To St udy t he Current MarketTo St udy t he Current Market
Scenario and t he Fut ure ProspectScenario and t he Fut ure Prospect
of the Leat her Chemical I ndust ry ofof the Leat her Chemical I ndust ry of
BangladeshBangladesh
1
“To Study the Current Market Scenario and the
Future Prospect of Leather Chemical Industry of
Bangladesh”
Internship ReportInternship Report
Submitted To:
MR. AZMAL HOSSAINMR. AZMAL HOSSAIN
Executive Director
ACI Trading Limited.
Submitted By:
Mohammad Tawhid ReazMohammad Tawhid Reaz
Internee,
ACI Trading Limited.
A D V A N C E D C H E M I C A L I N D U S T R I S L I M I T E D
245, Tejgaon Industries Area,
Dhaka- 1208.
Date: 25 June, 2006.
2
June 24, 2006
Mr. Golam Mohammed Chowdhury
Chairman
Internship & Placement Office
Institute of Business Administration
University of Dhaka
Dhaka-1000
Dear Sir:
Subject: Internship Report on
“To study the current market scenario and the future prospect of the leather chemical
industry of Bangladesh”.
It is my pleasure to present this Report on “To study the current market scenario and the future
prospect of the leather chemical industry of Bangladesh” as a requirement for completing my Masters
in Business Administration with concentration in Marketing. The report presents my findings
and analyses on the Leather chemical industry of Bangladesh and the project I worked on for
the last 10 weeks in ACI Trading Limited.
I am grateful to you and my supervisors; Mr. Mustaque Ahmed, Assistant Professor,
IBA and Dr. Azmal Hussain, Executive Director, ACI Trading Limited, for giving me the
opportunity to carry out this report.
With kind regards
Sincerely yours,
Mohammad Tawhid Reaz
Roll 037
Batch 38
MBA Program
Institute of Business Administration
University of Dhaka
3
Acknowledgement
In preparing this report for ACI Trading Limited, I Have received commendable support
from all the employees of Leather division of ACI Trading Limited.
I am very much grateful to my organizational supervisor Mr. Azmal Hossain, Executive
Director, ACI Trading Limited, to give the opportunity to work on such a challenging
project. He has given me all kind official support to complete the report perfectly.
I like to thank Mr. Saiful Azam Kashem, Senior Technical Sales Officer, Mr. Munirul
Islam, Technical Sales Officer and Mr. Abul Khayer of ACI trading limited for helping me
in every aspect for the completion of the report.
I am very much indebted to my supervisor Mr. Mustaque Ahmed, Assistant Professor,
IBA, University of Dhaka for giving me direction at different times to prepare this report. It
is his guided supervision that resulted in successful completion and timely submission of
the report.
I am thankful to my friend Mr. Fahim bin Asmat, Program Assistant, Leather Sector
Business Promotion Council (LSBPC) to let me study their valuable research reports and
guide me with his expert opinion.
I also like to thank all the librarians of various libraries to let me utilize their library
facilities, all the experts, members of different leather and tanners associations, and all the
other interviewees to help me with their resourceful contribution. (N.T: Name of the main
interviewees and the organization visited for completing this report is given in Appendix)
4
June 25, 2006
Mr. Azmal Hossain
Executive Director
ACI Trading Limited
Dear Sir:
Subject:Internship Report on
“To study the current market scenario and the future prospect of the leather chemical
industry of Bangladesh”.
It is my pleasure to present this Report on “To study the current market scenario and the
future prospect of the leather chemical industry of Bangladesh” as a requirement for
completing my Masters in Business Administration (MBA) program with concentration
in Marketing. The report presents my findings and analyses on the Leather chemical
industry of Bangladesh and the project I worked on for the last 10 weeks in ACI
Trading Limited.
I am grateful to you for your organizational co-operation as an organizational
supervisor and to my supervisor; Mr. Mustaque Ahmed, Associate Professor, IBA and
Prof. Golam Mohammed Chowdhury, Chairman, Placement & Internship Program,
Institute of Business Administration for giving me the opportunity to carry out this
report.
With kind regards
Sincerely yours,
Mohammad Tawhid Reaz
Roll 037
Batch 38
MBA Program
Institute of Business Administration
University of Dhaka
5
TABLE OF CONTENTS
Pg.
EXECUTIVE SUMMARY 1
CHAPTER ONE
3
1. INTRODUCTION 3
1.1. ORIGIN OF THE REPORT 3
1.2. OBJECTIVE 3
1.2.1 BROAD OBJECTIVE 3
1.2.2 SPECIFIC OBJECTIVES 3
1.3 SCOPE OF THE RESEARCH 4
1.4 METHODOLOGY 4
1.5 LIMITATIONS 5
CHAPTER TWO
6
2. ABOUT THE ORGANIZATION 6
2.1. COMPANY PROFILE AT A GLANCE 6
2.1.1 STRATEGIC BUSINESS UNITS 6
2.1.2 SUBSIDIARIES 6
2.1.3 EXECUTIVE MANAGEMENT 7
2.1.4 FINANCIALS (YEAR ENDING DEC, 2004) 7
2.2 BACKGROUND 8
2.3 COMPANY MISSION 8
2.4 COMPANY VISION 8
2.5 VALUES 9
2.6 DISTRIBUTION NETWORK 9
2.7 BUSINESS UNITS 10
2.7.1 ACI PHARMACEUTICALS 10
2.7.2 ACI CROP CARE AND PUBLIC HEALTH DIVISION 10
2.7.3 ACI CONSUMER BRANDS 10
2.8 MANUFACTURING STANDARDS 11
2.9 DIVERSIFICATION INTO NEW INDUSTRIES 11
2.10 ACI FORMULATION LIMITED 12
2.11 QUALITY POLICY 12
2.12 BUSINESS PERFORMANCE AND GROWTH SCENARIO OF ACI LIMITED 13
2.13 ACI TARDING LIMITED 15
6
2.13.1 ORGANOGRAM- BUSINESS MANAGEMENT 16
2.13.2 ORGANOGRAM- BUSINESS SUPPORT FUNCTIONS 16
2.13.3 ORGANOGRAM OF ACI TRADING LIMITED (FOCUSING LEATHER
CHEMICAL DIVISION)
17
2.13.4 MISSION 18
2.13.5 STRATEGIC OBJECTIVE 18
2.13.6 INDENT SALES GROWTH FROM 2002-2005 & BUDGET 2006 18
2.13.7 EX-STOCK SALES GROWTH FROM 2002-2005 & BUDGET 2006 19
2.13.8 PROFIT & LOSS BUDGET 2006 20
2.13.9 SWOT ANALYSIS OF ACI TRADING LIMITED 21
2.13.1
0
BUSINESS STRATEGY 21
2.13.1
1
KEY DIFFERENTIATING FACTORS THAT ATTRACTS CUSTOMERS 22
2.13.1
2
PRODUCTS, CUSTOMERS & SUPPLIER BASE UP TO 2005 22
2.13.1
3
MAJOR DEVELOPMENT THROUGH INITIATIVE IN 2005 23
2.13.1
4
INITIATIVE TO BE TAKEN IN 2006 23
CHAPTER THREE
24
3. LEATHER INDUSTRY OF BANGLADESH 24
3.0 LEATHER INDUSTRY BACKGROUND 24
3.0.1 THE LEATHER INDUSTRY IN BANGLADESH 24
3.0.2 THE BEGINNING OF THE TANNERY 24
3.0.3 POST LIBERATION PERIOD 25
3.0.4 PRESENT CONDITION 25
CHAPTER FOUR
27
4. PRODUCTION 27
4.0 LEATHER SECTOR IN THE ECONOMY OF BANGLADESH 27
CHAPTER FIVE
31
7
5 LEATHER EXPORT 31
5.1 LEATHER EXPORT PERFORMATION OF BANGLADESH 31
5.2 SALES & EXPORTS OF LEATHER SECTOR ENTERPRISE/FIRMS 34
5.2.1 SALES & EXPORTS: LEATHER PROCESSING 35
5.2.2 SALES & EXPORTS: FOOTWEAR 36
5.2.3 SALES & EXPORTS: LEATHER GOODS 36
CHAPTER SIX
39
6 RAW MATERIALS 39
6.1 RAW MATERIALS USED BY THE LEATHER FIRMS 40
6.2 RAW MATERIALS: LEATHER PROCESSING 40
6.2.1 RAW MATERIALS FOR WET BLUE 40
6.2.2 RAW MATERIALS FOR CRUST 41
6.2.3 RAW MATERIALS FOR FINISHED LEATHER 43
6.2.4 RAW MATERIALS: FOOTWEAR 43
6.2.5 RAW MATERIALS: LEATHER GOODS 44
6.3 AVAILABILITY OF RAW MATERIALS IN BANGLADESH 45
CHAPTER SEVEN
46
7 SWOT ANALYSIS 46
7.1 STRENGTHS 46
7.1.1 STRENGTHS OF THE FIRMS: LEATHER PROCESSING 46
7.1.2 STRENGTHS OF THE FIRMS: LEATHER FOOTWEAR 47
7.1.3 STRENGTHS OF THE FIRMS: LEATHER GOODS 48
7.2 WEAKNESSES 50
7.2.1 WEAKNESSES OF THE FIRMS: LEATHER PROCESSING 50
7.2.2 WEAKNESSES OF THE FIRMS: LEATHER FOOTWEAR 51
7.2.3 WEAKNESSES OF THE FIRMS: LEATHER GOODS 52
7.3 OPPORTUNITIES 53
7.3.1 OPPORTUNITIES OF THE FIRMS: LEATHER PROCESSING 53
7.3.2 OPPORTUNITIES OF THE FIRMS: LEATHER FOOTWEAR 54
7.3.3 OPPORTUNITIES OF THE FIRMS: LEATHER GOODS 55
7.4 THREATS 56
8
7.4.1 THREATS OF THE FIRMS: LEATHER PROCESSING 56
7.4.2 THREATS OF THE FIRMS: LEATHER FOOTWEAR 57
7.4.3 THREATS OF THE FIRMS: LEATHER GOODS 59
CHAPTER EIGHT
60
8 PRODUCTION STAGES 60
8.1 PRODUCTION STAGES IN LEATHER PROCESSING INDUSTRY 60
8.2 PRODUCTION STAGES IN LEATHER GOODS & FOOTWEAR INDUSTRY 61
8.3 DESCRIPTION OF THE VARIOUS STAGES OF LEATHER PROCESSING 62
8.3.1 WET BLUE SECTION 62
8.3.2 CRUST SECTION 63
8.3.3 FINISHING SECTION 64
CHAPTER NINE
65
9.0 LEATHER CHEMICALS & ACCESSORIES 65
(DATA COLLECTED FROM PRIMARY SURVEY)
9.1 CHEMICALS & ACCESSIORIES: LEATHER SECTOR 66
9.1.1 CHEMICALS: LEATHER PROCESSING: WET-BLUE 66
9.1.2 LEATHER PROCESSING: CRUST LEATHER 68
9.1.3 LEATHER PROCESSING: FINISHED LEATHER 69
9.2 CHEMICAL AND ACCESIORIES : FOOTWEAR 70
9.3 CHEMICAL AND ACCESIORIES : LEATHER GOODS 72
CHAPTER TEN
73
10.0 MAJOR PLAYERS OF THE LEATHER CHEMICAL INDUSTRY 73
(DATA COLLECTED FROM PRIMARY SURVEY)
10.1 MARKET SHARE OF MAJOR BEAM HOUSE CHEMICAL SUPPLIERS
(WET BLUE)
73
10.1.1 TOTAL QUANTITY WISE MARKET SHARE (WET BLUE) 76
10.2 MARKET SHARE OF CHEMICAL SUPPLIERS (WET BLUE TO CRUST) 77
10.2.1 TOTAL QUANTITY WISE MARKET SHARE (CRUST) 79
10.3 MARKET SHARE OF CHEMICAL SUPPLIERS (CRUST TO FINISH) 80
9
10.3.1 TOTAL QUANTITY WISE MARKET SHARE (FINISHING) 80
CHAPTER ELEVEN
81
11 FINDINGS AND RECOMMENDATIONS 81
11.1 PROBLEMS OF ACI TRADING AND STAHL INLEATHER CHEMICAL
MARKETING
83
APPENDIXAPPENDIX A1A1
85
APPENDIXAPPENDIX A2A2
91
APPENDIXAPPENDIX A3A3
92
APPENDIXAPPENDIX A4A4
95
APPENDIXAPPENDIX A5A5
96
APPENDIXAPPENDIX A6A6
98
APPENDIXAPPENDIX A7A7
107
APPENDIXAPPENDIX BB
111
APPENDIXAPPENDIX CC11
113
APPENDIXAPPENDIX CC22
117
REFERENCESREFERENCES
118
10
Executive Summary
The history of the leather sector and tannery industry in Bangladesh started when R.P Saha set up
first tannery in Narayanganj back in 1940. It was later shifted to Hazaribagh area of Dhaka, which
turned into a location that now accommodates a large number of tannery units of the whole country.
At present, the leather sector of Bangladesh has 220 processing units located at different parts of
the country (mainly in Hazaribagh, Dhaka). But only 28 tanneries are in operation, among them 20
are operating in crust section and 8 are in finishing section.
Total capital invested in the tannery industry is estimated at Tk 2.5 billion, of which
government/bank finance is about Tk 1.2 billion. Bangladesh currently produces about 20.0 million
sq. meters of leather and leather goods per year. Contribution of leather sector (hide &skin, leather
and leather goods, and footwear except rubber) to GDP is 0.31 (at constant price) in FY 2003.
According to Leather Sector Census Study,2005 total production of wet blue leather in 2003 was
3,50,60,000 square feet, crust leather 6,61,72,000 square feet, finished leather 13,48,20,000 feet,
whereas 1,67,66,000 pairs of leather footwear were produced in 2003 and 766000 pieces of leather
goods were produced in 2003. In 2004, 247 million square feet raw hides were available for the
leather industry, among which cow and buffalo hides were 184 million square feet and goat and
sheep skin were 6 million sq.ft. According to a report published by FAO in 2003 the numbers of
bovine animals in Bangladesh were 2,48,30,000 in 2002; the number of sheep and lambs were
11,43,000 and there were 3,44,00,000 goats and kids in Bangladesh.
Bangladesh has exported leather and leather goods worth 220.93 Mn. US$ in 2004-2005, whereas it
has exported 211.41 Mn. US$ valued leather and leather goods in 2003-04. The export target for
2005-06 is 235 Mn.US$ in which the export performance achieved in July2005-November2005
was 96.21Mn. US$. Total export of Bangladesh in 2004-05 was 8654.52Mn. US$, so the
contribution of the leather sector export to the total export was 2.55% in 2004-05. The main
exporting countries are Hong Kong, Italy, Japan, Vietnam, Republic of Korea, Taiwan etc.
Raw hides used for producing wet-blue are mainly procured from local sources. Locally, raw hides
are collected mainly from leather depot located at Dhaka, Chittagong, Comilla, Kushtia, Natore and
Rangpur. Only an insignificant volume of camel hide is imported from external sources. South
Africa was the only source of camel hide imports in 2003. Wet blue, raw materials for producing
crust is mainly collected from local sources particularly from Dhaka. A small quantity of wet-blue
11
to prepare crust leather is collected from Chttagong and Jessor. Very insignificant volume of raw
materials is imported. In 2003, only about 1.5 percent of total raw materials (wet blue cow and
camel) were imported from South Africa, Australia, and Brazil. Crust leather used for producing
finished leather is also collected mainly from local sources. Only a very insignificant volume of
cow crust is imported to produce finished leather. In 2003, cow crust was imported from Australia
valued Tk.34 million.
There are hundreds of importers, merchants and suppliers are supplying chemicals required for the
whole leather industry. The processing of raw hides to finished leather mainly classified into three
different stages 1) Wet Blue, 2) Crust and 3) Finishing section.
In 2003, 3202MT (worth 8,46,23,000Tk) leather chemical used for wet blue leather stage in
Bangladesh. In which 1956MT (worth 2,06,85,000Tk) was local made and 1274MT (worth
6,39,38,000Tk) was imported. In the same year 901MT (worth 119041000Tk) chemical used in
crust stage, in which 885MT was foreign supply and 16MT was local supply. On the other hand
130 MT (worth taka 46468000) chemical used for finishing section, in which 120MT collected
from outside and 10MT was collected from local sources.
The major chemical suppliers are Germany, Holland, UK, Italy, and India. Recently local
merchants are also importing from China, Singapore etc.
In addition of finding out the whole scenario of the leather sector of Bangladesh, this study mainly
focused to identify the major chemical suppliers in the different stages of leather processing. To
find out the main chemicals required in various stages of finished leather production was also the
prime consideration of this study. The market share contributed by the suppliers in various stages
was the main finding of this report. Along with primary and secondary survey, in depth interview
and Expert opinions have been taken for the final modification and recommendation of the whole
research. Why the big suppliers are loosing their market and why small and new suppliers are doing
well and getting the market acceptability has also been discussed in this research material.
12
Chapter-OneChapter-One
Introduction
1.1. Origin of the Report
This internship report was prepared as a compulsory requirement for the MBA degree.
From the program office of the Institute of Business Administration (IBA), I was placed as
an intern in ACI trading limited. The project is titled “To study the current market scenario
and the future prospect of the leather chemical industry of Bangladesh”. The project was
assigned to me by my supervisor at ACI Trading Limited, Mr. Azmal Hossain, Executive
Director of ACI Trading Limited. It was overseen by my faculty advisor Mr. Mustaque
Ahmed, Associate Professor, Institute of Business Administration, University of Dhaka.
1.2. Objective
1.2.1 Broad Objective
To understand the current market situation and the future business prospect of the leather
chemical industry of Bangladesh from the viewpoint of ACI Trading limited.
1.2.2 Specific Objectives
To achieve the broad objective the following specific objectives are required to be achieved.
1. Identify the major market players of leather chemicals (especially in value addition
section).
2. To analyze the ins and outs of the tannery industry of Bangladesh.
3. To compare the marketing strategies of all the major chemical suppliers in
Bangladesh and to find which marketing strategy the clients prefer.
13
4. To find out the proper marketing strategy for ACI Trading limited to increase their
market share in crust and finishing section.
1.3. Scope of the Research
This report is basically a requirement of ACI trading limited to understand the details of
tannery industry in Bangladesh. ACI trading limited is the agent of Stahl (Holland), a well
renowned chemical supplier in the world. From the ACI’s point of view, they want to know
their competitors and how they are marketing in Bangladesh.
To know the major leather chemical market players in Bangladesh, the tannery factories
and their leather technologists are the main focus of this research. All the organized bodies
related to leather sector such as Bangladesh Chemical Importers and Merchants
Association, Bangladesh Tanners Association, Bangladesh Finished Leather, Leather goods
and Footwear Exporters Association, Bangladesh Leather Manufacturers Association,
Bangladesh Leather Importers Association are the major considerations of this research.
Leather Sector Business Promotion Council (LSBPC) was the prime source of all research
papers necessary for this study.
1.4. Methodology
To find out the major leather chemical market players in Bangladesh, I basically separated
the respondents in three different divisions 1) Leather Technologists and employees of
various tanneries, 2) Members of chemical importers and merchants association and 3) The
leather chemical retailers or whole sellers.
In depth interview of the first two respondent divisions have been scrupulously scrutinized.
Both formal question answer session and informal discussions were the part of this
research. Primary interviews of the third respondent sections have been made, which was a
14
questionnaire based interview. Convenient sampling method was applied for selecting the
interviewees.
All the findings have been verified by numerous experts, leather technologists, and well
renowned leather chemical merchants of Bangladesh.
Although, there are not enough secondary materials available in Bangladesh, Leather
Sector Business Promotion Council (LSBPC) of Bangladesh has been repeatedly visited
and they helped me by providing all their necessary secondary materials.
1.7. Limitations
1. The main problem in dealing with leather sector is that, there are not enough
secondary research materials and published information available in
Bangladesh.
2. All the associations other than Bangladesh Finished Leather, Leather goods and
Footwear Exporters Association are not well organized to give the exact
information; most of them even don’t have their internal annual reports.
3. Since the whole leather sector of Bangladesh is shrinking day by day, the
researchers are not focusing this sector well enough comparing to the booming
sectors of Bangladesh like RMG.
15
Chapter-TwoChapter-Two
About The Organization
2.12.1 Company Profile at a Glance:
 Company Name : Advanced Chemical Industries (ACI) Limited
 Address : ACI Centre, 245, Tejgaon Industrial Area,
Dhaka-1208.
 Phone : +88-02-9885694
 Fax : +00-02-9886029
 E-mail : INFO@ACI-BD.COM
 Web Page : WWW. ACI-BD. COM
 Company Logo :
2.1.1 Strategic Business Units:
• Pharmaceuticals
• Consumer Brands
• Agribusiness-
a) Crop Care and Public Health
b) Animal Health
2.1.2 Subsidiaries:
• ACI Trading Limited
• ACI Formulation Limited
• Apex Leather crafts Limited
• ACI Salt Limited
16
2.1.3 Executive Management:
• Mr. M Anis-Us-Dowla Chairman
• Dr. Arif-Dowla Managing Director
• Mr. M Mohibuz Zaman Chief Operating
Officer,
Pharmaceuticals.
• Dr. F H Ansarey Executive Director,
Agribusiness.
• Mr. Azmal Hossain Executive Director,
Trade.
• Mr. Syed Alamgir Executive Director,
Consumer Brands.
• Mr. Muallem A Choudhury Executive Director,
Finance & Planning.
• Mr. Towfiqur Rahman General Manager,
Operation.
• Mr. Priyatosh Datta General Manager,
Quality Assurance.
• Ms. Sheema Abed Rahman General Manager,
Corporate Service.
• Mr. Pradip Kar. Chowdhury Financial Controller
2.1.4 Financials (Year Ending December 2004):
 Authorized Capital: Taka 500 Million.
 Paid-Up Capital: Taka 161.70 Million.
 Sales: Taka 2,558 Million.
17
 Numbers of Employees: 2161
2.2 Background:
ACI was established as the subsidiary of Imperial Chemical Industries (ICI) in the East
Pakistan in 1968. After independence the company has been incorporated in Bangladesh on
the 24th
of January, 1973 as ICI Bangladesh Manufactures Limited and also as Public
Limited Company. This Company also obtained listing with Dhaka Stock Exchange on
28.12.1976 and its first trading of share took place on 09.03.1994. Later on May 05, 1992,
ICI Plc divested 70% of its shareholders to local management. Subsequently the company
was registered in the name of Advanced Chemical Industries Limited. Listing with
Chittagong Stock Exchange was making on 22 October, 1995.
Advanced Chemicals Industries (ACI) Limited is one of the leading conglomerates in
Bangladesh, with a multinational image. ACI is a Public Limited Company with a total
number of 19,653 shareholders. Among these, there are three foreign and fifty local
institutional shareholders. The company has diversified into five major businesses. Beside
these, the company has a large list of international associates and partners with various
trade and business agreements.
2.3 Company Mission:
ACI’s mission is to enrich the quality of life of people through responsible application of
knowledge, skills and technology. ACI is committed to the pursuit of excellence through
world-class products, innovative processes and empowered employees to provide the
highest level of satisfaction to its customers.
2.4 Company Vision:
To realize the mission ACI will:
• Endeavor to attain a position of leadership in each category of it businesses.
18
• Attain a high level of productivity in all its operations through effective and
efficient use of resources, adoption of appropriate technology and alignment
with our core competencies.
• Develop its employees by encouraging empowerment and rewarding
innovation.
• Promote an environment for learning and personal growth of its employees.
• Provide products and services of high and consistent quality, ensuring value
for money to its customers.
• Encourage and assist in the qualitative improvement of the services of its
suppliers and distributors.
• Establish harmonious relationship with the community and promote greater
environmental responsibility within its sphere of influence.
2.5 Values:
• Quality
• Customer Focus
• Fairness
• Transparency
• Continuous Improvement
2.6 Distribution Network:
The company maintains strategically located sales centers in 198 different locations across
the country. It has developed an advanced distribution system through its more than 300
skilled and trained manpower and a large fleet over 80 vehicles. The distribution system is
capable of handling continuing volume of diverse range of products from the various
businesses.
The company’s distribution centers are highly streamlined, computerized and automated.
We are capable of maintaining a cold chain for some specialized range of products such as
19
vaccines and insulin. The combination of this advanced function and multi dimensional
capabilities make it possible to handle hundreds of products efficiently.
2.7 Business Units:
2.7.1 ACI Pharmaceuticals: In 2004, ACI Pharmaceuticals ranked 11th
in the
Bangladesh pharmaceuticals industry. It provides the market with a wide
selection of drugs across all major therapeutic classes, and also offers some
specially medicines. ACI Pharmaceutical represents AstraZeneca, Eli Lily and
UCB in Bangladesh.
2.7.2 ACI Crop Care and Public Heath Division: This Division is holding the
leadership position in the industries; Animal Health has experienced one of the highest
growth rates in this sector. ACI Agribusiness has partnerships with several international
conglomerates including Ceva Santhe Animale, Invesa, UCB, Isago Asia and Boreegaad
Taicang Chemical Co. Ltd.sdx.
2.7.3 ACI Consumer Brands: This Division is a leading Fast Moving Consumer
Goods (FMCG) company in Bangladesh. In the liquid antiseptic and mosquito repellant
categories, this division is a very strong market leader. Foreign partners represented in by
this division include Godrej Consumer Products (for hair care and skin care ), Parle Group
(for Parle G biscuits), Beiersdorf, Germany (for Nivea range of Products) and Colgate
Palmolive.
ACI has formed joint ventures with leading FMCG and agribusiness players in the region.
These are:
• Asian Consumer Care Private Ltd: Joint venture of ACI and Redrock
Limited, for distribution of various ranges of Dabur products in Bangladesh.
ACI holds 50% stake in the venture.
20
• Tetly ACI Bangladesh Ltd: Joint venture of ACI and Tetley Group of
United Kingdom for distribution of Tetley products in Bangladesh, with
ACI having 50% shareholding.
Many ACI products have crossed our national boundary and are being successfully
exported to various countries in Asia, the Middle East and the CIS region. The responsible
of foreign consumers to our products has been encouraging.
2.8 Manufacturing Standards:
ACI has three separate manufacturing plants in the outskirts of Dhaka. The
Pharmaceuticals plant is located at Narayanganj; ACI Formulations has been setup in
Gazipur and the Tetley factory has been built at Konabari. ACI Limited is the first
company in Bangladesh to have attained the ISO 9001 certification for Quality
Management and ISO 14001 for Environment Management. The Trading subsidiary has
also received ISO 9002 certificate. At our manufacturing facilities, we follow CGMP
guidelines and standards recommended by World Health Organization (WHO) for
pharmaceutical formulations.
2.9 Diversification into new industries:
ACI Limited is venturing into new areas of business, as part of its diversification
initiatives. Two such businesses being set up are ACI Salt Ltd. And ACI Godrej Agrovet
Private Limited.
• ACI Salt Ltd: ACI has set up its salt plant in Rupganj, on the bands of the
Shitalakhya river. The plant will produce refined iodized salt through
Thermal Evaporation System. ACI has used technology from China Heavy
Machineries Corporation (CHMC) in establishing the plant. The end product
will be high quality, free-flowing salt with even, crystallized grains. The
iodine content of ACI salt will have a stability of more than 6 months. The
project has been undertaken at an approximate cost of Taka 32 crores.
21
• ACI Godrej Agrovet Private Limited: Godrej is a pioneer in the packaged
meat business in India. It is also the market leader in the poultry industry,
and the owner of ‘Real Good’ brand. ACI and Godrej have a joint venture in
Bangladesh to set up an Integrated Poultry Project. Under this project, ACI
Godrej Agovet has already set up a feed mill at Sirajganj. This is fully
automatic pellet poultry and fisheries feed mill, which uses technology from
Jiangsu Muyang group of China. The company has also set up a hatchery at
Joynabazar, on the Dhaka Mymenshingh road, with technology from
Godrej. The plans for this project also include establishing Grand Parents
and Parent Stock breeding farms. The investment in the project is Taka 8
crores, with ACI Limited having 50% shareholding of the company.
2.10 ACI Formulation Limited:
ACI Formulations Limited (ACI FL) is a subsidiary of ACI Limited, located at Gazipur, in
the outskirt of Dhaka.
ACI FL manufactures majority of the products of ACI strategic Business Limited except
for Pharmaceuticals division. The factory is equipped with the state-of-Art facilities for
product formulations and process innovation. These include modern computerized
equipment like HPLC and GLC.
The product range manufactured at ACI FL include Crop Protection Chemicals like
insecticides, herbicides and fungicides in granular, powder and liquid forms, Mosquito
Pesticides in the forms of aerosols, vaporizers and coils, and households chemicals like
toilet cleaners and hand wash.
2.11Quality Policy
22
ACI aims is to achieve business excellence through quality by understanding accepting,
meeting and exceeding customer expectations.
ACI follows International Standards on Quality Management System to ensure consistent
quality of products and services to achieve customer satisfaction. ACI also meets all
national regulatory requirements relating to its current business and ensures that current
Good Manufacturing Practices (CGMP) as recommended by World Health Organization is
followed for its pharmaceutical operations.
The management of ACI commits itself to quality as the prime consideration in all its
business decisions. All employees of ACI must follow documented procedures to ensure
compliance with quality standards.
The pool of human resources of the company will be developed to their full potential and
harnessed through regular training and their participation in seeking continuous
improvement of work methods.
2.12Business Performance and Growth Scenario of ACI
Limited:
• Issued & paid up capital (Tk.)
• Net Turnover (Tk.)
• Gr oss margin (%)
• Profit after tax (Tk.)
• Rate of Dividend (%)
• Earningsper share (EPS) (Times)
• Number of employees
f inancial analysis 2002f inancial analysis 2002 -- 20042004
BusinessBusiness
PerformancePerformance
161,700,000
2,052,913,536
30
109,180,668
37.5
6.75
1662
20022002
161,700,000
2,239,565,258
29
85,413,760
40.0
5.28
1883
20032003
161,700,000
2,557,772,237
29
89,516,202
42.5
5.54
1924
20042004
23
Figure No: 2.1
business divisionsbusiness divisions
Contribution by revenue 2 0 0 42 0 0 4
BusinessBusiness
PerformancePerformance
Figure No: 2.2
24
sales & profit Grow t hsales & profit Grow t h
14.21%14.21%
Figure No: 2.3
2.13 ACI Trading Limited
ACI Trading Ltd is one of the leading Trading Houses in Bangladesh. Originally it was
ICI Pakistan Ltd established as the subsidiary of Imperial Chemical Industries (ICI) in the
then East Pakistan. After independence of Bangladesh the operation continued as ICI
Bangladesh Ltd. In July 1994 ACI Ltd another divested part of ICI PLC UK for
Pharmaceuticals and Agrochemicals operation purchased ICI Bangladesh Ltd from ICI
PLC and renamed it to ACI Trading Ltd.
ACI Trading Ltd has been accredited with ISO 9002 certification since June 1997 for its
Quality System on indenting business. The Company is mainly involved in marketing and
sales of various Industrial Chemicals, Petrochemicals, Plastics, Pharmaceuticals, Leather
and Shoe finishes. Textile Dyes and Auxiliaries through Indent sales. It has four business
divisions such as Chemicals, Textile, Leather and Water Pumps. To render technical
service ACI Trading has two separate technical application laboratories for textile and
leather businesses.
25
We represent ‘World Class Products’ in Bangladesh from ICI and some other multi-
nationals like ExxonMobile, Solvay Interox, Enichem, Huntsman Tioxide, Magadi Soda
Co., Stahl UK Ltd, Onga Australia Pte Ltd etc. We also represent some reputed Principals
form Asian countries mostly from India, Singapore and Malaysia.
This is a 60% owned subsidiary. ICI, Zeneca, Exxon, Stahl are leaders in their respective
fields and ACI have excellent market share of their products in Bangladesh.
The major responsibilities of ACI Trading are:
- Representing various international companies
- Procuring raw materials
2.13.1 Organogram – Business Management
Figure No: 2.4
2.13.2 Organogram – Business Support Functions
26
Managing
Director
Executive
Director,
Pharma
Executive
Director,
Agro
Executive
Director,
Consumer
Executive
Director,
Trade
Executive
Director,
Operation
Figure No: 2.5
2.13.3 Organ gram of ACI Trading Limited (Focusing Leather
Chemical Division)
Managing
Director
General
Manager,
Corporate
Financial
Controller
General
Manager,
Distributor
Commercial
Manager
Audit
Manager
27
Figure 2.6
2.13.4 Mission :
Dr Arif Dowla
Managing Director
Azmal Hossain
Executive Director (Trading)
A Khayer
Coordination Officer
Textile Division Leather Chemical Division Chemical Division
M S Dastidar
Asst. Manger, Commercial
Saiful Azam Kashem
Sr. Technical Sales Oficer
Munirul Islam
Technical Sales Oficer
28
Want to be a leading trusted quality Trading Company to earn confidence of the customers.
To establish a long-term business relation by offering quality products & services from
World Class chemical companies in alignment with our core values.
2.13.5 Strategic Objective :
• To sustain and improve Market Share for the key products
• To offer World Class products from reputed sources
• Increase ability to compete in the industry by developing people
• To render superior service (technical & logistics) to customers
• To maintain & improve business relation with our Principals
• New Products Sourcing from reputed manufacturers
• Aggressively grow Ex-stock Trading with calculative risk
• To ensure stable earning through balanced product port-folio
• Taking care of our shareholders interest.
2.13.6 Indent Sales Growth from 2002-2005 & Budget 2006
29
686
904
1,420
1575 1,538
1855
0
500
1000
1500
2000
Act 2002 Act 2003 Act 2004 Bud 2005 Act 2005 Bud 2006
2.13.7 Ex-stock Sales Growth from 2002-2005 & Budget 2006
Growth %
2003 31.77
2004 57.08
2005 8.31
2006 20.61
Reason for
variance 05
 UCB Film not contributed although budgeted in ’05
 Allocation & price constraint of ExxonMobil Plastics
for 3 months
 Scares of Foreign Exchange & restriction on L/C by
Central Bank
Assumption
for Bud’06
 Increase customer & product base
 New initiative for aggressive growth
30
31.0 29.8 30.8
54.42 53.6
78.7
0.0
10.0
20.0
30.0
40.0
50.0
60.0
70.0
80.0
Act 2002 Act 2003 Act 2004 Bud 2005 Act 2005 Bud 2006
Reason for
variance’05
 Less ExxonMobil Plastics sales due to strategic import
 Stahl sales was behind due to recession in Leather
Industry
Assumption for
Bud’06
 To increase ExxonMobil Plastics sales with calculative
risk
 To increase Textile Auxiliaries sales through Cola
Project
 To increase sales of MEC, Cereclor
 Inclusion of other products like TiO2, PET
31
2.13.8 Profit and Loss Budget 2006
2.13.9 SWOT Analysis of ACI Trading Limited
Strength
• On going need base training of people (Management & Technical)
• Well groomed Employees & Professional approach
• Association of global famous brand (ExxonMobil, ICI)
Growth %0
2003 -3.87
2004 3.36
2005 74.03
2006 46.83
32
Net Sales (Ex-stock) 27.47 28.25 49.97 70.00 40.08
Total COGS 22.15 22.15 41.00 60.55 47.68
Gross Profit 5.32 6.10 8.97 9.45 5.36
Commission Income 16.18 16.74 17.60 22.10 25.57
Fixed Expenses 7.83 9.26 10.56 11.39 7.81
Variable Expenses 1.80 0.93 1.21 1.22 0.83
Total Marketing Expenses 9.63 10.19 11.77 12.61 7.09
Fixed Expenses 1.33 1.53 2.39 3.35 40.17
Variable Expenses 0.52 0.26 0.50 0.50 0.00
Total FF Expenses 1.85 1.79 2.89 3.85 33.22
Distribution Expenses 0.13 0.06 0.06 0.04 -33.33
Administration Expenses 0.60 0.60 0.60 0.60 0.00
Total Operating Expenses 12.21 12.64 15.32 17.10 11.59
Other Income 0.12 1.75 1.50 1.50 0.00
Trading Profit 9.40 11.95 12.75 15.96 25.14
Financing Cost 2.38 3.07 2.64 2.80 6.06
Profit Before WPF & Tax 7.01 8.88 10.11 13.16 30.12
Variance
%
Marketing Expenses :
Field Force Expenses:
Actual
2003
Actual
2004
Estimated
2005
Budget
2006
• Loyal customer base for World Class products
• Quality perception of customer for products & services from ACI
• Support of ACI conglomerate & its image
Weakness
• Achievement depends on supplier’s own strategy
• Much dependent on few major suppliers
• Some major Raw Material suppliers absence in Portfolio
• Uncompetitive price & longer lead-time (Europe vs. India/China)
• Technical support is based on suppliers’ priority
Opportunity
• More Local & Export orientated industries coming up
• Sourcing Chinese suppliers for some major RM
• New business line expansion (API, PET, PS etc)
• Value addition of products (Textile, Leather)
• Increase Ex-stock Trading (existing & new)
Threat
• Indian & Chinese cheaper RM suppliers
• Local basic RM manufacturers coming up
• Increase of competition taking advantage of IT
2.13.10 Business Strategy
To nourish the Strength
• More need base training of people (Management & Technical)
• Build more relation with major supplier
• Exert Professional Behavior to maintain the reputation of ACI
33
• Proactive approach to customers for relationship marketing
To turn Weaknesses to Strength
• Find suppliers for some major Raw Material not in range
• Update suppliers with market & competition on regular basis
• Insist supplier for technical support showing business potentiality
To avail Opportunities
• Increase customer base
• Increase product base
• Step for Value Addition
• Increase trading of Ex-stock
To turn Threat to Opportunity
• Take advantage of IT to form chemical data-base for new opportunity.
• Try sourcing of RM from India & China
2.13.11 Key differentiating factors that attracts customers:
• Quality, price, timely delivery with clean documents
• Technical Assistance/Information to customers about int’l price
• Proactive involvement in customers purchasing decision
• Excellent relation with loyal customers
• Highly professional & customers caring sales people
2.13.12 Products, Customers & Supplier Base Up to 2005
Chemical Textile Leather Total
34
Total
Product
base
60 35 70 165
Total
customer
70 36 60 166
Total
supplier
29 4 2 35
2.13.13 Major Development through initiative in 2005
1) Re-start of Ex-stock sales of ExxonMobil Plastics
2) Increased customer & Product base through trials for Textile Auxiliaries
3) Introduction of C&TP from Stahl India
4) Appointed a Retailer for Stahl Leather Chemical sales
5) Irregularities caused by Sales Manager, Leather (Mr Mizan) mostly adjusted with
customer satisfaction
6) Sourcing PET from China
7) Sourcing API from India & China
8) Measurable & Comparable items Software development
9) Weekly sales Meeting with all SBU with EDT
10) Study on Textile Auxiliaries Market through Internee
Projects/Suppliers looked for
1) H2O2
2) Paints
3) Bulb & Tube Lights
4) Dry Cell Battery
5) Adhesive Tapes
6) Lady Napkin
2.13.14 Initiative to be taken in 2006
1. Value Addition – Textile Auxiliaries
2. ICI Paints India (J.V.)
3. Value Addition for Beam House Chemicals for leather
4. More trials of Text. & Leather Chemicals to increase customer & Product base
5. Dyes & Optical Brightener sourcing – India, China
6. Introduction more Traders for Textile Aux. credit sales
7. Recruit sales person for Chemical & Textile division
35
8. Implementation of Program for Measurable & Comparable items related to sales
performance
9. Engage two Internee for Chemical & Leather Market Study
10. Interaction with knowledgeable & experienced persons from Faculties and Trade
11. Aggressive Plan to become a big Trading House by 2008
Chapter-ThreeChapter-Three
Leather Industry of Bangladesh
3.0 Leather Industry Background3.0 Leather Industry Background
3.0.1The Leather Industry in3.0.1The Leather Industry in
BangladeshBangladesh
Tannery transforms raw hides and skins into leather for manufacturing articles like shoe-
upper, bag, suitcase, belt, wallet and jacket. In the past, leather processing was done
manually using certain indigenous chemicals.
3.0.2 The beginning of the Tannery
The first tannery in Bangladesh territory was set up at Narayanganj by RP Saha in the
1940s. It was later shifted to Hazaribag area of Dhaka, which turned into a location that
now accommodates a large number of tannery units. During the period before Partition of
36
Bengal (1947), almost all the raw hides and skins available in East Bengal were exported to
west Bengal, particularly to Calcutta and processed there. In fact the tannery industry of
Bangladesh originated after its relocation from Narayanganj to Hazaribagh in Dhaka in
1951. At that time there were 54 tanneries in the country and out of those 30 belonged to
the Pakistani owners. Development of tannery industry in East Pakistan started after the
Partition with an influx of tanners displaced from India and subsequently, with the
establishment of subsidiaries of some companies of West Pakistan. The tanning industry in
East Pakistan and export of leather from the province were mainly in the hands of the non-
Bengali people. A few tanning units, however, belonged to Bengali entrepreneurs but they
were small and of cottage type and they used to process leather mainly for the domestic
markets. Most non-Bengali tanners processed wet-blue and sent the product to West
Pakistan where it was further processed and finished for producing different consumer
goods. Till 1960, tanneries of East Pakistan used to process raw hides and skins applying
salt and then drying them in the sun and the material thus developed was known as shaltu.
3.0.3 Post Liberation Period3.0.3 Post Liberation Period
During the war of liberation in 1971 the non-Bengali tanners of Bangladesh left the country
abandoning about 30 tannery units owned by them. After the war, the new government of
Bangladesh vested the management of these units on a newly formed Tannery Corporation,
which was expected to convert them into finished leather manufacture units. Unfortunately,
the corporation did not serve the purpose because of lack of experience and other reasons
including corrupt practices. Later, the government relinquished the Tannery Corporation
and handed over the management of most of these tanneries to Bangladesh Chemical
Industries Corporation (BCIC). Three of them were given to Bangladesh freedom fighters
welfare trust. Both the authorities had miserably failed to manage the tanneries. In 1982,
the government transferred them to private entrepreneurs in pursuance of its general policy
of disinvestments, which had allowed some enterprising Bengalis with little or no
experience in the industry to start wet-blue production.
3.0.4 Present Condition
37
At present, the leather sector of Bangladesh has 220 processing units located at different
parts of the country (mainly in Dhaka) as follows: -
Dhaka (Hazaribag) - 194 units
Dhaka (Dhamrai/Savar) - 3 ”
Gazipur (Kaliakoir) - 1 ”
Jessore (Noapara) - 1 ”
Chittagong - 18 ”
Jamalpur - 1 ”
Rangpur - 1 ”
Khulna - 1 ”
Total : 220 units
Only about 50% of the above units are well equipped for processing crust and finished leather. But only 28 tanneries are in operation,
among them 20 are operating in crust section and 8 are in finishing section.
According to the records of the Bangladesh Tanners Association, about 3,000 workers are
employed in the tanning industry. Besides, there are about 100 qualified technologists
including foreign nationals who are working in different tanneries. Total capital invested in
the tannery industry is estimated at Tk 2.5 billion, of which government/bank finance is
about Tk 1.2 billion. About 1,500 persons are involved in the process of collecting raw
hides and skins and making them available at tannery units. About 100 organizations
import chemicals for use in tannery industry. Some reputed tanneries of Bangladesh are
Dhaka Leather, Apex Tannery, Lexco, Karim Leather, Samata Tannery and Bay Tannery.
38
Chapter-Four
Production
4.0 Leather Sector in the Economy of Bangladesh
The Leather sector plays a significant role in the economy of Bangladesh in terms of its
contribution to export and domestic market. Bangladesh currently produces about 20.0
million sq. meters of leather and leather goods per year. The total production of leather and
leather goods shows an increasing trend over the years. Beginning with the 1993/94, the
production increased from 14.60 in 1993/94 million sq. meters to 15.90 million sq. meters
in 1995/96. It fell to 11.95 million sq. meters in 1996/97. Since 1996/97, there has been a
steady increase in the production of leather and leather goods that reached 19.91 million sq.
meters in 2000/2001. The following table shows the production of leather and leather
goods in the country.
Leather sector is perceived to be one of the important economic sectors in Bangladesh. As
a single sector of the economy, the sector contributes modestly to the country’s GDP.
Contribution of leather sector (hide &skin, leather and leather goods, and footwear except
rubber) to GDP is 0.31 (at constant price) in FY 2003.
Table 4.1: Production of Leather & Leather Goods
39
Year Unit (Million Sq. Meter)
1993-94 14.60
1994-95 15.00
1995-96 15.90
1996-97 11.95
1997-98 12.12
1998-99 16.21
1999-2000 18.31
2000-2001 19.91
2001-2002 17.30
2003 22.85*
2004 20.78**
Source: Bangladesh Economic Survey, Ministry of Finance, 2002
*Leather Sector Census Study, LSBPC, 2005
**Approximate Data from LSBPC
The quantum index of leather and leather goods production increased to 131 in 1998/99
compared to the base year (1988/89=100) and that of leather footwear production rose to
193 for the same period. It is therefore evident that leather is increasingly being used in the
production of footwear. The following table shows the trend of production of leather and
leather footwear during the 1990/91 through 1998/99 period.
Table 4.2 : Quantum Index ofTable 4.2 : Quantum Index of
Leather and Leather Goods andLeather and Leather Goods and
Leather FootwearLeather Footwear
(Base: 1988/89=100)
Year
Production Index
Leather & Leather Goods Leather Footwear
1990-91 84.34 100.03
1991-92 92.97 100.07
1992-93 108.72 110.93
1993-94 123.44 139.48
1994-95 126.77 161.76
1995-96 133.85 174.46
1996-97 100.84 185.95
1997-98 102.25 123.17
1998-99 136.76 192.84
1999-00 154.41 186.71
40
2000-01 165.85 216.67
2001-02 146.37 229.47
Source: Statistical Year Book of Bangladesh 2002, Bangladesh Bureau of Statistics
Table- 4.3 : Yearly production of Leather Sector by Different
Enterprises/Firms
Firm Types Total Production
Wet blue (000 sqf.) 35060
Crust (000 sqf.) 66172
Finished (000 sqf.) 134820
Leather Footwear (000 pairs) 16766
Leather Goods (000 pcs.) 766
Note: Data for the period Jan.-Dec.2003.
Source: Leather Sector Census Study, LSBPC, 2005
Table 4.4: Leather Production of the renowned Tanneries of Bangladesh:
Name of the
Organization
Annual Production
(SFT/Month)
Product
Apex Tannery 1700,000
Crust, Printed Bag, Semi Aniline,
CG Glaze Kid
Bay Tannery 600,000
Crust, Resin Coat, Semi Aniline
CG, Lining, Brush Off,
SAF Industries 600,000
Crust, Semi Aniline CG, Glaze
Mild, Lining,
Bata Shoe co (BD) ltd 400,000
C/G, Box Sandle, Semi Aniline,
Creasy Horse, Lining
Bengal Leather Complex 500,000
Polishable Finish, Crust, Semi
Aniline,
Dhaka Hide & Skins 1400,000 Crust, Milled Bag, Repolisable, S/A
H&H /H.B Tannery 500,000
Crust, Glaze Kid, C/G, Resin Goat,
S/A, Lining
Phoenix Leather 400,000 Crust, CG, SA
Karim Leathers 500,000 Crust, SA
Lexco Ltd. 200,000 CG, SA
41
Samina Tannery 500,000 Crust, SA
Riff Leather 200,000 Crust, CG, SA
Modina Tannery 150,000 Crust, SA
Reliance Tannery 600,000 Re polish able, Crust,
B.S Leather 200,000 Re polish able, Crust,
Progoti Leather Complex 500,000 Crust
Vulua Tannery 600,000 Crust
Kalam Brothers 300,000 Crust
Amin Tannery 200,000 Crust
Anwer Tannery 200,000 Crust
Cottege Customer 1000,000 Crust, Repolishable, S/A
Total 11250,000 SFT/MONTH
Total Annual Production: 135,200,000 SFT/YearTotal Annual Production: 135,200,000 SFT/Year
Total Crust Production = 101,400,000 SFT/YearTotal Crust Production = 101,400,000 SFT/Year
Total Finish Production = 33,800,000 SFT/Year
Source: Shajedul Alam, Internship Report, June 19, 2004, Institute of Business Administration, University of
Dhaka;
Source: Magazine, Dhaka International Leather Fair 2005
Table 4.6: Number of Animal Population in Bangladesh (thousand head)
Types 1990 1995 1996 1997 1998 1999 2000 2001 2002 (est.)
Bovine
Animal
24016 24859 24433 24816 24220 24480 24730 24830 24830
Sheep and
Lambs
873 1070 1124 1158 1110 1121 1132 1143 1143
Goats and
Kids
21031 30330 33312 34478 33500 33800 34100 34400 34400
Source: FAO, 2003
42
247 Mio Sq.FtTotal:
63 Mio Sq.ftGoat & Sheep
184 Mio Sq.Ft.Cow & Buffalo
Table4.5: Availability of Raw Materials
Chapter-FiveChapter-Five
Leather ExportLeather Export
5.01 Leather Export Performance of Bangladesh: The ever highest export
performance was achieved in 2000-2001 due to the mad cow disease in EU but after 11th
September incident, the declining trend cannot be prevented due to the less value addition
capability and non-sustainable nature of the leather sector industry of Bangladesh. The
export performance of Bangladesh after 1999 is shown in table4.1. The Leather export is
almost 2.5 percent to the total export of Bangladesh. Table 4.2 shows how the percentage
of leather export to the total export is decreasing year after year.
43
Table 5.1: Export performance: From July 1999
Leather (Mn. US$) % Increase or Decrease
July 1999- June2000 246.89 -
July 2000- June2001 290.68 +17.76%
July 2001- June2002 252.49 -13.13%
July 2002- June2003 229.72 -9.01%
July 2003- June2004 211.41 -7.97%
July 2004- June2005 220.93 +4.50%
Export Target for
July 2005- June2006
235.00
Export Performance for
July 2004-Nov 2005
84.37 -
Export Performance for
July 2005-Nov 2006
96.21 +14.03%
Source: Export Promotion Bureau of Bangladesh.
0
50
100
150
200
250
300
Export
(Mn. US$)
1999-
2000
2000-
2001
2001-
2002
2002-
2003
2003-
2004
2004-
2005
Fig 5.1: Year Wise Leather Export of
Bangladesh
Table 5.2: Percentage of the Leather Export to the Total export of Bangladesh:
44
(Value in million dollar)
Year Total Export Leather, Leather
Footwear and Leather
Goods export
Leather, Leather
Footwear and Leather
Goods as % of Total
Export
1998-99 5312.86 219.39 4.39
1999-2000 5752.20 246.89 4.30
2000-2001 6467.30 290.68 4.50
2001-2002 5986.09 252.49 4.22
2002-2003 - 229.72 -
2003-2004 7602.99 211.41 2.78
2004-2005 8654.52 220.93 2.55
2005-2006 10159.20* 235.00* 2.31
Source: Export Promotion Bureau of Bangladesh (EPB) *Export Target
Hong Kong, Korea Rep., Italy, Japan are the main export destinations of the leather goods
of Bangladesh. Though the Leather export performance of Bangladesh is decreasing day by
day but still some countries like China, Taiwan, Vietnam are showing their interest to
import more leather goods from Bangladesh. In comparison to India and Pakistan the
export performance of Bangladesh shows a very uncomfortable figure. The main reason for
that is the infrastructure of the sector. Although the RMG sector of Bangladesh is booming
even after the post MFA era, foreign investors are not showing interests to invest in the
leather sector of Bangladesh. Even the local investors are not interested to invest in leather
sector, though there are lots of places Bangladeshi investors can invest easily.
Table 5.3: Country Wise Export of leather and Leather Goods during the period of
July2004 – March 2005:
Value in ‘000’ US$
Country Export Country Export Country Export
Argentina 5 India 1679 Saudi Arabia 2
Australia 279 Indonesia 153 Singapore 137
Austria 2 Italy 29791 S. Africa 243
45
Belgium 65 Japan 10723 Spain 5701
Benin 21 Korea DPR. 39 Sri Lanka 11
Brazil 745 Korea Rep. 20151 Taiwan 7953
Cambodia 426 Local Sale 540 Thailand 742
Canada 35 Mexico 1123 Turkey 8
China 6049 Myanmar 21 U.A.E 23
Czech Rep. 5 Netherlands 634 U.K 1059
East Timor 13 Norway 37 U.S.A 645
El Salvador 50 Oman 10 Ukraine 69
Finland 1 Pakistan 62 Uruguay 575
France 753 Philippines 166 Venezuela 40
Germany 189 Poland 3767 Vietnam 8681
Greece 26 Portugal 51
Hong Kong 54584 Qatar 6
Hungary 4 Samoa 5
TotalTotal 158621
Source: Foreign Trade Statistics of Bangladesh, 2001-2002
Table 5.4: Export of Leather, Leather Footwear and Leather GoodsTable 5.4: Export of Leather, Leather Footwear and Leather Goods
Million US$
Year Leather Leather Footwear Leather Goods Total
Export % of Total Export % of Total Export % of Total
1998-1999 168.25 76.69% 46.55 21.22% 4.59 2.09% 219.39
1999-2000 195.05 79.00% 48.26 19.55% 3.58 1.45% 246.89
2000-2001 253.93 87.36% 33.63 11.57% 3.12 1.07% 290.68
2001-2002 207.33 82.1% 41.29 16.4% 3.87 1.5% 252.49
2002-2003 191.23 83.2% 35.06 15.3% 3.43 1.5% 229.72
2003-2004 211.41 79.50% 50.86 19.13% 3.64 1.37% 265.91
Bangladesh Export Promotion Bureau
5.02 Sales and Exports of Leather sector Enterprises/Firms
Table show that during January-December 2003, the collective sales of the leather sector firms stood at Tk.23045 million. Of the total
sales of the firms, over 75 percent are sold outside the country. Leather processing units exported most of their products that accounted
for about 85 percent of their total sales revenue during 2003. Footwear manufacturing firms’ sales revenue from exports accounted for
about 40 percent of their total revenue. Leather goods manufacturing firms exported its entire volume of production during 2003.
Table 5.5 : Yearly Value of Sales and Exports by Types of Firms (Tk 000)
Firm Types Sales (Local) Exports Total Sales
Leather Processing 2847600 15622354 18429954
46
Leather Footwear 2456349 1682140 4138489
Leather Goods 0 437389 437389
Total 5303949 17741883 23005832
Note: Data for the period Jan.-Dec.2003.
Table 5.6 : Yearly Value of Sales and Exports by Types of Firms (%)
Firm Types Sales (Local) Exports Total Sales
Leather Processing 15.42 84.58 100
Leather Footwear 59.35 40.65 100
Leather Goods 0 100 100
Total 23.01 76.99 100
Source: Leather Sector Census Study, LSBPC, 2005
5.2.1 Sales and Exports: Leather Processing
Leather processing firms’ sales value stood at about Tk.18470 million during January-December, 2003 (Table 4.7). Exports revenue
accounted for about 88 percent from the crust leather and over 97 percent from the finished leather produced by the leather processing
enterprises. Except for an insignificant volume, most wet-blue leather is locally used for the production of crust/finished leather. The
survey data show that as a whole about 85 percent products of the leather processing firms are exported and total export value stood at
Tk. 15622 million (during January-December 2003).
Table5.7 : Annual Volume of Sales and Exports by the Leather Processing Firms
(in 000 sqf.)
Product
Category
Local Sales
Total
Local Sales
Total
Exports
Total Sales
Volume in sf.Direct
Through Agent
Wet Blue 35060 0 35060 0 35060
Crust 5281 3400 8681 57491 66172
Finished 4814 0 4814 130006 134820
Note: Data for the period Jan.-Dec.2003.
Source: Leather Sector Census Study, LSBPC, 2005
Table 5.8: Yearly Sales and Exports by the Leather Processing Enterprises/Firms
(Tk000)
Local Sales Total Total
47
Products
category
Local Sales Exports
Total Sales
Volume (in
Tk. 000)
Direct
Through Agent
Wet Blue 1959300 0 1959300 0 1959300
Crust 318850 220000 538850 4141826 4680676
Finished 349450 0 349450 11440528 11789978
Total 2627600 220000 2847600 15622354 18429954
Note: Data for the period Jan.-Dec.2003.
Source: Leather Sector Census Study, LSBPC, 2005
Table 5.9: Annual Value of Sales by the Leather Processing Enterprises/Firms
(%)
Products
category
Local Sales Total
Local Sales
Total
Exports
Total Sales
valueDirect Through Agent
Wet Blue 100.0 0 100.0 0 100
Crust 6.81 4.70 11.51 88.49 100
Finished 4.58 0 2.96 97.04 100
Total 18.36 1.54 15.42 84.58 100
Note: Data for the period Jan.-Dec.2003.
Source: Leather Sector Census Study, LSBPC, 2005
5.2.2 Sales and Exports: Footwear
Still over 50 percent of the footwear manufacturing enterprises’ production is locally consumed. Total local sales stood at Tk.2456
million for the period January-December 2003. Export sales of the footwear firms for the period were Tk.1682 million.
Table 5.10: Yearly Sales and Exports by the Leather Footwear Enterprises/Firms
Local Sales Total
Local
Sales
Total
Exports
Total
SalesDirect Through
Agent
Volume (pair) 8435500 0 8435500 8309750 16745250
Value in Tk.’000 2456349 0 2456349 1682140 4138489
Note: Data for the period Jan.-Dec.2003.
Table5.11: Annual Sales and Exports by the Leather Footwear Firms (%)
Local Sales
Total
Local Sales
Total
Exports
Total Sales
Direct Through
Agent
Volume (pair) 50.38 0 50.38 49.62 100
Value in Tk.’000 63.39 0 59.35 40.65 100
48
Source: Leather Sector Census Study, LSBPC, 2005
5.2.3 Sales and Exports: Leather Goods
All leather goods manufacturing firms (covered under census) are export oriented. Their total sales volume, which is same as their
exports, stood at Tk.437 million during the period January-December 2003.
Table5.12- Yearly Sales and Exports by the Leather Goods Enterprises
Local Sales
Total
Local Sales
Total
Exports
Total Sales
Direct Through
Agent
Volume (pcs) 0 0 0 764100 764100
Value in Tk.’000 0 0 0 437389 437389
Note: Data for the period Jan.-Dec.2003.
Source: Leather Sector Census Study, LSBPC, 2005
Table 4.3 showed the country wise export figure of Bangladesh and the Table 4.13 shows
how country wise export figure changed during 2000-2003 to 2003-2004.
Table 5.13: Country wise changes in Export of Leather:
(Value in `000’ US$)
Countries
2002-2003 2003-2004
Value
% of Total Value % of Total
Hongkong 69039 36.10 72026 34.06
Italy 38621 20.20 43601 20.62
Koria Rep. 13736 7.18 19779 9.36
Japan 15029 7.86 15188 7.18
Taiwan 11556 6.04 11850 5.61
Vietnam 4928 2.58 11500 5.44
Spain 6821 3.57 9709 4.59
China 5932 3.10 7655 3.62
Mexico 2027 1.06 2160 1.02
UK 1507 0.79 1228 0.58
France 1779 0.93 1106 0.52
49
USA 983 0.51 631 0.30
Germany 818 0.43 549 0.26
Others 18450 9.65 14430 6.84
Total 191226 100.00 211412 100.00
Source: EPB Export Statistics
Table 5.14: Company wise Export of Leather Goods & Footwear from Bangladesh
(Export Period: 01/01/2005 ~ 24/11/2005)
50
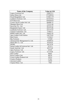
Name of the Company Value in US$
Legacy Footwear Ltd. 5508573.5
Jennys Shoes Ltd. 3775499.81
Picard Bangladesh Ltd. 3130611.97
Leatherex Footwear Ltd. 1631819.61
H.N Shoes Ltd. 1054264.91
Cosmic Jute & Leather Ind. Ltd. 884406.75
Shampan Shoes Ltd. 771231.60
Savar Ind. Pvt. Ltd. 507352.22
Bangladesh Export Ltd. 432373.06
Landmark Footwear Ltd. 221137.63
Vannara Corporation Ltd. 219053.3
RMM Leather Ind. Ltd. 164923.28
Apex Leather Craft Fashion 149779.03
Bani Footex 131864.3
Bay Footwear 131660
Advanced Ind. Management Co. Ltd. 103890.61
Malim BD. Co. Ltd. 85356.65
MAMC 84174.50
Surma Leather & Footwear Ind. Ltd. 74735.5
Sonali Ansh Ind. Ltd. 68737.68
Apex Footwear Ltd. 63310
Legacy Footwear Ltd. 61119.88
Hara Leather 46843
Rexus Leather Club 40270
Crown Leather Products Ltd. 29219
Creative Products 27365
Anowara Leather 14520
Tropical Shoes Ltd. 7560
51
Source: Leather goods & Manufacturers & Exporters Association of Bangladesh.
Chapter-Six
Raw Materials
6.1 Raw Materials used by the Leather Firms
From the survey data it is transpires that raw materials used by the leather sector firms are procured mainly from local market. Except for
an insignificant proportion, almost all raw materials of wet blue i.e. raw hides are collected from the local sources. Raw materials for
crust leather and finished leather are wet-blue and crust respectively. About 99 percent of the raw materials of wet blue, crust and
finished leather are sourced locally. Of the broad categories of leather firms, footwear sector used highest proportion of raw materials
(includes finished leather, lining leather sole, etc.) from external sources, which is 3.13 percent of the total used by the sector.
52
Table 6.1 -: Yearly Raw Materials used in the Leather Sector to produce different types of
product (in Tk.000)
Types of Product
Name of Raw
materials
Local Foreign Total
Wet blue Raw hides 1276262 5040 1281302
Crust Wet blue 2756629 41300 2786474
Finished Crust 7428519 34000 7462519
Footwear
Finished, lining
leather, Sole etc.
1146399 38236 1184635
Leather Goods
Finished & lining
leather
90466 0 90466
Source: Leather Sector Census Study, LSBPC, 2005
Table 6.2 -: Yearly Raw Materials used in the Leather sector by types (%)
Types Name of Raw materials Local Foreign Total
Wet blue Raw hides 99.60 0.40 100
Crust Wet blue 98.93 1.07 100
Finished Crust 99.54 0.46 100
Footwear
Finished, lining leather,
Sole etc.
96.77 3.23 100
Leather Goods Finished & lining leather 100 0 100
Source: Leather Sector Census Study, LSBPC, 2005
6.2 Raw Materials: Leather Processing
Leather processing units or tanneries produce wet-blue, crust, and finished leather. In producing wet-blue and crust, the firms use raw
hides and wet-blue as raw materials respectively. Crust leather is used as raw materials for producing finished leather.
6.2.1 Raw Materials for Wet Blue
53
Raw hides used for producing wet-blue are mainly procured from local sources. Locally,
raw hides are collected mainly from leather depot located at Dhaka, Chittagong, Comilla,
Kustia, Natore and Rangpur. Only an insignificant volume of camel hide is imported from
external sources. South Africa was the only source of camel hide imports in 2003.
Table 6.3 : Yearly Raw Materials used for Producing Wet Blue
Hide and Skin
Local Foreign Total
Quantity
(000pcs)
Value in
Tk.000
Quantity
(pcs)
Value in
Tk.000
Quantity
(000pcs)
Total Value
Tk.000
Cow 856 1074032 0 0 856 1074032
Buffalo 107 88835 0 0 107 88835
Goat 1035 97495 0 0 1035 97495
Sheep 115 12034 0 0 115 12034
Cow/Buffalo head 41 3866 0 0 41 3866
Camel 0 0 4 5040 4 5040
Total 2154 1276262 4 5040 2158 1281302
Source: Leather Sector Census Study, LSBPC, 2005
Table 6.4 : Yearly Raw Materials used for Producing Wet Blue (%)
Raw materials for
Wet blue
Local Value
(%)
Foreign Value
(%)
Total Value
(%)
Cow 100 0 100
Buffalo 100 0 100
Goat 100 0 100
Sheep 100 0 100
Cow/Buffalo head 100 0 100
Camel 0 100 100
Total 99.60 0.40 100
54
Source: Leather Sector Census Study, LSBPC, 2005
6.2.2 Raw Materials for Crust
Wet blue, raw materials for producing crust is mainly collected from local sources
particularly from Dhaka. A small quantity of wet-blue to prepare crust leather is collected
from Chttagong and Jessor. Very insignificant volume of raw materials is imported. In
2003, only about 1.5 percent of total raw materials (wet blue cow and camel) was imported
from South Africa, Australia, and Brazil .
Table 6.5 : Yearly Raw Materials used for Producing Crust Leather
Raw
materials for
crust
Local Foreign Total
Quantity
(000sqf)
Value in
Tk.000
Quantity
(000 sqf)
Value in
Tk.000
Quantity
(000sqf)
Total Value
Tk.000
Cow 23358 1524583 530 33300 23888 1557884
Buffalo 11210 447936 0 0 11210 444480
Goat 11016 603330 0 0 11016 603330
Sheep 1848 161580 0 0 1848 161580
Others 240 19200 0 0 240 19200
Camel 0 0 100 8000 100 8000
Total 47672 2756629 630 41300 48302 2786474
Source: Leather Sector Census Study, LSBPC, 2005
Table 6.6: Yearly Raw Materials used for Producing Crust (%)
Raw materials for
crust
Local Value
(%)
Foreign Value
(%)
Total Value
(%)
Cow 97.86 2.14 100
Buffalo 100 0 100
Goat 100 0 100
Sheep 100 0 100
Others 100 0 100
55
Camel 0 100 100
Total 98.52 1.48 100
6.2.3 Raw Materials for Finished Leather
Crust leather used for producing finished leather is also collected mainly from local
sources. Only a very insignificant volume of cow crust is imported to produce finished
leather. In 2003, cow crust was imported from Australia valued Tk.34 million.
56
Table 6.7 : Yearly Raw Materials used for Producing Finished Leather
Raw materials for
finished
Local Foreign Total
Quantity
(000sqf)
Value in
Tk.000
Quantity
(000 sqf)
Value in
Tk.000
Quantity
(000sqf)
Total Value
Tk.000
Cow Crust 55488 4396440 400 34000 55888 4396840
Buffalo Crust 8822 494124 0 0 8822 494124
Goat Crust 23019 1979055 0 0 23019 1979055
Sheep Crust 5412 558900 0 0 5412 558900
Total 92741 7428519 400 34000 93141 7462519
Source: Leather Sector Census Study, LSBPC, 2005
Table 6.8 : Yearly Raw Materials used for Finished Leather (%)
Raw materials
for finished
Local Value
(%)
Foreign Value
(%)
Total Value
(%)
Cow Crust 99.23 0.77 100
Buffalo Crust 100 100 100
Goat Crust 100 100 100
Sheep Crust 100 0 100
Total 99.55 0.45 100
6.2.4 Raw Materials: Footwear
Other than finished leather, some other raw materials as lining leather, artificial sole,
insole-leather etc. are used in producing footwear by the footwear-manufacturing firms.
Footwear manufacturing units imports comparatively greater volume of raw materials (as
compared to leather processing and leather footwear sector) from external sources.
Footwear manufacturing units imported over 3 percent of their total raw materials
amounted to about Tk. 38 million during January to December 2003. Sources for local raw
materials are mainly Dhaka and Chittagong. Of the external sources, finished leather is
mainly collected from Pakistan and China. Artificial sole is imported mainly from India,
Indonesia, China and Taiwan, and lining leather is collected mainly from China, Taiwan
57
and Pakistan. China, India and Italy are the major sources of in-sole leather. Some
footwear raw materials are also imported from Canada, France and Germany.
Table 6.9: Yearly Raw Materials used for Producing Footwear
Name of raw
materials for
footwear
Local Foreign Total
Quantity sqf.
000
Value in Tk.
000
Quantity
sqf. 000
Value
in Tk. 000
Total
quantity
Total value
Tk. 000
Finished Leather 9932 823434 225 25350 10157 848784
Lining Leather 2944 134023 506 8960 3450 142983
Artificial Sole 1806 155317 855 3266 2661 158583
In-sole Leather 639 33063 45 660 684 33723
Others 7 562 0 0 7 562
Total 15328 1146399 1631 38236 16959 1184635
Table6.10 : Raw Materials used for Footwear (%)
Raw materials for
Footwear
Local Value
(%)
Foreign Value
(%)
Total Value
(%)
Finished Leather 97.01 2.99 100
Lining Leather 93.73 6.27 100
Artificial Sole 97.94 2.06 100
In-sole Leather 98.04 1.96 100
Others 100 0 100
Total 96.77 3.23 100
Source: Leather Sector Census Study, LSBPC, 2005
6.2.5 Raw Materials: Leather Goods
The leather goods producing firms that are very few in number use basically finished leather and lining leather as raw materials. The
value of the raw materials used by the leather goods manufacturing units constitute less than 8 percent of the raw materials used by the
footwear manufacturing units. All of the raw materials of the leather goods manufacturing firms are collected from local sources.
Table 6.11: Yearly Raw Materials used for Producing Leather Goods
58
Raw materials
for crust
Local Foreign Total
Quantity
(000sqf)
Value in
Tk.000
Quantity
(000 sqf)
Value in
Tk.000
Quantity
(000sqf)
Total Value
Tk.000
Finished
Leather
1365 87366 0 0 1365 87366
Lining Leather 50 3100 0 0 50 3100
Total 1415 90466 0 0 1415 90466
Source: Leather Sector Census Study, LSBPC, 2005
6.3 Availability of raw material in Bangladesh
Table 6.12
Total Number
(Head)
Hides & Skins
(piece)
Hides & Skins
(Sq.ft)
Cow/Buffalo/Calf 24.31 million 5.31 million 116.00 million
Goat/Sheep 32.70 million 19.70 million 64.00 million
Source: 1. Bureau of Statistics 2. Livestock Census 3. ITC 4. FAO
Table6.13 Availability of raw material (Division wise) (Piece)
Dhaka Chittagong Rajshahi Khulna Total
Cow/Buffalo/Cal
f
13,78,700 12,60,500 15,90,800 10,72,700 53,02,700
Goat/Sheep 39,40,000 43,37,000 55,16,000 59,07,000 1,97,00,000
Source: 1. Bureau of Statistics 2. Livestock Census 3. ITC 4. FAO
59
Chapter-Seven
SWOT Analysis
7.1 Strengths
7.1.1 Strengths of the Firms: Leather Processing
The SWOT analysis is based on the opinions of the leather sector firms. The survey reveals
that ‘higher productive capacity’ is the main strength of the maximum number of firms of
the leather processing industry. Main strengths of the leather processing industry as
identified by the leather processing firms in the survey are as follows:
Table 7.1: Strengths of the Leather Processing Firm
Strengths Percent of Total Firms
Production capacity 70%
Competitive price 67%
Cheap Labour 66%
Market Information 56%
Better management 54%
60
Strengths: Leather Processing
0
10
20
30
40
50
60
70
80
Production
capacity
Competitive price Cheap Labour Market
Information
Better
management
Major Strengths
%ofTotalFirms
Figure: 7.1 Strengths of the Leather Processing Firms
With high installed capacity and better utilization of that capacity, firms can economize on the costs
and offer competitive price. It is recognized that the element of competitive price is related to
productivity and cost of production. Hence firms with better productive capacity can offer better
price to their clients. Generally, productivity of the big firms is expected to be higher than that of
smaller firms with low productive capacity. Availability of cheap labour is another common
advantage in the leather processing. This sector is relatively more labour-intensive than other two
sectors (footwear and leather goods).
7.1.2 Strengths of the Firms: Leather Footwear
As is leather-processing industry, ‘higher productive capacity’ is the main strength of the maximum
number of firms operating in the footwear industry. The major strengths of the firms as identified in
the survey (as opined by the firms) are as follows:
Table 7.2: Strengths of the Leather Footwear Firm
Strengths Percent of Total Firms
61
Production capacity 74%
Better quality of management 66%
Sufficient supply of processed leather 65%
Trained manpower 60%
Quality Control 58%
Strengths: Footwear
0
20
40
60
80
Production
capacity
Better
management
Supply of
processed leather
Trained
manpower
Quality Control
Major Strengths
%ofTotalFirms
Figure: 7.2 Strengths of the Leather Footwear Manufacturers
Footwear firms appear to have emphasis on the quality of management of the firms. Adequate
supply of processed leather (from the leather processing firms) is the third most important factors
that determine the strength of the footwear firms. Quality control appears to have provided
competitive advantages to a good number of firms.
7.1.3 Strengths of the Firms: Leather Goods
Better management quality, and quality control came up as the main strengths of the leather goods
producing firms. A list of major strengths of the footwear manufacturing firms as identified in the
survey (as opined by the firms) are presented in table 7.3.
Table 7.3: Strengths of the Leather Goods Firm
Strengths Percent of Total Firms
62
Better management Quality 71%
Quality control 69%
Sound environmental management 64%
Market information 60%
Production Capacity 48%
Strengths: Leather Goods
0
10
20
30
40
50
60
70
80
Better management Quality control Environmental
management
Market information Production Capacity
Major Strengths
%ofTotalFirms
Figure: 7.3 Strengths of the Leather Goods Manufacturers
As in case of footwear, leather goods manufacturing firms also appear to put considerable emphasis
on better management quality and quality control. Environmental management and market
information have also been identified by considerable percentages of firms as may be expected
from a hundred percent export oriented industry.
7.2 Weaknesses
7.2.1 Weaknesses of the Firms: Leather Processing
63
Size of the firms and financial crisis are found to be the main weaknesses of the firms operating in
the leather processing industry. The major weaknesses of the firms as identified in the survey (as
opined by the firms) are as follows:
Table 7.4: Weaknesses of the Leather Processing Firm
Weaknesses Percent of Total Firms
Low Volume of Production 82%
Financial Crisis 80%
Weak Marketing 64%
Inefficient Management 46%
Weaknesses: Leather Processing
0
20
40
60
80
100
Low Volume of
Production
Financial Crisis Weak Marketing Inefficient Management
Major Weaknesses
%ofTotalFirms
Figure: 7.4 Weaknesses of the Leather Processing Firms
In global context the smaller leather processing firms produce lower quantity that precludes them in
attaining economies of scale. Generally, leather-processing firms face financial difficulty and have
no marketing strategy. Of the leather processing firms, 46 percent identified inefficient
management as one of their main weaknesses.
7.2.2 Weaknesses of the Firms: Leather Footwear
64
‘Financial Crisis’ is found to be the main weakness of the leather footwear industry. The major
weaknesses of the footwear firms as identified in the survey (as opined by the firms) are as follows:
Table 7.5: Weaknesses of the Footwear Firm
Weaknesses Percent of Total Firms
Financial Crisis 92%
Weak Marketing 86%
Low Volume of Production 84%
Uncompetitive Product Price 80%
Weaknesses: Leather Footwear
70
75
80
85
90
95
Financial Crisis Weak Marketing Low Volume of
Production
Uncompetitive
Product Price
Major Weaknesses
%ofTotalFirms
Figure: 7.5 Weaknesses of the Leather Footwear Manufacturers
Generally, footwear firms face financial difficulty and lack effective marketing strategy. Size of the
firms in global context is smaller which is a notable obstacle in achieving economies of scale and
offering competitive price.
7.2.3 Weaknesses of the Firms: Leather Goods
In line with leather footwear, ‘financial Crisis’ is found to be the main weakness of the leather goods manufacturing industry. The major
weaknesses of the leather goods firms as identified in the survey (as opined by the firms) are as follows:
Table 7.6: Weaknesses of the Leather Goods Manufacturing Firm
Weaknesses Percent of Total Firms
65
Financial Crisis 88%
Weak Marketing 87%
Low Volume of Production 87%
Uncompetitive Product Price 74%
Weaknesses: Leather Goods
65
70
75
80
85
90
Financial Crisis Weak Marketing Low Volume Uncompetitive Price
Major Weaknesses
%ofTotalFirms
Figure: 7.6 Weaknesses of the Leather Goods Manufacturers
About 90 percent leather-goods manufacturing firms have identified ‘financial difficulty’ as their
one of the major weakness. The firms also lack effective marketing strategy. Size of the leather
goods firms in global context is smaller which is a notable obstacle in achieving economies of scale
and offering competitive price.
7.3 Opportunities
7.3.1 Opportunities of the Firms: Leather Processing
‘Cheap Supply of Labour’ is found to be the main aspect the opportunities the leather processing firms enjoy. The major aspects of
opportunities of the leather processing firms as identified in the survey (as opined by the firms) are as follows:
Table 7.7: Opportunities of the Leather Processing Industry
Opportunities Percent of Total Firms
Cheap Supply of Labour 82%
Sufficient Supply of Hide and Skin 64%
66
Stable Global Demand 62%
Favourable Business Environment 60%
Conducive Industrial Policy 58%
Opportunities: Leather Processing
0
20
40
60
80
100
Cheap
Supplyof
Labour
Sufficient
Supplyof
Hides
Stable
Global
Demand
Favourable
Environment
Conducive
Industrial
Policy
Major Aspects
%ofTotalFirms
Figure: 7.7 Opportunities of the Leather Processing Firms
It is obvious that availability of cheap labour can provide considerable cost advantage to
the firms of a particular area/location. Leather Processing firms located in Bangladesh have
been availing the opportunity. Supply of raw materials, global demand of the footwear, and
business environment are also found to be positive from the firms’ point of view.
7.3.2 Opportunities of the Firms: Leather Footwear
‘Stable glocal demand’ is found to be the main aspect of the opportunities the footwear firms
currently have. The major aspects of opportunities of the footwear firms as identified in the survey
(as opined by the firms) are as follows:
Table 7.8: Opportunities of the Footwear Industry
Opportunities Percent of Total Firms
Stable Global Demand
60%
Conducive Industrial Policy 58%
67
Favourable Business Environment 57%
Cheap Supply of Labour 51%
Duty Free Access in Major Markets 51%
Opportunities: Footwear
45
50
55
60
65
Stable Global
Demand
Conducive
Industrial Policy
Favourable
Environment
Cheap Supply of
Labour
Access in Major
Markets
Major Aspects
%ofTotalFirms
Figure: 7.8 Opportunities of the Leather Footwear Manufacturers
The footwear firms found the current stable global demand condition for the Bangladeshi
footwear is a major aspect of opportunity on the way towards expanding export markets for
footwear. The industrial policy and business environment are found to be positive for them
and availability of cheap labour is an added advantage.
7.3.3 Opportunities of the Firms: Leather Goods
The ‘Industrial Policy’ is found to be positive for the leather goods manufacturing firms. The
major aspects of opportunities of the leather-goods firms as identified in the survey (as opined by
the firms) are as follows:
Table 7.9: Opportunities of the Leather Goods Industry
Opportunities Percent of Total Firms
Conducive Industrial Policy
66%
Favourable Business Environment 60%
Cheap Supply of Labour 58%
Stable Global Demand 58%
68
Duty Free Access in Major Markets 51%
Opportunities: Leather Goods
0
20
40
60
80
Conducive
Industrial Policy
Favourable
Environment
Cheap Supply
of Labour
Stable Global
Demand
Access in Major
Markets
Major Aspects
%ofTotalFirms
Figure: 7.9 Opportunities of the Leather Goods Manufacturers
The industrial policy and business environment, and cheap supply of labour are found to be
advantageous for the leather goods manufacturing industry, as opined by most firms of the
industry. Current global demand condition appeared to be favourable for these firms.
7.4 Threats
7.4.1 Threats to the Firms: Leather Processing
‘Disruption of electricity’ is found to be the main aspect of threat to the leather processing firms of
Bangladesh. The major aspects of threats of the leather processing firms as identified in the survey
(as opined by the firms) are as follows:
Table 7.10: Threats for the Leather Processing Industry
Threats Percent of Total Firms
Disruption of Electricity
74%
Hartals, strike, and other disturbances 72%
Unstable Policy Environment 68%
External Competition 64%
Lack of Trained Labour 62%
69
Environment consciousness in Importing Countries 60%
Shortage of Water Supply 58%
Threats: Leather Processing
55
60
65
70
75
Disruption of
Electricity
Hartals, strike,
and other
disturbances
Unstable Policy
Environment
External
Competition
Lack of Trained
Labour
Major Aspects
%ofTotalFirms
Figure: 7.10 Threats of the Leather Processing Firms
Practically, ‘disruption of electricity’ and ‘hartal strike etc.’ are very common aspects of
threats facing by the industry sector of the country in general. Inadequate infrastructural
facilities like insufficient supply of electricity and shortage of water supply affect optimum
capacity utilization, volume of production, and destroy cost advantage. Such problem is
particularly threatening in an atmosphere of growing global competition. Moreover,
environment consciousness in importing countries mainly in the developed world is the
cause of concern for the exporting countries like Bangladesh where environmental issues
are not strongly addressed both in firm and policy level. Moreover, Firms also do not get
sufficient trained people.
7.4.2 Threats to the Firms: Leather Footwear
As in leather processing sector, ‘disruption of electricity’ is found to be the main aspect of threat to
the footwear firms of Bangladesh. The major aspects of threats of the footwear firms as identified
in the survey (as opined by the firms) are as follows:
70
Table 7.11: Threats for the Footwear Industry
Threats Percent of Total Firms
Disruption of Electricity
74%
Hartals, strike, and other disturbances 68%
External Competition 68%
Environment consciousness in Importing Countries 60%
Shortage of Water Supply 58%
Threats: Footwear
0
10
20
30
40
50
60
70
80
Disruptionof
Electricity
Hartals,strike
etc
External
Competition
Environment
consciousness
Shortageof
WaterSupply
Major Aspects
%ofTotalFirms
Figure: 7.11 Threats of the Leather Footwear Manufacturers
Inadequate infrastructure facilities like insufficient supply of electricity and shortage of
water supply are among the major causes of concern for the footwear firms. Growing
external competition and environment consciousness in the importing countries may affect
the export market of the footwear firms in coming days.
7.4.3 Threats to the Firms: Leather Goods
71
In line with the leather processing and footwear sectors, ‘disruption of electricity’ is found to be the main aspect of threat to the leather
goods manufacturing firms of Bangladesh. The major aspects of threats of the leather goods manufacturing firms as identified in the
survey (as opined by the firms) are as follows:
Table 7.12: Threats for the Footwear Industry
Threats Percent of Total Firms
Disruption of Electricity
74%
Lack of Trained Labour 64%
External Competition 62%
Hartals, strike, and other disturbances
60%
Environment consciousness in Importing Countries 58%
Threats: Leather Goods
0
20
40
60
80
Disruptionof
Electricity
Lackof
Trained
Labour
External
Competition
Hartals,
strikeetc
Environment
consciousne
ss
Major Aspects
%ofTotalFirms
Figure: 7.12 Threats of the Leather Goods Manufacturers
Other than inadequate supply of electricity, leather goods manufacturing firms face lack of trained
labour force to be employed. Growing external competition and environment consciousness in the
importing countries may affect the hundred percent export-oriented leather goods sector of the
country in near future.
Chapter-Eight
Production Stages
8.1 Production Stages in Leather Processing Industry
72
Finished
Crust Leather
(Natural /dyed)
Sorting
Buffing &
Dedusting
Impregnation
&
Drying
Hydraulic Pressing
Rebuffing &
Dedusting
Color Coating (By
pad/spray Roller
coater)
Drying
Ironing/Embossing
Color Coating (By
Sprayer & drying)
Plating/Glazing
Finished
Wet Blue
Raw/wet salted
Hides & Skins
(Sorted & Trimmed)
Raw/Salted
Weighing
Washing &
Soaking (in drum/
paddle/pit)
Liming (In drum/
/paddle/pit)
Fleshing
Pelt Weighing
Deliming
(in drum)
Bating (in drum)
Pickling (in drum)
Tanning (in drum)
Wet Blue
Scudding
Crust
Wet blue Leather
Splitting
Shaving
Shaved weighing
Neutralization
Retaining/
Dyeing
Fat liquoring
(in drum)
Setting
Drying (Vacuum/
Tunnel/Natural)
Conditioning (By
sawdust/ water)
Staking
Toggle Drying
Trimming
Crust
Samming
73
8.2 Production Stages in Footwear and Leather Goods Industries
Designing
Pattern Making
Designing of Footwear
Footwear Leather Goods
Designing
Pattern Making of Leather Goods
Cutting
1. Selection of Leather/Materials
2. Cutting
3. Splitting
4. Skiving
Cutting
1. Selection of Leather/Materials
2. Cutting
3. Splitting
4. Skiving
Closing
1. Embossing/ Printing
2. Adhesive
3. Folding
4. Strap cutting
5. Stitching
Closing
1. Embossing/ Printing
2. Adhesive
3. Folding
4. Strap cutting
5. Stitching
Finishing
Total Finishing Work
Finishing
Total Finishing Work
Footwear Leather Goods
74
8.3 Description of the various Stages of Leather Processing:
8.3.1Wet-Blue Section:
Name of operation Objectives Generic names of
chemicals
Chemicals Required
Curing/
Preservation
Dehydration
Soaking Restore Moisture to original
condition
Soaking
Preservatives
/ Enzymes
Sodium sulfide, sodium
hydroxide, sodium tetra
sulfide Decaltal types,
formic acid, bi sulfite
solution, sodium bi sulfite.
Liming and
Unhairing
Removing the hair and
opening up of fibre structure
for tannage
Liming Auxiliaries Sodium sulfide, Sodium
hydrosulfide. Hydrated
lime powder (calcium
hydroxide). Seldom slaked
lime (lime paste). Sodium
chlorite
Washing after
liming
Cleaning for fleshing and
start delime by thorough
washing
Fleshing Removing fat and surplus
flesh to give a Cleaner
surface for better penetration
of the subsequent chemicals
Deliming Replacing strong alkali,
Reducing Swelling
Deliming agents Hydrochloric acid, Sulfuric
acid, Formic acid, acetic
acid, Lactic acid, Boric
acid, Ammonium chloride,
Sodium meta by sulphate
Bating Producing a smooth, clean
grain by enzyme action,
removing unwanted proteins
Bating Agents Enzymes, wood flour as
carrier substance,
ammonium salts,
neutral salts as buffering
and deliming agents
Pickling Prepaing pelt for chrome
tanning by acidification
Pickling Agents Formic Acid
75
Name of operation Objectives Generic names of
chemicals
Chemicals Required
Chrome Tanning Making Leather resistant to
purification, Increasing
Thermal Stability
Tanning Agents Chrome Tanning Agents,
(chromium(III) salt, ca.
25 % Cr2O3, ca. 33 %
basicity), Aluminium tanning
agent( ca. 16 % Al2O3, ca. 50
% basicity.) Combination of
Al and Cr ( Ca. 14 % Al2O3,
ca. 3.0 % Cr2O3; ca. 20 %
basicity.)
Other agents: Chromium
(acelate, Sulphate, chloride)
potassium dichromate etc.
Sammying To remove the unbound water
so that the hide can be split or
shaved with an even or
consistent moisture content
Splitting To reduce thickness and
separate splitting part
Shaving The final adjustment for
thickness
Source: Leather Sector Census Study, LSBPC, 2005
& Pocket Handbook of Leather Technology, 2004, BASF
8.3.2 Crust Section:
Name of operation Objectives Generic names of
chemicals
Chemicals Required
Neutralization Preparing Tanned leather for
retannage
Neutralizing Agents Sodium Carbonate, Borax
Sodium Bicarbonate,
Ammonium Bicarbonate,
Sodium (Sulphite,
Thiosulphate, acetate,
formate), Calcium Formate
etc.
Retanning Using suitable chemicals for
the final product requirement
Retanning Agents Phenol, Nepthalane, B-
Napthole, Aromatic Ether
Dyeing To impart requisite colour on
leather
Dyes
Fat liquoring To soften the leather Fat Liquoring Agents Untreated oils, fats and
waxes Emulsified oils and
fats Chlorinated oils and
fats Sulfonated oils, fats
and fatty alcohols,
Oxidation products of oils
and fats
76
Name of operation Objectives Generic names of
chemicals
Chemicals Required
Setting Out Removing wrinkles as much
as possible and mechanically
held water before drying
Drying Removal of water without
damaging Leather quality
Conditioning Controlled addition of
moisture
Staking/Vibration Soften by separating the
fibres
Toggle Drying Complete the drying under
streching condition
Trimming Removal of irregular edges,
damaged portion
8.3.3 Finishing Section:
Name of operation Objectives
Sorting To examine Quality and select different grades for
end products
Buffing Up gradation of lower grade leather through
shaping/ buffing of grain surface
Finishing Producing the finished film
a. Ground Coat Providing suitable base for better adhesion and
makes the leather surface smooth, uniform and
impermeable
b. Season Coat Covering the major proportion of the film thickness and
getting skewed between ground and top layer, Sealing
from both sides by impermeable ground and top layer
c. Top Coat Providing required degree of gloss, feel handle and
final appearance of the finished leather
Pressing Providing smooth or embossed/ printed surface with
ironing/ plating
Milling Mechanically softenning of the semifinised leather
Final Gradation Examine quality and allocate each finished piece of
grade
Measuring
Source: Leather Sector Census Study, LSBPC, 2005
& Pocket Handbook of Leather Technology, 2004, BASF
77
Chapter-Nine
LEATHER CHEMICALS & ACCESSORIES
(Data Collected from Secondary Survey)
9.0 Chemicals and Accessories: Leather Sector
A number of chemicals are used in the leather processing, footwear manufacturing and leather goods manufacturing units most of
which are foreign chemicals. In terms of value, above 87 percent chemicals used by the leather sector firms are of foreign origin.
Above 95percent (of the total value) of the chemicals used in the productions of crust and finished leather are foreign. Over 70percent
(of the total value) of the chemicals used by the footwear manufacturing are foreign made. Data collected from the secondary sources
show that leather goods manufacturing units depend mainly on local chemicals (Table *.2).
Table 9.1: Yearly value of Chemicals used by the Leather Sector Firms (by sources)
Production type
Local
Value in Tk.000
Foreign
Value in Tk.000
Total, Value
in Tk.000
Wet-Blue 20,685 63,938 84,623
Crust Leather 2322 116720 119042
Finished Leather 1679 44791 46469
Footwear 12660 42609 55269
Leather Goods 1636 18 1654
Total 38982 268076 307058
Source: Leather Sector Census Study, LSBPC, 2005
Table 9.2: Distribution of Chemicals used by the firms of the Leather Sector (%)
Production
type
Local Value Foreign Value
Total Value
Wet-Blue 24.44 75.56 100
78
Crust Leather 1.95 98.05 100
Finished
Leather
3.61 96.39 100
Footwear 29.70 70.30 100
Leather Goods 90.0 10.0 100
Total 19.20 80.80 100
Table 9.3: Yearly Value of Accessories used by the Footwear and Leather Goods
Manufacturing Units (by sources)
Types of
Production
Local Foreign
Total
Value in
Tk.000
Value %
of Total
Value in
Tk.000
Value%
of Total
Value in
Tk.000
Value%
of Total
Footwear 73961 80.76 17616 19.24 91577 100
Leather Goods 237 27.40 628 72.60
865 100
Total 74198 80.30 18244 19.70 92442 100
Source: Leather Sector Census Study, LSBPC, 2005
Most accessories used by the footwear and leather goods manufacturing enterprises are
locally made. As a whole, about 20 percent of the accessories used in the production of
footwear and leather goods are foreign made. About 81 percent (of the total value)
accessories used by the footwear-manufacturing units are local accessories.
9.1 Chemicals: Leather Processing
9.1.1 Leather Processing: Wet-Blue
Secondary data show that over 75 percent (of total value) of the chemicals used for the production of wet-blue by the tanneries are
foreign-made. There are chemicals that are supplied by both local and foreign sources like sodium chloride, sodium carbonate,
ammonium sulphate, sulphuric Acid, Bating Agent etc. However, some chemicals like enzymatic soaking agent, sodium formate,
masking agent etc. are exclusively supplied from external sources (Table 9.4). In 2003, major suppliers of the chemicals were
Germany, China, Italy and UK .
Table 9.4: Yearly Value of Chemicals used for the Production of Wet-Blue
Name of
Chemicals
Local Foreign Total
Quantity
(MT)
(Value in
Tk.000)
Quantity
(MT)
(Value in
Tk.000)
Quantity
(MT)
(Value in
Tk.000)
79
Sodium chloride 1630.84 13,642 4 86 1634.84 13,728
Soaking Agent 72.835 2,770 17.8 1,021 90.135 3,791
Enzymatic Soaking
Agent
- - 15.54 2,359 15.54 2,359
Sodium Sulphide - - 228.65 4,880 228.65 4,880
Lime Auxiliaries 16.8 690 72.015 6,509 87.715 7,199
Bactericide - - 13.825 482 13.825 482
Ammonium
Chloride
1 - 46.745 1,149 47.745 1,149
Sodium Carbonate 0.55 161 44.17 984 44.72 1,145
Oxalic Acid - - 14.18 658 14.18 658
Sodium Formate - - 48.23 1,387 48.23 1,387
Magnesium Oxide - - 27.915 3,926 27.915 3,926
Ammonium
Sulphate/Dolomite
138 1,518 18.86 534 156.86 2,053
Bating Agent 13.13 181 53.59 3,343 62.02 3,524
Sulphuric Acid 74.46 1,342 8.41 301 82.87 1,643
Formic Acid 5.77 168 73.55 4,123 78.55 4,291
Basic Chrome
powder
2.1 89 512.92 24,572 513.02 24,661
Sodium
Bicarbonate
0.65 11 54.12 1,789 54.77 1,799
Masking Agent - - 6.96 1,129 6.96 1,129
Preservative 0.125 113 6.96 4,706 6.79 4,819
Total 1956.26 20,685 1274.47 63,938 3202.38 84,623
Source: Leather Sector Census Study, LSBPC, 2005
9.1.2 Leather Processing: Crust Leather
As the survey data show over 98 percent of the chemicals used for the production of crust
leather (from wet-blue) are foreign made. Other than a few chemicals like basic chroming
sulphat, phenolic syntan etc. generally chemicals have both local and foreign suppliers.
However, very insignificant volumes of local chemicals are used as compared to the
foreign chemicals. Foreign chemicals used are mainly made in Germany, UK, Holland,
and Italy .
80
Table 9.5: Yearly Value of Chemicals used for the Production of Crust Leather
Name of
Chemicals
Local Foreign Total
Quantity
(MT)
(Value in
Tk.000)
Quantity
(MT)
(Value in
Tk.000)
Quantity
(MT)
(Value in
Tk.000)
Basic Chroming
Sulphate
- 0 79.46 3564 79.46 3564
Sodium Formate 0.75 21 47 1233 47.75 1254
Na-EDTA 1 94 2.36 217 3.36 311
Acrylic syntan 2 176 83.28 9022 85.28 9198
Phenolic syntan - 0 57.50 7891 57.50 7890
Melamine /Urea
syntan
2 212 72.16 8601 74.16 8813
Replacement
syntan
1.8 225 82.97 9222 84.77 9447
Vegetable extracts 2.5 188 130.89 8742 133.39 8930
Dyestuffs 1.4 770 54.22 31506 55.52 32275
Fat Liquors 3.5 473 196 26408 199.5 26880
Formic Acid/Acetic
acid
1 51 58.54 31667 59.54 3217
Dye Auxiliaries - 0 12.69 2559 12.69 2559
Preservative 0.13 113 5.1 3633 5.23 3745
Aldhyde Tannin - 0 3.68 956 3.68 956
Total 16.07 2322 885.86 116720 901.84 119041
Source: Leather Sector Census Study, LSBPC, 2005
9.1.3 Leather Processing: Finished Leather
Over 95 percent (of the total value) of the chemicals used in the production of finished leather (from crust) are foreign-made. Except
for a few, almost all chemicals have domestic suppliers, however, uses of local-made chemicals are very limited. Most of the
chemicals used to produce finished leather are made mainly in Germany, Italy, UK, and Holland.
Table 9.6: Yearly Value of Chemicals used for the Production of Finished Leather
Name of
Chemicals
Local Foreign Total
Quantity
(MT)
(Value in
Tk.000)
Quantity
(MT)
(Value in
Tk.000)
Quantity
(MT)
(Value in
Tk.000)
81
Acrylic binder 0.75 37 10.33 3296 11.08 3334
Butadyne binder 0.8 40 1.75 495 2.55 535
Protein Binder 0.8 50 14.83 3867 15.63 3917
Wax emulsion 0.3 81 7.97 3081 8.27 3162
Penetretor 0.17 15 14.34 3958 14.51 3973
Nitrocellulose
binder
4.16 1172 13.29 4712 17.45 5884
Poly Eurathane
binder
0.75 52 14.70 4778 15.46 4830
Dye liquid 0.1 100 8.67 7312 8.77 7412
Filler 0.35 20 4.13 1222 4.49 1242
Pigments 1.4 60 12.54 3083 13.94 3143
Acetic Acid 0.05 2 2.47 170 2.52 172
Matting Agent 0.13 17 3.69 1498 3.81 1515
Film Modifier 0.05 20 4.08 3906 4.14 3926
Pull-up Wax - 0 2.44 949 2.44 949
Pullup oils - 0 4.02 1450 4.02 1450
Cross linkers 0.02 10 0.355 900 .37 910
Solvent - 0 0.35 105 .35 105
Formal dehyde - 0 0.05 3 .05 3
Total 9.83 1678 120 44790 129.83 46468
Source: Leather Sector Census Study, LSBPC, 2005
9.2 Chemicals and Accessories: Footwear
Table 9.6: Annual Chemical used for the production of Footwear
82
Both domestic and foreign made chemicals are used in the production of footwear. Adhesive constitute the main head of chemical.
Some chemicals like batal acid, belco, lacker, pasting, sufar are exclusively supplied by the local sources, and some chemicals used
like aqua solar, aciton, thinner, tolbon etc. are of foreign origin. About 70 percent of the total chemicals used (of the total value) are
foreign made. Most of the foreign chemicals are made in UK, India, Taiwan, Malaysia and Germany.
Local Foreign Total
Name of Chemicals Quantity in Kg Value in Tk Quantity in Kg Value in Tk Quantity in Kg Value in Tk
Aqua Solar 0 0 2.5 6250 2.5 6250
Aciton 0 0 130 26000 130 26000
Batal Acid 10 1500 0 0 10 1500
Belco 37 9300 0 37 9300
EMK 10 100 85 25500 95 25600
Gail Goods 0 0 3 6300 3 6300
Glace 0 0 1009 402520 1009 402520
Hardner 0 0 790 723000 790 723000
Lacker 20 3000 0 0 20 3000
Ligar 0 0 9 1440 9 1440
Liquid Spray 0 0 25 11750 25 11750
Latex 0 0 2600 260000 2600 260000
MEK 0 0 630 78900 630 78900
Oxalic 0 0 600 27000 600 27000
Polishing Cream 22 6600 60 17400 82 24000
Powder Dice 0 0 500 18000 500 18000
Pasting 19505 1462500 0 0 19505 1462500
Primer 0 0 1760 607000 1760 607000
Pigment 10 2000 0 0 10 2000
Spray 0 0 48 17700 48 17700
Solution 19500 1365000 5000 400000 24500 1765000
Shining 0 0 1800 2160000 1800 2160000
Split 0 0 40 1200 40 1200
Solvent Laker 20 2100 15 3000 35 5100
Season 15 1500 0 0 15 1500
Sufar 25 1500 0 0 25 1500
Thinner 0 0 3570 286700 3570 286700
Tolbin 0 0 1550 131250 1550 131250
Adhesive 0 0 7200 1008000 7200 1008000
Ecosolar 0 0 4.5 6850 4.5 6850
Cleansing Agent 0 0 20 700 20 700
Zinc acid 25 2500 0 0 25 2500
Staric Acid 25 1500 0 0 25 1500
Antioxident 25 1250 0 0 25 1250
MBT 25 1205 0 0 25 1205
TBT 25 1250 0 0 25 1250
Total 39299 2862805 27451 6226460 66750 9089265
83
A number of accessories like bukless, belt, button, catel, deco, eyelet etc. are used by the
footwear manufacturing firms to produce footwear. About 80 percent (of
the total value) of the accessories used by the footwear-manufacturing units
are locally made. A few accessories like deco, catel tap, and eyelet used by
the footwear firms are exclusively foreign made. Most of the foreign
accessories are made in Korea, Hong Kong, India, Taiwan and Italy.
Table 9.8: Yearly Value of Accessories used for the Production of Footwear
(Value in Tk.000)
Name of accessories Local Foreign
Total
Buckles 248 7087 7335
Belt 1313 1248 2561
Button 7903 475 8378
Catel 11 201 212
Catel tap 0 1799 1799
Daco 0 1640 1640
Eyelet 0 128 128
Others 70356 386 70742
Total 79831 12964 92795
Source: Leather Sector Census Study, LSBPC, 2005
Packaging and labeling materials like paper board box, tracing paper, poly bag, carton etc. are collected from local and as well as
foreign sources. About 50 percent of the packaging and labeling materials used by the footwear firms are of foreign origin. China,
Italy, and Korea were the main suppliers of the packaging and labeling materials for footwear industry in 2003.
9.3 Chemicals and Accessories: Leather Goods
About 90 percent of the chemicals (of the total value) used by the leather goods manufacturing units are locally made (Table 9.9).
Accessories used by the leather goods manufacturing units include bukless, belt etc. Over 70 percent of the expenses on accessories of
the leather goods manufacturing units are on foreign made accessories. Hong-Kong was the main supplier of the foreign made
accessories for the leather goods firms in 2003. Packaging and labeling materials used by the leather goods manufacturing units are
locally made.
Table 9.9: Yearly Value of Chemicals used in the Leather Goods Manufacturing Units
Chemicals Local Foreign Total
84
Adhesive 1630 18 1648
Lacker 2 0 2
TBT 4 0 4
Total 1636 18 1654
Table 9.10: Yearly Value of Accessories used in the Leather Goods Manufacturing Units
(value in Tk.000)
Accessories Local Foreign Total
Bukless 63.5 600 663.5
Belt 151.5 24 175.5
Button 15 0 15
Others 7 4 11
Total 237 628 865
Source: Leather Sector Census Study, LSBPC, 2005
Chapter-Ten
Major Players of the Leather Chemical Industry
(Data Collected from Primary Survey)
10.1 Market Share of Major Beam House Chemical Suppliers
(Wet Blue)
1. Soaking Agent: 550-600MT /Year Price: 100-120Tk Per Kg.
#SL.#SL. SupplierSupplier MarketMarket
ShareShare
1. ACI, Bangladesh 50%
2. BASF, Germany 30%
3. Others 20%
Source: Primary survey
85
Product Name:
Lissapol, ACI;
Lisapen-PA-WB, BASF
2. Soaking Enzyme: 300MT /Year Price: 150-190Tk Per Kg.
#SL.#SL. SupplierSupplier MarketMarket
ShareShare
1. TFL, Germany 25%
2. BASF, Germany 20%
3. Buckman, Singapore 15%
4. TH Bohme 15%
5. Schill & Seilacher, Germany 5%
6. Scitan, Italy 5%
7. Others 15%
Source: Primary survey
Product Name:
(Pellvit C, Pellvit DPH), TFL;
(Basozym-S20), BASF;
(Busan-40L), Buckman;
(Vinkol A), Schill & Seilacher;
3. Liming Auxiliaries: 750-900MT /Year Price: 65-120Tk Per Kg.
#SL.#SL. SupplierSupplier MarketMarket
ShareShare
1. TFL, Germany 25%
2. BASF, Germany 20%
3. Buckman, Singapore 10%
4. Seicie, Italy 10%
5. Schill & Seilacher, Germany 5%
6. Others 30%
Source: Primary survey
Product Name:
(Erhavit-MB), TFL;
(Mollescal AGN, Mollescal LS), BASF;
(Buspers 77432), Buckman;
(Saical-FC), Seicie;
86
4. Deliming Agents: 1000MT /Year Price: 8-15Tk Per Kg.
Chemicals: Sodium Meta Bi-Sulphate, Ammonium Sulphate, Ammonium Chloride
#SL.#SL. SupplierSupplier MarketMarket
ShareShare
1. Local 75%
2. China, Thiland 25%
Product Name:
(Delimer-AR), Neochemica;
5. Bating Agents: 500-600MT /Year Price: 60-100Tk Per Kg.
#SL.#SL. SupplierSupplier MarketMarket
ShareShare
1. Clariant, UK 35%
2. TFL, Germany 20%
3. Buckman, Singapore 15%
4. BASF, Germany 10%
6. Rock Chem 5%
7. Others 15%
Source: Primary survey
Product Name:
(Oropon-G, Oropon-ANZ, Vulal-K), TFL;
(Basozym-C10), BASF;
(Bate-PBW1), Buckman;
( Z.H Bate) ZH chemical;
6. Pickling Agents: 1500-1700MT /Year
Chemicals: Sulphuric Acid Price: 15Tk. Per kg.
Formic Acid Price:
Salt (NaCl) Price: 10Tk Per Kg.
87
#SL.#SL. SupplierSupplier MarketMarket
ShareShare
1. Local 55%
2. Clariant, U.K 10%
3. BASF, Germany 10%
4. Kemira 5%
5. Others 20%
Source: Primary survey
7. Tanning Agents: 6000-8000MT /Year Price: 50-150Tk Per Kg.
#SL.#SL. SupplierSupplier MarketMarket
ShareShare
1. BASF, Germany 30%
2. Bayer, Germany 30%
3. American Chemical Co. 15%
4. Sulchome, Italy 10%
5. Others 15%
Source: Primary survey
Product Name:
(Chromosol-B), Bayer;
(Chromitan-B), BASF;
(Chromix-B33), American Chemical Co.;
8. Preservatives: 100-120MT /Year Price: 750-850Tk Per Kg.
#SL.#SL. SupplierSupplier MarketMarket
ShareShare
1. Buckman, Singapore 40%
2. Bayer, Germany 30%
3. Chemicolor/ Yorkeshire 10%
4. ATC, France 5%
5. Others 15%
Product Name:
(Prevental-Z), Bayer;
(Busan-30L), Buckman;
88
(Tolcide-2230), Chemicolor/Yorkeshire;
9. Basifying Agents: 500-700MT /Year Price: 110-120Tk Per Kg.
#SL.#SL. SupplierSupplier MarketMarket
ShareShare
1. BASF, Germany 30%
2. TFL, Germany 10%
3. Clariant, U.K 10%
4. Clowan 10%
5. Others 50%
Source: Primary survey
Product Name:
(Neosym-MGO), Clowan; (Chromitan-B), BASF;
(Chromino-FB), TFL; (Tanbase), Clariant;
10.1.1 Total Quantity wise Market Share (Wet Blue)
Sl. No. Name of the Suppliers Approximate Market Share (%)
1 BASF, Germany 25%
2 Clariant, UK 22%
3 Bayer, Germany 20%
4 American Chemical Co. 8%
5 TFL, Germany 5%
6 Buckman, Singapore 5%
7 Others 15%
89
Market Share of Chemical Suppliers
(Wet Blue)
Buckman
5%
TFL,
5%
American
Chemical
Co.
8%
Bayer
20%
Clariant
22%
BASF
25%
Others
15%
BASF, Germany
Clariant, UK
Bayer, Germany
American Chemical
Co.
TFL, Germany
Buckman,
Singapore
Others
Figure 10.1:
10.2 Market Share of Chemical Suppliers (Wet Blue To Crust)
1. Neutralizing Agents: 500MT /Year Price: 90-160Tk Per Kg.
#SL.#SL. SupplierSupplier MarketMarket
ShareShare
1. BASF, Germany 25%
2. TFL, Germany 25%
3. Clariant, UK 20%
4. Buckman, Singapore 10%
5. Others 20%
Product Name:
(Butan 7810), Buckman;
(Tamol GA, NNOL), BASF;
(Sellasol NG), TFL;
(BS3), Smith & Zones;
(Probal-PRA), Clariant;
(PAKS), Bayer;
90
2. Retanning Agents: 3000-4000MT /Year Price: 115-180Tk Per Kg.
#SL.#SL. SupplierSupplier MarketMarket
ShareShare
1. BASF, Germany 50%
2. Bayer, Germany 30%
3. Others 20%
Product Name:
(Basyntan-AM, Basyntan- DLE, Syntan-DLE, Relugan), BASF;
(Tanizon-OS, Ratingan- R7), Bayer;
3. Dyes: 1000MT /Year Price: 300-1200Tk Per Kg.
#SL.#SL. SupplierSupplier MarketMarket
ShareShare
1. Clariant, UK 40%
2. BASF, Germany -
3. Guama -
4. Stahl, Holland -
5. Others 30%
Product Name:
(Beige-L), BASF;
(Black-PNT), Guama/Chika;
(Brown-574), Croda;
4. Dyeings Auxiliaries: 250-350MT /Year Price: 70-350Tk Per Kg.
#SL.#SL. SupplierSupplier MarketMarket
ShareShare
1. Clariant, UK 20%
2. BASF, Germany 20%
3. TFL, Germany 10%
4. Hodgeson 10%
5. Others 40%
Source: Primary survey
91
Product Name:
(Tamol AW), BASF;
(Neosyn-N), Clarient;
(Compound DLS), Hodgeson;
5. Fatliquors: 1800-2000MT /Year Price: 70-350Tk Per Kg.
#SL.#SL. SupplierSupplier MarketMarket
ShareShare
1. Smith & Zones 30%
2. TFL, Germany 20%
3. BASF, Germany 10%
4. Clariant, UK 10%
5. Zshimmer & Schwarz 5%
6. Others 25%
Source: Primary survey
Product Name:
(Lypoderm), BASF;
(Chromopol, Choripol), TFL;
(Derminol, Dermalix), Clariant;
(Eureka-172), Atlas;
(SLP), Yorkeshire;
(Coralon), Stahl;
10.2.1 Total Quantity wise Market Share (Crust)
Sl. No. Name of the Suppliers Approximate Market Share (%)
1 BASF, Germany 33%
2 Clariant, UK 20%
3 Bayer, Germany 17%
4 TFL, Germany 10%
5 Others 17%
Source: Primary survey
92
Market Share of Chemical Suppliers
(Crust)
BASF
33%
Clariant
20%
Bayer
17%
TFL
10%
Others
20% BASF
Clariant
Bayer
TFL
Others
Figure10.2
10.3 Market Share of Chemical Suppliers (Crust To Finished Leather)
Name of the products: Coating Agents (Top Coats, Base Coats); Binders; Cross linkers;
Colloidal Fillers, Wax Fillers, Penetrator, Acrylic Resins; Pigments; Dyes; Thinners etc;
Quantity: Total: 550-600 MT/Year,
Note That: Although the result obtained from the secondary data shows the annual
requirements of leather-finishing chemicals is 1550MT but from the primary survey it has
93
been confirmed that annual finishing chemical consumption is 550-600MT.
Sl. No. Name of the Suppliers Approximate Market Share (%) in
Finishing
1 ALPA, Italy 25%
2 BASF, Germany 20%
3 Stahl, Holland 18%
4 Clariant, UK 10%
5 TFL, Germany 5%
6 Finice(Italy) 5%
7 Horiyana Chemicals 5%
8 Buckman, Singapore 2%
9 Others(Indian & Italian) 10%
Market Share of Finishing Chemical
Suppliers
BASF
20%
ALPA
25%
Others
10%
Buckman
2%
Horiyana
Chemicals
5%
Finice
5%
TFL
5%
Clariant
10%
Stahl
18%
ALPA
BASF
Stahl
Clariant
TFL
Finice
Horiyana
Chemicals
Buckman
Others
Figure 10.3
Chapter Eleven
Findings and Recommendations
As the whole tannery industry of Bangladesh is getting squeezed day-by-day, the
negative impact of it is obviously affected the leather chemical market of Bangladesh.
94
Since on this small industry more than fifty chemical merchants and organizations are
operating, price; marketing policy; relationship marketing; technical support by the
chemical suppliers; are scrupulously observed by the tanneries of Bangladesh.
Ten years back BASF and some other big chemical suppliers led the leather chemical
market single handedly and played monopoly game with their consumers. At that time
they took high price from the buyers. But now there are numerous competitors available
on the market. Now, buyers can choose their own sellers since they have their
alternatives. In the description bellow I tried to find out some basic marketing factors of
leather chemical industry.
1. Technical Support: The leather chemical marketing and selling requires reliable
technical services. Suppliers can sell their product only then, when they can make it sure
to the buyers that the chemical is really useful for fulfilling buyer’s special purpose. So, if
you don’t have good and skilled technical sales person you are no way near in the
competition.
2. Price: Price has always been a huge factor in leather chemical industry. Big suppliers
are getting away from the good notice of their clients because of their high price
comparing to their Chinese and Indian counter products. Freight cost, taxes, currency
exchange rate have always played a big factor for the ultimate price of the chemical.
Most of the Chinese and Indian products are proved to be less costly than most of the
well-known German, Dutch and English chemicals.
3. Relationship Marketing: Since the whole leather chemical market is very narrow,
each and every one knows one another very well. But then again one has to maintain a
very good relationship with the buyers. Most of the buyers want to purchase their
chemicals on credit basis. So, you have no option but to sell your product on credit.
Since, chemical selling requires post purchase technical support, one has to make it sure
their chemical is doing better than competitors one in each and every aspect.
Discount can be offered for buying bulk amount.
95
Most of the buyers are facing difficulties in getting loan from the bank to purchase their
raw materials. A supplier can also make a link with the banks to give loan to the tanneries
for buying chemicals form them.
4. Lead Time:
Some times buyers have to buy a bulk amount of chemicals for their production. In most
of the cases suppliers are not able to supply beyond a certain amount of chemicals, then
they require importing chemicals from the manufacturing agents. Lead-time plays a big
role in that particular case. If a supplier cannot maintain its declared time of supply,
obviously the buyers will be dissatisfied.
5. Quality:
No matter in which way you have sold your chemical to the buyers you have to make it
sure that you are selling a quality product. You have to remember that it is not the one
time selling policy you want to follow. Only, the good quality product can ensure long
term selling policy.
11.1 Problems of ACI Trading and Stahl in Leather Chemical Marketing11.1 Problems of ACI Trading and Stahl in Leather Chemical Marketing
1. Price: Most of the Stahl products are costlier than their competitor’s counter
products. Although Stahl has very good brand image in Finishing chemical
section but high price is one of the factor for which Stahl is loosing market
towards the Indian and Chinese products. Even in some cases their chemicals are
costlier than BASF, ALPA and TFL’s chemicals. Actually, Stahl has to wait for
their shipment from Holland. Fluctuations of Euro play an important part to
fluctuate the price of the chemicals. ALPA (The market leader in finishing
Leather chemical section) arranges shipment from two sources, one is India and
another one is Italy. ALPA gives emphasize to the customers choice from where
96
they want to get the shipment. In case of shipment from India, ALPA offers lower
price in US Dollar. The other benefit, they can avoid the risk of frequent Euro
fluctuation. Not only ALPA but also other competitors are practicing this strategy
as well (BASF India, TFL Sri Lanka, BUCK MAN Singapore, etc).
2. Organizational Hierarchy of ACI Trading Ltd and insufficient technical
person in the leather chemical division: ACI Trading Limited is one the
subsidiaries of Advanced Chemical Industries (ACI), Bangladesh Limited. The
Company is mainly involved in marketing and sales of various Industrial
Chemicals, Petrochemicals, Plastics, Pharmaceuticals, Leather and Shoe finish,
Textile Dyes and Auxiliaries through Indent sales. It has four business divisions
such as Chemicals, Textile, Leather and Water Pumps. To render technical service
ACI Trading has two separate technical application laboratories for textile and
leather businesses.
In the Leather chemical division there are only two persons working, a) Senior
Technical Sales Officer, b) Technical Sales officer. There was a manager in this
division, but after his death this position is vacant now.
The hierarchy of Leather Chemical Division:
Executive Director
ACI Trading Limited
Manager, Leather (Vacant)
Senior Technical Sales officer
Technical Sales officer
97
With the vacation of the mangers post, both the sales officers have to report directly to the
Executive Director. Insufficient personnel in the leather chemical division and
vertical hierarchy seem to be a noticeable problem for ACI Trading Ltd. ALPA,
the market leader in leather finishing, has eight technologists working for
Bangladesh market (Three Bangladeshi Technical persons, two Indian
technologists, three Technologists from ALPA, Italy). In comparison to that Stahl
has only two technical sales officers of Bangladesh and one Pakistani technologist.
Training of these technical personnel is very necessary. ALPA, Italy arranged regular
training for agent technologist and train up on latest development that helps to
promote Chemicals to tanneries. Stahl and ACI should arrange training on
regular basis.
Job placement is another key strategy taken by the market leader ALPA. They appointed
technicians from India and occupied most of the finishing units in Bangladesh.
These technologists are working as shadow technologists of ALPA and at the same
time Tannery management also pleased for that and finally ALPA gets good
business.
98
Appendix A-1
Members’ List of Bangladesh Finished Leather, Leather goods and
Footwear Exporters’ Association (BFLLFEA)
Category: Tannery
SL Name of the Firm Address Phone
Contact Person and
Designation
M/S Al Madina TanneryM/S Al Madina Tannery 55/2, Hazaribagh, Dhaka 8611579
019343789
Alhaj Nur Mohammed
Managing Director
M/S Amin Tannery Ltd. 60/1, Hazaribagh, Dhaka 8610475
0171561660
Mr. Abdul Kader
Managing Director
M/S Anowar Tannery (Pvt) Limited 104, Hazaribagh, Dhaka 9664078
506168
Mr. Md. Dil Jahan
Bhuiyan
Managing Director
M/S Apex Tannery Ltd. Off: 65-66 Motijheel C / A (2nd
Floor)
Fact: 127 Hazaribagh, Dhaka
9551203
9560766
9551117
8625635-7
Mr. A.K.M Rahmatullah,
Managing Director
M/S Awal LeatherM/S Awal Leather
ComplexComplex
69, Hazaribagh, Dhaka 8626728
8118981
Mr. M. A. Awal
Managing Director
M/S Abul Khair Tannery 121/5, Sher-e-Bangla Road, Hazaribagh,
Dhaka-1209
8621787
0172126126
Hazi Md. Abul Khair
Proprietor
M/S Ayub Brothers Tannery Ltd. 143/1 Hazaribagh
Dhaka
866518 Mr. Shahjahan
Managing Director
M/S Azmir Leather 116/E, Hazaribagh, Dhaka-1209 8626925 Mr. Md. Shahid Ullah
Proprietor
M/S Aziz Tannery Ltd. 148/2, Hazaribagh, Dhaka-1209 Mr. Md. Asifur Rahman
Managing Director
M/S Bangladesh Fine Leathers
Processing Ltd.
Alta Plaza (3rd
Flor) House # 1
Road # 10, Dhanmondi, Dhaka
8124806
8626485
Mr. Anam Haque
Managing Director
M/S Bata Shoe Company
Bangladesh Limited
Tongi, Gazipur, (Dhaka) 9800501-5
9800513
Mr. G Stricker
Managing Director
M/S Bay Tanneries Ltd. 21, Hazaribagh, Dhaka 8611445
8611468
011855496
Mr. Shamsur Rahman
Managing Director
M/S Bengal LeatherM/S Bengal Leather
ComplexComplex
147, Hazaribagh, Dhaka-1209 8614077
8615977
0171538060
Mr. Md. Tipu Sultan
Managing Director
M/S Bengal Peli Export Company Hazaribagh
Dhaka
9122452
500197
Mr. Md. Anwar Hossain
Proprietor
M/S Bikrampur Tannery Ltd. 180/2 Hazaribagh, Dhaka 9110690 Mr. S.M. Habibur
Rahman
99
Managing Director
M/S Cresent Tannery Ltd. 143 Hazaribagh, Dhaka 9663659 Mr. Md. Abdul Kader
Chairman
M/S Dhaka Hides & Skins Ltd. 147, Hazaribagh, Dhaka 8611268
9669849
Mr. M. A. Rashid Bhuiyan
Managing Director
M/S Dhaka Tanneries Ltd. 124, Hazaribagh, Dhaka 8615179
8613563
Mr. Md. NUrul Huda
Managing Director
M/S Diamond Tannery Ltd. 73, Hazaribagh, Dhaka 0189216979 Mr. Abdul Hakim
Managing Director
M/S F. K. Leather Complex Ltd. 95/3A, Hazaribagh, Dhaka 502411
506921
Mr. Kutub Uddin
Chairman
M/S Green ArrowM/S Green Arrow
TanneryTannery
135, Hazaribagh, Dhaka 503650
8614182
Mr. Tofail Ahmed
Managing Director
M/S Great Eastern Tannery (PVT)
Ltd
42, New Paltan Lane, Azimpur, Dhaka-1205 8626887
9666128
Alhaj Mohd Idrish
Managing Director
M/S H & H Leather Industries Ltd. House # 69, Road # 8/A
Dhanmondi R/A, Dhaka
9113776
9111209
8111526
Mr. M. Nasir
Managing Director
M/S H. B. Tannery Ltd. House # 69, Road # 8/A
Dhanmondi R/A, Dhaka
8111526
9111209
Mr. M. Fayaz
Director
M/S H. R. C. Leather Complex 1. TC Bhaban, Kawran bazar
Dhaka
9128991-2 Mr. Sayeed Hossain
Chowdhury, Chairman
M/S Haroon Leather Ltd. 18, Kamal Ataturk Avenue (16th
Fl)
Banani, C/A, Dhaka
8824979
8821024
Mr. Rizwan Haroon
Managing Director
M/S Helal TanneryM/S Helal Tannery 74, Hazaribagh, Dhaka 8616305 Mr. Md. Belal Hossain
Proprietor
M/S Helena EnterpriseM/S Helena Enterprise
Ltd. No.2Ltd. No.2
78, Hazaribagh, Dhaka-1209
59/60, Gazmohol, Hazaribagh, Dhaka-1209
(?)
8631097
9660754
0171591647
Mr. Mohammad Mizan
M/S Ibrahim LeathersM/S Ibrahim Leathers 123/1 Hazaribagh, Dhaka 8625162 Mr. Md. Ibrahim
Proprietor
M/S International Tannery Hazaribagh, Dhaka 504401
508863
Mr. Md. Fajlu Mia
Proprietor
M/S Jamila Tannery Ltd. 112, Hazaribagh,
Dhaka
508466
9112832
Mr. Shaiqur Rahman
Managing Director
M/S Janata Tanning Industries Ltd. 180, Hazaribagh, Dhaka 8618556
8626727
Mr. Abul Kashem
Managing Director
M/S Javed TanneryM/S Javed Tannery 119, Sher-e-Bangla Road
Dhaka
8117674 Mr. Tipu Sultan
Proprietor
M/S Kader LeatherM/S Kader Leather
ComplexComplex
54/F Moneshwar,
Hazaribagh, Dhaka
8116424 Mr. Abdul Kader
Proprietor
M/S Kalam Brothers Tannery Ltd. 109/2 Hazaribag, Dhaka 8626727
8618556
0171561646
Mr. Md. Abul Kalam Azad
Managing Director
M/S Karim Leathers Ltd. 180, Hazaribagh, Dhaka 8616584 Alhaj Rejaul Karim Ansar
100
8611286
8611129
Managing Director
M/S Kid Leather Ind. Ltd. Off: 62/1, Purana Paltan, Dhaka
Fact: 19 Sher-e-Bangla Road, Hazaribagh,
Dhaka
8612286
9563453
Mr. Md. S.A.M.M.
Nuruddin
Managing Director
M/S Leather Ind. of Bangladesh
Ltd.
54/1 Sher-e-Bangla Road,
Hazaribagh, Dhaka
8610516
8614242
Mr. Abdul Rahman Sales
Managing Director
M/S Lexco LimitedM/S Lexco Limited 146, Hazaribagh, Dhaka 9669397
8626082
8625147
Mr. M. A. Matten
Chairman
Mr. Harun Or-Rashid
Managing Director
M/S Madina TanneryM/S Madina Tannery 114, Kobi Nazrul Islam Road
Sadharghat, Chittagong
031-613916
031-617605
Mr. Abu Mohammad
Managing Director
M/S Manzur Industries Ltd. Dhaka Chamber Building
65-66, Motijheel C/A Dhaka
9551117
9566182-3
Mr. Quazi Anwarul Hoq
(Tariq)
Director
M/S Millat TanneryM/S Millat Tannery 116/6, Hazaribagh, Dhaka 504865
8611264
Mr. Md. Nurul Alam
Proprietor
M/S Mitali TanneryM/S Mitali Tannery 71/4 Gojmohol, Hazaribagh, Dhaka 8612917
9665916
Mr. Mr. Hazi Abul
Kashem
Proprietor
M/S Mukti TanneryM/S Mukti Tannery 141/2 Hazaribagh, Dhaka 8616586 Mr. Osman Gani Bhuiyan
Managing Director
M/S Mukta TanneryM/S Mukta Tannery 34/C, Hazaribagh, Dhaka-1209 9660674 Mr. Sayed Md. Shidullah
Proprietor
M/S ParamountM/S Paramount
TanneriesTanneries
181/2 Sher-e-Bangla Road, Hazaribagh,
Dhaka
8626056
0189220471
Mr. Akbar Hossain
Managing Director
M/S Pioneer Tannery Ltd. 21, Hazaribagh,
Dhaka
8623428 Mr. Ziaur Rahman
Managing Director
M/S Pragati LeatherM/S Pragati Leather
ComplexComplex
55/1 Hazaribagh, Dhaka 9663121
8626485
0171524804
Mr. Md. Asadullah
Managing Director
M/S R. M. M International Ltd. Suit # 601, Concord Tower
113 Kazi Nazrul Islam Avenue, Dhaka
Mr. Mohiuddin Ahmed
Mahin
Managing Director
M/S R/ K. LeatherM/S R/ K. Leather
ComplexComplex
153/A, Hazaribagh,
Dhaka
011 867105 Mr. Md. Nurul Amin
Chowdhury
Managing Director
M/S Rana Leather Ind. Ltd. 70, Dilkusha C/A, Dhaka
9, Hazaribagh Dhaka
9566025-6
9564509
508909
Mr. A. K. Shamsul
Alamin
Managing Director
M/S Reliance Tannery Ltd. 48/2/K, Moneshwar Road, Hazaribagh, Dhaka 8625119
8627425
0171898832
Mr. Md. Shajahan
Managing Director
M/S Riff Leather Ltd. 4, CDA Noxious Industrial Area
Kalurghat, Chittagong
031-670764
031-671220
Alhaj Abul Kalam
Director
101
M/S Roushan Tanneries 78, Hazaribagh
Dhaka
504696
801624
Mr. Amin Uddin Babul
Managing Director
M/S Ruma Leather Ind. Ltd. 131, Hazaribagh, Dhaka 9664317
8627144
Eng. M. Abu Taher
Managing Director
M/S S & S Tannery 86/1, Hazaribagh
Dhaka
9662523 Mr. Md. Abdur Rahim
Proprietor
M/S SAF Industries Ltd. Akij Chember
73, Dilkusha, C/A, Dhaka
9552287
9666142
9666151
Mr. S. K. Momin Uddin
Managing Director
M/S Samata Leather Complex Ltd. 120, Sher-e-Bangla Road, Hazaribagh,
Dhaka
8611102
8611372
9662731
Mr. Mansur Ahmed
Chairman
M/S Samina Tannery Pvt. Ltd. 36/1 Kalunagar, Hazaribagh,
Dhaka
9660384
8625266
011850698
Abdus Samad
Managing Director
M/S Shadhin TanneryM/S Shadhin Tannery Hazaribagh,
Dhaka
8616963 Mr. Faruque Ahmed
Managing Director
M/S Shafiq Leather Corporation
Ltd.
43/1, Sher-e-Bangla Road, Hazaribagh,
Dhaka
8616111
9669385
Mr. Sidul Islam
Chowdhury
Managing Director
M/S Shahjalal LeatherM/S Shahjalal Leather
ComplexComplex
20, Hazaribagh,
Dhaka
8619457
502709
Mr. Shahjalal Mazumder
Managing Director
M/S Superior Leather Industry Ltd. 19, Sher-e-Bangla Road
Hazaribagh, Dhaka
8612268 Mr. S. A. M. M. Nuruddin
Managing Director
M/S Taj Tannery Ltd. 148, Hazaribagh,
Dhaka
8610285 Mr. Mujibur Rahman
Managing Director
M/S The Earth International
Tannery
86/2 Sher-e-Bangla Road,
Hazaribagh, Dhaka
8618826
506910
Mr. Alhaj M. A. Satter
Bhuiyan
Proprietor
M/S Vulua Tannery Ltd. 109, Hazaribagh,
Dhaka
8611851
8118981
011859031
Mr. M. A. Awal
Managing Director
M/S Yousuf Brothers Tanneries
Pvt. Ltd.
62, Hazaribagh,
Dhaka
8614749
8613083
Mr. Mohammed Yousuf
Managing Director
M/S Yousuf Leather Corporation
Ltd.
124/2, Hazaribagh,
Dhaka
8625162
8614895
Hazi Mohammed Bashir
Managing Director
102
Appendix A-2
Members’ List of Bangladesh Finished Leather, Leathergoods and
Footwear Exporters’ Association (BFLLFEA)
Category: Leathergoods
SL Name of the Firm Address Phone
Contact Person and
Designation
M/S Alamin Brenton Leather Goods
Limited
70, Dilkusha Commercial Area
Dhaka
9566025-6
9564507
Mr. Jahangir Alamin
Managing Director
M/S Asian Leather Complex 143/1, Hazaribagh, Dhaka-1209 9664322 Mr. Md. Monir Hossain
Managing Director
M/S Bangla Tan Leather Products 148/3, Hazaribagh,
Dhaka
503502
500905
Mr. Alhan M. A. Mateen
Chairman
M/S Crown Leather Products Ltd. Star Center (1st
Floor)
House # 2/A, Road #138, Gulshan-1
9880799
8317259
Mr. Serajul Islam
Managing Director
M/S Crystal Corporation Ltd. Shilpo Plot # 9, Block C,
Tajmahal Road, Mohammadpur
325449
244862
Mr. Engr. A. S. M. Rafid
Managing Director
M/S Dhaka LeatherM/S Dhaka Leather
CraftsCrafts
147, Hazaribagh
Dhaka
966470-07
0171530159
Mr. Joynal Abedin Bhuiyan
Proprietor
M/S Fortuna LeatherM/S Fortuna Leather
CraftCraft
131, Hazaribagh
Dhaka
9664317
8627144
Engr. M. Abu Taher
Managing Director
M/S Madina Leather Complex 117, Hazaribagh, Dhaka-1209 9661157 Mr. Bellal Hossain
Managing Director
M/S Picard Bangladesh Ltd. Sky Lark Point, Suite No. 9J1, 24/A,
Bijoynagar, 175, Syed Nazrul Islam
Sarani, Dhaka
9354996-4
0171522170
Mr. Md. Saiful Islam
Managing Director
M/S R. M. M International Ltd. Suit # 601, Concord Tower
113 Kazi Nazrul Islam Avenue Dhaka
Mr. Mohiuddin Ahmed
Managing Director
M/S Sonali Aansh Industries Ltd. Lal Bhaban (1st
Floor)
18, Rajuk Avenue, Dhaka
9556251
8613132
Mr. Nurul Islam Patwari
Managing Director
M/S Spectra Leathergoods Ltd, Namazi Chamber (1st
Floor)
16, Motijheel C/A, Dhaka
9565301
9564543
Mr. Sohail Askar
Managing Director
M/S Uttama Leather Production Star Center (1st
Floor), House # 2/1
Road # 138, Gulshan-1, Dhaka
9880799
8825007
Mrs. Shaikh Selina Islam
Managing Director
Appendix A-3
Members’ List of Bangladesh Finished Leather, Leathergoods and
Footwear Exporters’ Association (BFLLFEA)
Category: Footwear
SL Name of the Firm Address Phone
Contact Person and
Designation
.
M/S Amit Footwear Ltd. Flat # 2/503 20, Eastern Tower
20, New Eskaton Road, Dhaka
9804046
0171542895
Mr. Sukumar Chowdhury
Managing Director
.
M/S Apex Footwear LimitedM/S Apex Footwear Limited Plot # 3DS, Road No. 113/A,
Gulshan-2, Dhaka
8828258
8821591
Syed Manzur Elahi
Chairman
103
.
M/S Bata Shoe Company Bangladesh
Limited
Tongi, Gazipur, (Dhaka) 9800501-5
9800513
Mr. G Stricker
Managing Director
.
M/S Bay Footwear Ltd. 21, Hazaribagh, Dhaka 9663966
9666994
8623428
Mr. Shamsur Rahman
Managing Director
.
M/S B S Leather ComplexM/S B S Leather Complex 13, Moneshwar road, Hazaribagh,
Dhaka-1205
8615921
9619934
Mr. Shohel Ahmed (Dilu)
Managing Director
.
M/S Cosmopolitan ShoeM/S Cosmopolitan Shoe
Ind. LtdInd. Ltd
House#303, Road#19/B, New DOHS,
Mohakhali, Dhaka
9261145
.
M/S Comfort Footwear Ltd. 86, Laboratory Road (Gd. Floor)
Dhaka
8612415
500516
Mr. Moinul Ahsan
Managing Director
.
M/S Continental Footwear Ind. Ltd. 240, New Elephant Road, Dhaka 861623
8612408
Mr. Abul Kashem
.
M/S Desma Shoe Industries Ltd. 10, Kazi Nazrul Islam Avenud (2nd
Fl)
Kawran Bazar, Dhaka
8114053
8110782-3
Mr. Kazi Shahed Hasan
Ferdous, Managing Director
0.
M/S Dhaka Footwear Ltd. 147, Hazaribagh,
Dhaka
9669849
8611268
Mr. M. A. Rashid Bhuiyan
1.
M/S H. N. Shoe LimitedM/S H. N. Shoe Limited House # 69, Road # 8/A
Dhanmondi R/A, Dhaka
9113776
9111209
0171523223
Mr. M. Nasir
Managing Director
Mr. M. Amirullah
Executive Director
2.
M/S Inter Fashion Leathers & Footwear
Ind. Ltd.
Room # 410, DCCI Building
65-66 Motijheel C/A, Dhaka
9560591
9567986
Mr. Farukh Ahmed
Managing Director
3.
M/S Jenny Shoes Ltd. House # 06, Road # 68A
Gulshan-2, Dhaka
8826350
8824885
Mr. M. Nasir Khan
Managing Director
4.
M/S Lalmai Footwear Ltd. Khan Mansion (5th
Flor)
107, Motijheel C/A Area, Dhaka
9567312
9569458
Mr. Aminur Rashid
Managing Director
5.
M/S Landmark Footwear Ltd. 67, Lake Circus, (Dolphin Lane)
Kolabagan, Dhaka
9338369
8312626
A. K. M. Afzalur Rahman
Managing Director
6.
M/S Leatherex Footwear Industries Ltd. House # 34/1 (Gr. Fl) Road # 10/A
Dhanmondi, Dhaka.
8112543 Mr. Mohammed Nazmul
Hassan, Managing Director
7.
M/S Legacy Footwear Ltd. 168/A, Green Road, Dhaka 404684
011858976
Mrs. Shahnaz Sultana
Managing Director
8.
M/S Lexco Footwear Ltd. 146, Hazaribagh, Dhaka 9669397
503502
Mr. Harun-Or-Rashid
Managing Director
9.
M/S Madina Shoe Ind. Ltd. Baitul Hossain Building (Suite-1204),
27, Dilkusha C/A, Dhaka
9564042
9556208
7169495
0175013459
Md. Shafizul Islam
Khandaker Managing
Director
0.
M/S Malim Bangladesh Co.M/S Malim Bangladesh Co.
LtdLtd
290/1 Shonargaon Road
Dhaka
9803366
9803737
Mr. Delwar Hossain
Managing Director
1.
M/S Phulhar Footwear Ltd. Meherba Plaza,
33 Topkhana Road, Dhaka
9570346-8 Mr. Md. Ziaur Rahman
Managing Director
2.
M/S Rever Side Leather & Footwear Ind.
Pvt. Ltd.
2/1, R/K mission Road,
Dhaka
9563162
9560147-9
Mr. Abu S. M. Baqibillah
Executive Director
104
3.
M/S Rumana Shoe Industries Ltd. 45/B, Dilu Road, New Eskaton, Dhaka 8113648 Mr. S M Abul Kashem
Managing Director
4.
M/S Savar Industry (Pvt) Ltd. Savar EPZ Area
Dhaka
8311252 Mr. Akihisa Osomura
Managing Director
5.
M/S Shampan Shoes Ltd. Rahman Chamber (5th
Floor)
12-13 Motijheel C/A Dhaka
9563185
9565325
Mr. Shamsuddin Ahmed
Executive Director
6.
M/S Surma Leather & Footwear Ind. Ltd. 34, Bangabahdu Avenue (3rd
Floor)
Dhaka-1000
9557913
9558790
Mr. Mahbubur Rahman
Sikder
Managing Director
7.
M/S S A Leather and Shoe Ind. Ltd. Malliker Para, Sonargaon,
Narayangonj
8616305
0171378494
8.
Leather Plannets Limited (?) House # 159, Road # 01, DOHS
Baridhara, Dhaka
9887422 Mr. Harun Miah
Managing Director
9.
M/S Brother Chemicals Ltd. (?) 9/1, Gozmohol, Hazaribagh
Dhaka
501622
9551725
Mr. Md. Abul Kalam Azad
Chairman
0.
M/S S. A. K. International Co. (?) House # 296, Road # 04, DOHS
Baridhara, Dhaka
9883926
502030
Shakil Ahmed Khan
Proprietor
1.
M/S Tivoli Bangladesh Ltd. (?) 49, Gulshan S/A
Gulshan – 1, Dhaka
9885362
8821153
Mr. A. H. Mustafa Kamal
Managing Director
2.
M/S Velex Agences Ltd. (?) 62/1 Purana Paltan,
Motijheel C/A, Dhaka
Fac: 121/5 Sher-e-Bangla Road,
Hazaribagh-Dhaka
9563404
9563453
Mr. S. A. M. M. Nuruddin
Managing Director
3.
M/S Nitol Export (?) 71, Mohakhali C/A, Nitol Centre,
Dhaka-1212
9887074-6
8855794
0189238109
Mr. Abdul Matlub Ahmad
Managing Director
Appendix A-4Appendix A-4
105
Members’ List of Leathergoods & Footwear Manufacturers’ and Exporters’
Association of Bangladesh (LFMEAB)
Category: Leathergoods
SL Name of the Firm Address Phone
Contact Person and
Designation
.
M/S Apex Leathercraft Fashion &
Accessories Ltd.
House#296, Road#4, DOHS Baridhara,
Dhaka Cantonment, Dhaka-1206
9883926
0171592979
Mr. Shakil Ahmed Khan
Managing Director
.
M/S Aurora 10/1, Iqbal Road, Mohammadpur, Dhaka-
1207
8117696
0189257031
Mr. Md. Shahidul Huq
Managing Partner
.
M/S Cosmic Jute & Leather Industries
Ltd.
561, Pakuria, Bhadhalodi, Uttara, Dhaka-
1230
8916806
0189357570
Mr. Md. Shaheen Ahmed
Managing Director
.
M/S Crown Leather Products Ltd. 179, East Kafrul, Dhaka Cantonment
Dhaka-1206
9872149
0189803083
Mr. Serajul Islam
Managing Director
.
M/S Jass Leather Industries Ltd. 89, Motijheel C/A (3rd
Floor)
Suit No. 62, Dhaka
9559979
0171458649
Mr. Jainal Abedin Raton
Managing Director
.
M/S Koninoor Leather Products Ltd. Amanullah Complex
87, Islampur Road, Dhaka
9566402
9566396
0171523675
Mr. Hossain A. Sikder
Managing Director
.
M/S Picard Bangladesh Ltd. Sky Lark Point, Suit no 9J1
24/A, Bijoynagar, Dhaka
9354993-4
0171522170
Mr. Md. Saiful Islam
Managing Director
.
M/S Sonali Aansh Industries Ltd. Lal Bhaban (1st
Floor), 18 Rajuk Avenue
Dhaka
9556251
9563322
0171536721
Mr. Nurul Islam Patwari
Managing Director
.
M/S Universal Leather Products Erectors House (9th
Floor)
18, Kamal Ataturk Avenue, Banani C/A,
Dhaka-1213
9880102-5 Mr. M. Naser Rahman (MP)
Managing Director
Appendix A-5
Members’ List of Leathergoods & Footwear Manufacturers’ and Exporters’
Association of Bangladesh (LFMEAB)
Category: Footwear
SL Name of the Firm Address Phone
Contact Person and
Designation
M/S Amit Footwear Ltd. House # 30, Road # 6, Sector 3
Uttara Model Town, Dhaka-1230
9804046 Mr. Sukumer Chowdhury
Managing Director
M/S Apex Footwear Ltd. Celebration Point,1st
Floor, Plot # 3,5
Road # 113A, Gulshan-2, Dhaka
8828258
8620300
Mr. Syed Nasim Manzur
Managing Director
106
0171531722
M/S Bay Footwear Ltd. 21, Hazaribagh, Dhaka-1209 8611468
8612335
0171560794
Mr. Ziaur Rahman
Managing Director
M/S H. N. Shoes Ltd. House # 69, Road # 8/A
Dhanmondi R/A, Dhaka
8111526
9111209
Mr. M. Nasir
Managing Director
M/S Jenny Shoes Ltd. Jennys House, House # 6, Road # 68/A
Gulshan-2, Dhaka-1212
8826350
8824885
0171535117
Mr. Nasir Khan
Managing Director
M/S Lalmai Footwear Ltd. Khan Mansion (5th
Floor)
107, Motijheel C/A, Dhaka
9567312
9569458
0171538012
Mr. Aminur Rashid
Managing Director
M/S Landmark Footwear Ltd. 64, Bijoy Nagar (3rd
Floor)
Kakrail, Dhaka-1000
9338369
8312626
Mr A. K. M. Afzalur Rahman
Managing Director
M/S Leatherex Footwear Ind. Ltd. House # 34/A, Road # 10/A
Dhanmondi R/A. Dhaka
8112543
9129192
0189227559
Mr. Nazmul Hasan Hohil
Managing Director
M/S Legacy Footwear Ltd. 64, Bijoynagar,
Kakrail, Dhaka
8319663 Mr. Kazi Rafi Ahmed
Managing Director
.
M/S Madina Shoe Industries Ltd. Suit # 1204, Baitul Hossain Building
27, Dilkusha C/A, Dhaka-1000
9667745
9556208
7169495
0175013459
Mr. Md. Shafiqul Islam
Managing Director
.
M/S Surma Leather & Footwear Ind.
Ltd.
Corner Court, 29 Toynbee Circular Road
Motijheel C/A, Dhaka
9557913
9558790
Engr. Mr. Sultan A. Sikder
Director
.
M/S Tropical Shoes Ind. Ltd. A. R. Tower (3rd
Floor)
24, Kamal Ataturk Avenue, Banani,
Dhaka-1213
8815142
8815144
Mr. M. Anisur Razzaque
Managing Director.
.
Bangladesh Export Ltd. 24, Kamal Ataturk Avenue,
Banani, Dhaka
8815142
8815144
0171538338
Mr. M. Anisur Razzaque
Managing Director.
107
Appendix A-6
Members’ List of Bangladesh Tanners Association (BTA)
Category: Tannery
SL Tannery/ Organization AddressAddress Phone Contact Person
1. M/S. Taj Tannery 148. Hazaribagh. Dhaka- 1209. 8610285 Md. Mizanur Rahman
2. M/S. ChowdhuryM/S. Chowdhury
Leather & CoLeather & Co
95/7.Gazmahal, Hazaribagh.
Dhaka- 1209
9660754
8631097
0171526220
Md. Harun Chowdhury
3. M/S. Helena Enterprise 95/7.Gazmahal. Hazaribagh.
Dhaka- 1209.
9660754 Md. Mizanur Rahman
4. M/S. R M Leather 95/7.Gazmahal. Hazaribagh.
Dhaka- 1209.
9660754 Md. Monir Hossion
5. M/S M B Tannery LtdM/S M B Tannery Ltd 44/1, Sher-e- Bangla Road
Hazaribagh. Dhaka- 1209.
8614663 Md Mozaffar Rahman
6. M/S Pubali TanneryM/S Pubali Tannery 44. Sher-e- Bangla Road
Hazaribagh. Dhaka- 1209.
9660508 Md. Mozibur Rahman
7. M/S Abul Khair Tannery 125/1. Sher-e- Bangla Road
Hazaribagh. Dhaka- 1209.
8621787 Hazi Md. Abul Khair
8. M/S. Nur Trading Corporation 119. Hazaribagh. Dhaka- 1209. 8631554 Md. Abdul Awal
9. M/S. Forhed LeatherM/S. Forhed Leather
CorporationCorporation
99. Hazaribagh. Dhaka- 1209. 9662836 Md. Abdul Hai
10. M/S. Noakshli Tannery 107. Hazaribagh. Dhaka- 1209. 8628867 Mukbul Ahmed
11. M/S. Shadhin TanneryM/S. Shadhin Tannery 101. Hazaribagh. Dhaka- 1209. 8614354 Farque Ahmed
12. M/S. Mamun TradesM/S. Mamun Trades 91. Hazaribagh. Dhaka. 1209. 9661733 Md. Moharaf Hossain
13. M/S. H N Brothers 41/23/15. Zigatola, New Rd.
Hazaribagh. Dhaka- 1209.
9662836 Md. Amir Hussain
14. M/S. Eusuf Tannery Ltd 135/2. Hazaribagh, Dhaka- 1209. 018- 244985 Md. Bashir Ullah
15. M/S. Majdhi Tannery 136/3. Hazaribagh, Dhaka- 1209. 8626492 Md. Hossain
108
16. M/S. Kohinoor Tannery Ltd 130. Hazaribagh, Dhaka- 1209. 9669001 Md. Humiyan Kabir
17. M/S. Bangla Ten Leather 148/3. Hazaribagh, Dhaka- 1209. 9125651 Md. Masum
18. M/S. F K Leather 95. Gazmohal, Hazaribagh, Dhaka- 1209. 8624082 Md. Katub Uddion
19. M/S. F F M Leather Complex 94/1. Hazaribagh, Dhaka- 1209. 9660509 Md. Sha Alam
20. M/S. Rahman Oversize 44. Sher-e- Bangla Rd. Hazaribagh,
Dhaka – 1209.
8614663 Md. Fazrul Rahman
21. M/S. Rahman Enterprise 39. Zigztola. Hazaribagh. Dhaka- 1209 Md. Azizur Rahman
22. M/S. Sonali Haide 44/1, Sher-e- Bangla Rd, Hazaribagh,
Dhaka- 1209.
9660508 Md. Mahabubur Rahman
23. M/S. Bearied Leather Complex 45/1. Sher-e- Bangla Rd, Hazaribagh,
Dhaka- 1209.
8610543 Md. Akbar Hossain
24. M/S. Shodesh Tannery 116/D, Hazaribagh, Dhaka- 1209. 502264 Md. Shohied Ullah
25. M/S. Urmi Trade International 136/2, Hazaribagh, Dhaka- 1209. 8620535 Md. Abul Kaham
26. M/S. Zia Leather Complex 1310, Auture Dupo, Chittagong. 31- 682645 Md. Abu Musa
27. M/S. Gulshan TanneryM/S. Gulshan Tannery 90, Hazaribagh, Dhaka- 1209. Md. Salim Ahmed
28. M/S. Great Strean Tannery 48, Sher-e- Bangla Rd
Hazaribagh, Dhaka- 1209.
29. M/S. Chinaze Tannery Pvt Ltd 50, Sher-e- Bangla Rd
Hazaribagh, Dhaka- 1209.
8626492 Al hazi Kazi Abdul Kadir
30. M/S. Yousuf Leather Corporation 124/2, Sher-e- Bangla Rd
Hazaribagh, Dhaka- 1209.
8129864 Hazi Md. Bashir
31. M/S. Shatee Leather 136/5, Hazaribagh
Dhaka- 1209.
8612109 Md. Abul Kalam
32. M/S. Feni Tannery Pvt Ltd 113, Hazaribagh
Dhaka- 1209.
8628529 Md. Golam Rabbani
33. M/S. Kasim Tannery 110, Hazaribagh, Dhaka- 1209. Md. Abul kasam
34. M/S. Asia Tannery 137, Hazaribagh, Dhaka- 1209.
35. M/S. Nashet Tannery 138, Hazaribagh, Dhaka- 1209. Md. Salim
36. M/S. Sonali Tannery 111/A, Hazaribagh, Dhaka- 1209. Md. Babul Mia
37. M/S. Fanche Leather Enterprise 95, Gozmohal, Hazaribagh 9662840 Md. Shamsul Huda
109
Dhaka- 1209.
38. M/S. Razibe Leather Complex 95/4, Gozmohal, Hazaribagh
Dhaka- 1209.
9662840 Md. Shamsul Huda
39. M/S. Son Light Tannery 122, Hazaribagh, Dhaka- 1209. Hossain Ahmed
40. M/S. Karsaj Tannery 92, Gozmohal, Hazaribagh
Dhaka- 1209.
8625078 Md. Hanif
41. M/S. Chanpur Tannery 93, Hazaribagh, Dhaka- 1209. Md. Sarij Miha
42. M/S. Oversige Tannery 139, Hazaribagh, Dhaka- 1209. Nasir Ullah
43. M/S. Capital Tannery 94, Hazaribagh, Dhaka- 1209. Master Sayead Ullah
44. M/S. Naru Bhai Tannery 97, Hazaribagh, Dhaka- 1209. Abu Kausar Jahangir
45. M/S. Comilla Tannery 98, Hazaribagh, Dhaka- 1209. Md. Nur Nabi
46. M/S. Royel Tannery 100, Hazaribagh, Dhaka- 1209. 9228857 Md. Momin Ullah
47. M/S. Juliet Enterprise 81, Hazaribagh, Dhaka- 1209. 8614354 Md. Shaidul Hoque Master
48. M/S. Lieen Enterprise 100, Hazaribagh, Dhaka- 1209. 8616975 Sha Emrean Photoeary
49. M/S. Ibrasim Tannery 105, Hazaribagh, Dhaka- 1209. Md. Israfil
50. M/S. Shatter Tannery 105, Hazaribagh, Dhaka- 1209. Ahdur Shatter
51. M/S. Mother Tannery 104, Hazaribagh, Dhaka- 1209. S M Awlad Hossain
52. M/S. Manik& Sohaj Brotgers
Tannery
79/A, Hazaribagh, Dhaka- 1209. 8628867 Mukbul Ahmed
53. M/S. Anjuman Trading Corporation 79, Hazaribagh, Dhaka- 1209. Md. Hanif
54. M/S. Morshed Brothers Tannery 83/A, Hazaribagh, Dhaka- 1209. 9662533 Md. Nur Nabi
55. M/S. International Tannery 83, Hazaribagh, Dhaka- 1209. Md. Fazlu Miha
56. M/S. Mizan & Suman Tannery 89/1, Hazaribagh, Dhaka- 1209. 8611204 Md. Hossain
57. M/S. Mamtaj Tannery 84, Hazaribagh, Dhaka- 1209. Md. Jalal Uddion
58. M/S. Jindhabad Tannery 84, Hazaribagh, Dhaka- 1209. Md. Momin Ullah
59. M/S. Muzaheed Tannery 80, Hazaribagh, Dhaka- 1209. Balal Hossain
60. M/S. Salam Tannery 75, Hazaribagh, Dhaka- 1209. Md. Abdus Salam
61. M/S, Bhi Bhi Tannery 64, Hazaribagh, Dhaka- 1209. Md. Shakanter
62. M/S. Jalal Tannery 117, Hazaribagh, Dhaka- 1209. 8118204 Sala uddion
63. M/S. Metto Tannery 67/2, Hazaribagh, Dhaka- 1209. Jamal Ahmed
110
64. M/S. Golden Leather Industries 65/2, Hazaribagh, Dhaka- 1209. Md. Amir Hossain
65. M/S. Islamia Tannery 65, Hazaribagh, Dhaka- 1209. M SB Sala Ahmed
66. M/S. Shahi Tannery 68, Hazaribagh, Dhaka- 1209. Md. Samsul Islam
67. M/S. Sodor Tannery 60, Hazaribagh, Dhaka- 1209. 8625230 Md. Torea Ullah
68. M/S. Hazi Mazharul Hoq Ltd 79/1, Water Workers Rd
Posta, Dhaka- 1209.
Md. Gopran
69. M/S. Sumon Tanney 57/2, Hazaribagh, Dhaka- 1209. Hazi Md. Shajahan
70. M/S. Lakhi Tannery 68, Hazaribagh, Dhaka-1209. Md. Shajahan
71. M/S. A B S TanneryM/S. A B S Tannery 42, Hazaribagh, Dhaka- 1209. Md. Abu Bakker Siddque
72. M/S. East Asia Tannery Ltd 12/2, Sher-e- Bangla Rd
Hazaribagh, Dhaka – 1209.
8625268 Md. Bajlur Rahman
73. M/S. Phoenix Leather Complex 180/C, Sher-e- Bangla Rd
Hazaribagh, Dhaka – 1209.
8625268 Md. Bajlur Rahman
74. M/S. Arafat Leather Complex 6/1, Sher-e- Bangla Rd
Hazaribagh, Dhaka – 1209.
017- 524925 Hafaz Md. Mozzamal Hoq
75. M/S. Marson Tannery 45/1, Hazaribagh, Dhaka- 1209. Md. Estak Ahmed
76. M/S. Ashan Habibe & Brother 123/3 Sher-e- Bangla Rd
Hazaribagh, Dhaka –1209.
Md. Akterurzzaman
77. M/S. Mamun Tannery 91, Hazaribagh, Dhaka- 1209. 9661733 Md. Mosaraf Hossain
78. M/S. Iland Tannery 122/A, Hazaribagh, Dhaka- 1209. Md. Tajul Islam
79. M/S. Udion Corporation 124/1, Hazaribagh, Dhaka- 1209. Md. Amanat Hossain
80. M/S. Reshni Complex 100/2, Hazaribagh, Dhaka- 1209. 9118857 Md. Humayan Kabir
81. M/S. Latif Leather Complex 83/1, Hazaribagh
Dhaka – 1209.
8612098 Md. Hamidul Islam
82. M/S. J R Leather Export 42/10. Sonatongho , Hazaribagh
Dhaka- 1209.
Jamala Khatun
83. M/S. Hossain BrothersM/S. Hossain Brothers
TanneryTannery
68/1, Hazaribagh, Dhaka- 1209 8613770, 0175
042959
Hossain Ahmed Bhuiyan
84. M/S. Kalu Leather Corporation 43, Sher- E Bangla Road
Hazaribagh, Dhaka- 1209
9667075 Mahabub Alam
85. M/S. Aziz Tannery 148/2, Hazaribagh, Dhaka- 1209 Samsur Rahman
86. M/S. Globe Tannery Ltd. 118, Sher-e- Bangla Road M A Bari
111
Hazaribagh, Dhaka- 1209
87. M/S. S & S Tannery Hazaribagh, Dhaka-1209 Md. Abdur Rahim
88. M/S. J A Leather 61, Hazaribagh, Dhaka-1209 Md. Abdul Ajij
89. M/S. Johir Trading Industries 121/4, Sher-e- Bangla Rd
Hazaribagh, Dhaka – 1209
Md. Johir
90. M/S. H S Tannery 47, Sher-e- Bangla Rd
Hazaribagh, Dhaka – 1209
Hafez Ahmad
91. M/S. Chowdhury & Co. 121/A, Sher-e- Bangla Rd
Hazaribagh, Dhaka – 1209
Md. Hasan Chowdhury
92. M/S. Jakir Hossain Tannery 120/1, Sher-e- Bangla Rd
Hazaribagh, Dhaka – 1209
Md. Shekantor Hossain
93. M.S. Zoobli Tannery 70, Hazaribagh, Dhaka-1209 Nurul Haque
94. M/S. Leather Complex Pvt. Ltd. 11, Kalu Nagar, Hazaribagh, Dhaka-1209 Md. Ibrahim
95. M/S. T Ahmed Tannery 87, Hazaribagh, Dhaka-1209 Ali Ahmed
96. M/S. Nabipur Tannery 141/A, Hazaribagh, Dhaka-1209 Md. Abdul Wahab
97. M/S. Nobarun Tannery 56, Hazaribagh, Dhaka-1209 Md. Iqbal Hossain
98. M/S. City Leather Tannery 30, Monesshore Road, Hazaribagh,
Dhaka-1209
Hazi Md. Ali
99. M/S. New Kajol Tannery 30/A Monesshore Road, Hazaribagh,
Dhaka-1209
Sala Uddin Ahmed
100. M/S. Muslim Tannery 30, Monesshore Road, Hazaribagh,
Dhaka-1209
Hazi Somsher Ali
101. M/S. Milon Tannery 58, Hazaribagh, Dhaka-1209 Zohir Ahmad
102. M/S. Moon Tannery 105/1, Hazaribagh, Dhaka-1209 Md. Abul Kashem
103. M/S T-Para Tannery 49, Sher-e- Bangla Rd
Hazaribagh, Dhaka – 1209
Md. Aminul Islam Babul
104. M/S. Kalam & Brothers Tannery 120/2, Hazaribagh, Dhaka – 1209 Md. Abul Kalam
105. M/S. Mohin Tannery 59/1, Hazaribagh, Dhaka-1209 Abdul Odud Mia
106. Ms. United Tannery Ltd. 139, Hazaribagh, Dhaka-1209 Md. Sala Uddin Chowdhury
107. M/S. M S Tannery 121/3, Sher-e- Bangla Rd
Hazaribagh, Dhaka – 1209
Md. Ruhul Amin
108. M/S. Abul Bashar Tannery 135/B, Sher-e- Bangla Rd
Hazaribagh, Dhaka – 1209
Md. Abul Bashar
109. M/S. Dhaka Nagar Tannery 98, Hazaribagh, Dhaka-1209 Abul Hossain
112
110. M/S. Jasim Tannery 30/3, Sher-e- Bangla Rd
Hazaribagh, Dhaka – 1209
Sala Uddin
111. M/S. M I Tannery 122, Hazaribagh, Dhaka-1209 Hazi Ismail Hossain
112. M/S. Komla Tannery 125/1, Hazaribagh, Dhaka-1209 Hazi Nurul Islam
113. M/S. Gokul Tannery 121, Hazaribagh, Dhaka-1209 Md. Mozammel Hossain
114. M/S. Bengal Peli Export Co. 94/1, Hazaribagh, Dhaka-1209 Md. Anwar Hossain
115. MS. Poiran Tannery 117/1, Hazaribagh, Dhaka-1209 Alhaj Md. Shofi Ullah
116. M/S. Alea Tannery 106, Hazaribagh, Dhaka-1209 Md. Nurul Huda
117. MS. Iqbal Brothers Tannery 135/C-2, Sher-e- Bangla Rd
Hazaribagh, Dhaka – 1209
Md. Sasuddin Munshi
118. MS. Mukta Tannery 24/C, Kalunagar, Hazaribagh, Dhaka-1209 Sayed Md. Shahidullah
119. Prominent Tannery Ltd. 25, Prominent Avenue, 3, PC Culture,
Mohammadpur, Dhaka-1207
Major Monjur Kader (Retd)
M.P
120. M/S. Sayful Leather 121/2, Sher-e- Bangla Rd
Hazaribagh, Dhaka – 1209
Hazi Md. Sofi
121. M/S. Miraz Leather Complex 13/1, Hazaribagh, Dhaka-1209 Md. Monir Hossain
122. The Noakhali Tannery Dotter Hat, Miazdi Court, Noakhali Md. Moazzem Hossain
123. M/S. Ismail Leather Corporation 121/B, Sher-e- Bangla Rd
Hazaribagh, Dhaka – 1209
Md. Ismail
124. M/S. Prince Tannery 135, Sher-e- Bangla Rd
Hazaribagh, Dhaka – 1209
Md. Zahangir Hossain
125. M/S. Al-Hera Leather Industries Ltd. 79, Water Works Road, Posta, Dhaka Hafez Muzahidul Haque
126. M/S. Dincum Shoes Ltd. House# 14, No.1 PC Culture Road,
Mohammadpur, Dhaka-1207
Hasan Showrozit
127. Hi-tech Leather Complex Ltd.
(Shohid Tannery)
111, Hazaribagh, Dhaka-1209 Md. Mozaffar Hossain
128. M/S. Luna Tannery 66, Hazaribagh, Dhaka-1209 Hazi Monir Uddin Ahmad
129. Chrome-veg tannery Ltd. 115, Hazaribagh, Dhaka-1209 Md. Salim
130. M/S. Rubi Leather Complex 71/4, Gozomohol, Hazaribagh, Dhaka-
1209
Md. Shahjahan Bhuiyan
131. M/S. Salam Leather Corporation 71/4/C, Gozomohol, Hazaribagh, Dhaka-
1209
Hazi Md. Abul Bashar
132. M/S. Atique Leather Complex 54/2, Hazaribagh, Dhaka-1209 Hossain Ahmed Bhuiyan
113
133. M/S. Greenwage Tannery 133/3, Hazaribagh, Dhaka-1209 Md. Shirah-ud-doullah
Bahar
134. Hena Leather 44/1, Sher-e- Bangla Rd
Hazaribagh, Dhaka – 1209
Md. Mozibur Rahman
44/1,
135. M/S. Rabeya Khatun Tannery 49/3, Sher-e- Bangla Rd
Hazaribagh, Dhaka – 1209
Md. Zamadul Haque
136. M/S. H L Enterprise 38, Sonatongor, Hazaribagh, Dhaka –
1209
Md. Abul Hashem
137. M/S. Dil Bahar Tannery 116/B, Hazaribagh, Dhaka-1209 Md. Mostoffa Mia
138. M/S. S A Leather 44/C, Sher-e- Bangla Rd
Hazaribagh, Dhaka – 1209
Md. Mozaffar Rahman
139. R A N Leather 44/B, Sher-e- Bangla Rd
Hazaribagh, Dhaka – 1209
Md. Masukur Rahman
Appendix A-7
Bangladesh Chemical Importers & Merchants Association
124, Hazaribagh, Dhaka-1209, Tel: 8622608
SL Name of the Importer Name of the Firm Address
1.
Md. Mizanur Rahman(Mesbah)
Chairman (BCIMA)
AIM Associate/ Imaco 124 Dhaka Tannery Market, Hazaribagh
2. Md. Mohsin Bhuiyan Latex Tradelink 20, Sher-e-Bangla road, Hazaribagh
3. Md. Khasrul Alam M/s Tanvir & Co 130 KohinoorTannery market, Hazaribagh
4. Md Mokhlesur Rahman 28, Sonatongar, Zikatola, Dhaka
5. Md. Morshed Haider Haider Traders 28, Sonatongar, Zikatola, Dhaka
6. Md. Bulbul Aiub B.N.C 3/6, Sonatongar, Zikatola, Dhaka
7. Md. Tofail Ahmed T.A Trading 130 KohinoorTannery market, Hazaribagh
8. Md. Habibur Rahman Rupsi Traders 124 Dhaka Tannery Market, Hazaribagh
114
9. Hazi Rabiullah Taj Chemical 124 Dhaka Tannery Market, Hazaribagh
10. Md. Altaf Hossain A.H Enterprise 99 Hazaribagh Dhaka
11.
Mazakat Harun Manik
General Secretary (BCIMA)
Chemitan Limited 124 Dhaka Tannery Market, Hazaribagh
12. Md. Azizul Haque Hawladar Romo Enterprise 99 Hazaribagh Dhaka
13. Maksudur Rahman Shopon Gonipur Agency 87, Sher-e-Bangla road, Zikatola
14. Mostofa Akter Hossain Fair International 86, Sher-e-Bangla road, Zikatola
15. Md. Abul Hossain Labony Traders 124 Dhaka Tannery Market, Hazaribagh
16. Abdur Rouf Sabuj Chemirex International 20, Sher-e-Bangla road, Zikatola
17. T.M Manjur Hossain Mahai Trading 146 Hazaribagh Dhaka
18. Md. Iunus Khan 165 Agrabad Chittagong
19. Abu Musa 27 kalurghat Chittagong
20. Md. Mijanur Rahman 130 Agrabad Chittagong
21. Md. Amanullah 115, Sher-e-Bangla road, Khulna
22. Md. KhodaBoks 23 Farajipara, Dalmil Road, Khulna
23. Sirajul Islam 24/2 Azimpur, Dhaka
24. Abul Khayer Bhuiyan 58, Terribazar, Chittagong
25. Md Aiub Ali 155, Dewanhat, Chittagong
26. Md. Alauddin Hawladar Bibir Pukurpar, Barisal
27. Md. Habibur Rahman Babul Alokanda, Barisal
28. Md. Sayedul Islam 49, Station Road, Dinajpur
29. Azmal Hossain Bhoje Talukdar Guest House, Syedpur, Nilphamari
30. Md. Zahangir Hossain 6/1 Armanitola, Dhaka
31. Md. Ainul Haque 10/2 Armanitola, Dhaka
32. Rafiqul Islam Badal 23 TantiBazar Dhaka
33. Md. Faruq Hossain 23 TantiBazar Dhaka
34. Iliasur Rahman Badal M/s Ilias & Brothers 10 Chalk MughalTuli, Dhaka
35. Samsul Alam 20 Sena Kalyan Bhaban, Motijheel, Dhaka
36. Md. Aworangojeb 53 Motijheel, Dhaka
37. Shamim Iqbal 67 Motijheel, Dhaka
38. Shahnewaj Khan Borobazar Ananda Mahol, Mymensing
39. Md. Sadequr Rahman 10 Station Road, Mymensing
40. Md. Selim Reja Babubazar, Jessore
41. Jafar Ahmed Myzdi Court, Noakhali
42. Abul Kalam Azad 26, Bangshal Road, Dhaka
43. Abdur Rouf Mollah 31 Nyabazar Market, Dhaka
44. Abdur Razzak Bishwas 35 Urdu Road Dhaka
115
45. Hazi Bulbul Ahmed 35 Urdu Road Dhaka
46. Md. Lutfur Rahman 14/15 Ispahani Building, Motijheel, Dhaka
47. Md. Delwar Kader 6 Motijheel, Dhaka
48. Md. Shakawat Hossain
49. Amar Saha Trade Exchange 20, Sher-e-Bangla road, Zikatola
50. Abdus Sattar 130 KohinoorTannery market, Hazaribagh
51. Monjurul Haque Niru M.A Corporation 9, Dewan monjil, Sonatongar, Dhaka
52. Md. Dulal
53.
Md. Fazlul Mukit Progressive Leather & Footwear
Co.
20, Sher-e-Bangla road, Hazaribagh
54. Md. Zakir Hossain
55. Md. Shafiqul Islam
56. Md. Tarikul Islam (Mukul) R.M International 124 Dhaka Tannery Market, Hazaribagh
57. Khondaker Ahad Ahmed Organo MultiTrade Int’l H: 7, R: 4, Dhanmondi, Dhaka
58. Abul Kalam Azad A.T.L 143/A Hazaribagh
59. Md. Nurul Anwar Exim Trade Int’l 950/B Yakub Building, Khatunganj, Chittagong
60. Md. Faruk Hossain 1/5 Mizan Tower, Kalyanpur, Dhaka
61. Md. Rafiqul Islam Babul M/s Link Int’l 20, Sher-e-Bangla road, Hazaribagh
62. Hazi Md. Abdus Salam B.S Trading Co. 143/A Hazaribagh, Dhaka
63. Rawsan Uz Zaman
64. T.M Delwar Hossain Bangladesh Leather Syndicates 13 Sahjahan Tannery Block, Hazaribagh
65. T.M Belayet Hossain 96/4 Monesshar road, Zikatola
66. S.M Kamrujjaman 124/B Hazaribagh, Dhaka
67. Sirajul Islam SF Trading 130 KohinoorTannery market, Hazaribagh
68. Md. Tarek Hossain All Leather Trade 48, Sher-e-Bangla road, Hazaribagh
69. Hazi Md. Yusuf M/s Lipi Leather 115 Hazaribagh
70. A.K Moniruzzaman Romisa Int’l 124 Hazaribagh, Dhaka
71. Moklesur Rahman Patwari Milon Enterprise 124 Hazaribagh, Dhaka
72. Abul Kalam Azad Imon Trading Corp. 15/F Zikatola
73. Md. Siddikur Rahman Buckman Laboratories 15/F Zikatola
74. Khaza Ahmed Asia Trading Corp. 20 Sahjahan Tannery Block, Hazaribagh
116
117

Leather Chemical Industry Report

  • 1.
    To St udyt he Current MarketTo St udy t he Current Market Scenario and t he Fut ure ProspectScenario and t he Fut ure Prospect of the Leat her Chemical I ndust ry ofof the Leat her Chemical I ndust ry of BangladeshBangladesh 1
  • 2.
    “To Study theCurrent Market Scenario and the Future Prospect of Leather Chemical Industry of Bangladesh” Internship ReportInternship Report Submitted To: MR. AZMAL HOSSAINMR. AZMAL HOSSAIN Executive Director ACI Trading Limited. Submitted By: Mohammad Tawhid ReazMohammad Tawhid Reaz Internee, ACI Trading Limited. A D V A N C E D C H E M I C A L I N D U S T R I S L I M I T E D 245, Tejgaon Industries Area, Dhaka- 1208. Date: 25 June, 2006. 2
  • 3.
    June 24, 2006 Mr.Golam Mohammed Chowdhury Chairman Internship & Placement Office Institute of Business Administration University of Dhaka Dhaka-1000 Dear Sir: Subject: Internship Report on “To study the current market scenario and the future prospect of the leather chemical industry of Bangladesh”. It is my pleasure to present this Report on “To study the current market scenario and the future prospect of the leather chemical industry of Bangladesh” as a requirement for completing my Masters in Business Administration with concentration in Marketing. The report presents my findings and analyses on the Leather chemical industry of Bangladesh and the project I worked on for the last 10 weeks in ACI Trading Limited. I am grateful to you and my supervisors; Mr. Mustaque Ahmed, Assistant Professor, IBA and Dr. Azmal Hussain, Executive Director, ACI Trading Limited, for giving me the opportunity to carry out this report. With kind regards Sincerely yours, Mohammad Tawhid Reaz Roll 037 Batch 38 MBA Program Institute of Business Administration University of Dhaka 3
  • 4.
    Acknowledgement In preparing thisreport for ACI Trading Limited, I Have received commendable support from all the employees of Leather division of ACI Trading Limited. I am very much grateful to my organizational supervisor Mr. Azmal Hossain, Executive Director, ACI Trading Limited, to give the opportunity to work on such a challenging project. He has given me all kind official support to complete the report perfectly. I like to thank Mr. Saiful Azam Kashem, Senior Technical Sales Officer, Mr. Munirul Islam, Technical Sales Officer and Mr. Abul Khayer of ACI trading limited for helping me in every aspect for the completion of the report. I am very much indebted to my supervisor Mr. Mustaque Ahmed, Assistant Professor, IBA, University of Dhaka for giving me direction at different times to prepare this report. It is his guided supervision that resulted in successful completion and timely submission of the report. I am thankful to my friend Mr. Fahim bin Asmat, Program Assistant, Leather Sector Business Promotion Council (LSBPC) to let me study their valuable research reports and guide me with his expert opinion. I also like to thank all the librarians of various libraries to let me utilize their library facilities, all the experts, members of different leather and tanners associations, and all the other interviewees to help me with their resourceful contribution. (N.T: Name of the main interviewees and the organization visited for completing this report is given in Appendix) 4
  • 5.
    June 25, 2006 Mr.Azmal Hossain Executive Director ACI Trading Limited Dear Sir: Subject:Internship Report on “To study the current market scenario and the future prospect of the leather chemical industry of Bangladesh”. It is my pleasure to present this Report on “To study the current market scenario and the future prospect of the leather chemical industry of Bangladesh” as a requirement for completing my Masters in Business Administration (MBA) program with concentration in Marketing. The report presents my findings and analyses on the Leather chemical industry of Bangladesh and the project I worked on for the last 10 weeks in ACI Trading Limited. I am grateful to you for your organizational co-operation as an organizational supervisor and to my supervisor; Mr. Mustaque Ahmed, Associate Professor, IBA and Prof. Golam Mohammed Chowdhury, Chairman, Placement & Internship Program, Institute of Business Administration for giving me the opportunity to carry out this report. With kind regards Sincerely yours, Mohammad Tawhid Reaz Roll 037 Batch 38 MBA Program Institute of Business Administration University of Dhaka 5
  • 6.
    TABLE OF CONTENTS Pg. EXECUTIVESUMMARY 1 CHAPTER ONE 3 1. INTRODUCTION 3 1.1. ORIGIN OF THE REPORT 3 1.2. OBJECTIVE 3 1.2.1 BROAD OBJECTIVE 3 1.2.2 SPECIFIC OBJECTIVES 3 1.3 SCOPE OF THE RESEARCH 4 1.4 METHODOLOGY 4 1.5 LIMITATIONS 5 CHAPTER TWO 6 2. ABOUT THE ORGANIZATION 6 2.1. COMPANY PROFILE AT A GLANCE 6 2.1.1 STRATEGIC BUSINESS UNITS 6 2.1.2 SUBSIDIARIES 6 2.1.3 EXECUTIVE MANAGEMENT 7 2.1.4 FINANCIALS (YEAR ENDING DEC, 2004) 7 2.2 BACKGROUND 8 2.3 COMPANY MISSION 8 2.4 COMPANY VISION 8 2.5 VALUES 9 2.6 DISTRIBUTION NETWORK 9 2.7 BUSINESS UNITS 10 2.7.1 ACI PHARMACEUTICALS 10 2.7.2 ACI CROP CARE AND PUBLIC HEALTH DIVISION 10 2.7.3 ACI CONSUMER BRANDS 10 2.8 MANUFACTURING STANDARDS 11 2.9 DIVERSIFICATION INTO NEW INDUSTRIES 11 2.10 ACI FORMULATION LIMITED 12 2.11 QUALITY POLICY 12 2.12 BUSINESS PERFORMANCE AND GROWTH SCENARIO OF ACI LIMITED 13 2.13 ACI TARDING LIMITED 15 6
  • 7.
    2.13.1 ORGANOGRAM- BUSINESSMANAGEMENT 16 2.13.2 ORGANOGRAM- BUSINESS SUPPORT FUNCTIONS 16 2.13.3 ORGANOGRAM OF ACI TRADING LIMITED (FOCUSING LEATHER CHEMICAL DIVISION) 17 2.13.4 MISSION 18 2.13.5 STRATEGIC OBJECTIVE 18 2.13.6 INDENT SALES GROWTH FROM 2002-2005 & BUDGET 2006 18 2.13.7 EX-STOCK SALES GROWTH FROM 2002-2005 & BUDGET 2006 19 2.13.8 PROFIT & LOSS BUDGET 2006 20 2.13.9 SWOT ANALYSIS OF ACI TRADING LIMITED 21 2.13.1 0 BUSINESS STRATEGY 21 2.13.1 1 KEY DIFFERENTIATING FACTORS THAT ATTRACTS CUSTOMERS 22 2.13.1 2 PRODUCTS, CUSTOMERS & SUPPLIER BASE UP TO 2005 22 2.13.1 3 MAJOR DEVELOPMENT THROUGH INITIATIVE IN 2005 23 2.13.1 4 INITIATIVE TO BE TAKEN IN 2006 23 CHAPTER THREE 24 3. LEATHER INDUSTRY OF BANGLADESH 24 3.0 LEATHER INDUSTRY BACKGROUND 24 3.0.1 THE LEATHER INDUSTRY IN BANGLADESH 24 3.0.2 THE BEGINNING OF THE TANNERY 24 3.0.3 POST LIBERATION PERIOD 25 3.0.4 PRESENT CONDITION 25 CHAPTER FOUR 27 4. PRODUCTION 27 4.0 LEATHER SECTOR IN THE ECONOMY OF BANGLADESH 27 CHAPTER FIVE 31 7
  • 8.
    5 LEATHER EXPORT31 5.1 LEATHER EXPORT PERFORMATION OF BANGLADESH 31 5.2 SALES & EXPORTS OF LEATHER SECTOR ENTERPRISE/FIRMS 34 5.2.1 SALES & EXPORTS: LEATHER PROCESSING 35 5.2.2 SALES & EXPORTS: FOOTWEAR 36 5.2.3 SALES & EXPORTS: LEATHER GOODS 36 CHAPTER SIX 39 6 RAW MATERIALS 39 6.1 RAW MATERIALS USED BY THE LEATHER FIRMS 40 6.2 RAW MATERIALS: LEATHER PROCESSING 40 6.2.1 RAW MATERIALS FOR WET BLUE 40 6.2.2 RAW MATERIALS FOR CRUST 41 6.2.3 RAW MATERIALS FOR FINISHED LEATHER 43 6.2.4 RAW MATERIALS: FOOTWEAR 43 6.2.5 RAW MATERIALS: LEATHER GOODS 44 6.3 AVAILABILITY OF RAW MATERIALS IN BANGLADESH 45 CHAPTER SEVEN 46 7 SWOT ANALYSIS 46 7.1 STRENGTHS 46 7.1.1 STRENGTHS OF THE FIRMS: LEATHER PROCESSING 46 7.1.2 STRENGTHS OF THE FIRMS: LEATHER FOOTWEAR 47 7.1.3 STRENGTHS OF THE FIRMS: LEATHER GOODS 48 7.2 WEAKNESSES 50 7.2.1 WEAKNESSES OF THE FIRMS: LEATHER PROCESSING 50 7.2.2 WEAKNESSES OF THE FIRMS: LEATHER FOOTWEAR 51 7.2.3 WEAKNESSES OF THE FIRMS: LEATHER GOODS 52 7.3 OPPORTUNITIES 53 7.3.1 OPPORTUNITIES OF THE FIRMS: LEATHER PROCESSING 53 7.3.2 OPPORTUNITIES OF THE FIRMS: LEATHER FOOTWEAR 54 7.3.3 OPPORTUNITIES OF THE FIRMS: LEATHER GOODS 55 7.4 THREATS 56 8
  • 9.
    7.4.1 THREATS OFTHE FIRMS: LEATHER PROCESSING 56 7.4.2 THREATS OF THE FIRMS: LEATHER FOOTWEAR 57 7.4.3 THREATS OF THE FIRMS: LEATHER GOODS 59 CHAPTER EIGHT 60 8 PRODUCTION STAGES 60 8.1 PRODUCTION STAGES IN LEATHER PROCESSING INDUSTRY 60 8.2 PRODUCTION STAGES IN LEATHER GOODS & FOOTWEAR INDUSTRY 61 8.3 DESCRIPTION OF THE VARIOUS STAGES OF LEATHER PROCESSING 62 8.3.1 WET BLUE SECTION 62 8.3.2 CRUST SECTION 63 8.3.3 FINISHING SECTION 64 CHAPTER NINE 65 9.0 LEATHER CHEMICALS & ACCESSORIES 65 (DATA COLLECTED FROM PRIMARY SURVEY) 9.1 CHEMICALS & ACCESSIORIES: LEATHER SECTOR 66 9.1.1 CHEMICALS: LEATHER PROCESSING: WET-BLUE 66 9.1.2 LEATHER PROCESSING: CRUST LEATHER 68 9.1.3 LEATHER PROCESSING: FINISHED LEATHER 69 9.2 CHEMICAL AND ACCESIORIES : FOOTWEAR 70 9.3 CHEMICAL AND ACCESIORIES : LEATHER GOODS 72 CHAPTER TEN 73 10.0 MAJOR PLAYERS OF THE LEATHER CHEMICAL INDUSTRY 73 (DATA COLLECTED FROM PRIMARY SURVEY) 10.1 MARKET SHARE OF MAJOR BEAM HOUSE CHEMICAL SUPPLIERS (WET BLUE) 73 10.1.1 TOTAL QUANTITY WISE MARKET SHARE (WET BLUE) 76 10.2 MARKET SHARE OF CHEMICAL SUPPLIERS (WET BLUE TO CRUST) 77 10.2.1 TOTAL QUANTITY WISE MARKET SHARE (CRUST) 79 10.3 MARKET SHARE OF CHEMICAL SUPPLIERS (CRUST TO FINISH) 80 9
  • 10.
    10.3.1 TOTAL QUANTITYWISE MARKET SHARE (FINISHING) 80 CHAPTER ELEVEN 81 11 FINDINGS AND RECOMMENDATIONS 81 11.1 PROBLEMS OF ACI TRADING AND STAHL INLEATHER CHEMICAL MARKETING 83 APPENDIXAPPENDIX A1A1 85 APPENDIXAPPENDIX A2A2 91 APPENDIXAPPENDIX A3A3 92 APPENDIXAPPENDIX A4A4 95 APPENDIXAPPENDIX A5A5 96 APPENDIXAPPENDIX A6A6 98 APPENDIXAPPENDIX A7A7 107 APPENDIXAPPENDIX BB 111 APPENDIXAPPENDIX CC11 113 APPENDIXAPPENDIX CC22 117 REFERENCESREFERENCES 118 10
  • 11.
    Executive Summary The historyof the leather sector and tannery industry in Bangladesh started when R.P Saha set up first tannery in Narayanganj back in 1940. It was later shifted to Hazaribagh area of Dhaka, which turned into a location that now accommodates a large number of tannery units of the whole country. At present, the leather sector of Bangladesh has 220 processing units located at different parts of the country (mainly in Hazaribagh, Dhaka). But only 28 tanneries are in operation, among them 20 are operating in crust section and 8 are in finishing section. Total capital invested in the tannery industry is estimated at Tk 2.5 billion, of which government/bank finance is about Tk 1.2 billion. Bangladesh currently produces about 20.0 million sq. meters of leather and leather goods per year. Contribution of leather sector (hide &skin, leather and leather goods, and footwear except rubber) to GDP is 0.31 (at constant price) in FY 2003. According to Leather Sector Census Study,2005 total production of wet blue leather in 2003 was 3,50,60,000 square feet, crust leather 6,61,72,000 square feet, finished leather 13,48,20,000 feet, whereas 1,67,66,000 pairs of leather footwear were produced in 2003 and 766000 pieces of leather goods were produced in 2003. In 2004, 247 million square feet raw hides were available for the leather industry, among which cow and buffalo hides were 184 million square feet and goat and sheep skin were 6 million sq.ft. According to a report published by FAO in 2003 the numbers of bovine animals in Bangladesh were 2,48,30,000 in 2002; the number of sheep and lambs were 11,43,000 and there were 3,44,00,000 goats and kids in Bangladesh. Bangladesh has exported leather and leather goods worth 220.93 Mn. US$ in 2004-2005, whereas it has exported 211.41 Mn. US$ valued leather and leather goods in 2003-04. The export target for 2005-06 is 235 Mn.US$ in which the export performance achieved in July2005-November2005 was 96.21Mn. US$. Total export of Bangladesh in 2004-05 was 8654.52Mn. US$, so the contribution of the leather sector export to the total export was 2.55% in 2004-05. The main exporting countries are Hong Kong, Italy, Japan, Vietnam, Republic of Korea, Taiwan etc. Raw hides used for producing wet-blue are mainly procured from local sources. Locally, raw hides are collected mainly from leather depot located at Dhaka, Chittagong, Comilla, Kushtia, Natore and Rangpur. Only an insignificant volume of camel hide is imported from external sources. South Africa was the only source of camel hide imports in 2003. Wet blue, raw materials for producing crust is mainly collected from local sources particularly from Dhaka. A small quantity of wet-blue 11
  • 12.
    to prepare crustleather is collected from Chttagong and Jessor. Very insignificant volume of raw materials is imported. In 2003, only about 1.5 percent of total raw materials (wet blue cow and camel) were imported from South Africa, Australia, and Brazil. Crust leather used for producing finished leather is also collected mainly from local sources. Only a very insignificant volume of cow crust is imported to produce finished leather. In 2003, cow crust was imported from Australia valued Tk.34 million. There are hundreds of importers, merchants and suppliers are supplying chemicals required for the whole leather industry. The processing of raw hides to finished leather mainly classified into three different stages 1) Wet Blue, 2) Crust and 3) Finishing section. In 2003, 3202MT (worth 8,46,23,000Tk) leather chemical used for wet blue leather stage in Bangladesh. In which 1956MT (worth 2,06,85,000Tk) was local made and 1274MT (worth 6,39,38,000Tk) was imported. In the same year 901MT (worth 119041000Tk) chemical used in crust stage, in which 885MT was foreign supply and 16MT was local supply. On the other hand 130 MT (worth taka 46468000) chemical used for finishing section, in which 120MT collected from outside and 10MT was collected from local sources. The major chemical suppliers are Germany, Holland, UK, Italy, and India. Recently local merchants are also importing from China, Singapore etc. In addition of finding out the whole scenario of the leather sector of Bangladesh, this study mainly focused to identify the major chemical suppliers in the different stages of leather processing. To find out the main chemicals required in various stages of finished leather production was also the prime consideration of this study. The market share contributed by the suppliers in various stages was the main finding of this report. Along with primary and secondary survey, in depth interview and Expert opinions have been taken for the final modification and recommendation of the whole research. Why the big suppliers are loosing their market and why small and new suppliers are doing well and getting the market acceptability has also been discussed in this research material. 12
  • 13.
    Chapter-OneChapter-One Introduction 1.1. Origin ofthe Report This internship report was prepared as a compulsory requirement for the MBA degree. From the program office of the Institute of Business Administration (IBA), I was placed as an intern in ACI trading limited. The project is titled “To study the current market scenario and the future prospect of the leather chemical industry of Bangladesh”. The project was assigned to me by my supervisor at ACI Trading Limited, Mr. Azmal Hossain, Executive Director of ACI Trading Limited. It was overseen by my faculty advisor Mr. Mustaque Ahmed, Associate Professor, Institute of Business Administration, University of Dhaka. 1.2. Objective 1.2.1 Broad Objective To understand the current market situation and the future business prospect of the leather chemical industry of Bangladesh from the viewpoint of ACI Trading limited. 1.2.2 Specific Objectives To achieve the broad objective the following specific objectives are required to be achieved. 1. Identify the major market players of leather chemicals (especially in value addition section). 2. To analyze the ins and outs of the tannery industry of Bangladesh. 3. To compare the marketing strategies of all the major chemical suppliers in Bangladesh and to find which marketing strategy the clients prefer. 13
  • 14.
    4. To findout the proper marketing strategy for ACI Trading limited to increase their market share in crust and finishing section. 1.3. Scope of the Research This report is basically a requirement of ACI trading limited to understand the details of tannery industry in Bangladesh. ACI trading limited is the agent of Stahl (Holland), a well renowned chemical supplier in the world. From the ACI’s point of view, they want to know their competitors and how they are marketing in Bangladesh. To know the major leather chemical market players in Bangladesh, the tannery factories and their leather technologists are the main focus of this research. All the organized bodies related to leather sector such as Bangladesh Chemical Importers and Merchants Association, Bangladesh Tanners Association, Bangladesh Finished Leather, Leather goods and Footwear Exporters Association, Bangladesh Leather Manufacturers Association, Bangladesh Leather Importers Association are the major considerations of this research. Leather Sector Business Promotion Council (LSBPC) was the prime source of all research papers necessary for this study. 1.4. Methodology To find out the major leather chemical market players in Bangladesh, I basically separated the respondents in three different divisions 1) Leather Technologists and employees of various tanneries, 2) Members of chemical importers and merchants association and 3) The leather chemical retailers or whole sellers. In depth interview of the first two respondent divisions have been scrupulously scrutinized. Both formal question answer session and informal discussions were the part of this research. Primary interviews of the third respondent sections have been made, which was a 14
  • 15.
    questionnaire based interview.Convenient sampling method was applied for selecting the interviewees. All the findings have been verified by numerous experts, leather technologists, and well renowned leather chemical merchants of Bangladesh. Although, there are not enough secondary materials available in Bangladesh, Leather Sector Business Promotion Council (LSBPC) of Bangladesh has been repeatedly visited and they helped me by providing all their necessary secondary materials. 1.7. Limitations 1. The main problem in dealing with leather sector is that, there are not enough secondary research materials and published information available in Bangladesh. 2. All the associations other than Bangladesh Finished Leather, Leather goods and Footwear Exporters Association are not well organized to give the exact information; most of them even don’t have their internal annual reports. 3. Since the whole leather sector of Bangladesh is shrinking day by day, the researchers are not focusing this sector well enough comparing to the booming sectors of Bangladesh like RMG. 15
  • 16.
    Chapter-TwoChapter-Two About The Organization 2.12.1Company Profile at a Glance:  Company Name : Advanced Chemical Industries (ACI) Limited  Address : ACI Centre, 245, Tejgaon Industrial Area, Dhaka-1208.  Phone : +88-02-9885694  Fax : +00-02-9886029  E-mail : INFO@ACI-BD.COM  Web Page : WWW. ACI-BD. COM  Company Logo : 2.1.1 Strategic Business Units: • Pharmaceuticals • Consumer Brands • Agribusiness- a) Crop Care and Public Health b) Animal Health 2.1.2 Subsidiaries: • ACI Trading Limited • ACI Formulation Limited • Apex Leather crafts Limited • ACI Salt Limited 16
  • 17.
    2.1.3 Executive Management: •Mr. M Anis-Us-Dowla Chairman • Dr. Arif-Dowla Managing Director • Mr. M Mohibuz Zaman Chief Operating Officer, Pharmaceuticals. • Dr. F H Ansarey Executive Director, Agribusiness. • Mr. Azmal Hossain Executive Director, Trade. • Mr. Syed Alamgir Executive Director, Consumer Brands. • Mr. Muallem A Choudhury Executive Director, Finance & Planning. • Mr. Towfiqur Rahman General Manager, Operation. • Mr. Priyatosh Datta General Manager, Quality Assurance. • Ms. Sheema Abed Rahman General Manager, Corporate Service. • Mr. Pradip Kar. Chowdhury Financial Controller 2.1.4 Financials (Year Ending December 2004):  Authorized Capital: Taka 500 Million.  Paid-Up Capital: Taka 161.70 Million.  Sales: Taka 2,558 Million. 17
  • 18.
     Numbers ofEmployees: 2161 2.2 Background: ACI was established as the subsidiary of Imperial Chemical Industries (ICI) in the East Pakistan in 1968. After independence the company has been incorporated in Bangladesh on the 24th of January, 1973 as ICI Bangladesh Manufactures Limited and also as Public Limited Company. This Company also obtained listing with Dhaka Stock Exchange on 28.12.1976 and its first trading of share took place on 09.03.1994. Later on May 05, 1992, ICI Plc divested 70% of its shareholders to local management. Subsequently the company was registered in the name of Advanced Chemical Industries Limited. Listing with Chittagong Stock Exchange was making on 22 October, 1995. Advanced Chemicals Industries (ACI) Limited is one of the leading conglomerates in Bangladesh, with a multinational image. ACI is a Public Limited Company with a total number of 19,653 shareholders. Among these, there are three foreign and fifty local institutional shareholders. The company has diversified into five major businesses. Beside these, the company has a large list of international associates and partners with various trade and business agreements. 2.3 Company Mission: ACI’s mission is to enrich the quality of life of people through responsible application of knowledge, skills and technology. ACI is committed to the pursuit of excellence through world-class products, innovative processes and empowered employees to provide the highest level of satisfaction to its customers. 2.4 Company Vision: To realize the mission ACI will: • Endeavor to attain a position of leadership in each category of it businesses. 18
  • 19.
    • Attain ahigh level of productivity in all its operations through effective and efficient use of resources, adoption of appropriate technology and alignment with our core competencies. • Develop its employees by encouraging empowerment and rewarding innovation. • Promote an environment for learning and personal growth of its employees. • Provide products and services of high and consistent quality, ensuring value for money to its customers. • Encourage and assist in the qualitative improvement of the services of its suppliers and distributors. • Establish harmonious relationship with the community and promote greater environmental responsibility within its sphere of influence. 2.5 Values: • Quality • Customer Focus • Fairness • Transparency • Continuous Improvement 2.6 Distribution Network: The company maintains strategically located sales centers in 198 different locations across the country. It has developed an advanced distribution system through its more than 300 skilled and trained manpower and a large fleet over 80 vehicles. The distribution system is capable of handling continuing volume of diverse range of products from the various businesses. The company’s distribution centers are highly streamlined, computerized and automated. We are capable of maintaining a cold chain for some specialized range of products such as 19
  • 20.
    vaccines and insulin.The combination of this advanced function and multi dimensional capabilities make it possible to handle hundreds of products efficiently. 2.7 Business Units: 2.7.1 ACI Pharmaceuticals: In 2004, ACI Pharmaceuticals ranked 11th in the Bangladesh pharmaceuticals industry. It provides the market with a wide selection of drugs across all major therapeutic classes, and also offers some specially medicines. ACI Pharmaceutical represents AstraZeneca, Eli Lily and UCB in Bangladesh. 2.7.2 ACI Crop Care and Public Heath Division: This Division is holding the leadership position in the industries; Animal Health has experienced one of the highest growth rates in this sector. ACI Agribusiness has partnerships with several international conglomerates including Ceva Santhe Animale, Invesa, UCB, Isago Asia and Boreegaad Taicang Chemical Co. Ltd.sdx. 2.7.3 ACI Consumer Brands: This Division is a leading Fast Moving Consumer Goods (FMCG) company in Bangladesh. In the liquid antiseptic and mosquito repellant categories, this division is a very strong market leader. Foreign partners represented in by this division include Godrej Consumer Products (for hair care and skin care ), Parle Group (for Parle G biscuits), Beiersdorf, Germany (for Nivea range of Products) and Colgate Palmolive. ACI has formed joint ventures with leading FMCG and agribusiness players in the region. These are: • Asian Consumer Care Private Ltd: Joint venture of ACI and Redrock Limited, for distribution of various ranges of Dabur products in Bangladesh. ACI holds 50% stake in the venture. 20
  • 21.
    • Tetly ACIBangladesh Ltd: Joint venture of ACI and Tetley Group of United Kingdom for distribution of Tetley products in Bangladesh, with ACI having 50% shareholding. Many ACI products have crossed our national boundary and are being successfully exported to various countries in Asia, the Middle East and the CIS region. The responsible of foreign consumers to our products has been encouraging. 2.8 Manufacturing Standards: ACI has three separate manufacturing plants in the outskirts of Dhaka. The Pharmaceuticals plant is located at Narayanganj; ACI Formulations has been setup in Gazipur and the Tetley factory has been built at Konabari. ACI Limited is the first company in Bangladesh to have attained the ISO 9001 certification for Quality Management and ISO 14001 for Environment Management. The Trading subsidiary has also received ISO 9002 certificate. At our manufacturing facilities, we follow CGMP guidelines and standards recommended by World Health Organization (WHO) for pharmaceutical formulations. 2.9 Diversification into new industries: ACI Limited is venturing into new areas of business, as part of its diversification initiatives. Two such businesses being set up are ACI Salt Ltd. And ACI Godrej Agrovet Private Limited. • ACI Salt Ltd: ACI has set up its salt plant in Rupganj, on the bands of the Shitalakhya river. The plant will produce refined iodized salt through Thermal Evaporation System. ACI has used technology from China Heavy Machineries Corporation (CHMC) in establishing the plant. The end product will be high quality, free-flowing salt with even, crystallized grains. The iodine content of ACI salt will have a stability of more than 6 months. The project has been undertaken at an approximate cost of Taka 32 crores. 21
  • 22.
    • ACI GodrejAgrovet Private Limited: Godrej is a pioneer in the packaged meat business in India. It is also the market leader in the poultry industry, and the owner of ‘Real Good’ brand. ACI and Godrej have a joint venture in Bangladesh to set up an Integrated Poultry Project. Under this project, ACI Godrej Agovet has already set up a feed mill at Sirajganj. This is fully automatic pellet poultry and fisheries feed mill, which uses technology from Jiangsu Muyang group of China. The company has also set up a hatchery at Joynabazar, on the Dhaka Mymenshingh road, with technology from Godrej. The plans for this project also include establishing Grand Parents and Parent Stock breeding farms. The investment in the project is Taka 8 crores, with ACI Limited having 50% shareholding of the company. 2.10 ACI Formulation Limited: ACI Formulations Limited (ACI FL) is a subsidiary of ACI Limited, located at Gazipur, in the outskirt of Dhaka. ACI FL manufactures majority of the products of ACI strategic Business Limited except for Pharmaceuticals division. The factory is equipped with the state-of-Art facilities for product formulations and process innovation. These include modern computerized equipment like HPLC and GLC. The product range manufactured at ACI FL include Crop Protection Chemicals like insecticides, herbicides and fungicides in granular, powder and liquid forms, Mosquito Pesticides in the forms of aerosols, vaporizers and coils, and households chemicals like toilet cleaners and hand wash. 2.11Quality Policy 22
  • 23.
    ACI aims isto achieve business excellence through quality by understanding accepting, meeting and exceeding customer expectations. ACI follows International Standards on Quality Management System to ensure consistent quality of products and services to achieve customer satisfaction. ACI also meets all national regulatory requirements relating to its current business and ensures that current Good Manufacturing Practices (CGMP) as recommended by World Health Organization is followed for its pharmaceutical operations. The management of ACI commits itself to quality as the prime consideration in all its business decisions. All employees of ACI must follow documented procedures to ensure compliance with quality standards. The pool of human resources of the company will be developed to their full potential and harnessed through regular training and their participation in seeking continuous improvement of work methods. 2.12Business Performance and Growth Scenario of ACI Limited: • Issued & paid up capital (Tk.) • Net Turnover (Tk.) • Gr oss margin (%) • Profit after tax (Tk.) • Rate of Dividend (%) • Earningsper share (EPS) (Times) • Number of employees f inancial analysis 2002f inancial analysis 2002 -- 20042004 BusinessBusiness PerformancePerformance 161,700,000 2,052,913,536 30 109,180,668 37.5 6.75 1662 20022002 161,700,000 2,239,565,258 29 85,413,760 40.0 5.28 1883 20032003 161,700,000 2,557,772,237 29 89,516,202 42.5 5.54 1924 20042004 23
  • 24.
    Figure No: 2.1 businessdivisionsbusiness divisions Contribution by revenue 2 0 0 42 0 0 4 BusinessBusiness PerformancePerformance Figure No: 2.2 24
  • 25.
    sales & profitGrow t hsales & profit Grow t h 14.21%14.21% Figure No: 2.3 2.13 ACI Trading Limited ACI Trading Ltd is one of the leading Trading Houses in Bangladesh. Originally it was ICI Pakistan Ltd established as the subsidiary of Imperial Chemical Industries (ICI) in the then East Pakistan. After independence of Bangladesh the operation continued as ICI Bangladesh Ltd. In July 1994 ACI Ltd another divested part of ICI PLC UK for Pharmaceuticals and Agrochemicals operation purchased ICI Bangladesh Ltd from ICI PLC and renamed it to ACI Trading Ltd. ACI Trading Ltd has been accredited with ISO 9002 certification since June 1997 for its Quality System on indenting business. The Company is mainly involved in marketing and sales of various Industrial Chemicals, Petrochemicals, Plastics, Pharmaceuticals, Leather and Shoe finishes. Textile Dyes and Auxiliaries through Indent sales. It has four business divisions such as Chemicals, Textile, Leather and Water Pumps. To render technical service ACI Trading has two separate technical application laboratories for textile and leather businesses. 25
  • 26.
    We represent ‘WorldClass Products’ in Bangladesh from ICI and some other multi- nationals like ExxonMobile, Solvay Interox, Enichem, Huntsman Tioxide, Magadi Soda Co., Stahl UK Ltd, Onga Australia Pte Ltd etc. We also represent some reputed Principals form Asian countries mostly from India, Singapore and Malaysia. This is a 60% owned subsidiary. ICI, Zeneca, Exxon, Stahl are leaders in their respective fields and ACI have excellent market share of their products in Bangladesh. The major responsibilities of ACI Trading are: - Representing various international companies - Procuring raw materials 2.13.1 Organogram – Business Management Figure No: 2.4 2.13.2 Organogram – Business Support Functions 26 Managing Director Executive Director, Pharma Executive Director, Agro Executive Director, Consumer Executive Director, Trade Executive Director, Operation
  • 27.
    Figure No: 2.5 2.13.3Organ gram of ACI Trading Limited (Focusing Leather Chemical Division) Managing Director General Manager, Corporate Financial Controller General Manager, Distributor Commercial Manager Audit Manager 27
  • 28.
    Figure 2.6 2.13.4 Mission: Dr Arif Dowla Managing Director Azmal Hossain Executive Director (Trading) A Khayer Coordination Officer Textile Division Leather Chemical Division Chemical Division M S Dastidar Asst. Manger, Commercial Saiful Azam Kashem Sr. Technical Sales Oficer Munirul Islam Technical Sales Oficer 28
  • 29.
    Want to bea leading trusted quality Trading Company to earn confidence of the customers. To establish a long-term business relation by offering quality products & services from World Class chemical companies in alignment with our core values. 2.13.5 Strategic Objective : • To sustain and improve Market Share for the key products • To offer World Class products from reputed sources • Increase ability to compete in the industry by developing people • To render superior service (technical & logistics) to customers • To maintain & improve business relation with our Principals • New Products Sourcing from reputed manufacturers • Aggressively grow Ex-stock Trading with calculative risk • To ensure stable earning through balanced product port-folio • Taking care of our shareholders interest. 2.13.6 Indent Sales Growth from 2002-2005 & Budget 2006 29 686 904 1,420 1575 1,538 1855 0 500 1000 1500 2000 Act 2002 Act 2003 Act 2004 Bud 2005 Act 2005 Bud 2006
  • 30.
    2.13.7 Ex-stock SalesGrowth from 2002-2005 & Budget 2006 Growth % 2003 31.77 2004 57.08 2005 8.31 2006 20.61 Reason for variance 05  UCB Film not contributed although budgeted in ’05  Allocation & price constraint of ExxonMobil Plastics for 3 months  Scares of Foreign Exchange & restriction on L/C by Central Bank Assumption for Bud’06  Increase customer & product base  New initiative for aggressive growth 30 31.0 29.8 30.8 54.42 53.6 78.7 0.0 10.0 20.0 30.0 40.0 50.0 60.0 70.0 80.0 Act 2002 Act 2003 Act 2004 Bud 2005 Act 2005 Bud 2006
  • 31.
    Reason for variance’05  LessExxonMobil Plastics sales due to strategic import  Stahl sales was behind due to recession in Leather Industry Assumption for Bud’06  To increase ExxonMobil Plastics sales with calculative risk  To increase Textile Auxiliaries sales through Cola Project  To increase sales of MEC, Cereclor  Inclusion of other products like TiO2, PET 31
  • 32.
    2.13.8 Profit andLoss Budget 2006 2.13.9 SWOT Analysis of ACI Trading Limited Strength • On going need base training of people (Management & Technical) • Well groomed Employees & Professional approach • Association of global famous brand (ExxonMobil, ICI) Growth %0 2003 -3.87 2004 3.36 2005 74.03 2006 46.83 32 Net Sales (Ex-stock) 27.47 28.25 49.97 70.00 40.08 Total COGS 22.15 22.15 41.00 60.55 47.68 Gross Profit 5.32 6.10 8.97 9.45 5.36 Commission Income 16.18 16.74 17.60 22.10 25.57 Fixed Expenses 7.83 9.26 10.56 11.39 7.81 Variable Expenses 1.80 0.93 1.21 1.22 0.83 Total Marketing Expenses 9.63 10.19 11.77 12.61 7.09 Fixed Expenses 1.33 1.53 2.39 3.35 40.17 Variable Expenses 0.52 0.26 0.50 0.50 0.00 Total FF Expenses 1.85 1.79 2.89 3.85 33.22 Distribution Expenses 0.13 0.06 0.06 0.04 -33.33 Administration Expenses 0.60 0.60 0.60 0.60 0.00 Total Operating Expenses 12.21 12.64 15.32 17.10 11.59 Other Income 0.12 1.75 1.50 1.50 0.00 Trading Profit 9.40 11.95 12.75 15.96 25.14 Financing Cost 2.38 3.07 2.64 2.80 6.06 Profit Before WPF & Tax 7.01 8.88 10.11 13.16 30.12 Variance % Marketing Expenses : Field Force Expenses: Actual 2003 Actual 2004 Estimated 2005 Budget 2006
  • 33.
    • Loyal customerbase for World Class products • Quality perception of customer for products & services from ACI • Support of ACI conglomerate & its image Weakness • Achievement depends on supplier’s own strategy • Much dependent on few major suppliers • Some major Raw Material suppliers absence in Portfolio • Uncompetitive price & longer lead-time (Europe vs. India/China) • Technical support is based on suppliers’ priority Opportunity • More Local & Export orientated industries coming up • Sourcing Chinese suppliers for some major RM • New business line expansion (API, PET, PS etc) • Value addition of products (Textile, Leather) • Increase Ex-stock Trading (existing & new) Threat • Indian & Chinese cheaper RM suppliers • Local basic RM manufacturers coming up • Increase of competition taking advantage of IT 2.13.10 Business Strategy To nourish the Strength • More need base training of people (Management & Technical) • Build more relation with major supplier • Exert Professional Behavior to maintain the reputation of ACI 33
  • 34.
    • Proactive approachto customers for relationship marketing To turn Weaknesses to Strength • Find suppliers for some major Raw Material not in range • Update suppliers with market & competition on regular basis • Insist supplier for technical support showing business potentiality To avail Opportunities • Increase customer base • Increase product base • Step for Value Addition • Increase trading of Ex-stock To turn Threat to Opportunity • Take advantage of IT to form chemical data-base for new opportunity. • Try sourcing of RM from India & China 2.13.11 Key differentiating factors that attracts customers: • Quality, price, timely delivery with clean documents • Technical Assistance/Information to customers about int’l price • Proactive involvement in customers purchasing decision • Excellent relation with loyal customers • Highly professional & customers caring sales people 2.13.12 Products, Customers & Supplier Base Up to 2005 Chemical Textile Leather Total 34
  • 35.
    Total Product base 60 35 70165 Total customer 70 36 60 166 Total supplier 29 4 2 35 2.13.13 Major Development through initiative in 2005 1) Re-start of Ex-stock sales of ExxonMobil Plastics 2) Increased customer & Product base through trials for Textile Auxiliaries 3) Introduction of C&TP from Stahl India 4) Appointed a Retailer for Stahl Leather Chemical sales 5) Irregularities caused by Sales Manager, Leather (Mr Mizan) mostly adjusted with customer satisfaction 6) Sourcing PET from China 7) Sourcing API from India & China 8) Measurable & Comparable items Software development 9) Weekly sales Meeting with all SBU with EDT 10) Study on Textile Auxiliaries Market through Internee Projects/Suppliers looked for 1) H2O2 2) Paints 3) Bulb & Tube Lights 4) Dry Cell Battery 5) Adhesive Tapes 6) Lady Napkin 2.13.14 Initiative to be taken in 2006 1. Value Addition – Textile Auxiliaries 2. ICI Paints India (J.V.) 3. Value Addition for Beam House Chemicals for leather 4. More trials of Text. & Leather Chemicals to increase customer & Product base 5. Dyes & Optical Brightener sourcing – India, China 6. Introduction more Traders for Textile Aux. credit sales 7. Recruit sales person for Chemical & Textile division 35
  • 36.
    8. Implementation ofProgram for Measurable & Comparable items related to sales performance 9. Engage two Internee for Chemical & Leather Market Study 10. Interaction with knowledgeable & experienced persons from Faculties and Trade 11. Aggressive Plan to become a big Trading House by 2008 Chapter-ThreeChapter-Three Leather Industry of Bangladesh 3.0 Leather Industry Background3.0 Leather Industry Background 3.0.1The Leather Industry in3.0.1The Leather Industry in BangladeshBangladesh Tannery transforms raw hides and skins into leather for manufacturing articles like shoe- upper, bag, suitcase, belt, wallet and jacket. In the past, leather processing was done manually using certain indigenous chemicals. 3.0.2 The beginning of the Tannery The first tannery in Bangladesh territory was set up at Narayanganj by RP Saha in the 1940s. It was later shifted to Hazaribag area of Dhaka, which turned into a location that now accommodates a large number of tannery units. During the period before Partition of 36
  • 37.
    Bengal (1947), almostall the raw hides and skins available in East Bengal were exported to west Bengal, particularly to Calcutta and processed there. In fact the tannery industry of Bangladesh originated after its relocation from Narayanganj to Hazaribagh in Dhaka in 1951. At that time there were 54 tanneries in the country and out of those 30 belonged to the Pakistani owners. Development of tannery industry in East Pakistan started after the Partition with an influx of tanners displaced from India and subsequently, with the establishment of subsidiaries of some companies of West Pakistan. The tanning industry in East Pakistan and export of leather from the province were mainly in the hands of the non- Bengali people. A few tanning units, however, belonged to Bengali entrepreneurs but they were small and of cottage type and they used to process leather mainly for the domestic markets. Most non-Bengali tanners processed wet-blue and sent the product to West Pakistan where it was further processed and finished for producing different consumer goods. Till 1960, tanneries of East Pakistan used to process raw hides and skins applying salt and then drying them in the sun and the material thus developed was known as shaltu. 3.0.3 Post Liberation Period3.0.3 Post Liberation Period During the war of liberation in 1971 the non-Bengali tanners of Bangladesh left the country abandoning about 30 tannery units owned by them. After the war, the new government of Bangladesh vested the management of these units on a newly formed Tannery Corporation, which was expected to convert them into finished leather manufacture units. Unfortunately, the corporation did not serve the purpose because of lack of experience and other reasons including corrupt practices. Later, the government relinquished the Tannery Corporation and handed over the management of most of these tanneries to Bangladesh Chemical Industries Corporation (BCIC). Three of them were given to Bangladesh freedom fighters welfare trust. Both the authorities had miserably failed to manage the tanneries. In 1982, the government transferred them to private entrepreneurs in pursuance of its general policy of disinvestments, which had allowed some enterprising Bengalis with little or no experience in the industry to start wet-blue production. 3.0.4 Present Condition 37
  • 38.
    At present, theleather sector of Bangladesh has 220 processing units located at different parts of the country (mainly in Dhaka) as follows: - Dhaka (Hazaribag) - 194 units Dhaka (Dhamrai/Savar) - 3 ” Gazipur (Kaliakoir) - 1 ” Jessore (Noapara) - 1 ” Chittagong - 18 ” Jamalpur - 1 ” Rangpur - 1 ” Khulna - 1 ” Total : 220 units Only about 50% of the above units are well equipped for processing crust and finished leather. But only 28 tanneries are in operation, among them 20 are operating in crust section and 8 are in finishing section. According to the records of the Bangladesh Tanners Association, about 3,000 workers are employed in the tanning industry. Besides, there are about 100 qualified technologists including foreign nationals who are working in different tanneries. Total capital invested in the tannery industry is estimated at Tk 2.5 billion, of which government/bank finance is about Tk 1.2 billion. About 1,500 persons are involved in the process of collecting raw hides and skins and making them available at tannery units. About 100 organizations import chemicals for use in tannery industry. Some reputed tanneries of Bangladesh are Dhaka Leather, Apex Tannery, Lexco, Karim Leather, Samata Tannery and Bay Tannery. 38
  • 39.
    Chapter-Four Production 4.0 Leather Sectorin the Economy of Bangladesh The Leather sector plays a significant role in the economy of Bangladesh in terms of its contribution to export and domestic market. Bangladesh currently produces about 20.0 million sq. meters of leather and leather goods per year. The total production of leather and leather goods shows an increasing trend over the years. Beginning with the 1993/94, the production increased from 14.60 in 1993/94 million sq. meters to 15.90 million sq. meters in 1995/96. It fell to 11.95 million sq. meters in 1996/97. Since 1996/97, there has been a steady increase in the production of leather and leather goods that reached 19.91 million sq. meters in 2000/2001. The following table shows the production of leather and leather goods in the country. Leather sector is perceived to be one of the important economic sectors in Bangladesh. As a single sector of the economy, the sector contributes modestly to the country’s GDP. Contribution of leather sector (hide &skin, leather and leather goods, and footwear except rubber) to GDP is 0.31 (at constant price) in FY 2003. Table 4.1: Production of Leather & Leather Goods 39
  • 40.
    Year Unit (MillionSq. Meter) 1993-94 14.60 1994-95 15.00 1995-96 15.90 1996-97 11.95 1997-98 12.12 1998-99 16.21 1999-2000 18.31 2000-2001 19.91 2001-2002 17.30 2003 22.85* 2004 20.78** Source: Bangladesh Economic Survey, Ministry of Finance, 2002 *Leather Sector Census Study, LSBPC, 2005 **Approximate Data from LSBPC The quantum index of leather and leather goods production increased to 131 in 1998/99 compared to the base year (1988/89=100) and that of leather footwear production rose to 193 for the same period. It is therefore evident that leather is increasingly being used in the production of footwear. The following table shows the trend of production of leather and leather footwear during the 1990/91 through 1998/99 period. Table 4.2 : Quantum Index ofTable 4.2 : Quantum Index of Leather and Leather Goods andLeather and Leather Goods and Leather FootwearLeather Footwear (Base: 1988/89=100) Year Production Index Leather & Leather Goods Leather Footwear 1990-91 84.34 100.03 1991-92 92.97 100.07 1992-93 108.72 110.93 1993-94 123.44 139.48 1994-95 126.77 161.76 1995-96 133.85 174.46 1996-97 100.84 185.95 1997-98 102.25 123.17 1998-99 136.76 192.84 1999-00 154.41 186.71 40
  • 41.
    2000-01 165.85 216.67 2001-02146.37 229.47 Source: Statistical Year Book of Bangladesh 2002, Bangladesh Bureau of Statistics Table- 4.3 : Yearly production of Leather Sector by Different Enterprises/Firms Firm Types Total Production Wet blue (000 sqf.) 35060 Crust (000 sqf.) 66172 Finished (000 sqf.) 134820 Leather Footwear (000 pairs) 16766 Leather Goods (000 pcs.) 766 Note: Data for the period Jan.-Dec.2003. Source: Leather Sector Census Study, LSBPC, 2005 Table 4.4: Leather Production of the renowned Tanneries of Bangladesh: Name of the Organization Annual Production (SFT/Month) Product Apex Tannery 1700,000 Crust, Printed Bag, Semi Aniline, CG Glaze Kid Bay Tannery 600,000 Crust, Resin Coat, Semi Aniline CG, Lining, Brush Off, SAF Industries 600,000 Crust, Semi Aniline CG, Glaze Mild, Lining, Bata Shoe co (BD) ltd 400,000 C/G, Box Sandle, Semi Aniline, Creasy Horse, Lining Bengal Leather Complex 500,000 Polishable Finish, Crust, Semi Aniline, Dhaka Hide & Skins 1400,000 Crust, Milled Bag, Repolisable, S/A H&H /H.B Tannery 500,000 Crust, Glaze Kid, C/G, Resin Goat, S/A, Lining Phoenix Leather 400,000 Crust, CG, SA Karim Leathers 500,000 Crust, SA Lexco Ltd. 200,000 CG, SA 41
  • 42.
    Samina Tannery 500,000Crust, SA Riff Leather 200,000 Crust, CG, SA Modina Tannery 150,000 Crust, SA Reliance Tannery 600,000 Re polish able, Crust, B.S Leather 200,000 Re polish able, Crust, Progoti Leather Complex 500,000 Crust Vulua Tannery 600,000 Crust Kalam Brothers 300,000 Crust Amin Tannery 200,000 Crust Anwer Tannery 200,000 Crust Cottege Customer 1000,000 Crust, Repolishable, S/A Total 11250,000 SFT/MONTH Total Annual Production: 135,200,000 SFT/YearTotal Annual Production: 135,200,000 SFT/Year Total Crust Production = 101,400,000 SFT/YearTotal Crust Production = 101,400,000 SFT/Year Total Finish Production = 33,800,000 SFT/Year Source: Shajedul Alam, Internship Report, June 19, 2004, Institute of Business Administration, University of Dhaka; Source: Magazine, Dhaka International Leather Fair 2005 Table 4.6: Number of Animal Population in Bangladesh (thousand head) Types 1990 1995 1996 1997 1998 1999 2000 2001 2002 (est.) Bovine Animal 24016 24859 24433 24816 24220 24480 24730 24830 24830 Sheep and Lambs 873 1070 1124 1158 1110 1121 1132 1143 1143 Goats and Kids 21031 30330 33312 34478 33500 33800 34100 34400 34400 Source: FAO, 2003 42 247 Mio Sq.FtTotal: 63 Mio Sq.ftGoat & Sheep 184 Mio Sq.Ft.Cow & Buffalo Table4.5: Availability of Raw Materials
  • 43.
    Chapter-FiveChapter-Five Leather ExportLeather Export 5.01Leather Export Performance of Bangladesh: The ever highest export performance was achieved in 2000-2001 due to the mad cow disease in EU but after 11th September incident, the declining trend cannot be prevented due to the less value addition capability and non-sustainable nature of the leather sector industry of Bangladesh. The export performance of Bangladesh after 1999 is shown in table4.1. The Leather export is almost 2.5 percent to the total export of Bangladesh. Table 4.2 shows how the percentage of leather export to the total export is decreasing year after year. 43
  • 44.
    Table 5.1: Exportperformance: From July 1999 Leather (Mn. US$) % Increase or Decrease July 1999- June2000 246.89 - July 2000- June2001 290.68 +17.76% July 2001- June2002 252.49 -13.13% July 2002- June2003 229.72 -9.01% July 2003- June2004 211.41 -7.97% July 2004- June2005 220.93 +4.50% Export Target for July 2005- June2006 235.00 Export Performance for July 2004-Nov 2005 84.37 - Export Performance for July 2005-Nov 2006 96.21 +14.03% Source: Export Promotion Bureau of Bangladesh. 0 50 100 150 200 250 300 Export (Mn. US$) 1999- 2000 2000- 2001 2001- 2002 2002- 2003 2003- 2004 2004- 2005 Fig 5.1: Year Wise Leather Export of Bangladesh Table 5.2: Percentage of the Leather Export to the Total export of Bangladesh: 44
  • 45.
    (Value in milliondollar) Year Total Export Leather, Leather Footwear and Leather Goods export Leather, Leather Footwear and Leather Goods as % of Total Export 1998-99 5312.86 219.39 4.39 1999-2000 5752.20 246.89 4.30 2000-2001 6467.30 290.68 4.50 2001-2002 5986.09 252.49 4.22 2002-2003 - 229.72 - 2003-2004 7602.99 211.41 2.78 2004-2005 8654.52 220.93 2.55 2005-2006 10159.20* 235.00* 2.31 Source: Export Promotion Bureau of Bangladesh (EPB) *Export Target Hong Kong, Korea Rep., Italy, Japan are the main export destinations of the leather goods of Bangladesh. Though the Leather export performance of Bangladesh is decreasing day by day but still some countries like China, Taiwan, Vietnam are showing their interest to import more leather goods from Bangladesh. In comparison to India and Pakistan the export performance of Bangladesh shows a very uncomfortable figure. The main reason for that is the infrastructure of the sector. Although the RMG sector of Bangladesh is booming even after the post MFA era, foreign investors are not showing interests to invest in the leather sector of Bangladesh. Even the local investors are not interested to invest in leather sector, though there are lots of places Bangladeshi investors can invest easily. Table 5.3: Country Wise Export of leather and Leather Goods during the period of July2004 – March 2005: Value in ‘000’ US$ Country Export Country Export Country Export Argentina 5 India 1679 Saudi Arabia 2 Australia 279 Indonesia 153 Singapore 137 Austria 2 Italy 29791 S. Africa 243 45
  • 46.
    Belgium 65 Japan10723 Spain 5701 Benin 21 Korea DPR. 39 Sri Lanka 11 Brazil 745 Korea Rep. 20151 Taiwan 7953 Cambodia 426 Local Sale 540 Thailand 742 Canada 35 Mexico 1123 Turkey 8 China 6049 Myanmar 21 U.A.E 23 Czech Rep. 5 Netherlands 634 U.K 1059 East Timor 13 Norway 37 U.S.A 645 El Salvador 50 Oman 10 Ukraine 69 Finland 1 Pakistan 62 Uruguay 575 France 753 Philippines 166 Venezuela 40 Germany 189 Poland 3767 Vietnam 8681 Greece 26 Portugal 51 Hong Kong 54584 Qatar 6 Hungary 4 Samoa 5 TotalTotal 158621 Source: Foreign Trade Statistics of Bangladesh, 2001-2002 Table 5.4: Export of Leather, Leather Footwear and Leather GoodsTable 5.4: Export of Leather, Leather Footwear and Leather Goods Million US$ Year Leather Leather Footwear Leather Goods Total Export % of Total Export % of Total Export % of Total 1998-1999 168.25 76.69% 46.55 21.22% 4.59 2.09% 219.39 1999-2000 195.05 79.00% 48.26 19.55% 3.58 1.45% 246.89 2000-2001 253.93 87.36% 33.63 11.57% 3.12 1.07% 290.68 2001-2002 207.33 82.1% 41.29 16.4% 3.87 1.5% 252.49 2002-2003 191.23 83.2% 35.06 15.3% 3.43 1.5% 229.72 2003-2004 211.41 79.50% 50.86 19.13% 3.64 1.37% 265.91 Bangladesh Export Promotion Bureau 5.02 Sales and Exports of Leather sector Enterprises/Firms Table show that during January-December 2003, the collective sales of the leather sector firms stood at Tk.23045 million. Of the total sales of the firms, over 75 percent are sold outside the country. Leather processing units exported most of their products that accounted for about 85 percent of their total sales revenue during 2003. Footwear manufacturing firms’ sales revenue from exports accounted for about 40 percent of their total revenue. Leather goods manufacturing firms exported its entire volume of production during 2003. Table 5.5 : Yearly Value of Sales and Exports by Types of Firms (Tk 000) Firm Types Sales (Local) Exports Total Sales Leather Processing 2847600 15622354 18429954 46
  • 47.
    Leather Footwear 24563491682140 4138489 Leather Goods 0 437389 437389 Total 5303949 17741883 23005832 Note: Data for the period Jan.-Dec.2003. Table 5.6 : Yearly Value of Sales and Exports by Types of Firms (%) Firm Types Sales (Local) Exports Total Sales Leather Processing 15.42 84.58 100 Leather Footwear 59.35 40.65 100 Leather Goods 0 100 100 Total 23.01 76.99 100 Source: Leather Sector Census Study, LSBPC, 2005 5.2.1 Sales and Exports: Leather Processing Leather processing firms’ sales value stood at about Tk.18470 million during January-December, 2003 (Table 4.7). Exports revenue accounted for about 88 percent from the crust leather and over 97 percent from the finished leather produced by the leather processing enterprises. Except for an insignificant volume, most wet-blue leather is locally used for the production of crust/finished leather. The survey data show that as a whole about 85 percent products of the leather processing firms are exported and total export value stood at Tk. 15622 million (during January-December 2003). Table5.7 : Annual Volume of Sales and Exports by the Leather Processing Firms (in 000 sqf.) Product Category Local Sales Total Local Sales Total Exports Total Sales Volume in sf.Direct Through Agent Wet Blue 35060 0 35060 0 35060 Crust 5281 3400 8681 57491 66172 Finished 4814 0 4814 130006 134820 Note: Data for the period Jan.-Dec.2003. Source: Leather Sector Census Study, LSBPC, 2005 Table 5.8: Yearly Sales and Exports by the Leather Processing Enterprises/Firms (Tk000) Local Sales Total Total 47
  • 48.
    Products category Local Sales Exports TotalSales Volume (in Tk. 000) Direct Through Agent Wet Blue 1959300 0 1959300 0 1959300 Crust 318850 220000 538850 4141826 4680676 Finished 349450 0 349450 11440528 11789978 Total 2627600 220000 2847600 15622354 18429954 Note: Data for the period Jan.-Dec.2003. Source: Leather Sector Census Study, LSBPC, 2005 Table 5.9: Annual Value of Sales by the Leather Processing Enterprises/Firms (%) Products category Local Sales Total Local Sales Total Exports Total Sales valueDirect Through Agent Wet Blue 100.0 0 100.0 0 100 Crust 6.81 4.70 11.51 88.49 100 Finished 4.58 0 2.96 97.04 100 Total 18.36 1.54 15.42 84.58 100 Note: Data for the period Jan.-Dec.2003. Source: Leather Sector Census Study, LSBPC, 2005 5.2.2 Sales and Exports: Footwear Still over 50 percent of the footwear manufacturing enterprises’ production is locally consumed. Total local sales stood at Tk.2456 million for the period January-December 2003. Export sales of the footwear firms for the period were Tk.1682 million. Table 5.10: Yearly Sales and Exports by the Leather Footwear Enterprises/Firms Local Sales Total Local Sales Total Exports Total SalesDirect Through Agent Volume (pair) 8435500 0 8435500 8309750 16745250 Value in Tk.’000 2456349 0 2456349 1682140 4138489 Note: Data for the period Jan.-Dec.2003. Table5.11: Annual Sales and Exports by the Leather Footwear Firms (%) Local Sales Total Local Sales Total Exports Total Sales Direct Through Agent Volume (pair) 50.38 0 50.38 49.62 100 Value in Tk.’000 63.39 0 59.35 40.65 100 48
  • 49.
    Source: Leather SectorCensus Study, LSBPC, 2005 5.2.3 Sales and Exports: Leather Goods All leather goods manufacturing firms (covered under census) are export oriented. Their total sales volume, which is same as their exports, stood at Tk.437 million during the period January-December 2003. Table5.12- Yearly Sales and Exports by the Leather Goods Enterprises Local Sales Total Local Sales Total Exports Total Sales Direct Through Agent Volume (pcs) 0 0 0 764100 764100 Value in Tk.’000 0 0 0 437389 437389 Note: Data for the period Jan.-Dec.2003. Source: Leather Sector Census Study, LSBPC, 2005 Table 4.3 showed the country wise export figure of Bangladesh and the Table 4.13 shows how country wise export figure changed during 2000-2003 to 2003-2004. Table 5.13: Country wise changes in Export of Leather: (Value in `000’ US$) Countries 2002-2003 2003-2004 Value % of Total Value % of Total Hongkong 69039 36.10 72026 34.06 Italy 38621 20.20 43601 20.62 Koria Rep. 13736 7.18 19779 9.36 Japan 15029 7.86 15188 7.18 Taiwan 11556 6.04 11850 5.61 Vietnam 4928 2.58 11500 5.44 Spain 6821 3.57 9709 4.59 China 5932 3.10 7655 3.62 Mexico 2027 1.06 2160 1.02 UK 1507 0.79 1228 0.58 France 1779 0.93 1106 0.52 49
  • 50.
    USA 983 0.51631 0.30 Germany 818 0.43 549 0.26 Others 18450 9.65 14430 6.84 Total 191226 100.00 211412 100.00 Source: EPB Export Statistics Table 5.14: Company wise Export of Leather Goods & Footwear from Bangladesh (Export Period: 01/01/2005 ~ 24/11/2005) 50
  • 51.
    Name of theCompany Value in US$ Legacy Footwear Ltd. 5508573.5 Jennys Shoes Ltd. 3775499.81 Picard Bangladesh Ltd. 3130611.97 Leatherex Footwear Ltd. 1631819.61 H.N Shoes Ltd. 1054264.91 Cosmic Jute & Leather Ind. Ltd. 884406.75 Shampan Shoes Ltd. 771231.60 Savar Ind. Pvt. Ltd. 507352.22 Bangladesh Export Ltd. 432373.06 Landmark Footwear Ltd. 221137.63 Vannara Corporation Ltd. 219053.3 RMM Leather Ind. Ltd. 164923.28 Apex Leather Craft Fashion 149779.03 Bani Footex 131864.3 Bay Footwear 131660 Advanced Ind. Management Co. Ltd. 103890.61 Malim BD. Co. Ltd. 85356.65 MAMC 84174.50 Surma Leather & Footwear Ind. Ltd. 74735.5 Sonali Ansh Ind. Ltd. 68737.68 Apex Footwear Ltd. 63310 Legacy Footwear Ltd. 61119.88 Hara Leather 46843 Rexus Leather Club 40270 Crown Leather Products Ltd. 29219 Creative Products 27365 Anowara Leather 14520 Tropical Shoes Ltd. 7560 51
  • 52.
    Source: Leather goods& Manufacturers & Exporters Association of Bangladesh. Chapter-Six Raw Materials 6.1 Raw Materials used by the Leather Firms From the survey data it is transpires that raw materials used by the leather sector firms are procured mainly from local market. Except for an insignificant proportion, almost all raw materials of wet blue i.e. raw hides are collected from the local sources. Raw materials for crust leather and finished leather are wet-blue and crust respectively. About 99 percent of the raw materials of wet blue, crust and finished leather are sourced locally. Of the broad categories of leather firms, footwear sector used highest proportion of raw materials (includes finished leather, lining leather sole, etc.) from external sources, which is 3.13 percent of the total used by the sector. 52
  • 53.
    Table 6.1 -:Yearly Raw Materials used in the Leather Sector to produce different types of product (in Tk.000) Types of Product Name of Raw materials Local Foreign Total Wet blue Raw hides 1276262 5040 1281302 Crust Wet blue 2756629 41300 2786474 Finished Crust 7428519 34000 7462519 Footwear Finished, lining leather, Sole etc. 1146399 38236 1184635 Leather Goods Finished & lining leather 90466 0 90466 Source: Leather Sector Census Study, LSBPC, 2005 Table 6.2 -: Yearly Raw Materials used in the Leather sector by types (%) Types Name of Raw materials Local Foreign Total Wet blue Raw hides 99.60 0.40 100 Crust Wet blue 98.93 1.07 100 Finished Crust 99.54 0.46 100 Footwear Finished, lining leather, Sole etc. 96.77 3.23 100 Leather Goods Finished & lining leather 100 0 100 Source: Leather Sector Census Study, LSBPC, 2005 6.2 Raw Materials: Leather Processing Leather processing units or tanneries produce wet-blue, crust, and finished leather. In producing wet-blue and crust, the firms use raw hides and wet-blue as raw materials respectively. Crust leather is used as raw materials for producing finished leather. 6.2.1 Raw Materials for Wet Blue 53
  • 54.
    Raw hides usedfor producing wet-blue are mainly procured from local sources. Locally, raw hides are collected mainly from leather depot located at Dhaka, Chittagong, Comilla, Kustia, Natore and Rangpur. Only an insignificant volume of camel hide is imported from external sources. South Africa was the only source of camel hide imports in 2003. Table 6.3 : Yearly Raw Materials used for Producing Wet Blue Hide and Skin Local Foreign Total Quantity (000pcs) Value in Tk.000 Quantity (pcs) Value in Tk.000 Quantity (000pcs) Total Value Tk.000 Cow 856 1074032 0 0 856 1074032 Buffalo 107 88835 0 0 107 88835 Goat 1035 97495 0 0 1035 97495 Sheep 115 12034 0 0 115 12034 Cow/Buffalo head 41 3866 0 0 41 3866 Camel 0 0 4 5040 4 5040 Total 2154 1276262 4 5040 2158 1281302 Source: Leather Sector Census Study, LSBPC, 2005 Table 6.4 : Yearly Raw Materials used for Producing Wet Blue (%) Raw materials for Wet blue Local Value (%) Foreign Value (%) Total Value (%) Cow 100 0 100 Buffalo 100 0 100 Goat 100 0 100 Sheep 100 0 100 Cow/Buffalo head 100 0 100 Camel 0 100 100 Total 99.60 0.40 100 54
  • 55.
    Source: Leather SectorCensus Study, LSBPC, 2005 6.2.2 Raw Materials for Crust Wet blue, raw materials for producing crust is mainly collected from local sources particularly from Dhaka. A small quantity of wet-blue to prepare crust leather is collected from Chttagong and Jessor. Very insignificant volume of raw materials is imported. In 2003, only about 1.5 percent of total raw materials (wet blue cow and camel) was imported from South Africa, Australia, and Brazil . Table 6.5 : Yearly Raw Materials used for Producing Crust Leather Raw materials for crust Local Foreign Total Quantity (000sqf) Value in Tk.000 Quantity (000 sqf) Value in Tk.000 Quantity (000sqf) Total Value Tk.000 Cow 23358 1524583 530 33300 23888 1557884 Buffalo 11210 447936 0 0 11210 444480 Goat 11016 603330 0 0 11016 603330 Sheep 1848 161580 0 0 1848 161580 Others 240 19200 0 0 240 19200 Camel 0 0 100 8000 100 8000 Total 47672 2756629 630 41300 48302 2786474 Source: Leather Sector Census Study, LSBPC, 2005 Table 6.6: Yearly Raw Materials used for Producing Crust (%) Raw materials for crust Local Value (%) Foreign Value (%) Total Value (%) Cow 97.86 2.14 100 Buffalo 100 0 100 Goat 100 0 100 Sheep 100 0 100 Others 100 0 100 55
  • 56.
    Camel 0 100100 Total 98.52 1.48 100 6.2.3 Raw Materials for Finished Leather Crust leather used for producing finished leather is also collected mainly from local sources. Only a very insignificant volume of cow crust is imported to produce finished leather. In 2003, cow crust was imported from Australia valued Tk.34 million. 56
  • 57.
    Table 6.7 :Yearly Raw Materials used for Producing Finished Leather Raw materials for finished Local Foreign Total Quantity (000sqf) Value in Tk.000 Quantity (000 sqf) Value in Tk.000 Quantity (000sqf) Total Value Tk.000 Cow Crust 55488 4396440 400 34000 55888 4396840 Buffalo Crust 8822 494124 0 0 8822 494124 Goat Crust 23019 1979055 0 0 23019 1979055 Sheep Crust 5412 558900 0 0 5412 558900 Total 92741 7428519 400 34000 93141 7462519 Source: Leather Sector Census Study, LSBPC, 2005 Table 6.8 : Yearly Raw Materials used for Finished Leather (%) Raw materials for finished Local Value (%) Foreign Value (%) Total Value (%) Cow Crust 99.23 0.77 100 Buffalo Crust 100 100 100 Goat Crust 100 100 100 Sheep Crust 100 0 100 Total 99.55 0.45 100 6.2.4 Raw Materials: Footwear Other than finished leather, some other raw materials as lining leather, artificial sole, insole-leather etc. are used in producing footwear by the footwear-manufacturing firms. Footwear manufacturing units imports comparatively greater volume of raw materials (as compared to leather processing and leather footwear sector) from external sources. Footwear manufacturing units imported over 3 percent of their total raw materials amounted to about Tk. 38 million during January to December 2003. Sources for local raw materials are mainly Dhaka and Chittagong. Of the external sources, finished leather is mainly collected from Pakistan and China. Artificial sole is imported mainly from India, Indonesia, China and Taiwan, and lining leather is collected mainly from China, Taiwan 57
  • 58.
    and Pakistan. China,India and Italy are the major sources of in-sole leather. Some footwear raw materials are also imported from Canada, France and Germany. Table 6.9: Yearly Raw Materials used for Producing Footwear Name of raw materials for footwear Local Foreign Total Quantity sqf. 000 Value in Tk. 000 Quantity sqf. 000 Value in Tk. 000 Total quantity Total value Tk. 000 Finished Leather 9932 823434 225 25350 10157 848784 Lining Leather 2944 134023 506 8960 3450 142983 Artificial Sole 1806 155317 855 3266 2661 158583 In-sole Leather 639 33063 45 660 684 33723 Others 7 562 0 0 7 562 Total 15328 1146399 1631 38236 16959 1184635 Table6.10 : Raw Materials used for Footwear (%) Raw materials for Footwear Local Value (%) Foreign Value (%) Total Value (%) Finished Leather 97.01 2.99 100 Lining Leather 93.73 6.27 100 Artificial Sole 97.94 2.06 100 In-sole Leather 98.04 1.96 100 Others 100 0 100 Total 96.77 3.23 100 Source: Leather Sector Census Study, LSBPC, 2005 6.2.5 Raw Materials: Leather Goods The leather goods producing firms that are very few in number use basically finished leather and lining leather as raw materials. The value of the raw materials used by the leather goods manufacturing units constitute less than 8 percent of the raw materials used by the footwear manufacturing units. All of the raw materials of the leather goods manufacturing firms are collected from local sources. Table 6.11: Yearly Raw Materials used for Producing Leather Goods 58
  • 59.
    Raw materials for crust LocalForeign Total Quantity (000sqf) Value in Tk.000 Quantity (000 sqf) Value in Tk.000 Quantity (000sqf) Total Value Tk.000 Finished Leather 1365 87366 0 0 1365 87366 Lining Leather 50 3100 0 0 50 3100 Total 1415 90466 0 0 1415 90466 Source: Leather Sector Census Study, LSBPC, 2005 6.3 Availability of raw material in Bangladesh Table 6.12 Total Number (Head) Hides & Skins (piece) Hides & Skins (Sq.ft) Cow/Buffalo/Calf 24.31 million 5.31 million 116.00 million Goat/Sheep 32.70 million 19.70 million 64.00 million Source: 1. Bureau of Statistics 2. Livestock Census 3. ITC 4. FAO Table6.13 Availability of raw material (Division wise) (Piece) Dhaka Chittagong Rajshahi Khulna Total Cow/Buffalo/Cal f 13,78,700 12,60,500 15,90,800 10,72,700 53,02,700 Goat/Sheep 39,40,000 43,37,000 55,16,000 59,07,000 1,97,00,000 Source: 1. Bureau of Statistics 2. Livestock Census 3. ITC 4. FAO 59
  • 60.
    Chapter-Seven SWOT Analysis 7.1 Strengths 7.1.1Strengths of the Firms: Leather Processing The SWOT analysis is based on the opinions of the leather sector firms. The survey reveals that ‘higher productive capacity’ is the main strength of the maximum number of firms of the leather processing industry. Main strengths of the leather processing industry as identified by the leather processing firms in the survey are as follows: Table 7.1: Strengths of the Leather Processing Firm Strengths Percent of Total Firms Production capacity 70% Competitive price 67% Cheap Labour 66% Market Information 56% Better management 54% 60
  • 61.
    Strengths: Leather Processing 0 10 20 30 40 50 60 70 80 Production capacity Competitiveprice Cheap Labour Market Information Better management Major Strengths %ofTotalFirms Figure: 7.1 Strengths of the Leather Processing Firms With high installed capacity and better utilization of that capacity, firms can economize on the costs and offer competitive price. It is recognized that the element of competitive price is related to productivity and cost of production. Hence firms with better productive capacity can offer better price to their clients. Generally, productivity of the big firms is expected to be higher than that of smaller firms with low productive capacity. Availability of cheap labour is another common advantage in the leather processing. This sector is relatively more labour-intensive than other two sectors (footwear and leather goods). 7.1.2 Strengths of the Firms: Leather Footwear As is leather-processing industry, ‘higher productive capacity’ is the main strength of the maximum number of firms operating in the footwear industry. The major strengths of the firms as identified in the survey (as opined by the firms) are as follows: Table 7.2: Strengths of the Leather Footwear Firm Strengths Percent of Total Firms 61
  • 62.
    Production capacity 74% Betterquality of management 66% Sufficient supply of processed leather 65% Trained manpower 60% Quality Control 58% Strengths: Footwear 0 20 40 60 80 Production capacity Better management Supply of processed leather Trained manpower Quality Control Major Strengths %ofTotalFirms Figure: 7.2 Strengths of the Leather Footwear Manufacturers Footwear firms appear to have emphasis on the quality of management of the firms. Adequate supply of processed leather (from the leather processing firms) is the third most important factors that determine the strength of the footwear firms. Quality control appears to have provided competitive advantages to a good number of firms. 7.1.3 Strengths of the Firms: Leather Goods Better management quality, and quality control came up as the main strengths of the leather goods producing firms. A list of major strengths of the footwear manufacturing firms as identified in the survey (as opined by the firms) are presented in table 7.3. Table 7.3: Strengths of the Leather Goods Firm Strengths Percent of Total Firms 62
  • 63.
    Better management Quality71% Quality control 69% Sound environmental management 64% Market information 60% Production Capacity 48% Strengths: Leather Goods 0 10 20 30 40 50 60 70 80 Better management Quality control Environmental management Market information Production Capacity Major Strengths %ofTotalFirms Figure: 7.3 Strengths of the Leather Goods Manufacturers As in case of footwear, leather goods manufacturing firms also appear to put considerable emphasis on better management quality and quality control. Environmental management and market information have also been identified by considerable percentages of firms as may be expected from a hundred percent export oriented industry. 7.2 Weaknesses 7.2.1 Weaknesses of the Firms: Leather Processing 63
  • 64.
    Size of thefirms and financial crisis are found to be the main weaknesses of the firms operating in the leather processing industry. The major weaknesses of the firms as identified in the survey (as opined by the firms) are as follows: Table 7.4: Weaknesses of the Leather Processing Firm Weaknesses Percent of Total Firms Low Volume of Production 82% Financial Crisis 80% Weak Marketing 64% Inefficient Management 46% Weaknesses: Leather Processing 0 20 40 60 80 100 Low Volume of Production Financial Crisis Weak Marketing Inefficient Management Major Weaknesses %ofTotalFirms Figure: 7.4 Weaknesses of the Leather Processing Firms In global context the smaller leather processing firms produce lower quantity that precludes them in attaining economies of scale. Generally, leather-processing firms face financial difficulty and have no marketing strategy. Of the leather processing firms, 46 percent identified inefficient management as one of their main weaknesses. 7.2.2 Weaknesses of the Firms: Leather Footwear 64
  • 65.
    ‘Financial Crisis’ isfound to be the main weakness of the leather footwear industry. The major weaknesses of the footwear firms as identified in the survey (as opined by the firms) are as follows: Table 7.5: Weaknesses of the Footwear Firm Weaknesses Percent of Total Firms Financial Crisis 92% Weak Marketing 86% Low Volume of Production 84% Uncompetitive Product Price 80% Weaknesses: Leather Footwear 70 75 80 85 90 95 Financial Crisis Weak Marketing Low Volume of Production Uncompetitive Product Price Major Weaknesses %ofTotalFirms Figure: 7.5 Weaknesses of the Leather Footwear Manufacturers Generally, footwear firms face financial difficulty and lack effective marketing strategy. Size of the firms in global context is smaller which is a notable obstacle in achieving economies of scale and offering competitive price. 7.2.3 Weaknesses of the Firms: Leather Goods In line with leather footwear, ‘financial Crisis’ is found to be the main weakness of the leather goods manufacturing industry. The major weaknesses of the leather goods firms as identified in the survey (as opined by the firms) are as follows: Table 7.6: Weaknesses of the Leather Goods Manufacturing Firm Weaknesses Percent of Total Firms 65
  • 66.
    Financial Crisis 88% WeakMarketing 87% Low Volume of Production 87% Uncompetitive Product Price 74% Weaknesses: Leather Goods 65 70 75 80 85 90 Financial Crisis Weak Marketing Low Volume Uncompetitive Price Major Weaknesses %ofTotalFirms Figure: 7.6 Weaknesses of the Leather Goods Manufacturers About 90 percent leather-goods manufacturing firms have identified ‘financial difficulty’ as their one of the major weakness. The firms also lack effective marketing strategy. Size of the leather goods firms in global context is smaller which is a notable obstacle in achieving economies of scale and offering competitive price. 7.3 Opportunities 7.3.1 Opportunities of the Firms: Leather Processing ‘Cheap Supply of Labour’ is found to be the main aspect the opportunities the leather processing firms enjoy. The major aspects of opportunities of the leather processing firms as identified in the survey (as opined by the firms) are as follows: Table 7.7: Opportunities of the Leather Processing Industry Opportunities Percent of Total Firms Cheap Supply of Labour 82% Sufficient Supply of Hide and Skin 64% 66
  • 67.
    Stable Global Demand62% Favourable Business Environment 60% Conducive Industrial Policy 58% Opportunities: Leather Processing 0 20 40 60 80 100 Cheap Supplyof Labour Sufficient Supplyof Hides Stable Global Demand Favourable Environment Conducive Industrial Policy Major Aspects %ofTotalFirms Figure: 7.7 Opportunities of the Leather Processing Firms It is obvious that availability of cheap labour can provide considerable cost advantage to the firms of a particular area/location. Leather Processing firms located in Bangladesh have been availing the opportunity. Supply of raw materials, global demand of the footwear, and business environment are also found to be positive from the firms’ point of view. 7.3.2 Opportunities of the Firms: Leather Footwear ‘Stable glocal demand’ is found to be the main aspect of the opportunities the footwear firms currently have. The major aspects of opportunities of the footwear firms as identified in the survey (as opined by the firms) are as follows: Table 7.8: Opportunities of the Footwear Industry Opportunities Percent of Total Firms Stable Global Demand 60% Conducive Industrial Policy 58% 67
  • 68.
    Favourable Business Environment57% Cheap Supply of Labour 51% Duty Free Access in Major Markets 51% Opportunities: Footwear 45 50 55 60 65 Stable Global Demand Conducive Industrial Policy Favourable Environment Cheap Supply of Labour Access in Major Markets Major Aspects %ofTotalFirms Figure: 7.8 Opportunities of the Leather Footwear Manufacturers The footwear firms found the current stable global demand condition for the Bangladeshi footwear is a major aspect of opportunity on the way towards expanding export markets for footwear. The industrial policy and business environment are found to be positive for them and availability of cheap labour is an added advantage. 7.3.3 Opportunities of the Firms: Leather Goods The ‘Industrial Policy’ is found to be positive for the leather goods manufacturing firms. The major aspects of opportunities of the leather-goods firms as identified in the survey (as opined by the firms) are as follows: Table 7.9: Opportunities of the Leather Goods Industry Opportunities Percent of Total Firms Conducive Industrial Policy 66% Favourable Business Environment 60% Cheap Supply of Labour 58% Stable Global Demand 58% 68
  • 69.
    Duty Free Accessin Major Markets 51% Opportunities: Leather Goods 0 20 40 60 80 Conducive Industrial Policy Favourable Environment Cheap Supply of Labour Stable Global Demand Access in Major Markets Major Aspects %ofTotalFirms Figure: 7.9 Opportunities of the Leather Goods Manufacturers The industrial policy and business environment, and cheap supply of labour are found to be advantageous for the leather goods manufacturing industry, as opined by most firms of the industry. Current global demand condition appeared to be favourable for these firms. 7.4 Threats 7.4.1 Threats to the Firms: Leather Processing ‘Disruption of electricity’ is found to be the main aspect of threat to the leather processing firms of Bangladesh. The major aspects of threats of the leather processing firms as identified in the survey (as opined by the firms) are as follows: Table 7.10: Threats for the Leather Processing Industry Threats Percent of Total Firms Disruption of Electricity 74% Hartals, strike, and other disturbances 72% Unstable Policy Environment 68% External Competition 64% Lack of Trained Labour 62% 69
  • 70.
    Environment consciousness inImporting Countries 60% Shortage of Water Supply 58% Threats: Leather Processing 55 60 65 70 75 Disruption of Electricity Hartals, strike, and other disturbances Unstable Policy Environment External Competition Lack of Trained Labour Major Aspects %ofTotalFirms Figure: 7.10 Threats of the Leather Processing Firms Practically, ‘disruption of electricity’ and ‘hartal strike etc.’ are very common aspects of threats facing by the industry sector of the country in general. Inadequate infrastructural facilities like insufficient supply of electricity and shortage of water supply affect optimum capacity utilization, volume of production, and destroy cost advantage. Such problem is particularly threatening in an atmosphere of growing global competition. Moreover, environment consciousness in importing countries mainly in the developed world is the cause of concern for the exporting countries like Bangladesh where environmental issues are not strongly addressed both in firm and policy level. Moreover, Firms also do not get sufficient trained people. 7.4.2 Threats to the Firms: Leather Footwear As in leather processing sector, ‘disruption of electricity’ is found to be the main aspect of threat to the footwear firms of Bangladesh. The major aspects of threats of the footwear firms as identified in the survey (as opined by the firms) are as follows: 70
  • 71.
    Table 7.11: Threatsfor the Footwear Industry Threats Percent of Total Firms Disruption of Electricity 74% Hartals, strike, and other disturbances 68% External Competition 68% Environment consciousness in Importing Countries 60% Shortage of Water Supply 58% Threats: Footwear 0 10 20 30 40 50 60 70 80 Disruptionof Electricity Hartals,strike etc External Competition Environment consciousness Shortageof WaterSupply Major Aspects %ofTotalFirms Figure: 7.11 Threats of the Leather Footwear Manufacturers Inadequate infrastructure facilities like insufficient supply of electricity and shortage of water supply are among the major causes of concern for the footwear firms. Growing external competition and environment consciousness in the importing countries may affect the export market of the footwear firms in coming days. 7.4.3 Threats to the Firms: Leather Goods 71
  • 72.
    In line withthe leather processing and footwear sectors, ‘disruption of electricity’ is found to be the main aspect of threat to the leather goods manufacturing firms of Bangladesh. The major aspects of threats of the leather goods manufacturing firms as identified in the survey (as opined by the firms) are as follows: Table 7.12: Threats for the Footwear Industry Threats Percent of Total Firms Disruption of Electricity 74% Lack of Trained Labour 64% External Competition 62% Hartals, strike, and other disturbances 60% Environment consciousness in Importing Countries 58% Threats: Leather Goods 0 20 40 60 80 Disruptionof Electricity Lackof Trained Labour External Competition Hartals, strikeetc Environment consciousne ss Major Aspects %ofTotalFirms Figure: 7.12 Threats of the Leather Goods Manufacturers Other than inadequate supply of electricity, leather goods manufacturing firms face lack of trained labour force to be employed. Growing external competition and environment consciousness in the importing countries may affect the hundred percent export-oriented leather goods sector of the country in near future. Chapter-Eight Production Stages 8.1 Production Stages in Leather Processing Industry 72 Finished Crust Leather (Natural /dyed) Sorting Buffing & Dedusting Impregnation & Drying Hydraulic Pressing Rebuffing & Dedusting Color Coating (By pad/spray Roller coater) Drying Ironing/Embossing Color Coating (By Sprayer & drying) Plating/Glazing Finished Wet Blue Raw/wet salted Hides & Skins (Sorted & Trimmed) Raw/Salted Weighing Washing & Soaking (in drum/ paddle/pit) Liming (In drum/ /paddle/pit) Fleshing Pelt Weighing Deliming (in drum) Bating (in drum) Pickling (in drum) Tanning (in drum) Wet Blue Scudding Crust Wet blue Leather Splitting Shaving Shaved weighing Neutralization Retaining/ Dyeing Fat liquoring (in drum) Setting Drying (Vacuum/ Tunnel/Natural) Conditioning (By sawdust/ water) Staking Toggle Drying Trimming Crust Samming
  • 73.
  • 74.
    8.2 Production Stagesin Footwear and Leather Goods Industries Designing Pattern Making Designing of Footwear Footwear Leather Goods Designing Pattern Making of Leather Goods Cutting 1. Selection of Leather/Materials 2. Cutting 3. Splitting 4. Skiving Cutting 1. Selection of Leather/Materials 2. Cutting 3. Splitting 4. Skiving Closing 1. Embossing/ Printing 2. Adhesive 3. Folding 4. Strap cutting 5. Stitching Closing 1. Embossing/ Printing 2. Adhesive 3. Folding 4. Strap cutting 5. Stitching Finishing Total Finishing Work Finishing Total Finishing Work Footwear Leather Goods 74
  • 75.
    8.3 Description ofthe various Stages of Leather Processing: 8.3.1Wet-Blue Section: Name of operation Objectives Generic names of chemicals Chemicals Required Curing/ Preservation Dehydration Soaking Restore Moisture to original condition Soaking Preservatives / Enzymes Sodium sulfide, sodium hydroxide, sodium tetra sulfide Decaltal types, formic acid, bi sulfite solution, sodium bi sulfite. Liming and Unhairing Removing the hair and opening up of fibre structure for tannage Liming Auxiliaries Sodium sulfide, Sodium hydrosulfide. Hydrated lime powder (calcium hydroxide). Seldom slaked lime (lime paste). Sodium chlorite Washing after liming Cleaning for fleshing and start delime by thorough washing Fleshing Removing fat and surplus flesh to give a Cleaner surface for better penetration of the subsequent chemicals Deliming Replacing strong alkali, Reducing Swelling Deliming agents Hydrochloric acid, Sulfuric acid, Formic acid, acetic acid, Lactic acid, Boric acid, Ammonium chloride, Sodium meta by sulphate Bating Producing a smooth, clean grain by enzyme action, removing unwanted proteins Bating Agents Enzymes, wood flour as carrier substance, ammonium salts, neutral salts as buffering and deliming agents Pickling Prepaing pelt for chrome tanning by acidification Pickling Agents Formic Acid 75
  • 76.
    Name of operationObjectives Generic names of chemicals Chemicals Required Chrome Tanning Making Leather resistant to purification, Increasing Thermal Stability Tanning Agents Chrome Tanning Agents, (chromium(III) salt, ca. 25 % Cr2O3, ca. 33 % basicity), Aluminium tanning agent( ca. 16 % Al2O3, ca. 50 % basicity.) Combination of Al and Cr ( Ca. 14 % Al2O3, ca. 3.0 % Cr2O3; ca. 20 % basicity.) Other agents: Chromium (acelate, Sulphate, chloride) potassium dichromate etc. Sammying To remove the unbound water so that the hide can be split or shaved with an even or consistent moisture content Splitting To reduce thickness and separate splitting part Shaving The final adjustment for thickness Source: Leather Sector Census Study, LSBPC, 2005 & Pocket Handbook of Leather Technology, 2004, BASF 8.3.2 Crust Section: Name of operation Objectives Generic names of chemicals Chemicals Required Neutralization Preparing Tanned leather for retannage Neutralizing Agents Sodium Carbonate, Borax Sodium Bicarbonate, Ammonium Bicarbonate, Sodium (Sulphite, Thiosulphate, acetate, formate), Calcium Formate etc. Retanning Using suitable chemicals for the final product requirement Retanning Agents Phenol, Nepthalane, B- Napthole, Aromatic Ether Dyeing To impart requisite colour on leather Dyes Fat liquoring To soften the leather Fat Liquoring Agents Untreated oils, fats and waxes Emulsified oils and fats Chlorinated oils and fats Sulfonated oils, fats and fatty alcohols, Oxidation products of oils and fats 76
  • 77.
    Name of operationObjectives Generic names of chemicals Chemicals Required Setting Out Removing wrinkles as much as possible and mechanically held water before drying Drying Removal of water without damaging Leather quality Conditioning Controlled addition of moisture Staking/Vibration Soften by separating the fibres Toggle Drying Complete the drying under streching condition Trimming Removal of irregular edges, damaged portion 8.3.3 Finishing Section: Name of operation Objectives Sorting To examine Quality and select different grades for end products Buffing Up gradation of lower grade leather through shaping/ buffing of grain surface Finishing Producing the finished film a. Ground Coat Providing suitable base for better adhesion and makes the leather surface smooth, uniform and impermeable b. Season Coat Covering the major proportion of the film thickness and getting skewed between ground and top layer, Sealing from both sides by impermeable ground and top layer c. Top Coat Providing required degree of gloss, feel handle and final appearance of the finished leather Pressing Providing smooth or embossed/ printed surface with ironing/ plating Milling Mechanically softenning of the semifinised leather Final Gradation Examine quality and allocate each finished piece of grade Measuring Source: Leather Sector Census Study, LSBPC, 2005 & Pocket Handbook of Leather Technology, 2004, BASF 77
  • 78.
    Chapter-Nine LEATHER CHEMICALS &ACCESSORIES (Data Collected from Secondary Survey) 9.0 Chemicals and Accessories: Leather Sector A number of chemicals are used in the leather processing, footwear manufacturing and leather goods manufacturing units most of which are foreign chemicals. In terms of value, above 87 percent chemicals used by the leather sector firms are of foreign origin. Above 95percent (of the total value) of the chemicals used in the productions of crust and finished leather are foreign. Over 70percent (of the total value) of the chemicals used by the footwear manufacturing are foreign made. Data collected from the secondary sources show that leather goods manufacturing units depend mainly on local chemicals (Table *.2). Table 9.1: Yearly value of Chemicals used by the Leather Sector Firms (by sources) Production type Local Value in Tk.000 Foreign Value in Tk.000 Total, Value in Tk.000 Wet-Blue 20,685 63,938 84,623 Crust Leather 2322 116720 119042 Finished Leather 1679 44791 46469 Footwear 12660 42609 55269 Leather Goods 1636 18 1654 Total 38982 268076 307058 Source: Leather Sector Census Study, LSBPC, 2005 Table 9.2: Distribution of Chemicals used by the firms of the Leather Sector (%) Production type Local Value Foreign Value Total Value Wet-Blue 24.44 75.56 100 78
  • 79.
    Crust Leather 1.9598.05 100 Finished Leather 3.61 96.39 100 Footwear 29.70 70.30 100 Leather Goods 90.0 10.0 100 Total 19.20 80.80 100 Table 9.3: Yearly Value of Accessories used by the Footwear and Leather Goods Manufacturing Units (by sources) Types of Production Local Foreign Total Value in Tk.000 Value % of Total Value in Tk.000 Value% of Total Value in Tk.000 Value% of Total Footwear 73961 80.76 17616 19.24 91577 100 Leather Goods 237 27.40 628 72.60 865 100 Total 74198 80.30 18244 19.70 92442 100 Source: Leather Sector Census Study, LSBPC, 2005 Most accessories used by the footwear and leather goods manufacturing enterprises are locally made. As a whole, about 20 percent of the accessories used in the production of footwear and leather goods are foreign made. About 81 percent (of the total value) accessories used by the footwear-manufacturing units are local accessories. 9.1 Chemicals: Leather Processing 9.1.1 Leather Processing: Wet-Blue Secondary data show that over 75 percent (of total value) of the chemicals used for the production of wet-blue by the tanneries are foreign-made. There are chemicals that are supplied by both local and foreign sources like sodium chloride, sodium carbonate, ammonium sulphate, sulphuric Acid, Bating Agent etc. However, some chemicals like enzymatic soaking agent, sodium formate, masking agent etc. are exclusively supplied from external sources (Table 9.4). In 2003, major suppliers of the chemicals were Germany, China, Italy and UK . Table 9.4: Yearly Value of Chemicals used for the Production of Wet-Blue Name of Chemicals Local Foreign Total Quantity (MT) (Value in Tk.000) Quantity (MT) (Value in Tk.000) Quantity (MT) (Value in Tk.000) 79
  • 80.
    Sodium chloride 1630.8413,642 4 86 1634.84 13,728 Soaking Agent 72.835 2,770 17.8 1,021 90.135 3,791 Enzymatic Soaking Agent - - 15.54 2,359 15.54 2,359 Sodium Sulphide - - 228.65 4,880 228.65 4,880 Lime Auxiliaries 16.8 690 72.015 6,509 87.715 7,199 Bactericide - - 13.825 482 13.825 482 Ammonium Chloride 1 - 46.745 1,149 47.745 1,149 Sodium Carbonate 0.55 161 44.17 984 44.72 1,145 Oxalic Acid - - 14.18 658 14.18 658 Sodium Formate - - 48.23 1,387 48.23 1,387 Magnesium Oxide - - 27.915 3,926 27.915 3,926 Ammonium Sulphate/Dolomite 138 1,518 18.86 534 156.86 2,053 Bating Agent 13.13 181 53.59 3,343 62.02 3,524 Sulphuric Acid 74.46 1,342 8.41 301 82.87 1,643 Formic Acid 5.77 168 73.55 4,123 78.55 4,291 Basic Chrome powder 2.1 89 512.92 24,572 513.02 24,661 Sodium Bicarbonate 0.65 11 54.12 1,789 54.77 1,799 Masking Agent - - 6.96 1,129 6.96 1,129 Preservative 0.125 113 6.96 4,706 6.79 4,819 Total 1956.26 20,685 1274.47 63,938 3202.38 84,623 Source: Leather Sector Census Study, LSBPC, 2005 9.1.2 Leather Processing: Crust Leather As the survey data show over 98 percent of the chemicals used for the production of crust leather (from wet-blue) are foreign made. Other than a few chemicals like basic chroming sulphat, phenolic syntan etc. generally chemicals have both local and foreign suppliers. However, very insignificant volumes of local chemicals are used as compared to the foreign chemicals. Foreign chemicals used are mainly made in Germany, UK, Holland, and Italy . 80
  • 81.
    Table 9.5: YearlyValue of Chemicals used for the Production of Crust Leather Name of Chemicals Local Foreign Total Quantity (MT) (Value in Tk.000) Quantity (MT) (Value in Tk.000) Quantity (MT) (Value in Tk.000) Basic Chroming Sulphate - 0 79.46 3564 79.46 3564 Sodium Formate 0.75 21 47 1233 47.75 1254 Na-EDTA 1 94 2.36 217 3.36 311 Acrylic syntan 2 176 83.28 9022 85.28 9198 Phenolic syntan - 0 57.50 7891 57.50 7890 Melamine /Urea syntan 2 212 72.16 8601 74.16 8813 Replacement syntan 1.8 225 82.97 9222 84.77 9447 Vegetable extracts 2.5 188 130.89 8742 133.39 8930 Dyestuffs 1.4 770 54.22 31506 55.52 32275 Fat Liquors 3.5 473 196 26408 199.5 26880 Formic Acid/Acetic acid 1 51 58.54 31667 59.54 3217 Dye Auxiliaries - 0 12.69 2559 12.69 2559 Preservative 0.13 113 5.1 3633 5.23 3745 Aldhyde Tannin - 0 3.68 956 3.68 956 Total 16.07 2322 885.86 116720 901.84 119041 Source: Leather Sector Census Study, LSBPC, 2005 9.1.3 Leather Processing: Finished Leather Over 95 percent (of the total value) of the chemicals used in the production of finished leather (from crust) are foreign-made. Except for a few, almost all chemicals have domestic suppliers, however, uses of local-made chemicals are very limited. Most of the chemicals used to produce finished leather are made mainly in Germany, Italy, UK, and Holland. Table 9.6: Yearly Value of Chemicals used for the Production of Finished Leather Name of Chemicals Local Foreign Total Quantity (MT) (Value in Tk.000) Quantity (MT) (Value in Tk.000) Quantity (MT) (Value in Tk.000) 81
  • 82.
    Acrylic binder 0.7537 10.33 3296 11.08 3334 Butadyne binder 0.8 40 1.75 495 2.55 535 Protein Binder 0.8 50 14.83 3867 15.63 3917 Wax emulsion 0.3 81 7.97 3081 8.27 3162 Penetretor 0.17 15 14.34 3958 14.51 3973 Nitrocellulose binder 4.16 1172 13.29 4712 17.45 5884 Poly Eurathane binder 0.75 52 14.70 4778 15.46 4830 Dye liquid 0.1 100 8.67 7312 8.77 7412 Filler 0.35 20 4.13 1222 4.49 1242 Pigments 1.4 60 12.54 3083 13.94 3143 Acetic Acid 0.05 2 2.47 170 2.52 172 Matting Agent 0.13 17 3.69 1498 3.81 1515 Film Modifier 0.05 20 4.08 3906 4.14 3926 Pull-up Wax - 0 2.44 949 2.44 949 Pullup oils - 0 4.02 1450 4.02 1450 Cross linkers 0.02 10 0.355 900 .37 910 Solvent - 0 0.35 105 .35 105 Formal dehyde - 0 0.05 3 .05 3 Total 9.83 1678 120 44790 129.83 46468 Source: Leather Sector Census Study, LSBPC, 2005 9.2 Chemicals and Accessories: Footwear Table 9.6: Annual Chemical used for the production of Footwear 82
  • 83.
    Both domestic andforeign made chemicals are used in the production of footwear. Adhesive constitute the main head of chemical. Some chemicals like batal acid, belco, lacker, pasting, sufar are exclusively supplied by the local sources, and some chemicals used like aqua solar, aciton, thinner, tolbon etc. are of foreign origin. About 70 percent of the total chemicals used (of the total value) are foreign made. Most of the foreign chemicals are made in UK, India, Taiwan, Malaysia and Germany. Local Foreign Total Name of Chemicals Quantity in Kg Value in Tk Quantity in Kg Value in Tk Quantity in Kg Value in Tk Aqua Solar 0 0 2.5 6250 2.5 6250 Aciton 0 0 130 26000 130 26000 Batal Acid 10 1500 0 0 10 1500 Belco 37 9300 0 37 9300 EMK 10 100 85 25500 95 25600 Gail Goods 0 0 3 6300 3 6300 Glace 0 0 1009 402520 1009 402520 Hardner 0 0 790 723000 790 723000 Lacker 20 3000 0 0 20 3000 Ligar 0 0 9 1440 9 1440 Liquid Spray 0 0 25 11750 25 11750 Latex 0 0 2600 260000 2600 260000 MEK 0 0 630 78900 630 78900 Oxalic 0 0 600 27000 600 27000 Polishing Cream 22 6600 60 17400 82 24000 Powder Dice 0 0 500 18000 500 18000 Pasting 19505 1462500 0 0 19505 1462500 Primer 0 0 1760 607000 1760 607000 Pigment 10 2000 0 0 10 2000 Spray 0 0 48 17700 48 17700 Solution 19500 1365000 5000 400000 24500 1765000 Shining 0 0 1800 2160000 1800 2160000 Split 0 0 40 1200 40 1200 Solvent Laker 20 2100 15 3000 35 5100 Season 15 1500 0 0 15 1500 Sufar 25 1500 0 0 25 1500 Thinner 0 0 3570 286700 3570 286700 Tolbin 0 0 1550 131250 1550 131250 Adhesive 0 0 7200 1008000 7200 1008000 Ecosolar 0 0 4.5 6850 4.5 6850 Cleansing Agent 0 0 20 700 20 700 Zinc acid 25 2500 0 0 25 2500 Staric Acid 25 1500 0 0 25 1500 Antioxident 25 1250 0 0 25 1250 MBT 25 1205 0 0 25 1205 TBT 25 1250 0 0 25 1250 Total 39299 2862805 27451 6226460 66750 9089265 83
  • 84.
    A number ofaccessories like bukless, belt, button, catel, deco, eyelet etc. are used by the footwear manufacturing firms to produce footwear. About 80 percent (of the total value) of the accessories used by the footwear-manufacturing units are locally made. A few accessories like deco, catel tap, and eyelet used by the footwear firms are exclusively foreign made. Most of the foreign accessories are made in Korea, Hong Kong, India, Taiwan and Italy. Table 9.8: Yearly Value of Accessories used for the Production of Footwear (Value in Tk.000) Name of accessories Local Foreign Total Buckles 248 7087 7335 Belt 1313 1248 2561 Button 7903 475 8378 Catel 11 201 212 Catel tap 0 1799 1799 Daco 0 1640 1640 Eyelet 0 128 128 Others 70356 386 70742 Total 79831 12964 92795 Source: Leather Sector Census Study, LSBPC, 2005 Packaging and labeling materials like paper board box, tracing paper, poly bag, carton etc. are collected from local and as well as foreign sources. About 50 percent of the packaging and labeling materials used by the footwear firms are of foreign origin. China, Italy, and Korea were the main suppliers of the packaging and labeling materials for footwear industry in 2003. 9.3 Chemicals and Accessories: Leather Goods About 90 percent of the chemicals (of the total value) used by the leather goods manufacturing units are locally made (Table 9.9). Accessories used by the leather goods manufacturing units include bukless, belt etc. Over 70 percent of the expenses on accessories of the leather goods manufacturing units are on foreign made accessories. Hong-Kong was the main supplier of the foreign made accessories for the leather goods firms in 2003. Packaging and labeling materials used by the leather goods manufacturing units are locally made. Table 9.9: Yearly Value of Chemicals used in the Leather Goods Manufacturing Units Chemicals Local Foreign Total 84
  • 85.
    Adhesive 1630 181648 Lacker 2 0 2 TBT 4 0 4 Total 1636 18 1654 Table 9.10: Yearly Value of Accessories used in the Leather Goods Manufacturing Units (value in Tk.000) Accessories Local Foreign Total Bukless 63.5 600 663.5 Belt 151.5 24 175.5 Button 15 0 15 Others 7 4 11 Total 237 628 865 Source: Leather Sector Census Study, LSBPC, 2005 Chapter-Ten Major Players of the Leather Chemical Industry (Data Collected from Primary Survey) 10.1 Market Share of Major Beam House Chemical Suppliers (Wet Blue) 1. Soaking Agent: 550-600MT /Year Price: 100-120Tk Per Kg. #SL.#SL. SupplierSupplier MarketMarket ShareShare 1. ACI, Bangladesh 50% 2. BASF, Germany 30% 3. Others 20% Source: Primary survey 85
  • 86.
    Product Name: Lissapol, ACI; Lisapen-PA-WB,BASF 2. Soaking Enzyme: 300MT /Year Price: 150-190Tk Per Kg. #SL.#SL. SupplierSupplier MarketMarket ShareShare 1. TFL, Germany 25% 2. BASF, Germany 20% 3. Buckman, Singapore 15% 4. TH Bohme 15% 5. Schill & Seilacher, Germany 5% 6. Scitan, Italy 5% 7. Others 15% Source: Primary survey Product Name: (Pellvit C, Pellvit DPH), TFL; (Basozym-S20), BASF; (Busan-40L), Buckman; (Vinkol A), Schill & Seilacher; 3. Liming Auxiliaries: 750-900MT /Year Price: 65-120Tk Per Kg. #SL.#SL. SupplierSupplier MarketMarket ShareShare 1. TFL, Germany 25% 2. BASF, Germany 20% 3. Buckman, Singapore 10% 4. Seicie, Italy 10% 5. Schill & Seilacher, Germany 5% 6. Others 30% Source: Primary survey Product Name: (Erhavit-MB), TFL; (Mollescal AGN, Mollescal LS), BASF; (Buspers 77432), Buckman; (Saical-FC), Seicie; 86
  • 87.
    4. Deliming Agents:1000MT /Year Price: 8-15Tk Per Kg. Chemicals: Sodium Meta Bi-Sulphate, Ammonium Sulphate, Ammonium Chloride #SL.#SL. SupplierSupplier MarketMarket ShareShare 1. Local 75% 2. China, Thiland 25% Product Name: (Delimer-AR), Neochemica; 5. Bating Agents: 500-600MT /Year Price: 60-100Tk Per Kg. #SL.#SL. SupplierSupplier MarketMarket ShareShare 1. Clariant, UK 35% 2. TFL, Germany 20% 3. Buckman, Singapore 15% 4. BASF, Germany 10% 6. Rock Chem 5% 7. Others 15% Source: Primary survey Product Name: (Oropon-G, Oropon-ANZ, Vulal-K), TFL; (Basozym-C10), BASF; (Bate-PBW1), Buckman; ( Z.H Bate) ZH chemical; 6. Pickling Agents: 1500-1700MT /Year Chemicals: Sulphuric Acid Price: 15Tk. Per kg. Formic Acid Price: Salt (NaCl) Price: 10Tk Per Kg. 87
  • 88.
    #SL.#SL. SupplierSupplier MarketMarket ShareShare 1.Local 55% 2. Clariant, U.K 10% 3. BASF, Germany 10% 4. Kemira 5% 5. Others 20% Source: Primary survey 7. Tanning Agents: 6000-8000MT /Year Price: 50-150Tk Per Kg. #SL.#SL. SupplierSupplier MarketMarket ShareShare 1. BASF, Germany 30% 2. Bayer, Germany 30% 3. American Chemical Co. 15% 4. Sulchome, Italy 10% 5. Others 15% Source: Primary survey Product Name: (Chromosol-B), Bayer; (Chromitan-B), BASF; (Chromix-B33), American Chemical Co.; 8. Preservatives: 100-120MT /Year Price: 750-850Tk Per Kg. #SL.#SL. SupplierSupplier MarketMarket ShareShare 1. Buckman, Singapore 40% 2. Bayer, Germany 30% 3. Chemicolor/ Yorkeshire 10% 4. ATC, France 5% 5. Others 15% Product Name: (Prevental-Z), Bayer; (Busan-30L), Buckman; 88
  • 89.
    (Tolcide-2230), Chemicolor/Yorkeshire; 9. BasifyingAgents: 500-700MT /Year Price: 110-120Tk Per Kg. #SL.#SL. SupplierSupplier MarketMarket ShareShare 1. BASF, Germany 30% 2. TFL, Germany 10% 3. Clariant, U.K 10% 4. Clowan 10% 5. Others 50% Source: Primary survey Product Name: (Neosym-MGO), Clowan; (Chromitan-B), BASF; (Chromino-FB), TFL; (Tanbase), Clariant; 10.1.1 Total Quantity wise Market Share (Wet Blue) Sl. No. Name of the Suppliers Approximate Market Share (%) 1 BASF, Germany 25% 2 Clariant, UK 22% 3 Bayer, Germany 20% 4 American Chemical Co. 8% 5 TFL, Germany 5% 6 Buckman, Singapore 5% 7 Others 15% 89
  • 90.
    Market Share ofChemical Suppliers (Wet Blue) Buckman 5% TFL, 5% American Chemical Co. 8% Bayer 20% Clariant 22% BASF 25% Others 15% BASF, Germany Clariant, UK Bayer, Germany American Chemical Co. TFL, Germany Buckman, Singapore Others Figure 10.1: 10.2 Market Share of Chemical Suppliers (Wet Blue To Crust) 1. Neutralizing Agents: 500MT /Year Price: 90-160Tk Per Kg. #SL.#SL. SupplierSupplier MarketMarket ShareShare 1. BASF, Germany 25% 2. TFL, Germany 25% 3. Clariant, UK 20% 4. Buckman, Singapore 10% 5. Others 20% Product Name: (Butan 7810), Buckman; (Tamol GA, NNOL), BASF; (Sellasol NG), TFL; (BS3), Smith & Zones; (Probal-PRA), Clariant; (PAKS), Bayer; 90
  • 91.
    2. Retanning Agents:3000-4000MT /Year Price: 115-180Tk Per Kg. #SL.#SL. SupplierSupplier MarketMarket ShareShare 1. BASF, Germany 50% 2. Bayer, Germany 30% 3. Others 20% Product Name: (Basyntan-AM, Basyntan- DLE, Syntan-DLE, Relugan), BASF; (Tanizon-OS, Ratingan- R7), Bayer; 3. Dyes: 1000MT /Year Price: 300-1200Tk Per Kg. #SL.#SL. SupplierSupplier MarketMarket ShareShare 1. Clariant, UK 40% 2. BASF, Germany - 3. Guama - 4. Stahl, Holland - 5. Others 30% Product Name: (Beige-L), BASF; (Black-PNT), Guama/Chika; (Brown-574), Croda; 4. Dyeings Auxiliaries: 250-350MT /Year Price: 70-350Tk Per Kg. #SL.#SL. SupplierSupplier MarketMarket ShareShare 1. Clariant, UK 20% 2. BASF, Germany 20% 3. TFL, Germany 10% 4. Hodgeson 10% 5. Others 40% Source: Primary survey 91
  • 92.
    Product Name: (Tamol AW),BASF; (Neosyn-N), Clarient; (Compound DLS), Hodgeson; 5. Fatliquors: 1800-2000MT /Year Price: 70-350Tk Per Kg. #SL.#SL. SupplierSupplier MarketMarket ShareShare 1. Smith & Zones 30% 2. TFL, Germany 20% 3. BASF, Germany 10% 4. Clariant, UK 10% 5. Zshimmer & Schwarz 5% 6. Others 25% Source: Primary survey Product Name: (Lypoderm), BASF; (Chromopol, Choripol), TFL; (Derminol, Dermalix), Clariant; (Eureka-172), Atlas; (SLP), Yorkeshire; (Coralon), Stahl; 10.2.1 Total Quantity wise Market Share (Crust) Sl. No. Name of the Suppliers Approximate Market Share (%) 1 BASF, Germany 33% 2 Clariant, UK 20% 3 Bayer, Germany 17% 4 TFL, Germany 10% 5 Others 17% Source: Primary survey 92
  • 93.
    Market Share ofChemical Suppliers (Crust) BASF 33% Clariant 20% Bayer 17% TFL 10% Others 20% BASF Clariant Bayer TFL Others Figure10.2 10.3 Market Share of Chemical Suppliers (Crust To Finished Leather) Name of the products: Coating Agents (Top Coats, Base Coats); Binders; Cross linkers; Colloidal Fillers, Wax Fillers, Penetrator, Acrylic Resins; Pigments; Dyes; Thinners etc; Quantity: Total: 550-600 MT/Year, Note That: Although the result obtained from the secondary data shows the annual requirements of leather-finishing chemicals is 1550MT but from the primary survey it has 93
  • 94.
    been confirmed thatannual finishing chemical consumption is 550-600MT. Sl. No. Name of the Suppliers Approximate Market Share (%) in Finishing 1 ALPA, Italy 25% 2 BASF, Germany 20% 3 Stahl, Holland 18% 4 Clariant, UK 10% 5 TFL, Germany 5% 6 Finice(Italy) 5% 7 Horiyana Chemicals 5% 8 Buckman, Singapore 2% 9 Others(Indian & Italian) 10% Market Share of Finishing Chemical Suppliers BASF 20% ALPA 25% Others 10% Buckman 2% Horiyana Chemicals 5% Finice 5% TFL 5% Clariant 10% Stahl 18% ALPA BASF Stahl Clariant TFL Finice Horiyana Chemicals Buckman Others Figure 10.3 Chapter Eleven Findings and Recommendations As the whole tannery industry of Bangladesh is getting squeezed day-by-day, the negative impact of it is obviously affected the leather chemical market of Bangladesh. 94
  • 95.
    Since on thissmall industry more than fifty chemical merchants and organizations are operating, price; marketing policy; relationship marketing; technical support by the chemical suppliers; are scrupulously observed by the tanneries of Bangladesh. Ten years back BASF and some other big chemical suppliers led the leather chemical market single handedly and played monopoly game with their consumers. At that time they took high price from the buyers. But now there are numerous competitors available on the market. Now, buyers can choose their own sellers since they have their alternatives. In the description bellow I tried to find out some basic marketing factors of leather chemical industry. 1. Technical Support: The leather chemical marketing and selling requires reliable technical services. Suppliers can sell their product only then, when they can make it sure to the buyers that the chemical is really useful for fulfilling buyer’s special purpose. So, if you don’t have good and skilled technical sales person you are no way near in the competition. 2. Price: Price has always been a huge factor in leather chemical industry. Big suppliers are getting away from the good notice of their clients because of their high price comparing to their Chinese and Indian counter products. Freight cost, taxes, currency exchange rate have always played a big factor for the ultimate price of the chemical. Most of the Chinese and Indian products are proved to be less costly than most of the well-known German, Dutch and English chemicals. 3. Relationship Marketing: Since the whole leather chemical market is very narrow, each and every one knows one another very well. But then again one has to maintain a very good relationship with the buyers. Most of the buyers want to purchase their chemicals on credit basis. So, you have no option but to sell your product on credit. Since, chemical selling requires post purchase technical support, one has to make it sure their chemical is doing better than competitors one in each and every aspect. Discount can be offered for buying bulk amount. 95
  • 96.
    Most of thebuyers are facing difficulties in getting loan from the bank to purchase their raw materials. A supplier can also make a link with the banks to give loan to the tanneries for buying chemicals form them. 4. Lead Time: Some times buyers have to buy a bulk amount of chemicals for their production. In most of the cases suppliers are not able to supply beyond a certain amount of chemicals, then they require importing chemicals from the manufacturing agents. Lead-time plays a big role in that particular case. If a supplier cannot maintain its declared time of supply, obviously the buyers will be dissatisfied. 5. Quality: No matter in which way you have sold your chemical to the buyers you have to make it sure that you are selling a quality product. You have to remember that it is not the one time selling policy you want to follow. Only, the good quality product can ensure long term selling policy. 11.1 Problems of ACI Trading and Stahl in Leather Chemical Marketing11.1 Problems of ACI Trading and Stahl in Leather Chemical Marketing 1. Price: Most of the Stahl products are costlier than their competitor’s counter products. Although Stahl has very good brand image in Finishing chemical section but high price is one of the factor for which Stahl is loosing market towards the Indian and Chinese products. Even in some cases their chemicals are costlier than BASF, ALPA and TFL’s chemicals. Actually, Stahl has to wait for their shipment from Holland. Fluctuations of Euro play an important part to fluctuate the price of the chemicals. ALPA (The market leader in finishing Leather chemical section) arranges shipment from two sources, one is India and another one is Italy. ALPA gives emphasize to the customers choice from where 96
  • 97.
    they want toget the shipment. In case of shipment from India, ALPA offers lower price in US Dollar. The other benefit, they can avoid the risk of frequent Euro fluctuation. Not only ALPA but also other competitors are practicing this strategy as well (BASF India, TFL Sri Lanka, BUCK MAN Singapore, etc). 2. Organizational Hierarchy of ACI Trading Ltd and insufficient technical person in the leather chemical division: ACI Trading Limited is one the subsidiaries of Advanced Chemical Industries (ACI), Bangladesh Limited. The Company is mainly involved in marketing and sales of various Industrial Chemicals, Petrochemicals, Plastics, Pharmaceuticals, Leather and Shoe finish, Textile Dyes and Auxiliaries through Indent sales. It has four business divisions such as Chemicals, Textile, Leather and Water Pumps. To render technical service ACI Trading has two separate technical application laboratories for textile and leather businesses. In the Leather chemical division there are only two persons working, a) Senior Technical Sales Officer, b) Technical Sales officer. There was a manager in this division, but after his death this position is vacant now. The hierarchy of Leather Chemical Division: Executive Director ACI Trading Limited Manager, Leather (Vacant) Senior Technical Sales officer Technical Sales officer 97
  • 98.
    With the vacationof the mangers post, both the sales officers have to report directly to the Executive Director. Insufficient personnel in the leather chemical division and vertical hierarchy seem to be a noticeable problem for ACI Trading Ltd. ALPA, the market leader in leather finishing, has eight technologists working for Bangladesh market (Three Bangladeshi Technical persons, two Indian technologists, three Technologists from ALPA, Italy). In comparison to that Stahl has only two technical sales officers of Bangladesh and one Pakistani technologist. Training of these technical personnel is very necessary. ALPA, Italy arranged regular training for agent technologist and train up on latest development that helps to promote Chemicals to tanneries. Stahl and ACI should arrange training on regular basis. Job placement is another key strategy taken by the market leader ALPA. They appointed technicians from India and occupied most of the finishing units in Bangladesh. These technologists are working as shadow technologists of ALPA and at the same time Tannery management also pleased for that and finally ALPA gets good business. 98
  • 99.
    Appendix A-1 Members’ Listof Bangladesh Finished Leather, Leather goods and Footwear Exporters’ Association (BFLLFEA) Category: Tannery SL Name of the Firm Address Phone Contact Person and Designation M/S Al Madina TanneryM/S Al Madina Tannery 55/2, Hazaribagh, Dhaka 8611579 019343789 Alhaj Nur Mohammed Managing Director M/S Amin Tannery Ltd. 60/1, Hazaribagh, Dhaka 8610475 0171561660 Mr. Abdul Kader Managing Director M/S Anowar Tannery (Pvt) Limited 104, Hazaribagh, Dhaka 9664078 506168 Mr. Md. Dil Jahan Bhuiyan Managing Director M/S Apex Tannery Ltd. Off: 65-66 Motijheel C / A (2nd Floor) Fact: 127 Hazaribagh, Dhaka 9551203 9560766 9551117 8625635-7 Mr. A.K.M Rahmatullah, Managing Director M/S Awal LeatherM/S Awal Leather ComplexComplex 69, Hazaribagh, Dhaka 8626728 8118981 Mr. M. A. Awal Managing Director M/S Abul Khair Tannery 121/5, Sher-e-Bangla Road, Hazaribagh, Dhaka-1209 8621787 0172126126 Hazi Md. Abul Khair Proprietor M/S Ayub Brothers Tannery Ltd. 143/1 Hazaribagh Dhaka 866518 Mr. Shahjahan Managing Director M/S Azmir Leather 116/E, Hazaribagh, Dhaka-1209 8626925 Mr. Md. Shahid Ullah Proprietor M/S Aziz Tannery Ltd. 148/2, Hazaribagh, Dhaka-1209 Mr. Md. Asifur Rahman Managing Director M/S Bangladesh Fine Leathers Processing Ltd. Alta Plaza (3rd Flor) House # 1 Road # 10, Dhanmondi, Dhaka 8124806 8626485 Mr. Anam Haque Managing Director M/S Bata Shoe Company Bangladesh Limited Tongi, Gazipur, (Dhaka) 9800501-5 9800513 Mr. G Stricker Managing Director M/S Bay Tanneries Ltd. 21, Hazaribagh, Dhaka 8611445 8611468 011855496 Mr. Shamsur Rahman Managing Director M/S Bengal LeatherM/S Bengal Leather ComplexComplex 147, Hazaribagh, Dhaka-1209 8614077 8615977 0171538060 Mr. Md. Tipu Sultan Managing Director M/S Bengal Peli Export Company Hazaribagh Dhaka 9122452 500197 Mr. Md. Anwar Hossain Proprietor M/S Bikrampur Tannery Ltd. 180/2 Hazaribagh, Dhaka 9110690 Mr. S.M. Habibur Rahman 99
  • 100.
    Managing Director M/S CresentTannery Ltd. 143 Hazaribagh, Dhaka 9663659 Mr. Md. Abdul Kader Chairman M/S Dhaka Hides & Skins Ltd. 147, Hazaribagh, Dhaka 8611268 9669849 Mr. M. A. Rashid Bhuiyan Managing Director M/S Dhaka Tanneries Ltd. 124, Hazaribagh, Dhaka 8615179 8613563 Mr. Md. NUrul Huda Managing Director M/S Diamond Tannery Ltd. 73, Hazaribagh, Dhaka 0189216979 Mr. Abdul Hakim Managing Director M/S F. K. Leather Complex Ltd. 95/3A, Hazaribagh, Dhaka 502411 506921 Mr. Kutub Uddin Chairman M/S Green ArrowM/S Green Arrow TanneryTannery 135, Hazaribagh, Dhaka 503650 8614182 Mr. Tofail Ahmed Managing Director M/S Great Eastern Tannery (PVT) Ltd 42, New Paltan Lane, Azimpur, Dhaka-1205 8626887 9666128 Alhaj Mohd Idrish Managing Director M/S H & H Leather Industries Ltd. House # 69, Road # 8/A Dhanmondi R/A, Dhaka 9113776 9111209 8111526 Mr. M. Nasir Managing Director M/S H. B. Tannery Ltd. House # 69, Road # 8/A Dhanmondi R/A, Dhaka 8111526 9111209 Mr. M. Fayaz Director M/S H. R. C. Leather Complex 1. TC Bhaban, Kawran bazar Dhaka 9128991-2 Mr. Sayeed Hossain Chowdhury, Chairman M/S Haroon Leather Ltd. 18, Kamal Ataturk Avenue (16th Fl) Banani, C/A, Dhaka 8824979 8821024 Mr. Rizwan Haroon Managing Director M/S Helal TanneryM/S Helal Tannery 74, Hazaribagh, Dhaka 8616305 Mr. Md. Belal Hossain Proprietor M/S Helena EnterpriseM/S Helena Enterprise Ltd. No.2Ltd. No.2 78, Hazaribagh, Dhaka-1209 59/60, Gazmohol, Hazaribagh, Dhaka-1209 (?) 8631097 9660754 0171591647 Mr. Mohammad Mizan M/S Ibrahim LeathersM/S Ibrahim Leathers 123/1 Hazaribagh, Dhaka 8625162 Mr. Md. Ibrahim Proprietor M/S International Tannery Hazaribagh, Dhaka 504401 508863 Mr. Md. Fajlu Mia Proprietor M/S Jamila Tannery Ltd. 112, Hazaribagh, Dhaka 508466 9112832 Mr. Shaiqur Rahman Managing Director M/S Janata Tanning Industries Ltd. 180, Hazaribagh, Dhaka 8618556 8626727 Mr. Abul Kashem Managing Director M/S Javed TanneryM/S Javed Tannery 119, Sher-e-Bangla Road Dhaka 8117674 Mr. Tipu Sultan Proprietor M/S Kader LeatherM/S Kader Leather ComplexComplex 54/F Moneshwar, Hazaribagh, Dhaka 8116424 Mr. Abdul Kader Proprietor M/S Kalam Brothers Tannery Ltd. 109/2 Hazaribag, Dhaka 8626727 8618556 0171561646 Mr. Md. Abul Kalam Azad Managing Director M/S Karim Leathers Ltd. 180, Hazaribagh, Dhaka 8616584 Alhaj Rejaul Karim Ansar 100
  • 101.
    8611286 8611129 Managing Director M/S KidLeather Ind. Ltd. Off: 62/1, Purana Paltan, Dhaka Fact: 19 Sher-e-Bangla Road, Hazaribagh, Dhaka 8612286 9563453 Mr. Md. S.A.M.M. Nuruddin Managing Director M/S Leather Ind. of Bangladesh Ltd. 54/1 Sher-e-Bangla Road, Hazaribagh, Dhaka 8610516 8614242 Mr. Abdul Rahman Sales Managing Director M/S Lexco LimitedM/S Lexco Limited 146, Hazaribagh, Dhaka 9669397 8626082 8625147 Mr. M. A. Matten Chairman Mr. Harun Or-Rashid Managing Director M/S Madina TanneryM/S Madina Tannery 114, Kobi Nazrul Islam Road Sadharghat, Chittagong 031-613916 031-617605 Mr. Abu Mohammad Managing Director M/S Manzur Industries Ltd. Dhaka Chamber Building 65-66, Motijheel C/A Dhaka 9551117 9566182-3 Mr. Quazi Anwarul Hoq (Tariq) Director M/S Millat TanneryM/S Millat Tannery 116/6, Hazaribagh, Dhaka 504865 8611264 Mr. Md. Nurul Alam Proprietor M/S Mitali TanneryM/S Mitali Tannery 71/4 Gojmohol, Hazaribagh, Dhaka 8612917 9665916 Mr. Mr. Hazi Abul Kashem Proprietor M/S Mukti TanneryM/S Mukti Tannery 141/2 Hazaribagh, Dhaka 8616586 Mr. Osman Gani Bhuiyan Managing Director M/S Mukta TanneryM/S Mukta Tannery 34/C, Hazaribagh, Dhaka-1209 9660674 Mr. Sayed Md. Shidullah Proprietor M/S ParamountM/S Paramount TanneriesTanneries 181/2 Sher-e-Bangla Road, Hazaribagh, Dhaka 8626056 0189220471 Mr. Akbar Hossain Managing Director M/S Pioneer Tannery Ltd. 21, Hazaribagh, Dhaka 8623428 Mr. Ziaur Rahman Managing Director M/S Pragati LeatherM/S Pragati Leather ComplexComplex 55/1 Hazaribagh, Dhaka 9663121 8626485 0171524804 Mr. Md. Asadullah Managing Director M/S R. M. M International Ltd. Suit # 601, Concord Tower 113 Kazi Nazrul Islam Avenue, Dhaka Mr. Mohiuddin Ahmed Mahin Managing Director M/S R/ K. LeatherM/S R/ K. Leather ComplexComplex 153/A, Hazaribagh, Dhaka 011 867105 Mr. Md. Nurul Amin Chowdhury Managing Director M/S Rana Leather Ind. Ltd. 70, Dilkusha C/A, Dhaka 9, Hazaribagh Dhaka 9566025-6 9564509 508909 Mr. A. K. Shamsul Alamin Managing Director M/S Reliance Tannery Ltd. 48/2/K, Moneshwar Road, Hazaribagh, Dhaka 8625119 8627425 0171898832 Mr. Md. Shajahan Managing Director M/S Riff Leather Ltd. 4, CDA Noxious Industrial Area Kalurghat, Chittagong 031-670764 031-671220 Alhaj Abul Kalam Director 101
  • 102.
    M/S Roushan Tanneries78, Hazaribagh Dhaka 504696 801624 Mr. Amin Uddin Babul Managing Director M/S Ruma Leather Ind. Ltd. 131, Hazaribagh, Dhaka 9664317 8627144 Eng. M. Abu Taher Managing Director M/S S & S Tannery 86/1, Hazaribagh Dhaka 9662523 Mr. Md. Abdur Rahim Proprietor M/S SAF Industries Ltd. Akij Chember 73, Dilkusha, C/A, Dhaka 9552287 9666142 9666151 Mr. S. K. Momin Uddin Managing Director M/S Samata Leather Complex Ltd. 120, Sher-e-Bangla Road, Hazaribagh, Dhaka 8611102 8611372 9662731 Mr. Mansur Ahmed Chairman M/S Samina Tannery Pvt. Ltd. 36/1 Kalunagar, Hazaribagh, Dhaka 9660384 8625266 011850698 Abdus Samad Managing Director M/S Shadhin TanneryM/S Shadhin Tannery Hazaribagh, Dhaka 8616963 Mr. Faruque Ahmed Managing Director M/S Shafiq Leather Corporation Ltd. 43/1, Sher-e-Bangla Road, Hazaribagh, Dhaka 8616111 9669385 Mr. Sidul Islam Chowdhury Managing Director M/S Shahjalal LeatherM/S Shahjalal Leather ComplexComplex 20, Hazaribagh, Dhaka 8619457 502709 Mr. Shahjalal Mazumder Managing Director M/S Superior Leather Industry Ltd. 19, Sher-e-Bangla Road Hazaribagh, Dhaka 8612268 Mr. S. A. M. M. Nuruddin Managing Director M/S Taj Tannery Ltd. 148, Hazaribagh, Dhaka 8610285 Mr. Mujibur Rahman Managing Director M/S The Earth International Tannery 86/2 Sher-e-Bangla Road, Hazaribagh, Dhaka 8618826 506910 Mr. Alhaj M. A. Satter Bhuiyan Proprietor M/S Vulua Tannery Ltd. 109, Hazaribagh, Dhaka 8611851 8118981 011859031 Mr. M. A. Awal Managing Director M/S Yousuf Brothers Tanneries Pvt. Ltd. 62, Hazaribagh, Dhaka 8614749 8613083 Mr. Mohammed Yousuf Managing Director M/S Yousuf Leather Corporation Ltd. 124/2, Hazaribagh, Dhaka 8625162 8614895 Hazi Mohammed Bashir Managing Director 102
  • 103.
    Appendix A-2 Members’ Listof Bangladesh Finished Leather, Leathergoods and Footwear Exporters’ Association (BFLLFEA) Category: Leathergoods SL Name of the Firm Address Phone Contact Person and Designation M/S Alamin Brenton Leather Goods Limited 70, Dilkusha Commercial Area Dhaka 9566025-6 9564507 Mr. Jahangir Alamin Managing Director M/S Asian Leather Complex 143/1, Hazaribagh, Dhaka-1209 9664322 Mr. Md. Monir Hossain Managing Director M/S Bangla Tan Leather Products 148/3, Hazaribagh, Dhaka 503502 500905 Mr. Alhan M. A. Mateen Chairman M/S Crown Leather Products Ltd. Star Center (1st Floor) House # 2/A, Road #138, Gulshan-1 9880799 8317259 Mr. Serajul Islam Managing Director M/S Crystal Corporation Ltd. Shilpo Plot # 9, Block C, Tajmahal Road, Mohammadpur 325449 244862 Mr. Engr. A. S. M. Rafid Managing Director M/S Dhaka LeatherM/S Dhaka Leather CraftsCrafts 147, Hazaribagh Dhaka 966470-07 0171530159 Mr. Joynal Abedin Bhuiyan Proprietor M/S Fortuna LeatherM/S Fortuna Leather CraftCraft 131, Hazaribagh Dhaka 9664317 8627144 Engr. M. Abu Taher Managing Director M/S Madina Leather Complex 117, Hazaribagh, Dhaka-1209 9661157 Mr. Bellal Hossain Managing Director M/S Picard Bangladesh Ltd. Sky Lark Point, Suite No. 9J1, 24/A, Bijoynagar, 175, Syed Nazrul Islam Sarani, Dhaka 9354996-4 0171522170 Mr. Md. Saiful Islam Managing Director M/S R. M. M International Ltd. Suit # 601, Concord Tower 113 Kazi Nazrul Islam Avenue Dhaka Mr. Mohiuddin Ahmed Managing Director M/S Sonali Aansh Industries Ltd. Lal Bhaban (1st Floor) 18, Rajuk Avenue, Dhaka 9556251 8613132 Mr. Nurul Islam Patwari Managing Director M/S Spectra Leathergoods Ltd, Namazi Chamber (1st Floor) 16, Motijheel C/A, Dhaka 9565301 9564543 Mr. Sohail Askar Managing Director M/S Uttama Leather Production Star Center (1st Floor), House # 2/1 Road # 138, Gulshan-1, Dhaka 9880799 8825007 Mrs. Shaikh Selina Islam Managing Director Appendix A-3 Members’ List of Bangladesh Finished Leather, Leathergoods and Footwear Exporters’ Association (BFLLFEA) Category: Footwear SL Name of the Firm Address Phone Contact Person and Designation . M/S Amit Footwear Ltd. Flat # 2/503 20, Eastern Tower 20, New Eskaton Road, Dhaka 9804046 0171542895 Mr. Sukumar Chowdhury Managing Director . M/S Apex Footwear LimitedM/S Apex Footwear Limited Plot # 3DS, Road No. 113/A, Gulshan-2, Dhaka 8828258 8821591 Syed Manzur Elahi Chairman 103
  • 104.
    . M/S Bata ShoeCompany Bangladesh Limited Tongi, Gazipur, (Dhaka) 9800501-5 9800513 Mr. G Stricker Managing Director . M/S Bay Footwear Ltd. 21, Hazaribagh, Dhaka 9663966 9666994 8623428 Mr. Shamsur Rahman Managing Director . M/S B S Leather ComplexM/S B S Leather Complex 13, Moneshwar road, Hazaribagh, Dhaka-1205 8615921 9619934 Mr. Shohel Ahmed (Dilu) Managing Director . M/S Cosmopolitan ShoeM/S Cosmopolitan Shoe Ind. LtdInd. Ltd House#303, Road#19/B, New DOHS, Mohakhali, Dhaka 9261145 . M/S Comfort Footwear Ltd. 86, Laboratory Road (Gd. Floor) Dhaka 8612415 500516 Mr. Moinul Ahsan Managing Director . M/S Continental Footwear Ind. Ltd. 240, New Elephant Road, Dhaka 861623 8612408 Mr. Abul Kashem . M/S Desma Shoe Industries Ltd. 10, Kazi Nazrul Islam Avenud (2nd Fl) Kawran Bazar, Dhaka 8114053 8110782-3 Mr. Kazi Shahed Hasan Ferdous, Managing Director 0. M/S Dhaka Footwear Ltd. 147, Hazaribagh, Dhaka 9669849 8611268 Mr. M. A. Rashid Bhuiyan 1. M/S H. N. Shoe LimitedM/S H. N. Shoe Limited House # 69, Road # 8/A Dhanmondi R/A, Dhaka 9113776 9111209 0171523223 Mr. M. Nasir Managing Director Mr. M. Amirullah Executive Director 2. M/S Inter Fashion Leathers & Footwear Ind. Ltd. Room # 410, DCCI Building 65-66 Motijheel C/A, Dhaka 9560591 9567986 Mr. Farukh Ahmed Managing Director 3. M/S Jenny Shoes Ltd. House # 06, Road # 68A Gulshan-2, Dhaka 8826350 8824885 Mr. M. Nasir Khan Managing Director 4. M/S Lalmai Footwear Ltd. Khan Mansion (5th Flor) 107, Motijheel C/A Area, Dhaka 9567312 9569458 Mr. Aminur Rashid Managing Director 5. M/S Landmark Footwear Ltd. 67, Lake Circus, (Dolphin Lane) Kolabagan, Dhaka 9338369 8312626 A. K. M. Afzalur Rahman Managing Director 6. M/S Leatherex Footwear Industries Ltd. House # 34/1 (Gr. Fl) Road # 10/A Dhanmondi, Dhaka. 8112543 Mr. Mohammed Nazmul Hassan, Managing Director 7. M/S Legacy Footwear Ltd. 168/A, Green Road, Dhaka 404684 011858976 Mrs. Shahnaz Sultana Managing Director 8. M/S Lexco Footwear Ltd. 146, Hazaribagh, Dhaka 9669397 503502 Mr. Harun-Or-Rashid Managing Director 9. M/S Madina Shoe Ind. Ltd. Baitul Hossain Building (Suite-1204), 27, Dilkusha C/A, Dhaka 9564042 9556208 7169495 0175013459 Md. Shafizul Islam Khandaker Managing Director 0. M/S Malim Bangladesh Co.M/S Malim Bangladesh Co. LtdLtd 290/1 Shonargaon Road Dhaka 9803366 9803737 Mr. Delwar Hossain Managing Director 1. M/S Phulhar Footwear Ltd. Meherba Plaza, 33 Topkhana Road, Dhaka 9570346-8 Mr. Md. Ziaur Rahman Managing Director 2. M/S Rever Side Leather & Footwear Ind. Pvt. Ltd. 2/1, R/K mission Road, Dhaka 9563162 9560147-9 Mr. Abu S. M. Baqibillah Executive Director 104
  • 105.
    3. M/S Rumana ShoeIndustries Ltd. 45/B, Dilu Road, New Eskaton, Dhaka 8113648 Mr. S M Abul Kashem Managing Director 4. M/S Savar Industry (Pvt) Ltd. Savar EPZ Area Dhaka 8311252 Mr. Akihisa Osomura Managing Director 5. M/S Shampan Shoes Ltd. Rahman Chamber (5th Floor) 12-13 Motijheel C/A Dhaka 9563185 9565325 Mr. Shamsuddin Ahmed Executive Director 6. M/S Surma Leather & Footwear Ind. Ltd. 34, Bangabahdu Avenue (3rd Floor) Dhaka-1000 9557913 9558790 Mr. Mahbubur Rahman Sikder Managing Director 7. M/S S A Leather and Shoe Ind. Ltd. Malliker Para, Sonargaon, Narayangonj 8616305 0171378494 8. Leather Plannets Limited (?) House # 159, Road # 01, DOHS Baridhara, Dhaka 9887422 Mr. Harun Miah Managing Director 9. M/S Brother Chemicals Ltd. (?) 9/1, Gozmohol, Hazaribagh Dhaka 501622 9551725 Mr. Md. Abul Kalam Azad Chairman 0. M/S S. A. K. International Co. (?) House # 296, Road # 04, DOHS Baridhara, Dhaka 9883926 502030 Shakil Ahmed Khan Proprietor 1. M/S Tivoli Bangladesh Ltd. (?) 49, Gulshan S/A Gulshan – 1, Dhaka 9885362 8821153 Mr. A. H. Mustafa Kamal Managing Director 2. M/S Velex Agences Ltd. (?) 62/1 Purana Paltan, Motijheel C/A, Dhaka Fac: 121/5 Sher-e-Bangla Road, Hazaribagh-Dhaka 9563404 9563453 Mr. S. A. M. M. Nuruddin Managing Director 3. M/S Nitol Export (?) 71, Mohakhali C/A, Nitol Centre, Dhaka-1212 9887074-6 8855794 0189238109 Mr. Abdul Matlub Ahmad Managing Director Appendix A-4Appendix A-4 105
  • 106.
    Members’ List ofLeathergoods & Footwear Manufacturers’ and Exporters’ Association of Bangladesh (LFMEAB) Category: Leathergoods SL Name of the Firm Address Phone Contact Person and Designation . M/S Apex Leathercraft Fashion & Accessories Ltd. House#296, Road#4, DOHS Baridhara, Dhaka Cantonment, Dhaka-1206 9883926 0171592979 Mr. Shakil Ahmed Khan Managing Director . M/S Aurora 10/1, Iqbal Road, Mohammadpur, Dhaka- 1207 8117696 0189257031 Mr. Md. Shahidul Huq Managing Partner . M/S Cosmic Jute & Leather Industries Ltd. 561, Pakuria, Bhadhalodi, Uttara, Dhaka- 1230 8916806 0189357570 Mr. Md. Shaheen Ahmed Managing Director . M/S Crown Leather Products Ltd. 179, East Kafrul, Dhaka Cantonment Dhaka-1206 9872149 0189803083 Mr. Serajul Islam Managing Director . M/S Jass Leather Industries Ltd. 89, Motijheel C/A (3rd Floor) Suit No. 62, Dhaka 9559979 0171458649 Mr. Jainal Abedin Raton Managing Director . M/S Koninoor Leather Products Ltd. Amanullah Complex 87, Islampur Road, Dhaka 9566402 9566396 0171523675 Mr. Hossain A. Sikder Managing Director . M/S Picard Bangladesh Ltd. Sky Lark Point, Suit no 9J1 24/A, Bijoynagar, Dhaka 9354993-4 0171522170 Mr. Md. Saiful Islam Managing Director . M/S Sonali Aansh Industries Ltd. Lal Bhaban (1st Floor), 18 Rajuk Avenue Dhaka 9556251 9563322 0171536721 Mr. Nurul Islam Patwari Managing Director . M/S Universal Leather Products Erectors House (9th Floor) 18, Kamal Ataturk Avenue, Banani C/A, Dhaka-1213 9880102-5 Mr. M. Naser Rahman (MP) Managing Director Appendix A-5 Members’ List of Leathergoods & Footwear Manufacturers’ and Exporters’ Association of Bangladesh (LFMEAB) Category: Footwear SL Name of the Firm Address Phone Contact Person and Designation M/S Amit Footwear Ltd. House # 30, Road # 6, Sector 3 Uttara Model Town, Dhaka-1230 9804046 Mr. Sukumer Chowdhury Managing Director M/S Apex Footwear Ltd. Celebration Point,1st Floor, Plot # 3,5 Road # 113A, Gulshan-2, Dhaka 8828258 8620300 Mr. Syed Nasim Manzur Managing Director 106
  • 107.
    0171531722 M/S Bay FootwearLtd. 21, Hazaribagh, Dhaka-1209 8611468 8612335 0171560794 Mr. Ziaur Rahman Managing Director M/S H. N. Shoes Ltd. House # 69, Road # 8/A Dhanmondi R/A, Dhaka 8111526 9111209 Mr. M. Nasir Managing Director M/S Jenny Shoes Ltd. Jennys House, House # 6, Road # 68/A Gulshan-2, Dhaka-1212 8826350 8824885 0171535117 Mr. Nasir Khan Managing Director M/S Lalmai Footwear Ltd. Khan Mansion (5th Floor) 107, Motijheel C/A, Dhaka 9567312 9569458 0171538012 Mr. Aminur Rashid Managing Director M/S Landmark Footwear Ltd. 64, Bijoy Nagar (3rd Floor) Kakrail, Dhaka-1000 9338369 8312626 Mr A. K. M. Afzalur Rahman Managing Director M/S Leatherex Footwear Ind. Ltd. House # 34/A, Road # 10/A Dhanmondi R/A. Dhaka 8112543 9129192 0189227559 Mr. Nazmul Hasan Hohil Managing Director M/S Legacy Footwear Ltd. 64, Bijoynagar, Kakrail, Dhaka 8319663 Mr. Kazi Rafi Ahmed Managing Director . M/S Madina Shoe Industries Ltd. Suit # 1204, Baitul Hossain Building 27, Dilkusha C/A, Dhaka-1000 9667745 9556208 7169495 0175013459 Mr. Md. Shafiqul Islam Managing Director . M/S Surma Leather & Footwear Ind. Ltd. Corner Court, 29 Toynbee Circular Road Motijheel C/A, Dhaka 9557913 9558790 Engr. Mr. Sultan A. Sikder Director . M/S Tropical Shoes Ind. Ltd. A. R. Tower (3rd Floor) 24, Kamal Ataturk Avenue, Banani, Dhaka-1213 8815142 8815144 Mr. M. Anisur Razzaque Managing Director. . Bangladesh Export Ltd. 24, Kamal Ataturk Avenue, Banani, Dhaka 8815142 8815144 0171538338 Mr. M. Anisur Razzaque Managing Director. 107
  • 108.
    Appendix A-6 Members’ Listof Bangladesh Tanners Association (BTA) Category: Tannery SL Tannery/ Organization AddressAddress Phone Contact Person 1. M/S. Taj Tannery 148. Hazaribagh. Dhaka- 1209. 8610285 Md. Mizanur Rahman 2. M/S. ChowdhuryM/S. Chowdhury Leather & CoLeather & Co 95/7.Gazmahal, Hazaribagh. Dhaka- 1209 9660754 8631097 0171526220 Md. Harun Chowdhury 3. M/S. Helena Enterprise 95/7.Gazmahal. Hazaribagh. Dhaka- 1209. 9660754 Md. Mizanur Rahman 4. M/S. R M Leather 95/7.Gazmahal. Hazaribagh. Dhaka- 1209. 9660754 Md. Monir Hossion 5. M/S M B Tannery LtdM/S M B Tannery Ltd 44/1, Sher-e- Bangla Road Hazaribagh. Dhaka- 1209. 8614663 Md Mozaffar Rahman 6. M/S Pubali TanneryM/S Pubali Tannery 44. Sher-e- Bangla Road Hazaribagh. Dhaka- 1209. 9660508 Md. Mozibur Rahman 7. M/S Abul Khair Tannery 125/1. Sher-e- Bangla Road Hazaribagh. Dhaka- 1209. 8621787 Hazi Md. Abul Khair 8. M/S. Nur Trading Corporation 119. Hazaribagh. Dhaka- 1209. 8631554 Md. Abdul Awal 9. M/S. Forhed LeatherM/S. Forhed Leather CorporationCorporation 99. Hazaribagh. Dhaka- 1209. 9662836 Md. Abdul Hai 10. M/S. Noakshli Tannery 107. Hazaribagh. Dhaka- 1209. 8628867 Mukbul Ahmed 11. M/S. Shadhin TanneryM/S. Shadhin Tannery 101. Hazaribagh. Dhaka- 1209. 8614354 Farque Ahmed 12. M/S. Mamun TradesM/S. Mamun Trades 91. Hazaribagh. Dhaka. 1209. 9661733 Md. Moharaf Hossain 13. M/S. H N Brothers 41/23/15. Zigatola, New Rd. Hazaribagh. Dhaka- 1209. 9662836 Md. Amir Hussain 14. M/S. Eusuf Tannery Ltd 135/2. Hazaribagh, Dhaka- 1209. 018- 244985 Md. Bashir Ullah 15. M/S. Majdhi Tannery 136/3. Hazaribagh, Dhaka- 1209. 8626492 Md. Hossain 108
  • 109.
    16. M/S. KohinoorTannery Ltd 130. Hazaribagh, Dhaka- 1209. 9669001 Md. Humiyan Kabir 17. M/S. Bangla Ten Leather 148/3. Hazaribagh, Dhaka- 1209. 9125651 Md. Masum 18. M/S. F K Leather 95. Gazmohal, Hazaribagh, Dhaka- 1209. 8624082 Md. Katub Uddion 19. M/S. F F M Leather Complex 94/1. Hazaribagh, Dhaka- 1209. 9660509 Md. Sha Alam 20. M/S. Rahman Oversize 44. Sher-e- Bangla Rd. Hazaribagh, Dhaka – 1209. 8614663 Md. Fazrul Rahman 21. M/S. Rahman Enterprise 39. Zigztola. Hazaribagh. Dhaka- 1209 Md. Azizur Rahman 22. M/S. Sonali Haide 44/1, Sher-e- Bangla Rd, Hazaribagh, Dhaka- 1209. 9660508 Md. Mahabubur Rahman 23. M/S. Bearied Leather Complex 45/1. Sher-e- Bangla Rd, Hazaribagh, Dhaka- 1209. 8610543 Md. Akbar Hossain 24. M/S. Shodesh Tannery 116/D, Hazaribagh, Dhaka- 1209. 502264 Md. Shohied Ullah 25. M/S. Urmi Trade International 136/2, Hazaribagh, Dhaka- 1209. 8620535 Md. Abul Kaham 26. M/S. Zia Leather Complex 1310, Auture Dupo, Chittagong. 31- 682645 Md. Abu Musa 27. M/S. Gulshan TanneryM/S. Gulshan Tannery 90, Hazaribagh, Dhaka- 1209. Md. Salim Ahmed 28. M/S. Great Strean Tannery 48, Sher-e- Bangla Rd Hazaribagh, Dhaka- 1209. 29. M/S. Chinaze Tannery Pvt Ltd 50, Sher-e- Bangla Rd Hazaribagh, Dhaka- 1209. 8626492 Al hazi Kazi Abdul Kadir 30. M/S. Yousuf Leather Corporation 124/2, Sher-e- Bangla Rd Hazaribagh, Dhaka- 1209. 8129864 Hazi Md. Bashir 31. M/S. Shatee Leather 136/5, Hazaribagh Dhaka- 1209. 8612109 Md. Abul Kalam 32. M/S. Feni Tannery Pvt Ltd 113, Hazaribagh Dhaka- 1209. 8628529 Md. Golam Rabbani 33. M/S. Kasim Tannery 110, Hazaribagh, Dhaka- 1209. Md. Abul kasam 34. M/S. Asia Tannery 137, Hazaribagh, Dhaka- 1209. 35. M/S. Nashet Tannery 138, Hazaribagh, Dhaka- 1209. Md. Salim 36. M/S. Sonali Tannery 111/A, Hazaribagh, Dhaka- 1209. Md. Babul Mia 37. M/S. Fanche Leather Enterprise 95, Gozmohal, Hazaribagh 9662840 Md. Shamsul Huda 109
  • 110.
    Dhaka- 1209. 38. M/S.Razibe Leather Complex 95/4, Gozmohal, Hazaribagh Dhaka- 1209. 9662840 Md. Shamsul Huda 39. M/S. Son Light Tannery 122, Hazaribagh, Dhaka- 1209. Hossain Ahmed 40. M/S. Karsaj Tannery 92, Gozmohal, Hazaribagh Dhaka- 1209. 8625078 Md. Hanif 41. M/S. Chanpur Tannery 93, Hazaribagh, Dhaka- 1209. Md. Sarij Miha 42. M/S. Oversige Tannery 139, Hazaribagh, Dhaka- 1209. Nasir Ullah 43. M/S. Capital Tannery 94, Hazaribagh, Dhaka- 1209. Master Sayead Ullah 44. M/S. Naru Bhai Tannery 97, Hazaribagh, Dhaka- 1209. Abu Kausar Jahangir 45. M/S. Comilla Tannery 98, Hazaribagh, Dhaka- 1209. Md. Nur Nabi 46. M/S. Royel Tannery 100, Hazaribagh, Dhaka- 1209. 9228857 Md. Momin Ullah 47. M/S. Juliet Enterprise 81, Hazaribagh, Dhaka- 1209. 8614354 Md. Shaidul Hoque Master 48. M/S. Lieen Enterprise 100, Hazaribagh, Dhaka- 1209. 8616975 Sha Emrean Photoeary 49. M/S. Ibrasim Tannery 105, Hazaribagh, Dhaka- 1209. Md. Israfil 50. M/S. Shatter Tannery 105, Hazaribagh, Dhaka- 1209. Ahdur Shatter 51. M/S. Mother Tannery 104, Hazaribagh, Dhaka- 1209. S M Awlad Hossain 52. M/S. Manik& Sohaj Brotgers Tannery 79/A, Hazaribagh, Dhaka- 1209. 8628867 Mukbul Ahmed 53. M/S. Anjuman Trading Corporation 79, Hazaribagh, Dhaka- 1209. Md. Hanif 54. M/S. Morshed Brothers Tannery 83/A, Hazaribagh, Dhaka- 1209. 9662533 Md. Nur Nabi 55. M/S. International Tannery 83, Hazaribagh, Dhaka- 1209. Md. Fazlu Miha 56. M/S. Mizan & Suman Tannery 89/1, Hazaribagh, Dhaka- 1209. 8611204 Md. Hossain 57. M/S. Mamtaj Tannery 84, Hazaribagh, Dhaka- 1209. Md. Jalal Uddion 58. M/S. Jindhabad Tannery 84, Hazaribagh, Dhaka- 1209. Md. Momin Ullah 59. M/S. Muzaheed Tannery 80, Hazaribagh, Dhaka- 1209. Balal Hossain 60. M/S. Salam Tannery 75, Hazaribagh, Dhaka- 1209. Md. Abdus Salam 61. M/S, Bhi Bhi Tannery 64, Hazaribagh, Dhaka- 1209. Md. Shakanter 62. M/S. Jalal Tannery 117, Hazaribagh, Dhaka- 1209. 8118204 Sala uddion 63. M/S. Metto Tannery 67/2, Hazaribagh, Dhaka- 1209. Jamal Ahmed 110
  • 111.
    64. M/S. GoldenLeather Industries 65/2, Hazaribagh, Dhaka- 1209. Md. Amir Hossain 65. M/S. Islamia Tannery 65, Hazaribagh, Dhaka- 1209. M SB Sala Ahmed 66. M/S. Shahi Tannery 68, Hazaribagh, Dhaka- 1209. Md. Samsul Islam 67. M/S. Sodor Tannery 60, Hazaribagh, Dhaka- 1209. 8625230 Md. Torea Ullah 68. M/S. Hazi Mazharul Hoq Ltd 79/1, Water Workers Rd Posta, Dhaka- 1209. Md. Gopran 69. M/S. Sumon Tanney 57/2, Hazaribagh, Dhaka- 1209. Hazi Md. Shajahan 70. M/S. Lakhi Tannery 68, Hazaribagh, Dhaka-1209. Md. Shajahan 71. M/S. A B S TanneryM/S. A B S Tannery 42, Hazaribagh, Dhaka- 1209. Md. Abu Bakker Siddque 72. M/S. East Asia Tannery Ltd 12/2, Sher-e- Bangla Rd Hazaribagh, Dhaka – 1209. 8625268 Md. Bajlur Rahman 73. M/S. Phoenix Leather Complex 180/C, Sher-e- Bangla Rd Hazaribagh, Dhaka – 1209. 8625268 Md. Bajlur Rahman 74. M/S. Arafat Leather Complex 6/1, Sher-e- Bangla Rd Hazaribagh, Dhaka – 1209. 017- 524925 Hafaz Md. Mozzamal Hoq 75. M/S. Marson Tannery 45/1, Hazaribagh, Dhaka- 1209. Md. Estak Ahmed 76. M/S. Ashan Habibe & Brother 123/3 Sher-e- Bangla Rd Hazaribagh, Dhaka –1209. Md. Akterurzzaman 77. M/S. Mamun Tannery 91, Hazaribagh, Dhaka- 1209. 9661733 Md. Mosaraf Hossain 78. M/S. Iland Tannery 122/A, Hazaribagh, Dhaka- 1209. Md. Tajul Islam 79. M/S. Udion Corporation 124/1, Hazaribagh, Dhaka- 1209. Md. Amanat Hossain 80. M/S. Reshni Complex 100/2, Hazaribagh, Dhaka- 1209. 9118857 Md. Humayan Kabir 81. M/S. Latif Leather Complex 83/1, Hazaribagh Dhaka – 1209. 8612098 Md. Hamidul Islam 82. M/S. J R Leather Export 42/10. Sonatongho , Hazaribagh Dhaka- 1209. Jamala Khatun 83. M/S. Hossain BrothersM/S. Hossain Brothers TanneryTannery 68/1, Hazaribagh, Dhaka- 1209 8613770, 0175 042959 Hossain Ahmed Bhuiyan 84. M/S. Kalu Leather Corporation 43, Sher- E Bangla Road Hazaribagh, Dhaka- 1209 9667075 Mahabub Alam 85. M/S. Aziz Tannery 148/2, Hazaribagh, Dhaka- 1209 Samsur Rahman 86. M/S. Globe Tannery Ltd. 118, Sher-e- Bangla Road M A Bari 111
  • 112.
    Hazaribagh, Dhaka- 1209 87.M/S. S & S Tannery Hazaribagh, Dhaka-1209 Md. Abdur Rahim 88. M/S. J A Leather 61, Hazaribagh, Dhaka-1209 Md. Abdul Ajij 89. M/S. Johir Trading Industries 121/4, Sher-e- Bangla Rd Hazaribagh, Dhaka – 1209 Md. Johir 90. M/S. H S Tannery 47, Sher-e- Bangla Rd Hazaribagh, Dhaka – 1209 Hafez Ahmad 91. M/S. Chowdhury & Co. 121/A, Sher-e- Bangla Rd Hazaribagh, Dhaka – 1209 Md. Hasan Chowdhury 92. M/S. Jakir Hossain Tannery 120/1, Sher-e- Bangla Rd Hazaribagh, Dhaka – 1209 Md. Shekantor Hossain 93. M.S. Zoobli Tannery 70, Hazaribagh, Dhaka-1209 Nurul Haque 94. M/S. Leather Complex Pvt. Ltd. 11, Kalu Nagar, Hazaribagh, Dhaka-1209 Md. Ibrahim 95. M/S. T Ahmed Tannery 87, Hazaribagh, Dhaka-1209 Ali Ahmed 96. M/S. Nabipur Tannery 141/A, Hazaribagh, Dhaka-1209 Md. Abdul Wahab 97. M/S. Nobarun Tannery 56, Hazaribagh, Dhaka-1209 Md. Iqbal Hossain 98. M/S. City Leather Tannery 30, Monesshore Road, Hazaribagh, Dhaka-1209 Hazi Md. Ali 99. M/S. New Kajol Tannery 30/A Monesshore Road, Hazaribagh, Dhaka-1209 Sala Uddin Ahmed 100. M/S. Muslim Tannery 30, Monesshore Road, Hazaribagh, Dhaka-1209 Hazi Somsher Ali 101. M/S. Milon Tannery 58, Hazaribagh, Dhaka-1209 Zohir Ahmad 102. M/S. Moon Tannery 105/1, Hazaribagh, Dhaka-1209 Md. Abul Kashem 103. M/S T-Para Tannery 49, Sher-e- Bangla Rd Hazaribagh, Dhaka – 1209 Md. Aminul Islam Babul 104. M/S. Kalam & Brothers Tannery 120/2, Hazaribagh, Dhaka – 1209 Md. Abul Kalam 105. M/S. Mohin Tannery 59/1, Hazaribagh, Dhaka-1209 Abdul Odud Mia 106. Ms. United Tannery Ltd. 139, Hazaribagh, Dhaka-1209 Md. Sala Uddin Chowdhury 107. M/S. M S Tannery 121/3, Sher-e- Bangla Rd Hazaribagh, Dhaka – 1209 Md. Ruhul Amin 108. M/S. Abul Bashar Tannery 135/B, Sher-e- Bangla Rd Hazaribagh, Dhaka – 1209 Md. Abul Bashar 109. M/S. Dhaka Nagar Tannery 98, Hazaribagh, Dhaka-1209 Abul Hossain 112
  • 113.
    110. M/S. JasimTannery 30/3, Sher-e- Bangla Rd Hazaribagh, Dhaka – 1209 Sala Uddin 111. M/S. M I Tannery 122, Hazaribagh, Dhaka-1209 Hazi Ismail Hossain 112. M/S. Komla Tannery 125/1, Hazaribagh, Dhaka-1209 Hazi Nurul Islam 113. M/S. Gokul Tannery 121, Hazaribagh, Dhaka-1209 Md. Mozammel Hossain 114. M/S. Bengal Peli Export Co. 94/1, Hazaribagh, Dhaka-1209 Md. Anwar Hossain 115. MS. Poiran Tannery 117/1, Hazaribagh, Dhaka-1209 Alhaj Md. Shofi Ullah 116. M/S. Alea Tannery 106, Hazaribagh, Dhaka-1209 Md. Nurul Huda 117. MS. Iqbal Brothers Tannery 135/C-2, Sher-e- Bangla Rd Hazaribagh, Dhaka – 1209 Md. Sasuddin Munshi 118. MS. Mukta Tannery 24/C, Kalunagar, Hazaribagh, Dhaka-1209 Sayed Md. Shahidullah 119. Prominent Tannery Ltd. 25, Prominent Avenue, 3, PC Culture, Mohammadpur, Dhaka-1207 Major Monjur Kader (Retd) M.P 120. M/S. Sayful Leather 121/2, Sher-e- Bangla Rd Hazaribagh, Dhaka – 1209 Hazi Md. Sofi 121. M/S. Miraz Leather Complex 13/1, Hazaribagh, Dhaka-1209 Md. Monir Hossain 122. The Noakhali Tannery Dotter Hat, Miazdi Court, Noakhali Md. Moazzem Hossain 123. M/S. Ismail Leather Corporation 121/B, Sher-e- Bangla Rd Hazaribagh, Dhaka – 1209 Md. Ismail 124. M/S. Prince Tannery 135, Sher-e- Bangla Rd Hazaribagh, Dhaka – 1209 Md. Zahangir Hossain 125. M/S. Al-Hera Leather Industries Ltd. 79, Water Works Road, Posta, Dhaka Hafez Muzahidul Haque 126. M/S. Dincum Shoes Ltd. House# 14, No.1 PC Culture Road, Mohammadpur, Dhaka-1207 Hasan Showrozit 127. Hi-tech Leather Complex Ltd. (Shohid Tannery) 111, Hazaribagh, Dhaka-1209 Md. Mozaffar Hossain 128. M/S. Luna Tannery 66, Hazaribagh, Dhaka-1209 Hazi Monir Uddin Ahmad 129. Chrome-veg tannery Ltd. 115, Hazaribagh, Dhaka-1209 Md. Salim 130. M/S. Rubi Leather Complex 71/4, Gozomohol, Hazaribagh, Dhaka- 1209 Md. Shahjahan Bhuiyan 131. M/S. Salam Leather Corporation 71/4/C, Gozomohol, Hazaribagh, Dhaka- 1209 Hazi Md. Abul Bashar 132. M/S. Atique Leather Complex 54/2, Hazaribagh, Dhaka-1209 Hossain Ahmed Bhuiyan 113
  • 114.
    133. M/S. GreenwageTannery 133/3, Hazaribagh, Dhaka-1209 Md. Shirah-ud-doullah Bahar 134. Hena Leather 44/1, Sher-e- Bangla Rd Hazaribagh, Dhaka – 1209 Md. Mozibur Rahman 44/1, 135. M/S. Rabeya Khatun Tannery 49/3, Sher-e- Bangla Rd Hazaribagh, Dhaka – 1209 Md. Zamadul Haque 136. M/S. H L Enterprise 38, Sonatongor, Hazaribagh, Dhaka – 1209 Md. Abul Hashem 137. M/S. Dil Bahar Tannery 116/B, Hazaribagh, Dhaka-1209 Md. Mostoffa Mia 138. M/S. S A Leather 44/C, Sher-e- Bangla Rd Hazaribagh, Dhaka – 1209 Md. Mozaffar Rahman 139. R A N Leather 44/B, Sher-e- Bangla Rd Hazaribagh, Dhaka – 1209 Md. Masukur Rahman Appendix A-7 Bangladesh Chemical Importers & Merchants Association 124, Hazaribagh, Dhaka-1209, Tel: 8622608 SL Name of the Importer Name of the Firm Address 1. Md. Mizanur Rahman(Mesbah) Chairman (BCIMA) AIM Associate/ Imaco 124 Dhaka Tannery Market, Hazaribagh 2. Md. Mohsin Bhuiyan Latex Tradelink 20, Sher-e-Bangla road, Hazaribagh 3. Md. Khasrul Alam M/s Tanvir & Co 130 KohinoorTannery market, Hazaribagh 4. Md Mokhlesur Rahman 28, Sonatongar, Zikatola, Dhaka 5. Md. Morshed Haider Haider Traders 28, Sonatongar, Zikatola, Dhaka 6. Md. Bulbul Aiub B.N.C 3/6, Sonatongar, Zikatola, Dhaka 7. Md. Tofail Ahmed T.A Trading 130 KohinoorTannery market, Hazaribagh 8. Md. Habibur Rahman Rupsi Traders 124 Dhaka Tannery Market, Hazaribagh 114
  • 115.
    9. Hazi RabiullahTaj Chemical 124 Dhaka Tannery Market, Hazaribagh 10. Md. Altaf Hossain A.H Enterprise 99 Hazaribagh Dhaka 11. Mazakat Harun Manik General Secretary (BCIMA) Chemitan Limited 124 Dhaka Tannery Market, Hazaribagh 12. Md. Azizul Haque Hawladar Romo Enterprise 99 Hazaribagh Dhaka 13. Maksudur Rahman Shopon Gonipur Agency 87, Sher-e-Bangla road, Zikatola 14. Mostofa Akter Hossain Fair International 86, Sher-e-Bangla road, Zikatola 15. Md. Abul Hossain Labony Traders 124 Dhaka Tannery Market, Hazaribagh 16. Abdur Rouf Sabuj Chemirex International 20, Sher-e-Bangla road, Zikatola 17. T.M Manjur Hossain Mahai Trading 146 Hazaribagh Dhaka 18. Md. Iunus Khan 165 Agrabad Chittagong 19. Abu Musa 27 kalurghat Chittagong 20. Md. Mijanur Rahman 130 Agrabad Chittagong 21. Md. Amanullah 115, Sher-e-Bangla road, Khulna 22. Md. KhodaBoks 23 Farajipara, Dalmil Road, Khulna 23. Sirajul Islam 24/2 Azimpur, Dhaka 24. Abul Khayer Bhuiyan 58, Terribazar, Chittagong 25. Md Aiub Ali 155, Dewanhat, Chittagong 26. Md. Alauddin Hawladar Bibir Pukurpar, Barisal 27. Md. Habibur Rahman Babul Alokanda, Barisal 28. Md. Sayedul Islam 49, Station Road, Dinajpur 29. Azmal Hossain Bhoje Talukdar Guest House, Syedpur, Nilphamari 30. Md. Zahangir Hossain 6/1 Armanitola, Dhaka 31. Md. Ainul Haque 10/2 Armanitola, Dhaka 32. Rafiqul Islam Badal 23 TantiBazar Dhaka 33. Md. Faruq Hossain 23 TantiBazar Dhaka 34. Iliasur Rahman Badal M/s Ilias & Brothers 10 Chalk MughalTuli, Dhaka 35. Samsul Alam 20 Sena Kalyan Bhaban, Motijheel, Dhaka 36. Md. Aworangojeb 53 Motijheel, Dhaka 37. Shamim Iqbal 67 Motijheel, Dhaka 38. Shahnewaj Khan Borobazar Ananda Mahol, Mymensing 39. Md. Sadequr Rahman 10 Station Road, Mymensing 40. Md. Selim Reja Babubazar, Jessore 41. Jafar Ahmed Myzdi Court, Noakhali 42. Abul Kalam Azad 26, Bangshal Road, Dhaka 43. Abdur Rouf Mollah 31 Nyabazar Market, Dhaka 44. Abdur Razzak Bishwas 35 Urdu Road Dhaka 115
  • 116.
    45. Hazi BulbulAhmed 35 Urdu Road Dhaka 46. Md. Lutfur Rahman 14/15 Ispahani Building, Motijheel, Dhaka 47. Md. Delwar Kader 6 Motijheel, Dhaka 48. Md. Shakawat Hossain 49. Amar Saha Trade Exchange 20, Sher-e-Bangla road, Zikatola 50. Abdus Sattar 130 KohinoorTannery market, Hazaribagh 51. Monjurul Haque Niru M.A Corporation 9, Dewan monjil, Sonatongar, Dhaka 52. Md. Dulal 53. Md. Fazlul Mukit Progressive Leather & Footwear Co. 20, Sher-e-Bangla road, Hazaribagh 54. Md. Zakir Hossain 55. Md. Shafiqul Islam 56. Md. Tarikul Islam (Mukul) R.M International 124 Dhaka Tannery Market, Hazaribagh 57. Khondaker Ahad Ahmed Organo MultiTrade Int’l H: 7, R: 4, Dhanmondi, Dhaka 58. Abul Kalam Azad A.T.L 143/A Hazaribagh 59. Md. Nurul Anwar Exim Trade Int’l 950/B Yakub Building, Khatunganj, Chittagong 60. Md. Faruk Hossain 1/5 Mizan Tower, Kalyanpur, Dhaka 61. Md. Rafiqul Islam Babul M/s Link Int’l 20, Sher-e-Bangla road, Hazaribagh 62. Hazi Md. Abdus Salam B.S Trading Co. 143/A Hazaribagh, Dhaka 63. Rawsan Uz Zaman 64. T.M Delwar Hossain Bangladesh Leather Syndicates 13 Sahjahan Tannery Block, Hazaribagh 65. T.M Belayet Hossain 96/4 Monesshar road, Zikatola 66. S.M Kamrujjaman 124/B Hazaribagh, Dhaka 67. Sirajul Islam SF Trading 130 KohinoorTannery market, Hazaribagh 68. Md. Tarek Hossain All Leather Trade 48, Sher-e-Bangla road, Hazaribagh 69. Hazi Md. Yusuf M/s Lipi Leather 115 Hazaribagh 70. A.K Moniruzzaman Romisa Int’l 124 Hazaribagh, Dhaka 71. Moklesur Rahman Patwari Milon Enterprise 124 Hazaribagh, Dhaka 72. Abul Kalam Azad Imon Trading Corp. 15/F Zikatola 73. Md. Siddikur Rahman Buckman Laboratories 15/F Zikatola 74. Khaza Ahmed Asia Trading Corp. 20 Sahjahan Tannery Block, Hazaribagh 116
  • 117.