law enforcement agencies around the globe are,
  • 8.
    now more thanever, turning toward technological systems to enhance operational capacities, extend their reach and reduce costs. In this context, CCTV surveillance systems have been adopted for use in public spaces in many countries. While these systems were originally embraced for their deterrent effect on crime and touted for their salutary effects on public fear, the fact is that no body of scientific evidence actually existed at the time they were adopted that could either support or refute claims to such effects. Today, the situation is different: there is a significant body of research on CCTV, though it must be acknowledged that the literature is still in its nascence and hence, that many questions are left unanswered. Notwithstanding this caveat, it is quite clear that there is a need for an independent assessment of the record of evidence in order to determine what we know about the effects of CCTV. This review is a response to that need and describes what we know about the impact of CCTV on crime and crime prevention; on the criminal justice system more generally; and, on the public's feeling of safety.
  • 9.
    INDEX SR. NO. CONTENT PAGE NO. EXECUTIVESUMMARY 1 OBJECTIVES 1 2 INTRODUCTION 2 3 LITERATURE REVIEW 28 4 RESEARCH METHODOLGY 34 5 DATA ANALYSIS 37 6 FINDINGS 47 7 LIMITATIONS 48 8 CONCLUSION 49 9 RECOMMENDATION 50 10 APPENDIX 11 BIBLIOGRAPHY
  • 10.
    1 Chapter No.1 OBJECTIVES 1. Tostudy and analyze the Electronic Security System Market. 2. To study the pitching of electronic security systems (CCTV) on service basis to different societies. 3. To make society‟s aware regarding the advantages of electronic security systems (CCTV). 4. To study how to market CCTV service module in society segment.
  • 11.
    2 Chapter No.2 INTRODUCTION Society perceptionsof the purpose of CCTV systems: When asked in the General Survey about the purposes for which CCTV was used, most respondents‟ first reactions were expressed in very general terms, e.g., “to record happenings” and many were unable to be more specific. As a result the top three free responses were very broad descriptors: “security purposes”. There were, however, some more specific responses from one or two people and these included: “to prevent terrorists from planting bombs”; “to stop drug dealing in alleyways”; and, “to prevent people taking part in demos”. In addition, 18% of those interviewed were unwilling/unable to provide any free response and appeared to have no idea about the purposes of CCTV without being prompted. When provided with a list of possible reasons for the use of CCTV, the majority of General Survey respondents endorsed the detection of crime, prevention of crime and safety of the society. However, the possibility of it being used in a negative way was acknowledged by a substantial number of respondents who endorsed the item: “to detective on society.”
  • 12.
    3 INTRODUCTION TO COMPANY CompanyProfile Incorporated in the year 1994, Zicom listed on BSE, is a pioneer in the field of electronic security in India. With a history of offering high quality products and solutions to the most complex projects in the country, the name Zicom has now become synonymous with electronic security in India. Our sustained growth and success is based on designing and developing unique concept in making electronic security system and services at our path breaking. In a short span of less than 2 decades, the company has established as a „leader‟ in the security domain in distinctive innovation for the rest in the industry to follow. Zicom has been the first Indian Electronic Security Systems company to:  Be listed on the Indian Bourses in 1995.  Pioneered the category of Electronic Security in India.  Introduce 24 x 7 Zicom Command Centre (ZCC) in 1995.  Introduce wireless security equipment‟s in the home and retail segment.  Introduce Security Services called e-SaaS (Electronic Security as a Service). Our array of products and services which are state-of-the-art, reliable, high-quality products and solutions such as CCTV Surveillance System, Access Control System, Fire Alarm System, Multi-Apartment Video Door Phones, Video Door Phone, Intruder Alarm Systems, Fingerprint Locks and Remote Managed Services (RAM) using the power of Cloud.
  • 13.
    4 Our clientele isa proof of our unparalleled operation excellence. From quality products to professional after sales services, Zicom has driven the markets with customer centric focus. With over 691 crores in annual sales, operations in over 5 countries, 400 cities in India and over 1 million customer‟s, Zicom is today synonymous with Electronic Security in India. Zicom’s Aim To be a world class, Indian MNC, one-stop-shop for high quality security products and services. Zicom’s Vision To be the Company you Trust the most To protect what you Value the most Zicom’s Mission Statement Zicom is committed to provide safety to customers by continuously developing and delivering / offering new technologies, innovative products, solutions and delightful Services,by abiding all its commitments to customers. We will nurture our channel partners by providing profitable avenues of growth and fulfill responsibilities towards shareholders by achieving consistent growth in shareholder‟s value and adhering to fair practices in all its dealings with employees and business partners.
  • 14.
    5 COMPANY HISTORY Zicom ElectronicSecurity Systems (ZESSL) incorporated in 1994, is engaged in the business of developing security systems. ZESSL is popularly known as Zicom. The company offers surveillance systems that cater to the security needs of small, medium and large enterprise. Being the largest electronic security systems provider in India, the company has offices located in over 30 cities and town. It has an employee strength of 400 people. The company have wholly owned subsidiaries Zicom Retail Products (ZRPPL), UNISAFE Fire Protection Specialists LLC, Dubai and Zicom Manufacturing Co. (HK). Zicom Manufacturing Co. (HK) is set up in Hong Kong with an objective to trade internationally, explore and manage manufacturing facilities at China, Korea and Taiwan. Company has clientele namely Johnson and Johnson, Ranbaxy Laboratories, Ashok Leyland, Star India, iflex Solutions, Reliance Retail, BPL Mobile Cellular, Microsoft India (R&D), Kingfisher Airlines are among others. The company is also part of international project namely A3 lumeirah Lake lowers, The Palm lumeirah phase II & Crescent Infrastructure, Alwaqra Hospital for Hamad Medical Corp, Daman Building Project Dubai, votes Limited-Al-Ethihad Towers are among others.
  • 15.
    6 Milestones 1994- Zicom ElectronicSecurity Systems was incorporated. 1995- Zicom was first electronic security systems company in India to get listed on Indian stock exchanges. 1996- ZESSL installed first central monitoring station in India. 1997- The company became first to indigenously manufacture access controller and fire alarm panel with inherent software capabilities. 1998- The company was first to launch wireless security systems in India. 1999- ZESSL widens its 24x7 Online Alerts Network to various cities. 2000- Zicom entered into agreement with Motorola and Schlumberger for smart card business. 2002- The company received the Computer Associates, US Smart certification for intelligent Door Controller. The same year, it became the first to manufacture Biometric based Access Control System integrated with Smart Cards. 2003- It was the first company in Electronic Security Industry in India to start a Toll Free Number, 1600 22 4567. 2004- The company became the first to launch service scheme 'Z-Security'. 2005- It entered in joint venture in UAE in order to foray international markets.
  • 16.
    7 2006- Zicom became1st in India to launch Retail Electronic Security Showrooms that has a pan-India presence. 2007- Company increased its capacity by acquiring UNISAFE Fire Protection Specialists LLC, Dubai. 2008- Company formed a joint venture with CNA Group to form Zicom CNA Automation, an expert in Integrated Building Management System and connected real estate Outlook Zicom Electronic Security Systems was awarded two orders worth 50 million rupees from the Chandigarh police department for Chandigarh City Surveillance project and for the city's border surveillance project
  • 17.
    8 COMPETITORS Company Sales CurrentChange (%) P/E Ratio Market 52-Week (Rs.Million) Price Cap.(Rs.Million) High/Low Bharat Electronics 62755.23 2085 -0.62 17.85 167836 2320/895 Honeywell Automation 17069.9 0 0 48.13 46694.74 5385/2312 V-Guard Inds. 15175.63 846 0.98 33.47 25014.12 844/403 Pearl Electronics 689.19 49.75 0 0 9833.71 61/13 Genus Power Infra 6523.36 33.2 -1.92 13.11 8687.97 38/9 Centrum Electronics 2917.73 421.8 1.85 17.41 5167.98 442/76 Swelect Energy 497.08 462.65 -0.26 32 4687.59 541/150 ZicomElectn.Sec Sys 3230.63 117.6 -1.67 24.5 2104.94 127/37 LinaksMicroelectron NA 0 0 0 806.96 49/0 Hind Rectifiers 967.17 0 0 0 784.52 66/29 Solectron EMS India 2205.82 73 0 0 534.65 76/72 JCT Electronics 3461.1 0.68 3.03 0 520.25 1/0 MIC Electronics 701.96 5.07 1.6 0 511.47 08-Feb Switching Tech. Gunt 117.11 126.5 0.36 17.26 308.82 145/20 Precision Electronic 202.8 18.6 0 0 257.58 19-Jun Samtel Color 666.73 2.61 -3.33 0 230.81 03-Jan Aplab 951.6 39.15 -4.98 0 206 51/21
  • 18.
    9 PRODUCTS There has beena considerable growth in recent years in the use of Closed Circuit Television Systems (CCTV) in sites to which the public has free access, and there has been much debate over the deployment and possible regulation of such systems. However, there is surprisingly little independent research that directly asks the following: Are such systems acceptable to the public? What is their effectiveness? Effectiveness in respect of the reduction of crime and disorder is the focus of a second research programmed that is currently being undertaken for the Home Office. This report focuses on potential public concern and the perceived effectiveness of CCTV. That there has been concern in some quarters is evident from the following: “Video surveillance … touches on a wide range of civil liberty issues including privacy, free association, and the democratic accountability of the police and other institutions … We need to reduce the risk of abuse before it is too late.” Nevertheless, it is clear that any expressed concern is always qualified by reference to the situation in which the cameras are used, the reasons for their use and the degree to which this is covert. At one extreme there is the covert surveillance of individuals in their own homes, for which the 1984 Police and Criminal Evidence Act recommends regulation by statute. At the other extreme there is the widely accepted use of CCTV in such places as Building Society branches. Indeed, the Liberty briefing document referred to above allows that “… in many of its applications video surveillance is accepted as useful and even necessary”.
  • 19.
    10 At present, thereare no statutory controls on the use of CCTV in public places, and the existing Home Office guidelines (Home Office Circular, 1984) are now generally acknowledged to be inadequate: they focus primarily on audio surveillance and there is only one specific recommendation on the general visual surveillance of public places. This is simply that the “Chief Constable should satisfy himself that the use of the equipment will not involve any unwarrantable intrusion of privacy”. Guidelines emanating from the private sector are no more detailed: the 1988 BSIA (British Security Industry Association) Code of Practice for CCTV refers to technical matters only and the amended version (June 1990) only suggests “that there is no undue intrusion to the public‟s general right to privacy”. The lack of Home Office guidelines specifically designed for visual surveillance has also led to some frustration within parts of the police service itself. A recent ACPO working party comments. “There seems to be an unnecessary caviling in the (1984) guidelines, which may well have been in step with public opinion concerning listening devices but seems unnecessary in respect of photography in public places at least”. (ACPO report cited in Police Review, p.1916, September 1989) Moreover, in respect of collecting reliable evidence for potential prosecution, the same working party argues that: “The camera, recording in a public place, sees no more nor less than a plainclothes officer sees and is certainly a more accurate record. There is no reason why conduct in a public place should entail rights of privacy.” The lack of guidelines coupled with unsupported assumptions about public opinion has led to ad hoc developments in respect of written codes of practice. No matter how helpful such guidelines may be, they necessarily reflect local pressures and factors unique to the particular system in
  • 20.
    11 question. For example,the constructive and often cited code developed by the Norfolk Police Committee (1990) provides detailed advice on tape storage, but provides no guidance on how to ensure adequate consultation prior to the installation or the enhancement of CCTV. Nor does the Norfolk code give guidance on the reporting of CCTV related incidents. In addition, the Norfolk code is not designed for CCTV schemes where police involvement is relatively insignificant, or where the primary role of a scheme is not crime control, but serves some other management function. The position in respect of advice on the deployment, effectiveness or control of CCTV systems is further complicated by the sheer variety of schemes in operation. At a technical level, systems ranged from a handful of humble, fixed black and white cameras with no recording facilities to state-of-the-art pan tilt zoom combinations of colour and black and white cameras with multiplexed and alternative recording options in purpose built control rooms. In terms of collaboration between lead agencies‟ and others, notably the police, there are very different operating practices. Most schemes retain close contact with the police, but there are also some where there is no formal acknowledgement of police involvement whatsoever. Existing systems are continually updated, so any controlled evaluation of technical or organizational changes in the use of CCTV is complex. Moreover, developments in CCTV typically form part of a package of other changes relating to security and more efficient management. Finally, the generally held assumption that CCTV is all about crime control is also unfounded. The CCTV managers sampled in this research usually saw CCTV as part of a relatively wide ranging organizational initiative. Four closely inter- related aims for such change are identified by managers: efficient management, public
  • 21.
    12 reassurance and increasedcustomer flow as well as crime control. An evaluation of public concern and the perceived effectiveness of CCTV must take the above factors into account. ADVANTAGES OF CCTV CAMERA IN THE SOCIETY The debate on CCTV cameras over whether they intrude on public freedom or whether they act as a deterrent for criminals is irrelevant if you do not know how to measure the effects of the technology. What good is it debating the dangers of a lack of citizens‟ freedoms if CCTV does not protect citizens? If we accept losing a bit of liberty, it‟s so as we can be better protected. Certainly, the predictions of George Orwell in 1984 are definitely wrong: in our society, there is no “thought police”, in fact the opposite: freedom of expression is greater in Europe and in the United-States than anywhere else in the world. It may be that CCTV doesn‟t take any of our freedoms away, but if it doesn‟t help to improve the citizens‟ protection, the citizens still do not win: it is they who pay taxes or pay through the products they buy (bus tickets or for parking). The citizens‟ keen interest in a measure which is going to prove useless will not last. We need serious evaluations to understand what works. In the majority of cases, CCTV systems are installed based on personal experience or advice (“Someone told me that they thought that this system worked”), but also from a vague belief (“this should have an effect since „we can see better”‟), or a small study (“in such a road in a given city there was a reduction in crime following the installation of a CCTV system”). Only resorting to independent evaluations focused on established methods will be able to establish whether installation would be advisable. This is important. The money spent on CCTV cannot be spent elsewhere, and if it doesn‟t work, this money has been wasted, and the community will be deprived of the reduction in crime that there were expecting. The public is not going
  • 22.
    13 to be happyfor ever with good intentions or good will (if CCTV is installed, it‟s because the administration or local elected representative are really trying to tackle the problem). The greater the security, the lower the crime rate: this is what the community is looking for. There are lots of “pitfalls” in these apparently convincing demonstrations, the most common being the lack of any references. Let‟s look at an example. Today, crime is falling in certain communes. The council newspaper in one of these explains that with this fall, crime has reached a level which is “the lowest seen in 10 years”. As this breakthrough happened after the installation of a CCTV system, temptation would be to conclude that the system is very effective, and that “I believe what I see”. But the problem with this evaluation is that the neighboring commune, which does not have CCTV cameras in its streets, has seen the same decrease. Thus in order to see if CCTV brings a possible benefit, we must be able to compare the changes in the places studied (streets, car parks, schools etc…) and other comparable places (streets, car parks, schools etc…) and in which this technology has not been installed. This is known as the “control condition”. What do we definitely know if we only look at a summary of the most indisputable studies? Firstly, CCTV can theoretically have three different effects: marginally lower crime rates, higher crime rates, or neither of these. In practice, we see all three occurring. First of all, the lack of effect. We know that CCTV can help lower crime rates in different ways (by making criminals think that it‟s too risky, by sending police to where a crime has been spotted by the cameras, and by drawing the attention of citizens to a threat which makes him take more precautions for example). In certain cases there are no effects whatsoever, whatever crime we look at (thefts, violence,
  • 23.
    14 vandalism etc.).Secondly, thepositive effect. When looking at places which have CCTV (compared to areas which are inspected), evaluation shows that a reduction in crime, when there is one, is minimal, and in certain cases is so low that it is barely noticeable. The studies found that crime was reduced by the order of two percent, in particular in residential areas or in city centers. This reduction is completely negligible, especially taking into account the amount invested. The fact that the users (national and local police forces for example) find the system practical is another question: they have the impression that it guarantees effectiveness as they “look at the screen and they intervene”. Evaluation is there to remind them that this is not the opinion of the people who analyses the effectiveness of the measure.The only strong positive effects are from CCTV systems in car parks, and even this does not concern physical thefts and attacks. We will come back to this point. We cannot forget the negative effects, i.e. the opposite to what was expected: a rise in crime. In the city centers, out of five evaluations, three showed a negligible improvement of 2%, and two others had an “undesirable” effect. On public transport, two evaluations also showed a small improvement, one with no effect and one with an opposite effect to the desired one. In London, in Oxford Circus underground station, after 32 months in operation, violent crimes have increased by almost half (47%), thus twice that of the “inspected” (no CCTV) station on Tottenham Court Road! When all these evaluations are collected together, if we calculate an average, we will not see a significant impact on crime levels. We are not condemning CCTV in principle, but judging it on the facts. It can improve situations, under very restrictive conditions,
  • 24.
    15 and for specifictypes of crimes. This is the case for car parks, as we have already said. At times, installing CCTV in a car park reduces up to 40% thefts from cars. But not thefts of vehicles. We do not know exactly why, nor whether this is achieved by the CCTV cameras or if other factors contribute. In fact, in the evaluations which saw an improvement in security in car parks, the manager had taken other measures such as improving the lighting, or police patrols had more often passed through the area. If the lighting and the patrols are enough to explain the improvement, these should be favored, as they cost less. After all, the police can easily be deployed when and where crime happens. Not cameras. Finally, the evaluation reports concerning the improvement of lighting show that this has a better increase on crime with a decrease of twenty percent in the number of crimes. More powerful public lighting could reduce crime more than CCTV; that is one of the lessons from these evaluations! Furthermore, the studies note the effects of transferals, in time and in space. When cameras do not operate all the time, crimes are committed when the system is shut down. When an area is monitored, there are effects which may increase crime in the neighboring area. Inside car parks in Hartlepool, Bradford and Coventry have been equipped with CCTV and the number of crimes has dropped. But, if we look at the changes in the number of crimes in all car parks, inside and out, crime continues to rise. More precise studies are necessary if we want to know if overall (prevented crimes minus transferred crimes) citizens have lost out. The debate today is far from the issue of car parks: it‟s about extending the miraculous solution of technology to public spaces (schools, shopping centers, streets in city centers). Today, Great Britain is a country which has greatly developed this
  • 25.
    16 option. In theUnited States, this has not happened, which has not prevented the country from experiencing a sharp drop in the crime rate. In France, there are around ten times less cameras in public areas than in Great Britain, which doesn‟t it from having a lower level of violent attacks than Great Britain. These results, and above all those from independent scientific evaluations, give elected representatives and managers a lot to think about and consider before a lot of money is invested: CCTV systems are not magic wands – quite the opposite. We can work out how much CCTV costs, and we can also say that it does not lead to significant improvements. Do we want to communicate to the citizens by using technology as a clear symbol of determination, or do we want to reduce the risk of being a victim and increase the number of criminals who are caught? SaaS (Security as a service) tools Zicom uses the power of Internet for all its innovations in the field of services. All services provided by it are Internet connected with the Zicom Central Command Centre which not only monitors each and every activity inside the store/warehouse, but also reports them back to their end customer through E-services connected via Internet to the Zicom Command Centre. It provides information such as opening and closing time of an establishment, any trouble in the system and alarm conditioning. E-sense, is another vital service provided by Zicom and which primarily relates to fire alarm. It amazingly senses any outbreak of fire and then sends alert telephonically to the Zicom Central Command Centre which in turn, alerts customers through SMS or telephonic calls.
  • 26.
    17 What makes Zicomservices unique is that they come without any capital expenditure liability. There is zero investment on equipment, 24X7 surveillance is available, latest technology introduced with automatic software upgrades, customized security solution at all points of time along with complete technical support. And, there are simple payment options. And, that is what makes Zicom so different from its competitors.
  • 27.
    18 PRODUCTS Zicom CCTV SurveillanceSystem PRODUCTS Zicom CCTV Surveillance Systems KEY FEATURES: • 1/3″ Sony CCD image sensor • 2.8-12 mm lens • 700 TV lines of resolution • Digital day/night improves the camera’s low light sensitivity • 90′ IR range • IP66 weather rated • BNC analog video output • Operates on 12 Vdc @ 450 mA • Built-in OSD
  • 28.
    19 PRODUCTS Zicom CCTV SurveillanceSystems KEY FEATURES: • 1/4" Sony CCD • 36x optical zoom • 700TVL high resolution • Up to 100m IR range • 3D DNR, D WDR • IP66 rating • 3D intelligent positioning
  • 29.
    20 PRODUCTS Zicom CCTV SurveillanceSystems KEY FEATURES: • 3 megapixel high resolution • Low illumination • 3D DNR & DWDR & BLC • IP66 rating • IR range: up to 50m • True day / night
  • 30.
    21 PRODUCTS Zicom CCTV SurveillanceSystems KEY FEATURES: • 1/2.5‟‟ progressive scan CMOS • Up to 5 megapixel resolution • Full HD 1080P real time video • H.264 / MPEG4 / MJPEG video compression • True day / night • Two-way audio • PoE • Wi-Fi optional
  • 31.
    22 PRODUCTS Zicom CCTV SurveillanceSystems KEY FEATURES: • 3 megapixel high resolution • Low illumination • 3D DNR & DWDR & BLC • IP66 rating • IR range: up to 50m • True day / night
  • 32.
    23 PRODUCTS Zicom CCTV SurveillanceSystems KEY FEATURES: • H.264 video compression • 1920×1080P resolution real-time recording • 4/8 HD-SDI interfaces input • HDMI and VGA output at 1920×1080P resolution • 4/8-ch synchronous playback • HDD quota and group management • Dual Gigabit network interfaces
  • 33.
    24 SERVICES MODEL OFZICOM SERVICES ECONOMY VALUE PREMIUM Free Equipment    Free System Maintenance    Free Spares Replacement    System Upgrade    Event Retrieval    Free Software Upgrades    Daily Video Health Check    Hard Disk Full Notification    Hard Disk Failure Alert    Alert on Illegal Tampering    Video Masking of Camera    Dedicated Relationship    Visitor Pass Management   
  • 34.
    25 BRIEFING OF SERVICESMODEL  Free Equipment: Under this service pack we are providing the free equipment to the societies and we charge certain amount per month on it. The equipment‟s are Dome cameras for inside the building, Bullet cameras for outside the building, DVR, Monitor, Zicom CCTV surveillance indication board, 1 TB Hard disk.  Free System Maintenance: Under this we have maintain whole system of cameras, which is set up in a society.  Free Spares Replacement: Zicom will be taking care of all equipment‟s, which were installed in societies. If we found any problem arise in any equipment then that equipment will be repair or replace within 24 hours.  24x7 Toll Free Support: We have available toll free number which is Call=1-800-270-8888 and SMS=58888, to the society. If any problem arise in the society regarding cameras they can call at any time because this toll free number run by 24x7.  System Upgrade after 48 Months: As technology has change day by day so that we are upgrade the system as like DVR, cameras, hard disk etc. after 48 months.
  • 35.
    26  Event Retrievalfor Forensic Purposes: If any incident happens in the society and society demand for the footage then our technical team will provide them that particular video footage of incident. And this footage will hand over to the society chairman.  Free Software Upgrades: In that we keep upgrade software after certain period. Due to changing the technology we change our software also.  Daily Video Health Check: Under this service we have check daily video health check, There are certain code has been given behind each equipment, which is directly connecting to the technical department, those who taking care of all equipment‟s via server, whether video has been properly recorded or not, Is there any problem arises in cameras which will be directly indicates to the technical department.  Hard Disk Full Alert: There is an alert facility has been given to the customers. After 15 to 20 days hard disk will get full. So it gets full, 2 to 3 days before we inform them that your hard disk will get full with 3 days whether you want to save it in Pen drive or CD etc. If they are not save it then it will be automatically deleting on next day of hard disk full.
  • 36.
    27  Hard DiskFailure Alert: There is another alert system given to the customers and that is hard disk failure, ultimately this is electronic things which are going to spoil somewhere else. So, whenever any problem will arise in hard disk then it will give alert to the contact person of the society and to the technical department which will went to that society and immediate replace it.  Alert on Illegal Tampering of Video: If anyone is tampering a video means editing or deleting of video which is recorded then the alert is send on tampering of videos.  Video Masking of Camera: If anybody intentionally masking on camera by cloths or any then it will directly give alert to the society contact person. The Zicom provides sensitive cameras which have sensor, directly indicate to technical department and the contact person of the society.
  • 37.
    28 Chapter No.3 REVIEW OFLITERATURE The review shows that the effects of CCTV on crime are both quite variable and fairly unpredictable. Deterrence effects of CCTV are not constant over time and they vary across crime categories. For example, CCTV systems appear to have the least effect upon public disorder offences. The magnitude of deterrence effects appears to depend on location: the greatest effect appears to occur in car parks. Furthermore, the cameras do not need to be operational for deterrence effects to be observed. The deterrence effects of CCTV are highest when it is used in conjunction with other crime reduction measures and when tailored to the local setting. Finally, while deterrence effects have been shown before the cameras are operational, continuing publicity is required to maintain the effects? With the recurring terror attacks, increase in incidents of rape and molestation burglary and theft in Mumbai and other cities across the country. Security is every sense of the word has become very important for India‟s business and non-business sectors. The security lapses were more than unfortunate for India as they indicated a serious gap and sense of apathy toward the importance of the deployment of new age security systems. However, in the face of dissuading factors prevailing in the country, the security solutions services industry in India is fast growing at an average of 20%. That number is likely to go all the way up to 35% over the next four to five year. Security is now the topmost concern of many companies.
  • 38.
    29 A Burgeoning Industry Rightnow, India‟s domestic security industry, which includes man-guarding electronic security, cash in transit, and consulting, is estimated to be around Rs.22000 crores. If conservatively estimated, according to the associated chambers of commerce and Industries of India. (ASSOCHAM), the India security services industry is expected to reach Rs. 40000 crores. By 2015, thus making it one of the top ten security markets in the world. Which include homeland security and equipment purchase by government and private sectors to across Rs. 54000 crores by 2016. Towards Tech-enabled Security Solution Now security premises means more than placing a few surveillance cameras and access control and tracking devices like RFID‟s. The new generations of security systems are IP-enabled for interoperability and connectivity and demand a great deal of expertise and experience in deployment of IT infrastructure solutions “India‟s dominance in the IT solution and services space can help India overcome this gap. New age security service leverage the capabilities of IT to integrate security in a truly seamless manner”, says on analyst.
  • 39.
    30 Public concern overCCTV systems The nature of these worries varied, but the majority of responses related to one of six Main issues: (i) Controllers might „look for‟ incidents to justify installation costs (ii) Controllers of CCTV might abuse the system (iii) Once installed, CCTV might be used in covert ways (iv) There was a general unease at „being watched‟ (v) CCTV „evidence‟ might be misleading (vi) There may be a gradual erosion of civil liberties Data from the general survey and the group discussions are also relevant to a discussion of these six issues. Controllers might ‘look for’ incidents to justify installation costs Some participants in the group discussions felt that the pressures to demonstrate the effectiveness of having a CCTV system installed, in terms of dealing with potential crime/incivilities, may lead to those monitoring the cameras over-scrutinizing particular groups – e.g., young black males, “scruffy people” – without due cause. Group participants commented that “such selectivity is dangerous” in terms of potential infringement of civil liberties.
  • 40.
    31 CCTV ‘evidence’ mightbe misleading This issue was discussed extensively by participants in the group sessions. It was felt quite strongly that there was potential for what was seen on CCTV monitors/ videotapes to be misleading as inappropriate inferences could be drawn from inadequate information (e.g., poor picture quality, lack of sound, small monitoring screen) and could be further compounded by the people monitoring the activity operating on stereotypical expectations (e.g., grouping of young males = gang of troublemakers) which could lead to „innocent‟ actions being misinterpreted. Of particular concern to participants in the youth groups was the notion of being „guilty by association‟ if seen talking to someone who has previously been in trouble with the police. One other concern raised in several of the group discussions was the potential for videotapes to be tampered with and then presented as evidence under the banner that “the camera does not lie”. Fear of Crime levels and public concern In respect of „Fear of Crime‟ (FOC): „Do you ever worry about the possibility that you or anyone else who lives with you might be the victim of crime?‟, there were no significant associations with worries over CCTV or whether or not it would be welcome in the street sites. However, when the more sensitive measure of FOC is used higher FOC was associated with lower concern over CCTV.
  • 41.
    32 Public concern insites with CCTV and in sites without CCTV There was no statistically significant difference between „with‟ and „without‟ sites in terms of those who had worries about CCTV street installations. It might have been expected that those in sites with CCTV may have had some of their fears either allayed or substantiated by experience. However, a possible explanation for the lack of difference is that only around one third of those in each of the „with CCTV‟ sites reported they were aware of the CCTV system being in place prior to being interviewed. As such they were in the same position as those in the „without CCTV‟ site, in that they were considering a new idea, rather than reporting attitudes formed through experience. Further analysis revealed that people who already knew about the existence of the systems were more worried about its use compared to those who learned of its existence at the interview. For each of the Site Specific Surveys, more people expressed concern about the use of CCTV in „other places‟ than had expressed concern in that particular site. This was most marked for shopping centers where only 4% had worries within the site, but 17% had worries about CCTV installation elsewhere. The highest figure was from the small night time sample of sixty – 29% expressed concern over the fitting of CCTV camera in other places. An explanation for these findings relates to the types of „other places‟ respondents cited as causing concern about the possible installation of CCTV: places of entertainment such as pubs, restaurants, cinemas and residential areas. In such cases, CCTV was seen as a potential invasion into home and social life rather than the „business‟ of city centre streets and shopping centers.
  • 42.
    33 SECURITY SURVEILLANCE MARKET:AN OVERVIEW  Globally the security industry is estimated at $200 billion growing at the rate of 14% a year.  The US market alone accounts for 42% of that, following by western European market at 26%, and Asia-Pacific at 12%-13%.  By 2015 India will command a market share of 4%, thus making among the top 10 markets for security.  Indian electronic security market is currently estimated at $450 million which will grow at 25% over the next four years.  Video surveillance will take a lead with $250 million, followed by access control at $140 million, intrusion alarms at $10 million and other peripherals at $50 million.
  • 43.
    34 Chapter No.4 RESEARCH METHODOLOGY PrimaryData: GENERAL SOCIETY SURVEY Sample Size (N) = 70 Sampling method = Purposive sampling method Type of Study: Descriptive Research: Descriptive research includes survey and fact finding enquiries of different kinds. The major purpose of descriptive research is description of the same of affairs as it exists at present. Descriptive research is used to describe characteristics of a population or phenomenon being studied. It does not answer questions about how/when/why the characteristics occurred. The characteristics used to describe the situation or population are usually some kind of categorical scheme also known as descriptive categories. For example, the periodic table categorizes the elements. Scientists use knowledge about the nature of electrons, protons and neutrons to devise this categorical scheme. We now take for granted the periodic table, yet it took descriptive research to devise it. Descriptive research generally precedes explanatory research. For example, over time the periodic table‟s description of the elements allowed scientists to explain chemical reaction and make sound prediction when elements were combined.
  • 44.
    35 SCOPE OF STUDY:- This report is based on the study conducted at the Bombay Central, Agripada, and Mahalaxmi.  It aims to understanding the society‟s perception towards electronic security system.  It aims to spread awareness of crimes happening in societies without CCTV camera. Data sources: Research is totally based on primary data. Secondary data can be used only for the reference. Research has been done by primary data collection, and primary data has been collected by interacting with various people. The secondary data has been collected through various journals, websites and some special publications.
  • 45.
    36 Data Collection Method: PrimaryMethod Survey Method: The Survey method is the technique of gathering data by asking questions to people who are thought to have desired information. A formal list of questionnaire is prepared. Generally a non-disguised approach is used. The respondents are asked questions on their demographic interest opinion. Data Collection Tool: The questionnaire was prepared and administered to collect the relevant primary data. The data collection method was based on Questionnaire. Secondary Method The secondary data has been collected through various books, newspapers, journals, online articles and some special publications.
  • 46.
    37 Chapter No.5 DATA ANALYSIS&INTERPRETATION 1] Is electronic security systems are important in societies? No. of Respondent Societies Yes No 70 56 14 Above table shows: According to survey 80% societies responded that “Yes” it is important to install Electronic Security Systems in different societies and 14 societies responded “No” that is because they are unaware about the crimes happening in different societies. 80% 20% Yes No
  • 47.
    38 2] Does CCTVaffect the way you behave? Above table shows: According to survey 90% societies responded that “Yes” CCTV will affect the way of behavior in society and 10% societies responded “No” that is because they are unaware about the importance of CCTV cameras. 90% 10% Yes No No. of Respondent Societies Yes No 70 63 7
  • 48.
    39 3] Do youthink CCTV controls societies and invades privacy? Above pie diagram shows: According to survey 80% societies responded that “Yes” CCTV can control crimes in society and 15%societies responded “No” that it will not control because they are unaware about the importance of CCTV cameras and 5% societies responded that they Don‟t know. 80% 15% 5% Yes No Don't Know No. of Respondent Societies Yes No Don’t Know 70 56 11 3
  • 49.
    40 4] Does CCTVmake you feel safer? Above table shows: According to survey 50% societies responded that “Yes” CCTV can make you safer in the society and 40%societies responded “No” that it will not because they are unaware about the importance of CCTV cameras in society and 10% societies responded that it Doesn‟t effect on safety. 50% 40% 10% Yes No Doesn't Affect No. of Respondent Societies Yes No Doesn’t Affect 70 35 28 7
  • 50.
    41 5] Does CCTVaffect the risk of crime? No. of Respondent Societies Yes No Don’t Know 70 35 28 7 Above table shows: According to survey 50% societies responded that “Yes” CCTV will affect the risk of crime in the society and 40%societies responded “No” that it will not because they are unaware about the importance of CCTV cameras in society and 10% societies responded that they Don‟t know. 50% 40% 10% Yes No Don't Know
  • 51.
    42 6] How doyou think crime in surrounding areas is affected by CCTV? No. of Respondent Societies Reduce Increase 70 49 21 Above table shows: According to survey 70% societies responded that “Reduce” CCTV will helps to reduce the crimes in the society and 30%societies responded “Increase” because they are unaware about the crimes happening in society. 70% 30% Reduce Increase
  • 52.
    43 7] Do youthink the societies would be safe without CCTV? Above table shows: According to survey 80% societies responded that “Yes” CCTV would make safe people in the society and 20%societies responded “No” that it will not because they are unaware about the importance of CCTV cameras in society. 20% 80% Yes No No. of Respondent Societies Yes No 70 14 56
  • 53.
    44 8] Does CCTVaffect different crimes in different ways No. of Respondent Societies Yes No Neutral 70 21 6 43 Above table shows: According to survey 30% societies responded that “Yes” CCTV will affect the different crime‟s in different ways and 9%societies responded “No” that it will not because they are unaware about the importance of CCTV cameras in society and 61% societies respondents are “Neutral” that they Don‟t know. 30% 9% 61% Yes No Neutral
  • 54.
    45 9] How doesCCTV affect society safety? Above table shows: According to survey 70% societies responded that “Detect crime” CCTV will detect the crime happening in the society and 30%society‟s responded “Deters crime” that it will not because they are unaware about the importance of CCTV cameras in society. 70% 30% Detect Crime Deters Crime No. of Respondent Societies Detect crime Deters crime 70 49 21
  • 55.
    46 10] Does CCTVaffect victimization? Above table shows: According to survey 80% societies responded that “Yes” CCTV will affect the victimization and 20%societies responded “No” that it will not affect the victimization because they are unaware about the importance of CCTV cameras in society. 80% 20% Yes No No. of Respondent Societies Yes No 70 56 14
  • 56.
    47 Chapter No.6 OBSERVATION/ FINDINGS 80% of the societies say that electronic security (CCTV) is important and 20 % societies say, it need not require.  7 societies said CCTV surveillance will not affecting on behavior of resident. 63 societies said CCTV surveillance will affecting on behavior of resident. 56 societies said CCTV surveillance will control societies.  11 societies said that CCTV surveillance will not control societies. 3 societies said, we don‟t know about it. 35 societies said CCTV surveillance will make safe societies.  28 societies said CCTV surveillance will not make feel safe. 7 societies said, it doesn‟t make them feel unsafe. 35 societies said CCTV surveillance will be effect on risk of crime.  28 societies said CCTV surveillance will be no effect on risk of crime. 7 societies said, they don‟t know. 49 societies said CCTV surveillance will effect on surroundings.  21 societies said it will increase crime in surrounding. 56 societies said without CCTV societies would not be safe. 14 societies said yes it will be safe without CCTV. 21 said CCTV does affect different crimes in different ways.  6 societies said it will not affect society safety. 43 societies are neutral. 49 societies said CCTV surveillance will affect society safety. 21 societies said it will not affect. 56 societies said CCTV surveillance will affect victimization. 14 societies said it will not affect the victimization.
  • 57.
    48 Chapter No.7 LIMITATIONS 1. Timelimit was a major constraint 2. The survey was made only of South Mumbai. 3. Sample size of questionnaire is 70 which was very small and was not enough to study the society perception towards the usage of CCTV surveillance. 4. The questionnaire was filled by one person of each society on behalf of society. 5. At the time of research the security guard was not allowing to enter society. 6. As per company many information was not disclosed. 7. Respondent were not sincere and careful to fill up the questionnaire so we cannot find right solution.
  • 58.
    49 Chapter No.8 CONCLUSION Currently, CCTVhas a broadly positive reception from societies and the levels of concern are not high and CCTV is assumed to be effective in crime control. However, public acceptance is limited and partly inaccurate knowledge of the functions and capabilities of CCTV systems in societies. There may be a need for guidelines that will make possible an informed society for acceptance of CCTV through fuller consultation and the provision of information. There is also a need to encourage operational procedures that will maximize the effectiveness of CCTV and minimize any threat to civil liberties which may arise from either messy practice or the deliberate misuse of such systems. Any guidelines must anticipate future problems due to the production of CCTV systems, and the pace of technological development which allows increasingly powerful forms of surveillance.
  • 59.
    50 Chapter No.9 RECOMMENDATION The companyneeds to spread awareness among the societies regarding the usage of CCTV cameras. They have to conduct seminars and event for spreading awareness. Company need to use more promotional strategies to promote the products. They need to give live demonstration of CCTV cameras to societies and shown them importance of CCTV cameras.
  • 60.
    Chapter No.10 ANNEXURE 1] Iselectronic security systems are important in societies?  Yes  No 2] Does CCTV affect the way you behave?  Yes  No  Don’t know 3] Do you think CCTV controls societies and invades privacy?  Yes  No  Don’t know 4] Do you think CCTV is needed in order to detect and deter crime and for public safety?  Yes  No  Don’t know
  • 61.
    5] Does CCTVaffect the risk of crime? Yes No Don’t know 6] How do you think crime surrounding areas is affected by CCTV? Reduce Increase 7] Do you think the societies would be safe without CCTV? Yes No 8] Does CCTV affect different crimes in different? Yes No Neutral
  • 62.
    9] How doesCCTV affect Public Safety?  Detects Crime  Deters Crime 10] Does CCTV affect victimization?  Yes  No
  • 63.
    LIST OF SOCIETIESWHERE SURVEY WAS CONDUCTED Sr No Names of Societies Visited 1 Deeplaxmi Tower 2 United 3 Sunshine 4 Nilgiri 5 Aazad House 6 Sapna Castle 7 Nazmeen 8 Elite Residence 9 Yusuf Manzil 10 Murzban Colony 11 Aziz Castle 12 CreesetVila 13 Shirin Vila 14 Sahara 15 Al aba 16 Fine Touch 17 Park View 18 Bagerehemat Bldg. 19 Blue Hevan 20 Oscar Tower 21 United Cristal 22 Orchid Tower
  • 64.
    23 Orchid Enclave 24Orchid Bldg. 25 Zia Apartment 26 Center Court 27 Tanveer Apartment 28 Elite Cristal 29 Hayat Palace 30 Agdas Bldg. 31 All Hoor 32 Klassic Tower 33 Hajimiya Patel Bldg. 34 Siddhiki Chembar 35 Khatija Mension 36 Alaraza Bldg. 37 Ehemad Tower 38 Khatija Apartment 39 Dustakir Bldg. 40 Patrawala Bldg. 41 Amina Hight 42 Imran Apartment 43 Alamaden Bldg. 44 Aakash Tower 45 Shanti Niketan 46 Vanjari Chal
  • 65.
    47 Banjari Chal 48Ratan Sadan 49 Shiv Dershan 50 Umar Mension 51 Prabhu Nivas 52 La View 53 Sai Krupa Bldg. 54 Ganesh Krupa Bldg. 55 Gayatri Sadan 56 Tayyab Bldg. 57 Mahalaxmi Darshan 58 Star Mansion 59 Modern Mill Compound 60 Aga Khan Bldg. 61 New Aga Khan Bldg. 62 Kashinath Bldg. 63 Lakhpati Bldg. 64 Rangwala Bldg. 65 Model Residency 66 Bhagwa Mahal 67 Kinjal Tower 68 Khushnooma Apartment 69 Barkat Bldg. 70 Kinjal Tower
  • 66.
    Chapter No.11 BIBLIOGRAPHY Web sites: www.zicom.com  www.makeyourcitysafe.com  http://makeyourcitysafe.com/wp-content/uploads/2013/08/The-Gaurdian-new.pdf Books:  Research Methodology Methods and Techniques-Third Edition (C R KOTHARI)  Marketing Management: A South Asian Perspective (Philip Kotler) Pearson Education India 2009