Probability and Statistics
Module 1
Measures of Central Tendency
Problems
Mean
Median
Geometric Mean
Mode
Harmonic Mean
3
MEAN
11:02:00 AM
 Statistics is a study on collection of data.
 Mean, Median and mode are called Measures of Central Tendency
 Mean = X/n
 Mean =
4
Median
11:02:00 AM
 Median : Middle value of the collection
 Find the cumulative frequency
 Find N/2 = f / 2
 See the cumulative the frequency just greater than N/2
 Corresponding value of x is the median class
 Apply the formula
 Median = L + [(N/2 – c)/f]*h
 L – Lower limit of the median class
 f- frequency of the median class
 c- cumulative frequency of the preceding to median class
 h- width of the class interval
5
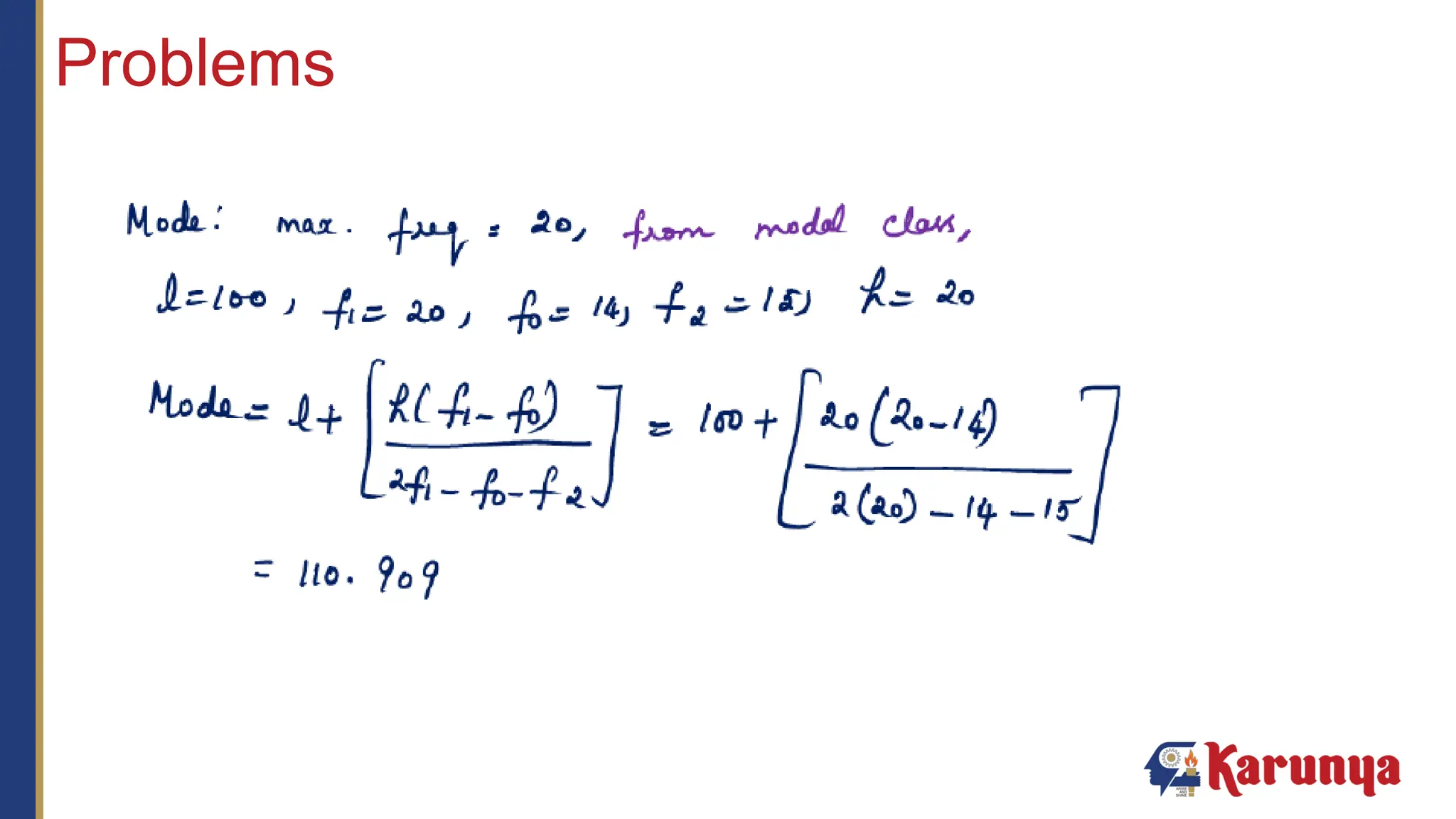
Mode
11:02:00 AM
 Mode : is the value which present most frequently in a set of
observations
 Mode =
 Maximum frequency is the modal class
 f_1 is the frequency of the modal class
 f_0 is the frequency of the class preceding the modal class
 f_2 is the frequency of the class succeeding the modal class
Problems
Problems
Problems
Problems
Problems
Problems
Problems
Problems
Problems
Problems
Problems
Problems
Problems
19
Geometric Mean
11:02:00 AM
 It is the nth root of the product in N given items denoted by
g =
log g = + )
log g = )
g = antilog( ))
20
Harmonic Median
11:02:00 AM
 It is the reciprocal of the arithmetic mean of the reciprocal of the
given items
HM =
21
Problems
11:02:01 AM
22
Problem
11:02:01 AM
Thank you
math mod 1.pptx problems and solutions for m3

math mod 1.pptx problems and solutions for m3