Embed presentation
Download to read offline




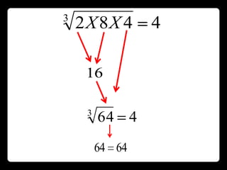
This document appears to contain mathematical calculations and operations written in an abbreviated format. It includes multiplication, division, addition and subtraction of various single-digit and double-digit numbers. The calculations produce answers such as 16, 64, 54 and 47.



