CHAPTER FIVE
Dielectric Materials
Dielectric Materials
A dielectric is an electrical insulator that can be polarized by an applied electric
field.
When a dielectric is placed in an electric field, electric charges do not flow through
the material as they do in a conductor, but only slightly shift from their average
equilibrium positions causing dielectric polarization.
 Because of dielectric polarization, positive charges are displaced toward the field
and negative charges shift in the opposite direction.
The difference between a dielectric and an insulator lies in their applications.
 If the main function of non-conducting material is to provide electrical insulation,
then they are called as insulator.
Cont…
On the other hand, if the main function of non-conducting material is to store
electrical charges then they are called as dielectrics.
 Ex: Mica, glass, plastic, water & polar molecules.
Properties of dielectric material
Generally, the dielectrics are non-metallic materials of high resistivity.
The have a very large energy gap (more than 3eV).
All the electrons in the dielectrics are tightly bound to their parent nucleus.
As there are no free electrons to carry the current, the electrical conductivity of
dielectrics is very low.
They have negative temperature coefficient and high insulation resistance.
Electric Dipole: A dipole is an entity in which equal positive and negative charges are separated by
a small distance..
Dipole Moment (µ): The product of magnitude of either of the charges and separation distance b/w
them is called Dipole moment.
µ = q . d  c – m
Permittivity: The Permittivity represents the easily polarizable nature of the dielectric or medium
denoted by ‘Є’ and the permittivity of free space or air is denoted by Є0. Its unit is Farad / Meter: Є0 =
8.854 x10-12 F/m
Dielectric Constant or Relative Permittivity: Dielectric Constant is the ratio between the
permittivity of the medium to the permittivity of free space.
The characteristics of a dielectric material are determined by the dielectric constant and it has no
units.
d
q -q
0


 
r
The most common term which are related to dielectric property
The ability of a dielectric to allow its charges to get separated in the presence of an
electric field is known as polaraisability.
Polarization vector (P): is the dipole moment per unit volume of the dielectric
material.
If “𝜇” is the average dipole moment per molecule and “N” is the number of
molecules per unit volume then the polarization of the solid is given by the
polarization vector P; 𝑃 = 𝑁𝜇
The dipole moment per unit volume of the solid is the sum of all the individual
dipole moments within that volume and is called polarization of the solid.
Dielectric Polarisablity (α): The process of producing electric dipoles by an
electric field is called polarization in dielectrics.
polarisability constant, /
E
E
E

 
  


 
Electric Flux Density or Electric Displacement (D): is the total number of electric
lines of force passing through the dielectric is known as electric flux density ‘D’.
As the polarization measures the additional flux density arising from the presence of
material as compared to free space:
Dielectric Susceptibility (Χ): It measures the amount of polarization in a given
electrical field produced in a dielectric.
)
1
(
D
since
P
E
D
i.e,
r
0
0
r
0
0
r
0
r
0
0




















E
P
E
E
P
P
E
E
E
0
0
0
0
0
( 1)
1
r
P E
P E
P
E
E
E




 


 





 
E
D 

The local field or internal field: In dielectric solids, the atoms or molecules experience not only
the external applied electric field but also the electric field produced by the dipoles.
The resultant electric field acting on the atoms or molecules of dielectric substance is called the
Local Field or Internal Field.
The local field is calculated by using the Lorentz method:
Clausius Mosotti Equation: The relation between the dielectric constant and the dielectric
polaraisablity is known as Clausius – Mosotti equation.
“N” is the number of molecules per unit volume
o
i
p
E
E

3


relation
Mosotti
Classius
......
2
1
3 0




r
r
e
N




)
2
...(
).........
1
(
on vector
polarizati
the
known that
We
)
1
.........(
..........
)
3
1
(
)
3
1
(
3
3
)
3
(
0
0
0
0
0
0













r
e
e
e
e
e
e
e
e
e
i
e
E
P
N
E
N
P
E
N
N
P
E
N
P
N
P
P
N
E
N
P
P
E
N
P
E
N
P

















relation
Mosotti
Classius
......
2
1
3
)
1
3
1
(
1
3
)
1
3
1
(
3
)
1
(
3
1
)
1
(
3
1
)
1
(
3
1
)
1
(
)
3
1
(
)
2
(
&
)
1
..(
eq
From
0
0
0
0
0
0
0
0
0
0
0






















r
r
e
r
e
r
e
r
e
e
r
e
e
r
e
e
r
e
e
N
N
N
N
N
E
E
N
N
E
E
N
N
E
N
E
N
ns






























The above equation relating α(dielectric polaraisablity ) and (dielectric constant) is
known as the Clausius – Mosotti relation.
Examples
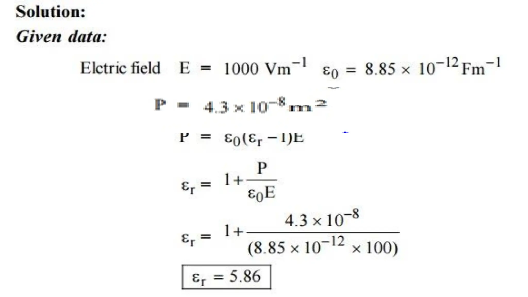
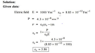
Example 1
If an ionic crystal is subjected to an electric field of
1000 V/m and the resulting polarization 4.3 × 10−8
𝑚2
. Calculate the relative permittivity of NaCl.
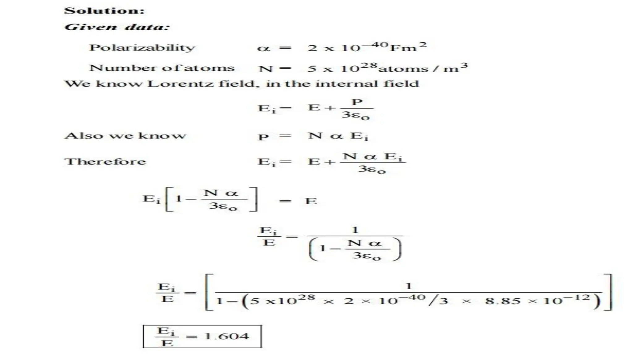
Example 2
A solid contains 5 × 1028 atoms/m3 each with a polarizability of 2×10–40 F
m2. Assuming that the internal field is given by Lorentz formula. Calculate
the ratio of internal field to the external field. ε0 = 8.854 × 10–12 Fm–1.
Example 4
Calculate the polarization produced in dielectric medium of dielectric
constant 6 when it is subjected to an electric field of 100 Vm–1. (ϵ0 = 8.854
× 10–12 Fm–1)
Electrical Polarization Mechanisms
The polarization in dielectrics takes place through four different
mechanisms.They are :
1. Electronic polarization: occur in all solids
2. Ionic polarization: Only occurs in ionically bonded solids
3. Orientation or dipole polarization:Where permanent dipoles orient in
the applied electric field
4. Space charge polarization: occurs at electrodes and is very important
in electrochemistry
Electronic Polarization
Electronic polarization occurs due to displacement of positively charged nucleus
and negatively charged electrons of an atom in the opposite directions on the
application of an electric field.
This will result in the creation of dipole moment in the dielectric.
 Dipole moment (μ) is proportional to the electric field strength (E).
μ α E
μ = αe E
Where (αe) is proportionality constant and it is known as electronic polarizability.
Electronic polarization takes place in almost all dielectrics.
Calculation of electronic polarizability
Without electric field
Consider an atom of a dielectric material of nuclear charge Ze.The electrons of
charge (-Ze) are distributed uniformly throughout the atom (sphere) of radius R as
shown in fig.
 The centre of the electron cloud and the positive nucleus are at the same point and hence there is no dipole
moment.
Negative charge density of an atom of radius R is given by
WITH ELECTRIC FIELD
 When the atom of the dielectric is placed in an electric field of strength E, two phenomenon's occur.
Lorentz force (due to electric field) will tend to move the nucleus and electron cloud of that atom from their
equilibrium positions.
 The positive nucleus will move towards the field direction and the electron cloud will move in the opposite
direction of the field as shown in fig. After separation, an attractive coulomb force arises between the nucleus
and the electron cloud which will tend to maintain the original equilibrium position.
3
3
Total negative charge
4
volume of the atom
3
3
( )...............................................................1
4
Ze
R
Ze
R




 
 
 The electron cloud and the nucleus move in opposite directions and they are separated by a
distance x, where there is a formation of electric dipole in the atom.
 When these two forces equal and opposite, there will be a new equilibrium between the
nucleus and the electron cloud of the atom.
 Lorentz force between the nucleus and the electron
 Coulomb attractive force between the nucleus and the electron cloud being separated at a
distance x,
Total number of negative charges enclosed In the sphere of radius x = charge
density x volume of the sphere of Radius x
...........................................2
L
F Ze E
 
2
2
o
4
charge×total negative charge inclosed in the sphere of radius R
...........................3
4 e x
p e
c
o
Q Q
F
x




3
3
3
3
3 4
( ( ) )
4 3
.........................4
Ze
x
R
Zex
R


 
 
Total positive charge of an atom present in the sphere of radius x,
Qp = + Ze
Substituting equation 4 in 3 we have
At equilibrium, Coulomb force and Lorentz must be equal and opposite.
FL = - FC
Substituting for FL and FC from equation 2 and 5 we have
3
3
2
o
2
3
o
( )
4 e x
( )
.....................5
4 e
Zex
ze
R
Fc
Ze x
R




 
2
3
o
3
o
3
o
( )
( )
4 e
E=
4 e
4 e
x= ................6
Ze x
Ze E
R
Zex
R
R
Ze



   
From the definition of dipole moment, induced dipole moment is given by
and dipole moment in terms of polarizability,
Substituting the value of x from 6 in 7 we have
µ𝑖𝑛𝑑 =
𝑍𝑒𝐸(4πε𝑜)𝑅3
𝑍𝑒
µ𝑖𝑛𝑑 = 𝐸(4πε𝑜)𝑅3
On comparing equation 7 and 8, we have
Where is called electronic polarizability.
 Electronic polarization is independent of temperature.
 It is proportional to the volume of atoms in the material.
 Electronic polarization takes place in all dielectrics.
ind e E
 

ind magnitude of charge x displacement
 
...................................7
ind eE
 

ind e
z x
 
ind

3
4
e o R
 

Example 1
Calculate the electronic polarizability of neon.The radius of neon
atom is 0.158 nm. ( = 8.854 × 10–12 Fm–1)
Example 2
Calculate the electronic Polarization factor of argon atom. Given at 𝜀𝑟 =
1.0024, 𝜀0 = 8.854 × 10−12F/m and N = 2.7 × 1025 atom 𝑚−3
Solution
Example 3
The dielectric constant of a helium gas at NTP is 1.0000684. Calculate the
electron polarizability of helium atoms if the gas contains 2.7 × 1026
atoms/m3 and hence calculate the radius of helium atom ( εo= 8.854 × 10–
12 Fm–1)
solution
Given
Relative permitivity
Number of atom in gas
Permitivity of free space
We know that polarization
and
1.0000684
r
 
26 3
2.7 10 /
N atom m
 
12
8.854 10 /
o F M
 
 
( 1)
o r
P E
 
 
P N E


( 1)
o r
N  
 
8.854 10
=
=2.42 10
12
26 3
42 2
( 1)
/ ( 1.0000684 1)
2.7 10 /
o r
r
N
F m
atom m
Fm
 






 


Electronic polarizablity
Then
3
4
e o R
 
 
2.42 10
3
42 2
3
12
11
4
4 8.854 10 /
2.718 10
e
o
R
Fm
F m









 
 
Ionic Polarization
Ionic Polarization which arises due to the displacement of cations (+ve) and anions (-
ve) in opposite directions and occurs in ionic solids in the presence of electric field, is
called ionic polarization.
Example : NaCl, KCl crystal.
Let us assume that there is one cation and one anion present in each unit cell of the
ionic crystal (Nacl).When an electric field is applied let X1 and X2 be the distance to
which positive and negative ions move from their equilibrium positions.
When the field is applied, the restoring force produced is proportional to the
1 2 ..........................1
x x x
 
,
i
The Resultant dipole moment per unit volume due to ionic displacement is given by
Dipole moment Charge Displacement
  
1 2
( )...........................................2
i e x x
  
Conclusion:
Ionic polarizability (αi ) is inversely proportional to the square of angular
frequency of the ionic molecule.
It is independent of temperature.
The orientation polarization is due to the existence of a permanent dipole moment
(polar molecule) in the dielectric medium.
Polar molecules have permanent dipole even in the absence of an electric field.
OREINTAIONAL POLARIZATION
 When an electric field is applied on the dielectric medium with polar molecules,
the electric field tries to align these dipoles along its field direction.
 Due to this there is a resultant dipole moment in that material and this process is
called orientation polarization.
Cont....
E
0
0 
 
Where 
0
 orientation Polaraisablity

0

T
kB
3
2

Where  = Permanent dipole moment of a dipole
KB= Boltzmann constant
T = Absolute temperature of the die electric
If N is the number of dipoles per unit volume then the orientation polarization is given by
P0 = N 0
 E
P0 =
T
k
E
N
B
3
2

Orientation polarization is inversely proportional to the temperature and is proportional to the square
of permanent dipole moment.
Space Charge Polarization
This occurs in materials in which only a few charge carriers are capable of
moving through small distances.
When the external electric field is applied these charge carriers move.
During their motion they get trapped or pile up against lattice defects.
These are called localized charges.These localized charges induce their
image charge on the surface of the dielectric material.
This leads to the development of net dipole moment across the material.
 Since this is very small it can be neglected.
Space charge polarization occurs at power frequencies (50-60 Hz).
Eg: ferrites and semiconductors
Cont…
Total polarization
The total polarization is the sum of electronic,ionic,orentation and space charge
polarization
Orentation polarization
Total polarization
 Total polarizablity
Here is very small and it can be neglected
This equation is known as Langevin-Debye equation
o o
P N E


T e i o s
P p p p p
   
T e i o s
    
   
s

T e i o
   
  
2 2
3
2
1 1
4 ( )
3
T o
o
e
R
M m KT

 

    
T T
P N E


2 2
3
2
1 1
(4 ( ) )
3
T o
o
e
P NE R
M m KT



    
Frequency And Temperature Dependence Of Polarization
Mechanism
Frequency dependence
On application of an alternating field across the material, the
polarization occurs as function of time.
Where Pm is the maximum polarization attained due to applied field and tr is the
relaxation time. Which is the time taken for a polarization process to reach 0.63 of the
maximum value. The relaxation times are different for different kinds of polarization
mechanisms.
 Electronic polarization is very fast and is completed at any instant of time even
when the frequency of the voltage is very high in the optical range (1015 Hz). Thus it
occurs at all frequencies.
Ionic Polarization
It is slower and the ions do not respond when the voltage corresponds to visible
optical frequencies, i.e., the electric field changes in polarity at very fast, so that the
ions are not able to reorient themselves due up to the field.
 So the ionic polarization does not occur at visible optical frequencies. It occurs only
at frequencies less than 1013 Hz.
Orientation Polarization is even slower than ionic polarization and occurs only at
electrical frequencies (audio and radio frequencies 106 Hz).
Space-charge polarization is the slowest process because the ions have to diffuse
(jump) over several inter atomic distances. This occurs at very low frequencies of 50
- 60 Hz (power frequencies).
Frequency Dependence of polaraisablity
 Thus at low frequencies all the four polarizations will occur and the total
polarization is very high, but at high frequencies, the value of the total polarization is
very small. The following graphs show the frequency dependence of polarization
mechanism and the corresponding power losses at those frequencies.
Temperature dependence
Orientation polarization decreases when temperature increases.
 Because the random nature decreases the tendency of permanent dipoles to
align along the field direction.Thus the dielectric constant increases.
Space charge polarization is directly proportional to the temperature.
The space charge polarization increases with increase the temperature.
 It is because of the fact that the thermal energy helps to overcome the
activation barrier and the ions diffuse easily, this results in decrease of
dielectric constant.
S.N Factor
1 Defination Electron cloud
shift from the
nucleus
Cation and
anion are
shifted
Regular
alignment of
random
molecule
takespalace
Ion diffusion
takesplace
2 Example Inert gas Ionic crystal Alcohol,metha
ne,
Semiconduct
s,
Ferrites
3 Temprature
dependence
Independent Independent Dependent Dependent
4 Relaxation
time
Very fast Slow Slower Slowest
5 Power loss Low High Higher Highest
6 Frequency
rane
7 polarizablity
e
p i
p o
p s
p
3
CH Cl
15
10 Hz
13
10 Hz 6
10 Hz 50 60Hz

Dielectric Breakdown
It is the most important property of real dielectrics. At relatively high fields, the electrons in the
dielectric gain enough energy to knock other charged particles and make them available for
conduction.
Thus for any dielectric material there is a maximum electric field that a material can withstand
without breaking down and losing its insulating quality.This field is called dielectric strength of the
material.
The dielectric strength is defined as the breakdown voltage per unit thickness of the material.
When a dielectric material loses its resistivity and permits very large current to flow through it, then
the phenomenon is called dielectric breakdown.
Cont...
There are many factors for dielectric breakdown which are
(1) Intrinsic breakdown: due to the external applied field
(2) Thermal breakdown: due to very high temperature
(3) Discharge breakdown: classified as external or internal
(4) Electro Chemical breakdown: due to high temperature
(5) Defect breakdown: due to deflection of the material.
Intrinsic Breakdown
 When the applied electric field is large, some of the electrons in the valence band cross over to the conduction
band across the large forbidden energy gap giving rise to large conduction currents.
 The liberation or movement of electrons from valence band is called field emission of electrons and the
breakdown is called the intrinsic breakdown.
Thermal Breakdown
It occurs in a dielectric when the rate of heat generation is greater than the rate of dissipation. Energy
due to the dielectric loss appears as heat.
If the rate of generation of heat is larger than the heat dissipated to the surrounding, the temperature
of the dielectric increases which eventually results in local melting.
Once melting starts, that particular region becomes highly conductive, enormous current flows
through the material and dielectric breakdown occurs.Thus thermal breakdown occurs at very high
temperatures.
Discharge breakdown:
Discharge breakdown is classified as external or internal.
External breakdown
It is generally caused by a glow or corona discharge .
Such discharges are normally observed at sharp edges of electrodes.
It causes deterioration of the adjacent dielectric medium.
It is accompanied by the formation of carbon so that the damaged areas become conducting leading
to power arc and complete failure of the dielectric.
 Dust or moisture on the surface of the dielectric may also cause external discharge breakdown.
Internal breakdown
occurs when the insulator contains blocked gas bubbles .
If large number of gas bubbles is present, this can occur even at low voltages.
Electro Chemical breakdown:
Chemical and electro chemical breakdown are related to thermal breakdown.
When temperature rises, mobility of ions increases and hence electrochemical reaction
takes place.
When ionic mobility increases leakage current also increases and this may lead to
dielectric breakdown.
Field induced chemical reaction gradually decreases the insulation resistance and finally
results in breakdown.
Defect breakdown:
If the surface of the dielectric material has defects such as cracks and porosity, then
impurities such as dust or moisture collect at these discontinuities leading to breakdown.
Also if it has defect in the form of strain in the material, that region will also break on
application of electric field.
REMEDIES FOR BREAKDOWN MECHANISMS
To avoid breakdown, the dielectric material should have the following properties.
It should have high resistivity.
It must possess high dielectric strength.
It should have sufficient mechanical strength.
Dielectric loss should be low.
 Thermal expansion should small.
 It should be fire proof.
 It should resistive to oils, liquids and gases.
 It must have less density.
 There should not be any defects.
 It must be in pure form.
Classification of Dielectric Materials
1. Piezo electricity
The process of creating electric polarization by mechanical pressure is called as
piezo electric effect.
This process is used in conversion of mechanical energy into electrical energy
and also electrical energy into mechanical energy.
Examples: quartz crystal , Rochelle salt etc.,
2. Ferro electricity
A material that shows spontaneous and reversible dielectric polarization.
Ferro electric crystals possess high dielectric constant.
Examples: Barium Titanate (BaTiO3) , Sodium nitrate (NaNO3) etc..
3. Pyro electricity
The ability of a material to spontaneously polarize and produce a voltage due to
changes in temperature.
Examples: Gallium Nitride and Calcium Nitrate
Applications
Dielectric materials are mainly used:
As insulating material
In dielectric wireless receiver
In capacitor to increase the capacitance
In dielectric resonator which is used to produce a narrow range of
frequencies mainly in microwave range
In mobile phones as piezoelectric receivers and speakers
In filters

material chapter 5 dielectric chapter five.pdf

  • 1.
  • 2.
    Dielectric Materials A dielectricis an electrical insulator that can be polarized by an applied electric field. When a dielectric is placed in an electric field, electric charges do not flow through the material as they do in a conductor, but only slightly shift from their average equilibrium positions causing dielectric polarization.  Because of dielectric polarization, positive charges are displaced toward the field and negative charges shift in the opposite direction. The difference between a dielectric and an insulator lies in their applications.  If the main function of non-conducting material is to provide electrical insulation, then they are called as insulator.
  • 3.
    Cont… On the otherhand, if the main function of non-conducting material is to store electrical charges then they are called as dielectrics.  Ex: Mica, glass, plastic, water & polar molecules. Properties of dielectric material Generally, the dielectrics are non-metallic materials of high resistivity. The have a very large energy gap (more than 3eV). All the electrons in the dielectrics are tightly bound to their parent nucleus. As there are no free electrons to carry the current, the electrical conductivity of dielectrics is very low. They have negative temperature coefficient and high insulation resistance.
  • 4.
    Electric Dipole: Adipole is an entity in which equal positive and negative charges are separated by a small distance.. Dipole Moment (µ): The product of magnitude of either of the charges and separation distance b/w them is called Dipole moment. µ = q . d  c – m Permittivity: The Permittivity represents the easily polarizable nature of the dielectric or medium denoted by ‘Є’ and the permittivity of free space or air is denoted by Є0. Its unit is Farad / Meter: Є0 = 8.854 x10-12 F/m Dielectric Constant or Relative Permittivity: Dielectric Constant is the ratio between the permittivity of the medium to the permittivity of free space. The characteristics of a dielectric material are determined by the dielectric constant and it has no units. d q -q 0     r The most common term which are related to dielectric property
  • 5.
    The ability ofa dielectric to allow its charges to get separated in the presence of an electric field is known as polaraisability. Polarization vector (P): is the dipole moment per unit volume of the dielectric material. If “𝜇” is the average dipole moment per molecule and “N” is the number of molecules per unit volume then the polarization of the solid is given by the polarization vector P; 𝑃 = 𝑁𝜇 The dipole moment per unit volume of the solid is the sum of all the individual dipole moments within that volume and is called polarization of the solid. Dielectric Polarisablity (α): The process of producing electric dipoles by an electric field is called polarization in dielectrics. polarisability constant, / E E E          
  • 6.
    Electric Flux Densityor Electric Displacement (D): is the total number of electric lines of force passing through the dielectric is known as electric flux density ‘D’. As the polarization measures the additional flux density arising from the presence of material as compared to free space: Dielectric Susceptibility (Χ): It measures the amount of polarization in a given electrical field produced in a dielectric. ) 1 ( D since P E D i.e, r 0 0 r 0 0 r 0 r 0 0                     E P E E P P E E E 0 0 0 0 0 ( 1) 1 r P E P E P E E E                  E D  
  • 7.
    The local fieldor internal field: In dielectric solids, the atoms or molecules experience not only the external applied electric field but also the electric field produced by the dipoles. The resultant electric field acting on the atoms or molecules of dielectric substance is called the Local Field or Internal Field. The local field is calculated by using the Lorentz method: Clausius Mosotti Equation: The relation between the dielectric constant and the dielectric polaraisablity is known as Clausius – Mosotti equation. “N” is the number of molecules per unit volume o i p E E  3   relation Mosotti Classius ...... 2 1 3 0     r r e N    
  • 8.
    ) 2 ...( )......... 1 ( on vector polarizati the known that We ) 1 .........( .......... ) 3 1 ( ) 3 1 ( 3 3 ) 3 ( 0 0 0 0 0 0              r e e e e e e e e e i e E P N E N P E N N P E N P N P P N E N P P E N P E N P                  relation Mosotti Classius ...... 2 1 3 ) 1 3 1 ( 1 3 ) 1 3 1 ( 3 ) 1 ( 3 1 ) 1 ( 3 1 ) 1 ( 3 1 ) 1 ( ) 3 1 ( ) 2 ( & ) 1 ..( eq From 0 0 0 0 0 0 0 0 0 0 0                       r r e r e r e r e e r e e r e e r e e N N N N N E E N N E E N N E N E N ns                               Theabove equation relating α(dielectric polaraisablity ) and (dielectric constant) is known as the Clausius – Mosotti relation.
  • 9.
    Examples Example 1 If anionic crystal is subjected to an electric field of 1000 V/m and the resulting polarization 4.3 × 10−8 𝑚2 . Calculate the relative permittivity of NaCl.
  • 11.
    Example 2 A solidcontains 5 × 1028 atoms/m3 each with a polarizability of 2×10–40 F m2. Assuming that the internal field is given by Lorentz formula. Calculate the ratio of internal field to the external field. ε0 = 8.854 × 10–12 Fm–1.
  • 13.
    Example 4 Calculate thepolarization produced in dielectric medium of dielectric constant 6 when it is subjected to an electric field of 100 Vm–1. (ϵ0 = 8.854 × 10–12 Fm–1)
  • 15.
    Electrical Polarization Mechanisms Thepolarization in dielectrics takes place through four different mechanisms.They are : 1. Electronic polarization: occur in all solids 2. Ionic polarization: Only occurs in ionically bonded solids 3. Orientation or dipole polarization:Where permanent dipoles orient in the applied electric field 4. Space charge polarization: occurs at electrodes and is very important in electrochemistry
  • 16.
    Electronic Polarization Electronic polarizationoccurs due to displacement of positively charged nucleus and negatively charged electrons of an atom in the opposite directions on the application of an electric field. This will result in the creation of dipole moment in the dielectric.  Dipole moment (μ) is proportional to the electric field strength (E). μ α E μ = αe E Where (αe) is proportionality constant and it is known as electronic polarizability. Electronic polarization takes place in almost all dielectrics. Calculation of electronic polarizability Without electric field Consider an atom of a dielectric material of nuclear charge Ze.The electrons of charge (-Ze) are distributed uniformly throughout the atom (sphere) of radius R as shown in fig.
  • 17.
     The centreof the electron cloud and the positive nucleus are at the same point and hence there is no dipole moment. Negative charge density of an atom of radius R is given by WITH ELECTRIC FIELD  When the atom of the dielectric is placed in an electric field of strength E, two phenomenon's occur. Lorentz force (due to electric field) will tend to move the nucleus and electron cloud of that atom from their equilibrium positions.  The positive nucleus will move towards the field direction and the electron cloud will move in the opposite direction of the field as shown in fig. After separation, an attractive coulomb force arises between the nucleus and the electron cloud which will tend to maintain the original equilibrium position. 3 3 Total negative charge 4 volume of the atom 3 3 ( )...............................................................1 4 Ze R Ze R        
  • 18.
     The electroncloud and the nucleus move in opposite directions and they are separated by a distance x, where there is a formation of electric dipole in the atom.  When these two forces equal and opposite, there will be a new equilibrium between the nucleus and the electron cloud of the atom.  Lorentz force between the nucleus and the electron  Coulomb attractive force between the nucleus and the electron cloud being separated at a distance x, Total number of negative charges enclosed In the sphere of radius x = charge density x volume of the sphere of Radius x ...........................................2 L F Ze E   2 2 o 4 charge×total negative charge inclosed in the sphere of radius R ...........................3 4 e x p e c o Q Q F x     3 3 3 3 3 4 ( ( ) ) 4 3 .........................4 Ze x R Zex R      
  • 19.
    Total positive chargeof an atom present in the sphere of radius x, Qp = + Ze Substituting equation 4 in 3 we have At equilibrium, Coulomb force and Lorentz must be equal and opposite. FL = - FC Substituting for FL and FC from equation 2 and 5 we have 3 3 2 o 2 3 o ( ) 4 e x ( ) .....................5 4 e Zex ze R Fc Ze x R       2 3 o 3 o 3 o ( ) ( ) 4 e E= 4 e 4 e x= ................6 Ze x Ze E R Zex R R Ze       
  • 20.
    From the definitionof dipole moment, induced dipole moment is given by and dipole moment in terms of polarizability, Substituting the value of x from 6 in 7 we have µ𝑖𝑛𝑑 = 𝑍𝑒𝐸(4πε𝑜)𝑅3 𝑍𝑒 µ𝑖𝑛𝑑 = 𝐸(4πε𝑜)𝑅3 On comparing equation 7 and 8, we have Where is called electronic polarizability.  Electronic polarization is independent of temperature.  It is proportional to the volume of atoms in the material.  Electronic polarization takes place in all dielectrics. ind e E    ind magnitude of charge x displacement   ...................................7 ind eE    ind e z x   ind  3 4 e o R   
  • 21.
    Example 1 Calculate theelectronic polarizability of neon.The radius of neon atom is 0.158 nm. ( = 8.854 × 10–12 Fm–1)
  • 23.
    Example 2 Calculate theelectronic Polarization factor of argon atom. Given at 𝜀𝑟 = 1.0024, 𝜀0 = 8.854 × 10−12F/m and N = 2.7 × 1025 atom 𝑚−3
  • 24.
  • 25.
    Example 3 The dielectricconstant of a helium gas at NTP is 1.0000684. Calculate the electron polarizability of helium atoms if the gas contains 2.7 × 1026 atoms/m3 and hence calculate the radius of helium atom ( εo= 8.854 × 10– 12 Fm–1)
  • 26.
    solution Given Relative permitivity Number ofatom in gas Permitivity of free space We know that polarization and 1.0000684 r   26 3 2.7 10 / N atom m   12 8.854 10 / o F M     ( 1) o r P E     P N E   ( 1) o r N     8.854 10 = =2.42 10 12 26 3 42 2 ( 1) / ( 1.0000684 1) 2.7 10 / o r r N F m atom m Fm            
  • 27.
    Electronic polarizablity Then 3 4 e oR     2.42 10 3 42 2 3 12 11 4 4 8.854 10 / 2.718 10 e o R Fm F m             
  • 28.
    Ionic Polarization Ionic Polarizationwhich arises due to the displacement of cations (+ve) and anions (- ve) in opposite directions and occurs in ionic solids in the presence of electric field, is called ionic polarization. Example : NaCl, KCl crystal. Let us assume that there is one cation and one anion present in each unit cell of the ionic crystal (Nacl).When an electric field is applied let X1 and X2 be the distance to which positive and negative ions move from their equilibrium positions. When the field is applied, the restoring force produced is proportional to the 1 2 ..........................1 x x x   , i The Resultant dipole moment per unit volume due to ionic displacement is given by Dipole moment Charge Displacement    1 2 ( )...........................................2 i e x x   
  • 30.
    Conclusion: Ionic polarizability (αi) is inversely proportional to the square of angular frequency of the ionic molecule. It is independent of temperature.
  • 31.
    The orientation polarizationis due to the existence of a permanent dipole moment (polar molecule) in the dielectric medium. Polar molecules have permanent dipole even in the absence of an electric field. OREINTAIONAL POLARIZATION  When an electric field is applied on the dielectric medium with polar molecules, the electric field tries to align these dipoles along its field direction.  Due to this there is a resultant dipole moment in that material and this process is called orientation polarization.
  • 32.
    Cont.... E 0 0    Where 0  orientation Polaraisablity  0  T kB 3 2  Where  = Permanent dipole moment of a dipole KB= Boltzmann constant T = Absolute temperature of the die electric If N is the number of dipoles per unit volume then the orientation polarization is given by P0 = N 0  E P0 = T k E N B 3 2  Orientation polarization is inversely proportional to the temperature and is proportional to the square of permanent dipole moment.
  • 33.
    Space Charge Polarization Thisoccurs in materials in which only a few charge carriers are capable of moving through small distances. When the external electric field is applied these charge carriers move. During their motion they get trapped or pile up against lattice defects. These are called localized charges.These localized charges induce their image charge on the surface of the dielectric material. This leads to the development of net dipole moment across the material.  Since this is very small it can be neglected. Space charge polarization occurs at power frequencies (50-60 Hz). Eg: ferrites and semiconductors
  • 34.
  • 35.
    Total polarization The totalpolarization is the sum of electronic,ionic,orentation and space charge polarization Orentation polarization Total polarization  Total polarizablity Here is very small and it can be neglected This equation is known as Langevin-Debye equation o o P N E   T e i o s P p p p p     T e i o s          s  T e i o        2 2 3 2 1 1 4 ( ) 3 T o o e R M m KT          T T P N E   2 2 3 2 1 1 (4 ( ) ) 3 T o o e P NE R M m KT        
  • 36.
    Frequency And TemperatureDependence Of Polarization Mechanism Frequency dependence On application of an alternating field across the material, the polarization occurs as function of time. Where Pm is the maximum polarization attained due to applied field and tr is the relaxation time. Which is the time taken for a polarization process to reach 0.63 of the maximum value. The relaxation times are different for different kinds of polarization mechanisms.  Electronic polarization is very fast and is completed at any instant of time even when the frequency of the voltage is very high in the optical range (1015 Hz). Thus it occurs at all frequencies.
  • 37.
    Ionic Polarization It isslower and the ions do not respond when the voltage corresponds to visible optical frequencies, i.e., the electric field changes in polarity at very fast, so that the ions are not able to reorient themselves due up to the field.  So the ionic polarization does not occur at visible optical frequencies. It occurs only at frequencies less than 1013 Hz. Orientation Polarization is even slower than ionic polarization and occurs only at electrical frequencies (audio and radio frequencies 106 Hz). Space-charge polarization is the slowest process because the ions have to diffuse (jump) over several inter atomic distances. This occurs at very low frequencies of 50 - 60 Hz (power frequencies).
  • 38.
    Frequency Dependence ofpolaraisablity  Thus at low frequencies all the four polarizations will occur and the total polarization is very high, but at high frequencies, the value of the total polarization is very small. The following graphs show the frequency dependence of polarization mechanism and the corresponding power losses at those frequencies.
  • 39.
    Temperature dependence Orientation polarizationdecreases when temperature increases.  Because the random nature decreases the tendency of permanent dipoles to align along the field direction.Thus the dielectric constant increases. Space charge polarization is directly proportional to the temperature. The space charge polarization increases with increase the temperature.  It is because of the fact that the thermal energy helps to overcome the activation barrier and the ions diffuse easily, this results in decrease of dielectric constant.
  • 40.
    S.N Factor 1 DefinationElectron cloud shift from the nucleus Cation and anion are shifted Regular alignment of random molecule takespalace Ion diffusion takesplace 2 Example Inert gas Ionic crystal Alcohol,metha ne, Semiconduct s, Ferrites 3 Temprature dependence Independent Independent Dependent Dependent 4 Relaxation time Very fast Slow Slower Slowest 5 Power loss Low High Higher Highest 6 Frequency rane 7 polarizablity e p i p o p s p 3 CH Cl 15 10 Hz 13 10 Hz 6 10 Hz 50 60Hz 
  • 41.
    Dielectric Breakdown It isthe most important property of real dielectrics. At relatively high fields, the electrons in the dielectric gain enough energy to knock other charged particles and make them available for conduction. Thus for any dielectric material there is a maximum electric field that a material can withstand without breaking down and losing its insulating quality.This field is called dielectric strength of the material. The dielectric strength is defined as the breakdown voltage per unit thickness of the material. When a dielectric material loses its resistivity and permits very large current to flow through it, then the phenomenon is called dielectric breakdown.
  • 42.
    Cont... There are manyfactors for dielectric breakdown which are (1) Intrinsic breakdown: due to the external applied field (2) Thermal breakdown: due to very high temperature (3) Discharge breakdown: classified as external or internal (4) Electro Chemical breakdown: due to high temperature (5) Defect breakdown: due to deflection of the material.
  • 43.
    Intrinsic Breakdown  Whenthe applied electric field is large, some of the electrons in the valence band cross over to the conduction band across the large forbidden energy gap giving rise to large conduction currents.  The liberation or movement of electrons from valence band is called field emission of electrons and the breakdown is called the intrinsic breakdown. Thermal Breakdown It occurs in a dielectric when the rate of heat generation is greater than the rate of dissipation. Energy due to the dielectric loss appears as heat. If the rate of generation of heat is larger than the heat dissipated to the surrounding, the temperature of the dielectric increases which eventually results in local melting. Once melting starts, that particular region becomes highly conductive, enormous current flows through the material and dielectric breakdown occurs.Thus thermal breakdown occurs at very high temperatures.
  • 44.
    Discharge breakdown: Discharge breakdownis classified as external or internal. External breakdown It is generally caused by a glow or corona discharge . Such discharges are normally observed at sharp edges of electrodes. It causes deterioration of the adjacent dielectric medium. It is accompanied by the formation of carbon so that the damaged areas become conducting leading to power arc and complete failure of the dielectric.  Dust or moisture on the surface of the dielectric may also cause external discharge breakdown. Internal breakdown occurs when the insulator contains blocked gas bubbles . If large number of gas bubbles is present, this can occur even at low voltages.
  • 45.
    Electro Chemical breakdown: Chemicaland electro chemical breakdown are related to thermal breakdown. When temperature rises, mobility of ions increases and hence electrochemical reaction takes place. When ionic mobility increases leakage current also increases and this may lead to dielectric breakdown. Field induced chemical reaction gradually decreases the insulation resistance and finally results in breakdown. Defect breakdown: If the surface of the dielectric material has defects such as cracks and porosity, then impurities such as dust or moisture collect at these discontinuities leading to breakdown. Also if it has defect in the form of strain in the material, that region will also break on application of electric field.
  • 46.
    REMEDIES FOR BREAKDOWNMECHANISMS To avoid breakdown, the dielectric material should have the following properties. It should have high resistivity. It must possess high dielectric strength. It should have sufficient mechanical strength. Dielectric loss should be low.  Thermal expansion should small.  It should be fire proof.  It should resistive to oils, liquids and gases.  It must have less density.  There should not be any defects.  It must be in pure form.
  • 47.
    Classification of DielectricMaterials 1. Piezo electricity The process of creating electric polarization by mechanical pressure is called as piezo electric effect. This process is used in conversion of mechanical energy into electrical energy and also electrical energy into mechanical energy. Examples: quartz crystal , Rochelle salt etc., 2. Ferro electricity A material that shows spontaneous and reversible dielectric polarization. Ferro electric crystals possess high dielectric constant. Examples: Barium Titanate (BaTiO3) , Sodium nitrate (NaNO3) etc.. 3. Pyro electricity The ability of a material to spontaneously polarize and produce a voltage due to changes in temperature. Examples: Gallium Nitride and Calcium Nitrate
  • 48.
    Applications Dielectric materials aremainly used: As insulating material In dielectric wireless receiver In capacitor to increase the capacitance In dielectric resonator which is used to produce a narrow range of frequencies mainly in microwave range In mobile phones as piezoelectric receivers and speakers In filters