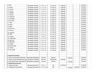
APBD KAB APBDES SWADAYA
A PENDIDIKAN
1. Pembangunan Gedung Taman Posyandu Meningkatkan Mutu P. 20 x L. 10 Tanah Kas Desa 250.000.000 10.000.000 8.750.000 268.750.000
2. Bantuan Sarana Pendidikan Bagi Anak
Keluarga Miskin Menunjang Prestasi 300 Orang Seluruh Wilayah Desa 19.500.000 19.500.000
3. Perpustakaan Desa Meningkatkan Pengetahuan 1 Unit Panti PKK 15.000.000 2.000.000 17.000.000
4. Program Desa Pendidikan Menunjang Prestasi Seluruh Wilayah Desa 150.000.000 150.000.000
5. Beasiswa Kepada Anak Keluarga Miskin Menunjang Prestasi 5 Orang Seluruh Wilayah Desa 15.000.000 15.000.000
B KESEHATAN
1. Penanganan Sampah Terpadu Meningkatkan Kesehatan 1 Unit 30 RT 150.000.000 20.000.000 170.000.000
2. Renovasi PUSKESDES Menunjang Pelayanan 1 Unit Jl. Sultan Agung Timur 100.000.000 100.000.000
3. Penyemprotan Nyamuk Demam Berdarah Mencegah Wabah DBD 5 Kali 30 RT 10.000.000 3.000.000 13.000.000
4. AMBULANCE Desa Meningkatkan Pelayanan 1 Unit Kantor Desa 80.000.000 26.000.000 106.000.000
5. Bantuan Biaya Pengobatan dan Kematian
untuk Keluarga Miskin. Meringankan Beban 50 Orang Seluruh Wilayah Desa 25.000.000 25.000.000
6. Lomba Kampung Sehat Menunjang Kesehatan 5 Kali Seluruh Wilayah Desa 50.000.000 15.000.000 65.000.000
C EKONOMI
1. Pemugaran Rumah Keluarga Miskin
1.1. MACHIT Meningkatkan Kesehatan P. 12 x L. 3.5 Rt. 03 Rw. 01 20.000.000 20.000.000
1.2. SURIPNO Meningkatkan Kesehatan P. 10 x L. 3.5 Rt. 01 Rw. 01 20.000.000 20.000.000
1.3. SULAIMI Meningkatkan Kesehatan P. 12 x L. 3.5 Rt. 01 Rw. 01 20.000.000 20.000.000
1.4. MATRUKAN Meningkatkan Kesehatan P. 12 x L. 3.5 Rt. 04 Rw. 01 20.000.000 20.000.000
1.5. SAFA'AH Meningkatkan Kesehatan P. 12 x L. 3.5 Rt. 04 Rw. 01 20.000.000
1.6. SUGIONO/KOMANI Meningkatkan Kesehatan P. 8 x L. 6 Rt. 01 Rw. 02 20.000.000 20.000.000
1.7. MUKRI Meningkatkan Kesehatan P. 12 x L. 3.5 Rt. 05 Rw. 02 20.000.000 20.000.000
RENCANA PEMBANGUNAN JANGKA MENENGAH DESA (RPJMDES)
DESA SUNGONLEGOWO KECAMATAN BUNGAH
TAHUN ANGGARAN 2014 - 2019
NO. URAIAN JENIS PROGRAM MANFAAT VOLUME LOKASI
SUMBER PEMBIAYAAN
JUMLAH
1.8. DEWI Meningkatkan Kesehatan P. 12 x L. 3.5 Rt. 01 Rw. 02 20.000.000 20.000.000
1.9. SHOHIB Meningkatkan Kesehatan P. 11 x L. 3.5 Rt. 04 Rw. 03 20.000.000 20.000.000
1.10. SUPI'AH Meningkatkan Kesehatan P. 11 x L. 3.5 Rt. 05 Rw. 03 20.000.000 20.000.000
1.11. M. ROZI Meningkatkan Kesehatan P. 11 x L. 4 Rt. 01 Rw. 03 20.000.000 20.000.000
1.12. SARWAH Meningkatkan Kesehatan P. 12 x L. 3.5 Rt. 04 Rw. 03 20.000.000 20.000.000
1.13. MUKEJO Meningkatkan Kesehatan P. 12 x L. 3.5 Rt. 03 Rw. 04 20.000.000 20.000.000
1.14. NURKAYAT Meningkatkan Kesehatan P. 12 x L. 3.5 Rt. 06 Rw. 04 20.000.000 20.000.000
1.15. KUSAIMAH Meningkatkan Kesehatan P. 12 x L. 3.5 Rt. 07 Rw. 04 20.000.000 20.000.000
1.16. KUTEYAH Meningkatkan Kesehatan P. 12 x L. 3.5 Rt. 05 Rw. 04 20.000.000 20.000.000
1.17. BISRI Meningkatkan Kesehatan P. 12 x L. 3.5 Rt. 04 Rw. 04 20.000.000 20.000.000
1.18. MIADI Meningkatkan Kesehatan P. 12 x L. 3.5 Rt. 06 Rw. 04 20.000.000 20.000.000
1.19. IDRIS Meningkatkan Kesehatan P. 12 x L. 3.5 Rt. 07 Rw. 04 20.000.000 20.000.000
1.20. MAT URIP Meningkatkan Kesehatan P. 12 x L. 3.5 Rt. 07 Rw. 04 20.000.000 20.000.000
1.21. ALFIYAH Meningkatkan Kesehatan P. 12 x L. 3.5 Rt. 02 Rw. 05 20.000.000 20.000.000
1.22. NADLIROH Meningkatkan Kesehatan P. 11 x L. 3.5 Rt. 01 Rw. 05 20.000.000 20.000.000
1.23. JAMIL Meningkatkan Kesehatan P. 12 x L. 3.5 Rt. 01 Rw. 05 20.000.000 20.000.000
1.24. HALIMAH Meningkatkan Kesehatan P. 10 x L. 4 Rt. 02 Rw. 05 20.000.000 20.000.000
1.25. AHMAD AMIR Meningkatkan Kesehatan P. 11 x L. 3.5 Rt. 02 Rw. 06 20.000.000 20.000.000
1.26. ABU FAIS Meningkatkan Kesehatan P. 12 x L. 3.5 Rt. 02 Rw. 06 20.000.000 20.000.000
1.27. MUNTAYAH Meningkatkan Kesehatan P. 12 x L. 3.5 Rt. 02 Rw. 06 20.000.000 20.000.000
1.28. TAMAMI Meningkatkan Kesehatan P. 12 x L. 3.5 Rt. 02 Rw. 06 20.000.000 20.000.000
1.29. MUNTAYAMAH Meningkatkan Kesehatan P. 12 x L. 3.5 Rt. 02 Rw. 06 20.000.000 20.000.000
1.30. YASLAN Meningkatkan Kesehatan P. 12 x L. 3.5 Rt. 03 Rw. 06 20.000.000 20.000.000
1.31. ABD. KARIM Meningkatkan Kesehatan P. 12 x L. 3.5 Rt. 03 Rw. 06 20.000.000 20.000.000
2. Pengentasan Kemiskinan
2.1. Bantuan Sembako Bagi Keluarga Miskin Meningkatkan Kesejahteraan 500 Orang Balai Desa 25.000.000 25.000.000
2.2. Bantuan Pinjaman Modal Bagi Usaha Keci Meningkatkan Produktifitas 500 Orang KOPWAN PKK 25.000.000 25.000.000
2.3. Kredit Perabot Rumah Tangga Bagi RTM Meningkatkan Kesejahteraan 100 Orang UP2K-PKK 10.000.000 10.000.000
3. Fasilitas/Prasarana Ekonomi
3.1. Relokasi Pasar Desa Menunjang Perekonomian P. 20 x L. 7 TKD 210.000.000 210.000.000
3.2. Pembangunan Ruko/Pertokoan Menunjang Perekonomian P. 3 x L. 4 x 10 Un TKD 5.000.000 75.000.000 80.000.000
3.3. Sambungan Listrik untuk Pelabuhan
Desa dan Pasar Desa Menunjang Perekonomian 1 Unit Pelabuhan Desa 1.500.000 1.500.000
D KEAMANAN DAN KETERTIBAN
1. Ronda Malam LINMAS Menjaga Keamanan & Keterti 125 Kali Desa Sungonlegowo 8.750.000 8.750.000
2. Jaga Malam Tiap-tiap Kampung Meningkatkan Keamanan 31 RT Masing-Masing RT 5.000.000 5.000.000
3. Program Portal Satu Pintu (one gate system Menjaga Keamanan & Keterti 3 Unit Gerbang Masuk Desa 30.000.000 7.500.000 37.500.000
4. Program "LEGOWO BEBAS ASUSILA" Meningkatkan Ketertiban 5 Tahun Seluruh Wilayah Desa 10.500.000 10.500.000
E SOSIAL, BUDAYA DAN OLAH RAGA
1. Santunan Kematian Meringankan Beban/Kepeduli 300 Orang Balai Desa 15.000.000 15.000.000
2. Pengadaan Alat Musik Modern Meringankan Beban/Kepeduli 1 Set Kantor Karang Taruna 60.000.000 10.000.000 70.000.000
3. Restrukturisasi KARANG TARUNA Meringankan Beban/Kepeduli 1 Unit Kantor Karang Taruna 15.000.000 15.000.000
4. Perbaikan Lapangan Sepak Bola Menunjang Prestasi P. 110 x L. 50 Jl. S Agung Timur 50.000.000 5.000.000 55.000.000
F PARTISIPASI MASYARAKAT DALAM
PEMBANGUNAN
1. Gotong Royong 1 Bulanan Meningkatkan Partisipasi 60 Kali Masing-Masing RT 18.000.000 45.000.000 63.000.000
G PEMERINTAHAN DESA
1. Pembuatan Papan Data Profil Desa Melengkapi Data 1 Set Kantor Desa 5.000.000 5.000.000
2. Pembuatan Papan Informasi Desa Media Informasi Masyarakat 2 Unit Lokasi Strategis Desa 5.000.000 5.000.000
3. Papanisasi Aparatur Pemerintahan Desa Media Informasi Masyarakat 50 Unit Rumah Aparat Desa 5.000.000 5.000.000
H KELEMBAGAAN MASYARAKAT
1. Legalisasi dan Pemberdayaan Lembaga- Pemberdayaan & Efektivitas 5 Unit Pemerintahan Desa 7.500.000 7.500.000
Lembaga Pemerintahan Desa RT, RW,
LINMAS, LKMD dan BPD.
I SARANA DAN PRASARANA DESA
(INFRASTRUKTUR)
1. JALAN LINGKUNGAN
1.1. Pavingisasi Jl. Qomaruddin Menunjang P. 50 x L.2.5 RT. 01 RW. 03 9.000.000 1.500.000 10.500.000
1.2. Pavingisasi Jl. Sultan Gunung Jati Kelancaran P. 250 x L. 3 RT. 06 RW. 04 48.750.000 4.000.000 52.750.000
1.3. Pavingisasi Jl. Sultan Agung Barat dan Keamanan P. 75 x L. 4 RT. 06 RW. 04 25.000.000 2.500.000 27.500.000
1.4. Pavingisasi Jl. Sultan Hasanuddin Transportasi P. 200 x L. 3 RT. 07 RW. 04 39.000.000 3.500.000 42.500.000
1.5. TPT Jl. A. Yani - Gapuro Selatan Kelancaran P. 200 x T. 1.25 RT. 05 RW. 06 87.500.000 5.000.000 92.500.000
1.6. TPT Jl. Gowa (Selatan) dan Keamanan P. 200 x T. 1.50 RT. 05 RW. 02 120.000.000 10.000.000 130.000.000
1.7. Pavingisasi Jl. Timur Bengawan Solo Transportasi P. 1.500 x L. 3 Jl. Timur Bengawan Solo 405.000.000 5.000.000 410.000.000
1.8. Pavingisasi Halaman PAUD Al Kautsar Meningkatkan Kerapian P. 25 x L. 20 Jl. A. Yani 32.500.000 32.500.000
1.9. Pavingisasi Halaman TKM XI Al Asyhar Meningkatkan Kerapian P. 35 x L. 50 Jl. Sultan Agung Timur 113.750.000 113.750.000
1.10. Pembangunan Jl. Barat Makam Kelancaran Peziarah P. 150 x L. 3 Pemakaman Umum 39.000.000 5.000.000 44.000.000
2. SALURAN LINGKUNGAN
2.1. Renovasi Saluran Air Kotor (Got) Meningkatkat Kebersihan P. 600 x L. 0.75 x Jl. Urip Sumoharjo s/d 135.000.000 135.000.000
Jl. Pelabuhan
2.2. Pembuatan Tutup Got Besar Meningkatkat Kebersihan P. 400 x L. 2 RT. 04 & 05 RW. 002 40.000.000 40.000.000
2.3. Renovasi Got Jl. Kartini - Pelabuhan P. 300 x L. 0.40 RT. 04/01 s/d RT. 01/02 20.000.000 50.000.000 70.000.000
2.4. Renovasi Got Jl. Ir. Juanda P. 100 x L. 0.40 RT. 04 RW. 005 15.000.000 50.000.000 65.000.000
2.5. Pembuatan Got Jl. S Agung Barat - Gowa P. 250 x L. 0.40 RT. 06/04 - RT. 05/02 40.000.000 40.000.000
3. AIR BERSIH
3.1. Pipanisasi Air Bersih RW. 004 Atas Memenuhi Kebutuhan P. 2.000 m RT. 03, 05, 06, 07 RW. 004 85.000.000 36.000.000 121.000.000
3.2. Pipanisasi Air Bersih Jl. Pang. Sudirman dan Pelayanan P. 500 m RT. 001 RW. 005 50.000.000 6.800.000 56.800.000
3.3. Pipanisasi Air Bersih Jl. Adi Sucipto Air Bersih P. 400 m RT. 004 RW. 003 39.000.000 10.000.000 49.000.000
3.4. Pipanisasi Jl. Qomaruddin - Sunan Giri Masyarakat P. 700 m RT. 01- 02 RW. 003 65.000.000 24.000.000 89.000.000
4. FASILITAS PEMERINTAHAN
4.1. Pengadaan Proyektor dan Handycam Menunjang Kelancaran 1 Set Kantor Desa 10.000.000 10.000.000
4.2. Renovasi Kantor dan Balai Desa Meningkatkan Pelayanan P. 25 x L. 12 Jl. Pemuda RT. 03 RW. 02 300.000.000 300.000.000
4.3. Pembuatan Gudang Inventaris Desa Menunjang Keamanan P. 6 x L. 4 Jl. Pelabuhan RT. 01/002 36.000.000 36.000.000
4.4. Relokasi Kantor dan Balai Desa Meningkatkan Pelayanan 1.000 m2 Jl. Sultan Agung Timur 2.500.000.000 2.500.000.000
4.5. Pembangunan Gapuro Batas Desa Meningkatkan Keindahan 1 Unit RT. 006 RW. 004 100.000.000 100.000.000
4.6. Pembangunan Balai Pertemuan Dusun Meningkatkan Kinerja 1 Unit TKD Dusun Ngaren 1.000.000.000 25.000.000 1.025.000.000
5. SARANA PUBLIK LAINNYA
5.1. Pembangunan Gapuro dan Pagar Makam Meningkatkan Kerapian P. 200 x T. 1.5 Pemakaman Umum 225.000.000 225.000.000
5.2. Pengadaan Penerangan Jalan Poros Desa Meningkatkan Kerapian 10 Titik 10.000.000 10.000.000
5.3. Pembangunan Dermaga Timur Menunjang Ekonomi P. 10 x L. 2. T. 2 Pelabuhan Desa 115.000.000 115.000.000
5.4. Pembangunan Dermaga Dusun Ngaren Menunjang Ekonomi P. 10 x L. 2. T. 2 Pelabuhan Dsn. Ngaren 65.000.000 65.000.000
5.5. Pengadaan Mesin Perahu Tambangan Melancarkan Transportasi 2 Unit Penyebrangan Desa 50.000.000 50.000.000
5.6. Peremajaan Instalasi Penerangan Jalan Menjaga Keamanan 32 Titik Jl. Pelabuhan - Jl. A. Yani 10.000.000 10.000.000
5.7. Pembuatan Perahu di Dusun Ngaren Melancarkan Transportasi 1 Unit Pelabuhan Dusun Ngaren 50.000.000 50.000.000
5.8. Pembuatan Geladak Perahu Tambangan Melancarkan Transportasi 1 Unit Dermaga Timur 10.000.000 10.000.000
5.9. Pavingisasi Pelabuhan Dusun Ngaren Menunjang Ekonomi P. 20 x L. 8 Jl. KH. A. Wachid Hasyim 20.000.000 2.500.000 22.500.000
5.10. Pembuatan R. Tunggu Pelabuhan Menunjang Ekonomi P. 4 x L. 12 Jl. KH. A. Wachid Hasyim 45.000.000 2.500.000 47.500.000
7.588.500.000 476.250.000 356.050.000 8.400.800.000
Jl. Gowa - Perbatasan Desa
JUMLAH

Matrikrpjmdes2014 2019-sheet1

  • 1.
    APBD KAB APBDESSWADAYA A PENDIDIKAN 1. Pembangunan Gedung Taman Posyandu Meningkatkan Mutu P. 20 x L. 10 Tanah Kas Desa 250.000.000 10.000.000 8.750.000 268.750.000 2. Bantuan Sarana Pendidikan Bagi Anak Keluarga Miskin Menunjang Prestasi 300 Orang Seluruh Wilayah Desa 19.500.000 19.500.000 3. Perpustakaan Desa Meningkatkan Pengetahuan 1 Unit Panti PKK 15.000.000 2.000.000 17.000.000 4. Program Desa Pendidikan Menunjang Prestasi Seluruh Wilayah Desa 150.000.000 150.000.000 5. Beasiswa Kepada Anak Keluarga Miskin Menunjang Prestasi 5 Orang Seluruh Wilayah Desa 15.000.000 15.000.000 B KESEHATAN 1. Penanganan Sampah Terpadu Meningkatkan Kesehatan 1 Unit 30 RT 150.000.000 20.000.000 170.000.000 2. Renovasi PUSKESDES Menunjang Pelayanan 1 Unit Jl. Sultan Agung Timur 100.000.000 100.000.000 3. Penyemprotan Nyamuk Demam Berdarah Mencegah Wabah DBD 5 Kali 30 RT 10.000.000 3.000.000 13.000.000 4. AMBULANCE Desa Meningkatkan Pelayanan 1 Unit Kantor Desa 80.000.000 26.000.000 106.000.000 5. Bantuan Biaya Pengobatan dan Kematian untuk Keluarga Miskin. Meringankan Beban 50 Orang Seluruh Wilayah Desa 25.000.000 25.000.000 6. Lomba Kampung Sehat Menunjang Kesehatan 5 Kali Seluruh Wilayah Desa 50.000.000 15.000.000 65.000.000 C EKONOMI 1. Pemugaran Rumah Keluarga Miskin 1.1. MACHIT Meningkatkan Kesehatan P. 12 x L. 3.5 Rt. 03 Rw. 01 20.000.000 20.000.000 1.2. SURIPNO Meningkatkan Kesehatan P. 10 x L. 3.5 Rt. 01 Rw. 01 20.000.000 20.000.000 1.3. SULAIMI Meningkatkan Kesehatan P. 12 x L. 3.5 Rt. 01 Rw. 01 20.000.000 20.000.000 1.4. MATRUKAN Meningkatkan Kesehatan P. 12 x L. 3.5 Rt. 04 Rw. 01 20.000.000 20.000.000 1.5. SAFA'AH Meningkatkan Kesehatan P. 12 x L. 3.5 Rt. 04 Rw. 01 20.000.000 1.6. SUGIONO/KOMANI Meningkatkan Kesehatan P. 8 x L. 6 Rt. 01 Rw. 02 20.000.000 20.000.000 1.7. MUKRI Meningkatkan Kesehatan P. 12 x L. 3.5 Rt. 05 Rw. 02 20.000.000 20.000.000 RENCANA PEMBANGUNAN JANGKA MENENGAH DESA (RPJMDES) DESA SUNGONLEGOWO KECAMATAN BUNGAH TAHUN ANGGARAN 2014 - 2019 NO. URAIAN JENIS PROGRAM MANFAAT VOLUME LOKASI SUMBER PEMBIAYAAN JUMLAH
  • 2.
    1.8. DEWI MeningkatkanKesehatan P. 12 x L. 3.5 Rt. 01 Rw. 02 20.000.000 20.000.000 1.9. SHOHIB Meningkatkan Kesehatan P. 11 x L. 3.5 Rt. 04 Rw. 03 20.000.000 20.000.000 1.10. SUPI'AH Meningkatkan Kesehatan P. 11 x L. 3.5 Rt. 05 Rw. 03 20.000.000 20.000.000 1.11. M. ROZI Meningkatkan Kesehatan P. 11 x L. 4 Rt. 01 Rw. 03 20.000.000 20.000.000 1.12. SARWAH Meningkatkan Kesehatan P. 12 x L. 3.5 Rt. 04 Rw. 03 20.000.000 20.000.000 1.13. MUKEJO Meningkatkan Kesehatan P. 12 x L. 3.5 Rt. 03 Rw. 04 20.000.000 20.000.000 1.14. NURKAYAT Meningkatkan Kesehatan P. 12 x L. 3.5 Rt. 06 Rw. 04 20.000.000 20.000.000 1.15. KUSAIMAH Meningkatkan Kesehatan P. 12 x L. 3.5 Rt. 07 Rw. 04 20.000.000 20.000.000 1.16. KUTEYAH Meningkatkan Kesehatan P. 12 x L. 3.5 Rt. 05 Rw. 04 20.000.000 20.000.000 1.17. BISRI Meningkatkan Kesehatan P. 12 x L. 3.5 Rt. 04 Rw. 04 20.000.000 20.000.000 1.18. MIADI Meningkatkan Kesehatan P. 12 x L. 3.5 Rt. 06 Rw. 04 20.000.000 20.000.000 1.19. IDRIS Meningkatkan Kesehatan P. 12 x L. 3.5 Rt. 07 Rw. 04 20.000.000 20.000.000 1.20. MAT URIP Meningkatkan Kesehatan P. 12 x L. 3.5 Rt. 07 Rw. 04 20.000.000 20.000.000 1.21. ALFIYAH Meningkatkan Kesehatan P. 12 x L. 3.5 Rt. 02 Rw. 05 20.000.000 20.000.000 1.22. NADLIROH Meningkatkan Kesehatan P. 11 x L. 3.5 Rt. 01 Rw. 05 20.000.000 20.000.000 1.23. JAMIL Meningkatkan Kesehatan P. 12 x L. 3.5 Rt. 01 Rw. 05 20.000.000 20.000.000 1.24. HALIMAH Meningkatkan Kesehatan P. 10 x L. 4 Rt. 02 Rw. 05 20.000.000 20.000.000 1.25. AHMAD AMIR Meningkatkan Kesehatan P. 11 x L. 3.5 Rt. 02 Rw. 06 20.000.000 20.000.000 1.26. ABU FAIS Meningkatkan Kesehatan P. 12 x L. 3.5 Rt. 02 Rw. 06 20.000.000 20.000.000 1.27. MUNTAYAH Meningkatkan Kesehatan P. 12 x L. 3.5 Rt. 02 Rw. 06 20.000.000 20.000.000 1.28. TAMAMI Meningkatkan Kesehatan P. 12 x L. 3.5 Rt. 02 Rw. 06 20.000.000 20.000.000 1.29. MUNTAYAMAH Meningkatkan Kesehatan P. 12 x L. 3.5 Rt. 02 Rw. 06 20.000.000 20.000.000 1.30. YASLAN Meningkatkan Kesehatan P. 12 x L. 3.5 Rt. 03 Rw. 06 20.000.000 20.000.000 1.31. ABD. KARIM Meningkatkan Kesehatan P. 12 x L. 3.5 Rt. 03 Rw. 06 20.000.000 20.000.000 2. Pengentasan Kemiskinan 2.1. Bantuan Sembako Bagi Keluarga Miskin Meningkatkan Kesejahteraan 500 Orang Balai Desa 25.000.000 25.000.000 2.2. Bantuan Pinjaman Modal Bagi Usaha Keci Meningkatkan Produktifitas 500 Orang KOPWAN PKK 25.000.000 25.000.000 2.3. Kredit Perabot Rumah Tangga Bagi RTM Meningkatkan Kesejahteraan 100 Orang UP2K-PKK 10.000.000 10.000.000 3. Fasilitas/Prasarana Ekonomi 3.1. Relokasi Pasar Desa Menunjang Perekonomian P. 20 x L. 7 TKD 210.000.000 210.000.000 3.2. Pembangunan Ruko/Pertokoan Menunjang Perekonomian P. 3 x L. 4 x 10 Un TKD 5.000.000 75.000.000 80.000.000
  • 3.
    3.3. Sambungan Listrikuntuk Pelabuhan Desa dan Pasar Desa Menunjang Perekonomian 1 Unit Pelabuhan Desa 1.500.000 1.500.000 D KEAMANAN DAN KETERTIBAN 1. Ronda Malam LINMAS Menjaga Keamanan & Keterti 125 Kali Desa Sungonlegowo 8.750.000 8.750.000 2. Jaga Malam Tiap-tiap Kampung Meningkatkan Keamanan 31 RT Masing-Masing RT 5.000.000 5.000.000 3. Program Portal Satu Pintu (one gate system Menjaga Keamanan & Keterti 3 Unit Gerbang Masuk Desa 30.000.000 7.500.000 37.500.000 4. Program "LEGOWO BEBAS ASUSILA" Meningkatkan Ketertiban 5 Tahun Seluruh Wilayah Desa 10.500.000 10.500.000 E SOSIAL, BUDAYA DAN OLAH RAGA 1. Santunan Kematian Meringankan Beban/Kepeduli 300 Orang Balai Desa 15.000.000 15.000.000 2. Pengadaan Alat Musik Modern Meringankan Beban/Kepeduli 1 Set Kantor Karang Taruna 60.000.000 10.000.000 70.000.000 3. Restrukturisasi KARANG TARUNA Meringankan Beban/Kepeduli 1 Unit Kantor Karang Taruna 15.000.000 15.000.000 4. Perbaikan Lapangan Sepak Bola Menunjang Prestasi P. 110 x L. 50 Jl. S Agung Timur 50.000.000 5.000.000 55.000.000 F PARTISIPASI MASYARAKAT DALAM PEMBANGUNAN 1. Gotong Royong 1 Bulanan Meningkatkan Partisipasi 60 Kali Masing-Masing RT 18.000.000 45.000.000 63.000.000 G PEMERINTAHAN DESA 1. Pembuatan Papan Data Profil Desa Melengkapi Data 1 Set Kantor Desa 5.000.000 5.000.000 2. Pembuatan Papan Informasi Desa Media Informasi Masyarakat 2 Unit Lokasi Strategis Desa 5.000.000 5.000.000 3. Papanisasi Aparatur Pemerintahan Desa Media Informasi Masyarakat 50 Unit Rumah Aparat Desa 5.000.000 5.000.000 H KELEMBAGAAN MASYARAKAT 1. Legalisasi dan Pemberdayaan Lembaga- Pemberdayaan & Efektivitas 5 Unit Pemerintahan Desa 7.500.000 7.500.000 Lembaga Pemerintahan Desa RT, RW, LINMAS, LKMD dan BPD. I SARANA DAN PRASARANA DESA (INFRASTRUKTUR) 1. JALAN LINGKUNGAN
  • 4.
    1.1. Pavingisasi Jl.Qomaruddin Menunjang P. 50 x L.2.5 RT. 01 RW. 03 9.000.000 1.500.000 10.500.000 1.2. Pavingisasi Jl. Sultan Gunung Jati Kelancaran P. 250 x L. 3 RT. 06 RW. 04 48.750.000 4.000.000 52.750.000 1.3. Pavingisasi Jl. Sultan Agung Barat dan Keamanan P. 75 x L. 4 RT. 06 RW. 04 25.000.000 2.500.000 27.500.000 1.4. Pavingisasi Jl. Sultan Hasanuddin Transportasi P. 200 x L. 3 RT. 07 RW. 04 39.000.000 3.500.000 42.500.000 1.5. TPT Jl. A. Yani - Gapuro Selatan Kelancaran P. 200 x T. 1.25 RT. 05 RW. 06 87.500.000 5.000.000 92.500.000 1.6. TPT Jl. Gowa (Selatan) dan Keamanan P. 200 x T. 1.50 RT. 05 RW. 02 120.000.000 10.000.000 130.000.000 1.7. Pavingisasi Jl. Timur Bengawan Solo Transportasi P. 1.500 x L. 3 Jl. Timur Bengawan Solo 405.000.000 5.000.000 410.000.000 1.8. Pavingisasi Halaman PAUD Al Kautsar Meningkatkan Kerapian P. 25 x L. 20 Jl. A. Yani 32.500.000 32.500.000 1.9. Pavingisasi Halaman TKM XI Al Asyhar Meningkatkan Kerapian P. 35 x L. 50 Jl. Sultan Agung Timur 113.750.000 113.750.000 1.10. Pembangunan Jl. Barat Makam Kelancaran Peziarah P. 150 x L. 3 Pemakaman Umum 39.000.000 5.000.000 44.000.000 2. SALURAN LINGKUNGAN 2.1. Renovasi Saluran Air Kotor (Got) Meningkatkat Kebersihan P. 600 x L. 0.75 x Jl. Urip Sumoharjo s/d 135.000.000 135.000.000 Jl. Pelabuhan 2.2. Pembuatan Tutup Got Besar Meningkatkat Kebersihan P. 400 x L. 2 RT. 04 & 05 RW. 002 40.000.000 40.000.000 2.3. Renovasi Got Jl. Kartini - Pelabuhan P. 300 x L. 0.40 RT. 04/01 s/d RT. 01/02 20.000.000 50.000.000 70.000.000 2.4. Renovasi Got Jl. Ir. Juanda P. 100 x L. 0.40 RT. 04 RW. 005 15.000.000 50.000.000 65.000.000 2.5. Pembuatan Got Jl. S Agung Barat - Gowa P. 250 x L. 0.40 RT. 06/04 - RT. 05/02 40.000.000 40.000.000 3. AIR BERSIH 3.1. Pipanisasi Air Bersih RW. 004 Atas Memenuhi Kebutuhan P. 2.000 m RT. 03, 05, 06, 07 RW. 004 85.000.000 36.000.000 121.000.000 3.2. Pipanisasi Air Bersih Jl. Pang. Sudirman dan Pelayanan P. 500 m RT. 001 RW. 005 50.000.000 6.800.000 56.800.000 3.3. Pipanisasi Air Bersih Jl. Adi Sucipto Air Bersih P. 400 m RT. 004 RW. 003 39.000.000 10.000.000 49.000.000 3.4. Pipanisasi Jl. Qomaruddin - Sunan Giri Masyarakat P. 700 m RT. 01- 02 RW. 003 65.000.000 24.000.000 89.000.000 4. FASILITAS PEMERINTAHAN 4.1. Pengadaan Proyektor dan Handycam Menunjang Kelancaran 1 Set Kantor Desa 10.000.000 10.000.000 4.2. Renovasi Kantor dan Balai Desa Meningkatkan Pelayanan P. 25 x L. 12 Jl. Pemuda RT. 03 RW. 02 300.000.000 300.000.000 4.3. Pembuatan Gudang Inventaris Desa Menunjang Keamanan P. 6 x L. 4 Jl. Pelabuhan RT. 01/002 36.000.000 36.000.000 4.4. Relokasi Kantor dan Balai Desa Meningkatkan Pelayanan 1.000 m2 Jl. Sultan Agung Timur 2.500.000.000 2.500.000.000
  • 5.
    4.5. Pembangunan GapuroBatas Desa Meningkatkan Keindahan 1 Unit RT. 006 RW. 004 100.000.000 100.000.000 4.6. Pembangunan Balai Pertemuan Dusun Meningkatkan Kinerja 1 Unit TKD Dusun Ngaren 1.000.000.000 25.000.000 1.025.000.000 5. SARANA PUBLIK LAINNYA 5.1. Pembangunan Gapuro dan Pagar Makam Meningkatkan Kerapian P. 200 x T. 1.5 Pemakaman Umum 225.000.000 225.000.000 5.2. Pengadaan Penerangan Jalan Poros Desa Meningkatkan Kerapian 10 Titik 10.000.000 10.000.000 5.3. Pembangunan Dermaga Timur Menunjang Ekonomi P. 10 x L. 2. T. 2 Pelabuhan Desa 115.000.000 115.000.000 5.4. Pembangunan Dermaga Dusun Ngaren Menunjang Ekonomi P. 10 x L. 2. T. 2 Pelabuhan Dsn. Ngaren 65.000.000 65.000.000 5.5. Pengadaan Mesin Perahu Tambangan Melancarkan Transportasi 2 Unit Penyebrangan Desa 50.000.000 50.000.000 5.6. Peremajaan Instalasi Penerangan Jalan Menjaga Keamanan 32 Titik Jl. Pelabuhan - Jl. A. Yani 10.000.000 10.000.000 5.7. Pembuatan Perahu di Dusun Ngaren Melancarkan Transportasi 1 Unit Pelabuhan Dusun Ngaren 50.000.000 50.000.000 5.8. Pembuatan Geladak Perahu Tambangan Melancarkan Transportasi 1 Unit Dermaga Timur 10.000.000 10.000.000 5.9. Pavingisasi Pelabuhan Dusun Ngaren Menunjang Ekonomi P. 20 x L. 8 Jl. KH. A. Wachid Hasyim 20.000.000 2.500.000 22.500.000 5.10. Pembuatan R. Tunggu Pelabuhan Menunjang Ekonomi P. 4 x L. 12 Jl. KH. A. Wachid Hasyim 45.000.000 2.500.000 47.500.000 7.588.500.000 476.250.000 356.050.000 8.400.800.000 Jl. Gowa - Perbatasan Desa JUMLAH